






관련 출원Related applications
본 출원은 2013년 6월 28일자로 출원된 계류중인 미국 특허출원 제13/931,114호의 부분계속출원이며, 그 미국 특허출원 제13/931,114호는 2013년 3월 15일자로 출원된 계류중인 미국 특허출원 제13/842,197호의 부분계속출원인바, 그 미국 특허출원 제13/842,197호는 2012년 5월 22일자로 출원된 미국 특허가출원 제61/650,150호의, 이제는 만기된 우선권을 주장하는 것이었으며, 위 각각의 특허출원은 그 전체가 본 명세서에 참조 병합된다. 모든 특허들, 특허출원들 및 본 명세서의 모든 부분에서 인용된 참고문헌들은 그 전체가 본 명세서에 참조 병합된다.This application is a continuation-in-part of pending U.S. Patent Application No. 13/931,114, filed on June 28, 2013, which is a pending U.S. patent application filed on March 15, 2013 Application No. 13/842,197 is a continuation-in-part application, and U.S. Patent Application No. 13/842,197 claims the now expired priority of U.S. Provisional Patent Application No. 61/650,150 filed on May 22, 2012, Each of the above patent applications is incorporated herein by reference in its entirety. All patents, patent applications, and references cited in all parts of this specification are hereby incorporated by reference in their entirety.
기술분야technical field
본 개시서는 고정 수입의 채권 파생 상품 투자 시장에 관한 것이다.This disclosure relates to a fixed income bond derivatives investment market.
파생 상품은 그 가치에 있어서 적어도 부분적으로, 기초 자산으로도 알려진 다른 증권의 가치 및/또는 특성(들)에 의존하는 금융 상품이다. 기초 자산의 예시들은: 금리 금융 상품들 (예컨대, 채권), 물품, 증권, 전자 거래되는 펀드, 및 지수들(indices)을 포함하지만, 이에 한정되지 않는다. 잘 알려져 있는 2개의 예시적인 파생 상품은 옵션 및 선물 거래이다.A derivative is a financial instrument that depends, at least in part, in its value on the value and/or characteristic(s) of another security, also known as an underlying asset. Examples of underlying assets include, but are not limited to: interest rate financial instruments (eg, bonds), commodities, securities, electronically traded funds, and indices. Two example derivatives that are well known are options and futures trading.
옵션 및 선물 거래와 같은 파생 상품은 장외시장(over-the-counter) 및/또는 예컨대 제도화된 거래소(organized exchanges){예를 들어, 시카고 선물 거래소(Chicago Board Options Exchange, Incorporated; "CBOE")}와 같은 거래 플랫폼(trading platforms) 상에서 거래될 수 있다. 장외시장 거래에 있어서 거래의 개별 참가자들은, 거래를 맞춤화(customize)하여 각각의 참가자들의 개개의 요구들을 충족시킬 수 있다. 거래 플랫폼 또는 거래소에서 거래되는 파생 상품들에 대하여, 표준화된 파생 상품 계약들의 매수 주문들 및 매도 주문들은 거래소로 제출되어 거기에서 매칭 및 실행(matched and executed)된다. 일반적으로 현대적인 거래소는 거래 특화(exchange specific) 컴퓨터 시스템을 구비하는바, 그 시스템에 의해 인터넷과 같은 전자 통신 네트워크를 통한 주문의 전자 제출이 가능해진다. 거래 특화 컴퓨터 시스템의 일 예시는 도 1에 도시된다.Derivatives, such as options and futures trading, are traded on over-the-counter and/or, for example, organized exchanges (eg, Chicago Board Options Exchange, Incorporated (“CBOE”)). It can be traded on trading platforms such as In over-the-counter trading, individual participants in a transaction can customize the transaction to meet the individual needs of each participant. For derivatives traded on a trading platform or exchange, buy and sell orders of standardized derivative contracts are submitted to the exchange where they are matched and executed. In general, a modern exchange is equipped with an exchange specific computer system, which enables electronic submission of orders through an electronic communication network such as the Internet. An example of a transaction-specific computer system is illustrated in FIG. 1 .
매칭 및 실행되면, 그 실행된 거래는 증권 결제 회사(clearing corporation)로 송신되는바, 그 증권 결제 회사는 파생 상품 계약의 구매자(보유자; holders)와 판매자(발행자; writers) 사이에 있다. 거래소에서 거래되는 파생 상품이 행사(exercised)되면, 필요한 때에는, 현금 또는 기초 자산이 증권 결제 회사로 인도되어 증권 결제 회사는 거래 결과(들)에 의해 적절하게 정의되는 바와 같이 그 자산을 분산시킨다.Once matched and executed, the executed transaction is sent to a clearing corporation, which is between the buyers (holders; writers) and sellers (issuers) of the derivative contracts. When an exchange-traded derivative is exercised, when necessary, cash or underlying assets are delivered to the securities clearing house, which disperses those assets as appropriately defined by the transaction outcome(s).
옵션 계약은 옵션 형식(예컨대 미국형 또는 유럽형)에 따라, 기초 자산을 특정 가격으로 특정 일자 또는 그 전에 매수 또는 매도할 권리를 계약 구매자에 대해서 부여하는바, 그 권리가 의무는 아니다. 반대로, 옵션 계약은 옵션 형식(예컨대 미국형 또는 유럽형)에 따라, 특정 일자 또는 그 전에 기초 자산을 특정 가격으로 인도할 의무를 계약의 판매자에게 부과한다. 미국형 옵션은 그 만기에 앞선 임의 시점에 행사될 수 있다. 유럽형 옵션은 그 만기에만 행사될 수 있는바, 즉, 미리 정해진 단일의 시점에만 행사될 수 있다.An option contract, depending on the type of option (eg American or European), grants to the purchaser the right, but not the obligation, to buy or sell the underlying asset at a specified price on or before a specified date. Conversely, an option contract imposes an obligation on the seller of the contract to deliver the underlying asset at a specified price on or before a specified date, depending on theoption format (eg American or European). A US option may be exercised at any point prior to its expiration. European options can only be exercised on their expiration date, ie only at a single, predetermined point in time.
일반적으로 2가지 유형의 옵션이 있는바: 콜(calls)과 풋(puts)이다. 콜 옵션은 구매자에게 특정 가격(즉 행사가격)으로 기초 자산을 살 권리를 부여하고, 판매자에게 그 행사가격으로 기초 자산을 구매자에게 인도할 의무를 부과한다. 풋 옵션은 특정 가격(즉 행사가격)으로 기초 자산을 팔 권리를 구매자에게 부여하며, 그 행사가격으로 기초 자산을 살 의무를 판매자에게 부과한다.There are generally two types of options: calls and puts. A call option gives the buyer theright to buy the underlying asset at a specified price (ie strike price) and obliges the seller to deliver the underlying asset to the buyer at that strike price. A put option gives the buyer the right to sell the underlying asset at a specified price (ie, the strike price) and imposes an obligation on the seller to buy the underlying asset at that strike price.
일반적으로 2가지 유형의 결제 처리가 있는바: 현물 결제 및 현금 결제이다. 현물 결제 중에는, 기초 자산의 인도와의 교환으로 일방 당사자로부터 타방 당사자에게 자금이 인도된다. 현금 결제 중에는, 기초 자산에 관한 데이터를 포함하는 계산에 따라 일방 당사자로부터 타방 당사자에게 자금이 인도된다.There are generally two types of payment processing: in-kind and cash. During a spot settlement, funds are delivered from one party to the other in exchange for delivery of the underlying asset. During a cash settlement, funds are delivered from one party to the other according to a calculation that includes data about the underlying asset.
선물 계약(혹은 '선물')은 장래의 고정된 일자에 있어서 기초 상품 또는 기초 자산(underlying commodity or asset)의 인도를 수용할 의무를 그 선물의 구매자에 대해서 부과한다. 이에 따라 그 선물 계약의 판매자는 주어진 가격으로 그 특정 일자에 그 상품 또는 자산을 인도할 의무를 가진다. 선물들은 현물 결제 또는 현금 결제를 이용하여 결제될 수 있다. 옵션 계약과 선물 계약 둘 모두는 지수와 같은 추상적 시장 지표들(abstract market indicators)에 기초할 수 있으며, 전형적으로 거래소에서 거래된다. 본 출원 전체에 걸쳐 "기초 채권(혹은 기초 국채)(underlying bond)의 유예기간(tenor)"이라고 하는 용어는, 선물의 기초가 되는, 결국 선물 옵션의 기초가 되는 채권의 만기까지의 시간을 지칭할 것인바, 이는 옵션이 선물에 대해서 판매된 것이지, 직접 그 채권에 대해서 판매된 것은 아니기 때문이다.A futures contract (or 'future') imposes on the buyer of the future an obligation to accept delivery of an underlying commodity or asset on a fixed date in the future. Accordingly, the seller of the futures contract is obliged to deliver the commodity or asset on that particular date at a given price. Gifts may be settled using cash or cash. Both options contracts and futures contracts can be based on abstract market indicators, such as indices, and are typically traded on an exchange. Throughout this application, the term "tenor of an underlying bond (or underlying bond)" refers to the time to maturity of the bond underlying the futures and, ultimately, the futures options. This is because the option is sold for futures, not directly for the bond.
선도 계약(혹은 '선도')은 장래의 고정된 일자에 기초 상품 또는 기초 자산의 인도를 수용할 의무를 그 선도 계약의 구매자에게 부과한다. 이에 따라, 선도 계약의 판매자는 주어진 가격으로 그 특정 일자에 그 상품 또는 자산을 인도할 의무를 가진다. 선도 계약은 현물 결제 또는 현금 결제를 이용하여 결제된다. 선도 계약은 지수들과 같은 추상적 시장 지표들에 기초할 수 있으며, 전형적으로는 장외시장(OTC)에서 거래된다. 본 출원 전체에 걸쳐 "기초 채권의 유예기간"이라고 하는 용어는 선도 계약의 기초가 되는, 결국 선도 옵션의 기초가 되는 채권의 만기까지의 시간을 지칭할 것인바, 이는 옵션이 선도 계약에 대해서 판매된 것이지, 직접 그 채권에 대해서 판매된 것은 아니기 때문이다.A forward contract (or 'forward') imposes on the buyer of the forward contract an obligation to accept delivery of the underlying instrument or underlying asset at a fixed date in the future. Accordingly, the seller of a forward contract is obliged to deliver the goods or assets on that particular date at a given price. Forward contracts are settled using spot or cash settlement. Forward contracts may be based on abstract market indicators, such as indices, and are typically traded over the counter (OTC). Throughout this application, the term "grace period of the underlying bond" will refer to the time until maturity of the bond underlying the forward contract, which in turn is the basis of the forward option, when the option is sold for the forward contract. This is because it was not sold directly for the bond.
지수는 다양한 기간에 걸친 시장 또는 시장 부문의 실적(performance)을 나타내는 데에 이용되는 복합 통계(statistical composite)인바, 즉 실적 기준(performance benchmark)으로서의 역할을 가진다. 지수들의 예시들은, 다우존스 산업 평균 지수(Dow Jones Industrial Average), 나스닥 종합주가지수{National Association of Securities Dealers Automated Quotations("NASDAQ") Composite Index}, 스탠더드 앤드 푸어사 500종 평균주가[Standard&Poor's 500{"S&P 500®"}]를 포함한다. 위에서 언급된 바와 같이, 지수에 대한 옵션은 일반적으로 현금으로 결제(cash settled)된다. 예를 들면, 현금 결제를 이용하여 지수 콜 옵션의 구매자는 지수 그 자체가 아니고 지수에 승수(multiplier), 예컨대 $100를 곱한 가치와 동일한 현금 양(cash amount)을 살 권리를 받는다. 따라서, 지수 콜 옵션의 구매자가 옵션을 행사하면, 옵션의 판매자는 옵션이 내가격(in-the-money) 옵션이면 구매자에게 기초 지수(underlying index)의 현재 가치와 행사가격에 승수를 곱한 가격 사이의 차액을 지급해야만 한다.An index is a statistical composite used to represent the performance of a market or market sector over various time periods, ie, serves as a performance benchmark. Examples of indices are the Dow Jones Industrial Average, the National Association of Securities Dealers Automated Quotations ("NASDAQ") Composite Index, and the Standard & Poor's 500. "
파생 상품이 기초하는 지수들 중에는, 시장 또는 시장 하부 부문(subsection)의 변동성을 측정(gauge)하는 것들이 있다. 예를 들면 CBOE는 CBOE 시장 변동성 지수, 혹은 VIX®를 생성 및 유포(disseminate)하고 있는바, 이는 S&P 주가지수 옵션 가격에 의해서 전달되는 단기 변동성(near-term volatility)의 시장 예측의 열쇠가 되는 지표(key measure)이다. 덧붙여, CBOE는 VIX를 기초 자산으로서 이용하는, 거래소에서 거래되는(상장된) 파생 상품(선물 및 옵션 둘 모두)을 제공한다. 변동성 지수 및 이에 기초하는 파생 상품은 포지션들(positions)을 헤징(hedge)하는 유용한 도구(tool)로서, 그리고 변동성의 방향에 관한 투자 전망(investment views)을 표현하는 장치(device)로서 금융업계(financial industry)에 의해 널리 수용되었다.Among the indices on which derivatives are based are those that gauge the volatility of a market or market subsection. For example, CBOE creates and disseminates the CBOE Market Volatility Index, or VIX®, an indicator that is key to market forecasting of near-term volatility conveyed by the S&P Equity Index option price. (key measure). In addition, CBOE offers exchange-traded (listed) derivatives (both futures and options) using VIX as an underlying asset. Volatility indices and derivatives based on them are useful tools for hedging positions and as a device for expressing investment views about the direction of volatility in the financial industry ( widely accepted by the financial industry).
국채는 정부기관(sovereign entity)에 의해 발행되는 공채증서(debt instrument)이다. 채권은 다양한 만기(maturities)를 가지고, 주기적인 고정 또는 변동 이자(fixed or floating interest)를 지급할 수 있는바, 즉 이표(coupon)들이다. 발행 정부 또는 채권 기간(term of the bond)에 따라, 국채는 상이한 명칭을 가지는바, 이에는 미국 단기국채(Treasury bill), 미국 중기국채(Treasury note), 미국 장기국채(Treasury bond), 독일 bund, 독일 bobl, 독일 schatz, 일본 국채(JGB), 영국 Gilt 등이 포함되나 이에 한정되지 않는다.A government bond is a debt instrument issued by a government entity. Bonds have various maturities and can pay periodic fixed or floating interest, ie, coupons. Depending on the issuing government or the term of the bond, Treasury bonds have different names, including US Treasury bill, US Treasury note, US Treasury bond, and German bund. , German bobl, German schatz, Japanese government bonds (JGB), British Gilt, and the like.
본 출원 발명자들이 이해한 바로는, 여러 변동성 지수가 존재하지만, 선물 및 선도와 같은 GB(국채) 파생 상품들에 대한 옵션의 기존 시장에서의 지배적(prevailing)인 가격과 이론적으로 정합(consistent)하는, 국채(GB) 시장에 대한 변동성 기준(volatility gauge)의 구현례(implementation)는 현재로서는 존재하지 않는다. 특히, 주어진 투자 기간(given investment horizon) 및 기초 채권의 유예기간에 걸쳐 GB 시장에 있어서의 변동성을 추산하는 표준화된 기준점들(standardized benchmarks)은 존재하지 않는다. 옵션에 의해 시사(implied)되는 예측 GB 변동성(expected GB volatility)의 적정 시장가격(fair market value)을 반영한 표준화된 기준점들이 현재 존재하지 않기 때문에, 거래자(trader)들, 다른 시장 참가자들, 및/또는 투자 관리자(money manager)들은 현재로서는, GB 선물 및 옵션에 대하여 옵션 거래를 하여 다른 자산 포지션(financial position)들을 헤징하며, 시장조성(market-making)을 하며, 그리고/또는 시장 변동성에 관련된 특정의 투자 포지션들을 취한다. 그런데, GB 선물에 대한 옵션의 거래를 통해 리스크 헤징(hedge risk)을 시도할 때에 채용되는 전략들은, 가격 의존성(price dependency)으로 인하여 반드시 정확한 이익이나 손실로 이어지지는 않는바, 즉, 그 가격 의존성은, 옵션 만기 시점에 지배적인 절대적 가격 수준(absolute price level)이 아닌 거래 개시(trade inception)와 만기일 사이의 가격 변동의 경로(path of price movements)에 의해서 영향을 받는 이익 및 손실을 발생시키는 경향성이다.To the understanding of the inventors of the present application, several volatility indices exist, but which are theoretically consistent with the prevailing price in the existing market of options on GB (Government Bond) derivatives such as futures and forwards. However, there is currently no implementation of a volatility gauge for the GB market. In particular, there are no standardized benchmarks for estimating volatility in the GB market over a given investment horizon and the grace period of the underlying bond. Since there are currently no standardized reference points that reflect the fair market value of the expected GB volatility implied by the option, traders, other market participants, and/or Alternatively, money managers may currently trade options on GB futures and options to hedge other financial positions, market-making, and/or specific take investment positions in However, the strategies employed when attempting to hedge risk through option trading on GB futures do not necessarily lead to accurate profit or loss due to price dependency, that is, the price dependency. The tendency to generate gains and losses affected by the path of price movements between trade inception and expiration rather than the absolute price level prevailing at option expiration. am.
이와 같이, 본 발명의 몇몇 실시례들은 GB 시장에 관련된 유효한 변동성 지수를 계산하기 위한 기법들을 제공한다. 추가적으로, 본 발명의 몇몇 실시례들은 그러한 지수에 기초하여 파생 상품의 거래를 실체화(instantiating) 및/또는 촉진하기 위한 기법들을 제공한다.As such, some embodiments of the present invention provide techniques for calculating a valid volatility index related to the GB market. Additionally, some embodiments of the present invention provide techniques for instantiating and/or facilitating trading of derivatives based on such indices.
몇몇 실시례에 있어서, 선물 및 선도와 같은 국채 파생 상품에 관한 옵션{즉, 기초 채권 파생 상품 계약에 들어갈(enter) 권리를 소유자에게 부여하지만 의무는 부과하지 않는 옵션}에 대한 데이터를 이용하여 계산된 하나 이상의 변동성 지수들을 생성 및 유포하고, 변동성에 관한 하나 이상의 지수들에 기초한 파생 상품들의 전자 생성 및 거래를 촉진하기 위한 기법들이 제공된다.In some embodiments, calculations are made using data on options on government bond derivatives such as futures and forwards {i.e. , options that give owners the right to enter the underlying bond derivatives contract but do not impose obligations) Techniques are provided for creating and disseminating one or more volatility indices, and for facilitating electronic creation and trading of derivatives based on one or more indices of volatility.
본 발명의 추가적인 특징들 및 장점들은 아래의 설명에서 제시될 것인바, 그 일부는 그 설명으로부터 분명할 것이며, 또는 본 발명의 실시에 의해 습득(learned)될 수 있다. 본 발명의 목적들 및 장점들은 기술된 설명, 및 본원의 특허청구범위, 및 첨부된 도면들에서 특히 지적되는 방법에 의해 실현 및 획득될 것이다.Additional features and advantages of the invention will be set forth in the description that follows, some of which will be apparent from the description, or may be learned by practice of the invention. The objects and advantages of the present invention will be realized and attained by means of the method particularly pointed out in the written description, the claims herein, and the appended drawings.
폭넓게 설명되고 구현되는 바와 같이, 이 장점들 및 다른 장점들을 달성하기 위하여, 그리고 본 발명의 목적에 따라, 본 발명에는 국채 변동성 지수를 계산하기 위한 컴퓨터 시스템이 제공되는바, 그 컴퓨터 시스템은, 적어도 하나의 프로그램을 저장하도록 구성된 메모리; 및 상기 메모리에 통신상으로 연결(communicatively coupled)된 적어도 하나의 프로세서;를 포함하고, 상기 적어도 하나의 프로그램은, 상기 적어도 하나의 프로세서에 의해 실행되는 때에 상기 적어도 하나의 프로세서로 하여금, 국채 파생 상품들에 대한 옵션들에 관한 데이터를 수신하며; 상기 국채 파생 상품들에 대한 옵션들에 관한 데이터를 이용하여 상기 국채 변동성 지수를 계산하고; 상기 국채 변동성 지수에 관한 데이터를 송신하도록; 한다.To achieve these and other advantages, as broadly described and embodied, and in accordance with the purposes of the present invention, there is provided a computer system for calculating a government bond volatility index, the computer system comprising at least a memory configured to store one program; and at least one processor communicatively coupled to the memory, wherein the at least one program, when executed by the at least one processor, causes the at least one processor to: receive data regarding options for ; calculate the government bond volatility index using data regarding options for the government bond derivatives; to transmit data relating to the Treasury Volatility Index; do.
몇몇 실시례에서, 상기 국채 파생 상품들에 대한 옵션들에 관한 데이터는 국채 파생 상품들에 대한 옵션들의 가격에 관한 데이터를 포함한다.In some embodiments, the data regarding options on government bond derivatives includes data regarding prices of options on government bond derivatives.
일 실시례에서, 상기 국채 파생 상품들에 대한 옵션들의 가격에 관한 데이터는 국채 선물들 또는 국채 선도들에 대한 옵션들의 가격에 관한 데이터를 포함한다.In one embodiment, the data regarding the price of options on Treasury derivatives comprises data regarding the price of options on Treasury futures or Treasury futures.
다른 일 실시례에서, 상기 국채 파생 상품들에 대한 옵션들의 가격에 관한 데이터는 국채 선도들에 대한 유럽형 옵션들의 가격들에 관한 데이터를 포함한다.In another embodiment, the data relating to prices of options on government bond derivatives includes data relating to prices of European options on government bond forwards.
몇몇 실시례에서, 상기 국채 파생 상품들에 대한 옵션들의 가격에 관한 데이터는 국채 선도들에 대한 유럽형이 아닌 옵션들인 옵션들의 가격에 관한 데이터를 포함한다.In some embodiments, the data regarding the price of options on Treasury derivatives includes data regarding the price of options that are non-European options on Treasury forwards.
몇몇 실시례에서는, 상기 국채 파생 상품들에 대한 옵션들의 가격에 관한 데이터가, 국채 선도들에 대한 유럽형이 아닌 옵션들인 옵션들의 가격에 관한 데이터를 포함하는 때에, 상기 국채 선도들에 대한 유럽형이 아닌 옵션들인 옵션들의 가격에 관한 데이터를 국채 선도들에 대한 유럽형 옵션들의 가격들에 관한 데이터로 변환한다.In some embodiments, when the data regarding the price of options for Treasury derivatives includes data regarding the price of options that are non-European options for Treasury futures, the non-European Transform data on prices of options that are options into data on prices of European options on government bond forwards.
몇몇 실시례에서, 상기 국채 변동성 지수를 계산함은, 상기 국채 파생 상품들에 대한 분산 스왑 계약(variance swap contract)의 모델-독립적 가격 결정(model-independent pricing)에 요구되는 상기 국채 파생 상품들에 대한 옵션들의 바스켓(basket)을 평가(valuing)함을 포함한다.In some embodiments, calculating the Treasury Volatility Index is for the Treasury derivatives required for model-independent pricing of a variance swap contract for the Treasury derivatives. It involves valuing a basket of options.
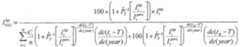
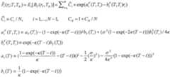
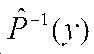
몇몇 실시례에서, 시점 t에서의 상기 국채 변동성 지수는 식:In some embodiments, the Treasury Volatility Index at time t is:
에 따라 계산되며:It is calculated according to:
t는 상기 국채 변동성 지수가 계산되는 시점을 지칭하며;t refers to the time point at which the Treasury Volatility Index is calculated;
T는 상기 국채 파생 상품들에 대한 옵션들의 만기시를 지칭하며;T refers to the expiration of options on the Treasury derivatives;
TD≥T인 TD는 상기 옵션들의 기초가 되는 국채 파생 상품들의 만기시를 지칭하며;The TD ≥T TD refers to the Treasury at maturity of the underlying derivatives of the option;
TN은 국채들의 만기시를 지칭하며;TN refers to the maturity of government bonds;
Z+1은 지수 계산에 이용되는 옵션들의 총수를 지칭하며;Z+1 refers to the total number of options used in the index calculation;
K0는 Z+1개 옵션들의 최저 행사가격(lowest strike)을 지칭하며;K0 refers to the lowest strike of the Z+1 options;
Ki는 Z+1개 옵션들의 i번째로 높은 행사가격을 지칭하며;Ki refers to the i-th highest strike price of Z+1 options;
KZ는 Z+1개 옵션들의 최고 행사가격을 지칭하며;KZ refers to the highest strike price of Z+1 options;
i≥1에 대해이고,이며;for i≥1 ego, is;
시점 t에 가격이 관찰가능하다면, Ft(TD, TN)는 풋 옵션 및 콜 옵션의 기초가 되는 국채 파생 상품 계약의 시점 t에서의 가격이며, 상기 국채 파생 상품 계약은 TD에 만기되고, 그 기초 국채는 TN에 만기되며;If the price is observable at time t, then Ft (TD , TN ) is the price at time t of the Treasury derivative contract underlying the put and call options, which contract expiresat T D and the underlying Treasury bonds maturing atT N ;
시점 t에 가격이 관찰가능하지 않다면, Ft(TD, TN)는 풋 가격과 콜 가격 사이의 차이가 최소가 되는 행사가격이며;If the price is not observable at time t, then Ft (TD , TN ) is the strike price at which the difference between the put price and the call price is minimal;
Ft(TD, TN)에서 행사된 옵션이 존재한다면, K*는 Ft(TD, TN)와 같으며;If there is an option exercised at Ft (TD , TN), then K * is equal toF t (TD , TN );
Ft(TD, TN)에서 행사된 옵션이 존재하지 않는다면, K*는 Ft(TD, TN) 미만의 최초로 가용한 행사가격이며;If there are no options exercised at Ft (TD , TN), then K * is the first available strike belowF t (TD , TN );
Pt(T)는 T에 만기되는 무이표부 부도불가능 국채(zero-coupon non-defaultable bond)의 시점 t에서의 가격이며;Pt (T) is the price at time t of a zero-coupon non-defaultable bond maturing at T;
Putt(Ki, T, TD, TN)은 Ki에서 행사된 T에 만기되는 풋 옵션의 시점 t에서의 가격이며, 그 풋 옵션은 TD에 만기되는 기초 국채 파생 상품을 가지고, 그 기초 국채는 TN에 만기되며;Putt (Ki , T, TD , TN ) is the price at time t of a put option that expires at T exercisedat K i , the put option has an underlying government bond derivative that expiresat T D , The underlying government bonds are due atT N ;
Callt(Ki, T, TD, TN)은 Ki에서 행사된 T에 만기되는 콜 옵션의 시점 t에서의 가격이며, 그 콜 옵션은 TD에 만기되는 기초 국채 파생 상품을 가지고, 그 기초 국채는 TN에 만기되고;Callt (Ki , T, TD , TN ) is the price at time t of a call option that expires at T exercisedat K i , the call option has an underlying government bond derivative that expiresat T D , The underlying government bonds are due atT N ;
GB-VI(t, T, TD, TN)는, TN에 만기되는 기초 국채를 가지고 TD에 만기되는 국채 파생 상품들에 대한 T에 만기되는 옵션들에 기초하여 계산된, 시점 t에서의 국채 변동성 지수의 값이다.GB-VI(t, T, TD , TN ) is calculated based on options maturing at T for government bond derivatives maturing atT D and with the underlying Treasury due atT N , at time t is the value of the Treasury Volatility Index at
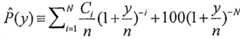
몇몇 실시례에서, 시점 t에서의 상기 국채 변동성 지수는 식:In some embodiments, the Treasury Volatility Index at time t is:
에 따라 계산되며:It is calculated according to:
t는 상기 국채 변동성 지수가 계산되는 시점을 지칭하며;t refers to the time point at which the Treasury Volatility Index is calculated;
T는 상기 국채 파생 상품들에 대한 옵션들의 만기시를 지칭하며;T refers to the expiration of options on the Treasury derivatives;
TD≥T인 TD는 상기 옵션들의 기초가 되는 국채 파생 상품들의 만기시를 지칭하며;The TD ≥T TD refers to the Treasury at maturity of the underlying derivatives of the option;
TN은 국채들의 만기시를 지칭하며;TN refers to the maturity of government bonds;
Z+1은 지수 계산에 이용되는 옵션들의 총수를 지칭하며;Z+1 refers to the total number of options used in the index calculation;
K0는 Z+1개 옵션들의 최저 행사가격을 지칭하며;K0 refers to the lowest strike price of Z+1 options;
Ki는 Z+1개 옵션들의 i번째로 높은 행사가격을 지칭하며;Ki refers to the i-th highest strike price of Z+1 options;
KZ는 Z+1개 옵션들의 최고 행사가격을 지칭하며;KZ refers to the highest strike price of Z+1 options;
i≥1에 대해이고,이며;for i≥1 ego, is;
시점 t에 가격이 관찰가능하다면, Ft(TD, TN)는 풋 옵션 및 콜 옵션의 기초가 되는 국채 파생 상품 계약의 시점 t에서의 가격이며, 상기 국채 파생 상품 계약은 TD에 만기되고, 그 기초 국채는 TN에 만기되며;If the price is observable at time t, then Ft (TD , TN ) is the price at time t of the Treasury derivative contract underlying the put and call options, which contract expiresat T D and the underlying Treasury bonds maturing atT N ;
시점 t에 가격이 관찰가능하지 않다면, Ft(TD, TN)는 풋 가격과 콜 가격 사이의 차이가 최소가 되는 행사가격이며;If the price is not observable at time t, then Ft (TD , TN ) is the strike price at which the difference between the put price and the call price is minimal;
Ft(TD, TN)에서 행사된 옵션이 존재한다면, K*는 Ft(TD, TN)와 같으며;If there is an option exercised at Ft (TD , TN), then K * is equal toF t (TD , TN );
Ft(TD, TN)에서 행사된 옵션이 존재하지 않는다면, K*는 Ft(TD, TN) 미만의 최초로 가용한 행사가격이며;If there are no options exercised at Ft (TD , TN), then K * is the first available strike belowF t (TD , TN );
Pt(T)는 T에 만기되는 무이표부 부도불가능 국채의 시점 t에서의 가격이며;Pt (T) is the price at time t of the coupon-free non-default Treasury note maturing at T;
Putt(Ki, T, TD, TN)은 Ki에서 행사된 T에 만기되는 풋 옵션의 시점 t에서의 가격이며, 그 풋 옵션은 TD에 만기되는 기초 국채 파생 상품을 가지고, 그 기초 국채는 TN에 만기되며;Putt (Ki , T, TD , TN ) is the price at time t of a put option that expires at T exercisedat K i , the put option has an underlying government bond derivative that expiresat T D , The underlying government bonds are due atT N ;
Callt(Ki, T, TD, TN)은 Ki에서 행사된 T에 만기되는 콜 옵션의 시점 t에서의 가격이며, 그 콜 옵션은 TD에 만기되는 기초 국채 파생 상품을 가지고, 그 기초 국채는 TN에 만기되고;Callt (Ki , T, TD , TN ) is the price at time t of a call option that expires at T exercisedat K i , the call option has an underlying government bond derivative that expiresat T D , The underlying government bonds are due atT N ;
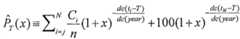
GB-VIbp(t, T, TD, TN)는, TN에 만기되는 기초 국채를 가지고 TD에 만기되는 국채 파생 상품들에 대한 T에 만기되는 옵션들에 기초하여 계산된, 시점 t에서의 국채 변동성 지수의 값이다.GB-VIbp (t, T, TD , TN ) is a point in time, calculated based on options maturing at T for Treasury derivatives maturing atT D with the underlying Treasury atT N It is the value of the Treasury Volatility Index at t.
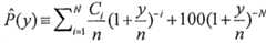
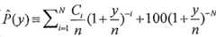
몇몇 실시례에서, 시점 T에 미지급 이표들(accrued coupons)이 없을 때, 시점 t에서의 상기 국채 변동성 지수는 식:In some embodiments, when there are no accrued coupons at time t, the Treasury Volatility Index at time t is:
에 따라 계산되며,is calculated according to
이고;ego;
시점 tj의 다음 이표 지급 기일(next coupon due)을 가지는 미지급 이표들이 시점 T에 있을 때, 시점 t에서의 상기 국채 변동성 지수는 식:When there are outstanding coupons at time T with the next coupon due at time tj , the Treasury Volatility Index at time t is given by the equation:
에 따라 계산되며,is calculated according to
이며,is,
이고,ego,
이고:ego:
t는 상기 국채 변동성 지수가 계산되는 시점을 지칭하며;t refers to the time point at which the Treasury Volatility Index is calculated;
T는 상기 국채 파생 상품들에 대한 옵션들의 만기시를 지칭하며;T refers to the expiration of options on the Treasury derivatives;
tj는 T에서의 또는 T 후의 최초 이표 지급시(first coupon payment)이며;tj is the first coupon payment at or after T;
TD≥T인 TD는 상기 옵션들의 기초가 되는 국채 파생 상품들의 만기시를 지칭하며;The TD ≥T TD refers to the Treasury at maturity of the underlying derivatives of the option;
TN은 국채들의 만기시를 지칭하며;TN refers to the maturity of government bonds;
Z+1은 지수 계산에 이용되는 옵션들의 총수를 지칭하며;Z+1 refers to the total number of options used in the index calculation;
K0는 Z+1개 옵션들의 최저 행사가격을 지칭하며;K0 refers to the lowest strike price of Z+1 options;
Ki는 Z+1개 옵션들의 i번째로 높은 행사가격을 지칭하며;Ki refers to the i-th highest strike price of Z+1 options;
KZ는 Z+1개 옵션들의 최고 행사가격을 지칭하며;KZ refers to the highest strike price of Z+1 options;
i≥1에 대해이고,이며;for i≥1 ego, is;
시점 t에 가격이 관찰가능하다면, Ft(TD, TN)는 풋 옵션 및 콜 옵션의 기초가 되는 국채 파생 상품 계약의 시점 t에서의 가격이며, 상기 국채 파생 상품 계약은 TD에 만기되고, 그 기초 국채는 TN에 만기되며;If the price is observable at time t, then Ft (TD , TN ) is the price at time t of the Treasury derivative contract underlying the put and call options, which contract expiresat T D and the underlying Treasury bonds maturing atT N ;
시점 t에 가격이 관찰가능하지 않다면, Ft(TD, TN)는 풋 가격과 콜 가격 사이의 차이가 최소가 되는 행사가격이며;If the price is not observable at time t, then Ft (TD , TN ) is the strike price at which the difference between the put price and the call price is minimal;
Ft(TD, TN)에서 행사된 옵션이 존재한다면, K*는 Ft(TD, TN)와 같으며;If there is an option exercised at Ft (TD , TN), then K * is equal toF t (TD , TN );
Ft(TD, TN)에서 행사된 옵션이 존재하지 않는다면, K*는 Ft(TD, TN) 미만의 최초로 가용한 행사가격이며;If there are no options exercised at Ft (TD , TN), then K * is the first available strike belowF t (TD , TN );
Pt(T)는 T에 만기되는 무이표부 부도불가능 국채의 시점 t에서의 가격이며;Pt (T) is the price at time t of the coupon-free non-default Treasury note maturing at T;
Putt(Ki, T, TD, TN)은 Ki에서 행사된 T에 만기되는 풋 옵션의 시점 t에서의 가격이며, 그 풋 옵션은 TD에 만기되는 기초 국채 파생 상품을 가지고, 그 기초 국채는 TN에 만기되며;Putt (Ki , T, TD , TN ) is the price at time t of a put option that expires at T exercisedat K i , the put option has an underlying government bond derivative that expiresat T D , The underlying government bonds are due atT N ;
Callt(Ki, T, TD, TN)은 Ki에서 행사된 T에 만기되는 콜 옵션의 시점 t에서의 가격이며, 그 콜 옵션은 TD에 만기되는 기초 국채 파생 상품을 가지고, 그 기초 국채는 TN에 만기되고;Callt (Ki , T, TD , TN ) is the price at time t of a call option that expires at T exercisedat K i , the call option has an underlying government bond derivative that expiresat T D , The underlying government bonds are due atT N ;
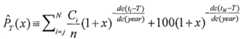
N은 국채의 이표 지급(coupon payments)의 총수를 지칭하며;N refers to the total number of coupon payments on the government bond;
Ci는 국채의 N개의 이표들 중에서 i번째 이표의 액수(amount)를 지칭하며;Ci refers to the amount of the i-th coupon among the N coupons of the government bond;
n은 국채의 연간 이표 지급의 빈도를 지칭하며;n refers to the frequency of annual coupon payments on government bonds;
y는 국채의 수익률(yield)을 지칭하며;y refers to the yield of government bonds;
x는 국채의 수익률을 지칭하며;x refers to the yield on government bonds;
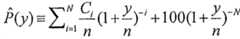
는 이표부(coupon-bearing) 국채의 채권 수익률에 대응되는 국채 가격이며;is the bond price corresponding to the bond yield on coupon-bearing government bonds;
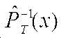
는의 역함수이며;Is is the inverse function of ;
는 이표부 국채의 채권 수익률에 대응되는 시점 T에서의 국채 가격이며;is the price of the government bond at time T, which corresponds to the bond yield of the coupon-bearing government bond;
는의 역함수이며;Is is the inverse function of ;
dc(year)는 상기 국채에 대하여 이용되는 일수 계산 방법(day count convention)에 기초한 일 년의 일수(number of days)이며;dc(year) is the number of days in a year based on the day count convention used for the Treasury bond;
dc(T-t)는 상기 국채에 대하여 이용되는 일수 계산 방법에 기초한 t와 T 사이의 일수이며;dc(T-t) is the number of days between t and T based on the number of days calculation method used for the government bond;
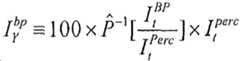
는 TN에 만기되는 기초 국채를 가지고 TD에 만기되는 국채 파생 상품들에 대한 T에 만기되는 옵션들에 기초하여 계산된, 시점 t에서의 베이시스 포인트 수익률 변동성의 측면에서의 상기 국채 변동성 지수의 값이며;is the Treasury Volatility Index in terms of the basis point yield volatility at time t, calculated based on options maturing at T for Treasury derivatives maturing at TN and with an underlying Treasury note due at TD . value;
GB-VIbp(t, T, TD, TN)는 TN에 만기되는 기초 국채를 가지고 TD에 만기되는 국채 파생 상품들에 대한 T에 만기되는 옵션들에 기초하여 계산된, 시점 t에서의 베이시스 포인트 가격 변동성의 측면에서의 상기 국채 변동성 지수의 값이고;GB-VIbp (t, T, TD , TN ) is the time t, calculated based on options maturing at T for government bond derivatives maturing atT D and with the underlying Treasury due atT N is the value of the Treasury Volatility Index in terms of basis point price volatility at ;
GB-VI(t, T, TD, TN)는, TN에 만기되는 기초 국채를 가지고 TD에 만기되는 국채 파생 상품들에 대한 T에 만기되는 옵션들에 기초하여 계산된, 시점 t에서의 퍼센티지 가격 변동성의 측면에서의 상기 국채 변동성 지수의 값이다.GB-VI(t, T, TD , TN ) is calculated based on options maturing at T for government bond derivatives maturing atT D and with the underlying Treasury due atT N , at time t is the value of the Treasury Volatility Index in terms of percentage price volatility in
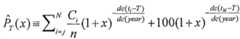
몇몇 실시례에서, 시점 t에서의 상기 국채 변동성 지수는 식:In some embodiments, the Treasury Volatility Index at time t is:
에 따라 계산되며,is calculated according to
이며,is,
이며,is,
이고:ego:
t는 상기 국채 변동성 지수가 계산되는 시점을 지칭하며;t refers to the time point at which the Treasury Volatility Index is calculated;
T는 상기 국채 파생 상품들에 대한 옵션들의 만기시를 지칭하며;T refers to the expiration of options on the Treasury derivatives;
TD≥T인 TD는 상기 옵션들의 기초가 되는 국채 파생 상품들의 만기시를 지칭하며;The TD ≥T TD refers to the Treasury at maturity of the underlying derivatives of the option;
TN은 국채들의 만기시를 지칭하며;TN refers to the maturity of government bonds;
Z+1은 지수 계산에 이용되는 옵션들의 총수를 지칭하며;Z+1 refers to the total number of options used in the index calculation;
K0는 Z+1개 옵션들의 최저 행사가격을 지칭하며;K0 refers to the lowest strike price of Z+1 options;
Ki는 Z+1개 옵션들의 i번째로 높은 행사가격을 지칭하며;Ki refers to the i-th highest strike price of Z+1 options;
KZ는 Z+1개 옵션들의 최고 행사가격을 지칭하며;KZ refers to the highest strike price of Z+1 options;
i≥1에 대해이고,이며;for i≥1 ego, is;
시점 t에 가격이 관찰가능하다면, Ft(TD, TN)는 풋 옵션 및 콜 옵션의 기초가 되는 국채 파생 상품 계약의 시점 t에서의 가격이며, 상기 국채 파생 상퓸 계약은 TD에 만기되고, 그 기초 국채는 TN에 만기되며;If the price is observable at time t, then Ft (TD , TN ) is the price at time t of the Treasury derivative contract underlying the put option and the call option, which contract expiresat T D . and the underlying Treasury bonds maturing atT N ;
시점 t에 가격이 관찰가능하지 않다면, Ft(TD, TN)는 풋 가격과 콜 가격 사이의 차이가 최소가 되는 행사가격이며;If the price is not observable at time t, then Ft (TD , TN ) is the strike price at which the difference between the put price and the call price is minimal;
Ft(TD, TN)에서 행사된 옵션이 존재한다면, K*는 Ft(TD, TN)와 같으며;If there is an option exercised at Ft (TD , TN), then K * is equal toF t (TD , TN );
Ft(TD, TN)에서 행사된 옵션이 존재하지 않는다면, K*는 Ft(TD, TN) 미만의 최초로 가용한 행사가격이며;If there are no options exercised at Ft (TD , TN), then K * is the first available strike belowF t (TD , TN );
Pt(T)는 T에 만기되는 무이표부 부도불가능 국채의 시점 t에서의 가격이며;Pt (T) is the price at time t of the coupon-free non-default Treasury note maturing at T;
Putt(Ki, T, TD, TN)은 Ki에서 행사된 T에 만기되는 풋 옵션의 시점 t에서의 가격이며, 그 풋 옵션은 TD에 만기되는 기초 국채 파생 상품을 가지고, 그 기초 국채는 TN에 만기되며;Putt (Ki , T, TD , TN ) is the price at time t of a put option that expires at T exercisedat K i , the put option has an underlying government bond derivative that expiresat T D , The underlying government bonds are due atT N ;
Callt(Ki, T, TD, TN)은 Ki에서 행사된 T에 만기되는 콜 옵션의 시점 t에서의 가격이며, 그 콜 옵션은 TD에 만기되는 기초 국채 파생 상품을 가지고, 그 기초 국채는 TN에 만기되고;Callt (Ki , T, TD , TN ) is the price at time t of a call option that expires at T exercisedat K i , the call option has an underlying government bond derivative that expiresat T D , The underlying government bonds are due atT N ;
N은 국채의 이표 지급의 총수를 지칭하며;N refers to the total number of coupon payments on government bonds;
Ci는 국채의 N개의 이표들 중에서 i번째 이표의 액수를 지칭하며;Ci refers to the amount of the i-th coupon among the N coupons of the government bond;
n은 국채의 연간 이표 지급의 빈도를 지칭하며;n refers to the frequency of annual coupon payments on government bonds;
x는 국채의 수익률을 지칭하며;x refers to the yield on government bonds;
는 이표부 국채의 채권 수익률에 대응되는 국채 가격이며;is the price of the government bond corresponding to the bond yield of the coupon-bearing government bond;
는의 역함수이며;Is is the inverse function of ;
dc(year)는 상기 국채에 대하여 이용되는 일수 계산 방법에 기초한 일 년의 일수이며;dc(year) is the number of days in a year based on the number of days calculation method used for the government bond;
dc(T-t)는 상기 국채에 대하여 이용되는 일수 계산 방법에 기초한 t와 T 사이의 일수이며;dc(T-t) is the number of days between t and T based on the number of days calculation method used for the government bond;
tj는 T에서의 또는 T 후의 최초 이표 지급시이며;tj is the first coupon payment at or after T;
는 TN에 만기되는 기초 국채를 가지고 TD에 만기되는 국채 파생 상품들에 대한 T에 만기되는 옵션들에 기초하여 계산된, 시점 t에서의 베이시스 포인트 수익률 변동성의 측면에서의 상기 국채 변동성 지수의 값이며;is the Treasury Volatility Index in terms of the basis point yield volatility at time t, calculated based on options maturing at T for Treasury derivatives maturing at TN and with an underlying Treasury note due at TD . value;
GB-VIbp(t, T, TD, TN)는 TN에 만기되는 기초 국채를 가지고 TD에 만기되는 국채 파생 상품들에 대한 T에 만기되는 옵션들에 기초하여 계산된, 시점 t에서의 베이시스 포인트 가격 변동성의 측면에서의 상기 국채 변동성 지수의 값이고;GB-VIbp (t, T, TD , TN ) is the time t, calculated based on options maturing at T for Treasury derivatives maturing atT D and with the underlying Treasury due atT N is the value of the Treasury Volatility Index in terms of basis point price volatility at ;
GB-VI(t, T, TD, TN)는, TN에 만기되는 기초 국채를 가지고 TD에 만기되는 국채 파생 상품들에 대한 T에 만기되는 옵션들에 기초하여 계산된, 시점 t에서의 퍼센티지 가격 변동성의 측면에서의 상기 국채 변동성 지수의 값이다.GB-VI(t, T, TD , TN ) is calculated based on options maturing at T for government bond derivatives maturing atT D and with the underlying Treasury due atT N , at time t is the value of the Treasury Volatility Index in terms of percentage price volatility in
몇몇 실시례에서, 추가로 상기 적어도 하나의 프로세서는, 상기 국채 변동성 지수에 기초하여, 거래소에서 거래되는 표준화된 파생 상품 증서(standardized exchange-traded derivative instrument)를 생성하고; 상기 거래소에서 거래되는 표준화된 파생 상품에 관한 데이터를 송신하게 된다.In some embodiments, the at least one processor is further configured to: generate, based on the government bond volatility index, a standardized exchange-traded derivative instrument; Data on standardized derivatives traded on the exchange is transmitted.
몇몇 실시례에서, 상기 거래소에서 거래되는 표준화된 파생 상품 증서에 관한 데이터를 송신함은, 상기 거래소에서 거래되는 표준화된 파생 상품 증서의 거래 가격(trade price), 결제 가격(settlement price), 입찰 가격(bid price), 또는 오퍼 가격(offer price) 중 하나 이상에 관한 데이터를 송신함을 포함한다.In some embodiments, transmitting the data regarding the standardized derivative instrument traded on the exchange includes a trade price, a settlement price, and a bid price of the standardized derivative instrument traded on the exchange. and sending data regarding one or more of a bid price, or an offer price.
다른 일 실시례에서, 컴퓨터로 실행가능한 지시들이 기록된 비일시적 컴퓨터 판독 가능 스토리지 매체는, 컴퓨터 상에서 실행되는 때에 상기 컴퓨터로 하여금 국채 변동성 지수를 계산하는 방법을 수행하도록 구성하며, 상기 방법은, 국채 파생 상품들에 대한 옵션들에 관한 데이터를 수신함;In another embodiment, a non-transitory computer-readable storage medium having computer-executable instructions recorded thereon, when executed on a computer, configures the computer to perform a method of calculating a government bond volatility index, the method comprising: receiving data regarding options for derivatives;
상기 국채 파생 상품들에 대한 옵션들에 관한 데이터를 이용하여 상기 국채 변동성 지수를 계산함; 및calculating the Treasury Volatility Index using data regarding options for the Treasury derivatives; and
상기 국채 변동성 지수에 관한 데이터를 송신함;을 포함한다.and transmitting data on the government bond volatility index.
상기 비일시적 컴퓨터 판독 가능 스토리지 매체의 몇몇 실시례에서, 상기 국채 파생 상품들에 대한 옵션들에 관한 데이터는 국채 파생 상품들에 대한 옵션들의 가격에 관한 데이터를 포함한다.In some embodiments of the non-transitory computer-readable storage medium, the data relating to options on government bond derivatives comprises data relating to prices of options on government bond derivatives.
상기 비일시적 컴퓨터 판독 가능 스토리지 매체의 몇몇 실시례에서, 상기 국채 파생 상품들에 대한 옵션들의 가격에 관한 데이터는 국채 선물들 또는 국채 선도들에 대한 옵션들의 가격에 관한 데이터를 포함한다.In some embodiments of the non-transitory computer-readable storage medium, the data relating to the price of options for Treasury derivatives comprises data relating to the price of options for Treasury futures or Treasury futures.
상기 비일시적 컴퓨터 판독 가능 스토리지 매체의 몇몇 실시례에서, 상기 국채 파생 상품들에 대한 옵션들의 가격에 관한 데이터는 국채 선도들에 대한 유럽형 옵션들의 가격들에 관한 데이터를 포함한다.In some embodiments of the non-transitory computer-readable storage medium, the data relating to prices of options on government bond derivatives comprises data relating to prices of European options on government bond forwards.
상기 비일시적 컴퓨터 판독 가능 스토리지 매체의 몇몇 실시례에서, 상기 국채 파생 상품들에 대한 옵션들의 가격에 관한 데이터는 국채 선도들에 대한 유럽형이 아닌 옵션들인 옵션들의 가격에 관한 데이터를 포함한다.In some embodiments of the non-transitory computer-readable storage medium, the data relating to the price of options on government bond derivatives comprises data relating to the price of options that are non-European options on government bond forwards.
상기 비일시적 컴퓨터 판독 가능 스토리지 매체의 몇몇 실시례에서는, 상기 국채 파생 상품들에 대한 옵션들의 가격에 관한 데이터가 국채 선도들에 대한 유럽형이 아닌 옵션들인 옵션들의 가격에 관한 데이터를 포함하는 때에, 상기 국채 선도들에 대한 유럽형이 아닌 옵션들인 옵션들의 가격에 관한 데이터를 국채 선도들에 대한 유럽형 옵션들의 가격들에 관한 데이터로 변환한다In some embodiments of the non-transitory computer-readable storage medium, when the data relating to the price of options on government bond derivatives comprises data relating to the price of options that are non-European options on government bond forwards, the Convert data on the prices of options that are non-European options on government bond forwards into data on prices of European options on government bond forwards
상기 비일시적 컴퓨터 판독 가능 스토리지 매체의 몇몇 실시례에서, 상기 국채 변동성 지수를 계산함은, 상기 국채 파생 상품들에 대한 분산 스왑 계약의 모델-독립적 가격 결정에 요구되는 상기 국채 파생 상품들에 대한 옵션들의 바스켓을 평가함을 포함한다.In some embodiments of the non-transitory computer-readable storage medium, calculating the Treasury Volatility Index is an option for the Treasury derivatives required for model-independent pricing of a distributed swap contract for the Treasury derivatives. including evaluating their baskets.
상기 비일시적 컴퓨터 판독 가능 스토리지 매체의 몇몇 실시례에서, 시점 t에서의 상기 국채 변동성 지수는 식:In some embodiments of the non-transitory computer-readable storage medium, the Treasury Volatility Index at time t is:
에 따라 계산되며:It is calculated according to:
t는 상기 국채 변동성 지수가 계산되는 시점을 지칭하며;t refers to the time point at which the Treasury Volatility Index is calculated;
T는 상기 국채 파생 상품들에 대한 옵션들의 만기시를 지칭하며;T refers to the expiration of options on the Treasury derivatives;
TD≥T인 TD는 상기 옵션들의 기초가 되는 국채 파생 상품들의 만기시를 지칭하며;The TD ≥T TD refers to the Treasury at maturity of the underlying derivatives of the option;
TN은 국채들의 만기시를 지칭하며;TN refers to the maturity of government bonds;
Z+1은 지수 계산에 이용되는 옵션들의 총수를 지칭하며;Z+1 refers to the total number of options used in the index calculation;
K0는 Z+1개 옵션들의 최저 행사가격(lowest strike)을 지칭하며;K0 refers to the lowest strike of the Z+1 options;
Ki는 Z+1개 옵션들의 i번째로 높은 행사가격을 지칭하며;Ki refers to the i-th highest strike price of Z+1 options;
KZ는 Z+1개 옵션들의 최고 행사가격을 지칭하며;KZ refers to the highest strike price of Z+1 options;
i≥1에 대해이고,이며;for i≥1 ego, is;
시점 t에 가격이 관찰가능하다면, Ft(TD, TN)는 풋 옵션 및 콜 옵션의 기초가 되는 국채 파생 상품 계약의 시점 t에서의 가격이며, 상기 국채 파생 상품 계약은 TD에 만기되고, 그 기초 국채는 TN에 만기되며;If the price is observable at time t, then Ft (TD , TN ) is the price at time t of the Treasury derivative contract underlying the put and call options, which contract expiresat T D and the underlying Treasury bonds maturing atT N ;
시점 t에 가격이 관찰가능하지 않다면, Ft(TD, TN)는 풋 가격과 콜 가격 사이의 차이가 최소가 되는 행사가격이며;If the price is not observable at time t, then Ft (TD , TN ) is the strike price at which the difference between the put price and the call price is minimal;
Ft(TD, TN)에서 행사된 옵션이 존재한다면, K*는 Ft(TD, TN)와 같으며;If there is an option exercised at Ft (TD , TN), then K * is equal toF t (TD , TN );
Ft(TD, TN)에서 행사된 옵션이 존재하지 않는다면, K*는 Ft(TD, TN) 미만의 최초로 가용한 행사가격이며;If there are no options exercised at Ft (TD , TN), then K * is the first available strike belowF t (TD , TN );
Pt(T)는 T에 만기되는 무이표부 부도불가능 국채(zero-coupon non-defaultable bond)의 시점 t에서의 가격이며;Pt (T) is the price at time t of a zero-coupon non-defaultable bond maturing at T;
Putt(Ki, T, TD, TN)은 Ki에서 행사된 T에 만기되는 풋 옵션의 시점 t에서의 가격이며, 그 풋 옵션은 TD에 만기되는 기초 국채 파생 상품을 가지고, 그 기초 국채는 TN에 만기되며;Putt (Ki , T, TD , TN ) is the price at time t of a put option that expires at T exercisedat K i , the put option has an underlying government bond derivative that expiresat T D , The underlying government bonds are due atT N ;
Callt(Ki, T, TD, TN)은 Ki에서 행사된 T에 만기되는 콜 옵션의 시점 t에서의 가격이며, 그 콜 옵션은 TD에 만기되는 기초 국채 파생 상품을 가지고, 그 기초 국채는 TN에 만기되고;Callt (Ki , T, TD , TN ) is the price at time t of a call option that expires at T exercisedat K i , the call option has an underlying government bond derivative that expiresat T D , The underlying government bonds are due atT N ;
GB-VI(t, T, TD, TN)는, TN에 만기되는 기초 국채를 가지고 TD에 만기되는 국채 파생 상품들에 대한 T에 만기되는 옵션들에 기초하여 계산된, 시점 t에서의 국채 변동성 지수의 값이다.GB-VI(t, T, TD , TN ) is calculated based on options maturing at T for government bond derivatives maturing atT D with the underlying government bond due atT N , at time t is the value of the Treasury Volatility Index at
상기 비일시적 컴퓨터 판독 가능 스토리지 매체의 몇몇 실시례에서, 시점 t에서의 상기 국채 변동성 지수는 식:In some embodiments of the non-transitory computer-readable storage medium, the Treasury Volatility Index at time t is:
에 따라 계산되며:It is calculated according to:
t는 상기 국채 변동성 지수가 계산되는 시점을 지칭하며;t refers to the time point at which the Treasury Volatility Index is calculated;
T는 상기 국채 파생 상품들에 대한 옵션들의 만기시를 지칭하며;T refers to the expiration of options on the Treasury derivatives;
TD≥T인 TD는 상기 옵션들의 기초가 되는 국채 파생 상품들의 만기시를 지칭하며;The TD ≥T TD refers to the Treasury at maturity of the underlying derivatives of the option;
TN은 국채들의 만기시를 지칭하며;TN refers to the maturity of government bonds;
Z+1은 지수 계산에 이용되는 옵션들의 총수를 지칭하며;Z+1 refers to the total number of options used in the index calculation;
K0는 Z+1개 옵션들의 최저 행사가격을 지칭하며;K0 refers to the lowest strike price of Z+1 options;
Ki는 Z+1개 옵션들의 i번째로 높은 행사가격을 지칭하며;Ki refers to the i-th highest strike price of Z+1 options;
KZ는 Z+1개 옵션들의 최고 행사가격을 지칭하며;KZ refers to the highest strike price of Z+1 options;
i≥1에 대해이고,이며;for i≥1 ego, is;
시점 t에 가격이 관찰가능하다면, Ft(TD, TN)는 풋 옵션 및 콜 옵션의 기초가 되는 국채 파생 상품 계약의 시점 t에서의 가격이며, 상기 국채 파생 상품 계약은 TD에 만기되고, 그 기초 국채는 TN에 만기되며;If the price is observable at time t, then Ft (TD , TN ) is the price at time t of the Treasury derivative contract underlying the put and call options, which contract expiresat T D and the underlying Treasury bonds maturing atT N ;
시점 t에 가격이 관찰가능하지 않다면, Ft(TD, TN)는 풋 가격과 콜 가격 사이의 차이가 최소가 되는 행사가격이며;If the price is not observable at time t, then Ft (TD , TN ) is the strike price at which the difference between the put price and the call price is minimal;
Ft(TD, TN)에서 행사된 옵션이 존재한다면, K*는 Ft(TD, TN)와 같으며;If there is an option exercised at Ft (TD , TN), then K * is equal toF t (TD , TN );
Ft(TD, TN)에서 행사된 옵션이 존재하지 않는다면, K*는 Ft(TD, TN) 미만의 최초로 가용한 행사가격이며;If there are no options exercised at Ft (TD , TN), then K * is the first available strike belowF t (TD , TN );
Pt(T)는 T에 만기되는 무이표부 부도불가능 국채의 시점 t에서의 가격이며;Pt (T) is the price at time t of the coupon-free non-default Treasury note maturing at T;
Putt(Ki, T, TD, TN)은 Ki에서 행사된 T에 만기되는 풋 옵션의 시점 t에서의 가격이며, 그 풋 옵션은 TD에 만기되는 기초 국채 파생 상품을 가지고, 그 기초 국채는 TN에 만기되며;Putt (Ki , T, TD , TN ) is the price at time t of a put option that expires at T exercisedat K i , the put option has an underlying government bond derivative that expiresat T D , The underlying government bonds are due atT N ;
Callt(Ki, T, TD, TN)은 Ki에서 행사된 T에 만기되는 콜 옵션의 시점 t에서의 가격이며, 그 콜 옵션은 TD에 만기되는 기초 국채 파생 상품을 가지고, 그 기초 국채는 TN에 만기되고;Callt (Ki , T, TD , TN ) is the price at time t of a call option that expires at T exercisedat K i , the call option has an underlying government bond derivative that expiresat T D , The underlying government bonds are due atT N ;
GB-VIbp(t, T, TD, TN)는, TN에 만기되는 기초 국채를 가지고 TD에 만기되는 국채 파생 상품들에 대한 T에 만기되는 옵션들에 기초하여 계산된, 시점 t에서의 국채 변동성 지수의 값이다.GB-VIbp (t, T, TD , TN ) is a point in time, calculated based on options maturing at T for Treasury derivatives maturing atT D with the underlying Treasury atT N It is the value of the Treasury Volatility Index at t.
상기 비일시적 컴퓨터 판독 가능 스토리지 매체의 몇몇 실시례에서, 시점 T에 미지급 이표들(accrued coupons)이 없을 때, 시점 t에서의 상기 국채 변동성 지수는 식:In some embodiments of the non-transitory computer-readable storage medium, when there are no accrued coupons at time T, the Treasury bond volatility index at time t is:
에 따라 계산되며,is calculated according to
이고;ego;
시점 tj의 다음 이표 지급 기일(next coupon due)을 가지는 미지급 이표들이 시점 T에 있을 때, 시점 t에서의 상기 국채 변동성 지수는 식:When there are outstanding coupons at time T with the next coupon due at time tj , the Treasury Volatility Index at time t is given by the equation:
에 따라 계산되며,is calculated according to
이며,is,
이고,ego,
이고:ego:
t는 상기 국채 변동성 지수가 계산되는 시점을 지칭하며;t refers to the time point at which the Treasury Volatility Index is calculated;
T는 상기 국채 파생 상품들에 대한 옵션들의 만기시를 지칭하며;T refers to the expiration of options on the Treasury derivatives;
tj는 T에서의 또는 T 후의 최초 이표 지급시(first coupon payment)이며;tj is the first coupon payment at or after T;
TD≥T인 TD는 상기 옵션들의 기초가 되는 국채 파생 상품들의 만기시를 지칭하며;The TD ≥T TD refers to the Treasury at maturity of the underlying derivatives of the option;
TN은 국채들의 만기시를 지칭하며;TN refers to the maturity of government bonds;
Z+1은 지수 계산에 이용되는 옵션들의 총수를 지칭하며;Z+1 refers to the total number of options used in the index calculation;
K0는 Z+1개 옵션들의 최저 행사가격을 지칭하며;K0 refers to the lowest strike price of Z+1 options;
Ki는 Z+1개 옵션들의 i번째로 높은 행사가격을 지칭하며;Ki refers to the i-th highest strike price of Z+1 options;
KZ는 Z+1개 옵션들의 최고 행사가격을 지칭하며;KZ refers to the highest strike price of Z+1 options;
i≥1에 대해이고,이며;for i≥1 ego, is;
시점 t에 가격이 관찰가능하다면, Ft(TD, TN)는 풋 옵션 및 콜 옵션의 기초가 되는 국채 파생 상품 계약의 시점 t에서의 가격이며, 상기 국채 파생 상품 계약은 TD에 만기되고, 그 기초 국채는 TN에 만기되며;If the price is observable at time t, then Ft (TD , TN ) is the price at time t of the Treasury derivative contract underlying the put and call options, which contract expiresat T D and the underlying Treasury bonds maturing atT N ;
시점 t에 가격이 관찰가능하지 않다면, Ft(TD, TN)는 풋 가격과 콜 가격 사이의 차이가 최소가 되는 행사가격이며;If the price is not observable at time t, then Ft (TD , TN ) is the strike price at which the difference between the put price and the call price is minimal;
Ft(TD, TN)에서 행사된 옵션이 존재한다면, K*는 Ft(TD, TN)와 같으며;If there is an option exercised at Ft (TD , TN), then K * is equal toF t (TD , TN );
Ft(TD, TN)에서 행사된 옵션이 존재하지 않는다면, K*는 Ft(TD, TN) 미만의 최초로 가용한 행사가격이며;If there are no options exercised at Ft (TD , TN), then K * is the first available strike belowF t (TD , TN );
Pt(T)는 T에 만기되는 무이표부 부도불가능 국채의 시점 t에서의 가격이며;Pt (T) is the price at time t of the coupon-free non-default Treasury note maturing at T;
Putt(Ki, T, TD, TN)은 Ki에서 행사된 T에 만기되는 풋 옵션의 시점 t에서의 가격이며, 그 풋 옵션은 TD에 만기되는 기초 국채 파생 상품을 가지고, 그 기초 국채는 TN에 만기되며;Putt (Ki , T, TD , TN ) is the price at time t of a put option that expires at T exercisedat K i , the put option has an underlying government bond derivative that expiresat T D , The underlying government bonds are due atT N ;
Callt(Ki, T, TD, TN)은 Ki에서 행사된 T에 만기되는 콜 옵션의 시점 t에서의 가격이며, 그 콜 옵션은 TD에 만기되는 기초 국채 파생 상품을 가지고, 그 기초 국채는 TN에 만기되고;Callt (Ki , T, TD , TN ) is the price at time t of a call option that expires at T exercisedat K i , the call option has an underlying government bond derivative that expiresat T D , The underlying government bonds are due atT N ;
N은 국채의 이표 지급(coupon payments)의 총수를 지칭하며;N refers to the total number of coupon payments on the government bond;
Ci는 국채의 N개의 이표들 중에서 i번째 이표의 액수를 지칭하며;Ci refers to the amount of the i-th coupon among the N coupons of the government bond;
n은 국채의 연간 이표 지급의 빈도를 지칭하며;n refers to the frequency of annual coupon payments on government bonds;
y는 국채의 수익률(yield)을 지칭하며;y refers to the yield of government bonds;
x는 국채의 수익률을 지칭하며;x refers to the yield on government bonds;
는 이표부(coupon-bearing) 국채의 채권 수익률에 대응되는 국채 가격이며;is the bond price corresponding to the bond yield on coupon-bearing government bonds;
는의 역함수이며;Is is the inverse function of ;
는 이표부 국채의 채권 수익률에 대응되는 시점 T에서의 국채 가격이며;is the price of the government bond at time T, which corresponds to the bond yield of the coupon-bearing government bond;
는의 역함수이며;Is is the inverse function of ;
dc(year)는 상기 국채에 대하여 이용되는 일수 계산 방법(day count convention)에 기초한 일 년의 일수(number of days)이며;dc(year) is the number of days in a year based on the day count convention used for the Treasury bond;
dc(T-t)는 상기 국채에 대하여 이용되는 일수 계산 방법에 기초한 t와 T 사이의 일수이며;dc(T-t) is the number of days between t and T based on the number of days calculation method used for the government bond;
는 TN에 만기되는 기초 국채를 가지고 TD에 만기되는 국채 파생 상품들에 대한 T에 만기되는 옵션들에 기초하여 계산된, 시점 t에서의 베이시스 포인트 수익률 변동성의 측면에서의 상기 국채 변동성 지수의 값이며;is the Treasury Volatility Index in terms of the basis point yield volatility at time t, calculated based on options maturing at T for Treasury derivatives maturing at TN and with an underlying Treasury note due at TD . value;
GB-VIbp(t, T, TD, TN)는 TN에 만기되는 기초 국채를 가지고 TD에 만기되는 국채 파생 상품들에 대한 T에 만기되는 옵션들에 기초하여 계산된, 시점 t에서의 베이시스 포인트 가격 변동성의 측면에서의 상기 국채 변동성 지수의 값이고;GB-VIbp (t, T, TD , TN ) is the time t, calculated based on options maturing at T for government bond derivatives maturing atT D and with the underlying Treasury due atT N is the value of the Treasury Volatility Index in terms of basis point price volatility at ;
GB-VI(t, T, TD, TN)는, TN에 만기되는 기초 국채를 가지고 TD에 만기되는 국채 파생 상품들에 대한 T에 만기되는 옵션들에 기초하여 계산된, 시점 t에서의 퍼센티지 가격 변동성의 측면에서의 상기 국채 변동성 지수의 값이다.GB-VI(t, T, TD , TN ) is calculated based on options maturing at T for government bond derivatives maturing atT D and with the underlying Treasury due atT N , at time t is the value of the Treasury Volatility Index in terms of percentage price volatility in
상기 비일시적 컴퓨터 판독 가능 스토리지 매체의 몇몇 실시례에서, 시점 t에서의 상기 국채 변동성 지수는 식:In some embodiments of the non-transitory computer-readable storage medium, the Treasury Volatility Index at time t is:
에 따라 계산되며,is calculated according to
이며,is,
이며,is,
이고:ego:
t는 상기 국채 변동성 지수가 계산되는 시점을 지칭하며;t refers to the time point at which the Treasury Volatility Index is calculated;
T는 상기 국채 파생 상품들에 대한 옵션들의 만기시를 지칭하며;T refers to the expiration of options on the Treasury derivatives;
TD≥T인 TD는 상기 옵션들의 기초가 되는 국채 파생 상품들의 만기시를 지칭하며;The TD ≥T TD refers to the Treasury at maturity of the underlying derivatives of the option;
TN은 국채들의 만기시를 지칭하며;TN refers to the maturity of government bonds;
Z+1은 지수 계산에 이용되는 옵션들의 총수를 지칭하며;Z+1 refers to the total number of options used in the index calculation;
K0는 Z+1개 옵션들의 최저 행사가격을 지칭하며;K0 refers to the lowest strike price of Z+1 options;
Ki는 Z+1개 옵션들의 i번째로 높은 행사가격을 지칭하며;Ki refers to the i-th highest strike price of Z+1 options;
KZ는 Z+1개 옵션들의 최고 행사가격을 지칭하며;KZ refers to the highest strike price of Z+1 options;
i≥1에 대해이고,이며;for i≥1 ego, is;
시점 t에 가격이 관찰가능하다면, Ft(TD, TN)는 풋 옵션 및 콜 옵션의 기초가 되는 국채 파생 상품 계약의 시점 t에서의 가격이며, 상기 국채 파생 상품 계약은 TD에 만기되고, 그 기초 국채는 TN에 만기되며;If the price is observable at time t, then Ft (TD , TN ) is the price at time t of the Treasury derivative contract underlying the put and call options, which contract expiresat T D and the underlying Treasury bonds maturing atT N ;
시점 t에 가격이 관찰가능하지 않다면, Ft(TD, TN)는 풋 가격과 콜 가격 사이의 차이가 최소가 되는 행사가격이며;If the price is not observable at time t, then Ft (TD , TN ) is the strike price at which the difference between the put price and the call price is minimal;
Ft(TD, TN)에서 행사된 옵션이 존재한다면, K*는 Ft(TD, TN)와 같으며;If there is an option exercised at Ft (TD , TN), then K * is equal toF t (TD , TN );
Ft(TD, TN)에서 행사된 옵션이 존재하지 않는다면, K*는 Ft(TD, TN) 미만의 최초로 가용한 행사가격이며;If there are no options exercised at Ft (TD , TN), then K * is the first available strike belowF t (TD , TN );
Pt(T)는 T에 만기되는 무이표부 부도불가능 국채의 시점 t에서의 가격이며;Pt (T) is the price at time t of the coupon-free non-default Treasury note maturing at T;
Putt(Ki, T, TD, TN)은 Ki에서 행사된 T에 만기되는 풋 옵션의 시점 t에서의 가격이며, 그 풋 옵션은 TD에 만기되는 기초 국채 파생 상품을 가지고, 그 기초 국채는 TN에 만기되며;Putt (Ki , T, TD , TN ) is the price at time t of a put option that expires at T exercisedat K i , the put option has an underlying government bond derivative that expiresat T D , The underlying government bonds are due atT N ;
Callt(Ki, T, TD, TN)은 Ki에서 행사된 T에 만기되는 콜 옵션의 시점 t에서의 가격이며, 그 콜 옵션은 TD에 만기되는 기초 국채 파생 상품을 가지고, 그 기초 국채는 TN에 만기되고;Callt (Ki , T, TD , TN ) is the price at time t of a call option that expires at T exercisedat K i , the call option has an underlying government bond derivative that expiresat T D , The underlying government bonds are due atT N ;
N은 국채의 이표 지급의 총수를 지칭하며;N refers to the total number of coupon payments on government bonds;
Ci는 국채의 N개의 이표들 중에서 i번째 이표의 액수를 지칭하며;Ci refers to the amount of the i-th coupon among the N coupons of the government bond;
n은 국채의 연간 이표 지급의 빈도를 지칭하며;n refers to the frequency of annual coupon payments on government bonds;
x는 국채의 수익률을 지칭하며;x refers to the yield on government bonds;
는 이표부 국채의 채권 수익률에 대응되는 국채 가격이며;is the price of the government bond corresponding to the bond yield of the coupon-bearing government bond;
는의 역함수이며;Is is the inverse function of ;
dc(year)는 상기 국채에 대하여 이용되는 일수 계산 방법에 기초한 일 년의 일수이며;dc(year) is the number of days in a year based on the number of days calculation method used for the government bond;
dc(T-t)는 상기 국채에 대하여 이용되는 일수 계산 방법에 기초한 t와 T 사이의 일수이며;dc(T-t) is the number of days between t and T based on the number of days calculation method used for the government bond;
tj는 T에서의 또는 T 후의 최초 이표 지급시이며;tj is the first coupon payment at or after T;
는 TN에 만기되는 기초 국채를 가지고 TD에 만기되는 국채 파생 상품들에 대한 T에 만기되는 옵션들에 기초하여 계산된, 시점 t에서의 베이시스 포인트 수익률 변동성의 측면에서의 상기 국채 변동성 지수의 값이며;is the Treasury Volatility Index in terms of the basis point yield volatility at time t, calculated based on options maturing at T for Treasury derivatives maturing at TN and with an underlying Treasury note due at TD . value;
GB-VIbp(t, T, TD, TN)는 TN에 만기되는 기초 국채를 가지고 TD에 만기되는 국채 파생 상품들에 대한 T에 만기되는 옵션들에 기초하여 계산된, 시점 t에서의 베이시스 포인트 가격 변동성의 측면에서의 상기 국채 변동성 지수의 값이고;GB-VIbp (t, T, TD , TN ) is the time t, calculated based on options maturing at T for government bond derivatives maturing atT D and with the underlying Treasury due atT N is the value of the Treasury Volatility Index in terms of basis point price volatility at ;
GB-VI(t, T, TD, TN)는, TN에 만기되는 기초 국채를 가지고 TD에 만기되는 국채 파생 상품들에 대한 T에 만기되는 옵션들에 기초하여 계산된, 시점 t에서의 퍼센티지 가격 변동성의 측면에서의 상기 국채 변동성 지수의 값이다.GB-VI(t, T, TD , TN ) is calculated based on options maturing at T for government bond derivatives maturing atT D and with the underlying Treasury due atT N , at time t is the value of the Treasury Volatility Index in terms of percentage price volatility in
상기 비일시적 컴퓨터 판독 가능 스토리지 매체의 몇몇 실시례에서, 추가로 상기 적어도 하나의 프로세서는, 상기 국채 변동성 지수에 기초하여, 거래소에서 거래되는 표준화된 파생 상품 증서를 생성하고; 상기 거래소에서 거래되는 표준화된 파생 상품에 관한 데이터를 송신하게 된다.In some embodiments of the non-transitory computer-readable storage medium, the at least one processor is further configured to: generate, based on the Treasury Volatility Index, a standardized derivative instrument traded on an exchange; Data on standardized derivatives traded on the exchange is transmitted.
상기 비일시적 컴퓨터 판독 가능 스토리지 매체의 몇몇 실시례에서, 상기 거래소에서 거래되는 표준화된 파생 상품 증서에 관한 데이터를 송신함은, 상기 거래소에서 거래되는 표준화된 파생 상품 증서의 거래 가격, 결제 가격, 입찰 가격, 또는 오퍼 가격 중 하나 이상에 관한 데이터를 송신함을 포함한다.In some embodiments of the non-transitory computer-readable storage medium, transmitting the data relating to the standardized derivative instrument traded on the exchange includes: a transaction price, settlement price, bid of the standardized derivative instrument traded on the exchange. and transmitting data regarding one or more of a price or an offer price.
전술한 것은 본 발명의 비한정적인 개요인바, 그중 몇몇의 실시례는 첨부된 청구항들에 의해서 정의된다.The foregoing is a non-limiting overview of the invention, some embodiments of which are defined by the appended claims.
도 1은 금융 거래(financial exchange)의 컴퓨터화된 거래 시스템(computerized trading system)의 도면이며;
도 2는 금융 거래의 백엔드(back end) 거래 시스템의 도면이며;
도 3은 베이시스 포인트 GB 가격 변동성 지수를 계산하는 방법의 흐름도이며;
도 4는 퍼센티지 GB 가격 변동성 지수를 계산하는 방법의 흐름도이며;
도 5는 금융 거래 컴퓨터화 거래 시스템(financial exchanges computerized trading system)에 이용하기에 적합하도록, 맞춤화 및 특화된 컴퓨터 하드웨어 또는 소프트웨어를 통해 변경될 수 있는, 범용 컴퓨터 시스템의 도면이고;
도 6은 베이시스 포인트 GB 수익률 변동성 지수를 계산하는 방법의 흐름도이다.
도 7은 수정 듀레이션-기반 베이시스 포인트 GB 수익률(Modified Duration-Based Basis Point GB yield) 변동성 지수를 계산하는 방법의 흐름도이다.1 is a diagram of a computerized trading system of a financial exchange;
2 is a diagram of a back end trading system of a financial transaction;
3 is a flowchart of a method for calculating a basis point GB price volatility index;
4 is a flowchart of a method for calculating a Percentage GB Price Volatility Index;
FIG. 5 is a diagram of a general purpose computer system, which may be customized and modified through specialized computer hardware or software to be suitable for use in a financial exchanges computerized trading system;
6 is a flowchart of a method for calculating a basis point GB return volatility index.
7 is a flowchart of a method for calculating a Modified Duration-Based Basis Point GB yield volatility index.
본 발명의 몇몇 실시례는 금융 거래 시스템(financial exchange systems) 및/또는 현재 알려져 있거나 또는 향후 개발될 기타 기존 금융업계 시스템 상에서 구현될 수 있다. 금융 거래 시스템 및 기타 기존의 금융업계 시스템은 전형적으로 컴퓨터 하드웨어(예컨대, 컴퓨터 프로세서, 메모리, 스토리지, 입력 장치 및 출력 장치, 기타 기존의 컴퓨터 시스템의 구성요소들을 포함할 수 있는 클라이언트 컴퓨터 및 서버 컴퓨터; 전자 통신선, 라우터, 스위치 등등과 같은 전자 통신 장치; 네트워크 부착 스토리지(NAS) 및 스토리지 영역 네트워크(SAN)와 같은 전자 정보 스토리지 시스템)와 컴퓨터 소프트웨어{즉, 컴퓨터 하드웨어로 하여금 특정의 방식으로 기능하게 하는 지시(instruction)들}의 조합을 활용하여 원하는 시스템 성능을 달성한다. 금융 거래 시스템은, 시장 바닥 기반 큰 소리 매매 주문 시스템(floor-based open outcry systems), 순수 전자 시스템, 또는 이들의 몇몇 조합일 수 있다는 점이 주목되어야 한다.Some embodiments of the present invention may be implemented on financial exchange systems and/or other existing financial industry systems known now or to be developed in the future. Financial transaction systems and other conventional financial industry systems typically include computer hardware (eg , client computers and server computers, which may include computer processors, memory, storage, input and output devices, and other components of conventional computer systems; Electronic communication devices such as telecommunication lines, routers, switches, etc.; electronic information storage systems such as network attached storage (NAS) and storage area networks (SANs)) and computer software {i.e., that cause computer hardware to function in a particular way. a combination of instructions} to achieve the desired system performance. It should be noted that the financial trading system may be floor-based open outcry systems, purely electronic systems, or some combination thereof.
도 1에는 전자거래 시스템(100)이 도시되는바, 그 시스템은 (예컨대 GB 변동성 지수와 같은) GB 선물 옵션 기반 지수를 생성 및 유포하거나, 그리고/또는 GB 선물 옵션 지수에 기초한 파생 상품 계약을 생성, 목록화(list), 거래하기 위하여 이용될 수 있다. 아래에 상세히 서술되는 바와 같이, 시스템(100)이 위의 단락에서 설명된 바와 같이 컴퓨터 하드웨어 및 소프트웨어의 조합을 활용하여 구현될 것이라는 점을, 본 발명 기술분야의 통상의 기술자는 용이하게 이해할 것이다. 설명된 시스템들이 아래에서 설명되는 방법들을 구현할 수 있다는 점이 이해될 것이다.1 depicts an
상기 시스템(100)은 거래소에 의해 운용(operated)되는 구성요소들, 및 거래소에 접근(access)하여 거래를 실행하는 다른 사람에 의해 운용되는 구성요소들을 포함한다. 점선 내에 도시된 구성요소들은 거래소에 의해서 운용되는 것들이다. 점선 외측의 구성요소들은 다른 사람에 의해서 운용되지만, 그럼에도 불구하고 기능하는 거래(functioning exchange)의 운용을 위하여 필요하다. 거래 시스템(100)의 거래 구성요소들(122)은, 전자 거래 플랫폼(120), 회원 인터페이스(108), 매칭 엔진(110), 백엔드 시스템들(112)을 포함한다. 거래소에 의해 운용되지 않지만 거래를 처리하고 계약을 결제하는 데에 필수적인 백엔드 시스템들은, 결제 회사 시스템들(Clearing Corporation's systems; 114), 및 회원 회사(Member Firms)의 백엔드 시스템들(116)이다.The
시장 조성자들(Market Makers)은 회원 인터페이스(108)와 통신되는 개인 입력 장치들(104)을 통하여 직접 거래 플랫폼(120)에 접근할 수 있다. 시장 조성자는 본 발명의 파생 상품 계약,예컨대 GB 변동성 지수 파생 상품 계약에 대한 가격을 매길 수 있다. 그러나 비회원 고객들(102)은 회원 회사를 통하여 거래소에 접근해야만 한다. 고객 주문들은 회원 회사 라우팅 시스템들(106)을 통하여 라우팅된다. 회원 회사 라우팅 시스템들(106)은 회원 인터페이스(108)를 거쳐 주문을 거래소에 포워딩(forward)한다. 회원 인터페이스(108)는 회원 회사 라우팅 시스템(106)과 시장 조성자들의 개인 입력 장치들(104) 사이의 모든 통신을 관리하며; 거래 플랫폼에 의해서 주문들이 처리될 수 있는지를 판정하고; 주문들을 처리하기 위한 적절한 매칭 엔진을 결정한다. 시스템(100)에는 단일의 매칭 엔진(110)만이 보여지고 있지만, 거래 플랫폼(120)은 다수의 매칭 엔진들을 포함할 수 있다. 상이한 거래소에서 거래되는 상품들은 거래의 효율적인 실행을 위하여 상이한 매칭 엔진들로 할당될 수 있다. 회원 인터페이스(102)가 주문을 회원 회사 라우팅 시스템(106)으로부터 받은 때에, 회원 인터페이스(108)은 그 주문을 처리하는 데에 적합한 매칭 엔진(110)을 판정하여 그 주문을 적절한 매칭 엔진으로 포워딩한다. 매칭 엔진(110)은 대응되는 시장 매매 가능(marketable)한 매수 주문/매도 주문을 짝지음(pairing)으로써 거래를 실행한다. 시장 매매 가능하지 않은(non-marketable) 주문은 전자 주문 대장(electronic order book)에 위치된다.Market Makers may access the trading platform 120 directly through
주문들이 실행되면, 매칭 엔진(110)은 실행된 거래(transaction)들의 상세를, 거래(exchange) 벡엔드 시스템들(112), 결제 회사 시스템들(114), 및 회원 회사 벡엔드 시스템들(116)에 송신한다. 또한 매칭 엔진은, 주문 대장을 갱신하여 실행된 거래들에 기초한 시장의 변경사항들을 반영한다. 이전에는 시장거래 가능하지 않았던 주문들이 상기 시장의 변경사항들에 의해 시장거래 가능해질 수도 있다. 그러하다면 매칭 엔진(110)은 이 시장거래 가능해진 주문들도 실행한다.Once the orders are executed, the
거래 벡엔드 시스템들(112)은 여러 가지 상이한 기능들을 수행한다. 예를 들면, 계약 정의(contract definition)나 목록화된 데이터(listing data)는 거래 백엔드 시스템들(112)에서 비롯된다. 본 발명의 GB 선물 옵션 지수들,예컨대 아래에서 설명되는 GB 변동성 지수들, 및 본 발명의 지수들에 연관된 파생 상품 계약들의 가격 정보는 거래 벡엔드 시스템들로부터 시장 데이터 벤더들(market data vendors; 118)로 유포된다. 고객들(102), 시장 조성자들(104), 기타 사람들은, 예를 들어 전용(proprietary) 네트워크들, 온라인 서비스들 등등을 통하여, 본 발명의 지수들에 관한 시장 데이터, 및 본 발명의 지수들에 기초한 파생 상품 계약들에 접근할 수 있다.
또한 거래 벡엔드 시스템은 기초 자산 또는 본 발명의 파생 상품 계약들이 기초한 자산을 평가한다. 만기일(expiration)에, 벡엔드 시스템(112)는 적절한 결제량(settlement amounts)을 결정하고 최종 결제 데이터를 결제 회사(114)에 공급한다. 결제 회사(114)는 거래소의 은행으로서 역할하여, 회원 회사의 고객들이 취한 포지션들에 기초하여 회원 회사 증거금 계좌(margin accounts)에 대한 최종의 일일 정산(final mark-to-market)을 수행한다. 최종의 일일 정산은 본 발명의 파생 상품 계약들의 최종 결제량을 반영하고, 결제 회사는 이에 따라 회원 회사의 계좌들로부터 인출(debit)하거나/또는 그 계좌들에 입금(credit)한다. 이들 데이터는 회원 회사 시스템들(116)에도 포워딩됨으로써 그 회원 회사 시스템들이 그 고객의 계좌들을 함께 갱신할 수 있다.The trading backend system also evaluates the underlying asset or the asset on which the derivative contracts of the present invention are based. At expiration, the
도 2에는 거래 벡엔드 시스템들(112)의 일 실시례가 나타나는바, 그 거래 벡엔드 시스템(112)은 본 발명의 지수,예컨대 GB 변동성 지수를 생성 및 유포하기 위하여, 그리고/또는 본 발명의 지수에 기초한 파생 상품 계약들을 생성, 목록화, 거래하기 위하여 이용된다. 본 발명의 파생 상품 계약은 모듈(202) 내에 저장되는 정의(definition)를 가지며, 그 모듈(202)은 거래 플랫폼(120) 상에서 거래되는 파생 상품 계약에 관한 모든 관련 데이터를 담는바, 그 관련 데이터는 예를 들어, 계약 기호(contract symbol), 기초 자산 또는 파생 상품에 연관된 자산의 정의, 파생 상품에 연관된 계산 기간(term of a calculation period)을 포함한다. 가격 데이터 축적 및 유포 모듈(204)은 파생 상품 계약 정의 모듈(202)로부터 계약 정보를 수신하고, 매칭 엔진(110)으로부터 거래 데이터를 수신한다. 가격 데이터 축적 및 유포 모듈(204)는 공개 입찰 및 오퍼(open bids and offers) 및 최근의 거래들에 관한 시장 데이터를 시장 데이터 벤더(118)에 제공한다. 또한 가격 데이터 축적 및 유포 모듈(204)이 거래 데이터를 결제 회사(114)에 포워딩함으로써, 결제 회사(114)는 각 거래일의 종료시에 본 발명의 파생 상품 계약들의 현재 시장 가격을 고려하여 회원 회사들의 계좌들에 대해서 일일 정산을 실시(mark-to-market)할 수 있다. 마지막으로 결제 계산 모듈(settlement calculation module; 206)은 파생 상품 모니터링 모듈(208)로부터의 입력을 수신한다. 결제일(settlement date)에 결제 계산 모듈(206)은 기초 자산 또는 기타 자산에 연관된 가치,예컨대 GB 변동성 지수의 가치에 기초해, 결제량을 계산한다. 결제 계산 모듈(206)은 그 결제량을 결제 회사(114)에 포워딩하는바, 결제 회사(114)는 회원 회사의 계좌들에 대해 최종 일일 정산을 실시하여 본 발명의 파생 상품 계약을 결제한다.Figure 2 shows one embodiment of a
도 5를 참조하면, 범용 컴퓨터 시스템의 도해적 실시례가 보여지고 500으로 지칭되는바, 그 범용 컴퓨터 시스템은 도 1에 보여지는 하나 이상의 구성요소들을 위하여 이용되거나 또는 아래에 더 상세히 논의되는 방법들을 수행하도록 구성된 그 외 임의의 거래 시스템에 이용될 수 있다. 그 컴퓨터 시스템(500)은 본 명세서에 개시된 컴퓨터 기반 기능들 또는 임의의 하나 이상의 방법들 중 임의의 하나 이상을 컴퓨터 시스템(500)으로 하여금 실시하게 하는 지시들의 집합을 포함할 수 있다. 컴퓨터 시스템(500)은 독립식(standalone) 장치로서 동작할 수 있거나, 또는예컨대 네트워크를 이용하여 다른 컴퓨터 시스템들이나 주변 장치들과 연결될 수 있다.Referring to FIG. 5 , a schematic embodiment of a general purpose computer system is shown and referred to as 500 , the general purpose computer system comprising methods used for one or more of the components shown in FIG. 1 or discussed in greater detail below. It may be used in any other trading system configured to do so. The
네트워크로 된 전개(networked deployment)에 있어서, 컴퓨터 시스템은 서버-클라이언트 사용자 네트워크 환경으로 서버의 기능으로 또는 클라이언트 사용자 컴퓨터로서 동작하거나, 또는 피어-투-피어(peer-to-peer)(또는 분산) 네트워크 환경으로 피어(peer) 컴퓨터 시스템으로서 동작할 수 있다. 또한 컴퓨터 시스템(500)은 다양한 장치들로서 구현되거나 또는 그 장치들에 포함될 수 있는바, 예컨대 그 장치들은, 퍼스널 컴퓨터("PC"), 태블릿 PC, 셋톱 박스("STB"), 휴대 정보 단말("PDA"), 모바일 장치, 팜톱 컴퓨터(palmtop computer), 랩톱 컴퓨터, 데스크톱 컴퓨터, 네트워크 라우터, 스위치 또는 브리지, 또는 기계에 의해 취해져야 할 특정 동작(action)들을 구체화하는 (순차 또는 다른 방식의) 지시들의 집합을 실행할 수 있는 그 외 임의의 기계이다. 특정 일 실시례에서, 컴퓨터 시스템(500)은 음성, 비디오, 데이터 통신을 제공하는 전자 장치들을 이용하여 구현될 수 있다. 게다가, 단일의 컴퓨터 시스템(500)이 도시되어 있지만, "시스템"이라는 용어는, 지시들의 집합 또는 지시들의 복수 집합들을 개별적으로 실행하거나 또는 공동으로 실행하여 하나 이상의 컴퓨터 기능들을 수행하는 시스템들 또는 서브시스템들의 집합(collection)을 포함하는 것으로도 취해질 수 있을 것이다.In a networked deployment, a computer system operates as a client user computer or in the function of a server into a server-client user network environment, or peer-to-peer (or distributed). It can operate as a peer computer system in a networked environment. In addition, the
도 5에 나타난 바와 같이, 컴퓨터 시스템(500)은 프로세서(502),예컨대, 중앙 프로세싱 유닛("CPU"), 그래픽 프로세싱 유닛("GPU"), 또는 이 둘 모두를 포함할 수 있다. 더욱이, 컴퓨터 시스템(500)은, 메인 메모리(504) 및 정적(static) 메모리(506)를 포함할 수 있는바, 이 메모리들은 버스(508)를 통하여 서로 통신할 수 있다. 도시된 바와 같이, 컴퓨터 시스템(500)은 비디오 디스플레이 유닛(510), 예컨대, 액정 디스플레이("LCD"), 유기 발광 다이오드("OLED"), 평판 디스플레이(flat panel display), 고체 상태 디스플레이(solid state display), 또는 음극선관("CRT")을 더 포함할 수 있다. 추가적으로 컴퓨터 시스템(500)은, 키보드와 같은 입력 장치(512) 및 마우스와 같은 커서 제어 장치(cursor control device; 514)를 포함할 수 있다. 컴퓨터 시스템(500)은 디스크 드라이브 유닛(516), 스피커 또는 리모콘과 같은 신호 생성 장치(518), 및 네트워크 인터페이스 장치(520)도 포함할 수 있다.As shown in FIG. 5 ,
도 5에 그려진 바와 같은 특정 실시례에서, 디스크 드라이브 시스템(516)은, 하나 이상의 지시들의 집합들(524),예컨대 소프트웨어가 내장될 수 있는 컴퓨터 판독 가능 매체(522)를 포함할 수 있다. 게다가 지시들(524)은 본 명세서에서 설명되는 바와 같은 하나 이상의 방법들 또는 논리를 구현할 수 있다. 특정 일 실시례에 있어서, 지시들(524)은 컴퓨터 시스템(500)에 의한 실행 중에, 완전히 또는 적어도 부분적으로 메인 메모리(504), 정적 메모리(506) 내에, 그리고/또는 프로세서(502) 내에 상주(reside)할 수 있다. 메인 메모리(504) 및 프로세서(502) 또한 컴퓨터 판독 가능 매체를 포함할 수 있다.In a particular embodiment as depicted in FIG. 5 ,
대안적인 일 실시례에 있어서, 예컨대 주문형 집적회로들(application specific integrated circuits), 프로그래머블 로직 어레이(programmable logic arrays), 및 기타 하드웨어 장치들과 같은 전용 하드웨어 실시례들이 본 명세서에 설명되는 방법들 중 하나 이상을 구현하도록 구성될 수 있다. 다양한 실시례들의 장치 및 시스템들을 포함할 수 있는 용례들이 여러 가지 전자 시스템 및 컴퓨터 시스템을 광범위하게 포함할 수 있다. 본 명세서에 설명되는 하나 이상의 실시례들은, 모듈들 간에 그리고 그 모듈들을 통하여 통신할 수 있는 관련 제어 및 데이터 신호들을 갖춘, 2개 이상의 특정 상호 연결 하드웨어 모듈들 또는 장치들을 이용하여, 또는 주문형 집적회로의 일부분들로서, 기능들을 구현할 수 있다. 따라서 본 발명 시스템은 소프트웨어, 펌웨어, 및 하드웨어 실시례들을 아우른다.In an alternative embodiment, dedicated hardware embodiments such as, for example, application specific integrated circuits, programmable logic arrays, and other hardware devices are one of the methods described herein. It can be configured to implement the above. Applications that may include the apparatus and systems of the various embodiments may broadly include various electronic and computer systems. One or more embodiments described herein may utilize two or more specific interconnecting hardware modules or devices, or application specific integrated circuits, with associated control and data signals capable of communicating between and through modules. As parts of , functions may be implemented. Thus, the system of the present invention encompasses software, firmware, and hardware embodiments.
본 발명의 다양한 실시례에 따르면, 본 명세서에 설명되는 방법은 컴퓨터 시스템에 의해 실행가능한 소프트웨어 프로그램들에 의해 구현될 수 있다. 게다가, 예시적이고 비한정적인 일 실시례에서는 구현물들이 분산 처리, 컴포넌트(component)/객체(object) 분산 처리, 및 병렬처리를 포함할 수 있다. 대안으로서, 가상 컴퓨터 시스템 처리가 구축되어 본 명세서에 설명된 바와 같은 하나 이상의 방법들 또는 기능성(functionality)을 구현할 수 있다.According to various embodiments of the present invention, the methods described herein may be implemented by software programs executable by a computer system. Moreover, in one illustrative, non-limiting embodiment, implementations may include distributed processing, component/object distributed processing, and parallel processing. Alternatively, a virtual computer system processing may be built to implement one or more methods or functionality as described herein.
본 개시서에는, 지시들(524)을 포함하거나, 또는 전파된 신호(propagated signal)에 응하여 지시들(524)을 수신 및 실행하는 컴퓨터 판독 가능 매체가 고려됨으로써, 이에 의해 네트워크(526)에 연결된 장치가 네트워크(526) 상에서 음성, 비디오, 데이터 통신을 할 수 있다. 게다가 지시(524)는 네트워크 인터페이스 장치(520)를 통하여 네트워크(526) 상에서 송신 또는 수신할 수 있다.A computer readable medium is contemplated in this disclosure that includes
컴퓨터 판독 가능 매체가 단일 매체로서 도시되었지만, "컴퓨터 판독 가능 매체"라고 하는 용어는 단일 매체와 복수 매체를 포함하는바, 예컨대 집중(centralized) 또는 분산 데이터베이스, 및/또는 하나 이상의 지시들의 집합들을 저장하는 연상 캐시들(associated caches) 및 서버들이다. "컴퓨터 판독 가능 매체"라고 하는 용어는, 프로세서에 의한 실행을 위한 지시들의 집합을 저장, 부호화(encoding) 또는 보유(carrying)할 수 있거나, 또는 컴퓨터 시스템으로 하여금 본 명세서에 설명된 방법들 또는 작동들 중 임의의 하나 이상을 수행하게 하는 임의의 매체도 포함할 것이다.Although computer readable medium is depicted as a single medium, the term "computer readable medium" includes both medium and plural media, such as a centralized or distributed database, and/or storing one or more sets of instructions. associated caches and servers. The term "computer readable medium" means that it can store, encode, or carry a set of instructions for execution by a processor, or cause a computer system to perform the methods or operations described herein. will include any medium that causes any one or more of the following to be performed.
특정의 비한정적 예시적 실시례에 있어서, 컴퓨터 판독 가능 매체는 하나 이상의 비휘발성 읽기 전용 메모리들을 격납(house)하는 메모리 카드 또는 기타 패키지와 같은 고상 메모리를 포함할 수 있다. 게다가 컴퓨터 판독 가능 매체는 랜덤 액세스 메모리, 또는 기타 휘발성 재기록 가능 메모리일 수 있다. 덧붙여 컴퓨터 판독 가능 매체는, 예컨대 디스크 또는 테이프와 같은 자기 광학 매체 또는 광학 매체, 또는 전송 매체 상에서 통신되는 정보를 갈무리(capture)하는 기타 스토리지 장치를 포함할 수 있다. 전자 메일에 대한 디지털 첨부 파일(digital file attachment) 또는 기타 자기 보관유지 정보(self-contained information) 보관소(archive)나 보관소들의 집합은 유형의 스토리지 매체와 동등(equivalent)한 배포 매체(distribution medium)로 여겨질 수 있다. 이에 따라, 본 개시서는, 데이터 또는 지시들이 저장될 수 있는 컴퓨터 판독 가능 매체 또는 배포 매체 및 기타 균등물들과 후속 매체(successor media) 중 하나 이상을 포함하는 것으로 여겨진다.In certain non-limiting illustrative embodiments, the computer-readable medium may include solid-state memory, such as a memory card or other package, that houses one or more non-volatile read-only memories. Furthermore, the computer-readable medium may be random access memory, or other volatile rewritable memory. Additionally, computer-readable media may include, for example, magneto-optical or optical media, such as disks or tapes, or other storage devices that capture information communicated over transmission media. An archive or set of archives of digital file attachments or other self-contained information to e-mail is a distribution medium equivalent to a tangible storage medium. can be considered Accordingly, this disclosure is intended to cover one or more of a computer readable medium or distribution medium and other equivalents and successor media in which data or instructions may be stored.
본 명세서가 투자 관리 회사들에 의해 흔히 이용되는 특정의 표준들과 프로토콜들을 참조하여 특정 실시례들로 구현될 수 있는 구성요소들 및 기능들을 설명하고 있지만, 본 발명은 그러한 표준들이나 프로토콜들에 한정되지 않는다. 예를 들어, 인터넷에 대한 표준들 및 기타 패킷 스위치 네트워크 송신(packet switched network transmission)(예컨대 TCP/IP, UDP/IP, HTML, HTTP)은 현 기술 상태의 예시들에 해당된다. 그러한 표준들은, 본질적으로 동일한 기능을 가지는 더 빠르고 더 효율적인 균등물들에 의해 주기적으로 대체된다. 따라서 본 명세서에 개시되는 바와 같은 표준들이나 프로토콜들과 동일 또는 유사한 기능들을 가지는 대체 표준들 및 프로토콜들이 그 균등물들로 여겨진다.Although this specification describes components and functions that may be implemented in specific embodiments with reference to specific standards and protocols commonly used by investment management firms, the invention is limited to those standards or protocols. doesn't happen For example, standards for the Internet and other packet switched network transmissions (eg, TCP/IP, UDP/IP, HTML, HTTP) are examples of the state of the art. Such standards are periodically replaced by faster and more efficient equivalents that have essentially the same function. Accordingly, alternative standards and protocols having the same or similar functions as the standards or protocols as disclosed herein are considered equivalents thereof.
일 실시례에 따르면, GB 변동성 지수들을 계산 및 유포하기 위한 시스템들 및 방법들이 제공된다. GB 변동성 지수("GB-VI")는, 도 1, 도 2, 및 도 5에 도시되고 위에서 상세히 설명된 시스템들을 이용하여 계산 및 유포될 수 있다. 일반적으로 GB-VI들은 임의의 유예기간(tenor)의 GB 선물의 실변동성(realized volatility)을 거래하는 계약의 적정 가격(fair value)을 반영하고, 임의의 투자 기간(investment horizons) 내의 GB 선물 가격들의 예측 변동성을 반영한다. 지수들은 GB 선도의 실변동성을 거래하는 계약의 적정 가격으로 해석될 수도 있으며, 임의의 투자 기간 내의 GB 선도 가격의 예측 변동성을 반영하고 있는바, 선물과 선도의 실변동성 및 예측 변동성은 지수 설계의 측면에 있어서 수학적으로 등가(mathematically equivalent)이다. 본 발명의 몇몇 실시례에 있어서, GB-VI들은 국채 선물(또는 선도) 및 국채 선물(또는 선도) 옵션 시장이 존재하는 임의의 국가 및 통화에 대해서 계산될 수 있다. 본 발명의 몇몇 실시례에 따르면, GB-VI는 GB 선물 또는 선도에 관한 옵션들에 대한 시장에 관련된 데이터에 기초하여 계산된다. 예를 들어, 현재로서는 GB-VI들이 무엇보다 미국, 독일, 영국, 및 일본의 정부에 의해 발행된 국채에 대한 GB 선물(또는 선도) 및 GB 선물(또는 선도) 옵션 시장에 특히 적합(well suited)할 것이다.According to one embodiment, systems and methods are provided for calculating and disseminating GB volatility indices. The GB Volatility Index (“GB-VI”) may be calculated and disseminated using the systems illustrated in FIGS. 1 , 2 , and 5 and detailed above. In general, GB-VIs reflect the fair value of a contract that trades the realized volatility of GB futures for any tenor, and the price of GB futures within arbitrary investment horizons. reflect their forecast variability. The indices can also be interpreted as the fair price of a contract that trades the real volatility of GB forwards, and reflect the predicted volatility of the GB forward price within an arbitrary investment period. are mathematically equivalent in terms of In some embodiments of the present invention, GB-VIs can be calculated for any country and currency in which Treasury futures (or forward) and Treasury futures (or forward) options markets exist. According to some embodiments of the present invention, GB-VI is calculated based on market-related data for options on GB futures or forwards. For example, for now, GB-VIs are well suited to the markets of GB futures (or forward) and GB futures (or forward) options on government bonds issued by governments of the United States, Germany, United Kingdom, and Japan, among others. )something to do.
본 발명의 몇몇 실시례에 따르면, GB-VI들은, 국채 선물에 대한 등가격 및 외가격 풋 옵션 및 콜 옵션(즉, 옵션 "스큐", "변동성 스큐")의 가격을 단일의 수식에 종합(aggregating)함으로써, "변동성 곡면(volatility surface)" 상의, 각각의 만기-유예기간의 조합(maturity-tenor combination)(즉, 옵션의 기초가 되는 선물 또는 선도의 기초 자산인, 옵션의 만기 및 국채의 유예기간)에 대하여 계산되는바, 그 단일의 수식은 임의의 옵션 가격 모델로부터 독립적일 수 있다.According to some embodiments of the present invention, GB-VIs aggregate the prices of at-the-money and out-of-the-money put and call options (i.e. , options “skew”, “volatility skew”) on Treasury futures into a single equation ( By aggregating, each maturity-tenor combination (i.e., the maturity of options and Treasury bonds, which are the underlying assets of the futures or forwards underlying the option), on a “volatility surface” grace period), the single formula can be independent of any option pricing model.
이 GB-VI들은 베이시스 포인트 가격 변동성 또는 퍼센티지 가격 변동성의 관점에서, 금리 시장에서의 가격 매김의 변동성(quoting volatility)의 지배적 시장 실무(prevailing market practice)에 부합(match)한다(본 명세서에서 달리 언급되지 않는 한, 임의의 언급된 변동성은 수익률 변동성이 아닌 가격 변동성으로 해석되어야 함). 덧붙여, GB-VI들은 가격 변동성으로부터 수익률 변동성으로의 모델에 의하지 않은 변환(model-free conversion)에 기초하여, 베이시스 포인트 수익률 변동성(즉, 가격 변동성에 반대됨), 또는 수정 듀레이션-기반 베이시스 포인트 수익률 변동성의 관점에서 가격이 매겨질 수도 있다. 게다가 본 명세서에 설명된 GB-VI들은, 변동성 곡면의 각각의 점에서, 즉 임의의 만기 및 기초자산 유예기간(underlying tenor)에 걸쳐 GB 변동성의 선물 거래에 대한 계약들의 적정 시장 가치를 반영할 수 있다.These GB-VIs are consistent with prevailing market practice of quoting volatility in interest rate markets, in terms of basis point price volatility or percentage price volatility (as otherwise stated herein). Unless otherwise stated, any stated volatility should be construed as price volatility and not return volatility). In addition, GB-VIs are based on a model-free conversion from price volatility to return volatility, based on basis point return volatility (i.e. as opposed to price volatility), or adjusted duration-based basis point return. It may also be priced in terms of volatility. Furthermore, the GB-VIs described herein may reflect the fair market value of contracts for futures trading of GB volatility at each point on the volatility curve, i.e., over any maturity and underlying tenor. have.
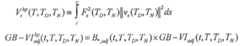
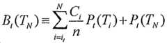
GB 시장에 관한 불확실성은 금리의 기간 구조에 있어서의 변화에 연계(link)된다. 수학적으로 이표부 국채의 가치, Bt(TN)은,Uncertainty about the GB market is linked to changes in the term structure of interest rates. Mathematically, the value of a coupon bond, Bt (TN ) is,
인바, 여기에서 t는 평가일이며;는 이표 지급일들인바, T1은 T0에서의 발행 이후 최초 이표 지급시(first coupon payment)이고,는 최초 이표일(first coupon date) t이고, TN은 원금의 상환과 함께 최후 이표 지급이 이루어지는 국채의 만기일이며; Ci/N은 Ti에서의 이표 지급이고; Pt(Ti)는 시점 Ti에 만기되는 무이표부 부도불가능 국채의 시점 t에서의 가격이며 GB 가격에 있어서의 불확실성의 주된 근원에 해당된다.invar, where t is the evaluation date; is the coupon payment date, T1 is the first coupon payment after issuance atT 0, is the first coupon date, t, and TN is the maturity date of the Treasury bond at which the final coupon payment is made with the redemption of principal; Ci / N is the coupon payments at Ti; Pt (Ti ) is the price at time t of the non-couponable non-default Treasury note maturing at time Ti and is a major source of uncertainty in the price of GB.
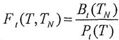
GB에 대한 선도 약정(forward agreement)에 있어서, 일방 당사자는 장래일에 고정된 가격으로 GB를 타방 당사자에게 인도하는 것에 동의한다. TN에 만기되는 국채의 T에 인도하는 선도의 시점 t에서의 가격 Ft(T, TN)는In a forward agreement for GB, one party agrees to deliver GB to the other party at a future date at a fixed price.The price F t (T, TN ) at time t of a forward delivered at T of a Treasury bond maturing at TN is
로 주어진다. 판매자가 다수의 "인도가능(deliverable)한" GB들의 집합 중에서 선택하는 것이 계약에 의하여 허용될 수 있는바, 그 경우에, 기초 국채 Bt(TN)는, "최저가 인도(cheapest to deliver)" GB를 추종(track)하는 가격으로 해석될 수 있고, 거래 균일 가격(traded flat price) 또는 어떤 스칼라 "변환 인수(conversion factor)"에 기초하여 조정된 가격의 관점에서 가격이 매겨질 수 있다.is given as A contract may permit the seller to choose from a set of multiple "deliverable" GBs, in which case the underlying Treasury note Bt (TN ) is the "cheapest to deliver""Can be interpreted as a price to track GB, and may be priced in terms of a traded flat price or a price adjusted based on some scalar "conversion factor".
선도 가격은 "선도 확률" 하의 마팅게일(martingale)이며, 이는Forward price is "forward probability" The lower martingale, which
로 정의되는바, 여기에서 r(s)는 시점 s에서의 단기 금리(short-term rate)이고, IT는 시점 T까지의 정보의 집합(set of information)을 나타낸다. 그 선도 확률 하에서 GB 선도 가격의 역학(dynamics)은,, where r(s) is a short-term rate at time s, and IT represents a set of information up to time T. The dynamics of the GB forward price under that forward probability is,
를 만족시키는바, 여기에서는 하에서의 브라운 운동이고,는 순간 변동성이다.satisfies, here Is Brownian motion under is the instantaneous volatility.
"국채 분산 스왑 약정"은 당사자 A가 다음 액수를 시점 T에 당사자 B에게 지급할 것을 시점 t에 동의하는 계약인바, 그 다음 액수는A "treasury distributed swap arrangement" is a contract in which party A agrees at time t to pay Party B at time T, the next amount being
이며, 여기에서이고 S(t, T, TN)는 시점 t에 고정된 행사가격이며, 그 적정 가치는and here and S(t, T, TN) is the strike price fixed at time t, and its fair value is
이며, 여기에서 Et는 리스크 중립 확률(risk-neutral probability; Q) 하에서의 기대값이고,는 선도 확률 하에서의 기대값이고, 이 두 기대값들 모두는 시점 T까지의 정보에 관한 조건부(conditional)로 취해진다. 마지막 항은 다음 관계식where Et is the expected value under the risk-neutral probability (Q), is the leading probability is the expected value of , and both of these expected values are taken conditional on the information up to time T. The last term is the relation
을 가진 옵션들에 의해 전개(span)되는데, 여기에서 Putt(t, T, TN)는 행사가격 K 및 만기 T의 유럽형 풋 옵션의 가격으로서, 그 풋 옵션은 기초 국채 유예기간이 TN인 만기 T의 GB 선도에 대한 것이고, Callt(t, T, TN)는 행사가격 K 및 만기 T의 유럽형 콜 옵션의 가격으로서, 그 콜 옵션은 기초 국채 유예기간이 TN인 만기 T의 GB 선도에 대한 것인바, 이는 적정 가격It is spanned by options with , where Putt (t, T, TN ) is the price of a European put option with strike price K and expiration T, where the put option has an underlying government bond grace period of TN is the GB forward of maturity T, where Callt (t, T, TN ) is the price of a European call option with strike price K and expiration T, which is the price of a European call option with an underlying government bond grace period of TN. It is about GB forward, which is fair price
로 이어진다. 실제로는, 임의의 주어진 순간에 거래되는 행사 금리들(strike rates)의 유한 집합이 있고, 따라서 적분은 이산 유한 합(discrete finite sums):leads to In practice, there is a finite set of strike rates that are traded at any given instant, so the integral is discrete finite sums:
에 의해 대치될 것인바, 여기에서 K0는 Z+1개 옵션들의 최저 행사가격(lowest strike)을 지칭하며; Ki는 Z+1개 옵션들의 i번째로 높은 행사가격을 지칭하며; KZ는 Z+1개 옵션들의 최고 행사가격을 지칭하고; i≥1에 대해이고,이다.will be replaced by , where K0 refers to the lowest strike of the Z+1 options; Ki refers to the i-th highest strike price of Z+1 options; KZ refers to the highest strike price of Z+1 options; for i≥1 ego, am.
몇몇 실시례에서, "퍼센티지 국채 가격 변동성 지수"는 다음과 같이 표현된다:In some embodiments, the “Percent Treasury Price Volatility Index” is expressed as:
연속적인 경우:Continuous case:
이산적인 경우:Discrete case:
선도 조정(Forward Adjustment)이 있는 이산적인 경우:Discrete case with Forward Adjustment:
식 (PCT_GBVI)Expression (PCT_GBVI)
여기에서 선도 조정은, 등가격(ATM) 선도 가격에서 행사되는 옵션이 없으며 K*가 현재 선도 가격 Ft(T, TN) 미만의 최초로 가용한 행사가격인 경우를 취급한다. 시점 t에 선도 가격이 관찰가능하지 않다면, Ft(T, TN)는, 풋 가격과 콜 가격 사이의 차이가 최소가 되는 행사가격이다.Here, forward adjustment deals with the case where no options are exercised at the at-the-money (ATM) forward price and K* is the first available strike price below the current forward price Ft (T, TN ). If the forward price is not observable at time t, then Ft (T, TN ) is the strike price at which the difference between the put price and the call price is minimal.
더 일반적으로는, 임의의 일정한 승수(constant multiplier; CM)에 대하여:More generally, for any constant multiplier (CM):
연속적인 경우:Continuous case:
이산적인 경우:Discrete case:
선도 조정이 있는 이산적인 경우:Discrete case with forward adjustment:
인바, 이는 GB 분산 스왑 약정의 스케일링된(scaled) 적정 가치이다.Invar, this is the scaled fair value of a GB distributed swap agreement.
위 계약 설계사항들(contract designs) 및 지수 수식들(index formulas)은, 옵션보다 나중에 만기되는 GB 선도들에 대한 옵션들에 대해서도 확장되는바, 예를 들어서:The above contract designs and index formulas are also extended for options on GB forwards expiring later than the option, for example:
인데, 여기에서 TD≥T인 TD는 T에 만기되는 옵션들의 기초가 되는 국채 선도의 만기시를 지칭한다. K*는 현재 선도 가격 Ft(TD, TN) 미만의 최초로 가용한 행사가격이다. 시점 t에 선도 가격이 관찰가능하지 않다면, Ft(TD, TN)는 풋 가격과 콜 가격 사이의 차이가 최소가 되는 행사가격이다.Where TD ≥ T, TD refers to the maturity of the Treasury forward underlying the options maturing at T. K* is the first available strike price below the current forward price Ft (TD , TN ). If the forward price is not observable at time t, then Ft (TD , TN ) is the strike price at which the difference between the put price and the call price is minimal.
"국채 베이시스 포인트 분산 스왑 약정"은 당사자 A가 다음 액수를 시점 T에 당사자 B에게 지급할 것을 시점 t에 동의하는 계약인바, 그 다음 액수는A “treasury basis point distributed swap arrangement” is a contract in which party A agrees at time t to pay Party B at time T the following amount:
이며, 여기에서이고 Sbp(t, T, TN)는 시점 t에 고정된 행사가격이며, 그 적정 가치는and here and Sbp (t, T, TN ) is the strike price fixed at time t, and its fair value is
이며, 여기에서는, 시점 t까지의 정보에 관하여 조건부인 확률 하에서의 기대값이다. 마지막 항은 다음 관계식and here is the probability that is conditional with respect to the information up to time t is the expected value under The last term is the relation
을 가진 옵션들에 의해 전개(span)되는데, 여기에서 Putt(t, T, TN)는 행사가격 K 및 만기 T의 유럽형 풋 옵션의 가격으로서, 그 풋 옵션은 기초 국채 유예기간이 TN인 만기 T의 GB 선도에 대한 것이고, Callt(t, T, TN)는 행사가격 K 및 만기 T의 유럽형 콜 옵션의 가격으로서, 그 콜 옵션은 기초 국채 유예기간이 TN인 만기 T의 GB 선도에 대한 것인바, 이는 적정 행사가격There is developed (span) by the option of having, herePut t (t, T, T N) is the exercise price K, and as the price of a European put option at maturity T, its put option is the basis of government bonds grace period TN is the GB forward of maturity T, where Callt (t, T, TN ) is the price of a European call option with strike price K and expiration T, the call option of maturity T with anunderlying government bond grace period of T N . As for GB forward, this is a fair strike price
로 이어진다. 실제로는, 임의의 주어진 순간에 거래되는 행사 금리들(strike rates)의 유한 집합이 있고, 따라서 적분은 이산 유한 합(discrete finite sums):leads to In practice, there is a finite set of strike rates that are traded at any given instant, so the integral is discrete finite sums:
에 의해 대치될 것이다.will be replaced by
몇몇 실시례에서, "베이시스 포인트 국채 가격 변동성 지수"는 다음과 같이 표현된다:In some embodiments, the “Basis Points Treasury Price Volatility Index” is expressed as:
연속적인 경우:Continuous case:
이산적인 경우:Discrete case:
선도 조정이 있는 이산적인 경우:Discrete case with forward adjustment:
식 (BP_GBVI)Expression (BP_GBVI)
인바, 이는 BP(베이시스 포인트) GB 분산 스왑 약정의 스케일링된 적정 가치이다.Invar, this is the scaled fair value of the BP (Basis Points) GB Distributed Swap Agreement.
더 일반적으로는, 임의의 일정한 승수(CM)에 대하여:More generally, for any constant multiplier (CM):
연속적인 경우:Continuous case:
이산적인 경우:Discrete case:
선도 조정이 있는 이산적인 경우:Discrete case with forward adjustment:
위 계약 설계사항들 및 지수 수식들은, 옵션보다 나중에 만기되는 GB 선도들에 대한 옵션들에 대해서도 확장되는바, 예를 들어서:The above contract designs and index formulas also extend for options on GB forwards expiring later than the option, for example:
인데, 여기에서 TD≥T인 TD는 T에 만기되는 옵션들의 기초가 되는 국채 선도의 만기시를 지칭한다. K*는 현재 선도 가격 Ft(TD, TN) 미만의 최초로 가용한 행사가격이다. 시점 t에 선도 가격이 관찰가능하지 않다면, Ft(TD, TN)는 풋 가격과 콜 가격 사이의 차이가 최소가 되는 행사가격이다.Where TD ≥ T, TD refers to the maturity of the Treasury forward underlying the options maturing at T. K* is the first available strike price below the current forward price Ft (TD , TN ). If the forward price is not observable at time t, then Ft (TD , TN ) is the strike price at which the difference between the put price and the call price is minimal.
GB 시장에 있어서의 변동성이 가장 일반적으로 가격 변동성의 관점에서 측정 및 거래되는 한편으로, GB 국채 선물 변동성의 추가적 수식 - 베이시스 포인트 수익률 변동성 - 도 고려된다.While volatility in the GB market is most commonly measured and traded in terms of price volatility, an additional formula for GB Treasury futures volatility - basis point return volatility - is also taken into account.
국채 내재 가격(implied bond price)를the implied bond price
이 되도록 정의하고, 대응되는 수익률(yield) yB를Define to be , and the corresponding yield yB is
,,
그리고and
또는 시점 tj의 다음 이표 지급 기일을 가지는 미지급 이표들이 시점 T에 있는 경우에는or if there are unpaid coupons at time T with the next coupon due at time tj
이 되도록 정의하되, 여기에서 dc(year)는 상기 국채에 대하여 이용되는 일수 계산 방법에 기초한 일 년의 일수이고, dc(T-t)는 상기 국채에 대하여 이용되는 일수 계산 방법에 기초한 t와 T 사이의 일수이다., where dc(year) is the number of days in a year based on the number of days calculation method used for the government bond, and dc(Tt) is the number between t and T based on the number of days calculation method used for the government bond. is the number of days
그리고, 몇몇 실시례에서, "베이시스 포인트 국채 수익률 변동성 지수"는And, in some embodiments, the “Basis Point Treasury Yield Volatility Index” is
로 표시될 수 있거나, 또는 시점 tj의 다음 이표 지급 기일을 가지는 미지급 이표들이 시점 T에 있는 경우에는, or if there are unpaid coupons at time T with a due date of the next coupon at time tj
식 (BPY_GBVI)Expression (BPY_GBVI)
로 표시될 수 있다. 여기에서는의 역함수이고,는의 역함수이다.can be displayed as From here Is is the inverse of Is is the inverse of
위 지수 수식은 옵션보다 나중에 만기되는 GB 선도들에 대한 옵션들에 대해서도 확장되는바, 예를 들어:The above index formula is also extended for options on GB forwards expiring later than the option, for example:
그리고and
인바, 여기에서 TD≥T인 TD는 T에 만기되는 옵션들의 기초가 되는 국채 선도의 만기시를 지칭한다.Invar, where the TD ≥T TD refers to government bonds at maturity of the underlying leading of options that expire in T.
몇몇 실시례에서 "수정 듀레이션-기반 베이시스 포인트 국채 수익률 변동성 지수"는 다음과 같이 정의될 수 있는바:In some embodiments, an "adjusted duration-based basis point Treasury yield volatility index" may be defined as:
식 (MDBPY_GBVI)Expression (MDBPY_GBVI)
여기에서 표기는 위 단락에서 정의된 바와 같다.The notation here is as defined in the paragraph above.
PCT_GBVI, BP_GBVI, BPY_GBVI, 및 MDBPY_GBVI에 대하여 옵션들의 만기가 기초 GB 선도보다 이른 때(T<TD)에는, 만기에 있어서의 차이의 효과를 고려하여 조정 항(adjustment term)이 계산될 수 있다. 그 4개의 조정된 지수 수식들은 다음과 같다:For PCT_GBVI, BP_GBVI, BPY_GBVI, and MDBPY_GBVI, when options expire earlier than the underlying GB forward (T<TD ), an adjustment term may be calculated taking into account the effect of the difference in expiration. The four adjusted exponential equations are:
인바, 여기에서Inba, here
이고, C0t,, C1t, C2t는 금리 역학의 상세사항에 기초하여 계산될 수 있다.and C0t , , C1t , C2t can be calculated based on the details of interest rate dynamics.
등가격으로 행사되는 옵션들에 대한 가격들이 없는 경우에, GB-VIadj는 C(t, T, TD, TN)를으로 대치함으로써 더 조정될 수 있고, 모든 적분들(또는 이산적인 경우에는 합산)에서 Ft(TD, TN)를 K*로 대치함은 K*가 Ft(TD, TN) 미만의 첫 행사가격인 지수 수식에서는 제한된다. 유사하게,는 Cbp(t, T, TD, TN)를으로 대치함으로써 더 조정될 수 있고, 모든 적분들(또는 이산적인 경우에는 합산)에서 Ft(TD, TN)를 K*로 대치함은 K*가 Ft(TD, TN) 미만의 첫 행사가격인 지수 수식에서는 제한된다. 결국, GB-VIadj 및의 행사가격-조정된 형태(striked-adjusted versions)는 등가격 옵션 가격이 없는 때에 및를 계산하는 데에 이용될 수 있다.In the absence of prices for at-the-money options, GB-VIadj gives C(t, T, TD , TN ) May further be adjusted by replacing, all the integral of also replace the Ft (TD, TN), in (case or discrete, the summation) to K* is K* is less than Ft (TD, TN) It is limited in the index formula, which is the first strike price. Similarly, is Cbp (t, T, TD , TN ) May further be adjusted by replacing, all the integral of also replace the Ft (TD, TN), in (case or discrete, the summation) to K* is K* is less than Ft (TD, TN) It is limited in the index formula, which is the first strike price. After all, GB-VIadj and strike-adjusted versions of the at-at-the-money option and can be used to calculate
국채 변동성 지수들에 대하여 위에서 주어진 수학적 해설 및 수식들(mathematical exposition and formulas)은 GB 선도들에 대한 유럽형 옵션들의 가격을 채용한다. 그러나, 기타 행사 형식의 옵션들 또는 기타 기초 GB 파생 상품들에 대한 옵션들도, 그러한 옵션들의 가격이 GB 선도들에 대한 유럽형 옵션들의 등가 가격과 실질적으로 상이하지 않다면, 상기 수식들에 직접 이용될 수 있다. 예를 들어, 국채 선물들에 대한 외가격 미국형 옵션들의 가격은, 국채 선도들에 대한 다른 등가의 유럽형 옵션들과 실질적으로 상이하지 않은 경향이 있는바, 이는, 플레세이커, B.(Flesaker B.)에 의한 "Testing the Heath-Jarrow-Morton/Ho-Lee Model of Interest Rate Contingent Claims Pricing" Journal of Financial and Quantitative Analysis 28, 및 2011년의 비크보프, R.(Bikbov, R)과 M. 체르노프(M. Chernov)에 의한 "Yield Curve and Volatility: Lessons from Eurodollar Futures and Options" Journal of Financial Econometrics 9로부터 결론내려질 수 있다.The mathematical exposition and formulas given above for Treasury Volatility Indices employ prices of European options on GB forwards. However, other exercised options or options on other underlying GB derivatives may also be used directly in the above formulas, provided that the price of such options is not materially different from the equivalent price of European options on GB forwards. can For example, the price of out-of-the-money U.S. options on Treasury futures tends not to differ substantially from other equivalent European options on Treasury forwards, as reported by Flesaker, B. (Flesaker). B.) by "Testing the Heath-Jarrow-Morton/Ho-Lee Model of Interest Rate Contingent Claims Pricing" Journal of Financial and Quantitative Analysis 28, and Bikbov, R. (Bikbov, R) and M. It can be concluded from "Yield Curve and Volatility: Lessons from Eurodollar Futures and Options" Journal of Financial Econometrics 9 by M. Chernov.
몇몇 거래소의 현재 실무는 GB 선물들에 대한 미국형 옵션을 목록화(list)하는 것이다. GB 선물들에 대한 미국형 옵션들의 가격이 GB 선도들에 대한 유럽형 옵션들과 실질적으로 상이한 상황이 생기는 경우에, 본원 발명자들은 미국형 국채 선물 옵션 가격들을 이에 대응되는 유럽형 국채 선도 옵션 가격들로 변환하는 기술들을 개발하였는바, 이는, (1) 금리 역학 모델(model of interest rate dynamics)을 선택하고 이력 데이터를 이용하여 그 역학 모델의 파라미터들을 추산하며; (2) 관찰된 옵션 가격들과 단계 (1)에서의 모델에 의해 시사되는 옵션 가격들 사이의 차이가 최소화되도록 리스크의 가격을 정의(defining) 및 교정(calibrating)하고; 단계 (2)에서의 리스크의 교정된 가격을 이용하여, 모델에 의해 시사되는(model-implied), 국채 선도들에 대한 유럽형 옵션들을 계산한다.The current practice of some exchanges is to list US-style options on GB futures. In the event that the price of US options on GB futures differs substantially from European options on GB forwards, the inventors convert US Treasury futures option prices to corresponding European Treasury forward option prices. Techniques have been developed to: (1) select a model of interest rate dynamics and estimate parameters of the model using historical data; (2) defining and calibrating the price of the risk such that the difference between the observed option prices and the option prices implied by the model in step (1) is minimized; Using the adjusted price of risk in step (2), we compute the model-implied European options for government bond forwards.
일 예시 기술에서, 국채 선물들에 대한 미국형 옵션들의 가격이 국채 선도들에 대한 유럽형 옵션들의 가격으로 변환될 수 있다. 이 예시 기술은 다음과 같이 수행된다:In one example technique, the price of US-style options on Treasury futures may be converted to the price of European-style options on Treasury forwards. This example technique is performed as follows:
단계 1. 금리에 대한 바시첵(Vasicek) 모델(1977)을 선택한다.
여기에서 rt는 시점 t에서의 순간 금리이고,는 물리적 확률 측도(P) 하에서의 브라운 운동이다. 그 파라미터들(κ, μ, σ)은 이력 금리 데이터를 이용하여 추산될 것이다.where rt is the instantaneous interest rate at time t, is the Brownian motion under the physical probability measure (P). The parameters (κ, μ, σ) will be estimated using historical interest rate data.
단계 2. 다음과 같이 단기 금리의 리스크 중립 역학(risk-neutral dynamics)을 정의한다:Step 2. Define the risk-neutral dynamics of short-term interest rates as follows:
여기에서 Wt는 위험 중립 확률 측도 하에서의 브라운 운동이고, λ는 리스크의 가격이다. 최소화 문제(minimization problem) 2A 또는 2B를 풀이하여를 찾음으로써 그 리스크의 가격을 교정한다:where Wt is the Brownian motion under the risk-neutral probability measure, and λ is the price of the risk. By solving the minimization problem 2A or 2B, Correct the price of that risk by finding:
최소화 문제 2A는:Minimization problem 2A is:
인바, 여기에서 Λ는 옹골 집합(compact set)이며; K는 옵션 행사가격이며; Omodel(K; λ)는, 행사가격 K 및 리스크의 가격 λ에 대해 모델에 의해 시사되는 옵션 가격이며; Omodel(K)는 행사가격 K에 대해 관찰되는 옵션 가격이며; w(K)는 가중 함수이고; M은 관찰가능한 옵션 가격들의 개수를 지칭한다.Invar, where Λ is a compact set; K is the option strike price; Omodel (K; λ) is the option price implied by the model for the strike price K and the price λ of the risk; Omodel (K) is the observed option price for strike K; w(K) is a weighting function; M refers to the number of observable option prices.
최소화 문제 2B는:Minimization problem 2B is:
각각의 행사가격 K에 대하여, 모델에 의해 시사되는 옵션 가격이 관찰되는 옵션 가격 Omodel(K)에 정확하게 일치(match)되도록를 찾는 것인바, 이는 각각의 K에 대하여이 되도록 함수에 의해 정의되는 리스크 프리미엄의 스큐로 이어진다.For each strike price K, the option price implied by the model to exactly match this observed option price Omodel (K). is to find , which is for each K function to be leads to a skew in the risk premium defined by
2A 및 2B 둘 모두에서 국채 선물들에 대한 미국형 옵션들의 모델 가격 Omodel(K; λ)는인데, 여기에서 Cs(rs; K)는The model price O model (K; λ) of US options on Treasury futures in both 2A and 2B is where Cs (rs ; K) is
에 대한 재귀적 해인바, 여기에서 페이오프(payoff)는 콜 옵션에 대하여이고 풋 옵션에 대하여이며; Δs는 옵션이 행사될 수 있는 시점인 시점 s 후의 증분적 시간(incremental time)이며; E는 리스크 중립 확률 측도 하에서의 기대값이고; 선물 가격은 다음 수식에 따라 계산된다.is a recursive solution to , where the payoff is for a call option and about the put option is; Δs is optional and the incremental time (incremental time) after the time point s that may be exercised; E is the expected value under the risk-neutral probability measure; gift price is calculated according to the following formula.
단계 3. 2A의 경우에는, 2B의 경우에는를 이용하여 국채 선도들에 대한 유럽형 옵션들의 가격들을 계산하는바, 이에는 잠시디안 수식(Jamshidian formula)(1989)이 이용된다:Step 3. In case of 2A , in the case of 2B Calculate the prices of European options on government bond forwards using the Jamshidian formula (1989):
그리고and
인바, 여기에서Inba, here
그리고 r*(K)는이 되는 값이다.and r* (K) is is the value to be
2B의 경우에 선도들에 대한 옵션들에 관한 공식에서 선물 옵션들로 교정된 리스크-프리미엄들(risk-premiums)을 이용하기 위하여, 리스크-프리미엄 스큐는 변환:To use the risk-premiums corrected for futures options in the formula for options on forwards in case 2B, risk-premium skew is converted to:
에 의하여로 기울어지는바(tilted), 여기에서 Ft(rt; T, TN)는 모델 기반 선도 가격(model-based forward price)이고,는 시장 선물 가격이다.by , where Ft (rt ; T, TN ) is the model-based forward price, is the market futures price.
선도 가격 Ft(rt; T, TN)은를 이용하여 계산되는바, 여기에서는 고정점(fixed-point) 문제:The forward price Ft (rt ; T, TN ) is It is calculated using is a fixed-point problem:
= 초기 추측값= initial guess
을 통하여 찾아지고,는 리스크-프리미엄이와 같은 때에 모델에 의해 예측되는 선도 가격이다.is found through is the risk-premium It is the forward price predicted by the model at the same time as .
표준화된 롤 일자(standardized roll dates){예컨대 3월, 6월, 9월, 12월의 분기 롤(quarterly rolls)}에 기초하여 주기적으로 거래되는 GB 선도 및 선도 옵션 시장들에 대하여, 변동 만기(varying maturities)의 2개 이상의 선도 옵션이 조합되어 이용됨으로써, 이용되는 최단 만기와 최장 만기 사이의 임의의 만기에 대응되는 만기를 가진 지수가 계산될 수 있다. 동일한 방법론이 GB 선물 및 선물 옵션들의 경우에 이용될 수 있다.For GB forward and forward options markets traded periodically based on standardized roll dates (eg, quarterly rolls of March, June, September, December), variable expiration ( By using two or more forward options of varying maturities in combination, an index with an expiration corresponding to any expiration between the shortest and longest expirations used can be calculated. The same methodology can be used for GB futures and futures options.
제1의 비한정적 예시로서 GB 선도 및 선도 옵션이 만기 사이클(maturity cycles)을 가지고 거래되는 경우에, 가장 가까운 롤 일자 및 다음 롤 일자를 가지고 "샌드위치 조합(sandwich combination)"을 이용하여 지수가 계산될 수 있는바, m 개월 투자기간을 가지는 변동성 지수는As a first non-limiting example, where GB forward and forward options are traded with maturity cycles, the index is calculated using a "sandwich combination" with the nearest roll date and next roll date. Possibly, the volatility index with an investment period of m months is
로 계산되는바, 여기에서이고이며; d는 1개월의 일수이며; Vt(Ti)는 퍼센티지 국채 가격 변동성 지수의 경우에는 S(t, Ti, TN)와 동일하고 베이시스 포인트 국채 가격 변동성 지수의 경우에는 Sbp(t, Ti, TN)와 동일하며; xt는is calculated as, where ego is; d is the number of days in a month; Vt (Ti ) is equal to S(t,Ti , TN) for the Percentage Treasury Volatility Index and S bp (t, Ti , TN ) for the Basis Point Treasury Volatility Index and; xt is
인 가중치인바, 이는 식is the weight, which is the expression
의 표현으로 이어진다.leads to the expression of
베이시스 포인트 수익률 국채 변동성 지수의 경우에 대하여, 시점 t에서의 샌드위치 조합은For the case of the basis point yield Treasury Volatility Index, the sandwich combination at time t is
로 표현될 수 있고, 수정-듀레이션 기반 베이시스 포인트 수익률 국채 변동성 지수의 경우에 대하여, 시점 t에서의 샌드위치 조합은can be expressed as , and for the case of a modified-duration-based basis point-yield Treasury Volatility Index, the sandwich combination at time t is
로 표현될 수 있는바, 여기에서는 베이시스 포인트 국채 가격 변동성 지수에 대한 샌드위치 조합이고,는 퍼센티지 국채 가격 변동성 지수에 대한 샌드위치 조합이다.It can be expressed as, where is the sandwich combination for the basis point Treasury price volatility index, is the sandwich combination for the Percentage Treasury Price Volatility Index.
제2의 비한정적 예시로서 GB 선도 및 선도 옵션이 만기 사이클을 가지고 거래되는 경우에, 만기시까지의 시간이 축소(shrinking time)된 채, 특정 선물 옵션 계약의 스큐에 기초하여 변동성 지수가 계산될 수 있다. 예를 들어, 지수가 10년 국채에 대한 3개월로 만기되는 옵션에 기초한다면, 첫날의 지수는 다음 3개월에 걸친 예측 변동성을 반영할 것이고, 그 다음 날은 다음 3개월 빼기 1일에 걸친 예측 변동성을 반영할 것인바, 3개월 뒤 옵션 만기시에 지수가 당연 만기(naturally expires)될 때까지 이와 같다. 동일한 방법론이 GB 선물 및 선물 옵션들의 경우에 이용될 수 있다.As a second non-limiting example, where GB forward and forward options are traded with expiration cycles, the volatility index will be calculated based on the skew of a particular futures option contract with shrinking time to expiration. can For example, if the index is based on a 3-month option on a 10-year Treasury note, the index on the first day will reflect the forecast volatility over the next three months, and the next day will reflect the forecast over the next three months minus one day. This will reflect volatility, until the index naturally expires at option expiration in 3 months. The same methodology can be used for GB futures and futures options.
도 3은 본 발명에 따라 베이시스 포인트 국채 가격 변동성 지수를 계산 및 유포하기 위한 단계들의 일 실시례를 개괄(outline)하는 흐름도이다. 단계(302)에서, 전자 데이터 소스(electronic data source)로부터 데이터가 전자적으로 수신된다. 수신된 데이터에는 GB 옵션들에 관한 데이터가 포함된다. 단계(304)에서, 그 데이터는 기존의 기법들에 따라 정돈(clean) 및 정규화되고 GB 옵션 가격 데이터는 모든 가용한 만기/유예기간/행사가격의 조합에 대한 지수 수식에 대한 입력으로서 생성된다. 단계(306)에서, 옵션 가격들이 유럽형 국채 선물 옵션의 것이 아니라면, 선택적으로 그 가격들은, 대응되는 유럽형 국채 선물 옵션의 가격으로 변환될 수 있다. 단계(308)에서, 모든 가용한 행사가격에 대한 만기 및 유예기간 조합 각각에 대한 가격들이, 위에서 보인 수식(BP_GBVI)에 입력되어 베이시스 포인트 GB 변동성 지수가 계산된다.3 is a flow diagram outlining one embodiment of steps for calculating and disseminating a basis point government bond price volatility index in accordance with the present invention. In
도 4는 본 발명에 따라 퍼센티지 국채 가격 변동성 지수를 계산 및 유포하기 위한 단계들의 일 실시례를 개괄하는 흐름도이다. 단계(402)에서, 전자 데이터 소스로부터 데이터가 전자적으로 수신된다. 수신된 데이터에는, GB 옵션들에 관한 데이터가 포함된다. 단계(404)에서, 그 데이터는 기존의 기법들에 따라 정돈 및 정규화되고 GB 옵션 가격 데이터는 모든 가용한 만기/유예기간/행사가격의 조합에 대한 지수 수식에 대한 입력으로서 생성된다. 단계(406)에서, 옵션 가격들이 유럽형 국채 선물 옵션의 것이 아니라면, 선택적으로 그 가격들은, 대응되는 유럽형 국채 선물 옵션의 가격으로 변환될 수 있다. 단계(408)에서, 모든 가용한 행사가격에 대한 만기 및 유예기간 조합 각각에 대한 가격들이, 위에서 보인 수식(PCT_GBVI)에 입력되어 퍼센티지 국채 가격 변동성 지수가 계산된다.4 is a flow diagram outlining one embodiment of the steps for calculating and disseminating a Percentage Treasury Price Volatility Index in accordance with the present invention. At 402 , data is received electronically from an electronic data source. The received data includes data pertaining to GB options. In
도 6은 본 발명에 따라 베이시스 포인트 국채 수익률 변동성 지수를 계산 및 유포하기 위한 단계들의 일 실시례를 개괄하는 흐름도이다. 단계(602)에서, 전자 데이터 소스로부터 데이터가 전자적으로 수신된다. 수신된 데이터에는, GB 옵션들에 관한 데이터가 포함된다. 단계(604)에서, 그 데이터는 기존의 기법들에 따라 정돈 및 정규화되고 GB 옵션 가격 데이터는 모든 가용한 만기/유예기간/행사가격의 조합에 대한 지수 수식에 대한 입력으로서 생성된다. 단계(606)에서, 옵션 가격들이 유럽형 국채 선물 옵션의 것이 아니라면, 선택적으로 그 가격들은, 대응되는 유럽형 선물 옵션의 가격으로 변환될 수 있다. 단계(608)에서, 모든 가용한 행사가격에 대한 만기 및 유예기간 조합 각각에 대한 가격들이, 위에서 보인 수식(BPY_GBVI)에 입력되어 베이시스 포인트 국채 수익률 변동성 지수가 계산된다.6 is a flow diagram outlining one embodiment of the steps for calculating and disseminating a Basis Point Treasury Yield Volatility Index in accordance with the present invention. In
도 7은 본 발명에 따라 수정 듀레이션-기반 베이시스 포인트 국채 수익률 변동성 지수를 계산 및 유포하기 위한 단계들의 일 실시례를 개괄하는 흐름도이다. 단계(702)에서, 전자 데이터 소스로부터 데이터가 전자적으로 수신된다. 수신된 데이터에는, GB 옵션들에 관한 데이터가 포함된다. 단계(704)에서, 그 데이터는 기존의 기법들에 따라 정돈 및 정규화되고 GB 옵션 가격 데이터는 모든 가용한 만기/유예기간/행사가격의 조합에 대한 지수 수식에 대한 입력으로서 생상된다. 단계(706)에서, 옵션 가격들이 유럽형 국채 선물 옵션의 것이 아니라면, 선택적으로 그 가격들은, 대응되는 유럽형 선물 옵션의 가격으로 변환될 수 있다. 단계(708)에서, 모든 가용한 행사가격에 대한 만기 및 유예기간 조합 각각에 대한 가격들이, 위에서 보인 수식(MDBPY_GBVI)에 입력되어 수정 듀레이션-기반 베이시스 포인트 국채 수익률 변동성 지수가 계산된다.7 is a flow diagram outlining one embodiment of the steps for calculating and disseminating a modified duration-based basis point government bond yield volatility index in accordance with the present invention. At 702 , data is received electronically from an electronic data source. The received data includes data pertaining to GB options. In
도 3, 4, 6 및 7에 나타난 단계들은, 도 1, 2 및 5에 도시된 시스템들을 이용하여 수행될 수 있다.The steps shown in FIGS. 3, 4, 6 and 7 may be performed using the systems shown in FIGS. 1, 2 and 5 .
실시 예시들implementation examples
다음은 국채 변동성 지수들의 3가지 수식들을 구성하는 데에 본 발명의 방법론들이 어떻게 이용되는지에 대한 비한정적인 예시이다. 위에서 언급된 바와 같이, 베이시스 포인트 국채 가격 변동성 지수, 퍼센티지 국채 가격 변동성 지수, 베이시스 포인트 국채 수익률 변동성 지수, 및 수정 듀레이션 기반 베이시스 포인트 국채 수익률 변동성 지수의 실제 계산 및 유포는, 도 3에 도해된 예시로서의 계산 및 유포 시스템에 의해 수행된다.The following is a non-limiting example of how the methodologies of the present invention may be used to construct the three equations of Treasury Volatility Indices. As noted above, the actual calculation and dissemination of the basis point government bond price volatility index, the percentage government bond price volatility index, the basis point government bond yield volatility index, and the adjusted duration-based basis point government bond yield volatility index, as examples illustrated in FIG. It is carried out by the calculation and dissemination system.
본 예시는 가상 시장 상황(hypothetical market conditions)을 반영한 데이터를 활용한다. 제공된 데이터는 유럽형 선도 풋 옵션 및 콜 옵션의 프리미엄인바, 이는 1개월 만기의 10년 GB 선도에 대한 것이며, 소수로 표현되었다. 이 예시에 대한 데이터는 아래에서 표 1로 제공된다.This example utilizes data reflecting hypothetical market conditions. Data provided is the premium of European forward put and call options, which are for 10-year GB forwards with 1 month maturities and are expressed as decimals. Data for this example is provided in Table 1 below.
위에서 보여진 바와 같이, 표 1의 첫 2개의 열들에는, 행사가격 K 및 각각의 행사가격에 대한 퍼센티지 예측 변동성 IV(K)가 보고된다. 3번째 열 및 4번째 열은 콜 옵션 프리미엄 및 풋 옵션 프리미엄이다.As shown above, in the first two columns of Table 1, the strike price K and the percentage predicted volatility IV(K) for each strike are reported. Columns 3 and 4 are the call option premium and the put option premium.
아래에서 보이는 바와 같이 표 2는 각각 수식(BP_GBVI) 및 수식(PCT_GBVI)에 따르는 베이시스 포인트 국채 가격 변동성 지수, 및 퍼센티지 국채 가격 변동성 지수의 본 예시 계산에 관한 정보를 제공한다.As shown below, Table 2 provides information on this example calculation of the Basis Point Treasury Price Volatility Indices, and the Percent Treasury Price Volatility Indices according to the formulas (BP_GBVI) and (PCT_GBVI), respectively.
표 2의 2번째 열에는 GB 변동성 지수들의 실시례들의 계산에 입력된 등가격 및 외가격 GB 선도 옵션의 유형이 보여진다. 3번째 열에는 계산에 입력된 옵션 프리미엄이 보여지며; 4번째 열 및 5번째 열에는 각각의 옵션 프리미엄이 지수의 최종 계산을 대하여 가지는 가중치들이 보고되며; 마지막으로 6번째 열 및 7번째 열에는 적절한 가중치로 곱해진 각각의 외가격 옵션 프리미엄이 보고된다. "베이시스 포인트 기여분(Basis Point Contribution)"에 대하여는 3번째 열의 각각의 가격이 대응되는 4번째 열의 가중치에 의해 곱해지고, "퍼센티지 기여분(Percentage Contribution)"에 대하여는 3번째 열의 각각의 가격이 대응되는 5번째 열의 가중치에 의해 곱해진다.The second column of Table 2 shows the types of at-the-money and out-of-the-money GB forward options entered into the calculation of the Examples of GB Volatility Indices. The third column shows the option premium entered into the calculation; Columns 4 and 5 report the weights each option premium has for the final calculation of the index; Finally, columns 6 and 7 report the respective out-of-the-money option premium multiplied by the appropriate weight. For "Basis Point Contribution", each price in column 3 is multiplied by the corresponding weight in column 4, and for "Percentage Contribution" each price in column 3 equals a corresponding 5 It is multiplied by the weight of the second column.
따라서 이 예시에 제공된 데이터에 따르면, 베이시스 포인트 국채 가격 변동성 지수 및 퍼센티지 국채 가격 변동성 지수의 실시례들은 각각 다음과 같이 계산된다:Thus, according to the data provided in this example, the examples of the basis point Treasury price volatility index and the percentage Treasury price volatility index are calculated as follows, respectively:
그리고and
..
제곱근 안쪽의 리스케일링 인수(rescaling factor), 즉 (1/0.9980)은 1개월로 만기되는 무이표부 국채의 역수(inverse)이다.The rescaling factor inside the square root, i.e. (1/0.9980), is the inverse of a one-month coupon-free Treasury bond.
그렇다면 베이시스 포인트 수익률 국채 변동성 지수 값은If so, the value of the Basis Point Yield Treasury Volatility Index is
에 대하여 먼저 풀이함으로써 계산될 수 있으며, 그 후 n=1, N=10 및 Ci=4로 놓고(assuming),can be calculated by first solving for
의 내재 수익률(implied yield)을 얻는바, 이는We get the implied yield of
및and
로 이어진다.leads to
비교를 위한 것으로서, 등가격 내재 베이시스 포인트 변동성 및 퍼센티지 변동성은 IVBP(ATM)=597.96 및 IV(ATM)=4.53%이다.For comparison, at-the-money implied basis point volatility and percentage volatility are IVBP (ATM)=597.96 and IV(ATM)=4.53%.
이 비한정적 예시에서, 베이시스 포인트 지수는 1002에 의해 다시 스케일링(rescale)되어, 시장 실무를 모방해 베이시스 포인트 내재 변동성을 레이트(rates) 곱하기 log 변동성으로 표현하는바, 여기에서 레이트 및 log 변동성 둘 모두는 100으로 곱해진다.In this non-limiting example, the basis point index isrescaled by 100 2 to mimic market practice to express the basis point implied volatility as rates times log volatility, where both rate and log volatility are All are multiplied by 100.
본 발명의 실시례에 따르면, 본 발명의 실시례들에 따라 계산되는 지수들은 옵션 및 선물 거래와 같은 파생 상품 계약들에 대한 본래의 가치(underlying value)로서 기능할 수 있다. 더 구체적으로, 본 발명의 일 실시례에 따르면, 국채 변동성 지수(GB-VI)는 다양한 만기 및 기초자산 유예기간의 GB 선물 가격의 변동성을 거래 하기 위하여 설계된 파생 상품 계약들의 기초 기준(underlying reference)으로서 기능할 수 있다. 특히, 지수에 기초한 다양한 만기의 선물 및 옵션 계약들은 장외(OTC) 거래될 수 있으며, 그리고/또는 거래소에서 목록화될 수 있다.In accordance with an embodiment of the present invention, indices calculated in accordance with embodiments of the present invention may serve as the underlying value for derivative contracts such as options and futures trading. More specifically, according to one embodiment of the present invention, the Government Bond Volatility Index (GB-VI) is an underlying reference for derivative contracts designed to trade the volatility of GB futures prices of various maturities and underlying grace periods. can function as In particular, futures and options contracts of various maturities based on indices may be traded over the counter (OTC) and/or listed on an exchange.
위에서 개시된 국채 변동성 지수에 기초한 파생 상품 증서들은, 거래소에서 거래되는 표준화된 계약들, 및 장외 계약들로 생성될 수 있다. 국채 선물/선도 옵션들에 기초한 국채 변동성 지수(GB-VI)가 계산되면, 지수는 파생 상품 계약을 생성하는 데에 이용되기 위하여 접근(access)될 수 있으며, 파생 상품 계약에는 고유(unique) 기호가 할당될 수 있다. 일반적으로 GB-VI 파생 상품 계약에는, 표준화된 GB-VI 파생 상품 계약의 유형에 대한 표준 식별자(standard identifier)로서 기능하는 임의의 고유 기호가 할당될 수 있다. GB-VI 및/또는 GB-VI 파생 상품 계약에 연관된 정보는 디스플레이를 위하여 송신될 수 있는바, 예컨대 거래 플랫폼 상에 GB-VI 지수 및/또는 GB-VI 파생 상품을 목록화하도록 정보를 송신한다. 디스플레이를 위하여 송신될 수 있는 정보의 유형의 예시들에는, GB-VI 파생 상품의 결제 가격(settlement price), GB-VI 파생 상품에 관한 입찰 또는 오퍼, GB-VI 지수의 가치, 및/또는 GB-VI가 연관된 기초 옵션(underlying option)의 가치가 포함된다.Derivative instruments based on the Treasury Volatility Index disclosed above can be created with standardized contracts traded on an exchange, and over-the-counter contracts. Once the Treasury Volatility Index (GB-VI) based on Treasury futures/forward options is calculated, the index can be accessed for use in creating derivative contracts, with a unique symbol for derivative contracts. can be assigned. In general, a GB-VI derivatives contract may be assigned any unique symbol that serves as a standard identifier for a type of standardized GB-VI derivatives contract. Information related to GB-VI and/or GB-VI derivative contracts may be transmitted for display, such as sending information to catalog GB-VI indices and/or GB-VI derivatives on a trading platform. . Examples of the types of information that may be transmitted for display include the settlement price of a GB-VI derivative, a bid or offer for a GB-VI derivative, the value of the GB-VI index, and/or GB The value of the underlying option to which -VI is associated is included.
일반적으로, GB-VI 파생 상품 계약은 전자 플랫폼, 큰 소리 매매 플랫폼(open outcry platform), 전자 플랫폼과 큰 소리 매매 플랫폼(open outcry platform)을 조합한 혼성 환경, 또는 기타 본 발명 기술분야에서 알려져 있는 플랫폼 유형 상에서 목록화될 수 있다. 혼성 거래 환경의 일 예시는 2003년 4월 24일에 출원된 미국 특허 제7,613,650호에 개시되어 있는바, 그 전체는 본 명세서에 참조 병합된다. 추가적으로, 거래소와 같은 거래 플랫폼은 유동성 공급자들의 GB-VI 파생 상품 계약의 시세(quotes)를 유포 네트워크(dissemination network) 상에서 다른 시장 참가자들에게 송신할 수 있다. 유동성 공급자는 지정 주요 시장 조성자들(Designated Primary Market Makers; "DPM"), 시장 조성자들, 내국인들(locals), 전문가들, 거래 권한 소유자들(trading privilege holders), 등록 거래자들, 회원들, 또는 기타 거래 플랫폼에 분산 파생 상품(variance derivative)의 가격 매김(quote)을 제공할 수 있는 임의의 존재(entity)를 포함할 수 있다. 유포 네트워크는 옵션 가격 보고 기관(Options Price Reporting Authority; "OPRA"), CBOE 선물 네트워크, 인터넷 웹사이트, 또는 전자 메일 통신 네트워크들을 통한 전자 메일 알림(email alerts)과 같은 네트워크들을 포함할 수 있다. 시장 참가자들은 유동성 공급자들, 종합 증권회사(brokerage firm)들, 일반 투자자들, 또는 유포 네트워크로부터 수신(subscribe)받는 기타 임의의 존재를 포함할 수 있다.In general, a GB-VI derivatives contract is an electronic platform, an open outcry platform, a hybrid environment combining an electronic platform and an open outcry platform, or any other known in the art of the present invention. It can be listed on the platform type. One example of a hybrid trading environment is disclosed in US Pat. No. 7,613,650, filed on April 24, 2003, which is incorporated herein by reference in its entirety. Additionally, a trading platform, such as an exchange, may transmit quotes of liquidity providers' GB-VI derivative contracts to other market participants on a dissemination network. Liquidity Providers may include Designated Primary Market Makers (“DPM”), market makers, locals, experts, trading privilege holders, registered traders, members, or It may include any entity capable of providing a quote for variance derivatives to other trading platforms. The dissemination network may include networks such as the Options Price Reporting Authority (“OPRA”), the CBOE Futures Network, an Internet website, or email alerts via electronic mail communication networks. Market participants may include liquidity providers, brokerage firms, general investors, or any other entity subscribed to from a distribution network.
거래 플랫폼은, GB-VI 파생 상품의 매수 주문 및 매도 주문를 실행할 수 있으며, 그리고 기초 옵션들의 GB-VI를 계산하는 단계, GB-VI 지수에 접근하는 단계, 디스플레이(GB-VI 및/또는 GB-VI 파생 상품을 거래 플랫폼 상에 목록화)를 위하여 GB-VI 지수 및/또는 GB-VI 파생 상품에 대한 정보를 송신하는 단계, GB-VI 및/또는 GB-VI 파생 상품을 유포 네트워크 상에서 유포하는 단계, 및 GB-VI 파생 상품의 매수 주문 및 매도 주문을 실행하는 단계를 GB-VI 파생 상품 계약이 결제(settled)될 때까지 반복할 수 있다.The trading platform may execute buy and sell orders of GB-VI derivatives, and calculate the GB-VI of the underlying options, access the GB-VI index, display (GB-VI and/or GB-VI Transmitting information about GB-VI Index and/or GB-VI Derivatives for cataloging VI Derivatives on the trading platform, distributing GB-VI and/or GB-VI Derivatives on the distribution network The steps and the steps of executing the buy and sell orders of the GB-VI derivatives may be repeated until the GB-VI derivatives contract is settled.
몇몇 실시례에서, GB-VI 파생 상품 계약은 거래소에 의해 운용되는 패리뮤추얼(parimutuel) 경매를 통하여 거래될 수 있고, 기초 자산(underlying equity)의 로그 수익(log returns)의 GB-VI 지수에 기초하여 현금-결제(cash-settled)될 수 있다. 전자 패리뮤추얼(electronic parimutuel) 경매, 또는 네덜란드식(Dutch) 경매 시스템은 주기적인 경매들을 개최(conduct)하는바, 내가격으로 결제하는 모든 계약들에는, 외가격으로 결제하는 계약들에 대해 수집된 프리미엄들에 의한 자금이 제공(funded)된다.In some embodiments, a GB-VI derivatives contract may be traded through a parimutuel auction operated by an exchange, based on the GB-VI index of log returns of the underlying equity. can be cash-settled. An electronic parimutuel auction, or Dutch auction system, conducts periodic auctions, in which all contracts that settle in-the-money are Funded by premiums.
언급된 바와 같이, 패리뮤추얼 경매에서, 내가격으로 결제하는 모든 계약들은 외가격으로 결제하는 계약들에 의해 자금이 제공된다. 따라서 경매 처리가 완료되면 시스템의 총 노출도(net exposure)는 영이 되어, 시간 경과에 따른 미결제 거래 잔고(open interest)의 축적은 없다. 추가적으로, 패리뮤추얼 경매에서의 계약들의 가격은 상대적 수요(relative demand)에 의존하는바; 행사가격(strike)이 더 인기 있을수록 그 가치도 커진다. 달리 말하자면, 패리뮤추얼 경매는 가격을 설정하는 데 있어서 시장 조성자들에 의존하지 않는바; 그 대신, 가격은 경매로 오는 주문 스트림(stream of orders)을 반영하게끔 계속적으로 조정된다. 전형적으로는, 각각의 주문이 시스템에 입력됨에 따라, 수요가 많은(sought-after) 행사가격의 가격뿐만이 아니라, 그 경매에서 가용한 기타 모든 가용한 행사가격에도 영향이 미친다. 그러한 시나리오에서, 더 많은 수요의 행사가격들에 대한 가격이 상승함에 따라, 시스템은 가장 수요가 적은 행사가격들에 대한 가격들을 하향 조정한다. 게다가 상기 처리는 많은 종래 시장들에서와 같이 특정 매수 주문들을 특정 매도 주문들과 매칭(match)시키는 것을 요하지 않는다. 그 대신에, 모든 매수 주문과 매도 주문은 단일의 유동성 풀(pool of liquidity)에 입력되며, 각각의 주문은 상이한 행사가격의 다른 주문들을 위한 유동성을 제공할 수 있고, 유동성이 유지됨으로써 시스템 노출도(system exposure)는 영으로 유지된다. 이런 형식(format)은 유동성을 최대화하는바, 그 유동성은 거래 가능한 기초자산 증서(underlying instrument)가 없을 때의 중요한 특징(key feature)이다.As mentioned, in a parimutual auction, all contracts that settle in-the-money are funded by contracts that settle out-of-the-money. Therefore, when the auction process is completed, the net exposure of the system becomes zero, and there is no accumulation of open interest over time. Additionally, the price of contracts in a parimutual auction depends on relative demand; The more popular the strike, the greater its value. In other words, parimutual auctions do not rely on market makers to set prices; Instead, prices are continually adjusted to reflect the stream of orders coming to the auction. Typically, as each order is entered into the system, it affects not only the price of the bought-after strike, but also all other available strikes available at the auction. In such a scenario, as the price for the more demanded strikes rises, the system adjusts the prices for the least-demanded strikes downward. Moreover, the process does not require matching particular buy orders with particular sell orders as in many conventional markets. Instead, all buy and sell orders are entered into a single pool of liquidity, each order can provide liquidity for other orders at different strike prices, and liquidity is maintained to increase system exposure. (system exposure) is maintained as a spirit. This format maximizes liquidity, which is a key feature in the absence of a tradable underlying instrument.
다음의 선물 계약들의 특징들은, 기초 자산으로서 본 발명의 지수를 가지는 선물 계약의 일 실시례를 설명한다. 이 특징들은 본 발명을 한정하려 하는 것이 아니고, 오히려 선물들의 공통된 특징들을 제시하기 위한 것이다.:The following features of futures contracts describe one embodiment of a futures contract with an index of the present invention as an underlying asset. These features are not intended to limit the invention, but rather to suggest common features of the gifts:
계약 크기(Contract Size): 계약의 1 단위의 명목 원금(notional amount)은 지수 수준의 배수로서 정의될 수 있는바, 이는 대상 지수(underlying index)의 통화에 의존할 수 있다. 장외 거래되는 때에, 그 승수는 거래별(on a trade-by-trade basis)로 관련된 당사자들 사이에서 교섭될 수 있다.Contract Size: The notional amount of one unit of a contract may be defined as a multiple of the index level, which may depend on the currency of the underlying index. When traded over the counter, the multiplier may be negotiated between the parties involved on a trade-by-trade basis.
계약 월수(Contract Months): 거래소는 미리 정해진 만기일들의 순서를 가지는 계약들을 목록화할 수 있는바, 그 만기일들은 예컨대 다음 6개월마다의 3번째 금요일이다. 이와 유사하게, 장외 딜러들은 미리 정해진 만기일들의 순서로 시장을 조성(make markets)할 수 있지만, 다른 날짜들로 만기되는 계약들에 대하여 거래별로 시장을 조성할 수도 있다.Contract Months: An exchange may list contracts with a predetermined sequence of expiration dates, eg the 3rd Friday of every next 6 months. Similarly, over-the-counter dealers may make markets in a sequence of predetermined expiration dates, but may also make markets on a transaction-by-trade basis for contracts that expire on different dates.
가격 매김 및 최소 가격 간격들(Quotation & Minimum Price Intervals): 지수에 기초한 선물들은 계약 당 명목 원금을 나타내는 포인트(points) 및 소수(decimals) 또는 분수들로 가격이 매겨질 수 있고, 계약들의 가격이 변동될 수 있는 최소 증분이 있을 수 있는바, 이들은 대상 지수의 통화에 의존할 수 있다. 장외 시장은 가격 매김 및 최소 틱(minimum ticks)에 대하여 상이한 관행들을 채용할 수 있다.Quotation & Minimum Price Intervals: Index-based futures can be priced in points and decimals or fractions representing the notional principal per contract, where the price of the contracts is There may be minimal increments that may fluctuate, which may depend on the currency of the target index. The over-the-counter market may employ different practices for pricing and minimum ticks.
최종 거래일: 각각의 계약에 대하여 최종 거래일이 특정될 것이다.Last Trading Date: For each contract the last trading date will be specified.
최종 결제일: 각각의 거래에 대하여 최종 결제일이 특정될 것이다.Last Settlement Date: For each transaction a final settlement date will be specified.
최종 결제 가치: 최종 결제 가치는 결제일의 미리 특정된 시점에 있어서 계산되는 지수의 수준에 기초할 것이다.Final Settlement Value: The Last Settlement Value will be based on the level of the index calculated at a pre-specified point in the Settlement Date.
인도(Delivery): 지수에 기초한 선물의 결제는 현금 결제량을 인도하는 형태를 취할 것이고, 지급일은 최종 결제일에 관련되어 특정될 것이다.Delivery: Settlement of futures based on an index will take the form of delivery of a cash settlement, and a payment date will be specified relative to the last settlement date.
거래소에서 거래되는 때에 추가적인 상세사항들: 거래소에서 거래되는 때에, 거래 플랫폼, 증거금 요건, 거래 시간, 교차주문 규칙들(order crossing rules), 대량 매매 규칙들(block trading rules), 보고 규칙들(reporting rules), 및 기타 세부사항들이 특정될 수 있다.Additional details when trading on an exchange: when trading on an exchange, trading platform, margin requirements, trading hours, order crossing rules, block trading rules, reporting rules rules), and other details may be specified.
다음의 옵션 계약들의 특징들은, 기초 자산으로서 본 발명의 지수를 가지는 옵션 계약의 일 실시례를 설명한다. 그 특징들은 본 발명을 한정하려 하는 것이 아니고, 오히려 옵션들의 공통된 특징들을 제시하기 위한 것이다.:The following features of option contracts describe one embodiment of an option contract having the index of the present invention as an underlying asset. The features are not intended to limit the invention, but rather to present common features of the options:
계약 크기: 계약의 1 단위의 명목 원금은 지수 수준의 배수로서 정의될 수 있는바, 이는 대상 지수의 통화에 의존할 수 있다. 장외 거래되는 때에, 그 승수는 거래별로 관련된 당사자들 사이에서 교섭될 수 있다.Contract Size: The nominal principal of one unit of a contract can be defined as a multiple of the index level, which may depend on the currency of the target index. When traded over the counter, the multiplier may be negotiated between the parties involved on a per trade basis.
계약 월수: 거래소는 미리 정해진 만기일들의 순서를 가지는 계약들을 목록화할 수 있는바, 그 만기일들은 예컨대 다음 6개월마다의 3번째 금요일이다. 이와 유사하게, 장외 딜러들은 미리 정해진 만기일들의 순서로 시장을 조성할 수 있지만, 다른 날짜들로 만기되는 계약들에 대하여 거래별로 시장을 조성할 수도 있다.Number of Contract Months: An exchange can list contracts with a predetermined sequence of expiration dates, eg the 3rd Friday of every next 6 months. Similarly, over-the-counter dealers may market in a predetermined sequence of expiration dates, but may market on a per-trade basis for contracts that expire on different dates.
행사가격(Strike Prices): 각각의 통화에 대해서, 내가격 행사가격, 등가격 행사가격, 외가격 행사가격인 행사가격들이 거래소에 의해 목록화되거나 장외 딜러들에 의해 매겨질 수 있고, 선물 가격들이 오르내림에 따라 새로운 행사가격들이 거래될 수 있다. 거래소 또는 장외 딜러의 공동체(community)는, 대상 지수의 통화에 따른 행사가격들 사이의 최소 증분을 고정시킬 수 있다.Strike Prices: For each currency, strike prices that are in-the-money strike, at-the-money, and out-of-the-money strike prices can be listed by an exchange or set by over-the-counter dealers, and futures prices are As it goes up and down, new strike prices can be traded. An exchange or a community of over-the-counter dealers may fix a minimum increment between strike prices according to the currency of the target index.
가격 매김 및 최소 가격 간격들: 지수에 기초한 옵션들은 계약 당 명목 원금을 나타내는 포인트 및 소수 또는 분수들로 가격이 매겨질 수 있고, 계약들의 가격이 변동될 수 있는 최소 증분이 있을 수 있는바, 이들은 대상 지수의 통화에 의존할 수 있다. 장외 시장은 가격 매김 및 최소 틱에 대하여 상이한 관행들을 채용할 수 있다.Pricing and Minimum Price Intervals: Options based on an index may be priced in points and decimals or fractions representing the notional principal per contract, and there may be a minimum increment in which the prices of the contracts may fluctuate, which are subject to May depend on the currency of the index. The over-the-counter market may employ different practices for pricing and minimum ticks.
행사 형식(Exercise Style): GB-VI에 대하여 팔린 옵션들은 유럽형인 경향이 있지만 이에 한정되는 것은 아니다. 미국형 계약도 본 발명의 지수를 기초 자산으로 가질 수 있는 것으로 상정된다.Exercise Style: Options sold for GB-VI tend to be European, but are not limited to this. It is contemplated that US contracts may also have the index of the present invention as an underlying asset.
만기일: 각각의 계약에 대하여 만기일이 특정될 것이다.Expiration Date: For each contract an expiration date will be specified.
최종 거래일: 각각의 계약에 대하여 최종 거래일이 특정될 것이다.Last Trading Date: For each contract the last trading date will be specified.
행사의 결제(Settlement of Exercise): 최종 결제 가치는 결제일의 미리 특정된 시점에 있어서 계산되는 지수의 수준에 기초할 것이다. 현금 결제량은 지수 수준과 행사가격 사이의 차이일 것인바, 이는 승수에 의하여 조정할 수 있으며, 그리고 지급일은 만기일에 관련되어 특정될 것이다.Settlement of Exercise: The final settlement value will be based on the level of the index calculated at a pre-specified point in the settlement date. The cash settlement will be the difference between the index level and the strike price, which can be adjusted by a multiplier, and the payout date will be specified relative to the maturity date.
거래소에서 거래되는 때에 추가적인 상세사항들: 거래소에서 거래되는 때에, 거래 플랫폼, 증거금 요건, 거래 시간, 보고 규칙들, 및 기타 세부사항들이 특정될 수 있다.Additional details when trading on an exchange: When trading on an exchange, the trading platform, margin requirements, trading hours, reporting rules, and other details may be specified.
본 발명의 다른 실시례들에 따르면, 본 발명의 지수들을 추종(track) 또는 참조하는 기타 금융 상품들이 생성될 수 있다. 그러한 상품들에는, 거래소에서 목록화된, 거래소에서 거래되는 펀드들(ETF) 및 거래소에서 거래되는 채권들(ETN), 및 금융 기관에 의해 판매되는 구조성 상품들(structured products)이 포함되지만, 이에 한정되지는 않는다.In accordance with other embodiments of the present invention, other financial instruments may be created that track or reference the indices of the present invention. Such products include exchange-traded funds (ETFs) and exchange-traded bonds (ETNs), and structured products sold by financial institutions, which are listed on an exchange; However, the present invention is not limited thereto.
전술한 설명은 본 발명의 특정 실시례들에 관한 것이었다. 그러나, 그 설명된 실시례들의 장점들 중 일부 또는 전부를 유지한 채, 기타 변형 또는 수정이 그 실시례들에 대하여 이루어질 수 있다는 점은 분명할 것이다.The foregoing description has been directed to specific embodiments of the present invention. However, it will be apparent that other variations or modifications may be made to the described embodiments while retaining some or all of the advantages thereof.
| Application Number | Priority Date | Filing Date | Title |
|---|---|---|---|
| US13/842,197US20130317963A1 (en) | 2012-05-22 | 2013-03-15 | Methods and systems for creating a government bond volatility index and trading derivative products thereon |
| US13/842,197 | 2013-03-15 | ||
| US13/931,114 | 2013-06-28 | ||
| US13/931,114US20140040164A1 (en) | 2012-05-22 | 2013-06-28 | Methods and Systems for Creating a Government Bond Volatility Index and Trading Derivative Products Based Thereon |
| US13/970,193 | 2013-08-19 | ||
| US13/970,193US20130332333A1 (en) | 2012-05-22 | 2013-08-19 | Methods and Systems for Creating a Government Bond Volatility Index and Trading Derivative Products Based Thereon |
| PCT/US2013/071174WO2014143214A1 (en) | 2013-03-15 | 2013-11-21 | Methods and systems for creating a government bond volatility index and trading derivative products based thereon |
| Publication Number | Publication Date |
|---|---|
| KR20150128745A KR20150128745A (en) | 2015-11-18 |
| KR102298049B1true KR102298049B1 (en) | 2021-09-06 |
| Application Number | Title | Priority Date | Filing Date |
|---|---|---|---|
| KR1020157026255AActiveKR102298049B1 (en) | 2013-03-15 | 2013-11-21 | Methods and systems for creating a government bond volatility index and trading derivative products based thereon |
| Country | Link |
|---|---|
| JP (2) | JP2016510923A (en) |
| KR (1) | KR102298049B1 (en) |
| CN (1) | CN105339973A (en) |
| AU (1) | AU2013381695A1 (en) |
| HK (1) | HK1221542A1 (en) |
| IL (1) | IL240925A0 (en) |
| RU (1) | RU2678647C2 (en) |
| SG (1) | SG11201507284XA (en) |
| WO (1) | WO2014143214A1 (en) |
| Publication number | Priority date | Publication date | Assignee | Title |
|---|---|---|---|---|
| CN108765163A (en)* | 2018-05-16 | 2018-11-06 | 平安科技(深圳)有限公司 | Construction method, device and the computer readable storage medium of bond ETF |
| Publication number | Priority date | Publication date | Assignee | Title |
|---|---|---|---|---|
| US20050102214A1 (en) | 2003-11-12 | 2005-05-12 | Chicago Board Options Exchange | Volatility index and derivative contracts based thereon |
| US20090182684A1 (en)* | 2007-11-09 | 2009-07-16 | Catherine Shalen | Method and system for creating a volatility benchmark index |
| JP2010530576A (en) | 2007-06-08 | 2010-09-09 | エクセジー・インコーポレイテツド | Fast option pricing method and system |
| US20130018769A1 (en)* | 2011-07-14 | 2013-01-17 | James Boudreault | Listing and expiring cash settled on-the-run treasury futures contracts |
| Publication number | Priority date | Publication date | Assignee | Title |
|---|---|---|---|---|
| US5905974A (en)* | 1996-12-13 | 1999-05-18 | Cantor Fitzgerald Securities | Automated auction protocol processor |
| WO2001086569A1 (en)* | 2000-05-10 | 2001-11-15 | Macro Securities Research, Llc. | Techniques for investing in proxy assets |
| JP2004013334A (en)* | 2002-06-04 | 2004-01-15 | Toshiba Corp | Dealing support method, dealing terminal and dealing support program |
| US8032440B1 (en)* | 2002-10-30 | 2011-10-04 | Optionmetrics LLC | Method of determining implied volatility for American options |
| KR20070120191A (en)* | 2005-04-11 | 2007-12-21 | 슈퍼디리베이티브스 아이엔씨 | Method and system of pricing financial instruments |
| US20110035313A1 (en)* | 2005-07-11 | 2011-02-10 | Bruce David Silverman | American and European style Win, Lose or Draw derivative instruments |
| US7752123B2 (en)* | 2006-04-28 | 2010-07-06 | Townsend Analytics Ltd. | Order management system and method for electronic securities trading |
| JP2007328495A (en)* | 2006-06-07 | 2007-12-20 | Quick Corp | Option transaction support system, option transaction support method, and option transaction support program |
| US8140425B2 (en)* | 2006-11-13 | 2012-03-20 | Chicago Board Options Exchange, Incorporated | Method and system for generating and trading derivative investment instruments based on a volatility arbitrage benchmark index |
| US20100287113A1 (en)* | 2009-05-08 | 2010-11-11 | Lo Andrew W | System and process for managing beta-controlled porfolios |
| US20130317963A1 (en)* | 2012-05-22 | 2013-11-28 | Applied Academics Llc | Methods and systems for creating a government bond volatility index and trading derivative products thereon |
| Publication number | Priority date | Publication date | Assignee | Title |
|---|---|---|---|---|
| US20050102214A1 (en) | 2003-11-12 | 2005-05-12 | Chicago Board Options Exchange | Volatility index and derivative contracts based thereon |
| JP2010530576A (en) | 2007-06-08 | 2010-09-09 | エクセジー・インコーポレイテツド | Fast option pricing method and system |
| US20090182684A1 (en)* | 2007-11-09 | 2009-07-16 | Catherine Shalen | Method and system for creating a volatility benchmark index |
| US20130018769A1 (en)* | 2011-07-14 | 2013-01-17 | James Boudreault | Listing and expiring cash settled on-the-run treasury futures contracts |
| Publication number | Publication date |
|---|---|
| KR20150128745A (en) | 2015-11-18 |
| WO2014143214A1 (en) | 2014-09-18 |
| JP2016510923A (en) | 2016-04-11 |
| RU2015144062A (en) | 2017-04-28 |
| RU2678647C2 (en) | 2019-01-30 |
| SG11201507284XA (en) | 2015-10-29 |
| JP2019040615A (en) | 2019-03-14 |
| IL240925A0 (en) | 2015-10-29 |
| CN105339973A (en) | 2016-02-17 |
| HK1221542A1 (en) | 2017-06-02 |
| AU2013381695A1 (en) | 2015-11-05 |
| Publication | Publication Date | Title |
|---|---|---|
| US20180144401A1 (en) | Method of creating and trading derivative investment products based on an average price of an underlying asset during a calculation period | |
| US7949586B2 (en) | Method and system for creating and trading derivative investment instruments based on an index of collateralized options | |
| US20070073608A1 (en) | Cash only marketplace system for trading securities | |
| US20070112659A1 (en) | Method and system for generating and trading derivative investment instruments based on a covered stock portfolio benchmark index | |
| US20060253367A1 (en) | Method of creating and trading derivative investment products based on a volume weighted average price of an underlying asset | |
| US20190130485A1 (en) | Methods and systems for creating an interest rate swap volatility index and trading derivative products based thereon | |
| US20130317963A1 (en) | Methods and systems for creating a government bond volatility index and trading derivative products thereon | |
| US20170316501A1 (en) | Methods and systems for creating a time deposit volatility index and trading derivative products based thereon | |
| US20190026833A1 (en) | Methods and systems for creating a government bond volatility index and trading derivative products based thereon | |
| US8712891B1 (en) | Methods and systems for creating a tail risk hedge index and trading derivative products based thereon | |
| US20140258071A1 (en) | Method and system for creating and trading seller-paid margin derivative investment instruments | |
| US20170287073A1 (en) | Methods and systems for creating a credit volatility index and trading derivative products based thereon | |
| KR102298049B1 (en) | Methods and systems for creating a government bond volatility index and trading derivative products based thereon | |
| US20140012725A1 (en) | Methods and systems for creating a time deposit volatility index and trading derivative products based thereon | |
| CA3033393C (en) | System and method for automated generation and execution of instrument transactions | |
| US20140201055A1 (en) | Methods and Systems for Creating and Trading Derivative Investment Products Based on a Covariance Index | |
| US20140040164A1 (en) | Methods and Systems for Creating a Government Bond Volatility Index and Trading Derivative Products Based Thereon | |
| US20140012728A1 (en) | Methods and Systems for Creating a Time Deposit Volatility Index and Trading Derivative Products Based Thereon | |
| US8438094B2 (en) | Methods and systems for creating and trading derivative investment products based on a SKEW index | |
| US20190043128A1 (en) | Methods and systems for creating a credit volatility index and trading derivative products based thereon | |
| US20140304134A1 (en) | Methods and Systems for Creating and Trading Derivative Investment Products Based on a SKEW Index | |
| US20170161831A1 (en) | Product parameters defined with respect to another product | |
| US20170243261A1 (en) | Efficient Pricing System with Product Interdependencies |
| Date | Code | Title | Description |
|---|---|---|---|
| PA0105 | International application | St.27 status event code:A-0-1-A10-A15-nap-PA0105 | |
| P11-X000 | Amendment of application requested | St.27 status event code:A-2-2-P10-P11-nap-X000 | |
| P13-X000 | Application amended | St.27 status event code:A-2-2-P10-P13-nap-X000 | |
| PG1501 | Laying open of application | St.27 status event code:A-1-1-Q10-Q12-nap-PG1501 | |
| P22-X000 | Classification modified | St.27 status event code:A-2-2-P10-P22-nap-X000 | |
| R18-X000 | Changes to party contact information recorded | St.27 status event code:A-3-3-R10-R18-oth-X000 | |
| PA0201 | Request for examination | St.27 status event code:A-1-2-D10-D11-exm-PA0201 | |
| D13-X000 | Search requested | St.27 status event code:A-1-2-D10-D13-srh-X000 | |
| D14-X000 | Search report completed | St.27 status event code:A-1-2-D10-D14-srh-X000 | |
| E902 | Notification of reason for refusal | ||
| PE0902 | Notice of grounds for rejection | St.27 status event code:A-1-2-D10-D21-exm-PE0902 | |
| T11-X000 | Administrative time limit extension requested | St.27 status event code:U-3-3-T10-T11-oth-X000 | |
| E13-X000 | Pre-grant limitation requested | St.27 status event code:A-2-3-E10-E13-lim-X000 | |
| P11-X000 | Amendment of application requested | St.27 status event code:A-2-2-P10-P11-nap-X000 | |
| P13-X000 | Application amended | St.27 status event code:A-2-2-P10-P13-nap-X000 | |
| E90F | Notification of reason for final refusal | ||
| PE0902 | Notice of grounds for rejection | St.27 status event code:A-1-2-D10-D21-exm-PE0902 | |
| P11-X000 | Amendment of application requested | St.27 status event code:A-2-2-P10-P11-nap-X000 | |
| P13-X000 | Application amended | St.27 status event code:A-2-2-P10-P13-nap-X000 | |
| E701 | Decision to grant or registration of patent right | ||
| PE0701 | Decision of registration | St.27 status event code:A-1-2-D10-D22-exm-PE0701 | |
| GRNT | Written decision to grant | ||
| PR0701 | Registration of establishment | St.27 status event code:A-2-4-F10-F11-exm-PR0701 | |
| PR1002 | Payment of registration fee | St.27 status event code:A-2-2-U10-U12-oth-PR1002 Fee payment year number:1 | |
| PG1601 | Publication of registration | St.27 status event code:A-4-4-Q10-Q13-nap-PG1601 | |
| R18-X000 | Changes to party contact information recorded | St.27 status event code:A-5-5-R10-R18-oth-X000 | |
| PR1001 | Payment of annual fee | St.27 status event code:A-4-4-U10-U11-oth-PR1001 Fee payment year number:4 | |
| PR1001 | Payment of annual fee | St.27 status event code:A-4-4-U10-U11-oth-PR1001 Fee payment year number:5 |