






본 발명은 차세대 이동통신(LTE/5G/위성 등)기술과 다양한 센서가 포함된 셀룰러 기반 저전력 광역 IoT 기기를 추가 활용한 실시간 선박 원격 관리 및 식별 시스템에 관한 것이다.The present invention relates to a real-time ship remote management and identification system additionally utilizing a next-generation mobile communication (LTE/5G/satellite, etc.) technology and a cellular-based low-power wide area IoT device including various sensors.
기존의 선박 위치추적 및 선박 자동식별 시스템인 AIS(Automatic Identification System)와 원격 선박 관리 시스템의 단점은 인가되지 않은 제3자의 해킹공격 등에 의한 정보 유출 및 데이터 조작 가능성, 선박 내 설치한 AIS 통신기기의 예측하지 못한 통신장애 발생 혹은 고의로 통신기기의 전원을 미인가 시에 해당 선박과의 통신두절로 인하여, 실시간으로 선박을 식별 및 위치 추적하지 못하는 문제가 존재하다.The disadvantages of the existing ship location tracking and ship automatic identification system AIS (Automatic Identification System) and remote ship management system are the possibility of information leakage and data manipulation due to hacking attacks by unauthorized third parties, and the possibility of AIS communication devices installed in the ship. There is a problem in that it is impossible to identify and track the ship in real time due to the loss of communication with the ship when an unexpected communication failure occurs or the power of a communication device is deliberately not applied.
최근 들어, 이러한 종래의 선박 자동식별 및 장거리 해상통신의 단점을 보완하고, 예측하지 못한 해상사고를 대비하기 위하여 국제해사기구(IMO)에서 추진 중인 차세대 e-Navigation 필수 서비스 항목을 바탕으로, 정부 주도하에 대한민국 환경에 특화된 차세대 해상통신 시스템을 구축 및 개발하기 위해, 해상통신에 최적화된 LTE-Maritime, LTE-M, PS-LTE, 차세대 위성통신 등의 새로운 기술을 도입한 "한국형 e-NAVIGATION 사업을 위한 연구과제"가 활발하게 진행중에 있다.Recently, based on the next-generation e-Navigation essential service items being promoted by the International Maritime Organization (IMO) to compensate for the shortcomings of the conventional automatic identification of ships and long-distance maritime communication, and to prepare for unforeseen maritime accidents, government-led In order to build and develop the next-generation maritime communication system specialized in the Korean environment under the Research projects for "are actively in progress."
본 발명에서는 상술한 기존의 선박 자동식별 시스템(AIS)과 장거리 선박 추적 시스템인 LRIT(Long Range Identification and Tracking of ships)를 보완 및 대체하고, 더 나아가 예측하지 못한 해상 선박사고를 예방하기 위하여, 실시간으로 해상의 주요 동적 정보를 수집할 수 있는 다양한 센서가 결합된 IoT기기를 eMTC(Enhanced Machine-Type Communication)통신이 가능한 차세대 이동통신기술     (3GPP Release 13 이상)을 배경으로 한다.In the present invention, in order to supplement and replace the existing automatic ship identification system (AIS) and the long range ship tracking system LRIT (Long Range Identification and Tracking of ships) described above, and furthermore, to prevent unexpected maritime ship accidents, real-time As a background, next-generation mobile communication technology (
본 발명의 목적은 상술한 기존의 선박 원격 관리 시스템 및 식별 시스템의 단점을 보완하기 위한 시스템을 구현하는 것이다.An object of the present invention is to implement a system to compensate for the disadvantages of the existing ship remote management system and identification system described above.
또한, 본 발명은 다양한 센서가 결합 된 셀룰러 기반의 저전력 광역 IoT 기기를 이용하여 수집된 정보가 설정된 조건(값)에 만족할 시, 특정 이벤트를 발생하여 선박 내 위치한 컴퓨팅 장치로 즉시 보고 및 자동 제어 가능한 선박 시스템을 제공한다.In addition, the present invention generates a specific event when the information collected using a cellular-based low-power wide-area IoT device combined with various sensors satisfies a set condition (value), allowing immediate reporting and automatic control to a computing device located in the ship. Provide ship systems.
또한, 본 발명은 해상에서 발생 될 수 있는 예기치 못한 선박사고를 대비하기 위하여, 다양한 센서가 결합된 셀룰러 기반의 저전력 광역 IoT 기기와 연동 가능한 지능형 영상 CCTV를 이용하여 특정 이벤트(화재연기 발생, 비인가자 출입 등) 발생 시에 실시간으로 통신 시스템을 통해 자동으로 해상 관제 시스템에 전송 및 보고 할 수 있는 방법을 제공한다.In addition, in order to prepare for unexpected ship accidents that may occur at sea, the present invention uses an intelligent video CCTV that can be linked with a cellular-based low-power wide area IoT device combined with various sensors to provide a specific event (fire smoke occurrence, unauthorized persons It provides a method to automatically transmit and report to the maritime control system through the communication system in real time when an entry or exit) occurs.
또한, 본 발명은 선박 내 셀룰러 기반의 저전력 광역 IoT 기기와 사용자 단말기의 주요 식별정보, 네트워크 관련 정보 및 선박의 고유정보를 수집하고, 수집한 정보를 기반으로 선박의 위치를 식별할 수 있는 셀룰러 기반의 저전력 광역 IoT 기기를 이용한 선박의 원격 관리 및 식별 시스템을 제공한다.In addition, the present invention collects major identification information, network-related information, and ship-specific information of a cellular-based low-power wide area IoT device and user terminal in a ship, and a cellular-based capable of identifying the location of the ship based on the collected information. Provides a ship's remote management and identification system using low-power wide area IoT devices.
또한, 본 발명은 선박 내 설치된 복수의 셀룰러 기반의 저전력 광역 IoT 기기와 이동 통신 시스템 혹은 위성과의 통신이 두절되어 상기 선박의 실시간 위치추적 및 원활한 식별이 불가능할 경우, 해상 관제 시스템에서 인지할 수 있는 방안을 제공한다.In addition, the present invention is a case where communication between a plurality of cellular-based low-power wide area IoT devices installed in a ship and a mobile communication system or a satellite is cut off, and real-time location tracking and smooth identification of the ship is impossible, which can be recognized by the maritime control system. Provide a solution.
또한, 본 발명은 선박 내 설치된 셀룰러 기반의 저전력 광역 IoT 기기 내부에 eSIM을 탑재하여, 복수의 셀룰러 기반의 저전력 광역 IoT 기기의 주요식별정보(IMSI, IMEI)를 보다 원활하게 원격으로 관리 및 제어할 수 있으며, 기기의 주요 식별 정보 노출방지를 위해서 IMEI와 IMSI를 배타적 논리합(XOR)으로 연산한 RAND함수를 적용한 Key값을 이동 통신 시스템의 상호인증 AKA 프로토콜에 추가 적용 하거나, 이동 통신 시스템에서 RRC/NAS Security Mode Complete 과정을 수행한 뒤에 암호화된 메시지를 통하여 저전력 광역 IoT 기기의 주요 식별 정보를 전송하고, 전송하는 주요 식별정보가 유효하지 않을 경우, 비 인가된 접속을 즉시 차단하는 동시에 해당 기기에 대한 접속 시도 위치까지 역추적 할 수 있는 방안을 제공한다.In addition, the present invention mounts an eSIM inside a cellular-based low-power wide-area IoT device installed in a ship, so that key identification information (IMSI, IMEI) of a plurality of cellular-based low-power wide-area IoT devices can be more smoothly managed and controlled remotely. In order to prevent the exposure of the main identification information of the device, the key value applying the RAND function calculated by the exclusive OR (XOR) of IMEI and IMSI is additionally applied to the Mutual Authentication AKA protocol of the mobile communication system, or RRC/ After performing the NAS Security Mode Complete process, the main identification information of the low-power wide area IoT device is transmitted through an encrypted message, and if the main identification information to be transmitted is invalid, unauthorized access is immediately blocked and It provides a way to trace back to the access attempt location.
본 발명이 해결하고자 하는 과제는 상기에서 언급한 것으로 제한되지 않으며, 언급되지 않은 또 다른 해결하고 자 하는 과제는 아래의 기재들로부터 본 발명이 속하는 통상의 지식을 가진 자에 의해 명확하게 이해될 수 있을 것이다.The problem to be solved by the present invention is not limited to the ones mentioned above, and another problem to be solved that is not mentioned can be clearly understood by those of ordinary skill in the art from the following descriptions. There will be.
상술한 해결 과제를 감안한 본 발명의 실시예에 의하면, 선박의 내부에 설치된 복수의 셀룰러 기반의 광역 IoT(Internet of Things) 기기와, 이동통신 시스템 및 위성을 이용한 통신 과정 중, 상기 이동통신 시스템에서 수집된 네트워크 관련 정보를 기반으로 상기 선박, 사용자 단말기 및 상기 복수의 셀룰러 기반의 광역 IoT 기기의 위치를 확인하고, 상기 복수의 셀룰러 기반의 광역 IoT 기기의 IMEI(International Mobile Equipment Identity) 및 IMSI(International Mobile Station Identity)를 활용한 상호인증 AKA(Authentication and Key Agreement) 알고리즘을 기반으로, 상기 선박의 고유 정보를 추가 결합하여 상기 선박을 식별 및 관리하면서 상기 선박의 추적이 가능한 선박 원격 관리 시스템을 포함하되, 상기 선박 원격 관리 시스템은, 상기 복수의 셀룰러 기반의 광역 IoT 기기 및 센서로부터 전송받은 동적 정보 및 정적 정보를 클라우드 서버에 실시간 저장하고, 상기 클라우드 서버에 저장된 데이터를 기초로, 설정된 임계값 이상일 때 발생하는 이벤트가 발생되고, 주요 비상상황을 식별하기 위한 이벤트가 발생될 때, 상기 선박의 위치를 고려하여 상기 이동통신 시스템의 TAI(Tracking Area Identity), TAC(Tracking Area Code) 및 MME(Mobility Management Entity) 단위로 긴급 상황 별 경고 메시지를 상기 이동통신 시스템을 통해 상기 사용자 단말기로 자동 전송하는, 셀룰러 기반의 저전력 광역 IoT 기기를 이용한 실시간 선박 원격 관리 및 식별 시스템을 제공할 수 있다.According to an embodiment of the present invention in consideration of the above-described problem, in the communication process using a plurality of cellular-based wide area Internet of Things (IoT) devices installed inside a ship, a mobile communication system and a satellite, in the mobile communication system Based on the collected network-related information, the location of the ship, the user terminal, and the plurality of cellular-based wide area IoT devices is identified, and the international mobile equipment identity (IMEI) and IMSI (International Mobile Equipment Identity) of the plurality of cellular-based wide area IoT devices are identified. Based on the mutual authentication AKA (Authentication and Key Agreement) algorithm using Mobile Station Identity), it includes a ship remote management system capable of tracking the ship while identifying and managing the ship by additionally combining the unique information of the ship. , The ship remote management system stores dynamic information and static information transmitted from the plurality of cellular-based wide area IoT devices and sensors in a cloud server in real time, and when it is greater than or equal to a set threshold based on the data stored in the cloud server. When an event to occur and an event to identify a major emergency situation occurs, the TAI (Tracking Area Identity), TAC (Tracking Area Code) and MME (Mobility Management) of the mobile communication system are considered in consideration of the position of the ship. It is possible to provide a real-time ship remote management and identification system using a cellular-based low-power wide area IoT device that automatically transmits a warning message for each emergency situation on a per entity) basis to the user terminal through the mobile communication system.
또한, 상기 복수의 셀룰러 기반의 광역 IoT 기기는 상기 선박 내부에서 동적 정보 및 정적 정보를 수집한 후 상기 이동 통신 시스템에 접속하여 상기 동적 정보 및 정적 정보를 선박 원격 관리 시스템에 전송하며, 상기 선박 원격 관리 시스템은 상기 전송받은 동적 정보 및 정적 정보를 기반으로 상기 선박에서의 이벤트 발생을 감지하며, 주요 비상상황 식별을 분류한 이벤트 발생이 감지됨에 따라 상기 이동 통신 시스템을 통해 상황별 긴급 SMS 메시지를 선박의 위치를 고려하여 이동 통신 시스템의 TAI, TAC 및 MME 단위로 전송할 수 있다.In addition, the plurality of cellular-based wide area IoT devices collect dynamic information and static information inside the ship, then access the mobile communication system to transmit the dynamic information and static information to the ship remote management system, and the ship remote The management system detects the occurrence of an event in the ship based on the transmitted dynamic information and static information, and sends an emergency SMS message for each situation through the mobile communication system as the occurrence of an event classified as a major emergency situation is detected. It can be transmitted in units of TAI, TAC and MME of the mobile communication system in consideration of the location of.
본 발명의 실시예에 따르면, 상기 선박 원격 관리 및 식별 시스템은 상기 선박 내에 설치되어 영상을 촬영하여 유선으로 송출하거나 상기 선박 내 설치된 무선 라우터를 통해 송출하고, 상기 무선 라우터 또는 유선을 통해 제어 가능한 지능형 영상 CCTV; 및 상기 복수의 셀룰러 기반의 광역 IoT 기기에서 수집한 동적 정보 및 정적 정보를 상기 무선 라우터를 통해 전송받아 저장한 후 이를 기반으로 이벤트 발생을 감지하고, 상기 이벤트 발생 시 상기 지능형 영상 CCTV의 제어를 통해 이벤트 영상을 수집하며, 상기 수집한 이벤트 영상 및 상기 수집한 동적 정보 및 정적 정보를 상기 무선 라우터를 통해 통신 시스템인 위성 장치 또는 이동 통신 시스템에 접속하여 상기 선박 원격 관리 시스템에 전송하는 선박 내부의 컴퓨팅 장치를 더 포함할 수 있다.According to an embodiment of the present invention, the ship remote management and identification system is installed in the ship to take an image and transmit it by wire, or transmit it through a wireless router installed in the ship, and control it through the wireless router or wired. Video CCTV; And after receiving and storing dynamic information and static information collected from the plurality of cellular-based wide area IoT devices through the wireless router, the occurrence of an event is detected based on this, and when the event occurs, through the control of the intelligent video CCTV. Computing inside a ship that collects event images and transmits the collected event images and the collected dynamic and static information to the ship remote management system by connecting to a satellite device or a mobile communication system as a communication system through the wireless router It may further include a device.
본 발명의 실시예에 따르면, 상기 복수의 셀룰러 기반의 광역 IoT 기기는 상기 선박에서의 예측하지 못한 해상사고를 대비하기 위하여, 화재 연기 및 온도를 감지하기 위한 센서와 충격 센서를 구비하여 선박내의 화재 연기 발생 혹은 선박 내/외부의 충격으로 인한 복수의 센서에서 감지한 정보와 자신의 위치 정보를 상기 무선 라우터를 통해 상기 선박 내부의 컴퓨팅 장치에 전송하며, 상기 선박 내부의 컴퓨팅 장치는 상기 감지한 정보에서 화재 연기 및 온도가 기 설정된 임계값 이상인 것으로 판단되는 경우 상기 위치 정보에 대응되는 영역에 화재 발생 이벤트가 발생되는 것으로 판단하여 상기 영역 내 자동 소화 기능을 작동시킬 수 있다.According to an embodiment of the present invention, in order to prepare for unexpected maritime accidents in the ship, the plurality of cellular-based wide-area IoT devices are provided with sensors for detecting fire smoke and temperature and an impact sensor to prevent fire in the ship. The information detected by a plurality of sensors due to smoke generation or shocks inside/outside the ship and its own location information are transmitted to the computing device inside the ship through the wireless router, and the computing device inside the ship is the detected information. When it is determined that the fire smoke and temperature are higher than or equal to a preset threshold value, it is determined that a fire occurrence event occurs in an area corresponding to the location information, and an automatic fire extinguishing function within the area may be operated.
본 발명의 실시예에 따르면, 상기 지능형 영상 CCTV는 자외선 및 적외선을 이용하여 상기 지능형 CCTV의 위치에서 기 설정된 반경 내 사람 또는 사물이 감지됨에 따라 접근 통제 감지용 영상을 촬영하거나 가시광선을 이용하여 기 설정된 반경 내 화재 연기가 감지됨에 따라 상기 화재 연기를 자동식별 및 영상을 촬영하여 상기 무선 라우터 또는 유선을 통해 상기 선박 내부의 컴퓨팅 장치에 전송하거나, 상기 무선 라우터를 통해 통신 시스템인 위성 장치 또는 이동 통신 시스템에 접속하여 상기 선박 원격 관리 시스템에 상기 영상을 전송할 수 있다.According to an embodiment of the present invention, the intelligent video CCTV uses ultraviolet rays and infrared rays to capture an image for access control detection or use visible light as a person or object within a preset radius is detected at the location of the intelligent CCTV. As fire smoke within a set radius is detected, the fire smoke is automatically identified and video is captured and transmitted to the computing device inside the ship through the wireless router or wire, or a satellite device or mobile communication system as a communication system through the wireless router. The image can be transmitted to the ship remote management system by accessing the system.
본 발명의 실시예에 따르면, 상기 선박 원격 관리 시스템은 상기 복수의 셀룰러 기반의 광역 IoT 기기 또는 사용자 단말기가 이동 통신 시스템에 접속하기 위한 초기 호 설정 과정에서 수집되는 네트워크 관련 정보와 상기 복수의 셀룰러 기반의 광역 IoT 기기 및 사용자 단말기의 주요 식별 정보를 상기 선박의 고유 정보에 매칭시켜 상기 이동 통신 시스템의 코어 네트워크 또는 상기 선박 원격 관리 시스템에 위치한 클라우드 서버의 데이터베이스에 암호화하여 저장하며, 상기 초기 호 설정 과정을 거친 상기 이동 통신 시스템이 시크리트 모드(RRS/NAS Security Mode Complete)로 동작한 상태에서 암호화된 메시지를 통하여 임의의 셀룰러 기반의 광역 IoT 기기 또는 사용자 단말기로부터 "authentication Request" 메시지가 수신됨에 따라 상기 이동 통신 시스템과 연동하여 상기 "authentication Request" 메시지 내 상기 임의의 셀룰러 기반의 광역 IoT 기기 또는 사용자 단말기의 주요 식별 정보와 상기 데이터베이스에 저장된 정보간의 비교를 통해 유효성을 검증하며, 상기 유효성 검증 결과 유효한 경우 상기 이동 통신 시스템의 접속을 허용시키며, 그렇지 않을 경우 호를 차단한 후 상기 임의의 셀룰러 기반의 광역 IoT 기기 또는 사용자 단말기의 위치를 추적할 수 있다.According to an embodiment of the present invention, the ship remote management system includes network-related information collected during an initial call setup process for accessing the plurality of cellular-based wide area IoT devices or user terminals to the mobile communication system, and the plurality of cellular-based The main identification information of the wide area IoT device and the user terminal is matched with the ship's unique information, encrypted and stored in the core network of the mobile communication system or the database of the cloud server located in the ship remote management system, and the initial call setup process When the mobile communication system that has passed through is operating in a secret mode (RRS/NAS Security Mode Complete), the movement is performed when a "authentication Request" message is received from an arbitrary cellular-based wide area IoT device or a user terminal through an encrypted message. In connection with the communication system, the validity is verified through comparison between the information stored in the database and the key identification information of the arbitrary cellular-based wide area IoT device or user terminal in the "authentication Request" message, and if the validation result is valid, the Access to the mobile communication system is allowed, otherwise, the location of the arbitrary cellular-based wide area IoT device or user terminal can be tracked after the call is blocked.
본 발명의 실시예에 따르면, 상기 선박 원격 관리 시스템은 상기 선박의 기 등록된 운행 경로를 관리하며, 상기 데이터베이스에 저장된 정보를 기초하여 상기 선박을 식별함과 더불어 상기 선박의 실제 운행 경로를 생성한 후 상기 선박의 기 등록된 운행 경로와 상기 선박의 실제 운행 경로간의 비교를 통해 경로 이탈 이벤트를 발생시킬 수 있다.According to an embodiment of the present invention, the ship remote management system manages a pre-registered travel route of the ship, identifies the ship based on information stored in the database, and generates the actual travel path of the ship. After that, a route departure event may be generated through a comparison between the previously registered operation route of the vessel and the actual operation route of the vessel.
본 발명의 실시예에 따르면, 상기 선박 원격 관리 시스템은 상기 이동 통신 시스템과 연동하여 상기 복수의 셀룰러 기반의 광역 IoT 기기 및 내부에 탑재된 eSIM(Embedded Subscriber Identity Module)을 기반으로 RSP OTA(Remote SIM Provisioning Over The Air) 방식을 활용하여, 상기 복수의 셀룰러 기반의 광역 IoT 기기의 프로파일을 원격 관리 및 제어할 수 있으며, LTE K(인증키)와 IMEI(International Mobile Equipment Identity)의 배타적 논리값을 이용한 Rand 함수의 인증키를 추가 생성한 후 상기 복수의 셀룰러 기반의 광역 IoT 기기 또는 사용자 단말기의 주요 식별 정보(IMSI 및 IMEI)기반의 이동통신 가입자/사용자(Subscriber)와 이동 통신 시스템간의 상호인증 AKA 과정을 수행할 수 있다.According to an embodiment of the present invention, the ship remote management system is based on the plurality of cellular-based wide area IoT devices and an embedded subscriber identity module (eSIM) mounted therein by interworking with the mobile communication system. Provisioning Over The Air) method can be used to remotely manage and control the profiles of the plurality of cellular-based wide area IoT devices, and use the exclusive logical values of LTE K (authentication key) and IMEI (International Mobile Equipment Identity). Mutual authentication AKA process between mobile communication subscribers/users and mobile communication systems based on major identification information (IMSI and IMEI) of the plurality of cellular-based wide area IoT devices or user terminals after additional generation of the Rand function authentication key You can do it.
전술한 본 발명의 과제 해결 수단에 따르면, eSIM이 탑재된 복수의 셀룰러 기반의 저전력 광역 IoT 기기 및 사용자 단말기에 대한 사용자 프로파일을 원격으로 관리 및 제어 할 수 있으며, 선박 내 정보를 실시간 수집하고, 수집한 정보를 기반으로 선박의 위치 확인 및 관리를 수행함으로써, 선박의 식별 정확도를 높일 수 있다.According to the above-described problem solving means of the present invention, it is possible to remotely manage and control user profiles for a plurality of cellular-based low-power wide-area IoT devices and user terminals equipped with eSIM, and collect and collect in-ship information in real time. By checking and managing the location of the ship based on the information, it is possible to increase the accuracy of identification of the ship.
또한, 전술한 본 발명의 과제 해결 수단에 따르면, 다양한 센서가 결합된 셀룰러 기반의 저전력 광역 IoT 기기를 이용하여 특정 이벤트 발생 및 보고하고 이벤트 종류에 따라, 신속하게 자동 대처할 수 있는 실시간 선박 원격 관리 및 식별 시스템을 제공함으로써, 해상에서의 발생 될 수 있는 예상치 못한 선박사고를 효과적으로 대응할 수 있다.In addition, according to the above-described problem solving means of the present invention, by using a cellular-based low-power wide area IoT device in which various sensors are combined, a specific event is generated and reported, and according to the event type, real-time ship remote management and By providing an identification system, it is possible to effectively respond to unexpected ship accidents that may occur at sea.
또한, 전술한 본 발명의 과제 해결 수단에 따르면, 선박 내 셀룰러 기반의 저전력 광역 IoT 기기와 사용자 단말기의 주요 식별 정보, 네트워크 관련 정보 및 선박의 고유 정보를 수집하고, 수집한 정보를 기반으로 선박의 위치와 사용자의 위치 식별이 가능한 셀룰러 기반의 저전력 광역 IoT 기기를 이용한 실시간 선박 원격 관리 및 식별 시스템을 제공함으로써, 사고 발생 시 위치 기반의 효율적인 대응이 가능하다.In addition, according to the above-described problem solving means of the present invention, the main identification information of the cellular-based low-power wide area IoT device and the user terminal in the ship, network related information, and unique information of the ship are collected, and based on the collected information, the ship's By providing a real-time ship remote management and identification system using a cellular-based low-power wide-area IoT device capable of identifying the location and the user's location, it is possible to efficiently respond based on location in case of an accident.
도 1은 본 발명의 실시예에 따른 셀룰러 기반 저전력 광역 IoT(Internet of Things) 기기를 활용한 실시간 원격 선박 관리 및 식별 시스템의 전체 구성을 도시한 시스템 구성도이다.
도 2는 본 발명의 실시예에 따른 셀룰러 기반 저전력 저전력 광역 IoT 기기를 활용한 실시간 원격 선박 관리 및 식별 시스템 및 네트워크의 세부 구성도이다.
도 3은 본 발명의 실시예에 따른 예측하기 힘든 선박사고를 대비하여, 다양한 센서가 내장된 셀룰러 기반의 저전력 광역 IoT 기기와 지능형 영상 CCTV를 추가 활용하여 실시간 동적정보 수집을 통한 선박 시스템의 구성도 및 선박사고 대응방법을 도시한 흐름도이다.
도 4 내지 도 6은 본 발명의 실시예에 따른 셀룰러 기반의 저전력 광역 IoT(Internet of Things) 기기를 활용한 실시간 원격 선박 관리 및 식별 시스템에서 각 구성들 상호간에 데이터를 송수신하고, 인증 및 위치 추적하는 방법을 도시한 흐름도이다.
도 7은 해상에서 발생 될 수 예측하지 못한 해상사고를 대비하기 위한 주요 비상상황의 종류의 따라 정의된 이벤트(Event)에 의한 긴급 SMS 전송방법에 대한 흐름도이다.1 is a system configuration diagram showing the overall configuration of a real-time remote ship management and identification system using a cellular-based low-power wide area Internet of Things (IoT) device according to an embodiment of the present invention.
 2 is a detailed configuration diagram of a real-time remote ship management and identification system and network using a cellular-based low-power, low-power wide area IoT device according to an embodiment of the present invention.
 3 is a configuration diagram of a ship system through real-time dynamic information collection by additionally utilizing a cellular-based low-power wide area IoT device with various sensors and intelligent video CCTV in preparation for an unpredictable ship accident according to an embodiment of the present invention. And a flowchart showing a method for responding to a ship accident.
 4 to 6 are a real-time remote ship management and identification system using a cellular-based low-power wide area Internet of Things (IoT) device according to an embodiment of the present invention, each component transmits and receives data, authentication and location tracking It is a flow chart showing how to do it.
 7 is a flowchart illustrating a method of transmitting an emergency SMS by means of an event defined according to the type of major emergency situation to prepare for unexpected maritime accidents that may occur at sea.
이하, 도면을 참조하여 본 발명의 구체적인 실시형태를 설명하기로 한다. 이하의 상세한 설명은 본 명세서에서 기술된 방법, 장치 및/또는 시스템에 대한 포괄적인 이해를 돕기 위해 제공된다. 그러나 이는 예시에 불과하며 본 발명은 이에 제한되지 않는다.Hereinafter, a specific embodiment of the present invention will be described with reference to the drawings. The following detailed description is provided to aid in a comprehensive understanding of the methods, devices, and/or systems described herein. However, this is only an example and the present invention is not limited thereto.
본 발명의 실시예 들을 설명함에 있어서, 본 발명과 관련된 공지기술에 대한 구체적인 설명이 본 발명의 요지를 불필요하게 흐릴 수 있다고 판단되는 경우에는 그 상세한 설명을 생략하기로 한다. 그리고, 후술되는 용어들은 본 발명에서의 기능을 고려하여 정의된 용어들로서 이는 사용자, 운용자의 의도 또는 관례 등에 따라 달라질 수 있다. 그러므로 그 정의는 본 명세서 전반에 걸친 내용을 토대로 내려져야 할 것이다. 상세한 설명에서 사용되는 용어는 단지 본 발명의 실시예들을 기술하기 위한 것이며, 결코 제한적이어서는 안 된다. 명확하게 달리 사용되지 않는 한, 단수 형태의 표현은 복수 형태의 의미를 포함한다. 본 설명에서, "포함" 또는 "구비"와 같은 표현은 어떤 특성들, 숫자들, 단계들, 동작들, 요소들, 이들의 일부 또는 조합을 가리키기 위한 것이며, 기술된 것 이외에 하나 또는 그 이상의 다른 특성, 숫자, 단계, 동작, 요소, 이들의 일부 또는 조합의 존재 또는 가능성을 배제하도록 해석되어서는 안 된다.In describing the embodiments of the present invention, when it is determined that a detailed description of a known technology related to the present invention may unnecessarily obscure the subject matter of the present invention, a detailed description thereof will be omitted. In addition, terms to be described later are terms defined in consideration of functions in the present invention, which may vary according to the intention or custom of users or operators. Therefore, the definition should be made based on the contents throughout the present specification. The terms used in the detailed description are only for describing embodiments of the present invention, and should not be limiting. Unless explicitly used otherwise, expressions in the singular form include the meaning of the plural form. In the present description, expressions such as "comprising" or "feature" are intended to refer to certain features, numbers, steps, actions, elements, some or combination thereof, and one or more It should not be construed to exclude the presence or possibility of other features, numbers, steps, actions, elements, any part or combination thereof.
이하, 첨부된 도면을 참조하여 셀룰러 기반의 저전력 광역 IoT(Internet of Things) 기기를 이용한 특정 공간에 대한 식별 및 관리할 수 있는 시스템에 대하여 설명하기로 한다.Hereinafter, a system capable of identifying and managing a specific space using a cellular-based low-power wide area Internet of Things (IoT) device will be described with reference to the accompanying drawings.
본 발명의 실시예에 대한 설명에 앞서, 특정 공간은 이동 통신 시스템에 접속 가능한 복수의 셀룰러 기반의 저전력 광역 IoT 기기(이하, 'IoT 기기'라고 함), 사용자 단말기, 무선 통신 기기(예컨대, 무선 라우터) 등을 포함하는 영역을 의미할 수 있다. 구체적으로, 특정 공간은 다수의 사용자가 이용할 수 있는 다양한 시설 등을 구비하는 영역으로서, 건물의 임의 영역, 선박, 항만 시설 등을 들 수 있으나, 이에 한정하지는 않는다.Prior to the description of the embodiments of the present invention, a specific space is a plurality of cellular-based low-power wide-area IoT devices (hereinafter referred to as'IoT devices'), user terminals, and wireless communication devices (e.g., wireless communication devices) accessible to a mobile communication system. It may mean an area including a router) or the like. Specifically, the specific space is an area including various facilities that can be used by a plurality of users, and may include an arbitrary area of a building, a ship, a port facility, etc., but is not limited thereto.
본 발명의 실시예 에서는 설명의 편의를 위해서, 특정 공간이 선박에서 제공되는 것으로 예를 들어 설명하기로 한다.In the embodiment of the present invention, for convenience of explanation, a specific space will be described as an example that is provided in a ship.
도 1은 본 발명의 실시예에 따른 셀룰러 기반의 저전력 광역 IoT(Internet of Things) 기기를 활용한 실시간 원격 선박 관리 및 식별 시스템의 전체 구성을 도시한 구성도이며, 도 2는 본 발명의 실시예에 따른 셀룰러 기반의 저전력 광역 IoT 기기를 활용한 실시간 원격 선박 관리 및 식별 시스템의 세부 구성도이며, 도 3은 본 발명의 실시예에 따른 셀룰러 기반의 저전력 광역 IoT 기기를 활용한 해상에서 발생 될 수 있는 예측하지 못한 선박사고를 예방하기 위한 실시간 선박원격 관리 및 식별 시스템을 설명하기 위한 도면이다.도 3은 본 발명의 실시예에 따른 예측하기 힘든 선박사고를 대비하여, 다양한 센서가 내장된 셀룰러 기반의 저전력 광역 IoT 기기와 지능형 영상 CCTV를 추가 활용하여 실시간 동적정보 수집을 통한 선박 시스템의 구성도 및 선박사고 대응방법을 도시한 흐름도이다.1 is a block diagram showing the overall configuration of a real-time remote ship management and identification system using a cellular-based low-power wide area Internet of Things (IoT) device according to an embodiment of the present invention, and FIG. 2 is an embodiment of the present invention It is a detailed configuration diagram of a real-time remote ship management and identification system using a cellular-based low-power wide-area IoT device according to the present invention, and FIG. 3 is a view that may occur at sea using a cellular-based low-power wide-area IoT device according to an embodiment of the present invention. It is a diagram for explaining a real-time ship remote management and identification system for preventing unexpected ship accidents. FIG. 3 is a cellular-based with various sensors built-in in preparation for an unpredictable ship accident according to an embodiment of the present invention. It is a flow chart showing the configuration of the ship system and the ship accident response method through real-time dynamic information collection by additionally utilizing the low-power wide area IoT device and intelligent video CCTV.
먼저, 도 1 내지 도 3에 도시된 바와 같이, 셀룰러 기반의 저전력 광역 IoT(Internet of Things) 기기를 활용한 실시간 원격 선박 관리 및 식별 시스템은 선박 시스템(100), 통신 시스템(200) 및 선박 원격 관리 시스템(300) 등으로 구성될 수 있다.First, as shown in FIGS. 1 to 3, a real-time remote ship management and identification system using a cellular-based low-power wide area Internet of Things (IoT) device is a
선박 시스템(100)은 복수의 셀룰러 기반의 저전력 광역 IoT 기기(이하, 'IoT 기기'라고 함)(110), 복수의 사용자가 소지한 사용자 단말기(120), 지능형 영상 CCTV(130), 무선 라우터(140), 선박 내부에 설치된 내부 컴퓨팅 장치(150) 등을 포함할 수 있다.The
또한, 본 발명의 실시예에서 선박 시스템(100)은 동적 정보, 정적 정보, 향해 정보 등을 선박에 설치된 무선 라우터(140)를 통해 통신 시스템(200)에 접속하여 선박 원격 관리 시스템(300)에 전송할 수 있다. 구체적으로, 선박 시스템(100)을 구성하는 복수의 셀룰러 기반의 IoT 기기(110), 사용자 단말기(120), 지능형 영상 CCTV(130) 및 내부 컴퓨팅 장치(150)는 무선 라우터(140) 및 통신 시스템(200)을 통해 선박 원격 관리 시스템(300)과 연결되어 데이터를 송수신하거나 통신 시스템(200)을 통해 해상 관제 센터(310)와도 데이터를 송수신할 수 있다.In addition, in the embodiment of the present invention, the
본 발명의 실시예에서 무선 라우터(140)는 LTE 라우터, LTE Femto 등을 포함할 수 있으며, 복수의 셀룰러 기반의 IoT 기기(110), 사용자 단말기(120), 지능형 영상 CCTV(130), 내부 컴퓨팅 장치(150) 등을 통신 시스템(200)에 연결시킬 수 있을 뿐만 아니라 복수의 셀룰러 기반의 IoT 기기(110), 사용자 단말기(120), 지능형 영상 CCTV(130) 및 선박 내부 컴퓨팅 장치(150)간의 통신을 지원할 수 있다.In an embodiment of the present invention, the
복수의 셀룰러 기반의 IoT 기기(110) 및 사용자 단말기(120)는 통신 시스템(200), 예컨대 기지국(220)을 통해 이동 통신 코어 네트워크망(230)에 직접 접속할 수 있다. 예를 들어, 선박이 지상으로 기 설정된 반경, 즉 기지국(220)과 통신 가능한 거리에 있을 경우 복수의 셀룰러 기반의 IoT 기기(110) 및 사용자 단말기(120)는 무선 라우터(140)를 거치지 않고, 통신 시스템(200)에 직접 접속하여 선박 원격 관리 시스템(300)과 연결될 수 있다.The plurality of cellular-based
복수의 셀룰러 기반의 IoT 기기(110)는 3GPP(3rd Generation Partnership Project) 차세대 이동 통신 시스템 기술, 예컨대 LTE-Maritme, NB-IOT, LTE-M, 5G 등의 기술을 배경으로 GPS 수신기를 통한 선박의 위치(좌표) 정보를 수집하고, 방위 변화를 담당하는 자이로센서(Gyro-Sensor)와 가속도 센서 등을 활용하여 선박의 동작(가속도, 방향, 기울기 등)을 감지하고, 충격 센서를 활용하여 선박의 내/외부의 충격을 감지하고, 풍향계, 측우기 센서를 활용하여 급변하는 해상 날씨 정보를 실시간으로 수집 및 선박에 설치된 무선 라우터(140) 또는 지상의 이동 통신 기지국(220) 및 위성 장치(210)와 송수신할 수 있다.A plurality of cellular-based
본 발명의 실시예에서, 복수의 셀룰러 기반의 IoT 기기(110)는 셀룰러 기반 저전력 광대역 장치(LPWA-IoT)로써, 무선 라우터(140), 통신 시스템(200) 등과 통신하는 장치로서, LTE-M 디바이스, NB-IoT 디바이스, 이동국(Mobile Station; MS), 이동장비(Mobile Equipment; ME), 터미널(Terminal), UE(User Equipment), 단말 등으로도 지칭될 수 있다.In an embodiment of the present invention, the plurality of cellular-based
또한, 셀룰러 기반의 IoT 기기(110)는 사용자 단말기(120)와 연동 가능한 웨어러블 디바이스에 장착될 수 있다. 이 경우, 웨어러블 디바이스에 장착된 셀룰러 기반의 IoT 기기(110)는 실선 형태의 맥박 감지 센서 혹은 심박 박동 수 계산을 위해서 LED에서 발생되는 빛을 활용한 맥박 산소 측정기(Pulse Oximetry) 기술을 응용한 초경량화 된 센서를 포함할 수 있다.In addition, the cellular-based
웨어러블 디바이스의 예로는 스마트 워치 형태를 들 수 있으나, 이에 한정하지는 않는다.An example of a wearable device may be a smart watch type, but is not limited thereto.
한편, 셀룰러 기반의 IoT 기기(110)가 장착된 웨어러블 디바이스는 GPS 수신기(미도시됨)를 포함하여 해상 재난사고 등의 긴급 상황 시에 음성 통화 기능을 추가 제공할 수 있으며, 착용자의 맥박 상태를 원격으로 확인 및 위치추적을 통한 재난구조 용도이외에 원격의료지원을 헬스 케어 장치, 실시간 선박물류 시스템 등의 다양한 용도로 활용될 수 있다.Meanwhile, the wearable device equipped with the cellular-based
또한, 셀룰러 기반의 IoT 기기(110)는 GPS 위치 추적 및 방수기능만을 갖고 경량화되어, 소정의 장비, 예컨대 구명조끼에 부착하여 사용될 수도 있다.In addition, the cellular-based
선박 내 설치되는 복수의 셀룰러 기반의 IoT 기기(110)는 적어도 하나 이상의 정보 수집용 IoT 기기(102) 및 감지용 IoT 기기(104) 등으로 구성될 수 있으며, 무선 라우터(140)를 통해 통신 시스템(200)에 접속하여 외부 관리 시스템(300)에 정보를 전송할 수 있다.A plurality of cellular-based
정보 수집용 IoT 기기(102)는 선박의 동작 상태를 감지함과 더불어 날씨 정보를 수집한 후 이를 무선 통신을 통해 무선 라우터(140)에 전송할 수 있다. 이 경우, 무선 라우터(140)는 수신한 동작 상태 및 날씨 정보를 선박 시스템(100) 내 내부 컴퓨팅 장치(150), 예컨대 서버 등에 전송하여 저장시키거나 통신 시스템(200)을 통해 선박 원격 관리 시스템(300), 예컨대 해상 관제 센터(310)에 전송할 수 있다.The
한편, 무선 라우터(140)는 내부 컴퓨팅 장치(150)의 요청에 따라 수집된 동작 상태 및 날씨 정보를 통신 시스템(200)을 통해 선박 원격 관리 시스템(300)의 해상 관제 센터(310)에 전송할 수 있다.Meanwhile, the
본 발명의 실시예에서, 정보 수집용 IoT 기기(102)는 선박의 동작 상태, 예컨대 가속도 방향, 기울기 등의 정보를 수집하기 위해 방위변화를 담당하는 자이로 센서(Gyro-Sensor)와 가속도 센서 등을 구비할 뿐만 아니라 해상 날씨 정보를 실시간으로 수집하기 위해 풍향계, 측우기 센서 등을 구비할 수 있다.In an embodiment of the present invention, the
감지용 IoT 기기(104)는 화재 감지(연기 감지), 온도, 충격 감지 센서를 포함하며, 선박이 내/외부로부터 충격 혹은 화재 발생이 감지됨에 따라 무선 라우터(140)를 통해 이벤트 영상이 녹화되도록 지능형 영상 CCTV(130)를 제어하거나 무선 라우터(140)를 통해 감지된 충격 혹은 화재 발생을 선박 시스템(200)의 내부 컴퓨팅 장치(150), 예컨대 CCTV 관제용 서버(152)에 알릴 수 있다. 이에 따라, 지능형 영상 CCTV(130)는 감지용 IoT 기기(104)와 연동하여 이벤트 영상을 녹화한 후 이를 무선 라우터(140)를 통해 CCTV 관제용 서버(152)에 저장시키거나 통신 시스템(200)을 통해 선박 원격 관리 시스템(300)인 해상 관제 센터(310)에 전송하여 저장시킬 수 있다.The
사용자 단말기(120)는 원격지의 서버나 단말에 접속할 수 있는 기기로 구현될 수 있으며, 휴대성과 이동성이 보장되는 무선 통신 장치로서, PDN(Packet Data Network)에 접속 가능한 스마트폰(smartphone), 스마트 패드(smartpad), 타블렛 PC(Tablet PC) 등과 같은 모든 종류의 핸드헬드(Handheld) 기반의 무선 통신 장치를 포함할 수 있다.The
통신 시스템(200)은, 도 2에 도시된 바와 같이, 위성 및 위성 LTE를 포함한 위성 장치(210), 기지국(220) 및 코어 네트워크망(230) 등으로 구성되어 선박 시스템(100) 내 포함된 복수의 셀룰러 기반의 IoT 기기(110), 사용자 단말기(120), 내부 컴퓨팅 장치(150), 지능형 영상 CCTV(130) 등을 외부 선박 원격 관리 시스템(300) 혹은 선박 시스템(100)에 연결 및 통신을 지원하는 주체이다.The
먼저, 위성 장치(210)는 선박 시스템(100) 내 복수의 셀룰러 기반의 IoT 기기(110), 사용자 단말기(120), 내부 컴퓨팅 장치(150), 지능형 영상 CCTV(130) 등을 위성을 활용하여 선박 원격 관리 시스템(300)에 접속시킬 수 있다. 구체적으로, 육지로부터 기 설정된 거리, 예컨대 100Km 이상의 거리에 선박이 위치할 경우(기지국으로 통신 가능한 거리를 벗어난 경우) 선박 시스템(100) 내 복수의 셀룰러 기반의 IoT 기기(110), 사용자 단말기(120), 내부 컴퓨팅 장치(150), 지능형 영상 CCTV(130) 등은 위성 장치(210)를 이용하여 외부 관리 시스템(300)에 연결될 수 있다.First, the
먼저, 기지국(220)은  BS(Base Station), BTS(Base Transceiver Station), NodeB(NB)(Base Station in 3G-UMTS technology), eNodB(eNB)(evolved NodeB in 4G-LTE technology), AP(Access Point), gNB(next generation NodeB for 5G), Femto 기지국 등을 의미할 수 있으며, 인근해상에서 설치된 지상의 이동 통신 기지국(220)은 면허 주파수대역(Licensed Frequency Band) 사용 및 주파수(f=c/λ)의 특성(직진성, 산란, 회절, 반사 등)을 고려하여, 2Ghz 미만의 비교적 낮은 주파수 대역을 활용하여 선박 시스템(100) 내 복수의 IoT 기기(110), 사용자 단말기(120), 내부 컴퓨팅 장치(150), 지능형 영상 CCTV(130) 등과 통신을 수행할 수 있다.First, the
또한, 기지국(220)의 서비스 반경 확장을 위하여 MCL(Maximum Coupling Loss) 허용 수치가 높으면서도, 이동성(HandOver) 지원이 가능하고, 선박에 설치된 지능형 영상 CCTV(130)에서 촬영한 영상을 실시간으로 전송 및 LTE 기반 음성통신 (VoLTE)서비스까지도 제공 가능한 해상에 최적화된 LTE-Maritime 네트워크 및 셀룰러 기반 IoT 차세대 이동통신 기술인 LTE-M(Release13 이상의 규격)을 사용함으로써, 레거시 모바일 네트워크(Legacy mobile network), 예컨대 GSM, 3G, LTE 등의 기존 구축되어 이동통신 네트워크 및 5G와도 상호 호환 가능할 수 있다.In addition, in order to extend the service radius of the
코어 네트워크망(230)은 LTE 이동 통신 시스템의 백본(Backbone)망을 기준으로 MME(Mobility Management Entity, 이하 'MME'이라고 함)(232), SGW(Serving-Gateway, 이하 'SGW'라고 함)(234), PGW(PDN Gateway, 이하 'PGW'라고 함)(236) 및 HSS(Home Subscriber Server, 이하 'HSS'라고 함)(238) 등을 포함할 수 있다.
먼저, MME(232)는 복수의 IoT 기기(110) 및 사용자 단말기(120)의 이동성을 관리하는 노드로서, 세션 관리, 아이들(idle) 가입자 관리, 페이징(paging), 가입자 인증기능 등을 담당할 수 있다. 즉, MME(232)는 사용자 단말기(120), 복수의 IoT 기기(110), 다른 네트워크 노드, 예컨대 PGW(236) 또는 SGW(234)로부터의 결합 요청이나 무선 베어러 설정 요청 등이 있는 경우에 제어 신호를 처리하는 것 등과 같은 제어 플레인(control plane)의 여러 기능을 담당할 수 있으며, 후술하는 HSS(238)로부터 가입자 프로파일 정보, 인증 및 위치 관련 데이터 등을 제공받아 EPS 베어러 또는 아이피 터널(IP tunnel)의 설정과 이동성 관리(mobility management) 등의 기능을 수행할 수 있다.First, the
SGW(234)는 후술하는 PGW(236)를 통해 PCRF(미도시됨)로부터 제공되는 통신 네트워크 내의 통신 정책에 의거하여 기 설정된 세션에 따라 페이로드 트래픽(payload traffic)을 처리하는 세션 제어(session control) 등을 수행하는 사용자 플레인 노드로서, 기지국(220), 예컨대 eNodeB와 S1-U 인터페이스로 연동하며, LTE 이동 통신 시스템 및 3GPP 내부에서의 핸드오버(HandOver) 등을 지원하고, PGW(236)와 EPS 베어러(Evolved Packet System bearer)를 설정하고 터널링을 이용하여 PDU(Packet Data Unit)를 전달하는 등의 기능을 제공할 수 있다.The SGW 234 is a session control that processes payload traffic according to a preset session based on a communication policy in a communication network provided from a PCRF (not shown) through a PGW 236 to be described later. ) As a user plane node performing, etc., interworking with a
PGW(236)는 PCRF로부터 제공되는 통신 정책에 따라 복수의 셀룰러 기반의 IoT 기기(110) 및 사용자 단말기(120)에 IP를 할당하고 외부 인터넷망 및 비 3GPP망과 연동하는 세션 제어 등을 수행하는 사용자 플레인 노드로서, 패킷 서비스를 위해 SGW(234) 및 외부망과 라우팅 정보를 유지하고, 터널링 및 IP 라우팅 기능을 제공하며, SGW(234) 및 외부망으로 PDU를 전달할 수 있으며, PCRF로부터 제공되는 정책 우선순위 정보를 SGW(234)로 전달하는 등의 기능을 제공할 수 있다.The PGW 236 allocates IPs to a plurality of cellular-based
HSS(홈 가입자 서버)(238)는 도시 생략된 레거시망(예컨대, WCDMA 이동 통신 시스템) 및/또는 LTE(또는 VoLTE) 이동 통신 시스템에 대한 무선 통신 시스템의 가입자 정보가 포함되어 있는 데이터베이스(database) 등을 포함하는 네트워크 노드인 것으로, 가입자 프로파일 정보, 인증 및 위치 관련 데이터 등을 저장할 수 있다.The HSS (home subscriber server) 238 is a database containing subscriber information of a wireless communication system for a legacy network (e.g., WCDMA mobile communication system) and/or LTE (or VoLTE) mobile communication system, not shown. It is a network node including, and may store subscriber profile information, authentication, and location-related data.
상술한 바와 같이, 본 발명의 실시예에서는 셀룰러 기반 IoT 기기(110), 사용자 단말기(120) 및 지능형 영상 CCTV(130) 등이 무선 라우터(140) 또는 기지국(220)간의 직접 통신하는 것으로 예를 들어 설명하였지만, 셀룰러 기반 IoT 기기(110)와 무선 라우터(140) 또는 기지국(220) 사이의 통신상태가 불안한 경우, LTE D2D(Device To Device) 통신기술을 추가 활용하여 인근 선박과의 디바이스간 통신을 시도하거나, 원거리(지상에서, 100Km이상 거리의 해상)에서도 무선통신이 가능한 3GPP 기술표준인 LTE/5G기반 위성 통신 기술을 활용하여 IoT 기기(110)와 선박 원격 관리 시스템(330)을 연결시켜 끊김 없는 지속적인 서비스를 제공할 수 있다.As described above, in the embodiment of the present invention, the cellular-based
상술한 바와 같은 구성을 갖는 셀룰러 기반 IoT(Internet of Things) 기기를 활용한 실시간 원격 선박 관리 및 식별 시스템을 이용하여 특정 공간인 선박 내에서 이벤트 발생을 감지하고, 이를 처리하는 과정에 대해 설명하기로 한다. 즉, 본 발명의 실시예에 따른 감지용 IoT 기기(104) 및 지능형 영상 CCTV(130)를 이용하여 이벤트, 예컨대 화재 발생을 감지하고 이를 처리하는 과정에 대해 설명하면 아래와 같다.Using a real-time remote ship management and identification system using a cellular-based Internet of Things (IoT) device having the configuration as described above, the process of detecting the occurrence of an event in a ship, which is a specific space, and processing it will be described. do. That is, a process of detecting and processing an event, such as a fire, using the
설명에 앞서, 선박에 설치된 복수의 감지용 IoT 기기(104) 각각은 화재 연기, 온도 및 충격 센서 중 적어도 하나 이상의 센서를 구비하여 화재 연기 및/또는 온도를 기 설정된 시간 간격으로 감지할 수 있다.Prior to the description, each of the plurality of
먼저, 감지용 IoT 기기(104) 각각은 센서를 통해 화재 연기 및/또는 온도 값을 기 설정된 시간 간격으로 감지한 후 자신의 위치 정보와 감지한 값을 무선 라우터(140)를 통해 내부 컴퓨팅 장치(150)의 내부 관제 서버(154)에 전송한다.First, each of the
이후, 내부 관제 서버(154)는 전송받은 화재 연기 감지 값과 온도 값이 기 설정된 임계 값 이상인지를 판단하며, 화재 연기 감지 값과 온도 감지 값이 기 설정된 임계 값 이상인 경우 감지용 IoT 기기(104)로부터 수신한 위치 정보를 이용하여 선박 내 컴퓨팅 장치(150)인 소방 관제 서버(156)를 제어하여 위치 정보에 해당되는 영역에 소화재를 분사하여 화재를 조기 진압할 수 있다.Thereafter, the
다음으로, 지능형 영상 감시 CCTV(130)를 통해 화재를 감지하는 과정에 대해 설명하면 아래와 같다.Next, a process of detecting a fire through the intelligent
지능형 영상 CCTV(130)는 가시광선을 활용하여 기 정의된 색상과 설정된 수치 이상의 빛 발생이 감지됨에 따라 화재 탐지 이벤트를 감지하여 이벤트 영상을 녹화한 후 이를 무선 라우터(140) 또는 유선 인터페이스를 통해 CCTV 관제 서버(152)에 전송할 수 있다.The
CCTV 관제 서버(152)는 지능형 영상 CCTV(130)로부터 수신한 이벤트 영상이 식별값에 만족하는지를 판단하며, 판단 결과 만족할 경우 이벤트 영상을 저장하거나 무선 라우터(140) 및 통신 시스템(200)을 통해 외부 선박 원격 관리 시스템(300)의 해상 관제 센터(310)에 전송할 수 있다.The
CCTV 관제 서버(152)가 이벤트 영상을 기반으로 식별 값에 만족하는지를 판단하는 과정은 두 가지 형태로 구현될 수 있다.The process of determining whether the
첫 번째, 이벤트 영상에서 화재 연기를 자동 판단하기 위해서, 분할된 연기 영역의 원주 합을 산출하고, 연기 픽셀 수를 추출한 후 원주 합과 픽셀 수를 연산한 결과 값이 기 설정된 임계 이상인지를 비교하며, 기 설정된 임계 값 이상일 경우 화재와 관련된 연기로 판단하고, 그렇지 않을 경우 일반적인 연기로 판단할 수 있다.First, in order to automatically determine the fire smoke from the event image, the sum of the circumferences of the divided smoke areas is calculated, the number of smoke pixels is extracted, and the result of calculating the circumference sum and the number of pixels is compared whether the value is above a preset threshold. If it is more than a preset threshold, it can be determined as smoke related to fire, and if not, it can be determined as general smoke.
여기에서, 원주 합과 픽셀 수의 연산은 연기의 무작위성 측정치로 정의될 수 있다.Here, the calculation of the sum of the circumference and the number of pixels can be defined as a measure of the randomness of the smoke.
기 설정된 임계 값은 다른 연기와 유사한 물체로부터 구별되는 값을 의미할 수 있으며, 여러 상황을 고려하여 결정될 수 있다.The preset threshold value may mean a value that is distinguished from other smoke and similar objects, and may be determined in consideration of various situations.
두 번째는 이벤트 영상에서 휘도 및 색상을 활용하여 화염을 검출한 후 이를 기반으로 화재를 감지할 수 있다.Second, after detecting a flame using the luminance and color in the event video, fire can be detected based on this.
먼저, 화재 연기의 움직임 방향을 추정하기 위해서, 8방향(0°, 45°, 90°, 135°, 180°, 270°, 315°)의 각도로 나누고, 이를 a, b, c, d, e, f, g, h 등의 임의의 문자 혹은 숫자로 코드화 한다. 그리고, 픽셀의 이동 및 픽셀간 거리를 판단하기 위한 아래의 수학식 1을 활용 할 수 있다.First, to estimate the motion direction of the fire smoke, divide it into an angle of 8 directions (0°, 45°, 90°, 135°, 180°, 270°, 315°), and divide this into a, b, c, d, Coded with arbitrary letters or numbers such as e, f, g, and h. In addition,
[수학식 1][Equation 1]
그런 다음, 영상 내에서 아래의 수학식 2의 조건을 만족하는 (x, y) 지점의 픽셀을 화염 픽셀(F(x, y)로 정의할 수 있다. 구체적으로, 임의의 픽셀의 휘도가 휘도 중간 값을 초과하거나 색상 값이 색상 평균값을 초과하는 경우 "1"로 정의하고, 그 외의 경우 "0"으로 정의한 후 "1"로 정의된 픽셀을 화염 픽셀(F(x, y))로 정의할 수 있다.Then, in the image, a pixel at the point (x, y) that satisfies the condition of Equation 2 below may be defined as a flame pixel F(x, y). If the median value is exceeded or the color value exceeds the color average value, it is defined as "1", otherwise, it is defined as "0" and then the pixel defined as "1" is defined as a flame pixel (F(x, y)). can do.
[수학식 2][Equation 2]
그리고 나서, 아래의 수학식 3을 통해 화염 픽셀을 정의할 수 있다.Then, a flame pixel may be defined through Equation 3 below.
[수학식 3][Equation 3]
상기의 수학식 3에서 r 은 상수이며, 수신자 오퍼레이팅 특징 (receiver operating characteristics, ROC)의 분석에 의해 결정될 수 있다.In Equation 3, r is a constant, and may be determined by analysis of receiver operating characteristics (ROC).
또한,은 조건을 만족하는 (x, y)지점의 픽셀을 화염 픽셀로 정의할 수 있다.Also, The pixel at the point (x, y) that satisfies the condition can be defined as a flame pixel.
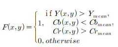
상술한 바와 같이 본 발명의 실시예에 따른 화재 발생을 감지하기 위한 방법은 YCbCr 칼라 공간을 사용함으로써 색으로부터 휘도를 구분하는데 있어서 훨씬 효율적이며, 그 결과 RGB 혹은 RGB 칼라 공간보다 조도 변화에 대한 높은 강인성을 보여줄 수 있다.As described above, the method for detecting the occurrence of a fire according to an embodiment of the present invention is much more efficient in classifying luminance from color by using the YCbCr color space, and as a result, high robustness against changes in illuminance than the RGB or RGB color space. Can show.
한편, 지능형 영상 CCTV(130)를 이용하여 비인가 지역에 대한 접근 통제를 제어할 수 있는데 이에 대해 설명하면 아래와 같다.On the other hand, it is possible to control the access control to the unauthorized area by using the
지능형 영상 CCTV(130)는 자외선과 적외선을 활용하여 주요 시설물 지역에 비인가된 인물 및/또는 사물이 감지됨에 따라 접근 통제 이벤트를 감지하여 이벤트 영상을 녹화한 후 이를 무선 라우터(140)를 통해 CCTV 관제 서버(152)에 전송하거나 무선 라우터(140)를 통해 통신 시스템(200)에 접속하여 외부 선박 원격 관리 시스템(300)에 전송하여 저장시킬 수 있다.The
선박 원격 관리 시스템(300)은 해상 관제 센터(310), 클라우드 서버(320), 통합 관제 센터(330), GMDSS(Global Maritime Distress and Safety System, 이하 'GMDSS'라고 함)(340) 등을 포함할 수 있다.The ship
도 7에 도시된 바와 같이, 지역 관할의 해상 관제 센터(310)는 수집된 정보를 기반으로 비상 상황 식별 이벤트(예컨대, 긴급 재난사고 이벤트)가 감지되면 사고 발생 지역의 MME(232)에서 TAI/TAC(Tracking Area Identity/Tracking Area Code) 단위로 기지국(220)을 통하여, 즉시 사고 알림문자를 SIB-10(Primary Notification) & SIB-11(Secondary Notification) 통하여 긴급 SMS 발송할 수 있다. 이에 대해 설명하면 아래와 같다.As shown in FIG. 7, when an emergency situation identification event (eg, an emergency disaster event) is detected based on the collected information, the regional
먼저, 해상 관제 센터(310)는 이벤트 발생을 세 가지 형태로 나눠서 관리할 수 있다. 구체적으로, 해상 관제 센터(310)는 공공 위험 알림(PWN : Public Warning Notification) 이벤트, 지진 쓰나미 위험 알림(ETWN : Earthquake Tsunami Warning Notification) 이벤트, 긴급 호(Emergency Call) 이벤트 등으로 분류하여 관리할 수 있다.First, the
공공 위험 알림 이벤트는 선박 화재 자동 감지, 선박 충동 감지 등과 관련된 것이고, 지진 쓰나미 위험 알림 이벤트는 해상 기상 악화 자동 감지 등과 관련된 것으로, 공공 위험 알림 및 지진 쓰나미 위험 알림 이벤트 발생 시 해상 관제 센터(310)에서는 통신 시스템(200)을 통해 자동으로 긴급 SMS 메시지 전송 요청을 할 수 있다. 이때, 해상 관제 센터(310)는 클라우드 서버(320)와 연동하여 사용자 단말기(120)와 통신 시스템(200)간의 통신 과정 중에 수집된 네트워크 관련 정보 및 사용자 단말기(120)의 주요 식별 정보를 이용하여 긴급 SMS 메시지를 전송할 수 있다.The public risk notification event is related to automatic detection of ship fire and ship impulse, and the earthquake tsunami risk notification event is related to automatic detection of bad weather at sea. An emergency SMS message transmission request may be automatically made through the
본 발명의 실시예에서 공공 위험 알림 이벤트는 감지용 IoT 기기(104) 및 지능형 영상 CCTV(130)로부터 수집된 정보, 즉 충돌 감지, 화재 발생 감지 등의 정보를 기반으로 감지되며, 지진 쓰나미 위험 알림 이벤트는 정보 수집용 IoT 기기(102)로부터 수집된 정보를 기반으로 감지될 수 있다.In an embodiment of the present invention, the public risk notification event is detected based on information collected from the
본 발명의 실시예에서, 네트워크 관련 정보는 TAI, ECGI, PCI 정보와 사용자 단말기(120)의 주요 식별 정보인 IMEI, IMSI 등을 들 수 있다.In an embodiment of the present invention, the network-related information may include TAI, ECGI, and PCI information and IMEI, IMSI, etc., which are main identification information of the
긴급 호 이벤트는 선박 내 선장 또는 선원에 의해 보고된 내용, 예컨대 쿠테타 발생, 해적 공격, 승선 인원 건강 악화 등과 같은 내용을 기반으로 감지될 수 있으며, 긴급 호 이벤트 발생 시 해상 관제 센터(310)에서는 핫 라인을 통해 선박과 직접 교신할 수 있다. 여기에서, 선박 내에서 보고된 내용은 선박 내 컴퓨팅 장치(150)인 내부 관제 서버(154)를 통해 수신될 수 있다. 즉, 해상 관제 센터(310)는 통신 시스템(200)을 통해 컴퓨팅 장치(150)와 통신을 수행하여 보고된 내용을 수신할 수 있다.The emergency call event can be detected based on the content reported by the captain or crew on the ship, such as a coup, pirate attack, deterioration of the crew's health, etc. In the event of an emergency call event, the
2차 인증 클라우드 서버(240)는 수많은 셀룰러 기반의 IoT 기기(110) 및 사용자 단말기(120)의 주요 식별 정보, 위치 정보, 네트워크 관련 정보와 선박의 주요 정보(선박명, IMO 등록 번호)에 매칭시켜 저장 관리할 수 있는 가상의 서버로써, 통신 시스템(200)에 설치되어 이동 통신 시스템의 코어 네트워크망(230)과의 연동을 통해 셀룰러 기반의 IoT 기기(110) 및 사용자 단말기(120)에 대한 2차 인증을 수행할 수 있다.The secondary
또한, 2차 인증 클라우드 서버(240)는 가입자의 부가적인 접근 식별 저장소인 SPR(Subscriber Profile Repository) 역할을 대체 하거나, LPP(LTE Position Protocol) 적용 시에는 IoT 기기(110) 및 사용자 단말기(120)의 위치 정보를 추가 저장할 수 있다.In addition, the secondary
한편, 선박 자동식별 AIS 기지국(미도시됨) 및 시스템과도 연동하여, 해상 관제 센터(310)에 등록된 선박의 운행 경로와 실제 운행 경로의 범위 차이가 클 경우 자동으로 분석한 후 경로 이탈 이벤트를 상위 통합 관제 센터(330)에 보고 할 수 있다. 구체적으로, 외부의 선박 원격 관리 시스템(300)에 위치한 빅 데이터 관리 클라우드 서버(320)는 외부의 선박 원격 관리 시스템(300)에 위치하여 선박의 주요 정보(선박명, IMO 등록 번호)에 매칭된 셀룰러 기반의 IoT 기기(110) 및 사용자 단말기(120)의 위치 정보 및 네트워크 관련 정보를 수집하여 암호화한 다음 저장하고, 선박의 실제 운행 경로를 추적하고, 실제 운행 경로와 해상 관제 센터(310)에 등록된 운행 경로간의 비교를 통해 등록된 운행 경로에서 선박이 벗어난 정도를 판단한 후 선박이 기 설정된 임계 범위 이상으로 벗어난 경우 이에 대응되는 경로 이탈 이벤트를 발생시켜 해상 관제 센터(310)에 알려줄 수 있다.On the other hand, in connection with the ship automatic identification AIS base station (not shown) and the system, if the difference between the range of the actual driving route and the route of the vessel registered in the
본 발명의 실시예에서 외부의 선박 원격 관리 시스템에 위치한 빅 데이터 관리 클라우드 서버(320)는 복수의 셀룰러 기반의 IoT 기기(110) 및 사용자 단말기(120)의 주요 식별 정보인 IMEI, IMSI 정보와 전 세계 주요 협력 국가들과 공유할 수 있는 GMDSS(340)에서 관리하는 선박의 고유정보인 IMO 등록번호를 결합하여 선박 식별용 데이터를 생성한 후 이를 암호화하여, 데이터베이스(미도시됨)에 저장 및 관리할 수 있다.In an embodiment of the present invention, the big data
본 발명의 실시예에서, 해상 관제 센터(310)는 빅 데이터 관리 클라우드 서버(320)와의 연동을 통해 선박 식별용 데이터를 제공받아 선박을 식별할 수 있다.In an embodiment of the present invention, the
한편, 본 발명의 실시예에서 통신 시스템(200)은 셀룰러 기반의 IoT 기기(110) 및 사용자 단말기(120)와의 통신 과정을 통해 수집 가능한 네트워크 관련 정보를 기 설정된 주기로 해상 관제 센터(310)에 전송할 수 있다. 이때, 네트워크 관련 정보의 예로는 GPS 기반 위치 정보, ECGI(E-UTRAN Cell Global Identifier), 기지국의 서빙(Serving) PCI(Physical Cell Identity), 서빙(Serving) RSRP(Reference Signal Received Power)/SINR(Signal to Interference Noise Ratio), Timing Advance 등을 들 수 있으나, 이에 한정하지는 않는다.Meanwhile, in the embodiment of the present invention, the
더불어, 통신 시스템(200)은 복수의 셀룰러 기반의 IoT 기기(110) 및 사용자 단말기(120)의 주요 식별 정보인 IMEI, IMSI 등을 2차 인증 클라우드 서버(240)에 전송할 수 있다.In addition, the
2차 인증 클라우드 서버(240)는 GPS 위치 정보와 셀룰러 기반의 IoT 기기(110) 및 사용자 단말기(120)로부터 수집 및 보고된 주요 네트워크 관련 정보 (RF-Parameter 정보)를 결합하여, 선박, 셀룰러 기반의 IoT 기기(110) 및 사용자 단말기(120)의 위치를 결정할 수 있다.The secondary
상술한 바와 같은 본 발명의 실시예에 따른 셀룰러 기반 IoT(Internet of Things) 기기를 활용한 실시간 원격 선박 관리 및 식별 시스템에서 각 구성들 상호간에 데이터를 송수신되는 과정에 대해 도 4 내지 도 6을 참조하여 설명한다.See FIGS. 4 to 6 for a process of transmitting and receiving data between components in a real-time remote ship management and identification system using a cellular-based Internet of Things (IoT) device according to an embodiment of the present invention as described above. This will be explained.
도 4 내지 도 6은 본 발명의 실시예에 따른 셀룰러 기반 IoT(Internet of Things) 기기를 활용한 실시간 원격 선박 관리 및 식별 시스템에서 각 구성들 상호간에 데이터를 송수신하고, 인증 및 위치 추적하는 방법을 도시한 흐름도이다.4 to 6 illustrate a method of transmitting and receiving data, authentication, and location tracking between components in a real-time remote ship management and identification system using a cellular-based Internet of Things (IoT) device according to an embodiment of the present invention. It is a flow chart shown.
도 4 내지 도 6에 도시된 바와 같이, 본 발명의 실시예에서 사용자 단말기(120) 및 셀룰러 기반의 IoT 기기(110)는 IMSI 정보 기반으로 통신 시스템(200), 예컨대 LTE 기반의 이동 통신 시스템의 각 구성인 기지국(220), MME(323) 및 HSS(238)간의 연동을 통해 이동 통신 시스템에 접속하기 위한 초기 호 설정 과정(Initial-Attach Request) 및 RRC/NAS 시크리트 모드 컴플리트(Security Mode Complete) 과정을 모두 수행한 후(S400, S402, S404, S406, S408), 암호화된 메시지를 통하여 IMEI 정보를 NAS 시그널링을 통하여 MME(232)에게 추가로 전송(S410)할 수 있다. 이에 따라, MME(232)는 위치 업데이트를 통해 HSS(238)에 사용자 단말기(120) 및 IoT 기기(110)의 IMSI, IMEI 및 MME-ID 등을 전송하여 등록시킨다(S412).4 to 6, in the embodiment of the present invention, the
이후, 2차 인증 클라우드 서버(240)는 상기와 같은 초기 호 설정 과정을 통해 수집된 네트워크 관련 정보 및 셀룰러 기반의 IoT 기기(110)와 사용자 단말기(120)의 주요 식별 정보인 IMSI, IMEI 정보를 HSS(238)로부터 제공받아 선박명 및 IMO 등록번호 등에 매칭시켜 데이터베이스에 저장한다(S414, S416). 구체적으로 2차 인증 클라우드 서버(240)는 네트워크 관련 정보, 주요 식별 정보, 선박명 및 IMO 등록 번호 등을 매칭시켜 화이트리스트를 생성한 후 이를 데이터베이스에 저장한다.Thereafter, the secondary
그런 다음, 셀룰러 기반의 IoT 기기(110) 또는 사용자 단말기(120)로부터 IMSI 및 IMEI를 이용한 추가 인증 요청이 수신되면(S418), 코어 네트워크망(230)의 MME(232)는 1차 초기 Attach 인증과정 중, "initial UE message"를 통하여 기지국(220)인 eNB로 부터 전달받은 정보(ECGI, TAI 등)와 사용자 단말기(120) 및 IoT 기기(110)의 주요 식별 정보(IMSI, IMEI)를 결합하여 HSS(238)에 추가 인증을 요청한다(S420).Then, when an additional authentication request using IMSI and IMEI is received from the cellular-based
 코어 네트워크망(230)의 HSS(238)는 사용자 단말기(120) 및 셀룰러 기반의 IoT 기기(110)의 주요 식별 정보(IMSI, IMEI)에 대한 유효성 검사를 2차 인증 클라우드 서버(240)에 요청한다(S422). The
2차 인증 클라우드 서버(240)는 HSS(238)로부터 제공받은 IMSI 및 IMEI 정보가 데이터베이스에 저장된 정보와 일치하는지를 체크하여 IMSI 및 IMEI 정보에 대한 유효성을 판단한다(S424). 구체적으로, 2차 인증 클라우드 서버(240)는 HSS(238)로부터 제공받은 IMSI 및 IMEI 정보가 화이트리스트에 존재하는지를 체크하여 유효성을 판단한다.The secondary
S424의 판단 결과, 유효한 경우 2차 인증 클라우드 서버(240)는 유효성 검사를 요청한 IMSI 및 IMEI 정보가 유효하다는 메시지를 HSS(238)에 전송하여 셀룰러 기반의 IoT 기기(110) 및 사용자 단말기(120)의 접속을 허용하며, 그렇지 않을 경우 HSS(238)를 통해 MME(232)에 접속 불가 메시지를 전송하여 셀룰러 기반의 IoT 기기(110) 및 사용자 단말기(120)의 접속을 차단함과 더불어 GPS 정보 및 접속 시도하려는 셀룰러 기반의 IoT 기기(110) 및 사용자 단말기(120)와 통신 시스템(200)간의 통신 과정에서 보고된 정보를 기반으로 위치 추적한다(S428).As a result of the determination of S424, if valid, the secondary
또한, 본 발명의 실시예에 따른 2차 인증 클라우드 서버(240)는 사용자 단말기(120) 및 셀룰러 기반의 IoT 기기(110)의 주요 식별 정보(IMSI & IMEI) 및 기타 선박 운행 정보 등을 관리 및 저장하고, 사전 등록된 선박 식별을 위한 사용자 단말기(120) 및 복수의 셀룰러 기반의 IoT 기기(110)의 주요 식별 정보, 무선 라우터(140) 및 선박의 주요 정보(선명, IMO 등록번호 등)와 네트워크 관련 정보를 결합하여 데이터베이스에 저장하며, 데이터베이스에 저장된 정보를 기반으로 접속 시도 하려는 사용자 단말기(120)가 유효한 기기인지 재검증하고, 유효하지 않을 경우에는 호를 차단하는 동시에 GPS 정보 및 접속 시도하려는 사용자 단말기(120)와 통신 시스템(200)간의 통신 과정에서 보고된 정보를 기반으로 위치 추적 수행함과 더불어 이벤트를 발생시켜 해상 관제 센터(310)에 전송할 수 있다.In addition, the secondary
한편, 본 발명의 실시예에서 외부의 실시간 원격 관리 시스템(300)은 이동 통신 시스템에 위치한 2차 인증 클라우드 서버(240)와 연동하여, 임의의 셀룰러 기반의 IoT 기기(110) 또는 사용자 단말기(120)의 주요 식별 정보가 분실 정보로 등록되는 경우, 임의의 셀룰러 기반의 IoT 기기(110) 또는 사용자 단말기(120)의 주요 식별 정보를 블랙리스트에 포함시켜 다른 이동 통신 사업자 서버(미도시됨)에 등록시키며, 임의의 셀룰러 기반의 IoT 기기(110) 또는 사용자 단말기(120)로부터 호 연결 요청이 수신됨에 따라 호를 차단한 후 셀룰러 기반의 IoT 기기(110) 또는 사용자 단말기(120)를 역추적할 수 있다. 이때, 2차 인증 클라우드 서버(240)는 임의의 셀룰러 기반의 IoT 기기(110) 또는 사용자 단말기(120)의 GPS 정보 및 접속 시도하려는 임의의 셀룰러 기반의 IoT 기기(110) 또는 사용자 단말기(120)와 통신 시스템(200)간의 통신 과정에서 보고된 정보를 기반으로 위치를 추적할 수 있다.On the other hand, in the embodiment of the present invention, the external real-time
한편, 통신 시스템(200)의 이동 통신 시스템은 복수의 IoT 기기(110)에 내장된 eSIM(Embedded Subscriber Identity Module)을 이용하여 원격으로 IoT 기기(110)의 프로파일을 관리 및 제어할 수 있다. 즉, 이동 통신 시스템은 복수의 IoT 기기(110)에 내장된 eSIM(Embedded Subscriber Identity Module)을 기반으로 허용된 IoT 기기(110)만 이동 통신 시스템에 접속할 수 있도록 프로파일을 원격으로 관리 및 제어할 수 있는 RSP OTA(Remote SIM Provisioning Over The Air)방식을 사용할 수 있다.Meanwhile, the mobile communication system of the
또한, 이동 통신 시스템은 LTE K(인증키)와 IMEI(International Mobile Equipment Identity)의 배타적 논리값을 이용한 Rand 함수의 인증키를 추가 생성(S70)한 후 셀룰러 기반의 IoT 기기(110) 또는 사용자 단말기(120)의 주요 식별 정보(IMSI 및 IMEI)기반의 이동통신 가입자/사용자(Subscriber)와 이동 통신 시스템간의 상호인증 AKA(Authentication and Key Agreement) 과정을 수행할 수 있다.In addition, the mobile communication system generates an additional authentication key for the Rand function using the exclusive logical value of LTE K (authentication key) and IMEI (International Mobile Equipment Identity) (S70), and then the cellular-based
한편, 첨부된 블록도의 각 블록과 흐름도의 각 단계의 조합들은 컴퓨터 프로그램 인스트럭션들에 의해 수행될 수도 있다. 이들 컴퓨터 프로그램 인스트럭션들은 범용 컴퓨터, 특수용 컴퓨터 또는 기타 프로그램 가능한 데이터 프로세싱 장비의 프로세서에 탑재될 수 있으므로, 컴퓨터 또는 기타 프로그램 가능한 데이터 프로세싱 장비의 프로세서를 통해 수행되는 그 인스트럭션들이 블록도의 각 블록에서 설명된 기능들을 수행하는 수단을 생성하게 된다.Meanwhile, combinations of each block of the attached block diagram and each step of the flowchart may be performed by computer program instructions. Since these computer program instructions can be mounted on the processor of a general purpose computer, special purpose computer or other programmable data processing equipment, the instructions executed by the processor of the computer or other programmable data processing equipment are described in each block of the block diagram. It creates a means to perform functions.
이들 컴퓨터 프로그램 인스트럭션들은 특정 방식으로 기능을 구현하기 위해 컴퓨터 또는 기타 프로그램 가능한 데이터 프로세싱 장비를 지향할 수 있는 컴퓨터 이용 가능 또는 컴퓨터 판독 가능 기록매체(또는 메모리) 등에 저장되는 것도 가능하므로, 그 컴퓨터 이용 가능 또는 컴퓨터 판독 가능 기록매체(또는 메모리)에 저장된 인스트럭션들은 블록도의 각 블록에서 설명된 기능을 수행하는 인스트럭션 수단을 내포하는 제조 품목을 생산하는 것도 가능하다.These computer program instructions can also be stored on a computer-usable or computer-readable recording medium (or memory) that can be directed to a computer or other programmable data processing equipment to implement a function in a specific manner, so that the computer can be used. Alternatively, instructions stored in a computer-readable recording medium (or memory) may produce an article of manufacture including instruction means for performing the functions described in each block of the block diagram.
그리고, 컴퓨터 프로그램 인스트럭션들은 컴퓨터 또는 기타 프로그램 가능한 데이터 프로세싱 장비 상에 탑재되는 것도 가능하므로, 컴퓨터 또는 기타 프로그램 가능한 데이터 프로세싱 장비 상에서 일련의 동작 단계들이 수행되어 컴퓨터로 실행되는 프로세스를 생성해서 컴퓨터 또는 기타 프로그램 가능한 데이터 프로세싱 장비를 수행하는 인스트럭션들은 블록도의 각 블록에서 설명된 기능들을 실행하기 위한 단계들을 제공하는 것도 가능하다.In addition, since computer program instructions can be mounted on a computer or other programmable data processing equipment, a series of operation steps are performed on a computer or other programmable data processing equipment to create a process that is executed by a computer, It is also possible for instructions to perform possible data processing equipment to provide steps for executing the functions described in each block of the block diagram.
또한, 각 블록은 특정된 논리적 기능(들)을 실행하기 위한 적어도 하나 이상의 실행 가능한 인스트럭션들을 포함하는 모듈, 세그먼트 또는 코드의 일부를 나타낼 수 있다. 또, 몇 가지 대체 실시 예들에서는 블록들에서 언급된 기능들이 순서를 벗어나서 발생하는 것도 가능함을 주목해야 한다. 예컨대, 잇달아 도시되어 있는 두 개의 블록들은 사실 실질적으로 동시에 수행되는 것도 가능하고 또는 그 블록들이 때때로 해당하는 기능에 따라 역순으로 수행되는 것도 가능하다.In addition, each block may represent a module, segment, or part of code including at least one or more executable instructions for executing the specified logical function(s). In addition, it should be noted that in some alternative embodiments, functions mentioned in blocks may occur out of order. For example, two blocks shown in succession may in fact be executed substantially simultaneously, or the blocks may sometimes be executed in the reverse order depending on the corresponding function.
100 : 선박 시스템
200 : 통신 시스템
300 : 선박 원격 관리 시스템100: ship system
 200: communication system
 300: ship remote management system
| Application Number | Priority Date | Filing Date | Title | 
|---|---|---|---|
| KR1020190076302AKR102252899B1 (en) | 2019-06-26 | 2019-06-26 | Remote vessel real time monitoring system with enhanced vessel tracking methodology using LPWA - IoT device via mobile telecom | 
| Application Number | Priority Date | Filing Date | Title | 
|---|---|---|---|
| KR1020190076302AKR102252899B1 (en) | 2019-06-26 | 2019-06-26 | Remote vessel real time monitoring system with enhanced vessel tracking methodology using LPWA - IoT device via mobile telecom | 
| Publication Number | Publication Date | 
|---|---|
| KR20210000966A KR20210000966A (en) | 2021-01-07 | 
| KR102252899B1true KR102252899B1 (en) | 2021-05-17 | 
| Application Number | Title | Priority Date | Filing Date | 
|---|---|---|---|
| KR1020190076302AActiveKR102252899B1 (en) | 2019-06-26 | 2019-06-26 | Remote vessel real time monitoring system with enhanced vessel tracking methodology using LPWA - IoT device via mobile telecom | 
| Country | Link | 
|---|---|
| KR (1) | KR102252899B1 (en) | 
| Publication number | Priority date | Publication date | Assignee | Title | 
|---|---|---|---|---|
| KR102498442B1 (en) | 2022-10-20 | 2023-02-10 | 조미규 | Real-time based ship maintenance system | 
| KR20230045794A (en)* | 2021-09-29 | 2023-04-05 | (주)에이펙스 이에스씨 | Fire management system for IOT-based fire prevention and spread prevention | 
| US12260738B2 (en) | 2023-04-26 | 2025-03-25 | T-Mobile Usa, Inc. | Telecommunications service configured for personal safety and security | 
| Publication number | Priority date | Publication date | Assignee | Title | 
|---|---|---|---|---|
| CN112991668B (en)* | 2021-02-04 | 2022-05-10 | 西安美格智联软件科技有限公司 | Intelligent information transmission method, system, storage medium and processing terminal | 
| KR102558165B1 (en)* | 2021-05-26 | 2023-07-21 | 주식회사 이에스피 | Process schedule optimization system according to the environment change of the quay line | 
| CN113408367A (en)* | 2021-05-30 | 2021-09-17 | 广州市云景信息科技有限公司 | Black smoke ship identification method, device, medium and equipment | 
| KR102683140B1 (en)* | 2021-08-17 | 2024-07-10 | 에이치디한국조선해양 주식회사 | Remote support system for ship | 
| CN116347373A (en)* | 2023-03-17 | 2023-06-27 | 国网湖北省电力有限公司 | Offshore wind power intelligent networking communication system and method based on 5G short slices | 
| KR20250055024A (en)* | 2023-10-17 | 2025-04-24 | 삼성전자주식회사 | METHOD AND APPARATUS FOR eSIM DEVICE AND PROFILE SERVER TO NEGOCIATE POST QUANTUM CRYPTOGRAPHY ALGORITHM | 
| Publication number | Priority date | Publication date | Assignee | Title | 
|---|---|---|---|---|
| KR101437771B1 (en)* | 2013-03-21 | 2014-09-12 | 임태계 | Auto management system for vessel | 
| KR101932494B1 (en)* | 2017-11-22 | 2018-12-24 | (주)에프에스알엔티 | System for internet of things smart device monitoring in a vessel using communication network | 
| Publication number | Priority date | Publication date | Assignee | Title | 
|---|---|---|---|---|
| KR101641787B1 (en) | 2014-11-19 | 2016-07-22 | 한양대학교 산학협력단 | Platform and method for safety navigation and disaster response of iot intelligent ship | 
| KR101788667B1 (en)* | 2015-01-06 | 2017-10-20 | 한국전자통신연구원 | System and method for automatic cargo handling works using the ship’s location information | 
| Publication number | Priority date | Publication date | Assignee | Title | 
|---|---|---|---|---|
| KR101437771B1 (en)* | 2013-03-21 | 2014-09-12 | 임태계 | Auto management system for vessel | 
| KR101932494B1 (en)* | 2017-11-22 | 2018-12-24 | (주)에프에스알엔티 | System for internet of things smart device monitoring in a vessel using communication network | 
| Publication number | Priority date | Publication date | Assignee | Title | 
|---|---|---|---|---|
| KR20230045794A (en)* | 2021-09-29 | 2023-04-05 | (주)에이펙스 이에스씨 | Fire management system for IOT-based fire prevention and spread prevention | 
| KR102746410B1 (en) | 2021-09-29 | 2024-12-24 | (주)에이펙스 이에스씨 | Fire management system for IOT-based fire prevention and spread prevention | 
| KR102498442B1 (en) | 2022-10-20 | 2023-02-10 | 조미규 | Real-time based ship maintenance system | 
| US12260738B2 (en) | 2023-04-26 | 2025-03-25 | T-Mobile Usa, Inc. | Telecommunications service configured for personal safety and security | 
| Publication number | Publication date | 
|---|---|
| KR20210000966A (en) | 2021-01-07 | 
| Publication | Publication Date | Title | 
|---|---|---|
| KR102252899B1 (en) | Remote vessel real time monitoring system with enhanced vessel tracking methodology using LPWA - IoT device via mobile telecom | |
| US10104536B2 (en) | Method and system for user equipment identification in a network | |
| US20220337977A1 (en) | Location intelligence management system | |
| US20220030548A1 (en) | Method for transmitting and receiving paging signal in wireless communication system and apparatus therefor | |
| US20240121572A1 (en) | Wireless communication system for first responder networks | |
| KR102428896B1 (en) | System for smart safety management system of construction sites | |
| EP3488577B1 (en) | Node and method for detecting that a wireless device has been communicating with a non-legitimate device | |
| CN109964500A (en) | Export is used for the security key of relayed communications | |
| CN106657867A (en) | Mobile terminal alarming method and apparatus based on video monitoring system | |
| US20250175530A1 (en) | Communication sensing method and apparatus | |
| CN117136569A (en) | Wireless communication system for automatic positioning in a first responder network | |
| US11302175B2 (en) | Systems and methods for network-implemented distancing enforcement | |
| US12039671B2 (en) | Visual content verification in extended and augmented reality | |
| Sharevski | Leveraging cellular intemet-of-things for resilient and robust disaster management | |
| US20250023719A1 (en) | Generating an authentication token | |
| US10382967B2 (en) | Location information protection | |
| CN111741435A (en) | Method and device for monitoring target object | |
| CN118283782A (en) | Registration method and related equipment | |
| US9326098B1 (en) | Identifying suspects and witness to shooting based on examination of calls made after shooting | |
| Vattapparamban | People counting and occupancy monitoring using wifi probe requests and unmanned aerial vehicles | |
| KR102375066B1 (en) | Server, method and computer program for managing arrival | |
| US20250274736A1 (en) | System and method of device detection | |
| CN117158003A (en) | Wireless communication system for a first responder network | |
| Marques et al. | Next-generation communication systems for PPDR: the SALUS perspective | |
| JP2017135644A (en) | Wireless device, access control method and program | 
| Date | Code | Title | Description | 
|---|---|---|---|
| PA0109 | Patent application | Patent event code:PA01091R01D Comment text:Patent Application Patent event date:20190626 | |
| PA0201 | Request for examination | ||
| E902 | Notification of reason for refusal | ||
| PE0902 | Notice of grounds for rejection | Comment text:Notification of reason for refusal Patent event date:20201120 Patent event code:PE09021S01D | |
| PG1501 | Laying open of application | ||
| E701 | Decision to grant or registration of patent right | ||
| PE0701 | Decision of registration | Patent event code:PE07011S01D Comment text:Decision to Grant Registration Patent event date:20210507 | |
| GRNT | Written decision to grant | ||
| PR0701 | Registration of establishment | Comment text:Registration of Establishment Patent event date:20210511 Patent event code:PR07011E01D | |
| PR1002 | Payment of registration fee | Payment date:20210512 End annual number:3 Start annual number:1 | |
| PG1601 | Publication of registration | ||
| PR1001 | Payment of annual fee | Payment date:20240516 Start annual number:4 End annual number:4 | |
| PR1001 | Payment of annual fee | Payment date:20250428 Start annual number:5 End annual number:5 |