


본 발명은 5000계열 알루미늄 합금 표면의 내식성을 향상시키는 방법 및 이를 이용하여 제조된 내식성을 갖는 5000계열 알루미늄 합금에 관한 것이다.The present invention relates to a method of improving the corrosion resistance of the surface of a 5000 series aluminum alloy, and a 5000 series aluminum alloy having corrosion resistance manufactured using the same.
전기화학적 양극산화 처리 공정은 알루미늄의 밀도는 2.7g/cm3로 공업용 금속 중 마그네슘 다음으로 낮으며 높은 전기전도도, 열전도도, 내식성을 지니고 있어 자동차, 가전제품, 비행기뿐만 아니라 해양 산업 등 전반적인 산업 현장에서 널리 사용되고 있다. 일반적으로 기계적 강도 및 가공성을 향상시키기 위해 마그네슘(Mg), 규소(Si), 구리(Cu)와 망간(Mn) 등을 첨가하여 합금의 형태로 사용된다. 알루미늄 합금은 다양한 합금 원소들을 포함하고 있어 그 종류가 다양하고 포일, 선재, 압출재 등 다양한 형태로 제작하여 높은 기계적 물성 및 가공성을 요구되는 분야에 이용되고 있으며, 그 용도 및 사용량이 증가하고 있다. 알루미늄은 -1.667V의 표준 환원 전위를 가지므로 대기 중의 산소와 즉시 결합하여 수nm두께의 자연 산화 피막이 형성되며, 이는 모재를 보호하는 역할을 하지만, 두께가 너무 얇아 다양한 환경에 노출되었을 경우 충분한 내식성을 나타내지 못한다.The electrochemical anodization process has a density of 2.7 g/cm3 , which is the lowest after magnesium among industrial metals, and has high electrical conductivity, thermal conductivity, and corrosion resistance, so it is not only automobile, home appliance, airplane, but also the marine industry. Widely used in In general, in order to improve mechanical strength and workability, magnesium (Mg), silicon (Si), copper (Cu) and manganese (Mn) are added and used in the form of an alloy. Since aluminum alloys contain various alloying elements, they are various and are manufactured in various forms such as foils, wire rods, and extruded materials, and are used in fields requiring high mechanical properties and workability, and their uses and usage are increasing. Since aluminum has a standard reduction potential of -1.667V, it immediately combines with oxygen in the atmosphere to form a natural oxide film with a thickness of several nm, which serves to protect the base material, but it is too thin to have sufficient corrosion resistance when exposed to various environments. Does not represent
한편, 양극산화는 금속의 표면처리 기술 중 하나로, 양극에 처리 하고자 하는 금속을 연결하여 액상 전해질에서 전류를 인가하면, 양극에서 발생하는 산소로 인해 금속과 상당한 밀착력을 갖는 산화 피막이 표면에 형성된다. 형성된 산화 피막은 전해질의 종류, 전해액의 온도, 전압, 처리 시간, 교반 속도 등의 변수에 따라 피막의 두께, 밀도, 경도 등의 차이가 있다. 또한 알루미늄 합금 양극산화 공정에 있어 합금 원소가 피막 형성에 영향을 미치는데, 이는 피막의 두께 및 생성 효율에 영향을 미치는 것으로 알려져 있다.On the other hand, anodic oxidation is one of the surface treatment technologies for metals. When a metal to be treated is connected to the anode and a current is applied from a liquid electrolyte, an oxide film having considerable adhesion to the metal is formed on the surface due to oxygen generated from the anode. The formed oxide film has a difference in thickness, density, hardness, etc. of the film depending on variables such as the type of electrolyte, temperature of the electrolyte, voltage, treatment time, and stirring speed. In addition, in the aluminum alloy anodization process, alloying elements affect film formation, which is known to affect film thickness and production efficiency.
알루미늄 합금들 중 Al과 Mg이 다량 포함된 알루미늄 5052합금은 비교적 높은 경도, 우수한 성형성, 내구성을 지니며, 선박 및 차량 구조물 부품과 건축자재 등 공업적으로 널리 사용되고 있다. 그러나, 포함된 합금원소들로 인하여 순수 알루미늄에 비해 내식성이 매우 낮다.Among aluminum alloys, aluminum 5052 alloy containing a large amount of Al and Mg has relatively high hardness, excellent formability, and durability, and is widely used industrially, such as ship and vehicle structure parts and construction materials. However, due to the included alloying elements, corrosion resistance is very low compared to pure aluminum.
이에, 본 발명자들은 양극산화 시간과 전압을 변화하여 양극산화 처리를 수행하여 제조된 알루미늄 5052 합금의 산화 피막의 성장 거동과 전기화학적 특성에 대해 관찰한 결과, 특정 압력 및 시간 조건에서 알루미늄 합금의 내식성을 향상시킬 수 있음을 확인하여 본 발명을 완성하였다.Accordingly, the present inventors observed the growth behavior and electrochemical properties of the oxide film of the aluminum 5052 alloy manufactured by performing anodization treatment by changing the anodization time and voltage, and as a result, the corrosion resistance of the aluminum alloy under specific pressure and time conditions. It was confirmed that the present invention can be improved.
본 발명의 목적은 5000계열 알루미늄 합금 표면의 내식성을 향상시키는 방법을 제공하는 것이다.An object of the present invention is to provide a method of improving the corrosion resistance of the surface of a 5000 series aluminum alloy.
본 발명의 다른 목적은 상기 방법으로 제조되는 내식성을 갖는 알루미늄 합금을 제공하는 것이다.Another object of the present invention is to provide an aluminum alloy having corrosion resistance manufactured by the above method.
본 발명의 또 다른 목적은 상기 알루미늄 합금을 포함하는 선박, 항공, 열차 또는 차량용 구조물, 건축자재, 가전제품용 구조물 및 가스켓을 제공하는 것이다.Another object of the present invention is to provide a structure for ships, aviation, trains or vehicles, construction materials, structures and gaskets for home appliances, including the aluminum alloy.
상기 목적을 달성하기 위하여,To achieve the above object,
본 발명은 알루미늄(aluminum) 5000계열 합금을 30-50V에서 1-18시간 동안 양극산화 처리하는 단계를 포함하는, 5000계열 알루미늄 합금 표면의 내식성을 향상시키는 방법을 제공한다.The present invention provides a method for improving the corrosion resistance of a surface of a 5000 series aluminum alloy, comprising the step of anodizing an aluminum 5000 series alloy at 30-50V for 1-18 hours.
또한, 본 발명은 상기 방법으로 제조되는 내식성을 갖는 5000계열 알루미늄 합금을 제공한다.In addition, the present invention provides a 5000 series aluminum alloy having corrosion resistance manufactured by the above method.
나아가, 본 발명은 상기 5000계열 알루미늄 합금을 포함하는 선박, 항공, 열차 또는 차량용 구조물을 제공한다.Furthermore, the present invention provides a structure for ships, aviation, trains, or vehicles including the 5000 series aluminum alloy.
더 나아가, 본 발명은 5000계열 상기 알루미늄 합금을 포함하는 건축자재를 제공한다.Furthermore, the present invention provides a building material comprising the aluminum alloy of 5000 series.
더 나아가, 본 발명은 5000계열 상기 알루미늄 합금을 포함하는 가전제품용 구조물을 제공한다.Furthermore, the present invention provides a structure for home appliances including the aluminum alloy of 5000 series.
더 나아가, 본 발명은 5000계열 상기 알루미늄 합금을 포함하는 가스켓을 제공한다.Furthermore, the present invention provides a gasket including the 5000 series aluminum alloy.
본 발명에 따른 5000계열 알루미늄 합금 표면의 내식성을 향상시키는 방법은 양극산화 전압 및 시간 조절을 통해 알루미늄 합금 표면에 양극산화 피막을 형성함으로써, 특정 조건에서 내식성을 현저히 향상시킬 수 있고, 상기 방법으로 제조된 내식성을 갖는 5000계열 알루미늄 합금은 선박, 항공, 열차 또는 차량용 구조물이나 건축자재, 가전제품, 가스켓 등 다양한 산업 분야에 이용할 수 있다.The method of improving the corrosion resistance of the surface of the 5000 series aluminum alloy according to the present invention can significantly improve the corrosion resistance under certain conditions by forming an anodized film on the surface of the aluminum alloy through control of the anodization voltage and time. The 5000 series aluminum alloy having excellent corrosion resistance can be used in various industrial fields such as ships, aviation, trains, or vehicle structures or construction materials, home appliances, and gaskets.
도 1은 40V의 전압 조건에서 양극산화 처리 시간에 따른 실시예 7(a, d), 9(b, e) 및 11(c, f)의 알루미늄 양극산화 피막의 표면 및 단면 형상을 FE-SEM으로 분석한 결과를 나타낸 이미지이다.
도 2는 40V의 전압 조건에서 생성된 알루미늄 산화 피막의 조성을 EDS를 통한 성분 분석 결과를 나타낸 스펙트럼이다.
도 3은 40V의 전압 조건에서 양극산화 처리 시간에 따른 실시예 7, 9 및 11의 양극산화 피막의 동 전위 분극 곡선을 나타낸 이미지이다.1 is a FE-SEM showing the surface and cross-sectional shape of the aluminum anodized film of Examples 7 (a, d), 9 (b, e) and 11 (c, f) according to anodization treatment time under a voltage condition of 40 V. It is an image showing the result of analysis.
2 is a spectrum showing the result of component analysis through EDS for the composition of an aluminum oxide film generated under a voltage condition of 40V.
3 is an image showing the dynamic potential polarization curves of the anodized films of Examples 7, 9 and 11 according to the anodization treatment time under a voltage condition of 40V.
이하, 본 발명을 상세히 설명한다.Hereinafter, the present invention will be described in detail.
5000계열 알루미늄 합금 표면의 내식성을 향상시키는 방법Method to improve corrosion resistance of 5000 series aluminum alloy surface
본 발명은 알루미늄(aluminum) 5000계열 합금을 30-50V에서 1-18시간 동안 양극산화 처리하는 단계를 포함하는, 5000계열 알루미늄 합금 표면의 내식성을 향상시키는 방법을 제공한다.The present invention provides a method for improving the corrosion resistance of a surface of a 5000 series aluminum alloy, comprising the step of anodizing an aluminum 5000 series alloy at 30-50V for 1-18 hours.
본 발명에 따른 5000계열 알루미늄 합금 표면의 내식성을 향상시키는 방법에 있어서, 상기 양극산화 처리는 바람직하게는 35-45V에서 4-18시간 동안 양극산화 처리하는 것일 수 있고, 더 바람직하게는 37-43V에서 5-16시간 동안 양극산화 처리하는 것일 수 있고, 보다 더 바람직하게는 38-42V에서 5-13시간 동안 양극산화 처리하는 것일 수 있고, 39-41V에서 5.5-12.5시간 동안 양극산화 처리하는 것이 특히 바람직하다.In the method for improving the corrosion resistance of the surface of a 5000 series aluminum alloy according to the present invention, the anodizing treatment may be anodizing treatment at 35-45V for 4-18 hours, more preferably 37-43V. It may be anodizing treatment at 5-16 hours, more preferably anodizing treatment at 38-42V for 5-13 hours, and anodizing treatment at 39-41V for 5.5-12.5 hours It is particularly preferred.
본 발명에 따른 5000계열 알루미늄 합금 표면의 내식성을 향상시키는 방법에 있어서, 상기 양극산화 처리가 이루어지는 전해액은 황산(sulfuric acid, H2SO4), 인산(phosphoric acid, H3PO4), 옥살산(oxalic acid, C2H2O4), 크롬산(chromic acid), 불산(hydrofluoric acid), 인산수소칼륨(dipotassium phosphate, K2HPO4) 중에 어느 하나를 사용하거나 이들의 혼합액 중 어느 하나를 사용할 수 있으며, 상기 전해액이 담긴 산화처리 반응조에 양극산화 하고자 하는 금속이 형성된 재료를 작동 전극으로 하여 양극을 걸어 준 다음, 백금(Pt) 또는 카본(carbon) 전극을 상대(counter) 전극으로 하여 음극을 걸어 주어서 산화시켜 이루어지는 것일 수 있다. 바람직하게는, 0.1-0.5M 옥살산을 전해액으로 사용하여 -5 내지 5℃의 온도에서 이루어지는 것일 수 있고, 더 바람직하게는 0.2-0.4M 옥살산 전해액 및 -2 내지 2℃의 온도에서 이루어지는 것일 수 있다.In the method for improving the corrosion resistance of the surface of a 5000 series aluminum alloy according to the present invention, the electrolyte solution subjected to the anodization treatment is sulfuric acid (H2 SO4 ), phosphoric acid (H3 PO4 ), oxalic acid ( Oxalic acid, C2 H2 O4 ), chromic acid, hydrofluoric acid, potassium hydrogen phosphate (dipotassium phosphate, K2 HPO4 ), or a mixture of these can be used. In the oxidation treatment tank containing the electrolyte, the anode is attached using the material on which the metal to be anodized is formed as a working electrode, and then the cathode is attached using a platinum (Pt) or carbon electrode as a counter electrode. It may be made by giving and oxidizing. Preferably, 0.1-0.5M oxalic acid may be used as an electrolyte and may be made at a temperature of -5 to 5°C, more preferably 0.2-0.4M oxalic acid and may be made at a temperature of -2 to 2°C. .
본 발명에 따른 5000계열 알루미늄 합금 표면의 내식성을 향상시키는 방법에 있어서, 상기 5000계열 알루미늄 합금은 Al 5005, Al 5023, Al 5042, Al 5052, Al 5054, Al 5056, Al 5082, Al 5083, Al 5084, Al 5086, Al 5154, Al 5182, Al 5252, Al 5352, Al 5383, Al 5454, Al 5456, Al 5457, Al 5657 및 Al 5754로 이루어진 군으로부터 선택되는 1종 이상인 것일 수 있다.In the method for improving the corrosion resistance of the surface of a 5000 series aluminum alloy according to the present invention, the 5000 series aluminum alloy is Al 5005, Al 5023, Al 5042, Al 5052, Al 5054, Al 5056, Al 5082, Al 5083, Al 5084 , Al 5086, Al 5154, Al 5182, Al 5252, Al 5352, Al 5383, Al 5454, Al 5456, Al 5457, Al 5657 and Al 5754 may be one or more selected from the group consisting of.
본 발명의 일실시예에 따르면, 본 발명에 따른 5000계열 알루미늄 합금 표면의 내식성을 향상시키는 방법에 의해 알루미늄 합금 표면에 10 내지 17 nm의 기공 직경 및 65 내지 105 nm의 기공간 거리를 갖는 양극산화 피막이 형성되는 것일 수 있으나, 이에 제한되지는 않는다.According to an embodiment of the present invention, anodization having a pore diameter of 10 to 17 nm and a pore distance of 65 to 105 nm on the aluminum alloy surface by the method of improving the corrosion resistance of the surface of the 5000 series aluminum alloy according to the present invention The film may be formed, but is not limited thereto.
또한, 본 발명은 상기 5000계열 알루미늄 합금 표면의 내식성을 향상시키는 방법으로 제조되는 내식성을 갖는 5000계열 알루미늄 합금을 제공한다.In addition, the present invention provides a 5000 series aluminum alloy having corrosion resistance manufactured by a method of improving the corrosion resistance of the surface of the 5000 series aluminum alloy.
본 발명에 따른 내식성을 갖는 5000계열 알루미늄 합금은 합금 표면에 알루미늄 양극산화(anodic aluminum oxide) 피막이 형성되어 있는 것일 수 있다.The 5000 series aluminum alloy having corrosion resistance according to the present invention may have an aluminum anodized film formed on the surface of the alloy.
나아가, 본 발명은 상기 내식성을 갖는 5000계열 알루미늄 합금을 포함하는 선박, 항공, 열차 또는 차량용 구조물을 제공한다.Furthermore, the present invention provides a structure for ships, aviation, trains, or vehicles including the 5000 series aluminum alloy having the corrosion resistance.
이때, 상기 구조물은 선박, 항공, 열차 및 차량(자동차) 중 어느 하나의 알루미늄 합금 외판 또는 부품인 것일 수 있으나, 이에 제한되지는 않는다.In this case, the structure may be an aluminum alloy shell plate or component of any one of ships, aviation, trains, and vehicles (automobiles), but is not limited thereto.
더 나아가, 본 발명은 상기 내식성을 갖는 5000계열 알루미늄 합금을 포함하는 건축자재를 제공한다.Furthermore, the present invention provides a building material comprising a 5000 series aluminum alloy having the corrosion resistance.
더 나아가, 본 발명은 상기 내식성을 갖는 5000계열 알루미늄 합금을 포함하는 가전제품용 구조물을 제공한다.Furthermore, the present invention provides a structure for a home appliance including a 5000 series aluminum alloy having the corrosion resistance.
이때, 상기 가전제품은 전화기, 노트북, 데스크탑, 모니터, TV, 스피커, 전기밥솥, 가스레인지, 전자레인지, 오븐, 후드, 냉장고, 청소기, 공기청정기, 가습기, 에어컨, 선풍기, 제습기, 드라이기, 세탁기, 건조기, 탈수기, 의류청정기, 믹서, 쥬서, 커피머신, 토스터기, 전기포트, 정수기, 식기세척기 및 살균건조기로 이루어진 군으로부터 선택되는 1종 이상인 것일 수 있고, 상기 구조물은 상기 전자제품의 하우징 또는 부품인 것일 수 있으나, 이에 제한되지는 않는다.At this time, the home appliances include telephones, notebook computers, desktops, monitors, TVs, speakers, rice cookers, gas ranges, microwave ovens, hoods, refrigerators, vacuum cleaners, air purifiers, humidifiers, air conditioners, electric fans, dehumidifiers, dryers, washing machines, It may be one or more selected from the group consisting of a dryer, a dehydrator, a clothes purifier, a mixer, a juicer, a coffee machine, a toaster, an electric kettle, a water purifier, a dishwasher, and a sterilization dryer, and the structure is a housing or a component of the electronic product. It may be, but is not limited thereto.
더 나아가, 본 발명은 상기 내식성을 갖는 5000계열 알루미늄 합금을 포함하는 가스켓(gasket)을 제공한다.Furthermore, the present invention provides a gasket including a 5000 series aluminum alloy having the above corrosion resistance.
상기 가스켓은 배기파이프, 고압배관, 연료전지, 열교환기, 전자파차폐, 반도체 또는 디스플레이 산업용 배관 등 물이나 가스의 누수를 방지하기 위한 접합부 또는 이음매에 사용되는 것일 수 있으나, 이에 제한되지는 않는다.The gasket may be an exhaust pipe, a high pressure pipe, a fuel cell, a heat exchanger, an electromagnetic wave shield, a pipe for a semiconductor or display industry, etc., and may be used for a joint or a joint to prevent leakage of water or gas, but is not limited thereto.
이하, 본 발명을 하기의 실시예에 의하여 더욱 상세하게 설명한다. 단, 하기의 실시예는 본 발명을 예시하는 것일 뿐, 본 발명의 내용이 하기의 실시예에 의해 한정되는 것은 아니다.Hereinafter, the present invention will be described in more detail by the following examples. However, the following examples are merely illustrative of the present invention, and the contents of the present invention are not limited by the following examples.
<<실시예Example 1-19> 알루미늄 양극산화 피막의 제조 1-19> Preparation of aluminum anodized film
알루미늄 합금에 양극산화 공정을 수행하여 표면에 산화 피막을 형성하였다.An anodization process was performed on the aluminum alloy to form an oxide film on the surface.
알루미늄 5052 합금(20mm×30mm×1mm)을 준비하여, 표면에 자연적으로 존재하는 산화피막을 제거하고 조도의 향상을 위해 과염소산(HClO, 70%)과 에탄올(Ethanol, 95 %)을 1:4 (in Volumetric Ratio) 비율로 혼합한 용액을 사용하여 20 V의 전압을 인가하여 상온에서 1분간 전해연마 (Eletropolishing)를 실시하였다.Prepare an aluminum 5052 alloy (20mm×30mm×1mm) to remove the oxide film that naturally exists on the surface, and add perchloric acid (HClO, 70%) and ethanol (Ethanol, 95%) 1:4 ( In Volumetric Ratio), a voltage of 20 V was applied and electropolishing was performed at room temperature for 1 minute.
상기 전해연마된 알루미늄 5052 합금을 양극으로 하고, 음극으로는 백금(Pt)을 사용하였으며, 상기 두 개의 전극은 5cm 간격으로 분리하였다. 0.3M 옥살산을 전해액으로 사용하여 저온 순환 수조를 이용하여 이중 비이커 안으로 냉각수를 순환시켜 전해액의 온도를 0℃로 일정하게 유지하였다. 직류 전원 공급 장치를 이용하여 하기 표 1과 같이 30V 내지 50V 정전압을 인가하였으며, 각각의 전압 조건에서 1시간 내지 18시간 동안 양극산화 실시하였다. 양극산화가 끝난 후 에탄올과 증류수를 이용하여 시편 표면에 묻어있는 용액을 제거하여, 실시예 1 내지 19의 알루미늄 양극산화 피막을 수득하였다.The electrolytically polished aluminum 5052 alloy was used as an anode, and platinum (Pt) was used as a cathode, and the two electrodes were separated at intervals of 5 cm. 0.3M oxalic acid was used as the electrolyte, and the cooling water was circulated into the double beaker using a low-temperature circulating water bath, so that the temperature of the electrolyte was kept constant at 0°C. A constant voltage of 30V to 50V was applied as shown in Table 1 below using a DC power supply, and anodization was performed for 1 to 18 hours under each voltage condition. After the anodization was completed, the solution on the surface of the specimen was removed using ethanol and distilled water to obtain aluminum anodized films of Examples 1 to 19.
<<실험예Experimental example 1> 알루미늄 양극산화 피막의 표면 형상 및 두께 분석 1> Analysis of surface shape and thickness of aluminum anodized film
상기 표 1에 나타난 바와 같이 상이한 조건하에서 알루미늄 5052 합금에 형성된 기공(pore)과 두께(thickness)는 전계 방사형 주사전자현미경(Field Emission Scanning Electron Microscope, FE-SEM)으로 관찰하였으며, 산화피막 표면의 화학 조성 분석은 에너지 분산형 분광기(Energy Dispersive Spectroscopy, EDS)를 통해 관찰하였다.As shown in Table 1, the pores and thicknesses formed in the aluminum 5052 alloy under different conditions were observed with a Field Emission Scanning Electron Microscope (FE-SEM), and the chemistry of the oxide film surface Composition analysis was observed through an Energy Dispersive Spectroscopy (EDS).
도 1은 40V의 전압 조건에서 양극산화 처리 시간에 따른 실시예 7, 9 및 11의 알루미늄 양극산화 피막의 표면 및 단면 형상을 FE-SEM으로 분석한 결과를 나타낸 이미지이다.1 is an image showing the results of analyzing the surface and cross-sectional shapes of aluminum anodized films of Examples 7, 9 and 11 according to the anodization treatment time under a voltage condition of 40V by FE-SEM.
양극산화 처리 시간 증가에 따른 기공의 직경(pore diameter), 기공사이 간격과 피막의 두께 변화를 확인해본 결과, 시간이 증가함에 따라 평균 기공의 직경, 기공사이 간격(interpore distance) 및 피막의 두께(thickness) 모두 지속적으로 증가하였음을 확인하였다. 도 2의 (a), (d)는 1시간 동안 양극산화처리한 산화 피막의 표면과 단면 형상으로 평균 기공의 직경, 기공사이 간격과 피막의 두께가 각각 약 9.65nm, 57.6nm와 1.85㎛를 지닌 알루미늄 산화 피막을 형성하였다. 또한 시간이 증가함에 따라 기공의 직경, 기공사이 간격과 피막의 두께 모두 지속적으로 증가하였고 12시간 양극산화 수행한 경우 평균 기공의 직경, 기공사이 직경과 피막 두께가 각각 최대 약 15.49nm, 95.89nm, 9.15㎛를 지닌 양극산화 피막으로 성장하였다.As a result of checking the change in pore diameter, spacing between pores and film thickness with increasing anodizing time, the average pore diameter, interpore distance, and film thickness ( It was confirmed that both thickness) increased continuously. 2A and 2D show the surface and cross-sectional shape of the anodized oxide film for 1 hour. The average pore diameter, pore spacing, and thickness of the film are about 9.65 nm, 57.6 nm and 1.85 μm, respectively. A retained aluminum oxide film was formed. In addition, as the time increased, the pore diameter, pore spacing, and film thickness all increased continuously. When anodizing was performed for 12 hours, the average pore diameter, pore diameter and film thickness were up to about 15.49 nm and 95.89 nm, respectively It was grown as an anodized film with 9.15 μm.
6시간 이후에 피막 두께의 성장 속도가 감소하였음을 확인하였으며, 이는 일정 시간이 경과하면 전해액에 접하는 피막의 최상단부의 용해 반응으로 인하여 더 이상의 두께 성장이 일어나지 못하게 되어, 이로 인해 두께 성장이 6시간 이후 두께 성장이 감소한 것으로 보인다.It was confirmed that the growth rate of the film thickness decreased after 6 hours, and this was confirmed that after a certain period of time, further thickness growth could not occur due to the dissolution reaction of the uppermost part of the film in contact with the electrolyte. It appears that the thickness growth has decreased.
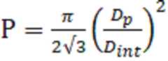
한편, 기공률은 기공의 직경과 기공사이 간격과 직접적인 관계가 있으며 다음 식(1)에 의해 산출할 수 있다.Meanwhile, the porosity is directly related to the pore diameter and the spacing between the pores and can be calculated by the following equation (1).
(1)(One)
여기서, P는 기공률, Dp는 기공의 직경(pore diameter), Dint는 기공사이 거리(interpore distance)를 나타낸다.Here, P is the porosity, Dp is the pore diameter, and Dint is the interpore distance.
하기 표 2는 40V의 전압조건에서 양극산화 시간의 변화에 따른 양극산화 후 기공의 직경, 기공사이 거리 및 기공률과 EDS를 통해 분석된 산화피막의 조성을 나타낸 것이다.Table 2 below shows the diameter of pores after anodization, pore distance and porosity, and the composition of the oxide film analyzed through EDS according to the change of the anodization time under the voltage condition of 40V.
도 2는 40V의 전압 조건에서 생성된 알루미늄 산화 피막의 조성을 EDS를 통한 성분 분석 결과를 나타낸 스펙트럼이다.2 is a spectrum showing the result of component analysis through EDS for the composition of an aluminum oxide film generated under a voltage condition of 40V.
기공률은 12시간 동안 양극산화처리한 경우 2.37%로 가장 낮았다.The porosity was the lowest at 2.37% when anodized for 12 hours.
산화피막 조성을 분석한 결과, 알루미늄과 산소가 주성분으로 검출되었으며, 그 외 미량의 마그네슘이 검출되었다. 이는 알루미늄 5052 합금에 존재하는 미량의 마그네슘이 옥살산 용액을 통한 양극산화 피막 생성 시 혼입된 것으로 보인다. 따라서 표면에 알루미늄, 산소와 미량의 마그네슘이 존재하는 것을 확인하였으며, 이를 통해 표면에 알루미늄 산화 피막이 형성되었음을 확인하였다.As a result of analyzing the composition of the oxide film, aluminum and oxygen were detected as main components, and a trace amount of magnesium was detected. It seems that a trace amount of magnesium present in the aluminum 5052 alloy was incorporated when an anodizing film was formed through an oxalic acid solution. Therefore, it was confirmed that aluminum, oxygen, and a trace amount of magnesium were present on the surface, and through this, it was confirmed that an aluminum oxide film was formed on the surface.
<<실험예Experimental example 2> 전기화학적 시험 분석 2> Electrochemical test analysis
코팅을 통한 표면처리 문제점은 기공(Pore)이나 핀 홀(Pin Hole) 등이 존재한다는 것이다. 이는 코팅층과 금속 소재 사이의 계면 결합력과 밀착력을 저하시키며 이온과 물이 모재에 쉽게 침투하는 역할을 한다. 따라서 기공률은 부식 저항성을 측정하는데 있어 중요하다. 이러한 기공을 갖는 코팅층의 기공률을 전기화학적 방법을 이용하여 정량적으로 산출할 수 있다.The problem of surface treatment through coating is that there are pores or pin holes. This lowers the interfacial bonding strength and adhesion between the coating layer and the metal material, and plays a role in which ions and water easily penetrate into the base material. Therefore, porosity is important in measuring corrosion resistance. The porosity of the coating layer having such pores can be quantitatively calculated using an electrochemical method.
전기화학적 특성 평가를 위해 상온의 3.5wt% NaCl 용액에서 동 전위 분극 시험(Potentiodynamic Polarization Test)을 수행하였다. 동 전위 분극 시험은 작업 전극으로 실시예 1 내지 19의 양극산화 처리한 시편을, 상대 전극으로 백금(Pt)을 연결하였고 기준 전극으로는 은-염화은 전극(Ag/AgCl)을 사용하여 3전극 시스템을 구성하여 수행하였다. 측정 조건은 1mV/sec의 주사 속도로 -1.0V~+2.0V(vs. Ag/AgCl) 범위를 측정하였다.To evaluate the electrochemical properties, a potentiodynamic polarization test was performed in a 3.5wt% NaCl solution at room temperature. The copper potential polarization test was performed by connecting the anodized specimens of Examples 1 to 19 as a working electrode and platinum (Pt) as a counter electrode, and a three-electrode system using a silver-silver chloride electrode (Ag/AgCl) as a reference electrode. It was performed by configuring. Measurement conditions were measured in the range of -1.0V to +2.0V (vs. Ag/AgCl) at a scanning speed of 1 mV/sec.
전기화학적 실험을 통한 다양한 방법 중 A. Matthews가 제안한 식(2)을 이용하여 기공률 평가하였다.Among the various methods through electrochemical experiments, the porosity was evaluated using Equation (2) proposed by A. Matthews.
(2)(2)
여기서, P는 전체 기공률, Rpm은 모재의 분극 저항, Rp는양극산화 처리된 시편의 분극 저항을 나타낸다.는 모재와 산화피막사이의 부식전위 차이를 나타내며는 모재의 양극 Tafel상수를 나타낸다.Here, P is the total porosity, Rpm is the polarization resistance of the base material, and Rp is the polarization resistance of the anodized specimen. Represents the difference in corrosion potential between the base metal and the oxide film Represents the positive Tafel constant of the base material.
또한, 코팅에 대한 보호율 (Protective Efficiency)은 다음 식(3)에 의해 산출할 수 있다.In addition, the protective efficiency for the coating can be calculated by the following equation (3).
(3)(3)
여기서, Icorr°와 Icorr는 각각 모재의 부식 전류밀도와 양극산화 피막의 부식 전류밀도를 나타낸다.Here, Icorr ° and Icorr represent the corrosion current density of the base metal and the corrosion current density of the anodized film, respectively.
도 3은 40V의 전압 조건에서 양극산화 처리 시간에 따른 실시예 7, 9 및 11의 양극산화 피막의 동 전위 분극 곡선을 나타낸 이미지이다.3 is an image showing the dynamic potential polarization curves of the anodized films of Examples 7, 9 and 11 according to the anodization treatment time under a voltage condition of 40V.
하기 표 3에는 40V 및 50V의 전압 조건에서 생성된 실시예 7, 9, 11 및 17 내지 19 각각의 알루미늄 양극산화 피막의 전기화학적 인자인 부식 전위(Ecorr) 및 부식전류밀도(Icorr) 등의 전기화학적 인자들을 나타내었다.In Table 3 below, corrosion potential (Ecorr ) and corrosion current density (Icorr ), which are electrochemical factors of the aluminum anodized film of Examples 7, 9, 11 and 17 to 19, respectively, produced under voltage conditions of 40V and 50V The electrochemical factors of are shown.
시간에 따라 생성된 모든 양극산화 시편들이 모재에 비해 높은 부식 전위와 부식전류밀도를 갖는 것으로 나타났다. 이는 생성된 산화 피막이 모재 표면을 부식으로부터 보호 역할을 하고 있음을 나타낸다. 특히, 40V의 전압조건에서 12시간 동안 양극산화 행한 산화 피막은 341 mV의 높은 부식 전위와 1.86×10-9 A/cm2의 가장 낮은 부식전류밀도의 값을 가짐을 확인하였다. 이는 40V의 전압 조건에서 12시간 양극산화 행한 시편이 가장 우수한 부식 저항성을 가짐을 의미한다.It was found that all the anodized specimens produced over time had higher corrosion potential and corrosion current density than the base material. This indicates that the resulting oxide film serves to protect the base material surface from corrosion. In particular, it was confirmed that the oxide film, which was anodized for 12 hours under the voltage condition of 40V, had a high corrosion potential of 341 mV and the lowest corrosion current density of 1.86×10-9 A/cm2 . This means that the specimen that was anodized for 12 hours under a voltage condition of 40V has the best corrosion resistance.
또한, 실시예 1 내지 19의 부식전류밀도(Icorr), 분극 저항(Rp), 전체 기공률(P) 및 보호율(Pi)을 하기 표 4에 나타내었다.In addition, the corrosion current density (Icorr ), polarization resistance (Rp ), total porosity (P) and protection factor (Pi ) of Examples 1 to 19 are shown in Table 4 below.
(A/cm2)Icorr
(A/cm2 )
상기 표 4에 나타난 바와 같이, 각 전압 처리 조건에서 시간이 증가함에 따라 분극 저항은 증가하고 기공률은 감소하는 것을 확인 하였다. 이것은 기공의 직경 및 기공사이 간격을 통해 얻은 기공률의 결과가 증명해 주고 있다. 일반적으로 부식 저항은 부식 속도와 반비례, 부식전류밀도는 비례 관계로 알려져 있다. 따라서 시간의 증가에 따른 분극 저항의 증가와 낮은 부식전류밀도로 부식 속도 또한 감소된 것을 확인하였다. 또한, 산화 피막은 부식 환경에 노출되었을 때 물과 이온 등과 같은 부식 환경이 모재로 침투하는 경로가 되므로 기공률이 낮을수록 내식성이 증가하는 것을 확인하였다.As shown in Table 4, it was confirmed that the polarization resistance increased and the porosity decreased as time increased in each voltage treatment condition. This is evidenced by the results of the pore diameter and the porosity obtained through the pore spacing. In general, corrosion resistance is known to be inversely proportional to corrosion rate, and corrosion current density is known to be proportional. Therefore, it was confirmed that the polarization resistance increased with the increase of time and the corrosion rate was also decreased due to the low corrosion current density. In addition, it was confirmed that when the oxide film was exposed to the corrosive environment, the corrosive environment such as water and ions penetrated into the base material, so that the lower the porosity, the higher the corrosion resistance.
상기 표 3에서는 50V의 전압 조건에서 가장 높은 부식 전위 값을 관찰하였으나, 표 4에 나타난 바와 같이, 40V에 비해 전반적으로 높은 부식전류밀도와 낮은 분극 저항 값을 확인하였다. 이를 통해 50V에서 양극산화를 행한 산화 피막의 부식 속도가 40V에서 양극산화를 행한 산화피막보다 빠름을 알 수 있었다. 이를 통해 부식에 대한 저항성은 기공률 외에 부식 속도에도 영향을 받는 것을 확인하였다.In Table 3, the highest corrosion potential value was observed under the voltage condition of 50V, but as shown in Table 4, overall higher corrosion current density and lower polarization resistance value than 40V were observed. Through this, it was found that the corrosion rate of the oxide film subjected to anodization at 50 V was faster than that of the oxide film subjected to anodization at 40 V. Through this, it was confirmed that resistance to corrosion is affected by corrosion rate as well as porosity.
결과적으로, 40V의 전압 조건에서 3 내지 18시간, 특히, 6 내지 12시간 동안 양극산화 처리한 실시예 10의 산화피막에서 가장 우수한 피막 보호율을 보이는 것을 확인하였다.As a result, it was confirmed that the oxide film of Example 10, which was anodized for 3 to 18 hours, in particular, 6 to 12 hours, at a voltage of 40V showed the best film protection rate.
이제까지 본 발명에 대하여 그 바람직한 실시예들을 중심으로 살펴보았다. 본 발명이 속하는 기술 분야에서 통상의 지식을 가진 자는 본 발명이 본 발명의 본질적인 특성에서 벗어나지 않는 범위에서 변형된 형태로 구현될 수 있음을 이해할 수 있을 것이다. 그러므로 개시된 실시예들은 한정적인 관점이 아니라 설명적인 관점에서 고려되어야 한다. 본 발명의 범위는 전술한 설명이 아니라 특허 청구범위에 나타나 있으며, 그와 동등한 범위 내에 있는 모든 차이점은 본 발명에 포함된 것으로 해석되어야 할 것이다.So far, the present invention has been looked at around its preferred embodiments. Those of ordinary skill in the art to which the present invention pertains will be able to understand that the present invention may be implemented in a modified form without departing from the essential characteristics of the present invention. Therefore, the disclosed embodiments should be considered from an illustrative point of view rather than a limiting point of view. The scope of the present invention is shown in the claims rather than the foregoing description, and all differences within the scope equivalent thereto should be construed as being included in the present invention.
| Application Number | Priority Date | Filing Date | Title |
|---|---|---|---|
| KR1020190063374AKR102208619B1 (en) | 2019-05-29 | 2019-05-29 | Method for improving corrosion resistance of aluminum alloy surface |
| Application Number | Priority Date | Filing Date | Title |
|---|---|---|---|
| KR1020190063374AKR102208619B1 (en) | 2019-05-29 | 2019-05-29 | Method for improving corrosion resistance of aluminum alloy surface |
| Publication Number | Publication Date |
|---|---|
| KR20200137284A KR20200137284A (en) | 2020-12-09 |
| KR102208619B1true KR102208619B1 (en) | 2021-01-27 |
| Application Number | Title | Priority Date | Filing Date |
|---|---|---|---|
| KR1020190063374AActiveKR102208619B1 (en) | 2019-05-29 | 2019-05-29 | Method for improving corrosion resistance of aluminum alloy surface |
| Country | Link |
|---|---|
| KR (1) | KR102208619B1 (en) |
| Publication number | Priority date | Publication date | Assignee | Title |
|---|---|---|---|---|
| JP2012251188A (en)* | 2011-06-01 | 2012-12-20 | Yamashina Corp | Method for forming uniform anodic oxide film, and component with anodic oxide film |
| Publication number | Priority date | Publication date | Assignee | Title |
|---|---|---|---|---|
| KR101174120B1 (en)* | 2008-05-30 | 2012-08-16 | 안병식 | Metal sheet for heat exchanger element and methods of manufacturing thereof and total heat exchanger element using thereof |
| KR101246106B1 (en) | 2012-06-13 | 2013-03-20 | 주식회사 대호에이엘 | Aluminium alloy plate for automobile interor/exterior materials and its manufacturing method |
| Publication number | Priority date | Publication date | Assignee | Title |
|---|---|---|---|---|
| JP2012251188A (en)* | 2011-06-01 | 2012-12-20 | Yamashina Corp | Method for forming uniform anodic oxide film, and component with anodic oxide film |
| Publication number | Publication date |
|---|---|
| KR20200137284A (en) | 2020-12-09 |
| Publication | Publication Date | Title |
|---|---|---|
| CN111918983B (en) | Titanium substrate, method for producing titanium substrate, electrode for water electrolysis, and water electrolysis device | |
| JP5076601B2 (en) | Method for producing conductive corrosion-resistant material | |
| KR101214400B1 (en) | Plasma electrolytic oxidation coating method for aluminum metal and aluminum metal-oxide | |
| Raj et al. | Comparative study of formation and corrosion performance of porous alumina and ceramic nanorods formed in different electrolytes by anodization | |
| KR102208619B1 (en) | Method for improving corrosion resistance of aluminum alloy surface | |
| JPH0310099A (en) | Insoluble electrode for electroplating and production thereof | |
| JP4371111B2 (en) | Corrosion-resistant aluminum conductive material and manufacturing method thereof | |
| Chang et al. | Study of the effects of pretreatment processing on the properties of metal oxide coatings on Ti-based sheet | |
| Panić et al. | Electrocatalytic properties and stability of titanium anodes activated by the inorganic sol-gel procedure | |
| Tran et al. | Plasma electrolytic oxidation coating on 6061 Al alloy using an electrolyte without alkali ions | |
| KR101840567B1 (en) | Preparing method of colored coating layer for aluminum oxide with excellent corrosion resistance for military Using Plasma Electrolytic Oxidation | |
| Liu | Noble metal coated porous transport layers for polymer electrolyte membrane water electrolysis | |
| Grishina et al. | Characterization of the properties of thin Al2O3 films formed on structural steel by the sol-gel method | |
| KR102176123B1 (en) | Method of functional surface treatment of housing for a consumer electronics device | |
| Aliofkhazraei et al. | Effect of cerium ion addition on corrosion and wear characteristics of plasma electrolytic oxidation coating of CP-Ti | |
| RU2551327C1 (en) | Modified galvanic silver coating and method for production thereof | |
| US20220243338A1 (en) | Electrode coating | |
| RU2288973C1 (en) | Electrode and method of its production | |
| KR102766055B1 (en) | Method of surface treatment of SUS316L appearance or parts of generator or transportation | |
| CN111607805A (en) | Long-life anode material | |
| KR102863137B1 (en) | Development of Functional Surface Treatment on SUS 316L for Kitchen Supplies | |
| KR102766050B1 (en) | Functional surface treated SUS316L gasket | |
| KR102473966B1 (en) | Surface development of functional stainless steel (SUS 316) to improve anti-corrosion efficiency of heat exchangers and their components | |
| KR102766047B1 (en) | Functional surface treated SUS 316L manhole cover | |
| EP1336670A2 (en) | Plate treatment |
| Date | Code | Title | Description |
|---|---|---|---|
| PA0109 | Patent application | Patent event code:PA01091R01D Comment text:Patent Application Patent event date:20190529 | |
| PA0201 | Request for examination | ||
| PE0902 | Notice of grounds for rejection | Comment text:Notification of reason for refusal Patent event date:20200724 Patent event code:PE09021S01D | |
| PG1501 | Laying open of application | ||
| E701 | Decision to grant or registration of patent right | ||
| PE0701 | Decision of registration | Patent event code:PE07011S01D Comment text:Decision to Grant Registration Patent event date:20210120 | |
| GRNT | Written decision to grant | ||
| PR0701 | Registration of establishment | Comment text:Registration of Establishment Patent event date:20210122 Patent event code:PR07011E01D | |
| PR1002 | Payment of registration fee | Payment date:20210122 End annual number:3 Start annual number:1 | |
| PG1601 | Publication of registration | ||
| PR1001 | Payment of annual fee | Payment date:20231214 Start annual number:4 End annual number:4 | |
| PR1001 | Payment of annual fee | Payment date:20241230 Start annual number:5 End annual number:5 |