

본 발명은 화학식 1로 표시되는 화합물 및 이를 포함하는 유기 발광 소자를 제공한다.The present invention provides a compound represented by Formula 1 and an organic light-emitting device including the same.
일반적으로 유기 발광 현상이란 유기 물질을 이용하여 전기에너지를 빛에너지로 전환시켜주는 현상을 말한다. 유기 발광 현상을 이용하는 유기 발광 소자는 통상 양극과 음극 및 이 사이에 유기물층을 포함하는 구조를 가진다. 여기서 유기물층은 유기 발광 소자의 효율과 안정성을 높이기 위하여 각기 다른 물질로 구성된 다층의 구조로 이루어지며, 예컨대 정공 주입층, 정공 수송층, 발광층, 전자 수송층, 전자 주입층 등으로 이루어질 수 있다. 이러한 유기 발광 소자의 구조에서 두 전극 사이에 전압을 걸어주게 되면 양극에서는 정공이, 음극에서는 전자가 유기물층에 주입되고, 주입된 정공과 전자가 만났을 때 엑시톤(exciton)이 형성되며, 이 엑시톤이 다시 바닥상태로 떨어질 때 빛이 난다.In general, the organic light emission phenomenon refers to a phenomenon in which electrical energy is converted into light energy using an organic material. An organic light emitting device using the organic light emitting phenomenon has a structure including an anode, a cathode, and an organic material layer therebetween. Here, the organic material layer has a multilayer structure made of different materials in order to increase the efficiency and stability of the organic light emitting device, and may include, for example, a hole injection layer, a hole transport layer, a light emitting layer, an electron transport layer, an electron injection layer, and the like. In the structure of such an organic light emitting device, when a voltage is applied between the two electrodes, holes are injected from the anode and electrons from the cathode are injected into the organic material layer, and excitons are formed when the injected holes and electrons meet. It glows when it falls to the ground.
상기와 같은 유기 발광 소자를 위한 새로운 재료의 개발이 계속 요구되고 있다.Development of a new material for the organic light emitting device as described above is continuously required.
본 명세서는 화학식 1로 표시되는 화합물을 유기 발광 소자에 포함시킴으로써, 구동 전압이 낮거나, 발광 효율이 높거나, 수명 특성이 좋거나, 색 순도가 높은 유기 발광 소자를 제공하고자 한다.The present specification intends to provide an organic light-emitting device having a low driving voltage, high luminous efficiency, good lifespan, or high color purity by including the compound represented by Formula 1 in an organic light-emitting device.
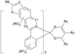
본 명세서의 일 실시상태는 하기 화학식 1로 표시되는 화합물을 제공한다.An exemplary embodiment of the present specification provides a compound represented by Formula 1 below.
[화학식 1][Formula 1]
상기 화학식 1에 있어서,In Formula 1,
Y1 내지 Y4 중 인접한 두 개는 하기 화학식 D의 두 개의 '*'와 각각 결합하는 탄소원자이며, Y1 내지 Y4 중 하기 화학식 D의 '*'와 축합하지 않는 2개는 각각 N 또는 CR이며,Two adjacent ones of Y1 to Y4 are carbon atoms each bonded to two'*'s of the following formula D, and two of Y1 to Y4 that are not condensed with'*' of the following formula D are N or CR, respectively,
[화학식 D] [Formula D]
상기 화학식 D에 있어서,In Formula D,
X는 O, S 또는 Se이며,X is O, S or Se,
Z는 N 또는 CRm이며,Z is N or CRm,
R은 수소; 중수소; 알킬기; 알케닐기; 알카이닐기; 할로겐기; 시아노기; 하이드록시기; 알콕시기; 아릴옥시기; 알킬기 또는 아릴기로 치환 또는 비치환된 실릴기; 아릴기; 또는 헤테로아릴기이고,R is hydrogen; heavy hydrogen; Alkyl group; Alkenyl group; Alkynyl group; Halogen group; Cyano group; Hydroxy group; Alkoxy group; Aryloxy group; A silyl group unsubstituted or substituted with an alkyl group or an aryl group; Aryl group; Or a heteroaryl group,
R5 내지 R7, Rm, Rx, Ry 및 Rz는 서로 동일하거나 상이하고, 각각 독립적으로 수소; 중수소; 알킬기; 알케닐기; 알카이닐기; 할로겐기; 시아노기; 하이드록시기; 알콕시기; 아릴옥시기; 알킬기 또는 아릴기로 치환 또는 비치환된 실릴기; 아릴기; 또는 헤테로아릴기이거나, 인접하는 기와 서로 결합하여 중수소, 알킬기, 알케닐기, 알카이닐기, 시아노기, 할로겐기, 하이드록시기, 알콕시기, 아릴옥시기, 알킬기 또는 아릴기로 치환 또는 비치환된 실릴기, 아릴기 및 헤테로아릴기 중 1 이상의 치환기로 치환 또는 비치환된 고리를 형성하며,R5 to R7, Rm, Rx, Ry and Rz are the same as or different from each other, and each independently hydrogen; heavy hydrogen; Alkyl group; Alkenyl group; Alkynyl group; Halogen group; Cyano group; Hydroxy group; Alkoxy group; Aryloxy group; A silyl group unsubstituted or substituted with an alkyl group or an aryl group; Aryl group; Or a heteroaryl group, or a silyl group unsubstituted or substituted with a deuterium group, an alkyl group, an alkenyl group, an alkynyl group, a cyano group, a halogen group, a hydroxy group, an alkoxy group, an aryloxy group, an alkyl group or an aryl group by bonding with each other , An aryl group and a heteroaryl group to form a substituted or unsubstituted ring with one or more substituents,
a는 0 내지 2의 정수이고, a가 2인 경우 2개의 R5는 서로 동일하거나 상이하고,a is an integer of 0 to 2, and when a is 2, two R5s are the same as or different from each other,
b는 0 내지 4의 정수이고, b가 2 이상인 경우 복수의 R7은 서로 동일하거나 상이하다.b is an integer of 0 to 4, and when b is 2 or more, a plurality of R7s are the same or different from each other.
본 명세서의 일 실시상태는 제1 전극, 제2 전극 및 상기 제1 전극과 상기 제2 전극 사이에 구비된 1층 이상의 유기물층을 포함하는 유기 발광 소자로서, 상기 화학식 1으로 표시되는 화합물은 상기 1층 이상의 유기물층 중 1층 이상에 포함되는 것인 유기 발광 소자를 제공한다.An exemplary embodiment of the present specification is an organic light-emitting device comprising a first electrode, a second electrode, and one or more organic material layers provided between the first electrode and the second electrode, wherein the compound represented by Formula 1 is 1 It provides an organic light-emitting device that is included in one or more of the organic material layers of the layer or more.
본 발명의 일 실시상태에 있어서, 전술한 화학식 1로 표시되는 화합물이유기 발광 소자의 유기물층, 특히 발광층에 포함되는 경우, 소자의 효율이 향상되거나, 소자의 구동 전압이 낮아지거나 소자의 수명 특성이 향상되거나 색 순도가 향상된다.In an exemplary embodiment of the present invention, when the compound represented by Formula 1 is included in the organic material layer of the organic light-emitting device, particularly the light-emitting layer, the efficiency of the device is improved, the driving voltage of the device is decreased, or the lifespan characteristics of the device are reduced. Or the color purity is improved.
도 1은 기판(1), 양극(2), 유기물층(3) 및 음극(4)으로 이루어진 유기 발광 소자의 예를 도시한 것이다.
도 2는 기판(1), 양극(2), 정공 주입층(5), 제1 정공 수송층(6), 제2 정공 수송층(7), 발광층(8), 전자 수송층(9), 전자 주입층(10) 및 음극(4)으로 이루어진 유기 발광 소자의 예를 도시한 것이다.1 shows an example of an organic light-emitting device comprising a
 2 shows a
이하 본 발명을 더욱 상세히 설명한다.Hereinafter, the present invention will be described in more detail.
상기 치환기들의 예시들은 아래에서 설명하나, 이에 한정되는 것은 아니다.Examples of the substituents are described below, but are not limited thereto.
본 명세서에 있어서,는 다른 치환기 또는 결합부에 결합되는 부위를 의미한다.In this specification, Means a site bonded to another substituent or a bonding portion.
상기 "치환"이라는 용어는 화합물의 탄소 원자에 결합된 수소 원자가 다른 치환기로 바뀌는 것을 의미한다. 상기 치환기가 치환되는 위치는 수소 원자가 치환되는 위치 즉, 치환기가 치환 가능한 위치라면 한정하지 않는다. 상기 치환기가 2 이상인 경우, 2 이상의 치환기는 서로 동일하거나 상이할 수 있다.The term "substituted" means that a hydrogen atom bonded to a carbon atom of a compound is replaced with another substituent. The position at which the substituent is substituted is not limited as long as the position at which the hydrogen atom is substituted, that is, the position at which the substituent can be substituted. When the above substituents are 2 or more, the 2 or more substituents may be the same or different from each other.
본 명세서에 있어서, 할로겐기의 예로는 불소, 염소, 브롬 또는 요오드가 있다.In the present specification, examples of the halogen group include fluorine, chlorine, bromine or iodine.
본 명세서에 있어서, 알킬기는 직쇄 또는 분지쇄의 포화 탄화수소를 의미한다. 상기 알킬기의 탄소수는 특별히 한정되지 않으나 1 내지 20인 것이 바람직하다. 일 실시상태에 따르면, 상기 알킬기의 탄소수는 1 내지 15이다. 또 하나의 실시상태에 따르면, 상기 알킬기의 탄소수는 1 내지 10이다. 또 하나의 실시상태에 따르면, 상기 알킬기의 탄소수는 1 내지 6이다. 상기 알킬기는 사슬형 또는 고리형일 수 있다.In the present specification, an alkyl group refers to a linear or branched saturated hydrocarbon. The number of carbon atoms in the alkyl group is not particularly limited, but is preferably 1 to 20. According to an exemplary embodiment, the alkyl group has 1 to 15 carbon atoms. According to another exemplary embodiment, the alkyl group has 1 to 10 carbon atoms. According to another exemplary embodiment, the alkyl group has 1 to 6 carbon atoms. The alkyl group may be chain or cyclic.
상기 사슬형 알킬기의 구체적인 예로는 메틸, 에틸, n-프로필, 이소프로필, n-부틸, 이소부틸, tert-부틸, sec-부틸, 1-메틸부틸, 1-에틸부틸, n-펜틸, 이소펜틸, 네오펜틸, n-헥실, 1-메틸펜틸, 2-메틸펜틸, 4-메틸펜틸, 3,3-디메틸부틸, 2-에틸부틸, 헵틸, n-옥틸, tert-옥틸, 1-메틸헵틸, 2-에틸헥실, 2-프로필펜틸, n-노닐, 2,2-디메틸헵틸, 1-에틸프로필, 1,1-디메틸프로필, 이소헥실, 4-메틸헥실, 5-메틸헥실 등이 있으나, 이에 한정되지 않는다.Specific examples of the chain alkyl group include methyl, ethyl, n-propyl, isopropyl, n-butyl, isobutyl, tert-butyl, sec-butyl, 1-methylbutyl, 1-ethylbutyl, n-pentyl, isopentyl , Neopentyl, n-hexyl, 1-methylpentyl, 2-methylpentyl, 4-methylpentyl, 3,3-dimethylbutyl, 2-ethylbutyl, heptyl, n-octyl, tert-octyl, 1-methylheptyl, 2-ethylhexyl, 2-propylpentyl, n-nonyl, 2,2-dimethylheptyl, 1-ethylpropyl, 1,1-dimethylpropyl, isohexyl, 4-methylhexyl, 5-methylhexyl, etc. Not limited.
상기 고리형 알킬기(사이클로알킬기)의 탄소수는 특별히 한정되지 않으나 3 내지 20인 것이 바람직하다. 일 실시상태에 따르면, 상기 사이클로알킬기의 탄소수는 3 내지 16이다. 또 하나의 실시상태에 따르면, 상기 사이클로알킬기의 탄소수는 3 내지 12이다. 또 하나의 실시상태에 따르면, 상기 사이클로알킬기의 탄소수는 3 내지 8이다. 상기 사이클로알킬기의 구체적인 예로는 사이클로프로필, 사이클로부틸, 사이클로펜틸, 3-메틸사이클로펜틸, 2,3-디메틸사이클로펜틸, 사이클로헥실, 3-메틸사이클로헥실, 4-메틸사이클로헥실, 2,3-디메틸사이클로헥실, 3,4,5-트리메틸사이클로헥실, 4-tert-부틸사이클로헥실, 사이클로헵틸, 사이클로옥틸 등이 있으나, 이에 한정되지 않는다.The number of carbon atoms of the cyclic alkyl group (cycloalkyl group) is not particularly limited, but is preferably 3 to 20 carbon atoms. According to an exemplary embodiment, the cycloalkyl group has 3 to 16 carbon atoms. According to another exemplary embodiment, the cycloalkyl group has 3 to 12 carbon atoms. According to another exemplary embodiment, the cycloalkyl group has 3 to 8 carbon atoms. Specific examples of the cycloalkyl group include cyclopropyl, cyclobutyl, cyclopentyl, 3-methylcyclopentyl, 2,3-dimethylcyclopentyl, cyclohexyl, 3-methylcyclohexyl, 4-methylcyclohexyl, 2,3-dimethyl Cyclohexyl, 3,4,5-trimethylcyclohexyl, 4-tert-butylcyclohexyl, cycloheptyl, cyclooctyl, and the like, but are not limited thereto.
본 명세서에 있어서, 알케닐기는 탄소-탄소 이중결합을 가지는 탄화수소기를 나타내며, 탄소수는 특별히 한정되지 않으나 2 내지 30인 것이 바람직하다. 일 실시상태에 따르면, 상기 알케닐기의 탄소수는 2 내지 20이다. 알케닐기의 구체적인 예로는 에테닐, 비닐, 프로페닐, 알릴, 이소프로페닐, 부테닐, 이소부테닐, n-펜테닐 및 n-헥세닐이 있으나, 이에 한정되지 않는다.In the present specification, the alkenyl group represents a hydrocarbon group having a carbon-carbon double bond, and the number of carbon atoms is not particularly limited, but is preferably 2 to 30. According to an exemplary embodiment, the alkenyl group has 2 to 20 carbon atoms. Specific examples of the alkenyl group include ethenyl, vinyl, propenyl, allyl, isopropenyl, butenyl, isobutenyl, n-pentenyl and n-hexenyl, but are not limited thereto.
본 명세서에 있어서, 알카이닐기는 탄소-탄소- 삼중결합을 가지는 탄화수소기를 나타내며, 탄소수는 특별히 한정되지 않으나 2 내지 30인 것이 바람직하다. 일 실시상태에 따르면, 상기 알카이닐기의 탄소수는 2 내지 20이다. 상기 알카이닐기의 구체적인 예로는 메타이닐, 에타이닐, 2-프로파이닐, 2-부타이닐, 1-메틸-2-부타이닐, 2 펜타이닐 등이 있으나, 이에 한정되지 않는다.In the present specification, the alkynyl group represents a hydrocarbon group having a carbon-carbon- triple bond, and the number of carbon atoms is not particularly limited, but is preferably 2 to 30. According to an exemplary embodiment, the number of carbon atoms in the alkynyl group is 2 to 20. Specific examples of the alkynyl group include, but are not limited to, metaynyl, ethynyl, 2-propynyl, 2-butynyl, 1-methyl-2-butynyl, and 2pentynyl.
본 명세서에 있어서, 알콕시기는 산소원자에 알킬기가 결합된 기를 의미하며, 탄소수는 특별히 한정되지는 않으나 1 내지 30인 것이 바람직하다. 일 실시상태에 따르면, 상기 알콕시기의 탄소수는 1 내지 20이다. 또 하나의 실시상태에 따르면, 상기 알콕시기의 탄소수는 1 내지 10이다. 상기 알콕시기의 구체적인 예로는 메톡시, 에톡시, 프로폭시, 이소부틸옥시, sec-부틸옥시, 펜틸옥시, iso-아밀옥시, 헥실옥시 등이 있으나, 이에 한정되지 않는다. 상기 알콕시기의 알킬기에는 전술한 알킬기에 관한 설명이 적용될 수 있다.In the present specification, the alkoxy group refers to a group in which an alkyl group is bonded to an oxygen atom, and the number of carbon atoms is not particularly limited, but is preferably 1 to 30. According to an exemplary embodiment, the alkoxy group has 1 to 20 carbon atoms. According to another exemplary embodiment, the alkoxy group has 1 to 10 carbon atoms. Specific examples of the alkoxy group include, but are not limited to, methoxy, ethoxy, propoxy, isobutyloxy, sec-butyloxy, pentyloxy, iso-amyloxy, and hexyloxy. The description of the above-described alkyl group may be applied to the alkyl group of the alkoxy group.
본 명세서에 있어서, 아릴옥시기는 산소원자에 아릴기가 결합된 기를 의미한다. 상기 아릴옥시기의 구체적인 예로는 페녹시, 1-나프틸옥시, 3-메틸페녹시, 4-메톡시페녹시 등이 있으나 이에 한정되지 않는다. 상기 아릴옥시기의 아릴기에는 후술하는 아릴기에 관한 설명이 적용될 수 있다.In the present specification, an aryloxy group means a group in which an aryl group is bonded to an oxygen atom. Specific examples of the aryloxy group include, but are not limited to, phenoxy, 1-naphthyloxy, 3-methylphenoxy, and 4-methoxyphenoxy. Description of the aryl group described later may be applied to the aryl group of the aryloxy group.
본 명세서에 있어서, 실릴기는 -SiR11R12R13의 화학식으로 표시될 수 있고, 상기 R11내지 R13은 각각 독립적으로 수소; 알킬기; 또는 아릴기일 수 있다. 본 명세서에 있어서, 알킬실릴기는 알킬기로 치환된 실릴기를 의미하고, 아릴실릴기는 아릴기로 치환된 실릴기를 의미한다. 상기 실릴기는 구체적으로 트리메틸실릴기, 트리에틸실릴, t-부틸디메틸실릴, 비닐디메틸실릴, 프로필디메틸실릴, 트리페닐실릴, 디페닐실릴, 페닐실릴 등이 있으나, 이에 한정되지 않는다.In the present specification, the silyl group may be represented by the formula of -SiR11 R12 R13 , wherein R11 to R13 are each independently hydrogen; Alkyl group; Or it may be an aryl group. In the present specification, an alkylsilyl group refers to a silyl group substituted with an alkyl group, and an arylsilyl group refers to a silyl group substituted with an aryl group. Specifically, the silyl group includes trimethylsilyl, triethylsilyl, t-butyldimethylsilyl, vinyldimethylsilyl, propyldimethylsilyl, triphenylsilyl, diphenylsilyl, phenylsilyl, and the like, but is not limited thereto.
본 명세서에 있어서, 아릴기는 전체적으로 또는 부분적으로 불포화된 치환 또는 비치환된 모노사이클릭 또는 폴리사이클릭을 의미한다. 일 실시상태에 따르면, 상기 아릴기의 탄소수는 6 내지 30이다. 상기 아릴기는 단환식 아릴기 또는 다환식 아릴기일 수 있다. 상기 단환식 아릴기로는 페닐, 바이페닐, 터페닐 등이 있으나, 이에 한정되지 않는다. 상기 다환식 아릴기로는 나프틸, 안트라세닐, 페난트레닐, 페릴레닐, 플루오란테닐, 트리페닐레닐, 페날레닐, 파이레닐, 테트라세닐, 크라이세닐, 펜타세닐, 플루오레닐, 인데닐, 아세나프틸, 벤조플루오레닐, 스피로플루오레닐 등이 있으나, 이에 한정되지 않는다.In the present specification, an aryl group means wholly or partially unsaturated substituted or unsubstituted monocyclic or polycyclic. According to an exemplary embodiment, the aryl group has 6 to 30 carbon atoms. The aryl group may be a monocyclic aryl group or a polycyclic aryl group. Examples of the monocyclic aryl group include phenyl, biphenyl, and terphenyl, but are not limited thereto. Examples of the polycyclic aryl group include naphthyl, anthracenyl, phenanthrenyl, perylenyl, fluoranthenyl, triphenylenyl, phenalenyl, pyrenyl, tetracenyl, chrysenyl, pentacenyl, fluorenyl, indenyl, Acenaphthyl, benzofluorenyl, spirofluorenyl, and the like, but are not limited thereto.
본 명세서에 있어서, 플루오레닐기는 치환될 수 있고, 치환기 2개가 서로 결합하여 스피로 구조를 형성할 수 있다.In the present specification, the fluorenyl group may be substituted, and two substituents may be bonded to each other to form a spiro structure.
상기 치환된 플루오레닐기로는,,,,,, 및 등이 있으나, 이에 한정되지 않는다.The substituted fluorenyl group is , , , , , , And And the like, but are not limited thereto.
본 명세서에 있어서, 헤테로아릴기는 이종원자로 N, O, S 중 1개 이상을 포함하는 고리기로서, 탄소수는 특별히 한정되지 않으나 탄소수 2 내지 40인 것이 바람직하다. 일 실시상태에 따르면, 상기 헤테로아릴기의 탄소수는 2 내지 30이다. 다른 실시상태에 따르면, 상기 헤테로아릴기의 탄소수는 2 내지 20이다. 헤테로아릴기의 예로는 티오페닐, 퓨라닐, 이미다졸릴, 티아졸릴, 옥사졸릴, 옥사디아졸릴, 트리아졸릴, 피리디닐, 바이피리디닐, 피리미디닐, 트리아지닐, 트리아졸릴, 아크리디닐, 아세나프토퀴녹살리닐, 인데노퀴나졸리닐, 인데노이소퀴놀리닐, 인데노퀴놀리닐, 피리도인돌, 피리다지닐, 피라지닐, 퀴놀리닐, 퀴나졸리닐, 퀴녹살리닐, 프탈라지닐, 피리도 피리미디닐, 피리도 피라지닐, 피라지노 피라지닐, 이소퀴놀리닐, 인돌릴, 벤즈옥사졸릴, 벤즈이미다졸릴, 벤조티아졸릴, 벤조티오페닐, 디벤조티오페닐, 벤조퓨라닐, 페난쓰롤리닐(phenanthrolinyl), 티아졸릴, 이소옥사졸릴, 옥사디아졸릴, 티아디아졸릴, 벤조티아졸릴, 페녹사지닐, 페노티아지닐 및 디벤조퓨라닐 등이 있으나, 이들에만 한정되는 것은 아니다. 상기 헤테로아릴기는 지방족 헤테로아릴기와 방향족 헤테로아릴기를 포함한다.In the present specification, the heteroaryl group is a cyclic group including at least one of N, O, and S as a hetero atom, and the number of carbon atoms is not particularly limited, but is preferably 2 to 40 carbon atoms. According to an exemplary embodiment, the heteroaryl group has 2 to 30 carbon atoms. According to another exemplary embodiment, the heteroaryl group has 2 to 20 carbon atoms. Examples of the heteroaryl group include thiophenyl, furanyl, imidazolyl, thiazolyl, oxazolyl, oxadiazolyl, triazolyl, pyridinyl, bipyridinyl, pyrimidinyl, triazinyl, triazolyl, acridinyl, Acenaphthoquinoxalinyl, indenoquinazolinyl, indenoisoquinolinyl, indenoquinolinyl, pyridoindole, pyridazinyl, pyrazinyl, quinolinyl, quinazolinyl, quinoxalinyl, phthala Genyl, pyrido pyrimidinyl, pyrido pyrazinyl, pyrazino pyrazinyl, isoquinolinyl, indolyl, benzoxazolyl, benzimidazolyl, benzothiazolyl, benzothiophenyl, dibenzothiophenyl, benzopyu Ranil, phenanthrolinyl, thiazolyl, isoxazolyl, oxadiazolyl, thiadiazolyl, benzothiazolyl, phenoxazinyl, phenothiazinyl and dibenzofuranyl, etc., but limited to these no. The heteroaryl group includes an aliphatic heteroaryl group and an aromatic heteroaryl group.
본 명세서에 있어서, "인접한" 기는 해당 치환기가 치환된 원자와 직접 연결된 원자에 치환된 치환기, 해당 치환기와 입체구조적으로 가장 가깝게 위치한 치환기, 또는 해당 치환기가 치환된 원자에 치환된 다른 치환기를 의미할 수 있다. 예컨대, 벤젠고리에서 오쏘(ortho) 위치로 치환된 2개의 치환기 및 지방족 고리에서 동일 탄소에 치환된 2개의 치환기는 서로 "인접한" 기로 해석될 수 있다.In the present specification, the "adjacent" group means a substituent substituted on an atom directly connected to the atom where the corresponding substituent is substituted, a substituent positioned three-dimensionally closest to the corresponding substituent, or another substituent substituted on the atom where the corresponding substituent is substituted. I can. For example, two substituents substituted at the ortho position in the benzene ring and two substituents substituted at the same carbon in the aliphatic ring may be interpreted as "adjacent" groups to each other.
본 명세서에 있어서, 인접하는 기와 서로 결합하여 고리를 형성한다는 의미는 인접하는 기와 서로 결합하여 치환 또는 비치환된 지방족 탄화수소고리; 치환 또는 비치환된 방향족 탄화수소고리; 치환 또는 비치환된 지방족 헤테로고리, 치환 또는 비치환된 방향족 헤테로고리; 또는 이들의 축합고리를 형성하는 것을 의미한다. 상기 탄화수소고리는 탄소와 수소 원자로만 이루어진 고리를 의미하며, 상기 탄화수소고리는 지방족 탄화수소고리이거나 방향족 탄화수소고리일 수 있다. 상기 헤테로고리란 헤테로원자 중 1개 이상을 포함하는 고리를 의미하며, 상기 헤테로고리는 지방족 헤테로고리이거나 방향족 헤테로고리일 수 있다. 본 명세서에 있어서, 상기 지방족 탄화수소고리, 방향족 탄화수소고리, 지방족 헤테로고리 및 방향족 헤테로고리는 단환 또는 다환일 수 있다.In the present specification, the meaning of bonding with adjacent groups to form a ring means a substituted or unsubstituted aliphatic hydrocarbon ring by bonding with adjacent groups; A substituted or unsubstituted aromatic hydrocarbon ring; A substituted or unsubstituted aliphatic heterocycle, a substituted or unsubstituted aromatic heterocycle; Or it means to form a condensed ring of these. The hydrocarbon ring refers to a ring consisting of only carbon and hydrogen atoms, and the hydrocarbon ring may be an aliphatic hydrocarbon ring or an aromatic hydrocarbon ring. The heterocycle refers to a ring containing at least one heteroatom, and the heterocycle may be an aliphatic heterocycle or an aromatic heterocycle. In the present specification, the aliphatic hydrocarbon ring, aromatic hydrocarbon ring, aliphatic hetero ring and aromatic hetero ring may be monocyclic or polycyclic.
상기 지방족 탄화수소고리란 방향족이 아닌 고리로서 탄소와 수소 원자로만 이루어진 고리를 의미한다. 지방족 탄화수소고리의 예로는 사이클로프로판, 사이클로부탄, 사이클로부텐, 사이클로펜탄, 사이클로펜텐, 사이클로헥산, 사이클로헥센, 1,4-사이클로헥사디엔, 사이클로헵탄, 사이클로헵텐, 사이클로옥탄, 사이클로옥텐 등이 있으나, 이에 한정되지 않는다.The aliphatic hydrocarbon ring is a ring that is not aromatic and refers to a ring consisting only of carbon and hydrogen atoms. Examples of aliphatic hydrocarbon rings include cyclopropane, cyclobutane, cyclobutene, cyclopentane, cyclopentene, cyclohexane, cyclohexene, 1,4-cyclohexadiene, cycloheptane, cycloheptene, cyclooctane, cyclooctene, and the like, It is not limited to this.
상기 방향족 탄화수소고리란 탄소와 수소 원자로만 이루어진 방향족의 고리를 의미한다. 방향족 탄화수소고리의 예로는 벤젠, 나프탈렌, 안트라센, 페난트렌, 페릴렌, 플루오란텐, 트리페닐렌, 페날렌, 피렌, 테트라센, 크라이센, 펜타센, 플루오렌, 인덴, 아세나프틸렌, 벤조플루오렌, 스피로플루오렌 등이 있으나, 이에 한정되지 않는다.The aromatic hydrocarbon ring refers to an aromatic ring consisting only of carbon and hydrogen atoms. Examples of aromatic hydrocarbon rings include benzene, naphthalene, anthracene, phenanthrene, perylene, fluoranthene, triphenylene, phenalene, pyrene, tetracene, chrysene, pentacene, fluorene, indene, acenaphthylene, benzo Fluorene, spirofluorene, and the like, but are not limited thereto.
상기 지방족 헤테로고리란 헤테로원자 중 1개 이상을 포함하는 지방족 고리를 의미한다. 지방족 헤테로고리의 예로는, 옥시레인(oxirane), 테트라하이드로퓨란, 1,4-디옥세인(1,4-dioxane), 피롤리딘, 피페리딘, 모르폴린(morpholine), 옥세판, 아조케인, 티오케인 등이 있으나, 이에 한정되지 않는다.The aliphatic heterocycle refers to an aliphatic ring containing one or more of heteroatoms. Examples of aliphatic heterocycles include oxirane, tetrahydrofuran, 1,4-dioxane, pyrrolidine, piperidine, morpholine, oxephan, azocaine , Thiocane, and the like, but are not limited thereto.
상기 방향족 헤테로고리란 헤테로원자 중 1개 이상을 포함하는 방향족 고리를 의미한다. 방향족 헤테로고리의 예로는, 피리딘, 피롤, 피리미딘, 피리다진, 퓨란, 티오펜, 이미다졸, 파라졸, 옥사졸, 이소옥사졸, 티아졸, 이소티아졸, 트리아졸, 옥사디아졸, 티아디아졸, 디티아졸, 테트라졸, 피란, 티오피란, 디아진, 옥사진, 티아진, 다이옥신, 트리아진, 테트라진, 이소퀴놀린, 퀴놀린, 퀴놀, 퀴나졸린, 퀴녹살린, 나프티리딘, 아크리딘, 페난트리딘, 디아자나프탈렌, 드리아자인덴, 인돌, 인돌리진, 벤조티아졸, 벤즈옥사졸, 벤즈이미다졸, 벤조티오펜, 벤조퓨란, 디벤조티오펜, 디벤조퓨란, 카바졸, 벤조카바졸, 디벤조카바졸, 페나진, 이미다조피리딘, 페녹사진, 페난트리딘, 인돌로카바졸, 인데노카바졸 등이 있으나, 이에 한정되지 않는다.The aromatic heterocycle refers to an aromatic ring containing at least one heteroatom. Examples of aromatic heterocycles include pyridine, pyrrole, pyrimidine, pyridazine, furan, thiophene, imidazole, parasol, oxazole, isoxazole, thiazole, isothiazole, triazole, oxadiazole, thia Diazole, dithiazole, tetrazole, pyran, thiopyran, diazine, oxazine, thiazine, dioxin, triazine, tetrazine, isoquinoline, quinoline, quinol, quinazoline, quinoxaline, naphthyridine, acridine , Phenanthridine, diazanaphthalene, dryazainden, indole, indolizine, benzothiazole, benzoxazole, benzimidazole, benzothiophene, benzofuran, dibenzothiophene, dibenzofuran, carbazole, benzo Carbazole, dibenzocarbazole, phenazine, imidazopyridine, phenoxazine, phenanthridine, indolocarbazole, indenocarbazole, and the like, but are not limited thereto.
본 명세서의 일 실시상태는 상기 화학식 1로 표시되는 화합물을 제공한다.An exemplary embodiment of the present specification provides a compound represented by
상기 화학식 1에 있어서, 상기 Y1 내지 Y4 중 인접한 2개란, Y1과 Y2; Y2와 Y3; 또는 Y3와 Y4를 의미한다.In
본 명세서의 일 실시상태에 있어서, 상기 Y1 내지 Y4 중 인접한 두 개는 상기 화학식 D의 두 개의 '*'와 각각 결합하는 탄소원자이며, Y1 내지 Y4 중 상기 화학식 D의 '*'와 축합하지 않는 2개 중 하나는 N이고, 나머지 하나는 N 또는 CR이다.In the exemplary embodiment of the present specification, two adjacent ones of Y1 to Y4 are carbon atoms each bonded to two'*'s of Formula D, and do not condense with'*' of Formula D of Y1 to Y4. One of the two is N, and the other is N or CR.
본 명세서의 일 실시상태에 있어서, 상기 R은 수소; 또는 탄소수 1 내지 10의 알킬기이다.In an exemplary embodiment of the present specification, R is hydrogen; Or an alkyl group having 1 to 10 carbon atoms.
본 명세서의 일 실시상태에 있어서, 상기 R은 수소; 또는 탄소수 1 내지 6 알킬기이다.In an exemplary embodiment of the present specification, R is hydrogen; Or an alkyl group having 1 to 6 carbon atoms.
본 명세서의 일 실시상태에 있어서, 상기 R은 수소; 또는 탄소수 1 내지 4의 알킬기이다.In an exemplary embodiment of the present specification, R is hydrogen; Or an alkyl group having 1 to 4 carbon atoms.
본 명세서의 일 실시상태에 있어서, 상기 R은 수소; 또는 메틸이다.In an exemplary embodiment of the present specification, R is hydrogen; Or methyl.
본 명세서의 일 실시상태에 있어서, 상기 Rm은 수소; 또는 탄소수 1 내지 10의 알킬기이다.In the exemplary embodiment of the present specification, Rm is hydrogen; Or an alkyl group having 1 to 10 carbon atoms.
본 명세서의 일 실시상태에 있어서, 상기 Rm은 수소; 또는 탄소수 1 내지 6 알킬기이다.In the exemplary embodiment of the present specification, Rm is hydrogen; Or an alkyl group having 1 to 6 carbon atoms.
본 명세서의 일 실시상태에 있어서, 상기 Rm은 수소; 또는 탄소수 1 내지 4의 알킬기이다.In the exemplary embodiment of the present specification, Rm is hydrogen; Or an alkyl group having 1 to 4 carbon atoms.
본 명세서의 일 실시상태에 있어서, 상기 Rm은 수소; 또는 메틸이다.In the exemplary embodiment of the present specification, Rm is hydrogen; Or methyl.
본 명세서의 일 실시상태에 있어서, 상기 R5는 수소이다.In the exemplary embodiment of the present specification, R5 is hydrogen.
본 명세서의 일 실시상태에 있어서, 상기 R6는 수소; 또는 탄소수 1 내지 10의 알킬기이다.In an exemplary embodiment of the present specification, R6 is hydrogen; Or an alkyl group having 1 to 10 carbon atoms.
본 명세서의 일 실시상태에 있어서, 상기 R6는 수소; 또는 탄소수 1 내지 6 알킬기이다.In an exemplary embodiment of the present specification, R6 is hydrogen; Or an alkyl group having 1 to 6 carbon atoms.
본 명세서의 일 실시상태에 있어서, 상기 R6는 수소; 또는 탄소수 1 내지 4의 알킬기이다.In an exemplary embodiment of the present specification, R6 is hydrogen; Or an alkyl group having 1 to 4 carbon atoms.
본 명세서의 일 실시상태에 있어서, 상기 R6는 수소; 또는 메틸이다.In an exemplary embodiment of the present specification, R6 is hydrogen; Or methyl.
본 명세서의 일 실시상태에 있어서, 상기 R7은 수소; 중수소; 또는 알킬기이거나, 인접하는 기와 서로 결합하여 중수소 및 알킬기 중 1 이상의 치환기로 치환 또는 비치환된 고리를 형성한다.In the exemplary embodiment of the present specification, R7 is hydrogen; heavy hydrogen; Or it is an alkyl group, or combines with an adjacent group to form a ring substituted or unsubstituted with one or more substituents of deuterium and an alkyl group.
본 명세서의 일 실시상태에 있어서, 상기 R7은 수소; 중수소; 또는 탄소수 1 내지 10의 알킬기이거나, 인접하는 기와 서로 결합하여 중수소 및 탄소수 1 내지 10의 알킬기 중 1 이상의 치환기로 치환 또는 비치환된 고리를 형성한다.In the exemplary embodiment of the present specification, R7 is hydrogen; heavy hydrogen; Or an alkyl group having 1 to 10 carbon atoms, or bonding with an adjacent group to form a ring substituted or unsubstituted with one or more substituents among deuterium and an alkyl group having 1 to 10 carbon atoms.
본 명세서의 일 실시상태에 있어서, 상기 R7은 수소; 중수소; 또는 탄소수 1 내지 6의 알킬기이거나, 인접하는 기와 서로 결합하여 중수소 및 탄소수 1 내지 6 의 알킬기 중 1 이상의 치환기로 치환 또는 비치환된 고리를 형성한다.In the exemplary embodiment of the present specification, R7 is hydrogen; heavy hydrogen; Or, it is a C1-C6 alkyl group, or combines with an adjacent group to form a ring substituted or unsubstituted with one or more substituents among deuterium and a C1-C6 alkyl group.
본 명세서의 일 실시상태에 있어서, 상기 R7은 수소; 중수소; 또는 탄소수 1 내지 4의 알킬기이거나, 인접하는 기와 서로 결합하여 중수소 및 탄소수 1 내지 4의 알킬기 중 1 이상의 치환기로 치환 또는 비치환된 고리를 형성한다.In the exemplary embodiment of the present specification, R7 is hydrogen; heavy hydrogen; Or an alkyl group having 1 to 4 carbon atoms, or combined with an adjacent group to form a ring substituted or unsubstituted with one or more substituents among deuterium and an alkyl group having 1 to 4 carbon atoms.
본 명세서의 일 실시상태에 있어서, 상기 R7은 수소; 또는 메틸이거나, 인접하는 기와 서로 결합하여 벤젠 고리를 형성한다.In the exemplary embodiment of the present specification, R7 is hydrogen; Or it is methyl, or combines with an adjacent group to form a benzene ring.
본 명세서의 일 실시상태에 있어서, 상기 Rx 및 Rz는 서로 동일하거나 상이하고, 각각 독립적으로 탄소수 1 내지 12의 알킬기이다.In the exemplary embodiment of the present specification, Rx and Rz are the same as or different from each other, and are each independently an alkyl group having 1 to 12 carbon atoms.
본 명세서의 일 실시상태에 있어서, 상기 Rx 및 Rz는 서로 동일하거나 상이하고, 각각 독립적으로 탄소수 1 내지 8의 알킬기이다.In the exemplary embodiment of the present specification, Rx and Rz are the same as or different from each other, and are each independently an alkyl group having 1 to 8 carbon atoms.
본 명세서의 일 실시상태에 있어서, 상기 Rx 및 Rz는 서로 동일하거나 상이하고, 각각 독립적으로 탄소수 1 내지 6의 직쇄 또는 분지쇄의 사슬형알킬기; 또는 탄소수 1 내지 6의 사이클로알킬기이다.In the exemplary embodiment of the present specification, Rx and Rz are the same as or different from each other, and each independently a linear or branched chain alkyl group having 1 to 6 carbon atoms; Or a cycloalkyl group having 1 to 6 carbon atoms.
본 명세서의 일 실시상태에 있어서, 상기 Rx 및 Rz는 서로 동일하거나 상이하고, 각각 독립적으로 메틸; t-부틸; 1-에틸프로필; 또는 사이클로헥실이다.In the exemplary embodiment of the present specification, Rx and Rz are the same as or different from each other, and each independently methyl; t-butyl; 1-ethylpropyl; Or cyclohexyl.
본 명세서의 일 실시상태에 있어서, 상기 Ry는 수소이다.In the exemplary embodiment of the present specification, Ry is hydrogen.
본 명세서의 일 실시상태에 있어서, 상기 a는 0이다.In the exemplary embodiment of the present specification, a is 0.
본 명세서의 일 실시상태에 있어서, 상기 b는 0이다.In the exemplary embodiment of the present specification, b is 0.
본 명세서의 일 실시상태에 있어서, 상기 b는 2이다.In the exemplary embodiment of the present specification, b is 2.
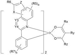
본 명세서의 일 실시상태에 있어서, 상기 화학식 1은 하기 화학식 2-1 내지 화학식 2-3 중 어느 하나로 표시된다.In an exemplary embodiment of the present specification,
[화학식 2-1][Formula 2-1]
[화학식 2-2][Formula 2-2]
[화학식 2-3][Formula 2-3]
상기 화학식 2-1 내지 화학식 2-3에 있어서,In Formulas 2-1 to 2-3,
X, Z, R5, R6, R7, Rx, Ry, Rz, a 및 b의 정의는 상기 화학식 1에서 정의한 바와 동일하고,The definitions of X, Z, R5, R6, R7, Rx, Ry, Rz, a and b are the same as those defined in
Y1은 N 또는 CR1이고, Y2는 N 또는 CR2이고, Y3는 N 또는 CR3이고, Y4는 N 또는 CR4이고,Y1 is N or CR1, Y2 is N or CR2, Y3 is N or CR3, Y4 is N or CR4,
R1 내지 R4는 서로 동일하거나 상이하고, 각각 독립적으로 수소; 중수소; 알킬기; 알케닐기; 알카이닐기; 할로겐기; 시아노기; 하이드록시기; 알콕시기; 아릴옥시기; 알킬기 또는 아릴기로 치환 또는 비치환된 실릴기; 아릴기; 또는 헤테로아릴기이다.R1 to R4 are the same as or different from each other, and each independently hydrogen; heavy hydrogen; Alkyl group; Alkenyl group; Alkynyl group; Halogen group; Cyano group; Hydroxy group; Alkoxy group; Aryloxy group; A silyl group unsubstituted or substituted with an alkyl group or an aryl group; Aryl group; Or a heteroaryl group.
본 명세서의 일 실시상태에 있어서, 상기 Y1은 N이다.In the exemplary embodiment of the present specification, Y1 is N.
본 명세서의 일 실시상태에 있어서, 상기 Y2는 N이다.In the exemplary embodiment of the present specification, Y2 is N.
본 명세서의 일 실시상태에 있어서, 상기 Y3는 N이다.In the exemplary embodiment of the present specification, Y3 is N.
본 명세서의 일 실시상태에 있어서, 상기 Y4는 N이다.In the exemplary embodiment of the present specification, Y4 is N.
본 명세서의 일 실시상태에 있어서, 상기 Y1은 CR1이다.In the exemplary embodiment of the present specification, Y1 is CR1.
본 명세서의 일 실시상태에 있어서, 상기 Y2는 CR2이다.In the exemplary embodiment of the present specification, Y2 is CR2.
본 명세서의 일 실시상태에 있어서, 상기 Y3는 CR3이다.In the exemplary embodiment of the present specification, Y3 is CR3.
본 명세서의 일 실시상태에 있어서, 상기 Y4는 CR4이다.In the exemplary embodiment of the present specification, Y4 is CR4.
본 명세서의 일 실시상태에 있어서, 상기 R1 내지 R4는 서로 동일하거나 상이하고, 각각 독립적으로 수소; 또는 탄소수 1 내지 10의 알킬기이다.In the exemplary embodiment of the present specification, R1 to R4 are the same as or different from each other, and each independently hydrogen; Or an alkyl group having 1 to 10 carbon atoms.
본 명세서의 일 실시상태에 있어서, 상기 R1 내지 R4는 서로 동일하거나 상이하고, 각각 독립적으로 수소; 또는 탄소수 1 내지 6의 알킬기이다.In the exemplary embodiment of the present specification, R1 to R4 are the same as or different from each other, and each independently hydrogen; Or an alkyl group having 1 to 6 carbon atoms.
본 명세서의 일 실시상태에 있어서, 상기 R1 내지 R4는 서로 동일하거나 상이하고, 각각 독립적으로 수소; 또는 탄소수 1 내지 4의 알킬기이다.In the exemplary embodiment of the present specification, R1 to R4 are the same as or different from each other, and each independently hydrogen; Or an alkyl group having 1 to 4 carbon atoms.
본 명세서의 일 실시상태에 있어서, 상기 R1 내지 R4는 서로 동일하거나 상이하고, 각각 독립적으로 수소; 또는 메틸이다.In the exemplary embodiment of the present specification, R1 to R4 are the same as or different from each other, and each independently hydrogen; Or methyl.
본 명세서의 일 실시상태에 있어서, 상기 화학식 D는 하기 화학식 D-1 내지 화학식 D-3 중 어느 하나로 표시된다.In an exemplary embodiment of the present specification, Formula D is represented by any one of the following Formulas D-1 to D-3.
[화학식 D-1][Formula D-1]
[화학식 D-2][Formula D-2]
[화학식 D-3][Formula D-3]
상기 화학식 D-1 내지 화학식 D-3에 있어서,In the formulas D-1 to D-3,
X, Z, R5, R6 및 a의 정의는 상기 화학식 D에서 정의한 바와 동일하다.The definitions of X, Z, R5, R6 and a are the same as those defined in Formula D.
본 명세서의 일 실시상태에 있어서, 상기 화학식 1은 하기 화학식 5-1 내지 화학식 5-4 중 어느 하나로 표시된다.In an exemplary embodiment of the present specification,
[화학식 5-1][Chemical Formula 5-1]
[화학식 5-2][Formula 5-2]
[화학식 5-3][Chemical Formula 5-3]
[화학식 5-4][Chemical Formula 5-4]
상기 화학식 5-1에 있어서,In Formula 5-1,
Y2 내지 Y4 중 인접한 두 개는 상기 화학식 D의 두 개의 '*'와 각각 결합하는 탄소원자이고, Y2 내지 Y4 중 상기 화학식 D의 '*'와 결합하지 않는 하나는 N 또는 CR이고,Two adjacent of Y2 to Y4 are carbon atoms each bonded to the two'*'s of Formula D, and one of Y2 to Y4 that does not bond to'*' of Formula D is N or CR,
상기 화학식 5-2에 있어서,In Formula 5-2,
Y3 및 Y4는 상기 화학식 D의 두 개의 '*'와 각각 결합하는 탄소원자이고, Y1은 N 또는 CR이고,Y3 and Y4 are carbon atoms each bonded to two'*'s of Formula D, and Y1 is N or CR,
상기 화학식 5-3에 있어서,In Formula 5-3,
Y1 및 Y2는 상기 화학식 D의 두 개의 '*'와 각각 결합하는 탄소원자이며, Y4는 N 또는 CR이고,Y1 and Y2 are carbon atoms each bonded to two'*'s of Formula D, and Y4 is N or CR,
상기 화학식 5-4에 있어서,In Formula 5-4,
Y1 내지 Y3 중 인접한 두 개는 상기 화학식 D의 두 개의 '*'와 각각 결합하는 탄소원자이고, Y1 내지 Y3 중 상기 화학식 D의 '*'와 결합하지 않는 하나는 N 또는 CR이고,Two adjacent ones of Y1 to Y3 are carbon atoms each bonded to two'*'s of Formula D, and one of Y1 to Y3 that does not bind to'*' of Formula D is N or CR,
R, R7, Rx, Ry, Rz 및 b의 정의는 화학식 1에서 정의한 바와 동일하다.The definitions of R, R7, Rx, Ry, Rz, and b are the same as those defined in
본 명세서의 일 실시상태에 있어서, 상기 화학식 1은 하기 화학식 6으로 표시된다.In an exemplary embodiment of the present specification,
[화학식 6][Formula 6]
상기 화학식 6에 있어서,In
Y1 내지 Y4, Rx, Ry 및 Rz의 정의는 화학식 1에서 정의한 바와 동일하고,The definitions of Y1 to Y4, Rx, Ry and Rz are the same as defined in
R8은 수소; 중수소; 알킬기; 알케닐기; 알카이닐기; 할로겐기; 시아노기; 하이드록시기; 알콕시기; 아릴옥시기; 알킬기 또는 아릴기로 치환 또는 비치환된 실릴기; 아릴기; 또는 헤테로아릴기이고,R8 is hydrogen; heavy hydrogen; Alkyl group; Alkenyl group; Alkynyl group; Halogen group; Cyano group; Hydroxy group; Alkoxy group; Aryloxy group; A silyl group unsubstituted or substituted with an alkyl group or an aryl group; Aryl group; Or a heteroaryl group,
c는 0 내지 6의 정수이고, c가 2 이상인 경우 복수의 R8은 서로 동일하거나 상이하다.c is an integer of 0 to 6, and when c is 2 or more, a plurality of R8s are the same as or different from each other.
본 명세서의 일 실시상태에 있어서, 상기 R8은 수소; 또는 탄소수 1 내지 10의 알킬기이다.In the exemplary embodiment of the present specification, R8 is hydrogen; Or an alkyl group having 1 to 10 carbon atoms.
본 명세서의 일 실시상태에 있어서, 상기 R8은 수소; 또는 탄소수 1 내지 6의 알킬기이다.In the exemplary embodiment of the present specification, R8 is hydrogen; Or an alkyl group having 1 to 6 carbon atoms.
본 명세서의 일 실시상태에 있어서, 상기 R8은 수소; 또는 메틸이다.In the exemplary embodiment of the present specification, R8 is hydrogen; Or methyl.
본 명세서의 일 실시상태에 있어서, 상기 c는 0이다.In the exemplary embodiment of the present specification, c is 0.
본 명세서의 일 실시상태에 있어서, 상기 화학식 1로 표시되는 화합물은 하기 화합물들 중에서 선택된 어느 하나이다.In the exemplary embodiment of the present specification, the compound represented by
본 명세서의 일 실시상태에 있어서, 상기 화학식 2-1로 표시되는 화합물은 하기 일반식 1의 방법에 따라 제조될 수 있다.In the exemplary embodiment of the present specification, the compound represented by Formula 2-1 may be prepared according to the method of
[일반식 1][General Formula 1]
상기 일반식 1은 화학식 2-1으로 표시되는 화합물을 형성하는 방법의 하나의 예시로서, 화학식 2-1으로 표시되는 화합물의 합성 방법은 상기 일반식 1에 한정되지 않으며, 일부 합성 단계는 당 기술분야에 알려져 있는 방법에 의할 수 있다.
상기 화학식 2-1에 있어서, 5각 고리의 축합 위치 및 치환기의 종류가 다른 메인 리간드를 사용하면, 화학식 1으로 표시되는 화합물을 제조할 수 있다.In Formula 2-1, when a main ligand having a different condensation position of the pentagonal ring and a type of substituent is used, a compound represented by
본 명세서는 상기 화학식 1로 표시되는 화합물을 포함하는 유기 발광 소자를 제공한다.The present specification provides an organic light-emitting device including the compound represented by
본 명세서의 일 실시상태는, 제1 전극, 제2 전극 및 상기 제1 전극과 상기 제2 전극 사이에 구비된 1층 이상의 유기물층을 포함하는 유기 발광 소자로서, 상기 화학식 1으로 표시되는 화합물은 상기 1층 이상의 유기물층 중 1층 이상에 포함되는 것인 유기 발광 소자를 제공한다.An exemplary embodiment of the present specification is an organic light emitting device including a first electrode, a second electrode, and one or more organic material layers provided between the first electrode and the second electrode, wherein the compound represented by
본 명세서의 유기 발광 소자는 제1 전극 및 제2 전극 사이에 단층 또는 다층의 유기물층을 포함할 수 있다. 예컨대, 본 발명의 유기 발광 소자에 포함되는 상기 유기물층은 정공 주입층, 정공 수송층, 정공 수송과 주입을 동시에 하는 층, 정공 조절층, 발광층, 전자 조절층, 전자 수송층, 전자 주입층 및 전자 수송 및 주입을 동시에 하는 층 중 1층 이상일 수 있다.The organic light emitting device of the present specification may include a single layer or a multilayer organic material layer between the first electrode and the second electrode. For example, the organic material layer included in the organic light emitting device of the present invention includes a hole injection layer, a hole transport layer, a layer that simultaneously transports and injects holes, a hole control layer, a light emitting layer, an electron control layer, an electron transport layer, an electron injection layer, and an electron transport layer. It may be one or more of the layers simultaneously injected.
본 명세서의 일 실시상태에 있어서, 상기 화학식 1로 표시되는 화합물은 1층 이상의 발광층 중 1층 이상의 층에 포함된다.In the exemplary embodiment of the present specification, the compound represented by
본 명세서의 일 실시상태에 있어서, 상기 화학식 1로 표시되는 화합물을 포함하는 발광층은 적색 발광층이다.In the exemplary embodiment of the present specification, the emission layer including the compound represented by
본 명세서의 일 실시상태에 있어서, 상기 유기 발광 소자에 1층 이상의 발광층이 포함되는 경우, 각각의 발광층은 서로 다른 색을 나타낼 수 있다.In the exemplary embodiment of the present specification, when one or more emission layers are included in the organic light emitting device, each emission layer may exhibit a different color.
본 명세서의 일 실시상태에 있어서, 상기 화학식 1로 표시되는 화합물을 포함하는 유기 발광 소자는 적색 유기 발광 소자이다.In the exemplary embodiment of the present specification, the organic light-emitting device including the compound represented by
본 명세서의 일 실시상태에 있어서, 상기 화학식 1로 표시되는 화합물은 상기 화합물을 포함하는 발광층 총 100 중량부 기준으로 1 중량부 이상 10 중량부 이하로 포함된다.In the exemplary embodiment of the present specification, the compound represented by
본 명세서의 일 실시상태에 있어서, 상기 화학식 1로 표시되는 화합물을 포함하는 발광층은 호스트 물질을 더 포함한다.In the exemplary embodiment of the present specification, the emission layer including the compound represented by
본 명세서의 일 실시상태에 있어서, 상기 화학식 1로 표시되는 화합물을 포함하는 발광층에 포함되는 호스트 물질은 카바졸 유도체 화합물 또는 N을 포함하는 방향족 다환 화합물이다.In the exemplary embodiment of the present specification, the host material included in the light emitting layer including the compound represented by
본 명세서의 일 실시상태에 있어서, 상기 화학식 1로 표시되는 화합물을 포함하는 발광층은 하기 화학식 H로 표시되는 호스트 화합물을 더 포함한다.In the exemplary embodiment of the present specification, the emission layer including the compound represented by
[화학식 H][Formula H]
상기 화학식 H에 있어서,In the formula H,
G1 및 G2는 서로 동일하거나 상이하고, 각각 독립적으로 수소; 중수소; 할로겐기; 시아노기; 알킬기; 사이클로알킬기; 실릴기; 아릴기; 또는 헤테로아릴기이거나, 인접하는 기와 서로 결합하여 고리를 형성하며,G1 and G2 are the same as or different from each other, and each independently hydrogen; heavy hydrogen; Halogen group; Cyano group; Alkyl group; Cycloalkyl group; Silyl group; Aryl group; Or a heteroaryl group, or combine with an adjacent group to form a ring,
G3 및 G4는 서로 동일하거나 상이하고, 각각 독립적으로 알킬기, 아릴기 또는 헤테로아릴기로 치환 또는 비치환된 아릴기; 또는 알킬기, 아릴기 또는 헤테로아릴기로 치환 또는 비치환된 헤테로아릴기이며,G3 and G4 are the same as or different from each other, and each independently an aryl group unsubstituted or substituted with an alkyl group, an aryl group, or a heteroaryl group; Or an alkyl group, an aryl group, or a heteroaryl group unsubstituted or substituted with a heteroaryl group,
b1은 0 내지 7의 정수이고, b1이 2 이상인 경우 복수의 G1은 서로 동일하거나 상이하고,b1 is an integer from 0 to 7, and when b1 is 2 or more, a plurality of G1s are the same or different from each other,
b2는 0 내지 7의 정수이고, b2가 2 이상인 경우 복수의 G2는 서로 동일하거나 상이하다.b2 is an integer of 0 to 7, and when b2 is 2 or more, a plurality of G2s are the same or different from each other.
본 명세서의 일 실시상태에 있어서, 상기 G1은 인접하는 기와 서로 결합하여 벤젠고리를 형성한다.In the exemplary embodiment of the present specification, G1 is combined with an adjacent group to form a benzene ring.
본 명세서의 일 실시상태에 있어서, 상기 G4는 알킬기, 아릴기 또는 헤테로아릴기로 치환 또는 비치환되고 N을 포함하는 헤테로아릴기이다.In the exemplary embodiment of the present specification, G4 is a heteroaryl group that is unsubstituted or substituted with an alkyl group, an aryl group, or a heteroaryl group and includes N.
본 명세서의 일 실시상태에 있어서, 상기 G4는 알킬기, 아릴기 또는 헤테로아릴기로 치환 또는 비치환되고 N을 포함하는 6원 고리를 포함하는 헤테로아릴기이다.In the exemplary embodiment of the present specification, G4 is a heteroaryl group which is unsubstituted or substituted with an alkyl group, an aryl group, or a heteroaryl group and includes a 6-membered ring including N.
본 명세서의 일 실시상태에 있어서, 상기 화학식 H는 하기 화학식 H-1으로 표시된다.In an exemplary embodiment of the present specification, Chemical Formula H is represented by the following Chemical Formula H-1.
[화학식 H-1][Formula H-1]
상기 화학식 H-1에 있어서,In the formula H-1,
G1 내지 G4 및 b2의 정의는 화학식 H에서 정의한 바와 동일하고,The definitions of G1 to G4 and b2 are the same as those defined in Formula H,
b3는 0 내지 9의 정수이고, b3가 2 이상인 경우 복수의 G1은 서로 동일하거나 상이하다.b3 is an integer of 0 to 9, and when b3 is 2 or more, a plurality of G1s are the same or different.
본 명세서의 일 실시상태에 있어서, 상기 화학식 H로 표시되는 화합물은 하기 화합물이다.In an exemplary embodiment of the present specification, the compound represented by Formula H is the following compound.
본 명세서의 일 실시상태에 있어서, 상기 화학식 1로 표시되는 화합물은 정공 주입층, 정공 수송층, 정공 주입 및 수송을 동시에 하는 층 및 정공 조절층 중 1층 이상에 포함된다.In the exemplary embodiment of the present specification, the compound represented by
본 명세서의 일 실시상태에 있어서, 상기 화학식 1로 표시되는 화합물은 전자 주입층, 전자 수송층, 전자 주입 및 수송을 동시에 하는 층 및 전자 조절층 중 1층 이상에 포함된다.In the exemplary embodiment of the present specification, the compound represented by
본 명세서의 일 실시상태에 있어서, 상기 유기 발광 소자는 기판 상에 양극, 1층 이상의 유기물층 및 음극이 순차적으로 적층된 노말 구조(normal type)의 유기 발광 소자일 수 있다.In the exemplary embodiment of the present specification, the organic light-emitting device may be a normal type organic light-emitting device in which an anode, one or more organic material layers, and a cathode are sequentially stacked on a substrate.
본 명세서의 일 실시상태에 있어서, 상기 유기 발광 소자는 기판 상에 음극, 1층 이상의 유기물층 및 양극이 순차적으로 적층된 역방향 구조(inverted type)의 유기 발광 소자일 수 있다. In the exemplary embodiment of the present specification, the organic light emitting device may be an organic light emitting device of an inverted type in which a cathode, one or more organic material layers, and an anode are sequentially stacked on a substrate.
본 명세서의 일 실시상태에 있어서, 상기 제1 전극은 양극이고, 상기 제2 전극은 음극이다.In the exemplary embodiment of the present specification, the first electrode is an anode, and the second electrode is a cathode.
또 하나의 실시상태에 있어서, 상기 제1 전극은 음극이고, 상기 제2 전극은 양극이다.In another exemplary embodiment, the first electrode is a cathode, and the second electrode is an anode.
본 명세서의 일 실시상태에 따른 유기 발광 소자의 구조는 도 1 및 2에 예시되어 있다.The structure of the organic light-emitting device according to an exemplary embodiment of the present specification is illustrated in FIGS. 1 and 2.
본 발명의 일 실시상태에 따른 유기 발광소자는 도 1에 도시한 바와 같이, 기판(1), 양극(2), 유기물층(3) 및 음극(4)으로 이루어질 수 있다. 일 실시상태에 있어서, 상기 화학식 1로 표시되는 화합물은 상기 유기물층(3)에 포함된다.The organic light emitting device according to an exemplary embodiment of the present invention may include a
본 발명의 일 실시상태에 따른 유기 발광 소자는 도 2에 도시된 바와 같이 기판(1), 양극(2), 정공 주입층(5), 제1 정공 수송층(6), 제2 정공 수송층(7), 발광층(8), 전자 수송층(9), 전자 주입층(10) 및 음극(4)으로 이루어질 수 있다. 일 실시상태에 있어서, 상기 화학식 1로 표시되는 화합물은 상기 발광층(8)에 포함된다.The organic light emitting device according to an exemplary embodiment of the present invention includes a
그러나, 본 명세서의 일 실시상태에 따른 유기 발광 소자의 구조는 도 1 및 도 2에 한정되지 않고, 하기의 구조 중 어느 하나일 수 있다.However, the structure of the organic light emitting device according to the exemplary embodiment of the present specification is not limited to FIGS. 1 and 2 and may be any one of the following structures.
(1) 양극/정공수송층/발광층/음극(1) Anode/Hole Transport Layer/Light-Emitting Layer/Anode
(2) 양극/정공주입층/정공수송층/발광층/음극(2) Anode/Hole Injection Layer/Hole Transport Layer/Light-Emitting Layer/Anode
(3) 양극/정공수송층/발광층/전자수송층/음극(3) Anode/Hole Transport Layer/Light-Emitting Layer/Electron Transport Layer/Anode
(4) 양극/정공수송층/발광층/전자수송층/전자주입층/음극(4) Anode/hole transport layer/light emitting layer/electron transport layer/electron injection layer/cathode
(5) 양극/정공주입층/정공수송층/발광층/전자수송층/음극(5) Anode/hole injection layer/hole transport layer/light-emitting layer/electron transport layer/cathode
(6) 양극/정공주입층/정공수송층/발광층/전자수송층/전자주입층/음극(6) Anode/hole injection layer/hole transport layer/light-emitting layer/electron transport layer/electron injection layer/cathode
(7) 양극/정공수송층/정공조절층/발광층/전자수송층/음극(7) Anode/hole transport layer/hole control layer/light-emitting layer/electron transport layer/cathode
(8) 양극/정공수송층/정공조절층/발광층/전자수송층/전자주입층/음극(8) Anode/hole transport layer/hole control layer/light emitting layer/electron transport layer/electron injection layer/cathode
(9) 양극/정공주입층/정공수송층/정공조절층/발광층/전자수송층/음극(9) Anode/hole injection layer/hole transport layer/hole control layer/light emitting layer/electron transport layer/cathode
(10) 양극/정공주입층/정공수송층/정공조절층/발광층/전자수송층/전자주입층/음극(10) Anode/Hole injection layer/Hole transport layer/Hole control layer/Light emitting layer/Electron transport layer/Electron injection layer/Anode
(11) 양극/정공수송층/발광층/전자조절층/전자수송층/음극(11) Anode/Hole Transport Layer/Light-Emitting Layer/Electron Control Layer/Electron Transport Layer/Anode
(12) 양극/정공수송층/발광층/전자조절층/전자수송층/전자주입층/음극(12) Anode/hole transport layer/light emitting layer/electron control layer/electron transport layer/electron injection layer/cathode
(13) 양극/정공주입층/정공수송층/발광층/전자조절층/전자수송층/음극(13) Anode/hole injection layer/hole transport layer/light emitting layer/electron control layer/electron transport layer/cathode
(14) 양극/정공주입층/정공수송층/발광층/전자조절층/전자수송층/전자주입층/음극(14) Anode/hole injection layer/hole transport layer/light emitting layer/electron control layer/electron transport layer/electron injection layer/cathode
상기 유기 발광 소자가 복수개의 유기물층을 포함하는 경우, 상기 유기물층은 서로 동일한 물질 또는 다른 물질로 형성될 수 있다.When the organic light-emitting device includes a plurality of organic material layers, the organic material layers may be formed of the same material or different materials.
예컨대, 본 명세서의 유기 발광 소자는 기판 상에 제1 전극, 유기물층 및 제2 전극을 순차적으로 적층시킴으로써 제조할 수 있다. 이 때 스퍼터링법(sputtering)이나 전자빔 증발법(e-beam evaporation)과 같은 물리적 증착 방법(PVD, physical Vapor Deposition)을 이용하여, 기판 상에 금속 또는 전도성을 가지는 금속 산화물 또는 이들의 합금을 증착시켜 양극을 형성하고, 그 위에 정공 주입층, 정공 수송층, 발광층 및 전자 수송층을 포함하는 유기물층을 형성한 후, 그 위에 음극으로 사용할 수 있는 물질을 증착시킴으로써 제조될 수 있다.For example, the organic light emitting device of the present specification may be manufactured by sequentially laminating a first electrode, an organic material layer, and a second electrode on a substrate. In this case, by using a physical vapor deposition method (PVD, physical vapor deposition) such as sputtering or e-beam evaporation, a metal or a conductive metal oxide or an alloy thereof is deposited on the substrate. It can be prepared by forming an anode, forming an organic material layer including a hole injection layer, a hole transport layer, an emission layer, and an electron transport layer thereon, and then depositing a material that can be used as a cathode thereon.
또한, 상기 화학식 1로 표시되는 화합물은 유기 발광 소자의 제조시 진공 증착법 뿐만 아니라 용액 도포법에 의하여 유기물층으로 형성될 수 있다. 여기서, 용액 도포법이라 함은 스핀 코팅, 딥코팅, 닥터 블레이딩, 잉크젯 프린팅, 스크린 프린팅, 스프레이법, 롤 코팅 등을 의미하지만, 이들만으로 한정되는 것은 아니다.In addition, the compound represented by
이와 같은 방법 외에도, 기판 상에 음극 물질로부터 유기물층, 양극 물질을 차례로 증착시켜 유기 발광 소자를 만들 수도 있다 (국제 특허 출원 공개 제 2003/012890호). 다만, 제조 방법이 이에 한정되는 것은 아니다.In addition to this method, an organic light emitting device may be manufactured by sequentially depositing an organic material layer and an anode material from a cathode material on a substrate (International Patent Application Publication No. 2003/012890). However, the manufacturing method is not limited thereto.
상기 양극 물질로는 통상 유기물층으로 정공 주입이 원활할 수 있도록 일함수가 큰 물질이 바람직하다. 본 발명에서 사용될 수 있는 양극 물질의 구체적인 예로는 바나듐, 크롬, 구리, 아연, 금과 같은 금속 또는 이들의 합금; 아연 산화물, 인듐 산화물, 인듐주석 산화물(ITO), 인듐아연 산화물(IZO)과 같은 금속 산화물; ZnO:Al 또는 SnO2:Sb와 같은 금속과 산화물의 조합; 폴리(3-메틸티오펜), 폴리[3,4-(에틸렌-1,2-디옥시)티오펜](PEDOT), 폴리피롤 및 폴리아닐린과 같은 전도성 고분자 등이 있으나, 이들에만 한정되는 것은 아니다.As the anode material, a material having a large work function is preferable so that holes can be smoothly injected into the organic material layer. Specific examples of the cathode material that can be used in the present invention include metals such as vanadium, chromium, copper, zinc, and gold, or alloys thereof; Metal oxides such as zinc oxide, indium oxide, indium tin oxide (ITO), and indium zinc oxide (IZO); Combinations of metals and oxides such as ZnO:Al or SnO2 :Sb; Poly(3-methylthiophene), poly[3,4-(ethylene-1,2-dioxy)thiophene] (PEDOT), conductive polymers such as polypyrrole and polyaniline, and the like, but are not limited thereto.
상기 음극 물질로는 통상 유기물층으로 전자 주입이 용이하도록 일함수가 작은 물질인 것이 바람직하다. 음극 물질의 구체적인 예로는 마그네슘, 칼슘, 나트륨, 칼륨, 티타늄, 인듐, 이트륨, 리튬, 가돌리늄, 알루미늄, 은, 주석 및 납과 같은 금속 또는 이들의 합금; LiF/Al 또는 LiO2/Al과 같은 다층 구조 물질 등이 있으나, 이들에만 한정되는 것은 아니다.It is preferable that the cathode material is a material having a small work function to facilitate electron injection into the organic material layer. Specific examples of the negative electrode material include metals such as magnesium, calcium, sodium, potassium, titanium, indium, yttrium, lithium, gadolinium, aluminum, silver, tin, and lead, or alloys thereof; There are multi-layered materials such as LiF/Al or LiO2 /Al, but are not limited thereto.
상기 정공 주입층은 전극으로부터 수취받은 정공을 발광층 또는 발광층쪽으로 구비된 인접한 층에 주입하는 층이다. 상기 정공 주입 물질로는 정공을 수송하는 능력을 가져 양극에서의 정공 주입효과, 발광층 또는 발광재료에 대하여 우수한 정공 주입 효과를 갖고, 발광층에서 생성된 엑시톤의 전자 주입층 또는 전자 주입재료에의 이동을 방지하며, 또한, 박막 형성 능력이 우수한 화합물을 사용하는 것이 바람직하다. 상기 정공 주입 물질의 HOMO(highest occupied molecular orbital)는 양극 물질의 일함수와 주변 유기물층의 HOMO 사이인 것이 바람직하다. 상기 정공 주입 물질의 구체적인 예로는 금속 포피린(porphyrin), 올리고티오펜, 아릴아민 계열의 유기물, 헥사니트릴헥사아자트리페닐렌 계열의 유기물, 퀴나크리돈(quinacridone)계열의 유기물, 페릴렌(perylene) 계열의 유기물, 안트라퀴논 및 폴리아닐린과 폴리티오펜 계열의 전도성 고분자 등이 있으나, 이들에만 한정되는 것은 아니다.The hole injection layer is a layer for injecting holes received from an electrode into a light emitting layer or a layer adjacent to the light emitting layer. The hole injection material has the ability to transport holes and thus has a hole injection effect at the anode, an excellent hole injection effect for the light emitting layer or the light emitting material, and transfer of excitons generated in the light emitting layer to the electron injection layer or the electron injection material. It is preferable to use a compound that prevents and has excellent thin film formation ability. The HOMO (highest occupied molecular orbital) of the hole injection material is preferably between the work function of the positive electrode material and the HOMO of the surrounding organic material layer. Specific examples of the hole injection material include metal porphyrin, oligothiophene, arylamine-based organic material, hexanitrile hexaazatriphenylene-based organic material, quinacridone-based organic material, perylene There are a series of organic substances, anthraquinone, and polyaniline and a polythiophene series of conductive polymers, but are not limited thereto.
상기 정공 수송층은 정공 주입층으로부터 정공을 수취하여 발광층까지 정공을 수송하는 층이다. 상기 정공 수송 물질로는 양극이나 정공 주입층으로부터 정공을 수송받아 발광층으로 옮겨줄 수 있는 물질로 정공에 대한 이동성이 큰 물질이 적합하다. 상기 정공 수송 물질의 구체적인 예로는 아릴아민 계열의 유기물, 전도성 고분자, 및 공액 부분과 비공액 부분이 함께 있는 블록 공중합체 등이 있으나, 이들에만 한정되는 것은 아니다.The hole transport layer is a layer that receives holes from the hole injection layer and transports holes to the emission layer. The hole transport material is a material capable of transporting holes from an anode or a hole injection layer and transferring them to the emission layer, and a material having high mobility for holes is suitable. Specific examples of the hole transport material include, but are not limited to, an arylamine-based organic material, a conductive polymer, and a block copolymer having a conjugated portion and a non-conjugated portion.
상기 정공 조절층은 발광층으로주터 전자가 양극으로 유입되는 것을 방지하고 발광층으로 유입되는 정공의 흐름을 조절하여 소자 전체의 성능을 조절하는 층이다. 상기 정공 조절 물질로는 발광층으로부터 양극으로의 전자의 유입을 방지하고, 발광층 또는 발광 재료에 대하여 주입되는 정공의 흐름을 조절하는 능력을 갖는 화합물이 바람직하다. 일 실시상태에 있어서, 전자 차단층으로는 아릴아민 계열의 유기물이 사용될 수 있으나, 이에 한정되는 것은 아니다.The hole control layer is a layer that prevents the flow of electrons into the light emitting layer to the anode and controls the flow of holes flowing into the light emitting layer to control the performance of the entire device. The hole control material is preferably a compound having the ability to prevent the inflow of electrons from the light-emitting layer to the anode and to control the flow of holes injected into the light-emitting layer or the light-emitting material. In one embodiment, an arylamine-based organic material may be used as the electron blocking layer, but is not limited thereto.
상기 발광 물질로는 정공 수송층과 전자 수송층으로부터 정공과 전자를 각각 수송받아 결합시킴으로써 가시광선 영역의 빛을 낼 수 있는 물질로서, 형광이나 인광에 대한 양자 효율이 좋은 물질이 바람직하다. 구체적인 예로는 8-하이드록시-퀴놀린 알루미늄 착물(Alq3); 카르바졸 계열 화합물; 이량체화 스티릴(dimerized styryl) 화합물; BAlq; 10-하이드록시벤조퀴놀린-금속 화합물; 벤즈옥사졸, 벤조티아졸 및 벤즈이미다졸 계열의 화합물; 폴리(p-페닐렌비닐렌)(PPV) 계열의 고분자; 스피로(spiro) 화합물; 폴리플루오렌, 루브렌 등이 있으나, 이들에만 한정되는 것은 아니다.The light-emitting material is a material capable of emitting light in a visible light region by transporting and bonding holes and electrons from the hole transport layer and the electron transport layer, respectively, and a material having good quantum efficiency for fluorescence or phosphorescence is preferable. Specific examples include 8-hydroxy-quinoline aluminum complex (Alq3 ); Carbazole-based compounds; Dimerized styryl compounds; BAlq; 10-hydroxybenzoquinoline-metal compound; Benzoxazole, benzothiazole and benzimidazole-based compounds; Poly(p-phenylenevinylene) (PPV)-based polymer; Spiro compounds; Polyfluorene, rubrene, and the like, but are not limited thereto.
상기 발광층은 호스트 재료 및 도판트 재료를 포함할 수 있다.The emission layer may include a host material and a dopant material.
상기 호스트 재료는 축합 방향족환 유도체 또는 헤테로환 함유 화합물 등이 있다. 구체적으로 축합 방향족환 유도체로는 안트라센 유도체, 파이렌 유도체, 나프탈렌 유도체, 펜타센 유도체, 페난트렌 화합물, 플루오란텐 화합물 등이 있고, 헤테로환 함유 화합물로는 디벤조퓨란 유도체, 래더형 퓨란 화합물, 피리미딘 유도체 등이 있으나, 이에 한정되지 않는다.The host material may be a condensed aromatic ring derivative or a heterocyclic-containing compound. Specifically, condensed aromatic ring derivatives include anthracene derivatives, pyrene derivatives, naphthalene derivatives, pentacene derivatives, phenanthrene compounds, and fluoranthene compounds, and heterocycle-containing compounds include dibenzofuran derivatives, ladder furan compounds, And pyrimidine derivatives, but are not limited thereto.
상기 발광층의 도판트 재료로는 방향족 아민 유도체, 스티릴아민 화합물, 붕소 착체, 플루오란텐 화합물, 금속 착체 등이 있다. 상기 방향족 아민 유도체로는 치환 또는 비치환된 아릴아민기를 갖는 축합 방향족환 유도체로서, 아릴아민기를 갖는 파이렌, 안트라센, 크라이센, 페리플란텐 등을 사용할 수 있다. 상기 스티릴아민 화합물로는 치환 또는 비치환된 아릴아민에 적어도 1개의 아릴비닐기가 치환된 화합물을 사용할 수 있다. 상기 스티릴아민 화합물의 예로는 스티릴아민, 스티릴디아민, 스티릴트리아민, 스티릴테트라아민 등이 있으나, 이에 한정되지 않는다. 상기 금속 착체로는 이리듐 착체, 백금 착체 등을 사용할 수 있으나, 이에 한정되지 않는다.Examples of the dopant material for the light emitting layer include an aromatic amine derivative, a styrylamine compound, a boron complex, a fluoranthene compound, and a metal complex. As the aromatic amine derivative, as a condensed aromatic ring derivative having a substituted or unsubstituted arylamine group, pyrene, anthracene, chrysene, periflanthene and the like having an arylamine group may be used. As the styrylamine compound, a compound in which at least one arylvinyl group is substituted with a substituted or unsubstituted arylamine may be used. Examples of the styrylamine compound include, but are not limited to, styrylamine, styryldiamine, styryltriamine, and styryltetraamine. The metal complex may be an iridium complex or a platinum complex, but is not limited thereto.
상기 전자 조절층은 발광층으로부터 정공이 음극으로 유입되는 것을 차단하고 발광층으로 유입되는 전자를 조절하여 소자 전체의 성능을 조절하는 층이다. 전자 조절 물질로는 발광층으로부터 음극으로의 정공의 유입을 방지하고, 발광층 또는 발광 재료에 대하여 주입되는 전자를 조절하는 능력을 갖는 화합물이 바람직하다. 전자 조절 물질로는 소자 내 사용되는 유기물층의 구성에 따라 적절한 물질을 사용할 수 있다. 상기 전자 조절층은 발광층과 음극 사이에 위치하며, 바람직하게는 발광층에 직접 접하여 구비된다.The electron control layer is a layer that blocks the inflow of holes from the emission layer to the cathode and controls the electrons flowing into the emission layer to control the performance of the entire device. The electron controlling material is preferably a compound having the ability to prevent the inflow of holes from the light-emitting layer to the cathode and to control electrons injected into the light-emitting layer or the light-emitting material. As the electron controlling material, a suitable material may be used according to the configuration of the organic material layer used in the device. The electron control layer is located between the emission layer and the cathode, and is preferably provided in direct contact with the emission layer.
상기 전자 수송층은 전자 주입층으로부터 전자를 수취하여 발광층까지 전자를 수송하는 층이다. 상기 전자 수송 물질로는 음극으로부터 전자를 잘 주입 받아 발광층으로 옮겨줄 수 있는 물질로서, 전자에 대한 이동성이 큰 물질이 적합하다. 상기 전자 수송 물질의 예로는 8-하이드록시퀴놀린의 Al착물; Alq3를 포함한 착물; 유기 라디칼 화합물; 하이드록시플라본-금속 착물 등이 있으나, 이들에만 한정되는 것은 아니다. 상기 전자 수송층은 종래기술에 따라 사용된 바와 같이 임의의 원하는 음극 물질과 함께 사용할 수 있다. 일 실시상태에 있어서, 상기 음극 물질로는 낮은 일함수를 가지는 물질; 및 알루미늄층 또는 실버층을 사용할 수 있다. 상기 낮은 일함수를 가지는 물질의 예로는 세슘, 바륨, 칼슘, 이테르븀 및 사마륨 등이 있으며, 상기 물질로 층을 형성한 후 알루미늄층 또는 실버층을 상기 층 위에 형성할 수 있다.The electron transport layer is a layer that receives electrons from the electron injection layer and transports electrons to the light emitting layer. As the electron transport material, a material capable of receiving electrons well from the cathode and transferring them to the light emitting layer, and a material having high mobility for electrons is suitable. Examples of the electron transport material include Al complex of 8-hydroxyquinoline; Complexes containing Alq3 ; Organic radical compounds; Hydroxyflavone-metal complexes and the like, but are not limited thereto. The electron transport layer can be used with any desired negative electrode material as used according to the prior art. In one embodiment, the negative electrode material is a material having a low work function; And an aluminum layer or a silver layer. Examples of the material having the low work function include cesium, barium, calcium, ytterbium, and samarium, and an aluminum layer or a silver layer may be formed on the layer after forming a layer with the material.
상기 전자 주입층은 전극으로부터 수취받은 전자를 발광층에 주입하는 층이다. 상기 전자 주입 물질로는 전자를 수송하는 능력을 갖고, 음극으로부터의 전자 주입 효과, 발광층 또는 발광 재료에 대하여 우수한 전자 주입 효과를 가지며, 발광층에서 생성된 엑시톤의 정공 주입층 또는 정공 주입 재료에의 이동을 방지하고, 또한, 박막형성능력이 우수한 화합물을 사용하는 것이 바람직하다. 구체적으로는 플루오레논, 안트라퀴노다이메탄, 다이페노퀴논, 티오피란 다이옥사이드, 옥사졸, 옥사다이아졸, 트리아졸, 이미다졸, 벤즈이미다졸, 페릴렌테트라카복실산, 프레오레닐리덴 메탄, 안트론 등과 그들의 유도체, 금속 착체 화합물 및 함질소 5원환 유도체 등이 있으나, 이에 한정되지 않는다.The electron injection layer is a layer for injecting electrons received from an electrode into the light emitting layer. The electron injection material has the ability to transport electrons, has an electron injection effect from the cathode, an excellent electron injection effect on the light emitting layer or the light emitting material, and transfer of excitons generated in the light emitting layer to the hole injection layer or the hole injection material In addition, it is preferable to use a compound having excellent thin film forming ability. Specifically, fluorenone, anthraquinodimethane, diphenoquinone, thiopyran dioxide, oxazole, oxadiazole, triazole, imidazole, benzimidazole, perylenetetracarboxylic acid, preorenylidene methane, anthrone, etc. Derivatives thereof, metal complex compounds, nitrogen-containing 5-membered ring derivatives, and the like, but are not limited thereto.
상기 금속 착체 화합물로서는 8-하이드록시퀴놀리나토 리튬, 비스(8-하이드록시퀴놀리나토)아연, 비스(8-하이드록시퀴놀리나토)구리, 비스(8-하이드록시퀴놀리나토)망간, 트리스(8-하이드록시퀴놀리나토)알루미늄, 트리스(2-메틸-8-하이드록시퀴놀리나토)알루미늄, 트리스(8-하이드록시퀴놀리나토)갈륨, 비스(10-하이드록시벤조[h]퀴놀리나토)베릴륨, 비스(10-하이드록시벤조[h]퀴놀리나토)아연, 비스(2-메틸-8-퀴놀리나토)클로로갈륨, 비스(2-메틸-8-퀴놀리나토)(o-크레졸라토)갈륨, 비스(2-메틸-8-퀴놀리나토)(1-나프톨라토)알루미늄, 비스(2-메틸-8-퀴놀리나토)(2-나프톨라토)갈륨 등이 있으나, 이에 한정되지 않는다.Examples of the metal complex compound include lithium 8-hydroxyquinolinato, bis(8-hydroxyquinolinato)zinc, bis(8-hydroxyquinolinato)copper, bis(8-hydroxyquinolinato)manganese, Tris(8-hydroxyquinolinato)aluminum, tris(2-methyl-8-hydroxyquinolinato)aluminum, tris(8-hydroxyquinolinato)gallium, bis(10-hydroxybenzo[h] Quinolinato)beryllium, bis(10-hydroxybenzo[h]quinolinato)zinc, bis(2-methyl-8-quinolinato)chlorogallium, bis(2-methyl-8-quinolinato)( o-cresolato)gallium, bis(2-methyl-8-quinolinato)(1-naphtholato)aluminum, bis(2-methyl-8-quinolinato)(2-naphtholato)gallium, etc. It is not limited to this.
본 명세서에 따른 유기 발광 소자는 사용되는 재료에 따라 전면 발광형, 후면 발광형 또는 양면 발광형일 수 있다.The organic light emitting device according to the present specification may be a top emission type, a bottom emission type, or a double-sided emission type depending on the material used.
이하에서, 본 발명의 상세한 이해를 위하여 본 발명 화합물 및 이를 포함하는 유기 발광 소자의 제조방법과 특성을 설명한다.Hereinafter, for a detailed understanding of the present invention, a method of manufacturing the compound of the present invention and an organic light-emitting device including the same will be described.
[제조예][Production Example]
제조예 1: 화합물 1의 합성Preparation Example 1: Synthesis of
(1) 중간체 A1의 제조(1) Preparation of intermediate A1
질소 분위기에서 둥근 바닥 플라스크에 4-클로로퓨로[3,2-h]퀴나졸린(4-chlorofuro[3,2-h]quinazoline)(25g, 0.24mol)과 (3,5-다이메틸페닐)보로닉산 (3,5-dimethylphenyl)boronic acid)(40g, 0.27mol)을 테트라하이드로퓨란(THF) 200ml에 녹인 후 2M 탄산칼륨수용액(potassium carbonate solution)(80ml)을 첨가하고, 테트라키스-(트리페닐포스핀)팔라듐(8.3g, 7.2mmol)을 넣은 후 5시간 동안 70℃에서 가열 교반하였다. 반응 종료 후 온도를 낮추고 수층을 분리한 뒤 유기층의 용매를 제거하였다. 클로로포름(chloroform)을 사용해 녹인 후 물로 씻어주고 황산마그네슘(magnesium sulfate)과 산성백토를 넣고 교반 후 여과하여 감압 농축시켰다. 이 후 헥산(hexane)와 에틸아세테이트(ethyl acetate)를 30:1의 부피비로 이용한 컬럼크로마토그래피를 통해 분리한 중간체 A1을 제조하였다(53g, 수율 80%).In a nitrogen atmosphere, in a round bottom flask, 4-chlorofuro[3,2-h]quinazoline (25g, 0.24mol) and (3,5-dimethylphenyl)boro After dissolving nitric acid (3,5-dimethylphenyl)boronic acid) (40 g, 0.27 mol) in 200 ml of tetrahydrofuran (THF), 2M potassium carbonate solution (80 ml) was added, and tetrakis-(triphenyl Phosphine) palladium (8.3g, 7.2mmol) was added, followed by heating and stirring at 70°C for 5 hours. After the reaction was completed, the temperature was lowered, the aqueous layer was separated, and the solvent in the organic layer was removed. After dissolving with chloroform, washing with water, magnesium sulfate and acid clay were added, stirred, filtered, and concentrated under reduced pressure. Thereafter, intermediate A1 separated by column chromatography using hexane and ethyl acetate in a volume ratio of 30:1 was prepared (53g, yield 80%).
(2) 중간체 A2의 제조(2) Preparation of intermediate A2
질소 분위기에서 둥근 바닥 플라스크에 이리듐클로라이드(iridium chloride)(25g, 0.087mol)와 중간체 A1(53g, 0.2mol)을 2-에톡시에탄올(2-ethoxyethanol) 1500ml 및 증류수 500ml에 넣고 24시간 동안 120℃에서 가열 교반하였다. 상온으로 온도를 낮추고 여과한 뒤 에탄올 2L로 씻어주어 고체 화합물 A2를 제조하였다(38g, 수율 47%).In a nitrogen atmosphere, iridium chloride (25g, 0.087mol) and intermediate A1 (53g, 0.2mol) were added to 1500ml of 2-ethoxyethanol and 500ml of distilled water in a round bottom flask and 120℃ for 24 hours. It was heated and stirred at. The temperature was lowered to room temperature, filtered, and washed with 2L of ethanol to prepare a solid compound A2 (38g, yield 47%).
(3) 화합물 1의 제조(3) Preparation of
질소 분위기에서 중간체 A2(38g, 0.025mol)와 아세틸아세톤(acetylacetone)(7.5g, 0.75mol), 포타슘카보네이트(potassium carbonate)(10g, 0.75mol)를 2-에톡시에탄올 400ml에 녹인 후 24시간 동안 50℃에서 가열 교반하였다. 반응 종결 후 상온으로 온도를 낮추고, 셀라이트를 통해 여과한 뒤 그 여과액을 감압 농축하였다. 이 후 다이클로로메테인(Dichloromethane)과 메탄올 (methanol)을 50:1의 부피비로 이용한 컬럼크로마토그래피를 통해 정제하여 화합물 1을 제조하였다(22g, 수율 52%, MS:[M+H]+ = 839.2).In a nitrogen atmosphere, intermediate A2 (38g, 0.025mol), acetylacetone (7.5g, 0.75mol), potassium carbonate (10g, 0.75mol) were dissolved in 400ml of 2-ethoxyethanol for 24 hours. Heated and stirred at 50°C. After completion of the reaction, the temperature was lowered to room temperature, filtered through celite, and the filtrate was concentrated under reduced pressure. Thereafter, dichloromethane and methanol were purified through column chromatography using a volume ratio of 50:1 to prepare compound 1 (22g, yield 52%, MS:[M+H]+ = 839.2).
제조예 2: 화합물 2의 합성Preparation Example 2: Synthesis of
아세틸아세톤(acetylacetone) 대신 2,2,6,6-테트라메틸헵테인-3,5-다이온 (2,2,6,6-tetramethylheptane-3,5-dione)을 사용한 것을 제외하고 화합물 1을 제조하는 방법과 동일한 방법으로 상기 화합물 2를 제조하였다(수율 42%, MS:[M+H]+ = 923.2).
제조예 3: 화합물 3의 합성Preparation Example 3: Synthesis of
아세틸아세톤(acetylacetone) 대신 3,7-다이에틸노네인-4,6-다이온(3,7-diethylnonane-4,6-dione)을 사용한 것을 제외하고 화합물 1을 제조하는 방법과 동일한 방법으로 상기 화합물 3을 제조하였다(수율 50%, MS:[M+H]+ = 951.3).Except for the use of 3,7-diethylnonane-4,6-dione (3,7-diethylnonane-4,6-dione) instead of acetylacetone, the
제조예 4: 화합물 4의 합성Preparation Example 4: Synthesis of
(1) 중간체 A3의 제조(1) Preparation of intermediate A3
플라스크에 4-클로로퓨로[3,2-h]퀴나졸린 대신 4-클로로싸이에노[3,2-h]퀴나졸린(4-chlorothieno[3,2-h]quinazoline)(30g, 0.14mol)을 사용한 것을 제외하고 화합물 A1을 제조하는 방법과 동일한 방법으로 상기 화합물 A3를 제조하였다(30g, 수율 67%).In a flask, 4-chlorothieno[3,2-h]quinazoline (30g, 0.14mol) instead of 4-chlorofuro[3,2-h]quinazoline ), except that the compound A3 was prepared in the same manner as the method for preparing compound A1 (30g, yield 67%).
(2) 중간체 A4의 제조(2) Preparation of intermediate A4
중간체 A1 대신 중간체 A3를 사용한 것을 제외하고 중간체 A2를 제조하는 방법과 동일한 방법으로 상기 중간체 A4를 제조하였다(17g, 수율 49%).The intermediate A4 was prepared in the same manner as the method of preparing the intermediate A2 except for using the intermediate A3 instead of the intermediate A1 (17g, yield 49%).
(3) 화합물 4의 제조(3) Preparation of
중간체 A2 대신 중간체 A4를 사용한 것을 제외하고 화합물 1을 제조하는 방법과 동일한 방법으로 상기 화합물 4를 제조하였다(11g, 수율 56%, MS:[M+H]+ = 871.2).
제조예 5: 화합물 5의 합성Preparation Example 5: Synthesis of
중간체 A2 대신 중간체 A4, 아세틸아세톤 대신 2,2,6,6-테트라메틸헵테인-3,5-다이온을 사용한 것을 제외하고 화합물 1을 제조하는 방법과 동일한 방법으로 상기 화합물 5를 제조하였다(14g, 수율 57%, MS:[M+H]+ = 955.3).
제조예 6: 화합물 6의 합성Preparation Example 6: Synthesis of
중간체 A2 대신 중간체 A4, 아세틸아세톤 대신 3,7-다이에틸노네인-4,6-다이온을 사용한 것을 제외하고 화합물 A1을 제조하는 방법과 동일한 방법으로 상기 화합물 6을 제조하였다(18g, 수율 54%, MS:[M+H]+ = 983.3).
제조예 7: 화합물 7의 합성Preparation Example 7: Synthesis of
(1) 중간체 A5의 제조(1) Preparation of intermediate A5
플라스크에 4-클로로퓨로[3,2-h]퀴나졸린 대신 4-클로로-7,8-다이메틸퓨로[3,2-h]퀴나졸린(4-chloro-7,8-dimethylfuro[3,2-h]quinazoline)(25g, 0.11mol)을 사용한 것을 제외하고 화합물 A1을 제조하는 방법과 동일한 방법으로 상기 화합물 A5를 제조하였다(28g, 수율 85%).Instead of 4-chlorofuro[3,2-h]quinazoline in a flask, 4-chloro-7,8-dimethylfuro[3,2-h]quinazoline (4-chloro-7,8-dimethylfuro[3 ,2-h]quinazoline) (25g, 0.11mol) was prepared in the same manner as the method of preparing compound A1, except that compound A5 was prepared (28g, yield 85%).
(2) 중간체 A6의 제조(2) Preparation of intermediate A6
중간체 A1 대신 중간체 A5를 사용한 것을 제외하고 중간체 A2를 제조하는 방법과 동일한 방법으로 상기 중간체 A6를 제조하였다(15g, 수율 53%).The intermediate A6 was prepared in the same manner as the intermediate A2 except for using the intermediate A5 instead of the intermediate A1 (15g, yield 53%).
(3) 화합물 4의 제조(3) Preparation of
중간체 A2 대신 중간체 A6를 사용한 것을 제외하고 화합물 1을 제조하는 방법과 동일한 방법으로 상기 화합물 7을 제조하였다(10g, 수율 41%, MS:[M+H]+ = 895.3).
제조예 8: 화합물 8의 합성Preparation Example 8: Synthesis of
(1) 중간체 A7의 제조(1) Preparation of intermediate A7
플라스크에 4-클로로퓨로[3,2-h]퀴나졸린 대신 4-클로로-7,8-다이메틸싸이에노[3,2-h]퀴나졸린(4-chloro-7,8-dimethylthieno[3,2-h]quinazoline)(32g, 0.13mol)을 사용한 것을 제외하고 화합물 A1을 제조하는 방법과 동일한 방법으로 상기 화합물 A7을 제조하였다(31g, 수율 74%).Instead of 4-chlorofuro[3,2-h]quinazoline in a flask, 4-chloro-7,8-dimethylthieno[3,2-h]quinazoline (4-chloro-7,8-dimethylthieno[ Compound A7 was prepared in the same manner as the method for preparing compound A1, except that 3,2-h]quinazoline) (32 g, 0.13 mol) was used (31 g, yield 74%).
(2) 중간체 A8의 제조(2) Preparation of intermediate A8
중간체 A1 대신 중간체 A7을 사용한 것을 제외하고 중간체 A2를 제조하는 방법과 동일한 방법으로 상기 중간체 A8을 제조하였다(18g, 수율 55%).The intermediate A8 was prepared in the same manner as the method of preparing the intermediate A2 except for using the intermediate A7 instead of the intermediate A1 (18g, yield 55%).
(3) 화합물 8의 제조(3) Preparation of
중간체 A2 대신 중간체 A8을 사용한 것을 제외하고 화합물 1을 제조하는 방법과 동일한 방법으로 상기 화합물 8을 제조하였다(13g, 수율 47%, MS:[M+H]+ = 927.2).
제조예 9: 화합물 9의 합성Preparation Example 9: Synthesis of
(1) 중간체 A9의 제조(1) Preparation of intermediate A9
플라스크에 4-클로로퓨로[3,2-h]퀴나졸린 대신 6-클로로-2,3-다이메틸퓨로[2,3-f]프탈라진(6-chloro-2,3-dimethylfuro[2,3-f]phthalazine)(40g, 0.17mol)을 사용한 것을 제외하고 화합물 A1을 제조하는 방법과 동일한 방법으로 상기 화합물 A9를 제조하였다(46g, 수율 88%).Instead of 4-chlorofuro[3,2-h]quinazoline in a flask, 6-chloro-2,3-dimethylfuro[2,3-f]phthalazine (6-chloro-2,3-dimethylfuro[ Compound A9 was prepared in the same manner as the method for preparing compound A1, except that 2,3-f]phthalazine) (40 g, 0.17 mol) was used (46 g, yield 88%).
(2) 중간체 A10의 제조(2) Preparation of intermediate A10
중간체 A1 대신 중간체 A9를 사용한 것을 제외하고 중간체 A2를 제조하는 방법과 동일한 방법으로 상기 중간체 A10을 제조하였다(22g, 수율 40%).The intermediate A10 was prepared in the same manner as the method of preparing the intermediate A2, except for using the intermediate A9 instead of the intermediate A1 (22g, yield 40%).
(3) 화합물 9의 제조(3) Preparation of
중간체 A2 대신 중간체 A10을 사용한 것을 제외하고 화합물 1을 제조하는 방법과 동일한 방법으로 상기 화합물 9를 제조하였다(18g, 수율 56%, MS:[M+H]+ = 895.3).
제조예 10: 화합물 10의 합성Preparation Example 10: Synthesis of
(1) 중간체 A11의 제조(1) Preparation of intermediate A11
플라스크에 4-클로로퓨로[3,2-h]퀴나졸린 대신 6-클로로-2,3-다이메틸싸이에노[2,3-f]프탈라진(6-chloro-2,3-dimethylthieno[2,3-f]phthalazine)(30g, 0.12mol)을 사용한 것을 제외하고 화합물 A1을 제조하는 방법과 동일한 방법으로 상기 화합물 A11을 제조하였다(31g, 수율 80%).Instead of 4-chlorofuro[3,2-h]quinazoline in a flask, 6-chloro-2,3-dimethylthieno[2,3-f]phthalazine (6-chloro-2,3-dimethylthieno [2,3-f]phthalazine) (30g, 0.12mol) was prepared in the same manner as the method of preparing compound A1, except that compound A11 was prepared (31g, yield 80%).
(2) 중간체 A12의 제조(2) Preparation of intermediate A12
중간체 A1 대신 중간체 A11 을 사용한 것을 제외하고 중간체 A2를 제조하는 방법과 동일한 방법으로 상기 중간체 A12를 제조하였다(17g, 수율 53%).The intermediate A12 was prepared in the same manner as the method of preparing the intermediate A2 except for using the intermediate A11 instead of the intermediate A1 (17g, yield 53%).
(3) 화합물 10의 제조(3) Preparation of
중간체 A2 대신 중간체 A12를 사용한 것을 제외하고 화합물 1을 제조하는 방법과 동일한 방법으로 상기 화합물 10을 제조하였다(14g, 수율 55%), MS:[M+H]+ = 927.2).
제조예 11: 화합물 11의 합성Preparation Example 11: Synthesis of Compound 11
(1) 중간체 A13의 제조(1) Preparation of intermediate A13
플라스크에 4-클로로퓨로[3,2-h]퀴나졸린 대신 8-클로로-2-메틸옥사졸로[4,5-g]퀴나졸린(8-chloro-2-methyloxazolo[4,5-g]quinazoline)(40g, 0.18mol)을 사용한 것을 제외하고 화합물 A1을 제조하는 방법과 동일한 방법으로 상기 화합물 A13을 제조하였다(39g, 수율 75%).8-chloro-2-methyloxazolo[4,5-g]quinazoline (8-chloro-2-methyloxazolo[4,5-g] instead of 4-chlorofuro[3,2-h]quinazoline in flask quinazoline) (40g, 0.18mol) was prepared in the same manner as the method for preparing compound A1, except that compound A13 was prepared (39g, yield 75%).
(2) 중간체 A14의 제조(2) Preparation of intermediate A14
중간체 A1 대신 중간체 A13을 사용한 것을 제외하고 중간체 A2를 제조하는 방법과 동일한 방법으로 상기 중간체 A14를 제조하였다(20g, 수율 52%).The intermediate A14 was prepared in the same manner as the intermediate A2, except that the intermediate A13 was used instead of the intermediate A1 (20g, yield 52%).
(3) 화합물 11의 제조(3) Preparation of compound 11
중간체 A2 대신 중간체 A14를 사용한 것을 제외하고 화합물 1을 제조하는 방법과 동일한 방법으로 상기 화합물 11을 제조하였다(10g, 수율 48%, MS:[M+H]+ = 869.2).Compound 11 was prepared in the same manner as the method of preparing
제조예 12: 화합물 12의 합성Preparation Example 12: Synthesis of Compound 12
(1) 중간체 A15의 제조(1) Preparation of intermediate A15
플라스크에 4-클로로퓨로[3,2-h]퀴나졸린 대신 8-클로로-2-메틸싸이아졸로[4,5-g]퀴나졸린(8-chloro-2-methylthiazolo[4,5-g]quinazoline)(30g, 0.13mol)을 사용한 것을 제외하고 화합물 A1을 제조하는 방법과 동일한 방법으로 상기 화합물 A15를 제조하였다(26g, 수율 68%).8-chloro-2-methylthiazolo[4,5-g]quinazoline (8-chloro-2-methylthiazolo[4,5-g) instead of 4-chlorofuro[3,2-h]quinazoline in a flask. ]Quinazoline) (30g, 0.13mol) was prepared in the same manner as the method for preparing compound A1, except that compound A15 was prepared (26g, yield 68%).
(2) 중간체 A16의 제조(2) Preparation of intermediate A16
중간체 A1 대신 중간체 A15 를 사용한 것을 제외하고 중간체 A2를 제조하는 방법과 동일한 방법으로 상기 중간체 A16을 제조하였다(16g, 수율 51%).The intermediate A16 was prepared in the same manner as the intermediate A2 except for using the intermediate A15 instead of the intermediate A1 (16g, yield 51%).
(3) 화합물 12의 제조(3) Preparation of compound 12
중간체 A2 대신 중간체 A16을 사용한 것을 제외하고 화합물 1을 제조하는 방법과 동일한 방법으로 상기 화합물 12를 제조하였다(7g, 수율 41%, MS:[M+H]+ = 900.2).Compound 12 was prepared in the same manner as the method of preparing
제조예 13: 화합물 13의 합성Preparation Example 13: Synthesis of Compound 13
(1) 중간체 A17의 제조(1) Preparation of intermediate A17
플라스크에 4-클로로퓨로[3,2-h]퀴나졸린 대신 3-클로로-6,7-다이메틸퓨로[3,2-g]사이놀린(40g, 0.17mol)을 사용한 것을 제외하고 중간체 A1을 제조하는 방법과 동일한 방법으로 상기 화합물 A17을 제조하였다(37g, 수율 73%).Intermediate, except that 3-chloro-6,7-dimethylfuro[3,2-g]cynoline (40g, 0.17mol) was used in the flask instead of 4-chlorofuro[3,2-h]quinazoline Compound A17 was prepared by the same method as the method of preparing A1 (37g, 73% yield).
(2) 중간체 A18의 제조(2) Preparation of intermediate A18
중간체 A1 대신 중간체 A17을 사용한 것을 제외하고 중간체 A2를 제조하는 방법과 동일한 방법으로 상기 중간체 A18을 제조하였다(20g, 수율 54%).The intermediate A18 was prepared in the same manner as the intermediate A2, except that the intermediate A17 was used instead of the intermediate A1 (20g, yield 54%).
(3) 화합물 13의 제조(3) Preparation of compound 13
중간체 A2 대신 중간체 A18을 사용한 것을 제외하고 화합물 1을 제조하는 방법과 동일한 방법으로 상기 화합물 13을 제조하였다(12g, 수율 49%, MS:[M+H]+ = 895.1).Compound 13 was prepared in the same manner as the method of preparing
제조예 14: 화합물 14의 합성Preparation Example 14: Synthesis of Compound 14
(1) 중간체 A19의 제조(1) Preparation of intermediate A19
플라스크에 4-클로로퓨로[3,2-h]퀴나졸린 대신 3-클로로-6,7-다이메틸사이에노[3,2-g]사이놀린(20g, 0.08mol)을 사용한 것을 제외하고 중간체 A1을 제조하는 방법과 동일한 방법으로 상기 화합물 A19를 제조하였다(20g, 수율 77%).Except that 3-chloro-6,7-dimethylcyeno[3,2-g]cynoline (20g, 0.08mol) was used in the flask instead of 4-chlorofuro[3,2-h]quinazoline Compound A19 was prepared in the same manner as in the method of preparing Intermediate A1 (20g, yield 77%).
(2) 중간체 A20의 제조(2) Preparation of intermediate A20
중간체 A1 대신 중간체 A19를 사용한 것을 제외하고 중간체 A2를 제조하는 방법과 동일한 방법으로 상기 중간체 A20를 제조하였다(12g, 수율 50%).The intermediate A20 was prepared in the same manner as the method of preparing the intermediate A2 except for using the intermediate A19 instead of the intermediate A1 (12g, yield 50%).
(3) 화합물 14의 제조(3) Preparation of compound 14
중간체 A2 대신 중간체 A20을 사용한 것을 제외하고 화합물 1을 제조하는 방법과 동일한 방법으로 상기 화합물 14를 제조하였다(7g, 수율 60%, MS:[M+H]+ = 927.2).Compound 14 was prepared in the same manner as the method of preparing
제조예 15: 화합물 15의 합성Preparation Example 15: Synthesis of Compound 15
(1) 중간체 A21의 제조(1) Preparation of intermediate A21
플라스크에 4-클로로퓨로[3,2-h]퀴나졸린 대신 1-클로로-8,9-다이메틸퓨로[3,2-f]퀴나졸린(1-chloro-8,9-dimethylfuro[3,2-f]quinazoline)(25g, 0.11mol)을 사용한 것을 제외하고 중간체 A1을 제조하는 방법과 동일한 방법으로 상기 화합물 A21을 제조하였다(27g, 수율 83%).Instead of 4-chlorofuro[3,2-h]quinazoline in a flask, 1-chloro-8,9-dimethylfuro[3,2-f]quinazoline (1-chloro-8,9-dimethylfuro[3 ,2-f]quinazoline) (25g, 0.11mol) was prepared in the same manner as the intermediate A1, except for using the compound A21 (27g, yield 83%).
(2) 중간체 A22의 제조(2) Preparation of intermediate A22
중간체 A1 대신 중간체 A21을 사용한 것을 제외하고 중간체 A2를 제조하는 방법과 동일한 방법으로 상기 중간체 A22를 제조하였다(16g, 수율 39%).The intermediate A22 was prepared in the same manner as the method of preparing the intermediate A2, except that the intermediate A21 was used instead of the intermediate A1 (16g, yield 39%).
(3) 화합물 15의 제조(3) Preparation of compound 15
중간체 A2 대신 중간체 A22를 사용한 것을 제외하고 화합물 1을 제조하는 방법과 동일한 방법으로 상기 화합물 15를 제조하였다(8g, 수율 54%, MS:[M+H]+ = 895.3).Compound 15 was prepared in the same manner as the method of preparing
제조예 16: 화합물 16의 합성Preparation Example 16: Synthesis of Compound 16
(1) 중간체 A23의 제조(1) Preparation of intermediate A23
플라스크에 4-클로로퓨로[3,2-h]퀴나졸린 대신 3-클로로-7,8-다이메틸퓨로[2,3-g]퀴녹살린(3-chloro-7,8-dimethylfuro[2,3-g]quinoxaline)(30g, 0.13mol)을 사용한 것을 제외하고 중간체 A1을 제조하는 방법과 동일한 방법으로 상기 화합물 A22를 제조하였다(34g, 수율 86%).Instead of 4-chlorofuro[3,2-h]quinazoline in a flask, 3-chloro-7,8-dimethylfuro[2,3-g]quinoxaline (3-chloro-7,8-dimethylfuro[2) ,3-g]quinoxaline) (30g, 0.13mol) was prepared in the same manner as the intermediate A1, except for using the compound A22 (34g, yield 86%).
(2) 중간체 A24의 제조(2) Preparation of Intermediate A24
중간체 A1 대신 중간체 A23을 사용한 것을 제외하고 중간체 A2를 제조하는 방법과 동일한 방법으로 상기 중간체 A24를 제조하였다(18g, 수율 47%).The intermediate A24 was prepared in the same manner as the method of preparing the intermediate A2, except that the intermediate A23 was used instead of the intermediate A1 (18g, yield 47%).
(3) 화합물 16의 제조(3) Preparation of compound 16
중간체 A2 대신 중간체 A24를 사용한 것을 제외하고 화합물 1을 제조하는 방법과 동일한 방법으로 상기 화합물 16을 제조하였다(8g, 수율 37%, MS:[M+H]+ = 895.3).Compound 16 was prepared in the same manner as the method of preparing
실시예 1Example 1
ITO(인듐 주석 산화물)가 1,000Å 두께로 박막 코팅된 유리 기판(corning 7059 glass)을, 분산제를 녹인 증류수에 넣고 초음파로 세척하였다. 세제는 Fischer Co.의 제품을 사용하였으며, 증류수는 Millipore Co. 제품의 필터(Filter)로 2차 걸러진 증류수를 사용하였다. ITO를 30분간 세척한 후, 증류수로 2회 반복하여 초음파 세척을 10분간 진행하였다. 증류수 세척이 끝난 후 이소프로필알콜, 아세톤, 메탄올 용제 순서로 초음파 세척을 하고 건조시켰다. 이렇게 준비된 ITO 투명 전극 위에 헥사니트릴 헥사아자트리페닐렌(HAT-CN)을 50Å의 두께로 열 진공 증착하여 정공 주입층을 형성하였다. 그 위에 정공을 수송하는 하기 HT1 화합물을 진공 증착하고 연이어 하기 HT2 화합물을 증착하여 제1(700Å) 및 제2 정공 수송층(200Å)을 형성하였다. 다음으로 상기 제2 정공 수송층 위에 화합물 1이 하기 H1 화합물과 화합물 1의 중량의 합 100 중량부 기준으로 3 중량부 포함되도록, 하기 H1 화합물과 화합물 1을 진공 증착하여 발광층(300Å)을 형성하였다. 그 다음에 하기 E0 화합물을 전자 주입 및 수송층으로 순차적으로 열진공 증착(300Å)하였다. 상기 전자 수송층 위에 순차적으로 12Å 두께의 리튬 플루오라이드(LiF)와 2,000Å 두께의 알루미늄을 증착하여 음극을 형성한 후, 유기 발광 소자를 제조하였다. 상기의 과정에서 유기물의 증착속도는 1Å/sec를 유지하였고, LiF의 증착속도는 0.2Å/sec, 알루미늄의 증착속도는 3Å/sec 내지 7Å/sec를 유지하였다.A glass substrate (corning 7059 glass) coated with a thin film of ITO (indium tin oxide) to a thickness of 1,000 Å was placed in distilled water containing a dispersant and washed with ultrasonic waves. The detergent was manufactured by Fischer Co., and the distilled water was Millipore Co. Distilled water filtered secondarily with the product's filter was used. After washing the ITO for 30 minutes, ultrasonic washing was performed for 10 minutes by repeating twice with distilled water. After washing with distilled water, ultrasonic washing was performed in the order of isopropyl alcohol, acetone, and methanol, followed by drying. On the prepared ITO transparent electrode, hexanitrile hexaazatriphenylene (HAT-CN) was thermally vacuum deposited to a thickness of 50Å to form a hole injection layer. The following HT1 compound for transporting holes was vacuum-deposited thereon, followed by depositing the following HT2 compound to form first (700 Å) and second hole transport layers (200 Å). Next, the following H1 compound and
실시예 2 내지 13Examples 2 to 13
발광층 형성시 인광 도펀트로서 화합물 1 대신 하기 표 1에 기재된 화합물을 각각 사용하는 것을 제외하고는, 상기 실시예 1과 동일한 방법으로 수행하여 실시예 2 내지 13의 유기 발광 소자를 각각 제작하였다.Organic light-emitting devices of Examples 2 to 13 were manufactured in the same manner as in Example 1, except that the compounds shown in Table 1 below were used instead of
비교예 1 내지 2Comparative Examples 1 to 2
발광층 형성시 인광 도판트로서 화합물 1 대신 하기 표 1에 기재된 화합물을 사용하는 것을 제외하고는, 상기 실시예 1과 동일한 방법으로 수행하여 비교예 1 내지 2의 유기 발광 소자를 각각 제작하였다.The organic light-emitting devices of Comparative Examples 1 to 2 were manufactured in the same manner as in Example 1, except that the compound shown in Table 1 was used instead of
실험예 1Experimental Example 1
상기 실시예 1 내지 13 및 비교예 1 내지 2에서 제작된 유기 발광 소자에 전류를 인가하여, 전압, 효율, 색좌표, 및 수명을 측정하고, 그 결과를 하기 표 1에 나타내었다.By applying a current to the organic light emitting device prepared in Examples 1 to 13 and Comparative Examples 1 to 2, voltage, efficiency, color coordinates, and lifetime were measured, and the results are shown in Table 1 below.
T95는 휘도가 초기 휘도에서 95%로 감소되는데 소요되는 시간을 의미한다.T95 refers to the time it takes for the luminance to decrease to 95% from the initial luminance.
물질Dopant
 matter
(nm)λmax
 (nm)
(V
@10mA/cm2)Voltage
 (V
 @10mA/cm2 )
(cd/A
@10mA/cm2)efficiency
 (cd/A
 @10mA/cm2 )
(x,y)Color coordinates
 (x,y)
(T95, h,
@50mA/cm2)life span
 (T95, h,
 @50mA/cm2 )
상기 표 1의 결과에서 확인할 수 있듯이, 본 발명의 화합물을 사용한 유기 발광 소자는 좋은 색 순도의 적색 빛을 발광하며 높은 효율과 긴 수명을 나타내었다. 본 발명의 화합물은 LUMO 에너지 준위가 주로 위치하는 메인 리간드의 5원 고리에 헤테로 원자를 포함함으로써, 화합물의 에너지 준위가 전체적으로 낮아지고, 특히 LUMO 에너지 준위가 낮아진다. 이에 비교예 1 및 2에 비해 보다 작은 에너지 밴드 갭을 갖게 되어 장파장의 적색 발광을 보였다. 상기 실시예 1 내지 13의 유기 발광 소자는 색 재현율 개선을 위해 필요한 620 내지 630 nm의 적색 파장 영역을 만족한다. 그 중에서도 실시예 6 내지 11 및 13의 소자의 경우 625nm 이상의 짙은 적색(높은 순도의 적색)을 나타낸다. 본 발명 화합물을 사용한 유기 발광 소자는, 본 발명 화합물을 적색 인광 도펀트로 사용하기에 충분한 색좌표를 보였다. 뿐만 아니라, 카본 원자에 비해 전자가 풍부한 헤테로 원자가 추가되면서 전자 및 정공의 이동을 용이하게 하여 소자 구동에 이점을 가져왔다. 실시예 1 내지 13의 결과를 보면 효율 및 수명 측면에서 비교예 1 및 2에 비해 상당한 개선이 있음을 확인할 수 있다.As can be seen from the results of Table 1, the organic light-emitting device using the compound of the present invention emits red light of good color purity, and exhibits high efficiency and long lifespan. The compound of the present invention includes a hetero atom in the 5-membered ring of the main ligand in which the LUMO energy level is mainly located, so that the energy level of the compound is lowered as a whole, and in particular, the LUMO energy level is lowered. Accordingly, it has a smaller energy band gap compared to Comparative Examples 1 and 2, thereby exhibiting long-wavelength red light emission. The organic light-emitting device of Examples 1 to 13 satisfies a red wavelength range of 620 to 630 nm required to improve color reproduction. Among them, the devices of Examples 6 to 11 and 13 exhibit a deep red color of 625 nm or more (high purity red). The organic light-emitting device using the compound of the present invention showed sufficient color coordinates to use the compound of the present invention as a red phosphorescent dopant. In addition, the addition of an electron-rich hetero atom compared to the carbon atom facilitates the movement of electrons and holes, thereby bringing an advantage in driving the device. Looking at the results of Examples 1 to 13, it can be seen that there is a significant improvement over Comparative Examples 1 and 2 in terms of efficiency and life.
1: 기판
2: 양극
3: 유기물층
4: 음극
5: 정공 주입층
6: 제1 정공 수송층
7: 제2 정공 수송층
8: 발광층
9: 전자 수송층
10: 전자 주입층1: substrate
 2: anode
 3: organic material layer
 4: cathode
 5: hole injection layer
 6: first hole transport layer
 7: second hole transport layer
 8: light emitting layer
 9: electron transport layer
 10: electron injection layer
| Application Number | Priority Date | Filing Date | Title | 
|---|---|---|---|
| KR1020180055078AKR102206819B1 (en) | 2018-05-14 | 2018-05-14 | Compound and organic light emitting device comprising the same | 
| PCT/KR2019/005555WO2019221446A1 (en) | 2018-05-14 | 2019-05-14 | Compound and organic light emitting device comprising same | 
| CN201980010458.6ACN111655706B (en) | 2018-05-14 | 2019-05-14 | Compound and organic light emitting device comprising same | 
| Application Number | Priority Date | Filing Date | Title | 
|---|---|---|---|
| KR1020180055078AKR102206819B1 (en) | 2018-05-14 | 2018-05-14 | Compound and organic light emitting device comprising the same | 
| Publication Number | Publication Date | 
|---|---|
| KR20190130412A KR20190130412A (en) | 2019-11-22 | 
| KR102206819B1true KR102206819B1 (en) | 2021-01-22 | 
| Application Number | Title | Priority Date | Filing Date | 
|---|---|---|---|
| KR1020180055078AActiveKR102206819B1 (en) | 2018-05-14 | 2018-05-14 | Compound and organic light emitting device comprising the same | 
| Country | Link | 
|---|---|
| KR (1) | KR102206819B1 (en) | 
| CN (1) | CN111655706B (en) | 
| WO (1) | WO2019221446A1 (en) | 
| Publication number | Priority date | Publication date | Assignee | Title | 
|---|---|---|---|---|
| US12325717B2 (en) | 2020-11-24 | 2025-06-10 | Universal Display Corporation | Organic electroluminescent materials and devices | 
| Publication number | Priority date | Publication date | Assignee | Title | 
|---|---|---|---|---|
| US11739110B2 (en)* | 2019-11-05 | 2023-08-29 | Luminescence Technology Corp. | Organic electroluminescent material and device | 
| KR102761436B1 (en)* | 2019-12-20 | 2025-02-03 | 삼성전자주식회사 | Organometallic compound and organic light emitting device including the same | 
| KR102698296B1 (en)* | 2020-05-14 | 2024-08-26 | 삼성전자주식회사 | Organometallic compound, organic light emitting device including the same and electronic apparatus including the organic light emitting device | 
| US12152042B2 (en) | 2020-05-14 | 2024-11-26 | Samsung Electronics Co., Ltd. | Organometallic compound, organic light-emitting device including the same, and electronic apparatus including the organic light-emitting device | 
| CN112645987A (en)* | 2020-12-27 | 2021-04-13 | 浙江华显光电科技有限公司 | Iridium metal complex and organic photoelectric element using same | 
| CN112645989A (en)* | 2020-12-27 | 2021-04-13 | 浙江华显光电科技有限公司 | Iridium metal complex and organic photoelectric element using same | 
| CN112680217B (en)* | 2020-12-27 | 2023-04-18 | 浙江华显光电科技有限公司 | Composition and organic electroluminescent element comprising same | 
| CN112645986A (en)* | 2020-12-27 | 2021-04-13 | 浙江华显光电科技有限公司 | Iridium metal complex and organic photoelectric element using same | 
| CN112694502A (en)* | 2020-12-27 | 2021-04-23 | 浙江华显光电科技有限公司 | Iridium metal complex and organic photoelectric element using same | 
| CN112679552A (en)* | 2020-12-27 | 2021-04-20 | 浙江华显光电科技有限公司 | Iridium metal complex and organic photoelectric element using same | 
| CN112680219B (en)* | 2020-12-27 | 2023-07-11 | 浙江华显光电科技有限公司 | Composition and organic electroluminescent element comprising same | 
| CN112645985A (en)* | 2020-12-27 | 2021-04-13 | 浙江华显光电科技有限公司 | Iridium metal complex and organic photoelectric element using same | 
| CN112552353A (en)* | 2020-12-27 | 2021-03-26 | 浙江华显光电科技有限公司 | Iridium metal complex and organic photoelectric element using same | 
| Publication number | Priority date | Publication date | Assignee | Title | 
|---|---|---|---|---|
| JP2012043912A (en) | 2010-08-17 | 2012-03-01 | Fujifilm Corp | Material for organic electroluminescent element, composition containing the same, film formed by the composition, and organic electroluminescent element | 
| Publication number | Priority date | Publication date | Assignee | Title | 
|---|---|---|---|---|
| US6835469B2 (en)* | 2001-10-17 | 2004-12-28 | The University Of Southern California | Phosphorescent compounds and devices comprising the same | 
| KR100520937B1 (en) | 2002-12-03 | 2005-10-17 | 엘지전자 주식회사 | Phenyl pyridine - iridium metal complex compounds for organic electroluminescent device, process for preparing them and organic electroluminescent device using them | 
| US20070278936A1 (en)* | 2006-06-02 | 2007-12-06 | Norman Herron | Red emitter complexes of IR(III) and devices made with such compounds | 
| CN102077381B (en)* | 2008-06-27 | 2014-10-22 | 通用显示公司 | Cross linkable ionic dopants | 
| EP2677561B1 (en)* | 2011-02-16 | 2019-08-07 | Konica Minolta, Inc. | Organic electroluminescent element, lighting device, and display device | 
| US20160233444A1 (en)* | 2013-09-17 | 2016-08-11 | Merck Patent Gmbh | Polycyclic phenylpyridine iridium complexes and derivatives thereof for oleds | 
| CN107266503A (en)* | 2016-04-06 | 2017-10-20 | 上海和辉光电有限公司 | A kind of organometallic complex as electroluminescent organic material | 
| CN106432350A (en)* | 2016-09-02 | 2017-02-22 | 瑞声光电科技(常州)有限公司 | Iridium complex, preparation method thereof and electroluminescent device applying iridium complex | 
| CN108017677A (en)* | 2017-12-12 | 2018-05-11 | 上海道亦化工科技有限公司 | A kind of complex of iridium and application thereof and organic electroluminescence device | 
| CN108484681A (en)* | 2018-03-20 | 2018-09-04 | 烟台显华光电材料研究院有限公司 | One kind is used as transient metal complex, preparation method and the application of phosphor material | 
| CN108218878A (en)* | 2018-03-20 | 2018-06-29 | 烟台显华光电材料研究院有限公司 | One kind is used as transient metal complex, preparation method and the application of phosphor material | 
| CN108383879A (en)* | 2018-03-20 | 2018-08-10 | 烟台显华光电材料研究院有限公司 | One kind is used as transient metal complex, preparation method and the application of phosphor material | 
| CN108484682A (en)* | 2018-03-20 | 2018-09-04 | 烟台显华光电材料研究院有限公司 | One kind is used as transient metal complex, preparation method and the application of phosphor material | 
| CN108299513A (en)* | 2018-03-20 | 2018-07-20 | 烟台显华光电材料研究院有限公司 | One kind is used as transient metal complex, preparation method and the application of phosphor material | 
| CN108148577A (en)* | 2018-03-20 | 2018-06-12 | 烟台显华光电材料研究院有限公司 | One kind is used as transient metal complex, preparation method and the application of phosphor material | 
| CN108148578A (en)* | 2018-03-20 | 2018-06-12 | 烟台显华光电材料研究院有限公司 | One kind is used as transient metal complex, preparation method and the application of phosphor material | 
| Publication number | Priority date | Publication date | Assignee | Title | 
|---|---|---|---|---|
| JP2012043912A (en) | 2010-08-17 | 2012-03-01 | Fujifilm Corp | Material for organic electroluminescent element, composition containing the same, film formed by the composition, and organic electroluminescent element | 
| Publication number | Priority date | Publication date | Assignee | Title | 
|---|---|---|---|---|
| US12325717B2 (en) | 2020-11-24 | 2025-06-10 | Universal Display Corporation | Organic electroluminescent materials and devices | 
| Publication number | Publication date | 
|---|---|
| KR20190130412A (en) | 2019-11-22 | 
| WO2019221446A1 (en) | 2019-11-21 | 
| CN111655706A (en) | 2020-09-11 | 
| CN111655706B (en) | 2023-08-08 | 
| Publication | Publication Date | Title | 
|---|---|---|
| KR102206819B1 (en) | Compound and organic light emitting device comprising the same | |
| EP3604297A1 (en) | Heterocyclic compound and organic light emitting element comprising same | |
| KR102252884B1 (en) | Novel compound and organic light emitting device comprising the same | |
| KR102050572B1 (en) | Novel compound and organic light emitting device comprising the same | |
| KR102230986B1 (en) | Compound and organic light emitting device comprising same | |
| KR20170094708A (en) | Compound and organic light emitting device using the same | |
| KR102709686B1 (en) | Organic light emitting device, manufacturing method of same and composition for organic layer of organic light emitting device | |
| KR102166850B1 (en) | Novel compound and organic light emitting device comprising the same | |
| KR102531559B1 (en) | Novel compound and organic light emitting device comprising the same | |
| KR20190020930A (en) | An electroluminescent compound and an electroluminescent device comprising the same | |
| KR102075251B1 (en) | Novel compound and organic light emitting device comprising the same | |
| KR102186088B1 (en) | Polycyclic compound and organic light emitting device comprising the same | |
| KR102051625B1 (en) | Novel hetero-cyclic compound and organic light emitting device comprising the same | |
| KR102180744B1 (en) | Hetero-cyclic compound and organic light emitting device using the same | |
| KR20200068568A (en) | Novel compound and organic light emitting device comprising the same | |
| KR102206814B1 (en) | Compound and organic light emitting device comprising the same | |
| KR102311640B1 (en) | Novel compound and organic light emitting device comprising the same | |
| KR102223470B1 (en) | Hetorocyclic compound and organic light emitting device comprising same | |
| KR20210017213A (en) | Organic light emitting device | |
| KR20200105388A (en) | Novel compound and organic light emitting device comprising the same | |
| KR102521059B1 (en) | Novel compound and organic light emitting device comprising the same | |
| KR102206820B1 (en) | Compound and organic light emitting device comprising the same | |
| KR102629455B1 (en) | Novel compound and organic light emitting device comprising the same | |
| KR102186095B1 (en) | Compound and organic light emitting device comprising the same | |
| KR102855166B1 (en) | Compound and organic light emitting device comprising same | 
| Date | Code | Title | Description | 
|---|---|---|---|
| PA0109 | Patent application | Patent event code:PA01091R01D Comment text:Patent Application Patent event date:20180514 | |
| A201 | Request for examination | ||
| PA0201 | Request for examination | Patent event code:PA02012R01D Patent event date:20190626 Comment text:Request for Examination of Application Patent event code:PA02011R01I Patent event date:20180514 Comment text:Patent Application | |
| PG1501 | Laying open of application | ||
| E902 | Notification of reason for refusal | ||
| PE0902 | Notice of grounds for rejection | Comment text:Notification of reason for refusal Patent event date:20201022 Patent event code:PE09021S01D | |
| E701 | Decision to grant or registration of patent right | ||
| PE0701 | Decision of registration | Patent event code:PE07011S01D Comment text:Decision to Grant Registration Patent event date:20210106 | |
| GRNT | Written decision to grant | ||
| PR0701 | Registration of establishment | Comment text:Registration of Establishment Patent event date:20210119 Patent event code:PR07011E01D | |
| PR1002 | Payment of registration fee | Payment date:20210119 End annual number:3 Start annual number:1 | |
| PG1601 | Publication of registration | ||
| PR1001 | Payment of annual fee | Payment date:20231226 Start annual number:4 End annual number:4 | |
| PR1001 | Payment of annual fee | Payment date:20241219 Start annual number:5 End annual number:5 |