






본원은 좁은 시술부위를 위한 초음파 장치에 관한 것이다.The present application relates to an ultrasonic device for a narrow treatment site.
초음파는 일반적으로 사람의 귀가 들을 수 있는 가청 주파수의 범위를 넘어서는 주파수가 20KHz를 넘는 음파를 의미하는 것으로, 이러한 초음파는 대상체 내부의 영상을 얻는 초음파 영상 장치에 널리 이용되고 있다. 이와 같은 초음파 영상 장치는 소형이고, 저렴하며, 실시간으로 표시 가능하고, X선 등의 피폭이 없어 안정성이 높은 장점을 가지고 있어 CT(Computed Tomography), MRI(Magnetic Resonance Image), 핵의학 장치 등의 다른 영상 진단 장치와 함께 널리 이용되고 있다.Ultrasound generally refers to a sound wave having a frequency exceeding 20 KHz that exceeds the range of audible frequencies that can be heard by a human ear, and such ultrasound is widely used in ultrasound imaging apparatuses for obtaining an image inside an object. Such an ultrasonic imaging device is compact, inexpensive, can be displayed in real time, and has the advantage of high stability because there is no exposure to X-rays, so it can be used for CT (Computed Tomography), MRI (Magnetic Resonance Image), nuclear medicine devices, etc. It is widely used with other imaging devices.
초음파 영상 장치와 함께 초음파 치료 시스템도 최근 기술개발이 활발한 분야이다. 초음파 치료 시스템은 의료용으로 사용되는 수 MHz의 주파수를 갖는 초음파를 신체에 조사함으로써, 신체 내부의 조직의 진동이나 열을 발생시켜 치료의 효과를 얻는 형태가 대다수이다. 이러한 초음파 치료 시스템의 대표적인 예는 고강도 집속 초음파 시스템(High Intensity Focused Ultrasound System)이며, 일반적으로 고강도 집속 초음파 시스템은 초음파를 방출하는 트랜스듀서를 내장하며, 방출된 초음파를 초점에 집속하여 열을 발생시킴에 따라 시술 부위에 급격한 온도 상승을 유발시킨다. 이러한 온열 기능을 통해 각종 환부에 부작용을 남기지 않고 목적한 의료 시술을 수행한다.Along with the ultrasound imaging device, the ultrasound treatment system is also an active field in recent years. Ultrasound treatment systems are mostly in the form of obtaining an effect of treatment by irradiating the body with ultrasonic waves having a frequency of several MHz, which are used for medical purposes, to generate vibration or heat of tissues inside the body. A representative example of such an ultrasonic treatment system is a High Intensity Focused Ultrasound System. In general, a high-intensity focused ultrasound system has a built-in transducer that emits ultrasound, and generates heat by focusing the emitted ultrasound at a focus. It causes a rapid temperature rise in the treatment area. Through this heating function, targeted medical procedures are performed without leaving side effects on various affected areas.
한편, 최근 미용에 대한 관심이 증가하면서 피부 아래에 존재하는 지방의 분해에 대한 다양한 의료, 기술적 접근이 시도되고 있다. 이와 관련하여, 치료용 초음파를 통하여 피부 아래의 지방층을 분해시키는 기술적 접근도 시도되고 있으나, 좀 더 나은 치료 효과를 위해서 기술개발이 요구된다.Meanwhile, as interest in beauty has recently increased, various medical and technological approaches to the decomposition of fat existing under the skin have been attempted. In this regard, a technical approach to decompose the fat layer under the skin through therapeutic ultrasound has also been attempted, but technology development is required for a better therapeutic effect.
이에 더하여, 고강도 집속 초음파 생성 장치는 피부 주름 개선 등의 효과가 입증되어, 침습적인 시술방법인 안면거상시술의 대안으로 각광받고 있다. 인체의 피부 구조는 겉에서부터 표피층, 진피층, 피하지방층, 근육층, 골격 순으로 이루어져 있으며, 이 중 진피층을 이루고 있는 대부분의 구성 물질은 콜라겐이라는 성분으로서, 피부탄력을 유지할 수 있도록 하는 기능을 담당한다.In addition, the high-intensity focused ultrasound generator has been proven to be effective in improving skin wrinkles and the like, and has been in the spotlight as an alternative to facial lift, an invasive procedure. The skin structure of the human body consists of the epidermal layer, the dermis layer, the subcutaneous fat layer, the muscle layer, and the skeleton in that order, and most of the constituent materials that make up the dermal layer are collagen, which is responsible for maintaining skin elasticity.
고강도 집속 초음파는 표피층에는 작용되지 않으며, 근육층의 일부인 근건막(Superficial Musculo-Aponeurotic System, SMAS)층에 작용하여 응고 작용을 유도함은 물론, 진피층의 깊은 부분까지 초음파로 열을 전달한다. 그 결과 콜라겐의 재생을 도모하여 주름 제거는 물론 피부탄력 개선의 효과를 확보한다.High-intensity focused ultrasound does not work on the epidermal layer, but acts on the superficial musculo-aponeurotic system (SMAS) layer, which is a part of the muscle layer, inducing coagulation, as well as transmitting heat to the deep part of the dermis by ultrasound. As a result, the regeneration of collagen is promoted to ensure the effect of not only removing wrinkles but also improving skin elasticity.
본원의 배경이 되는 기술은 한국등록특허공보 제10-1055334호에 개시되어 있다.The technology behind the present application is disclosed in Korean Patent Publication No. 10-1055334.
본원은 전술한 종래 기술의 문제점을 해결하기 위한 것으로서, 대상부위와 접촉되고, 초음파 신호가 통과하는 홀을 포함하는 접촉부의 종단면을 홀이 가까워질수록 충분히 좁아지도록 형성함으로써, 아래 눈꺼플과 같은 좁은 시술부위에 대한 가시성을 확보할 수 있는 초음파 장치를 제공하고자 한다.The present application is to solve the problems of the prior art described above, by forming the longitudinal section of the contact portion including the hole through which the ultrasonic signal passes through the target area to be sufficiently narrowed as the hole gets closer, so that a narrow procedure such as the lower eyelid It is intended to provide an ultrasonic device capable of securing visibility of a part.
또한, 본원은 초음파 트랜스듀서의 크기와 초음파 시술 깊이를 고려하여 초음파 신호가 통과하는 홀의 크기를 결정함으로써, 초음파 신호의 간섭 방지와 시술의 편의성 확보를 동시에 만족시킬 수 있는 초음파 장치를 제공하고자 한다.In addition, the present application is to provide an ultrasound apparatus capable of simultaneously satisfying the prevention of interference of the ultrasound signal and securing the convenience of the procedure by determining the size of the hole through which the ultrasound signal passes in consideration of the size of the ultrasound transducer and the ultrasound treatment depth.
다만, 본 실시예가 이루고자 하는 기술적 과제는 상기된 바와 같은 기술적 과제들로 한정되지 않으며, 또 다른 기술적 과제들이 존재할 수 있다.However, the technical problem to be achieved by the present embodiment is not limited to the technical problems as described above, and other technical problems may exist.
상기한 기술적 과제를 달성하기 위한 기술적 수단으로서, 본원의 일 실시예는 초음파 신호를 대상 부위의 소정 깊이에 초점이 형성되도록 조사하는 트랜스듀서, 상기 트랜스듀서를 내부에 포함하는 몸체부 및 상기 몸체부로부터 상기 초음파 신호의 조사 방향으로 연장되고, 일 단에 상기 초음파 신호가 통과하는 홀이 형성되는 접촉부를 포함하되, 상기 접촉부의 종단면은 상기 조사된 초음파 신호에 간섭을 주지 않는 범위 내에서 상기 홀에 가까워질수록 그 폭이 좁아지도록 형성되는 것을 특징으로 하는 초음파 장치를 제공할 수 있다.As a technical means for achieving the above technical problem, an embodiment of the present application is a transducer that irradiates an ultrasonic signal so that a focus is formed at a predetermined depth of a target portion, a body portion including the transducer therein, and the body portion And a contact portion extending in the direction of irradiation of the ultrasonic signal from and forming a hole through which the ultrasonic signal passes at one end, and the longitudinal section of the contact portion is in the hole within a range that does not interfere with the irradiated ultrasonic signal. It is possible to provide an ultrasonic device, characterized in that the width becomes narrower as it gets closer.
본 실시예의 일 례에 따르면, 상기 홀의 크기는 상기 대상 부위의 크기 이하의 범위 내에서 결정될 수 있다.According to an example of this embodiment, the size of the hole may be determined within a range less than or equal to the size of the target portion.
본 실시예의 일 례에 따르면, 상기 대상 부위는 아래 눈꺼플일 수 있다.According to an example of this embodiment, the target portion may be the lower eyelid.
본 실시예의 일 례에 따르면, 상기 홀의 크기는 상기 대상 부위와 상기 홀 사이의 접촉에 대한 가시성을 확보하는 범위 내에서 결정될 수 있다.According to an example of the present embodiment, the size of the hole may be determined within a range to ensure visibility of a contact between the target portion and the hole.
본 실시예의 일 례에 따르면, 상기 홀의 크기는 상기 홀의 직경에 대응할 수 있다.According to an example of this embodiment, the size of the hole may correspond to the diameter of the hole.
본 실시예의 일 례에 따르면, 상기 홀의 크기는 상기 트랜스듀서의 크기 및 초점 거리 중 적어도 하나에 기초하여 결정될 수 있다.According to an example of the present embodiment, the size of the hole may be determined based on at least one of a size and a focal length of the transducer.
본 실시예의 일 례에 따르면, 상기 홀의 직경은 상기 트랜스듀서의 양 끝단 사이의 거리, 상기 초점 거리 및 상기 트랜스듀서의 일측 곡률 중 적어도 하나에 기초하여 결정될 수 있다.According to an example of the present embodiment, the diameter of the hole may be determined based on at least one of a distance between both ends of the transducer, the focal distance, and a curvature of one side of the transducer.
본 실시예의 일 례에 따르면, 상기 홀은 원형 홀 또는 다각형 홀일 수 있다.According to an example of this embodiment, the hole may be a circular hole or a polygonal hole.
본 실시예의 일 례에 따르면, 상기 홀의 크기는 상기 대상 부위의 피부로부터 상기 초점까지의 거리에 기초하여 결정될 수 있다.According to an example of the present embodiment, the size of the hole may be determined based on a distance from the skin of the target region to the focal point.
본 실시예의 일 례에 따르면, 상기 대상 부위의 피부로부터 상기 초점까지의 거리는 2.5 mm 내지 3.0 mm의 범위 내에서 선택되는 어느 하나일 수 있다.According to an example of the present embodiment, the distance from the skin of the target region to the focal point may be any one selected within a range of 2.5 mm to 3.0 mm.
본 실시예의 일 례에 따르면, 상기 홀의 직경은 상기 조사된 초음파 신호에 간섭을 주기 시작하는 간섭 임계 거리보다 큰 것일 수 있다.According to an example of the present embodiment, the diameter of the hole may be greater than an interference threshold distance at which the irradiated ultrasound signal starts to interfere.
본 실시예의 일 례에 따르면, 상기 홀의 직경은, 상기 대상 부위와 상기 홀 사이의 접촉의 대한 가시성이 확보되기 시작하는 가시성 임계 거리 보다 작거나 같은 것일 수 있다.According to an example of the present embodiment, the diameter of the hole may be less than or equal to a visibility threshold distance at which visibility of a contact between the target portion and the hole starts to be secured.
본 실시예의 일 례에 따르면, 상기 간섭 임계 거리는 트랜스듀서의 양 끝단 사이의 거리, 상기 트랜스듀스의 양 끝단의 중앙에서부터 초점까지의 거리의 비율 및 상기 대상 부위의 피부로부터 상기 초점까지의 거리에 기초하여 결정될 수 있다. According to an example of this embodiment, the interference threshold distance is based on a distance between both ends of a transducer, a ratio of a distance from the center of both ends of the transducer to a focal point, and a distance from the skin of the target region to the focal point. Can be determined.
본 실시예의 일 례에 따르면, 상기 간섭 임계 거리는, 트랜스듀서의 양 끝단을 연결하는 제 1 선, 상기 트랜스듀서의 일 끝단과 상기 초점을 연결하는 제 2 선, 및 상기 트랜스듀서의 타 끝단과 상기 초점을 연결하는 제 3 선으로 이루어진 역삼각형에 기초하여 결정될 수 있다.According to an example of the present embodiment, the interference threshold distance is a first line connecting both ends of the transducer, a second line connecting one end of the transducer and the focal point, and the other end of the transducer and the It may be determined based on an inverted triangle consisting of a third line connecting the foci.
본 실시예의 일 례에 따르면, 상기 간섭 임계 거리는, 상기 트랜스듀서의 일 측 외주와 상기 초점에 의해 형성된 역 원뿔의 단면에 기초하여 결정될 수 있다. According to an example of the present embodiment, the interference threshold distance may be determined based on a cross section of an inverted cone formed by an outer circumference of one side of the transducer and the focal point.
본 실시예의 일 례에 따르면, 상기 간섭 임계 거리는 상기 트랜스듀서의 양 끝단을 연결하는 제 1 선에 평행하면서, 상기 초점으로부터 상기 제 1선 중앙을 향해 제 1 거리 만큼 이격된 점을 포함하는 제 2 선의 거리일 수 있다.According to an example of this embodiment, the interference threshold distance is parallel to a first line connecting both ends of the transducer, and a second distance including a point separated by a first distance from the focal point toward the center of the first line. It can be the distance of the line.
본 실시예의 일 례에 따르면, 상기 홀의 직경은 상기 간섭 임계 거리의 110% 내지 125% 내에서 선택된 어느 하나일 수 있다.According to an example of this embodiment, the diameter of the hole may be any one selected from 110% to 125% of the interference threshold distance.
본 실시예의 일 례에 따르면, 상기 트랜스듀서의 양 끝단 사이의 거리는 20 mm이되, 상기 초점 거리는 16mm일 수 있다. According to an example of this embodiment, a distance between both ends of the transducer may be 20 mm, and the focal length may be 16 mm.
본 실시예의 일 례에 따르면, 상기 초음파 장치는 내부에 상기 트랜스듀서를 제어하기 위한 제어부를 포함하며, 상기 몸체부와 결합하고, 핸드피스와 결합하는 결합부를 더 포함할 수 있다.According to an example of the present embodiment, the ultrasonic device may include a control unit for controlling the transducer therein, and may further include a coupling portion coupled to the body portion and coupled to the handpiece.
본 실시예의 일 례에 따르면, 상기 몸체부, 상기 접촉부 및 상기 결합부에 의해 형성된 공간에는 물이 채워질 수 있다. According to an example of this embodiment, water may be filled in the space formed by the body part, the contact part, and the coupling part.
본 실시예의 일 례에 따르면, 상기 물은 상기 공간의 부피의 80 % 내지 95% 중 어느 하나를 기준으로 채워질 수 있다.According to an example of this embodiment, the water may be filled based on any one of 80% to 95% of the volume of the space.
상기한 기술적 과제를 달성하기 위한 기술적 수단으로서, 본원의 일 실시예는 초음파 신호를 대상 부위의 소정 깊이에 초점이 형성되도록 조사하는 트랜스듀서, 상기 트랜스듀서를 내부에 포함하는 몸체부; 및 상기 몸체부로부터 상기 초음파 신호의 조사 방향으로 연장되고, 일 단에 상기 초음파 신호가 통과하는 홀이 형성되는 접촉부를 포함하되, 상기 접촉부의 종단면은 상기 홀에 가까워질수록 그 폭이 좁아지도록 형성되되, 상기 홀의 크기는 상기 트랜스듀서의 크기 및 초점 거리 중 적어도 하나에 기초하여 결정되는 것을 특징으로 하는 초음파 장치를 제공할 수 있다.As a technical means for achieving the above technical problem, an embodiment of the present application is a transducer for irradiating the ultrasonic signal so that the focus is formed at a predetermined depth of the target portion, the body portion including the transducer therein; And a contact portion extending from the body portion in a direction of irradiation of the ultrasonic signal, and having a hole through which the ultrasonic signal passes at one end, wherein a longitudinal surface of the contact portion is formed to narrow the width as it approaches the hole. However, the size of the hole may be provided based on at least one of the size and the focal length of the transducer, characterized in that it is determined based on the ultrasound apparatus.
상기한 기술적 과제를 달성하기 위한 기술적 수단으로서, 본원의 일 실시예는 메모리와 프로세스를 포함하는 컴퓨터 장치에 의하여, 초음파 장치의 홀의 크기를 결정하는 방법에 있어서, 상기 트랜스듀서에 관한 정보를 입력받는 단계, 상기 대상 부위의 시술 깊이에 관한 정보를 입력받는 단계 및 상기 트랜스듀서에 관한 정보 및 상기 시술 깊이에 관한 정보에 기초하여 상기 홀의 크기를 결정하는 단계를 포함하는 방법을 제공할 수 있다.As a technical means for achieving the above technical problem, an embodiment of the present application is a method of determining the size of a hole of an ultrasonic device by a computer device including a memory and a process, receiving information about the transducer. It is possible to provide a method including the step, receiving information on the treatment depth of the target region, and determining the size of the hole based on the information on the transducer and the treatment depth.
상기한 기술적 과제를 달성하기 위한 기술적 수단으로서, 본원의 일 실시예는 초음파 장치의 홀의 크기를 결정하기 위하여, 상기 트랜스듀서에 관한 정보를 입력받고, 상기 대상 부위의 시술 깊이에 관한 정보를 입력받고, 상기 트랜스듀서에 관한 정보 및 상기 시술 깊이에 관한 정보에 기초하여 상기 홀의 크기를 결정하는 컴퓨팅 장치를 제공할 수 있다.As a technical means for achieving the above technical problem, an embodiment of the present application receives information about the transducer and receives information about the depth of treatment of the target region in order to determine the size of the hole of the ultrasonic device. , It is possible to provide a computing device that determines the size of the hole based on the information on the transducer and the information on the treatment depth.
상술한 과제 해결 수단은 단지 예시적인 것으로서, 본 발명을 제한하려는 의도로 해석되지 않아야 한다. 상술한 예시적인 실시예 외에도, 도면 및 발명의 상세한 설명에 기재된 추가적인 실시예가 존재할 수 있다.The above-described problem solving means are merely exemplary and should not be construed as limiting the present invention. In addition to the above-described exemplary embodiments, there may be additional embodiments described in the drawings and detailed description of the invention.
전술한 본원의 과제 해결 수단에 의하면, 대상부위와 접촉되고, 초음파 신호가 통과하는 홀을 포함하는 접촉부의 종단면을 홀이 가까워질수록 충분히 좁아지도록 형성함으로써, 아래 눈꺼플과 같은 좁은 시술부위에 대한 가시성을 확보할 수 있는 초음파 장치를 제공할 수 있다.According to the above-described problem solving means of the present application, by forming the longitudinal section of the contact part including the hole through which the ultrasonic signal passes through the target part to be sufficiently narrowed as the hole gets closer, the visibility of the narrow treatment part such as the lower eyelid It is possible to provide an ultrasonic device that can secure.
또한, 본원은 초음파 트랜스듀서의 크기와 초음파 시술 깊이를 고려하여 초음파 신호가 통과하는 홀의 크기를 결정함으로써, 초음파 신호의 간섭 방지와 시술의 편의성 확보를 동시에 만족시킬 수 있는 초음파 장치를 제공할 수 있다.In addition, the present application determines the size of the hole through which the ultrasonic signal passes in consideration of the size of the ultrasonic transducer and the depth of the ultrasonic treatment, thereby providing an ultrasonic device capable of simultaneously satisfying the prevention of interference of the ultrasonic signal and securing the convenience of the procedure. .
도 1은 본원의 일 실시예에 따른 초음파 시스템을 개괄적으로 나타낸 도면이다.
도 2는 본원의 일 실시예에 따른 초음파 장치의 측면도이다.
도 3 은 본원의 일 실시예에  따른 초음파 장치의 정면도이다.
도 4는 본원의 일 실시예에 따른 초음파 장치의 분해 사시도이다.
도 5는 본원의 일 실시예에 따른 초음파 장치의 단면들을 나타낸 도면이다.
도 6은 홀의 간섭 임계 거리를 결정하는 과정의 일 예들을 설명하기 위한 도면이다.
도 7은 본 발명의 일 실시예에 따른 홀 크기 결정 방법을 나타낸 동작 흐름도이다.1 is a schematic diagram of an ultrasound system according to an embodiment of the present disclosure.
 2 is a side view of an ultrasonic device according to an embodiment of the present disclosure.
 3 is a front view of an ultrasonic device according to an embodiment of the present application.
 4 is an exploded perspective view of an ultrasonic device according to an exemplary embodiment of the present disclosure.
 5 is a view showing cross-sections of an ultrasonic device according to an exemplary embodiment of the present disclosure.
 6 is a diagram illustrating examples of a process of determining an interference threshold distance of a hole.
 7 is a flowchart illustrating a method of determining a hole size according to an embodiment of the present invention.
아래에서는 첨부한 도면을 참조하여 본원이 속하는 기술 분야에서 통상의 지식을 가진 자가 용이하게 실시할 수 있도록 본원의 실시예를 상세히 설명한다. 그러나 본원은 여러 가지 상이한 형태로 구현될 수 있으며 여기에서 설명하는 실시예에 한정되지 않는다. 그리고 도면에서 본원을 명확하게 설명하기 위해서 설명과 관계없는 부분은 생략하였으며, 명세서 전체를 통하여 유사한 부분에 대해서는 유사한 도면 부호를 붙였다.Hereinafter, embodiments of the present application will be described in detail with reference to the accompanying drawings so that those of ordinary skill in the art may easily implement the present application. However, the present application may be implemented in various different forms, and is not limited to the embodiments described herein. In the drawings, parts irrelevant to the description are omitted in order to clearly describe the present application, and similar reference numerals are attached to similar parts throughout the specification.
본원 명세서 전체에서, 어떤 부분이 다른 부분과 "연결"되어 있다고 할 때, 이는 "직접적으로 연결"되어 있는 경우뿐 아니라, 그 중간에 다른 소자를 사이에 두고 "전기적으로 연결"되어 있는 경우도 포함한다.Throughout this specification, when a part is "connected" to another part, this includes not only "directly connected" but also "electrically connected" with another element in between. do.
본원 명세서 전체에서, 어떤 부재가 다른 부재 “상에” 위치하고 있다고 할 때, 이는 어떤 부재가 다른 부재에 접해 있는 경우뿐 아니라 두 부재 사이에 또 다른 부재가 존재하는 경우도 포함한다.Throughout this specification, when one member is positioned “on” another member, this includes not only the case where one member abuts another member, but also the case where another member exists between the two members.
본원 명세서 전체에서, 어떤 부분이 어떤 구성요소를 "포함" 한다고 할 때, 이는 특별히 반대되는 기재가 없는 한 다른 구성요소를 제외하는 것이 아니라 다른 구성 요소를 더 포함할 수 있는 것을 의미한다.Throughout the present specification, when a part “includes” a certain component, it means that the component may further include other components, not to exclude other components, unless specifically stated to the contrary.
본원 명세서 전체에서 사용되는 정도의 용어 "약", "실질적으로" 등은 언급된 의미에 고유한 제조 및 물질 허용오차가 제시될 때 그 수치에서 또는 그 수치에 근접한 의미로 사용되고, 본원의 이해를 돕기 위해 정확하거나 절대적인 수치가 언급된 개시 내용을 비양심적인 침해자가 부당하게 이용하는 것을 방지하기 위해 사용된다. 본원 명세서 전체에서 사용되는 정도의 용어 "~(하는) 단계" 또는 "~의 단계"는 "~ 를 위한 단계"를 의미하지 않는다.The terms "about", "substantially", etc., to the extent used throughout this specification are used at or close to the numerical value when manufacturing and material tolerances specific to the stated meaning are presented, and the understanding of the present application To assist, accurate or absolute figures are used to prevent unfair use of the stated disclosure by unscrupulous infringers. As used throughout the specification of the present application, the term "step (to)" or "step of" does not mean "step for".
도 1은 본원의 일 실시예에 따른 초음파 시스템을 개괄적으로 나타낸 도면이다.  도 1을 참조하면, 초음파 시스템(1)은 초음파 장치(100), 핸드피스(200) 및 제어 장치(300)를 포함할 수 있다.  다만, 도 1은 본원의 일 실시예를 나타낸 것에 불과하며, 본원의 다양한 실시예들에 따라 초음파 시스템(1)의 구성은 달라질 수 있다.  일 예로, 초음파 시스템(1)은 제어 장치와 연결된 디스플레이(미도시)를 더 포함할 수도 있다.1 is a schematic diagram of an ultrasound system according to an embodiment of the present disclosure. Referring to FIG. 1, the
도 1을 참조하면, 초음파 장치(100)는 핸드피스(200)와 결합할 수 있다.  이 때, 초음파 장치(100)는 카트리지 또는 프로브를 의미할 수 있다.  초음파 장치(100)는 내부에 초음파 트랜스듀서를 포함하며, 초음파 트랜스듀서는 제어 장치(300)로부터 전달받은 전기적 신호에 기초하여 초음파 신호를 발생시킬 수 있다.Referring to FIG. 1, the
초음파 장치(100)는 초음파를 대상 부위(400) 내부의 초점을 향해 조사할 수 있다.  일반적으로 초음파는 조직 내에 전달되어 흡수되면서 열에너지로 변환될 수 있다.  특히, 충분한 에너지를 갖는 초음파는 조직 내에 급격한 온도 상승을 일으킬 수 있는데, 이를 초음파의 열 효과라고 한다.  본원의 일 실시예에 따르면, 초음파느 이러한 초음파의 열적 효과를 이용한 시술을 가능하도록 한다.  특히, 고강도 집속 초음파(High Intensity Focused Ultrasound)는 초음파 트랜스듀서에서 발생된 초음파를 일정한 초점으로 집속하여 강도를 강화시킨 형태일 수 있다.The
일반적으로, 고강도 집속 초음파는 피부의 표피층에는 직접적으로 작용되지 않으며, 근육층의 일부인 근건막(Superficial Musculo Aponeurotic System, SMAS)에 응고 작용을 유도함은 물론, 진피층의 깊은 부분까지 열을 전달하여, 주름 제거는 물론 피부탄력을 개선할 수 있다.  본원의 일 실시예에 따르면, 초음파 장치(100)가 조사하는 초음파는 이와 같은 고강도 직접 초음파일 수 있다.In general, high-intensity focused ultrasound does not work directly on the epidermal layer of the skin, and induces coagulation to the superficial musculo aponeurotic system (SMAS), which is a part of the muscle layer, and transfers heat to the deeper part of the dermis to remove wrinkles. Of course, it can improve skin elasticity. According to an exemplary embodiment of the present disclosure, the ultrasonic wave irradiated by the
초음파는 열적 효과에 의한 용도 이외에도 다양하게 의료분야에 활용될 수 있다.  일 예로, 초음파는 일반적으로 투과 또는 반사 성질을 가지고 있어, 인체 내부를 투과 또는 반사되는 시간 및 강도를 시각화하여 단면 영상을 획득하는 수단으로 활용될 수도 있다.  본원의 일 실시예에 따르면, 초음파 장치(100)가 조사하는 초음파는 이와 같은 영상획득을 위한 초음파일 수도 있다.  다른 예로, 초음파는 수술용 칼로의 역할을 위하여 시술(예를 들어, 절삭)을 위한 초음파 진동을 발생시키는 역할을 수행하기도 한다.  본원의 일 실시예에 따르면, 초음파 장치(100)가 조사하는 초음파는 초음파 진동을 발생시키는 역할을 수행하는 것일 수 있다.  또한, 초음파의 음압은 유체를 통과할 때, 유체내에서 미세한 버블을 발생시키는 데, 이 때 발생된 버블은 팽창과 파열됨에 따라 높은 압력 형태의 쇼크웨이브(shockwave)로 구현될 수도 있으며, 본원의 일 실시예에 따르면, 초음파 장치(100)가 조사하는 초음파는 쇼크웨이브의 발생을 위해 사용되는 것일 수도 있다.Ultrasound can be used in various medical fields in addition to its thermal effect. For example, since ultrasound generally has a transmission or reflection property, it may be used as a means for obtaining a cross-sectional image by visualizing the time and intensity of transmission or reflection inside the human body. According to an exemplary embodiment of the present disclosure, the ultrasonic waves irradiated by the
앞서 설명된 바와 같이, 초음파 장치(100)가 조사하는 초음파의 유형과 용도는 다양할 수 있으나, 이하에서는 주로 고강도 집속 초음파의 역할에 초점을 맞추어 설명하도록 한다.As described above, the types and uses of the ultrasonic waves irradiated by the
본원의 초음파 장치(100)는 초음파 신호를 대상 부위(400)의 소정 깊이에 초점이 형성되도록 조사하는 트랜스듀서, 트랜스듀서를 내부에 포함하는 몸체부 및 몸체부로부터 초음파 신호의 조사 방향으로 연장되고, 일 단에 초음파 신호가 통과하는 홀이 형성되는 접촉부를 포함하도록 형성될 수 있다.  이 때, 접촉부의 종단면은 홀에 가까워질수록 그 폭이 좁아지도록 형성될 수 있다.  이를 위해, 홀의 크기는 대상 부위(400)의 크기 이하의 범위 내에서 결정될 수 있다.  일 예로, 홀의 크기는 대상 부위(400)의 일 예는 아래 눈꺼플 영역의 총 면적보다 작도록 결정될 수 있다.  아래 눈꺼플 영역의 총 면적은 환자마다 결정될 수도 있고, 나이, 성별을 고려되어 통계적으로 또는 평균의 값으로 결정될 수도 있다.The
본원의 일실시예에 따른 초음파 장치(100)는 아래 눈꺼플(또는 눈밑)과 같은 좁은 시술부위에 적합하도록 형성될 수 있다.  이를 위해, 초음파 장치(100)의 접촉부는 시술자로 하여금 초음파 장치(100)의 홀과 대상 부위(400)가 닿는 것을 명확하게 확인할 수 있도록 초음파가 통과되는 홀에 가까워질수록 그 폭이 최대한 좁아지도록 형성될 필요가 있다.  다만, 이 경우, 초음파가 홀을 통과함에 있어서, 홀에 의해 간섭을 받을 수 있다.  따라서, 접촉부의 종단면은 조사된 초음파 신호에 간섭을 주지 않는 범위 내에서 홀에 가까워질수록 그 폭이 좁아지도록 형성될 필요가 있다.The
일반적으로, 대상 부위(400)가 엉덩이, 팔, 다리, 얼굴의 볼, 이마와 같이 초음파 장치(100)의 홀과 비교하여 충분히 큰 면적을 갖는 부위인 경우, 접촉부의 형상이나 홀의 크기는 큰 이슈가 되지 않을 수 있다.  그러나, 대상 부위(400)가 아래 눈꺼플(또는 눈밑)과 같이 좁은 면적의 영역인 경우 접촉부는 홀에 가까울 수록 최대한 좁아지도록 만들어질 필요가 있으며, 홀의 크기 역시 최대한 좁거나 작게 만들어질 필요가 있다.  시술자는 초음파 장치(100)의 홀과 대상 부위의 피부와의 접촉을 용이하게 확인해야만 하며, 홀의 위치의 변화를 통해 피부 아래 목표하는 곳에 초점을 정확하게 형성해야만 하기 때문이다.In general, when the
초음파 장치(100)의 접촉부의 형상이나 홀의 크기를 결정하는데 있어서, 시술 깊이도 중요한 고려 대상일 수 있다.  이 때, 아래 눈꺼플과 같은 대상 부위는 초음파의 시술 깊이가 깊을 경우 초음파가 안구를 자극 또는 손상시킬 수 있기 때문에, 시술 깊이는 2.5 mm 내지 3 mm 범위 내에서 형성되도록 접촉부의 형상과 홀의 크기를 결정할 필요가 있다.  시술 깊이는 대상 부위의 피부로부터 초점까지의 거리를 의미할 수 있다.In determining the shape of the contact portion or the size of the hole of the
핸드피스(200)에는 초음파 장치(100)가 탈부착될 수 있는 공간이 형성되어 있을 수 있다.  핸드피스(200)와 초음파 장치(100)는 전기적 신호를 상호간에 전기적 신호 및 제어 신호를 주고 받을 수 있는 커넥터를 통해 연결될 수 있다.  이러한 커넥터는 구리 등과 같은 금속 소재로 이루어질 수 있다.The
핸드피스(200)는 제어 장치(300)로부터 수신한 전기적 신호 또는 제어 신호에 기초하여 동작이 제어될 수 있다.  일 예로, 핸드피스(200)는 제어 장치(100)로부터 수신한 전기적 신호를 초음파 장치(100)로 전달함으로써, 초음파 장치(100)로 하여금 초음파 신호를 생성하도록 할 수 있다.  다른 예로, 핸드피스(200)는 제어 장치(100)로부터 수신한 제어 신호에 기초하여 전원이 오프(off)되거나 온(on)될 수도 있다.The operation of the
핸드피스(200)는 사용자 인터페이스 장치(200)를 포함할 수 있다.  사용자 인터페이스 장치는 초음파 시스템을 사용하는 시술자(미도시)의 입력을 수신하기 위한 장치일 수 있다.  이와 같은 사용자 인터페이스 장치의 일 예는 하드웨어 버튼, 터치 패널, 그래픽 아이콘, 음성인식 장치, 영상인식 장치 또는 지문인식 장치를 포함할 수 있다.  사용자 인터페이스 장치의 동작의 일 예를 예시하면, 시술자가 핸드피스(200)의 사용자 인터페이스 장치인 하드웨어 버튼을 누르면, 핸드피스(200)는 이에 대응하는 신호를 제어 장치(300) 또는 초음파 장치(100)로 전송함으로써, 초음파 장치(100)로 하여금 초음파 신호를 조사하도록 할 수 있다.  이 경우, 시술자가 핸드피스(200)의 사용자 인터페이스 장치인 하드웨어 버튼을 더 이상 누르지 않게 되면, 핸드피스(200)는 다른 신호를 제어 장치(300) 또는 초음파 장치(100)로 전송함으로써, 초음파 장치(100)로 하여금 초음파 신호의 조사를 멈추도록 할 수 있다.The
제어 장치(300)는 핸드피스(200) 및 초음파 장치(100)의 동작을 제어할 수 있다.  또한, 제어 장치(300)는 핸드피스(200) 및 초음파 장치(100)로부터 입력된 신호에 대응하는 동작을 수행할 수도 있다.  또한, 제어 장치(300)는 사용자 인터페이스 장치를 포함할 수 있다.  이 때, 사용자 인터페이스 장치의 일 예는 앞서 핸드피스(200)의 그것에 대해 설명한 것과 유사하다.  또한, 제어 장치(300)는 핸드피스(200) 또는 초음파 장치(100)와 관련된 적어도 하나의 정보를 표시하기 위한 디스플레이를 포함할 수도 있다.The
제어 장치(300)는 핸드피스(200) 또는 초음파 장치(100)에 포함된 적어도 하나 이상의 센서를 제어할 수 있다.  또한, 제어 장치(300)는 핸드피스(200) 또는 초음파 장치(100)에 포함된 적어도 하나 이상의 센서로부터 신호를 획득하고, 그 신호를 처리할 수 있다.  일 예로, 제어 장치(300)는 적어도 하나 이상의 센서로부터 신호를 획득하고, 그 결과로서 핸드피스(200) 또는 초음파 장치(100)의 동작을 제어할 수도 있다.  다른 예로, 제어 장치(300)는 적어도 하나 이상의 센서로부터 신호를 획득하고, 그 결과로서 신호에 대응하는 정보를 디스플레이에 표시할 수도 있다.The
적어도 하나 이상의 센서의 일 예는, 온도 센서, 동작 인식 센서, 음성인식 센서, 영상인식 센서, 카메라 센서, 압력 센서, 방사선 센서, 전자파 센서 등을 포함한다.  센서에 의한 동작의 일 예를 예시하면, 제어 장치(100)는 초음파 장치(100)의 접촉부에 포함된 온도 센서 또는 핸드피스(200)에 포함된 온도 센서에 의해, 시술자의 대상 부위 또는 초음파 장치(100)의 접촉부의 온도를 감지하고, 임계 온도 이상인 경우 초음파 장치(100)로 하여금 초음파 신호 조사를 멈추도록 할 수 있다.Examples of at least one sensor include a temperature sensor, a motion recognition sensor, a voice recognition sensor, an image recognition sensor, a camera sensor, a pressure sensor, a radiation sensor, an electromagnetic wave sensor, and the like. To illustrate an example of the operation by the sensor, the
센서에 의한 동작의 다른 예를 예시하면, 제어 장치(100)는 초음파 장치(100)의 접촉부에 포함된 동작 인식 센서 또는 핸드피스(200)에 포함된 동작 인식 센서에 의해, 핸드피스(200) 또는 초음파 장치(100)가 일정 시간 동안 움직이지 않는지 여부를 판단하고, 그 결과에 따라 초음파 장치(100)로 하여금 초음파 신호 조사를 멈추도록 할 수 있다.  이러한 예들에 의하면, 시술자의 대상 부위의 화상이 방지될 수도 있다.To illustrate another example of the motion by the sensor, the
이하에서는 도면들을 통해 초음파 장치(100)의 특징에 대해서 보다 상세하게 설명하도록 한다.Hereinafter, features of the
도 2는 본원의 일 실시예에 따른 초음파 장치의 측면도이다. 또한, 도 3 은 본원의 일 실시예에 따른 초음파 장치의 정면도이다. 또한, 도 4는 본원의 일 실시예에 따른 초음파 장치의 분해 사시도이다. 이 때, 도 2는 y 축 방향으로 바라본 측면도이고, 도 3은 z축 방향으로 바라본 정면도일 수 있다. 또한, 이하에서는 설명의 편의를 위하여, x축(또는 종축), y축(또는 횡축) 및 z축(또는 제 3 축)을 기준으로 설명이 이루어질 것이며, 이 때, 도 2를 기준으로 위에서 아래 방향을 x축 방향, 좌에서 우 방향을 z축 방향으로 가정하고, 도 3을 기준으로 우에서 좌 방향을 y축 방향, 위에서 아래 방향을 x축 방향으로 가정하도록 하겠다.2 is a side view of an ultrasonic device according to an embodiment of the present disclosure. In addition, FIG. 3 is a front view of an ultrasonic device according to an exemplary embodiment of the present disclosure. In addition, Figure 4 is an exploded perspective view of the ultrasonic device according to an embodiment of the present application. In this case, FIG. 2 is a side view as viewed in the y-axis direction, and FIG. 3 may be a front view as viewed in the z-axis direction. In addition, hereinafter, for convenience of description, description will be made based on the x-axis (or vertical axis), y-axis (or horizontal axis), and z-axis (or third axis), and in this case, from top to bottom with reference to FIG. The directions are assumed to be the x-axis direction, the left-to-right direction is the z-axis direction, and the right-to-left direction is the y-axis direction, and the top-down direction is the x-axis direction.
도 2 내지 4를 참조하면, 초음파 장치(100)는 접촉부(110), 몸체부(125), 및 결합부(130)를 포함할 수 있다.  다만, 본원의 다양한 실시예들에 따르면, 초음파 장치(100)는 도 2 및 3과 다르게 구성될 수도 있다.  일 예로, 초음파 장치(100)는 적어도 하나 이상의 센서를 더 포함할 수도 있다.2 to 4, the
몸체부(125)는 내부에 트랜스듀서(121)를 포함할 수 있다.  이 때, 트랜스듀서(121)는 대상 부위의 소정 깊이에 초점을 형성되도록 초음파 신호를 조사할 수 있다.  또한, 트랜스듀서(121)는 제어부(131)로부터 수신된 전기적 신호에 대응하는 초음파 신호를 생성할 수 있다.The body portion 125 may include a
몸체부(125)는 트랜스듀서를 고정하기 위해 트랜스듀서를 감싸고 있는 제 1 고정부(122)를 포함할 수 있다.  또한, 몸체부(125)는 제 1 고정부(122)를 고정하기 위한 제 2 고정부(123)를 포함할 수 있다.  제 2 고정부(123)는 각 모서리 부근에 홀을 포함할 수 있다.  이러한 홀은 접촉부 내부의 돌기와 한 쌍을 이루어 결합될 수 있다.  이 때, 홀은 나사와 같은 결합 수단을 통해 접촉부(110) 내부의 돌기와 결합될 수 있다.The body part 125 may include a
접촉부(110)는 몸체부(125)로부터 초음파 신호의 조사 방향으로 연장될 수 있다.  또한, 접촉부(110)의 일 단에는 초음파 신호가 통과하는 홀(111)이 형성될 수 있다.  이와 같은 홀(110)은 원형일 수 있으나, 본 발명의 다양한 실시예들에 따르면, 홀(110)은 삼각형, 사각형, 오각형과 같은 다각형일 수도 있다.The
접촉부(110)는 조사된 초음파 신호에 간섭을 주지 않는 범위 내에서 홀에 가까워질수록 그 폭이 좁아지도록 형성될 수 있다.  이 때, 접촉부(110)의 종단면 역시 조사된 초음파 신호에 간섭을 주지 않는 범위 내에서 홀에 가까워질수록 그 폭이 좁아지도록 형성될 수 있다.  또한, 접촉부(110) 또는 접촉부(1110)의 종단면이 좁아지도록 형성된다는 것은 접촉부(110)의 외부 하우징의 형상 또는 외부 하우징의 종단면의 형상이 좁이지도록 형성된다는 것을 의미할 수 있다.  여기서, 종단면은 x축(또는 종축) 단면을 의미할 수 있다.  또한, 종단면은 x축과 z축(또는 제 3 축)으로 이루어진 단면을 의미할 수도 있다.  다만, 이에 한정되는 것은 아니며, 종단면은 단면을 의미할 수도 있으며, 이 경우, 단면은 종단면 또는 횡단면 중 어느 하나일 수 있다.The
본원의 일 실시예에 따르면, 홀(110)의 크기는 대상 부위의 크기 이하의 범위 내에서 결정될 수 있다.  일 예로, 홀(110)의 크기는 대상 부위의 총 면적보다 작도록 결정될 수 있다.  이 때, 대상 부위의 일 예는 아래 눈꺼플일 수 있다.According to an exemplary embodiment of the present disclosure, the size of the
본원의 일 실시예에 따르면, 홀(111)의 크기는 대상 부위와 홀 사이의 접촉에 대한 가시성을 확보하는 범위 내에서 결정될 수 있다.  이 때, 가시성(visibility)은 시술자에 의하여 초음파 장치(100)의 일 단이 대상 부위 내에 위치하였는가가 식별되는 것을 의미할 수도 있고, 초음파 장치(100)의 일 단이 대상 부위 내부의 특정 목표 영역에 위치하였는가가 식별되는 것을 의미할 수도 있다.  대상 부위가 좁은 시술 부위, 예를 들어, 아래 눈꺼플(또는 눈밑)일 경우, 의도하는 위치에 초점을 맞추기 어렵기 때문에 홀(110)의 크기는 최대한 좁게 하는 것이 바람직하다.  또한, 홀(111)의 직경은, 대상 부위와 홀(111) 사이의 접촉의 대한 가시성이 확보되기 시작하는 가시성 임계 거리 보다 작거나 같은 것일 수 있다.According to the exemplary embodiment of the present disclosure, the size of the
본원의 일실시예에 따르면, 홀(110)의 크기는 트랜스듀서(121)의 크기 및 초점 거리 중 하나에 기초하여 결정될 수 있다.  이 때, 트랜스듀서(121)의 크기는 트랜스듀서의 직경 또는 지름에 대응할 수 있다.  트랜스듀서의 직경 또는 지름은 트랜스듀서의 종축(또는 x축) 또는 횡축(또는 y축) 단면에서 트랜스듀서의 양 끝단 사이의 거리를 의미할 수 있다.  이 때, 트랜스듀서의 직경 또는 지름은 제 3의 축(또는 z축) 단면의 직경 또는 지름을 의미할 수도 있다.According to the exemplary embodiment of the present disclosure, the size of the
본원의 일 실시예에 따르면, 홀(111)의 직경 또는 크기는 초음파 장치(100) 내부의 트랜스듀서의 양 끝단 사이의 거리, 초음파의 초점 거리 및 트랜스듀서의 일측 곡률 중 적어도 하나에 기초하여 결정될 수 있다.  또한, 홀(111)의 직경 또는 크기는 대상 부위의 피부로부터 초점까지의 거리에 기초하여 결정될 수도 있다.  이 때, 대상 부위의 피부로부터 초점까지의 거리는 시술 깊이를 의미할 수 있다.  본원의 일 실시예에 따르면, 시술 깊이는 2.5 mm 내지 3.0 mm의 범위 내에서 선택되는 어느 하나인 것일 수 있다.According to an embodiment of the present application, the diameter or size of the
도 5는 본원의 일 실시예에 따른 초음파 장치의 단면들을 나타낸 도면이다.  이 때, 도 5의 도면부호 (a)는 접촉부(110)와 몸체부(125)를 x축 방향으로 자른 단면을  y축 방향에서 바라보는 것일 수 있다.  또한, 도 5의 도면부호 (a)는 x축과 z 축으로 이루어진 단면을 의미할 수도 있고, 종축 단면 또는 종단면을 의미할 수도 있다.  이  때, 도면부호 (a)의 단면의 형성은 홀(110)의 종축 중앙 직경(또는 두께, 거리)을 기준으로(또는 지나는 것으로) 이루어질 수 있다.  또한, 도 5의 도면부호 (b)는 접촉부(110)와 몸체부(125)를 y축 방향으로 자른 단면을  x축 방향에서 바라보는 것일 수 있다.  또한, 도 5의 도면부호 (a)는z축과 y 축으로 이루어진 단면을 의미할 수도 있고, 횡축 단면 또는 횡단면을 의미할 수도 있다.  이  때, 도면부호 (b)의 단면의 형성은 홀(110)의 횡축 중앙 직경(또는 두께, 거리)을 기준으로(또는 지나는 것으로) 이루어질 수 있다.5 is a view showing cross-sections of an ultrasonic device according to an exemplary embodiment of the present disclosure. In this case, reference numeral (a) of FIG. 5 may denote a cross section of the
도 5를 도시된 바와 같이, 트랜스듀서(121)로부터 조사된 초음파 신호의 최 외각 성분들(402)은  접촉부(110)의 하우징(113)에 의해 간섭이 일어나지 않도록, 하우징(113)과 일정 거리 이격된 상태로 조사될 수 있습니다.  이 때, 최외각 성분들은 트랜스듀서의 최 외곽 부분 소자로부터 초점(401)을 향해 조사된 초음파 성분일 수 있다.5, the
도 6은 홀의 간섭 임계 거리를 결정하는 과정의 일 예들을 설명하기 위한 도면이다.  도면부호 610은 트랜스듀서(121)에 대응하는 것이며, 초점 f1을 향해 초음파 신호를 조사하는 것을 도안화하고 있습니다.  또한, 도면부호 610은 원형인 트랜스듀서로부터 초점 f1을 향해 조사된 초음파 신호의 집합인 역 원뿔 형상의 단면을 나타내는 것을 수 있습니다.6 is a diagram illustrating examples of a process of determining an interference threshold distance of a hole.
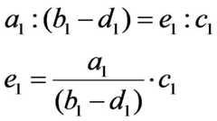
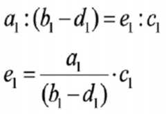
본원의 일 실시예에 따르면, 간섭 임계 거리는 트랜스듀서(121)의 양 끝단을 연결하는 제 1 선, 트랜스듀서(121)의 일 끝단과 초점을 연결하는 제 2 선, 및 트랜스듀서(121)의 타 끝단과 상기 초점을 연결하는 제 3 선으로 이루어진 역삼각형에 기초하여 결정될 수도 있다.  도 6의 도면부호 610을 참조하여 예시하면, 간섭 임계 거리는 e1일 수 있고, 양 끝단을 연결하는 제 1 선의 거리는 a1일 수 있고, 트랜스듀서(121)의 일 끝단과 초점을 연결하는 제 2 선과  트랜스듀서(121)의 타 끝단과 초점을 연결하는 제 3 선의 거리는 모두 b1일 수 있다.  이 때, 제 2 선과 제 3 선 각각은 트랜스듀서의 최외각 부분 소자에서 직진성을 갖고 조사되는 초음파 성분에 의하여 정의될 수도 있다.According to an embodiment of the present application, the interference threshold distance is a first line connecting both ends of the
본원 일 실시예에 따르면, 간섭 임계 거리는 트랜스듀서(121)의 일 측 외주와 초점에 의해 형성된 역 원뿔의 단면에 기초하여 결정될 수 도 있다.  또한, 간섭 임계 거리는 트랜스듀서(121)의 양 끝단을 연결하는 제 1 선에 평행하면서, 초점으로부터 상기 제 1선 중앙을 향해 제 1 거리 만큼 이격된 점을 포함하는 제 2 선의 거리를 의미할 수도 있다.  도 6을 통해 예시하면, 간섭 임계 거리는 e1이고, 제 1 선의 거리는 a1이고, 제 1 거리는 c1일 수 있다.  또한, 제 1 거리인 c1은 시술 깊이에 대응할 수 있다.According to an exemplary embodiment of the present disclosure, the interference threshold distance may be determined based on a cross section of an inverted cone formed by a focal point and an outer periphery of one side of the
본원의 일 실시예에 따르면, 홀(111)의 직경은 간섭 임계 거리의 110% 내지 125% 내에서 선택된 어느 하나일 수 있다.  이를 통해, 초음파 장치(100)의 일 단이면서 대상 부위(400)와 접촉하는 홀(111)의 크기 또는 면적은 상기 조사된 초음파 신호에 간섭을 주지 않는 범위를 만족하면서, 상기 대상 부위와 상기 홀(111) 사이의 접촉에 대한 가시성을 확보하는 범위를 모두 만족시킬 수 있다.  도 6을 통해 예시하면, 홀(111)의 직경은 간섭 임계 거리 e1의  110% 내지 125% 내에서 선택된 어느 하나일 수 있다.  본원의 일 실시예에 따르면, 홀(111)의 크기 또는 면적은 간섭 임계 거리에 대응하는 원 뿔의 단면의 크기  또는 면적의 거리의 110% 내지 125% 내에서 선택된 어느 하나일 수도 있다.According to an embodiment of the present disclosure, the diameter of the
본원의 일 실시예에 따르면, 접촉부(110)와 몸체부(125)가 만나는 지점의 z 축 단면의 x축 또는 y축의 중심 거리 각각은 트랜지스터의 x축 또는 y축 중심 거리 각각의 150% 내지 250% 내에서 선택된 어느 하나일 수 있다.  접촉부(110)와 몸체부(125)의 하우징 내부의 공간에는 물이 채워지게 되며, 이와 같은 물의 흐름이 원할하게 이루어지기 위해서는 접촉부(110)의 최 외각의 면적이 트랜지스터(121)와 제 1 고정부(122) 및 제 2 고정부(123)보다 클 필요가 있다.According to an exemplary embodiment of the present disclosure, each of the center distances of the x-axis or y-axis of the z-axis cross section at the point where the
접촉부(110)는 홀(111)의 외주로부터 외측 방향으로 연장되어, 일정 두께를 가지는 고리(ring)를 포함할 수 있다.  본원의 일 실시예에 따르면, 홀(111)은 초음파 신호를 투과시킬 수 있는 투과 부재를 통해 차단되는데, 이 때, 투과 부재는 고리(ring)와의 접촉을 통해 홀을 차단할 수 있다.  이러한 투과 물질의 일 예는 비닐 또는 필름일 수 있다.  비닐 또는 필름의 재료는 다양할 수 있으며, 예를 들어, 폴리비닐리덴, 폴리에틸렌, 폴리프로필렌, 폴리이미드, 나일론 등 다양할 수 있다.The
본원의 일 실시예에 따르면, 홀(110)의 크기는 홀(110)의 직경에 대응할 수 있다.  이 때, 직경은 원의 지름을 의미할 수도 있다.  다만, 홀(110)이 다각형인 경우, 직경은 다각형의 일 축 방향 두께 또는 거리를 의미할 수도 있다.  일 예로, 정삼각형인 경우 일 꼭지점을 기준으로 하는 이등분선의 거리를 의미할 수 있고, 정사각형인 경우 직경의 길이는 가로 또는 세로의 한 변의 길이와 동일할 수도 있다.According to an embodiment of the present application, the size of the
본원의 일 실시예에 따르면, 홀(111)의 크기는 트랜스듀서(121)의 크기 및 초점 거리 중 적어도 하나에 기초하여 결정될 수 있다.  도 6의 도면부호 (a)를 참조하여 예시하면, 초점 거리는 b1을 의미할 수 있다.  또한, 본원의 일 실시예에 따르면, 홀(111)의 크기는 대상 부위의 피부로부터 초점까지의 거리에 기초하여 결정될 수 있다.  도 6의 도면부호 (a)를 참조하여 예시하면, 대상 부위의 피부로부터 초점까지의 거리는 c1에 대응할 수 있다.  대상 부위의 피부로부터 초점까지의 거리는 2.5 mm 내지 3.0 mm의 범위 내에서 선택되는 어느 하나일 수 있다.  이 때, 대상 부위의 피부로부터 초점까지의 거리는 시술 깊이일 수 있다.According to an exemplary embodiment of the present disclosure, the size of the
본원의 일 실시예에 따르면, 초음파 장치(100)의 홀(111)의 직경은 트랜스듀서에 의해 조사된 초음파 신호에 간섭을 주기 시작하는 간섭 임계 거리보다 크도록 결정될 수 있다.  여기서, 간섭 임계 거리는 트랜스듀서의 양 끝단 사이의 거리와 상기 트랜스듀스의 양 끝단의 중앙에서부터 초점까지의 거리의 비율 및 상기 대상 부위의 피부로부터 상기 초점까지의 거리에 기초하여 결정될 수 있다.  도 6의 도면부호 (a)를 통해 예시하면, 간섭 임계 거리인 e1은 트랜스듀서의 양 끝단 사이의 거리인 a1와 트랜스듀스의 양 끝단의 중앙에서부터 초점까지의 거리인 b1-d1 사이의 비율인 a1/(b1-d1) 및 상기 대상 부위의 피부로부터 상기 초점까지의 거리인 c1에 기초하여 결정될 수 있다.  수학식으로 표현하면 수학식 1과 같다.According to an exemplary embodiment of the present disclosure, the diameter of the
본원의 일 실시예에 따르면, 트랜스듀서(121)의 양 끝단 사이의 거리는 20 mm이되, 상기 초점 거리는 16mm일 수 있다.  도 6의 도면부호 (a)를 참조하여 예시하면, 트랜스듀서(121)의 양 끝단 사이의 거리a1은 20mm이고, 초점 거리 b1은 20mm일 수 있다.  또한, 곡률의 깊이인 d1이 4mm이고, 시술 깊이 c1이 3인 경우, 간섭 임계 거리 e1은 수학식 1에 따라, 5mm로 결정될 수 있다.  이에 따라, 홀(111)의 직경은 5mm의 110%인 5.5 mm 내지 5mm의 125%인 6.25 mm 중 선택된 어느 하나일 수 있다.  일 예로, 홀(111)의 직경은 5mm의 120%인 6mm일 수 있다.According to an exemplary embodiment of the present disclosure, a distance between both ends of the
도 6의 도면부호 (b)를 참조하면, 다른 종류의 트랜지스터(620)의 간섭 임계 거리 e2는 트랜지스터(620)에 대응하는 거리 a2, b2 및 d2 중 적어도 하나 이상에 기초하여 결정될 수 있다.  이 때, 시술 깊이 c2는 함께 고려될 수 있으며, 이와 같은 c2은 대상 부위에 따라 고유하게 결정된 것일 수 있다.  일 예로, 대상 부위가 아래 눈꺼플(또는 눈밑)인 경우, c2는 c1과 같이 2.5mm 내지 3mm 중 선택된 어느 하나일 수 있다.  도 6을 참조하면 트랜지스터(620)와 트랜지스터(610)를 비교할 때, a1과 a2는 동일하고, c1과 c2는 동일할 수 있다.Referring to reference numeral (b) of FIG. 6, the interference threshold distance e2 of another type of
도 6의 도면부호 (c)를 참조하면, 다른 종류의 트랜지스터(630)의 간섭 임계 거리 e3는 트랜지스터(630)에 대응하는 거리 a3, b3 및 d3 중 적어도 하나 이상에 기초하여 결정될 수 있다.  이 때, 시술 깊이 c3은 함께 고려될 수 있으며, 이와 같은 c3는 대상 부위에 따라 고유하게 결정된 것일 수 있다.  일 예로, 대상 부위가 아래 눈꺼플(또는 눈밑)인 경우, c2는 c1과 같이 2.5mm 내지 3mm 중 선택된 어느 하나일 수 있다.  도 6을 참조하면 트랜지스터(630)와 트랜지스터(610)를 비교할 때, a3과 a1의 1/2이고, c1과 c3는 동일할 수 있다.Referring to reference numeral (c) of FIG. 6, the interference threshold distance e3 of another type of
결합부(130)는 몸체부(120)와 결합하고, 핸드피스(200)와 결합할 수 있다.  결합부(130)는 내부에 트랜스듀서(121)를 제어하기 위한 제어부(131)를 포함할 수 있다.  제어부(131)는 트랜스듀서(121)와 연결된 연결선과 연결될 수 있고, 핸드피스(200) 또는 제어 장치(300)와 연결된 연결선과 연결될 수 있다.The
제어부(131)는 트랜스듀서(121)로 전기적 신호 및 제어 신호를 전송할 수 있고, 핸드피스(200) 또는 제어 장치(300)로부터 전기적 신호 및 제어 신호를 수신할 수 있다.  이와 같은 제어부(131)는 회로 기판, 칩, 전기적 소자 등으로 구성될 수 있으나, 이에 한정되는 것은 아니다.The
도 4를 참조하면, 결합부(103)는 물을 채우기 위한 통공(132), 연결선을 통과시키기 위한 통공(133) 및 물 주입을 용이하도록 형성된 통공(134)을 포함할 수 있다.  이 때, 통공(132) 내지 통공(134)은 물 주입 후 방수 마감 부재를 통해 차단될 수 있다.Referring to FIG. 4, the coupling part 103 may include a through
본원의 일 실시예에 따르면, 몸체부(120), 접촉부(110) 및 결합부(130)에 의해 형성된 내부 공간에는 물이 채워질 수 있다.  이 때, 물이 채워지는 내부 공간은 이격을 위한 구조(124)의 위 쪽 공간만을 의미할 수 있다.  이 때, 물은 상기 내부 공간의 부피의 80 % 내지 95% 중 어느 하나를 기준으로 채워질 수 있다.According to the exemplary embodiment of the present application, water may be filled in the inner space formed by the
본원의 일 실시예에 따라, 간섭 임계 거리를 결정하는 것은 매우 중요하다.  접촉부(110)의 홀(111)의 직경 또는 면적 각각이 간섭 임계 거리 또는 간섭 임계 거리에 대응하는 면적 각각보다 작은 경우, 초음파 신호의 일부가 접촉부(110) 또는 접촉부(110)이 하우징(113)에 조사되면서, 해당 영역의 온도가 40℃이상으로 올라가게 되며, 이로 인하여 환자가 화상을 입을 수 있다.In accordance with an embodiment of the present application, it is very important to determine the interference threshold distance. When each diameter or area of the
도 7은 본 발명의 일 실시예에 따른 홀 크기 결정 방법을 나타낸 동작 흐름도이다.  도 7에 도시된 바와 같이, 본 발명의 일 실시예는, 초음파 장치(100)의 홀의 크기를 결정하는 방법을 제공할 수 있다.  이와 같은 홀의 크기를 결정하는 방법은 상기 트랜스듀서에 관한 정보를 입력받는 단계(S701), 상기 대상 부위의 시술 깊이에 관한 정보를 입력받는 단계(S702) 및 상기 트랜스듀서에 관한 정보 및 상기 시술 깊이에 관한 정보에 기초하여 상기 홀의 크기를 결정하는 단계(S703)를 포함할 수 있다.7 is a flowchart illustrating a method of determining a hole size according to an embodiment of the present invention. As shown in FIG. 7, an embodiment of the present invention may provide a method of determining the size of a hole of the
상술한 설명에서, 단계 S701 내지 S703은 본원의 구현예에 따라서, 추가적인 단계들로 더 분할되거나, 더 적은 단계들로 조합될 수 있다. 또한, 일부 단계는 필요에 따라 생략될 수도 있고, 단계 간의 순서가 변경될 수도 있다.In the above description, steps S701 to S703 may be further divided into additional steps or combined into fewer steps, according to the embodiment of the present application. In addition, some steps may be omitted as necessary, or the order between steps may be changed.
이와 같은 홀의 크기를 결정하는 방법에 대해서 설명하지 아니한 내용은 앞서 초음파 장치(100)에 관하여 설명한 내용을 그대로 준용한다.  이 때, 트랜스듀서에 관한 정보 일 예는 앞서 설명된 트랜스듀서에 관한 크기, 길이(예를 들어, 초점길이, 곡률 깊이 등), 및 직경을 포함할 수 있고, 시술 깊이에 관한 일 예들도 앞서 설명된 바와 같다.  또한, 초음파 장치(100)의 홀의 크기 또는 홀의 직경을 결정하는 다양한 실시예들이 홀의 크기 결정 방법에 그대로 이용될 수 있다.For details that have not been described for the method of determining the size of the hole, the contents described with respect to the
홀의 크기를 결정하는 방법은 컴퓨터 장치(미도시)에 의하여 수행될 수 있다.  이 때, 컴퓨터 장치(미도시)는 메모리(미도시) 및 프로세스(미도시)를 포함할 수 있다.  프로세스(미도시)는 상기 트랜스듀서에 관한 정보를 입력받고, 상기 대상 부위의 시술 깊이에 관한 정보를 입력받고, 상기 트랜스듀서에 관한 정보 및 상기 시술 깊이에 관한 정보에 기초하여 상기 홀의 크기를 결정할 수 있다.  이 때, 컴퓨터 장치(미도시) 또는 프로세스(미도시) 앞서 초음파 장치(100)의 홀의 크기를 결정하기 위한 다양한 일 예들을 모두 수행할 수 있다.  이와 같은 컴퓨터 장치(미도시) 또는 프로세스(미도시)에 관하여 설명되지 아니한 사항은 앞서 초음파 장치(100) 및 홀의 크기를 결정하는 방법에 관하여 설명된 내용을 그대로 준용한다.The method of determining the size of the hole may be performed by a computer device (not shown). In this case, the computer device (not shown) may include a memory (not shown) and a process (not shown). The process (not shown) receives information about the transducer, receives information about the depth of treatment of the target region, and determines the size of the hole based on the information about the transducer and the information about the treatment depth. I can. In this case, various examples for determining the size of the hole of the
전술한 홀의 크기 결정 방법은 컴퓨터에 의해 실행되는 프로그램 모듈과 같은 컴퓨터에 의해 실행 가능한 명령어를 포함하는 기록 매체의 형태로도 구현될 수 있다. 컴퓨터 판독 가능 매체는 컴퓨터에 의해 액세스될 수 있는 임의의 가용 매체일 수 있고, 휘발성 및 비휘발성 매체, 분리형 및 비분리형 매체를 모두 포함한다. 또한, 컴퓨터 판독가능 매체는 컴퓨터 저장 매체 및 통신 매체를 모두 포함할 수 있다. 컴퓨터 저장 매체는 컴퓨터 판독가능 명령어, 데이터 구조, 프로그램 모듈 또는 기타 데이터와 같은 정보의 저장을 위한 임의의 방법 또는 기술로 구현된 휘발성 및 비휘발성, 분리형 및 비분리형 매체를 모두 포함한다. 통신 매체는 전형적으로 컴퓨터 판독가능 명령어, 데이터 구조, 프로그램 모듈, 또는 반송파와 같은 변조된 데이터 신호의 기타 데이터, 또는 기타 전송 메커니즘을 포함하며, 임의의 정보 전달 매체를 포함한다.The above-described hole size determination method may be implemented in the form of a recording medium including instructions executable by a computer, such as a program module executed by a computer. Computer-readable media can be any available media that can be accessed by a computer, and includes both volatile and nonvolatile media, removable and non-removable media. Further, the computer-readable medium may include both computer storage media and communication media. Computer storage media includes both volatile and nonvolatile, removable and non-removable media implemented in any method or technology for storage of information such as computer readable instructions, data structures, program modules or other data. Communication media typically includes computer readable instructions, data structures, program modules, or other data in a modulated data signal such as a carrier wave, or other transmission mechanism, and includes any information delivery media.
전술한 본원의 설명은 예시를 위한 것이며, 본원이 속하는 기술분야의 통상의 지식을 가진 자는 본원의 기술적 사상이나 필수적인 특징을 변경하지 않고서 다른 구체적인 형태로 쉽게 변형이 가능하다는 것을 이해할 수 있을 것이다. 그러므로 이상에서 기술한 실시예들은 모든 면에서 예시적인 것이며 한정적이 아닌 것으로 이해해야만 한다. 예를 들어, 단일형으로 설명되어 있는 각 구성 요소는 분산되어 실시될 수도 있으며, 마찬가지로 분산된 것으로 설명되어 있는 구성 요소들도 결합된 형태로 실시될 수 있다.The foregoing description of the present application is for illustrative purposes only, and those of ordinary skill in the art to which the present application pertains will be able to understand that it is possible to easily transform it into other specific forms without changing the technical spirit or essential features of the present application. Therefore, it should be understood that the embodiments described above are illustrative and non-limiting in all respects. For example, each component described as a single type may be implemented in a distributed manner, and similarly, components described as being distributed may also be implemented in a combined form.
본원의 범위는 상기 상세한 설명보다는 후술하는 특허청구범위에 의하여 나타내어지며, 특허청구범위의 의미 및 범위 그리고 그 균등 개념으로부터 도출되는 모든 변경 또는 변형된 형태가 본원의 범위에 포함되는 것으로 해석되어야 한다.The scope of the present application is indicated by the claims to be described later rather than the detailed description, and all changes or modified forms derived from the meaning and scope of the claims and their equivalent concepts should be interpreted as being included in the scope of the present application.
100: 초음파 장치
110: 접촉부
111: 홀
125: 몸체부
121: 트랜스듀서
130: 결합부
131: 제어부
200: 핸드피스
300: 제어 장치
400: 대상 부위100: ultrasonic device
 110: contact
 111: hall
 125: body part
 121: transducer
 130: coupling portion
 131: control unit
 200: handpiece
 300: control device
 400: target site
| Application Number | Priority Date | Filing Date | Title | 
|---|---|---|---|
| KR1020160145366AKR102143977B1 (en) | 2016-11-02 | 2016-11-02 | Device for emitting ultrasound for small treatment area | 
| Application Number | Priority Date | Filing Date | Title | 
|---|---|---|---|
| KR1020160145366AKR102143977B1 (en) | 2016-11-02 | 2016-11-02 | Device for emitting ultrasound for small treatment area | 
| Application Number | Title | Priority Date | Filing Date | 
|---|---|---|---|
| KR1020150013705ADivisionKR20160105952A (en) | 2015-01-28 | 2015-01-28 | Device for emitting ultrasound for small treatment area | 
| Publication Number | Publication Date | 
|---|---|
| KR20160129826A KR20160129826A (en) | 2016-11-09 | 
| KR102143977B1true KR102143977B1 (en) | 2020-08-12 | 
| Application Number | Title | Priority Date | Filing Date | 
|---|---|---|---|
| KR1020160145366AActiveKR102143977B1 (en) | 2016-11-02 | 2016-11-02 | Device for emitting ultrasound for small treatment area | 
| Country | Link | 
|---|---|
| KR (1) | KR102143977B1 (en) | 
| Publication number | Priority date | Publication date | Assignee | Title | 
|---|---|---|---|---|
| KR20230021592A (en)* | 2021-08-05 | 2023-02-14 | 주식회사 스킨그랩 | Ultrasound output device based on temperature measurement | 
| Publication number | Priority date | Publication date | Assignee | Title | 
|---|---|---|---|---|
| GB2573305A (en) | 2018-05-01 | 2019-11-06 | Tribosonics Ltd | An ultrasonic transducer | 
| KR102169093B1 (en)* | 2018-07-17 | 2020-10-22 | 광운대학교 산학협력단 | High intensive ultrasonic wave output device | 
| WO2023014116A1 (en)* | 2021-08-05 | 2023-02-09 | 주식회사 스킨그랩 | Temperature measurement-based high-intensity focused ultrasound output device | 
| Publication number | Priority date | Publication date | Assignee | Title | 
|---|---|---|---|---|
| JP2002238902A (en)* | 2001-02-14 | 2002-08-27 | Ge Medical Systems Global Technology Co Llc | Ultrasonic transmission method and ultrasonic diagnostic apparatus | 
| WO2013103975A1 (en)* | 2012-01-06 | 2013-07-11 | Histosonics, Inc. | Histotripsy therapy transducer | 
| Publication number | Priority date | Publication date | Assignee | Title | 
|---|---|---|---|---|
| KR101249954B1 (en)* | 2011-05-17 | 2013-04-03 | 주식회사 하이로닉 | High intensity focused ultrasound generating device with a function of adjusting focus length | 
| Publication number | Priority date | Publication date | Assignee | Title | 
|---|---|---|---|---|
| JP2002238902A (en)* | 2001-02-14 | 2002-08-27 | Ge Medical Systems Global Technology Co Llc | Ultrasonic transmission method and ultrasonic diagnostic apparatus | 
| WO2013103975A1 (en)* | 2012-01-06 | 2013-07-11 | Histosonics, Inc. | Histotripsy therapy transducer | 
| Publication number | Priority date | Publication date | Assignee | Title | 
|---|---|---|---|---|
| KR20230021592A (en)* | 2021-08-05 | 2023-02-14 | 주식회사 스킨그랩 | Ultrasound output device based on temperature measurement | 
| KR102515786B1 (en)* | 2021-08-05 | 2023-03-30 | 주식회사 스킨그랩 | Ultrasound output device based on temperature measurement | 
| Publication number | Publication date | 
|---|---|
| KR20160129826A (en) | 2016-11-09 | 
| Publication | Publication Date | Title | 
|---|---|---|
| US9802063B2 (en) | Reflective ultrasound technology for dermatological treatments | |
| KR102143977B1 (en) | Device for emitting ultrasound for small treatment area | |
| US11241187B2 (en) | Electromagnetic wave sensing and modulating of neuronal activities | |
| US12179041B2 (en) | Apparatus, system, and method for mechanical ablation with therapeutic ultrasound | |
| JP4686269B2 (en) | Ultrasonic therapy device | |
| US20150151142A1 (en) | Device and Methods for Targeting of Transcranial Ultrasound Neuromodulation by Automated Transcranial Doppler Imaging | |
| US20130218054A1 (en) | Separation device for ultrasound element | |
| KR101583302B1 (en) | photoacoustic-integrated focused utrasound apparatus for diagnosis and treatment | |
| WO2013048912A2 (en) | Reflective ultrasound technology for dermatological treatments | |
| Cohen et al. | Magnetic resonance imaging-guided focused ultrasound for thermal ablation in the brain: a feasibility study in a swine model | |
| KR20120131552A (en) | Method and system for diagnosis and treatment using ultrasound | |
| Arvanitis et al. | Transcranial assessment and visualization of acoustic cavitation: Modeling and experimental validation | |
| KR101075878B1 (en) | High Intensity Focused Ultrasound Generator with Close Contact Detection Function | |
| CN105999569A (en) | Multi-element transducer element selection device and method and ultrasonic stimulation system | |
| US12246195B2 (en) | Pre-treatment tissue sensitization for focused ultrasound procedures | |
| McDannold et al. | Preclinical evaluation of a low-frequency transcranial MRI-guided focused ultrasound system in a primate model | |
| CN103054553A (en) | Microcirculation in meridian skin tissue real-time monitoring method, system and probe head | |
| Kamimura et al. | Chirp-and random-based coded ultrasonic excitation for localized blood-brain barrier opening | |
| KR101725189B1 (en) | Medical apparatus using ultrasound and method of movement control of transducer | |
| KR101463210B1 (en) | High intensity focused ultrasound generating device | |
| KR20160105952A (en) | Device for emitting ultrasound for small treatment area | |
| US12310792B2 (en) | Ultrasound-guided drug-loaded microbubble delivery method and electronic device | |
| Gavrilov | Use of focused ultrasound for stimulation of various neural structures | |
| KR101617005B1 (en) | Apparatus and method for brain-brain interface using brainwave magnetic resonance and transcranial laser | |
| Faridi et al. | Image-guided cancer thermal therapies | 
| Date | Code | Title | Description | 
|---|---|---|---|
| A107 | Divisional application of patent | ||
| PA0107 | Divisional application | Comment text:Divisional Application of Patent Patent event date:20161102 Patent event code:PA01071R01D Filing date:20150128 Application number text:1020150013705 | |
| PG1501 | Laying open of application | ||
| A201 | Request for examination | ||
| PA0201 | Request for examination | Patent event code:PA02012R01D Patent event date:20200128 Comment text:Request for Examination of Application Patent event code:PA02011R04I Patent event date:20161102 Comment text:Divisional Application of Patent | |
| E902 | Notification of reason for refusal | ||
| PE0902 | Notice of grounds for rejection | Comment text:Notification of reason for refusal Patent event date:20200331 Patent event code:PE09021S01D | |
| E701 | Decision to grant or registration of patent right | ||
| PE0701 | Decision of registration | Patent event code:PE07011S01D Comment text:Decision to Grant Registration Patent event date:20200803 | |
| GRNT | Written decision to grant | ||
| PR0701 | Registration of establishment | Comment text:Registration of Establishment Patent event date:20200806 Patent event code:PR07011E01D | |
| PR1002 | Payment of registration fee | Payment date:20200806 End annual number:3 Start annual number:1 | |
| PG1601 | Publication of registration | ||
| PR1001 | Payment of annual fee | Payment date:20230508 Start annual number:4 End annual number:4 | |
| PR1001 | Payment of annual fee | Payment date:20240508 Start annual number:5 End annual number:5 | |
| PR1001 | Payment of annual fee | Payment date:20250507 Start annual number:6 End annual number:6 |