Movatterモバイル変換


[0]ホーム

URL:


KR102137151B1 - 노이즈 캔슬링 장치 및 그 방법 - Google Patents

노이즈 캔슬링 장치 및 그 방법
Download PDF

Info

Publication number
KR102137151B1
KR102137151B1KR1020180170794AKR20180170794AKR102137151B1KR 102137151 B1KR102137151 B1KR 102137151B1KR 1020180170794 AKR1020180170794 AKR 1020180170794AKR 20180170794 AKR20180170794 AKR 20180170794AKR 102137151 B1KR102137151 B1KR 102137151B1
Authority
KR
South Korea
Prior art keywords
feature vector
input
noise
noise canceling
signal
Prior art date
Legal status (The legal status is an assumption and is not a legal conclusion. Google has not performed a legal analysis and makes no representation as to the accuracy of the status listed.)
Active
Application number
KR1020180170794A
Other languages
English (en)
Other versions
KR20200084466A (ko
Inventor
이봉기
김영만
이근상
정재웅
황승현
Original Assignee
엘지전자 주식회사
Priority date (The priority date is an assumption and is not a legal conclusion. Google has not performed a legal analysis and makes no representation as to the accuracy of the date listed.)
Filing date
Publication date
Application filed by 엘지전자 주식회사filedCritical엘지전자 주식회사
Priority to KR1020180170794ApriorityCriticalpatent/KR102137151B1/ko
Priority to PCT/KR2019/009876prioritypatent/WO2020138624A1/en
Priority to US16/536,990prioritypatent/US10818309B2/en
Publication of KR20200084466ApublicationCriticalpatent/KR20200084466A/ko
Application grantedgrantedCritical
Publication of KR102137151B1publicationCriticalpatent/KR102137151B1/ko
Activelegal-statusCriticalCurrent
Anticipated expirationlegal-statusCritical

Links

Images

Classifications

Landscapes

Abstract

본 발명의 실시 예는 노이즈 제거의 대상이 되는 입력 음성 신호를 수신하는 입력부; 및 딥 러닝(deep learning) 알고리즘을 통해 복수의 레퍼런스 음성 신호들을 이용하여 학습된 노이즈 캔슬링 모델에 기반하여 상기 입력 음성 신호로부터 노이즈를 제거한 제1 음성 신호를 생성하고, 통계적 분석(statistical analysis)에 기반하여 상기 제1 음성 신호로부터 잔여 노이즈를 제거한 제2 음성 신호를 생성하고, 상기 제2 음성 신호에 상응하는 출력 음성 신호를 생성하는 프로세서를 포함하는, 노이즈 캔슬링 장치를 제공한다.

Description

노이즈 캔슬링 장치 및 그 방법 {APPARATUS FOR NOISE CANCELING AND METHOD FOR THE SAME}
본 발명은 노이즈 캔슬링 장치 및 그 방법에 관한 것이다. 구체적으로, 기계 학습 알고리즘 또는 딥 러닝 알고리즘과 통계적 분석에 기반하여 입력 음성 신호에서 노이즈를 제거하는 노이즈 캔슬링 장치 및 그 방법에 관한 것이다.
최근 들어 스마트폰용 음성 비서(예: 빅스비, 구글 어시스턴스, 엘지 큐보이스 등)에 대한 수요가 증가함에 따라 수준 높은 음성 인식률을 보이는 스마트폰용 음성 인식 기술에 대한 필요성이 증가하고 있다. 스마트폰은 주변 환경에 따라 음성 인식 성능이 달라지는데, 주변 사람의 말소리나 주변 음악, TV 소리와 같은 비정상 잡음 환경에서 성능 저하가 크게 발생한다. 따라서 잡음 환경에서 잡음을 제거하여 깨끗한 음성 신호를 만드는 것은 음성 인식 성능을 향상시키기 위해 중요하다.
기존의 잡음 제거 방식은 음성의 존재 확률을 기반으로 잡음을 제거하거나 사용자의 위치를 찾는 빔포밍(Beam-Forming) 방식을 이용하는데, 이는 사용자의 위치가 계속 변하거나 음성과 비슷한 형태의 잡음원(TV, 주변 말소리 등)에서는 잡음제거 성능이 현저하게 떨어진다는 단점이 있다.
또한, 최근 딥 러닝을 이용한 잡음 제거 방식은 음성과 비슷한 형태의 잡음원의 잡음 제거 성능이 뛰어나지만 잡음이 제거된 음성의 왜곡이 심하고 차량 잡음과 같이 저주파 대역의 신호가 강한 잡음의 경우에 제거가 잘 안되는 단점이 있다.
따라서, 기존 잡음 제거 방식들이 갖는 한계를 해결하여 왜곡을 최소화하면서도 음성 신호에서 잡음을 제거하는 기술이 요구된다.
전술한 배경기술은 발명자가 본 발명의 도출을 위해 보유하고 있었거나, 본 발명의 도출 과정에서 습득한 기술 정보로서, 반드시 본 발명의 출원 전에 일반 공중에게 공개된 공지기술이라 할 수는 없다.
국내 등록특허공보 제10-1807961호
본 발명은 기계 학습 알고리즘 또는 딥 러닝 알고리즘 및 통계적 분석에 기반하여 입력 음성 신호에서 왜곡을 억제하면서 노이즈를 제거하는, 노이즈 캔슬링 장치 및 그 방법을 제공하고자 한다.
또한, 본 발명은 노이즈 캔슬링 모델에서 대상 특징 벡터의 적합한 추정에 실패하였을 경우에 발생하는 왜곡을 억제하면서 노이즈를 제거하는, 노이즈 캔슬링 장치 및 그 방법을 제공하고자 한다.
또한, 본 발명은 음성 존재 확률을 이용하는 통계적 분석을 기반으로 잔여 노이즈를 효과적으로 제거하는, 노이즈 캔슬링 장치 및 그 방법을 제공하고자 한다.
본 발명의 일 실시 예는, 기계 학습 알고리즘 또는 딥 러닝 알고리즘을 이용하여 노이즈 캔슬링 모델을 학습하고, 노이즈 캔슬링 모델을 기반으로 입력 음성 신호에서 노이즈를 제거하여 제1 음성 신호를 생성하고, 음성 존재 확률(Speech Presence Probability)에 대한 통계적 분석에 기반하여 제1 음성 신호에서 잔여 노이즈를 제거하여 제2 음성 신호를 생성하고, 제2 음성 신호로부터 출력 음성 신호를 생성한다.
또한, 본 발명의 일 실시예는, 대상 값의 하한선을 설정하여 노이즈 캔슬링 모델을 기반으로 입력 음성 신호로부터 추정된 대상 특징 벡터를 수정하고, 수정된 대상 특징 벡터를 이용하여 입력 음성 신호로부터 제1 음성 신호를 생성한다.
또한, 본 발명의 일 실시예는, 제1 음성 신호와 입력 음성 신호의 차이 정보를 고려하여 음성 존재 확률을 수정하고, 수정된 음성 존재 확률을 이용하여 제1 음성 신호로부터 제2 음성 신호를 생성한다.
본 발명의 다양한 실시 예에 따르면, 기계 학습 알고리즘 또는 딥 러닝 알고리즘을 통하여 학습된 노이즈 캔슬링 모델을 이용하여 1차적으로 노이즈를 제거하고, 음성 존재 확률을 이용하여 2차적으로 잔여 노이즈를 제거하므로, 각 노이즈 제거 기법의 장점을 모두 취하면서 효과적으로 노이즈를 제거할 수 있다.
또한, 본 발명의 다양한 실시 예에 따르면, 노이즈 캔슬링 모델에서 획득하는 추정된 대상 특징 벡터를 수정하여 이용함으로써, 노이즈 캔슬링 모델을 통한 노이즈 제거시 최소 게인(gain)을 보장할 수 있고, 이를 통하여 노이즈 캔슬링 모델이 추정에 실패하더라도 발생하는 왜곡을 효과적으로 억제할 수 있다.
또한, 본 발명의 다양한 실시 예에 따르면, 제1 음성 신호와 입력 음성 신호의 차이 정보를 고려하여 음성 존재 확률을 수정함으로써, 노이즈 캔슬링 모델을 통한 1차 노이즈 제거가 충분히 이루어졌는지 고려하며 잔여 노이즈의 파워 스펙트럼을 보다 정확하게 추정할 수 있고, 따라서 왜곡을 억제하면서 잔여 노이즈를 효과적으로 제거할 수 있다.
도 1은 본 발명의 일 실시 예에 따른 노이즈 캔슬링 시스템(1)의 구성을 나타낸 블록도이다.
도 2는 본 발명의 일 실시 예에 따른 단말기(100)의 구성을 나타낸 블록도이다.
도 3은 본 발명의 일 실시 예에 따른 노이즈 캔슬링 장치(200)의 구성을 나타낸 블록도이다.
도 4는 본 발명의 일 실시 예에 따른 노이즈 캔슬링 방법을 나타낸 동작 흐름도이다.
도 5는 도 4에 도시된 노이즈 캔슬링 모델을 학습하는 단계(S403)의 일 예를 나타낸 동작 흐름도이다.
도 6은 본 발명의 일 실시 예에서의 노이즈 캔슬링 모델의 구조를 나타낸 도면이다.
도 7은 입력 음성 신호에 상응하는 제1 음성 신호 및 제2 음성 신호를 생성하는 과정을 나타낸 도면이다.
도 8은 도 4에 도시된 제1 음성 신호를 생성하는 단계(S407)의 일 예를 나타낸 동작 흐름도이다.
도 9는 도 4에 도시된 제2 음성 신호를 생성하는 단계(S409)의 일 예를 나타낸 동작 흐름도이다.
도 10은 본 발명의 일 실시 예에 따른 노이즈 캔슬링 방법을 나타낸 블록도이다.
도 11은 본 발명의 일 실시예에 따른 노이즈 캔슬링 방법을 나타낸 래더 다이어그램이다.
도 12는 본 발명의 일 실시예에 따른 노이즈 캔슬링 방법을 나타낸 래더 다이어그램이다.
이하, 첨부된 도면을 참조하여 본 명세서에 개시된 실시 예를 상세히 설명하되, 도면 부호에 관계없이 동일하거나 유사한 구성요소는 동일한 참조 번호를 부여하고 이에 대한 중복되는 설명은 생략하기로 한다. 이하의 설명에서 사용되는 구성요소에 대한 접미사 "모듈" 및 "부"는 명세서 작성의 용이함만이 고려되어 부여되거나 혼용되는 것으로서, 그 자체로 서로 구별되는 의미 또는 역할을 갖는 것은 아니다. 또한, 본 명세서에 개시된 실시 예를 설명함에 있어서 관련된 공지 기술에 대한 구체적인 설명이 본 명세서에 개시된 실시 예의 요지를 흐릴 수 있다고 판단되는 경우 그 상세한 설명을 생략한다. 또한, 첨부된 도면은 본 명세서에 개시된 실시 예를 쉽게 이해할 수 있도록 하기 위한 것일 뿐, 첨부된 도면에 의해 본 명세서에 개시된 기술적 사상이 제한되지 않으며, 본 발명의 사상 및 기술 범위에 포함되는 모든 변경, 균등물 내지 대체물을 포함하는 것으로 이해되어야 한다.
제1, 제2 등과 같이 서수를 포함하는 용어는 다양한 구성요소들을 설명하는데 사용될 수 있지만, 상기 구성요소들은 상기 용어들에 의해 한정되지는 않는다. 상기 용어들은 하나의 구성요소를 다른 구성요소로부터 구별하는 목적으로만 사용된다.
어떤 구성요소가 다른 구성요소에 "연결되어" 있다거나 "접속되어" 있다고 언급된 때에는, 그 다른 구성요소에 직접적으로 연결되어 있거나 또는 접속되어 있을 수도 있지만, 중간에 다른 구성요소가 존재할 수도 있다고 이해되어야 할 것이다. 반면에, 어떤 구성요소가 다른 구성요소에 "직접 연결되어" 있다거나 "직접 접속되어" 있다고 언급된 때에는, 중간에 다른 구성요소가 존재하지 않는 것으로 이해되어야 할 것이다.
인공 지능(artificial intelligence, AI)은 인간의 지능으로 할 수 있는 사고, 학습, 자기계발 등을 컴퓨터가 할 수 있도록 하는 방법을 연구하는 컴퓨터 공학 및 정보기술의 한 분야로, 컴퓨터가 인간의 지능적인 행동을 모방할 수 있도록 하는 것을 의미한다.
또한, 인공지능은 그 자체로 존재하는 것이 아니라, 컴퓨터 과학의 다른 분야와 직간접으로 많은 관련을 맺고 있다. 특히 현대에는 정보기술의 여러 분야에서 인공지능적 요소를 도입하여, 그 분야의 문제 풀이에 활용하려는 시도가 매우 활발하게 이루어지고 있다.
머신 러닝(machine learning)은 인공지능의 한 분야로, 컴퓨터에 명시적인 프로그램 없이 배울 수 있는 능력을 부여하는 연구 분야이다.
구체적으로 머신 러닝은, 경험적 데이터를 기반으로 학습을 하고 예측을 수행하고 스스로의 성능을 향상시키는 시스템과 이를 위한 알고리즘을 연구하고 구축하는 기술이라 할 수 있다. 머신 러닝의 알고리즘들은 엄격하게 정해진 정적인 프로그램 명령들을 수행하는 것이라기보다, 입력 데이터를 기반으로 예측이나 결정을 이끌어내기 위해 특정한 모델을 구축하는 방식을 취한다.
용어 '머신 러닝'은 용어 '기계 학습'과 혼용되어 사용될 수 있다.
기계 학습에서 데이터를 어떻게 분류할 것인가를 놓고, 많은 기계 학습 알고리즘이 개발되었다. 의사결정나무(Decision Tree)나 베이지안 망(Bayesian network), 서포트벡터머신(SVM: support vector machine), 그리고 인공 신경망(ANN: Artificial Neural Network) 등이 대표적이다.
의사결정나무는 의사결정규칙(Decision Rule)을 나무구조로 도표화하여 분류와 예측을 수행하는 분석방법이다.
베이지안 망은 다수의 변수들 사이의 확률적 관계(조건부독립성: conditional independence)를 그래프 구조로 표현하는 모델이다. 베이지안 망은 비지도 학습(unsupervised learning)을 통한 데이터마이닝(data mining)에 적합하다.
서포트벡터머신은 패턴인식과 자료분석을 위한 지도 학습(supervised learning)의 모델이며, 주로 분류와 회귀분석을 위해 사용한다.
인공신경망은 생물학적 뉴런의 동작원리와 뉴런간의 연결 관계를 모델링한 것으로 노드(node) 또는 처리 요소(processing element)라고 하는 다수의 뉴런들이 레이어(layer) 구조의 형태로 연결된 정보처리 시스템이다.
인공 신경망은 기계 학습에서 사용되는 모델로써, 기계학습과 인지과학에서 생물학의 신경망(동물의 중추신경계 중 특히 뇌)에서 영감을 얻은 통계학적 학습 알고리즘이다.
구체적으로 인공신경망은 시냅스(synapse)의 결합으로 네트워크를 형성한 인공 뉴런(노드)이 학습을 통해 시냅스의 결합 세기를 변화시켜, 문제 해결 능력을 가지는 모델 전반을 의미할 수 있다.
용어 인공신경망은 용어 뉴럴 네트워크(Neural Network)와 혼용되어 사용될 수 있다.
인공신경망은 복수의 레이어(layer)를 포함할 수 있고, 레이어들 각각은 복수의 뉴런(neuron)을 포함할 수 있다. 또한 인공신경망은 뉴런과 뉴런을 연결하는 시냅스를 포함할 수 있다.
인공 신경망은 일반적으로 다음의 세가지 인자, 즉 (1) 다른 레이어의 뉴런들 사이의 연결 패턴 (2) 연결의 가중치를 갱신하는 학습 과정 (3) 이전 레이어로부터 수신되는 입력에 대하여 가중 합을 취하여 출력값을 생성하는 활성화 함수에 의해 정의될 수 있다.
인공 신경망은, DNN(Deep Neural Network), RNN(Recurrent Neural Network), BRDNN(Bidirectional Recurrent Deep Neural Network), MLP(Multilayer Perceptron), CNN(Convolutional Neural Network)와 같은 방식의 네트워크 모델들을 포함할 수 있으나, 이에 한정되지 않는다.
본 명세서에서 용어 '레이어'는 용어 '계층'과 혼용되어 사용될 수 있다.
인공신경망은 계층 수에 따라 단층 신경망(Single-Layer Neural Networks)과 다층 신경망(Multi-Layer Neural Networks)으로 구분된다.
일반적인 단층 신경망은, 입력층과 출력층으로 구성된다.
또한 일반적인 다층 신경망은 입력층(Input Layer)과 은닉층(Hidden Layer), 출력층(Output Layer)으로 구성된다.
입력층은 외부의 자료들을 받아들이는 층으로서, 입력층의 뉴런 수는 입력되는 변수의 수와 동일하며, 은닉층은 입력층과 출력층 사이에 위치하며 입력층으로부터 신호를 받아 특성을 추출하여 출력층으로 전달한다. 출력층은 은닉층으로부터 신호를 받아 외부로 출력한다. 뉴런간의 입력신호는 0에서 1 사이의 값을 갖는 각각의 연결강도와 곱해진 후 합산되며 이 합이 뉴런의 임계치보다 크면 뉴런이 활성화되어 활성화 함수를 통하여 출력값으로 구현된다.
한편 입력층과 출력 층 사이에 복수의 은닉층을 포함하는 심층 신경망은, 기계 학습 기술의 한 종류인 딥 러닝을 구현하는 대표적인 인공 신경망일 수 있다.
한편 용어 '딥 러닝'은 용어 '심층 학습'과 혼용되어 사용될 수 있다.
인공 신경망은 훈련 데이터(training data)를 이용하여 학습(training)될 수 있다. 여기서 학습이란, 입력 데이터를 분류(classification)하거나 회귀분석(regression)하거나 군집화(clustering)하는 등의 목적을 달성하기 위하여, 학습 데이터를 이용하여 인공 신경망의 파라미터(parameter)를 결정하는 과정을 의미할 수 있다. 인공 신경망의 파라미터의 대표적인 예시로써, 시냅스에 부여되는 가중치(weight)나 뉴런에 적용되는 편향(bias)을 들 수 있다.
훈련 데이터에 의하여 학습된 인공 신경망은, 입력 데이터를 입력 데이터가 가지는 패턴에 따라 분류하거나 군집화 할 수 있다.
한편 훈련 데이터를 이용하여 학습된 인공 신경망을, 본 명세서에서는 학습 모델(a trained model)이라 명칭 할 수 있다.
다음은 인공 신경망의 학습 방식에 대하여 설명한다.
인공 신경망의 학습 방식은 크게, 지도 학습, 비 지도 학습, 준 지도 학습(Semi-Supervised Learning), 강화 학습(Reinforcement Learning)으로 분류될 수 있다.
지도 학습은 훈련 데이터로부터 하나의 함수를 유추해내기 위한 기계 학습의 한 방법이다.
그리고 이렇게 유추되는 함수 중, 연속 적인 값을 출력하는 것을 회귀분석(Regression)이라 하고, 입력 벡터의 클래스(class)를 예측하여 출력하는 것을 분류(Classification)라고 할 수 있다.
지도 학습에서는, 훈련 데이터에 대한 레이블(label)이 주어진 상태에서 인공 신경망을 학습시킨다.
여기서 레이블이란, 훈련 데이터가 인공 신경망에 입력되는 경우 인공 신경망이 추론해 내야 하는 정답(또는 결과 값)을 의미할 수 있다.
본 명세서에서는 훈련 데이터가 입력되는 경우 인공 신경망이 추론해 내야 하는 정답(또는 결과값)을 레이블 또는 레이블링 데이터(labeling data)이라 명칭 한다.
또한 본 명세서에서는, 인공 신경망의 학습을 위하여 훈련 데이터에 레이블을 설정하는 것을, 훈련 데이터에 레이블링 데이터를 레이블링(labeling) 한다고 명칭 한다.
이 경우 훈련 데이터와 훈련 데이터에 대응하는 레이블은 하나의 트레이닝 셋(training set)을 구성하고, 인공 신경망에는 트레이닝 셋의 형태로 입력될 수 있다.
한편 훈련 데이터는 복수의 특징(feature)을 나타내고, 훈련 데이터에 레이블이 레이블링 된다는 것은 훈련 데이터가 나타내는 특징에 레이블이 달린다는 것을 의미할 수 있다. 이 경우 훈련 데이터는 입력 객체의 특징을 벡터 형태로 나타낼 수 있다.
인공 신경망은 훈련 데이터와 레이블링 데이터를 이용하여, 훈련 데이터와 레이블링 데이터의 연관 관계에 대한 함수를 유추할 수 있다. 또한 인공 신경망은 유추된 함수에 대한 평가를 통해 인공 신경망의 파라미터를 결정(최적화) 할 수 있다.
비 지도 학습은 기계 학습의 일종으로, 훈련 데이터에 대한 레이블이 주어지지 않는다.
구체적으로, 비 지도 학습은, 훈련 데이터 및 훈련 데이터에 대응하는 레이블의 연관 관계 보다는, 훈련 데이터 자체에서 패턴을 찾아 분류하도록 인공 신경망을 학습시키는 학습 방법일 수 있다.
비 지도 학습의 예로는, 군집화 또는 독립 성분 분석(Independent Component Analysis)을 들 수 있다.
본 명세서에서 용어 '군집화'는 용어 '클러스터링'과 혼용되어 사용될 수 있다.
비지도 학습을 이용하는 인공 신경망의 일례로 생성적 적대 신경망(GAN: Generative Adversarial Network), 오토 인코더(AE: Autoencoder)를 들 수 있다.
생성적 적대 신경망이란, 생성기(generator)와 판별기(discriminator), 두 개의 서로 다른 인공지능이 경쟁하며 성능을 개선하는 머신 러닝 방법이다.
이 경우 생성기는 새로운 데이터를 창조하는 모형으로, 원본 데이터를 기반으로 새로운 데이터를 생성할 수 있다.
또한 판별기는 데이터의 패턴을 인식하는 모형으로, 원본 데이터를 기반으로 생성기에서 생성한 새로운 데이터에 대한 진위 여부를 감별하는 역할을 수행할 수 있다.
그리고 생성기는 판별기를 속이지 못한 데이터를 입력 받아 학습하며, 판별기는 생성기로부터 속은 데이터를 입력 받아 학습할 수 있다. 이에 따라 생성기는 판별기를 최대한 잘 속이도록 진화할 수 있고, 판별기의 원본 데이터와 생성기에 의해 생성된 데이터를 잘 구분하도록 진화할 수 있다.
오토 인코더는 입력 자체를 출력으로 재현하는 것을 목표로 하는 신경망이다.
오토 인코더는 입력층, 은닉층 및 출력층을 포함하며, 입력 데이터는 입력 데이터가 입력 계층을 통과하여 은닉 계층으로 들어간다.
이 경우 은닉 계층의 노드 수가 입력 계층의 노드 수보다 적으므로 데이터의 차원이 줄어들게 되며, 이에 따라 압축 또는 인코딩이 수행되게 된다.
또한 은닉 계층에서 출력한 데이터는 출력 계층으로 들어간다. 이 경우 출력 계층의 노드 수는 은닉 계층의 노드 수보다 많으므로, 데이터의 차원이 늘어나게 되며, 이에 따라 압축 해제 또는 디코딩이 수행되게 된다.
한편 오토 인코더는 학습을 통해 뉴런의 연결 강도를 조절함으로써 입력 데이터가 은닉층 데이터로 표현된다. 은닉층에서는 입력층보다 적은 수의 뉴런으로 정보를 표현하는데 입력 데이터를 출력으로 재현할 수 있다는 것은, 은닉층이 입력 데이터로부터 숨은 패턴을 발견하여 표현했다는 것을 의미할 수 있다.
준 지도 학습은 기계 학습의 일종으로, 레이블이 주어진 훈련 데이터와 레이블이 주어지지 않은 훈련 데이터를 모드 사용하는 학습 방법을 의미할 수 있다.
준 지도 학습의 기법 중 하나로, 레이블이 주어지지 않은 훈련 데이터의 레이블을 추론한 후 추론된 라벨을 이용하여 학습을 수행하는 기법이 있으며, 이러한 기법은 레이블링에 소요되는 비용이 큰 경우에 유용하게 사용될 수 있다.
강화 학습은, 에이전트(Agent)가 매 순간 어떤 행동을 해야 좋을지 판단할 수 있는 환경이 주어진다면, 데이터 없이 경험으로 가장 좋을 길을 찾을 수 있다는 이론이다.
강화 학습은 주로 마르코프 결정 과정(MDP: Markov Decision Process)에 의하여 수행될 수 있다.
마르코프 결정 과정을 설명하면, 첫 번째로 에이전트가 다음 행동을 하기 위해 필요한 정보들이 구성된 환경이 주어지며, 두 번째로 그 환경에서 에이전트가 어떻게 행동할지 정의하고, 세 번째로 에이전트가 무엇을 잘하면 보상(reward)를 주고 무엇을 못하면 벌점(penalty)을 줄지 정의하며, 네 번째로 미래의 보상이 최고점에 이를 때까지 반복 경험하여 최적의 정책(policy)을 도출하게 된다.
인공 신경망은 학습 전에 미리 설정되며 모델의 구성과 구조에 관련되는 하이퍼파라미터(Hyperparameter)와 학습으로 인하여 결정되며 모델의 내용을 결정하는 모델 파라미터(Model Parameter)로 특정할 수 있다.
하이퍼파라미터는 인공 신경망의 구조적인 성질을 기술하는 파라미터들뿐만 아니라, 모델 파라미터의 초기값 등과 같이 학습을 위하여 초기에 설정하여야 하는 여러 파라미터들을 포함한다. 또한, 하이퍼파라미터는 넓게 보면 인공 신경망의 학습에 이용되는 함수, 알고리즘 등을 포함할 수도 있다.
예컨대, 하이퍼파라미터에는 은닉층의 개수, 각 은닉층에 포함된 은닉 노드의 개수, 노드 간 가중치 초기값, 노드 간 편향 초기값, 미니 배치(Mini-batch) 크기, 학습 반복 횟수, 학습률(Learning Rate) 등이 포함된다. 또한, 넓게 보면 하이퍼파라미터에는 손실 함수(Loss Function) 또는 비용 함수(Cost Function), 최적화 알고리즘, 입력 특징 벡터(Input Feature Vector), 대상 특징 벡터(Target Feature Vector), 노드의 활성 함수(Activation Function) 등도 포함될 수 있다. 그리고, 모델 파라미터에는 노드 간 가중치, 노드 간 편향 등이 포함될 수 있다.
손실 함수는 인공 신경망의 학습 과정에서 최적의 모델 파라미터를 결정하기 위한 지표(기준)로 이용될 수 있다. 인공 신경망에서 학습은 손실 함수를 줄이기 위하여 모델 파라미터들을 조작하는 과정을 의미하며, 학습의 목적은 손실 함수를 최소화하는 모델 파라미터를 결정하는 것으로 볼 수 있다.
손실 함수는 주로 평균 제곱 오차(MSE: Mean Squared Error) 또는 교차 엔트로피 오차(CEE, Cross Entropy Error)를 사용한다.
교차 엔트로피 오차는 정답 레이블이 원 핫 인코딩(one-hot encoding)된 경우에 사용될 수 있다. 원 핫 인코딩은 정답에 해당하는 뉴런에 대하여만 정답 레이블 값을 1로, 정답이 아닌 뉴런은 정답 레이블 값이 0으로 설정하는 인코딩 방법이다.
머신 러닝 또는 딥 러닝에서는 손실 함수를 최소화하기 위하여 학습 최적화 알고리즘을 이용할 수 있으며, 학습 최적화 알고리즘에는 경사 하강법(GD: Gradient Descent), 확률적 경사 하강법(SGD: Stochastic Gradient Descent), 모멘텀(Momentum), NAG(Nesterov Accelerate Gradient), Adagrad, AdaDelta, RMSProp, Adam, Nadam 등이 있다.
경사 하강법은 현재 상태에서 손실 함수의 기울기를 고려하여 손실 함수값을 줄이는 방향으로 모델 파라미터를 조정하는 기법이다.
모델 파라미터를 조정하는 방향은 스텝(step) 방향, 조정하는 크기는 스텝 사이즈(size)라고 칭한다.
경사 하강법에서 스텝 사이즈는 대상 모델 파라미터로 손실 함수를 편미분하여 획득하는 기울기와 학습률(learning rate)을 결정될 수 있다.
확률적 경사 하강법은 학습 데이터를 미니 배치로 나누고, 각 미니 배치마다 경사 하강법을 수행하여 경사 하강의 빈도를 높인 기법이다.
Adagrad, AdaDelta 및 RMSProp는 SGD에서 스텝 사이즈를 조절하여 최적화 정확도를 높이는 기법이다. SGD에서 모멘텀 및 NAG는 스텝 방향을 조절하여 최적화 정확도를 높이는 기법이다. Adam은 모멘텀과 RMSProp를 조합하여 스텝 사이즈와 스텝 방향을 조절하여 최적화 정확도를 높이는 기법이다. Nadam은 NAG와 RMSProp를 조합하여 스텝 사이즈와 스텝 방향을 조절하여 최적화 정확도를 높이는 기법이다.
인공 신경망의 학습 속도와 정확도는 인공 신경망의 구조와 학습 최적화 알고리즘의 종류뿐만 아니라, 하이퍼파라미터에 크게 좌우되는 특징이 있다. 따라서, 좋은 학습 모델을 획득하기 위하여는 적당한 인공 신경망의 구조와 학습 알고리즘을 결정하는 것뿐만 아니라, 적당한 하이퍼파라미터를 설정하는 것이 중요하다.
통상적으로 하이퍼파라미터는 다양한 값으로 설정해가며 인공 신경망을 학습하며, 안정적인 학습 속도와 정확도를 제공하는 최적의 값으로 결정하여 실험적으로 설정한다.
도 1은 본 발명의 일 실시 예에 따른 노이즈 캔슬링 시스템(1)의 구성을 나타낸 블록도이다.
도 1을 참조하면, 노이즈 캔슬링 시스템(1)은 노이즈 캔슬링 장치(Apparatus for noise canceling, 200) 및 하나 이상의 단말기(Terminal Device, 100) 등을 포함할 수 있다.
일 실시 예에서, 노이즈 캔슬링 시스템(1)은 노이즈 캔슬링 장치(200)를 포함하지 않고 단말기(100)만으로 구성될 수 있다.
단말기(100)는 텔레비전(TV), 프로젝터, 휴대폰, 스마트 폰(smart phone), 노트북 컴퓨터(laptop computer), 디지털방송용 단말기, PDA(personal digital assistants), PMP(portable multimedia player), 네비게이션, 슬레이트 PC(slate PC), 태블릿 PC(tablet PC), 울트라북(ultrabook), 웨어러블 디바이스(wearable device, 예를 들어, 워치형 단말기 (smartwatch), 글래스형 단말기 (smart glass), HMD(head mounted display)), 셋톱박스(STB), DMB 수신기, 라디오, 세탁기, 냉장고, 고정형 로봇 및 이동 가능한 로봇 등으로 구현될 수 있다.
즉, 단말기(100)는 가정에서 이용하는 다양한 가전의 형태로 구현될 수 있으며, 고정 또는 이동 가능한 로봇에도 적용될 수 있다.
단말기(100)는 음성 에이전트의 기능을 수행할 수 있다. 음성 에이전트는 사용자의 음성을 인식하고, 인식된 사용자의 음성에 적합한 응답을 음성으로 출력하는 프로그램일 수 있다.
응답 데이터를 생성하기 위하여는 입력 음성 신호를 분석하여 그 의미 정보를 파악하여야 하며, 입력 음성 신호의 분석 정확도를 높이기 위하여 노이즈를 제거하게 되는데, 이러한 노이즈의 제거는 단말기(100) 또는 노이즈 캔슬링 장치(200)에서 수행될 수 있다.
일 실시 예에서, 노이즈 캔슬링 장치(200)는 기계 학습 알고리즘 또는 딥 러닝 알고리즘을 이용하여 노이즈 캔슬링 모델만을 학습하여 단말기(100)에 제공하고, 단말기(100)는 수신한 노이즈 캔슬링 모델을 이용하여 직접 입력 음성 신호에서 노이즈를 제거할 수 있다.
일 실시 예에서, 노이즈 캔슬링 장치(200)는 기계 학습 알고리즘 또는 딥 러닝 알고리즘을 이용하여 노이즈 캔슬링 모델을 학습하고, 단말기(100)로부터 입력 음성 신호를 수신하여 입력 음성 신호에서 직접 노이즈를 제거하고, 그 결과물을 단말기(100)에 제공할 수 있다.
일 실시 예에서, 단말기(100)는 직접 기계 학습 알고리즘 또는 딥 러닝 알고리즘을 이용하여 노이즈 캔슬링 모델을 학습하고, 학습한 노이즈 캔슬링 모델을 이용하여 입력 음성 신호에서 노이즈를 제거할 수 있다.
후술하지만, 본 발명에서는 노이즈 캔슬링 모델에 기반하여 입력 음성 신호에서 1차적으로 노이즈를 제거하고, 통계적 분석에 기반하여 2차적으로 잔여 노이즈를 제거한다.
상기한 실시 예들은 노이즈 캔슬링 모델을 학습하는데 많은 리소스가 요구되기 때문에, 노이즈 캔슬링 모델의 학습 주체를 기준으로 구분한 것이며, 본 발명이 이에 한정되는 것은 아니다.
노이즈 캔슬링 장치(200)는 외부에 별도로 구성된 서버로, 도 2에 도시된 단말기(100)의 러닝 프로세서(130)와 동일한 기능을 수행할 수 있다.
즉, 노이즈 캔슬링 장치(200)는 데이터 마이닝, 데이터 분석, 지능형 의사 결정 및 기계 학습 알고리즘을 위해 이용될 정보를 수신, 분류, 저장 및 출력하도록 구성될 수 있다. 여기서, 기계 학습 알고리즘은 딥 러닝 알고리즘을 포함할 수 있다.
노이즈 캔슬링 장치(200)는 적어도 하나의 단말기(100)와 통신할 수 있고, 단말기(100)를 대신하여 혹은 도와 데이터를 분석하거나 학습하여 결과를 도출할 수 있다. 여기서, 다른 장치를 도운다는 의미는 분산 처리를 통한 연산력의 분배를 의미할 수 있다.
노이즈 캔슬링 장치(200)는 음성 서버(미도시)와 통신할 수 있고, 음성 서버(미도시)를 대신하여 혹은 도와 음성 데이터에 상응하는 의미 정보를 도출할 수 있다.
노이즈 캔슬링 장치(200)는 복수로 구성되어 노이즈 캔슬링 장치 세트(혹은 클라우드 서버)를 구성할 수 있고, 노이즈 캔슬링 장치 세트에 포함된 적어도 하나 이상의 노이즈 캔슬링 장치(200)는 분산 처리를 통하여 데이터 분석 또는 학습하여 결과를 도출할 수 있다.
노이즈 캔슬링 장치(200)는 주기적으로 혹은 요청에 의하여 단말기(100)에 기계 학습 또는 딥 러닝에 의하여 학습한 노이즈 캔슬링 모델을 전송할 수 있다.
음성 서버(미도시)는 단말기(100) 또는 노이즈 캔슬링 장치(200)에서 처리되는 음성 신호를 수신하여 의미 정보를 획득하고, 획득한 의미 정보 또는 획득한 의미 정보에 상응하는 응답 정보를 반환할 수 있다.
음성 서버(미도시)는 노이즈 캔슬링 장치(200)를 통하여 혹은 노이즈 캔슬링 장치(200)와 함께 음성 데이터에 상응하는 의미 정보를 획득할 수 있다.
음성 서버(미도시)와 노이즈 캔슬링 장치(200)는 하나로 통합된 서버로 구성될 수 있다. 서버를 다수 혹은 하나로 하는 것과, 기능 별로 서버를 분리하거나 하나의 서버로 통합하는 것은 다양한 실시 예에 해당하며, 본 발명이 어느 하나에 한정되는 것은 아니다.
도 2는 본 발명의 일 실시 예에 따른 단말기(100)의 구성을 나타낸 블록도이다.
도 2를 참조하면, 단말기(100)는 무선 통신부(Wireless Communication Unit, 110), 입력부(Input Unit, 120), 러닝 프로세서(Learning Processor, 130), 센싱부(Sensing Unit, 140), 출력부(Output Unit, 150), 인터페이스부(Interface Unit, 160), 메모리(Memory, 170), 프로세서(Processor, 180) 및 전원 공급부(Power Supply Unit, 190) 등을 포함할 수 있다.
무선 통신부(110)는 방송 수신 모듈(Broadcast Receiving Module, 111), 이동통신 모듈(Mobile Communication Unit, 112), 무선 인터넷 모듈(Wireless Internet Module, 113), 근거리 통신 모듈(Short Range Communication Module, 114), 위치정보 모듈(Location Information Module, 115) 중 적어도 하나를 포함할 수 있다.
방송 수신 모듈(111)은 방송 채널을 통하여 외부의 방송 관리 서버로부터 방송 신호 및/또는 방송 관련된 정보를 수신한다.
이동통신 모듈(112)은, 이동통신을 위한 기술표준들 또는 통신방식(예를 들어, GSM(Global System for Mobile communication), CDMA(Code Division Multi Access), CDMA2000(Code Division Multi Access 2000), EV-DO(Enhanced Voice-Data Optimized or Enhanced Voice-Data Only), WCDMA(Wideband CDMA), HSDPA(High Speed Downlink Packet Access), HSUPA(High Speed Uplink Packet Access), LTE(Long Term Evolution), LTE-A(Long Term Evolution-Advanced) 등)에 따라 구축된 이동 통신망 상에서 기지국, 외부의 단말, 서버 중 적어도 하나와 무선 신호를 송수신한다.
무선 인터넷 모듈(113)은 무선 인터넷 접속을 위한 모듈을 말하는 것으로, 단말기(100)에 내장되거나 외장될 수 있다. 무선 인터넷 모듈(113)은 무선 인터넷 기술들에 따른 통신망에서 무선 신호를 송수신하도록 이루어진다.
무선 인터넷 기술로는, 예를 들어 WLAN(Wireless LAN), Wi-Fi(Wireless-Fidelity), Wi-Fi(Wireless Fidelity) Direct, DLNA(Digital Living Network Alliance), WiBro(Wireless Broadband), WiMAX(World Interoperability for Microwave Access), HSDPA(High Speed Downlink Packet Access), HSUPA(High Speed Uplink Packet Access), LTE(Long Term Evolution), LTE-A(Long Term Evolution-Advanced) 등이 있다.
근거리 통신 모듈(114)은 근거리 통신(Short range communication)을 위한 것으로서, 블루투스(Bluetooth™), RFID(Radio Frequency Identification), 적외선 통신(Infrared Data Association; IrDA), UWB(Ultra Wideband), ZigBee, NFC(Near Field Communication), Wi-Fi(Wireless-Fidelity), Wi-Fi Direct, Wireless USB(Wireless Universal Serial Bus) 기술 중 적어도 하나를 이용하여, 근거리 통신을 지원할 수 있다.
위치정보 모듈(115)은 단말기의 위치(또는 현재 위치)를 획득하기 위한 모듈로서, 그의 대표적인 예로는 GPS(Global Positioning System) 모듈 또는 WiFi(Wireless Fidelity) 모듈이 있다. 예를 들어, 단말기는 GPS모듈을 활용하면, GPS 위성에서 보내는 신호를 이용하여 단말기의 위치를 획득할 수 있다.
입력부(120)는 영상 신호 입력을 위한 카메라(Camera, 121), 오디오 신호를 수신하기 위한 마이크로폰(Microphone, 122), 사용자로부터 정보를 입력 받기 위한 사용자 입력부(User Input Unit, 123)를 포함할 수 있다.
입력부(120)에서 수집한 음성 데이터나 이미지 데이터는 분석되어 사용자의 제어 명령으로 처리될 수 있다.
입력부(120)는 영상 정보(또는 신호), 오디오 정보(또는 신호), 데이터, 또는 사용자로부터 입력되는 정보의 입력을 위한 것으로서, 영상 정보의 입력을 위하여, 단말기(100)는 하나 또는 복수의 카메라(121)들을 구비할 수 있다.
카메라(121)는 화상 통화모드 또는 촬영 모드에서 이미지 센서에 의해 얻어지는 정지영상 또는 동영상 등의 화상 프레임을 처리한다. 처리된 화상 프레임은 디스플레이부(Display Unit, 151)에 표시되거나 메모리(170)에 저장될 수 있다.
마이크로폰(122)은 외부의 음향 신호를 전기적인 음성 데이터로 처리한다. 처리된 음성 데이터는 단말기(100)에서 수행 중인 기능(또는 실행 중인 응용 프로그램)에 따라 다양하게 활용될 수 있다. 한편, 마이크로폰(122)에는 외부의 음향 신호를 입력 받는 과정에서 발생되는 잡음(noise)을 제거하기 위한 다양한 잡음 제거 알고리즘이 구현될 수 있다.
사용자 입력부(123)는 사용자로부터 정보를 입력 받기 위한 것으로서, 사용자 입력부(123)를 통해 정보가 입력되면, 프로세서(180)는 입력된 정보에 대응되도록 단말기(100)의 동작을 제어할 수 있다.
사용자 입력부(123)는 기계식 (mechanical) 입력수단(또는, 메커니컬 키, 예를 들어, 단말기(100)의 전·후면 또는 측면에 위치하는 버튼, 돔 스위치 (dome switch), 조그 휠, 조그 스위치 등) 및 터치식 입력수단을 포함할 수 있다. 일 예로서, 터치식 입력수단은, 소프트웨어적인 처리를 통해 터치스크린에 표시되는 가상 키(virtual key), 소프트 키(soft key) 또는 비주얼 키(visual key)로 이루어지거나, 상기 터치스크린 이외의 부분에 배치되는 터치 키(touch key)로 이루어질 수 있다.
러닝 프로세서(130)는 데이터 마이닝, 데이터 분석, 지능형 의사 결정 및 기계 학습 알고리즘을 위해 이용될 정보를 수신, 분류, 저장 및 출력하도록 구성될 수 있다.
러닝 프로세서(130)는 단말기에 의해 수신, 검출, 감지 또는 생성된 데이터, 또는 다른 컴포넌트, 디바이스, 단말기 또는 단말기와 통신하는 장치에 의해 출력되는 데이터를 저장하도록 구성된 하나 이상의 메모리 유닛을 포함할 수 있다.
러닝 프로세서(130)는 단말기에 통합되거나 구현된 메모리를 포함할 수 있다. 일부 실시 예에서, 러닝 프로세서(130)는 메모리(170)를 사용하여 구현될 수 있다.
선택적으로 또는 부가적으로, 러닝 프로세서(130)는 단말기에 직접 결합된 외부 메모리 또는 단말기와 통신하는 서버에서 유지되는 메모리와 같이 단말기와 관련된 메모리를 사용하여 구현될 수 있다.
다른 실시 예에서, 러닝 프로세서(130)는 클라우드 컴퓨팅 환경에서 유지되는 메모리, 또는 네트워크와 같은 통신 방식을 통해 단말기에 의해 액세스 가능한 다른 원격 메모리 위치를 이용하여 구현될 수 있다.
러닝 프로세서(130)는 일반적으로 감독 또는 감독되지 않은 학습, 데이터 마이닝, 예측 분석 또는 다른 머신에서 사용하기 위해 데이터를 식별, 색인화, 카테고리화, 조작, 저장, 검색 및 출력하기 위해 데이터를 하나 이상의 데이터베이스에 저장하도록 구성될 수 있다.
러닝 프로세서(130)에 저장된 정보는 다양한 상이한 유형의 데이터 분석 알고리즘 및 기계 학습 알고리즘 중 임의의 것을 사용하여 프로세서(180) 또는 단말기의 하나 이상의 다른 제어기에 의해 이용될 수 있다.
이러한, 알고리즘의 예로는, k-최근 인접 시스템, 퍼지 논리 (예: 가능성 이론), 신경 회로망, 볼츠만 기계, 벡터 양자화, 펄스 신경망, 지원 벡터 기계, 최대 마진 분류기, 힐 클라이밍, 유도 논리 시스템 베이지안 네트워크, 페리트넷 (예: 유한 상태 머신, 밀리 머신, 무어 유한 상태 머신), 분류기 트리 (예: 퍼셉트론 트리, 지원 벡터 트리, 마코프 트리, 의사 결정 트리 포리스트, 임의의 포리스트), 판돈 모델 및 시스템, 인공 융합, 센서 융합, 이미지 융합, 보강 학습, 증강 현실, 패턴 인식, 자동화 된 계획 등을 포함한다.
프로세서(180)는 데이터 분석 및 기계 학습 알고리즘을 사용하여 결정되거나, 생성된 정보에 기초하여 단말기의 적어도 하나의 실행 가능한 동작을 결정 또는 예측할 수 있다. 이를 위해, 프로세서(180)는 러닝 프로세서(130)의 데이터를 요청, 검색, 수신 또는 활용할 수 있고, 상기 적어도 하나의 실행 가능한 동작 중 예측되는 동작이나, 바람직한 것으로 판단되는 동작을 실행하도록 상기 단말기를 제어할 수 있다.
프로세서(180)는 지능적 에뮬레이션(즉, 지식 기반 시스템, 추론 시스템 및 지식 획득 시스템)을 구현하는 다양한 기능을 수행할 수 있다. 이는 적응 시스템, 기계 학습 시스템, 인공 신경망 등을 포함하는, 다양한 유형의 시스템(예컨대, 퍼지 논리 시스템)에 적용될 수 있다.
프로세서(180)는, 또한 I/O 처리 모듈, 환경 조건 모듈, 음성 - 텍스트 (Speech to Text; STT) 처리 모듈, 자연어 처리 모듈, 작업 흐름 처리 모듈 및 서비스 처리 모듈과 같이, 음성 및 자연 언어 음성 처리를 수반하는 연산을 가능하게 하는 서브 모듈을 포함할 수 있다.
이들 서브 모듈들 각각은, 단말기에서의 하나 이상의 시스템 또는 데이터 및 모델, 또는 이들의 서브셋 또는 수퍼 셋에 대한 액세스를 가질 수 있다. 또한, 이들 서브 모듈들 각각은, 어휘 색인, 사용자 데이터, 작업 흐름 모델, 서비스 모델 및 자동 음성 인식 (ASR) 시스템을 비롯한 다양한 기능을 제공할 수 있다.
다른 실시 예에서, 프로세서(180) 또는 단말기의 다른 양태는 상기 서브 모듈, 시스템, 또는 데이터 및 모델로 구현될 수 있다.
일부 예에서, 러닝 프로세서(130)의 데이터에 기초하여, 프로세서(180)는 사용자 입력 또는 자연 언어 입력으로 표현된 문맥 조건 또는 사용자의 의도에 기초하여 요구 사항을 검출하고 감지하도록 구성될 수 있다.
프로세서(180)는 문맥 조건 또는 사용자의 의도에 기초하여 요구 사항을 완전히 결정하는데 필요한 정보를 능동적으로 이끌어 내고, 획득할 수 있다. 예를 들어, 프로세서(180)는 입력 기록 및 출력 기록, 패턴 매칭, 모호하지 않은 단어, 입력 의도 등을 포함하는 과거 데이터를 분석함으로써 요구 사항을 결정하는데, 필요한 정보를 능동적으로 이끌어낼 수 있다.
프로세서(180)는 문맥 조건 또는 사용자의 의도에 기초하여 요구 사항에 응답하는 기능을 실행하기 위한 태스크 흐름을 결정할 수 있다.
프로세서(180)는 러닝 프로세서(130)에서 프로세싱 및 저장을 위한 정보를 수집하기 위해, 단말기에서 하나 이상의 감지 컴포넌트를 통해 데이터 분석 및 기계 학습 작업에 사용되는 신호 또는 데이터를 수집, 감지, 추출, 검출 및/또는 수신하도록 구성될 수 있다.
정보 수집은 센서를 통해 정보를 감지하는 것, 메모리(170)에 저장된 정보를 추출하는 것 또는 통신 수단을 통해 다른 단말기, 엔티티 또는 외부 저장 장치로부터 정보를 수신하는 것을 포함할 수 있다.
프로세서(180)는 단말기에서 사용 히스토리 정보를 수집하여, 저장할 수 있다.
프로세서(180)는 저장된 사용 히스토리 정보 및 예측 모델링을 사용하여 특정 기능을 실행하기 위한 최상의 매치를 결정할 수 있다.
프로세서(180)는 센싱부(140)를 통해 주변 환경 정보 또는 기타 정보를 수신하거나 감지할 수 있다.
프로세서(180)는 무선 통신부(110)을 통해 방송 신호 및/또는 방송 관련 정보, 무선 신호, 무선 데이터를 수신할 수 있다.
프로세서(180)는 입력부(120)로부터 이미지 정보 (또는 해당 신호), 오디오 정보 (또는 해당 신호), 데이터 또는 사용자 입력 정보를 수신할 수 있다.
프로세서(180)는 정보를 실시간으로 수집하고, 정보 (예를 들어, 지식 그래프, 명령 정책, 개인화 데이터베이스, 대화 엔진 등)를 처리 또는 분류하고, 처리 된 정보를 메모리(170) 또는 러닝 프로세서(130)에 저장할 수 있다.
단말기의 동작이 데이터 분석 및 기계 학습 알고리즘 및 기술에 기초하여 결정될 때, 프로세서(180)는 결정된 동작을 실행하기 위해 단말기의 구성 요소를 제어할 수 있다. 그리고 프로세서(180)는 제어 명령에 따라 단말을 제어하여 결정된 동작을 수행할 수 있다.
프로세서(180)는 특정 동작이 수행되는 경우, 데이터 분석 및 기계 학습 알고리즘 및 기법을 통해 특정 동작의 실행을 나타내는 이력 정보를 분석하고, 분석된 정보에 기초하여 이전에 학습 한 정보의 업데이트를 수행할 수 있다.
따라서, 프로세서(180)는 러닝 프로세서(130)과 함께, 업데이트 된 정보에 기초하여 데이터 분석 및 기계 학습 알고리즘 및 기법의 미래 성능의 정확성을 향상시킬 수 있다.
센싱부(140)는 단말기 내 정보, 단말기를 둘러싼 주변 환경 정보 및 사용자 정보 중 적어도 하나를 센싱 하기 위한 하나 이상의 센서를 포함할 수 있다.
예를 들어, 센싱부(140)는 근접센서(proximity sensor), 조도 센서(illumination sensor), 터치 센서(touch sensor), 가속도 센서(acceleration sensor), 자기 센서(magnetic sensor), 중력 센서(G-sensor), 자이로스코프 센서(gyroscope sensor), 모션 센서(motion sensor), RGB 센서, 적외선 센서(IR 센서: infrared sensor), 지문인식 센서(finger scan sensor), 초음파 센서(ultrasonic sensor), 광 센서(optical sensor, 예를 들어, 카메라(121 참조)), 마이크로폰(microphone, 122 참조), 배터리 게이지(battery gauge), 환경 센서(예를 들어, 기압계, 습도계, 온도계, 방사능 감지 센서, 열 감지 센서, 가스 감지 센서 등), 화학 센서(예를 들어, 전자 코, 헬스케어 센서, 생체 인식 센서 등) 중 적어도 하나를 포함할 수 있다. 한편, 본 명세서에 개시된 단말기는, 이러한 센서들 중 적어도 둘 이상의 센서에서 센싱되는 정보들을 조합하여 활용할 수 있다.
출력부(150)는 시각, 청각 또는 촉각 등과 관련된 출력을 발생시키기 위한 것으로, 디스플레이부(Display Unit, 151), 음향 출력부(Sound Output Unit, 152), 햅팁 모듈(Haptic Module, 153), 광 출력부(Optical Output Unit, 154) 중 적어도 하나를 포함할 수 있다.
디스플레이부(151)는 단말기(100)에서 처리되는 정보를 표시(출력)한다. 예를 들어, 디스플레이부(151)는 단말기(100)에서 구동되는 응용 프로그램의 실행화면 정보, 또는 이러한 실행화면 정보에 따른 UI(User Interface), GUI(Graphic User Interface) 정보를 표시할 수 있다.
디스플레이부(151)는 터치 센서와 상호 레이어 구조를 이루거나 일체형으로 형성됨으로써, 터치 스크린을 구현할 수 있다. 이러한 터치 스크린은, 단말기(100)와 사용자 사이의 입력 인터페이스를 제공하는 사용자 입력부(123)로써 기능함과 동시에, 단말기(100)와 사용자 사이의 출력 인터페이스를 제공할 수 있다.
음향 출력부(152)는 호신호 수신, 통화모드 또는 녹음 모드, 음성인식 모드, 방송수신 모드 등에서 무선 통신부(110)로부터 수신되거나 메모리(170)에 저장된 오디오 데이터를 출력할 수 있다.
음향 출력부(152)는 리시버(receiver), 스피커(speaker), 버저(buzzer) 중 적어도 하나 이상을 포함할 수 있다.
햅틱 모듈(haptic module)(153)은 사용자가 느낄 수 있는 다양한 촉각 효과를 발생시킨다. 햅틱 모듈(153)이 발생시키는 촉각 효과의 대표적인 예로는 진동이 될 수 있다.
광출력부(154)는 단말기(100)의 광원의 빛을 이용하여 이벤트 발생을 알리기 위한 신호를 출력한다. 단말기(100)에서 발생 되는 이벤트의 예로는 메시지 수신, 호 신호 수신, 부재중 전화, 알람, 일정 알림, 이메일 수신, 애플리케이션을 통한 정보 수신 등이 될 수 있다.
인터페이스부(160)는 단말기(100)에 연결되는 다양한 종류의 외부 기기와의 통로 역할을 수행한다. 이러한 인터페이스부(160)는, 유/무선 헤드셋 포트(port), 외부 충전기 포트(port), 유/무선 데이터 포트(port), 메모리 카드(memory card) 포트, 식별 모듈이 구비된 장치를 연결하는 포트(port), 오디오 I/O(Input/Output) 포트(port), 비디오 I/O(Input/Output) 포트(port), 이어폰 포트(port)중 적어도 하나를 포함할 수 있다. 단말기(100)에서는, 상기 인터페이스부(160)에 외부 기기가 연결되는 것에 대응하여, 연결된 외부 기기와 관련된 적절할 제어를 수행할 수 있다.
한편, 식별 모듈은 단말기(100)의 사용 권한을 인증하기 위한 각종 정보를 저장한 칩으로서, 사용자 인증 모듈(user identify module; UIM), 가입자 인증 모듈(subscriber identity module; SIM), 범용 사용자 인증 모듈(universal subscriber identity module; USIM) 등을 포함할 수 있다. 식별 모듈이 구비된 장치(이하 '식별 장치')는, 스마트 카드(smart card) 형식으로 제작될 수 있다. 따라서 식별 장치는 상기 인터페이스부(160)를 통하여 단말기(100)와 연결될 수 있다.
메모리(170)는 단말기(100)의 다양한 기능을 지원하는 데이터를 저장한다.
메모리(170)는 단말기(100)에서 구동되는 다수의 응용 프로그램(application program 또는 애플리케이션(application)), 단말기(100)의 동작을 위한 데이터들, 명령어들을, 러닝 프로세서(130)의 동작을 위한 데이터들(예를 들어, 머신 러닝을 위한 적어도 하나의 알고리즘 정보 등)을 저장할 수 있다.
프로세서(180)는 상기 응용 프로그램과 관련된 동작 외에도, 통상적으로 단말기(100)의 전반적인 동작을 제어한다. 프로세서(180)는 위에서 살펴본 구성요소들을 통해 입력 또는 출력되는 신호, 데이터, 정보 등을 처리하거나 메모리(170)에 저장된 응용 프로그램을 구동함으로써, 사용자에게 적절한 정보 또는 기능을 제공 또는 처리할 수 있다.
또한, 프로세서(180)는 메모리(170)에 저장된 응용 프로그램을 구동하기 위하여, 도 2와 함께 살펴본 구성 요소들 중 적어도 일부를 제어할 수 있다. 나아가, 프로세서(180)는 상기 응용프로그램의 구동을 위하여, 단말기(100)에 포함된 구성 요소들 중 적어도 둘 이상을 서로 조합하여 동작시킬 수 있다.
전원공급부(190)는 프로세서(180)의 제어 하에서, 외부의 전원, 내부의 전원을 인가 받아 단말기(100)에 포함된 각 구성요소들에 전원을 공급한다. 이러한 전원공급부(190)는 배터리를 포함하며, 상기 배터리는 내장형 배터리 또는 교체 가능한 형태의 배터리가 될 수 있다.
한편, 앞서 살펴본 것과 같이, 프로세서(180)는 응용 프로그램과 관련된 동작과, 통상적으로 단말기(100)의 전반적인 동작을 제어한다. 예를 들어, 프로세서(180)는 상기 단말기의 상태가 설정된 조건을 만족하면, 애플리케이션들에 대한 사용자의 제어 명령의 입력을 제한하는 잠금 상태를 실행하거나, 해제할 수 있다.
도 3은 본 발명의 일 실시 예에 따른 노이즈 캔슬링 장치(200)의 구성을 나타낸 블록도이다.
도 3을 참조하면, 노이즈 캔슬링 장치(200)는 통신부(Communication Unit, 210), 입력부(Input Unit, 220), 메모리(Memory, 230), 러닝 프로세서(Learning Processor, 240) 및 전원 공급부(Power Supply Unit, 250) 등을 포함할 수 있다.
통신부(210)는 도 2의 무선 통신부(110) 및 인터페이스부(160)을 포괄하는 구성이다. 즉, 유무선 통신이나 인터페이스를 통하여 다른 장치와 데이터를 송수신할 수 있다.
입력부(220)는 도 2의 입력부(120)에 대응되는 구성이며, 통신부(210)를 통하여 데이터를 수신함으로써 데이터를 획득할 수도 있다.
메모리(230)는 도 2의 메모리(170)에 대응되는 구성이다.
러닝 프로세서(240)는 도 2의 러닝 프로세서(130)에 대응되는 구성이다.
전원 공급부(250)는 도 2의 전원 공급부(190)에 대응되는 구성이다.
서로 대응되는 구성에 대한 중복되는 설명은 생략한다.
도 4는 본 발명의 일 실시 예에 따른 노이즈 캔슬링 방법을 나타낸 동작 흐름도이다.
본 발명의 노이즈 캔슬링 방법은 실시 예에 따라 사용자 단말기(100) 또는 노이즈 캔슬링 장치(200) 각각에서 수행될 수 있다.
즉, 본 발명의 일 실시 예에 따른 노이즈 캔슬링 방법은 사용자 단말기(100)에서 단독으로 수행될 수도 있고, 노이즈 캔슬링 장치(200)에서 단독으로 수행될 수도 있다. 또는, 사용자 단말기(100)와 노이즈 캔슬링 장치(200)에서 함께 수행될 수 있다.
이하에서는, 노이즈 캔슬링 장치(200)에서 수행되는 것을 기준으로 노이즈 캔슬링 방법을 설명하지만, 본 발명이 이에 한정되는 것은 아니다.
특히, 단말기(100)와 노이즈 캔슬링 장치(200)가 함께 연루되어 노이즈 캔슬링 방법을 수행하는 경우의 예시는 도 10 및 11에서 소개한다.
도 4를 참조하면, 노이즈 캔슬링 장치(200)의 입력부(220)는 노이즈 캔슬링 모델(Noise Canceling Model)의 학습을 위한레퍼런스 음성 신호(Reference Voice Signal)을 수신한다(S401).
레퍼런스 음성 신호는 딥 러닝 알고리즘 또는 머신 러닝 알고리즘을 이용하여 노이즈 캔슬링 모델을 학습하는데 입력 데이터로 이용되며, 잡음이 기설정된 수준 미만으로 포함된 음성 신호이다. 즉, 레퍼런스 음성 신호는 학습용 깨끗한 음성 신호이다.
이때, 입력부(220)는 레퍼런스 음성 신호를 사용자로부터 입력 받거나, 다른 장치(예컨대, 사용자 단말기 혹은 음성 서버)로부터 수신하거나, 혹은 메모리(230)에 저장된 레퍼런스 음성 신호를 수신할 수 있다.
노이즈 캔슬링 장치(200)의 프로세서(260)는레퍼런스 음성 신호를 이용하여 노이즈 캔슬링 모델을 학습(train)한다(S403).
프로세서(260)는 복수의 레퍼런스 음성 신호들을 이용하여 노이즈 캔슬링 모델을 학습하며, 학습 과정에서 동일한 레퍼런스 음성 신호들을 여러 번 사용할 수도 있다.
노이즈 캔슬링 모델은 기계 학습 알고리즘 또는 딥 러닝 알고리즘을 이용하여 학습된 심층 신경망(Deep Neural Network; DNN) 모델일 수 있다.
도 5에 대한 설명에서 구체적인 노이즈 캔슬링 모델의 학습 방법을 설명한다.
노이즈 캔슬링 장치(200)의 입력부(220)는 노이즈 캔슬링의 대상이 되는입력 음성 신호(Input Voice Signal)을 수신한다(S405).
입력 음성 신호에는 노이즈와 음성이 포함될 수 있다.
입력부(220)는 입력 음성 신호를 사용자로부터 입력 받거나, 다른 장치로부터 수신할 수 있다.
예컨대, 입력부(220)는 사용자 단말기(100)에 구비된 마이크(122)를 통하여 획득한 사용자의 음성에 상응하는 입력 음성 신호를 통신부(210)를 통하여 수신할 수 있다.
입력부(220)는 노이즈 캔슬링 장치(200)에 구비된 마이크(미도시)를 통하여 사용자의 음성에 상응하는 입력 음성 신호를 획득할 수 있다.
입력부(220)는 미리 설정된 사용자 호출어 혹은 기동어의 인식을 통하여 사용자의 음성에 상응하는 입력 음성 신호를 획득할 수 있다.
예컨대, 미리 설정된 호출어가 "하이 엘지"인 경우, 사용자가 "하이 엘지"라고 발화하면 입력부(220)는 "하이 엘지"라는 음성에 상응하는 호출어 음성 신호를 획득하고, 프로세서(260)는 상기 호출어 음성 신호를 분석하여 음성 인식 및 노이즈 캔슬링 기능의 기동을 시작할 수 있다. 그리고, 음성 인식 및 노이즈 캔슬링 기능이 기동되면, 입력부(220)는 사용자의 음성에 상응하는 입력 음성 신호를 획득할 수 있다.
노이즈 캔슬링 장치(200)의 프로세서(260)는노이즈 캔슬링 모델을 기반으로 입력 음성 신호에서 노이즈를 제거하여 제1 음성 신호(First Voice Signal)를 생성한다(S407).
즉, 기계 학습 알고리즘 또는 딥 러닝 알고리즘을 이용하여 학습된 노이즈 캔슬링 모델을 이용하여 입력 음성 신호에 대해서 1차적으로 노이즈를 제거한다.
기계 학습 또는 딥 러닝을 이용한 잡음 제거 방식은 음성과 비슷한 형태의 잡음원에 대한 노이즈 제거 성능이 뛰어나지만, 차량 잡음과 같이 저주파 대역의 신호가 강한 노이즈의 경우에 제거가 상대적으로 잘 되지 않는 특징이 있다.
따라서, 입력 음성 신호에 대하여 기계 학습 또는 딥 러닝을 이용하여 학습한 노이즈 캔슬링 모델을 기반으로 1차적으로 음성과 비슷한 형태의 잡음원을 중점적으로 제거한다. 그리고, 잔여 노이즈는 다른 기법을 이용하여 제거한다.
노이즈 캔슬링 장치(200)의 프로세서(260)는통계적 분석(Statistical Analysis)을 기반으로 제1 음성 신호에서 잔여 노이즈(Residual Noise)를 제거하여 제2 음성 신호(Second Voice Signal)를 생성한다(S409).
즉, 노이즈 캔슬링 모델을 통하여 제거하지 못한 노이즈에 대하여는 통계적 분석을 통하여 2차적으로 노이즈를 제거한다.
이때, 프로세서(260)는 입력 음성 신호와 제1 음성 신호를 비교하고, 그 차이 신호를 이용하여 잔여 노이즈를 제거하는 잔여 노이즈 억압(Residual Noise Suppression) 기법을 이용할 수 있다.
예컨대, 입력 음성 신호와 제1 음성 신호를 비교하여 딥 러닝 기반의 노이즈 제거 알고리즘이 노이즈를 제거한 정도를 보고, 추가적으로 노이즈를 어느 정도 제거할지를 판단하여 제거하여 제2 음성 신호를 생성할 수 있다.
저주파 대역의 신호가 강한 노이즈에 대하여는, 기계 학습 또는 딥 러닝으로 학습된 노이즈 캔슬링 모델보다는 통계적 분석을 통한 음성 존재 확률(Speech Presence Probability; SPP)을 고려한 노이즈 캔슬링 기법이 노이즈 제거 성능이 높다는 특징이 있다.
따라서, 본 발명은 1차적으로는 노이즈 캔슬링 모델을 기반으로 노이즈를 제거하고 2차적으로는 통계적 분석을 기반으로 노이즈를 제거하는, 하이브리드(Hybrid) 노이즈 제거 기법을 이용한다.
노이즈 캔슬링 장치(200)의 프로세서(260)는제2 음성 신호에 상응하는 출력 음성 신호(Output Voice Signal)를 생성한다(S411).
프로세서(260)는 제2 음성 신호에 대하여 역 푸리에 변환(Inverse Fourier Transformation) 또는 역 단기간 푸리에 변환(Inverse Short-time Fourier Transformation)을 수행하여 출력 음성 신호를 생성할 수 있다.
노이즈 캔슬링 장치(200)의 프로세서(260)는출력 음성 신호에 상응하는 출력 데이터(Output Data)를 생성한다(S413).
출력 데이터는 출력 음성 신호를 음성으로 출력하기 위한 데이터를 의미할 수도 있지만, 출력 음성 신호를 분석하여 출력 음성 신호의 의미 정보에 상응하는 응답 데이터를 음성으로 출력하기 위한 데이터일 수 있다.
예컨대, 프로세서(260)는 출력 음성 신호를 분석한 결과 출력 음성 신호의 의미 정보가 '현재 날씨'인 경우, 그 응답으로 현재 날씨 정보를 출력 데이터로 생성할 수 있다.
만약, 단말기(100)로부터 입력 출력 데이터를 수신한 경우에는, 생성된 출력 데이터를 단말기(100)에 전송하고, 단말기(100)는 수신한 출력 데이터를 출력할 수 있다.
본 발명에서 제안하는 하이브리드 노이즈 제거 기법은 두 가지의 노이즈 제거 기법을 함께 이용하며, 이를 통해 두 기법의 장점을 모두 살려 높은 정확도로 입력 음성 신호에서 노이즈를 제거할 수 있다.
도 5는 도 4에 도시된 노이즈 캔슬링 모델을 학습하는 단계(S403)의 일 예를 나타낸 동작 흐름도이다.
도 5를 참조하면, 노이즈 캔슬링 장치(200)의 프로세서(260)는레퍼런스 음성 신호에서 입력 특징 벡터(Input Feature Vector)를 추출한다(S501).
추출된 입력 특징 벡터는 노이즈 캔슬링 모델을 학습하는데 이용된다.
이때, 입력 특징 벡터는 로그 파워 스펙트럼(Log-Power Spectrum; LPS)일 수 있다.
이때, 프로세서(260)는 레퍼런스 음성 신호에 대하여 전처리(Pre-Process) 과정으로 윈도잉(Windowing) 및 푸리에 변환(Fourier Transformation)/단시간 푸리에 변환(Short-time Fourier Transform)을 수행한 이후에 입력 특징 벡터를 추출할 수 있다.
시간 영역의 레퍼런스 음성 신호는 푸리에 변환 또는 단시간 푸리에 변환을 통하여 주파수 영역으로 변환될 수 있다.
하기 [수학식 1]은 시간 영역의 레퍼런스 음성 신호를 단시간 푸리에 변환을 통한 레퍼런스 음성 신호를 주파수 영역으로 변환하는 수학식이다. k는 주파수 빈 인덱스(Frequency Bin Index), M은 윈도우 길이(Window Length), h(m)은 윈도우 함수(Window Function), f는 주파수 도메인을 의미한다.
Figure 112018131103170-pat00001
주파수 영역의 레퍼런스 음성 신호는 하기 [수학식 2]를 이용하여 로그 파워 스펙트럼으로 변환될 수 있고, 이를 통해 입력 특징 벡터를 추출할 수 있다. K=M/2+1이고, l은 로그 파워 스펙트럼 도메인을 의미한다.
Figure 112018131103170-pat00002
하기 [수학식 3]은 입력 음성 신호의 페이즈(Phase) 특징 벡터를 나타내는 수학식이다. p는 페이즈 도메인을 의미한다.
Figure 112018131103170-pat00003
이때, 프로세서(260)는 추출한 입력 특징 벡터를 정규화(Normalize)할 수 있다.
노이즈 캔슬링 장치(200)의 프로세서(260)는레퍼런스 음성 신호에서 대상 특징 벡터(Target Feature Vector)를 추출한다(S503).
추출된 대상 특징 벡터는 노이즈 캔슬링 모델을 학습하는데 이용된다.
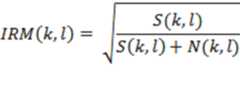
이때, 대상 특징 벡터는 로그 파워 스펙트럼 또는 대상 특징 벡터는 아이디얼 래시오 마스크(Ideal Ratio Mask; IRM)일 수 있다.
IRM은 하기 [수학식 4]를 이용하여 계산할 수 있다. S(k, l)은 깨끗한 신호(Clean Signal), N(k, l)은 노이즈 시그널을 의미한다.
Figure 112018131103170-pat00004
이때, 노이즈 캔슬링 장치(200)의 프로세서(260)는 추출한 대상 특징 벡터를 정규화할 수 있다.
노이즈 캔슬링 장치(200)의 프로세서(260)는추출한 입력 특징 벡터 및 대상 특징 벡터를 이용하여 심층 신경망(Deep Neural Network; DNN) 모델로서 노이즈 캔슬링 모델을 학습한다(S505).
만약, 입력 특징 벡터와 대상 특징 벡터가 모두 로그 파워 스펙트럼인 경우, 딥 러닝으로 학습된 노이즈 캔슬링 모델이 스펙트럼 추정을 잘 하지 못하였을 때 음성에 심한 왜곡이 발생할 수 있다.
특히, 신호 대 잡음비(Signal to Noise Ratio; SNR)가 낮은 환경에서는 스펙트럼 추정이 어려우며 스펙트럼이 스무딩(smoothing)되어 추정되는 현상이 있어, 음성의 왜곡이 상대적으로 심하다.
따라서, 입력 특징 벡터와 대상 특징 벡터를 모두 로그 파워 스펙트럼으로 이용하는 심층 신경망 모델은 음성 인식기의 전처리 과정에서 사용하기에 효과적이지 않을 수 있다.
만약, 입력 특징 벡터가 로그 파워 스펙트럼이고 대상 특징 벡터가 IRM인 경우, 입력 음성 신호에 대해서 딥 러닝으로 학습된 노이즈 캔슬링 모델을 이용하여 IRM을 추정하고, 추정된 IRM을 입력 음성 신호에 곱해줌으로써 로그 파워 스펙트럼을 간접적으로 추정할 수 있다.
상기한 단계들(S501, S503 및 S505)은 노이즈 캔슬링 장치(200)의 프로세서(260)가 러닝 프로세서(240)를 이용하여 수행할 수 있다.
프로세서(260)가 러닝 프로세서(240)를 이용한다는 것은, 러닝 프로세서(240)의 연산 리소스를 사용하여 분산 처리 또는 병렬 처리를 하는 것을 의미할 수도 있고, 러닝 프로세서(240)를 제어하는 것을 의미할 수도 있다.
도 6은 본 발명의 일 실시 예에서의 노이즈 캔슬링 모델의 구조를 나타낸 도면이다.
도 6을 참조하면, 본 발명의 일 실시 예에서의 노이즈 캔슬링 모델은 심층 신경망으로 구성될 수 있다.
이때, 노이즈 캔슬링 모델은 단일한 입력 레이어(Input Layer; 610), 복수의 은닉 레이어(Hidden Layer; 620, 630 및 640) 및 단일한 출력 레이어(Output Layer; 650)를 포함할 수 있다.
입력 레이어(610)는 입력 데이터로써 추출된 입력 특징 벡터를 사용할 수 있다. 입력 특징 벡터는 정규화된 것일 수 있다.
각 은닉 레이어는 복수의 은닉 노드(Hidden Node)를 포함한다.
각 은닉 레이어는 활성 함수(Activation Function)로 ReLU(Rectified Linear Unit)를 사용할 수 있다.
출력 레이어는 활성 함수로 시그모이드(Sigmoid)를 사용할 수 있다.
본 발명의 일 실시 예에서, 입력 레이어(610)는 입력 데이터로써 레퍼런스 음성 신호에 상응하는 정규화된 로그 파워 스펙트럼을 이용할 수 있다. 그리고, 출력 레이어(650)는 IRM을 출력할 수 있다.
예컨대, 노이즈 캔슬링 모델은 3개의 은닉 레이어를 포함하고, 각 은닉 레이어는 512개의 은닉 노드를 포함할 수 있다. 여러 실시 예에서, 은닉 레이어의 숫자와 각 은닉 레이어에 포함된 은닉 노드의 숫자는 다양하게 구성할 수 있으며, 본 발명은 은닉 레이어나 은닉 노드의 숫자를 한정하지 않는다.
기계 학습 또는 딥 러닝 알고리즘에 의한 노이즈 캔슬링 모델의 학습은 하기 [수학식 5]를 이용하여 이루어질 수 있다. E는 노이즈 캔슬링 모델에서 사용하는 손실 함수(Loss Function), N은 학습의 미니 배치 크기(Mini-Batch Size), D는 특징 벡터의 차원(Dimension), X는 대상 특징 벡터,
Figure 112018131103170-pat00005
는 노이즈 캔슬링 모델에서 추정한 추정 대상 특징 벡터이다.
Figure 112018131103170-pat00006
구체적으로, 손실 함수 E는 노이즈 캔슬링 모델에서 추정한 결과(추정 대상 특징 벡터)와 레퍼런스 음성 신호에서 추출한 대상 특징 벡터에 대한 평균 제곱 오차(Mean Square Error; MSE)이다.
노이즈 캔슬링 모델은 상기 [수학식 5]의 E를 최소화하도록 학습된다.
하기 [수학식 6]은 노이즈 캔슬링 모델의 손실 함수 E를 최소화하도록 학습하는데 이용되는 경사 하강법(Gradient Descent)에서 이용된다. l은 학습 대상이 되는 은닉 레이어, L은 은닉 레이어 개수, k는 학습 횟수, W는 노이즈 캔슬링 모델에서의 노드 사이의 가중치(Weight), b는 노이즈 캔슬링 모델에서 노드 사이의 편향(Bias), λ는 학습률(Learning Rate)이다.
Figure 112018131103170-pat00007
가중치 W와 편향 b는, 상기 [수학식 6]을 통하여 노이즈 캔슬링 모델의 손실 함수 E를 가중치 W와 편향 b로 편미분하여 손실 함수 E를 최소화하는 방향으로 갱신된다.
노이즈 캔슬링 모델에서 IRM의 추론(Inference)은 하기 [수학식 7]과 같이 이루어질 수 있다. W(l)과 b(l)은 각각 l번째 은닉 레이어와 (l-1)번째 은닉 레이어 사이의 가중치와 편향이고, φ(l)은 l번째 은닉 레이어의 활성 함수이다.
Figure 112018131103170-pat00008
도 7은 입력 음성 신호에 상응하는 제1 음성 신호 및 제2 음성 신호를 생성하는 과정을 나타낸 도면이다.
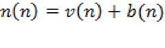
도 7을 참조하면, 노이즈는 크게 두 종류로 나눌 수 있는데 정상(Stationary) 노이즈(())와 비정상(Non-Stationary) 노이즈(())이다.
정상 노이즈는 자동차, 에어컨, 청소기 등과 같이 노이즈의 파워가 시간에 따라 크게 변하지 않고 예측이 쉬운 형태의 잡음이며, 비정상 노이즈는 사람의 말소리, 음악, TV 소리와 같이 노이즈의 파워가 시간에 따라 크게 변하고 예측이 어려운 형태의 잡음이다.
잡음이 섞이지 않은 음성 신호는 s(n)이며, 입력 음성 신호는 x(n)이다.
하기 [수학식 8]은 음성 신호 s(n)과 함께 입력되는 노이즈 n(n)을 나타내며, 하기 [수학식 9]는 입력 음성 신호 x(n)을 나타낸다.
Figure 112018131103170-pat00009
Figure 112018131103170-pat00010
입력 음성 신호 x(n)에 대하여 딥 러닝으로 학습된 노이즈 캔슬링 모델을 기반으로 노이즈를 제거(710)하여 제1 음성 신호 y(n)을 생성한다. 즉, 제1 음성 신호 y(n)은 입력 음성 신호에서 1차적으로 노이즈를 제거하여 생성된 음성 신호이다.
예컨대, 하기 [수학식 10]과 같이 제1 음성 신호 y(n)에는 정상 노이즈 v(n)이 충분히 제거 되었다고 기대할 수 있다.
Figure 112018131103170-pat00011
그리고, 제1 음성 신호 y(n)에 대하여 통계적 분석을 기반으로 잔여 노이즈를 제거(720)하여 제2 음성 신호
Figure 112018131103170-pat00012
을 생성한다. 즉, 제2 음성 신호
Figure 112018131103170-pat00013
은 제1 음성 신호에서 2차적으로 노이즈를 제거하여 생성된 음성 신호이다.
예컨대, 잔여 노이즈의 제거 단계(720)는 1차 노이즈 제거로 생성된 제1 음성 신호 y(n)에 정상 노이즈 v(b)이 충분히 제거 되었으므로, 비정상 노이즈에 대하여만 고려할 수 있다.
1차 노이즈 제거 단계(710)에서도 일부 비정상 노이즈가 제거되었을 수 있으므로, 잔여 노이즈 제거 단계(720)에서 잔여 비정상 노이즈의 크기를 고려하여 얼마나 노이즈를 제거할 것인지 결정할 수 있다.
예컨대, 하기 [수학식 11]과 같이 제2 음성 신호
Figure 112018131103170-pat00014
에는 비정상 잡음 b(n)이 충분히 제거 되었다고 기대할 수 있다.
Figure 112018131103170-pat00015
도 8은 도 4에 도시된 제1 음성 신호를 생성하는 단계(S407)의 일 예를 나타낸 동작 흐름도이다.
구체적으로, 제1 음성 신호를 생성하는 단계(S407)는 기계 학습 또는 딥 러닝에 기반하여 학습된 노이즈 캔슬링 모델을 이용하여 입력 음성 신호에서 노이즈를 제거하는 1차 노이즈 제거 단계를 의미한다.
도 8을 참조하면, 노이즈 캔슬링 장치(200)의 프로세서(260)는입력 음성 신호로부터 입력 특징 벡터를 추출한다(S801).
프로세서(260)는 입력 음성 신호로부터 입력 특징 벡터로써 로그 파워 스펙트럼을 추출할 수 있다.
이때, 프로세서(260)는 입력 음성 신호에 대하여 전처리 과정으로 윈도잉 및 푸리에 변환을 수행한 이후에 입력 특징 벡터를 추출할 수 있다.
노이즈 캔슬링 장치(200)의 프로세서(260)는학습된(Trained) 노이즈 캔슬링 모델을 기반으로 입력 음성 신호에 상응하는 대상 특징 벡터를 획득한다(S803).
입력 음성 신호에 상응하는 대상 특징 벡터는 입력 음성 신호에서 추출한 입력 특징 벡터를 상기 학습된 노이즈 캔슬링 모델의 입력 레이어에 입력시키면 출력 레이어에서 획득할 수 있다.
노이즈 캔슬링 장치(200)의 프로세서(260)는최소 대상 값(Minimum Target Value)를 설정함으로써 획득한 대상 특징 벡터를 수정한다(S805).
대상 값(Target Value)는 대상 특징 벡터를 구성하는 개별 값이며, 출력 레이어에 포함된 출력 노드의 값을 의미한다.
이때, 프로세서(260)는 기설정된 기준값을 최소 대상 값으로 설정할 수 있다.
즉, 프로세서(260)는 기설정된 기준값보다 작은 대상 값들을 기준값으로 변경함으로써 대상 특징 벡터를 수정할 수 있다.
예컨대, 입력 음성 신호에 상응하는 대상 특징 벡터가 (0.12, 0.33, 0.89, 0.25)이고, 기설정된 기준값이 0.2인 경우라면, 프로세서(260)는 대상 특징 벡터를 (0.2, 0.33, 0.89, 0.25)로 수정할 수 있다.
기준값을 최소 대상 값을 설정함에 따라, 대상 값(출력 노드의 값)에 대응되는 IRM의 범위가 [0, 1]에서, [(기준값), 1]으로 수정된다. 그리고, 수정된 대상 값들로 대상 특징 벡터를 구성하여 수정된 대상 특징 벡터를 획득할 수 있다.
노이즈 캔슬링 장치(200)의 프로세서(260)는수정된 대상 특징 벡터에 기반하여 제1 음성 신호를 생성한다(S807).
만약, 수정된 대상 특징 벡터가 로그 파워 스펙트럼에 상응하는 것이라면, 프로세서(260)는 수정된 대상 특징 벡터에 상응하는 로그 파워 스펙트럼을 획득하고, 획득한 로그 파워 스펙트럼에 상응하는 음성 신호를 제1 음성 신호로써 생성할 수 있다.
만약, 수정된 대상 특징 벡터가 IRM에 상응하는 것이라면, 프로세서(260)는 수정된 대상 특징 벡터로부터 획득한 IRM을 입력 음성 신호에 곱하여 로그 파워 스펙트럼을 획득하고, 획득한 로그 파워 스펙트럼에 상응하는 음성 신호를 제1 음성 신호로써 생성할 수 있다.
하기 [수학식 12]는 수정된 대상 특징 벡터로서 수정된 IRM을 이용하여 입력 음성 신호에서 노이즈를 제거한 제1 음성 신호를 생성하는데 이용된다. X(k, l)은 입력 음성 신호, Y(k, l)은 제1 음성 신호,
Figure 112018131103170-pat00016
Figure 112018131103170-pat00017
에 대하여 최소 게인(Minimum Gain) 또는 최소 대상 값을 설정하여 수정한 대상 특징 벡터이다.
Figure 112018131103170-pat00018
즉, 프로세서(260)는 최소 대상 값 또는 최소 게인을 반영한 수정된 IRM을 입력 음성 신호에 곱하여 제1 음성 신호를 생성할 수 있다.
프로세서(260)는 노이즈 캔슬링 모델을 통해 추정된 IRM에 대하여 보정을 수행하여 노이즈 캔슬링 모델이 IRM을 부적절하게 추정하더라도 그 왜곡을 최소화할 수 있다.
본 발명에서는 최소 게인을 도입하여 입력 음성 신호의 각 주파수 빈에 0 또는 매우 작은 값이 곱해지는 것을 방지하고, 이를 통해 노이즈 캔슬링 모델이 노이즈 제거의 추정에 실패하는 경우라도 생성하는 제1 음성 신호의 왜곡을 최소화할 수 있다.
상기한 단계들(S801, S803, S805 및 S807)은 노이즈 캔슬링 장치(200)의 프로세서(260)가 러닝 프로세서(240)를 이용하여 수행할 수 있다.
또한, 상기한 단계들(S801, S803, S805 및 S807)은 단말기(100)에서 수행될 수 있다.
예컨대, 단말기(100)는 노이즈 캔슬링 장치(200)에서 학습된 노이즈 캔슬링 모델을 수신하고, 상기 노이즈 캔슬링 모델을 이용하여 입력 음성 신호로부터 노이즈를 제거하여 제1 음성 신호를 생성할 수 있다.
도 9는 도 4에 도시된 제2 음성 신호를 생성하는 단계(S409)의 일 예를 나타낸 동작 흐름도이다.
구체적으로, 제2 음성 신호를 생성하는 단계(S409)는 통계적 분석에 기반하여 제1 음성 신호에서 잔여 노이즈를 제거하는 2차 노이즈 제거 단계를 의미한다.
도 9를 참조하면, 노이즈 캔슬링 장치(200)의 프로세서(260)는제1 음성 신호에 상응하는 잔여 음성 신호(Residual Voice Signal) 또는 차이 음성 신호(Difference Voice Signal)를 생성한다(S901).
잔여 음성 신호 또는 차이 음성 신호는 입력 음성 신호에서 제1 음성 신호를 뺀 신호일 수 있다.
잔여 음성 신호 또는 차이 음성 신호는 입력 음성 신호와 제1 음성 신호의 차이 신호일 수 있다.
예컨대, 입력 음성 신호의 파워 스펙트럼 φXX는 하기 [수학식 13]과 같이 정의하고, 제1 음성 신호의 파워 스펙트럼 φYY는 하기 [수학식 14]와 같이 정의할 수 있다. BR은 잔여 비정상 노이즈을 의미한다.
Figure 112018131103170-pat00019
Figure 112018131103170-pat00020
잔여 비정상 노이즈 BR은 하기 [수학식 15]와 같이 표현할 수 있고, gB(k, l)은 노이즈 캔슬링 모델에서 획득한 비정상 노이즈에 대한 IRM이고, B(k, l)은 입력 음성 신호에 포함된 비정상 노이즈 신호를 의미한다.
Figure 112018131103170-pat00021
예컨대, 차이 음성 신호가 입력 음성 신호에서 제1 음성 신호를 뺀 신호일 경우에는, 차이 음성 신호의 파워 스펙트럼 밀도는 하기 [수학식 16]와 같이 정의할 수 있다.
Figure 112018131103170-pat00022
노이즈 캔슬링 장치(200)의 프로세서(260)는잔여 음성 신호 또는 차이 음성 신호에 상응하는 파워 스펙트럼 비율을 계산한다(S903).
입력 음성 신호와 차이 음성 신호의 파워 스펙트럼 비율 γ은 하기 [수학식 17] 내지 [수학식 19]과 같이 정의할 수 있다.
Figure 112018131103170-pat00023
Figure 112018131103170-pat00024
Figure 112018131103170-pat00025
노이즈 캔슬링 장치(200)의 프로세서(260)는파워 스펙트럼 비율을 기반으로 음성 존재 확률(Speech Presence Probability)을 추정한다(S905).
본 발명에서 추정하는 음성 존재 확률(SPP)은 종래 기술에서의 음성 존재 확률에 대하여 추가적인 수정을 가하여 재정의한 음성 존재 확률이다.
예컨대, 노이즈 없는 음성 신호 s(n)과 비정상 노이즈 b(n)의 상태를 하기 [수학식 20] 내지 [수학식 22]로 구분할 수 있다.
Figure 112018131103170-pat00026
Figure 112018131103170-pat00027
Figure 112018131103170-pat00028
프로세서(260)는 음성의 왜곡을 최소화하면서 잔여 노이즈를 제거하기 위해 노이즈의 상태를 3가지(음성의 파워가 비정상 노이즈보다 큰 경우, 비슷한 경우, 작은 경우)로 분류하고, 각 상황에 맞게 음성의 존재 확률을 추정할 수 있다.
예컨대, 종래 기술에서의 음성 존재 확률을 하기 [수학식 23]와 같이 재정의할 수 있다. α와 β는 음성 존재 확률을 재정의할 때 음성 존재 확률의 강도를 조절하는데 이용하는 파라미터로, 실험이나 학습을 통하여 최적의 값 또는 최선의 값으로 선택될 수 있다.
Figure 112018131103170-pat00029
이렇게 추정한 음성 존재 확률을 통해 잔여 노이즈의 파워 스펙트럼 밀도를 보다 정확하게 추정할 수 있다.
노이즈 캔슬링 장치(200)의 프로세서(260)는추정한 음성 존재 확률(Estimated Voice Presence Probability)을 기반으로 제1 음성 신호에서 잔여 노이즈를 제거하여 제2 음성 신호를 생성한다(S907).
예컨대, 프로세서(260)는 추정한 음성 존재 확률을 기반으로 OMLSA(optimally modified log spectral amplitude) 게인(gain)을 추정하고, 이를 이용하여 제1 음성 신호로부터 제2 음성 신호를 생성할 수 있다.
상기한 단계들(S901, S903, S905 및 S907)은 노이즈 캔슬링 장치(200)의 프로세서(260)가 러닝 프로세서(240)를 이용하여 수행할 수 있다.
또한, 상기한 단계들(S901, S903, S905 및 S907)은 단말기(100)에서 수행될 수 있다.
예컨대, 단말기(100)는 제1 음성 신호에서 잔여 노이즈를 제거하여 제2 음성 신호를 생성할 수 있다.
도 10은 본 발명의 일 실시 예에 따른 노이즈 캔슬링 방법을 나타낸 블록도이다.
도 10을 참조하면, 노이즈 캔슬링 방법은 노이즈 캔슬링 모델(1032)을 학습하고, 노이즈 캔슬링 모델(1032)에 기반하여 1차적으로 노이즈를 제거하고, 통계적 분석에 기반하여 2차적으로 잔여 노이즈를 제거한다.
구체적으로, 노이즈 캔슬링 모델(1032)를 학습하기 위한 노이즈가 없거나 기설정된 기준치보다 작은 레퍼런스 음성 신호(1010)를 수신하면, 특징 벡터 추출부(1020)는 레퍼런스 음성 신호(1010)에 대하여 전 처리로서 윈도잉(1021) 및 푸리에 변환(1022)한다.
특징 벡터 추출부(1020)는 전 처리된 레퍼런스 음성 신호에 대하여 입력 특징 벡터와 출력 특징 벡터를 추출하고(1023), 추출한 입력 특징 벡터와 출력 특징 벡터에 대하여 정규화한다(1024).
학습부(1030)는 레퍼런스 음성 신호(1010)에 상응하는 입력 특징 벡터와 출력 특징 벡터를 이용하여 심층 신경망에 기반한 노이즈 캔슬링 모델을 학습한다(1031). 학습된 노이즈 캔슬링 모델(1032)는 추후 입력 음성 신호에서 노이즈를 제거하는데 이용될 수 있다.
이후, 노이즈 제거의 대상이 되는 입력 음성 신호(1040)가 입력되면, 딥 러닝 기반 노이즈 제거부(1050)는 입력 음성 신호(1040)에 대하여 입력 특징 벡터를 추출한다(1051).
비록 도시되지는 않았지만, 입력 특징 벡터를 추출하기 이전에 입력 음성 신호에 대한 전 처리로서 윈도잉 및 푸리에 변환 등이 수행될 수 있다.
딥 러닝 기반 노이즈 제거부(1050)는 학습된 노이즈 캔슬링 모델(1032)을 기반으로 입력 음성 신호(1040)에서 추출된 입력 특징 벡터를 이용하여 입력 음성 신호(1040)에서 1차적으로 노이즈를 제거한다(1052).
입력 음성 신호에서 1차적으로 노이즈가 제거된 산물은 제1 음성 신호이다.
통계적 분석 기반 노이즈 제거부(1060)은 통계적 분석을 기반으로 제1 음성 신호와 입력 음성 신호(1040)을 이용하여 제1 음성 신호에 포함된 잔여 노이즈를 제거한다.
제1 음성 신호에서 잔여 노이즈가 제거된 산물은 제2 음성 신호이다.
통계적 분석 기반 노이즈 제거부(1060)는 제2 음성 신호를 인코딩하여 출력 음성 신호(1070)를 생성할 수 있다.
예컨대, 제2 음성 신호의 인코딩은 역 푸리에 변환을 의미할 수 있다.
도 10에서는 제2 음성 신호의 인코딩을 통계적 분석 기반 노이즈 제거부(1060)에서 수행하는 것으로 도시하였으나, 본 발명은 이에 한정되지 아니한다. 다른 음성 처리 유닛에서 제2 음성 신호에 대하여 인코딩을 수행하여 출력 음성 신호를 생성할 수도 있다.
하기 [표 1]은 딥 러닝에만 기반한 노이즈 캔슬링 기법과 본 발명의 일 실시 예의 딥 러닝과 통계적 분석에 기반한 하이브리드 노이즈 캔슬링 기법의 노이즈 제거 성능을 비교한 실험 결과를 나타낸다. 구체적으로, 하기 [표 1]은 입력 음성 신호에 대하여 노이즈를 제거하였을 때의 문장 인식률을 비교한 것이다.
노이즈_SNR_거리_잔향딥 러닝 only딥 러닝 + 통계적 분석
Kids_SNR15_3m_0.381.00%84.00%
TV_SNR15_3m_0.377.50%81.50%
Pub_SNR1582.50%87.00%
Airconditioner_SNR070.00%72.50%
평균77.75%81.25%
다양한 노이즈, 신호 대 잡음비(SNR), 거리 및 잔향의 조건에도 불구하고, 4가지 보편적인 스마트폰의 이용 환경에서의 본 발명은 기존의 기술에 비하여 문장 인식률이 평균적으로 3.5% 향상됨을 알 수 있다.
도 11은 본 발명의 일 실시예에 따른 노이즈 캔슬링 방법을 나타낸 래더 다이어그램이다.
구체적으로, 도 11은 단말기(100)가 사용자의 음성을 입력 받고 그 결과를 출력하는 중간자 역할을 하고, 노이즈 캔슬링 장치(200)가 노이즈를 제거하기 위한 실질적인 절차를 진행하는 실시 예를 나타낸다.
노이즈 캔슬링 장치(200)는 노이즈 캔슬링 모델을 학습한다(S1101).
노이즈 캔슬링 모델의 학습은 노이즈가 일정 수준 미만으로 포함된 레퍼런스 음성 신호를 이용하여 이루어질 수 있다.
단말기(100)는 사용자의 음성에 상응하는 입력 음성 신호를 수신하고(S1103), 수신한 입력 음성 신호를 노이즈 캔슬링 장치(200)로 전송한다(S1105).
노이즈 캔슬링 장치(200)는 학습된 노이즈 캔슬링 모델에 기반하여 입력 음성 신호에서 노이즈를 제거한 제1 음성 신호를 생성하고(S1107), 통계적 분석에 기반하여 제1 음성 신호에서 잔여 노이즈를 제거한 제2 음성 신호를 생성한다(S1109).
노이즈 캔슬링 장치(200)는 제2 음성 신호에 상응하는 출력 음성 신호를 생성한다(S1011).
출력 음성 신호는 주파수 영역에서의 제2 음성 신호를 시간 영역으로 변환한 음성 신호일 수 있다.
예컨대, 노이즈 캔슬링 장치(200)는 제2 음성 신호에 대하여 역 푸리에 변환 또는 역 단기간 푸리에 변환을 수행하여 출력 음성 신호를 생성할 수 있다.
노이즈 캔슬링 장치(200) 출력 음성 신호에 상응하는 출력 데이터를 생성한다(S1013).
출력 데이터는 출력 음성 신호를 음성으로 출력하기 위한 데이터를 의미할 수도 있지만, 출력 음성 신호를 분석하여 출력 음성 신호의 의미 정보에 상응하는 응답 데이터를 음성으로 출력하기 위한 데이터일 수 있다.
예컨대, 노이즈 캔슬링 장치(200)는 출력 음성 신호를 분석한 결과 출력 음성 신호의 의미 정보가 '현재 날씨'인 경우, 그 응답으로 현재 날씨 정보를 응답 데이터로 생성할 수 있다.
노이즈 캔슬링 장치(200)는 생성한 출력 데이터를 단말기(100)에 전송한다(S1015).
도 11에 도시되지는 않았지만, 단말기(100)는 수신한 출력 데이터를 출력하여 사용자에게 제공할 수 있다.
또한, 단말기(100)는 기설정된 기동어 또는 호출어를 인식하거나 기동 및 호출 상호작용이 발생하면, 노이즈 캔슬링 절차를 시작하고 입력 음성 신호를 수신할 수 있다.
단말기(100)는 노이즈 캔슬링 절차가 시작되면 실시간으로 입력 음성 신호를 수신하면서 수신한 입력 음성 신호를 노이즈 캔슬링 장치(200)으로 전송하고, 노이즈 캔슬링 장치(200)는 연속적으로 수신한 입력 음성 신호에 대하여 노이즈를 제거하여 출력 데이터를 생성하여 단말기(100)에 전송할 수 있다.
도 12는 본 발명의 일 실시예에 따른 노이즈 캔슬링 방법을 나타낸 래더 다이어그램이다.
구체적으로, 도 12는 노이즈 캔슬링 장치(200)가 딥 러닝 알고리즘을 이용하여 노이즈 캔슬링 모델만을 학습하고 학습된 노이즈 캔슬링 모델을 단말기(100)에 제공하고, 단말기(100)가 입력 음성 신호로부터 노이즈를 제거하기 위한 실질적인 절차를 진행하는 실시 예를 나타낸다.
노이즈 캔슬링 장치(200)는 노이즈 캔슬링 모델을 학습하고(S1201), 학습된 노이즈 캔슬링 모델을 단말기(100)로 전송한다(S1203).
단말기(100)는 수신한 노이즈 캔슬링 모델을 저장하고(S1205), 사용자의 음성에 상응하는 입력 음성 신호를 수신한다(S1207).
단말기(100)는 학습된 노이즈 캔슬링 모델에 기반하여 입력 음성 신호에서 노이즈를 제거한 제1 음성 신호를 생성하고(S1209), 통계적 분석에 기반하여 제1 음성 신호에서 잔여 노이즈를 제거한 제2 음성 신호를 생성하고(S1211), 제2 음성 신호에 상응하는 출력 음성 신호를 생성한다(S1213).
단말기(100) 출력 음성 신호에 상응하는 출력 데이터를 생성한다(S1215).
도 12에 도시되지는 않았지만, 단말기(100)는 생성한 출력 데이터를 출력하여 사용자에게 제공할 수 있다.
또한, 단말기(100)는 기설정된 기동어 또는 호출어를 인식하거나 기동 및 호출 상호작용이 발생하면, 노이즈 캔슬링 절차를 시작하고 입력 음성 신호를 수신할 수 있다.
단말기(100)는 노이즈 캔슬링 절차가 시작되면 실시간으로 입력 음성 신호를 수신하면서, 연속적으로 수신한 입력 음성 신호에 대하여 노이즈를 제거하여 출력 데이터를 생성할 수 있다.
전술한 본 발명은, 프로그램이 기록된 매체에 컴퓨터가 읽을 수 있는 코드로서 구현하는 것이 가능하다. 컴퓨터가 읽을 수 있는 매체는, 컴퓨터 시스템에 의하여 읽혀질 수 있는 데이터가 저장되는 모든 종류의 기록장치를 포함한다. 컴퓨터가 읽을 수 있는 매체의 예로는, HDD(Hard Disk Drive), SSD(Solid State Disk), SDD(Silicon Disk Drive), ROM, RAM, CD-ROM, 자기 테이프, 플로피 디스크, 광 데이터 저장 장치 등이 있다. 또한, 상기 컴퓨터는 단말기의 프로세서(180)를 포함할 수도 있다.
상기와 같이 설명된 디스플레이 장치는 상기 설명된 실시 예들의 구성과 방법이 한정되게 적용될 수 있는 것이 아니라, 상기 실시 예들은 다양한 변형이 이루어질 수 있도록 각 실시 예들의 전부 또는 일부가 선택적으로 조합되어 구성될 수도 있다.

Claims (13)

  1. 노이즈 캔슬링(noise canceling) 장치에 있어서,
    노이즈 제거의 대상이 되는 입력 음성 신호를 수신하는 입력부; 및
    딥 러닝(deep learning) 알고리즘을 통해 복수의 레퍼런스 음성 신호들을 이용하여 학습된 노이즈 캔슬링 모델에 기반하여 상기 입력 음성 신호로부터 노이즈를 제거한 제1 음성 신호를 생성하고, 통계적 분석(statistical analysis)에 기반하여 상기 제1 음성 신호로부터 잔여 노이즈를 제거한 제2 음성 신호를 생성하고, 상기 제2 음성 신호에 상응하는 출력 음성 신호를 생성하는 프로세서
    를 포함하고,
    상기 노이즈 캔슬링 모델은
    상기 복수의 레퍼런스 음성 신호들에서 추출된 제1 입력 특징 벡터(input feature vector) 및 제1 대상 특징 벡터(target feature vector)를 이용하여 학습된 심층 신경망(deep neural network; DNN) 모델이고,
    상기 제1 입력 특징 벡터는
    로그 파워 스펙트럼(log-power spectrum; LPS)에 상응하는 특징 벡터이고,
    상기 제1 대상 특징 벡터는
    아이디얼 래시오 마스크(ideal ratio mask; IRM)에 상응하는 특징 벡터이고,
    상기 프로세서는
    상기 입력 음성 신호에서 제2 입력 특징 벡터를 추출하고, 상기 노이즈 캔슬링 모델을 통하여 상기 입력 음성 신호 및 상기 제2 입력 특징 벡터에 상응하는 제2 대상 특징 벡터를 획득하고, 상기 제2 대상 특징 벡터의 대상 값(target value)들 중에서 기설정된 기준값보다 작은 값들을 상기 기준값으로 변경하여 상기 제2 대상 특징 벡터로부터 제3 대상 특징 벡터를 생성하고, 상기 제3 대상 특징 벡터를 기반으로 상기 입력 음성 신호로부터 상기 제1 음성 신호를 생성하는, 노이즈 캔슬링 장치.
  2. 삭제
  3. 삭제
  4. 삭제
  5. 청구항 1에 있어서,
    상기 프로세서는
    상기 제1 음성 신호에 기반하여 음성 존재 확률(speech presence probability; SPP)를 결정하고, 상기 음성 존재 확률을 이용하여 OMLSA(optimally modified log spectral amplitude) 게인(gain)을 추정하고, 상기 OMLSA 게인을 이용하여 상기 제1 음성 신호로부터 상기 제2 음성 신호를 생성하는, 노이즈 캔슬링 장치.
  6. 청구항 5에 있어서,
    상기 프로세서는
    상기 제1 음성 신호와 상기 입력 음성 신호의 차이 신호에 기반하여 상기 음성 존재 확률을 수정하고, 상기 수정된 음성 존재 확률을 이용하여 수정된 OMLSA 게인을 추정하고, 상기 수정된 OMLSA 게인을 이용하여 상기 제2 음성 신호를 생성하는, 노이즈 캔슬링 장치.
  7. 청구항 6에 있어서,
    상기 프로세서는
    상기 입력 음성 신호의 파워 스펙트럼 밀도와 상기 차이 신호의 파워 스펙트럼 밀도의 비율을 계산하고, 상기 비율의 값을 기반으로 상기 음성 존재 확률을 수정하는, 노이즈 캔슬링 장치.
  8. 청구항 1에 있어서,
    상기 딥 뉴럴 네트워크는
    복수의 은닉 레이어(hidden layer) 및 단일한 출력 레이어(output layer)를 포함하고,
    상기 복수의 은닉층은
    각각 복수의 은닉 노드(hidden node)를 포함하고, 각각 활성 함수(activation function)가 ReLU(rectified linear unit)이고,
    상기 출력 레이어는
    활성 함수가 시그모이드(sigmoid)인, 노이즈 캔슬링 장치.
  9. 청구항 8에 있어서,
    상기 딥 뉴럴 네트워크는
    손실 함수(loss function)가 상기 제1 입력 특징 벡터로부터 추정된 추정 특징 벡터와 상기 제1 대상 특징 벡터 사이의 평균 제곱 오차(mean square error)인, 노이즈 캔슬링 장치.
  10. 청구항 1에 있어서,
    상기 프로세서는
    상기 딥 러닝 알고리즘을 통해 상기 복수의 레퍼런스 음성 신호들을 이용하여 상기 노이즈 캔슬링 모델을 학습하는, 노이즈 캔슬링 장치.
  11. 청구항 1에 있어서,
    외부 학습 서버로부터 상기 노이즈 캔슬링 모델을 수신하는 통신부; 및
    상기 수신한 노이즈 캔슬링 모델을 저장하는 메모리
    를 더 포함하고,
    상기 프로세서는
    상기 저장된 노이즈 캔슬링 모델을 이용하여 상기 제1 음성 신호를 생성하는, 노이즈 캔슬링 장치.
  12. 노이즈 제거의 대상이 되는 입력 음성 신호를 수신하는 단계;
    프로세서가 딥 러닝(deep learning) 알고리즘을 통해 복수의 레퍼런스 음성 신호들을 이용하여 학습된 노이즈 캔슬링 모델에 기반하여 상기 입력 음성 신호로부터 노이즈를 제거한 제1 음성 신호를 생성하는 단계;
    상기 프로세서가 통계적 분석(statistical analysis)에 기반하여 상기 제1 음성 신호로부터 잔여 노이즈를 제거한 제2 음성 신호를 생성하는 단계; 및
    상기 프로세서가 상기 제2 음성 신호에 상응하는 출력 음성 신호를 생성하는 단계
    를 포함하고,
    상기 노이즈 캔슬링 모델은
    상기 복수의 레퍼런스 음성 신호들에서 추출된 제1 입력 특징 벡터(input feature vector) 및 제1 대상 특징 벡터(target feature vector)를 이용하여 학습된 심층 신경망(deep neural network; DNN) 모델이고,
    상기 제1 입력 특징 벡터는
    로그 파워 스펙트럼(log-power spectrum; LPS)에 상응하는 특징 벡터이고,
    상기 제1 대상 특징 벡터는
    아이디얼 래시오 마스크(ideal ratio mask; IRM)에 상응하는 특징 벡터이고,
    상기 제1 음성 신호를 생성하는 단계는
    상기 입력 음성 신호에서 제2 입력 특징 벡터를 추출하는 단계;
    상기 노이즈 캔슬링 모델을 통하여 상기 입력 음성 신호 및 상기 제2 입력 특징 벡터에 상응하는 제2 대상 특징 벡터를 획득하는 단계;
    상기 제2 대상 특징 벡터의 대상 값(target value)들 중에서 기설정된 기준값보다 작은 값들을 상기 기준값으로 변경하여 상기 제2 대상 특징 벡터로부터 제3 대상 특징 벡터를 생성하는 단계; 및
    상기 제3 대상 특징 벡터를 기반으로 상기 입력 음성 신호로부터 상기 제1 음성 신호를 생성하는 단계
    를 포함하는, 노이즈 캔슬링 방법.
  13. 노이즈 캔슬링 방법을 수행하기 위한 프로그램이 기록된 기록 매체에 있어서,
    상기 노이즈 캔슬링 방법은
    노이즈 제거의 대상이 되는 입력 음성 신호를 수신하는 단계;
    프로세서가 딥 러닝(deep learning) 알고리즘을 통해 복수의 레퍼런스 음성 신호들을 이용하여 학습된 노이즈 캔슬링 모델에 기반하여 상기 입력 음성 신호로부터 노이즈를 제거한 제1 음성 신호를 생성하는 단계;
    상기 프로세서가 통계적 분석(statistical analysis)에 기반하여 상기 제1 음성 신호로부터 잔여 노이즈를 제거한 제2 음성 신호를 생성하는 단계; 및
    상기 프로세서가 상기 제2 음성 신호에 상응하는 출력 음성 신호를 생성하는 단계
    를 포함하고,
    상기 노이즈 캔슬링 모델은
    상기 복수의 레퍼런스 음성 신호들에서 추출된 제1 입력 특징 벡터(input feature vector) 및 제1 대상 특징 벡터(target feature vector)를 이용하여 학습된 심층 신경망(deep neural network; DNN) 모델이고,
    상기 제1 입력 특징 벡터는
    로그 파워 스펙트럼(log-power spectrum; LPS)에 상응하는 특징 벡터이고,
    상기 제1 대상 특징 벡터는
    아이디얼 래시오 마스크(ideal ratio mask; IRM)에 상응하는 특징 벡터이고,
    상기 제1 음성 신호를 생성하는 단계는
    상기 입력 음성 신호에서 제2 입력 특징 벡터를 추출하는 단계;
    상기 노이즈 캔슬링 모델을 통하여 상기 입력 음성 신호 및 상기 제2 입력 특징 벡터에 상응하는 제2 대상 특징 벡터를 획득하는 단계;
    상기 제2 대상 특징 벡터의 대상 값(target value)들 중에서 기설정된 기준값보다 작은 값들을 상기 기준값으로 변경하여 상기 제2 대상 특징 벡터로부터 제3 대상 특징 벡터를 생성하는 단계; 및
    상기 제3 대상 특징 벡터를 기반으로 상기 입력 음성 신호로부터 상기 제1 음성 신호를 생성하는 단계
    를 포함하는, 기록 매체.
KR1020180170794A2018-12-272018-12-27노이즈 캔슬링 장치 및 그 방법ActiveKR102137151B1 (ko)

Priority Applications (3)

Application NumberPriority DateFiling DateTitle
KR1020180170794AKR102137151B1 (ko)2018-12-272018-12-27노이즈 캔슬링 장치 및 그 방법
PCT/KR2019/009876WO2020138624A1 (en)2018-12-272019-08-07Apparatus for noise canceling and method for the same
US16/536,990US10818309B2 (en)2018-12-272019-08-09Apparatus for noise canceling and method for the same

Applications Claiming Priority (1)

Application NumberPriority DateFiling DateTitle
KR1020180170794AKR102137151B1 (ko)2018-12-272018-12-27노이즈 캔슬링 장치 및 그 방법

Publications (2)

Publication NumberPublication Date
KR20200084466A KR20200084466A (ko)2020-07-13
KR102137151B1true KR102137151B1 (ko)2020-07-24

Family

ID=71123233

Family Applications (1)

Application NumberTitlePriority DateFiling Date
KR1020180170794AActiveKR102137151B1 (ko)2018-12-272018-12-27노이즈 캔슬링 장치 및 그 방법

Country Status (3)

CountryLink
US (1)US10818309B2 (ko)
KR (1)KR102137151B1 (ko)
WO (1)WO2020138624A1 (ko)

Cited By (4)

* Cited by examiner, † Cited by third party
Publication numberPriority datePublication dateAssigneeTitle
KR102350487B1 (ko)2021-03-092022-01-13(주)큐델릭스복수의 드라이버 유닛을 구비하는 액티브 노이즈 캔슬링 시스템 및 액티브 노이즈 캔슬링 방법
US11551671B2 (en)2019-05-162023-01-10Samsung Electronics Co., Ltd.Electronic device and method of controlling thereof
KR20230078154A (ko)2021-11-262023-06-02김주원노이즈 캔슬링을 이용한 방음장치
WO2025053464A1 (ko)*2023-09-072025-03-13감바랩스(주)음성과 음향 인식을 위한 인공 신경망 모델 학습 장치 및 추론 시스템

Families Citing this family (26)

* Cited by examiner, † Cited by third party
Publication numberPriority datePublication dateAssigneeTitle
US10601454B1 (en)*2018-11-302020-03-24International Business Machines CorporationSeparating two additive signal sources
TWI759591B (zh)*2019-04-012022-04-01威聯通科技股份有限公司語音增強方法及系統
US20210065731A1 (en)*2019-08-292021-03-04Sony Interactive Entertainment Inc.Noise cancellation using artificial intelligence (ai)
EP3809410A1 (en)*2019-10-172021-04-21Tata Consultancy Services LimitedSystem and method for reducing noise components in a live audio stream
WO2021089375A1 (en)*2019-11-072021-05-14Sony CorporationDenoising apparatus, denoising method, and unmanned aerial vehicle
KR20210055347A (ko)*2019-11-072021-05-17엘지전자 주식회사인공 지능 장치
KR20210083935A (ko)*2019-12-272021-07-07삼성전자주식회사뉴럴 네트워크의 파라미터들을 양자화하는 방법 및 장치
JP7409080B2 (ja)*2019-12-272024-01-09富士通株式会社学習データ生成方法、学習データ生成プログラムおよび情報処理装置
US11705147B2 (en)*2020-04-292023-07-18Qualcomm IncorporatedMixed adaptive and fixed coefficient neural networks for speech enhancement
CN111863008A (zh)*2020-07-072020-10-30北京达佳互联信息技术有限公司一种音频降噪方法、装置及存储介质
US11360155B2 (en)*2020-09-032022-06-14Volkswagen AktiengesellschaftBattery state of health estimator
US11875809B2 (en)*2020-10-012024-01-16Baidu Usa LlcSpeech denoising via discrete representation learning
WO2022086274A1 (ko)*2020-10-222022-04-28삼성전자 주식회사전자 장치 및 이의 제어 방법
KR102791039B1 (ko)*2020-10-272025-04-07주식회사 수현테크무선통신 중계장치 및 중계방법
CN114512140B (zh)*2020-10-292025-06-10阿里巴巴集团控股有限公司语音增强方法、装置及设备
KR102263135B1 (ko)*2020-12-092021-06-09주식회사 모빌린트딥러닝 알고리즘을 이용한 소음 제거 방법 및 장치
CN112669867B (zh)2020-12-152023-04-11阿波罗智联(北京)科技有限公司噪声消除算法的调试方法、装置和电子设备
CN112727704B (zh)*2020-12-152021-11-30北京天泽智云科技有限公司一种叶片前缘腐蚀的监测方法及系统
DE102020216439A1 (de)*2020-12-212022-06-23Sivantos Pte. Ltd.Verfahren zum Betrieb eines Hörsystems mit einem Hörinstrument
CN113077812B (zh)*2021-03-192024-07-23北京声智科技有限公司语音信号生成模型训练方法、回声消除方法和装置及设备
CN113990337B (zh)*2021-09-162025-06-17科大讯飞股份有限公司音频优化方法及相关装置、电子设备、存储介质
US12154586B2 (en)*2022-05-242024-11-26Agora Lab, Inc.System and method for suppressing noise from audio signal
CN114999508B (zh)2022-07-292022-11-08之江实验室一种利用多源辅助信息的通用语音增强方法和装置
WO2024253304A1 (ko)*2023-06-072024-12-12삼성전자주식회사음성을 포함하는 신호를 처리하기 위한 전자 장치 및 방법
CN118784094A (zh)*2024-07-162024-10-15南通润东计算机科技发展有限公司一种通信信道噪声消除方法、系统及介质
CN119049509B (zh)*2024-07-302025-03-11海南电网设计有限责任公司一种电力设备箱体内的自动除湿方法

Family Cites Families (11)

* Cited by examiner, † Cited by third party
Publication numberPriority datePublication dateAssigneeTitle
US7617099B2 (en)*2001-02-122009-11-10FortMedia Inc.Noise suppression by two-channel tandem spectrum modification for speech signal in an automobile
KR100446626B1 (ko)*2002-03-282004-09-04삼성전자주식회사음성신호에서 잡음을 제거하는 방법 및 장치
US20060035593A1 (en)*2004-08-122006-02-16Motorola, Inc.Noise and interference reduction in digitized signals
US9601130B2 (en)*2013-07-182017-03-21Mitsubishi Electric Research Laboratories, Inc.Method for processing speech signals using an ensemble of speech enhancement procedures
DE112017001830B4 (de)*2016-05-062024-02-22Robert Bosch GmbhSprachverbesserung und audioereignisdetektion für eine umgebung mit nichtstationären geräuschen
KR101807961B1 (ko)2016-06-072017-12-11한양대학교 산학협력단Lstm 및 심화신경망 기반의 음성 신호 처리 방법 및 장치
KR101877127B1 (ko)*2016-10-062018-07-10국방과학연구소심화 신경망을 이용한 시간 및 주파수 간 상관도 기반의 음성 검출기 및 음성 검출 방법
KR102499396B1 (ko)*2017-03-032023-02-13삼성전자 주식회사뉴럴 네트워크 장치 및 뉴럴 네트워크 장치의 동작 방법
KR20180111271A (ko)*2017-03-312018-10-11삼성전자주식회사신경망 모델을 이용하여 노이즈를 제거하는 방법 및 장치
US10522167B1 (en)*2018-02-132019-12-31Amazon Techonlogies, Inc.Multichannel noise cancellation using deep neural network masking
US10446170B1 (en)*2018-06-192019-10-15Cisco Technology, Inc.Noise mitigation using machine learning

Cited By (4)

* Cited by examiner, † Cited by third party
Publication numberPriority datePublication dateAssigneeTitle
US11551671B2 (en)2019-05-162023-01-10Samsung Electronics Co., Ltd.Electronic device and method of controlling thereof
KR102350487B1 (ko)2021-03-092022-01-13(주)큐델릭스복수의 드라이버 유닛을 구비하는 액티브 노이즈 캔슬링 시스템 및 액티브 노이즈 캔슬링 방법
KR20230078154A (ko)2021-11-262023-06-02김주원노이즈 캔슬링을 이용한 방음장치
WO2025053464A1 (ko)*2023-09-072025-03-13감바랩스(주)음성과 음향 인식을 위한 인공 신경망 모델 학습 장치 및 추론 시스템

Also Published As

Publication numberPublication date
US10818309B2 (en)2020-10-27
KR20200084466A (ko)2020-07-13
WO2020138624A1 (en)2020-07-02
US20200211580A1 (en)2020-07-02

Similar Documents

PublicationPublication DateTitle
KR102137151B1 (ko)노이즈 캔슬링 장치 및 그 방법
US12205265B2 (en)Artificial intelligence server
US11113532B2 (en)Artificial intelligence apparatus for recognizing object and method therefor
US11776544B2 (en)Artificial intelligence apparatus for recognizing speech of user and method for the same
US11488576B2 (en)Artificial intelligence apparatus for generating text or speech having content-based style and method for the same
KR102321855B1 (ko)음성으로 상호작용하는 인공 지능 장치 및 그 방법
KR102720941B1 (ko)컬러 복원방법 및 장치
US20190297381A1 (en)Artificial intelligence device and operating method thereof
KR102281590B1 (ko)음성인식 성능 향상을 위한 비 지도 가중치 적용 학습 시스템 및 방법, 그리고 기록 매체
KR20190107621A (ko)상황 인식에 기반한 어플리케이션 추천을 위한 장치 및 제어 방법
KR20190094315A (ko)스타일을 고려하여 텍스트와 음성을 상호 변환하는 인공 지능 장치 및 그 방법
US11468886B2 (en)Artificial intelligence apparatus for performing voice control using voice extraction filter and method for the same
KR102658112B1 (ko)주행 정보에 기반한 오토 스탑 시스템을 제어하는 인공 지능 장치 및 그 방법
KR102756879B1 (ko)생체 정보의 위조 검증 장치 및 방법
US10916240B2 (en)Mobile terminal and method of operating the same
KR20190119549A (ko)음성 기반의 액션 아이템 제안장치 및 제안방법
KR102221963B1 (ko)화상 정보를 제공하는 인공 지능 장치 및 그 방법
US20250149066A1 (en)Video editing device and operation method of video editing device
KR20230018261A (ko)AI 기반 음성서비스의 Text Data 수집 플랫폼 구축 및 통합관리방법

Legal Events

DateCodeTitleDescription
PA0109Patent application

Patent event code:PA01091R01D

Comment text:Patent Application

Patent event date:20181227

PA0201Request for examination
PE0902Notice of grounds for rejection

Comment text:Notification of reason for refusal

Patent event date:20191031

Patent event code:PE09021S01D

E701Decision to grant or registration of patent right
PE0701Decision of registration

Patent event code:PE07011S01D

Comment text:Decision to Grant Registration

Patent event date:20200518

PG1501Laying open of application
PR0701Registration of establishment

Comment text:Registration of Establishment

Patent event date:20200717

Patent event code:PR07011E01D

PR1002Payment of registration fee

Payment date:20200720

End annual number:3

Start annual number:1

PG1601Publication of registration
PR1001Payment of annual fee

Payment date:20250610

Start annual number:6

End annual number:6


[8]ページ先頭

©2009-2025 Movatter.jp