





본 발명은 냉동기의 제거열량을 이용한 에너지소비 절감 기술에 관한 것으로, 보다 상세하게는 적정 실내 온도를 유지하면서 냉방에너지의 소비를 최소화할 수 있는 냉동기의 제거열량을 이용한 에너지소비 절감 장치 및 방법에 관한 것이다.The present invention relates to a technology for reducing energy consumption using the removed calories of a refrigerator, and more particularly, to an apparatus and method for reducing energy consumption using the removed calories of a refrigerator, which can minimize the consumption of cooling energy while maintaining an appropriate room temperature. will be.
HVAC(Heating, Ventilation & Air Conditioning) 시스템은 실내 환경의 안락을 위하여 사용되는 기술로서 공기조화의 목적은 대상 건축물의 기능성과 일체화시켜 임의의 주어진 공간에 온도, 습도, 기류, 청정도 등을 만족시키도록 공기의 질과 양을 조정하는 것이다. 건축물에 있어서 HVAC 시스템은 건축비, 에너지 소비량, 최대부하시의 에너지량, 시스템의 공간구성, 소음과 진동의 허용치와 대책, 열원의 공급시스템 및 자동제어, 정보관리를 수반하는 관제방식 등이 건물의 제반조건에 적합하도록 균형이 이루어질 필요가 있다. 또한, HVAC 시스템에서 냉방을 위해서 소비되는 에너지의 대부분은 냉수를 만드는데 사용되기 때문에 냉수를 적절한 온도로 만들고, 실내 온도를 유지하기 위한 급기온도를 조절한다면 쾌적한 실내환경을 유지하면서도 에너지를 절약할 수 있다.The HVAC (Heating, Ventilation & Air Conditioning) system is a technology used for the comfort of the indoor environment. The purpose of air conditioning is to integrate the functionality of the target building to satisfy temperature, humidity, airflow, and cleanliness in any given space. To adjust the quality and quantity of air. In buildings, HVAC system includes building cost, energy consumption, energy load at maximum load, space configuration of system, allowance and countermeasures for noise and vibration, supply system and automatic control of heat source, and control method with information management. Balance needs to be made to suit all conditions. In addition, since most of the energy consumed for cooling in the HVAC system is used to make cold water, it is possible to save energy while maintaining a comfortable indoor environment by making the cool water at an appropriate temperature and adjusting the air supply temperature to maintain the indoor temperature. .
한국 공개특허공보 제10-2012-0123335(2012.11.08)호는 HVAC 제어 시스템 및 방법에 관한 것으로, (a) 건물의 초기 열적 모델(initial thermal model)을 개발하고, 이 열적 모델을 시간이 경과함에 따라 지속적으로 업데이트하는 단계, (b) 건물을 위한 일일 HVAC 작동 계획을 지속적으로 개발하기 위해 상기 열적 모델을 이용하는 단계 및 (c) 현재 HVAC 작동 계획을 지속적으로 점검하고 현재 HVAC 작동의 얼라인먼트(alignment)를 상기 현재 HVAC 작동 계획으로 최적화하는 단계를 포함한다.Korean Patent Laid-Open Publication No. 10-2012-0123335 (2012.11.08) relates to an HVAC control system and method, which includes: (a) developing an initial thermal model of a building, and over time (B) using the thermal model to continuously develop a daily HVAC operation plan for the building, and (c) continuously checking the current HVAC operation plan and aligning the current HVAC operation. ) Is optimized to the current HVAC operation plan.
한국 공개특허공보 제10-2014-0045623(2014.04.17)호는 HVAC 시스템의 통합 제어 시스템에 관한 것으로, HVAC 시스템에 포함되는 장비를 통합 제어함으로써 안정적인 전력 공급 및 제어를 가능하게 하고 장치별로 별도의 컨트롤러를 구비하지 않고 장비 제어장치에 의해 장비의 상태를 제어하기 때문에 구조물내의 공간을 절약할 수 있으면서 연계된 HVAC 장비의 전력 관리 및 제어를 수행하여 평상시 혹은 유지 보수시 오작동 및 실수를 미연에 방지하여 안정성 및 효율성을 높일 수 있다.Korean Laid-Open Patent Publication No. 10-2014-0045623 (2014.04.17) relates to an integrated control system of an HVAC system, which enables stable power supply and control by integrating and controlling equipment included in an HVAC system, and separately for each device. Since the state of the equipment is controlled by the equipment control device without the controller, the space in the structure can be saved, and power management and control of the connected HVAC equipment is performed to prevent malfunctions and mistakes during normal or maintenance. It can increase stability and efficiency.
본 발명의 일 실시예는 적정 실내 온도를 유지하면서 냉방에너지의 소비를 최소화할 수 있는 냉동기의 제거열량을 이용한 에너지소비 절감 장치 및 방법을 제공하고자 한다.One embodiment of the present invention is to provide an apparatus and method for reducing energy consumption using heat removal from the refrigerator, which can minimize consumption of cooling energy while maintaining an appropriate room temperature.
본 발명의 일 실시예는 실시간으로 냉방부하를 산출하고 최적화된 냉수입구온도 및 급기온도를 설정할 수 있는 냉동기의 제거열량을 이용한 에너지소비 절감 장치 및 방법을 제공하고자 한다.One embodiment of the present invention is to provide an apparatus and method for reducing energy consumption using calorie removal calories that can calculate a cooling load in real time and set an optimized cold inlet temperature and an air supply temperature.
본 발명의 일 실시예는 소비전력이 최소가 되는 데이터의 온도차와 측정된 데이터의 냉수출구온도 및 환기온도를 기초로 냉수입구온도 및 급기온도를 산출할 수 있는 냉동기의 제거열량을 이용한 에너지소비 절감 장치 및 방법을 제공하고자 한다.An embodiment of the present invention is to reduce the energy consumption by using the heat removal of the refrigerator to calculate the cold inlet temperature and the air supply temperature based on the temperature difference of the data to minimize the power consumption and the cold water outlet temperature and the ventilation temperature of the measured data. An apparatus and method are provided.
실시예들 중에서, 냉동기의 제거열량을 이용한 에너지 절감 장치는 HVAC(Heating, Ventilation & Air Conditioning) 시스템에 있는 냉동기 및 공조기(AHU, Air Handling Unit) 각각에 관한 순환 매체의 유출 온도, 유입 온도와 매체량 및 상기 HVAC 시스템의 소비전력을 운영환경으로서 수집하는 운영환경 수집부, 상기 냉동기에 관한 상기 순환 매체의 유출 및 유입에 따른 제거열량을 산출하는 제거열량 산출부 및 상기 운영환경에서 상기 제거열량을 기초로 상기 HVAC 시스템의 최적소비전력을 결정하여 상기 HVAC 시스템을 제어하는 에너지 제어부를 포함한다.Among the embodiments, the energy saving device using the removal heat of the refrigerator may include the outlet temperature, the inlet temperature and the medium of the circulating medium for each of the refrigerator and the air handling unit (AHU) in the heating, ventilation & air conditioning (HVAC) system. An operating environment collection unit for collecting a quantity and power consumption of the HVAC system as an operating environment, a removal calorie calculation unit configured to calculate a removal calorie according to the outflow and inflow of the circulation medium related to the refrigerator, and the removal calorific value in the operating environment; And an energy controller for controlling the HVAC system by determining an optimum power consumption of the HVAC system.
상기 제거열량 산출부는 상기 냉동기에 관한 상기 순환 매체의 유출입 온도차 및 상기 매체량 간의 곱을 통해 상기 제거열량에 대한 상수를 산출할 수 있다.The removal calorific value calculation unit may calculate a constant for the removal calorie value through a product of the difference between the inflow and outflow temperature of the circulating medium and the medium amount of the freezer.
상기 에너지 제어부는 수집된 운영환경 데이터 중에서 상기 제거열량에 해당하는 데이터를 검출하고 검출된 상기 데이터 중에서 상기 HVAC 시스템의 소비전력이 가장 작은 경우를 최적소비전력 데이터로서 결정할 수 있다.The energy control unit may detect data corresponding to the removed calorific value from the collected operating environment data and determine, as the optimum power consumption data, a case in which the power consumption of the HVAC system is the smallest among the detected data.
상기 에너지 제어부는 상기 냉동기 및 상기 공조기 각각에 관한 상기 순환 매체의 현재 유입 온도에서 상기 최적소비전력 데이터에 포함된 각 순환 매체의 온도차 만큼을 뺀 값을 상기 냉동기 및 상기 공조기 각각에 관한 최적 유출 온도로서 결정할 수 있다.The energy controller subtracts the current inlet temperature of the circulating medium for each of the refrigerator and the air conditioner by the temperature difference of each circulating medium included in the optimum power consumption data as the optimum outlet temperature for each of the refrigerator and the air conditioner. You can decide.
상기 에너지 제어부는 상기 냉동기에 관한 상기 최적 유출 온도를 기초로 상기 냉동기 및 냉수펌프 중 적어도 하나를 제어할 수 있다.The energy control unit may control at least one of the refrigerator and the cold water pump based on the optimum outflow temperature of the refrigerator.
상기 에너지 제어부는 상기 공조기에 관한 상기 최적 유출 온도를 기초로 급기팬 및 환기팬 중 적어도 하나를 제어할 수 있다.The energy control unit may control at least one of an air supply fan and a ventilation fan based on the optimum outflow temperature of the air conditioner.
상기 에너지 제어부는 상기 최적소비전력과 상기 운영환경 수집부에 의해 수집된 현재의 소비전력 간의 차이가 특정 기준을 초과하는 경우 상기 HVAC 시스템의 점검필요 알림을 제공할 수 있다.The energy control unit may provide a check necessity notification of the HVAC system when the difference between the optimum power consumption and the current power consumption collected by the operating environment collection unit exceeds a specific criterion.
실시예들 중에서, 냉동기의 제거열량을 이용한 에너지 절감 방법은 HVAC(Heating, Ventilation & Air Conditioning) 시스템에 있는 냉동기 및 공조기(AHU, Air Handling Unit) 각각에 관한 순환 매체의 유출 온도, 유입 온도와 매체량 및 상기 HVAC 시스템의 소비전력을 운영환경으로서 수집하는 단계, 상기 냉동기에 관한 상기 순환 매체의 유출 및 유입에 따른 제거열량을 산출하는 단계 및 상기 운영환경에서 상기 제거열량을 기초로 상기 HVAC 시스템의 최적소비전력을 결정하여 상기 HVAC 시스템을 제어하는 단계를 포함한다.Among the embodiments, the energy saving method using the removal heat of the freezer is an outlet temperature, inlet temperature and medium of the circulating medium for each of the freezer and air handling unit (AHU) in the heating, ventilation & air conditioning (HVAC) system Collecting the amount and the power consumption of the HVAC system as an operating environment, calculating a calorific value according to the outflow and inflow of the circulation medium with respect to the refrigerator, and based on the calorific value of the HVAC system in the operating environment. Determining the optimum power consumption to control the HVAC system.
개시된 기술은 다음의 효과를 가질 수 있다. 다만, 특정 실시예가 다음의 효과를 전부 포함하여야 한다거나 다음의 효과만을 포함하여야 한다는 의미는 아니므로, 개시된 기술의 권리범위는 이에 의하여 제한되는 것으로 이해되어서는 아니 될 것이다.The disclosed technique can have the following effects. However, since a specific embodiment does not mean to include all of the following effects or only the following effects, it should not be understood that the scope of the disclosed technology is limited by this.
본 발명의 일 실시예에 따른 냉동기의 제거열량을 이용한 에너지소비 절감 장치 및 방법은 실시간으로 냉방부하를 산출하고 최적화된 냉수입구온도 및 급기온도를 설정할 수 있다.An apparatus and method for reducing energy consumption using calorie removal heat according to an embodiment of the present invention may calculate a cooling load in real time and set an optimized cold water inlet temperature and an air supply temperature.
본 발명의 일 실시예에 따른 냉동기의 제거열량을 이용한 에너지소비 절감 장치 및 방법은 소비전력이 최소가 되는 데이터의 온도차와 측정된 데이터의 냉수출구온도 및 환기온도를 기초로 냉수입구온도 및 급기온도를 산출할 수 있다.An apparatus and method for reducing energy consumption using a calorie removal calorie according to an embodiment of the present invention are based on a temperature difference of data at which power consumption is minimized and a cold water outlet temperature and a ventilation temperature of measured data. Can be calculated.
도 1은 본 발명의 일 실시예에 따른 냉동기의 제거열량을 이용한 에너지소비 절감 시스템을 설명하는 도면이다.
도 2는 도 1에 있는 HVAC 시스템의 일 실시예를 설명하는 도면이다.
도 3은 도 1에 있는 에너지소비 절감 장치와 HVAC 시스템의 연결 관계를 설명하는 도면이다.
도 4는 도 1에 있는 에너지소비 절감 장치를 나타내는 블록도이다.
도 5는 도 1에 있는 에너지소비 절감 장치에서 수행되는 HVAC 시스템 제어 과정을 설명하는 순서도이다.
도 6은 도 1에 있는 에너지소비 절감 장치에서 수행되는 HVAC 시스템 제어 과정의 일 실시예를 설명하는 순서도이다.1 is a view for explaining a system for reducing energy consumption using calories removed from the refrigerator according to an embodiment of the present invention.
FIG. 2 is a diagram illustrating one embodiment of the HVAC system in FIG. 1.
3 is a view for explaining a connection relationship between the energy consumption reduction device and the HVAC system in FIG.
FIG. 4 is a block diagram illustrating an apparatus for reducing energy consumption of FIG. 1.
FIG. 5 is a flowchart illustrating an HVAC system control process performed in the energy consumption reducing apparatus of FIG. 1.
FIG. 6 is a flowchart illustrating an embodiment of an HVAC system control process performed in the energy consumption reduction apparatus of FIG. 1.
본 발명에 관한 설명은 구조적 내지 기능적 설명을 위한 실시예에 불과하므로, 본 발명의 권리범위는 본문에 설명된 실시예에 의하여 제한되는 것으로 해석되어서는 아니 된다. 즉, 실시예는 다양한 변경이 가능하고 여러 가지 형태를 가질 수 있으므로 본 발명의 권리범위는 기술적 사상을 실현할 수 있는 균등물들을 포함하는 것으로 이해되어야 한다. 또한, 본 발명에서 제시된 목적 또는 효과는 특정 실시예가 이를 전부 포함하여야 한다거나 그러한 효과만을 포함하여야 한다는 의미는 아니므로, 본 발명의 권리범위는 이에 의하여 제한되는 것으로 이해되어서는 아니 될 것이다.Description of the present invention is only an embodiment for structural or functional description, the scope of the present invention should not be construed as limited by the embodiments described in the text. That is, since the embodiments may be variously modified and may have various forms, the scope of the present invention should be understood to include equivalents capable of realizing the technical idea. In addition, the objects or effects presented in the present invention does not mean that a specific embodiment should include all or only such effects, the scope of the present invention should not be understood as being limited thereby.
한편, 본 출원에서 서술되는 용어의 의미는 다음과 같이 이해되어야 할 것이다.On the other hand, the meaning of the terms described in the present application should be understood as follows.
"제1", "제2" 등의 용어는 하나의 구성요소를 다른 구성요소로부터 구별하기 위한 것으로, 이들 용어들에 의해 권리범위가 한정되어서는 아니 된다. 예를 들어, 제1 구성요소는 제2 구성요소로 명명될 수 있고, 유사하게 제2 구성요소도 제1 구성요소로 명명될 수 있다.Terms such as "first" and "second" are intended to distinguish one component from another component, and the scope of rights should not be limited by these terms. For example, the first component may be named a second component, and similarly, the second component may also be named a first component.
어떤 구성요소가 다른 구성요소에 "연결되어"있다고 언급된 때에는, 그 다른 구성요소에 직접적으로 연결될 수도 있지만, 중간에 다른 구성요소가 존재할 수도 있다고 이해되어야 할 것이다. 반면에, 어떤 구성요소가 다른 구성요소에 "직접 연결되어"있다고 언급된 때에는 중간에 다른 구성요소가 존재하지 않는 것으로 이해되어야 할 것이다. 한편, 구성요소들 간의 관계를 설명하는 다른 표현들, 즉 "~사이에"와 "바로 ~사이에" 또는 "~에 이웃하는"과 "~에 직접 이웃하는" 등도 마찬가지로 해석되어야 한다.When a component is referred to as being "connected" to another component, it should be understood that there may be other components in between, although it may be directly connected to the other component. On the other hand, when a component is referred to as being "directly connected" to another component, it should be understood that there is no other component in between. On the other hand, other expressions describing the relationship between the components, such as "between" and "immediately between" or "neighboring to" and "directly neighboring to", should be interpreted as well.
단수의 표현은 문맥상 명백하게 다르게 뜻하지 않는 한 복수의 표현을 포함하는 것으로 이해되어야 하고, "포함하다"또는 "가지다" 등의 용어는 실시된 특징, 숫자, 단계, 동작, 구성요소, 부분품 또는 이들을 조합한 것이 존재함을 지정하려는 것이며, 하나 또는 그 이상의 다른 특징이나 숫자, 단계, 동작, 구성요소, 부분품 또는 이들을 조합한 것들의 존재 또는 부가 가능성을 미리 배제하지 않는 것으로 이해되어야 한다.Singular expressions should be understood to include plural expressions unless the context clearly indicates otherwise, and terms such as "comprise" or "have" refer to a feature, number, step, operation, component, part, or feature thereof. It is to be understood that the combination is intended to be present and does not exclude in advance the possibility of the presence or addition of one or more other features or numbers, steps, operations, components, parts or combinations thereof.
각 단계들에 있어 식별부호(예를 들어, a, b, c 등)는 설명의 편의를 위하여 사용되는 것으로 식별부호는 각 단계들의 순서를 설명하는 것이 아니며, 각 단계들은 문맥상 명백하게 특정 순서를 기재하지 않는 이상 명기된 순서와 다르게 일어날 수 있다. 즉, 각 단계들은 명기된 순서와 동일하게 일어날 수도 있고 실질적으로 동시에 수행될 수도 있으며 반대의 순서대로 수행될 수도 있다.In each step, an identification code (e.g., a, b, c, etc.) is used for convenience of description, and the identification code does not describe the order of the steps, and each step clearly indicates a specific order in context. Unless stated otherwise, they may occur out of the order noted. That is, each step may occur in the same order as specified, may be performed substantially simultaneously, or may be performed in the reverse order.
본 발명은 컴퓨터가 읽을 수 있는 기록매체에 컴퓨터가 읽을 수 있는 코드로서 구현될 수 있고, 컴퓨터가 읽을 수 있는 기록 매체는 컴퓨터 시스템에 의하여 읽혀질 수 있는 데이터가 저장되는 모든 종류의 기록 장치를 포함한다. 컴퓨터가 읽을 수 있는 기록 매체의 예로는 ROM, RAM, CD-ROM, 자기 테이프, 플로피 디스크, 광 데이터 저장 장치 등이 있다.The present invention can be embodied as computer readable code on a computer readable recording medium, and the computer readable recording medium includes all kinds of recording devices in which data can be read by a computer system. . Examples of computer-readable recording media include ROM, RAM, CD-ROM, magnetic tape, floppy disk, optical data storage device, and the like.
여기서 사용되는 모든 용어들은 다르게 정의되지 않는 한, 본 발명이 속하는 분야에서 통상의 지식을 가진 자에 의해 일반적으로 이해되는 것과 동일한 의미를 가진다. 일반적으로 사용되는 사전에 정의되어 있는 용어들은 관련 기술의 문맥상 가지는 의미와 일치하는 것으로 해석되어야 하며, 본 출원에서 명백하게 정의하지 않는 한 이상적이거나 과도하게 형식적인 의미를 지니는 것으로 해석될 수 없다.All terms used herein have the same meaning as commonly understood by one of ordinary skill in the art unless otherwise defined. Generally, the terms defined in the dictionary used are to be interpreted to coincide with the meanings in the context of the related art, and should not be interpreted as having ideal or excessively formal meanings unless clearly defined in the present application.
도 1은 본 발명의 일 실시예에 따른 냉동기의 제거열량을 이용한 에너지소비 절감 시스템을 설명하는 도면이다.1 is a view for explaining a system for reducing energy consumption using calories removed from a refrigerator according to an embodiment of the present invention.
도 1을 참조하면, 냉동기의 제거열량을 이용한 에너지소비 절감 시스템(100)은 HVAC 시스템(110), 에너지소비 절감 장치(130) 및 데이터베이스(150)를 포함할 수 있다.Referring to FIG. 1, the energy
HVAC(Heating, Ventilation & Air Conditioning) 시스템(110)은 실내 환경의 안락을 위하여 건축물의 기능성과 일체화시켜 임의의 주어진 공간에 온도, 습도, 기류, 청정도 등을 만족시키도록 공기의 질과 양을 조정하는 공기조화 시스템에 해당할 수 있다. HVAC 시스템(110)에 대해서는 도 2에서 보다 자세히 설명한다.The HVAC (Heating, Ventilation & Air Conditioning)
에너지 절감 장치(130)는 HVAC 시스템(110)과 연결되어 HVAC 시스템(110)이 적정 실내 온도를 유지하면서 소비 에너지를 절약할 수 있도록 냉수온도 및 공기온도를 자동으로 조절할 수 있는 컴퓨터 또는 프로그램에 해당하는 서버로 구현될 수 있다. 에너지 절감 장치(130)는 HVAC 시스템(110)과 유선 또는 블루투스, WiFi 등을 통해 무선으로 연결될 수 있고, 네트워크를 통해 HVAC 시스템(110)과 데이터를 주고 받을 수 있다.The energy saving
일 실시예에서, 에너지 절감 장치(130)는 데이터베이스(150)를 포함하여 구현될 수 있고, 데이터베이스(150)와 별도로 구현될 수 있다. 데이터베이스(150)와 별도로 구현된 경우 에너지 절감 장치(130)는 데이터베이스(150)와 연결되어 데이터를 송수신할 수 있다.In one embodiment, the
데이터베이스(150)는 에너지 절감 장치(130)가 HVAC 시스템(110)을 제어하기 위해서 사용하는 다양한 정보들을 저장할 수 있다. 예를 들어, 데이터베이스(150)는 HVAC 시스템(110)으로부터 수집한 운영환경 관련 자료들을 저장할 수 있고, 운영환경 자료들을 기초로 산출된 냉동기의 제거열량 또는 HVAC 시스템(110)의 최적소비전력을 저장할 수 있으며, 반드시 이에 한정되지 않고, 에너지 절감 장치(130)가 에너지 절감 과정에서 다양한 형태로 수집 또는 가공한 정보를 저장할 수 있다.The
데이터베이스(150)는 특정 범위에 속하는 정보들을 저장하는 적어도 하나의 독립된 서브-데이터베이스들로 구성될 수 있고, 적어도 하나의 독립된 서브-데이터베이스들이 하나로 통합된 통합 데이터베이스로 구성될 수 있다. 적어도 하나의 독립된 서브-데이터베이스들로 구성되는 경우에는 각각의 서브-데이터베이스들은 블루투스, WiFi 등을 통해 무선으로 연결될 수 있고, 네트워크를 통해 상호 간의 데이터를 주고 받을 수 있다. 통합 데이터베이스로 구성되는 경우에는 각각의 서브-데이터베이스들을 하나로 통합하고 상호 간의 데이터 교환 및 제어 흐름을 관리하는 제어부를 포함할 수 있다.The
도 2는 도 1에 있는 HVAC 시스템의 일 실시예를 설명하는 도면이다.FIG. 2 is a diagram illustrating one embodiment of the HVAC system in FIG. 1.
도 2를 참조하면, HVAC 시스템(110)의 기본적인 구성을 확인할 수 있다. HVAC 시스템(110)은 실내(270)의 특정 공간에 대해 쾌적한 실내환경을 유지하기 위하여 공기조화를 목적으로 하며, 냉각탑(210), 냉동기(230) 및 공조기(250)로 구성될 수 있다.Referring to FIG. 2, the basic configuration of the
냉각탑(210)은 냉동기(230)의 운영과정에서 발생하는 냉동기의 열을 냉각시켜 외부로 방출시키는 장치에 해당할 수 있다. 냉각탑(210)은 다양한 방식을 이용하여 냉동기(230)의 열을 외부로 방출시킬 수 있으며, 예를 들어, 냉각수펌프(213)를 이용하여 냉각수(211)를 순환시킬 수 있고 냉동기(230)를 순환하는 냉수(231)의 열을 냉각수(211)로 옮긴 후 냉각팬을 통하여 외부로 방출시킬 수 있다.
냉동기(230)는 공조기(250)를 순환하는 공기를 냉각시키는 장치에 해당할 수 있다. 냉동기(230)는 공조기(250)의 내부에 포함된 냉수코일과 연결되어 구현될 수 있고, 공조기를 순환하는 공기를 냉수코일 내부로 통과시키는 과정에서 공기의 열을 냉수로 옮겨 공기를 냉각시킬 수 있다. 냉동기(230)는 냉수(231)를 순환시키기 위하여 냉수펌프(233)를 포함하여 구현될 수 있다.The
공조기(AHU, Air Handling Unit)(250)는 냉각된 공기를 순환시켜 냉각대상인 실내(270)에 해당하는 특정 공간의 공기를 냉각시킬 수 있는 장치에 해당할 수 있다. 공조기(250)는 공기를 순환시키기 위하여 급기팬 및 환기팬(253)을 포함하여 구현될 수 있고, 냉동기(230)와 연결된 냉수코일을 포함하여 구현될 수 있다. 공조기(250)는 급기팬을 통해 냉수코일을 통과하여 냉각된 급기(251)를 실내(270)로 보낼 수 있고, 환기팬(253)을 통해 실내(270)의 열로 인해 더워진 환기(255)를 공조기(250)로 보냄으로써 내부 공기를 순환시킬 수 있다.An air handling unit (AHU) 250 may correspond to a device capable of circulating the cooled air to cool air in a specific space corresponding to the indoor 270 that is a cooling target. The
도 2에서, HVAC 시스템(110)이 실내(270)의 공기를 냉각시키기 위하여 사용하는 전체 소비전력을 식으로 나타내면 다음과 같다.In FIG. 2, the total power consumption used by the
Ptotal = Pct_fan + Pct_pump + Pchiller + Pcw_pump + PfanPtotal = Pct_fan + Pct_pump + Pchiller + Pcw_pump + Pfan
여기에서, Pct_fan은 냉각탑(210)에 포함된 냉각팬의 소비전력을 나타내고, Pct_pump는 냉각탑(210)에 포함된 냉각수펌프(213)의 소비전력을 나타내며, Pchiller는 냉동기(230)의 소비전력을 나타내고, Pcw_pump는 냉동기에 포함된 냉수펌프(233)의 소비전력을 나타내며, Pfan은 공조기(250)에 포함된 팬의 소비전력을 나타낸다. 즉, Pfan = Psa_fan + Pra_fan이고, Psa_fan은 급기팬의 소비전력을, Pra_fan은 환기팬(253)의 소비전력을 나타낸다.Here, Pct_fan represents the power consumption of the cooling fan included in the
HVAC 시스템(110)에서 냉각탑(210)의 소비전력은 냉각팬과 냉각수펌프(213)에 대한 소비전력의 합과 같을 수 있고, 냉각탑(210)의 소비전력은 전체 소비전력에 비해 그 비율이 작고 변동이 거의 없기 때문에 Pchiller + Pcw_pump + Pfan의 값이 전체 소비전력에서 상당한 비중을 차지한다. 각 장치의 소비전력은 제조사나 용량에 따라서 차이가 존재하지만, 일반적인 경우 각 장치에 대한 소비전력의 비율은 대략적으로 Pchiller : Pcw_pump : Pfan = 80 : 5 : 15 정도의 비율에 해당할 수 있다.The power consumption of the
따라서, HVAC 시스템(110)의 에너지 소비량을 절약하기 위해서는 냉동기(230)의 소비전력을 줄이는 것이 가장 효과가 클 수 있고, 냉동기(230)의 소비전력은 냉동기(230)의 부하와 밀접한 관련이 있을 수 있다. 여기에서, 냉동기(230)의 부하는 냉동기(230)의 제거열량에 해당할 수 있다. 냉동기(230)의 제거열량은 냉동기(230)를 통해 제거되는 열량에 해당할 수 있고, 제거열량을 상수로 표현하면 다음과 같다.Accordingly, in order to save energy consumption of the
Kchiller = △Tcw * McwKchiller = △ Tcw * Mcw
여기에서, Kchiller는 냉동기(230)의 제거열량 상수를 나타내고, △Tcw는 냉수 입출구 온도차를 나타내며, Mcw는 냉수 유량을 나타낸다. △Tcw = Tcw_out - Tcw_in에 해당하고, Tcw_out는 냉수출구온도를, Tcw_in은 냉수입구온도를 나타낸다.Here, Kchiller represents the removal calorie constant of the
냉동기(230)의 제거열량과 마찬가지로, 공조기(250)의 제거열량을 산출할 수 있고, 공조기(250)의 제거열량을 상수로 표현하면 다음과 같다.Similar to the amount of heat removed in the
Kahu = △Tair * MairKahu = △ Tair * Mair
여기에서, Kahu는 공조기(250)의 제거열량 상수를 나타내고, △Tair는 공기 온도차를 나타내며, Mair는 공기 유량을 나타낸다. △Tair = Tra - Tsa에 해당하고, Tra는 환기온도를, Tsa는 급기온도를 나타낸다.Here, Kahu represents a removal calorie constant of the
공기 유량은 급기팬과 환기팬(253)의 소모전력과 관계가 있고, 급기온도는 냉동기(230)의 제거열량과 관계가 깊으며, 만약 냉수입구온도가 결정되어 있다면 냉수 유량에 의하여 조절될 수 있다. 즉, 급기온도는 냉수펌프(233)의 냉수 유량(작동량)에 의해서 조절될 수 있다.The air flow rate is related to the power consumption of the air supply fan and the
에너지 절감 장치(130)는 상기의 내용과 공조기(250)의 제거열량이 냉동기(230)의 제거열량과 비례관계에 있다는 사실로부터 냉동기(230) 제거열량에 따른 냉수 입출구 온도차(△Tcw), 공기 온도차(△Tair) 및 전체 소비전력 등과의 관계를 HVAC 시스템(110)으로부터 측정하여 산출할 수 있고 데이터베이스(150)에 저장할 수 있다.
HVAC 시스템(110)은 냉수입구온도와 급기온도의 설정에 따라서 사용되는 에너지의 소비량이 변화할 수 있다. 또한, 냉동기(230)의 부하(제거열량)에 따라서 냉동기(230)의 효율이 변화하기 때문에, 에너지 절감 장치(130)는 냉동기(230)의 부하에 따라 냉수공급온도와 급기온도를 조절하여 냉동기(230)의 효율을 최적화할 수 있다.The
도 3은 도 1에 있는 에너지 절감 장치와 HVAC 시스템의 연결 관계를 설명하는 도면이다.3 is a view for explaining a connection relationship between the energy saving device and the HVAC system in FIG.
도 3을 참조하면, 에너지 절감 장치(130)는 HVAC 시스템(110)에 포함된 복수의 센서들을 통해 냉수입구온도(311), 냉수출구온도(313), 급기온도(331) 및 환기온도(333)를 측정하여 수집할 수 있고, 수집된 자료들을 바탕으로 냉동기(230)의 제거열량을 산출할 수 있으며, 산출된 냉동기(230)의 제거열량을 기초로 HVAC 시스템(110)의 전체 소비전력이 최소가 되는 냉동기(230) 및 공조기(250) 각각의 최적소비전력을 결정할 수 있다.Referring to FIG. 3, the
에너지 절감 장치(130)는 최적소비전력을 기초로 냉동기(230)의 냉수입구온도(311) 및 공조기(250)의 급기온도(331)를 산출하여 HVAC 시스템(110)을 제어할 수 있다. 예를 들어, 에너지 절감 장치(130)는 최적의 냉수입구온도(311)에 맞춰 냉동기(230) 및 냉수펌프(233)의 소비전력을 제어할 수 있고, 최적의 급기온도(331)에 맞춰 급기팬(320) 및 환기팬(253)의 소비전력을 제어할 수 있다.The
도 4는 도 1에 있는 에너지 절감 장치를 나타내는 블록도이다.4 is a block diagram illustrating the energy saving device of FIG. 1.
도 4를 참조하면, 에너지 절감 장치(130)는 운영환경 수집부(410), 제거열량 산출부(430), 에너지 제어부(450) 및 제어부(470)를 포함할 수 있다.Referring to FIG. 4, the
운영환경 수집부(410)는 HVAC 시스템(110)에 있는 냉동기(230) 및 공조기(250) 각각에 관한 순환 매체의 유출 온도, 유입 온도와 매체량 및 HVAC 시스템(110)의 소비전력을 운영환경으로서 수집할 수 있다. 운영환경 수집부(410)는 특정 시점에서 HVAC 시스템(110)을 구성하는 각각의 장치로부터 상기의 데이터들을 수집할 수 있고, 해당 특정 시점과 연관시켜 데이터베이스(150)에 저장할 수 있다.The operating
여기에서, 순환 매체는 에너지를 소비하는 장치(이하, 에너지 소비장치라 한다.)에 해당하는 냉동기(230) 또는 공조기(250) 내부를 통과하여 순환하는 물질에 해당할 수 있고, 예를 들어, 에너지 소비장치가 냉동기(230)인 경우 순환 매체는 액체로서 냉수에 해당할 수 있고, 공조기(250)인 경우 순환 매체는 기체로서 공기에 해당할 수 있다.Herein, the circulating medium may correspond to a material circulating through the
순환 매체의 유출 온도는 각 에너지 소비장치에서 유출될 때의 온도에 해당하고 순환 매체의 유입 온도는 각 에너지 소비장치로 유입될 때의 온도에 해당할 수 있다. 에너지 소비장치가 냉동기(230)인 경우 유출 온도는 냉수입구온도(311)에 해당할 수 있고, 유입 온도는 냉구출구온도(313)에 해당할 수 있다. 에너지 소비장치가 공조기(250)인 경우 유출 온도는 급기온도(331)에 해당할 수 있고, 유입 온도는 환기온도(333)에 해당할 수 있다.The outlet temperature of the circulating medium may correspond to the temperature when it flows out of each energy consuming device, and the inlet temperature of the circulating medium may correspond to the temperature when it flows into each energy consuming device. When the energy consumption device is the
일 실시예에서, 운영환경 수집부(410)는 실시간 또는 주기적으로 HVAC 시스템(110)에 있는 적어도 하나의 에너지 소비장치 각각에 관한 운영환경을 수집할 수 있다. 다른 실시예에서, 운영환경 수집부(410)는 HVAC 시스템(110)에 의해 실내(270)의 온도가 변화할 때마다 HVAC 시스템(110)에 있는 적어도 하나의 에너지 소비장치 각각에 관한 운영환경을 수집할 수 있다. 예를 들어, 운영환경 수집부(410)는 실내(270)의 온도가 1도 증가 또는 하락할 때마다 HVAC 시스템(110)으로부터 운영환경에 관한 데이터를 수집할 수 있다.In one embodiment, the operating
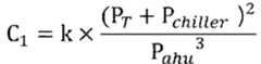
일 실시예에서, 운영환경 수집부(410)는 다음의 수학식 1을 통해 산출된 주기에 따라 HVAC 시스템(110)으로부터 운영환경을 수집할 수 있다.In one embodiment, the operating
[수학식 1][Equation 1]
여기에서, C1는 주기를, k는 비례상수를, PT는 전체 소비전력을, Pchiller는 냉동기의 소비전력을, Pahu는 공조기의 소비전력을 나타낸다. 운영환경 수집부(410)는 전체 소비전력과 냉동기(230)의 소비전력의 합을 제곱한 값을 공조기(250)의 소비전력을 세제곱한 값으로 나눈 값을 기초로 산출된 주기 C1에 따라 HVAC 시스템(110)으로부터 운영환경을 수집할 수 있다.Here, C1 is a period, k is a proportional constant, PT is the total power consumption, Pchiller is the power consumption of the refrigerator, Pahu is the power consumption of the air conditioner. The operating
일 실시예에서, 운영환경 수집부(410)는 다음의 수학식 2를 통해 산출된 주기에 따라 HVAC 시스템(110)으로부터 운영환경을 수집할 수 있다.In one embodiment, the operating
[수학식 2][Equation 2]
여기에서, C2는 주기를, k는 비례상수를, Tcw_out는 냉수출구온도를, Tra는 환기온도를, Tcw_in는 냉수입구온도를, Tsa는 급기온도를 나타낸다. 운영환경 수집부(410)는 냉수출구온도와 환기온도의 합을 냉수입구온도와 급기온도의 합으로 나눈 값을 기초로 산출된 주기 C2에 따라 HVAC 시스템(110)으로부터 운영환경을 수집할 수 있다.Here, C2 denotes a period, k denotes a proportional constant, Tcw_out denotes a cold water outlet temperature, Tra denotes a ventilation temperature, Tcw_in denotes a cold water inlet temperature, and Tsa denotes an air supply temperature. The operating
제거열량 산출부(430)는 냉동기(230)에 관한 순환 매체의 유출 및 유입에 따른 제거열량을 산출할 수 있다. 냉동기(230)는 HVAC 시스템(110)이 최종적으로 냉각시키려고 하는 실내 공기의 온도 변화에 있어서 가장 많은 소비전력을 사용함으로써 HVAC 시스템(110)의 전체 소비전력에 가장 많은 영향을 미치는 에너지 소비장치에 해당할 수 있다. 제거열량 산출부(430)는 냉동기(230)를 순환하는 냉수의 냉수입구온도(311) 및 냉수출구온도(313)를 이용하여 제거열량을 산출할 수 있다.The removal calorific
일 실시예에서, 제거열량 산출부(430)는 냉동기(230)에 관한 순환 매체의 유출입 온도차 및 매체량 간의 곱을 통해 제거열량에 대한 상수를 산출하는 수 있다. 제거열량 산출부(430)는 냉동기(230)의 냉수에 대해 냉수입구온도(311) 및 냉수출구온도(313)을 통해 유출입 온도차를 산출하고, 냉수 유량을 곱하여 제거열량에 대한 상수를 산출할 수 있다. 다른 실시예에서, 운영환경 수집부(410)는 제거열량 산출부(430)에 의해 산출된 특정 시점에서의 각 에너지 소비장치의 제거열량을 해당 특정 시점에서 수집한 운영환경 데이터와 함께 데이터베이스(150)에 저장할 수 있다.In one embodiment, the removal calorific
에너지 제어부(450)는 운영환경에서 제거열량을 기초로 HVAC 시스템(110)의 최적소비전력을 결정하여 HVAC 시스템(110)을 제어할 수 있다. 일 실시예에서, 에너지 제어부(450)는 HVAC 시스템(110)을 구성하는 각 에너지 소비장치의 소비전력들의 조합을 통해 현재의 운영환경에서 가장 최적화된 소비전력조합을 결정할 수 있다. 에너지 제어부(450)는 소비전력조합에 따른 소비전력 총합과 운영환경 수집부(410)에 의해 수집된 현재의 소비전력 총합을 비교하여 더 나은 경우를 선택하고 해당 결과에 맞춰 열교환식 에너지 시스템(110)을 제어함으로써 에너지를 절약할 수 있다.The
일 실시예에서, 에너지 제어부(450)는 냉동기(230)를 제어하는 냉동기 제어부, 냉수펌프(233)를 제어하는 냉수펌프 제어부, 공조기(AHU)(250)를 제어하는 공조기 제어부로 구성될 수 있다. 또한, 공조기 제어부는 급기팬 제어부 및 환기팬 제어부를 포함할 수 있다.In one embodiment, the
일 실시예에서, 에너지 제어부(450)는 운영환경 수집부(410)에 의해 수집된 운영환경 데이터 중에서 현재의 냉동기(230)의 제거열량에 해당하는 데이터를 검출할 수 있고 검출된 데이터 중에서 HVAC 시스템(110)의 소비전력이 가장 작은 경우를 최적소비전력 데이터로서 결정할 수 있다. 에너지 제어부(450)는 최적소비전력 데이터에서의 냉동기(230) 유출입 온도차와 공조기(250) 유출입 온도차, 운영환경 수집부(410)에 의해 수집된 현재의 냉수출구온도(313)와 환기온도(330)를 비교하여 HVAC 시스템(110)을 제어할 수 있다.In one embodiment, the
일 실시예에서, 에너지 제어부(450)는 냉동기(230) 및 공조기(250) 각각에 관한 순환 매체의 현재 유입 온도에서 최적소비전력 데이터에 포함된 각 순환 매체의 온도차 만큼을 뺀 값을 냉동기(230) 및 공조기(250) 각각에 관한 최적 유출 온도로서 결정하는 수 있다. 즉, 냉동기(230)의 최적 유출 온도는 '현재의 유입 온도 - 최적소비전력 데이터 상의 냉수 유출입 온도차'를 통해 산출할 수 있고, 공조기(250)의 최적 유출 온도는 '현재의 유입 온도 - 최적소비전력 데이터 상의 공기 온도차'를 통해 산출할 수 있다.In one embodiment, the
일 실시예에서, 에너지 제어부(450)는 냉동기(230)에 관한 최적 유출 온도를 기초로 냉동기(230) 및 냉수펌프(233) 중 적어도 하나를 제어할 수 있다. 에너지 제어부(450)는 최적 유출 온도에 해당하는 냉수입구온도(311)에 맞춰 냉동기(230) 및 냉수펌프(233)의 소비전력을 조절할 수 있다.In one embodiment, the
일 실시예에서, 에너지 제어부(450)는 공조기(250)에 관한 최적 유출 온도를 기초로 급기팬(320) 및 환기팬(253) 중 적어도 하나를 제어할 수 있다. 에너지 제어부(450)는 최적 유출 온도에 해당하는 급기온도(331)에 맞춰 급기팬(320) 및 환기팬(253)의 소비전력을 조절할 수 있다.In one embodiment, the
일 실시예에서, 에너지 제어부(450)는 최적소비전력과 운영환경 수집부(410)에 의해 수집된 현재의 소비전력 간의 차이가 특정 기준을 초과하는 경우 HVAC 시스템(110)의 점검필요 알림을 제공할 수 있다. 에너지 제어부(450)는 현재의 운영환경에서 최적소비전력을 결정할 수 있고, 현재의 소비전력이 최적소비전력과 일정 기준 범위를 벗어나는 큰 차이를 보이는 경우에는 현재의 HVAC 시스템(110)의 동작에 문제가 존재할 수 있으므로 사용자 인터페이스를 통하여 다양한 형태로 점검이 필요하다는 사실을 알릴 수 있다.In one embodiment, the
예를 들어, 에너지 제어부(450)는 사용자 인터페이스를 통해 디스플레이 장치에 점검필요 메시지를 표시할 수 있고, 사운드 장치를 통해 점검이 필요함을 의미하는 소리를 출력할 수 있다. 따라서, 에너지 제어부(450)에 의한 점검필요 알림을 통해 관리자는 HVAC 시스템(110)에 대한 점검을 수행할 수 있다.For example, the
제어부(470)는 에너지 절감 장치(130)의 전체적인 동작을 제어하고, 운영환경 수집부(410), 제거열량 산출부(430) 및 에너지 제어부(450) 간의 제어 흐름 또는 데이터 흐름을 관리할 수 있다.The
도 5는 도 1에 있는 에너지 절감 장치에서 수행되는 에너지 절감 과정을 설명하는 순서도이다.FIG. 5 is a flowchart illustrating an energy saving process performed in the energy saving device of FIG. 1.
도 5를 참조하면, 에너지 절감 장치(130)는 운영환경 수집부(410)를 통해 HVAC 시스템(110)에 있는 냉동기(230) 및 공조기(250) 각각에 관한 순환 매체의 유출 온도, 유입 온도와 매체량 및 HVAC 시스템(110)의 소비전력을 운영환경으로서 수집할 수 있다(단계 S510).Referring to FIG. 5, the
에너지 절감 장치(130)는 제거열량 산출부(430)를 통해 HVAC 시스템(110)을 구성하는 에너지 소비장치 중 전체 소비전력에 가장 많은 영향을 주는 냉동기(230)에 관한 순환 매체의 유출 및 유입에 따른 제거열량을 산출할 수 있다(단계 S530). 에너지 절감 장치(130)는 에너지 제어부(450)를 통해 운영환경에서 제거열량을 기초로 HVAC 시스템(110)의 최적소비전력을 결정하여 HVAC 시스템(110)을 제어할 수 있다(단계 S550).The
도 6은 도 1에 있는 에너지 절감 장치에서 수행되는 에너지 절감 과정의 일 실시예를 설명하는 순서도이다.6 is a flowchart illustrating an embodiment of an energy saving process performed in the energy saving device of FIG. 1.
도 6을 참조하면, 에너지 절감 장치(130)는 운영환경 수집부(410)를 통해 냉수 입/?구 온도차, 냉수 유량, 급/환기 온도차 및 HVAC 시스템(110)의 전체 소비전력 데이터를 수집하여 데이터베이스(150)에 저장할 수 있다(단계 S610).Referring to FIG. 6, the
에너지 절감 장치(130)는 제거열량 산출부(430)를 통해 측정된 데이터에서 현재의 냉동기(230)의 제거열량을 계산할 수 있다(단계 S620). 에너지 절감 장치(130)는 데이터베이스(150)에 저장된 데이터들 중에서 현재의 냉동기(230)의 제거열량에 해당하는 데이터를 검색할 수 있고, 검색된 데이터들을 소비전력을 기준으로 오름차순으로 정렬하여 최소의 소비전력에 해당하는 최적소비전력 데이터를 선택할 수 있다(단계 S630).The
에너지 절감 장치(130)는 최적소비전력 데이터에 포함된 냉수 입/출구 온도차와 급/환기 온도차, 현재의 냉수출구온도와 환기온도를 기초로 최적의 냉수입구온도와 급기온도를 산출할 수 있다(단계 S640). 에너지 절감 장치(130)는 현재 시점에 측정된 냉수입구온도 및 급기온도가 최적소비전력 데이터를 기초로 산출된 최적의 냉수입구온도 및 급기온도와 동일한지 여부를 비교 판단할 수 있고(단계 S650), 만약 측정된 데이터가 산출된 데이터와 다른 경우에는 산출된 최적의 냉수입구온도 및 급기온도에 따라 HVAC 시스템(110)을 제어할 수 있다(단계 S660).The
만약 측정된 데이터와 산출된 데이터가 동일한 경우에는 별도의 제어를 하지 않고 현재 동작되는 조건을 그대로 유지한 채 일정 시간 동안 HVAC 시스템(110)을 동작시킬 수 있다(단계 S670). 에너지 절감 장치(130)는 HVAC 시스템(110)의 동작을 제어하는 동안 HVAC 시스템(110)으로부터 주기적으로 또는 실시간으로 운영환경 데이터를 수집하여 데이터베이스(150)에 저장할 수 있고, 데이터베이스(150)에 저장된 운영환경 데이터가 특정 크기 이상 축적된 경우 HVAC 시스템(110)의 에너지 절감을 위해 사용될 수 있다.If the measured data and the calculated data are the same, the
일 실시예에서, 에너지 절감 장치(130)는 데이터베이스(150)에 저장된 운영환경 데이터가 미리 설정된 크기를 초과하는 경우 가장 오래된 데이터를 삭제하여 운영환경 데이터가 일정 크기 이상 커지는 것을 방지할 수 있다. 다른 실시예에서, 에너지 절감 장치(130)는 수집한 운영환경 데이터와 동일한 조건의 운영환경 데이터가 데이터베이스(150)에 이미 저장되어 있는 경우에는 과거에 저장되어 있던 운영환경 데이터를 새로 수집한 운영환경 데이터로 갱신할 수 있다.In one embodiment, when the operating environment data stored in the
상기에서는 본 발명의 바람직한 실시예를 참조하여 설명하였지만, 해당 기술 분야의 숙련된 당업자는 하기의 특허 청구의 범위에 기재된 본 발명의 사상 및 영역으로부터 벗어나지 않는 범위 내에서 본 발명을 다양하게 수정 및 변경시킬 수 있음을 이해할 수 있을 것이다.Although described above with reference to a preferred embodiment of the present invention, those skilled in the art will be variously modified and changed within the scope of the invention without departing from the spirit and scope of the invention described in the claims below I can understand that you can.
100: 냉동기의 제거열량을 이용한 에너지 절감 시스템
110: HVAC 시스템130: 에너지 절감 장치
150: 데이터베이스
210: 냉각탑211: 냉각수
213: 냉각수펌프230: 냉동기
231: 냉수233: 냉수펌프
250: 공조기(AHU)251: 급기
253: 환기팬255: 환기
270: 실내
310: 냉수코일320: 급기팬
311:냉수입구온도313: 냉수출구온도
331: 급기온도333: 환기온도
410: 운영환경 수집부430: 제거열량 산출부
450: 에너지 제어부470: 제어부100: energy saving system using the calorific value of the freezer
110: HVAC system 130: energy saving device
150: database
210: cooling tower 211: cooling water
213: cooling water pump 230: refrigerator
231: cold water 233: cold water pump
250: AHU 251: air supply
253: ventilation fan 255: ventilation
270: indoor
310: cold water coil 320: air supply fan
311: cold water inlet temperature 313: cold water outlet temperature
331: supply air temperature 333: ventilation temperature
410: operating environment collection unit 430: removal calorie calculation unit
450: energy control unit 470: control unit
| Application Number | Priority Date | Filing Date | Title |
|---|---|---|---|
| KR1020180062015AKR102032811B1 (en) | 2018-05-30 | 2018-05-30 | Appratus and method of reducing energy consumption using removed heat capacity of refrigerator |
| Application Number | Priority Date | Filing Date | Title |
|---|---|---|---|
| KR1020180062015AKR102032811B1 (en) | 2018-05-30 | 2018-05-30 | Appratus and method of reducing energy consumption using removed heat capacity of refrigerator |
| Publication Number | Publication Date |
|---|---|
| KR102032811B1true KR102032811B1 (en) | 2019-10-17 |
| Application Number | Title | Priority Date | Filing Date |
|---|---|---|---|
| KR1020180062015AActiveKR102032811B1 (en) | 2018-05-30 | 2018-05-30 | Appratus and method of reducing energy consumption using removed heat capacity of refrigerator |
| Country | Link |
|---|---|
| KR (1) | KR102032811B1 (en) |
| Publication number | Priority date | Publication date | Assignee | Title |
|---|---|---|---|---|
| CN110940030A (en)* | 2019-10-30 | 2020-03-31 | 珠海格力电器股份有限公司 | Operation control method and system of air conditioner and air conditioner |
| CN111301459A (en)* | 2020-02-27 | 2020-06-19 | 广东汉维科技有限公司 | Energy-saving control system and method for subway environmental control system |
| CN111895626A (en)* | 2020-07-06 | 2020-11-06 | 山东格瑞德集团有限公司 | An energy-saving control method for central air-conditioning based on the Internet of Things |
| CN113108393A (en)* | 2021-05-31 | 2021-07-13 | 南通华信中央空调有限公司 | Energy adjusting method for air-conditioning water system |
| Publication number | Priority date | Publication date | Assignee | Title |
|---|---|---|---|---|
| JP2005257221A (en)* | 2004-03-15 | 2005-09-22 | Toyo Netsu Kogyo Kk | Cooling water control method for refrigerator |
| JP2011021855A (en)* | 2009-07-17 | 2011-02-03 | Toyo Netsu Kogyo Kk | Control method of refrigerator |
| KR20120123335A (en) | 2009-12-16 | 2012-11-08 | 코몬웰스 싸이언티픽 엔드 인더스트리얼 리서치 오가니제이션 | Hvac control system and method |
| KR101363004B1 (en)* | 2013-09-02 | 2014-02-14 | 주식회사 성지공조기술 | Method for controlling cooling system for operation cost reduction of refrigerator and verification method fot the same |
| KR20140045623A (en) | 2012-10-08 | 2014-04-17 | 대우조선해양 주식회사 | Integrated control system of hvac system |
| KR20160042673A (en)* | 2014-10-10 | 2016-04-20 | 엘지전자 주식회사 | Central control apparatus for controlling facilities, facility control system comprising the same, and method for controlling facilities |
| KR20160042669A (en)* | 2014-10-10 | 2016-04-20 | 엘지전자 주식회사 | Central control apparatus for controlling facilities, facility control system comprising the same, and method for controlling facilities |
| Publication number | Priority date | Publication date | Assignee | Title |
|---|---|---|---|---|
| JP2005257221A (en)* | 2004-03-15 | 2005-09-22 | Toyo Netsu Kogyo Kk | Cooling water control method for refrigerator |
| JP2011021855A (en)* | 2009-07-17 | 2011-02-03 | Toyo Netsu Kogyo Kk | Control method of refrigerator |
| KR20120123335A (en) | 2009-12-16 | 2012-11-08 | 코몬웰스 싸이언티픽 엔드 인더스트리얼 리서치 오가니제이션 | Hvac control system and method |
| KR20140045623A (en) | 2012-10-08 | 2014-04-17 | 대우조선해양 주식회사 | Integrated control system of hvac system |
| KR101363004B1 (en)* | 2013-09-02 | 2014-02-14 | 주식회사 성지공조기술 | Method for controlling cooling system for operation cost reduction of refrigerator and verification method fot the same |
| KR20160042673A (en)* | 2014-10-10 | 2016-04-20 | 엘지전자 주식회사 | Central control apparatus for controlling facilities, facility control system comprising the same, and method for controlling facilities |
| KR20160042669A (en)* | 2014-10-10 | 2016-04-20 | 엘지전자 주식회사 | Central control apparatus for controlling facilities, facility control system comprising the same, and method for controlling facilities |
| Publication number | Priority date | Publication date | Assignee | Title |
|---|---|---|---|---|
| CN110940030A (en)* | 2019-10-30 | 2020-03-31 | 珠海格力电器股份有限公司 | Operation control method and system of air conditioner and air conditioner |
| CN111301459A (en)* | 2020-02-27 | 2020-06-19 | 广东汉维科技有限公司 | Energy-saving control system and method for subway environmental control system |
| CN111301459B (en)* | 2020-02-27 | 2022-03-29 | 广东汉维科技有限公司 | Energy-saving control system and method for subway environmental control system |
| CN111895626A (en)* | 2020-07-06 | 2020-11-06 | 山东格瑞德集团有限公司 | An energy-saving control method for central air-conditioning based on the Internet of Things |
| CN111895626B (en)* | 2020-07-06 | 2023-01-24 | 山东格瑞德集团有限公司 | An energy-saving control method for central air-conditioning based on the Internet of Things |
| CN113108393A (en)* | 2021-05-31 | 2021-07-13 | 南通华信中央空调有限公司 | Energy adjusting method for air-conditioning water system |
| Publication | Publication Date | Title |
|---|---|---|
| KR102032811B1 (en) | Appratus and method of reducing energy consumption using removed heat capacity of refrigerator | |
| JP5611850B2 (en) | Air conditioning control system and air conditioning control method | |
| JP4134781B2 (en) | Air conditioning equipment | |
| US9188356B2 (en) | Air conditioning system and method for managing server room | |
| JP3783859B2 (en) | Air conditioning equipment and control method thereof | |
| US10663187B2 (en) | Air conditioning system and control method thereof | |
| JP5404556B2 (en) | Air conditioner control device and refrigeration device control device | |
| JP4829147B2 (en) | Air conditioning equipment | |
| US7596431B1 (en) | Method for assessing electronic devices | |
| US10203128B2 (en) | Cold water circulation system with control of supply of cold water based on degree of air handler surplus | |
| US20150100165A1 (en) | Accuracy-optimal control decisions for systems | |
| JP6295867B2 (en) | Air conditioning control system and air conditioning control method | |
| JP2010085011A (en) | Air conditioning control system and air conditioning control method | |
| JP2012097961A (en) | Air conditioning system for management of server room, and air conditioning control method | |
| CA3058316A1 (en) | Systems and methods of predicting energy usage | |
| JP2013170753A (en) | Refrigerator system | |
| JP5312286B2 (en) | Air conditioner control device, refrigeration device control device | |
| CN111306660A (en) | Dehumidification and temperature regulation system of fresh air handling unit and temperature and humidity control method thereof | |
| JP6849345B2 (en) | Air conditioning system controls, control methods and control programs | |
| JP6386922B2 (en) | Steam valve diagnostic apparatus and method | |
| JP6125836B2 (en) | Cold water circulation system | |
| JP5005578B2 (en) | Air conditioning control system, air conditioning control program, and air conditioning control method | |
| CN108562015A (en) | A kind of anti-condensation air conditioning control method and device | |
| JP7668954B2 (en) | Air Conditioning System | |
| CN212204817U (en) | Dehumidification temperature regulating system of fresh air handling unit |
| Date | Code | Title | Description |
|---|---|---|---|
| PA0109 | Patent application | St.27 status event code:A-0-1-A10-A12-nap-PA0109 | |
| PA0201 | Request for examination | St.27 status event code:A-1-2-D10-D11-exm-PA0201 | |
| D13-X000 | Search requested | St.27 status event code:A-1-2-D10-D13-srh-X000 | |
| P11-X000 | Amendment of application requested | St.27 status event code:A-2-2-P10-P11-nap-X000 | |
| P13-X000 | Application amended | St.27 status event code:A-2-2-P10-P13-nap-X000 | |
| D14-X000 | Search report completed | St.27 status event code:A-1-2-D10-D14-srh-X000 | |
| PA0302 | Request for accelerated examination | St.27 status event code:A-1-2-D10-D17-exm-PA0302 St.27 status event code:A-1-2-D10-D16-exm-PA0302 | |
| PE0902 | Notice of grounds for rejection | St.27 status event code:A-1-2-D10-D21-exm-PE0902 | |
| P11-X000 | Amendment of application requested | St.27 status event code:A-2-2-P10-P11-nap-X000 | |
| P13-X000 | Application amended | St.27 status event code:A-2-2-P10-P13-nap-X000 | |
| PE0701 | Decision of registration | St.27 status event code:A-1-2-D10-D22-exm-PE0701 | |
| GRNT | Written decision to grant | ||
| PR0701 | Registration of establishment | St.27 status event code:A-2-4-F10-F11-exm-PR0701 | |
| PR1002 | Payment of registration fee | St.27 status event code:A-2-2-U10-U11-oth-PR1002 Fee payment year number:1 | |
| PG1601 | Publication of registration | St.27 status event code:A-4-4-Q10-Q13-nap-PG1601 | |
| P22-X000 | Classification modified | St.27 status event code:A-4-4-P10-P22-nap-X000 | |
| PN2301 | Change of applicant | St.27 status event code:A-5-5-R10-R13-asn-PN2301 St.27 status event code:A-5-5-R10-R11-asn-PN2301 | |
| PR1001 | Payment of annual fee | St.27 status event code:A-4-4-U10-U11-oth-PR1001 Fee payment year number:4 | |
| PR1001 | Payment of annual fee | St.27 status event code:A-4-4-U10-U11-oth-PR1001 Fee payment year number:5 | |
| PR1001 | Payment of annual fee | St.27 status event code:A-4-4-U10-U11-oth-PR1001 Fee payment year number:6 | |
| PR1001 | Payment of annual fee | St.27 status event code:A-4-4-U10-U11-oth-PR1001 Fee payment year number:7 |