






본 발명은 스테레오 카메라로 촬상한 스테레오 이미지를 매칭하는 방법에 관한 것으로서, 더 구체적으로는 좌우 이미지들에서 검출된 특징점들 간의 기울기를 사용하여 스테레오 이미지를 매칭하는 방법에 관한 것이다.The present invention relates to a method of matching a stereo image captured by a stereo camera, and more particularly, to a method of matching a stereo image using a slope between detected feature points in left and right images.
근래에 자율 주행자동차의 연구가 활발하게 진행됨에 따라 자율 주행자동차가 주행 환경을 인식하는 방법 및 장치 등이 다양하게 개발되고 있다.2. Description of the Related Art [0002] In recent years, studies on autonomous vehicles have been actively developed, and various methods and devices for recognizing the autonomous vehicles have been developed.
자율 주행 자동차에서 주행 환경을 인식하기 위한 센서로는 단안 카메라, 스테레오 카메라, RADAR, 및 LIDAR 등이 연구되고 있다. 단안 카메라는 근거리 물체의 인식은 가능하지만 카메라와 물체간의 거리를 정확하게 인식하는데는 한계가 있으며, LIDAR 는 단안 카메라의 단점을 보안할 수는 있지만 설치에 많은 비용이 든다는 점과 차량의 외관 변형이 불가피하다는 단점으로 인하여 상용차에 적용하기에 어려움이 있다.Monocular cameras, stereo cameras, RADAR, and LIDAR have been studied as sensors for recognizing the driving environment in autonomous vehicles. Although a monocular camera can recognize a near object, there is a limit to accurately recognize the distance between a camera and an object. LIDAR can secure the disadvantage of a monocular camera, but it is expensive to install and the appearance of the vehicle is inevitable. It is difficult to apply it to a commercial vehicle.
반면에 스테레오 카메라는 단안 카메라의 단점인 거리인식 문제를 해결할 수 있으면서 LIDAR에 비하여 낮은 비용으로 용이하게 차량에 설치할 수 있다는 장점이 있다.On the other hand, stereo cameras can solve the problem of distance recognition, which is a disadvantage of monocular cameras, but they can be easily installed in vehicles at a lower cost than LIDAR.
스테레오 카메라를 이용한 주행 환경 인식 방법은 사람이 두 눈을 통하여 사물의 형상과 거리감을 인지하는 방법을 기계에서 모방한 기술이다. 즉, 2 대의 좌우측 카메라가 각각 인간의 두 눈의 역할을 하며 3차원 공간의 이미지를 2차원 이미지로 읽어들이면, 스테레오 카메라의 인식 시스템이 2 장의 좌우 2차원 이미지 분석을 통하여 2 장의 좌우 이미지에 나타난 물체와 카메라간의 거리를 인식할 수 있게 하여준다.A method of recognizing a driving environment using a stereo camera is a technique imitating a method of recognizing the shape and distance of a person through two eyes. That is, when two left and right cameras serve as two eyes of a human, respectively, and the image of the three-dimensional space is read as a two-dimensional image, the stereo camera's recognition system displays two left and right images through two left and right two- Allows you to recognize the distance between the object and the camera.
이하에서는 일반적인 스테레오 카메라를 이용한 환경 인식 시스템을 도시한 도 1을 참조하여, 스테레오 카메라를 이용한 환경 인식 방법을 기술한다.Hereinafter, an environment recognition method using a stereo camera will be described with reference to FIG. 1 showing an environment recognition system using a general stereo camera.
일반적으로 스테레오 카메라를 이용한 환경 인식 시스템은 제1 카메라 및 제2 카메라 (102, 104) 로 구성된 촬상부 (100) 및 이미지 분석부 (122), 이미지 매칭부 (124), 및 깊이맵 작성부 (126) 로 구성된 이미지 처리부 (120) 으로 이루어져 있다.In general, an environment recognition system using a stereo camera includes an
2 대의 카메라 (102, 104) 는 각각 동시에 전방의 물체 (130) 를 촬상한다. 제1 카메라 (102)로 촬상된 좌측 이미지와 제2 카메라 (104)로 촬상된 우측 이미지는 2차원 이미지이며 이미지 분석부 (122) 에서 분석된다.The two
이미지 분석부 (122) 는 이미지 매칭부 (124)에서 실행하는 매칭 방법에 따라 다른 분석방법을 실행한다. 일반적으로, 매칭 방법은 영역 기반 매칭 방법, 위상 기반 매칭 방법 및 특징점 기반 매칭 방법 등 크게 3가지로 분류된다. 영역 기반 매칭 방법은 이미지의 각종 왜곡에 민감하기 때문에 이미지 노이즈나 콘트라스트 차 등의 영향에 따라 매칭 윈도우 크기를 설정하기 어려운 단점이 있다. 위상 기반의 매칭 방법은 고주파 이미지 노이즈에 강하다는 장점이 있으나 낮은 대역통과출력 신호로 인한 단점이 알려져 있다. 한편, 특징점 기반 매칭 방법은 이미지로부터 얻게 된 공간의 구조적 정보를 활용하는 방법으로서 특히 스테레오 카메라를 통하여 얻은 이미지를 매칭하는데 효율적으로 활용되고 있다. 본 발명은 특징점 기반의 이미지 매칭 방법에 관한 발명이므로, 이하에서는 특징점에 관한 이미지 분석을 주로 기술한다.The
이미지 매칭부 (124) 는 이미지 분석부 (122) 에서 분석한 특징점을 상호 매칭한다. 즉, 제1 카메라 (102) 가 촬상한 좌측 이미지에서 추출된 특징점들과, 제2 카메라 (104)가 촬상한 우측 이미지에서 추출된 특징점들을 상호 매칭하여 특징점 쌍을 검출한다. 매칭된 특징점 쌍은 제1 및 제2 카메라 (102, 104) 가 촬상한 물체 (130) 의 동일 지점을 나타낸다.The image matching
깊이맵 작성부 (126) 은 이미지 매칭부 (124) 가 매칭한 특징점 쌍들로부터 디스패러티 (disparity) 를 검출하여 각 특징점들로 표현되는 물체 (130) 의 3차원 깊이를 계산하여 깊이맵을 작성한다. 전술한 과정을 통하여 자율주행 자동차는 주행 환경을 3차원적으로 인식할 수 있다.The depth
이미지 매칭부 (124)에서 실행되는 이미지 매칭은, 제1 및 제2 카메라 (102, 104) 의 캘리브레이션 과정의 오류와 각 카메라의 이미지 센서의 오차 등으로 인해 많은 오류가 발생할 수 있다. 본 발명은 이러한 스테레오 매칭 오류를 감소시켜 보다 정확하게 스테레오 이미지를 매칭할 수 있는 방법을 제안한다.The image matching performed by the
본 발명의 일 실시예에 따르는 특징점을 이용한 스테레오 카메라 이미지 매칭 방법은 스테레오 카메라의 제1 촬상장치로 촬상된 제1 이미지로부터 복수의 제1 특징점을 추출하는 제1 단계, 스테레오 카메라의 제2 촬상장치로 촬상된 제2 이미지로부터 복수의 제2 특징점을 추출하는 제2 단계, 복수의 제1특징점과 복수의 제2특징점을 매칭하는 제3 단계, 제1 이미지와 제2 이미지를 좌우로 나란히 배열한 상태에서 매칭된 복수의 특징점 쌍 각각의 제1특징점과 제2특징점을 각각 서로 잇는 선분의 기울기를 계산하는 제4 단계, 및 선분의 기울기에 따라 매칭 오류 여부를 판단하고, 매칭 오류가 발생한 특징점 쌍은 매칭된 복수의 특징점 쌍에서 제외하는 제5 단계를 포함하는 것을 특징으로 한다.A stereo camera image matching method using feature points according to an embodiment of the present invention includes a first step of extracting a plurality of first feature points from a first image picked up by a first image pickup device of a stereo camera, A second step of extracting a plurality of second feature points from the second image picked up by the first feature point, a third step of matching the plurality of first feature points and the plurality of second feature points, a step of arranging the first image and the second image side by side A fourth step of calculating a slope of a line segment connecting the first feature point and the second feature point of each of the plurality of pairs of feature points matched in the state, and determining a matching error according to the slope of the line segment, And a fifth step of removing the feature points from the plurality of matching point pairs.
본 발명의 다른 실시예에 따르는 특징점을 이용한 스테레오 카메라 이미지 매칭 방법은 제4 단계에서 기울기의 히스토그램을 구하는 단계를 더 포함하며, 제5 단계에서 히스토그램을 통하여 가장 빈도수가 많은 기울기를 구하고, 가장 빈도수가 많은 기울기로부터 소정 각도를 벗어난 기울기의 특징점 쌍을 매칭된 복수의 특징점 쌍에서 제외하는 것을 특징으로 한다.The stereo camera image matching method using feature points according to another embodiment of the present invention further includes a step of obtaining a histogram of a slope in a fourth step and a slope having a most frequent number is obtained through a histogram in a fifth step, The feature point pairs of a slope deviating from a predetermined angle from many slopes are excluded from a plurality of matched pairs of feature points.
본 발명의 다른 실시예에 따르는 특징점을 이용한 스테레오 카메라 이미지 매칭 방법은 제4 단계에서 평균 기울기를 구하는 제6 단계를 포함하며, 제5 단계에서 평균 기울기로부터 소정 각도를 벗어난 기울기의 특징점 쌍을 매칭된 복수의 특징점 쌍에서 제외하는 것을 특징으로 한다.The stereo camera image matching method using feature points according to another embodiment of the present invention includes a sixth step of obtaining an average slope in a fourth step and a fifth step of matching a pair of feature points of a slope out of a predetermined angle with an average slope, And is excluded from a plurality of pairs of feature points.
본 발명의 다른 실시예에 따르는 특징점을 이용한 스테레오 카메라 이미지 매칭 방법은 제5 단계에서 특징점 쌍을 제외한 후 나머지 특징점 쌍들에 기초하여 평균 기울기를 갱신하고, 갱신된 평균 기울기를 사용하여 제5 단계를 다시 실행하는 것을 특징으로 한다.In the stereo camera image matching method using the feature points according to another embodiment of the present invention, after the feature point pairs are removed in the fifth step, the mean slope is updated based on the remaining feature point pairs, and the fifth step is performed again using the updated average slope .
본 발명의 다른 실시예에 따르는 특징점을 이용한 스테레오 카메라 이미지 매칭 방법은 제 5 단계 이후, 매칭된 복수의 특징점 쌍 각각에 있어서 제1이미지내에서 제1 특징점의 x좌표값과 제2 이미지내에서 제2 특징점의 x좌표값의 차이가 소정값보다 큰 특징점 쌍을 매칭된 복수의 특징점 쌍에서 추가로 제외하는 것을 특징으로 한다.The stereo camera image matching method using feature points according to another embodiment of the present invention is characterized in that after the fifth step, in each of the matched pairs of feature points, the x coordinate value of the first feature point in the first image, The feature point pairs in which the difference between the x coordinate values of the two feature points are larger than the predetermined value are excluded from a plurality of matching feature point pairs.
본 발명의 다른 실시예에 따르는 특징점을 이용한 스테레오 카메라 이미지 매칭 방법은 소정값은 스테레오 카메라로부터 가장 가까운 객체에 대하여 제1 이미지와 제2 이미지간의 x좌표 편차보다 큰 값으로 설정되는 것을 특징으로 한다.The stereo camera image matching method using feature points according to another embodiment of the present invention is characterized in that the predetermined value is set to a value larger than the x coordinate deviation between the first image and the second image with respect to the object closest to the stereo camera.
상술한 바와 같이, 본 발명에서 제안한 다양한 실시예에 따라 본발명은 스테레오 카메라를 통하여 얻은 이미지를 상호 매칭함에 있어서, 좌우 이미지의 특징점을 이은 선분의 기울기에 기초하여 매칭 오류를 검출하여 이를 매칭 특징점 쌍으로부터 제외함으로써, 보다 정확한 스테레오 이미지 매칭을 가능하게 한다.As described above, according to various embodiments of the present invention, in matching images obtained through a stereo camera, a matching error is detected based on a slope of a line segment between minutiae of the left and right images, Thereby enabling more accurate stereo image matching.
도 1은 스테레오 카메라를 이용한 일반적인 스테레오 이미지 매칭 시스템을 도시한다.
도 2는 크기 변화에 강한 특징점을 추출하는 과정을 설명하기 위한 도이다.
도 3은 제1 및 제2 카메라의 초점, 촬상 대상인 물체의 촬상점, 및 좌우측 이미지상의 화소점의 관계를 도시한 다이어그램이다.
도 4는 좌측 이미지와 우측 이미지를 나란히 배열하고 SIFT 알고리즘에 의하여 구한 특징점을 이미지 매칭을 통하여 상호 매칭하고, 매칭된 특징점 쌍들을 상호 연결한 선분들을 도시한다.
도 5 는 본 발명의 실시예에 따른 스테레오 이미지 매칭 방법의 절차를 도시한 흐름도이다.
도 6 은 본 발명의 다른 실시예에 따른 스테레오 이미지 매칭 방법의 절차를 도시한 흐름도이다.
도 7 은 본 발명의 다른 실시예에 따른 스테레오 이미지 매칭 방법의 절차를 도시한 흐름도이다.Figure 1 shows a typical stereo image matching system using a stereo camera.
 FIG. 2 is a diagram for explaining a process of extracting feature points that are resistant to size change.
 Fig. 3 is a diagram showing the relationship between the focal points of the first and second cameras, the imaging points of the object to be imaged, and the pixel points on the left and right images.
 FIG. 4 is a diagram illustrating the lines connecting the left and right images side by side and matching feature points obtained by the SIFT algorithm through image matching, and connecting the matched pairs of feature points.
 5 is a flowchart illustrating a procedure of a stereo image matching method according to an embodiment of the present invention.
 6 is a flowchart illustrating a procedure of a stereo image matching method according to another embodiment of the present invention.
 7 is a flowchart illustrating a procedure of a stereo image matching method according to another embodiment of the present invention.
본 명세서에서 개시된 실시예의 이점 및 특징, 그리고 그것들을 달성하는 방법은 첨부되는 도면과 함께 후술되어 있는 실시예들을 참조하면 명확해질 것이다. 그러나 본 개시에서 제안하고자 하는 실시예는 이하에서 개시되는 실시예들에 한정되는 것이 아니라 서로 다른 다양한 형태로 구현될 수 있으며, 단지 본 실시예들은 당해 기술분야에서 통상의 지식을 가진 자에게 실시예들의 범주를 완전하게 알려주기 위해 제공되는 것일 뿐이다.Brief Description of the Drawings The advantages and features of the embodiments disclosed herein, and how to accomplish them, will be apparent with reference to the embodiments described below with reference to the accompanying drawings. It should be understood, however, that the invention is not limited to the disclosed embodiments, but may be embodied in many different forms and should not be construed as limited to the embodiments set forth herein. But only to provide a complete picture of the categories.
본 명세서에서 사용되는 용어에 대해 간략히 설명하고, 개시된 실시예에 대해 구체적으로 설명하기로 한다.The terms used in this specification will be briefly described, and the disclosed embodiments will be described in detail.
본 명세서에서 사용되는 용어는 개시된 실시예들의 기능을 고려하면서 가능한 현재 널리 사용되는 일반적인 용어들을 선택하였으나, 이는 관련 분야에 종사하는 기술자의 의도 또는 판례, 새로운 기술의 출현 등에 따라 달라질 수 있다. 또한, 특정한 경우는 출원인이 임의로 선정한 용어도 있으며, 이 경우 해당되는 명세서의 상세한 설명 부분에서 상세히 그 의미를 기재할 것이다. 따라서 본 개시에서 사용되는 용어는 단순한 용어의 명칭이 아닌, 그 용어가 가지는 의미와 본 명세서의 전반에 걸친 내용을 토대로 정의되어야 한다.Although the terminology used herein should be interpreted taking into account the functions of the disclosed embodiments, it is to be understood that the present invention may be embodied in many other specific forms without departing from the spirit or essential characteristics thereof. Also, in certain cases, there may be a term arbitrarily selected by the applicant, in which case the meaning thereof will be described in detail in the detailed description of the corresponding specification. Accordingly, the terms used in the present disclosure should be defined based on the meanings of the terms, not on the names of the terms, but on the entire contents of the specification.
본 명세서에서의 단수의 표현은 문맥상 명백하게 단수인 것으로 특정하지 않는 한, 복수의 표현을 포함한다.The singular expressions herein include plural referents unless the context clearly dictates otherwise.
명세서 전체에서 어떤 부분이 어떤 구성요소를 "포함"한다고 할 때, 이는 특별히 반대되는 기재가 없는 한 다른 구성요소를 제외하는 것이 아니라 다른 구성요소를 더 포함할 수 있음을 의미한다. 또한, 명세서에서 사용되는 "부"라는 용어는 소프트웨어, FPGA 또는 ASIC과 같은 하드웨어 구성요소를 의미하며, "부"는 어떤 역할들을 수행한다. 그렇지만 "부"는 소프트웨어 또는 하드웨어에 한정되는 의미는 아니다. "부"는 어드레싱할 수 있는 저장 매체에 있도록 구성될 수도 있고 하나 또는 그 이상의 프로세서들을 재생시키도록 구성될 수도 있다. 따라서, 일 예로서 "부"는 소프트웨어 구성요소들, 객체지향 소프트웨어 구성요소들, 클래스 구성요소들 및 태스크 구성요소들과 같은 구성요소들과, 프로세스들, 함수들, 속성들, 프로시저들, 서브루틴들, 프로그램 코드의 세그먼트들, 드라이버들, 펌웨어, 마이크로 코드, 회로, 데이터, 데이터베이스, 데이터 구조들, 테이블들, 어레이들 및 변수들을 포함한다. 구성요소들과 "부"들 안에서 제공되는 기능은 더 작은 수의 구성요소들 및 "부"들로 결합되거나 추가적인 구성요소들과 "부"들로 더 분리될 수 있다.When an element is referred to as "including" an element throughout the specification, it is to be understood that the element may include other elements as well, without departing from the spirit or scope of the present invention. Also, as used herein, the term "part " refers to a hardware component such as software, FPGA or ASIC, and" part " However, "part" is not meant to be limited to software or hardware. "Part" may be configured to reside on an addressable storage medium and may be configured to play back one or more processors. Thus, by way of example, and not limitation, "part (s) " refers to components such as software components, object oriented software components, class components and task components, and processes, Subroutines, segments of program code, drivers, firmware, microcode, circuitry, data, databases, data structures, tables, arrays and variables. The functions provided in the components and "parts " may be combined into a smaller number of components and" parts " or further separated into additional components and "parts ".
아래에서는 첨부한 도면을 참고하여 실시예에 대하여 본 발명이 속하는 기술 분야에서 통상의 지식을 가진 자가 용이하게 실시할 수 있도록 상세히 설명한다. 그리고 도면에서 본 발명을 명확하게 설명하기 위해서 설명과 관계없는 부분은 생략한다.Hereinafter, embodiments of the present invention will be described in detail with reference to the accompanying drawings. In order to clearly explain the present invention in the drawings, parts not related to the description will be omitted.
일반적으로 종래의 이미지 분석부 (122) 에서 특징점 추출 방법으로서 많이 사용되는 알고리즘으로서 SIFT (Scale Invariant Feature Transform) 알고리즘이 알려져 있다. SIFT는 크기와 회전 변화에 강한 특징점 추출 방법이다.In general, a Scale Invariant Feature Transform (SIFT) algorithm is known as an algorithm widely used as a feature point extraction method in the conventional
도 2는 크기 변화에 강한 특징점을 추출하는 과정을 설명하기 위한 도이다. 우선, 제1 카메라 (102) 및 제2 카메라 (104) 에서 각각 촬상한 좌측 이미지 및 우측 이미지에 대하여 가우시안 필터를 적용하여 가우시안 피라미드 (이미지 피라미드)를 생성한다.FIG. 2 is a diagram for explaining a process of extracting feature points that are resistant to size change. First, a Gaussian filter is applied to the left image and the right image picked up by the
가우시안 필터는 아래의 수식 (1)로 표현된다.The Gaussian filter is expressed by the following equation (1).
(1) (One)
가우시안 필터에서 σ는 가우시안 피라미드의 층위를 나타내며, 가우시안 필터를 촬상된 이미지에 적용하여 생성된 가우시안 피라미드는 도 2의 (a)로 표시된다. 가우시안 피라미드의 각 층위의 이미지는 아래의 수식 (2)로 표현된다. In the Gaussian filter, sigma denotes the layer of the Gaussian pyramid, and the Gaussian pyramid generated by applying the Gaussian filter to the sensed image is indicated by (a) in Fig. The image of each level of the Gaussian pyramid is expressed by the following equation (2).
(2) (2)
가우시안 피라미드의 상층부로 갈수록 (σ값이 커질수록) 촬상된 이미지는 선명도를 잃고 흐릿한 이미지로 나타난다.The higher the value of the Gaussian pyramid (the larger the σ value), the lighter the image and the blurry the image becomes.
크기에 강한 특징점을 추출하기 위해서는 DoG (Difference of Gaussian) 을 생성하며, 이는 아래의 수식 (3) 으로 표현되며, DoG의 극값을 구하여 이를 크기에 강한 특징점으로 사용한다. DoG의 극값은 각 샘플 포인트를 26개의 인접 층위내의 포인트들 및 동일 층위의 인접 포인트들과 비교함으로써 구할 수 있다.To extract feature points that are strong in size, DoG (Difference of Gaussian) is generated, which is expressed by Equation (3) below. The extreme value of DoG can be obtained by comparing each sample point with points in 26 adjacent layers and adjacent points in the same layer.
(3) (3)
한편, 회전 변화에 강한 특징점을 추출하기 위해서는, 전술한 바에 따라 구해진 특징점 주변의 소정수의 픽셀을 선택하여 좌우측 이미지의 픽셀에 대하여 그레디언트 분포 특성을 계산한다.On the other hand, in order to extract the feature points strong against the change in rotation, a predetermined number of pixels around the feature points obtained as described above are selected to calculate the gradient distribution characteristic for the pixels of the left and right images.
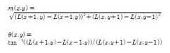
그레디언트의 크기 (m(x, y)) 와 방향 (θ(x, y)) 은 아래의 식 (4)로 표현된다.The magnitude (m (x, y)) and the direction (? (X, y)) of the gradient are expressed by the following equation (4).
(4) (4)
이와 같이 특징점 주변의 소정수의 픽셀 (예컨데 16X16)들에 대한 그레디언트의 크기와 방향을 구하고 각 픽셀들에 대한 그레디언트의 방향을 양자화한다. 양자화된 그레디언트의 방향에 대하여 히스토그램을 생성하고, 히스토그램상의 가장 큰 값의 그레디언트 방향을 해당 특징점의 방향으로 설정할 수 있다.In this way, the magnitude and direction of the gradient for a predetermined number of pixels (for example, 16X16) around the minutiae are obtained, and the direction of the gradient for each pixel is quantized. A histogram may be generated for the direction of the quantized gradient and a gradient direction of the largest value on the histogram may be set for the direction of the corresponding feature point.
전술한 바에 따라 특징점은 그것의 좌표값 (x, y), 스케일 값 (σ) 및 그레디언트 방향 (θ) 으로 특정되며, 방향 변화에 강한 또는 무관한 특징점을 구하기 위해서는 위에서 구해진 그레디언트 방향만큼 축을 회전시켜주면 된다.The feature point is specified by its coordinate value (x, y), scale value (?) And gradient direction (?), And in order to obtain a feature point strong or unrelated to the direction change, the axis is rotated by the gradient direction obtained above You can give it.
이상은 SIFT 알고리즘에 따라 크기와 방향 변화에 강한 특징점을 구하는 일반적인 방법을 기술하였다. 이하에서는 도 3을 참조하여 일반적인 스테레오 이미지 매칭 방법을 설명한다.The above describes a general method for obtaining strong feature points for size and direction changes according to the SIFT algorithm. Hereinafter, a general stereo image matching method will be described with reference to FIG.
도 3은 제1 및 제2 카메라의 초점, 촬상 대상인 물체의 촬상점, 및 좌우측 이미지상의 화소점의 관계를 도시한 다이어그램이다.Fig. 3 is a diagram showing the relationship between the focal points of the first and second cameras, the imaging points of the object to be imaged, and the pixel points on the left and right images.
OL은 제1 카메라의 초점을 나타내며, OR는 제2 카메라의 초점을 나타낸다. X는 제1 카메라 및 제2 카메라의 촬상 대상의 촬상점을 나타내며, XL은 촬상점 X가 좌측 이미지 평면에 투사되어 나타나는 화소점이며, XR은 촬상점 X가 우측 이미지 평면에 투사되어 표시되는 화소점이다.OL represents the focus of the first camera, and OR represents the focus of the second camera. X is the first camera and the second represents the image pick-up point of the imaging object of the camera, XL is the pixel that the image pick-up point X appears is projected on the left side of the image plane, XR is displayed is projected on the image plane, the right side is the image pickup point X .
OL, OR, X는 제1 및 제2 카메라와 촬상 대상이 형상하는 3차원 공간을 구성하는 삼각형을 형성한다. 이 삼각형과 좌측 이미지 평면이 만나서 이루는 선분을 XL의 에피폴라 라인이라고 하며, 삼각형과 우측 이미지 평면이 만나서 이루는 선분 (미도시)을 XR의 에피폴라 라인이라고 한다.OL , OR , and X form a triangle constituting a three-dimensional space formed by the first and second cameras and the object to be imaged. The line segment formed by the intersection of this triangle and the left image plane is called an epipolar line of XL , and a line segment (not shown) formed by the triangle and the right image plane is called an epipolar line of XR.
촬상점 X의 깊이가 X1, X2, X3로 변화하더라도, 좌측 이미지 평면상에서는 XL로 투사되지만, 우측 이미지 평면상에는 다른 위치의 점들로 투사되어 나타나며, 이들 점들은 XL의 에피폴라 라인상에 위치한다.Although the depth of the imaging point X changes to X1 , X2 , and X3 , it is projected to XL on the left image plane, but projected to other points on the right image plane and these points appear on the epipolar line XL Lt; / RTI >
좌측 이미지 평면상에 투사되는 화소점 XL과 우측 이미지 평면상에 투사되는 화소점 XR의 관계는 제1 카메라 및 제2 카메라의 내외부 파라미터를 통하여 얻어진 매트릭스 F를 통하여 아래의 식 (5) 와 같이 구해진다.The relationship between the pixel point XL projected on the left image plane and the pixel point XR projected on the right image plane is expressed by the following equations (5) and (6) through the matrix F obtained through the internal and external parameters of the first and second cameras It is obtained together.
(5) (5)
즉, 매트릭스 F와 좌측 또는 우측 이미지 평면상에 투사되는 어느 화소점 위치를 알고 있으면, 그에 대응되는 우측 또는 좌측 이미지 평면상에 투사되는 화소점을 구할 수 있다.That is, if a pixel point position to be projected on the matrix F and the left or right image plane is known, a pixel point projected on the right or left image plane corresponding thereto can be obtained.
그러나, 측정 오류 및 카메라 위치와 방향의 부정확성 등을 이유로 대응되는 화소점의 위치를 정확하게 계산하는 것에는 어려움이 있다. 따라서, XL에 대응되는 화소점은 우측 이미지 평면중 전술한 에피폴라 라인의 주변에서 서치를 통하여 검출될 수 있다.However, it is difficult to accurately calculate the position of the pixel point corresponding to the measurement error and the inaccuracy of the camera position and direction. Therefore, the pixel point corresponding to XL can be detected through the search in the vicinity of the aforementioned epipolar line in the right image plane.
이상은 좌우측 이미지 평면 중 어느 일측 이미지 평면에 투사되는 화소점과 그에 대응되는 타측 이미지 평면상의 화소점과의 관계 및 이들 대응되는 화소점 쌍을 구하는 방법에 관하여 기술하였다.The above description has described the relationship between the pixel point projected on one of the left and right image planes and the pixel point on the other image plane corresponding thereto and a method for obtaining the corresponding pixel point pair.
같은 방법으로 제1 카메라에 의하여 촬상된 좌측 이미지상의 제1 특징점과 이에 대응하는 제2 카메라에 의하여 촬상된 우측 이미지상의 제2 특징점을 매칭하기 위해서는, 제 1 특징점과 제1 특징점의 에피폴라 라인 주변의 제2 특징점들을 비교하여 그 차이가 소정값보다 작으면 이를 제1 특징점의 대응되는 제2 특징점으로 검출한다. 그러나, 스테레오 카메라의 하드웨어적 오차 및 측정 오차등으로 인하여, 전술한 방법으로 검출된 특징점 쌍들에는 여전히 오류가 존재한다.In order to match the first feature point on the left image picked up by the first camera and the second feature point on the right image picked up by the second camera corresponding thereto in the same way, the first feature point and the periphery of the epipolar line of the first feature point And if the difference is smaller than the predetermined value, it is detected as a corresponding second feature point of the first feature point. However, due to the hardware error and the measurement error of the stereo camera, there are still errors in the pairs of the feature points detected by the above-described method.
도 4는 좌측 이미지와 우측 이미지를 나란히 배열하고 SIFT 알고리즘에 의하여 구한 특징점을 이미지 매칭을 통하여 상호 매칭하고, 매칭된 특징점 쌍들을 상호 연결한 선분들을 도시한다. 도 4에서 붉은 선분은 매칭 오류가 발생한 특징점 쌍들을 서로 이은 선분을 나타낸다.FIG. 4 is a diagram illustrating the lines connecting the left and right images side by side and matching feature points obtained by the SIFT algorithm through image matching, and connecting the matched pairs of feature points. In FIG. 4, the red line segment represents a line segment connecting pairs of feature points where a matching error occurs.
본 발명의 일 실시예에 따른 스테레오 이미지 매칭 방법에 따르면, 제1 카메라로 촬상된 제1 이미지 (좌측 이미지) 로부터 복수의 제1 특징점을 추출하고, 제2 카메라로 촬상된 제2 이미지 (우측 이미지) 로부터 복수의 제2 특징점을 추출하고, 복수의 제1특징점과 복수의 제2특징점을 매칭하고, 제1 이미지와 제2 이미지를 좌우로 나란히 배열한 상태에서 매칭된 복수의 특징점 쌍 각각의 제1특징점과 제2특징점을 각각 서로 잇는 선분의 기울기를 계산하여, 계산된 선분의 기울기에 따라 매칭 오류 여부를 판단하고, 매칭 오류가 발생한 특징점 쌍은 매칭된 복수의 특징점 쌍에서 제외한다.According to the stereo image matching method of the embodiment of the present invention, a plurality of first feature points are extracted from a first image (left image) captured by a first camera, and a second image captured by a second camera A plurality of first feature points and a plurality of second feature points are matched with each other and a plurality of feature point pairs of a plurality of feature point pairs matched in a state in which the first image and the second image are arranged side by side, A slope of a line segment connecting one feature point and a second feature point is calculated to determine whether or not a matching error has occurred according to the slope of the calculated line segment, and the pair of feature points having a matching error is excluded from a plurality of matched pairs of feature points.
스테레오 카메라로 촬상한 이미지는 좌우측 이미지에 촬상되는 물체의 크기가 대체로 동일하며, 대응하는 (매칭된) 특징점 쌍을 잇는 선분의 기울기도 대체로 유사하다는 점에 착안하여, 본 발명의 일 실시예에서는 매칭된 특징점 쌍을 서로 잇는 선분의 기울기가 다른 특징점 쌍을 서로 잇는 선분의 기울기와 차이를 보이면, 이를 통하여 매칭 오류를 판단하고 오류가 발생한 특징점 쌍을 제외시킨다.The image captured by the stereo camera is substantially the same in size as the object to be imaged on the left and right images and the slope of the line segment corresponding to the corresponding (matched) pair of feature points is substantially similar. In an embodiment of the present invention, If there is a difference between the slopes of the line segments connecting the pair of minutiae points having different slopes of the line segments connecting the pair of minutiae points, the matching error is judged and the pair of minutiae where the error occurs is excluded.
도 5 은 본 발명의 실시예에 따른 스테레오 이미지 매칭 방법의 절차를 도시한 흐름도이다.5 is a flowchart illustrating a procedure of a stereo image matching method according to an embodiment of the present invention.
502단계에서 좌측 이미지로부터 복수의 제1특징점을 추출하고 우측 이미지로부터 복수의 제2 특징점을 추출한다. 특징점을 추출하는 방법은 다양하며 특정 방법으로 한정하지 않는다.In
단계 504에서 제1 특징점과 제2 특징점을 매칭하여, 매칭된 복수의 특징점 쌍들을 검출한다. 단계 506에서 좌우로 나란히 배열된 좌측 이미지와 우측 이미지상의 매칭된 특징점 쌍들의 특징점을 잇는 선분의 기울기를 구하고, 기울기들에 대한 히스토그램으로부터 가장 빈도가 높은 기울기값 (Sm) 을 구한다.In
단계 508에서 기울기 (Si)를 초기화하고 단계 510에서 기울기 (Si)와 가장 빈도가 높은 기울기 (Sm)의 차를 소정값 (θ0)과 비교하고, 소정값보다 크다면 단계 512에서 해당 특징점 쌍을 매칭된 특징점 쌍에서 제외한다. 단계 514에서 i를 증가시키고, 단계 516에서 i를 특징점 쌍의 총수와 비교하고, i가 총수보다 작다면 단계 510 내지 단계 516을 반복하고, 모든 특징점 쌍에 대하여 기울기 비교를 완료하였다면 매칭 오류 검출을 종료한다 (단계 518).In
도 6 은 본 발명의 다른 실시예에 따른 스테레오 이미지 매칭 방법의 절차를 도시한 흐름도이다.6 is a flowchart illustrating a procedure of a stereo image matching method according to another embodiment of the present invention.
602단계에서 좌측 이미지로부터 복수의 제1특징점을 추출하고 우측 이미지로부터 복수의 제2 특징점을 추출한다. 특징점을 추출하는 방법은 다양하며 특정 방법으로 한정하지 않는다.In
단계 604에서 제1 특징점과 제2 특징점을 매칭하여, 매칭된 복수의 특징점 쌍들을 검출한다. 단계 606에서 좌우로 나란히 배열된 좌측 이미지와 우측 이미지상의 매칭된 특징점 쌍들의 특징점을 잇는 선분의 기울기를 구하고, 기울기들의 평균값 (Sa)을 구한다.In
단계 608에서 기울기 (Si)를 초기화하고 단계 610에서 기울기 (Si)와 평균 기울기 (Sa)의 차를 소정값 (θ0)과 비교하고, 소정값보다 크다면 단계 612에서 해당 특징점 쌍을 매칭된 특징점 쌍에서 제외한다. 단계 614에서 i를 증가시키고, 단계 616에서 i를 특징점 쌍의 총수와 비교하고, i가 총수보다 작다면 단계 610 내지 단계 616을 반복하고, 모든 특징점 쌍에 대하여 기울기 비교를 완료하였다면 매칭 오류 검출을 종료한다 (단계 618).The difference between the slope Si and the average slope Sa is initialized at
도 7 은 본 발명의 다른 실시예에 따른 스테레오 이미지 매칭 방법의 절차를 도시한 흐름도이다.7 is a flowchart illustrating a procedure of a stereo image matching method according to another embodiment of the present invention.
702단계에서 좌측 이미지로부터 복수의 제1특징점을 추출하고 우측 이미지로부터 복수의 제2 특징점을 추출한다. 특징점을 추출하는 방법은 다양하며 특정 방법으로 한정하지 않는다.In
단계 704에서 제1 특징점과 제2 특징점을 매칭하여, 매칭된 복수의 특징점 쌍들을 검출한다. 단계 706에서 좌우로 나란히 배열된 좌측 이미지와 우측 이미지상의 매칭된 특징점 쌍들의 특징점을 잇는 선분의 기울기를 구하고, 기울기들의 평균값 (Sa)을 구한다.In
단계 708에서 기울기 (Si)를 초기화하고 단계 710에서 기울기 (Si)와 평균 기울기 (Sa)의 차를 소정값 (θ0)과 비교하고, 소정값보다 크다면 단계 712에서 해당 특징점 쌍을 매칭된 특징점 쌍에서 제외한다. 단계 714에서 매칭 에러인 특징점 쌍을 제외한 나머지 특징점들로부터 평균 기울기를 다시 구하여 평균 기울기를 갱신한다. 이는 매칭 에러인 특징점 쌍의 기울기로 인하여 전단계에서 구한 평균 기울기가 오염되었기 때문에 이를 수정하기 위한 것이다. 매칭 에러가 검출될 때마다 평균 기울기를 갱신할 수도 있고, 매칭 에러의 누적회수가 일정값 이상이 될 때마다 평균 기울기를 갱신할 수도 있다. 단계 716에서 i를 증가시키고, 단계 718에서 i를 특징점 쌍의 총수와 비교하고, i가 총수보다 작다면 단계 710 내지 단계 718을 반복하고, 모든 특징점 쌍에 대하여 기울기 비교를 완료하였다면 매칭 오류 검출을 종료한다 (단계 720).The difference between the slope Si and the average slope Sa is initialized at
본 발명의 다른 실시예에 따른 스테레오 이미지 매칭 방법은, 도 5 내지 도 7에서 제안된 실시예에 각각 추가하여, 매칭된 복수의 특징점 쌍 각각에 있어서 제1 특징점의 x좌표값과 제2 특징점의 x좌표값의 차이가 소정값보다 큰 특징점 쌍을 매칭된 복수의 특징점 쌍에서 추가로 제외함으로써, 특징점 쌍간의 기울기의 측면에서 매칭 에러를 검출한 것에 추가하여, 특징점 쌍의 x좌표값의 측면에서 매칭 에러를 추가로 걸러냄으로써, 보다 정확하게 스테레오 이미지를 매칭할 수 있도록 한다.The stereo image matching method according to another embodiment of the present invention may further include adding the x coordinate value of the first feature point and the second feature point of each of the matched pairs of feature points, In addition to the detection of a matching error on the side of the slope between the pairs of minutiae, by additionally excluding the pair of minutiae having the difference between the x coordinate values larger than the predetermined value from the matched pairs of minutiae points, By further filtering the matching error, it is possible to more accurately match the stereo image.
한편, 제1 특징점과 제2특징점의 x 좌표값 차이가 매칭 에러 판단의 기준이 되는 값을, 스테레오 카메라로부터 촬상된 가장 가까운 물체에 대한 제1 이미지와 제2 이미지간의 x좌표 편차보다 큰 값으로 설정함으로써, x 좌표값의 편차가 가장 큰 근접 물체에 대한 정상적인 매칭이 오류로 판단되지 않도록 하는 것이 바람직하다.On the other hand, if the difference between the x coordinate values of the first and second characteristic points is a reference for judging the matching error to be a value larger than the x coordinate deviation between the first image and the second image for the closest object picked up by the stereo camera It is desirable that the normal matching of the proximate object having the largest deviation of the x coordinate value is not judged as an error.
본 발명의 다른 일 실시예는 전술한 스테레오 이미지 매칭 방법을 구현하는 장치일 수 있다. 본 발명의 일 실시예에 따른 스테레오 이미지 매칭 장치는 하나 이상의 프로세서를 포함하며, 이들 하나 이상의 프로세서에서 전술한 스테레오 매칭 방법의 각 단계들을 실행한다.Another embodiment of the present invention may be an apparatus for implementing the above-described stereo image matching method. A stereo image matching apparatus according to an embodiment of the present invention includes one or more processors for executing the steps of the above-described stereo matching method on the one or more processors.
본 발명에 따른 다른 실시예는 전술한 스테레오 이미지 매칭 방법을 컴퓨터가 수행하도록 하는 프로그램으로 구현하고 이 프로그램을 판독가능한 불휘발성 메모리에 저장한 기록매체로서 제공될 수도 있다.Another embodiment according to the present invention may be provided as a recording medium in which the above-described stereo image matching method is implemented as a program for a computer to be executed and the program is stored in a readable nonvolatile memory.
100스테레오 카메라
102제1 카메라
104제2 카메라
120 이미지 처리부
122이미지 분석부
124이미지 매칭부
126깊이맵 작성부100 Stereo camera
 102 First camera
 104 Second camera
 120 image processing unit
 122 image analysis section
 124 image matching unit
 The depth map creating unit
| Application Number | Priority Date | Filing Date | Title | 
|---|---|---|---|
| KR1020180005454AKR101995466B1 (en) | 2018-01-16 | 2018-01-16 | Stereo image matching based on feature points | 
| Application Number | Priority Date | Filing Date | Title | 
|---|---|---|---|
| KR1020180005454AKR101995466B1 (en) | 2018-01-16 | 2018-01-16 | Stereo image matching based on feature points | 
| Publication Number | Publication Date | 
|---|---|
| KR101995466B1true KR101995466B1 (en) | 2019-07-02 | 
| Application Number | Title | Priority Date | Filing Date | 
|---|---|---|---|
| KR1020180005454AActiveKR101995466B1 (en) | 2018-01-16 | 2018-01-16 | Stereo image matching based on feature points | 
| Country | Link | 
|---|---|
| KR (1) | KR101995466B1 (en) | 
| Publication number | Priority date | Publication date | Assignee | Title | 
|---|---|---|---|---|
| CN112911303A (en)* | 2021-01-27 | 2021-06-04 | 浙江商汤科技开发有限公司 | Image encoding method, decoding method, device, electronic device, and storage medium | 
| US11232283B1 (en)* | 2021-05-17 | 2022-01-25 | Vr Media Technology, Inc. | Facial recognition system that compares narrow band ultraviolet-absorbing skin chromophores | 
| US11354924B1 (en) | 2021-05-17 | 2022-06-07 | Vr Media Technology, Inc. | Hand recognition system that compares narrow band ultraviolet-absorbing skin chromophores | 
| Publication number | Priority date | Publication date | Assignee | Title | 
|---|---|---|---|---|
| KR20020020942A (en)* | 2000-05-19 | 2002-03-16 | 요트.게.아. 롤페즈 | Method, system and apparatus | 
| JP2013126114A (en)* | 2011-12-14 | 2013-06-24 | Samsung Yokohama Research Institute Co Ltd | Stereo image processing method and stereo image processing apparatus | 
| KR20150090640A (en)* | 2014-01-29 | 2015-08-06 | (주)나이시스 | The zoom function conformity method using the image feature point | 
| Publication number | Priority date | Publication date | Assignee | Title | 
|---|---|---|---|---|
| KR20020020942A (en)* | 2000-05-19 | 2002-03-16 | 요트.게.아. 롤페즈 | Method, system and apparatus | 
| JP2013126114A (en)* | 2011-12-14 | 2013-06-24 | Samsung Yokohama Research Institute Co Ltd | Stereo image processing method and stereo image processing apparatus | 
| KR20150090640A (en)* | 2014-01-29 | 2015-08-06 | (주)나이시스 | The zoom function conformity method using the image feature point | 
| Publication number | Priority date | Publication date | Assignee | Title | 
|---|---|---|---|---|
| CN112911303A (en)* | 2021-01-27 | 2021-06-04 | 浙江商汤科技开发有限公司 | Image encoding method, decoding method, device, electronic device, and storage medium | 
| CN112911303B (en)* | 2021-01-27 | 2024-03-29 | 浙江商汤科技开发有限公司 | Image encoding method, decoding method, device, electronic device and storage medium | 
| US11232283B1 (en)* | 2021-05-17 | 2022-01-25 | Vr Media Technology, Inc. | Facial recognition system that compares narrow band ultraviolet-absorbing skin chromophores | 
| US11354924B1 (en) | 2021-05-17 | 2022-06-07 | Vr Media Technology, Inc. | Hand recognition system that compares narrow band ultraviolet-absorbing skin chromophores | 
| Publication | Publication Date | Title | 
|---|---|---|
| US10970871B2 (en) | Estimating two-dimensional object bounding box information based on bird's-eye view point cloud | |
| JP6760114B2 (en) | Information processing equipment, data management equipment, data management systems, methods, and programs | |
| JP6670071B2 (en) | Vehicle image recognition system and corresponding method | |
| JP6184877B2 (en) | Vehicle external recognition device | |
| JP4930046B2 (en) | Road surface discrimination method and road surface discrimination device | |
| CN109961417B (en) | Image processing method, image processing apparatus, and mobile apparatus control method | |
| CN114118253B (en) | Vehicle detection method and device based on multi-source data fusion | |
| WO2014002692A1 (en) | Stereo camera | |
| CN110297232A (en) | Monocular distance measuring method, device and electronic equipment based on computer vision | |
| CN112598743B (en) | Pose estimation method and related device for monocular vision image | |
| CN108645375B (en) | Rapid vehicle distance measurement optimization method for vehicle-mounted binocular system | |
| KR101995466B1 (en) | Stereo image matching based on feature points | |
| CN112907626B (en) | Moving target extraction method based on satellite super-time phase data multi-source information | |
| CN106803262A (en) | The method that car speed is independently resolved using binocular vision | |
| CN114049542B (en) | A fusion positioning method based on multi-sensor in dynamic scenes | |
| KR20180098945A (en) | Method and apparatus for measuring speed of vehicle by using fixed single camera | |
| JP7020322B2 (en) | Building limit judgment device | |
| CN111948658A (en) | Deep water area positioning method for identifying and matching underwater landform images | |
| CN112132895B (en) | Image-based position determination method, electronic device, and storage medium | |
| JP2002133413A (en) | Method and apparatus for identifying a three-dimensional object using image processing | |
| JP4788399B2 (en) | Pedestrian detection method, apparatus, and program | |
| CN113450335A (en) | Road edge detection method, road edge detection device and road surface construction vehicle | |
| US20090304263A1 (en) | Method for classifying an object using a stereo camera | |
| JP7207479B2 (en) | Building gauge determination method | |
| JP6334773B2 (en) | Stereo camera | 
| Date | Code | Title | Description | 
|---|---|---|---|
| PA0109 | Patent application | Patent event code:PA01091R01D Comment text:Patent Application Patent event date:20180116 | |
| PA0201 | Request for examination | ||
| PE0902 | Notice of grounds for rejection | Comment text:Notification of reason for refusal Patent event date:20181220 Patent event code:PE09021S01D | |
| E701 | Decision to grant or registration of patent right | ||
| PE0701 | Decision of registration | Patent event code:PE07011S01D Comment text:Decision to Grant Registration Patent event date:20190625 | |
| GRNT | Written decision to grant | ||
| PR0701 | Registration of establishment | Comment text:Registration of Establishment Patent event date:20190626 Patent event code:PR07011E01D | |
| PR1002 | Payment of registration fee | Payment date:20190627 End annual number:3 Start annual number:1 | |
| PG1601 | Publication of registration | ||
| PR1001 | Payment of annual fee | Payment date:20220221 Start annual number:4 End annual number:4 | |
| PR1001 | Payment of annual fee | Payment date:20230315 Start annual number:5 End annual number:5 | |
| PR1001 | Payment of annual fee | Payment date:20240326 Start annual number:6 End annual number:6 |