




















본 발명은 생체인식 인증 기술에 관한 것으로, 보다 상세하게는 모바일 기기 기반의 인증 모델을 적용하여 인증을 위한 개인 정보를 높은 보안 수준으로 처리할 수 있는 모바일 기기 기반의 생체인식 정보 검증 방법에 관한 것이다.The present invention relates to a biometric authentication technique, and more particularly, to a mobile device-based biometric information verification method capable of processing personal information for authentication with a high security level by applying an authentication model based on a mobile device .
바이오메트릭 기반의 사용자 인증 기술은 바이오메트릭 센서를 기반으로 획득되는 사용자의 센서 데이터를 데이터베이스에 있는 원본 데이터와 비교하여 동일 사용자인지 여부를 판단하는 방식으로 사용자를 인증할 수 있다. 종래 기술은 측정자의 상태나 측정 환경에 따라 결과에 차이가 있어 신뢰성이 떨어지고, 공격자가 도난되거나 허위 하드웨어 보안 모듈을 이용하여 사용자 인증을 위조하는 경우 대응하기 어려워 보안 안전성이 낮은 단점이 있다.The biometric based user authentication technology can authenticate the user by comparing the sensor data of the user acquired based on the biometric sensor with the original data in the database to determine whether the user is the same user. The prior art has a disadvantage in that the reliability is low due to a difference in the result depending on the state of the measurer or the measurement environment, and when the attacker is stolen or falsified the user authentication using a false hardware security module, it is difficult to cope with the security.
한국공개특허공보 제10-2017-0034618(2017.03.29)호는 바이오 정보를 이용하는 사용자 인증 방법 및 사용자 인증을 위한 인증 서버, 바이오 인식 장치에 관한 것으로, 개시된 바이오 정보를 이용하는 사용자 인증 방법은 사용자의 제1바이오 정보를 수집하는 단계; 상기 제1바이오 정보를 인증 서버로 전송하는 단계; 상기 사용자의 제2바이오 정보를 수집하는 단계; 및 상기 제1바이오 정보에 대한 사용자 인증이 성공한 경우, 상기 제2바이오 정보를 상기 인증 서버로 전송하는 단계를 포함한다.Korean Patent Laid-Open Publication No. 10-2017-0034618 (Apr. 29, 2017) discloses a user authentication method using biometric information and an authentication server and a biometric authentication device for user authentication. Collecting first bioinformation; Transmitting the first bioinformation to an authentication server; Collecting second biometric information of the user; And transmitting the second bioinformation to the authentication server when user authentication of the first bioinformation is successful.
한국등록특허 제10-0875923(2008.12.18)호는 각각의 단일 바이오 인식 시스템의 인식 결과를 융합하여 사용자를 검색하는 사용자 검색 시스템 및 그 방법에 관한 것으로, 사용자의 다수의 바이오 정보를 입력받아 저장하는 바이오 정보 데이터베이스; 상기 저장된 다수의 바이오 정보의 각각의 바이오 정보에 대해 누적분포 함수를 이용하여 확률분포를 추정하는 분포 추정부; 검색 대상 사용자의 다수의 바이오 정보를 상기 각각의 바이오 정보로부터 검색하고, 그 매칭 여부를 판단하여 상기 대상 사용자의 다수의 바이오 정보의 각각의 정보에 매칭 점수를 부여하는 바이오 정보 검색부; 및 상기 각각의 매칭 점수를 상기 추정된 확률분포를 참조하여 CBF(Cumulative Bayes Fusion)을 이용하여 융합하여, 그 융합 결과로부터 상기 대상 사용자의 검색(인증) 결과를 추출하는 융합부를 포함한다.Korean Patent Registration No. 10-0875923 (Dec. 18, 2008) discloses a user search system and method for searching a user by merging recognition results of respective single biometric recognition systems. The user search system receives and stores a plurality of bio information of a user Biometric information database; A distribution estimator for estimating a probability distribution of each bio information of the stored plurality of bio information using an accumulated distribution function; A bio information retrieval unit for retrieving a plurality of bio information of a user to be retrieved from the respective bio information, determining whether the bio information is matched, and assigning a matching score to each piece of information of the plurality of bio information of the target user; And a fusion unit for fusing each of the matching scores by using CBF (Cumulative Bayes Fusion) with reference to the estimated probability distribution, and extracting a search result (authentication result) of the target user from the fusion result.
본 발명의 일 실시예는 모바일 기기 기반의 인증 모델을 적용하여 인증을 위한 개인 정보를 높은 보안 수준으로 처리할 수 있는 모바일 기기 기반의 생체인식 정보 검증 방법을 제공하고자 한다.An embodiment of the present invention is to provide a biometric information verification method based on a mobile device capable of processing personal information for authentication using a mobile device-based authentication model at a high security level.
본 발명의 일 실시예는 보안 위협에 따라 복수의 인증 모델들 중 하나를 선택하도록 하여 보안에 대한 위협 요인에 대응할 수 있는 모바일 기기 기반의 생체인식 정보 검증 방법을 제공하고자 한다.An embodiment of the present invention provides a method for verifying biometric information based on a mobile device capable of selecting one of a plurality of authentication models in response to a security threat, thereby responding to a security threat factor.
실시예들 중에서, 생체인식 인증 방법은 생체인식 정보 캡처 엘리먼트, 기준 생체인식 정보 저장 엘리먼트 및 인증 수행 엘리먼트와 연동되는 생체인식 인증 단말에서 수행된다. 상기 생체인식 인증 방법은 (a) 검증대상에 관한 생체인식 인증 요청을 수신하는 단계, (b) 상기 생체인식 인증 요청에 따라 상기 생체인식 정보 캡처 엘리먼트가 검증대상의 생체인식 정보를 캡처하도록 하는 단계, (c) 인증모델을 결정하는 단계, (d) 상기 결정된 인증모델을 기초로 상기 기준 생체인식 정보 저장 엘리먼트와 상기 인증 수행 엘리먼트를 검출하는 단계, (e) 상기 인증 수행 엘리먼트가 상기 생체인식 정보 캡처 엘리먼트로부터 수신된 검증대상의 생체인식 정보와 상기 기준 생체인식 정보 저장 엘리먼트로부터 수신된 인증대상의 기준 생체인식 정보를 기초로 상기 검증대상에 대한 인증을 수행하도록 하는 단계 및 (f) 상기 인증 수행 엘리먼트로부터 상기 검증대상에 대한 인증 결과를 수신하는 단계를 포함한다.In embodiments, the biometric authentication method is performed in a biometric authentication terminal interlocked with a biometric information capture element, a reference biometric information storage element, and an authentication performing element. Wherein the biometric authentication method comprises the steps of: (a) receiving a biometric authentication request for an object to be verified; (b) capturing the biometric information of the object to be verified according to the biometric authentication request; , (c) determining an authentication model, (d) detecting the reference biometric information storage element and the authentication performing element based on the determined authentication model, (e) Performing authentication on the verification target based on the biometric authentication information received from the capture element and the reference biometric authentication information received from the reference biometric information storage element; and (f) And receiving an authentication result for the verification target from the element.
상기 생체인식 정보 캡처 엘리먼트, 기준 생체인식 정보 저장 엘리먼트 및 인증 수행 엘리먼트는 원격 생체인식 정보를 보안 위협에 따라 처리하기 위해 생체인식 센서, 생체인식 인증 단말 및 생체인식 인증 서버 중 적어도 일부에 설치될 수 있다.The biometric information capture element, the reference biometric information storage element, and the authentication performing element may be installed in at least some of the biometric sensor, the biometric authentication terminal, and the biometric authentication server to process remote biometric information according to security threats. have.
상기 (c) 단계는 상기 기준 생체인식 정보 저장 엘리먼트 및 인증 수행 엘리먼트 각각의 주체를 정의한 복수의 인증모델 후보들 중 하나를 상기 인증모델로 결정하는 단계를 포함할 수 있다.The step (c) may include the step of determining one of the plurality of authentication model candidates defining the subject of each of the reference biometric information storage element and the authentication performing element as the authentication model.
상기 (c) 단계는 상기 생체인식 인증 단말의 보안 위협에 따라 상기 복수의 인증모델 후보들 중 하나를 선택하는 단계를 더 포함할 수 있다.The step (c) may further comprise selecting one of the plurality of authentication model candidates according to a security threat of the biometric authentication terminal.
상기 (d) 단계는 상기 결정된 인증모델에 정의된 기준 생체인식 정보 저장 엘리먼트 및 인증 수행 엘리먼트 각각의 액세스 포인트를 획득하는 단계를 포함할 수 있다.The step (d) may include obtaining an access point of each of the reference biometric information storage element and the authentication performing element defined in the determined authentication model.
상기 (e) 단계는 상기 인증 수행 엘리멘트가 생체인식 인증 서버로 구현된 경우에는 상기 인증 수행 엘리멘트가 상기 생체인식 정보 캡처 엘리먼트로부터 켭처된 원본의 생체인식 정보를 수신하도록 하는 단계를 포함할 수 있다.The step (e) may include causing the authentication performing element to receive the biometric information of the original turned on from the biometric information capturing element if the authentication performing element is implemented in the biometric authentication server.
상기 (e) 단계는 상기 인증 수행 엘리멘트가 생체인식 인증 단말로 구현된 경우에는 상기 인증 수행 엘리멘트가 상기 기준 생체인식 정보 저장 엘리먼트에 의하여 가공된 가공의 기준 생체인식 정보를 수신하도록 하는 단계를 포함할 수 있다.Wherein the step (e) includes the step of causing the authentication execution element to receive processed reference biometric information by the reference biometric information storage element when the authentication execution element is implemented in the biometric authentication terminal .
상기 (e) 단계는 상기 인증 수행 엘리멘트가 생체인식 센서로 구현된 경우에는 상기 인증 수행 엘리멘트가 상기 캡처된 생체인식 정보의 저장 없이 가공의 생체인식 정보를 생성하도록 하고 상기 기준 생체인식 정보 저장 엘리먼트에 의하여 가공된 가공의 기준 생체인식 정보를 수신하도록 하는 단계를 포함할 수 있다.Wherein the step (e) includes: when the authentication execution element is implemented as a biometric sensor, the authentication execution element generates processed biometric information without storing the captured biometric information and stores the processed biometric information in the reference biometric information storage element And to receive the processed biometric identification information of the processed data.
상기 (e) 단계는 상기 기준 생체인식 저장 엘리멘트가 생체인식 인증 단말로 구현된 경우에는 TEE(Trusted Execution Environment)를 통해 상기 기준 생체인식 정보를 USIM(Universal Subscriber Identity Module) 칩에 저장하는 단계를 포함할 수 있다.The step (e) includes the step of storing the reference biometric information on a USIM (Universal Subscriber Identity Module) chip through a TEE (Trusted Execution Environment) when the reference biometric storage element is implemented in the biometric authentication terminal can do.
상기 (e) 단계는 상기 인증 수행 엘리멘트가 생체인식 인증 서버로 구현된 경우에는 상기 생체인식 정보 캡처 엘리먼트가 상기 캡처된 생체인식 정보를 공개 키를 기초로 암호화하여 상기 인증 수행 엘리멘트에 전송하도록 하는 단계를 포함할 수 있다.Wherein the step (e) includes the step of allowing the biometric information capturing element to encrypt the captured biometric information based on the public key and transmit the encrypted biometric information to the authentication performing element when the authentication performing element is implemented as a biometric authentication server . ≪ / RTI >
상기 (f) 단계는 상기 생체인식 인증 단말에 의하여 설치된 생체인식 인증 에이전트를 통해 상기 인증 결과를 수신하는 단계를 포함할 수 있다.The step (f) may include receiving the authentication result through the biometric authentication agent installed by the biometric authentication terminal.
상기 (f) 단계는 상기 인증 수행 엘리멘트가 생체인식 인증 서버로 구현된 경우에는 상기 인증 수행 엘리멘트로부터 상기 생체인식 인증 에이전트를 제공 받고, 상기 생체인식 인증 에이전트를 통한 사용자 인증이 성공되는 경우에만 상기 인증 결과의 수신을 허용하도록 하는 단계를 포함할 수 있다.The method of
실시예들 중에서, 생체인식 인증 단말은 생체인식 정보 캡처 엘리먼트, 기준 생체인식 정보 저장 엘리먼트 및 인증 수행 엘리먼트와 연동된다. 상기 생체인식 인증 단말은 검증대상에 관한 생체인식 인증 요청을 수신하는 생체인식 인증 요청 수신부, 상기 생체인식 인증 요청에 따라 상기 생체인식 정보 캡처 엘리먼트가 검증대상의 생체인식 정보를 캡처하도록 하는 생체인식 정보 캡처 제어부, 인증모델을 결정하고, 상기 결정된 인증모델을 기초로 상기 기준 생체인식 정보 저장 엘리먼트와 상기 인증 수행 엘리먼트를 검출하는 인증모델 결정부, 상기 인증 수행 엘리먼트가 상기 생체인식 정보 캡처 엘리먼트로부터 수신된 검증대상의 생체인식 정보와 상기 기준 생체인식 정보 저장 엘리먼트로부터 수신된 인증대상의 기준 생체인식 정보를 기초로 상기 검증대상에 대한 인증을 수행하도록 하는 인증 수행 제어부 및 상기 인증 수행 엘리먼트로부터 상기 검증대상에 대한 인증 결과를 수신하는 인증 결과 수신부를 포함한다.In embodiments, the biometric authentication terminal is associated with a biometric information capture element, a reference biometric information storage element, and an authentication performing element. Wherein the biometric authentication terminal comprises: a biometric authentication request receiving unit for receiving a biometric authentication request related to an object to be verified; a biometric information capturing element for capturing biometric information to be verified according to the biometric authentication request; A capture control unit, an authentication model determination unit for determining an authentication model, and detecting the reference biometric information storage element and the authentication performing element based on the determined authentication model; An authentication execution control unit for performing authentication on the verification target based on biometric identification information to be verified and reference biometric authentication information to be verified received from the reference biometric information storage element; Receive the authentication result Includes an authentication result reception unit.
개시된 기술은 다음의 효과를 가질 수 있다. 다만, 특정 실시예가 다음의 효과를 전부 포함하여야 한다거나 다음의 효과만을 포함하여야 한다는 의미는 아니므로, 개시된 기술의 권리범위는 이에 의하여 제한되는 것으로 이해되어서는 아니 될 것이다.The disclosed technique may have the following effects. It is to be understood, however, that the scope of the disclosed technology is not to be construed as limited thereby, as it is not meant to imply that a particular embodiment should include all of the following effects or only the following effects.
본 발명의 일 실시예에 따른 모바일 기기 기반의 생체인식 정보 검증 방법은 모바일 기기 기반의 인증 모델을 적용하여 인증을 위한 개인 정보를 높은 보안 수준으로 처리할 수 있다.The method of verifying biometrics information based on a mobile device according to an embodiment of the present invention can process personal information for authentication with a high security level by applying an authentication model based on a mobile device.
본 발명의 일 실시예에 따른 모바일 기기 기반의 생체인식 정보 검증 방법은 보안 위협에 따라 복수의 인증 모델들 중 하나를 선택하도록 하여 보안에 대한 위협 요인에 대응할 수 있다.The method for verifying biometrics information based on a mobile device according to an embodiment of the present invention can correspond to a threat factor for security by selecting one of a plurality of authentication models according to a security threat.
도 1은 본 발명의 일 실시예에 따른 생체인식 인증 시스템을 설명하는 도면이다.
도 2는 도 1에 있는 생체인식 인증 단말의 구성을 나타내는 도면이다.
도 3은 도 2에 있는 프로세서가 생체인식 인증을 위한 생체인식 인증 프로시저를 수행하는 과정을 설명하는 흐름도이다.
도 4는 도 2에 있는 프로세서가 복수의 인증모델 후보들을 정의하는 인증모델 후보 테이블을 기초로 인증모델을 결정하는 과정의 일 실시예를 설명하는 도면이다.
도 5는 본 발명의 일 실시예에 따른 생체인식 인증 시스템에 관한 표준 환경을 나타내는 도면이다.
도 6은 본 발명의 일 실시예에 따른 12 가지의 인증모델들을 설명하는 도면이다.
도 7은 본 발명의 일 실시예에 따른 생체인식 인증 단말이 공개 키 기반 구조(PKI)와 표준 환경 기반에서 접할 수 있는 보안 위협을 설명하는 도면이다.
도 8은 본 발명의 일 실시예에 따라 모델 1이 적용된 생체인식 인증 단말 및 이를 포함하는 생체인식 인증 시스템의 흐름을 나타내는 도면이다.
도 9는 본 발명의 일 실시예에 따른 생체인식 인증 단말이 응용 프로그램의 생체 인식 데이터를 얻는 과정을 나타내는 도면이다.
도 10는 본 발명의 일 실시예에 따라 사용자가 생체인식 인증을 위한 사전 등록 절차 및 로그인 절차를 수행하는 과정을 나타내는 도면이다.1 is a view for explaining a biometric authentication system according to an embodiment of the present invention.
 Fig. 2 is a diagram showing a configuration of the biometric authentication terminal shown in Fig. 1. Fig.
 FIG. 3 is a flowchart illustrating a process of the biometric authentication procedure performed by the processor of FIG. 2 for biometric authentication.
 FIG. 4 is a view for explaining an embodiment of a process of determining an authentication model based on an authentication model candidate table in which the processor in FIG. 2 defines a plurality of authentication model candidates.
 5 is a diagram illustrating a standard environment for a biometric authentication system according to an embodiment of the present invention.
 FIG. 6 is a view for explaining 12 authentication models according to an embodiment of the present invention.
 FIG. 7 is a view for explaining a security threat that a biometric authentication terminal according to an exemplary embodiment of the present invention can access based on a public key infrastructure (PKI) and a standard environment.
 8 is a flowchart illustrating a biometric authentication terminal to which a
 9 is a diagram illustrating a process of acquiring biometric data of an application program by the biometric authentication terminal according to an embodiment of the present invention.
 10 is a diagram illustrating a process of a user performing a pre-registration procedure and a login procedure for biometric authentication according to an embodiment of the present invention.
본 발명에 관한 설명은 구조적 내지 기능적 설명을 위한 실시예에 불과하므로, 본 발명의 권리범위는 본문에 설명된 실시예에 의하여 제한되는 것으로 해석되어서는 아니 된다. 즉, 실시예는 다양한 변경이 가능하고 여러 가지 형태를 가질 수 있으므로 본 발명의 권리범위는 기술적 사상을 실현할 수 있는 균등물들을 포함하는 것으로 이해되어야 한다. 또한, 본 발명에서 제시된 목적 또는 효과는 특정 실시예가 이를 전부 포함하여야 한다거나 그러한 효과만을 포함하여야 한다는 의미는 아니므로, 본 발명의 권리범위는 이에 의하여 제한되는 것으로 이해되어서는 아니 될 것이다.The description of the present invention is merely an example for structural or functional explanation, and the scope of the present invention should not be construed as being limited by the embodiments described in the text. That is, the embodiments are to be construed as being variously embodied and having various forms, so that the scope of the present invention should be understood to include equivalents capable of realizing technical ideas. Also, the purpose or effect of the present invention should not be construed as limiting the scope of the present invention, since it does not mean that a specific embodiment should include all or only such effect.
한편, 본 출원에서 서술되는 용어의 의미는 다음과 같이 이해되어야 할 것이다.Meanwhile, the meaning of the terms described in the present application should be understood as follows.
"제1", "제2" 등의 용어는 하나의 구성요소를 다른 구성요소로부터 구별하기 위한 것으로, 이들 용어들에 의해 권리범위가 한정되어서는 아니 된다. 예를 들어, 제1 구성요소는 제2 구성요소로 명명될 수 있고, 유사하게 제2 구성요소도 제1 구성요소로 명명될 수 있다.The terms " first ", " second ", and the like are intended to distinguish one element from another, and the scope of the right should not be limited by these terms. For example, the first component may be referred to as a second component, and similarly, the second component may also be referred to as a first component.
어떤 구성요소가 다른 구성요소에 "연결되어"있다고 언급된 때에는, 그 다른 구성요소에 직접적으로 연결될 수도 있지만, 중간에 다른 구성요소가 존재할 수도 있다고 이해되어야 할 것이다. 반면에, 어떤 구성요소가 다른 구성요소에 "직접 연결되어"있다고 언급된 때에는 중간에 다른 구성요소가 존재하지 않는 것으로 이해되어야 할 것이다. 한편, 구성요소들 간의 관계를 설명하는 다른 표현들, 즉 "~사이에"와 "바로 ~사이에" 또는 "~에 이웃하는"과 "~에 직접 이웃하는" 등도 마찬가지로 해석되어야 한다.It is to be understood that when an element is referred to as being "connected" to another element, it may be directly connected to the other element, but there may be other elements in between. On the other hand, when an element is referred to as being "directly connected" to another element, it should be understood that there are no other elements in between. On the other hand, other expressions that describe the relationship between components, such as "between" and "between" or "neighboring to" and "directly adjacent to" should be interpreted as well.
단수의 표현은 문맥상 명백하게 다르게 뜻하지 않는 한 복수의 표현을 포함하는 것으로 이해되어야 하고, "포함하다"또는 "가지다" 등의 용어는 실시된 특징, 숫자, 단계, 동작, 구성요소, 부분품 또는 이들을 조합한 것이 존재함을 지정하려는 것이며, 하나 또는 그 이상의 다른 특징이나 숫자, 단계, 동작, 구성요소, 부분품 또는 이들을 조합한 것들의 존재 또는 부가 가능성을 미리 배제하지 않는 것으로 이해되어야 한다.It is to be understood that the singular " include " or " have " are to be construed as including the stated feature, number, step, operation, It is to be understood that the combination is intended to specify that it does not preclude the presence or addition of one or more other features, integers, steps, operations, elements, components, or combinations thereof.
각 단계들에 있어 식별부호(예를 들어, a, b, c 등)는 설명의 편의를 위하여 사용되는 것으로 식별부호는 각 단계들의 순서를 설명하는 것이 아니며, 각 단계들은 문맥상 명백하게 특정 순서를 기재하지 않는 이상 명기된 순서와 다르게 일어날 수 있다. 즉, 각 단계들은 명기된 순서와 동일하게 일어날 수도 있고 실질적으로 동시에 수행될 수도 있으며 반대의 순서대로 수행될 수도 있다.In each step, the identification code (e.g., a, b, c, etc.) is used for convenience of explanation, the identification code does not describe the order of each step, Unless otherwise stated, it may occur differently from the stated order. That is, each step may occur in the same order as described, may be performed substantially concurrently, or may be performed in reverse order.
본 발명은 컴퓨터가 읽을 수 있는 기록매체에 컴퓨터가 읽을 수 있는 코드로서 구현될 수 있고, 컴퓨터가 읽을 수 있는 기록 매체는 컴퓨터 시스템에 의하여 읽혀질 수 있는 데이터가 저장되는 모든 종류의 기록 장치를 포함한다. 컴퓨터가 읽을 수 있는 기록 매체의 예로는 ROM, RAM, CD-ROM, 자기 테이프, 플로피 디스크, 광 데이터 저장 장치 등이 있다. 또한, 컴퓨터가 읽을 수 있는 기록 매체는 네트워크로 연결된 컴퓨터 시스템에 분산되어, 분산 방식으로 컴퓨터가 읽을 수 있는 코드가 저장되고 실행될 수 있다.The present invention can be embodied as computer-readable code on a computer-readable recording medium, and the computer-readable recording medium includes all kinds of recording devices for storing data that can be read by a computer system . Examples of the computer-readable recording medium include ROM, RAM, CD-ROM, magnetic tape, floppy disk, optical data storage, and the like. In addition, the computer-readable recording medium may be distributed over network-connected computer systems so that computer readable codes can be stored and executed in a distributed manner.
여기서 사용되는 모든 용어들은 다르게 정의되지 않는 한, 본 발명이 속하는 분야에서 통상의 지식을 가진 자에 의해 일반적으로 이해되는 것과 동일한 의미를 가진다. 일반적으로 사용되는 사전에 정의되어 있는 용어들은 관련 기술의 문맥상 가지는 의미와 일치하는 것으로 해석되어야 하며, 본 출원에서 명백하게 정의하지 않는 한 이상적이거나 과도하게 형식적인 의미를 지니는 것으로 해석될 수 없다.All terms used herein have the same meaning as commonly understood by one of ordinary skill in the art to which this invention belongs, unless otherwise defined. Commonly used predefined terms should be interpreted to be consistent with the meanings in the context of the related art and can not be interpreted as having ideal or overly formal meaning unless explicitly defined in the present application.
도 1은 본 발명의 일 실시예에 따른 생체인식 인증 시스템을 설명하는 도면이다.1 is a view for explaining a biometric authentication system according to an embodiment of the present invention.
도 1을 참조하면, 생체인식 인증 시스템(100)은 생체인식 인증 단말(110), 생체인식 센서(120) 및 생체인식 인증 서버(130)를 포함할 수 있고, 이들은 상호 연결될 수 있다.Referring to FIG. 1, the
생체인식 인증 단말(110)은 생체인식 정보 캡처 엘리먼트(140), 기준 생체인식 정보 저장 엘리먼트(150) 및 인증 수행 엘리먼트(160)와 연동하여 도 3에 있는 생체인식 인증(Telebiometric authentication)에 관한 생체인식 인증 프로시저를 수행할 수 있다. 여기에서, 생체인식 정보 캡처 엘리먼트(140)는 검증대상의 생체인식 정보를 캡처(capture)할 수 있고, 기준 생체인식 정보 저장 엘리먼트(150)는 인증대상의 기준 생체인식 정보(reference)를 저장(store)할 수 있으며, 인증 수행 엘리먼트(160)는 검증대상의 생체인식 정보와 인증대상의 기준 생체인식 정보를 비교 분석(comparison)하여 검증대상에 대한 인증을 수행할 수 있다. 생체인식 정보 캡처 엘리먼트(140), 기준 생체인식 정보 저장 엘리먼트(150) 및 인증 수행 엘리먼트(160)는 생체인식 센서(120), 생체인식 인증 단말(110) 및 생체인식 인증 서버(130) 중 적어도 일부로 구현될 수 있고, 일 실시예에서, 이들은 원격 생체인식 정보를 보안 위협에 따라 처리하기 위해 생체인식 센서(120), 생체인식 인증 단말(110) 및 생체인식 인증 서버(130) 중 적어도 일부에 설치될 수 있다. 이에 관한 내용은 뒤에서 보다 상세하게 서술하도록 한다.The
생체인식 인증 단말(110)은 생체인식 센서(120) 및 생체인식 인증 서버(130)와 네트워크를 통하거나 전기적으로 연결될 수 있고, 예를 들어, 자신과 장치 독립적인 모바일 기기로 구현된 생체인식 센서(120)와 블루투스 또는 와이파이를 통해 연결되고, 자신과 장치 독립적인 생체인식 인증 서버(130)와 인터넷을 통해 연결될 수 있다.The
일 실시예에서, 생체인식 인증 단말(110)은 생체인식 인증 에이전트를 통해 생체인식 정보 캡처 엘리먼트(140), 기준 생체인식 정보 저장 엘리먼트(150) 및 인증 수행 엘리먼트(160)와 연동할 수 있다. 여기에서, 생체인식 인증 에이전트는 생체인식 인증 단말(110)에 설치되면 생체인식 인증 단말(110)이 생체인식 정보 캡처 엘리먼트(140), 기준 생체인식 정보 저장 엘리먼트(150) 및 인증 수행 엘리먼트(160)와 연동되도록 할 수 있는 에이전트 프로그램에 해당하고, 일 실시예에서, 모바일 응용 소프트웨어로 구현될 수 있다.In one embodiment, the
생체인식 인증 단말(110)은 중앙처리장치, 메모리 장치, 입출력 수단 및 네트워크 수단을 구비한 컴퓨팅 장치로 구현될 수 있고, 예를 들어, PC, 노트북, 스마트폰, PDA(Personal Digital Assistant), 태블릿 PC 또는 별도의 하드웨어 수단으로 구현될 수 있다.The
생체인식 센서(120)는 사용자의 생체인식 정보를 획득할 수 있다. 일 실시예에서, 생체인식 센서(120)는 사용자의 생체인식 정보를 센싱할 수 있는 바이오메트릭(bio-metric) 센서로 구현될 수 있다. 생체인식 센서(120)에는 사용자의 생체인식 정보를 캡처하는 생체인식 정보 캡처 엘리먼트(140)가 설치될 수 있고, 일 실시예에서, 생체인식 인증 단말(110)과 장치 독립적인 모바일 기기로 구현되어 전기적으로 또는 근거리 통신망을 통해 생체인식 인증 단말(110)과 연결될 수 있고, 다른 일 실시예에서, 생체인식 인증 단말(110)과 장치 통합적인 하나의 컴퓨팅 장치로 구현되어 생체인식 인증 단말(110)과 전기적으로 연결될 수 있다.The
생체인식 인증 서버(130)는 생체인식 인증 단말(110) 및 생체인식 센서(120)과 연결될 수 있고, 각각과 연동하여 생체인식 인증을 수행할 수 있다. 생체인식 인증 서버(130)는 중앙처리장치, 메모리 장치, 입출력 수단 및 네트워크 수단을 구비한 컴퓨팅 장치로 구현될 수 있고, 일 실시예에서, 적어도 하나의 생체인식 인증 단말(110) 또는 적어도 하나의 생체인식 센서(120)와 연결되어 각각의 요청을 기반으로 해당 사용자에 관한 생체인식 인증을 수행하여 인증 결과를 제공할 수 있는 서버로서 기능할 수 있다.The
도 2는 도 1에 있는 생체인식 인증 단말의 구성을 나타내는 도면이다.Fig. 2 is a diagram showing a configuration of the biometric authentication terminal shown in Fig. 1. Fig.
도 2를 참조하면, 생체인식 인증 단말(110)는 프로세서(210), 메모리(220), 사용자 입출력부(230) 및 네트워크 입출력부(240)을 포함할 수 있다.2, the
프로세서(210)는 도 3에 있는 생체인식 인증에 관한 생체인식 인증 프로시저를 수행메시지 기반의 파일 공유 프로시저를 실행할 수 있고, 이러한 과정에서 읽혀지거나 작성되는 메모리(220)를 관리할 수 있으며, 메모리(220)에 있는 휘발성 메모리와 비휘발성 메모리 간의 동기화 시간을 스케줄할 수 있다. 프로세서(210)는 생체인식 인증 단말(110)의 동작 전반을 제어할 수 있고, 메모리(220), 사용자 입출력부(230) 및 네트워크 입출력부(240) 간의 데이터 흐름을 제어할 수 있으며, 생체인식 인증 단말(110)의 CPU(Central Processing Unit)로 구현될 수 있다.The
메모리(220)는 SSD(Solid State Disk) 또는 HDD(Hard Disk Drive)와 같은 비휘발성 메모리로 구현되어 생체인식 인증 단말(110)에 필요한 데이터 전반을 저장하는데 사용되는 보조기억장치를 포함할 수 있고, RAM(Random Access Memory)과 같은 휘발성 메모리로 구현된 주기억장치를 포함할 수 있다.The
사용자 입출력부(230)은 사용자 입력을 수신하기 위한 환경 및 사용자에게 특정 정보(예를 들어, 인증 결과 데이터)를 출력하기 위한 환경을 포함하고, 예를 들어, 마우스, 트랙볼, 터치 패드, 그래픽 태블릿, 스캐너, 터치 스크린, 키보드 또는 포인팅 장치와 같은 어댑터를 포함하는 입력장치 및 모니터 또는 터치스크린과 같은 어댑터를 포함하는 출력장치를 포함할 수 있다.The user input /
네트워크 입출력부(240)은 네트워크를 통해 생체인식 센서(120) 및 생체인식 인증 서버(130) 중 적어도 하나와 연결하기 위한 환경을 포함하고, 예를 들어, LAN(Local Area Network) 통신을 위한 어댑터를 포함할 수 있다The network input /
도 2의 아래 도면은 프로세서(210)의 기능 요소를 나타내는 블록도이다. 이를 참조하면, 프로세서(210)는 생체인식 인증 요청 수신부(211), 생체인식 정보 캡처 제어부(212), 인증모델 결정부(213), 인증 수행 제어부(214), 인증 결과 수신부(215) 및 제어부(216)를 포함할 수 있다.2 is a block diagram illustrating the functional elements of the
생체인식 인증 요청 수신부(211)는 검증대상에 관한 생체인식 인증 요청을 수신할 수 있다. 보다 구체적으로, 생체인식 인증 요청 수신부(211)는 특정 서비스의 이용과 관련하여 사용자 또는 해당 서비스 제공자의 요청에 따른 생체인식 인증 요청을 수신할 수 있고, 일 실시예에서, 셍체인식 인증 에이전트를 통해 인증 요청의 대상인 인증대상에 관한 사용자 정보 및 인증대상 식별자를 포함하는 생체인식 인증 요청을 수신할 수 있다. 생체인식 인증 요청 수신부(211)는 생체인식 인증 요청이 수신되면 생체인식 인증을 위한 생체인식 인증 프로시저를 시작할 수 있다. 여기에서, 검증대상은 자신의 생체인식 정보가 캡처되도록 하여 생체인식 인증을 진행하고자 하는 대상자(예를 들어, 현재 생체인식 정보 캡처 엘리먼트(140)를 이용 중인 제1 사용자)에 해당하고, 인증대상은 생체인식 인증을 위해 검증대상의 생체인식 정보와 비교하게 될 비교대상자(예를 들어, 기준 생체인식 정보가 기 등록된 제2 사용자)에 해당하며, 제1 사용자와 제2 사용자는 동일하거나 상이할 수 있다.The biometric authentication request receiving unit 211 may receive the biometric authentication request regarding the verification target. More specifically, the biometric authentication request receiving unit 211 may receive a biometric authentication request according to a request of the user or the service provider in connection with the use of the specific service, and in one embodiment, The biometric authentication request including the user information on the authentication target and the authentication target identifier that is the target of the authentication request. The biometric authentication request receiving unit 211 may start a biometric authentication procedure for biometric authentication when a biometric authentication request is received. Here, the object to be verified corresponds to a person (for example, the first user currently using the biometric information capturing element 140) who intends to perform biometric authentication by capturing his / her biometric information, (For example, a second user having previously registered reference biometric information) to be compared with the biometric information to be verified for biometric authentication, and the first user and the second user are the same or different can do.
생체인식 정보 캡처 제어부(212)는 생체인식 인증 요청에 따라 생체인식 정보 캡처 엘리먼트(140)가 검증대상의 생체인식 정보를 캡처하도록 할 수 있다. 보다 구체적으로, 생체인식 정보 캡처 제어부(212)는 생체인식 인증 요청이 수신되면 전기적으로 연결되거나 네트워크를 통해 연결된 생체인식 정보 캡처 엘리먼트(140)에 검증대상의 생체인식 정보를 캡처할 것을 요청할 수 있다. 생체인식 정보 캡처 엘리먼트(140)는 생체인식 센서(120)로 구현될 수 있고, 생체인식 정보 캡처 제어부(212)는 생체인식 센서(120)에 생체인식 정보 캡처를 요청하여 생체인식 센서(120)가 생체인식 정보 캡처 엘리먼트(140)를 통해 해당 시점의 사용자에 해당하는 검증대상의 생체인식 정보를 캡처하도록 할 수 있다.The biometric information capturing control unit 212 may cause the biometric
여기에서, 생체인식 정보는 사용자 개별의 고유 신호로서, 지문, 홍채, 망막, 손 모양, 안면, 음성 및 서명 정보 중 적어도 하나를 포함할 수 있다. 생체인식 정보 캡처 엘리먼트(140)는 해당 요청에 따라 사용자의 신체 표면에 접촉되거나 또는 특정 신체 부위를 향하여 특정 거리를 두고 배치된 바이오메트릭 센서 모듈을 통해 사용자의 신체특성 및 행위특성 중 적어도 하나에 관한 생체인식 정보를 센싱하여 디지털 신호로 획득할 수 있다.Here, the biometric information may be at least one of fingerprint, iris, retina, hand shape, face, voice, and signature information as a unique signal of each user. The biometric
인증모델 결정부(213)는 인증모델을 결정할 수 있다. 일 실시예에서, 인증모델은 생체인식 정보 캡처 엘리먼트(140), 기준 생체인식 정보 저장 엘리먼트(150) 및 인증 수행 엘리먼트(160) 각각의 주체, 인증 플로우(flow), 보안 위협(Security threats) 및 대응 지침(Possible countermeasures) 중에서 적어도 하나를 정의한 인증모델 데이터를 포함할 수 있다. 여기에서, 각각의 주체는 해당 엘리먼트가 구현되어 해당 엘리먼트의 기능을 수행하는 대상을 의미하고 생체인식 센서(120), 생체인식 인증 단말(110) 및 생체인식 인증 서버(130) 중 하나에 해당할 수 있다. 인증 플로우는 해당 인증모델에 따른 각 주체 별 송수신 정보 및 인증순서를 정의할 수 있고, 보안 위협은 권한 없는 사용자의 불법 사용에 따른 적어도 하나의 위협 요인을 포함할 수 있으며, 대응 지침은 보안 위협에 대응 가능한 대책(Possible countermeasures)을 포함할 수 있다.The authentication model determination unit 213 can determine the authentication model. In one embodiment, the authentication model includes a subject, an authentication flow, security threats, and a subject of each of the biometric
일 실시예에서, 인증모델 결정부(213)는 기준 생체인식 정보 저장 엘리먼트(150) 및 인증 수행 엘리먼트(160) 각각의 주체를 정의한 복수의 인증모델 후보들 중 하나를 인증모델로 결정할 수 있다. 앞서 기술한 것처럼, 생체인식 정보 캡처 엘리먼트(140), 기준 생체인식 정보 저장 엘리먼트(150) 및 인증 수행 엘리먼트(160)는 생체인식 센서(120), 생체인식 인증 단말(110) 및 생체인식 인증 서버(130) 중 적어도 일부에 설치되어 구현될 수 있고, 해당 엘리먼트들 각각이 어디에 설치되어 있는지에 따라 상이한 주체를 가지는 복수의 인증모델 후보들로 구분될 수 있다. 일 실시예에서, 인증모델 결정부(213)는 특정 주기로 복수의 인증모델 후보들에 관한 정보의 적어도 일부를 업데이트할 수 있다.In one embodiment, the authentication model determining unit 213 may determine one of a plurality of authentication model candidates that define a subject of each of the reference biometric
일 실시예에서, 복수의 인증모델 후보들 각각은 인증모델 후보 테이블(400)을 기초로 각 주체가 정의될 수 있다. 도 4에서와 같이, 복수의 인증모델 후보들은 각 주체에 따라 제1 내지 제12 모델(Model 1~12)로 정의될 수 있다. 예를 들어, 복수의 인증모델 후보들 중 하나인 제1 모델(Model 1)은 검증대상의 생체인식 정보를 캡처(Capturing)하는 생체인식 정보 캡처 엘리먼트(140)의 주체가 생체인식 센서(120)로 정의되고, 인증대상의 기준 생체인식 정보에 해당하는 기준 생체인식 템플릿(Biometric reference template)을 저장(Store)하는 기준 생체인식 정보 저장 엘리먼트(150)의 주체가 생체인식 인증 단말(110)로 정의되며, 검증대상의 생체인식 정보와 인증대상의 기준 생체인식 정보를 비교 분석(Comparison)하여 검증대상에 대한 인증을 수행하는 인증 수행 엘리먼트(160)의 주체가 생체인식 인증 단말(110)로 정의될 수 있다.In one embodiment, each of the plurality of authentication model candidates may be defined on the basis of the authentication model candidate table 400. As shown in FIG. 4, a plurality of authentication model candidates may be defined as first to twelfth models (
일 실시예에서, 인증모델 결정부(213)는 생체인식 인증 단말(110)의 보안 위협에 따라 복수의 인증모델 후보들 중 하나를 선택할 수 있다. 보다 구체적으로, 인증모델 결정부(213)는 해당 생체인식 인증 단말(110)의 통신 환경을 분석하여 복수의 인증모델 후보들 중 해당 생체인식 인증 단말(110)에서 적용 가능한 인증모델 후보를 검출할 수 있고, 검출된 인증모델 후보가 복수 개인 경우에는 해당 인증모델 후보에 있는 보안 위협 및 대응 지침을 기초로 보안 위험도를 산출하여 산출된 보안 위험도가 가장 작은 인증모델 후보를 최종적인 인증모델로 선택할 수 있다.In one embodiment, the authentication model determination unit 213 may select one of a plurality of authentication model candidates in accordance with the security threat of the
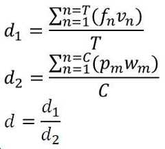
위의 실시예에서, 인증모델 결정부(213)는 검출된 인증모델 후보들 각각의 보안 위험도 d를 하기의 수학식 1을 기초로 산출할 수 있고, 예를 들어, 해당 인증모델 후보에 관해 보안 위협의 위협 요인(f1, f2, …, fT) 별로 미리 부여된 위협 요인 가중치(v1, v2, …, vT)를 반영한 가중평균 연산을 처리하여 d1을 산출하고, 대응 지침(p1, p2, …, pC) 별로 미리 부여된 대응 지침 가중치(w1, w2, …, wC)를 반영한 가중평균 연산을 처리하여 하여 d2를 산출하여 최종적으로 d를 산출할 수 있다. 여기에서, T와 C는 각각 해당 인증모델 후보의 위협 요인 개수와 대응 지침 개수를 나타내고, 위협 요인 가중치 및 대응 지침 가중치는 사용자 또는 설계자에 의해 미리 설정될 수 있다.In the above embodiment, the authentication model determination unit 213 can calculate the security risk degree d of each of the detected authentication model candidates based on Equation (1) below. For example, of risk factors previously given threat by(f 1, f 2, ... , f T) factor weights reflect(v 1, v 2, ... , v T) processes the weighted average calculation to calculate a d1, and the corresponding instructions (w1 , w2 , ..., wC ) preliminarily assigned for each of the pseudo random numbers p1 , p2 , ..., pC to calculate d2 to finally calculate d can do. Here, T and C respectively denote the number of threat factors and the number of countermeasures of the corresponding authentication model candidate, and the threat factor weights and the corresponding instruction weights can be preset by the user or the designer.
[수학식 1][Equation 1]
다른 일 실시예에서, 인증모델 결정부(213)는 해당 생체인식 인증 단말(110)에서 적용 가능한 인증모델에 관한 정보를 메모리(220)로부터 독출하여 해당 정보를 기초로 인증모델을 결정할 수 있다. 예를 들어, 인증모델 결정부(213)는 해당 생체인식 인증 단말(110)에 대응되는 모바일 단말 스펙의 기준에 따라 해당 생체인식 인증 단말(110)의 구성 요소들을 분석하여 적용 가능한 인증모델을 결정할 수 있다.In another embodiment, the authentication model determining unit 213 can read information on the authentication model applicable from the corresponding
인증모델 결정부(213)는 결정된 인증모델을 기초로 기준 생체인식 정보 저장 엘리먼트(150)와 인증 수행 엘리먼트(160)를 검출할 수 있다. 일 실시예에서, 인증모델 결정부(213)는 결정된 인증모델에 있는 기준 생체인식 정보 저장 엘리먼트(150)와 인증 수행 엘리먼트(160) 각각의 주체를 검색하여 해당 인증 플로우에 따라 각 주체에 적합한 데이터를 송수신하도록 할 수 있다. 예를 들어, 인증모델 결정부(213)는 인증모델 후보 테이블(400)에 있는 제2 모델(Model)이 인증모델로 결정된 경우에는 해당 결정된 인증모델에 따라, 생체인식 정보 캡처 엘리먼트(140)가 설치된 생체인식 센서(120)와 해당 검증대상의 생체인식 정보에 관한 데이터 송수신을 준비하고, 기준 생체인식 정보 저장 엘리먼트(150)가 설치된 생체인식 인증 서버(130)와 해당 인증대상의 기준 생체인식 정보에 관한 데이터 송수신을 준비하며, 해당 생체인식 인증 단말(110)에 설치된 인증 수행 엘리먼트(160)를 통한 인증 수행을 준비할 수 있다.The authentication model determining unit 213 may detect the reference biometric
위의 실시예에서, 인증모델 결정부(213)는 결정된 인증모델에 있는 보안 위협 및 대응 지침을 기초로 각 주체들 간의 데이터 송수신 과정에서 암호화 및 상호 인증의 수행 여부를 결정할 수 있다. 예를 들어, 인증모델 결정부(213)는 제1 모델(Model 1)이 인증모델로 결정되면 생체인식 정보 캡처 엘리먼트(140)가 설치된 생체인식 센서(120)와 해당 생체인식 인증 단말(110) 간의 연동 과정에서 상호 인증을 통해 미리 등록되거나 권한 있는 생체인식 센서(120)에 해당하는지 여부를 추가로 확인하도록 할 수 있고, 기준 생체인식 정보 저장 엘리먼트(150)가 설치된 해당 생체인식 인증 단말(110)에서 기준 생체인식 정보가 생성되면 생성된 기준 생체인식 정보에 관한 암호화를 즉시 수행하도록 하여 보안 위협에 대응 가능한 대응 지침을 수행하도록 제어할 수 있다.In the above embodiment, the authentication model determining unit 213 can determine whether to perform encryption and mutual authentication in the process of transmitting and receiving data between each subject based on the security threats and the corresponding instructions in the determined authentication model. For example, when the first model (Model 1) is determined as the authentication model, the authentication model determining unit 213 determines the authentication model based on the biometric information captured by the
인증모델 결정부(213)는 결정된 인증모델에 정의된 기준 생체인식 정보 저장 엘리먼트(150) 및 인증 수행 엘리먼트(160) 각각의 액세스 포인트를 획득할 수 있다. 예를 들어, 인증모델 결정부(213)는 결정된 인증모델에 있는 기준 생체인식 정보 저장 엘리먼트(150)와 인증 수행 엘리먼트(160)의 주체 각각에 접근하기 위한 네트워크 주소 및 호스트 주소 중 적어도 하나를 포함하는 IP(Internet Protocol) 주소를 가져올 수 있고, 해당 IP 주소를 통해 엘리먼트에 접근할 수 있다.The authentication model determining unit 213 may obtain the access point of each of the reference biometric
상기 실시예들에서, 생체인식 정보 캡처 엘리먼트(140), 기준 생체인식 정보 저장 엘리먼트(150) 및 인증 수행 엘리먼트(160)는 생체인식 센서(120), 생체인식 인증 단말(110) 및 생체인식 인증 서버(130) 중 적어도 일부에 설치되어 원격 생체인식 정보가 보안 위협에 따라 처리되도록 할 수 있다. 인증모델 결정부(213)는 메모리(220)에 저장된 복수의 인증모델 후보들 중 결정된 인증모델에 있는 보안 위협 및 대응 지침에 관한 정보를 가져올 수 있고, 각 엘리먼트의 주체 간에 생체인식 정보가 원격 송수신되는 과정에서 해당 인증모델에 관한 대응 지침에 따라 각 엘리먼트의 주체가 생체인식 정보를 처리하도록 하여 권한 없는 사용자의 불법적인 사용을 방지하고 보안을 강화시킬 수 있다. 일 실시예에서, 복수의 인증모델 후보들 각각의 보안 위협 및 대응 지침은 하기의 표 1을 기초로 정의될 수 있고, 인증모델 결정부(213)는 생체인식 인증에 관한 생체인식 인증 프로시저의 진행 과정에서 인증모델-보안위협 테이블(500)에 있는 해당 인증모델의 대응 지침이 수행되도록 할 수 있다.In the above embodiments, the biometric
- 공격자가 불법 생체인식 참조 템플릿 데이터를 사용할 수 있음
- 공격자가 불법 비교 프로그램을 사용할 수 있음
- 생체인식 인증 단말(110)의 기기 손상으로 템플릿이 유출 될 수 있음- Attacker can replace illegal capture data (biosignal information) such as stolen or altered data
 - Attacker can use illegal biometric reference template data
 - Attacker can use illegal comparison program
 - Template may leak due to device damage of the biometric authentication terminal (110)
- 기준 생체인식 정보(레퍼런스 데이터)의 암호화- Mutual authentication between the biometric authentication terminal (110) and the biometric sensor (120)
 - Encryption of reference biometric information (reference data)
- 공격자가 캡처 데이터의 전송 시에 데이터를 불법적으로 변경할 수 있음
- 공격자가 불법 생체인식 참조 템플릿 데이터를 사용할 수 있음
- 공격자가 불법 비교 프로그램을 사용할 수 있음
- 기준 생체인식 정보 누출.
- 불법 서버로 데이터를 전송할 수 있고, 생체인식 인증 단말(110)의 기기 손상으로 템플릿이 유출 될 수 있으며, 중앙 서버를 분실하거나 도난 당하면 템플릿이 유출될 수 있음- Attacker can replace illegal capture data (biosignal information) such as stolen or altered data
 - Attacker can illegally change data when sending capture data
 - Attacker can use illegal biometric reference template data
 - Attacker can use illegal comparison program
 - Reference biometric information leak.
 - Data can be transmitted to the illegal server, template can be leaked due to device damage of the biometric authentication terminal (110), template can be leaked if the central server is lost or stolen
- 예를 들어, 암호화 작업이 수행 될 때 범용 가입자 식별 모듈(USIM) 카드 내부에서 프로세스 키 생성 및 디지털 서명 생성
- 전송 채널의 암호화
- 기준 생체인식 정보(레페런스 데이터)의 암호화Authentication of the
 For example, when a cryptographic operation is performed, process key generation and digital signature generation are performed within the Universal Subscriber Identity Module (USIM) card
 - Encryption of transport channels
 - Encryption of reference biometric information (reference data)
- 공격자가 캡처 데이터의 전송 시에 데이터를 불법적으로 변경할 수 있음
- 공격자가 전송 채널을 공격할 수 있고, 불법 서버로 데이터를 전송할 수 있으며, 중앙 서버를 분실하거나 도난 당하면 템플릿이 유출될 수 있음- Attacker can replace illegal capture data (biosignal information) such as stolen or altered data
 - Attacker can illegally change data when sending capture data
 - Attackers can attack transport channels, send data to illegal servers, templates can be leaked if a central server is lost or stolen.
- 전송 채널의 암호화
- 전송된 데이터의 암호화Authentication of the
 - Encryption of transport channels
 - Encryption of transmitted data
- 공격자가 불법 생체인식 참조 템플릿 데이터나 불법 비교 프로그램을 사용할 수 있음
- 생체인식 센서(120)가 분실되거나 도난되면 템플릿이 유출될 수 있음
- 공격자가 전송 채널을 공격할 수 있고, 중앙 서버를 분실하거나 도난 당하면 템플릿이 유출될 수 있음- Attacker can replace illegal capture data (biosignal information) such as stolen or altered data
 - Attacker can use illegal biometric reference template data or illegal comparison program
 Template may leak when biometric sensor (120) is lost or stolen
 - Attacker can attack transport channel, template may be leaked if central server is lost or stolen
- 기준 생체인식 정보(레페런스 데이터)의 암호화
- 전송 채널의 암호화
- 전송된 데이터의 암호화Authentication of the
 - Encryption of reference biometric information (reference data)
 - Encryption of transport channels
 - Encryption of transmitted data
- 공격자가 불법 생체인식 참조 템플릿 데이터나 불법 비교 프로그램을 사용할 수 있음
- 생체인식 센서(120)가 분실되거나 도난되면 템플릿이 유출될 수 있음- Attacker can replace illegal capture data (biosignal information) such as stolen or altered data
 - Attacker can use illegal biometric reference template data or illegal comparison program
 Template may leak when biometric sensor (120) is lost or stolen
- 기준 생체인식 정보(레페런스 데이터)의 암호화Authentication of the
 - Encryption of reference biometric information (reference data)
- 공격자가 불법 생체인식 참조 템플릿 데이터나 불법 비교 프로그램을 사용할 수 있음
- 생체인식 센서(120)가 분실되거나 도난되면 템플릿이 유출될 수 있음- Attacker can replace illegal capture data (biosignal information) such as stolen or altered data
 - Attacker can use illegal biometric reference template data or illegal comparison program
 Template may leak when biometric sensor (120) is lost or stolen
- 공격자가 캡처 데이터의 전송 시에 데이터를 불법적으로 변경할 수 있음
- 공격자가 불법 생체인식 참조 템플릿 데이터나 불법 비교 프로그램을 사용할 수 있음
- 생체인식 인증 단말(110)의 기기 손상으로 템플릿이 유출 될 수 있음- Attacker can replace illegal capture data (biosignal information) such as stolen or altered data
 - Attacker can illegally change data when sending capture data
 - Attacker can use illegal biometric reference template data or illegal comparison program
 - Template may leak due to device damage of the biometric authentication terminal (110)
- 기준 생체인식 정보(레페런스 데이터)의 암호화Authentication of the
 - Encryption of reference biometric information (reference data)
- 공격자가 캡처 데이터의 전송 시에 데이터를 불법적으로 변경할 수 있음
- 공격자가 전송 채널을 공격할 수 있고, 불법 서버로 데이터를 전송할 수 있음- Attacker can replace illegal capture data (biosignal information) such as stolen or altered data
 - Attacker can illegally change data when sending capture data
 - Attacker can attack transport channel and send data to illegal server
- 전송 채널의 암호화Authentication of the
 - Encryption of transport channels
- 중간자(man-in-the-middle) 공격과 같은 부적절한 앱 공격에 따라 결과적으로 부적절한 앱이 캡처된 데이터를 사용할 수 있음
- 공격자가 불법 생체인식 참조 템플릿 데이터나 불법 비교 프로그램을 사용할 수 있음
- 생체인식 인증 단말(110)의 기기 손상으로 템플릿이 유출 될 수 있음- Misuse of the biometric sensor (120) (related apps that do not use sensors)
 Inappropriate apps can use the captured data as a result of inappropriate app attacks such as man-in-the-middle attacks
 - Attacker can use illegal biometric reference template data or illegal comparison program
 - Template may leak due to device damage of the biometric authentication terminal (110)
- 기준 생체인식 정보(레페런스 데이터)의 암호화Authentication of the
 - Encryption of reference biometric information (reference data)
- 중간자(man-in-the-middle) 공격과 같은 부적절한 앱 공격에 따라 결과적으로 부적절한 앱이 캡처된 데이터를 사용할 수 있음
- 공격자가 전송 채널을 공격할 수 있고, 불법 서버로 데이터를 전송할 수 있으며, 중앙 서버를 분실하거나 도난 당하면 템플릿이 유출될 수 있음- Misuse of the biometric sensor (120) (related apps that do not use sensors)
 Inappropriate apps can use the captured data as a result of inappropriate app attacks such as man-in-the-middle attacks
 - Attackers can attack transport channels, send data to illegal servers, templates can be leaked if a central server is lost or stolen.
- 생체인식 인증 에이전트와 생체인식 인증 서버(130)의 인증
- 전송 채널의 암호화
- 전송된 데이터의 암호화Authentication of the
 Authentication of the biometric authentication agent and authentication of the
 - Encryption of transport channels
 - Encryption of transmitted data
- 중간자(man-in-the-middle) 공격과 같은 부적절한 앱 공격에 따라 결과적으로 부적절한 앱이 캡처된 데이터를 사용할 수 있음
- 공격자가 불법 생체인식 참조 템플릿 데이터나 불법 비교 프로그램을 사용할 수 있음
- 생체인식 인증 단말(110)의 기기 손상으로 템플릿이 유출 될 수 있음
- 공격자가 전송 채널을 공격할 수 있고, 불법 서버로 데이터를 전송할 수 있으며, 중앙 서버를 분실하거나 도난 당하면 템플릿이 유출될 수 있음- Misuse of the biometric sensor (120) (related apps that do not use sensors)
 Inappropriate apps can use the captured data as a result of inappropriate app attacks such as man-in-the-middle attacks
 - Attacker can use illegal biometric reference template data or illegal comparison program
 - Template may leak due to device damage of the biometric authentication terminal (110)
 - Attackers can attack transport channels, send data to illegal servers, templates can be leaked if a central server is lost or stolen.
- 생체인식 인증 에이전트와 생체인식 인증 서버(130)의 인증
- 기준 생체인식 정보(레페런스 데이터)의 암호화
- 전송 채널의 암호화
- 전송된 데이터의 암호화Authentication of the
 Authentication of the biometric authentication agent and authentication of the
 - Encryption of reference biometric information (reference data)
 - Encryption of transport channels
 - Encryption of transmitted data
- 중간자(man-in-the-middle) 공격과 같은 부적절한 앱 공격에 따라 결과적으로 부적절한 앱이 캡처된 데이터를 사용할 수 있음
공격자가 전송 채널을 공격할 수 있고, 불법 서버로 데이터를 전송할 수 있음- Misuse of the biometric sensor (120) (related apps that do not use sensors)
 Inappropriate apps can use the captured data as a result of inappropriate app attacks such as man-in-the-middle attacks
 An attacker can attack a transport channel and send data to an illegal server
- 생체인식 인증 에이전트와 생체인식 인증 서버(130)의 인증
- 전송 채널의 암호화Authentication of the
 Authentication of the biometric authentication agent and authentication of the
 - Encryption of transport channels
인증모델 결정부(213)는 복수의 인증모델 후보들에 관한 정보를 미리 수신하여 메모리(220)에 저장할 수 있고, 일 실시예에서, 생체인식 인증 에이전트의 설치 과정에서 복수의 인증모델 후보들에 관한 정보를 수신하여 저장할 수 있다.The authentication model determination unit 213 may receive information on a plurality of authentication model candidates in advance and store the information in the
인증 수행 제어부(214)는 인증 수행 엘리먼트(160)가 생체인식 정보 캡처 엘리먼트(130)로부터 수신된 검증대상의 생체인식 정보와 기준 생체인식 정보 저장 엘리먼트(140)로부터 수신된 인증대상의 기준 생체인식 정보를 기초로 해당 검증대상에 대한 인증을 수행하도록 할 수 있다. 인증 수행 제어부(214)는 인증모델이 결정되고 해당 인증모델로부터 각 엘리먼트의 주체가 검출되면 생체인식 정보 캡처 엘리먼트(130)가 인증 수행 엘리먼트(160)에 검증대상의 캡처된 생체인식 정보를 제공하도록 할 수 있다. 인증 수행 제어부(214)는 기준 생체인식 정보 저장 엘리먼트(140)에 인증대상에 관한 사용자 정보 및 인증대상 식별자 중 적어도 하나를 전송하여 기준 생체인식 정보 저장 엘리먼트(140)가 해당 인증대상의 기준 생체인식 정보를 검출하도록 하고 인증 수행 엘리먼트(160)에 검출된 기준 생체인식 정보를 전송하도록 할 수 있다.The authentication performing control unit 214 may be configured to determine whether the
일 실시예에서, 인증 수행 제어부(214)는 인증 수행 엘리멘트(160)가 생체인식 인증 서버(130)로 구현된 경우에는 인증 수행 엘리멘트(160)가 생체인식 정보 캡처 엘리먼트(140)로부터 켭처된 원본의 생체인식 정보를 수신하도록 할 수 있다. 예를 들어, 인증 수행 제어부(214)는 인증모델이 인증모델 후보 테이블(400)에 있는 제3, 제8, 제9 및 제11 모델(Model 3, 8, 9, 11) 중 하나로 결정되면 생체인식 정보 캡처 엘리먼트(140)가 검증대상의 생체인식 정보를 이미지로 캡처하여 별도의 가공 없이 원본 이미지를 생체인식 인증 서버(130)로 구현된 인증 수행 엘리멘트(160)에 제공하도록 할 수 있고, 인증 수행 엘리멘트(160)가 제공된 검증대상의 원본 이미지로부터 특징점 추출 알고리즘을 기반으로 특징점 추출 및 인증을 수행하도록 할 수 있다.In one embodiment, the authentication performing control unit 214 may be configured such that when the
위의 실시예에서, 생체인식 인증 서버(130)로 구현된 인증 수행 엘리멘트(160)는 수신된 원본의 생체인식 정보로부터 동적 요소와 연관된 제1 특징점 및 정적 요소와 연관된 제2 특징점을 추출하고, 제2 특징점에 관한 매칭도에 제1 특징점보다 높은 가중치를 부여하는 가중평균 연산을 통해 종합적인 매칭도를 산출하여 기준 매칭도 이상인지 여부를 기초로 일치 여부를 결정하는 인증을 수행할 수 있다. 이에 따라, 인증 수행 엘리멘트(160)가 생체인식 인증 서버(130)로 구현된 경우에는 생체인식 인증 서버(130)를 주체로 보다 심층적인 특징점 추출 및 비교 분석이 수행되도록 할 수 있다.In the above embodiment, the
일 실시예에서, 인증 수행 제어부(214)는 인증 수행 엘리멘트(160)가 생체인식 인증 단말(110)로 구현된 경우에는 인증 수행 엘리멘트(160)가 기준 생체인식 정보 저장 엘리먼트(150)에 의하여 가공된 가공의 기준 생체인식 정보를 수신하도록 할 수 있다. 예를 들어, 인증 수행 제어부(214)는 인증모델이 인증모델 후보 테이블(400)에 있는 제1, 제2, 제7, 제10 및 제12 모델(Model 1, 2, 7, 10 12) 중 하나로 결정되면 인증 수행 엘리멘트(160)를 통해 기준 생체인식 정보 저장 엘리먼트(150)로부터 특징점 추출 알고리즘을 기반으로 인증대상의 생체인식 정보로부터 특징점 추출 처리되거나 트랜스코딩을 통해 특정 용량 이하로 이미지 변환된 가공의 기준 생체인식 정보를 수신할 수 있다. 이에 따라, 인증 수행 엘리멘트(160)가 생체인식 인증 단말(110)로 구현된 경우에는 생체인식 인증 단말(110)을 주체로 보다 빠른 비교 분석이 수행되도록 할 수 있다.In one embodiment, the authentication performing control unit 214 determines whether the
일 실시예에서, 인증 수행 제어부(214)는 인증 수행 엘리멘트(160)가 생체인식 센서(120)로 구현된 경우에는 인증 수행 엘리멘트(160)가 캡처된 생체인식 정보의 저장 없이 가공의 생체인식 정보를 생성하도록 하고 기준 생체인식 정보 저장 엘리먼트(150)에 의하여 가공된 가공의 기준 생체인식 정보를 수신하도록 할 수 있다. 예를 들어, 인증 수행 제어부(214)는 인증모델이 인증모델 후보 테이블(400)에 있는 제4 내지 제5 모델(Model 4~5) 중 하나로 결정되면 인증 수행 엘리멘트(160)가 캡처된 생체인식 정보를 별도의 메모리에 저장하지 않고 캡처된 생체인식 정보로부터 특징점을 추출하여 즉시 가공의 생체인식 정보를 생성한 후에 기준 생체인식 정보 저장 엘리먼트(150)로부터 가공의 기준 생체인식 정보를 제공 받아 인증을 수행하도록 할 수 있고, 이에 따라, 생체인식 센서(120)를 주체로 보다 저용량 및 저사양의 라이트한 환경에서 인증 가능하도록 할 수 있다.In one embodiment, the authentication performing control 214 controls the
일 실시예에서, 인증 수행 제어부(214)는 기준 생체인식 저장 엘리멘트(150)가 생체인식 인증 단말(110)로 구현된 경우에는 TEE(Trusted Execution Environment)를 통해 인증대상의 기준 생체인식 정보를 USIM(Universal Subscriber Identity Module) 칩에 저장할 수 있다. 여기에서, TEE는 보안영역과 비보안영역의 분리를 지원하여 신뢰가 보장된 실행 환경을 제공하고, 보안영역에 접근하고자 하는 경우 해당 보안영역에 대한 TEE API(Application Programming Interface)를 통해 운영체제 상에서 TEE 처리 프로세스를 실행하여 보안 서비스를 제공할 수 있다. 인증 수행 제어부(214)는 사용자의 개인 정보에 해당하는 인증대상의 기준 생체인식 정보를 이동통신 단말기로 구현된 생체인식 인증 단말(110)에 탑재된 USIM 칩에 TEE를 통해 저장하여 개인 정보 데이터의 무결성과 보안을 보장할 수 있다.In one embodiment, when the reference biometric
일 실시예에서, 인증 수행 제어부(214)는 인증 수행 엘리멘트(160)가 생체인식 인증 서버(110)로 구현된 경우에는 생체인식 정보 캡처 엘리먼트(140)가 캡처된 생체인식 정보를 공개 키를 기초로 암호화하여 인증 수행 엘리멘트(160)에 전송하도록 할 수 있다. 예를 들어, 인증 수행 제어부(214)는 PKI(Public Key Infrastructure)를 기반으로 생체인식 인증 서버(110) 간에 미리 약속된 공개 키를 이용하여 암호화된 생체인식 정보를 생성할 수 있고, 암호화된 전송 채널을 통해 암호화된 생체인식 정보를 인증 수행 엘리멘트(160)에 전송할 수 있다.In one embodiment, the authentication performing control unit 214 may be configured such that when the
위의 실시예에서, 생체인식 정보 캡처 엘리먼트(140)는 공개 키 기반의 암호화 알고리즘을 기초로 생체인식 정보를 암호화한 암호화 생체인식 정보를 인증 수행 엘리멘트(160)에 제공할 수 있다. 여기에서, 공개 키 및 개인 키는 사전에 별도의 공인등록서버(미도시됨)를 통한 인증대상 등록 과정를 통해 획득될 수 있다. 이러한 경우, 인증 수행 엘리멘트(160)는 미리 약속된 공개 키 기반의 암호화 알고리즘을 기초로 수신된 암호화 생체인식 정보를 복호화하여 해당 검증대상의 생체인식 정보를 검출할 수 있다.In the above embodiment, the biometric
인증 수행 제어부(214)는 생체인식 인증의 진행을 위해 생체인식 정보 캡처 엘리먼트(140), 기준 생체인식 정보 저장 엘리먼트(150) 및 인증 수행 엘리먼트(160) 각각에 생체인식 인증 요청과 연관된 사용자 정보, 인증대상 식별자, 인증모델 식별자 및 인증모델 버전을 같이 제공할 수 있다. 여기에서, 인증모델 식별자는 결정된 인증모델을 식별할 수 있는 아이디나 식별번호에 해당할 수 있다.The authentication execution control unit 214 may include user information associated with the biometric authentication request in the biometric
인증 결과 수신부(215)는 인증 수행 엘리먼트(160)로부터 검증대상에 대한 인증 결과를 수신할 수 있다. 일 실시예에서, 인증 결과 수신부(215)는 생체인식 인증 단말(110)에 의하여 설치된 생체인식 인증 에이전트를 통해 인증 결과를 수신할 수 있다. 인증 결과 수신부(215)는 생체인식 인증 서버(130)로부터 제공된 생체인식 인증 에이전트를 통해 해당 검증대상에 관한 생체인식 인증의 결과를 수신할 수 있고, 사용자 입출력부(230)의 디스플레이 패널을 통해 해당 인증 결과를 시각화할 수 있다.The authentication result receiving unit 215 can receive the authentication result for the verification target from the
일 실시예에서, 인증 결과 수신부(215)는 인증 수행 엘리멘트(160)가 생체인식 인증 서버(130)로 구현된 경우에는 인증 수행 엘리멘트(160)로부터 생체인식 인증 에이전트를 제공 받고, 해당 생체인식 인증 에이전트를 통한 사용자 인증이 성공되는 경우에만 인증 결과의 수신을 허용하도록 할 수 있다. 예를 들어, 인증 결과 수신부(215)는 생체인식 인증 결과가 성공되더라도 생체인식 인증 에이전트를 통해 사용자 식별자 및 비밀번호를 포함하는 사용자 정보를 확인하는 사용자 인증을 추가적으로 수행하여 해당 검증대상이 권한 있는 사용자에 해당하는 경우에만 해당 인증 결과를 시각화시키도록 결정할 수 있다.The authentication result reception unit 215 receives the biometric authentication agent from the
인증 결과 수신부(215)는 생체인식 인증이 성공되면 해당 생체인식 인증 요청과 연관된 사용자 요청 서비스의 제공을 승인할 수 있고, 실패하면 거부할 수 있다. 인증 결과 수신부(215)는 실패하면 특정 횟수까지 생체인식 인증을 재시도할 수 있고, 해당 과정 및 인증 결과에 관한 알림 메시지를 디스플레이 패널을 통해 시각화할 수 있다.When the biometric authentication is successful, the authentication result receiving unit 215 can approve the provision of the user requested service associated with the biometric authentication request, and can reject the request. The authentication result receiving unit 215 can retry the biometric authentication until a specific number of times and can visualize the process and the notification message regarding the authentication result through the display panel.
제어부(216)는 프로세서(210)의 동작 전반을 제어할 수 있고, 생체인식 인증 요청 수신부(211), 생체인식 정보 캡처 제어부(212), 인증모델 결정부(213), 인증 수행 제어부(214) 및 인증 결과 수신부(215) 간의 데이터 흐름을 제어할 수 있다.The
상기에서, 기준 생체인식 정보 저장 엘리먼트(150)는 사전에 진행된 사용자에 관한 인증대상 등록 과정을 통해 인증대상의 기준 생체인식 정보를 생체인식 레퍼런스(biometric reference)로서 생성할 수 있다. 일 실시예에서, 기준 생체인식 정보 저장 엘리먼트(150)는 사용자의 요청을 기반으로 공인등록기관에 의해 운영되는 공인등록서버와 연동하여 사용자에 관한 인증대상 등록 과정을 수행할 수 있고, 예를 들어, 해당 사용자에 관한 사용자 식별자를 생성하며, 사용자의 생체인식 정보를 캡처하여 캡처된 생체인식 정보로부터 특징점을 추출하며, 추출된 특징점을 기초로 인증대상에 해당하는 해당 사용자의 기준 생체인식 정보를 생성하여 해당 사용자 식별자와 연관시켜 저장할 수 있다. 이러한 과정에서, 사용자 식별자, 기준 생체인식 정보, 생체인식 인증을 위한 공개 키와 개인 키 및 공인인증서 중 적어도 일부는 생체인식 하드웨어 보안 모듈(biometric hardware security module)로 구현된 생체인식 인증 에이전트에 저장되어 해당 사용자의 생체인식 인증 단말(110)에 제공될 수 있다.In this case, the reference biometric
상기에서, 인증 수행 엘리먼트(160)는 생체인식 정보 캡처 엘리먼트(140)로부터 수신된 검증대상의 생체인식 정보를 분석하여 특징점을 추출하고, 기준 생체인식 정보 저장 엘리먼트(150)로부터 수신된 인증대상의 기준 생체인식 정보로부터 특징점을 검출하며, 이들 특징점들을 대조 분석하여 특정 기준 이상 매칭되면 해당 생체인식 인증이 성공된 것으로 결정할 수 있다. 인증 수행 엘리먼트(160)는 검증대상의 생체인식 정보에 있는 적어도 하나의 생체인식 특성 파라미터 중 적어도 일부를 특징점으로 추출할 수 있고, 사람마다 고유하면서 변별력 높은 특징점을 추출하기 위한 특징점 추출 알고리즘을 포함할 수 있다.The
일 실시예에서, 인증 수행 엘리먼트(160)는 이들 특징점들을 값 범위, 영역 범위 및 패턴 범위의 측면에서 비교 분석하여 상호 간의 매칭도를 산출할 수 있고, 산출된 매칭도가 미리 설정된 기준값(예를 들어, 90%) 이상이면 해당 인증이 성공된 것으로 처리할 수 있다. 다른 일 실시예에서, 인증 수행 엘리먼트(160)는 검증대상의 생체인식 정보로부터 추출된 복수의 특징점들과 인증대상의 기준 생체인식 정보에 있는 복수의 특징점들 각각을 비교하여 기준값 이상 매칭되는 특징점이 미리 설정된 특정 개수 이상 검출되거나 평균 매칭도가 특정 기준값 이상이면 생체인식 인증이 성공된 것으로 결정할 수 있다.In one embodiment, the
일 실시예에서, 인증 수행 엘리먼트(160)는 검증대상의 생체인식 정보로부터 동적 요소와 연관된 제1 특징점 및 정적 요소와 연관된 제2 특징점을 구분하여 추출할 수 있다. 여기에서, 동적 요소는 시간 또는 상황에 따라 해당 사용자로부터 측정되는 데이터가 주로 가변될 수 있는 생체인식 특성에 관한 동적 파라미터에 해당하고, 정적 요소는 주로 가변되지 않는 생체인식 특성에 관한 정적 파라미터에 해당할 수 있다. 인증 수행 엘리먼트(160)는 정적 요소와 연관된 제2 특징점에 동적 요소와 연관된 제1 특징점보다 높은 가중치를 부여할 수 있고, 제2 특징점에 관한 매칭도에 보다 높은 가중치를 부여하는 가중평균 연산을 통해 생체인식 인증의 성공 여부를 결정할 수 있다. 여기에서, 각 가중치는 사용자 또는 설계자에 의해 조정될 수 있다.In one embodiment, the
일 실시예에서, 인증 수행 엘리먼트(160)는 동적 요소와 연관된 제1 특징점의 경우 유효성 분석을 통해 미리 설정된 유효 범위 이내에 있지 않은 경우 해당 특징점이 유효하지 않은 것으로 판단할 수 있다. 인증 수행 엘리먼트(160)는 유효하지 않은 것으로 판단된 특징점에 관한 매칭도를 생체인식 인증의 성공 여부의 결정 과정에 반영하지 않거나 미리 설정된 최소 가중치로 반영할 수 있다.In one embodiment, the
도 3은 도 2에 있는 프로세서가 생체인식 인증을 위한 생체인식 인증 프로시저를 수행하는 과정을 설명하는 흐름도이다.FIG. 3 is a flowchart illustrating a process of the biometric authentication procedure performed by the processor of FIG. 2 for biometric authentication.
도 3에서, 생체인식 인증 요청 수신부(211)는 검증대상에 관한 생체인식 인증 요청을 수신할 수 있다(단계 S310). 생체인식 정보 캡처 제어부(212)는 생체인식 인증 요청에 따라 생체인식 정보 캡처 엘리먼트(140)가 검증대상의 생체인식 정보를 캡처하도록 할 수 있다(단계 S320). 인증모델 결정부(213)는 인증모델을 결정할 수 있다(단계 S330). 인증모델 결정부(213)는 결정된 인증모델을 기초로 기준 생체인식 정보 저장 엘리먼트(150)와 인증 수행 엘리먼트(160)를 검출할 수 있다(단계 S340). 인증 수행 제어부(214)는 인증 수행 엘리먼트(160)가 생체인식 정보 캡처 엘리먼트(130)로부터 수신된 검증대상의 생체인식 정보와 기준 생체인식 정보 저장 엘리먼트(140)로부터 수신된 인증대상의 기준 생체인식 정보를 기초로 해당 검증대상에 대한 인증을 수행하도록 할 수 있다(단계 S350). 인증 결과 수신부(215)는 인증 수행 엘리먼트(160)로부터 검증대상에 대한 인증 결과를 수신할 수 있다(단계 S360).3, the biometric authentication request receiving unit 211 may receive a biometric authentication request related to the verification target (step S310). The biometric information capturing control unit 212 may cause the biometric
<부록 1: 모바일 장치를 사용하는 원격 생체인식 응용 프로그램의 기술적 및 운영상의 대응책><Appendix 1: Technical and operational countermeasures of remote biometric applications using mobile devices>
모바일 장치의 생체 인식 기술은 전자 은행 업무 (e-banking) 및 조달 서비스와 같이 높은 수준의 안정성을 요구하는 다양한 분야에서 자주 사용된다. 모바일 생체 인식 데이터 보안을 보장하기 위해 잠재적 보안 위협에 선제적으로 대처할 수 있는 보안 시스템을 개발하기 위한 노력이 필요하다. 생체 인식 기술은 민감한 개인 식별 정보(PII)를 처리하기 때문에 모바일 장치의 생체 인식에 대한 일부 개인 정보 문제를 고려해야 한다.The biometric technology of mobile devices is often used in a variety of fields requiring high levels of stability, such as e-banking and procurement services. Efforts are needed to develop a security system that can preemptively address potential security threats to ensure mobile biometric data security. Because biometric technologies handle sensitive personally identifiable information (PII), some privacy concerns about biometrics on mobile devices need to be considered.
본 발명의 일 실시예는 모바일 장치의 생체인식 시스템 운영에서 구현 모델과 위협을 규정하고, 원격 생체 인식 시스템 사용을 위한 안전한 모바일 환경을 조성하기 위해 기술 및 운영 측면에서 보안 대책에 대한 일반 지침을 제공한다.One embodiment of the present invention provides implementation guidance and threats in the operation of a biometric system of a mobile device and provides general guidance on security measures in terms of technology and operations to create a secure mobile environment for use of a remote biometric system do.
1. 범위1. Range
본 발명의 일 실시예는 모바일 장치를 이용한 원격 검침 응용 프로그램을 위한 생체 정보 흐름의 보안과 신뢰성을 보장하기 위한 프레임 워크를 제공한다. 본 발명의 일 실시예는 생체인식 센서(120), 생체인식 인증 단말(110) 및 생체인식 인증 서버(130)의 구성에 따라 12개의 원격 측정 인증 모델을 정의하고, 모바일 장치의 원격 생체인식 운영 시스템의 위협 요소를 지정하며 원격 생체인식 시스템 사용과 안전한 모바일 환경 조성을 위해 기술 및 운영 측면에서 보안 대책에 대한 일반 지침을 제안한다.One embodiment of the present invention provides a framework for securing the security and reliability of a biometric information flow for an automatic meter reading application program using a mobile device. One embodiment of the present invention defines 12 telemetric authentication models according to the configuration of the
다음 주제가 본 발명에서 다루어질 수 있다.The following topics may be addressed in the present invention.
- 클라우드 컴퓨팅 서비스를 포함한 모바일 장치를 사용하는 원격 생체인식 시스템 운영의 원격 생체인식 보안 참조 모델.- Remote biometric security reference model of remote biometric system operation using mobile devices, including cloud computing services.
- 모바일 장치(생체인식 인증 단말(110))를 이용한 원격 검침 응용 프로그램의 보안 및 안정성 보장을 위한 일반적인 관련 위협 및 대책- General related threats and countermeasures to ensure the security and stability of the remote meter reading application using the mobile device (biometric authentication terminal 110)
관련 표준 환경은 도 5에 도시되어 있다.The relevant standard environment is shown in Fig.
3. 정의3. Definitions
3.1.1 생체 인식 (biometric, adjective) [b-ISO / IEC 19784-1]: 생체 인식 분야에 속함.3.1.1 biometric, adjective [b-ISO / IEC 19784-1]: belongs to the field of biometrics.
3.1.2 생체 인식 (biometrics, noun) [b-ISO / IEC 19784-1]: 행동 및 생물학적 특성을 기반으로 한 개인의 자동 인식.3.1.2 biometrics (n-1) [b-ISO / IEC 19784-1]: automatic recognition of individuals based on behavioral and biological characteristics.
3.1.3 생체인식 레퍼런스 (biometric reference) [b-ISO / IEC 19784-1]: 하나 이상의 저장된 바이오 메트릭 샘플, 바이오 메트릭 템플릿 또는 바이오 메트릭 데이터 주체에 기인하여 비교를 위해 사용되는 바이오 메트릭 모델.3.1.3 biometric reference [b-ISO / IEC 19784-1]: a biometric model used for comparison due to one or more stored biometric sample, biometric template or biometric data subject.
3.1.4 생체인식 샘플 (biometric sample) [b-ISO / IEC 2382-37]: 생체 특징 추출 과정 이전의 생체 특성의 아날로그 또는 디지털 표현.3.1.4 biometric sample [b-ISO / IEC 2382-37]: An analog or digital representation of a biometric characteristic prior to the biometric feature extraction process.
3.1.5 생체인식 템플릿 (biometric template) [b-ISO / IEC 19784-1]: 프로브 생체 인식 피쳐에 직접 비교할 수있는 저장된 생체 인식 피쳐 세트.3.1.5 biometric template [b-ISO / IEC 19784-1]: A set of stored biometric features that can be directly compared to probe biometric features.
3.1.6 비교 (매치/매칭) (comparison (match/matching)) [b-ISO / IEC 19794-1]: 바이오 메트릭 프로브 (바이오 메트릭 기준) 간의 유사성 또는 비 유사성의 추정, 계산 또는 측정.3.1.6 comparison (match / matching) [b-ISO / IEC 19794-1]: Estimation, calculation or measurement of similarity or dissimilarity between biometric probes (biometric basis).
3.1.7 비교 결정 (comparison decision) [b-ISO / IEC 2382-37]: 비교 점수, 의사 결정 방침(decision policy)에 근거하여 인식 생체 탐침(들)과 생체 측정 기준(threshold), 그리고 아마도 다른 입력들을 포함 할 수 있음.3.1.7 comparison decision [b-ISO / IEC 2382-37]: a comparison score, a recognition biometric (s) and a biometric threshold (s) based on a decision policy, and possibly other Inputs may be included.
3.1.8 비교 점수 (comparison score) [b-ISO / IEC 19784-1]: 비교 결과의 수치 (또는 값의 집합).3.1.8 comparison score [b-ISO / IEC 19784-1]: The numerical value (or set of values) of the comparison result.
3.1.9 거짓 일치 (false match) [b-ISO / IEC 2382-37]: 다른 생체 인식 대상과 다른 생체 측정 프로브와 생체 인식 참조에 대한 "일치" 비교.3.1.9 false match [b-ISO / IEC 2382-37]: A "match" comparison of biometric probes with other biometric targets and biometric references.
3.1.10 거짓 불일치 (false non-match) [b-ISO / IEC 2382-37]: 동일한 생체 인식 주체 및 동일한 생체 특성의 생체 측정 프로브 및 생체 인식 참조에 대한 "불일치" 비교.3.1.10 false non-match [b-ISO / IEC 2382-37]: a "mismatch" comparison of biometric probes and biometric references of the same biometric subject and of the same biometric characteristic.
3.1.11 매치 (match) [b-ISO / IEC 2382-37]: 바이오 메트릭 프로브와 바이오 메트릭 레퍼런스가 동일한 출처에서 나온다는 비교 결정.3.1.11 match [b-ISO / IEC 2382-37]: A comparison decision that the biometric probe and the biometric reference come from the same source.
3.1.12 모바일 장치 (mobile device) [b-ITU-T X.1158]: 일반적으로 터치 입력 및 / 또는 소형 키보드가 있고, 디스플레이 화면이 있으며, 가입자 인증 모듈(SIM) 카드가 있고, 소형의 휴대용 컴퓨팅 장치이며, 무겁지 않음.3.1.12 mobile device [b-ITU-T X.1158]: usually has a touch input and / or a small keyboard, has a display screen, has a subscriber identity module (SIM) card, Computing device, and not heavy.
3.1.13 불일치 (non-match) [b-ISO / IEC 2382-37]: 바이오 메트릭 탐침과 바이오 메트릭 레퍼런스가 동일한 출처가 아닌 것으로 나타내는 비교 결정.3.1.13 non-match [b-ISO / IEC 2382-37]: A comparison decision indicating that the biometric probe and the biometric reference are not the same source.
3.2.1 생체인식 하드웨어 보안 모듈 (biometric hardware security module): 하드웨어 보안 모듈과 하나 이상의 바이오메트릭 센서가 장착 된 바이오메트릭 모듈로 구성된 물리적으로 결합된 하드웨어.3.2.1 biometric hardware security module: Physically combined hardware consisting of a hardware security module and a biometric module with one or more biometric sensors.
4. 약어 및 두문자어4. Abbreviations and acronyms
APDU Application Protocol Data Unit (응용 프로토콜 데이터 유닛)APDU Application Protocol Data Unit (Application Protocol Data Unit)
API Application Programming Interface (응용 프로그래밍 인터페이스)API Application Programming Interface
App Application (애플리케이션)App Application
BC Biometric Certificate (생체 인식 인증서)BC Biometric Certificate
BioAPI Biometric Application Programming Interface (생체 인식 애플리케이션 프로그래밍 인터페이스)BioAPI Biometric Application Programming Interface
CPU Central Processing Unit (중앙 처리 장치)CPU Central Processing Unit (Central Processing Unit)
FIDO Fast Identity On-lineFIDO Fast Identity On-line
ICC Integrated Circuit Card (집적 회로 카드)ICC Integrated Circuit Card
ID Identification (신원 확인, 식별자)ID Identification (Identification)
MNO Mobile Network Operator (모바일 네트워크 운영자)MNO Mobile Network Operator
MoC Match on Card (카드상의 MoC 매치)MoC Match on Card (MoC match on card)
NFC Near Field Communication (근거리 무선 통신)NFC Near Field Communication
OS Operating System (운영 체제)OS Operating System
OTA Over The Air (오버 에어)OTA Over The Air
PAN Private Access Network (사설망)PAN Private Access Network (private network)
PII Personally Identifiable Information (개인 식별 정보)PII Personally Identifiable Information
PKI Public Key Infrastructure (공개 키 인프라)PKI Public Key Infrastructure
POS Point-Of-SalePOS Point-Of-Sale
SD Secure Digital (보안 디지털)SD Secure Digital (Secure Digital)
SE Secure Element (보안 요소)SE Secure Element (security element)
SP Service Provider (서비스 공급자)SP Service Provider
TSP Token Service Provider (토큰 서비스 공급자)TSP Token Service Provider
USB Universal Serial Bus (범용 직렬 버스)USB Universal Serial Bus (Universal Serial Bus)
USIM Universal Subscriber Identity Module (범용 가입자 식별 모듈)USIM Universal Subscriber Identity Module (Universal Subscriber Identity Module)
TLS Transport Layer Security (전송 계층 보안)TLS Transport Layer Security (Transport Layer Security)
TSM Telebiometrics System Mechanism (원격(모바일) 생체인식 시스템 메커니즘)TSM Telebiometrics System Mechanism (Remote (Mobile) Biometric System Mechanism)
WiFi Wireless FidelityWiFi Wireless Fidelity
7. 인증 모델7. Authentication model
7.1 개요7.1 Overview
본 발명의 일 실시예는 생체인식 센서(120), 생체인식 인증 단말(110) 및 생체인식 인증 서버(130)의 구성에 따라 모델을 12 가지 범주로 나누어 아래 세 가지 관점을 고려한다. 또한, 모바일 장치로 구현된 생체인식 인증 단말(110)의 생체인식 운영 시스템의 위협 요소를 지정하고 원격 생체인식 시스템 사용을 위한 안전한 모바일 환경을 조성하기 위해 기술 및 운영 측면에서 보안 대책에 대한 일반 지침을 제안한다. 이에 관한 내용은 도 4 및 표 1에 기재되어 있다.According to one embodiment of the present invention, the model is divided into 12 categories according to the configuration of the
7.2 모델 1 (Model 1)7.2 Model 1 (Model 1)
도 6a는 인증모델 중 모델 1을 나타내고, 도 6a에서, 생체인식 정보 캡처 엘리먼트(140)는 생체인식 센서(120)로 구현되고, 기준 생체인식 정보 저장 엘리먼트(150)와 인증 수행 엘리먼트(160)는 생체인식 인증 단말(110)로 구현된다.6A, the biometric
생체인식 인증 단말(110)은 응용 프로그램(App)으로 구현된 생체인식 인증 에이전트를 통해 생체인식 인증에 관한 요청을 수신할 수 있고, 생체인식 센서(120)는 검증대상에 해당하는 사용자의 생체인식 정보를 샘플 데이터로서 획득하여 생체인식 인증 단말(110)에 전송할 수 있으며, 생체인식 인증 단말(110)은 수신된 검증대상의 샘플 데이터와 인증대상의 기준 생체인식 정보로서 등록된 사용자의 템플릿을 비교하여 그 인증 결과를 생체인식 인증 에이전트를 통해 사용자에게 제공할 수 있다. 이러한 과정에서, 생체인식 인증 단말(110)은 템플릿 식별자(ID)(예를 들어, 인증대상 식별자)를 기초로 해당 등록된 사용자의 템플릿을 검출하여 인증 결과를 생성할 수 있다.The
모델 1은 모바일 환경이 생체인식 인증 서버(130)와 통신하기 어려운 환경에 처해 있다고 가정하므로, 스마트 폰과 같은 생체인식 인증 단말(110)은 생체인식 인증을 수행하기 위한 충분한 프로세싱 리소스를 제공 받을 수 있다. 프로세싱 리소스는 샘플 데이터를 수집하고 비교하기에 충분해야 한다. 외부의 생체인식 센서(120)는 모달리티(Modality) 또는 적용 가능성(applicability) 특성으로 인해 생체인식 인증 단말(110)이 생체인식 센서(120)를 지원할 수 없을 때 근거리 통신(NFC)을 사용하여 생체인식 인증 단말(110)과 통신할 수 있다. 이러한 모델 1은 생체인식 인증 서버(130)에서 생체인식 인증 단말(110)의 처리 절차를 신뢰할 수 있을 때 사용할 수 있다.Since the
7.3 모델 2 (Model 2)7.3 Model 2 (Model 2)
도 6b는 인증모델 중 모델 2를 나타내고, 도 6b에서, 생체인식 정보 캡처 엘리먼트(140)는 생체인식 센서(120)로 구현되고, 기준 생체인식 정보 저장 엘리먼트(150)는 생체인식 인증 서버(130)로 구현되며, 인증 수행 엘리먼트(160)는 생체인식 인증 단말(110)로 구현된다.6B, the biometric
생체인식 인증 단말(110)은 응용 프로그램(App)으로 구현된 생체인식 인증 에이전트를 통해 생체인식 인증 서버(130)에 검증을 요청할 수 있고, 생체인식 인증 서버(130)는 해당 요청에 대응되는 등록된 사용자(인증대상)의 템플릿을 기준 생체인식 정보로서 생체인식 인증 단말(110)에 제공할 수 있다. 생체인식 인증 단말(110)은 생체인식 인증 에이전트를 통해 생체인식 인증에 관한 요청이 수신되면 생체인식 센서(120)로부터 캡처된 사용자(검증대상)의 생체인식 정보를 샘플 데이터로서 획득하고, 획득한 검증대상의 샘플 데이터와 수신된 인증대상의 템플릿을 비교하여 인증 결과를 생체인식 인증 에이전트를 통해 사용자에게 제공할 수 있다. 마찬가지로, 이러한 과정에서, 생체인식 인증 단말(110)은 템플릿 식별자(ID)(예를 들어, 인증대상 식별자)를 생체인식 인증 서버(130)에 제공하여 해당 템플릿 식별자와 연관된 인증대상의 템플릿을 수신할 수 있다.The
모델 2은 최대한 많은 터미널을 사용하는 것이 좋고, 이는 사용자가 모든 생체인식 인증 단말(110)에서 생체인식 인증 서버(130)에 연결할 수 있으므로 웹 확인 모델에 적합한 특징이 있다. 모델 2는 생체인식 인증 서버(130)에 생체인식 레퍼런스 템플릿을 등록해야 하고, 생체인식 인증 서버(130)가 생체인식 인증 단말(110)의 처리 절차를 신뢰하도록 요구한다.The
7.3 모델 3 (Model 3)7.3 Model 3 (Model 3)
도 6c는 인증모델 중 모델 3을 나타내고, 도 6c에서, 생체인식 정보 캡처 엘리먼트(140)는 생체인식 센서(120)로 구현되고, 기준 생체인식 정보 저장 엘리먼트(150)와 인증 수행 엘리먼트(160)는 생체인식 인증 서버(130)로 구현된다.6C, the biometric
생체인식 인증 서버(130)는 생체인식 센서(120)에 생체인식 인증을 위한 검증대상의 샘플 데이터를 요청하고, 생체인식 센서(120)는 사용자의 생체인식 정보를 캡처하여 생체인식 인증 단말(110)을 통해 생체인식 센서(120)에 전송하며, 생체인식 인증 서버(130)는 수신된 검증대상의 샘플 데이터를 해당 인증대상의 템플릿과 비교하여 인증 결과를 생체인식 인증 에이전트를 통해 생체인식 인증 단말(110)에 제공할 수 있다.The
모델 3은 생체인식 인증 단말(110)가 프로세싱 능력, 메모리, 보안 등의 측면에서 충분한 리소스를 보장할 수 없다고 가정하고, 이에 따라 생체인식 인증 단말(110)를 통신 과정에서만 사용하도록 한다. 외부의 생체인식 센서(120)는 모달리티 또는 적용 가능성의 특성으로 인해 생체인식 인증 단말(110)이 생체인식 센서(120)를 지원할 수 없을 때 근거리 통신을 사용하여 생체인식 인증 단말(110)와 통신할 수 있다.The
이러한 인증을 위해 사용자는 신뢰할 수 있는 생체인식 참조 템플릿이 있는 생체인식 인증 서버(130)에 미리 자신의 기준 생체인식 정보를 생체인식 레퍼런스로서 등록할 수 있다. 모델 3에서는 생체인식 인증 서버(130)가 생체인식 센서(120)에서 캡처한 데이터를 신뢰해야 한다.For this authentication, the user can register his or her reference biometric information as a biometric reference in advance to the
7.4 모델 4 (Model 4)7.4 Model 4 (Model 4)
도 6d는 인증모델 중 모델 4을 나타내고, 도 6d에서, 생체인식 정보 캡처 엘리먼트(140)와 인증 수행 엘리먼트(160)는 생체인식 센서(120)로 구현되고, 기준 생체인식 정보 저장 엘리먼트(150)는 생체인식 인증 서버(130)로 구현된다.6D shows
생체인식 인증 단말(110)은 응용 프로그램(App)으로 구현된 생체인식 인증 에이전트를 통해 생체인식 인증 요청을 수신할 수 있고, 생체인식 센서(120)는 해당 검증대상의 샘플 데이터를 캡처하고 생체인식 인증 서버(130)에 해당 인증대상의 템플릿을 요청할 수 있다. 생체인식 센서(120)는 캡처된 검증대상의 샘플 데이터와 생체인식 인증 서버(130)로부터 수신된 인증대상의 템플릿을 비교하여 인증 결과를 생체인식 인증 단말(110)에 전송할 수 있다.The
모델 4에서, 생체인식 센서(120)는 하드웨어 보안 모듈로 구현될 수 있다. 여기에서, 하드웨어 보안 모듈은 스마트 카드나 기타 범용 직렬 버스(USB) 유형 보안 토큰의 형태로 제공되는 물리적 장치에 해당하고, 내부 자료의 침입이나 수정에 대한 변조 방지, 비밀 데이터를 공개하는 능동 또는 수동 태핑 메커니즘의 추가 또는 장치 작동의 변경 등의 기능을 제공할 수 있다.In
모델 4는 생체인식 인증 단말(110)가 프로세싱 능력, 메모리, 보안 등의 측면에서 충분한 리소스를 보장할 수 없다고 가정하고, 이에 따라 생체인식 인증 단말(110)를 통신 과정에서만 사용하도록 한다.The
7.5 모델 5 (Model 5)7.5 Model 5 (Model 5)
도 6e는 인증모델 중 모델 5를 나타내고, 도 6e에서, 생체인식 정보 캡처 엘리먼트(140)와 인증 수행 엘리먼트(160)는 생체인식 센서(120)로 구현되고, 기준 생체인식 정보 저장 엘리먼트(150)는 생체인식 인증 단말(110)로 구현된다.6E, the biometric
생체인식 센서(120)는 생체인식 인증 단말(110)에서 전송된 사용자의 기준 생체인식 정보로서의 템플릿과 캡처된 샘플 데이터를 비교하여 인증 결과를 생체인식 인증 단말(110)에 전송할 수 있다. 모델 5는 생체인식 인증 단말(110)에서 템플릿을 전송하는 것을 제외하고는 모델 4와 동일한 순서를 가진다. 모델 5에서, 생체인식 센서(120)는 하드웨어 보안 모듈로 구현될 수 있다. 모델 5는 생체인식 인증 단말(110)가 무선 환경을 포함하는 생체인식 인증 서버(130)와 통신하는 것이 어렵다고 가정한다.The
7.6 모델 6 (Model 6)7.6 Model 6 (Model 6)
도 6f는 인증모델 중 모델 6를 나타내고, 도 6f에서, 생체인식 정보 캡처 엘리먼트(140), 인증 수행 엘리먼트(160) 및 기준 생체인식 정보 저장 엘리먼트(150)는 생체인식 센서(120)로 구현된다.6F, the biometric
생체인식 센서(120)는 생체인식 인증 단말(110)에 설치된 생체인식 인증 에이전트(App)을 통해 생체인식 요청을 수신하고, 사용자의 샘플 데이터를 캡처한 다음 이를 등록된 사용자의 템플릿과 비교하여 인증 결과를 생체인식 인증 에이전트를 통해 생체인식 인증 단말(110)에 전송할 수 있다. 마찬가지로, 등록된 사용자의 템플릿를 검출하기 위해 템플릿 ID 정보가 필요하다.The
외부의 생체인식 센서(120)는 모달리티 또는 적용 가능성의 특성으로 인해 생체인식 인증 단말(110)가 생체인식 센서(120)를 지원할 수 없을 때 근거리 통신을 사용하여 생체인식 인증 단말(110)와 통신한다.The external
모델 6에서 생체인식 센서(120)는 하드웨어 보안 모듈로 구현될 수 있고, 모델 6은 생체인식 인증 단말(110)에서 보안을 보장할 수 없다고 가정한다. 이러한 모델 6은 높은 수준의 보안이 필요한 국가 인프라 시스템에 사용할 때 실용적일 수 있다.In the model 6, it is assumed that the
7.7 모델 7 (Model 7)7.7 Model 7 (Model 7)
도 6g는 인증모델 중 모델 7를 나타내고, 도 6g에서, 생체인식 정보 캡처 엘리먼트(140)와 기준 생체인식 정보 저장 엘리먼트(150)는 생체인식 센서(120)로 구현되고, 인증 수행 엘리먼트(160)는 생체인식 인증 단말(110)로 구현된다.In FIG. 6G, the biometric
생체인식 센서(120)는 검증대상의 샘플 데이터를 캡처하고, 등록된 인증대상의 템플릿을 검출하며, 이들을 생체인식 인증 단말(110)에 전송할 수 있다. 생체인식 인증 단말(110)은 생체인식 센서(120)로부터 수신된 검증대상의 샘플데이터와 인증대상의 템플릿을 비교하는 인증을 수행하여 인증 결과를 생체인식 인증 에이전트를 통해 사용자에게 제공할 수 있다. 모델 7은 비교 알고리즘이 생체인식 센서(120)에 요구되지 않는 특정 승인 시스템을 사용하여 실용적일 수 있다.The
7.8 모델 8 (Model 8)7.8 Model 8 (Model 8)
도 6h는 인증모델 중 모델 8을 나타내고, 도 6h에서, 생체인식 정보 캡처 엘리먼트(140)와 기준 생체인식 정보 저장 엘리먼트(150)는 생체인식 센서(120)로 구현되고, 인증 수행 엘리먼트(160)는 생체인식 인증 서버(130)로 구현된다.6H, the biometric
생체인식 센서(120)는 생체인식 인증 단말(110)의 앱에서 요청을 받아 검증대상의 샘플 데이터를 캡처하고 등록된 인증대상의 템플릿을 검출하여 이들을 생체인식 인증 서버(130)에 전송할 수 있다. 생체인식 인증 서버(130)는 수신된 수신된 검증대상의 샘플 데이터와 인증대상의 템플릿을 비교하여 인증 결과를 생체인식 인증 단말(110)의 앱에 전송할 수 있다. 모델 8에서, 생체인식 인증 단말(110)은 통신 과정에서만 사용되고, 생체인식 인증 서버(130)는 생체인식 센서(120)에서 캡처한 샘플 데이터를 신뢰해야 한다.The
7.9 모델 9 (Model 9)7.9 Model 9 (Model 9)
도 6i는 인증모델 중 모델 9을 나타내고, 도 6i에서, 생체인식 정보 캡처 엘리먼트(140)는 생체인식 센서(120)로 구현되고, 기준 생체인식 정보 저장 엘리먼트(150)는 생체인식 인증 단말(110)로 구현되며, 인증 수행 엘리먼트(160)는 생체인식 인증 서버(130)로 구현된다.6i, a biometric
생체인식 인증 서버(130)는 생체인식 인증 단말(110)에 검증을 위한 사용자의 샘플 데이터를 요청하고, 생체인식 센서(120)는 사용자의 샘플 데이터를 캡처하여 생체인식 인증 단말(110)을 통해 생체인식 인증 서버(130)에 전송하며, 생체인식 인증 단말(110)은 이러한 과정에서 등록된 사용자의 템플릿을 생체인식 인증 서버(130)에 전송할 수 있다. 생체인식 인증 서버(130)는 최종적으로 사용자의 샘플 데이터와 등록 사용자의 템플릿을 비교할 수 있다. 모델 9에서, 생체인식 인증 서버(130)는 생체인식 센서(120)에서 캡처한 샘플 데이터를 신뢰해야 한다.The
7.10 모델 10 (Model 10)7.10 Model 10 (Model 10)
도 6j는 인증모델 중 모델 10을 나타내고, 도 6j에서, 생체인식 정보 캡처 엘리먼트(140), 기준 생체인식 정보 저장 엘리먼트(150) 및 인증 수행 엘리먼트(160)는 생체인식 인증 단말(110)로 구현된다.The biometric
생체인식 인증 단말(110)은 자신과 장치 통합적인 생체인식 센서(120)로 구현된 생체인식 정보 캡처 엘리먼트(140)를 통해 사용자의 샘플 데이터를 캡처할 수 있고, 이를 등록된 사용자의 템플릿과 비교하여 인증 결과를 설치된 생체인식 인증 에이전트에 전송할 수 있다. 마찬가지로, 이러한 과정에서 템플릿 ID 정보가 필요하다. 모델 10은 생체인식 인증 단말(110)이 생체인식 프로세싱 로드(load)를 지원할 수 있고 생체인식 인증을 수행하기 위한 충분한 프로세싱 리소스를 제공받는 것으로 가정한다.The
7.11 모델 11 (Model 11)7.11 Model 11 (Model 11)
도 6k는 인증모델 중 모델 11을 나타내고, 도 6k에서, 생체인식 정보 캡처 엘리먼트(140)는 생체인식 인증 단말(110)로 구현되고, 기준 생체인식 정보 저장 엘리먼트(150)와 인증 수행 엘리먼트(160)는 생체인식 인증 서버(130)로 구현된다.6K, the biometric
생체인식 인증 단말(110)은 앱을 통해 생체인식 인증 요청을 수신할 수 있고, 자신과 장치 통합적인 생체인식 센서(120)로 구현된 생체인식 정보 캡처 엘리먼트(140)를 통해 사용자의 샘플 데이터를 캡처할 수 있으며, 캡처된 샘플 데이터를 생체인식 인증 서버(130)에 제공하여 인증 수행을 요청할 수 있다. 생체인식 인증 서버(130)는 수신된 샘플 데이터를 등록된 사용자의 템플릿과 비교하여 인증 결과를 생체인식 인증 단말(110)의 App으로 전송할 수 있다. 사용자는 사전에 생체인식 참조 템플릿을 생체인식 인증 서버(130)에 등록할 수 있고, 마찬가지로, 템플릿 ID 정보가 비교를 수행하기 위해 필요하다. 모델 11은 생체인식 인증 단말(110)이 메모리, 디스크 등과 같은 리소스가 충분하지 않다고 가정한다.The
7.12 모델 12 (Model 12)7.12 Model 12 (Model 12)
도 6l는 인증모델 중 모델 12를 나타내고, 도 6l에서, 생체인식 정보 캡처 엘리먼트(140)와 인증 수행 엘리먼트(160)는 생체인식 인증 단말(110)로 구현되고, 기준 생체인식 정보 저장 엘리먼트(150)는 생체인식 인증 서버(130)로 구현된다.In FIG. 61, the biometric
모델 12는 생체인식 인증 서버(130)에서 등록된 사용자의 템플릿을 전송하는 것을 제외하고는 모델 10과 동일한 순서를 가진다. 마찬가지로, 템플릿 ID 정보가 비교를 수행하기 위해 필요하다. 모델 12는 생체인식 인증 단말(110)가 생체인식 프로세싱 로드를 지원할 수 있고 생체인식 인증의 수행을 위한 충분한 프로세싱 리소스를 제공받는 것으로 가정한다.The model 12 has the same order as the model 10 except that the template of the user registered in the
8. 원격 생체인식 모바일 기기의 취약점8. Vulnerability of Remote Biometric Mobile Devices
취약점은 모바일 장치로서 구현된 생체인식 인증 단말(110)의 약점과 적대적인 환경 영향을 견딜 수 없는 능력을 의미한다. 공격은 허가되지 않은 사용, 고의적인 파괴, 악의적인 수정 또는 불법적인 모바일 장치 자산 취득 시도에 해당할 수 있다. 즉, 취약성은 생체인식 인증 단말(110)의 내부 특성이며, 공격은 생체인식 인증 단말(110)의 외부 공격 활동을 의미한다.The vulnerability refers to the weakness of the
8.1 불충분한 응용 프로그래밍 인터페이스 관리8.1 Inadequate Application Programming Interface Management
모바일 장치의 가장 큰 특징은 응용 프로그램 개발에 주로 사용되는 유연한 응용 프로그램 프로그래밍 인터페이스(API)이다. 그러나 대부분의 악성 코드는 응용 프로그램 프로그래밍 인터페이스(API) 관리가 충분하지 않다. API 관리는 응용 프로그램 API를 개발, 게시 및 관리하는 프로세스를 말한다. 일반적으로 모바일 장치 API는 타사 응용 프로그램 개발을 위한 공개 API와 원격 유지 관리를 위한 제어 API로 분류된다. 제어 API는 일반적으로 원격 시스템 업데이트, 파일 삭제 및 정보 검색에 사용될 수 있는 우수한 권한 또는 특정 권한을 가진다. 악의적인 사용자가 제어 된 API를 획득하면 백도어 공격과 같은 부정적인 활동을 시작할 수 있다. 반면에 일부 공개 API는 부적절한 권한을 가지므로 특정 권한을 획득하고 공격을 시작할 수 있다.The most important feature of mobile devices is the flexible application programming interface (API), which is mainly used for application development. Most malware, however, lacks application programming interface (API) management. API management refers to the process of developing, publishing, and managing application APIs. In general, mobile device APIs are classified as open APIs for third party application development and control APIs for remote maintenance. Control APIs generally have excellent or specific privileges that can be used for remote system updates, file deletion, and information retrieval. Once a malicious user obtains a controlled API, they can initiate negative activities such as backdoor attacks. On the other hand, some public APIs have improper privileges, so they can acquire specific privileges and start attacks.
8.2 불안전한 무선 채널8.2 Insecure wireless channel
셀룰러 네트워크를 포함한 무선 환경에서 모바일 장치와 네트워크 장치간에 전송되는 사용자 데이터 및 제어 신호는 무선으로 전송 될 때 캡처할 수 있다(OTA). 이러한 통신 채널을 보호되지 않거나 암호화되지 않은 채로 두면 정보가 노출될 수 있다. 실제로 다음과 같은 이유로 대부분의 무선 채널에는 충분한 보안 기능이 구비되어 있지 않다.User data and control signals transmitted between mobile devices and network devices in a wireless environment, including cellular networks, can be captured when transmitted over the air (OTA). Keeping these communication channels unprotected or unencrypted can expose information. In fact, most wireless channels do not have enough security features for the following reasons:
a) 프로토콜 스택의 보안 보호가 충분하지 않음a) There is insufficient security protection in the protocol stack.
b) 보안 솔루션의 높은 비용으로 인한 비용 고려b) Consider the cost of high cost of security solutions
c) 보안 메커니즘의 구현을 막는 정부 정책c) Government policy to prevent the implementation of security mechanisms
인증, 암호화, 액세스 제어 등과 같은 보안 메커니즘이 구현되었지만 모바일 장치는 기존 보안 메커니즘의 제한된 보안 강도로 인해 일부 향상된 공격에 대응할 수 없다.Although security mechanisms such as authentication, encryption, access control, etc. have been implemented, mobile devices can not respond to some enhanced attacks due to the limited security strength of existing security mechanisms.
9. 각 모델에 대한 보안 위협9. Security Threats for Each Model
상기 표 1은 권한이 없는 사용자가 불법적으로 사용할 수 있는 보안 위협과 각 모델에 대한 가능한 대응책을 나타낸다.Table 1 shows security threats that unauthorized users can use illegally and possible countermeasures against each model.
또한, 도 7은 공개 키 기반 구조 (PKI)와 본 표준의 환경과 같은 생체인증 간의 협력에 대한 특정 위협을 나타낸다. PKI가 포함 된 모델의 경우 개인 키가 유출될 위험이 있으며 누군가 도 7에 있는 (a)와 같이 불법적으로 사용할 수 있고, (b)의 경우와 같이 개인 키 유출이 없더라도 PKI 정보와 생체인식 템플릿 정보 간의 관계가 보장되지 않을 수 있다. 따라서, 생체 템플릿 정보는 PKI 인증서의 식별 정보와 그 자체에 대한 유효성 정보를 요구해야 한다. 일 실시예엣, 바이오 인식 템플릿으로 [ITU-T X.1089]의 생체 인식 인증서 (BC)가 사용될 수 있다.Figure 7 also shows certain threats to collaboration between biometric authentication such as the public key infrastructure (PKI) and the environment of this standard. In the case of the model including the PKI, there is a risk that the private key will be leaked and that someone can use illegally as in (a) in FIG. 7, and even if there is no private key leakage as in (b) May not be guaranteed. Therefore, the biometric template information should request the identification information of the PKI certificate and the validity information on itself. In one embodiment, the biometric certificate (BC) of [ITU-T X.1089] may be used as the biometric template.
생체인식 인증 단말(110), 생체인식 센서(120) 또는 신뢰할 수 있는 생체인식 인증 서버(130)에서 처리되는 개인 정보에 대한 잠재적 위협은 다음과 같다.Potential threats to personal information processed by the
- 불법 센서를 통한 생체 정보 및 개인 정보 사기- Biometric and personal information fraud through illegal sensors
- 불법 모바일 장치를 통한 생체 정보 및 사기 정보 사기- Biometric and fraudulent information fraud through illegal mobile devices
- 불법 서버를 통한 생체 정보 및 개인 정보 사기- Biometric and personal information fraud through illegal servers
- 불법 네트워크에 연결하여 생체 정보 및 사기 정보 사기- Biometrics and fraudulent information fraud by connecting to illegal networks
대응 조치는 다음과 같다.The countermeasures are as follows.
- PKI를 사용하여 생체인식 센서(120)를 인증한다Authenticate the
- PKI를 사용하여 생체인식 인증 단말(110)를 인증한다- authenticate the
- PKI를 사용하여 생체인식 인증 서버(130)를 인증한다Authenticate the
- [IETF RFC 4346]에 명시된 TLS (Transport Layer Security) 프로토콜을 사용하여 세션 키 교환을 암호화한다- encrypts the session key exchange using the Transport Layer Security (TLS) protocol specified in [IETF RFC 4346]
<부록 2: 애플릿을 사용하는 마이크로 SD (Secure Digital) 카드 기반의 접근 방식><Appendix 2: Micro SD (Secure Digital) card-based approach using applets>
모델 1에서 정의된 것처럼, 생체인식 인증 단말(110)은 모바일 앱으로 구현된 생체인식 인증 에이전트를 통해 생체인식 인증 요청을 수신할 수 있고, 생체인식 센서(120)를 통해 캡처된 샘플 데이터를 등록된 사용자의 템플릿과 비교하여 인증 결과를 앱으로 전송할 수 있다. 도 8은 모델 1이 적용된 모바일 생체인식 어플리케이션 시스템의 흐름에 관한 예시를 도시하고 있다.As defined in
도 8에서, 모델 1은 애플릿에 내장된 마이크로 SD 카드(MoC)에서 비교(compare) 및 저장(store)을 수행하도록 하여 생체인식 인증 단말(110)의 보안 취약점을 개선할 수 있다. Micro SD는 다음과 같이 모바일 원격 생체인식 시스템에 적합하게 적용될 수 있다.In FIG. 8, the
a) 생체인식 센서(120)가 사용자의 생체인식 샘플을 캡처a) the
b) 생체인식 템플릿의 형태로 된 생체인식 샘플은 WiFi 통신으로 즉시 변환된 후에 생체인식 인증 단말(110)로 전송b) The biometric sample in the form of a biometric template is immediately converted to WiFi communication and then transmitted to the
c) 마이크로 SD 지문 인증의 보안 요소(SE) 영역의 지문 인증 애플릿이 장착된 생체 인식 템플릿이 애플릿으로 전송c) biometric template with fingerprint authentication applet in security element (SE) area of micro SD fingerprint authentication is sent to applet
d) 애플릿에 전송된 지문 템플릿은 micro SD SE에 등록되어 기준 생체인식 정보로서의 생체인식 레퍼런스와 비교d) The fingerprint template transferred to the applet is registered in micro SD SE and compared with biometric reference as reference biometric information.
e) 인증 결과를 확인하기 위해 모바일 앱을 통한 사용자 인증e) User authentication via mobile app to verify the authentication result
보안 위협에 따른 정보 유출을 차단하기 위해 애플릿의 마이크로 SD 보안 요소에 탑재된 생체인식 인증 단말(110)의 프로세스 비교 및 저장이 근본적으로 차단될 수 있다. 도 8은 본 발명에 기재된 개념이 다음과 같은 특성을 어떻게 적용 할 수 있는지를 보여준다.The process of comparing and storing the process of the
- 지문 인증 알고리즘과 지문 정보는 마이크로 SD의 SE (스마트 카드)에 저장된다- Fingerprint authentication algorithms and fingerprint information are stored in micro SD's smart card (SE)
- 이동할 때 스마트 폰으로 이동 및 장착이 자유롭다- It is free to move and mount on smartphone when moving.
- 운영 체제 (OS) 및 스마트폰 모델에 관계없이 지문 인증 애플릿의 독립성이 보장된다Independence of the fingerprint authentication applet is guaranteed regardless of operating system (OS) and smartphone model
- 저장된 모든 지문 정보가 마이크로 SD에 있기 때문에 기본적으로 정보의 흐름이 차단된다. 대부분의 경우 외부 보안 위협으로부터 안전하다- Since all stored fingerprint information is in micro SD, the flow of information is basically blocked. In most cases, it is safe from external security threats.
- 지문 애플릿은 Java 카드의 제어 하에 실행되며 실시간 환경이 검증된다- The fingerprint applet runs under the control of the Java card and the real-time environment is verified
- 생체인식 정보의 암호화가 지원된다- Encryption of biometric information is supported
보안 마이크로 SD의 SE는 하드웨어 보안 모듈과 동일한 수준을 유지하므로 개인 인증 및 모바일 장치의 생체 정보를 편리하고 높은 수준의 보안을 제공하기 위해 생체 정보를 저장할 수 있다. 이에 따라, 응용 프로그램이 배포 솔루션을 구현하기에 적합한 환경을 제공한다.Security The SE of the micro SD maintains the same level as the hardware security module, so biometric information can be stored to provide personal authentication and biometric information of the mobile device conveniently and at a high level of security. Accordingly, the application provides an environment suitable for implementing a distribution solution.
<부록 3: 생체인식을 위한 모바일 스토리지 연구><Appendix 3: Research on mobile storage for biometrics>
이 부록에서는 생체인식 인증 단말(110)에서 응용 프로그램의 생체 인식 데이터를 얻는 방법에 대한 기술적 요구 사항을 설명한다. 등록을 수행하기 위해 사용자로부터의 생체인식 샘플을 생체인식 참조 생성을 위해 캡처한 다음 사용자 정보를 카드에 업로드한다.In this appendix, technical requirements for a method of acquiring biometric data of an application program at the
1. 오프-카드 비교(Off-card comparison)1. Off-card comparison
오프-카드 비교는 생체인식 시스템 측에서 생체인식 인증을 수행함을 의미한다. 이 카드는 사용자의 생체인식 참조(biometric reference)를 저장하는 저장 장치 역할을 한다. 도 9(a)는 이러한 프로세스의 다양한 단계를 개략적으로 나타낸다.The off-card comparison means that the biometric authentication system performs biometric authentication. This card serves as a storage device for storing biometric references of the user. Figure 9 (a) schematically illustrates the various stages of this process.
검증을 수행하기 위해, 생체인식 시스템은 집적 회로 카드(ICC)에 대한 액세스를 획득하고 사용자의 생체인식 참조를 판독할 것이다. 생체인식 시스템의 역할은 생체 인식 샘플을 캡처하고 생체 인식을 수행하는 것이다. 생체인식이 성공하면 생체인식 시스템은 보안 상태를 변경할 수 있다. 이것은 후속 절차를 위해 카드에서 추가 정보를 다운로드하는 것을 포함할 수 있다. 실패하면 추가 액세스가 거부된다.To perform the verification, the biometric system will obtain access to the integrated circuit card (ICC) and read the biometric reference of the user. The role of the biometric system is to capture biometric samples and perform biometric. If the biometric is successful, the biometric system can change the security status. This may include downloading additional information from the card for subsequent processing. If unsuccessful, additional access is denied.
암호는 일반적으로 카드와 생체 인식 시스템을 상호 인증하는 데 사용된다. 생체 인식 시스템과 카드 간의 통신을 보호하려면 템플릿이나 데이터를 전송하기 전에 보안 채널을 설정해야 한다.Passwords are commonly used to authenticate cards and biometric systems. To protect communication between the biometric system and the card, you must set up a secure channel before transferring the template or data.
예를 들어, 생체 인식 참조 및 액세스 코드가 ICC에 저장되는 물리적 액세스 시스템을 가정한다면, 생체 인식 시스템은 카드에서 생체인식 참조를 읽고 생체인식을 수행하여 확인이 성공하면 카드에서 액세스 코드를 읽은 후에 이를 열어주는 백엔드 시스템으로 보낼 수 있다.For example, suppose a physical access system in which a biometric reference and access code is stored in the ICC, the biometric system reads the biometric reference from the card and performs biometrics to read the access code from the card if the verification is successful You can send it to an open backend system.
2. 온-카드 비교 (On-card comparison) (센서-오프 카드)2. On-card comparison (sensor-off card)
온-카드 비교는 카드에서 생체 인식 샘플 검증이 수행됨을 의미한다. 과정은 도 9(b)에 개략적으로 표현되어있다. ICC 중앙 처리 장치 (CPU)는 이러한 매칭을 수행하기 위한 충분한 프로세싱 능력을 가져야 한다. 등록 절차는 오프 카드 매칭과 동일하거나 유사하다.The on-card comparison means that biometric sample verification is performed on the card. The procedure is schematically shown in Fig. 9 (b). The ICC central processing unit (CPU) must have sufficient processing capability to perform this matching. The registration procedure is the same as or similar to off-card matching.
온-카드 비교를 수행하기 위해, 생체 인증 시스템은 생체 샘플을 캡처하여 생체 데이터를 추출하고, 생성된 생체 인식 데이터는 검증을 위해 카드에 업로드된다. 검증 프로세스는 카드상에서 실행되고, 생체 인식이 성공하면 카드의 보안 상태가 업데이트되며 적절한 신호가 백엔드 시스템으로 전송된다. 생체 인식 시스템과 카드 간의 통신을 보호하기 위해 안전하고 신뢰할 수있는 채널이 권장된다(예를 들어, [b-ISO / IEC 7816]에 따른 보안 메시징 및 [b-ISO / IEC 24761]에 정의 된 메커니즘을 사용하여 분산 된 비교 검증).To perform the on-card comparison, the biometric authentication system captures the biometric sample and extracts the biometric data, and the generated biometric data is uploaded to the card for verification. The verification process runs on the card, and if biometrics succeeds, the security status of the card is updated and the appropriate signal is sent to the backend system. A secure and reliable channel is recommended to protect communication between the biometric system and the card (eg, security messaging according to [b-ISO / IEC 7816] and mechanisms defined in [b-ISO / IEC 24761] And distributed comparison verification).
예를 들어, 카드를 떠나지 않는 키를 사용하여 디지털 서명을 생성할 수 있는 카드를 가정하도록 한다. 디지털 서명 생성을 시작하기 위해 카드로 보낸 요청은 보안 상태 오류 응답 메시지를 수신하고, 이것은 사용자에게 확인이 필요함을 나타낸다. 사용자는 생체 인식 데이터를 생성하기 위해 생체 인식 시스템에 필요한 생체 인식 샘플을 제공하여 ICC에 전송한다. ICC는 새로 캡처 된 생체 인식 데이터를 저장된 생체 인식 데이터와 비교하여 비교가 성공한 경우 ICC가 해당 애플리케이션 프로토콜 데이터 단위 (APDU) 명령을 수신하면 ICC가 디지털 서명을 생성하도록 하는 보안 상태를 업데이트한다.For example, assume a card that can generate a digital signature using a key that does not leave the card. A request sent to the card to initiate digital signature generation receives a security status error response message, which indicates that the user needs confirmation. The user provides the biometric samples needed for the biometric system to generate the biometric data and sends it to the ICC. The ICC compares the newly captured biometric data with the stored biometric data and updates the security state that causes the ICC to generate a digital signature when the ICC receives the APDU command when the comparison is successful.
3. 작업-공유(Work-sharing) 온-카드 기반 비교3. Work-sharing On-card based comparison
작업-공유 온-카드 비교는 비교 절차를 제외하고 상기 2의 온-카드 비교와 유사하다. 이러한 과정은 그림 도 9(c)에 개략적으로 표현되어있다. 이러한 유형의 비교는 생체인식 데이터 비교를 실행하는데 충분한 프로세싱 능력이 없는 ICC 용으로 설계될 수 있다. 이 경우 연산 집중적인 특정 활동 (예: 수학적 변형)이 계산을 수행하기 위해 생체 인식 시스템으로 전송될 수 있고, 계산 결과는 다시 ICC로 보내 지므로 일치하는 점수의 최종 결정이 카드에서 계산된다. 사전 비교 계산 중에는 카드와 생체인식 시스템 간에 통신이 이루어지낟. 안전하고 신뢰할 수 있는 채널은 특정 운영 환경에서 명시적으로 보호가 필요하지 않는 한 단말기와 카드 간의 통신을 보호하는 데 사용되고, 최종 비교는 카드에서 수행되어야 한다.The task-shared on-card comparison is similar to the on-card comparison of 2 above except for the comparison procedure. This process is schematically shown in Figure 9 (c). This type of comparison can be designed for ICCs that do not have enough processing power to perform biometric data comparisons. In this case, a computationally intensive activity (such as a mathematical transformation) can be sent to the biometric system to perform the computation and the result is sent back to the ICC, so the final decision of the matching score is calculated on the card. During the dictionary comparison calculation, communication between the card and the biometric system is performed. A secure and reliable channel is used to protect communication between the terminal and the card unless explicit protection is required in a particular operating environment, and the final comparison must be performed on the card.
4. 시스템-온-카드(System-on-card) 비교4. System-on-card comparison
시스템-온-카드 비교는 전체 생체인식 샘플 검증 프로세스가 카드에서 수행됨을 의미한다. 이러한 과정은 도 9(d)에 개략적으로 나타나 있다. 센서-카드 비교를 수행하기 위해 카드에 내장된 센서가 생체인식 표본을 캡처하고 생체인식 데이터를 추출한다. 생성된 생체인식 데이터는 검증을 위해 사용되고, 검증 프로세스는 카드상에서 실행된다. 카드의 보안 상태는 카드의 검증이 완료되면 업데이트된다. 생체인식 샘플 또는 참조 데이터는 카드로 또는 카드로부터 전송되지 않는다.The system-on-card comparison means that the entire biometric sample verification process is performed on the card. This process is schematically shown in Fig. 9 (d). To perform the sensor-card comparison, a sensor embedded in the card captures the biometric specimen and extracts the biometric data. The generated biometric data is used for verification, and the verification process is performed on the card. The security status of the card is updated when the verification of the card is completed. The biometric sample or reference data is not transmitted to or from the card.
<부록 4: 모바일 결제 서비스의 사례 연구><Appendix 4: Case study of mobile payment service>
생체인식을 이용한 모바일 결제 환경 사례 연구를 통해 생체인식 기반 모바일 결제 환경 분석을 수행하여 유형 A Pay 및 유형 B Pay와 같은 생체인식 기반의 결제 시스템에 대한 보안 위협 및 대책을 수립하였다. 이러한 종류의 지불 시스템은 모델 10에 적용된다.A case study on mobile payment environment using biometrics was conducted to analyze the mobile payment environment based on biometrics to establish security threats and countermeasures against biometric - based payment systems such as Type A Pay and Type B Pay. This type of payment system applies to Model 10.
1. 유형 A Pay 지불 절차1. Type A Pay payment procedure
(등록)(Enrollment)
a) 결제 앱 활성화a) Activate your billing app
b) 지불 카드 정보 입력 (카드 추가 메뉴)b) Enter payment card information (Add Card menu)
c) 카드 등록 확인c) Check card registration
(지불) 앱 활성화 : POS (point of sale) 태깅을 통한 진행 지불(Payment) App activation: Paying progress via point of sale (POS) tagging
a) 결제 앱 활성화a) Activate your billing app
b) 지불할 메인 카드를 선택b) Select the main card to be paid
c) 지문을 이용한 사용자 인증c) fingerprint authentication
d) 지불 준비 상태 확인 (지불 카드를 둘러싼 녹색 표시 등 깜박임)d) Ready to pay (flashing green light around payment card)
e) POS에 카드 태깅 (NFC 및 자기 모두 가능)e) POS card tagging (both NFC and self available)
f) 유형 A 유료 앱의 지불 정보를 확인f) Verify payment information for type A paid apps
2. 유형 B Pay 지불 절차2. Type B Pay payment procedure
a) 스마트 폰에서 Pay가 열림a) Pay is opened on smartphone
b) NFC POS 단말기와 스마트 폰간에 NFC 탭 연결이 이루어짐b) NFC tap connection between NFC POS terminal and smartphone
c) NFC POS 단말기는 iPhone에서 Pay에 연결하고 구매자가 지정한 카드 정보를 선택c) The NFC POS terminal connects to Pay on iPhone and selects the card information specified by the buyer
d) 보안 요소 칩 (전화기의 NFC 하드웨어의 일부)이 트랜잭션의 유효성을 검사하고 사용자의 승인이 NFC POS 단말기로 전송d) The security element chip (part of the NFC hardware of the phone) validates the transaction and sends the user's approval to the NFC POS terminal
f) 구매 정보는 판매자 시스템을 통해 이동하여 해당 은행으로 전송f) The purchase information is transferred through the seller system to the relevant bank
g) 은행은 판매자를 확인하고 거래 데이터를 지불 처리 네트워크에 저장g) The bank confirms the seller and stores the transaction data in the payment processing network
h) 지불 프로세서(Visa, MasterCard 등)는 거래 데이터(구매 정보 및 장치 계좌 번호)를 구매자의 신용 카드 계좌와 일치시킴h) The payment processor (Visa, MasterCard, etc.) matches the transaction data (purchase information and device account number) with the buyer's credit card account.
i) 구매가 처리되고 시스템을 통해 검증 결과가 POS 디바이스로 전송i) The purchase is processed and the verification result is transmitted to the POS device through the system
3. 유형 B Pay의 빌트-인 보안3. Built-in security for type B Pay
NFC와 다른 신용 지불 방법론을 사용하여 전체 프로세스를 보다 안전하게 만들 수 있다. 차이점은 다음과 같다.NFC and other credit payment methodologies can be used to make the entire process more secure. The differences are as follows.
- 신용 카드 정보가 교환되지 않는다- Credit card information is not exchanged
- 각 구매에는 새로운 거래 번호가 필요하다- Each purchase requires a new transaction number
- 카드 스와이핑(swiping)이 없기 때문에 많은 대상 쇼핑객을 괴롭힌 배드-가이(bad-guy) 스키밍 기술과 메모리 스크래핑 맬웨어(memory-scraping malware)의 문제가 제거될 수 있다- The absence of card swiping can eliminate the problems of bad-guy skimming and memory-scraping malware that harass many target shoppers
유형 B는 다음과 같은 잠재적인 보안 문제가 있다.Type B has the following potential security issues:
- 사용자 인증: 유형 B Pay는 논리적인 선택인 생체 인식을 사용하지만, 공격자가 iPhone 5에서 사용 된 TouchID를 우회하는 데는 불과 2 일이 걸린 바 있다- User authentication: Type B Pay uses a logical choice of biometrics, but it took the attacker only two days to bypass the TouchID used on the iPhone 5
- 모바일 응용 프로그램의 유효성 검사: 사용자의 신용 카드 정보를 passbook에 입력하고 사진을 찍거나 타이핑하면 취약한 링크가 될 수 있다. iPhone에 설치된 맬웨어는 데이터를 캡처하여 공격자가 제어할 수 있는 원격 서버에 정보를 전송할 수 있다.- Validating mobile applications: Typing a user's credit card information into a passbook and taking or typing a picture can be a weak link. Malware installed on the iPhone can capture data and send information to remote servers that an attacker can control.
유형 B Pay는 기존의 장치 기반 보안 요소를 사용하여 작동한다. 유형 B는 실제 카드 또는 토큰 데이터를 클라우드 서버에 전혀 저장하지 않는다. 장치 상의 보안 요소는 기본적으로 안전한 저장 이외에 카드 에뮬레이션을 수행한다. 탭앤 페이(Tab & Pay)를 하면 비접촉 터미널에 지불 데이터가 전송된다.Type B Pay works using existing device-based security elements. Type B does not store any real card or token data in the cloud server at all. The security element on the device basically performs card emulation in addition to secure storage. When you tap and pay, the payment data is transferred to the contactless terminal.
첫째, Type B Pay는 실제 카드 데이터를 SE 내부에 저장하지 않는다. 대신, EMVCo 토큰화 스펙을 준수하는 토큰을 저장한다. 이것은 비접촉식 터미널로 전송되는 토큰(암호문과 함께)이다. 인증 흐름 중에 카드 네트워크는 토큰을 식별하고 토큰 서비스 공급자 (TSP)의 도움을 받아 이를 실제 개인 액세스 네트워크 (PAN)로 역-토큰화하고 실제 PAN을 발급자에게 승인을 위해 보낸다.First, Type B Pay does not store actual card data in SE. Instead, it stores a token that conforms to the EMVCo tokenization specification. This is a token (with ciphertext) sent to the contactless terminal. During the authentication flow, the card network identifies the token and, with the assistance of a token service provider (TSP), de-tokenizes it to the actual private access network (PAN) and sends the actual PAN to the issuer for approval.
둘째, 유형 B는 장치 내부에 내장 된 보안 요소를 소유 및 제어하므로 모바일 네트워크 사업자 (MNO)의 불필요한 문제를 피할 수 있다.Second, Type B owns and controls the security elements embedded inside the device, thereby avoiding unnecessary problems of the MNO.
마지막으로, Type B는 프로비저닝 모델을 크게 단순화할 수 있다. 실제 카드 정보를 프로비저닝 해야한다면 복잡하고 복잡한 프로세스에 의존해야 한다. 다행히도 토큰을 제공하고 프로세스를 간소화할 수 있는 기회를 얻을 수 있다. 빠른 신원 확인 온라인(FIDO) 얼라이언스 프로토콜은 보다 강력한 인증을 제공하기 위해 표준 공개 키 암호화 기술을 사용한다. 온라인 서비스에 등록하는 동안 사용자의 클라이언트 장치는 새로운 키 쌍을 만든다. 개인 키를 보유하고 공용 키를 온라인 서비스에 등록한다. 인증은 클라이언트 디바이스가 챌린지에 서명함으로써 서비스에 대한 개인 키를 소유하고 있음을 증명한다. 클라이언트의 개인 키는 사용자가 장치에서 로컬로 잠금을 해제 한 후에만 사용할 수 있다. 로컬 잠금 해제는 손가락을 스와이핑하거나, PIN을 입력하거나, 마이크에 대고 말하거나, 두 번째 요인 장치를 삽입하거나, 버튼을 누르는 것과 같은 사용자 친화적이고 안전한 조치를 통해 수행될 수 있다.Finally, Type B can greatly simplify the provisioning model. If you need to provision actual card information, you must rely on complex and complex processes. Fortunately, you have the opportunity to provide tokens and simplify the process. Fast Identity Verification Online (FIDO) Alliance protocol uses standard public key cryptography to provide stronger authentication. During registration with the online service, your client device creates a new key pair. Holds the private key and registers the public key with the online service. Authentication verifies that the client device possesses the private key for the service by signing the challenge. The client's private key can only be used after the user has unlocked locally on the device. Local unlocking can be accomplished through user-friendly and secure measures such as swiping a finger, typing a PIN, speaking into a microphone, inserting a second factor device, or pressing a button.
FIDO 프로토콜은 사용자 개인 정보를 보호하기 위해 설계되었다. 프로토콜은 다양한 온라인 서비스에서 사용자가 공동 작업하고 서비스를 통해 사용자를 추적하는 데 사용할 수 있는 정보를 제공하지 않는다. 생체인식 정보를 사용하면 결코 사용자의 기기에서 나가지 않는다. 등록 절차는 다음과 같다. 이러한 내용은 도 10(a)에 도시되어 있다.The FIDO protocol is designed to protect user privacy. The protocol does not provide information that users can use to collaborate on various online services and to track users through services. Using biometric information never leaves your device. The registration procedure is as follows. This is shown in Fig. 10 (a).
a) 사용자는 온라인 서비스의 승인 정책과 일치하는 사용 가능한 FIDO 인증자를 선택하라는 메시지가 표시되는 것을 확인할 수 있다.a) The user may be prompted to select an available FIDO authenticator that matches the authorization policy of the online service.
b) 사용자는 지문 인식 장치, 두 번째 요인 장치의 단추, 안전하게 입력 된 PIN 또는 기타 방법을 사용하여 FIDO 인증 자의 잠금을 해제할 수 있다.b) The user can unlock the FIDO authenticator using a fingerprint reader, a button on the second factor device, a securely typed PIN or other method.
c) 사용자 장치는 로컬 장치, 온라인 서비스 및 사용자 계정에 대해 고유 한 새로운 공용 / 개인 키 쌍을 만든다c) The user device creates a new public / private key pair unique to the local device, online service, and user account
d) 공개 키는 온라인 서비스로 보내지고 사용자의 계정과 연결된다. 개인 키 및 로컬 인증 방법 (예: 생체 측정 또는 템플릿)에 대한 모든 정보는 로컬 장치에서 나가지 않는다.d) The public key is sent to the online service and associated with the user's account. All information about the private key and the local authentication method (eg biometric or template) does not leave the local device.
로그인 절차는 다음과 같습니다. 이러한 내용은 도 10(b)에 도시되어 있다.The login procedure is as follows. This is shown in Fig. 10 (b).
a) 온라인 서비스는 사용자가 서비스의 승인 정책과 일치하는 이전에 등록된 장치로 로그인하도록 한다a) The online service allows the user to log in with a previously registered device that matches the service's authorization policy
b) 사용자는 등록시와 동일한 방법으로 FIDO 인증 자의 잠금을 해제한다b) The user unlocks the FIDO authenticator in the same way as when registering
c) 장치는 서비스에서 제공한 사용자의 계정 식별자를 사용하여 올바른 키를 선택하고 서비스의 문제점에 서명한다c) The device uses the account identifier of the user provided by the service to select the correct key and sign the problem of the service
d) 클라이언트 장치는 서명된 챌린지를 다시 서비스로 보내고 서비스는 저장된 공개 키와 사용자의 로그를 확인한다d) The client device sends the signed challenge back to the service and the service verifies the stored public key and the user's log
상기에서는 본 출원의 바람직한 실시예를 참조하여 설명하였지만, 해당 기술 분야의 숙련된 통상의 기술자는 하기의 특허 청구의 범위에 기재된 본 발명의 사상 및 영역으로부터 벗어나지 않는 범위 내에서 본 출원을 다양하게 수정 및 변경시킬 수 있음을 이해할 수 있을 것이다.While the present invention has been particularly shown and described with reference to exemplary embodiments thereof, it will be understood by those of ordinary skill in the art that various changes in form and details may be made therein without departing from the spirit and scope of the invention as set forth in the following claims And changes may be made without departing from the spirit and scope of the invention.
100: 생체인식 인증 시스템
110: 생체인식 인증 단말120: 생체인식 센서
130: 생체인식 인증 서버140: 생체인식 정보 캡처 엘리먼트
150: 기준 생체인식 정보 저장 엘리먼트
160: 인증 수행 엘리먼트210: 프로세서
211: 생체인식 인증 요청 수신부212: 생체인식 정보 캡처 제어부
213: 인증모델 결정부214: 인증 수행 제어부
215: 인증 결과 수신부216: 제어부
220: 메모리230: 사용자 입출력부
240: 네트워크 입출력부100: Biometric authentication system
 110: biometric authentication terminal 120: biometric sensor
 130: biometric authentication server 140: biometric information capture element
 150: Reference biometric information storage element
 160: authentication performing element 210:
 211: biometric authentication request receiving unit 212: biometric information capturing control unit
 213: Authentication model determination unit 214: Authentication performing control unit
 215: authentication result reception unit 216:
 220: memory 230: user input / output section
 240: Network I /
| Application Number | Priority Date | Filing Date | Title | 
|---|---|---|---|
| KR1020170132087AKR101986244B1 (en) | 2017-10-12 | 2017-10-12 | Method of telebiometric authentication based on mobile devices | 
| Application Number | Priority Date | Filing Date | Title | 
|---|---|---|---|
| KR1020170132087AKR101986244B1 (en) | 2017-10-12 | 2017-10-12 | Method of telebiometric authentication based on mobile devices | 
| Publication Number | Publication Date | 
|---|---|
| KR20190041084A KR20190041084A (en) | 2019-04-22 | 
| KR101986244B1true KR101986244B1 (en) | 2019-06-05 | 
| Application Number | Title | Priority Date | Filing Date | 
|---|---|---|---|
| KR1020170132087AActiveKR101986244B1 (en) | 2017-10-12 | 2017-10-12 | Method of telebiometric authentication based on mobile devices | 
| Country | Link | 
|---|---|
| KR (1) | KR101986244B1 (en) | 
| Publication number | Priority date | Publication date | Assignee | Title | 
|---|---|---|---|---|
| US11750390B2 (en) | 2019-01-31 | 2023-09-05 | Global Bionic Optics Limited | System and method for producing a unique stable biometric code for a biometric hash | 
| WO2024201229A2 (en)* | 2023-03-24 | 2024-10-03 | Global Bionic Optics Limited | System and method for complex confirmation of biometric information without stored biometric data | 
| Publication number | Priority date | Publication date | Assignee | Title | 
|---|---|---|---|---|
| KR101654306B1 (en)* | 2016-03-18 | 2016-09-05 | 주식회사 에이요 | Registration and authentification system of distribution type using bio data | 
| Publication number | Priority date | Publication date | Assignee | Title | 
|---|---|---|---|---|
| US7712129B2 (en)* | 2004-03-30 | 2010-05-04 | International Business Machines Corporation | System, method and program for user authentication, and recording medium on which the program is recorded | 
| KR100875923B1 (en) | 2006-11-20 | 2008-12-26 | 한국전자통신연구원 | User retrieval system and its method through multi biometric recognition | 
| KR20170034618A (en) | 2015-09-21 | 2017-03-29 | 연세대학교 산학협력단 | Method for User Authentication Using Biometirc Information, Authentication Server and Biometric Device for User Authentication | 
| Publication number | Priority date | Publication date | Assignee | Title | 
|---|---|---|---|---|
| KR101654306B1 (en)* | 2016-03-18 | 2016-09-05 | 주식회사 에이요 | Registration and authentification system of distribution type using bio data | 
| Publication number | Publication date | 
|---|---|
| KR20190041084A (en) | 2019-04-22 | 
| Publication | Publication Date | Title | 
|---|---|---|
| US11341475B2 (en) | System and method of notifying mobile devices to complete transactions after additional agent verification | |
| US10440019B2 (en) | Method, computer program, and system for identifying multiple users based on their behavior | |
| CN106575401B (en) | System and method for performing validation using data analysis | |
| EP3138265B1 (en) | Enhanced security for registration of authentication devices | |
| KR102358546B1 (en) | System and method for authenticating a client to a device | |
| US10075437B1 (en) | Secure authentication of a user of a device during a session with a connected server | |
| RU2702076C2 (en) | Authentication in distributed environment | |
| US9531710B2 (en) | Behavioral authentication system using a biometric fingerprint sensor and user behavior for authentication | |
| US8412949B2 (en) | Personal digital key initialization and registration for secure transactions | |
| US10432620B2 (en) | Biometric authentication | |
| US8990572B2 (en) | Methods and systems for conducting smart card transactions | |
| CN106575326A (en) | System and method for implementing a one-time-password using asymmetric cryptography | |
| US11936649B2 (en) | Multi-factor authentication | |
| US12430415B1 (en) | Authentication with dynamic user identification | |
| KR102633314B1 (en) | method and apparatus for processing authentication information and user terminal including the same | |
| KR101986244B1 (en) | Method of telebiometric authentication based on mobile devices | |
| Herdanu et al. | Integration biometrics in web application: Security for web apps. | |
| HK1236663A1 (en) | System and method for performing authentication using data analytics | |
| HK1231647A1 (en) | System and method for carrying strong authentication events over different channels | |
| HK1236663B (en) | System and method for performing authentication using data analytics | |
| HK1234909A1 (en) | Enhanced security for registration of authentication devices | |
| HK1236268A1 (en) | System and method for authenticating a client to a device | |
| HK1234909B (en) | Enhanced security for registration of authentication devices | 
| Date | Code | Title | Description | 
|---|---|---|---|
| A201 | Request for examination | ||
| PA0109 | Patent application | Patent event code:PA01091R01D Comment text:Patent Application Patent event date:20171012 | |
| PA0201 | Request for examination | ||
| E902 | Notification of reason for refusal | ||
| PE0902 | Notice of grounds for rejection | Comment text:Notification of reason for refusal Patent event date:20180928 Patent event code:PE09021S01D | |
| E701 | Decision to grant or registration of patent right | ||
| PE0701 | Decision of registration | Patent event code:PE07011S01D Comment text:Decision to Grant Registration Patent event date:20190405 | |
| PG1501 | Laying open of application | ||
| GRNT | Written decision to grant | ||
| PR0701 | Registration of establishment | Comment text:Registration of Establishment Patent event date:20190530 Patent event code:PR07011E01D | |
| PR1002 | Payment of registration fee | Payment date:20190531 End annual number:3 Start annual number:1 | |
| PG1601 | Publication of registration | ||
| PR1001 | Payment of annual fee | Payment date:20220331 Start annual number:4 End annual number:4 | |
| PR1001 | Payment of annual fee | Payment date:20230519 Start annual number:5 End annual number:5 |