



































본 발명은 3D 구강스캐너와 이를 포함한 인공 치아 가공 장치에 관한 것이다.보다 상세하게는 3D 구강스캐너는 전방위광학계를 이용한 것이다.BACKGROUND OF THE
인상채득(impression taking)은 구강 내 치아 및 조직의 상태를 확인하여 환자의 진단 및 치료 계획을 수립하거나 정확한 보철물을 제작하는데 기반이 되는 중요한 임상과정이다.Impression taking is an important clinical procedure that is based on identifying the condition of teeth and tissues in the oral cavity, establishing a patient's diagnosis and treatment plan, or building accurate prostheses.
인상채득 과정은 인상재의 잘못된 선택 또는 사용방법에 따른 인상체 변형과 술자의 숙련도와 상관없는 환자의 거부 반응 등과 같이 다양한 요인들에 의하여 반복 채득이 불가피할 수 있다. 또한 인상채득 후 석고 모형을 제작하는 단계에서도 재료가 갖는 미세부 재현의 한계 및 마모 등에 의하여 치과 보철물 제작에 있어 오차를 야기할 수 있다.The process of impression making can be repeatedly made by various factors such as impression modification due to wrong choice of impression material or use method, rejection reaction of the patient irrespective of skill of the surgeon. In addition, even in the stage of making the plaster model after the impression taking, the limit of the detailed reproduction of the material and the abrasion may cause errors in the manufacture of the dental prosthesis.
따라서 단시간 내의 정확한 인상채득은 치과의사와 환자간의 진료와 치료 예후에 큰 만족감을 줄 수 있으므로, 이를 위한 다양한 인상채득방법이 지속적으로 모색되고 있다.Therefore, accurate impression preparation within a short period of time can provide a great satisfaction to the treatment and prognosis of the dentist and the patient, and various impression methods for this purpose are continuously being sought.
최근 디지털 기술이 치과 임상 및 기공 과정에 응용되면서 인상채득 역시 인상재를 사용하지 않고 구강 내를 직접 스캔하여 디지털 데이터로 전환한 후 컴퓨터를 기반으로 보철물을 디자인하고 제작하는 새로운 디지털 작업 방식으로 변화되고 있다.이는 방사선 노출의 문제를 가지는 X-ray 방식이나, 고가의 장비인 핵자기 공명(nuclear magnetic resonance: NMR) 방식이 아닌, 구강 내를 촬영한 영상에 기반한 디지털 영상 처리 방식으로써, 안정성 문제를 해결할 수 있고비교적 저가로 제조할 수 있는 이점이 있어 최근 각광받고 있다.Recently, as digital technology has been applied to the dental clinical and engineering process, impression making has been changed into a new digital working method of designing and manufacturing a prosthesis based on computer after directly converting the inside of the mouth into digital data without using an impression material This is a digital image processing method based on images taken in the oral cavity rather than the X-ray method, which has a problem of radiation exposure, but the nuclear magnetic resonance (NMR) method, which is expensive equipment. And can be manufactured at a relatively low cost.
이러한 디지털 방식은 인상채득에 사용되는 재료의 재현성의 한계 및 모형 제작시 발생하는 오차, 모형과 기록 보관의 문제, 수작업으로 인한 의술식의 민감성이나 제작 표준화의 문제뿐 아니라 작업환경 개선 등에도 긍정적인 효과를 주고 있다.These digital methods are also positive for the reproducibility of the materials used for impression making, the errors that occur in modeling, the problems of model and record keeping, the sensitivity of manual expressions and the standardization of production Giving effect.
또한 구강 구조는 매우 복잡하고, 광학적 영상을 통하여 살펴야 할 부위는 단면이 아니고 치아를 중심으로 치아의 앞면 및 뒷면 그리고 치아의 끝면 등을 포함하여 치아를 지지하고 있는 잇몸 부분 등을 관찰하여야 하는 어려움을 해소 할 수 있는 장점이 있어 구강 스캔 기술에 대한 연구 개발이 활발히 진행되고 있다.In addition, the oral structure is very complicated, and the area to be examined through the optical image is not a cross-section, but the difficulty of observing the gingival portion supporting the teeth including the front and back surfaces of the teeth and the end surfaces of the teeth And research and development on oral-scan technology is actively under way.
디지털 방식을 기반으로 한 구강 스캔 기술과 관련한 종래의 기술로서 특허문헌1(대한민국공개특허공보 10-2013-0080077)은 상악 및 하악의 전면에 마주하도록 구강내에 설치된 레일(Rail)을 따라 이동하는 이미지 센서 모듈(Image sensor module)를 이용하여 구강 내외의 광학적 영상을 취득할 수 있는 장치를 개시하고 있다.그리고 특허문헌2(미국등록특허공보 6, 821, 116)는 환자의 구강에 끼워지는 마우스 피스 상에 트랙을 설치하고, 트랙을 이동하면서 사용자의 치아를 촬영하는 카메라를 구비한 3D 구강스캐너를 개시하고 있다.Patent Document 1 (Korean Patent Laid-Open Publication No. 10-2013-0080077) discloses a conventional technology related to a digital scanning technique based on a digital method. In the technique disclosed in Korean Patent Laid-Open No. 10-2013-0080077, an image moving along a rail installed in the oral cavity, Patent Document 2 (US Pat. No. 6,821,161) discloses a device capable of acquiring optical images inside and outside the oral cavity using a sensor module (Image Sensor Module) And a camera for photographing a user's tooth while moving a track.
그런데 특허문헌1의 3D 구강스캐너의 경우 이동방향과 수직으로 길게 늘어선 이미지 센서가 레일 상에서 이동해야 하므로, 레일은 이미지 센서 모듈의 이동 방향과 수직한 수직 길이가 전 영역에서 동일한 길이를 가진다.이 경우 절치에서부터 소구치 그리고 대구치 방향으로 갈수록 구강의 폭은 좁아지므로, 상기 레일을 환자의 구강에 설치할 때 어려움이 크고, 환자가 느끼는 거부감이 매우 크다.또한 특허문헌 1 및 2와 같이이미지 센서나 카메라가 레일 또는 트랙의 전영역을 이동하는데 소요되는 시간이 커 환자의 거부감은 더욱 커지게 되고 나아가 환자의 거부감에 따른 구강 내의 근육의 움직임에 따른 부정확한 영상이 취득되는 문제가 있다.However, in the case of the 3D oral scanner of
일반적인 구강 스캐너는 구강 내의 촬영 영역이 제한되어 숙련된 촬영 기술과 다수의 촬영 행위가 필요하고, 전술한 특허문헌1및 2의 경우, 레일상에 이미지 센서의 이동 시간에 따른 구강 스캔 소요 시간이 긴 문제가 있다.이를 해결하기 위한 종래의 기술로서 특허문헌3(대한미국공개특허공보 10-2015-0021310)은 일 회의 촬영으로 모든 치아를 촬영할 수 있도록 치아의 배열 형상에 대응하는 구강촬영용 트레이를 개시하고 있다.그러나, 특허문헌3의 구강촬영용 트레이는 상악 또는 하악 중 어느 하나의 모든 치아를 촬영하기 위하여 트레이 상에는 다수의 카메라모듈이 구비되어야 하는 문제가 있고, 환자의 구강 구조에 따라서는 트레이가 치아에 설치되지 못하거나, 설치되는 경우라도트레이와 치아의 유격이 영역 별로 상이하여 트레이의 영역 중 치아와 접촉하는 영역에서는 제대로된 촬영영상을 얻을 수 없는 한계가 있다.In the case of the
또한 디지털 데이터 기반의 구강 스캐너의 급속한 개발에도 불구하고구강 내의 촬영에 소요되는 시간은 평균적으로 짧게는 수분 길게는 십분 이상의 시간이 소요되고 있다.즉오랜 시간 동안 술자의 집중이 요구되고, 각 치아를 측정할 때의 측정 위치와 자세를 정확하게 알고 있을 것이 요구되고 있다.또한 환자로 하여금구강 내에 스캐너를 장 시간 물고 있을 것이 요구되어 환자의 불편을 야기하고 있다.이러한 문제를 해결하고자 촬영 시간을 줄일 수 있는 3D 구강스캐너에 대한 연구 개발이 계속되고 있으나 복잡한 구강 구조 및 구강 내의 부분 영역별로 촬영하는 종래의 구강 스캐너의 구조적 한계로 인하여 치아와 잇몸을 영역별로 수회 촬영하는 것이 불가피하여 촬영 시간을 줄이는데 한계가 있다.그리고 전체 치아 형상을 획득하기 위해 각각의 치아를 측정하고 이것을 보정 및 수정하고 전체 치열 영상을 얻기 위한 하나의 데이터로 합성하는 데이터 처리 과정에서 많은 시간이 소요되어 빠르게 구강 내 촬영 결과를 확인하기 어렵고, 오류 발생 여부를 확인하는데도 많은 시간이 걸려 오히려 기존의 인상 채득 및 석고 모형 제작보다 시간이 더 소요되는 것이 현실이다.In addition, despite the rapid development of a digital data-based oral scanner, the time required for imaging in the oral cavity is on the order of a few minutes longer than ten minutes or longer, requiring a long period of concentration of the surgeon, It is required to know precisely the measurement position and posture at the time of measurement, and the patient is required to hold the scanner for a long time in the oral cavity, causing inconvenience of the patient. However, due to the structural limitations of the conventional oral scanner, which is photographed by complicated oral structures and partial regions within the oral cavity, it is inevitable to take a plurality of photographs of the teeth and gums in the region, In order to obtain the entire tooth shape, It takes a lot of time in the data processing process of measuring the eye, correcting and correcting it, and synthesizing it into one data for obtaining the entire dental image, and it is difficult to confirm the result of the oral image quickly, Rather, it takes more time than traditional impression making and plaster modeling.
본 발명의 목적은 구강 스캔 시간을 최소화할 수 있는 전방위광학계를 이용한 3D 구강스캐너를 제공하는데 있다.SUMMARY OF THE INVENTION It is an object of the present invention to provide a 3D mouth scanner using an omnidirectional optical system capable of minimizing oral scan time.
또한 본 발명의 목적은 3D영상의 해상도와 분해능을 높여 영상의 품질을 향상시킬 수 있는 전방위광학계를 이용한 3D 구강스캐너를 제공하는데 있다.It is another object of the present invention to provide a 3D mouth scanner using an omnidirectional optical system capable of improving the resolution and resolution of a 3D image to improve the quality of an image.
또한 본 발명의 목적은 촬영 영상을 최소화하여 복수의 영상들의 합성 시 수반되는 분해능 저하와 해상도 저하 그리고 실제 구강 내 정보와의 오차 문제를 최소화할 수 있는 전방위광학계를 이용한 3D 구강스캐너를 제공하는데 있다.It is another object of the present invention to provide a 3D mouth scanner using an omnidirectional optical system that minimizes resolution degradation, resolution degradation, and error between actual intraoral information in the synthesis of a plurality of images by minimizing an imaged image.
또한 본 발명의 목적은 하악 또는 상악의 전 영역을 한번에 관찰 할 수 있는 전방위광학계를 이용한 3D 구강스캐너를 제공하는데 있다.It is also an object of the present invention to provide a 3D mouth scanner using an omnidirectional optical system capable of observing the entire region of the mandible or the maxilla at a time.
또한 본 발명의 목적은 3D 구강스캐너가 환자의 구강에 삽입될 때 환자가 어색하거나 불편한 구강 운동을 반복적이고지속적으로 진행함에 따라 느끼는 불편함과 그로 인한 근골격장애 유발 문제를 해소하기 위할 수 있는 전방위광학계를 이용한 3D 구강스캐너를 제공하는데 있다.It is also an object of the present invention to provide an omnidirectional optical system capable of solving the inconvenience that a patient feels as he or she repeatedly and continuously proceeds with an awkward or inconvenient oral movement when the 3D mouth scanner is inserted into a patient's mouth, The present invention provides a 3D mouth scanner using the 3D mouth scanner.
또한 본 발명의 목적은 누락되는 치아 없이 치열 전체의 내측 및 외측 전체를 촬영할 수 있는 전방위광학계를 이용한 3D 구강스캐너를 제공하는데 있다.It is also an object of the present invention to provide a 3D mouth scanner using an omnidirectional optical system capable of photographing the inside and outside of the entire dentition without missing teeth.
본 발명의 실시예에 따른 전방위광학계를이용한 3D 구강스캐너는 일부 또는 전부가 구강에 삽입되는 제1 부;상기 제1 부의 일측에 형성되는 제2 부;상기 제1 부의 일부에 설치되는 전방위광학계; 및상기 제1 부 또는 상기 제2 부에 설치되어 상기 전방위광학계로부터 수신되는 광을 검출하여 상기 구강의 영상을 생성하는 촬영부;를 포함하는 전방위광학계를이용한 3D 구강스캐너를 제공할 수 있다.A 3D oral scanner using an omnidirectional optical system according to an exemplary embodiment of the present invention includes a first portion in which a part or all of the 3D scanner is inserted into an oral cavity, a second portion formed at one side of the first portion, and an omnidirectional optical system provided at a portion of the first portion. And a photographing unit installed in the first unit or the second unit for detecting light received from the omnidirectional optical system to generate an image of the oral cavity. The present invention also provides a 3D mouth scanner using the omnidirectional optical system.
또한 본 발명의 다른 실시예에 따른 전방위광학계를이용한 3D 구강스캐너의 상기 전방위광학계는 상기 제1부의 외부로 노출된 전방위렌즈를 포함하는 것을 특징으로 하는전방위광학계를이용한 3D 구강스캐너를 제공할 수도 있다.The 3D ophthalmologic scanner of the 3D oral scanner using the omnidirectional optical system according to another embodiment of the present invention may further include a omnidirectional lens exposed to the outside of the first unit, and may provide a 3D oral scanner using the omnidirectional optical system .
또한 본 발명의 또 다른 실시예에 따른 전방위광학계를이용한 3D 구강스캐너는 상기 제1 부 및 상기 제2 부를 서로 연결하고, 상기 제1 부의 유동을 제어하는 위치제어부;를 더 포함하는 전방위광학계를이용한 3D 구강스캐너를 제공할 수도 있다.Further, the 3D mouth scanner using the omnidirectional optical system according to another embodiment of the present invention further includes a position control unit connecting the first unit and the second unit to each other and controlling the flow of the first unit, A 3D mouth scanner may also be provided.
또한 본 발명의 또 다른 실시예에 따른 전방위광학계를이용한 3D 구강스캐너의 상기 촬영부는 이미지센서를 포함하는 전방위광학계를이용한 3D 구강스캐너를 제공할 수도 있다.According to still another aspect of the present invention, there is provided a 3D mouth scanner using the omnidirectional optical system including an image sensor, wherein the photographing unit of the 3D oral scanner using the omnidirectional optical system.
또한 본 발명의 또 다른 실시예에 따른 전방위광학계를이용한 3D 구강스캐너의 상기 이미지센서는 위치변위검출소자인전방위광학계를이용한 3D 구강스캐너를 제공할 수도 있다.The image sensor of the 3D oral scanner using the omnidirectional optical system according to another embodiment of the present invention may also provide a 3D oral scanner using an omnidirectional optical system as a positional displacement detecting element.
또한 본 발명의 또 다른 실시예에 따른 전방위광학계를이용한 3D 구강스캐너는 상기 구강에 광을 제공하는 광원부;를 더 포함하고, 상기 광원부는 레이저 광을 조사하는 것을 특징으로 하는 전방위광학계를이용한 3D 구강스캐너를 제공할 수도 있다.According to still another aspect of the present invention, there is provided a 3D mouth scanner using an omnidirectional optical system, wherein the 3D mouth scanner further comprises a light source unit for supplying light to the oral cavity, and the light source unit irradiates laser light. A scanner may be provided.
또한 본 발명의 또 다른 실시예에 따른 전방위광학계를이용한 3D 구강스캐너는 상기 구강에 광을 조사하기 위해 상기 제1 부에 설치되는 복수의 광원;을 더 포함하는 전방위광학계를이용한 3D 구강스캐너를 제공할 수도 있다.According to another aspect of the present invention, there is provided a 3D oral scanner using an omnidirectional optical system, which further comprises a plurality of light sources installed in the first unit for irradiating light to the oral cavity, using the omnidirectional optical system You may.
또한 본 발명의 또 다른 실시예에 따른 전방위광학계를이용한 3D 구강스캐너의 상기 복수의 광원은 순차적 또는 선택적으로 구동하는전방위광학계를이용한 3D 구강스캐너를 제공할 수도 있다.In addition, the plurality of light sources of the 3D oral scanner using the omnidirectional optical system according to another embodiment of the present invention may provide a 3D oral scanner using an omnidirectional optical system that is sequentially or selectively driven.
또한 본 발명의 또 다른 실시예에 따른 전방위광학계를이용한 3D 구강스캐너는 상기 구강에 패턴구조광을 조사하기 위해 상기 제1 부 또는 상기 제2 부에 설치되는 프로젝터;를 더 포함하는전방위광학계를이용한 3D 구강스캐너를 제공할 수도 있다.According to still another aspect of the present invention, there is provided a 3D oral scanner using an omnidirectional optical system, wherein the 3D ophthalmologic scanner further comprises a projector installed in the first or second unit for irradiating patterned light to the oral cavity A 3D mouth scanner may also be provided.
또한 본 발명의 또 다른 실시예에 따른 전방위광학계를이용한 3D 구강스캐너는 상기 패턴구조광을 상기 구강에 조사하는 광출사 전방위광학계;를 더 포함하는 것을 특징으로 하는전방위광학계를이용한 3D 구강스캐너를 제공할 수도 있다.According to still another aspect of the present invention, there is provided a 3D oral scanner using an omnidirectional optical system, further comprising a light output omnidirectional optical system for irradiating the pattern structure light to the oral cavity using the omnidirectional optical system You may.
또한 본 발명의 또 다른 실시예에 따른 전방위광학계를이용한 3D 구강스캐너의 상기광출사 전방위광학계는 광출사 전방위렌즈를 포함하고, 상기광출사 전방위렌즈는 상기 전방위렌즈와 동일한 굴절률을 구비하는 것을 특징으로 하는In the 3D mouth scanner using the omnidirectional optical system according to another embodiment of the present invention, the optical outgoing omnidirectional optical system includes a light exit omnidirectional lens, and the optical outgoing omnidirectional lens has the same refractive index as the omnidirectional lens doing
전방위광학계를이용한 3D 구강스캐너를 제공할 수도 있다.A 3D mouth scanner using an omnidirectional optical system may be provided.
또한 본 발명의 또 다른 실시예에 따른 전방위광학계를이용한 3D 구강스캐너의 상기 전방위광학계와 상기 광출사 전방위광학계는 서로 소정의 각도를 이루는 것을 특징으로 하는전방위광학계를이용한 3D 구강스캐너를 제공할 수도 있다.Further, the 3D oral scanner using the omnidirectional optical system according to another embodiment of the present invention may be provided with a 3D angle scanner using the omnidirectional optical system, wherein the omnidirectional optical system and the optical outgoing omnidirectional optical system form a predetermined angle with each other .
또한 본 발명의 또 다른 실시예에 따른 전방위광학계를이용한 3D 구강스캐너의 상기 전방위렌즈는 액체렌즈인 것을 특징으로 하는전방위광학계를이용한 3D 구강스캐너를 제공할 수도 있다.The 3D mouth scanner using the omnidirectional optical system according to another embodiment of the present invention may be provided with a 3D lens scanner using the omnidirectional optical system, wherein the omnidirectional lens is a liquid lens.
또한 본 발명의 또 다른 실시예에 따른 전방위광학계를이용한 3D 구강스캐너는 상기 제1 부의 외측면의 일부를 커버하도록 상기 제2 부에 설치되는 미러부;를 더 포함하되, 상기 미러부는 상기 구강 외부에 위치하여 상기 구강에서 반사된 광을 재반사하여 상기 전방위렌즈로 제공하는 것을 특징으로 하는 전방위광학계를 이용한 3D 구강스캐너를 제공할 수도 있다.According to still another aspect of the present invention, there is provided a 3D oral scanner using an omnidirectional optical system, further comprising: a mirror part installed on the second part to cover a part of the outer surface of the first part, And the light reflected from the oral cavity is re-reflected and provided as the omnidirectional lens.
또한 본 발명의 또 다른 실시예에 따른 전방위광학계를이용한 3D 구강스캐너의 상기 전방위렌즈는, 상기 구강 내에서 반사된 광을 수신하는 제1 전방위영역; 및상기 미러부로부터의 반사된 광을 수신하는 제2 전방위영역;을 포함하는 것을 특징으로 하는 전방위광학계를 이용한 3D 구강스캐너를 제공할 수도 있다.In addition, the omnidirectional lens of the 3D mouth scanner using the omnidirectional optical system according to another embodiment of the present invention may further include: a first omnidirectional area for receiving light reflected in the oral cavity; And a second omnidirectional area for receiving the reflected light from the mirror unit. The 3D omnidirectional scanner may be provided with the omnidirectional optical system.
또한 본 발명의 또 다른 실시예에 따른 전방위광학계를이용한 3D 구강스캐너의 상기 촬영부는 상기 제1 전방위영역 및 상기 제2 전방위영역에 수신되는 광을 동시 또는 순차적 또는 선택적으로 검출하는 것을 특징으로 하는 전방위광학계를 이용한 3D 구강스캐너를 제공할 수도 있다.Further, the photographing unit of the 3D oral scanner using the omnidirectional optical system according to another embodiment of the present invention simultaneously or sequentially or selectively detects light received in the first omnidirectional region and the second omnidirectional region, A 3D mouth scanner using an optical system may be provided.
또한 본 발명의 또 다른 실시예에 따른 전방위광학계를 이용한 3D 구강스캐너의 상기 촬영부는 상기 전방위광학계의 유동에 대응하여 연속된 영상을 촬영하고, 상기 연속된 영상으로부터의 특징점에 기초하여 영상의 심도를 측정하는 것을 특징으로 하는 전방위광학계를이용한 3D 구강스캐너를 제공할 수도 있다.Further, the photographing unit of the 3D mouth scanner using the omnidirectional optical system according to another embodiment of the present invention photographs a continuous image corresponding to the flow of the omnidirectional optical system, and calculates the depth of the image based on the minutiae from the continuous image The 3D mouth scanner using the omnidirectional optical system may be provided.
또한 본 발명의 또 다른 실시예에 따른 전방위광학계를 이용한 3D 구강스캐너의 상기 촬영부는 광원의 조사 위치에 따른 영상을 획득하고 상기 획득된 영상으로부터 영상의 심도를 계산하여 구강 내 3D 모델을 생성하는 것을 특징으로 하는 전방위광학계를이용한 3D 구강스캐너를 제공할 수도 있다.Further, the photographing unit of the 3D mouth scanner using the omnidirectional optical system according to another embodiment of the present invention may acquire an image according to the irradiation position of the light source and calculate the depth of the image from the obtained image to generate an intraoral model A 3D mouth scanner using the omnidirectional optical system may be provided.
또한 본 발명의 또 다른 실시예에 따른 인공 치아 가공 장치는 전방위광학계를 이용한 3D 구강스캐너;상기 전방위광학계를 이용한 3D 구강스캐너로부터 수신한 디지털 데이터를 3차원 데이터로 변환하여 제작 데이터를 생성하고 이를 밀링 스트립으로 변환하는 데이터변환장치;및상기 데이터변환장치로부터 수신한 상기 밀링 스트립에 기초하여 인공 치아를 생성하는 밀링장치;를 포함하는 인공 치아 가공 장치를 제공할 수도 있다.According to still another aspect of the present invention, there is provided an artificial tooth processing apparatus comprising: a 3D mouth scanner using an omnidirectional optical system; digital data received from a 3D mouth scanner using the omnidirectional optical system into three-dimensional data to generate production data; And a milling device for generating an artificial tooth on the basis of the milling strip received from the data conversion device.
본 발명의 실시예에 따른 전방위광학계를 이용한 3D 구강스캐너는 전방위렌즈에 의하여 치열 전체를 한눈에 확인할 수 있어 진단의 정확성과 효율성을 향상시킬 수 있다.The 3D mouth scanner using the omnidirectional optical system according to the embodiment of the present invention can improve the accuracy and efficiency of the diagnosis because the omnidirectional lens can confirm the entire dentition at a glance.
또한 360도 전 영역을 촬영할 수 있는 전방위광학계를 이용하여치열 전체를 한번에 촬영함으로써촬영 시간과 촬영 횟수를 줄여 환자와 술자의 불편함을 최소화할 수 있다.In addition, by using the omnidirectional optical system capable of shooting the whole area of 360 degrees, it is possible to minimize the inconvenience of the patient and the surgeon by reducing the shooting time and the number of shooting times by taking the entire dental image at one time.
또한 복수의 영상의 합성에 수반하는 영상의 품질 저하를 방지하여 분해능이 우수하고 고해상도의 품질을 가진 3D 영상을 얻을 수 있다.In addition, it is possible to prevent degradation of the image quality due to the composition of a plurality of images, and to obtain a 3D image having high resolution and high resolution.
또한 특이한 치아 모양과 반사가 심한 입천장과 같은 부위를 영역별로 촬영하는 것이 아닌 일 회의 촬영으로 해당 특이 형상을 가진 치아와 특정 부위 그리고 이를 포함하는 주변 영역을 하나의 영상으로 획득함에 따라 정밀한 스캐닝을 할 수 있다.In addition, it is possible to perform precise scanning by acquiring a specific region and a surrounding region including the specific shape in a single image, instead of photographing a region such as a palatable palatal region with an unusual tooth shape and reflection, .
또한 미러의 재반사 광을 전방위광학계로 수신함에 따라 치아의 누락 없이 치열 전체의 내측 및 외측 전체 영역을 모두 촬영할 수 있다.In addition, by receiving the retroreflected light of the mirror through the omnidirectional optical system, all the inner and outer regions of the entire dentition can be photographed without missing teeth.
또한 존 스캔 방식은 치아 하나하나 스캔하여 전체적인 치열구조로 정합하기 때문에 정합오차 및 치열구조의 변형이 발생된다. 이러한 문제점은 본 3D 구강 스캐너에 의하여 단 하번의 스캔으로 변형 없는 치열 전체구조를 고정밀한 3D 모델 생성으로 해결할 수 있다.In addition, the zone scanning method scans the teeth one by one and matches with the whole dentition structure, resulting in errors in registration errors and dental structure. This problem can be solved by high precision 3D model generation of the entire dentition without deformation by the single scan by the 3D mouth scanner.
도 1 및 도 2는 본 발명의 실시예에 따른 전방위광학계를 이용한 3D 구강스캐너의 사시도.
도 3 내지 도 5는 다른 실시예에 따른 전방위광학계를 이용한 3D 구강스캐너의 사시도.
도 7은 또 다른 실시예에 따른 전방위광학계를 이용한 3D 구강스캐너의 사시도.
도 8은 또 다른 실시예에 따른 전방위광학계를 이용한 3D 구강스캐너로서, 광출사 전방위광학계를 더 구비한 3D 구강스캐너의 사시도.
도 9는 또 다른 실시예에 따른 전방위광학계를 이용한 3D 구강스캐너로서, 보호부를 더 구비한 3D 구강스캐너의 사시도.
도 10은 바이트부를 더 포함하는 전방위광학계를 이용한 3D 구강스캐너가 구강 내에 삽입된 경우의 모식도.
도 11은 미러부를 더 포함하는 3D 구강스캐너의 상면도.
도 12는 3D 구강스캐너가 구강 내에 삽입된 경우, 미러부에 의해 반사된 광이 전방위광학계로 입사는 하는 것을 나타낸 모식도.
도 13은 전방위렌즈의 단면도.
도 14 및 도 15는 전방위광학계에 의해 촬영된 하악의 영상을 나타낸 도면.
도 16은 다른 실시예에 따른 전방위렌즈의 단면도.
도 17은 전방위렌즈와 렌즈어레이의 단면도.
도 18은 본 발명의 또 다른 실시예에 따른 전방위광학계를 이용한 3D 구강스캐너로서, 정보입력부를 포함한 구상스캐너의 사시도.
도 19는 본 발명의 또 다른 실시예에 따른 전방위광학계를 이용한 3D 구강스캐너로서, 렌즈보호부를 포함한 구상스캐너의 사시도.
도 20은 렌즈보호부와 렌즈보호부에 설치된 발열부재를 나타낸 도면.
도 21은 본 발명의 실시예에 따른 3D 구강스캐너를 구비한 인공 치아 가공 장치의 블록도.
도 22는 패턴마스크 방식의 3D 구강스캐너의 구성도를 개략적으로 나타낸 도면.
도 23은 프로젝터 방식의 3D 구강스캐너의 구성도를 개략적으로 나타낸 도면이다.
도 24는 포토메트릭 스테레오 방식의 3D 구강스캐너의 구성도를 개략적으로 나타낸 도면.
도 25는 다중영상 기반의 3차원 영상 복원 방식의 3D 구강스캐너의 구성도를 개략적으로 나타낸 도면.
도 26 및 도 27은 액체렌즈의 단면도.
도 28은 하악 치열궁에 관한 도면.
도 29는 하악 치열궁의 각을 나타낸 도면이고, 도 30은 각 형태별 치열궁선을 나타낸 도면.
도 31은 상악 및 하악의 치아들 간의 거리를 나타낸 도면.
도 32은 치열궁의 장경을 나타낸 도면.
도 33은 몬슨구와 차악 치열구의 형태 및 교두 경사각을 나타낸 도면.
도 34 및 도 35는 하악대구치 임상치관의 형태와 크기를 나타낸 도면.
도 36은 치아 표준치를 나타낸 도면이다.1 and 2 are perspective views of a 3D oral scanner using an omnidirectional optical system according to an embodiment of the present invention.
 3 to 5 are perspective views of a 3D oral scanner using an omnidirectional optical system according to another embodiment.
 7 is a perspective view of a 3D mouth scanner using an omnidirectional optical system according to still another embodiment.
 FIG. 8 is a perspective view of a 3D mouth scanner further comprising a light output omniazimuth optical system, which is a 3D mouth scanner using an omnidirectional optical system according to still another embodiment.
 FIG. 9 is a perspective view of a 3D mouth scanner using a omnidirectional optical system according to still another embodiment of the present invention, further comprising a protection unit.
 10 is a schematic view of a case where a 3D oral scanner using an omnidirectional optical system including a bit unit is inserted into the oral cavity.
 11 is a top view of a 3D mouth scanner further comprising a mirror portion;
 12 is a schematic diagram showing that light reflected by the mirror portion is incident on the omnidirectional optical system when the 3D mouth scanner is inserted into the oral cavity.
 13 is a sectional view of the omnidirectional lens.
 14 and 15 are views showing a mandible image photographed by the omnidirectional optical system.
 16 is a sectional view of the omnidirectional lens according to another embodiment;
 17 is a sectional view of the omnidirectional lens and the lens array.
 18 is a perspective view of a spherical scanner including an information input unit, according to another embodiment of the present invention, which is a 3D oral scanner using an omnidirectional optical system.
 19 is a perspective view of a spherical scanner including a lens protector, according to another embodiment of the present invention, which is a 3D mouth scanner using an omnidirectional optical system.
 20 is a view showing a heating member provided in a lens protecting portion and a lens protecting portion;
 21 is a block diagram of an artificial tooth machining apparatus having a 3D mouth scanner according to an embodiment of the present invention;
 Fig. 22 is a view schematically showing the structure of a 3D mouth scanner of a pattern mask system; Fig.
 FIG. 23 is a view schematically showing a configuration diagram of a 3D mouth scanner of a projector type.
 FIG. 24 is a schematic view showing a configuration of a 3D mouth scanner of a photometric stereo system; FIG.
 FIG. 25 is a schematic diagram of a 3D mouth scanner based on a multiple image-based three-dimensional image reconstruction method; FIG.
 26 and 27 are sectional views of a liquid lens;
 28 is a view of a mandible arch.
 29 is a view showing the angle of the mandibular arch, and Fig. 30 is a view showing the dental arch of each type.
 31 is a view showing distances between maxillary and mandibular teeth;
 32 is a longitudinal sectional view of the dental arch;
 Fig. 33 is a view showing the shape of a Monson sphere and a cog dental arch and a crown inclination angle. Fig.
 Figures 34 and 35 are views showing the shape and size of the clinical crown of the mandibular molar.
 Fig. 36 is a view showing a tooth standard value.
이하, 본 발명의 실시예에 의한 전방위광학계를 이용한 3D 구강스캐너 및 이를 포함한 인공 치아 가공 장치의 도면을 참고하여 상세하게 설명한다. 다음에 소개되는 실시 예들은 당업자에게 본 발명의 사상이 충분히 전달될 수 있도록 하기 위해 예로서 제공되는 것이다. 따라서, 본 발명은 이하 설명되는 실시 예들에 한정되지 않고 다른 형태로 구체화될 수도 있다. 그리고, 도면들에 있어서, 장치의 크기 및 두께 등은 편의를 위하여 과장되어 표현될 수도 있다. 명세서 전체에 걸쳐서 동일한 참조 번호들은 동일한 구성요소들을 나타낸다.Hereinafter, a 3D mouth scanner using an omnidirectional optical system according to an embodiment of the present invention and an artificial tooth processing apparatus including the 3D mouth scanner will be described in detail with reference to the drawings. The following embodiments are provided by way of example so that those skilled in the art can fully understand the spirit of the present invention. Therefore, the present invention is not limited to the embodiments described below, but may be embodied in other forms. In the drawings, the size and thickness of an apparatus may be exaggerated for convenience. Like reference numerals designate like elements throughout the specification.
본 발명의 이점 및 특징, 그리고 그것들을 달성하는 방법은 첨부되는 도면과 함께 상세하게 후술되어 있는 실시 예들을 참조하면 명확해질 것이다. 그러나, 본 발명은 이하에서 개시되는 실시 예들에 한정되는 것이 아니라 서로 다른 다양한 형태로 구현될 것이며, 단지 본 실시 예들은 본 발명의 개시가 완전하도록 하며, 본 발명이 속하는 기술분야에서 통상의 지식을 가진 자에게 발명의 범주를 완전하게 알려주기 위해 제공되는 것이며, 본 발명은 청구항의 범주에 의해 정의될 뿐이다. 명세서 전체에 걸쳐 동일 참조 부호는 동일 구성요소를 지칭한다. 도면에서 층 및 영역들의 크기 및 상대적인 크기는 설명의 명료성을 위해 과장될 수 있다.BRIEF DESCRIPTION OF THE DRAWINGS The advantages and features of the present invention and the manner of achieving them will become apparent with reference to the embodiments described in detail below with reference to the accompanying drawings. However, it should be understood that the present invention is not limited to the embodiments disclosed herein but may be embodied in many different forms and should not be construed as being limited to the embodiments set forth herein. Rather, these embodiments are provided so that this disclosure will be thorough and complete, and will fully convey the concept of the invention to those skilled in the art. Is provided to fully convey the scope of the invention to those skilled in the art, and the invention is only defined by the scope of the claims. Like reference numerals refer to like elements throughout the specification. The dimensions and relative sizes of the layers and regions in the figures may be exaggerated for clarity of illustration.
본 명세서에서 사용된 용어는 실시 예들을 설명하기 위한 것이며, 따라서 본 발명을 제한하고자 하는 것은 아니다. 본 명세서에서, 단수형은 문구에서 특별히 언급하지 않는 한 복수형도 포함한다. 명세서에서 사용되는 "포함한다 (comprise)" 및/또는 "포함하는(comprising)"은 언급된 구성요소, 단계, 동작 및/ 또는 소자는 하나 이상의 다른 구성요소, 단계, 동작 및/또는 소자의 존재 또는 추가를 배제하지 않는다.The terminology used herein is for the purpose of describing embodiments only and is not intended to be limiting of the invention. In the present specification, the singular form includes plural forms unless otherwise specified in the specification. &Quot; comprise "and / or" comprising ", as used in the specification, means that the presence of stated elements, Or additions.
도 1 및 도 2는 본 발명의 실시예에 따른 전방위광학계를 이용한 3D 구강스캐너의 사시도이다.그리고 도 3 내지 도 6은 다른 실시예에 따른 전방위광학계를 이용한 3D 구강스캐너의 사시도이다.1 and 2 are perspective views of a 3D mouth scanner using an omnidirectional optical system according to an embodiment of the present invention, and FIGS. 3 to 6 are perspective views of a 3D mouth scanner using an omnidirectional optical system according to another embodiment.
도 1 및 도 2를 참조하면, 본 발명의 실시예에 따른 전방위광학계를 이용한 3D 구강스캐너(10)는 제1부(30) 및 제2부(50)를 포함할 수 있다.Referring to FIGS. 1 and 2, a 3D
전방위광학계(100)는 빛의 반사나 굴절을 이용해서 물체의 상을 만들거나 빛에너지를 전송하기 위해 렌즈를 포함할 수 있고, 상기 렌즈는 360도 화각을 가지는 렌즈로서, 예를들어 전방위 렌즈, 밀러형 렌즈, 어안렌즈 등 360도 화각을 가져 전방위를 촬영할 수 있는 렌즈가 될 수 있다. 또한 전방위광학계(100)는 360도 화각을 가진 렌즈에 더하여 반사경, 추가적인 렌즈 그리고 프리즘 중 적어도 하나를 더 포함할 수도 있다.The omnidirectional
제1부(30) 및 제2부(50)는 일체로 형성될 수 있고, 서로 분리되어 제작되어 서로 결합 설치될 수도 있다.The
제1 부(30)는 제2부(50)의 일 측에 형성될 수 있다.The
제1부(30)의 적어도 일 영역은 환자의 구강에 삽입될 수 있다.즉 제1부(30)의 일부 또는 전부는 환자의 구강에 삽입될 수 있다.At least one region of the
제1 부(30)는 평균적인 구강 사이즈 보다 작은 사이즈를 가질 수 있다.따라서 상기 제1부(30)는 구강에 삽입될 수 있다.The
제2부(50)는 제1부(30)와 연결되어 상기 제1부(30)를 고정 및 지지할 수 있다.술자인 사용자는 상기 제2부(50)를 잡을 수 있으나, 이에 한정하는 것은 아니고, 상기 제2부(50)에 손잡이 구성이 추가로 설치될 수도 있다.The
제2부(50)는 손잡이가 달린 총 타입(Gun type), 핸들 타입(Handle type), 펜 타입(Pen type)의 형상을 가질 수 있고, 상기 제2부(50)가 핸들 타입인 경우, 보다 상세하게는 파워 그립 타입(Power grip type), 그루밍 브러쉬(Grooming brush type)이 될 수 있으나, 이에 한정하는 것은 아니고, 사용자가 제2부(50)를 잡을 수 있는 사이즈와 형상이라면 어떤 것도 가능하다.The
한편 제1및 제2부(30, 50)의 도면 형상에 한정하는 것은 아니고, 상기 제1부(30)는 사각형, 원형, 타원형등 다양한 형상을 가질 수 있고, 상기 제2부(50)는 바(Bar) 형상을 가질 수 있으나 이에 한정하는 것은 아니다.The
3D 구강스캐너(10)는 전방위광학계(100), 상기 전방위광학계(100)로부터 수신되는 광을 검출하여 환자의 구강 영상을 생성하는 촬영부(300) 및 광원부(500)을 포함할 수 있다.The 3D
전방위광학계(100)는 제1부(30)의 일 측에 설치될 수 있고, 촬영부(300)는 제1부(30) 및 제2부(50) 중 적어도 하나에 설치될 수 있다.그리고 광원부(500)는 제1및 제2부(30, 50) 중 적어도 하나에 설치되거나, 제1및 제2부(30, 50)와는 별도로 구비되어 상기 제1및 제2부(30, 50) 중 어느 하나에 설치될 수 있다.The omnidirectional
광원부(500)는 구강의 치아나 잇몸, 혀, 구개, 후구치 삼각 등의 피사체에 조사되는 광을 생성할 수 있고, 상기 피사체로부터 반사된 광은 상기 전방위광학계(100)를 통과하여 촬영부(300)에 입사함으로써, 상기 촬영부(300)는 상기 피사체를 촬영할 수 있다. 또한 광원부(500)는 레이저광원, 발광다이오드광원, 형광램프광원, 백열램프광원, 할로겐램프광원 중 어느 하나가 될 수 있으나 이에 한정하는 것은 아니고, 구강에 광을 제공할 수 있는 어떤 광원이라도 가능하다.The
도 3을 참조하면, 본 발명의 실시예에 따른 전방위광학계를 이용한 3D 구강스캐너(10)는 위치제어부(51)를 포함할 수 있다.Referring to FIG. 3, the 3D
위치제어부(51)는 제2 부(50)의 일 단에 설치될 수 있고, 상기 위치제어부(51)는 제1부(30)와 제2부(50)를 물리적으로 서로 연결시킬 수 있다.The
다만, 도면에 도시된 위치제어부(51)는 일 예에 불과하고, 제1부(30)와 제2 부(50)를 서로 결합시키고, 상기 제1부(30)가 상기 제2부(50)와는 독립적으로 위치 변경 운동을 할 수 있도록 하는 것이라면 어떤 것이든 가능하다.However, the
제2부(50)는 고정된 상태에서 제1부(30)는 위치제어부(51)에 의하여 상기 위치제어부(51)를 중심으로 여러 방향으로 위치를 변경할 수 있다.The
또한 전방위광학계(100)는 제1부(30)에 설치되고, 상기 전방위광학계(100)의 일부 영역이 외부로 노출될 수 있고, 노출면을 통해서 상기 노출면에 대응하는 피사체를 촬영할 수 있다.In addition, the omnidirectional
예를 들어 3D 구강스캐너(10)의 제1부(30)가 화살표 방향으로 향해 환자의 구강에 삽입되는 경우, 상기 제1부(30)의 배면에 노출된 전방위광학계(100)는 적어도 하악을 포함한 구강의 영역을 촬영할 수 있다.For example, when the
도 4를 참조하면, 본 발명의 실시예에 따른 전방위광학계를 이용한 3D 구강스캐너(10)의 제1부(30)는 복수의 전방위광학계(100)를 포함할 수 있다.Referring to FIG. 4, the
예를 들어, 도 4에 도시된 바와 같이 제1부(30)의 상부측 및 하부측으로 적어도 일 영역이 노출된두 개의 전방위광학계(100)를 포함할 수 있고, 3D 구강스캐너(10)의 제1부(30)가 환자의 구강에 삽입되는 경우, 두 개의 전방위광학계(100)로부터 하악과 상악을 포함하는 구강 영역을 촬영할 수 있다.또한 제1부(30)가 환자의 구강에 삽입된 후, 한번에 하악과 상악을 포함하는 구강 영역을 모두 촬영하거나, 하악을 포함하는 구강 영역과 상악을 포함하는 구강 영역을 동시 또는 순차적 또는 선택적으로 촬영할 수 있다.For example, as shown in FIG. 4, it may include two omnidirectional
도 5 및 도 6을 참조하면, 본 발명의 실시예에 따른 전방위광학계를 이용한 3D 구강스캐너(10)의 제1부(30)는 위치제어부(51)를 중심으로 화살표 방향으로 회전할 수 있다.5 and 6, the
도 5 또는 도 6에 도시된 3D 구강스캐너(10)의 제1부(30)가 환자의 구강에 삽입되는 경우, 제1부(30)의 회전에 따라서 하나의 전방위광학계(100)를 이용하여 구강의 모든 영역을 촬영할 수 있다.When the
특히 도 6의 3D 구강스캐너(10)의 제1부(30)의 둘레 일부 영역에는 레일(52)이 형성되고, 위치제어부(51)가 상기 레일(52)을 따라 이동함에 따라 상기 제1부(30)가 화살표 방향으로 회전할 수 도 있다.Particularly, a
또한 도 5와 같이 회전 운동 가능한 제1부(30)가 환자의 구강에 삽입되고환자의 구강에서 제1부(30)가 회전 운동함에 따라 상기 제1부(30)로부터 외부로 노출된 전방위광학계(100)와 마주하는 구강 내의 영역을 스틸컷 또는 동영상으로연속 촬영할 수 있다.5, the
또한 도 6과 같이 회전 운동 가능한 제1부(30)가 환자의 구강을 향하여 이동 시외부에서 구강을 바라본 영상과 구강 영상을 실시간으로 촬영할 수도 있다.In addition, as shown in FIG. 6, the rotatable
다만, 도 5와 도 6과 같이 제1부(30)가 회전 운동하는 것을 한정하는 것은 아니고, 도 5와 도 6의 회전 운동을 모두 수행할 수도 있고, 그 외 다른 방향으로의 회전 운동이 가능할 수 있다.However, it is not limited that the
한편 위치제어부(51)는 3D 구강스캐너(10)에 포함된 구동 수단에 의하여 구동될 수 있고, 상기 구동 수단은 일 예로 소형 모터가 될 수 있으나 이에 한정하는 것은 아니고, 상기 제1부(30)의 움직임을 제2부(50)와는 독립적으로 제어할 수 있는 수단이라면 어떤 것이든 가능하다.Meanwhile, the
도 7은 또 다른 실시예에 따른 전방위광학계를 이용한 3D 구강스캐너의 사시도이다.7 is a perspective view of a 3D oral scanner using an omnidirectional optical system according to another embodiment.
도 7을 참조하면, 전방위광학계를 이용한 3D 구강스캐너(10)는 제1부(30) 내부에서 미리 설정된 방향으로 회전 가능한 전방위광학계(100)를 포함할 수 있다.Referring to FIG. 7, the 3D
전방위광학계(100)는 위치제어부(51)로부터의 구동력에 기초하여 미리 설정된 방향으로 회전할 수 있다.이 경우, 제1부(30)는 고정된 상태를 유지할 수 있다.The omnidirectional
제1부(30)가 구강 내에서 회전 운동하지 않도록 하여 환자의 거부감을 줄일 수 있고, 도 1 내지 도 6의 실시예의 제1부와 대비하여 상기 제1부(30)의 사이즈의 확대 여유를 크게 할 수 있다.It is possible to prevent the
도 8은 또 다른 실시예에 따른 전방위광학계를 이용한 3D 구강스캐너로서, 광출사 전방위광학계를 더 구비한 3D 구강스캐너의 사시도이다.FIG. 8 is a perspective view of a 3D mouth scanner using a omnidirectional optical system according to still another embodiment, further comprising a light exit omnidirectional optical system.
도 8을 참조하면, 3D 구강스캐너(10)의 제1부(30)는 전방위광학계(100)와 광출사 전방위광학계(800)를 포함할 수 있고, 상기 전방위광학계(100)와 광출사 전방위광학계(800)의 적어도 일부 영역을 외부로 노출될 수 있고, 상기 광출사 전방위광학계(800)로부터 출사된 광이 피사체에 조사되고, 상기 피사체에 의해 반사된 광은 상기 전방위광학계(100)로 입사할 수 있다.8, the
이러한 전방위광학계(100)와 광출사 전방위광학계(800)는 제1부(30)에 복수개로 설치될 수 있고, 이 경우, 도 4에서 설명한 바와 같이 제1부(30)의 상측 및 하측에 모두 설치될 수도 있다.The omnidirectional
또한 전방위광학계(100)와 광출사 전방위광학계(800)는 도 7에서 설명한 바와 같이 제1부(30)가 고정된 상태로 상기 제1부(30) 내에서 미리 설정된 방향으로 회전 운동할 수 있다.7, the omnidirectional
도 9는 또 다른 실시예에 따른 전방위광학계를 이용한 3D 구강스캐너로서, 보호부를 더 구비한 3D 구강스캐너의 사시도이다.FIG. 9 is a perspective view of a 3D mouth scanner using a omnidirectional optical system according to still another embodiment of the present invention, further comprising a protection unit.
도 9를 참조하면, 전방위광학계를 이용한 3D 구강스캐너(10)는 보호부(31)를 포함할 수 있다.Referring to FIG. 9, the 3D
보호부(31)는 제1부(30)의 외면의 적어도 일 영역을 둘러싸며 배치될 수 있다.The
보호부(31)는 탄성재질을 가질 수 있으나 이에 한정하는 것은 아니다.The
보호부(31)는 3D 구강스캐너(10)가 구강 내에 삽입되어 구강과 접촉 시 구강 내 피부의 손상이나, 치아와의 충격에 따른 환자의 통증 유발을 방지하고, 외부로부터의 충격에 따른 3D 구강스캐너(10)의 손상을 방지할 수 있다.The
또한 보호부(31)는 탈부착방식으로 제1부(30)에 설치될 수도 있다.The
도 10은 바이트부를 더 포함하는 전방위광학계를 이용한 3D 구강스캐너가 구강 내에 삽입된 경우의 모식도이다.10 is a schematic view of a case where a 3D mouth scanner using an omnidirectional optical system further including a bit unit is inserted into the oral cavity.
도 10을 참조하면, 전방위광학계를 이용한 3D 구강스캐너(10)는 제2부(50)에 설치된 바이트부(52)를 더 포함할 수 있다.Referring to FIG. 10, the 3D
바이트부(52)는 제2부(50)의 상면 및 배면 영역 중에서 제1 부(30)와 인접한 영역에 설치될 수 있고, 제1부(30)가 환자의 구강 내에 삽입되고, 환자가 입을 다물면 환자의 상악의 중절치와 하악의 중절치가 상기 바이트부(52)에 접촉할 수 있다.The
바이트부(52)는 상악 및 하악 각각의 중절치가 삽입될 수 있는 홈을 더 구비할 수도 있다.The
또한 바이트부(52)는 상악 및 하악 각각의 중절치가 삽입될 수 있도록 하는 제2부(50)의 상면 및 하면에 형성된 홈이 될 수도 있다.The
바이트부(52)에 가해지는 환자의 상악 및 하악으로부터의 압력에 의하여 3D 구강스캐너(10)가 고정 및 지지될 수 있고, 구강의 촬영 시 의도치 않은 3D 구강스캐너(10)의 움직임과 환자의 상악 및 하악의 불필요한 유동을 최소화할 수 있다.The
한편 도면에 도시된 바와 같이 바이트부(52)가 제2부(50)에 설치되는 것에 한정하는 것은 아니고, 제2 부(5)의 상면 그리고 하면 일 영역에 환자의 절치가 삽입될 수 있는 홈을 형성함으로써 바이트부를 형성할 수도 있다.However, the present invention is not limited to the configuration in which the
도 11은 미러부를 더 포함하는 3D 구강스캐너의 상면도이고, 도 12는 3D 구강스캐너가 구강 내에 삽입된 경우, 미러부에 의해 반사된 광이 전방위광학계로 입사는 하는 것을 나타낸 모식도이다.FIG. 11 is a top view of a 3D mouth scanner further including a mirror part, and FIG. 12 is a schematic diagram showing that light reflected by a mirror part enters into an omni-directional optical system when a 3D mouth scanner is inserted into an oral cavity.
도 11 및 도 12를 참조하면, 전방위광학계를 이용한 3D 구강스캐너(10)는 미러부(200)를 더 포함할 수 있다.Referring to FIGS. 11 and 12, the 3D
3D 구강스캐너(10)가 구강에 삽입된 경우, 제1 부(30)와 미러부(200) 사이에 치열이 배열될 수 있다.When the 3D
또한 미러부(200)는 구강 외부에 배치되어 구강으로부터, 예를 들어 치열의 일측으로부터 보다 상세하게는 환자가 입을 벌렸을 때 외부로 노출되는 치열의 측면으로부터 반사되는 광을 재 반사할 수 있는 기구부가 될 수 있다.The
미러부(200)는 제1 미러부(210) 및 제2미러부(220)를 포함할 수 있다.The
제1부(30)와 대면하는 제1및 제2미러부(210, 220)의 내측 영역에는 반사물질이 형성될 수 있다.Reflective materials may be formed on inner regions of the first and
제1및 제2미러부(210, 220)는 일체로 형성될 수 있고, 분리되어 따로따로 제작될 수 있다.또한 제1및 제2미러부(210, 220)는 전체로써 U자 형상 또는 환자의 평균적인 치열의 전체 형상에 대응하는 형상을 가질 수 있으나 이에 한정하는 것은 아니다.The first and
제1미러부(210)는 제2 부(50)의 일 측면에 형성되고, 제2미러부(220)는 제2부(50)의 타 측면에 형성될 수 있다.The
제1미러부(210)는 제2부(50)로부터 연장되고, 제1부(30)와 이격된 상태로 상기 제1부(30)의 둘레의 일 방향을 따라 연장될 수 있고, 제2미러부(220)는 제2부(50)로부터 연장되고, 제1 부(30)의 이격된 상태로 상기 제1부(30)의 둘레의 타 방향을 따라 연장될 수 있다.즉 제1및 제2미러부(210, 220) 각각은 제1 부(30)의 외측면의 일부를 커버할 수 있다.The
제1및 제2미러부(210, 220) 각각의 연장된 길이는 환자의 치아의 평균적인 중절치에서 대구치까지의 길이가 될 수 있으나 이에 한정하는 것은 아니고, 중절치부터 대구치까지 이들에 의해 반사된 광이 미러에 도달할 수 있을 정도의 길이가 될 수 있다.The extended length of each of the first and
전방위광학계(100)의 제1전방위영역(100a)에는 치아의 내측 법랑질 영역, 치아의 법랑질의 상부 영역 그리고 구강 내측 잇몸 영역을 포함한 영역에 반사된 광이 입사될 수 있고, 상기 전방위광학계(100)의 제2 전방위영역(100b)에는 치아의 외측 법랑질과 구강 외측 잇몸 영역을 포함한 영역에서 반사되어 미러부(200)의 내측에서 2차 반사된 광이 입사할 수 있다.In the first
다만 이에 한정하는 것은 아니고, 상기 전방위광학계(100)의 렌즈의 곡률에 따라서 치아의 외측 법랑질 영역에서 반사된 광이 제1전방위영역(100a)에 입사할 수도 있고, 미러부(200)는 상기 제1전방위영역(100a)에 도달하지 못하는 광을 반사하는 구강 내의 영역으로부터의 광을 제2전방위영역(100b)으로 재반사 시킬 수도 있다.However, the present invention is not limited to this. Light reflected from the enamel region of the teeth may be incident on the first
한편 도면에 도시된 제1전방위영역(100a)은 제1부(30)에서 노출된 전방위광학계(100)의 중심 영역을 포함한 영역이고, 제2전방위영역(100b)은 상기 제1전방위영역(100a)을 둘러싼 영역이나, 이에 한정하는 것은 아니고, 예를 들어 상기 제2 전방위영역(100b)은 구강 내의 구개편도와 인접한 영역이 될 수도 있다.On the other hand, the first
즉, 제1 전방위영역(100a)은 미러부(200)가 존재하지 않는 경우, 반사 광이 입사하는 영역이고, 제2전방위영역(100b)은 상기 제1전방위영역(100a)을 제외한 영역이 되도록 하여, 전방위광학계(100)의 영역 중에서 광이 입사되지 못하여 촬영 영역이 되지 못하는 영역을 제2전방위영역(100b)으로 활용할 수 있도록 한다.That is, the first
또한 촬영부(300)는 제1전방위영역(100a)으로부터 들어오는 광의 검출 동작과 제2전방위영역(100b)으로부터 들어오는 광의 검출 동작을 순차적으로 진행하거나 또는 선택적으로 진행하거나 또는 동시에 진행 할 수도 있다.Also, the photographing
또한 제1및 제2미러부(210, 220) 각각은 제2부(50)의 배면 방향으로 연장되어 상기 제2부(50)의 배면에서 서로 연결되도록 할 수 있다.따라서 환자가 제2부(50)에 설치된 바이트부(52)를 물고 있는 경우라도 절치로부터의 반사광이 미러부(200)의 영역 중 제2부(50)의 배면에 대응하는 영역에 도달할 수 있으므로절치를 포함한 영역과 같이 누락되는 영역 없이치열의 전체 영상을 촬영할 수 있다.Each of the first and
또한 제1및 제2미러부(210, 220)는 제1부(30)의 움직임 또는 전방위광학계(100)의 움직임에 대응하여 동시에 움직이는 운동을 할 수도 있고, 제1및 제2부(30, 50)와는 독립적으로 각도 변경이 가능할 수 있다.The first and
도 13은 전방위렌즈의 단면도이고, 도 14 및 도 15는 전방위광학계에 의해 촬영된 하악의 영상을 나타낸 도면이다.그리고 도 16은 다른 실시예에 따른 전방위렌즈의 단면도이며, 도 17은 전방위렌즈와 렌즈어레이의 단면도이다.16 is a cross-sectional view of an omnidirectional lens according to another embodiment, and Fig. 17 is a sectional view of an omnidirectional lens according to another embodiment of the present invention. Fig. Sectional view of the lens array.
도 13및 도 15를 참조하면, 본 발명의 실시예에 따른 3D 구강스캐너(10)의 전방위광학계(100)는 전방위렌즈(110)를 포함할 수 있다.13 and 15, the omnidirectional
전방위렌즈(110)는 비구면렌즈가 될 수 있다.The
촬영부(300)는 전방위렌즈(110)로부터 전방위의 영상을 수신할 수 있다.The photographing
3D 구강스캐너(10)의 제1부(30)가 구강 내에 삽입된 상태에서 촬영부(300)는 상악 및 하악 중 적어도 하나를 촬영할 수 있다.In the state where the
또한 도 14 및 도 15에서 영상의 중앙 영역은 비촬영영역으로써, 암구영역으로 정의할 수 있다.In Figs. 14 and 15, the central region of the image may be defined as a non-imaging region, which is a non-imaging region.
전방위렌즈(110)는복수의 굴절면과 복수의 반사코팅면을 포함할 수 있다.The
전방위렌즈(110)는 두 개의 굴절면과 두 개의 반사코팅면을 포함할 수 있다.The
굴절부(111), 수평부(113), 반사코팅(114), 내측오목부(115), 내측굴절부(116) 및 내측반사코팅(117)을 포함할 수 있다.And may include a
상기 굴절부(111)는 입사광이 굴절되도록 형성될 수 있고, 상기 수평부(113)는 상기 굴절부(111)의 끝 단에 수평하게 형성될 수 있고, 상기 반사코팅(114)은 상기 수평부(113)에 형성되어 내측반사코팅(117)으로부터 반사되는 입사광을 반사시켜 내측오목부(115)로 입사광을 제공할 수 있고, 상기 내측오목부(115)는 상기 반사코팅(114)을 통해 반사된 입사광을 후방으로 제공하도록 다시 굴절시킬 수 있으며, 상기 내측반사코팅(117)은 상기 내측굴절부(116)에 형성되어 굴절부로부터 입사되는 입사광을 반사코팅으로 반사시킬 수 있다.The
전방위렌즈(110) 자체는 비구면이 아닌 구면으로 형성함으로써 가공의 용이성을 높이고, 제조 원가를 절감시킬 수 있다.The
또한 굴절부(111)와 내측오목부(115) 및 내측굴절부(116)가 구면으로 형성되어 비구면시의 가공의 어려운 문제를 해결하면서도 전방위 촬영이 가능하도록 할 수 있다.In addition, the refracting
전방위렌즈(110)의 가상의 중앙축(CL)을 기준으로 내측굴절부(116)의 경사는 굴절부(111)의 경사보다 가파를 수 있다.The inclination of the inner refracting
또한 내측오목부(115)는 초점을 맞추기 위하여 형성될 수 있다.The inner
또한 전방위광학계(100)는 내측오목부(115)에 의하여 후방으로 제공되는 입사광을 수신하는 렌즈어레이(150)를 더 포함할 수 있다.The omnidirectional
또한 치아의 영역 별로 복수회 촬영하여 촬영된 복수의 영상을 합성할 필요 없이 한번의 촬영으로 치아 전체 영역을 촬영할 수 있으므로, 영상 합성에 따른 왜곡을 방지할 수 있고, 치아의 촬영 시간을 단축하여, 진담 및 검사 시간을 크게 단축시킬 수 있다.In addition, since the entire area of the tooth can be photographed by one shot without having to synthesize a plurality of photographed images by photographing a plurality of times for each region of the tooth, distortion caused by image synthesis can be prevented, It is possible to greatly reduce the time required for the examination and inspection.
도 16 및 도 17을 참조하면, 다른 실시예에 따른 전방위렌즈(110)는 일면에 볼록한 제1 입사면(121)이 형성되고 타면에 제1 출사면(123)이 형성되며, 상기 제1 입사면(121) 중앙에 제1 반사면(125)이 형성되는 제1 렌즈(120) 및 일면에 제2 입사면(131)이 형성되고 타면에 볼록한 제2 반사면(133)이 형성되며, 상기 제2 반사면(133) 중앙에 제2 출사면(135)이 형성되는 제2 렌즈(130)를 포함하여 구성될 수 있다.Referring to FIGS. 16 and 17, the
제1 입사면(121)을 통해 입사한 광선은 제1 출사면(123) 및 제2 입사면(131)의 접합면을 거쳐 제2 반사면(133)에서 반사되고, 제2 반사면(133)에서 반사된 광선은 제1 출사면(123) 및 제2 입사면(131)의 접합면을 거쳐 제1 반사면(125)에서 반사된 후, 제1 출사면(123) 및 제2 입사면(131)의 접합면을 거쳐 제2 출사면(135)을 통해 출사될 수 있다.The light rays incident through the
제1 렌즈(120) 및 제2 렌즈(130)는 광선의 반사와 굴절을 이용한 반사굴절식 렌즈로서, 제1 렌즈(120) 및 제2 렌즈(130)를 통해 360도 전방위 영상을 획득할 수 있다.The
제1 반사면(125) 및 제2 반사면(133)에 가시광선을 반사시킬 수 있는 물질 예를 들어 알루미늄, 은 등의 물질이 코팅되는 것이 바람직하다. 또한, 제1 반사면(125) 및 제2 출사면(135)은 도면상에 평평하게 도시되었으나 이는 하나의 실시형태일 뿐 볼록하거나 오목하게 형성될 수 있다.It is preferable that the first
제1 렌즈(120)는 외부의 광선이 입사하는 렌즈로서, 일면에 제1 입사면(121)이 볼록하게 형성되고 제1 입사면(121)을 통해 외부의 광선이 입사할 수 있다. 제1 렌즈(120)의 타면에는 제1 출사면(123)이 형성되어 제1 입사면(121)으로 입사한 광선이 제1 출사면(123)으로 출사할 수 있다. 또한, 제1 입사면(121)의 중앙에 제1 반사면(125)이 형성될 수 있다.The
제2 렌즈(130)는 제1 렌즈(120)와 접합하는 렌즈로서, 구체적으로 제2 렌즈(130)의 일면에 제2 입사면(131)이 형성되고, 제2 입사면(131)이 제1 출사면(123)과 접합할 수 있다. 제2 렌즈(130)의 타면에는 볼록한 제2 반사면(133)이 형성되고, 제2 반사면(133)의 중앙에 제1 입사면(121)을 통해 입사한 광선이 출사할 수 있는 제2 출사면(135)이 형성될 수 있다.The
외부로부터 입사하는 광선은 제1 입사면(121)이 볼록하게 형성됨으로써 소정 각도로 굴절되어 모이게 된다. 이러한 이유로 제2 렌즈(130)의 직경이 제1 렌즈(120)의 직경보다 작은 것이 바람직하다.The light rays incident from the outside are refracted at a predetermined angle and gathered by forming the
또한 제1 출사면(123)과 제2 입사면(131)의 접합면이 평평하지 않게 형성하되, 서로 대응하도록 형성된 후 서로 밀착하여 접합될 수 있다.Further, the joining surfaces of the
또한 전방위렌즈(110)는 제2 출사면(135)의 후방에 배치되는 적어도 하나의 렌즈를 포함할 수 있다.The
렌즈어레이(150)의 렌즈는 동일한 광축을 이루면서 일렬로 배치되며, 앞서 설명한 바와 같이 색수차 보정을 위해 크라운 계열(C)과 플린트 계열의 렌즈를 조합으로 이루어질 수 있으나 이에 한정하는 것은 아니다. 예를 들어 크라운 계열은 NBK7 소재로 이루어질 수 있고, 플린트 계열은 NSF15, NSF8 소재로 이루어질 수 있으나 이에 한정하는 것은 아니다. 위의 예처럼 렌즈의 소재를 3종류로 한정하면 소재의 종류를 줄일 수 있어 양산화에 유리한 장점이 있다.The lenses of the
또한, 렌즈어레이(150)는 셔터(Shutter) 방식의 적외선 필터를 더 포함하여 구성될 수 있으나 이에 한정하는 것은 아니다. 또한 적외선 필터를 닫아 적외선을 차단시키고, 적외선 필터를 열어 적외선을 통과시킬 수 있다.In addition, the
한편 전방위렌즈(110)의 외면 및 내면의 굴절각은 전술한 바에 한정하는 것은 아니고 각 면의 영역별로 상이하게 설계할 수 있다.On the other hand, the refraction angles of the outer surface and the inner surface of the
도 28은 하악 치열궁에 관한 도면이고, 도 29는 하악 치열궁의 각을 나타낸 도면이고, 도 30은 각 형태별 치열궁선을 나타낸 도면이고, 도 31은 상악 및 하악의 치아들 간의 거리를 나타낸 도면이고, 도 32은 치열궁의 장경을 나타낸 도면이고, 도 33은 몬슨구와 차악 치열구의 형태 및 교두 경사각을 나타낸 도면이고, 도 34 및 도 35는 하악대구치 임상치관의 형태와 크기를 나타낸 도면이며, 도 36은 치아 표준치를 나타낸 도면이다.Fig. 28 is a view showing the mandible arch, Fig. 29 is a view showing the angle of the mandible, Fig. 30 is a view showing the dental arch of each form, Fig. 31 is a view showing the distance between teeth of the maxilla and mandible FIG. 32 is a view showing the long diameter of the dental arch, FIG. 33 is a view showing the shape and crown angle of the Monson and hammer teeth, FIGS. 34 and 35 are views showing the shape and size of the mandibular molar clinical crown, Is a view showing a tooth standard value.
전방위렌즈(110)의 외면 및 내면 각각의 영역별 굴절각 및 외곡률은 사람의 악궁의 평균적인 계측치, 상하악 아치 및 치아 크기 계측치, 아동 견치 및 소구치의 폭경합치를 모두 고려하여 결정할 수 있다.The refraction angle and outward curvature of each of the outer and inner surfaces of the
보다 상세하게는 도 28과 표1내지 표 3의 악궁계측치를 고려하여 결정할 수 있다.More specifically, it can be determined in consideration of the arithmetic measurement values of FIG. 28 and Tables 1 to 3.
여기서의 견치 고경(CH)은 좌우 중절치 사이의 중앙점에서 좌우 견치교두정을 이은선과 기준선이 만나는 점까지의 거리를 의미하고, 제2대구치 고경(M2H)는 좌우 중절치 사이의 중앙점에서 좌우 제2대구치 원심협측교두정을 이은선과 기준선이 만나는 점까지의 거리를 의미하고, 견치 폭경(CW)은 좌우 견치교두정간의 거리를 의미하고, 제1대구치간 폭경(M1W)은 좌우 제1대구치 근심협측교두정간의 거리를 의미하며, 제2대구치간 폭경(M2W)은 좌우 제2대구치 원심협측교두정간의 거리를 의미한다.Here, the canine height (CH) means the distance from the midpoint between the left and right central teeth to the point where the lateral line and the baseline meet, and the second molar height (M2H) (CW) means the distance between the right and left canine cusps, the first molar width (M1W) of the first molar is the distance between the first molar and the first molar And the second molar width (M2W) of the second molar means the distance between the distal and second molar distal centers of the distal caudal cusps.
표 2는 악궁의 폭경에 관한 남녀 평균치를 나타낸 것이다.Table 2 shows the mean values of men and women regarding the width of the arch.
여기서의 IC는 양견치간 거리(Intercanine distance)를 의미하고, CH는 양 견치 순면 최대풍융간의 거리(Canine-labial height of cotour)를 의미하고, IM는 양 제1대구치 근심설측교두정간의 거리(Intercanine distance)를 의미하고, MI는 양 제1대치구 근심설측교두를 기준으로 그 외측 치조제간의 거리를 의미하고, M2는 양 제2대치구 근심설측교두를 기준으로 그 외측 치조제간의 거리의미하며, IH는 hamular notch간의 거리(Interhamular notch distance)를 의미한다.In this case, IC denotes the intercanine distance, CH denotes the canine-labial height of the cot, IM denotes the distance between the mesial lips of the first molar (Intercanine distance means the distance between the lingual cusps on the basis of the lingual cusp of the first interchange of the first interchange and M2 is the distance between the lateral lingual cusps on the basis of the lingual cusp of the second interchange lingual socket. , And IH denotes the distance between the hamular notch (Interhamular notch distance).
표 3은 악궁 전후적 거리 및 수직적 높이에 관한 남녀 평균치를 나타낸 것이다.Table 3 shows the mean values of men and women regarding the distance and vertical height of the arch.
여기서의 IP - CI는 절치유두(Incidive papilla)와 중절치(Central Inciaor) 순면 최대풍융까지의 거리를 의미하고, P - ICL는 절치유두Incidive papilla)와 양 견치를 이은 선(Intercanine Iine)까지의 전후관계를 의미하고, F - CI는 구개소와(Palatine fovea)와 중절치(Central Incisor) 순면 최대풍융까지의 거리를 의미하고, CI - LV는 중절치(Central incisor)로부터 전치부 순측전쟁 (Labial vestibule)까지의 수직거리를 의미하고, MI - BV는 제1대치구 근심설측교두정으로부터 구치부 협측전정(Buccal vrstibule)까지의 수직거리를 의미하고, HN - OP는 Hamular notch로부터 기즌교합평면 (Occlusal plare)까지의 수직거리를 의미하며, PV - OP는 Palatal vault로부터 교합면까지의 수직거리를 의미한다.In this case, IP - CI means the distance from incidive papilla to central inciaor, and P - ICL is the distance between the Incidive papilla and Intercanine Iine. CI - LI means the distance from the central incisor to the labial vestibule to the anterior wing war (Central incisor). (HN - OP) is the vertical distance from the hamstring to the occlusal plane (MI - BV), and MI - BV is the vertical distance from the mesial lingual bridge of the first accessory to the buccal vestibule. And PV - OP is the vertical distance from the Palatal vault to the occlusal surface.
평균all
 Average
또한 외면 및 내면 각각의 영역별 굴절각 및 외곡률은 표 4 내지 6를 고려하여 결정할 수 있다.Also, the refraction angle and the outer curvature of each of the outer and inner surfaces can be determined in consideration of Tables 4 to 6.
표 4는 얼굴과 치아의 매개 변수를 측정한 값을 나타낸 것이다.Table 4 shows the measurements of the parameters of the face and teeth.
여기서의 FW는 안면 폭경을 의미하고, WMCI는 상악 중절치 폭경을 의미하고, ICD는 상악견치간 폭경을 의미하며, IAW는 비익간 거리를 의미한다.Here, FW means the face width, WMCI means the maxillary central incisal width, ICD means the maxillary canine width, and IAW means the wing distance.
표 5는 표4에 따른 얼굴과 치아의 매개 변수 측정치를 이용하여 상관분석을 값을 나타낸 것이다.Table 5 shows the correlation analysis values using the parameter measurements of the face and teeth according to Table 4.
표 6은 전술한 4가지 계측 항목 상호간의 상관성에 대한 방정식을 나타낸 것이다.Table 6 shows the equations for the correlation among the four measurement items described above.
또한 외면 및 내면 각각의 영역별 굴절각 및 외곡률은 도 29 및 도 30과 표 7및 표 8에 따른 치아들 간에 이루는 각도와 표 10에 따른 성인 남녀의 평균적인 근원심 크라운 직경과 표 11에 따른 일반인의 평균적인 상하악 아치 및 치아 크기 계측치 및 표 12 및 표 13에 따른 아동 견치 및 소구치의 폭경합을 고려하여 결정할 수 있다.The angle of refraction and the outer curvature of the outer surface and the inner surface of the inner surface are respectively the angle formed between the teeth according to FIGS. 29 and 30, Table 7 and Table 8, the average root core diameter of the adult male and female according to Table 10, The average upper and lower arch and tooth size measurements of the average person, and the width controversy of the child canine and premolar according to Table 12 and Table 13.
도 29 및 표 7에서의 좌측 견치각(LCA)은 egi의 각도를 의미하고, 우측 견치각(RCA)은 ace의 각도를 의미하고, 중절치각(IA)은 ceg의 각도를 의미하며, 견치각(CA)은 좌우 견치각의 합의 평균(ace의 각도 +egi의 각도) /2를 의미한다.The right canine angle (RCA) in FIG. 29 and Table 7 means the angle of aeg, the right canine angle (LCA) in the right canine angle (RCA) (CA) means the average of the sum of the left and right canine angles (angle of ace + angle of egi) / 2.
표 8는 구해진 계측점을 이용하여 3가지 치열궁 형태의 희귀 곡선인 3차함수식을 최소제곱법으로 구하고, 결정계수(R-square)를 구한 것을 나타내는 표이다.그리고 표 8의 결과에 기초하여 V. U, O 형태의 산포도 및 최소제곱법으로 구한 치열궁선을 도 30과 같이 나타낼 수 있다.Table 8 shows the results of the determination of the coefficient of determination (R-square) by means of the least squares method, which is the cubic function formula of the three curved arches using the measured points. The dental arches obtained by the U and O shapes and the least squares method can be shown in FIG.
도 9에서 Dentition는 치열, Central incisor는 중절치, Lateral incisor는 측절치, Canine는 송곳니, 1st premolar는 제1소구치, 2nd premolar는 제2소구치, 1st molar는 제1대구치, 2nd molar는 제2대구치를 나타낸다.In Fig. 9, the dentition represents the dentition, Central incisor represents the central incisor, lateral incisor represents the lateral incisor, Canine represents the canine, 1st premolar represents the first premolar, 2nd premolar represents the second premolar, 1st molar represents the first molar, and 2nd molar represents the second molar .
표 11은경석고 모형에서 측정된 성별에 따른 상하 좌우 영구 견치 및 소구치의 폭경합의 평균과 좌우 치아군의 크기를 비교한 결과이다.Table 11 shows the results of comparing the average of the width contours of the upper and lower left and right permanent canines and premolars according to the sex measured in the gypsum model and the size of the left and right teeth.
표 12는남녀 상하악 치아군의 폭경합과 하악 영구 4전치의 폭경합 및 각각 비교한 결과이다.Table 12 shows the results of width comparisons and width comparisons of width comparisons and mandibular permanent 4 anterior teeth in male and female maxillary teeth.
또한 외면 및 내면 각각의 영역별 굴절각 및 외곡률은 도 31과 도 32 그리고 표 14의 양 견치 교두정간의 거리의 남녀 평균치, 표 15의 제1대구치 근심설측교듀정간의 거리의 남녀 평균치, 표 16 제1소구치 협측교두정의 남녀 평균치, 표 17의 제2대구치 협측교두정의 남녀 평균치, 표 18의 치열궁 장경의 남녀 평균치, 도 33과 표 19의 몬슨 구와 하악 치열궁의 형태 및 교두 경사각, 도 34및 도 35그리고 표 20의 하악 대구치 크기 그리고 도 36과 표 21의 치아 표준 측정표에 기초하여 결정할 수 있다.The refraction angle and the outer curvature of the outer surface and the inner surface of each region are the average of male and female genders of the distance between the two canine crown tongues of FIGS. 31, 32 and 14, the average of male and female gender of the distance of the first molar tongue- The average value of the first premolar's buccal cuspid gender, the mean value of the second molar buccal cusp of the second molar, the average value of the male and female dental arches of Table 18, the shape and cusp angle of the monson and mandibular dental arches of FIGS. 33 and 19, The sizes of mandibular molars in Figs. 35 and 20, and the tooth standard measurement tables in Figs. 36 and 21.
또한 표 14내지 표 18는 표 13의 7개의 조사 군집을 기초하여 측정한 평균치이다.Tables 14 to 18 are the average values measured based on the seven survey communities shown in Table 13.
(견치구개측치은연의중심점)3
 (Canine palatal suture is the center point of the Yan)
치경선높이Anxious
 Height line height
치경선높이Centipede
 Height line height
도 18은 본 발명의 또 다른 실시예에 따른 전방위광학계를 이용한 3D 구강스캐너로서, 정보입력부를 포함한 구상스캐너의 사시도이다.18 is a perspective view of a spherical scanner including an information input unit, which is a 3D oral scanner using an omnidirectional optical system according to another embodiment of the present invention.
도 18을 참조하면, 본 발명의 또 다른 실시예에 따른 전방위광학계를 이용한 3D 구강스캐너(10)는 적어도 하나의 정보입력부(70)를 포함할 수 있다.Referring to FIG. 18, the 3D
정보입력부(70)는 물리적인 버튼 또는 터치 입력 버튼이 될 수 있다.The
또한 정보입력부(70)는 디스플레이장치가 될 수도 있다.The
디스플레이장치는 액정 표시장치(Liquid Crystal Display) 방식, 전계 방출 표시장치(Field Emission Display, FED) 방식, 플라즈마 디스플레이 패널(Plasma Display Panel, PDP) 방식, 전계발광 표시장치(Electroluminescence Device, EL) 방식, 전기영동 표시 방식, 유기발광다이오드 표시 방식 중 적어도 하나의 방식으로 구동할 수 있다.The display device may be a liquid crystal display (LCD) device, a field emission display (FED) device, a plasma display panel (PDP) device, an electroluminescence device (EL) An electrophoretic display system, and an organic light emitting diode display system.
정보입력부(70)가 디스플레이장치가 되는 경우, 상기 디스플레이장치는 터치 패널을 구비할 수 있고, 사용자는 상기 터치 패널의 터치 기능을 이용하여 정보를 입력할 수도 있다.When the
도면상으로는 정보입력부(70)가 제2부(50)의 상면의 일 영역에 배치하고 있으나 이에 한정하는 것은 아니고, 상기 정보입력부(70)는 제1및 제2부(30, 50) 중 적어도 하나에 위치할 수 있고, 상기 제1및 제2부(30, 50) 중 어느 하나의 임의의 면에 노출되도록 배치될 수 있다.The
정보입력부(70)가 물리적인 버튼인 경우, 상기 물리적인 버튼은 제2부(50)에 위치하고, 디스플레이장치는 제1 부(30) 또는 제2부(50)에 위치할 수 있다.또한 디스플레이장치가 정보입력부(70)와는 별도로 구비되는 경우, 상기 디스플레이장치는 탈 부착 방식으로 제2 부(50) 상에 설치될 수도 있고, 전방위광학계(100)로 촬영되는 영상은 실시간으로 상기 디스플레이장치를 통해 표시될 수도 있다.When the
한편 터치패널은 그 구조에 따라 부착형(add-on type), 상판형(on-cell type) 및 일체형(in-cell type )으로 나눌 수 있다. 구체적으로 부착형은 디스플레이장치와 터치패널을 개별적으로 제조한 후에, 디스플레이장치를 구성하는 상부 유리 기판에 터치스크린을 부착하는 방식이고, 상판형은 디스플레이장치를 구성하는 상부 유리 기판의 표면에 터치 스크린을 구성하는 소자들을 직접 형성하는 방식이다. 그리고 일체형은 디스플레이장치에 터치패널을 내장한 방식이다.On the other hand, the touch panel can be divided into an add-on type, an on-cell type, and an in-cell type according to its structure. Specifically, the attachment type is a method of separately manufacturing a display device and a touch panel, attaching a touch screen to an upper glass substrate constituting a display device, and an upper type is a method of attaching a touch screen Are formed directly on the substrate. In addition, the integrated type has a touch panel built in a display device.
또한터치패널은 광방식 및 정전용량 방식의 터치패널로 구분될 수 있다. 상기 광방식 터치패널은 디스플레이장치의 박막 트랜지스터 기판 어레이에 광센싱층을 형성하고, 백라이트 유닛으로부터의 광이나 적외선 광을 이용하여 터치된 부분에 존재하는 물체를 통해 반사된 광을 인식하는 방식이다.그리고 상기 디스플레이장치가 유기발광다이오드패널을 구비하는 경우 상기 백라이트 유닛은 생략된다. 그리고 상기 정전용량 방식 터치패널은 자기 정전용량 방식(Self Capacitance Type)과 상호 정전용량 방식(Mutual Capacitance Type) 중 어느 하나가 될 수 있다.In addition, the touch panel can be divided into a light type and a capacitance type touch panel. The optical touch panel is a method of forming a light sensing layer on a thin film transistor substrate array of a display device and recognizing light reflected through an object existing in a touched portion by using light from a backlight unit or infrared light. When the display device includes the organic light emitting diode panel, the backlight unit is omitted. The capacitance type touch panel may be one of a self capacitance type and a mutual capacitance type.
3D 구강스캐너(10)에 내장된 프로세서(20)는 정보입력부(70)로부터의 사용자의 명령신호를 수신하여, 기 설정된 상기 명령신호에 대응하는 동작을 수행하도록 촬영부(300), 광원부(500), 위치제어부(51) 중 적어도 하나를 제어할 수 있고, 예를 들어 사용자의 명령신호는 촬영 명령 신호가 될 수 있고, 상기 프로세서(20)는 상기 촬영 명렬 신호에 대응하여 구강을 촬영하고, 상기 프로세서(20)에 의하여 2D 데이터는 3D 데이터로 변환될 수 있다.The
또한 촬영부(300)에 의해 촬영된 영상이 프로세서(20)에 의해 3D데이터로 변환되는 것으로 설명하였으나, 이에 한정하는 것은 아니고, 상기 프로세서(20)는 상기 촬영부(300)의 촬영 정보를 외부 서버로 전송하고, 상기 외부 서버가 수신된 촬영 정보에 기초하여 3D 데이터를 생성할 수도 있다.Also, the
도 19는 본 발명의 또 다른 실시예에 따른 전방위광학계를 이용한 3D 구강스캐너로서, 렌즈보호부를 포함한 구상스캐너의 사시도이다.그리고 도 20은 렌즈보호부와 렌즈보호부에 설치된 발열부재를 나타낸 도면이다.19 is a perspective view of a spherical scanner including a lens protecting part, and FIG. 20 is a view illustrating a heating member provided in a lens protecting part and a lens protecting part, FIG. 19 is a perspective view of a 3D oral scanner using an omnidirectional optical system according to another embodiment of the present invention .
도 19및 도 20을 참조하면, 본 발명의 또 다른 실시예에 따른 전방위광학계를 이용한 3D 구강스캐너(10)는 렌즈보호부(90)를 포함할 수 있다.Referring to FIGS. 19 and 20, the 3D
렌즈보호부(90)는 전방위광학계(100)에 설치될 수 있다.The
렌즈보호부(90)는 전방위광학계(100)로부터 탈부착이 가능하도록 하여 상기 렌즈보호부(90)가 오염된 경우 교체가 가능하도록 할 수 있다.The
렌즈보호부(90)는 전방위렌즈(110)를 둘러싸며 전방위광학계(100) 또는 제1부(30)에 배치될 수 있다.The
렌즈보호부(90)는 투명할 수 있고, 플라스틱이나 유리 재질이 될 수 있으나 이에 한정하는 것은 아니고, 투명할 수 있는 재질이라면 어떤 것도 가능하다.The
또한 렌즈보호부(90)에는 발열부재(91)가 설치되어, 상기 발열부재(91)로부터 발생하는 열이 상기 렌즈보호부(90)의 전영역에 전도되어, 상기 렌즈보호부(90) 상의 김서림 현상이나 습기 생성을 방지할 수 있다.또한 발열부재는 렌즈보호부(90)의 내측 또는 외측에 배치되거나, 렌즈보호부(90)의 내부에 삽입될 수도 있고, 렌즈보호부(90)의 가장자리 영역 또는 촬영영상의 암구영역(2)에 대응하는 렌즈보호부(90)의 중앙 영역 중 적어도 하나의 영역에 배치될 수 있다.A
또한 렌즈보호부(90)는 김서림방지층을 포함할 수 있고, 상기 김서림방지층은 계면활성제를 포함하는 투명 폴리우레탄으로 이루어질 수 있다.그리고 계면활성제는 이소시아네이트 반응성 부분, 소수성 및 친수성 영역을 구비할 수 있다.그리고 김서림방지층은 1um 이상의 두께를 가질 수 있으나, 이에 한정하는 것은 아니다.The
도 21은 본 발명의 실시예에 따른 3D 구강스캐너를 구비한 인공 치아 가공 장치의 블록도이다.21 is a block diagram of an artificial tooth processing apparatus having a 3D mouth scanner according to an embodiment of the present invention.
도 21을 참조하면, 인공 치아 가공 장치(1)는 3D 구강스캐너(10), 데이터변환장치(13) 그리고 밀링장치(15)를 포함할 수 있다.Referring to FIG. 21, the artificial
데이터변환장치(13)는 3D 구강스캐너(10)의해 3차원적으로 측정되어 디지털 데이터로 변환된 영상 정보를 수신하여 이를 3D 데이터로 변환할 수 있다.The
또한 데이터변환장치(13)는 제작 데이터를 생성하고, 이를 밀링스트립으로 변환하여 밀링장치(15)로 제공할 수 있다.Further, the
CAD, CAM기반의 데이터 변환장치가 될 수 있으나 이에 한정하는 것은 아니고, 2D 데이터를 3D 데이터로 변환할 수 있는 장치라면 어떤 것이라도 가능하다.CAD, or CAM based data conversion apparatus. However, the present invention is not limited thereto, and any apparatus that can convert 2D data into 3D data is possible.
밀링장치(15)는 데이터변환장치(13)로부터 수신한 밀링 스트립을 이용하여 인공 치아를 생성할 수 있다.The
밀링장치(15)는 공간적으로 2개의 방향으로 밀링 방향점이 결정된 2축 밀링 장치, 공간적으로 3개의 방향으로 밀링 방향점이 결정된 3축 밀링 장치, 공간적으로 3개축뿐만 아니라 텐션 브릿지(tension bridge)가 존재하여 무한히 다양하게 회전할 수 있는 4번째 축을 구비한 4축 밀링 장치 및 전술한 4축에 더하여 회전 가능한 스핀들(spindle)의 5번째 축을 구비한 5축의 밀링 장치가 될 수 있으나, 이에 한정하는 것은 아니다.The
또한 3D 구강스캐너(10), 데이터변환장치(13) 및 밀링장치(15)는 유선 또는 무선으로 서로 통신할 수 있다.Further, the 3D
예를 들어 WLAN(Wireless LAN), 와이파이(Wi-Fi), 와이브로(Wibro), 와이맥스(Wimax), HSDPA(High Speed Downlink Packet Access), 블루투스(Bluetooth) 방식 등의 무선 통신 방식 또는 시스템 구현 방식에 따라 이더넷(Ethernet), xDSL(ADSL, VDSL), HFC(Hybrid Fiber Coaxial Cable), FTTC(Fiber to The Curb), FTTH(Fiber To The Home) 등의 유선 통신 방식을 이용할 수도있으며, USB 3.0 통신 방식을 이용할 수도 있다.For example, wireless communication methods such as WLAN (Wireless LAN), Wi-Fi, Wibro, WiMAX, HSDPA, and Bluetooth It is possible to use wired communication methods such as Ethernet, xDSL (ADSL, VDSL), HFC (Hybrid Fiber Coaxial Cable), FTTC (Fiber to the Curb) and FTTH (Fiber To The Home) May be used.
한편 3D 구강스캐너(10)를 이용하여 3차원적 구강 내의 이미지를 얻기 위하여 촬영 영상의 심도를 측정할 필요가 있다.On the other hand, it is necessary to measure the depth of the photographed image in order to obtain an image in a three-dimensional oral cavity using the 3D
이하 심도 측정에 따른 3D 데이터 획득 방식을 설명한다.Hereinafter, a 3D data acquisition method according to depth measurement will be described.
본 발명의 실시예에 따른 3D 구강스캐너(10)를 이용하여 스테레오 방식 또는 스틸 방식으로 촬영할 수 있고, 구강의 1 회 촬영, 구강의 복수회 촬영 그리고 전방위광학계(100) 렌즈를 이동시키며 촬영 할 수도 있다.The
또한 실시예에 따른 3D 구강스캐너(10)의 제2부(5)에는 기준점이 표시되어, 술자가 상기 기준점을 기초하여 환자의 구강에 3D 구강스캐너(10)의 삽입 정도를 결정할 수 있다A reference point is also displayed on the
또한 실시예에 따른 3D 구강스캐너(10)는 치열뿐만 아니라 잇몸 그리고 연구개, 구개수, 인두구개궁, 구개편도, 설구개궁 등 구강내의 모든 영역을 촬영할 수 있다.In addition, the
또한 실시예에 따른 3D 구강스캐너(10)는 촬영 횟수를 최소화할 수 있어, 촬영 영상의 합성 과정이 최소화되고, 합성에 따른 해상도와 분해능 저감 문제를 방지하여 우수한 해상도 및 분해능을 가진 3D 영상을 획득할 수 있고, 3D 데이터 생성 시간을 크게 단축시킬 수 있다.In addition, the 3D
이하 심도 측정에 따른 3D 데이터 획득 방식을 설명한다.Hereinafter, a 3D data acquisition method according to depth measurement will be described.
-심도 측정에 따른 3D 데이터 획득 방식-3D data acquisition method by depth measurement
<패턴마스크 방식><Pattern mask method>
도 22는 패턴마스크 방식의 3D 구강스캐너의 구성도를 개략적으로 나타낸 도면이다.22 is a diagram schematically showing a configuration diagram of a 3D mask scanner of a pattern mask system.
도 22를 참조하면, 본 발명의 실시예에 따른 전방위광학계를 이용한 3D 구강스캐너(10)는 패턴마스크 방식으로 구강내를3차원적으로 측정할 수 있다.Referring to FIG. 22, the
3D 구강스캐너(10)는 광출사 전방위광학계(800)를 더 포함할 수 있다.그리고 광출사 전방위광학계(800)는 전방위광학계(100)와 동일한 구조를 가질 수 있다.The 3D
또한 광출사 전방위광학계(800)는 광출사 전방위렌즈(810)를 포함할 수 있고, 상기 광출사 전방위렌즈(810)는 전방위렌즈(110)와 동일한 구조를 가질 수 있다.Further, the light output omnidirectional
촬영부(300)는 이미지센서(310)를 포함할 수 있다.The photographing
이미지센서(310)는 광전변환소자일 수 있다.The
광원부(500)는 광원(510) 및 패턴필터(530)를 포함할 수 있다.The
광원(510)으로부터 출사되는 광은 패턴필터(530)를 통과하여 상기 패턴필터(530)에 의해 결정된 패턴구조광이 광출사 전방위광학계(800)를 투과하여 피사체(S)에 조사될 수 있다.그리고 상기 피사체(S)로부터 반사된 광은 전방위광학계(100)를 투과하여 이미지센서(310)에 도달할 수 있다.The light emitted from the
또한 전방위광학계(100)와 광출사 전방위광학계(800)는 수평면을 기준으로 서로 기 설정된 각도를 이룰 수 있고, 상기 기 설정된 각도는 0도보타 크고 180도 이하일 수 있다.Further, the omnidirectional
또한 촬영부(300)는 제1조리개(320)를 더 포함할 수 있고, 광원부(500)는 제2조리개(520)를 더 포함할 수 있다.The photographing
이 경우 광원(510)으로부터 출사되는 광은 패턴필터(530)를 통과하여 상기 패턴필터(530)에 의해 결정된 패턴구조를 가지는 광이 제2조리개(520)로 출사되어 광출사 전방위광학계(800)를 통과하여피사체(S)에 조사되고, 상기 피사체(S)에 조사된 광에 의해 반사된 광은 전방위광학계(100)를 지나 제1조리개(320)를 통해 이미지센서(310)에 도달할 수 있다. 그리고 상기 이미지센서(310)에서 검출된 2차원의 이미지는 삼각 측량법을 이용하여 3차원의 이미지로 변환될 수 있다.In this case, the light emitted from the
<프로젝터 방식><Projector type>
도 23은 프로젝터 방식의 3D 구강스캐너의 구성도를 개략적으로 나타낸 도면이다.FIG. 23 is a view schematically showing a configuration diagram of a 3D mouth scanner of a projector type.
도 23을 참조하면, 본 발명의 실시예에 따른 전방위광학계를 이용한 3D 구강스캐너(10)는 프로젝터 방식으로 구강 내를 3차원적으로 측정할 수 있다.Referring to FIG. 23, the 3D
3D 구강스캐너(10)는 프로젝터(700)및 광출사 전방위광학계(800)를 포함할 수 있다.그리고 광출사 전방위광학계(800)는 전방위광학계(100)와 동일한 구조를 가질 수 있다.The 3D
또한 광출사 전방위광학계(800)는 광출사 전방위렌즈(810)를 포함할 수 있고, 상기 광출사 전방위렌즈(810)는 전방위렌즈(110)와 동일한 구조를 가질 수 있다.Further, the light output omnidirectional
또한 전방위광학계(100)와 광출사 전방위광학계(800)는 수평면을 기준으로 서로 기 설정된 각도를 이룰 수 있고, 상기 기 설정된 각도는 0도보타 크고 180도 이하일 수 있다.Further, the omnidirectional
프로젝터(700)는 LCD(Liquid crystal display) 방식, LCOS(Liquid crystal on silicon) 방식, DLP(Digital light processing) 방식 중 어느 하나가 될 수 있으나 이에 한정하는 것은 아니고, 입력된 신호를 영상처리하여 피사체(S)에 영상을 조사할 수 있는 장치라면 어떤 것이든 가능하다.The
또한 프로젝터(700)는 광원부(500)와 별도로 구비되거나 상기 광원부(500)를 포함할 수 있다.The
프로젝터(700)에 의해 형성된 미리 정해진 패턴구조광을 광출사 전방위광학계(800)를 통해 피사체(S)에 조사하고, 상기 피사체(S)에 조사된 광에 의해 반사된 광은 전방위광학계(100)를 투과하여 이미지센서(310)에 도달할 수 있다. 그리고 상기 이미지센서(310)에서 검출된 2차원의 이미지는 삼각 측량법을 이용하여 3차원의 이미지로 변환될 수 있다.A predetermined pattern structured light formed by the
보다 상세하게는 상기 미리 정해진 패턴구조광을 피사체(S)에 조사하고, 상기 피사체(S)에 맺힌 패턴구조를 이미지센서(310)로 받아드려 3차원 영상을 구성하는 것으로 각 패턴구조가 만드는 라인마다 고유 식별기호가 존재하고, 미리 정해진 해당 식별기호의 평면 방정식과 상기 피사체(S)에 맺힌 실제 위치와의 교점을 이용하여 3차원 좌표를 생성할 수 있다.More specifically, the predetermined pattern structure light is irradiated onto the subject S, and a pattern structure formed on the subject S is received by the
또한 패턴구조광의 강화 효과를 위하여 역패턴구조광을 사용할 수도 있다.In addition, in order to enhance the pattern structure light, an inverted pattern structure light may be used.
또한 미리 정해진 패턴은 그레이(Grey) 패턴 또는 컬러(Color) 패턴이 될 수도 있다.The predetermined pattern may be a Gray pattern or a Color pattern.
한편 상기 패턴은 3D 구강스캐너(10) 내의 메모리에 구비되어, 프로세서(20)가 상기 메모리에 저장된 패턴구조 정보를 읽어드려 프로젝터(700)를 통해 패턴구조광이 출사될 수 있도록 할 수 있다. 그러나 이에 한정하는 것은 아니고 상기 프로세서(20)는 외부의 서버로부터 각종 패턴 정보를 수신할 수도 있다.Meanwhile, the pattern may be provided in a memory in the 3D
<포토메트릭 스테레오 방식><Photometric stereo method>
도 24는포토메트릭 스테레오 방식의 3D 구강스캐너의 구성도를 개략적으로 나타낸 도면이다.FIG. 24 is a schematic view showing a configuration of a 3D mouth scanner of a photometric stereo system. FIG.
도 24를 참조하면, 본 발명의 실시예에 따른 전방위광학계를 이용한 3D 구강스캐너(10)는 포토메트릭 스테레오(Photometric Stereo) 방식으로 구강내의 2차원 영상으로부터 3차원 영상을 획득할 수 있다.Referring to FIG. 24, the 3D
3D 구강스캐너(10)는 제1부(30)에 설치된 적어도 두 개이상의 광원부(500)를 포함할 수 있다.The 3D
광원부(500)는 제1부(30)의 외면에 설치될 수 있으나 이에 한정하는 것은 아니고, 외부로 광을 출사할 수 있는 위치, 보다 상세하게는 피사체에 소정의 광을 조사할 수 있는 위치라면 제1부(30)의 어느 위치든 가능하다.The
광원부(500)는 전방위렌즈(110)에 인접하여 제1부(30)에 설치될 수 있다.The
복수개의 광원부(500)는 순차적 또는 선택적으로 구동할 수 있다. 예를 들어 광원부(500)가 제1및 제2광원(511, 512)을 포함하는 경우, 상기 제1및 제2광원(511, 512)은 서로 이격되어 제1부(30)에 배치될 수 있고, 상기 제1및 제2광원(511, 512) 중 어느 하나가 턴온시 나머지 하나는 턴오프는 유지하고, 상기 나머지 하나가 턴오프될 때 다른 하나는 턴오프될 수 있다.The plurality of
3D 구강스캐너(10) 내의 프로세서(20)는 이미지센서(310)로부터 검출된 2D 데이터를 이미 저장된 정렬 알고리즘에 기초하여 움직임에 대한 보정과 렌즈 왜곡 보정 및 투명도를 고려한 데이터 품질 향상을 위한 빛 산란 보정을 중 적어도 하나를 수행하여 3D 데이터를 생성할 수 있다.The
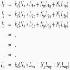
3D 데이터 생성 방법으로는 예를 들어 광원부(500)가 N개의 광원을 포함하는 경우, 이미지센서(310)로 전송되는 뷰 벡터(View vector: V)와 N개의 광원 각각에 의해 피사체(S)로부터 반사되는 광 벡터(Light vector: Ln)과 각 광 벡터의 조명 에너지(I) 및 반사계수(kd)에 기초하고아래의 수학식 1과 같은 조명 명암(shading) 공식을 적용하여 노멀 벡터(Normal vector)를 생성할 수 있다.As a method of generating 3D data, for example, when the
[수학식 1][Equation 1]
그 후 이미지센서(310)의 각 픽셀의 3D 노멀 벡터로부터 수학식 2에 기초하여 깊이를 계산할 수 있고, 깊이 정보에 기초하여 2D 데이터를 3D 데이터로 변환할 수 있다.Then, from the 3D normal vector of each pixel of the
[수학식 2]&Quot; (2) "
<다중영상 기반의 3차원 영상 복원 방식><3D image restoration method based on multiple images>
도 25는다중영상 기반의 3차원 영상 복원 방식의 3D 구강스캐너의 구성도를 개략적으로 나타낸 도면이다.FIG. 25 is a diagram schematically illustrating the configuration of a 3D oral scanner having a multi-image-based three-dimensional image reconstruction method.
도 25를 참조하면, 본 발명의 실시예에 따른 전방위광학계를 이용한 3D 구강스캐너(10)는 다중영상 기반의 3차원 영상 복원(2.Structure From Motion 3D Reconstruction) 방식으로 구강내의 2차원 영상으로부터 3차원 영상을 획득할 수 있다.Referring to FIG. 25, a
제1부(30)에 결합된 전방위광학계(100)는 제1부(30)의 내부에서 유동할 수 있고, 상기 제1부(30)와 함께 유동할 수 있다.이 경우, 촬영부(300)는 전방위광학계(100)의 유동에 대응하여 함께 유동할 수 있다.The omnidirectional
또한 광원부(500)는 제1부(30) 및 제2부(50) 중 적어도 어느 하나에 수납되거나, 상기 제1부(30)의 외측에 설치되어, 구강 내에 광을 제공할 수 있다.The
촬영부(300)는 전방위광학계(100)의 유동에 따라 연속된 영상을 수신하고, 프로세서(20)는 상기 연속된 영상에서 특징점(Keypoint)을 추출할 수 있다.상기 프로세서(20)가 연속된 영상에서 특징점을 추출할 때 Harris point나 SIFT 알고리즘을 이용할 수 있으나, 이에 한정하는 것은 아니고, 연속된 영상에서 특징점을 추출할 수 있는 어떠한 알고리즘이든 이용할 수 있다.The photographing
또한 프로세서(20)는 특징점 매칭 최적화 기법에 기초하여 월드(World) 좌표상에서 촬영부(300)의 이동 위치를 추적할 수 있다.상기 특징점 매칭 최적화 기법에는 least square, RANSAC 또는 Levenberg-Marquardt 알고리즘을 이용할 수 있으나 이에 한정하는 것은 아니다.In addition, the
또한 프로세서(20)는 연속된 영상과 촬영부(300)의 위치 정보에 기초하여 스테레오(Stereo) 깊이를 추출하여, 이를 기초하여 2D 데이터를 3D 데이터로 변환할 수 있다.In addition, the
<전방위 렌즈 초점 거리 조절 방식><Adjustment method of omnidirectional lens focal length>
도 26 및 도 27은 액체렌즈의 단면도이다.26 and 27 are sectional views of the liquid lens.
도 26 및 도 27을 참조하면, 본 발명의 실시예에 따른 전방위광학계를 이용한 3D 구강스캐너(10)는 전방위 렌즈 초점 거리 조절 방식방식으로 구강내의 2차원 영상으로부터 3차원 영상을 획득할 수 있다.Referring to FIGS. 26 and 27, the 3D
전방위광학계(100)는 전방위렌즈(110)를 포함하고, 상기 전방위렌즈(110)는 액체렌즈부(170)가 될 수도 있다.The omnidirectional
액체렌즈부(170)는 제1 보호 유리(171), 제2 보호 유리(172), 상기 제1및 제2보호 유리(171, 172) 사이에 적층된 오일층(173)과수용액층(174), 이것들의 주변부에 배치되어 전압을 인가하기 위한제1 전극부(175)와제2 전극부(176), 상기 제1및 제2전극부(175, 176) 사이를 절연하는제1 절연부(177)와제2 절연부(178)및 전원 공급부(179)를 포함할 수 있다.The liquid lens unit 170 includes a first
전원 공급부(179)에서 생성되는 전압은 프로세서(20)에 의하여 조절될 수 있다.The voltage generated by the
액체렌즈부(170)는 전원 공급부(179)로부터 공급된 전원이 제1및 제2전극부(175, 176)에 인가됨으로써, 오일층(173)의 곡률 반경과 두께가 변화되어, 상기 액체렌즈부(170)를 통과한 광의 초점의 위치를 변화시킬 수 있는 특성을 가진다.The liquid lens unit 170 changes the curvature radius and thickness of the
보다 상세하게는 제1및 제 2전극부(175, 176)에 소정의 전압이 인가되는 경우, 오일층(52)의 곡률 반경과 두께가 커질 수 있다.전압의 크기를 크게 함으로써 초점 거리를 짧게 할 수 있다.More specifically, when a predetermined voltage is applied to the first and
프로세서(20)는 전원 공급부(179)의 전원을 조절함에 따라 액체렌즈부(170)의 포커싱을 달리함으로써, 얻어지는 깊이 정보에 기초하여 촬영부(300)로부터 획득한 2D 데이터를 3D 데이터로 변환할 수 있다.The
한편 엑체렌즈부(170)는 전압에 따른 굴절률 변화 방식이 아닌 압력 조절에 따라 굴절률이 변화하여 초점을 조절할 수도 있다.Meanwhile, the refractive index of the lens unit 170 may be changed according to the pressure control instead of the refractive index change method depending on the voltage, so that the focus can be adjusted.
<전방위렌즈 초점 거리별 구분 방식><Classification method by omnidirectional lens focal distance>
본 발명의 실시예에 따른 전방위광학계(100)의 전방위렌즈(110)는 암점을 둘러싼 제1초점거리 영역과 상기 제1초점거리 영역을 둘러싼 제2초점거리 영역을 포함하고, 촬영부(300)의 이미지센서(310)는 상기 제1및 제2초점거리 영역 별로 초점을 단계적으로 조절하여 2D 영상의 깊이를 추출하고 깊이 정보에 기초하여 3D 영상을 생성할 수도 있다.The
<레이저 광을 이용한 심도 측정 방식><Depth measurement method using laser light>
도 28은레이저 광을 이용한 심도 측정 방식의 3D 구강스캐너의 구성도를 개략적으로 나타낸 도면이다.28 is a diagram schematically showing the configuration of a 3D oral scanner of a depth measurement method using laser light.
도 28을 참조하면, 본 발명의 실시예에 따른 전방위광학계를 이용한 3D 구강스캐너(10)의 광원부(500)는 레이저 광을 제공할 수 있고, 이미지센서(310)는 위치변위검출소자(Position Sensing Device: PSD)가 될 수 있다.28, the
위치변위검출소자는 입사 광이 입력되는 위치에 따라 전기 신호를 생성하는 소자이다.The position displacement detecting element is an element that generates an electric signal in accordance with the position where the incident light is input.
3D 구강스캐너(10)는 광출사 전방위광학계(800)를 포함할 수 있다.그리고 광출사 전방위광학계(800)는 전방위광학계(100)와 동일한 구조를 가질 수 있다.The 3D
또한 광출사 전방위광학계(800)는 광출사 전방위렌즈(810)를 포함할 수 있고, 상기 광출사 전방위렌즈(810)는 전방위렌즈(110)와 동일한 구조를 가질 수 있다.Further, the light output omnidirectional
또한 전방위광학계(100)와 광출사 전방위광학계(800)는 수평면을 기준으로 서로 기 설정된 각도를 이룰 수 있고, 상기 기 설정된 각도는 0도보다 크고 180도 이하일 수 있다.Further, the omnidirectional
광원부(500)로부터 출사되는 광은 광출사 전방위광학계(800)를 투과하여 피사체(S)에 조사되고, 상기 피사체(S)에 조사되어 반사된 광은 전방위광학계(100)를 통과하여 위치변위검출소자로 입사할 수 있다.The light emitted from the
프로세서(20)는 위치변위검출소자로부터의 전기 신호의 검출 결과에 기초하여 피사체(S)의 높이 변화에 따른 위치변위검출소자의 센서 위의 결상 위치의 변화를 이용하여 피사체(S)의 높이 값을 측정하고, 이로부터 획득한 높이 값에 기초하여 2D 데이터를 3D 데이터로 변환할 수 있다.Based on the detection result of the electric signal from the positional displacement detection element, the
이상에서 설명한 본 발명의 상세한 설명에서는 본 발명의 바람직한 실시 예를 참조하여 설명하였지만, 해당 기술 분야의 숙련된 당업자 또는 해당 기술분야에 통상의 지식을 갖는 자라면 후술할 특허청구범위에 기재된 본 발명의 사상 및 기술 영역으로부터 벗어나지 않는 범위 내에서 본 발명을 다양하게 수정 및 변경시킬 수 있음을 이해할 수 있을 것이다. 따라서, 본 발명의 기술적 범위는 명세서의 상세한 설명에 기재된 내용으로 한정되는 것이 아니라 특허청구범위에 의해 정하여져야만 할 것이다.While the present invention has been particularly shown and described with reference to exemplary embodiments thereof, it is clearly understood that the same is by way of illustration and example only and is not to be taken by way of limitation, It will be understood by those skilled in the art that various changes in form and details may be made therein without departing from the spirit and scope of the invention. Therefore, the technical scope of the present invention should not be limited to the contents described in the detailed description of the specification, but should be defined by the claims.
1 인공 치아 가공 장치, 2 암구영역
10 3D 구강스캐너, 20 프로세서
30 제1 부, 31 보호부
50 제2 부, 51 위치제어부
52 바이트부, 70 정보입력부
90 렌즈보호부, 91 발열부재
100 전방위광학계, 110 전방위렌즈
111 굴절부, 113 수평부
114 반사코팅, 115 내측오목부
116 내측굴절부, 117 내측반사코팅
120 제1 렌즈, 121 제1 입사면
123 출사면, 125 제1 반사면
130 제2 렌즈, 131 제2 입사면
133 제2 반사면, 135 제2 출사면
150 렌즈어레이, 170 액체렌즈부
171 제1 보호 유리, 172 제2 보호 유리
173 오일층, 174 수용액층
175 제1 전극부, 176 제2 전극부
177 제1 절연부, 178 제2 절연부
179 전원 공급부, 200 미러부
210 제1 미러부, 220 제2 미러부
300 촬영부, 310 이미지센서
320 제1 조리개, 500 광원부
510 광원, 520 제2 조리개
530 패턴필터, 700 프로젝터
800 광출사 전방위광학계, 810 광출사 전방위렌즈1 artificial tooth processing device, 2 tongue area
 10 3D mouth scanner, 20 processor
 30
 50 Second part, 51 Position control part
 52 byte unit, 70 information input unit
 90 lens protecting portion, 91 heating member
 100 omni-directional optical system, 110 omni-directional lens
 111 refracting portion, 113 horizontal portion
 114 reflective coating, 115 inner concave
 116 inner refraction portion, 117 inner reflective coating
 120 first lens, 121 first incident surface
 123 exit surface, 125 first reflecting surface
 130 second lens, 131 second incident surface
 133 second reflection surface, 135 second emission surface
 150 lens array, 170 liquid lens section
 171 First protective glass, 172 Second protective glass
 173 oil layer, 174 aqueous solution layer
 175 first electrode portion, 176 second electrode portion
 177 first insulation part, 178 second insulation part
 179 power supply part, 200 mirror part
 210 first mirror portion, 220 second mirror portion
 300 image pickup unit, 310 image sensor
 320 First stop, 500 Light source
 510 light source, 520 second diaphragm
 530 pattern filter, 700 projector
 800 light output omnidirectional optical system, 810 light output omnidirectional lens
| Application Number | Priority Date | Filing Date | Title | 
|---|---|---|---|
| KR1020170062522AKR101934738B1 (en) | 2017-05-19 | 2017-05-19 | 3 dimension oral scanner using omnidirectional monitoring optical system and artificial tooth machine device thereof | 
| Application Number | Priority Date | Filing Date | Title | 
|---|---|---|---|
| KR1020170062522AKR101934738B1 (en) | 2017-05-19 | 2017-05-19 | 3 dimension oral scanner using omnidirectional monitoring optical system and artificial tooth machine device thereof | 
| Application Number | Title | Priority Date | Filing Date | 
|---|---|---|---|
| KR1020160088926Division | 2016-07-13 | 2016-07-13 | 
| Application Number | Title | Priority Date | Filing Date | 
|---|---|---|---|
| KR1020180116347ADivisionKR20180109812A (en) | 2018-09-28 | 2018-09-28 | 3 dimension oral scanner using omnidirectional monitoring optical system and artificial tooth machine device thereof | 
| Publication Number | Publication Date | 
|---|---|
| KR20180007659A KR20180007659A (en) | 2018-01-23 | 
| KR101934738B1true KR101934738B1 (en) | 2019-01-03 | 
| Application Number | Title | Priority Date | Filing Date | 
|---|---|---|---|
| KR1020170062522AActiveKR101934738B1 (en) | 2017-05-19 | 2017-05-19 | 3 dimension oral scanner using omnidirectional monitoring optical system and artificial tooth machine device thereof | 
| Country | Link | 
|---|---|
| KR (1) | KR101934738B1 (en) | 
| Publication number | Priority date | Publication date | Assignee | Title | 
|---|---|---|---|---|
| US11883252B2 (en) | 2018-03-28 | 2024-01-30 | Koninklijke Philips N.V. | Systems and methods for measuring an oral arch geometry and selecting a mouthpiece based on oral arch measurements | 
| Publication number | Priority date | Publication date | Assignee | Title | 
|---|---|---|---|---|
| JP2654646B2 (en)* | 1986-06-24 | 1997-09-17 | マルコ ブランデステイ−ニ | Method and apparatus for determining and displaying the three-dimensional morphology of a cavity | 
| JP2012157683A (en) | 2011-01-13 | 2012-08-23 | Advance Co Ltd | Dental treatment system | 
| Publication number | Priority date | Publication date | Assignee | Title | 
|---|---|---|---|---|
| KR101175616B1 (en)* | 2010-11-11 | 2012-08-21 | 데오덴탈 주식회사 | Scanner for oral cavity | 
| US20140308623A1 (en)* | 2013-04-12 | 2014-10-16 | Mun Chang | Computer fabrication of dental prosthetics | 
| Publication number | Priority date | Publication date | Assignee | Title | 
|---|---|---|---|---|
| JP2654646B2 (en)* | 1986-06-24 | 1997-09-17 | マルコ ブランデステイ−ニ | Method and apparatus for determining and displaying the three-dimensional morphology of a cavity | 
| JP2012157683A (en) | 2011-01-13 | 2012-08-23 | Advance Co Ltd | Dental treatment system | 
| JP5784381B2 (en)* | 2011-01-13 | 2015-09-24 | 株式会社アドバンス | Dental care system | 
| Publication number | Publication date | 
|---|---|
| KR20180007659A (en) | 2018-01-23 | 
| Publication | Publication Date | Title | 
|---|---|---|
| KR101782740B1 (en) | 3 dimension oral scanner and artificial tooth machine device thereof | |
| US12076200B2 (en) | Digital 3D models of dental arches with accurate arch width | |
| ES2876155T3 (en) | Three-dimensional scanner and apparatus for processing artificial objects by using the same | |
| KR102050547B1 (en) | Device and method for subgingival measurement | |
| US7099732B2 (en) | Sanitary sleeve or tip for intra-oral three-dimensional camera | |
| KR101693158B1 (en) | 3-dimension scaner for oral cavity and apparatus for processing an artifact using thereof | |
| US11096587B2 (en) | Intra-oral scanning device, method of operating such a device and scanner system | |
| JP2784690B2 (en) | Mouth space measuring method and apparatus for implementing the method | |
| US20170181815A1 (en) | Novel dental scanner device and system and methods of use | |
| US20230190109A1 (en) | Intraoral scanner | |
| US11357601B2 (en) | Electronic impression tray for obtaining dental information | |
| KR101934738B1 (en) | 3 dimension oral scanner using omnidirectional monitoring optical system and artificial tooth machine device thereof | |
| KR101693157B1 (en) | 3-dimension scaner for oral cavity | |
| KR20180109812A (en) | 3 dimension oral scanner using omnidirectional monitoring optical system and artificial tooth machine device thereof | |
| KR101852834B1 (en) | 3-dimension scaner for oral cavity | |
| Ural et al. | Direct digitalization devices in today’s dental practice: Intra oral scanners | |
| EP1849411B1 (en) | Method for providing data associated with the intraoral cavity | |
| US20240307159A1 (en) | Intraoral scanner projector alignment and fixing | |
| US20250177101A1 (en) | Intraoral scanner including projectors and cameras | |
| WO2025090674A1 (en) | Intraoral scanner | |
| CN113080877A (en) | Device and method for oral cavity scanning by using light field camera | 
| Date | Code | Title | Description | 
|---|---|---|---|
| A107 | Divisional application of patent | ||
| PA0107 | Divisional application | Comment text:Divisional Application of Patent Patent event date:20170519 Patent event code:PA01071R01D Filing date:20160713 Application number text:1020160088926 | |
| PG1501 | Laying open of application | ||
| N231 | Notification of change of applicant | ||
| PN2301 | Change of applicant | Patent event date:20180404 Comment text:Notification of Change of Applicant Patent event code:PN23011R01D | |
| A201 | Request for examination | ||
| PA0201 | Request for examination | Patent event code:PA02012R01D Patent event date:20180516 Comment text:Request for Examination of Application Patent event code:PA02011R04I Patent event date:20170519 Comment text:Divisional Application of Patent | |
| E902 | Notification of reason for refusal | ||
| PE0902 | Notice of grounds for rejection | Comment text:Notification of reason for refusal Patent event date:20180528 Patent event code:PE09021S01D | |
| E90F | Notification of reason for final refusal | ||
| PE0902 | Notice of grounds for rejection | Comment text:Final Notice of Reason for Refusal Patent event date:20180830 Patent event code:PE09021S02D | |
| E701 | Decision to grant or registration of patent right | ||
| PE0701 | Decision of registration | Patent event code:PE07011S01D Comment text:Decision to Grant Registration Patent event date:20180927 | |
| A107 | Divisional application of patent | ||
| PA0107 | Divisional application | Comment text:Divisional Application of Patent Patent event date:20180928 Patent event code:PA01071R01D Filing date:20160713 Application number text:1020160088926 | |
| GRNT | Written decision to grant | ||
| PR0701 | Registration of establishment | Comment text:Registration of Establishment Patent event date:20181227 Patent event code:PR07011E01D | |
| PR1002 | Payment of registration fee | Payment date:20181227 End annual number:3 Start annual number:1 | |
| PG1601 | Publication of registration | ||
| PR1001 | Payment of annual fee | Payment date:20211223 Start annual number:4 End annual number:4 | |
| PR1001 | Payment of annual fee | Payment date:20221130 Start annual number:5 End annual number:5 | |
| PR1001 | Payment of annual fee | Payment date:20231130 Start annual number:6 End annual number:6 |