



본 출원은 무선측위장치 및 무선측위방법에 관한 것으로서, 복수의 지향성 안테나를 이용하여 통신장치의 위치를 판별할 수 있는 무선측위장치 및 무선측위방법에 관한 것이다.The present invention relates to a radio positioning apparatus and a radio positioning method, and more particularly, to a radio positioning apparatus and a radio positioning method capable of determining the position of a communication apparatus using a plurality of directional antennas.
사물의 위치 및 방향 추적 장치는 인간에 보다 많은 서비스를 제공하기 위하여 많은 분야에서 연구중이며, 이미 상당한 기술의 발전이 진척되었다.Object position and orientation tracking devices are being studied in many fields to provide more services to humans, and significant technological advances have already been made.
일반적으로 잘 알려진 예로는 GPS(Global Positioning System)가 있으며, 이는 미국 국방성에서 군사 목적으로 쏘아올린 GPS 위성이 지구 전역을 공전하면서 지상에 위치하는 단말이 송출하는 GPS 신호를 수신하여 해당 단말이 위치를 파악하는 시스템이다. 그러나 이러한 GPS 시스템은 기본적으로 동작 오차를 가지며, 위성의 배치상태, 기상상태, 건물 및 숲 등 GPS 신호에 영향을 줄 수 있는 여러 가지 요인들에 의하여 그 오차는 더욱 커질 수 있다. 또한, 결정적으로 GPS 신호를 외부로 송수신할 수 없는 실내에서는 사용이 불가능하다는 문제점이 있다.A well-known example is a GPS (Global Positioning System), which is a GPS satellite launched from the US Department of Defense for military purposes. The GPS satellites revolve around the earth and receive GPS signals from terrestrial stations. System. However, such a GPS system basically has an operation error, and the error may become larger due to various factors that may affect the GPS signal such as the arrangement state of the satellite, the weather condition, the building and the forest. Further, there is a problem that it is impossible to use the GPS signal indoors in a room where the GPS signal can not be transmitted and received to the outside.
다른 예로는 수신된 신호로부터 송신기와 수신기 사이의 거리를 추정한 후, 삼각 측량법을 이용하여 단말의 위치를 계산하는 방법이 있다. 이 방법은 현재 가장 많이 사용되는 방법이나, 삼각 측량을 위해 적어도 3~4개 이상의 송신기가 설치되어야 하므로, 측정 시스템을 구축하기 위해 과다한 비용이 발생하는 문제점이 있다.Another example is to estimate the distance between the transmitter and the receiver from the received signal and then calculate the position of the terminal using triangulation. This method is currently the most used method, but at least three or four or more transmitters must be installed for triangulation, resulting in an excessive cost for constructing a measurement system.
본 출원은, 복수의 지향성 안테나를 이용하여 통신장치의 위치를 판별할 수 있는 무선측위장치 및 무선측위방법을 제공하고자 한다.The present application is intended to provide a radio positioning device and a radio positioning method capable of determining the position of a communication device using a plurality of directional antennas.
본 발명의 일 실시예에 의한 무선측위방법은, 무선측위장치가 통신장치로부터 송출되는 무선신호를 복수의 지향성 안테나를 이용하여 수신하는 무선신호수신단계; 무선측위장치가 상기 지향성 안테나별로 상기 무선신호의 수신전력을 각각 계산하고, 최대수신전력을 가지는 지향성 안테나를 제1 안테나로 추출하는 수신전력계산단계; 무선측위장치가 상기 제1 안테나와 인접하여 배치된 지향성 안테나 중에서 수신전력이 더 큰 지향성 안테나를 제2 안테나로 추출하여, 상기 제1 안테나와 제2 안테나의 수신전력비를 계산하는 수신전력비계산단계; 및 무선측위장치가, 상기 수신전력비를 기 설정된 전력비테이블과 비교하여, 상기 수신전력비에 대응하는 상기 통신장치의 방향을 계산하는 방향측정단계를 포함할 수 있다.A wireless positioning method according to an embodiment of the present invention includes: a wireless signal receiving step of receiving a wireless signal transmitted from a communication device by a wireless positioning device using a plurality of directional antennas; A reception power calculating step of calculating a reception power of the radio signal for each of the directional antennas and extracting a directional antenna having a maximum reception power to a first antenna; A reception power ratio calculating step of extracting, by a second antenna, a directional antenna having a larger received power among the directional antennas disposed adjacent to the first antenna, and calculating a reception power ratio of the first antenna and the second antenna; And a direction measuring step of the wireless positioning device compares the received power ratio with a preset power ratio table and calculates the direction of the communication device corresponding to the received power ratio.
여기서 상기 무선신호수신단계는, N개의 지향성 안테나가 각각 기 설정된 фn의 지향각도를 가지는 지향성 빔패턴을 이용하여 상기 무선신호를 수신하는 것으로, N은 2 이상의 정수, 1 ≤ n ≤ N, n은 정수일 수 있다.Wherein the radio signal receiving step receives the radio signal using a directional beam pattern in which N directional antennas each have a directional angle of a predeterminednn , wherein N is an integer of 2 or more, 1? N? N, n May be an integer.
여기서 상기 방향측정단계는, 복수의 전력비테이블 중에서, 상기 추출된 제1 안테나와 제2 안테나에 대응하는 전력비테이블을 추출하는 전력비테이블추출과정; 및 상기 추출된 전력비테이블에 저장된 설정전력비 중에서, 상기 수신전력비와 가장 근접한 값을 추출하고, 상기 추출된 설정전력비에 대응하는 각도를 상기 통신장치의 각도로 설정하는 방향추출과정을 포함할 수 있다.Wherein the direction measuring step includes a power ratio table extracting step of extracting a power ratio table corresponding to the extracted first antenna and the second antenna from a plurality of power ratio tables; And extracting a value closest to the received power ratio from the set power ratio stored in the extracted power ratio table and setting an angle corresponding to the extracted set power ratio as an angle of the communication device.
여기서 상기 방향측정단계는Wherein the direction measuring step
로 상기 통신장치의 각도 θ를 계산하여 상기 통신장치의 방향을 측정하며,Calculating an angle [theta] of the communication device to measure the direction of the communication device,
이고, n*는를 만족하는 상기 제1 안테나,는 상기 통신장치가 각도 θ의 방향에 위치하는 경우 상기 제1 안테나에서 측정한 무선신호의 수신전력,은 상기 제1 안테나에 인접하는 상기 제2 안테나에서 측정한 무선신호의 수신전력, 및은 각각 상기 전력비테이블에 저장되는 설정전력비로서,는일 때의 범위를 가지고, 일 때의 범위를 만족하며,는 상기 제1 안테나의 지향각도, N은 상기 무선측위장치에 구비된 전체 지향성 안테나의 개수일 수 있다.And n * is The first antenna, The reception power of the radio signal measured by the first antenna when the communication device is located in the direction of the angle? The reception power of the radio signal measured by the second antenna adjacent to the first antenna, And Is a set power ratio stored in the power ratio table, The when Has a range of, when , ≪ / RTI > May be a directivity angle of the first antenna, and N may be the number of all directional antennas provided in the RR.
여기서, 본 발명의 일 실시예에 의한 무선측위방법은, 상기 통신장치로부터 수신하는 무선신호의 경로감쇠를 이용하여, 상기 통신장치까지의 거리를 측정하는 거리측정단계를 더 포함할 수 있다.Here, the wireless positioning method according to an embodiment of the present invention may further include a distance measuring step of measuring a distance to the communication apparatus by using path attenuation of a radio signal received from the communication apparatus.
본 발명의 일 실시예에 의한 무선측위장치는, 통신장치로부터 송출되는 무선신호를 수신하는 복수의 지향성 안테나를 포함하는 안테나부; 상기 지향성 안테나별로 상기 무선신호의 수신전력을 각각 계산하고, 최대수신전력을 가지는 지향성 안테나를 제1 안테나로 추출하는 수신전력계산부; 상기 제1 안테나와 인접하여 배치된 지향성 안테나 중에서 수신전력이 더 큰 지향성 안테나를 제2 안테나로 추출하여, 상기 제1 안테나와 제2 안테나의 수신전력비를 계산하는 수신전력비계산부; 및 상기 수신전력비를 기 설정된 전력비테이블과 비교하여, 상기 수신전력비에 대응하는 상기 통신장치의 방향을 계산하는 방향측정부를 포함할 수 있다.A radio positioning apparatus according to an embodiment of the present invention includes an antenna unit including a plurality of directional antennas for receiving a radio signal transmitted from a communication device; A reception power calculator for calculating a reception power of the radio signal for each of the directional antennas and extracting a directional antenna having a maximum reception power by a first antenna; A reception power ratio calculator for extracting a directional antenna having a larger received power from a second antenna among the directional antennas disposed adjacent to the first antenna and calculating a reception power ratio of the first antenna and the second antenna; And a direction measuring unit for comparing the received power ratio with a preset power ratio table and calculating a direction of the communication device corresponding to the received power ratio.
여기서 상기 안테나부는, 각각 기 설정된 фn의 지향각도를 가지는 지향성 빔패턴을 생성하는 N개의 지향성 안테나를 이용하여 상기 무선신호를 수신하는 것으로, N은 2 이상의 정수, 1 ≤ n ≤ N, n은 정수일 수 있다.Wherein the antenna unit receives the radio signal using N directional antennas that generate a directional beam pattern having a predetermined directional angle of phin , N is an integer of 2 or more, 1? N? N, n is May be integers.
여기서 상기 방향측정부는, 복수의 전력비테이블 중에서 상기 추출된 제1 안테나와 제2 안테나에 대응하는 전력비테이블을 추출하고, 상기 추출된 전력비테이블에 저장된 설정전력비 중에서 상기 수신전력비와 가장 근접한 값을 가지는 설정전력비를 추출하며, 상기 추출한 설정전력비에 대응하는 각도를 상기 통신장치의 각도로 설정할 수 있다.Wherein the direction measuring unit extracts a power ratio table corresponding to the extracted first antenna and the second antenna from a plurality of power ratio tables and selects a setting having a value closest to the received power ratio from the set power ratio stored in the extracted power ratio table And the angle corresponding to the extracted set power ratio can be set to the angle of the communication device.
여기서 상기 방향측정부는Here,
로 상기 통신장치의 각도 θ를 계산하여 상기 통신장치의 방향을 측정하는 것으로,By calculating an angle &thetas; of the communication device to measure the direction of the communication device,
이고, n*는를 만족하는 상기 제1 안테나,는 상기 통신장치가 각도 θ의 방향에 위치하는 경우 상기 제1 안테나에서 측정한 무선신호의 수신전력,은 상기 제1 안테나에 인접하는 상기 제2 안테나에서 측정한 무선신호의 수신전력, 및은 각각 상기 전력비테이블에 저장되는 설정전력비로서,는일 때의 범위를 가지고, 일 때의 범위를 만족하며,는 상기 제1 안테나의 지향각도, N은 상기 무선측위장치에 구비된 전체 지향성 안테나의 개수일 수 있다.And n * is The first antenna, The reception power of the radio signal measured by the first antenna when the communication device is located in the direction of the angle? The reception power of the radio signal measured by the second antenna adjacent to the first antenna, And Is a set power ratio stored in the power ratio table, The when Has a range of, when , ≪ / RTI > May be a directivity angle of the first antenna, and N may be the number of all directional antennas provided in the RR.
여기서, 본 발명의 일 실시예에 의한 무선측위장치는, 상기 통신장치로부터 수신하는 무선신호의 경로감쇠를 이용하여, 상기 통신장치까지의 거리를 측정하는 거리측정부를 더 포함할 수 있다.Here, the wireless positioning apparatus according to an embodiment of the present invention may further include a distance measuring unit that measures a distance to the communication apparatus by using path attenuation of a wireless signal received from the communication apparatus.
덧붙여 상기한 과제의 해결수단은, 본 발명의 특징을 모두 열거한 것이 아니다. 본 발명의 다양한 특징과 그에 따른 장점과 효과는 아래의 구체적인 실시형태를 참조하여 보다 상세하게 이해될 수 있을 것이다.In addition, the means for solving the above-mentioned problems are not all enumerating the features of the present invention. The various features of the present invention and the advantages and effects thereof will be more fully understood by reference to the following specific embodiments.
본 발명의 일 실시예에 의한 무선측위장치 및 무선측위방법에 의하면, 복수의 지향성 안테나를 포함하는 하나의 무선측위장치를 이용하여 통신장치의 위치를 판별하는 것이 가능하다. 따라서, 기존의 측위방법에 비하여 간단한 구조로 정확한 위치를 판별할 수 있으며, 추가적인 장비를 구비할 필요가 없으므로 획기적인 비용절감이 가능하다.According to the radio positioning apparatus and the radio positioning method according to an embodiment of the present invention, it is possible to determine the position of the communication apparatus by using one radio positioning apparatus including a plurality of directional antennas. Therefore, it is possible to discriminate the accurate position with a simple structure as compared with the existing positioning method, and it is possible to remarkably reduce the cost because there is no need to provide additional equipment.
본 발명의 일 실시예에 의한 무선측위장치 및 무선측위방법에 의하면, 각각의 지향성 안테나에서 수신한 무선신호의 전력비를 이용하여 통신장치의 위치를 파악할 수 있다. 즉, 기존의 무선신호의 세기 대신에 전력비를 이용하므로, 반사나, 굴절, 감쇠 등 환경적 요인에 의한 영향을 최소화하여 정확하게 통신장치의 위치를 측정할 수 있다.According to the radio positioning apparatus and the radio positioning method according to an embodiment of the present invention, the position of the communication apparatus can be grasped by using the power ratio of the radio signal received by each directional antenna. That is, since the power ratio is used instead of the intensity of the existing radio signal, the influence of environmental factors such as reflection, refraction, and attenuation can be minimized and the position of the communication device can be accurately measured.
도1은 본 발명의 일 실시예에 의한 무선측위 시스템을 나타내는 개략도이다.
도2는 본 발명의 일 실시예에 의한 무선측위장치를 나타내는 블록도이다.
도3은 본 발명의 일 실시예에 의한 무선측위장치의 동작을 나타내는 개략도이다.
도4는 본 발명의 일 실시예에 의한 무선측위방법을 나타내는 순서도이다.1 is a schematic diagram showing a wireless positioning system according to an embodiment of the present invention.
 2 is a block diagram showing a radio positioning apparatus according to an embodiment of the present invention.
 3 is a schematic diagram showing the operation of a radio positioning apparatus according to an embodiment of the present invention.
 4 is a flowchart showing a radio positioning method according to an embodiment of the present invention.
이하, 첨부된 도면을 참조하여 본 발명이 속하는 기술분야에서 통상의 지식을 가진 자가 본 발명을 용이하게 실시할 수 있도록 바람직한 실시예를 상세히 설명한다. 다만, 본 발명의 바람직한 실시예를 상세하게 설명함에 있어, 관련된 공지 기능 또는 구성에 대한 구체적인 설명이 본 발명의 요지를 불필요하게 흐릴 수 있다고 판단되는 경우에는 그 상세한 설명을 생략한다. 또한, 유사한 기능 및 작용을 하는 부분에 대해서는 도면 전체에 걸쳐 동일한 부호를 사용한다.Hereinafter, preferred embodiments of the present invention will be described in detail with reference to the accompanying drawings, in order that those skilled in the art can easily carry out the present invention. In the following detailed description of the preferred embodiments of the present invention, a detailed description of known functions and configurations incorporated herein will be omitted when it may make the subject matter of the present invention rather unclear. In the drawings, like reference numerals are used throughout the drawings.
덧붙여, 명세서 전체에서, 어떤 부분이 다른 부분과 '연결'되어 있다고 할 때, 이는 '직접적으로 연결'되어 있는 경우뿐만 아니라, 그 중간에 다른 소자를 사이에 두고 '간접적으로 연결'되어 있는 경우도 포함한다. 또한, 어떤 구성요소를 '포함'한다는 것은, 특별히 반대되는 기재가 없는 한 다른 구성요소를 제외하는 것이 아니라 다른 구성요소를 더 포함할 수 있다는 것을 의미한다. 또한, 명세서에 기재된 “부”, “모듈” 등의 용어는 적어도 하나의 기능이나 동작을 처리하는 단위를 의미하며, 이는 하드웨어 또는 소프트웨어로 구현되거나 하드웨어와 소프트웨어의 결합으로 구현될 수 있다.In addition, in the entire specification, when a part is referred to as being 'connected' to another part, it may be referred to as 'indirectly connected' not only with 'directly connected' . Also, to "include" an element means that it may include other elements, rather than excluding other elements, unless specifically stated otherwise. Also, the terms " part, " " module, " and the like in the specification mean units for processing at least one function or operation, which may be implemented by hardware or software or by a combination of hardware and software.
도1은 본 발명의 일 실시예에 의한 무선측위시스템을 나타내는 개략도이다. 도1을 참조하면, 본 발명의 일 실시예에 의한 무선측위시스템은 무선측위장치(100) 및 통신장치(1)을 포함할 수 있다. 이하, 도1을 참조하여 본 발명의 일 실시예에 의한 무선측위시스템을 설명한다.1 is a schematic diagram showing a wireless positioning system according to an embodiment of the present invention. Referring to FIG. 1, a radio positioning system according to an embodiment of the present invention may include a
통신장치(1)은 무선측위장치(100)로 무선신호를 전송할 수 있으며, 실시예에 따라서는 통신장치(1)가 무선측위장치(100)와 양방향 무선통신을 수행할 수 있다. 통신장치(1)은 사용자가 휴대하는 단말일 수 있으며, 예를들어 PDA(Personal Digital Assistant), 이동통신단말, 스마트폰, 스마트 워치, 노트북 컴퓨터, 태블릿 PC 등 다양한 단말들이 상기 통신장치에 포함될 수 있다. 이외에도, 무선측위장치(100)로 무선신호를 전송할 수 있는 것이면 어떠한 것도 상기 통신장치(1)에 해당할 수 있다.The
한편, 통신장치(1)은 무선측위장치(100)와 무선통신을 통하여 통신하므로, 실시예에 따라서는 다양한 종류의 무선통신을 활용하는 통신장치(1)가 존재할 수 있다. 예를들어, 인공위성통신, 비콘통신, 무선랜(Wi-Fi/WLAN/Wireless LAN), 와이브로(Wibro), 이동통신, 블루투스(Bluetooth), 적외선통신, 초음파통신, 지그비(Zigbee), 무선 USB, RFID 등의 무선통신이 통신장치(1)에 적용될 수 있으며, 이외에도 다양한 무선통신들이 적용가능하다.On the other hand, the
무선측위장치(100)는 통신장치(1)로부터 무선신호를 수신할 수 있으며, 수신한 무선신호를 이용하여 통신장치(1)의 위치를 파악할 수 있다. 즉, 도1에 도시한 바와 같이, 임의의 위치에서 통신장치(1)가 무선측위장치(100)로 무선신호를 전송할 수 있으며, 무선측위장치(100)는 통신장치(1)가 전송하는 무선신호의 세기 등을 활용하여 통신장치(1)까지의 거리, 방향 등을 계산할 수 있다. 여기서, 무선측위장치(100)는 통신장치(1)의 위치를 측정하는 전용의 기기일 수 있으나, 실시예에 따라서는 통신장치(1)과 양방향 통신을 수행하거나 통신장치(1)로부터 수신한 무선신호를 중계하는 중계기의 기능 등을 더 포함하는 것일 수 있다.The
무선측위장치(100)는 통신장치(1)로부터 무선신호를 수신해야 하므로, 통신장치(1)에 적용된 무선통신을 지원할 수 있다. 따라서, 무선측위장치(100)는 실시예에 따라, 인공위성통신, 비콘통신, 무선랜(Wi-Fi/WLAN/Wireless LAN), 와이브로(Wibro), 이동통신, 블루투스(Bluetooth), 적외선통신, 초음파통신, 지그비(Zigbee), 무선 USB, RFID 등 다양한 종류의 무선통신을 지원할 수 있다.The
한편, 무선측위장치(100)는 복수의 지향성 안테나를 포함할 수 있으며, 복수의 지향성 안테나를 활용하여 통신장치(1)의 위치를 파악할 수 있다. 종래에는 삼각측량법 등을 활용하였으므로 통신장치(1)의 위치를 측위하기 위하여 복수의 무선신호 수신기를 필요로 하였다. 그러나, 본 발명의 일 실시예에 의한 무선측위장치(100)는 복수의 지향성 안테나를 포함하므로, 하나의 무선측위장치(100)만으로도 공간 내 위치하는 통신장치(1)들의 위치를 측정하는 것이 가능하다.On the other hand, the
도2는 본 발명의 일 실시예에 의한 무선측위장치를 나타내는 블록도이다.2 is a block diagram showing a radio positioning apparatus according to an embodiment of the present invention.
도2를 참조하면, 본 발명의 일 실시예에 의한 무선측위장치(100)는 안테나부(110), 수신전력계산부(120), 수신전력비계산부(130), 방향측정부(140) 및 거리측정부(150)를 포함할 수 있다.2, a
이하, 도2를 참조하여 본 발명의 일 실시예에 의한 무선측위장치를 설명한다.Hereinafter, a radio positioning apparatus according to an embodiment of the present invention will be described with reference to FIG.
안테나부(110)는 통신장치(1)로부터 송출되는 무선신호를 수신하는 복수의 지향성 안테나를 포함할 수 있다. 안테나부(110)는 각각 기 설정된 фn의 지향각도를 가지는 지향성 빔패턴을 생성하는 N개의 지향성 안테나를 포함할 수 있으며(N은 2 이상의 자연수, 1 ≤ n ≤ N, n은 자연수), 각각의 지향성 안테나를 이용하여 무선신호를 수신할 수 있다. 즉, 안테나부(110)는 통신장치(1)가 전송하는 무선신호의 도래방향을 측정하기 위하여 지향성을 가지는 안테나를 포함할 수 있으며, N개의 스위치 빔 안테나를 사용할 수 있다.The
예를들어, 도3에 도시한 바와 같이, 안테나부(110)에는 3개의 지향성 안테나(A1, A2, A3)가 포함될 수 있으며, 각각의 지향성 안테나(A1, A2, A3)는 각각 기 설정된 지향각도(ф1, ф2, ф3)로 배치될 수 있다. 여기서, 통신장치(1)는 무지향성 또는 지향성의 무선신호를 송출할 수 있으며, 지향성 안테나(A1, A2, A3)는 지향성 빔패턴의 범위 내로 전송되는 무선신호를 수신할 수 있다. 이때, 통신장치(1)의 위치와 방향에 따라, 각각의 지향성 안테나(A1, A2, A3)가 수신하는 무선신호의 세기가 상이하므로, 이를 활용하여 상기 통신장치(1)의 위치를 판별할 수 있다.For example, as shown in FIG. 3, the
수신전력계산부(120)는 지향성 안테나별로 수신한 무선신호의 수신전력을 각각 계산할 수 있다 즉, 수신전력계산부(120)는 N개의 지향성 빔 패턴을 가지는 지향성 안테나에 대하여 각각 무선신호의 수신전력을 계산할 수 있으며, n번째 지향성 안테나에서 측정한 수신신호전력은로 나타낼 수 있다. 이후, 수신전력계산부(120)는 측정한 수신신호전력의 크기를 서로 비교할 수 있으며, 측정한 수신신호 전력 중에서 최대수신전력을 가지는 지향성 안테나를 추출할 수 있다. 구체적으로,를 통하여 최대수신전력을 가지는 지향성 안테나를 추출할 수 있으며, 여기서 n*은 최대수신전력을 나타내는 지향성 안테나를 나타낸다. 이때, 수신전력계산부(120)는 상기 최대수신전력을 가지는 지향성 안테나를 제1 안테나로 설정할 수 있다.The
실시예에 따라서는, 상기 제1 안테나의 지향성 빔패턴의 방향을 상기 통신장치(1)가 위치하는 방향으로 설정하는 것도 가능하다. 즉, 복수의 지향성 안테나 중에서 최대 수신 신호 세기를 가지는 지향성 안테나의 방향을 무선신호의 도래 방향으로 설정할 수도 있다. 예를들어, 도3(b)를 참조하면, 지향성 안테나 A3가 통신장치(1)와 가장 가까이 위치하고 있으므로, 나머지 지향성 안테나 A1, A2와 비교할 때 최대 수신 신호 세기로 무선신호를 수신할 수 있으며, 최대수신전력을 나타낼 수 있다. 따라서, 이 경우 지향성 안테나 A3의 지향각도를 상기 통신장치(1)가 위치하는 방향으로 설정하는 것도 가능하다. 다만, 이는 통신장치(1)와 지향성 안테나(A1, A2, A3) 사이에 어떠한 환경적 요인도 없고, 단순히 거리에 따른 신호감쇠만 발생하는 경우를 고려한 것으로서, 실제 환경에서는 반사나 굴절, 감쇠 등 다양한 환경적인 요인이 작용할 수 있다. 즉, 실제 환경에서 측정하는 경우에는, 지향성 안테나 A3가 가장 가까이 위치함에도 불구하고, 오히려 지향성 안테나 A1의 수신전력의 크기가 더 크게 나타나는 등의 문제가 발생할 수 있다. 따라서, 단순히 최대수신전력을 가지는 지향성 안테나의 지향방향을 신호도래방향으로 설정하는 경우에는, 다양한 환경적인 요인으로 인하여, 도래 방향 추정의 신뢰성이 높지 않다는 문제점이 있다.According to the embodiment, it is also possible to set the direction of the directional beam pattern of the first antenna to the direction in which the
따라서, 본 발명의 일 실시예에 의한 무선측위장치(100)는, 단순히 지향성 안테나에서 수신한 무선신호의 세기만을 바탕으로 신호의 도래방향을 추정하는 대신에, 인접하는 빔 패턴과의 전력비를 계산하여 정확한 신호도래방향을 계산하는 방안을 제안한다.Therefore, instead of estimating the arrival direction of a signal based on only the strength of the radio signal received from the directional antenna, the
수신전력비계산부(130)는, 먼저 제1 안테나와 인접하여 배치된 지향성 안테나들을 추출할 수 있으며, 이 중에서 수신전력이 더 큰 지향성 안테나를 제2 안테나로 설정할 수 있다. 예를들어, n번째 지향성 안테나가 상기 제1 안테나로 설정된 경우에는, n번째 지향성 안테나와 좌우에 각각 인접하여 위치하는 n-1번째 지향성 안테나와 n+1 번째 지향성 안테나의 수신전력을 비교하여 제2 안테나를 설정할 수 있다. 다만, 여기서 n이 1인 경우에는 n-1번째 안테나로 N번째 안테나를 설정할 수 있으며, n이 N인 경우에는 n+1번째 안테나로 첫번째 안테나를 설정할 수 있다. 예를들어, 도3(b)에서 지향성 안테나 A2가 제1 안테나로 설정된 경우에는, n-1번째 안테나인 지향성 안테나 A1과 n+1번째 안테나인 지향성 안테나 A3의 수신전력을 서로 비교할 수 있으며, 지향성 안테나 A1과 A3 중에서 수신전력이 더 큰 지향성 안테나를 상기 제2 안테나로 설정할 수 있다. 만약, 지향성 안테나 A1이 제1 안테나로 설정된 경우에는, n-1번째 안테나로 지향성 안테나 A3, n+1번째 안테나로 지향성 안테나 A2를 설정할 수 있으며, 지향성 안테나 A3이 제1 안테나인 경우에는, n-1번째 안테나로 지향성 안테나 A2, n+1번째 안테나로 지향성 안테나 A1이 각각 설정될 수 있다.The reception
상기 인접하는 지향성 안테나를 선정한 이후에는, 수신전력비계산부(130)는 인접하는 각각의 n-1번째 지향성 안테나와 n+1번째 지향성 안테나의 수신전력의 크기를 서로 비교하고, 그 중에서 더 큰 값을 가지는 지향성 안테나를 상기 제2 안테나로 추출할 수 있다. 상기 제2 안테나가 추출된 이후, 수신전력비계산부(130)는 제1 안테나와 제2 안테나의 수신전력비를 계산할 수 있다.After selecting the adjacent directional antennas, the received
방향측정부(140)는, 수신전력비계산부(130)에서 계산한 수신전력비를 기 설정된 전력비테이블과 비교할 수 있으며, 전력비테이블과의 비교결과를 통하여 상기 수신전력비에 대응하는 통신장치(1)의 방향을 설정할 수 있다. 여기서, 전력비테이블은 상기 안테나부(110)를 특정한 위치에 설치한 후, 통신장치(1)의 위치를 변화시키면서 각각의 위치마다 상기 제1 안테나와 제2 안테나의 수신전력의 비를 계산하는 방식으로 생성할 수 있다. 따라서, 전력비테이블에는 통신장치(1)의 위치정보와 이때 측정된 제1 안테나와 제2 안테나의 수신전력의 비에 대한 정보가 저장되어 있을 수 있다. 여기서, 전력비테이블에 저장된 제1 안테나와 제2 안테나의 수신전력의 비에 대한 정보가 설정전력비이고, 전력비테이블에 저장된 통신장치의 위치정보는 상기 무선측위장치(100)와 통신장치(1) 사이의 각도일 수 있다.The
여기서, 제1 안테나와 제2 안테나는 각각의 경우마다 다양하게 설정될 수 있으므로, 전력비테이블은 각각의 경우에 대응하여 다양하게 존재할 수 있다. 따라서, 방향측정부(140)는 제1 안테나와 제2 안테나가 설정되면, 먼저 복수의 전력비테이블 중에서 상기 제1 안테나와 제2 안테나에 대응하는 전력비테이블을 추출할 수 있다. 이후, 방향측정부(140)는 추출한 전력비테이블에 저장된 설정전력비 중에서, 상기 수신전력비와 가장 근접한 값을 가지는 설정전력비를 추출할 수 있으며, 추출한 설정전력비에 대응하는 각도를 상기 전력비테이블에서 추출할 수 있다. 이후, 상기 추출한 각도를 상기 통신장치(1)의 각도로 설정할 수 있다.Here, since the first antenna and the second antenna can be variously set in each case, the power ratio table can be variously corresponding to each case. Therefore, when the first antenna and the second antenna are set, the
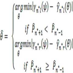
구체적으로, 상기 방향측정부(140)는Specifically, the
를 이용하여 상기 통신장치(1)의 각도 θ를 계산할 수 있으며, 상기 각도 θ를 상기 통신장치(1)의 방향을 할 수 있다. 여기서,Can be used to calculate the angle [theta] of the communication device (1), and the angle [theta] can be the direction of the communication device (1). here,
이고, n*는를 만족하는 제1 안테나를 나타낸다. 또한,는 상기 통신장치가 각도 θ의 방향에 위치하는 경우 상기 제1 안테나에서 측정한 무선신호의 수신전력,은 상기 제1 안테나에 인접하는 상기 제2 안테나에서 측정한 무선신호의 수신전력이다. 및은 각각 상기 전력비테이블에 저장되는 설정전력비로서,는일 때의 범위를 가지고, 일 때의 범위를 만족한다. 한편,는 상기 제1 안테나의 지향각도, N은 상기 무선측위장치에 구비된 전체 지향성 안테나의 개수일 수 있다.And n* is ≪ / RTI > Also, The reception power of the radio signal measured by the first antenna when the communication device is located in the direction of the angle? Is the received power of the radio signal measured by the second antenna adjacent to the first antenna. And Is a set power ratio stored in the power ratio table, The when Has a range of, when ≪ / RTI > Meanwhile, May be a directivity angle of the first antenna, and N may be the number of all directional antennas provided in the RR.
거리측정부(150)는 통신장치(1)로부터 수신하는 무선신호의 경로감쇠를 이용하여 상기 통신장치(1)까지의 거리를 계산할 수 있다.  일반적으로, 통신장치(1)로부터 수신한 무선신호의 경로손실 Lp는 Log-Distance Pathloss Model을 활용하여, 다음과 같이 계산할 수 있다.The
여기서, L0는 단위거리 d0만큼 떨어진 곳에서의 경로손실이고, α는 환경에 따른 경로손실 계수로 자유공간, 도심지역, LOS(Line of Sight), NLOS(Non Line of Sight) 등에 따라 질 수 있다. 또한, d는 통신장치(1)와 무선측위장치(100)사이의 거리, X는 음영감쇠(shadow fading) 변수로 평균이 0, 분산이 σ2일 수 있다. 여기서, 단위거리 d0는 1m로 설정할 수 있으며, 경로손실계수 α는 자유 공간의 경로손실계수인 2로 설정할 수 있다. 상기 경로손실계산식으로부터 알 수 있듯이, 통신장치(1)와 지향성 안테나 사이의 거리가 멀수록 지향성 안테나가 수신하는 무선신호의 크기는 작아지므로, 이를 통하여 통신장치(1)와 지향성 안테나 사이의 거리를 판별하는 것이 가능하다.Here, L0 is the path loss at a distance of unit distance d0 , and α is the path loss factor depending on the environment, which depends on the free space, the urban area, the LOS (Line of Sight), the NLOS (Non Line of Sight) . D is the distance between the
즉, 무선측위장치(100)로부터 통신장치(1)까지의 거리는 상기 수식을 활용하여,로 계산할 수 있다. 한편, 거리측정부(150)는 칼만필터(Kalman filter) 또는 윈도우(windowing) 기법 등을 활용하여, 환경적인 요소에 의한 오차를 최소할 수 있다.That is, the distance from the
도4는 본 발명의 일 실시예에 의한 무선측위방법을 나타내는 순서도이다.4 is a flowchart showing a radio positioning method according to an embodiment of the present invention.
도4를 참조하면, 본 발명의 일 실시예에 의한 무선측위방법은 무선신호수신단계(S100), 수신전력계산단계(S200), 수신전력비계산단계(S300), 방향측정단계(S400) 및 거리측정단계(S500)를 포함할 수 있다.Referring to FIG. 4, a wireless positioning method according to an embodiment of the present invention includes a wireless signal receiving step S100, a reception power calculating step S200, a reception power ratio calculating step S300, a direction measuring step S400, And a measurement step S500.
이하, 도4를 참조하여 본 발명의 일 실시예에 의한 무선측위방법을 설명한다.Hereinafter, a radio positioning method according to an embodiment of the present invention will be described with reference to FIG.
무선신호수신단계(S100)에서는, 무선측위장치가 통신장치로부터 송출되는 무선신호를 복수의 지향성 안테나를 이용하여 수신할 수 있다. 무선측위장치는 기 설정된 фn의 지향각도를 가지는 지향성 빔패턴을 생성하는 N개의 지향성 안테나를 포함할 수 있으며(N은 2 이상의 자연수, 1 ≤ n ≤ N, n은 자연수), 각각의 지향성 안테나를 이용하여 무선신호를 수신할 수 있다.In the radio signal reception step (S100), the radio positioning apparatus can receive radio signals transmitted from the communication apparatus by using a plurality of directional antennas. Wireless positioning system may include the N directional antenna for generating a directional beam pattern having an orientation angle of фn predetermined and (N is a natural number equal to or greater than 2, 1 ≤ n ≤ N, n is a natural number), each directional antenna To receive a radio signal.
예를들어, 도3(a)에 도시한 바와 같이, 무선측위장치에는 3개의 지향성 안테나(A1, A2, A3)가 포함될 수 있으며, 각각의 지향성 안테나(A1, A2, A3)는 각각 기 설정된 지향각도(ф1, ф2, ф3)로 배치될 수 있다. 여기서, 통신장치는 무지향성 또는 지향성의 무선신호를 송출할 수 있으며, 지향성 안테나(A1, A2, A3)는 지향성 빔패턴의 범위 내로 전송되는 무선신호를 수신할 수 있다. 이때, 통신장치의 위치와 방향에 따라, 각각의 지향성 안테나(A1, A2, A3)가 수신하는 무선신호의 세기가 상이하므로, 이를 활용하여 상기 통신장치의 위치를 판별할 수 있다.3A, three directional antennas A1, A2, and A3 may be included in the wireless positioning device, and each of the directional antennas A1, A2, and A3 may have a predetermined And can be arranged at a directed angle (?1 ,?2 ,?3 ). Here, the communication device is capable of transmitting an omnidirectional or directional radio signal, and the directional antennas A1, A2, and A3 can receive radio signals transmitted within the range of the directional beam pattern. At this time, since the intensity of a radio signal received by each of the directional antennas A1, A2, and A3 is different according to the position and direction of the communication device, the position of the communication device can be determined using the strength.
수신전력계산단계(S200)에서는, 무선측위장치가 지향성 안테나별로 상기 무선신호의 수신전력을 각각 계산할 수 있으며, 상기 계산된 수신전력 중에서 최대수신전력을 가지는 지향성 안테나를 제1 안테나로 추출할 수 있다. 구체적으로, N개의 지향성 빔 패턴을 가지는 지향성 안테나에 대하여 각각 수신한 무선신호의 전력을 측정할 수 있으며, 이때 n번째 지향성 안테나에서 측정한 수신신호전력을로 나타낼 수 있다. 이후, 지향성 안테나에서 측정한 각각의 수신신호전력의 크기를 서로 비교할 수 있으며, 측정한 수신신호 전력 중에서 최대수신전력을 가지는 지향성 안테나를 추출할 수 있다. 구체적으로,를 통하여 최대수신전력을 가지는 지향성 안테나를 추출할 수 있으며, 여기서 n*은 최대수신전력을 가지는 지향성 안테나를 나타낸다. 따라서, 수신전력계산단계(S200)는 최대수신전력을 가지는 지향성 안테나를 제1 안테나로 추출할 수 있다.In the reception power calculation step (S200), the wireless positioning apparatus can calculate the reception power of the wireless signal for each directional antenna, and the directional antenna having the maximum reception power among the calculated reception powers can be extracted by the first antenna . Specifically, the power of a received radio signal can be measured for a directional antenna having N directional beam patterns, and the received signal power measured by the n-directional antenna . Then, the magnitude of each received signal power measured by the directional antenna can be compared with each other, and the directional antenna having the maximum received power among the measured received signal powers can be extracted. Specifically, , Where n* denotes the directional antenna with the maximum received power. Therefore, the reception power calculation step (S200) can extract the directional antenna having the maximum received power by the first antenna.
수신전력비계산단계(S300)에서는, 무선측위장치가 상기 제1 안테나와 인접하여 배치된 지향성 안테나 중에서 수신전력이 더 큰 지향성 안테나를 제2 안테나로 추출할 수 있으며, 이후 상기 제1 안테나와 제2 안테나의 수신전력비를 계산할 수 있다. 구체적으로, n번째 지향성 안테나가 상기 제1 안테나로 설정된 경우, n번째 지향성 안테나와 좌우에 각각 인접하여 위치하는 n-1번째 지향성 안테나와 n+1 번째 지향성 안테나의 수신전력을 비교하여 제2 안테나를 설정할 수 있다. 다만, 여기서 n이 1인 경우에는 n-1번째 안테나로 N번째 안테나를 설정할 수 있으며, n이 N인 경우에는 n+1번째 안테나로 첫번째 안테나를 설정할 수 있다. 이후, 수신전력비계산단계(S300)에서는, 제1 안테나에 인접하는 n-1번째 안테나와 n+1번째 안테나의 수신전력의 크기를 비교하여, 수신전력이 더 큰 지향성 안테나를 상기 제2 안테나로 설정할 수 있다. 상기 수신전력의 크기 비교를 통하여 제2 안테나를 추출한 이후, 수신전력비계산단계(S300)에서는 제1 안테나의 수신전력과 제2 안테나의 수신전력의 비인 수신전력비를 계산할 수 있다.In the step S300 of calculating the reception power ratio, a directional antenna having a larger received power among the directional antennas disposed adjacent to the first antenna can be extracted by the second antenna, and then, The reception power ratio of the antenna can be calculated. In particular, when the n-th directional antenna is set to the first antenna, the received power of the (n-1) th directional antenna and the (n + 1) Can be set. In this case, if n is 1, the Nth antenna can be set to the (n-1) th antenna. If n is N, the first antenna can be set to the (n + 1) th antenna. Thereafter, in step S300 of calculating the reception power ratio, the reception power of the n-1th antenna and the (n + 1) th antenna adjacent to the first antenna are compared with each other, Can be set. After extracting the second antenna through comparison of the magnitudes of the received power, the received power ratio calculating step (S300) can calculate the received power ratio that is the ratio of the received power of the first antenna to the received power of the second antenna.
방향측정단계(S400)에서는, 무선측위장치가 상기 수신전력비를 기 설정된 전력비테이블과 비교하여, 상기 수신전력비에 대응하는 상기 통신장치의 방향을 계산할 수 있다. 도시하지는 않았으나, 방향측정단계(S400)는 전력비테이블추출과정 및 방향추출과정을 더 포함할 수 있다.In the direction measuring step (S400), the wireless positioning device can calculate the direction of the communication device corresponding to the received power ratio by comparing the received power ratio with a predetermined power ratio table. Although not shown, the direction measuring step S400 may further include a power ratio table extracting process and a direction extracting process.
구체적으로, 전력비테이블추출과정은, 복수의 전력비테이블 중에서, 상기 추출된 제1 안테나와 제2 안테나에 대응하는 전력비테이블을 추출할 수 있다. 여기서, 전력비테이블은 무선측위장치를 특정한 위치에 설치한 후, 통신장치의 위치를 변화시키면서 각각의 위치마다 상기 제1 안테나와 제2 안테나의 수신전력의 비를 계산하는 방식으로 생성할 수 있다. 따라서, 전력비테이블에는 통신장치의 위치정보와 이때 측정된 제1 안테나와 제2 안테나의 수신전력의 비에 대한 정보가 저장되어 있을 수 있다. 여기서, 전력비테이블에 저장된 제1 안테나와 제2 안테나의 수신전력의 비에 대한 정보는 설정전력비이고, 전력비테이블에 저장된 통신장치의 위치정보는 상기 무선측위장치와 통신장치 사이의 각도에 해당한다. 제1 안테나와 제2 안테나는 각각의 경우마다 다양하게 설정될 수 있으므로, 전력비테이블은 각각의 경우에 대응하여 다양하게 존재할 수 있다. 따라서, 전력비테이블추출과정에서는, 상기 제1 안테나와 제2 안테나가 설정되면, 각각의 제1 안테나와 제2 안테나에 대응하는 전력비테이블을 추출할 수 있다.Specifically, the power ratio table extraction process can extract a power ratio table corresponding to the extracted first antenna and the second antenna from a plurality of power ratio tables. Here, the power ratio table can be generated by calculating the ratio of the received power of the first antenna to the received power of the second antenna for each position while changing the position of the communication device after installing the wireless positioning device at a specific position. Therefore, the power ratio table may store information on the position information of the communication apparatus and the ratio of the measured first antenna to the received power of the second antenna. Here, the information on the ratio of the received power of the first antenna and the second antenna stored in the power ratio table is a set power ratio, and the position information of the communication device stored in the power ratio table corresponds to the angle between the wireless positioning device and the communication device. Since the first antenna and the second antenna can be variously set in each case, the power ratio table can be variously corresponding to each case. Accordingly, in the power ratio table extraction process, when the first antenna and the second antenna are set, a power ratio table corresponding to each of the first antenna and the second antenna can be extracted.
방향추출과정에서는, 상기 추출된 전력비테이블에 저장된 설정전력비 중에서, 상기 수신전력비와 가장 근접한 값을 추출할 수 있다. 이후, 상기 추출된 설정전력비에 대응하는 각도를 상기 전력비테이블에서 추출하여, 상기 통신장치의 각도로 설정할 수 있다.In the direction extracting process, a value closest to the received power ratio can be extracted from the set power ratio stored in the extracted power ratio table. Then, an angle corresponding to the extracted set power ratio can be extracted from the power ratio table and set to an angle of the communication device.
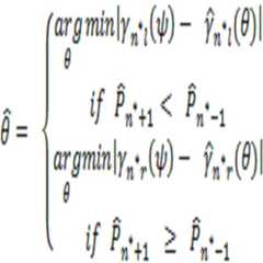
한편, 상기 방향측정단계(S400)에서는Meanwhile, in the direction measuring step S400
로 상기 통신장치의 각도 θ를 계산하여 상기 통신장치의 방향을 측정할 수 있다. 여기서,The angle? Of the communication device can be calculated to measure the direction of the communication device. here,
이고, n*는를 만족하는 상기 제1 안테나,는 상기 통신장치가 각도 θ의 방향에 위치하는 경우 상기 제1 안테나에서 측정한 무선신호의 수신전력,은 상기 제1 안테나에 인접하는 상기 제2 안테나에서 측정한 무선신호의 수신전력, 및은 각각 상기 전력비테이블에 저장되는 설정전력비일 수 있다. 이때,는일 때의 범위를 가지고, 일 때의 범위를 만족하며,는 상기 제1 안테나의 지향각도, N은 상기 무선측위장치에 구비된 전체 지향성 안테나의 개수일 수 있다.And n * is The first antenna, The reception power of the radio signal measured by the first antenna when the communication device is located in the direction of the angle? The reception power of the radio signal measured by the second antenna adjacent to the first antenna, And May be set power ratios stored in the power ratio table, respectively. At this time, The when Has a range of, when , ≪ / RTI > May be a directivity angle of the first antenna, and N may be the number of all directional antennas provided in the RR.
거리측정단계(S500)에서는, 상기 통신장치로부터 수신하는 무선신호의 경로감쇠를 이용하여, 상기 통신장치까지의 거리를 측정할 수 있다. 구체적으로, 거리측정단계(S500)에서는, Log-Distance Pathloss Model을 활용하여, 무선측위장치로부터 통신장치까지의 거리를로 계산할 수 있다.In the distance measuring step (S500), the distance to the communication device can be measured using the path attenuation of the radio signal received from the communication device. Specifically, in the distance measuring step S500, the distance from the wireless positioning device to the communication device is calculated by using the Log-Distance Pathloss Model .
여기서, L0는 단위거리 d0만큼 떨어진 곳에서의 경로손실이고, α는 환경에 따른 경로손실 계수로 자유공간, 도심지역, LOS(Line of Sight), NLOS(Non Line of Sight) 등에 따라 질 수 있다. 또한, d는 통신장치와 무선측위장치 사이의 거리일 수 있다. 여기서, 단위거리 d0는 1m로 설정할 수 있으며, 경로손실계수 α는 자유 공간의 경로손실계수인 2로 설정할 수 있다. 한편, 실시예에 따라서는, 거리측정단계(S500)에서 칼만필터(Kalman filter) 또는 윈도우(windowing) 기법 등을 활용하여, 환경요인에 의한 오차를 최소화하도록 할 수 있다.Here, L0 is the path loss at a distance of unit distance d0 , and α is the path loss factor depending on the environment, which depends on the free space, the urban area, the LOS (Line of Sight), the NLOS (Non Line of Sight) . Also, d may be the distance between the communication device and the wireless positioning device. Here, the unit distance d0 can be set to 1 m, and the path loss coefficient? Can be set to 2, which is the path loss coefficient of the free space. On the other hand, according to the embodiment, it is possible to minimize errors due to environmental factors by using a Kalman filter or a windowing technique in the distance measuring step S500.
본 발명은 전술한 실시예 및 첨부된 도면에 의해 한정되는 것이 아니다. 본 발명이 속하는 기술분야에서 통상의 지식을 가진 자에게 있어, 본 발명의 기술적 사상을 벗어나지 않는 범위 내에서 본 발명에 따른 구성요소를 치환, 변형 및 변경할 수 있다는 것이 명백할 것이다.The present invention is not limited to the above-described embodiments and the accompanying drawings. It will be apparent to those skilled in the art that various changes in form and details may be made therein without departing from the spirit and scope of the invention as defined by the appended claims.
1: 통신장치100: 무선측위장치
110: 안테나부120: 수신전력계산부
130: 수신전력비계산부140: 방향측정부
150: 거리측정부
S100: 무선신호수신단계S200: 수신전력계산단계
S300: 수신전력비계산단계S400: 방향측정단계1: communication device 100: wireless positioning device
 110: antenna unit 120: received power calculation unit
 130: reception power ratio calculation unit 140: direction measurement unit
 150: distance measuring unit
 S100: radio signal reception step S200: reception power calculation step
 S300: Calculation of received power ratio S400: Direction measurement step
| Application Number | Priority Date | Filing Date | Title | 
|---|---|---|---|
| KR1020160102350AKR101829411B1 (en) | 2016-08-11 | 2016-08-11 | Apparatus for wireless positioning and method for the same | 
| Application Number | Priority Date | Filing Date | Title | 
|---|---|---|---|
| KR1020160102350AKR101829411B1 (en) | 2016-08-11 | 2016-08-11 | Apparatus for wireless positioning and method for the same | 
| Publication Number | Publication Date | 
|---|---|
| KR101829411B1true KR101829411B1 (en) | 2018-03-29 | 
| Application Number | Title | Priority Date | Filing Date | 
|---|---|---|---|
| KR1020160102350AActiveKR101829411B1 (en) | 2016-08-11 | 2016-08-11 | Apparatus for wireless positioning and method for the same | 
| Country | Link | 
|---|---|
| KR (1) | KR101829411B1 (en) | 
| Publication number | Priority date | Publication date | Assignee | Title | 
|---|---|---|---|---|
| KR101958595B1 (en)* | 2018-06-18 | 2019-03-14 | 홍익대학교 산학협력단 | Control appartus of array antenna for enhancing wireless power transmission efficiency and control method thereof | 
| CN112834984A (en)* | 2019-11-22 | 2021-05-25 | 阿里巴巴集团控股有限公司 | Positioning method, device, system, equipment and storage medium | 
| Publication number | Priority date | Publication date | Assignee | Title | 
|---|---|---|---|---|
| JP2004072539A (en)* | 2002-08-07 | 2004-03-04 | Ntt Docomo Inc | Wireless communication system, base station and wireless communication method | 
| JP2010048708A (en)* | 2008-08-22 | 2010-03-04 | Ntt Docomo Inc | ,system, method, and program for estimating direction | 
| Publication number | Priority date | Publication date | Assignee | Title | 
|---|---|---|---|---|
| JP2004072539A (en)* | 2002-08-07 | 2004-03-04 | Ntt Docomo Inc | Wireless communication system, base station and wireless communication method | 
| JP2010048708A (en)* | 2008-08-22 | 2010-03-04 | Ntt Docomo Inc | ,system, method, and program for estimating direction | 
| Publication number | Priority date | Publication date | Assignee | Title | 
|---|---|---|---|---|
| KR101958595B1 (en)* | 2018-06-18 | 2019-03-14 | 홍익대학교 산학협력단 | Control appartus of array antenna for enhancing wireless power transmission efficiency and control method thereof | 
| CN112834984A (en)* | 2019-11-22 | 2021-05-25 | 阿里巴巴集团控股有限公司 | Positioning method, device, system, equipment and storage medium | 
| CN112834984B (en)* | 2019-11-22 | 2024-06-11 | 阿里巴巴集团控股有限公司 | Positioning method, device, system, equipment and storage medium | 
| Publication | Publication Date | Title | 
|---|---|---|
| US8433337B2 (en) | RSS-based DOA indoor location estimation system and method | |
| US10175364B2 (en) | Systems and methods for estimating whether a receiver is inside or outside a building | |
| US10948606B2 (en) | Recording medium on which indoor/outdoor determination program is recorded, indoor/outdoor determination system, indoor/outdoor determination method, mobile terminal, and means for classifying and determining indoor/outdoor environment | |
| US20210058740A1 (en) | Indoor positioning for mobile devices | |
| CN204166130U (en) | Radio frequency locating device and system | |
| SG181542A1 (en) | Indoor positioning system based on gps signals and pseudolites with outdoor directional antennas | |
| TWI435100B (en) | Rss-based doa indoor location estimation system and method | |
| CN101971679A (en) | Finding the position of a mobile terminal | |
| CN108226912B (en) | Sparse network-based non-contact object perception positioning method and system | |
| CN108054522A (en) | Indoor GNSS antenna array, alignment system, localization method and device | |
| RU2360378C1 (en) | Method of determining location of mobile terminal in wireless information network | |
| CN112243192A (en) | Communication path determination method, measurement device and measurement controller for millimeter wave signals | |
| US20110244883A1 (en) | Method and mobile radio terminal device to determine position within mobile radio networks by means of direction finding | |
| CN110858781B (en) | Method and device for measuring millimeter wave signals | |
| KR101829411B1 (en) | Apparatus for wireless positioning and method for the same | |
| KR100524180B1 (en) | Position tracking method of a mobile phone using cell position and receiving/pre-measured radio wave characteristic information | |
| JP2020159705A (en) | Position estimation device and position estimation method | |
| KR101901407B1 (en) | Apparatus and method for determining location | |
| CN102540172A (en) | Wireless radio frequency positioning method and system | |
| WO2010099900A1 (en) | Method and system for locating in mobile radio communication networks by means of direction finding with directional antennas | |
| KR101774153B1 (en) | Apparatus and method for identifying line-of-sight or non-los channel of wireless communication system | |
| KR102519152B1 (en) | A method for estimating indoor location of terminal using angle of arrive and received signal strength | |
| Mitilineos et al. | Positioning accuracy enhancement using error modeling via a polynomial approximation approach | |
| KR101911503B1 (en) | Wireless positioning system and method based on probabilistic approach in indoor environment | |
| US12068522B2 (en) | Magnetic detection of moveable arm position for GNSS antennas in an antenna alignment device | 
| Date | Code | Title | Description | 
|---|---|---|---|
| PA0109 | Patent application | St.27 status event code:A-0-1-A10-A12-nap-PA0109 | |
| PA0201 | Request for examination | St.27 status event code:A-1-2-D10-D11-exm-PA0201 | |
| R17-X000 | Change to representative recorded | St.27 status event code:A-3-3-R10-R17-oth-X000 | |
| PE0902 | Notice of grounds for rejection | St.27 status event code:A-1-2-D10-D21-exm-PE0902 | |
| E13-X000 | Pre-grant limitation requested | St.27 status event code:A-2-3-E10-E13-lim-X000 | |
| P11-X000 | Amendment of application requested | St.27 status event code:A-2-2-P10-P11-nap-X000 | |
| P13-X000 | Application amended | St.27 status event code:A-2-2-P10-P13-nap-X000 | |
| P11-X000 | Amendment of application requested | St.27 status event code:A-2-2-P10-P11-nap-X000 | |
| P13-X000 | Application amended | St.27 status event code:A-2-2-P10-P13-nap-X000 | |
| PE0701 | Decision of registration | St.27 status event code:A-1-2-D10-D22-exm-PE0701 | |
| GRNT | Written decision to grant | ||
| PR0701 | Registration of establishment | St.27 status event code:A-2-4-F10-F11-exm-PR0701 | |
| PR1002 | Payment of registration fee | St.27 status event code:A-2-2-U10-U11-oth-PR1002 Fee payment year number:1 | |
| PG1601 | Publication of registration | St.27 status event code:A-4-4-Q10-Q13-nap-PG1601 | |
| PR1001 | Payment of annual fee | St.27 status event code:A-4-4-U10-U11-oth-PR1001 Fee payment year number:4 | |
| PR1001 | Payment of annual fee | St.27 status event code:A-4-4-U10-U11-oth-PR1001 Fee payment year number:5 | |
| R18-X000 | Changes to party contact information recorded | St.27 status event code:A-5-5-R10-R18-oth-X000 | |
| PR1001 | Payment of annual fee | St.27 status event code:A-4-4-U10-U11-oth-PR1001 Fee payment year number:6 | |
| PR1001 | Payment of annual fee | St.27 status event code:A-4-4-U10-U11-oth-PR1001 Fee payment year number:7 | |
| PR1001 | Payment of annual fee | St.27 status event code:A-4-4-U10-U11-oth-PR1001 Fee payment year number:8 | |
| P22-X000 | Classification modified | St.27 status event code:A-4-4-P10-P22-nap-X000 |