





본 발명은 태양 전지 모듈에 대한 모니터링 기술에 관한 것으로서, 더 구체적으로는 태양 전지 모듈의 노후화를 진단할 수 있는 태양 전지 모듈의 열화 진단 장치에 관한 것이다.The present invention relates to a monitoring technology for a solar cell module, and more particularly, to a deterioration diagnosis device for a solar cell module capable of diagnosing the deterioration of the solar cell module.
최근, 지구 온난화로 인해 환경 보존에 대한 관심이 증대됨에 따라 CO2 배출을 억제하는 기술에 대해 연구가 활발히 진행되고 있다. 전기 에너지 생산 분야에서는 태양광 발전, 조력, 풍력 등의 신 재생에너지 필요성이 크게 대두되고 있다.Recently, as interest in environmental conservation has increased due to global warming, researches on the technology for suppressing CO2 emission are actively being carried out. In the field of electric energy production, the need for renewable energy such as solar power generation, tidal power, and wind power is increasing.
그 일환인 태양광 발전소는 태양 전지 모듈에 의해 태양광을 이용해 생성된 전기(DC)를 인버터에서 직류(AC)로 변환하고, 교류배전반에서 승압하여 배전계통을 통해 전력계통으로 전송한다.As part of that, the solar power plant transforms the electricity (DC) generated by the solar module by the solar module from the inverter to the direct current (AC), boosts it from the AC switchboard and transmits it to the power system through the power distribution system.
이러한 태양광 발전소는 국내는 물론 해외에서도 대규모 또는 소규모로 활발하게 설치되어 이용되고 있다.These solar power plants are actively installed on large scale or small scale in domestic as well as overseas.
그런데 태양광 발전소는 태양광을 더 많이 접할 수 있는 위치인 지붕 등의 사용자의 접근이 어려운 곳에 설치되므로 사용자가 그 이상 여부를 수작업으로 확인하는 것은 어렵다.However, it is difficult for the user to confirm the abnormality by hand because the solar power plant is installed at a place where the user can not access the roof, which is a position where the sunlight can be more contacted.
이에, 태양광 발전소는 카메라와 같이 그 이상 여부를 확인 가능한 모니터링 수단을 구비하고, 그에 의해 태양광 발전소의 이상을 모니터링하였다.Accordingly, the solar power plant has a monitoring means capable of checking whether it is abnormal such as a camera, thereby monitoring an abnormality of the solar power plant.
본 발명은 전술한 바와 같은 기술적 배경에서 안출된 것으로서, PV 스트링 그룹별로 태양 전지 모듈의 열화를 진단할 수 있는 태양 전지 모듈의 열화 진단 장치를 제공하는 것을 목적으로 한다.SUMMARY OF THE INVENTION It is an object of the present invention to provide a deterioration diagnostic apparatus for a solar cell module capable of diagnosing deterioration of a solar cell module for each PV string group.
본 발명의 목적은 이상에서 언급한 목적으로 제한되지 않으며, 언급되지 않은 또 다른 목적들은 아래의 기재로부터 당업자에게 명확하게 이해될 수 있을 것이다.The objects of the present invention are not limited to the above-mentioned objects, and other objects not mentioned can be clearly understood by those skilled in the art from the following description.
본 발명의 태양 전지 모듈의 열화 진단 장치는 태양 전지 시스템의 설치 환경에서 일사량을 측정하는 일사량 감지부 및 상기 태양 전지 시스템의 일 태양전지 어레이의 각 PV 스트링 그룹에 연결되며, 각기 프로세서, 계측 수단 및 릴레이를 포함하는 복수의 접속반 모듈을 포함하고, 상기 각 PV 스트링 그룹은, 복수의 PV 모듈을 포함하고, Vocm은 PV 스트링 그룹 내 태양 전지 모듈의 현 개방 전압이고, Iscm은 현 단락 전류이고, Voc는 접속반 모듈의 초기 개방 전압이고, Isc는 접속반 모듈의 초기 단락 전류이고, Tref는 접속반 모듈의 기준 온도이고, Tm은 현재 측정된 접속반 모듈 온도이고, S는 접속반 모듈의 표면적이고, N은 접속반 모듈 내 태양전지 셀의 개수이고, a는 접속반 모듈 온도에 따른 단락 전류의 특성 변화를 적용하기 위한 전류 온도 계수이고, b는 접속반 모듈 온도에 따른 개방 전압의 특성 변화를 적용하기 위한 전압 온도 계수라고 할 때, 각 프로세서는 모듈 변이도 dV(i), dI(i)를,, (수학식 1)을 통해 산출할 수 있으며, 및는 10회 산출된 각 PV 스트링 그룹의 모듈 변이도의 평균치라고 할 때, 각 프로세서는 10회 만큼 PV 스트링 그룹의 모듈 변이도를 각기 산출한 후, 각 모듈 변이도의 표준편차 sV, sI를,, (수학식 2)를 통해 산출할 수 있으며, 각 프로세서는, 기설정된 주기마다 상기 일사량이 기설정된 임계치를 초과하는 시점에, 열화 진단 모드로 전환되어, 각 릴레이를 제어하여 상기 각 PV 스트링 그룹의 출력을 개방 또는 단락한 상태에서 각 계측 수단에 의해 상기 각 PV 스트링 그룹에 포함된 각 PV 모듈의 현 개방 전압 및 현 단락 전류를 측정하고, 상기 각 PV 모듈 내 태양 전지 셀의 개수, 상기 각 PV 모듈의 표면적, 상기 각 PV 모듈의 전압 온도 계수 및 상기 각 PV 모듈의 전류 온도 계수는, 상기 각 PV 스트링 그룹에 포함된 각 PV 모듈의 제조사에서 제공된 것이며, 상기 기준 온도와 상기 기준 일사량은, 상기 표준 시험 환경의 온도와 일사량이다.The apparatus for diagnosing deterioration of a solar cell module according to the present invention comprises a solar radiation amount sensing unit for measuring a solar radiation amount in an installation environment of a solar cell system and a plurality of PV strings connected to each PV string group of one solar cell array of the solar battery system, Wherein each PV string group comprises a plurality of PV modules, Vocm is the current open voltage of the solar cell module in the PV string group, Iscm is the current short circuit current, Voc is the initial open voltage of the connection half module, Isc is the initial short circuit current of the connection half module, Tref is the reference temperature of the connection half module, Tm is the currently measured connection half module temperature, S is the surface of the connection half module N is the number of solar cells in the connection half module, a is the current temperature coefficient for applying the change in characteristic of the short circuit current according to the connection half module temperature, b is (I) and dI (i), respectively, if the voltage is a voltage temperature coefficient for applying a change in the characteristics of the open- , (1), < / RTI > And Is the average value of the module variations of each PV string group calculated ten times, each processor calculates each module variation of the PV string group ten times, and then calculates standard deviation sV, sI of each module variation, , (2), and each processor switches to the deterioration diagnosis mode at a point of time when the irradiation dose exceeds a predetermined threshold value every predetermined period, and controls each relay so that the PV string group Measuring the current open-circuit voltage and the current short-circuit current of each PV module included in each PV string group by each measurement means in a state where the output is open or shorted, and the number of solar cells in each PV module, Wherein the surface temperature of the module, the voltage temperature coefficient of each PV module, and the current temperature coefficient of each PV module are provided by the manufacturer of each PV module included in each PV string group, The temperature and the solar radiation of the standard test environment.
상기 각 릴레이는, 상기 각 PV 스트링 그룹의 출력의 일극(One polar)에 직렬로 연결된 제1 릴레이와 상기 각 PV 스트링 그룹의 출력의 양극(Dual Polar)에 병렬로 연결되는 제2 릴레이를 포함하고, 상기 각 계측 수단은, 상기 각 PV 스트링 그룹의 출력에서 전류와 전압을 측정하는 전압계 및 전류계를 포함하며, 상기 각 프로세서는, 상기 제1 및 제2 릴레이를 개방시킨 상태에서, 상기 전압계에 의해 상기 각 PV 스트링 그룹의 개방 전압을 측정하고, 상기 제1 릴레이를 개방하고 상기 제2 릴레이를 단락시킨 상태에서, 상기 전류계에 의해 상기 각 PV 스트링 그룹의 단락 전류를 측정한 후 상기 각 PV 스트링 그룹의 개방 전압과 단락 전류에 상기 각 PV 스트링 그룹에 포함된 복수의 PV 모듈의 개수를 제산하여 상기 현 개방 전압 및 현 단락 전류를 산출할 수 있다.Each relay includes a first relay connected in series to one polarity of the output of each PV string group and a second relay connected in parallel to the polarity of the output of each PV string group, Wherein each of the measurement means includes a voltmeter and an ammeter for measuring a current and a voltage at the output of each of the PV string groups, and each of the processors is operable, by the voltmeter Measuring the open-circuit voltage of each PV string group, measuring the short-circuit current of each PV string group by the ammeter in a state where the first relay is opened and the second relay is short-circuited, The open-circuit voltage and the short-circuit current can be calculated by dividing the number of the plurality of PV modules included in each PV string group by the open-circuit voltage and the short-circuit current.
상기 복수의 접속반 모듈 각각은, 상기 각 PV 스트링 그룹에 포함된 상기 각 PV 모듈의 현재 온도를 감지하는 온도 감지부를 더 포함할 수 있다.Each of the plurality of connection module units may further include a temperature sensing unit for sensing a current temperature of each of the PV modules included in the PV string group.
상기 각 프로세서 중 적어도 하나는, 현재의 상기 주기에서 다음 상기 주기까지 상기 일사량이 상기 임계치를 초과하지 않으면, 이상 발생을 경고할 수 있다.At least one of the processors may warn an occurrence of an abnormality if the radiation dose does not exceed the threshold from the present cycle to the next cycle.
본 발명에 따르면, PV 스트링 그룹별로 태양 전지 모듈의 열화를 진단할 수 있다.According to the present invention, deterioration of the solar cell module can be diagnosed for each PV string group.
도 1은 본 발명의 실시예에 따른 열화 진단 장치가 구비된 태양광 발전 시스템을 도시한 구성도.
도 2는 본 발명의 실시예에 따른 마스터 접속반 모듈과 슬레이브 접속반 모듈을 세부적으로 도시한 구성도.
도 3a 및 도 3b는 본 발명의 실시예에 따른 열화 진단 모드에서의 릴레이 제어를 도시한 도면.
도 3c는 본 발명의 실시예에 따른 모니터링 모드에서의 릴레이 제어를 도시한 도면.
도 4는 본 발명의 실시예에 따른 태양 전지 모듈의 열화 진단 방법을 도시한 흐름도.BRIEF DESCRIPTION OF THE DRAWINGS FIG. 1 is a block diagram of a photovoltaic power generation system equipped with a degradation diagnostic apparatus according to an embodiment of the present invention; FIG.
 FIG. 2 is a detailed view of a master connection module and a slave connection module according to an embodiment of the present invention; FIG.
 3A and 3B are views showing relay control in a deterioration diagnosis mode according to an embodiment of the present invention;
 3C is a diagram illustrating relay control in a monitoring mode according to an embodiment of the present invention.
 4 is a flowchart illustrating a method for diagnosing deterioration of a solar cell module according to an embodiment of the present invention.
본 발명의 전술한 목적 및 그 이외의 목적과 이점 및 특징, 그리고 그것들을 달성하는 방법은 첨부되는 도면과 함께 상세하게 후술되어 있는 실시예들을 참조하면 명확해질 것이다. 그러나 본 발명은 이하에서 개시되는 실시예들에 한정되는 것이 아니라 서로 다른 다양한 형태로 구현될 것이며, 단지 본 실시예들은 본 발명의 개시가 완전하도록 하며, 본 발명이 속하는 기술분야에서 통상의 지식을 가진 자에게 발명의 범주를 완전하게 알려주기 위해 제공되는 것이며, 본 발명은 청구항의 범주에 의해 정의될 뿐이다. 한편, 본 명세서에서 사용된 용어는 실시예들을 설명하기 위한 것이며 본 발명을 제한하고자 하는 것은 아니다. 본 명세서에서, 단수형은 문구에서 특별히 언급하지 않는 한 복수형도 포함한다. 명세서에서 사용되는 "포함한다(comprises)" 및/또는 "포함하는(comprising)"은 언급된 구성소자, 단계, 동작 및/또는 소자는 하나 이상의 다른 구성소자, 단계, 동작 및/또는 소자의 존재 또는 추가를 배제하지 않는다.BRIEF DESCRIPTION OF THE DRAWINGS The above and other objects, advantages and features of the present invention and methods of achieving them will be apparent from the following detailed description of embodiments thereof taken in conjunction with the accompanying drawings. The present invention may, however, be embodied in many different forms and should not be construed as being limited to the embodiments set forth herein. Rather, these embodiments are provided so that this disclosure will be thorough and complete, and will fully convey the scope of the invention to those skilled in the art. Is provided to fully convey the scope of the invention to those skilled in the art, and the invention is only defined by the scope of the claims. It is to be understood that the terminology used herein is for the purpose of describing particular embodiments only and is not intended to be limiting of the invention. In the present specification, the singular form includes plural forms unless otherwise specified in the specification. As used herein, the terms " comprises, " and / or "comprising" refer to the presence or absence of one or more other components, steps, operations, and / Or additions.
이제 본 발명의 실시예에 대하여 첨부한 도면을 참조하여 상세히 설명하기로 한다. 도 1은 본 발명의 실시예에 따른 열화 진단 장치가 구비된 태양광 발전 시스템을 도시한 구성도이고, 도 2는 본 발명의 실시예에 따른 마스터 접속반 모듈과 슬레이브 접속반 모듈을 세부적으로 도시한 구성도이다.Embodiments of the present invention will now be described in detail with reference to the accompanying drawings. FIG. 1 is a block diagram of a photovoltaic power generation system equipped with a degradation diagnosis apparatus according to an embodiment of the present invention. FIG. 2 is a block diagram of a master connection module and a slave connection module according to an embodiment of the present invention. FIG.
도 1에 도시된 바와 같이, 본 발명의 실시예에 따른 열화 진단 장치가 구비된 태양광 발전 시스템(10)은 일사량 감지부(110), 적어도 하나의 온도 감지부(120) 및 복수의 접속반 모듈(130_1, 2)을 포함한다. 여기서, 태양광 발전 시스템(10)은 복수의 PV 스트링을 포함하는 하나의 PV 어레이를 포함한다.1, a photovoltaic
일사량 감지부(110)는 태양 전지 모듈이 설치된 환경의 일사량을 측정한다. 이때, 일사량 감지부(110)는 각 PV 스트링 그룹에 각기 구비될 수도 있고, 태양광 발전 시스템(10)에 하나만 구비될 수 있다.The solar radiation
온도 감지부(120)는 하나의 PV 스트링 또는 복수의 PV 스트링을 병렬로 연결한 PV 스트링 그룹에 각기 구비되어, 각 PV 스트링 그룹의 모듈 온도를 측정한다. 이때, 온도 감지부(120)는 복수의 PV 스트링 그룹에 공통으로 적용되는 하나만 구비될 수도 있다.The
복수의 접속반 모듈(130_1, 2)은 복수의 PV 스트링 그룹의 출력에 각기 연결되어, 각 PV 스트링 그룹의 출력에 대한 모니터링 정보를 모니터링 서버(20)로 송신하거나, PV 스트링 그룹의 출력을 인버터로 전달한다. 여기서, PV 스트링 그룹은 기설정된 복수 개의 PV 스트링을 포함할 수 있다.The plurality of connection module modules 130_1 and 2 are connected to the outputs of the plurality of PV string groups to transmit monitoring information on the output of each PV string group to the
복수의 접속반 모듈(130: 130_1, 2) 중에서 하나는 마스터 접속반 모듈(130_1)이며, 하나의 마스터 접속반 모듈을 제외한 나머지는 슬레이브 접속반 모듈(131_2)일 수 있다.One of the plurality of connection module modules 130 (130_1, 2) is a master connection module 130_1, and the rest except for one master connection module may be a slave connection module 131_2.
여기서, 마스터 접속반 모듈(130_1)과 슬레이브 접속반 모듈(130_2)은 그 마이크로프로세서에 의해 기본적으로 제공되는 통신 기능 예컨대, I2C, RS485 등의 마스터 및 슬레이브 통신할 수 있다. 또한, 마스터 접속반 모듈(130_1)과 슬레이브 접속반 모듈(130_2)은 커넥터 및 버스바(137)로 연결될 수 있다.Here, the master connection half module 130_1 and the slave connection half module 130_2 can perform master and slave communication such as I2C and RS485, which are basically provided by the microprocessor. The master connection module 130_1 and the slave connection module 130_2 may be connected to each other via a connector and a
이때, 도 1 및 도 2에서는 복수의 접속반 모듈(130)이 마스터 접속반 모듈(130_1) 하나와 및 슬레이브 접속반 모듈(130_2) 하나로 구성되는 경우를 예로 들어 설명하였지만, 복수의 접속반 모듈(130)은 마스터 접속반 모듈(130_1) 하나만으로 구성될 수도 있으며, 마스터 접속반 모듈(130_1)와 함께 연결되는 슬레이브 접속반 모듈(130_2)의 개수도 다양할 수 있다.1 and 2, a plurality of connection half modules 130 are configured as one master connection half module 130_1 and one slave connection half module 130_2. However, a plurality of connection half modules 130 may be composed of only one master connection half module 130_1 and the number of slave connection half modules 130_2 connected together with the master connection half module 130_1 may also be varied.
마스터 접속반 모듈(130_1)은 기설정된 주기 및 감지된 일사량이 기준치를 초과하는 시점에 슬레이브 접속반 모듈(130_2)에 PV 스트링 그룹의 모듈 열화도를 질의할 수 있다. 이어서, 마스터 접속반 모듈(130_1)은 각 슬레이브 접속반 모듈(130_2)으로부터 그 응답으로 PV 스트링 그룹의 모듈 열화도 수신하여 모니터링 서버(20)로 송신할 수 있다.The master connection module 130_1 can inquire the module sear module 130_2 for the module deterioration degree of the PV string group at a predetermined period and at a point of time when the sensed irradiance exceeds the reference value. Subsequently, the master connection module 130_1 can also receive the module deterioration of the PV string group in response to each slave connection module 130_2 and transmit it to the
이하, 도 2를 참조하여 각 접속반 모듈(130)의 구성에 대하여 설명한다.Hereinafter, the configuration of each connection module 130 will be described with reference to FIG.
각 접속반 모듈(130)은 릴레이(131), 전압계(132), 전류계(133), ADC(134) 및 마이크로프로세서(135)를 포함한다. 더불어, 각 접속반 모듈(130)은 각 PV 스트링 그룹의 출력과 퓨즈(137) 사이에 연결되어, 역전류를 방지하는 다이오드(136), 과전류를 차단하는 퓨즈(137) 및 각 PV 스트링 그룹의 출력을 병렬 또는 직렬로 연결하는 버스바(137)를 더 포함할 수 있다. 한편, 마스터 접속반 모듈(130_1)과 슬레이브 접속반 모듈(130_2)의 구성은 거의 동일하나, 마스터 접속반 모듈(130_1)에는 모니터링 서버(20)와 통신하는 통신 모듈(138) 및 그의 구성요소(마스터 접속반 모듈의 각 구성요소) 및 슬레이브 접속반 모듈(130_2)에 전원을 공급하는 전원부(139)가 더 포함될 수 있다.Each connection module 130 includes a
릴레이(131)는 각 PV 스트링 그룹의 출력의 일극에 직렬로 연결되는 제1 릴레이와, 각 PV 스트링 그룹의 출력의 일극과 타극에 일 저항과 함께 병렬로 연결되되 일 저항과는 직렬로 연결된 제2 릴레이를 포함한다. 마이크로프로세서(135)에 의한 릴레이(131) 제어에 대해서는 도 3a 내지 3c를 참조하여 설명한다.The
전압계(132)는 그가 연결된 PV 스트링 그룹의 출력의 양극(+극과 -극)에 병렬로 연결되어, PV 스트링 그룹의 양극 전압을 측정한다.The
전류계(133)는 그가 연결된 PV 스트링 그룹의 출력의 일극(통상 +극)에 직렬로 연결되어, PV 스트링 그룹의 출력 전류를 측정한다.The
ADC(134)는 전압계(132) 및 전류계(133)로부터의 측정 전압 및 전류를 디지털 값으로 변환하여 마이크로프로세서(135)로 전달한다. 마이크로프로세서(135)에 ADC 기능이 내장된 경우, ADC(134)는 생략될 수 있다.The
마이크로프로세서(135)는 기설정된 주기 및 일사량이 기설정된 임계치를 초과하는 조건에 부합하면 열화 진단 모드로 전환되어, 릴레이(131)를 제어하여 전압계(132) 및 전류계(133)에 의해 각 PV 스트링 그룹의 현 개방 전압과 현 개방 전류를 측정 및 획득한다.The
여기서, 기설정된 주기는 5일(Five Day)일 수 있다. 그리고 임계치는 각 태양 전지 모듈이 어느 정도 전기를 생산 가능한 정도의 일사량으로서, 예컨대 500(W/m2)일 수 있다.Here, the preset period may be five days. The threshold value may be, for example, 500 (W / m <2 >) as an amount of solar radiation at which each solar cell module can produce electricity to some extent.
이때, 마스터 접속반 모듈(130_1)의 마이크로프로세서는 기설정된 주기인지 감지된 일사량에 의해 열화 진단 모드로 전환할지를 판단하여 슬레이브 접속반 모듈(130_2)에 열화 진단 모드로 전환할 것을 지시할 수 있다. 하지만, 슬레이브 접속반 모듈(130_2)의 마이크로프로세서는 모드 전환을 위한 판단을 수행하지 않고 마스터 접속반 모듈(130_1)의 지시(질의)에 따라 열화 진단 모드로 전환될 수 있다.At this time, the microprocessor of the master connection module 130_1 may determine whether to switch to the deterioration diagnosis mode based on the solar radiation sensed for a predetermined period, and instruct the slave connection module 130_2 to switch to the deterioration diagnostic mode. However, the microprocessor of the slave connection module 130_2 may be switched to the degradation diagnostic mode according to an instruction (query) of the master connection module 130_1 without performing the determination for the mode change.
마이크로프로세서(135)는 각 PV 스트링 그룹 내 모듈 개방 전압(Vocm)과 모듈 단락 전류(Iscm)를 모듈의 초기 개방 전압(Voc)과 초기 단락 전류(Ioc)를 환경 특성을 더 고려하여 비교하여 하기의 수학식 1과 같이 모듈 변이도 dV(i), dI(i)를 산출할 수 있다.The
여기서, Vocm 및 Iscm은 PV 스트링 그룹 내 태양 전지 모듈의 현 개방 전압과 현 단락 전류로서, 전압계 및 전류계(133)에 의해 측정된 각 PV 스트링 그룹의 개방 전압과 단락 전류에 각 PV 스트링 그룹에 포함된 태양 전지 모듈의 개수를 제산한 값일 수 있다.Here, Vocm and Iscm are included in each PV string group in the open-circuit voltage and short-circuit current of each PV string group measured by the voltmeter and
그리고 Voc 및 Isc는 태양 전지 모듈의 제조사(이하, '모듈 제조사'라고 함)에 의해 제공된 모듈의 초기 개방 전압(Voc)과 초기 단락 전류(Isc)일 수 있다.And Voc and Isc may be an initial open-circuit voltage (Voc) and an initial short-circuit current (Isc) of a module provided by a maker of a solar cell module (hereinafter referred to as a module maker).
또한, Tref는 모듈 제조사에서 제공한 기준 온도(모듈의 온도)로서, 초기 개방 전압과 초기 단락 전류를 측정한 온도일 수 있다. 그리고 Tm은 현재 측정된 모듈 온도이고, G는 기준 일사량이고, S는 모듈 제조사에 의해 제공되는 모듈 표면적이고, N은 모듈 내 태양전지 셀의 개수이다. 또한, a는 모듈 온도에 따른 단락 전류의 특성 변화를 적용하기 위한 전류 온도 계수로서 상수이고, b는 모듈 온도에 따른 개방 전압의 특성 변화를 적용하기 위한 전압 온도 계수로서 상수이다. 여기서, a, b는 모듈 제조사에 의해 제공되는 전압/전류의 온도 특성 그래프로부터 도출된 상수일 수 있다.Tref is the reference temperature (module temperature) provided by the module manufacturer, and may be the temperature at which the initial open-circuit voltage and the initial short-circuit current are measured. T is the currently measured module temperature, G is the reference solar irradiance, S is the module surface area provided by the module manufacturer, and N is the number of solar cells in the module. Also, a is a constant of the current temperature coefficient for applying the characteristic change of the short-circuit current according to the module temperature, and b is a constant of the voltage temperature coefficient for applying the characteristic change of the open- Where a, b may be constants derived from the temperature characteristic graph of the voltage / current provided by the module manufacturer.
전술한, 모듈의 초기 개방 전압과 초기 단락 전류는 표준 시험 환경인 기준 온도(통상, 25도) 및 일사량 1000[W/m2]에서 하나의 모듈에 대해 측정된 것인데, 본 발명에 따라 전류계(133)와 전압계(132)에 의해 측정된 PV 스트링 그룹의 모듈 개방 전압과 단락 전류는 기준 온도와는 다른 모듈 온도에서 다른 일사량 및 하나 이상의 모듈에 대해 측정된 것일 수 있다. 그러나 본 발명에서는 각 PV 스트링 그룹의 현 모듈 온도, 일사량, 모듈 개수 및 표면적을 고려하여 각 PV 스트링 그룹의 모듈 개방 전압과 단락 전류를 표준 시험 환경에 맞추어 조절(정규화)한 다음, 초기 개방 전압과 초기 단락 전류와의 차(difference)를 산출하므로, 산출된 차의 백분율인 각 PV 스트링 그룹의 모듈 변이도를 더욱 정확히 산출할 수 있다.The initial open-circuit voltage and the initial short-circuit current of the above-described module are measured for one module at a reference temperature (usually 25 degrees) and an irradiation dose of 1000 [W / m2 ], which is a standard test environment. 133 and the PV string group measured by the
마이크로프로세서(135)는 PV 스트링 그룹의 모듈 변이도를 10회 각기 산출한 후, 하기의 수학식 2와 같이 각 모듈 변이도의 표준편차(sV, sI)를 산출한다.The
여기서, 및는 복수 회 산출된 각 PV 스트링 그룹의 모듈 변이도의 평균치일 수 있다.here, And May be an average value of module variances of each PV string group calculated a plurality of times.
마이크로프로세서(135)는 모듈 변이도의 표준편차가 기설정된 기준치를 이하이면, 각 PV 스트링 그룹의 모듈 열화도(,)를 모니터링 서버(20)로 전송할 수 있다.If the standard deviation of the module variation is less than the preset reference value, the
여기서, 마스터 접속단의 마이크로프로세서(135)는 각 슬레이브 접속반 모듈(130_2)의 마이크로프로세서(135)로부터의 PV 스트링 그룹별 모듈 열화도를 수신하면, PV 스트링 그룹별 모듈 열화도를 종합하여 모니터링 서버(20)로 송신할 수 있다. 이때, 마스터 접속반 모듈의 마이크로프로세서(135)는 각 슬레이브 접속반 모듈(130_2)에 의해 산출된 PV 스트링 그룹별 모듈 열화도를 각기 구분할 수 있는 형태로, PV 스트링 그룹별 모듈 열화도를 모니터링 서버(20)로 송신할 수 있다.Here, when the
이러한, 모듈 변이도는 그 편차가 크지 않는 특징이 있는데, 그 편차(표준편차)가 크다면 오류 또는 고장 가능성이 있다. 그런데 본 발명에서는 오류가 발생하지 않은 경우의 모듈 열화도 정보만을 모니터링 서버(20)로 송신함에 따라 일시적인 오류로 인하여 잘못된 열화도 정보를 받는 문제를 방지할 수 있다.This variation of the module has a feature that its deviation is not large. If the deviation (standard deviation) is large, there is a possibility of error or failure. However, according to the present invention, since only the module deterioration information in the case where no error occurs is transmitted to the
또는, 마이크로프로세서(135)는 모듈 변이도의 표준편차가 기준치를 초과하는 경우가 복수 번 발생하면, 오류 발생 또는 이상 발생을 각기 모니터링 서버(20)로 알릴 수도 있다.Alternatively, the
한편, 마이크로프로세서(135)는 현재주기에서 다음주기까지 일사량이 임계치를 초과하지 않으면, 모니터링 서버(20)로 이상 발생을 알릴 수 있다. 이에, 본 발명에서는 낙엽이나 먼지 등의 외부적 요인에 의해 PV 모듈이 정상적으로 동작하지 않을 경우에 그 원인과 위치를 정확히 알 수 있는 정보를 모니터링 서버(20)에 알려 조속한 후속 조치를 유도할 수 있다.On the other hand, the
다른 한편, 마이크로프로세서(135)는 기설정된 주기가 아닌 다른 경우에 모니터링 모드로 동작하는데, 모니터링 모드에서는 기설정된 제2주기(예컨대, 1일) 마다 각 PV 스트링 그룹의 출력 전압과 전류를 모니터링하여 모니터링 서버(20)로 전송할 수 있다.On the other hand, the
상세하게는, 마이크로프로세서(135)는 모니터링 모드에서는 각 PV 스트링 그룹의 출력이 버스바(137)를 통해 상호 직렬 또는 병렬로 연결되어, 인버터(미도시)로 전달되도록 즉, PV 스트링 그룹으로부터의 전력이 인버터(미도)로 전달되도록 릴레이(131)를 유지하며 각 PV 스트링 그룹으로부터의 출력 전압 및 출력 전류를 모니터링할 수 있다.In particular, in the monitoring mode, the
또한, 전술한 실시예에서 마이크로프로세서(135)는 각 PV 스트링 그룹 중에서 지나치게 모듈 열화도가 심한 PV 스트링 그룹이 존재하면, 다시 말해, PV 스트링 그룹의 동작 효율이 매우 나빠 오히려 다른 PV 스트링 그룹의 전력 생산을 방해하는 경우에, 릴레이(131)를 제어하여 모듈 열화도가 심한 PV 스트링 그룹을 이용한 전력 생산을 자체적으로 중단시킬 수도 있다. 예를 들면, 마이크로프로세서(135)는 각 PV 스트링 그룹 중에서 그 모듈 변이도가 기설정된 동작기준 이하인 PV 스트링 그룹이 존재하면, 릴레이(131)를 제어 - 예를 들어, 제1 및 제2 릴레이를 개방 - 하여 해당 PV 스트링 그룹에 의한 전력 생산을 중단시킬 수 있다.In addition, in the above-described embodiment, if there is a PV string group with excessive module deterioration among the PV string groups, that is, the operation efficiency of the PV string group is very poor, the power of the other PV string group In the case of obstructing the production, the
전술한 경우, 마이크로프로세서(135)는 모니터링 서버(20)에 해당 PV 스트링 그룹의 중단을 알릴 수 있고, 모니터링 서버(20) 또는 마스터 접속반 모듈(130_1)으로부터의 지시에 따라 전력 생산을 중단할 수도 있다.In the case described above, the
다만, 마스터 접속반 모듈(130_1)은 슬레이브 접속반 모듈(130_2)에 대한 전원 공급과 슬레이브 접속반 모듈(130_2)과 모니터링 서버(20)와의 통신 중재를 수행하므로, 마스터 접속반 모듈(130_1)의 PV 스트링 그룹에 의해 전력 생산을 중단하더라도, 그 마이크로프로세서, 통신 모듈 등의 기능블록은 지속적으로 동작할 수 있다.The master connection module 130_1 performs power supply to the slave connection module 130_2 and communication arbitration between the slave connection module 130_2 and the
반면, 슬레이브 접속반 모듈(130_2)은 그 모든 기능 블록의 동작을 중단하더라도 다른 슬레이브 접속반 모듈(130_2) 또는 마스터 접속반 모듈(130_1)의 구동에 영향을 주지 않으므로, PV 스트링 그룹의 전력 생산을 중단한 슬레이브 접속반 모듈(130_2)은 그 모든 기능블록의 동작을 중단할 수도 있다. 이는 마스터 접속반 모듈(130_1)이 해당 슬레이브 접속반 모듈(130_2)에 공급되는 전원을 차단하거나, 슬레이브 접속반 모듈(130_2)의 마이크로프로세서를 슬립 모드로 구동시킴에 따라 가능할 수 있다.On the other hand, even if the operation of all the function blocks is stopped, the slave connection module 130_2 does not affect the operation of the other slave connection module 130_2 or the master connection module 130_1, The suspended slave connection module 130_2 may stop the operation of all the function blocks. This may be possible by turning off the power supplied to the slave connection module 130_2 by the master connection module 130_1 or by driving the microprocessor of the slave connection module 130_2 in the sleep mode.
한편, 전술한 실시예에서 마스터 접속반 모듈에는 연산 정확도가 높은 고급 마이크로프로세서를 적용할 수 있고, 슬레이브 접속반 모듈에는 연산 정확도가 다소 낮은 저급 마이크로프로세서가 적용될 수 있다.On the other hand, in the above-described embodiment, a high-grade microprocessor having a high calculation accuracy can be applied to the master connection half module, and a low-grade microprocessor having a somewhat lower calculation accuracy can be applied to the slave connection half module.
이와 같이, 본 발명에서는 PV 스트링 그룹별 열화도를 각기 진단하고, 열화도가 높을 때 그 진단 결과를 송신하므로 태양광 발전 시스템에 구비된 PV 스트링 그룹 중에서 열화도가 높은 PV 스트링 그룹을 구분하여 확인할 수 있어, 각 PV 스트링 그룹의 교체시기를 예측하는 등을 수행할 수 있다.As described above, according to the present invention, the deterioration degree of each PV string group is diagnosed and the diagnostic result is transmitted when the deterioration degree is high. Therefore, among the PV string groups provided in the photovoltaic power generation system, It is possible to predict the replacement timing of each PV string group and the like.
또한, 본 발명에서는 각 태양 전지 모듈이 제대로 동작할 때에 각 PV 스트링 그룹이 적용된 환경특성을 고려하여 PV 스트링 그룹별 태양 전지 모듈의 열화도를 진단할 수 있어, 태양 전지 모듈의 열화도를 보다 정확하게 진단할 수 있다.In addition, in the present invention, when each solar cell module operates properly, the deterioration degree of the solar cell module per PV string group can be diagnosed considering the environmental characteristics to which each PV string group is applied, Can be diagnosed.
이에, 본 발명의 실시예는 그림자, 낙엽, 부자재 등에 의한 직접적 일사량 감소 요인이 발생하는 경우 및 모듈 온도 상승 등에 의해 모듈 열화도를 잘못 측정하는 문제를 개선할 수 있다.Accordingly, the embodiment of the present invention can solve the problem of erroneous measurement of the module deterioration due to a direct solar radiation reduction factor caused by shadows, leaves, subsidiary materials, or the like and module temperature rise.
이하, 도 3a 내지 3c을 참조하여 본 발명의 실시예에 따른 열화 진단 모드와 모니터링 모드에서의 릴레이 제어에 대하여 설명한다. 도 3a 및 도 3b는 본 발명의 실시예에 따른 열화 진단 모드에서의 릴레이 제어를 도시한 도면이고, 도 3c는 본 발명의 실시예에 따른 모니터링 모드에서의 릴레이 제어를 도시한 도면이다.Hereinafter, relay control in the deterioration diagnosis mode and the monitoring mode according to the embodiment of the present invention will be described with reference to FIGS. 3A to 3C. FIG. 3A and 3B are diagrams showing relay control in a deterioration diagnosis mode according to an embodiment of the present invention, and FIG. 3C is a diagram illustrating relay control in a monitoring mode according to an embodiment of the present invention.
도 3a와 같이, 전류계(133)는 각 PV 스트링 그룹의 양(+)극에 직렬로 연결되어, 각 PV 스트링 그룹의 일단의 출력 전류를 계측한다.3A,
전압계(132)는 각 PV 스트링 그룹의 양(+)극과 음(-)극에 직렬로 연결되어, 각 PV 스트링 그룹의 출력 전압을 계측한다.A
릴레이(131)는 제1 및 제2 릴레이(Relay 1, 2)를 포함하고, 제1 및 제2 릴레이(Relay 1, 2)는 각 PV 스트링 그룹의 개방 전압, 단락 전류 또는 출력 전압을 측정 가능하도록 마이크로프로세서(135)의 제어에 따라 개방 또는 단락된다.The
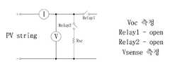
제1 릴레이(Relay1)는 각 PV 스트링 그룹의 출력의 양(+)극에 직렬로 연결되며, 제2 릴레이(Relay2)는 각 PV 스트링 그룹의 출력의 양극(+)과 음(-)극에 일 저항(Rsc)과 함께 병렬로 연결된다.The first relay (Relay1) is connected in series to the positive (+) pole of the output of each PV string group and the second relay (Relay2) is connected to the positive (+) and negative (Rsc).
열화 진단 모드에서 마이크로프로세서(135)는 도 3a와 같이 제1 및 제2 릴레이(Relay 1, 2)를 개방하고, PV 스트링 그룹의 개방 전압을 측정할 수 있다. 또한, 마이크로프로세서(135)는 도 3b와 같이 제1 릴레이(Relay1)를 개방하고 제2 릴레이(Relay2)를 단락하여 PV 스트링 그룹의 단락 전류를 측정할 수 있다.In the deterioration diagnosis mode, the
이후, 마이크로프로세서(135)는 전술한 바와 같이 PV 스트링 그룹의 개방 전압과 단락 전류에 의해 PV 스트링 그룹의 모듈 변이도를 산출하고, 적어도 기설정된 순간에 모니터링 서버(20)로 산출된 모듈 변이도를 송신할 수 있다.Thereafter, the
한편, 도 3c와 같이 마이크로프로세서(135)는 모니터링 모드에서 제1 릴레이(Relay1)를 단락하고 제2 릴레이(Relay2)를 개방하여 PV 스트링 그룹의 출력 전압과 출력 전류를 측정할 수 있다.3C, the
이와 같이, 본 발명에서는 각 PV 스트링 그룹의 출력에 출력 전압과 출력 전류는 물론 그 모듈 열화도를 측정 가능한 수단을 더 부가하여 정기적으로 각 PV 스트링 그룹의 열화도를 진단 및 모니터링할 수 있다.Thus, in the present invention, it is possible to diagnose and monitor the deterioration degree of each PV string group periodically by adding output voltage and output current as well as means capable of measuring the module deterioration degree to the output of each PV string group.
이하, 도 4를 참조하여 본 발명의 실시예에 따른 태양 전지 모듈의 열화 진단 방법에 대하여 설명한다. 도 4는 본 발명의 실시예에 따른 태양 전지 모듈의 열화 진단 방법을 도시한 흐름도이다.Hereinafter, a deterioration diagnosis method for a solar cell module according to an embodiment of the present invention will be described with reference to FIG. 4 is a flowchart illustrating a deterioration diagnosis method of a solar cell module according to an embodiment of the present invention.
도 4를 참조하면, 마스터 접속반 모듈은 기설정된 주기이면(S410의 예), 측정된 일사량이 기설정된 임계치를 초과하는지를 확인한다(S420).Referring to FIG. 4, if the master connection half module has a predetermined period (YES in S410), it is checked whether the measured solar irradiation amount exceeds a preset threshold value (S420).
측정된 일사량이 임계치를 초과하면, 슬레이브 접속반 모듈에 그에 연결된 PV 스트링 그룹의 모듈 열화도를 질의한다(S430).If the measured solar radiation exceeds the threshold, the slave connection module is queried for module deterioration of the PV string group connected thereto (S430).
마스터 접속반 모듈 및 슬레이브 접속반 모듈은 각기 그에 연결된 PV 스트링 그룹의 모듈 평균 개방 전압 및 모듈 평균 단락 전류(PV 스트링 그룹 내 모듈의 개방 전압 및 단락 전류)를 복수 번 측정하고, 모듈 초기값(초기 개방 전압 및 초기 단락 전류)과 환경 특성을 고려해 모듈 개방 전압과 단락 전류의 측정치를 정규화한 값의 차의 백분율인 모듈 변이도를 복수 번 산출한다(S440-450).The master connection half module and the slave connection half module measure the module average open-circuit voltage and the module average short-circuit current (open-circuit voltage and short-circuit current of the module in the PV string group) of the PV string group connected to them, The open-circuit voltage, the open-circuit voltage, and the initial short-circuit current) and the environment characteristics, the module variation being a percentage of the difference between the values of the module open-circuit voltage and the value obtained by normalizing the measured value of the short-circuit current, is calculated a plurality of times (S440-450).
이때, 각 접속반 모듈은 기설정된 주기에 측정된 일사량이 임계치를 초과하는 순간에 복수 번 모듈의 개방 전압과 단락 전류를 산출할 수 있다. 여기서, 각 접속반 모듈은 현 주기에서 다음 주기까지 일사량이 임계치를 초과하는 순간이 없으면, 모니터링 서버(20)로 태양광 발전 시스템(10) 또는 일사량 감지부의 이상 발생을 경고할 수 있다.At this time, each connection module can calculate the open-circuit voltage and the short-circuit current of the module a plurality of times when the radiation amount measured in the predetermined period exceeds the threshold value. Here, if there is no moment when the insolation amount exceeds the threshold value from the current cycle to the next cycle, each connection module can warn the
마스터 접속반 모듈 및 슬레이브 접속반 모듈은 복수 번 산출된 모듈 변이도의 표준편차를 산출한다(S460).The master connection half module and the slave connection half module calculate the standard deviation of the module variation calculated a plurality of times (S460).
마스터 접속반 모듈 및 슬레이브 접속반 모듈은 모듈 변이도의 표준편차가 기설정된 기준치 미만인지를 확인한다(S470).The master connection half module and the slave connection half module check whether the standard deviation of module variation is less than a predetermined reference value (S470).
모듈 변이도의 표준편차가 기준치 미만이면, 마스터 접속반 모듈 및 슬레이브 접속반 모듈은 평균 모듈 변이도인 모듈 열화도를 송신한다(S480). 상세하게는, 슬레이브 접속반 모듈은 마스터 접속반 모듈으로부터의 모듈 열화도 질의에 대한 응답으로 마스터 접속반 모듈으로 모듈 열화도를 송신할 수 있다. 그리고 마스터 접속반 모듈은 그가 측정한 모듈 열화도와 그에 연결된 모든 슬레이브 접속반 모듈으로부터의 모듈 열화도를 종합하여 모니터링 서버(20)로 송신할 수 있다.If the standard deviation of the module variation is less than the reference value, the master connection half module and the slave connection half module transmit the module deterioration degree which is the average module variation (S480). In particular, the slave connection module can transmit the module degradability to the master connection module in response to the module degradation query from the master connection module. The master connection module can collect the module deterioration measured by the module and the module deterioration degrees from all the slave connection module connected thereto and transmit the result to the
한편, 마스터 접속반 모듈은 기설정된 주기를 제외한 나머지에 모니터링 모드로 동작하여 그에 연결된 PV 스트링 그룹의 출력 전압을 측정할 수 있다. 또한, 마스터 접속반 모듈은 슬레이브 접속반 모듈에 그에 연결된 PV 스트링 그룹의 출력 전압을 질의하고 그 응답으로 PV 스트링 그룹의 출력 전압을 수신하여 PV 스트링 그룹별 출력 전압을 종합한 결과를 모니터링 서버(20)로 송신할 수 있다(S490).On the other hand, the master connection module operates in the monitoring mode except for the predetermined period, and can measure the output voltage of the PV string group connected thereto. The master connection module also queries the output voltage of the PV string group connected to the slave connection module, receives the output voltage of the PV string group in response to the output voltage of the PV string group, (S490).
또한, (S470)단계에서 모듈 변이도의 표준편차가 기설정된 기준치 이상이면, 마스터 접속반 모듈 및 슬레이브 접속반 모듈은 측정된 복수의 모듈 변이도를 무시할 수 있다. 이후, 마스터 접속반 모듈 및 슬레이브 접속반 모듈은 다시 모듈 변이도를 측정하는 과정을 수행할 수 있다.In addition, if the standard deviation of the module variation is equal to or greater than a preset reference value in step S470, the master connection half module and the slave connection half module can ignore the measured plurality of module variations. Thereafter, the master connection half module and the slave connection half module can perform the process of measuring the module mutuality again.
이 같이 모듈 변이도의 표준편차가 기준치 이상일 때, 마스터 접속반 모듈 및 슬레이브 접속반 모듈은 오류 발생을 모니터링 서버(20)로 알릴 수 있다. 이때, 마스터 접속반 모듈 및 슬레이브 접속반 모듈은 한번 이상 전술한 모듈 변이도를 측정하는 과정을 더 수행한 후에 오류 발생을 모니터링 서버(20)로 알릴 수도 있다.When the standard deviation of the module variation is equal to or greater than the reference value, the master connection half module and the slave connection half module can notify the
이상, 본 발명의 구성에 대하여 첨부 도면을 참조하여 상세히 설명하였으나, 이는 예시에 불과한 것으로서, 본 발명이 속하는 기술분야에 통상의 지식을 가진자라면 본 발명의 기술적 사상의 범위 내에서 다양한 변형과 변경이 가능함은 물론이다. 따라서 본 발명의 보호 범위는 전술한 실시예에 국한되어서는 아니되며 이하의 특허청구범위의 기재에 의하여 정해져야 할 것이다.While the present invention has been described in detail with reference to the accompanying drawings, it is to be understood that the invention is not limited to the above-described embodiments. Those skilled in the art will appreciate that various modifications, Of course, this is possible. Accordingly, the scope of protection of the present invention should not be limited to the above-described embodiments, but should be determined by the description of the following claims.
10: 태양광 발전 시스템20: 모니터링 서버
110: 일사량 감지부120: 온도 감지부130: 접속반 모듈
131: 릴레이132: 전압계133: 전압계
134: ADC135: 마이크로프로세서136: 다이오드 및 퓨즈
137: Bus Bar138: 통신 모듈139: 전원부10: PV system 20: Monitoring server
 110: radiation dose sensing unit 120: temperature sensing unit 130: connection module
 131: Relay 132: Voltmeter 133: Voltmeter
 134: ADC 135: Microprocessor 136: Diode and fuse
 137: Bus Bar 138: Communication module 139: Power source
| Application Number | Priority Date | Filing Date | Title | 
|---|---|---|---|
| KR1020170073051AKR101813672B1 (en) | 2017-06-12 | 2017-06-12 | Apparatus for Degradation Diagnosis of Photovoltaic Module | 
| Application Number | Priority Date | Filing Date | Title | 
|---|---|---|---|
| KR1020170073051AKR101813672B1 (en) | 2017-06-12 | 2017-06-12 | Apparatus for Degradation Diagnosis of Photovoltaic Module | 
| Application Number | Title | Priority Date | Filing Date | 
|---|---|---|---|
| KR1020150183569Division | 2015-12-22 | 
| Publication Number | Publication Date | 
|---|---|
| KR20170074832A KR20170074832A (en) | 2017-06-30 | 
| KR101813672B1true KR101813672B1 (en) | 2017-12-29 | 
| Application Number | Title | Priority Date | Filing Date | 
|---|---|---|---|
| KR1020170073051AActiveKR101813672B1 (en) | 2017-06-12 | 2017-06-12 | Apparatus for Degradation Diagnosis of Photovoltaic Module | 
| Country | Link | 
|---|---|
| KR (1) | KR101813672B1 (en) | 
| Publication number | Priority date | Publication date | Assignee | Title | 
|---|---|---|---|---|
| KR20240145702A (en) | 2023-03-28 | 2024-10-07 | 한화솔루션 주식회사 | Solar cell deterioration generator by wavelength | 
| Publication number | Priority date | Publication date | Assignee | Title | 
|---|---|---|---|---|
| CN109727886B (en)* | 2018-12-19 | 2021-05-11 | 阜宁阿特斯阳光电力科技有限公司 | Solar cell temperature coefficient field test method | 
| WO2020261960A1 (en)* | 2019-06-25 | 2020-12-30 | 住友電気工業株式会社 | Monitoring system for concentrating photovoltaic power generation device, method for detecting tracking deviation, and program for detecting tracking deviation | 
| KR102856950B1 (en)* | 2019-12-11 | 2025-09-05 | 주식회사 엘지에너지솔루션 | Apparatus and method for diagnosing degeneracy of battery | 
| CN111082749B (en)* | 2020-01-09 | 2023-08-04 | 远景智能国际私人投资有限公司 | Photovoltaic string running state identification method, device and storage medium | 
| CN119582757A (en)* | 2024-12-03 | 2025-03-07 | 江苏无双新能源科技有限公司 | A method and system for detecting the degree of performance degradation of photovoltaic panels | 
| Publication number | Priority date | Publication date | Assignee | Title | 
|---|---|---|---|---|
| JP2003133569A (en)* | 2001-10-30 | 2003-05-09 | Atsushi Iga | Method and apparatus for evaluating output of solar battery in field | 
| KR101429421B1 (en)* | 2014-02-03 | 2014-09-25 | 유희옥 | Smart connector band unit for photovoltaic power generation system | 
| Publication number | Priority date | Publication date | Assignee | Title | 
|---|---|---|---|---|
| JP2003133569A (en)* | 2001-10-30 | 2003-05-09 | Atsushi Iga | Method and apparatus for evaluating output of solar battery in field | 
| KR101429421B1 (en)* | 2014-02-03 | 2014-09-25 | 유희옥 | Smart connector band unit for photovoltaic power generation system | 
| Publication number | Priority date | Publication date | Assignee | Title | 
|---|---|---|---|---|
| KR20240145702A (en) | 2023-03-28 | 2024-10-07 | 한화솔루션 주식회사 | Solar cell deterioration generator by wavelength | 
| Publication number | Publication date | 
|---|---|
| KR20170074832A (en) | 2017-06-30 | 
| Publication | Publication Date | Title | 
|---|---|---|
| KR101813672B1 (en) | Apparatus for Degradation Diagnosis of Photovoltaic Module | |
| CN106688176B (en) | Photovoltaic power generation system with fault diagnosis device and fault diagnosis method thereof | |
| CN102608512B (en) | Method for on-line detecting faults of photovoltaic cells in solar photovoltaic power station on line | |
| KR101238620B1 (en) | Trouble Recognition Apparatus for Photovoltaic System and Methord thereof | |
| WO2012026449A1 (en) | Earth-fault detection device, collector box using earth-fault detection device, and photovoltaic power generation device using collector box | |
| CN103250300B (en) | Battery system and method for determining battery module voltage | |
| US20220140623A1 (en) | Method and system for an ac battery | |
| KR101647345B1 (en) | Apparatus for generating electricity using sunlight with monitoring function | |
| KR101023445B1 (en) | Solar cell module remote monitoring and control system | |
| KR101882466B1 (en) | Apparatus and method for controlling of battery energy storage system | |
| KR101883079B1 (en) | Intergrated monitoring system for trouble shooting of photovotaic power plants | |
| CN110764014A (en) | Method, device, terminal and readable storage medium for detecting short circuit in battery | |
| ES2712675T3 (en) | Procedure to control the chains of the solar modules in a photovoltaic installation and a photovoltaic inverter to implement the procedure | |
| KR20130052137A (en) | Remote monitoring system for solar cell problem | |
| JP2015018838A (en) | Fault detector of backflow prevention diode for solar cell, fault detection system of backflow prevention diode for solar cell, and fault detection method of backflow prevention diode for solar cell | |
| US20170187207A1 (en) | Collecting module, new lead-acid battery, charge and discharge control device and intelligent battery | |
| CN104485888A (en) | Control system for monitoring outdoor real-time power generation and operation of photovoltaic components | |
| CN109842372A (en) | A kind of photovoltaic module fault detection method and system | |
| CN104602406A (en) | An energy supply method and energy supply system for an outdoor billboard real-time monitoring system | |
| CN102608492A (en) | System and method for detecting fuse state of combiner box | |
| CN111711415B (en) | Photovoltaic power station fault detection device with maximum power point tracking function | |
| JP2014089998A (en) | Monitor system for photovoltaic power generation equipment | |
| JP2011108234A (en) | Voltage setting device, photovoltaic power generation system, and control method of voltage setting device | |
| KR101822928B1 (en) | Monitoring System for Energy Storage System | |
| CN114069776A (en) | A solar charging control device, system and control method | 
| Date | Code | Title | Description | 
|---|---|---|---|
| A107 | Divisional application of patent | ||
| A201 | Request for examination | ||
| PA0107 | Divisional application | St.27 status event code:A-0-1-A10-A18-div-PA0107 St.27 status event code:A-0-1-A10-A16-div-PA0107 | |
| PA0201 | Request for examination | St.27 status event code:A-1-2-D10-D11-exm-PA0201 | |
| E902 | Notification of reason for refusal | ||
| PE0902 | Notice of grounds for rejection | St.27 status event code:A-1-2-D10-D21-exm-PE0902 | |
| PG1501 | Laying open of application | St.27 status event code:A-1-1-Q10-Q12-nap-PG1501 | |
| P11-X000 | Amendment of application requested | St.27 status event code:A-2-2-P10-P11-nap-X000 | |
| P13-X000 | Application amended | St.27 status event code:A-2-2-P10-P13-nap-X000 | |
| E701 | Decision to grant or registration of patent right | ||
| PE0701 | Decision of registration | St.27 status event code:A-1-2-D10-D22-exm-PE0701 | |
| GRNT | Written decision to grant | ||
| PR0701 | Registration of establishment | St.27 status event code:A-2-4-F10-F11-exm-PR0701 | |
| PR1002 | Payment of registration fee | St.27 status event code:A-2-2-U10-U11-oth-PR1002 Fee payment year number:1 | |
| PG1601 | Publication of registration | St.27 status event code:A-4-4-Q10-Q13-nap-PG1601 | |
| PN2301 | Change of applicant | St.27 status event code:A-5-5-R10-R11-asn-PN2301 | |
| PN2301 | Change of applicant | St.27 status event code:A-5-5-R10-R14-asn-PN2301 | |
| P14-X000 | Amendment of ip right document requested | St.27 status event code:A-5-5-P10-P14-nap-X000 | |
| P14-X000 | Amendment of ip right document requested | St.27 status event code:A-5-5-P10-P14-nap-X000 | |
| P14-X000 | Amendment of ip right document requested | St.27 status event code:A-5-5-P10-P14-nap-X000 | |
| P14-X000 | Amendment of ip right document requested | St.27 status event code:A-5-5-P10-P14-nap-X000 | |
| P14-X000 | Amendment of ip right document requested | St.27 status event code:A-5-5-P10-P14-nap-X000 | |
| P14-X000 | Amendment of ip right document requested | St.27 status event code:A-5-5-P10-P14-nap-X000 | |
| P14-X000 | Amendment of ip right document requested | St.27 status event code:A-5-5-P10-P14-nap-X000 | |
| P14-X000 | Amendment of ip right document requested | St.27 status event code:A-5-5-P10-P14-nap-X000 | |
| P14-X000 | Amendment of ip right document requested | St.27 status event code:A-5-5-P10-P14-nap-X000 | |
| P22-X000 | Classification modified | St.27 status event code:A-4-4-P10-P22-nap-X000 | |
| P22-X000 | Classification modified | St.27 status event code:A-4-4-P10-P22-nap-X000 | |
| P14-X000 | Amendment of ip right document requested | St.27 status event code:A-5-5-P10-P14-nap-X000 | |
| P14-X000 | Amendment of ip right document requested | St.27 status event code:A-5-5-P10-P14-nap-X000 | |
| PR1001 | Payment of annual fee | St.27 status event code:A-4-4-U10-U11-oth-PR1001 Fee payment year number:4 | |
| P14-X000 | Amendment of ip right document requested | St.27 status event code:A-5-5-P10-P14-nap-X000 | |
| P14-X000 | Amendment of ip right document requested | St.27 status event code:A-5-5-P10-P14-nap-X000 | |
| P14-X000 | Amendment of ip right document requested | St.27 status event code:A-5-5-P10-P14-nap-X000 | |
| PR1001 | Payment of annual fee | St.27 status event code:A-4-4-U10-U11-oth-PR1001 Fee payment year number:5 | |
| S20-X000 | Security interest recorded | St.27 status event code:A-4-4-S10-S20-lic-X000 | |
| P14-X000 | Amendment of ip right document requested | St.27 status event code:A-5-5-P10-P14-nap-X000 | |
| P14-X000 | Amendment of ip right document requested | St.27 status event code:A-5-5-P10-P14-nap-X000 | |
| P14-X000 | Amendment of ip right document requested | St.27 status event code:A-5-5-P10-P14-nap-X000 | |
| P14-X000 | Amendment of ip right document requested | St.27 status event code:A-5-5-P10-P14-nap-X000 | |
| P14-X000 | Amendment of ip right document requested | St.27 status event code:A-5-5-P10-P14-nap-X000 | |
| P14-X000 | Amendment of ip right document requested | St.27 status event code:A-5-5-P10-P14-nap-X000 | |
| P14-X000 | Amendment of ip right document requested | St.27 status event code:A-5-5-P10-P14-nap-X000 | |
| P14-X000 | Amendment of ip right document requested | St.27 status event code:A-5-5-P10-P14-nap-X000 |