














본 발명은 소음 저감 조절용 청력보호구에 관한 것으로, 더욱 상세하게는 청력보호구를 이루는 몸체에 소음 조절수단을 형성하여 몸체를 통해 사용자의 귀로 유입되는 소음의 저감 정도를 사용 현장 상황을 고려하여 적합하게 제어할 수 있어, 외부의 소음은 차단(저감)하되 현장에서 필요한 외부 음원은 들을 수 있도록 유도하여 소음이 빈번하게 발생되는 건설 현장이나 군 부대 등에서 효과적으로 사용할 수 있는 소음 저감 조절용 청력보호구에 관한 것이다.BACKGROUND OF THE
일반적으로 귀마개는 외부 소음으로부터 착용자의 귀를 보호하기 위한 것으로, 소음 차단용 귀마개, 방한용 귀마개, 수중에서의 방수용 귀마개 등으로 구별될 수 있다.In general, earplugs are intended to protect the wearer's ear against external noise, and can be distinguished by earplugs for noise isolation, earplugs for winter, and earplugs for waterproofing in water.
여기서, 소음 차단용 귀마개(이하, "청력보호구"라 칭함)는 공장, 터널 등의 건설 현장에서 발생하는 소음이 작업자의 귀로 유입되는 것을 차단하기 위한 용도로 사용하는 것이며, 통상 스폰지, 솜, 수지재의 마개 등이 적용되고 있다.Here, the ear plug for noise isolation (hereinafter referred to as "hearing protector") is used to prevent noise generated at a construction site such as a factory or a tunnel from entering the ear of a worker. A stopper, etc. are applied.
하지만, 상기한 소음 차단용 청력보호구는 소음을 차단하기 위해 착용자의 귀를 막기 때문에 착용자는 소음 외에 작업의 원활한 수행을 위해 외부 음원을 듣기 위해서는 청력보호구를 떼어낸 후에 들어야 하는 문제점이 있었다.However, since the above-mentioned noise-isolating hearing protector blocks the ear of the wearer in order to block the noise, the wearer has to remove the hearing protector to listen to the external sound source in order to smoothly perform the operation besides the noise.
이에 따른 작업 불편함으로 작업현장 등에서는 소음 차단용 청력보호구를 거의 사용하지 못하는 문제점이 있었다.So that there is a problem in that the hearing protector for noise shielding can hardly be used at work sites due to inconvenience of the operation.
또한, 종래의 소음 차단용 청력보호구는 착용자의 외이도를 폐쇄하는 구조이므로, 착용자는 장시간 착용시 답답함을 느낄 뿐만 아니라 자신의 목소리가 울림으로 인해 불편함 등으로 인해 다소 착용감이 떨어지는 문제점이 있었다.In addition, since the conventional hearing protector for blocking the noise shields the ear canal of the wearer, the wearer feels a sense of weariness due to inconvenience due to the sound of his / her voice when he / she wears for a long time.
또한, 종래의 소음 차단용 청력보호구는 한쌍으로 각각 분리되어 보관, 관리되므로 보관 및 관리하는 과정에서 빈번한 분실이 발생되어 보관 및 관리가 다소 불편하다는 문제점이 있었다.In addition, since the conventional noise-isolating hearing protectors are separately stored and managed in pairs, there is a problem that frequent loss occurs in the process of storing and managing, which is somewhat inconvenient for storage and management.
더욱이, 종래의 소음 차단용 청력보호구를 먼지가 많이 발생되는 건설 현장 및 군 부대에서 사용하는 경우에 먼지에 노출된 손으로 청력보호구를 탈착 및 보관/관리하는 과정에서 청력보호구가 쉽게 오염될 뿐만 아니라, 이러한 비위생적인 청력보호구를 사용함으로 인해 각종 질병이 유발되는 사용상의 문제점이 있었다.In addition, when the conventional noise-isolating hearing protector is used in construction sites and military units where many dusts are generated, the hearing protector is easily contaminated in the process of detaching, storing, and managing the hearing protector with the hand exposed to the dust , And the use of such unsanitary hearing protectors has caused problems in the use of various diseases.
본 발명은 상기한 바와 같은 제반 문제점을 해결하기 위하여 제안된 것으로, 그 목적은 청력보호구를 이루는 몸체에 소음 조절수단을 형성하여 몸체를 통해 사용자의 귀로 유입되는 소음의 저감 정도를 사용 현장 상황을 고려하여 적합하게 제어할 수 있어, 외부의 소음은 차단(저감)하되 현장에서 필요한 외부 음원은 들을 수 있도록 유도하여 소음이 빈번하게 발생되는 건설 현장이나 군 부대 등에서 효과적으로 사용할 수 있는 소음 저감 조절용 청력보호구를 제공함에 있다.SUMMARY OF THE INVENTION The present invention has been proposed in order to solve all of the above problems, and it is an object of the present invention to provide a noise control means in a body constituting a hearing protector to reduce the degree of noise introduced into a user's ear through a body, (Noise reduction), but it can induce the external sound sources needed in the field to be audible. Therefore, it is possible to effectively use the noise suppression hearing protection which can be effectively used in construction sites or military units where noise is frequently generated. .
또한, 박막에 형성되는 벤트로 인해 착용자의 외이도가 완전하게 폐쇄되지 않아 외이도의 밀폐로 인해 발생하는 착용의 답답함 및 자신의 목소리 울림이 방지되어 착용자에게 착용의 편의성을 제공할 수 있는 소음 저감 조절용 청력보호구를 제공함에 있다.In addition, since the ventilation formed on the thin film does not completely close the wearer's ear canal, the wearer's tightness due to the sealing of the ear canal is prevented, and the noise of the wearer's ear can be reduced To provide protection.
또한, 한쌍의 청력보호구를 연결수단과 연결줄을 통해 서로 연결하여 사용자에게 청력보호구의 보관 및 관리의 편의성을 제공하여 청력보호구의 분실을 최소화할 수 있는 소음 저감 조절용 청력보호구를 제공함에 있다.The present invention also provides a hearing protector for noise reduction control, which can minimize the loss of the hearing protector by connecting the pair of hearing protector to each other through the connection means and the connection line, thereby providing the user with convenience of storing and managing the hearing protector.
또한, 청력보호구를 조절줄로 연결하고, 그 조절줄의 길이를 릴홀더로 간편히 제어할 수 있도록 구성하여 사용자가 릴홀더의 조작으로 간편히 청력보호구의 회수, 보관을 자동으로 수행할 수 있어 청력보호구의 오염을 효과적으로 예방할 수 있을 뿐만 아니라, 부착수단을 통해 릴홀더를 사용자의 안전모(군모) 및 윗옷 등에 간편히 부착하여 사용할 수 있어 제품의 사용편의성을 확보할 수 있는 소음 저감 조절용 청력보호구를 제공함에 있다.In addition, the hearing protector can be connected to the control line and the length of the control line can be easily controlled by the reel holder, so that the user can easily retrieve and store the hearing protector by the operation of the reel holder, The present invention provides a hearing protection device for noise reduction control which can easily use the reel holder by attaching the reel holder to a user's safety cap .
상기와 같은 목적을 달성하기 위한 본 발명에 따른 소음 저감 조절용 청력보호구는 외이도에 삽입되도록 소프트 재질로 된 봉 형상의 몸체와, 그 몸체의 외주에 환형으로 형성되어 외이도에 밀착되는 하나 이상의 박막을 포함하는 청력보호구에 있어서,According to an aspect of the present invention, there is provided a hearing protector for controlling noise reduction, the hearing protector including a bar body made of soft material to be inserted into an ear canal, and at least one thin film formed annularly on the outer periphery of the body, In a hearing aid,
상기 몸체의 길이방향으로 관통되어 형성되는 소음안내공과, 일단은 상기 소음안내공에 억지끼움 되어 고정되되, 내부에는 상기 소음안내공과 연통되게 관통되는 삽입공이 형성되며, 타단에는 상기 삽입공의 개폐를 결정하는 덮개가 형성되는 조절본체와, 상기 조절본체의 삽입공에 삽입 고정되어 상기 조절본체의 삽입공을 폐쇄하여 소음을 저감시키는 다수의 음향필터로 구성되는 소음 조절수단;과, 상기 박막에 관통 형성되는 하나 이상의 벤트;를 더 포함하여 구성되되,A sound guide hole formed to penetrate the body in a longitudinal direction of the body; an end of the noise guide hole being fixedly fixed to the noise guide hole, wherein an insertion hole communicating with the noise guide hole is formed therein, And a plurality of acoustic filters which are inserted into the insertion holes of the adjustment body to close the insertion holes of the adjustment body to reduce noises, And one or more vents formed on the substrate,
각각의 상기 음향필터는 소음을 저감시키는 소음차단의 정도를 서로 다르게 형성하여 사용자가 선택하는 어느 하나의 상기 음향필터를 상기 조절본체의 삽입공에 삽입하여 사용자가 원하는 만큼 소음을 저감시켜 사용하도록 하도록 하는 것을 특징으로 한다.Each of the acoustic filters has a different degree of noise reduction for reducing noise, so that any one of the acoustic filters selected by the user is inserted into the insertion hole of the adjustment body so as to reduce the noise as desired by the user .
또한, 상기 음향필터 내부에는 소정의 직경 및 높이를 갖는 차단홈을 형성하되, 각각의 상기 음향필터에 형성되는 차단홈은 직경 또는 높이 또는 직경과 높이가 서로 다르게 형성되어 각각의 상기 음향필터는 소음차단의 정도가 서로 다르게 형성되도록 하는 것을 특징으로 한다.In the acoustic filter, a cut-off groove having a predetermined diameter and a predetermined height may be formed, and the cut-out groove formed in each acoustic filter may have a different diameter or height or a different diameter and height, So that the degree of blockage is formed differently from each other.
또한, 상기 몸체 상에 형성되어 소정의 탄성을 갖는 것으로, 착용시 착용자의 귀바퀴 내측에 밀착 안착되어 상기 몸체의 안정적인 위치 고정을 유도하는 지지대;를 더 포함하여 구성되는 것을 특징으로 한다.Further, the present invention is further characterized in that the support is formed on the body so as to have a predetermined elasticity, and is supported by the support to be stably mounted on the inner side of the wearer's wrist when worn, thereby inducing stable position fixation of the body.
또한, 일단은 왼쪽 귀에 착용되는 상기 소음 저감 조절용 청력보호구의 몸체 상에 형성되는 상기 지지대와 연결되고, 타단은 오른쪽 귀에 착용되는 상기 소음 저감 조절용 청력보호구의 몸체 상에 형성되는 상기 지지대와 연결되는 연결줄과, 상기 지지대에 상기 연결줄의 끝단을 연결하는 연결수단을 더 포함하여 구성되는 것을 특징으로 한다.The other end of the hearing protector is connected to the support member formed on the body of the noise reduction control hearing protector, which is worn on the right ear, and the other end is connected to the support member formed on the body of the noise- And connecting means for connecting an end of the connecting line to the supporting base.
또한, 상기 연결수단은 상기 연결줄 끝단에 형성되는 구 형상의 연결돌기와, 상기 지지대에 홈 또는 관통 형성되어 상기 연결돌기가 억지끼움 되도록 하는 연결공으로 구성되어,The connection means may include a spherical connection protrusion formed at an end of the connection line, and a connection hole formed in the support to penetrate the connection protrusion,
상기 연결돌기를 상기 연결공에 간편히 억지끼움 하여 상기 연결줄에 의해 양쪽의 상기 소음 저감 조절용 청력보호구가 서로 안정적으로 연결되도록 하는 것을 특징으로 한다.The connection protrusions are easily inserted into the connection holes so that the noise reduction mitigation hearing protectors on both sides are stably connected to each other by the connection string.
또한, 상기 연결수단은 상기 지지대에 형성되는 연결홈과, 양끝단이 상기 연결홈의 내면에 결합 고정되는 연결봉으로 구성되어,The connecting means may include a connecting groove formed in the support base and a connecting rod whose both ends are fixed to the inner surface of the connecting groove,
상기 연결줄의 끝단이 상기 연결봉에 결속되어 상기 연결줄에 의해 양쪽의 상기 소음 저감 조절용 청력보호구가 서로 안정적으로 연결되도록 하는 것을 특징으로 한다.And an end of the connection string is coupled to the connection rod so that the noise reduction mitigation hearing protection ports of both sides are stably connected to each other by the connection string.
또한, 일단은 상기 지지대에 연결 결속되는 조절줄과, 상기 조절줄의 타단을 감거나 풀어 상기 조절줄의 길이를 조절하는 릴홀더와, 상기 릴홀더를 부착하는 부착수단을 더 포함하여 구성되어,The reel holder may further include an adjustment line connected to the support, a reel holder for winding or loosening the other end of the adjustment line to adjust the length of the adjustment line, and attachment means for attaching the reel holder,
사용자가 상기 조절줄에 연결되는 상기 지지대를 당기면 상기 릴홀더에 감긴 상기 조절줄이 풀리면서 상기 조절줄의 길이가 늘어나고, 상기 릴홀더의 작동을 통해 상기 조절줄을 감으면 상기 조절줄의 길이가 줄어들면서 상기 조절줄과 연결되는 상기 지지대가 원위치로 복귀되도록 하는 것을 특징으로 한다.When the user pulls the support rod connected to the adjustment rod, the adjustment rod wound on the reel holder is loosened to increase the length of the adjustment rod. When the adjustment rod is wound through the operation of the reel holder, So that the support member connected to the control line is returned to the original position.
또한, 상기 부착수단은 상기 릴홀더에 결합 고정되는 수놈 벨크로와, 부착하고자 하는 물건에 결합 고정되는 암놈 벨크로로 구성되어, 상기 물건에 결합된 상기 암놈 벨크로에 상기 릴홀더에 형성된 상기 수놈 벨크로를 부착 결합하여 상기 릴홀더가 상기 물건에 견고히 고정되도록 하는 것을 특징으로 한다.Further, the attaching means may include a male velcro fastened to the reel holder and a female velcro fastened to the object to be attached, and the male velcro formed on the reel holder is attached to the female hook- So that the reel holder is firmly fixed to the object.
또한, 상기 부착수단으로 상기 릴홀더에 부착 결합되는 자석 또는 클립으로 구체화하여,In addition, by embodying a magnet or clip which is attached to the reel holder by the attachment means,
상기 자석의 자력을 통해서 상기 릴홀더를 금속의 물건에 간편히 부착 고정하거나, 상기 클립을 착용자의 옷에 끼워 간편히 상기 릴홀더를 고정하도록 하는 것을 특징으로 한다.The reel holder can be easily attached and fixed to the metal object through the magnetic force of the magnet or the clip can be inserted into the wearer's clothes and the reel holder can be easily fixed.
또한, 착용자의 외이도로 유입되는 상기 몸체의 끝단이 잘 휘어질 수 있도록 상기 몸체의 끝단 외주면에 주름을 더 형성하여,Further, a wrinkle is further formed on the outer peripheral surface of the end of the body so that the end of the body, which is introduced into the wearer's ear canal,
상기 몸체를 착용자의 귀로 착용하는 과정에서 상기 주름으로 인해 외이도의 내부의 굴곡에 적합하게 상기 몸체의 끝단이 용이하게 휘어져 사용자에게 착용의 편의성을 제공하도록 하는 것을 특징으로 한다.The end of the body is easily bent in accordance with the bending of the inside of the external ear canal due to the wrinkles in the process of wearing the body with the wearer's ear, thereby providing convenience to the wearer.
또한, 상기 몸체의 끝단은 1 내지 30°로 경사지게 형성되는 것을 특징으로 한다.In addition, the end of the body is formed to be inclined at 1 to 30 degrees.
이상에서와 같이 본 발명에 따른 소음 저감 조절용 청력보호구에 의하면, 청력보호구를 이루는 몸체에 소음 조절수단을 형성하여 몸체를 통해 사용자의 귀로 유입되는 소음의 저감 정도를 사용 현장 상황을 고려하여 적합하게 제어할 수 있어, 외부의 소음은 차단(저감)하되 현장에서 필요한 외부 음원은 들을 수 있도록 유도하여 소음이 빈번하게 발생되는 건설 현장이나 군 부대 등에서 효과적으로 사용할 수 있는 효과가 있다.As described above, according to the noise reduction control hearing protector according to the present invention, the noise control means is formed on the body constituting the hearing protector, and the degree of noise reduction introduced into the user's ear through the body is appropriately controlled And can be effectively used in a construction site or a military unit where noise is frequently generated by inducing an external sound source to be heard in the field while blocking external noise.
또한, 박막에 형성되는 벤트로 인해 착용자의 외이도가 완전하게 폐쇄되지 않아 외이도의 밀폐로 인해 발생하는 착용의 답답함 및 자신의 목소리 울림이 방지되어 착용자에게 착용의 편의성을 제공할 수 있는 효과가 있다.In addition, since the ventilation of the wearer is not completely closed due to the vent formed in the thin film, it is possible to prevent weariness of the wear due to the sealing of the ear canal and sound of the user's own voice, thereby providing convenience to the wearer.
또한, 한쌍의 청력보호구를 연결수단과 연결줄을 통해 서로 연결하여 사용자에게 청력보호구의 보관 및 관리의 편의성을 제공하여 청력보호구의 분실을 최소화할 수 있는 효과가 있다.In addition, the pair of hearing protec- tions are connected to each other through the connection means and the connection line, thereby providing convenience to the user for storing and managing the hearing protector, thereby minimizing the loss of the hearing protector.
또한, 청력보호구를 조절줄로 연결하고, 그 조절줄의 길이를 릴홀더로 간편히 제어할 수 있도록 구성하여 사용자가 릴홀더의 조작으로 간편히 청력보호구의 회수, 보관을 자동으로 수행할 수 있어 청력보호구의 오염을 효과적으로 예방할 수 있을 뿐만 아니라, 부착수단을 통해 릴홀더를 사용자의 안전모(군모) 및 윗옷 등에 간편히 부착하여 사용할 수 있어 제품의 사용편의성을 확보할 수 있는 효과가 있다.In addition, the hearing protector can be connected to the control line and the length of the control line can be easily controlled by the reel holder, so that the user can easily retrieve and store the hearing protector by the operation of the reel holder, It is possible to effectively prevent the contamination of the reel holder, and the reel holder can be easily attached to the user's safety cap and upper clothes through the attaching means, thereby ensuring ease of use of the product.
도 1은 본 발명의 제1실시예에 따른 소음 저감 조절용 청력보호구의 사시도
도 2는 도 1에 도시된 소음 저감 조절용 청력보호구의 단면도
도 3은 도 1에 도시된 소음 저감 조절용 청력보호구의 분리 사시도
도 4는 본 발명의 제2실시예에 따른 소음 저감 조절용 청력보호구의 사시도
도 5는 본 발명의 제3실시예에 따른 소음 저감 조절용 청력보호구의 사시도
도 6은 본 발명의 제4실시예에 따른 소음 저감 조절용 청력보호구의 사시도
도 7은 본 발명의 제5실시예에 따른 소음 저감 조절용 청력보호구의 사시도
도 8은 본 발명의 제6실시예에 따른 소음 저감 조절용 청력보호구의 사시도
도 9는 도 1에 도시된 소음 저감 조절용 청력보호구의 사용상태도
도 10은 도 4에 도시된 소음 저감 조절용 청력보호구의 사용상태도
도 11은 도 6에 도시된 소음 저감 조절용 청력보호구의 사용상태도1 is a perspective view of a noise-reducing hearing protector according to a first embodiment of the present invention;
 Fig. 2 is a cross-sectional view of the noise-reducing hearing protection shown in Fig. 1
 3 is an exploded perspective view of the noise-
 4 is a perspective view of a noise-reducing hearing protection device according to a second embodiment of the present invention;
 5 is a perspective view of a noise-reducing hearing protector according to a third embodiment of the present invention;
 6 is a perspective view of a noise-reducing hearing protector according to a fourth embodiment of the present invention
 FIG. 7 is a perspective view of a noise-reducing hearing protector according to a fifth embodiment of the present invention
 8 is a perspective view of a noise-reducing hearing protector according to a sixth embodiment of the present invention
 FIG. 9 is a view showing the state of use of the noise reduction control sound hole shown in FIG. 1
 Fig. 10 is a view showing the state of use of the hearing protection for noise reduction shown in Fig.
 Fig. 11 is a diagram showing the state of use of the hearing protection for noise reduction control shown in Fig. 6
본 발명의 바람직한 실시예에 따른 소음 저감 조절용 청력보호구를 첨부된 도면에 의거하여 상세히 설명한다. 본 발명의 요지를 불필요하게 흐릴 수 있다고 판단되는 공지 기능 및 구성에 대한 상세한 기술은 생략한다.A hearing protector for noise reduction control according to a preferred embodiment of the present invention will be described in detail with reference to the accompanying drawings. Detailed descriptions of well-known functions and constructions that may be unnecessarily obscured by the gist of the present invention will be omitted.
도 1 내지 도 11은 본 발명의 실시예에 따른 소음 저감 조절용 청력보호구를 도시한 것으로, 도 1은 본 발명의 제1실시예에 따른 소음 저감 조절용 청력보호구의 사시도와, 도 2는 도 1에 도시된 소음 저감 조절용 청력보호구의 단면도를, 도 3은 도 1에 도시된 소음 저감 조절용 청력보호구의 분리 사시도를, 도 4는 본 발명의 제2실시예에 따른 소음 저감 조절용 청력보호구의 사시도를, 도 5는 본 발명의 제3실시예에 따른 소음 저감 조절용 청력보호구의 사시도를, 도 6은 본 발명의 제4실시예에 따른 소음 저감 조절용 청력보호구의 사시도를, 도 7은 본 발명의 제5실시예에 따른 소음 저감 조절용 청력보호구의 사시도를, 도 8은 본 발명의 제6실시예에 따른 소음 저감 조절용 청력보호구의 사시도를, 도 9는 도 1에 도시된 소음 저감 조절용 청력보호구의 사용상태도를, 도 10은 도 4에 도시된 소음 저감 조절용 청력보호구의 사용상태도를, 도 11은 도 6에 도시된 소음 저감 조절용 청력보호구의 사용상태도를 각각 나타낸 것이다.FIG. 1 is a perspective view of a noise-reducing hearing protection device according to a first embodiment of the present invention, and FIG. 2 is a perspective view of a noise- FIG. 3 is a perspective view of a hearing protector for noise reduction control shown in FIG. 1, FIG. 4 is a perspective view of a hearing protector for noise reduction control according to a second embodiment of the present invention, FIG. 5 is a perspective view of a hearing protector for noise reduction control according to a third embodiment of the present invention, FIG. 6 is a perspective view of a hearing protector for noise reduction control according to a fourth embodiment of the present invention, FIG. 8 is a perspective view of a noise-reducing hearing protector according to a sixth embodiment of the present invention, FIG. 9 is a perspective view of a noise-reducing hearing protector according to an embodiment of the present invention, The attitude, Figure 10 is a state diagram showing the use of the noise reduction for adjusting hearing protectors illustrated in the state diagram of the operating noise reduction adjustment hearing protection, Figure 11 is shown in Figure 4. Figure 6 respectively.
도 1 내지 도 3에 도시한 바와 같이, 본 발명의 실시예에 따른 소음 저감 조절용 청력보호구(100)는 외이도에 삽입되도록 소프트 재질로 된 봉 형상의 몸체(1)와, 그 몸체(1)의 외주에 환형으로 형성되어 외이도에 밀착되는 하나 이상의 박막(2)을 포함하는 청력보호구에 있어서,1 to 3, a noise-reducing
소음 조절수단(10)과, 벤트(20)를 더 포함하고 있다.Noise control means 10, and a
상기 소음 조절수단(10)은 상기 몸체(1)의 길이방향으로 관통되어 형성되는 소음안내공(11)과, 일단은 상기 소음안내공(11)에 억지끼움 되어 고정되되, 내부에는 상기 소음안내공(11)과 연통되게 관통되는 삽입공(12a)이 형성되며, 타단에는 상기 삽입공(12a)의 개폐를 결정하는 덮개(12b)가 형성되는 조절본체(12)와, 상기 조절본체(12)의 삽입공(12a)에 삽입 고정되어 상기 조절본체(12)의 삽입공(12)을 폐쇄하여 소음을 저감시키는 다수의 음향필터(13)로 구성된다.The noise control means 10 includes a
즉, 도 9a에 도시된 바와 같이 사용자는 소음이 발생하는 현장에서 소음은 저감시키고 원활한 작업의 진행을 위해 외부의 음원은 들을 수 있도록 상기 조절본체(12)의 덮개(12b)를 열어 상기 소음안내공(11)과 연통되게 연결되는 상기 삽입공(12a)을 개방한 후에 상기 삽입공(12a) 내부로 소음을 저감시키는 하나의 상기 음향필터(13)를 삽입 고정하여 외부의 소음을 적합하게 저감시켜 외부 음원을 원활하게 듣도록 유도한다.That is, as shown in FIG. 9A, the user opens the
이때, 사용자는 현장에서 발생되는 소음 정도를 고려하여 외부의 소음 정도가 큰 경우에는 소음차단의 정도가 높은 상기 음향필터(13)를 사용하고, 현장에서 발생되는 소음의 정도가 작은 경우에는 소음차단의 정도가 낮은 상기 음향필터(13)를 선택 사용하여 현장의 소음 정도에 적합하게 상기 음향필터(13)를 자유롭게 선택하여 사용할 수 있다.In this case, the user uses the
따라서, 사용자는 상기 조절본체(12)의 삽입공(12a)에 다양한 소음차단 정도를 갖는 상기 음향필터(13)를 선택 사용하여 현장의 소음 정도를 고려하여 사용자가 원하는 만큼 소음을 저감시켜 사용하도록 한다.Accordingly, the user can selectively use the
여기서, 도 1 내지 도 3에 도시된 바와 같이 상기 음향필터(13) 내부에는 소정의 직경(D) 및 높이(H)를 갖는 차단홈(13a)을 형성하되, 각각의 상기 음향필터(13)에 형성되는 차단홈(13a)은 직경(D) 또는 높이(H) 또는 직경(D)과 높이(H)가 서로 다르게 형성되어 각각의 상기 음향필터(13)는 소음차단의 정도가 서로 다르게 형성되도록 구성함이 바람직하다.1 to 3, a cut-
즉, 상기 차단홈(13a)의 직경(D)이 작고 높이(H)가 낮을수록 외부의 소음을 차단하는 정도(능력)가 우수하고, 상기 차단홈(13a)의 직경(D)이 크고 높이(H)가 높을수록 외부의 소음을 차단하는 정도가 낮으므로, 사용자는 상기 음향필터(13)에 형성되는 차단홈(13a)의 직경(D) 및 높이(H)를 고려하여 선택 사용하면 된다.That is, as the diameter D of the cut-off
여기서, 상기 음향필터(13)의 과학적인 설계 과정을 살펴본다.Here, the scientific design process of the
소음에 의한 난청은 주로 고주파 신호에 의하게 되므로 고주파 신호를 감쇄시켜주는 주파수 필터가 필요하다. 즉, 아래의 [그림 1]과 같이 수백 Hz부터 급격히 신호를 감쇄시켜 청각을 보호할 필요가 있다.Since hearing loss due to noise is mainly attributed to high-frequency signals, a frequency filter that attenuates high-frequency signals is required. That is, it is necessary to protect the auditory sense by attenuating the signal sharply from several hundred Hz as shown in [Figure 1] below.
[그림 1] 청각 보호를 위한 주파수 필터의 특성[Figure 1] Characteristics of frequency filter for hearing protection
이러한 고주파 감쇄 필터, 즉 저주파 통과 필터는 아래의 [그림 2]와 같이 직경이 다른 대롱(파이프)을 여러 개 연결함으로서 구현이 가능하다.Such a high-frequency attenuating filter, that is, a low-pass filter, can be realized by connecting a plurality of pipes having different diameters as shown in [Fig. 2].
즉, 빈 대롱에 음파가 진행하면, 직경이 바뀌는 부분에서 불연속이 생겨 음파의 일부가 반사되고 나머지만 통과하게 된다. 이때 반사되는 비율이 직경, 벽면의 재질, 그리고 신호의 주파수에 따라 다르게 된다. 여러 개의 대롱이 연결된 경우, 이러한 반사면이 여러 개가 되어, 한 면에서 반사된 음성이 다른 면에서 또 반사되는 디중반사 현상이 생기게 되며, 이를 통해 반사 및 투과 계수가 주파수의 함수로서 급격히 변할수 있게 된다.That is, when a sound wave propagates to a hollow drum, a discontinuity occurs at a portion where the diameter changes, so that a part of the sound wave is reflected and passes through the remaining one. At this time, the reflection ratio depends on the diameter, the material of the wall, and the frequency of the signal. When multiple bars are connected, there will be multiple such reflection surfaces, resulting in a double reflection phenomenon where the reflected sound from one side is reflected from the other side, which allows the reflection and transmission coefficients to change rapidly as a function of frequency .
[그림 2] 직경이 다른 대롱을 연결한 저주파 통과 필터의 구현, 직경이 각각a1,a2 및a3 이고 길이가L1,L2 및L3 인 3개 대롱으로 구성된 저주파 통과 필터의 예[Figure 2] Implementation of a low-pass filter with a different diameter for different lengths. Example of a low-pass filter composed of three strands with diametersa1 ,a2 anda3 and lengthsL1 ,L2 andL3
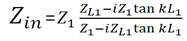
이러한 소리도파관에서의 소리의 반사와 투과 현상을 분석하는데 아래의 [그림 3]과 같은 임피던스(impedance) 모델이 많이 사용된다.In order to analyze the reflection and transmission of sound in these sound waveguides, the impedance model as shown in [Figure 3] is used.
즉, 각각의 단일 영역에서의 소리 전달특성을 고유임피던스(characteristic impedance)Zn (n=0,1,2,3,4)로 나타내는데, 고유임피던스Zn는That is, the sound transmission characteristic in each single region is represented by a characteristic impedanceZn (n = 0, 1, 2, 3, 4). The inherent impedanceZn
가 된다. 여기서 ρ는 매질의 밀도이고,vs 는 소리의 속도이다.. Where ρ is the density of the medium, andvs is the speed of sound.
또한,Z0 는 외부 대기의 고유임피던스, 그리고Z4 는 중이(middle ear)의 고유임피던스이다.In addition,Z0 is the intrinsic impedance of the outer atmosphere, andZ4 is the intrinsic impedance of the middle ear.
[그림 3] 저주파 통과 필터의 소리 도파관(transmission-line) 모델[Figure 3] Transmission-line model of low-pass filter
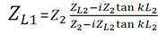
여기서,Z1,Z2 및Z3 는 각각 직경이a1,a2 및a3 인 도파관의 고유임피던스(characteristic impedance)이며,Z0 는 외부 대기의 고유임피던스, 그리고Z4 는 중이(middle ear)의 고유임피던스이다.WhereZ1 ,Z2 andZ3 are the characteristic impedances of the waveguides whose diameters area1 ,a2 anda3 respectively,Z0 is the intrinsic impedance of the outer atmosphere, andZ4 is the middle ear ). ≪ / RTI >
외부 공기와 주파수 필터의 경계면에서의 소리 반사계수는The sound reflection coefficient at the interface between the external air and the frequency filter is
로 쓸 수 있는데, 여기서Zin 은 주파수 필터와 그 이후 부분을 모두 포괄하는 임피던스로서, WhereZin is the impedance that encompasses both the frequency filter and the rest of it
로 쓸 수 있다. 여기서k=2/=2f/vs 이고,f는 주파수이다. 소리가 대롱 내부에서 손실되지 않으므로, 투과계수는Can be written as. Wherek = 2 / = 2f / vs andf is the frequency. Since the sound is not lost inside the drum, the permeability coefficient is
가 된다. 즉, 반경과 재질이 다른 여러 대롱을 통해 전달되는 소리의 투과율은 대롱의 직경, 길이와 주파수의 함수가 된다. 직경과 길이를 적절히 조정함으로서 [그림 1]과 같은 고주파 감쇄 필터, 즉 저주파 통과 필터를 설계할 수 있게 된다.. In other words, the transmittance of the sound transmitted through the various barriers with different radii and materials is a function of the diameter, length and frequency of the barrel. By appropriately adjusting the diameter and length, it is possible to design a high-frequency attenuation filter, that is, a low-pass filter as shown in [Fig. 1].
따라서, 주파수 필터의 설계는 [그림 1]의 감쇄가 나타나기 시작하는 주파수와 그 이후의 기울기가 원하는 값이 되도록 각 소리 도파관의 직경과 길이를 정하는 문제이다. 위의 수식은 그 관계가 매우 복잡하여 설계에 어려움이 있다. 다만, 실지로는 주파수 필터가 귀속에 들어갈 수 있도록 작아야 하기 때문에, tankL 을kL로 근사화할 수 있고, 이를 이용하여 효과적인 상기 음향필터(13)의 설계를 수행하였다.Therefore, the design of the frequency filter is to determine the diameter and the length of each sound waveguide so that the frequency at which the attenuation starts to appear and the slope thereafter become a desired value. The above formula is very complicated and difficult to design. In practice, however, since the frequency filter must be small enough to be able to enter theearpiece , tankL can be approximated tokL , and the effective design of the
도 1 내지 도 3에 도시된 바와 같이, 상기 벤트(20)는 상기 박막(2)에 하나 이상 관통 형성되도록 구성된다.As shown in FIGS. 1 to 3, the
즉, 종래의 청력보호구는 착용시 착용자의 외이도를 밀폐시킴으로 장시간 착용시 착용자는 답답함을 느끼며(폐쇄현상), 자신의 목소리가 울리는 현상이 발생되어 대부분의 착용자가 장시간 착용시 매우 불편함을 느끼는데, 도 9c에 도시된 바와 같이 본 발명의 소음 저감 조절용 청력보호구(100)는 박막(2)에 형성되는 상기 벤트(20)로 인해 착용자의 외이도를 완전하게 폐쇄하지 않음으로 폐쇄현상 및 자신의 목소리 울림 현상이 방지되어 착용자에게 효과적으로 착용의 편의성을 제공할 수 있다.In other words, the conventional hearing protector closes the ear canal of the wearer when worn. Therefore, when the wearer wears the wearer for a long time, the wearer feels frustration (closure phenomenon), his / her voice rings, and most wearers feel very uncomfortable when worn for a long time. As shown in FIG. 9C, the noise
본 발명의 소음 저감 조절용 청력보호구(100)는 각각의 박막(2)에 하나의 상기 벤트(20)가 형성되도록 구성하나, 이러한 개수로 한정하여 사용하는 것은 물론 아니다.The noise
한편, 도 1 내지 도 3에 도시된 바와 같이 상기 몸체(1) 상에 형성되어 소정의 탄성을 갖는 것으로, 착용시 착용자의 귀바퀴 내측에 밀착 안착되어 상기 몸체(1)의 안정적인 위치 고정을 유도하는 지지대(30);를 더 포함하여 구성하여,As shown in FIGS. 1 to 3, the
도 9c에 도시된 바와 같이, 상기 몸체(1)가 사용자의 외이도에 삽입되면 상기 지지대(30)는 사용자의 귀바퀴에 내입 고정되어 상기 몸체(1)를 견고히 지지 고정함으로, 본 발명의 소음 저감 조절용 청력보호구(100)를 장시간 사용하는 과정에서 사용자의 활동에 의한 흔들림 등의 요인으로 인해 외이도에서 상기 몸체(1)가 서서히 이탈되는 것을 안정적으로 차단할 수 있어 청력보호구의 기능을 장시간 안정적으로 유지할 수 있도록 한다.9 (c), when the
여기서, 상기 지지대(30)는 사용자의 귀바퀴에 용이하게 밀착 고정될 수 있도록 소정의 탄성을 갖는 재질로 제작하여 착용의 편의성을 제공함이 바람직하다.Here, the
한편, 도 4에 도시된 바와 같이 일단은 왼쪽 귀에 착용되는 본 발명의 소음 저감 조절용 청력보호구(100)의 몸체(1) 상에 형성되는 상기 지지대(30)와 연결되고, 타단은 오른쪽 귀에 착용되는 본 발명의 소음 저감 조절용 청력보호구(100)의 몸체(1) 상에 형성되는 상기 지지대(30)와 연결되는 연결줄(41)과, 상기 지지대(30)에 상기 연결줄(41)의 끝단을 연결하는 연결수단(42)을 더 포함하여 구성되어,4, one end is connected to the
도 10에 도시된 바와 같이, 한쌍의 본 발명의 소음 저감 조절용 청력보호구(100)를 상기 연결줄(41)과 연결수단(42)을 통해 서로 간편히 연결 사용할 수 있어 본 발명의 소음 저감 조절용 청력보호구(100)의 보관 및 관리하는 과정에서 청력보호구의 분실을 최소화할 수 있다.10, a pair of hearing
여기서, 도 4에 도시된 바와 같이 상기 연결수단(42)은 상기 연결줄(41) 끝단에 형성되는 구 형상의 연결돌기(42a)와, 상기 지지대(30)에 홈 또는 관통 형성되어 상기 연결돌기(42a)가 억지끼움 되도록 하는 연결공(42b)으로 구성하여, 상기 연결돌기(42a)를 상기 연결공(42b)에 간편히 억지끼움 하여 상기 연결줄(41)에 의해 양쪽의 본 발명의 소음 저감 조절용 청력보호구(100)가 서로 안정적으로 연결되도록 하거나,4, the connecting
도 5에 도시된 바와 같이, 상기 지지대(30)에 형성되는 연결홈(42c)과, 양끝단이 상기 연결홈(42c)의 내면에 결합 고정되는 연결봉(42d)으로 구성하여, 상기 연결줄(41)의 끝단이 상기 연결봉(42d)에 결속되어 상기 연결줄(41)에 의해 양쪽의 본 발명의 소음 저감 조절용 청력보호구(100)가 서로 안정적으로 연결되도록 구체화할 수 있으나, 이러한 구조로 한정하여 사용하는 것은 물론 아니다.A
한편, 도 6에 도시된 바와 같이 일단은 상기 지지대(30)에 연결 결속되는 조절줄(51)과, 상기 조절줄(51)의 타단을 감거나 풀어 상기 조절줄(51)의 길이를 조절하는 릴홀더(52)와, 상기 릴홀더(52)를 부착하는 부착수단(53)을 더 포함하여, 사용자에게 본 발명의 소음 저감 조절용 청력보호구(100)의 사용편의성을 제공함이 바람직하다.6, one end is connected to the
즉, 도 11a에 도시된 바와 같이 사용자는 본 발명의 소음 저감 조절용 청력보호구(100)를 용이하게 사용할 수 있는 위치의 물건(3), 일예로 공사 현장에서 사용되는 안전모 등에 상기 부착수단(53)을 통해 상기 릴홀더(52)를 간편히 부착하여 상기 릴홀더(52)에 결속되는 상기 조절줄(51)을 통해 본 발명의 소음 저감 조절용 청력보호구(100)의 위치를 고정한 상태에서,11A, the user may attach the
본 발명의 소음 저감 조절용 청력보호구(100)의 사용이 요구되면, 도 11b에 도시된 바와 같이 상기 조절줄(51)에 결속된 상기 지지대(30)를 당겨 상기 릴홀더(52)로부터 상기 조절줄(51)을 길게 푼 다음 상기 조절줄(51)에 결속된 상기 지지대(30)와 함께 상기 몸체(1)를 사용자 귀의 귀바퀴 및 외이도로 삽입 위치하여 간편히 착용한다.11B, when the
그런 후, 본 발명의 소음 저감 조절용 청력보호구(100)의 착용 해제가 요구되면, 도 11c에 도시된 바와 같이 사용자의 귀로부터 상기 지지대(30)와 함께 몸체(1)를 간편히 회수한 후에 상기 릴홀더(52)를 작동시켜 상기 릴홀더(52)에 풀어진 상기 조절줄(52)이 감겨 복귀되게 하고, 이때 상기 조절줄(52)과 함께 상기 지지대(30)와 함께 몸체(1)가 자동으로 복귀되면서 간편히 회수, 보관된다.Then, if it is desired to release the wearer's
여기서, 상기 릴홀더(52)는 통상적으로 줄을 가고 푸는데 사용되는 릴홀더를 사용함으로 이에 대한 상세한 설명은 생략하도록 한다.Here, the
즉, 상기 지지대(30)와 몸체(1)를 회수, 보관하는 과정에서 쉽게 오염되는 사용자의 손과의 접촉을 최소화하여 상기 지지대(30)와 몸체(1)의 오염을 효과적으로 예방하는 동시에, 상기 릴홀더(52)를 통해 자동으로 상기 지지대(30)와 몸체(1)를 회수, 보관할 수 있어 사용자에게 사용편의성을 제공하도록 한다.That is, it is possible to minimize the contact between the
여기서, 도 6에 도시된 바와 같이 상기 부착수단(53)은 상기 릴홀더(52)에 결합 고정되는 수놈 벨크로(53a)와, 부착하고자 하는 물건(3)에 결합 고정되는 암놈 벨크로(53b)로 구성되어,6, the attachment means 53 includes a male velcro 53a coupled to the
도 11a에 도시된 바와 같이, 상기 물건(3)에 결합된 상기 암놈 벨크로(53b)에 상기 릴홀더(52)에 형성된 상기 수놈 벨크로(53a)를 부착 결합하여 상기 릴홀더(52)가 상기 물건(3)에 견고히 고정되도록 한다.11a, the male velcro 53a formed on the
한편, 도 7과 도 8에 도시된 바와 같이 상기 부착수단(53)으로 상기 수놈 및 암놈 벨크로(53a,53b)를 대신하여 상기 릴홀더(52)에 부착 결합되는 자석(53c) 또는 클립(53d)으로 구체화할 수 있으며,7 and 8, a magnet 53c or a clip 53d (not shown) attached to the
도 7에 도시된 바와 같이, 상기 부착수단(53)이 자석(53c)으로 구체화되면 상기 자석(53c)의 자력을 통해서 간편히 부착할 수 있는 금속의 물건(3)에 상기 릴홀더(52)를 부착하여 사용하고, 도 8에 도시된 바와 같이 상기 부착수단(53)이 클립(53d)으로 구체화되면 상기 클립(53d)으로 간편이 부착할 수 있는 물건(3), 일예로 착용자의 윗옷에 간편히 상기 클립(53d)을 끼워 상기 릴홀더(52)를 부착하여 사용하도록 함이 바람직하다.7, when the attachment means 53 is embodied as a magnet 53c, the
한편, 도 1 내지 도 3에 도시된 바와 같이 착용자의 외이도로 유입되는 상기 몸체(1)의 끝단이 잘 휘어질 수 있도록 상기 몸체(1)의 끝단 외주면에 주름(60)을 더 형성하여,1 to 3, a
도 9b에 도시된 바와 같이, 상기 몸체(1)를 착용자의 귀로 착용하는 과정에서 상기 주름(60)으로 인해 외이도의 내부의 굴곡에 적합하게 상기 몸체(1)의 끝단이 용이하게 휘어지도록 유도하여 사용자에게 착용의 편의성을 제공함이 바람직하다.As shown in FIG. 9B, in the process of wearing the
여기서, 도 2에 도시된 바와 같이 상기 몸체(1)의 끝단은 외이도의 굴곡을 고려하여 1 내지 30°로 경사(θ)지게 형성하여, 도 9b에 도시된 바와 같이 상기 몸체(1)가 외이도에 삽입 안치되면 소정의 굴곡을 갖는 외이도에 상기 몸체(1)의 끝단이 안정적으로 안착되어 사용자에게 착용의 편안함을 제공하도록 함이 바람직하다.As shown in FIG. 2, the end of the
상기와 같은 구성요소로 이루어지는 본 발명의 소음 저감 조절용 청력보호구(100)는 청력보호구를 이루는 상기 몸체(1)에 상기 소음 조절수단(10)을 형성하여 상기 몸체(1)를 통해 사용자의 귀로 유입되는 소음의 저감 정도를 사용 현장 상황을 고려하여 사용자가 적합하게 제어할 수 있어, 외부의 소음은 차단(저감)하되 현장에서 필요한 외부 음원은 들을 수 있도록 유도하여 소음이 빈번하게 발생되는 건설 현장이나 군 부대 등에서 효과적으로 사용할 수 있는 효과가 있다.The noise reduction
또한, 상기 박막(2)에 형성되는 상기 벤트(20)로 인해 착용자의 외이도가 완전하게 폐쇄되지 않아 종래의 청력보호구 착용시 외이도의 밀폐로 인해 발생하는 착용의 답답함 및 자신의 목소리 울림이 방지되어 착용자에게 착용의 편의성을 제공할 수 있는 효과가 있다.In addition, since the
또한, 한쌍의 본 발명의 소음 저감 조절용 청력보호구(100)를 상기 연결수단(42)과 연결줄(41)을 통해 서로 연결하여 사용자에게 청력보호구의 보관 및 관리의 편의성을 제공하여 청력보호구의 분실을 최소화할 수 있는 효과가 있다.In addition, a pair of the noise reduction controlling
또한, 본 발명의 소음 저감 조절용 청력보호구(100)를 상기 조절줄(51)로 연결하고, 그 조절줄(51)의 길이를 상기 릴홀더(52)로 간편히 제어할 수 있도록 구성하여 사용자가 상기 릴홀더(52)의 조작으로 간편히 상기 지지대(30) 및 몸체(1)의 회수, 보관을 자동으로 수행할 수 있어 상기 지지대(2) 및 몸체(1)의 오염을 효과적으로 예방할 수 있을 뿐만 아니라, 상기 부착수단(53)을 통해 상기 릴홀더(52)를 사용자의 안전모(군모) 및 윗옷 등에 간편히 부착하여 사용할 수 있어 제품의 사용편의성을 확보할 수 있는 효과가 있다.The
상기와 같은 구성을 가진 본 발명의 실시예에 따른 소음 저감 조절용 청력보호구(100)는 다음과 같이 사용한다.The
먼저, 도 9a에 도시된 바와 같이 본 발명의 소음 저감 조절용 청력보호구(100)를 착용하기 전에 주변의 소음 상황을 고려하여 적절한 소음의 저감이 필요한 경우, 사용자는 소음 조절수단(10)의 조절본체(12)의 덮개(12b)를 열어 소음안내공(11)과 연통되게 연결되는 상기 조절본체(12)의 삽입공(12a)을 개방한 후, 상기 삽입공(12a) 내부로 소음을 저감시키는 하나의 음향필터(13)를 선택하여 상기 삽입공(12a)에 삽입 고정한다.First, as shown in FIG. 9A, when it is necessary to reduce the noise appropriately in consideration of the noise situation before wearing the
이때, 사용자는 주변의 소음 상황을 고려하여 서로 다른 소음차단 정도를 갖는 다수의 상기 음향필터(13) 중에서 적합한 음향필터(13)를 선택하는데, 여기서 사용자의 선택 편의성을 위해 상기 음향필터(13)에 소음저감 능력을 수치로 표시 제공함이 바람직하다.At this time, the user selects an appropriate
따라서, 사용자는 상기 음향필터(13)를 통해 현장에서 발생하는 소음을 저감시키는 동시에, 외부의 음원은 들을 수 있는 상태를 유지하여 소음이 발생하는 현장에서 장기간 원활한 작업을 수행할 수 있다.Accordingly, the user can reduce the noise generated in the field through the
한편, 도 9b에 도시된 바와 같이 본 발명의 소음 저감 조절용 청력보호구(100)를 착용하는 과정에서 몸체(1)의 끝단에 형성되는 주름(60)으로 인해 외이도의 내부의 굴곡에 적합하게 상기 몸체(1)의 끝단이 용이하게 휘어짐으로 사용자는 매우 편리하게 착용할 수 있음은 물론이며, 상기 몸체(1)가 외이도에 삽입 완료되면 외이도의 굴곡(경사)과 유사한 경사(θ)가 상기 몸체의 끝단에 형성됨으로 인해 상기 몸체(1)를 외이도에 매우 안정적인 안착시킬 수 있다.9B, in the course of wearing the
또한, 도 9c에 도시된 바와 같이 본 발명의 소음 저감 조절용 청력보호구(100)를 착용하면 지지대(30)가 착용자의 귀바퀴에 안착 고정되어 상기 몸체(1)의 위치를 고정시켜 본 발명의 소음 저감 조절용 청력보호구(100)를 장시간 안정적으로 고정 사용할 수 있다.As shown in FIG. 9C, when the
본 발명은 첨부된 도면에 도시된 실시예를 참고로 설명되었으나 이는 예시적인 것으로 상술한 실시예에 한정되지 않으며, 당해 분야에서 통상의 지식을 가진 자라면 이로부터 다양한 변형 및 균등한 실시예가 가능하다는 점을 이해할 수 있을 것이다. 또한, 본 발명의 사상을 해치지 않는 범위 내에서 당업자에 의한 변형이 가능함은 물론이다. 따라서, 본 발명에서 권리를 청구하는 범위는 상세한 설명의 범위 내로 정해지는 것이 아니라 후술되는 청구범위와 이의 기술적 사상에 의해 한정될 것이다.While the present invention has been particularly shown and described with reference to exemplary embodiments thereof, it is clearly understood that the same is by way of illustration and example only and is not to be construed as limiting the scope of the invention as defined by the appended claims. You will understand the point. It goes without saying that variations can be made by those skilled in the art without departing from the spirit of the present invention. Accordingly, the scope of claim of the present invention is not limited within the scope of the detailed description, but will be defined by the following claims and technical ideas thereof.
1. 몸체               2. 박막
3. 물건
10. 소음 조절수단     11. 소음 안내공
12. 조절본체          12a. 삽입공
12b. 덮개             13. 음향필터
13a. 차단홈           20. 벤트
30. 지지대            41. 연결줄
42. 연결수단          42a. 연결돌기
42b. 연결공           42c. 연결홈
42d. 연결봉           51. 조절줄
52. 릴홀더            53. 부착수단
53a. 수놈 벨크로      53b. 암놈 벨크로
53c. 자석             53d. 클립
60. 주름
θ. 경사              D. 직경
H. 높이
100. 소음 저감 조절용 청력보호구1.
 3. Things
 10. Noise control means 11. Noise guide ball
 12.
 12b.
 13a. Blocking Holes 20. Bent
 30. Supports 41. Connecting Lines
 42. Connection means 42a. Connecting projection
 42b.
 42d. Connecting
 52. Reel holder 53. Attachment means
 53a. Male Velcro 53b. Female Velcro
 53c. Magnet 53d. Clip
 60. Wrinkles
 θ. Slope D. Diameter
 H. Height
 100. Noise Reduction Hearing Protection
| Application Number | Priority Date | Filing Date | Title | 
|---|---|---|---|
| KR1020150097994AKR101801015B1 (en) | 2015-07-09 | 2015-07-09 | Noise Reduction adjustment Hearing Protector | 
| Application Number | Priority Date | Filing Date | Title | 
|---|---|---|---|
| KR1020150097994AKR101801015B1 (en) | 2015-07-09 | 2015-07-09 | Noise Reduction adjustment Hearing Protector | 
| Publication Number | Publication Date | 
|---|---|
| KR20170006801A KR20170006801A (en) | 2017-01-18 | 
| KR101801015B1true KR101801015B1 (en) | 2017-12-11 | 
| Application Number | Title | Priority Date | Filing Date | 
|---|---|---|---|
| KR1020150097994AActiveKR101801015B1 (en) | 2015-07-09 | 2015-07-09 | Noise Reduction adjustment Hearing Protector | 
| Country | Link | 
|---|---|
| KR (1) | KR101801015B1 (en) | 
| Publication number | Priority date | Publication date | Assignee | Title | 
|---|---|---|---|---|
| CN113593508B (en)* | 2021-06-28 | 2024-08-02 | 合肥市第一人民医院 | Medical nuclear magnetic resonance noise reduction protection device | 
| Publication number | Priority date | Publication date | Assignee | Title | 
|---|---|---|---|---|
| US20030159878A1 (en)* | 2000-04-06 | 2003-08-28 | Jorgen Hakansson | Earplug | 
| US20120257774A1 (en)* | 2009-12-21 | 2012-10-11 | Widex A/S | Ear plug for a hearing aid and a hearing aid | 
| US20140190494A1 (en)* | 2013-01-04 | 2014-07-10 | 3M Innovative Properties Company | Selective attenuating earplug | 
| Publication number | Priority date | Publication date | Assignee | Title | 
|---|---|---|---|---|
| US20030159878A1 (en)* | 2000-04-06 | 2003-08-28 | Jorgen Hakansson | Earplug | 
| US20120257774A1 (en)* | 2009-12-21 | 2012-10-11 | Widex A/S | Ear plug for a hearing aid and a hearing aid | 
| US20140190494A1 (en)* | 2013-01-04 | 2014-07-10 | 3M Innovative Properties Company | Selective attenuating earplug | 
| Publication number | Publication date | 
|---|---|
| KR20170006801A (en) | 2017-01-18 | 
| Publication | Publication Date | Title | 
|---|---|---|
| JP5502086B2 (en) | Protective device | |
| US6902029B2 (en) | Retractable ear protection device | |
| US9774943B1 (en) | Ear bud stabilizer | |
| US6148821A (en) | Selective nonlinear attenuating earplug | |
| US8186478B1 (en) | Multi-functional dual filtered hearing protector | |
| US12250523B2 (en) | Apparatus and method for an earpiece | |
| US20150047651A1 (en) | Compact high fidelity earplug | |
| US20140317849A1 (en) | Sound deafening pillow | |
| ATE298550T1 (en) | EARMUFFS WITH HEADPHONES | |
| US5332871A (en) | Sliding valve ear plug | |
| KR101801014B1 (en) | Noise Reduction adjustment Hearing Protector | |
| US20060042866A1 (en) | Hearing protection earplug, use of such an earplug and method for manufacturing such an earplug | |
| US20100208928A1 (en) | Member for transmitting the sound of a loud-speaker to the ear and equipment fitted with such member | |
| KR101801015B1 (en) | Noise Reduction adjustment Hearing Protector | |
| US20110131709A1 (en) | Safety system | |
| EP1457182B1 (en) | Hearing protector | |
| US7268669B2 (en) | Personal sensory reduction system, and method | |
| KR101801016B1 (en) | Noise Reduction adjustment Hearing Protector | |
| JPH11500345A (en) | Device with rotatable legs | |
| KR20220000699U (en) | Supporting Device For Wearing Mask | |
| EP3883261A1 (en) | Ear device and face mask retention comprisinig said ear device | |
| US20210015675A1 (en) | Ear covering protector | |
| KR20230125461A (en) | customized ear plugs | |
| KR20160073884A (en) | Double Heating-Sound Proofed Earplugs That can Connect Earphones | |
| CA3002170A1 (en) | Ear bud stabilizer | 
| Date | Code | Title | Description | 
|---|---|---|---|
| A201 | Request for examination | ||
| PA0109 | Patent application | Patent event code:PA01091R01D Comment text:Patent Application Patent event date:20150709 | |
| PA0201 | Request for examination | ||
| E902 | Notification of reason for refusal | ||
| PE0902 | Notice of grounds for rejection | Comment text:Notification of reason for refusal Patent event date:20160825 Patent event code:PE09021S01D | |
| PG1501 | Laying open of application | ||
| E701 | Decision to grant or registration of patent right | ||
| PE0701 | Decision of registration | Patent event code:PE07011S01D Comment text:Decision to Grant Registration Patent event date:20170222 | |
| N231 | Notification of change of applicant | ||
| PN2301 | Change of applicant | Patent event date:20171117 Comment text:Notification of Change of Applicant Patent event code:PN23011R01D | |
| PR0701 | Registration of establishment | Comment text:Registration of Establishment Patent event date:20171119 Patent event code:PR07011E01D | |
| PR1002 | Payment of registration fee | Payment date:20171119 End annual number:3 Start annual number:1 | |
| PG1601 | Publication of registration | ||
| PR1001 | Payment of annual fee | Payment date:20201110 Start annual number:4 End annual number:4 | |
| PR1001 | Payment of annual fee | Payment date:20210825 Start annual number:5 End annual number:5 | |
| PR1001 | Payment of annual fee | Payment date:20221103 Start annual number:6 End annual number:6 | |
| PR1001 | Payment of annual fee | Payment date:20241204 Start annual number:8 End annual number:8 |