








본 발명은 레이더 장치 및 그것을 이용한 도래각 추정 방법에 관한 것으로서, 보다 상세하게는 도래각 추정 성능을 높일 수 있는 레이더 장치 및 그것을 이용한 도래각 추정 방법에 관한 것이다.The present invention relates to a radar apparatus and a method of estimating an arrival angle using the same, and more particularly to a radar apparatus and a method of estimating an arrival angle using the radar apparatus.
최근 차량용 레이더를 장착한 자동차의 비율이 꾸준히 증가하고 있다. 차량용 레이더의 대표적인 활용은 자동 첨단 운전자 보조 시스템(ADAS, Advanced Driver Assistance System)으로, 차량 간 거리를 자동으로 조절해주는 어드밴스드 스마트 크루즈 컨트롤(ASCC, Advanced Smart Cruise Control), 후측방 경보 시스템 (BSD, Blind Spot Detection) 등이 있다.Recently, the proportion of vehicles equipped with radars for vehicles has been steadily increasing. Typical applications for automotive radar are Advanced Driver Assistance System (ADAS), Advanced Smart Cruise Control (ASCC) that automatically adjusts the distance between vehicles, rear side warning system (BSD, Blind Spot Detection).
차량용 레이더를 사용함에 있어 가장 중요한 것은 물체의 위치라고 할 수 있다. 물체의 위치를 정확히 파악할 수 있어야 시스템을 안정적으로 사용할 수 있다. 기존의 레이더 센서는 물체의 거리와 속도의 관한 정보만을 이용하였는데, 최근 레이더 기술의 발전으로 다양한 시스템이 도입되면서 물체의 각도 추정도 가능해졌고, 고해상도의 디지털 빔형성 방식을 접목시킨 도래각 추정 알고리즘의 중요성이 높아지고 있다.The most important thing in using a radar for a vehicle is the position of an object. The position of the object can be accurately grasped so that the system can be used stably. Conventional radar sensors use only information on the distance and velocity of objects. With the recent development of radar technology, it has become possible to estimate the angle of an object as various systems are introduced. Importance is increasing.
도래각 추정은 물체로부터 반사되어 돌아오는 반사파 방향으로 결정한다. 디지털 빔형성 방식은 배열 안테나를 이용하며, parametric 기법과 spectral 기법이 있다. Spectral 빔형성 기법은 입사방향을 변수로 갖는 공간 스펙트럼의 결과로부터 각도를 찾는 방법으로, 빔형성 알고리즘과 부공간 알고리즘으로 분류된다. 빔형성 알고리즘으로는 Bartlett와 Capon 알고리즘이 있으며, 부공간 알고리즘으로는 MUSIC(multiple signal classification) 알고리즘이 있다. 기존의 Spectral 빔형성 기법의 경우 복잡도가 높으며 도래각 추정 오차가 다소 존재하므로, 추정 오차를 더욱 줄이면서 각도 해상도를 높일 수 있는 기술이 요구된다.The arrival angle estimate is determined from the direction of the reflected wave reflected from the object. Digital beamforming uses array antennas, parametric and spectral techniques. The spectral beamforming method is a method of finding angles from the result of spatial spectrum with the direction of incidence as a variable. It is classified into a beam forming algorithm and a subspace algorithm. The beamforming algorithms include Bartlett and Capon algorithms, and the subspace algorithm is MUSIC (multiple signal classification) algorithm. Conventional spectral beamforming techniques have high complexity and somewhat misalignment angle estimation, and therefore, there is a need for a technique capable of increasing the angle resolution while further reducing the estimation error.
본 발명의 배경이 되는 기술은 한국공개특허 제2014-0144826호(2014.12.22 공개)에 개시되어 있다.The technology of the background of the present invention is disclosed in Korean Patent Laid-Open Publication No. 2014-0144826 (published on December 22, 2014).
본 발명은 도래각 추정의 정확도 및 해상도를 높일 수 있는 레이더 장치 및 그것을 이용한 도래각 추정 방법을 제공하는데 목적이 있다.An object of the present invention is to provide a radar apparatus and a method of estimating an arrival angle using the radar apparatus, which can increase the accuracy and resolution of the arrival angle estimation.
본 발명은, 복수의 수신 채널을 가지는 레이더 장치를 이용한 도래각 추정 방법에 있어서, 타겟에서 반사되어 상기 복수의 수신 채널에 입사된 각각의 입력 신호로부터 상기 수신 채널 중 하나인 기준 채널과 상기 수신 채널 간의 위상 차를 상기 수신 채널 각각에 대해 획득하는 단계와, 입사 각도를 변수로 하는 조향 벡터에 정의된 상기 수신 채널의 이상적 위상차와, 상기 입력 신호로부터 획득한 상기 수신 채널의 위상차 간의 편차를 각 수신 채널별로 구하여 모두 합산한 결과의 함수를 설정하는 단계와, 상기 함수에 포함된 상기 변수에 복수의 후보 각도를 대입하여 상기 함수의 출력을 최소로 하는 각도를 탐색하는 단계, 및 상기 탐색한 각도를 상기 타겟의 위치에 대응하는 도래각으로 추정하는 단계를 포함하는 도래각 추정 방법을 제공한다.The present invention relates to an arrival angle estimation method using a radar device having a plurality of reception channels, characterized by comprising the steps of: determining, from each input signal reflected on a target and incident on the plurality of reception channels, Obtaining a difference between an ideal phase difference of the reception channel defined in the steering vector having an incident angle as a variable and a phase difference of the reception channel acquired from the input signal, The method comprising the steps of: setting a function of a result obtained by adding a plurality of candidate angles to the variable included in the function; searching for an angle that minimizes the output of the function; And estimating an arrival angle corresponding to the position of the target.
또한, 상기 도래각 추정 방법은, i번째 수신 채널에 대한 상기 조향 벡터의 이상적 위상차와 상기 획득한 위상차 간의 편차를 상기 수신 채널별로 구하여 모두 합산한 결과의 상기 함수는 아래의 수학식으로 정의될 수 있다.Also, in the arrival angle estimation method, the deviation between the ideal phase difference of the steering vector for the i-th reception channel and the obtained phase difference is obtained for each of the reception channels, and the result of summing the sum is defined by the following equation have.
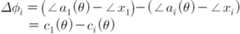
여기서, θ는 상기 변수, Δφ=[Δφ1,Δφ2,…,ΔφM], M은 상기 수신 채널의 개수, Δφi는 i번째 수신 채널에서의 상기 편차(i=1,2,…,M)를 나타낸다.Where? Is the variable, ?? = [??1 , ??2 , ... , ΔφM], M is the number of the reception channels, Δφi is the variation in the i-th receive channel represents the (i = 1,2, ..., M ).
또한, 상기 각도를 탐색하는 단계는, 아래의 수학식을 이용하여 상기 함수의 역수가 최대가 되는 각도를 탐색할 수 있다.Also, the step of searching for the angle may search for an angle at which the reciprocal of the function becomes maximum using the following equation.
또한, 상기 각도를 탐색하는 단계는, 상기 역수를 이용하여 재정의된 아래의 함수의 출력이 최대가 되는 각도를 탐색할 수 있다.In addition, the step of searching for the angle may search for an angle at which the output of the following function redefined by using the reciprocal is maximized.
여기서, ci(θ)=∠ai(θ)-∠xi, ai(θ)는 상기 i번째 수신 채널의 조향 벡터, xi는 i번째 수신 채널의 입력 신호, ∠(·)는 (·) 성분의 수신 채널에서의 위상차를 나타낸다.Here, c i (θ) = ∠a i (θ) -∠x i, a i (θ) is the input signal, ∠ (·) of the steering vector, xi is the i-th receive channels of the i-th receive channel is () Component in the receiving channel.
또한, 상기 Δφi는 아래의 수학식으로 표현될 수 있다.Further, the above-mentioned DELTA phii can be expressed by the following equation.
그리고, 본 발명은, 타겟에서 반사되어 상기 복수의 수신 채널에 입사된 각각의 입력 신호로부터 상기 수신 채널 중 하나인 기준 채널과 상기 수신 채널 간의 위상 차를 상기 수신 채널 각각에 대해 획득하는 신호 획득부와, 입사 각도를 변수로 하는 조향 벡터에 정의된 상기 수신 채널의 이상적 위상차와, 상기 입력 신호로부터 획득한 상기 수신 채널의 위상차 간의 편차를 각 수신 채널별로 구하여 모두 합산한 결과의 함수를 설정하는 제어부와, 상기 함수에 포함된 상기 변수에 복수의 후보 각도를 대입하여 상기 함수의 출력을 최소로 하는 각도를 탐색하는 연산부, 및 상기 탐색한 각도를 상기 타겟의 위치에 대응하는 도래각으로 추정하는 도래각 추정부를 포함하는 레이더 장치를 제공한다.The signal acquiring unit acquires a phase difference between the reference channel, which is one of the receiving channels, and the receiving channel, for each of the receiving channels, from each input signal reflected from the target and incident on the plurality of receiving channels. A deviation between the ideal phase difference of the reception channel defined in the steering vector having the incident angle as a variable and the phase difference of the reception channel acquired from the input signal for each reception channel, And an arithmetic unit operable to search for an angle that minimizes an output of the function by substituting a plurality of candidate angles into the variable included in the function, and estimating the searched angle by an angle corresponding to the position of the target And a radar apparatus including the estimation units.
본 발명에 따른 레이더 장치 및 그것을 이용한 도래각 추정 방법에 따르면, 기존의 알고리즘보다 도래각 추정 오차를 줄여 정확도를 높이고 해상도 성능을 향상시키는 이점이 있다.According to the radar apparatus and the method of estimating the arrival angle using the radar apparatus according to the present invention, it is advantageous to increase the accuracy and improve the resolution performance by reducing the angular estimation error than the existing algorithm.
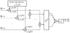
도 1은 본 발명의 실시예에 따른 레이더 장치의 구성을 나타낸 도면이다.
도 2는 도 1에 도시된 레이더 장치를 이용한 도래각 추정 방법을 나타낸 도면이다.
도 3은 본 발명의 실시예에서 입력신호의 위상차와 조향벡터의 위상차를 설명하는 도면이다.
도 4는 본 발명의 실시예에 따른 도래각 추정 방법의 개념을 나타낸 도면이다.
도 5 및 도 6은 물체의 실제 각도에 따른 정규화 실험 결과를 나타내는 도면이다.
도 7은 알고리즘별 도래각 추정 결과에 대한 kurtosis의 값을 나타낸 도면이다.
도 8은 알고리즘별 도래각 추정 각도와 실제 각도와의 오차값이 존재할 때 해당 오차별 kurtosis 값들을 평균으로 나타낸 도면이다.
도 9는 한 개의 각도에 대해 8∼12개의 데이터를 가지며 총 1952개의 데이터에 대해 실제각도와 추정각도의 차이에서 발생하는 오차를 평균과 표준편차로 나타낸 도면이다.1 is a view showing a configuration of a radar device according to an embodiment of the present invention.
 Fig. 2 is a view showing a method of estimating an arrival angle using the radar apparatus shown in Fig. 1. Fig.
 3 is a view for explaining a phase difference between an input signal and a steering vector in an embodiment of the present invention.
 4 is a diagram illustrating a concept of an approach angle estimation method according to an embodiment of the present invention.
 5 and 6 are graphs showing the results of normalization experiments according to actual angles of an object.
 7 is a graph showing the value of kurtosis with respect to the result of the estimation of the angle of attack according to each algorithm.
 FIG. 8 is a graph showing an average value of the erroneous kurtosis values when there exists an error value between the angle of arrival angle and the actual angle of each algorithm.
 FIG. 9 is a graph showing an average and a standard deviation of an error occurring in a difference between an actual angle and an estimated angle with respect to a total of 1952 data having 8 to 12 data for one angle.
그러면 첨부한 도면을 참고로 하여 본 발명의 실시예에 대하여 본 발명이 속하는 기술 분야에서 통상의 지식을 가진 자가 용이하게 실시할 수 있도록 상세히 설명한다.Hereinafter, embodiments of the present invention will be described in detail with reference to the accompanying drawings so that those skilled in the art can easily carry out the present invention.
본 발명은 레이더 장치 및 그것을 이용한 도래각 추정 방법에 관한 것으로, 복수의 수신 채널에 입사된 입력 신호로부터 얻어지는 각 수신 채널의 위상차와 조향 벡터에 의해 정의되는 각 수신 채널의 이상적 위상차를 수신 채널마다 비교하고 이를 이용하여 높은 정확도의 도래각을 추정하는 기법을 제안한다.The present invention relates to a radar apparatus and an arrival angle estimation method using the radar apparatus, and more particularly, to a radar apparatus and a method for estimating an arrival angle using the radar apparatus, And a method of estimating the arrival angle with high accuracy using this method is proposed.
본 발명은 디지털 빔형성 기법 중 하나인 spectral 기법을 이용한다. Spectral 기법은 입사 방향을 변수로 갖는 스펙트럼 상에서 최대값을 나타내는 각도 방향을 도래각으로 추정하는 방식이다.The present invention uses a spectral technique, which is one of the digital beam forming techniques. The spectral method is a method of estimating the angular direction representing the maximum value on the spectrum having the incident direction as a variable by the incident angle.
spectral 기법은 스펙트럼 추정 방식에 따라 다시 빔형성 알고리즘 또는 부공간 알고리즘으로 구분되며, 본 발명은 그 중에서 빔형성 알고리즘을 이용하는 기술에 해당한다. 빔형성 알고리즘은 복수의 수신 안테나 즉, 배열 안테나를 이용한 기본적인 도래각 추정 기법 중의 하나이다. 모든 방향에 대해 배열 안테나를 지향시켜 얻은 출력 값들을 이용하여 공간 스펙트럼을 형성한다. 이때 출력이 최대값을 나타내는 방향을 최종 도래각으로 추정한다.The spectral technique is divided into a beam forming algorithm or a subspace algorithm according to a spectrum estimation method, and the present invention corresponds to a technique using a beam forming algorithm. The beamforming algorithm is one of the basic arrival angle estimation techniques using a plurality of reception antennas, that is, an array antenna. A spatial spectrum is formed using the output values obtained by directing the array antenna in all directions. At this time, the direction in which the output indicates the maximum value is estimated as the final arriving angle.
이러한 spectral 기법에서는 입사 각도(θ)를 변수로 하는 조향 벡터(Steering Vector)를 사용하며, 이를 통해 모든 방향에 대한 공간 스펙트럼을 형성한다.In this spectral technique, a steering vector having a variable angle of incidence (θ) is used, thereby forming a spatial spectrum for all directions.
다음의 수학식 1은 복수의 조향 벡터들로 구성된 조향 행렬을 나타낸다.Equation (1) represents a steering matrix composed of a plurality of steering vectors.
여기서, A는 조향 행렬, a(θ)는 특정 방향 θ에 대한 배열 안테나 응답의 조향 벡터, K는 평면파의 수를 나타낸다. 이와 같이 조향 벡터는 θ를 변수로 하며 각 평면파에 대해 나타난다.Where A is the steering matrix, a (θ) is the steering vector of the array antenna response for the specific direction θ, and K is the number of plane waves. In this way, the steering vector is expressed for each plane wave with θ as a variable.
조향 벡터 a(θ)는 다시 수학식 2와 같이 표현될 수 있다.The steering vector a (&thetas;) can be expressed again by Equation (2).
여기서, M은 수신 채널(안테나 채널)의 개수이며, 조향 벡터는 각 수신 채널별 성분을 가진다. 수학식 2에서(i=1,2,…,M)는 수학식 3과 같이 정의된다.Here, M is the number of reception channels (antenna channels), and the steering vector has components for each reception channel. In
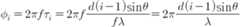
여기서, 및는 M개의 수신 채널 중 하나인 기준 채널(1번 채널)과 i번째 수신 채널 사이에서 발생한 위상차 및 시간 지연을 각각 나타낸다. 그리고, f는 주파수, d는 안테나 채널 간의 거리, λ는 파장을 나타낸다.here, And Represents a phase difference and a time delay between the reference channel (the first channel) and the i-th reception channel, which are one of the M reception channels, respectively. F is the frequency, d is the distance between the antenna channels, and? Is the wavelength.
이러한는 입사 각도(θ)를 변수로 하는 조향 벡터에 정의된 각 수신 채널(i번째 수신 채널)의 이상적 위상차를 나타낸다.Such Represents the ideal phase difference of each reception channel (i-th reception channel) defined in the steering vector with the incident angle [theta] as a variable.
본 발명의 실시예는, 이와 같은 조향 벡터에서 정의된 i번째 수신 채널의 이상적 위상차()와, 실제로 물체로부터 반사되어 각 수신 채널로 입사된 입력 신호에 의한 i번째 수신 채널의 위상차()를 상호 비교하는 개념을 도래각 추정에 활용한다.In an embodiment of the present invention, the ideal phase difference of the i-th receiving channel defined in this steering vector ) And the phase difference of the i-th receiving channel by the input signal reflected from the object and incident on each receiving channel ) Are used to estimate the angle of arrival.
여기서, i번째 수신 채널에서의 입력 신호 xi는 수학식 4와 같이 정의될 수 있다.Here, the input signal xi in the i-th reception channel can be defined as Equation (4).
이때, sk는 k번째 평면파의 복소진폭, ni는 i번째 수신 채널의 잡음이다. 따라서, 전체 배열 안테나에서 입력 신호는 아래의 수학식 5와 같이 표현된다.Where sk is the complex amplitude of the kth plane wave, and ni is the noise of the ith receive channel. Therefore, the input signal in the entire array antenna is expressed by Equation (5) below.
물체로부터 반사된 신호가 배열 안테나로 입사될 때 각 채널 간에는 위상차가 발생하게 된다. 즉, 배열 안테나로 입사되는 입력 신호는 안테나별 간격에 의해 수신 시간의 지연이 발생하게 되며, 이로 인해 입력 신호들 간에 위상차가 존재하게 된다When signals reflected from an object are incident on the array antenna, a phase difference occurs between the channels. That is, the reception time of the input signal input to the array antenna is delayed by the distance between the antennas, thereby causing a phase difference between the input signals
본 발명의 실시예는 방향 θ에 대한 M개의 채널에 대한 이상적 위상값과 입력신호에서의 위상값을 이용한다. 즉, θ를 변수로 갖는 조향 벡터의 위상과 입력신호의 위상을 이용하여 두 채널 사이에서 발생하는 위상차를 모든 채널에 대해 비교하고 이를 이용하여 도래각을 추정한다.Embodiments of the present invention utilize the ideal phase values for the M channels and the phase values in the input signal for direction [theta]. That is, the phase difference between the two channels is compared for all the channels using the phase of the steering vector having θ as a variable and the phase of the input signal, and the arrival angle is estimated using the phase difference.
이하에서는 상술한 내용을 기초로 본 발명의 실시예에 따른 레이더 장치 및 이를 이용한 도래각 추정 방법에 관하여 더욱 상세히 설명한다.Hereinafter, a radar apparatus according to an embodiment of the present invention and an arrival angle estimation method using the same will be described in detail with reference to the above description.
도 1은 본 발명의 실시예에 따른 레이더 장치의 구성을 나타낸 도면이고, 도 2는 도 1에 도시된 레이더 장치를 이용한 도래각 추정 방법을 나타낸 도면이다. 도 1 및 도 2를 참조하면, 본 발명의 실시예에 따른 레이더 장치(100)는 신호 획득부(110), 제어부(120), 연산부(130), 도래각 추정부(140)를 포함한다.FIG. 1 is a diagram illustrating a configuration of a radar apparatus according to an embodiment of the present invention, and FIG. 2 is a diagram illustrating a method of estimating an arrival angle using the radar apparatus shown in FIG. 1 and 2, a
먼저, 신호 획득부(110)는 타겟에서 반사되어 복수의 수신 채널에 입사된 각각의 입력 신호로부터, 기준 채널과 수신 채널 간에 발생한 위상 차를 수신 채널 각각에 대해 획득한다(S210).First, the
M개의 수신 채널 중 i번째 수신 채널의 입력 신호 xi는 수학식 4에 나타낸 바 있다. 각 수신 채널에 대해 획득되는 위상차 즉, i번째 수신 채널의 위상차는로 표현한다.The input signal xi of the i-th receiving channel among the M receiving channels is shown in Equation (4). The phase difference obtained for each reception channel, i.e., the phase difference of the i-th reception channel is .
다음, 제어부(120)는 앞서 설명한 입사 각도(θ)를 변수로 하는 조향 벡터에 정의된 수신 채널의 이상적 위상차와, S210 단계에서 입력 신호로부터 획득한 수신 채널의 위상차 간의 편차를 M개의 각 수신 채널별로 구하여 모두 합산한 결과의 함수를 설정한다(S220).Next, the
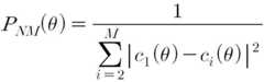
여기서, i번째 수신 채널에 대한 조향 벡터의 이상적 위상차()와 입력 신호에 의한 위상차() 간의 편차(Δφi)를 M개의 수신 채널별로 구하여 모두 합산한 결과의 함수 y(θ)는 아래의 수학식 6과 같이 정의될 수 있다. 여기서 위상차 라는 표현은 간단히 위상이라 표현하기도 한다.Here, the ideal phase difference of the steering vector for the i < th > ) And the phase difference due to the input signal ( ) Function y (θ) of the results for the deviation (Δφi) one obtained by summing all the M receive channels between may be defined as shown in
여기서, θ는 입사 각도를 나타내는 변수이고, Δφ는 다시 수학식 7과 같은 형태로 나타낼 수 있다.Here,? Is a variable indicating the angle of incidence, and ?? can be expressed in the same manner as in Equation (7).
여기서, 로서 i번째 수신 채널에서 구하여진 편차를 각각 나타낸다.here, And a deviation obtained from the i-th receiving channel.
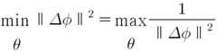
수학식 6은 함수의 출력이 최소가 되는 각도를 탐색하는 의미를 가지는 것으로서, ∥Δφ∥2을 최소화하는 θ를 도래각으로 추정하기 위한 것이다.Equation (6) is to estimate the arrival angle θ to minimize, ∥Δφ∥2 as having a means for searching the angle that minimizes the output of the function.
연산부(130)는 함수 내의 변수 항목 θ 부분에 복수의 후보 각도를 각각 대입하여 함수의 출력을 각각 연산하고, 출력을 최소로 하는 각도를 탐색한다(S230). 이때 모든 360도 방향의 입사 각도에 대하여 연산을 수행할 수 있다. 이후, 도래각 추정부(140)는 S230 단계에서 탐색한 각도를 타겟의 위치에 대응하는 도래각으로 추정하고 추정 결과를 제공한다(S240).The
본 발명의 실시예에서 S230 단계는 구체적으로 아래의 수학식 8을 이용하여 함수의 역수가 최대가 되는 각도를 탐색할 수 있다.In step S230 of the embodiment of the present invention, an angle at which the reciprocal of the function is maximized can be searched using Equation (8) below.
이러한 구성은 모든 방향에 대해 배열 안테나를 지향시킨 공간 스펙트럼 결과에서 최대값을 갖는 방향을 최종 도래각으로 추정하는 기존의 Spectral 빔형성 기법의 원리를 적용한 것이다. 따라서 본 발명의 실시예에 따른 도래각 추정 방법은 Spectral 빔형성 기법에 속하는 것을 알 수 있다.This configuration applies the principle of the existing Spectral Beamforming technique that estimates the direction with the maximum value from the spatial spectrum result that the array antenna is oriented in all directions to the final arrival angle. Therefore, it can be seen that the arrival angle estimation method according to the embodiment of the present invention belongs to the spectral beam forming technique.
다만, 본 발명의 실시예는 수학식 8의 개념을 기초로 함수를 등가 관계에 있는 다른 형태로 재정의한 다음에 재정의된 함수 내에 복수의 각도를 대입하여 최대값을 도출하는 각도를 탐색하는 방법을 사용할 수 있다. 그 구체적인 실시예는 다음과 같다.However, the embodiment of the present invention redefines a function in another form in an equivalent relation based on the concept of Equation (8), and then a method of searching for an angle at which a maximum value is derived by substituting a plurality of angles into a redefined function Can be used. The concrete embodiment is as follows.
우선, 실제 입력 신호는 수학식 4와 같이 나타나므로 수학식 8의 ∥Δφ∥2 가 수학식 9와 같이 표현되는 점을 사용하여는 등가적으로 수학식 10의 형태로 최적화할 수 있다. 이때, 입력 신호의 잡음은 없다고 가정한다.First, since the actual input signal is expressed by Equation (4),???2 in Equation (8) is expressed as Equation (9) Can be equivalently optimized in the form of Equation (10). At this time, it is assumed that there is no noise of the input signal.
여기서, ai(θ)는 i번째 수신 채널의 조향 벡터, xi는 i번째 수신 채널의 입력 신호, ∠(·)는 (·) 성분에 해당하는 수신 채널에서의 위상차를 나타낸다.Here, ai (θ) represents a steering vector of an i-th receiving channel, xi represents an input signal of an i-th receiving channel, and ∠ (·) represents a phase difference in a receiving channel corresponding to a (·) component.
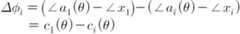
도 3은 본 발명의 실시예에서 입력신호의 위상차와 조향벡터의 위상차를 설명하는 도면이다. 이러한 도 3을 통해서는 i=1, 2, M번째 수신 채널에 대한, (∠a1(θ)-∠ai(θ)), 그리고 (∠x1)-∠xi) 성분의 개념을 확인할 수 있다.3 is a view for explaining a phase difference between an input signal and a steering vector in an embodiment of the present invention. Referring to FIG. 3, i = 1, 2, , (∠a1 (θ) - ∠ai (θ)), and (∠x1 ) - ∠xi ), respectively.
수학식 10을 재정렬하면 다시 수학식 10의 형태로 표현할 수 있다.When the equation (10) is rearranged, the equation (10) can be expressed again.
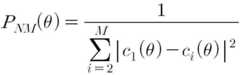
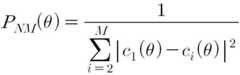
여기서 i번째 수신 채널에서의 차이 ci(θ)는 수학식 12로 나타낼 수 있다.Here, the difference ci (?) In the i-th reception channel can be expressed by Equation (12).
이러한 수학식 12를 이용하여, 수학식 11은 간단히 Δφi=c1(θ)-ci(θ) 형태로 요약될 수 있다.Using this equation (12), can be summarized in the form of equation 11 is simplyΔφ i = c 1 (θ) -c i (θ).
본 실시예는 i번째 수신 채널에서 조향벡터의 위상차와 입력신호의 위상차 사이에서 나타나는 차이를 M개의 모든 수신 채널에 대해 구하여 합산 값이 최소가 되는 각도를 도래각으로 추정하는 개념으로, 이를 구현하기 위해 실질적으로 그와 등가적 개념인 아래의 수학식 13의 함수를 사용할 수 있다.In this embodiment, the difference between the phase difference of the steering vector and the phase difference of the input signal in the i-th receiving channel is obtained for all M receiving channels, and the angle at which the sum value is minimized is estimated as the arrival angle. We can use the function of Equation 13 below, which is substantially equivalent to that of Equation 13 below.
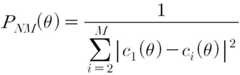
수학식 13은 수학식 8과 11을 조합하여 얻을 수 있다. 여기서 PNM(θ)의 출력이 최대가 되는 각도를 최종 도래각으로 추정한다. 수학식 13에서 i=2부터 적용한 이유는 실질적으로 i=1일 때 c1(θ)-ci(θ) 성분은 제로이므로 합산 시에 생략하기 위한 것이다.Equation (13) can be obtained by combining equations (8) and (11). Here, the angle at which the output of PNM (?)Becomes maximum is estimated as the final arriving angle. The reason why i = 2 is applied in Equation (13) is to omit c1 (?) - ci (?
본 발명의 실시예는 이와 같은 수학식 13을 이용하여 공간 스펙트럼을 형성하고 결과적으로 아래의 수학식 14를 통하여 최종 도래각을 추정한다.The embodiment of the present invention forms a spatial spectrum using Equation (13) and consequently obtains the final arriving angle .
상술한 본 발명의 실시예는 다음의 도 4의 개념도로 요약될 수 있다. 도 4는 본 발명의 실시예에 따른 도래각 추정 방법의 개념을 나타낸 도면이다. 도 4를 참조하면, 수학식 13에서와 같이, c1(θ)-ci(θ) 값을 각 채널 별로 구하여 |·|2을 취한 값을 모두 합산한 다음, 역수 즉 (·)-1를 취하여 도래각을 추정하는 것을 확인할 수 있다.The embodiment of the present invention described above can be summarized in the following conceptual diagram of FIG. 4 is a diagram illustrating a concept of an approach angle estimation method according to an embodiment of the present invention. Referring to FIG. 4, c1 (?) - ci (?) Values are obtained for each channel, as shown in Equation (13)2 is taken, and then the reciprocal is calculated by taking the reciprocal, that is, (·)-1 .
다음은 본 발명의 실시예에 따른 도래각 추정 방법의 성능 실험 결과를 설명한다. 실험은 챔버 환경에서 얻은 77GHz Frequency Modulated Continuous Wave(FMCW) Short Range Radar(SRR) 신호를 입력 신호로 사용하였다. 입력 신호는 0.5° 간격으로 -47°∼47°이며, 한 각도별 8∼12개의 데이터를 갖는 총 1952개의 데이터에 대해 실험하였다. 채널 간격은 0.6λ, 배열 안테나의 채널수는 4개이다. 한 각도에 대한 target은 1개이다.Hereinafter, performance test results of the arrival angle estimation method according to the embodiment of the present invention will be described. Experimental results show that 77GHz Frequency Modulated Continuous Wave (FMCW) Short Range Radar (SRR) signal obtained from the chamber environment is used as the input signal. The input signal is -47 ° ~ 47 ° at intervals of 0.5 °, and a total of 1952 data with 8 to 12 data for each angle were tested. The channel spacing is 0.6?, And the number of channels of the array antenna is four. There is one target for one angle.
도 5 및 도 6은 물체의 실제 각도에 따른 정규화 실험 결과를 나타내는 도면이다. 도면에서 New Method는 본 발명의 실시예에 따른 결과이고, 나머지 세 가지 경우는 기존 기법에 의한 결과를 나타낸다.5 and 6 are graphs showing the results of normalization experiments according to actual angles of an object. In the drawing, the New Method is a result according to an embodiment of the present invention, and the remaining three cases show a result according to an existing technique.
도 5는 물체의 실제 각도가 28˚, 8.5˚일 때, 도 6은 물체의 실제 각도가 -11˚, -30.5°일 때, 각각의 방법으로 계산된 공간 스펙트럼을 나타낸다. 해당 스펙트럼에서 최대점을 갖는 지점을 도래각으로 추정한다. 실제 도래각 추정은 -50°∼50° 범위 안으로 제한한다.FIG. 5 shows the spatial spectrum calculated by each method when the actual angles of the object are 28 degrees and 8.5 degrees, and FIG. 6 shows the actual angles of the objects are -11 degrees and -30.5 degrees, respectively. The point having the maximum point in the spectrum is estimated as the arrival angle. The actual arrival angle estimate is limited to within the range of -50 ° to 50 °.
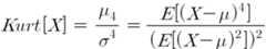
제안하는 방법은 기존 알고리즘에 비해 추정하는 각도에 대한 main lobe가 날카롭게 형성되며, side lobe는 거의 존재하지 않는 것을 확인할 수 있다. 이 날카로움을 정량화하기 위해 kurtosis를 사용한다. Kurtosis는 확률분포가 치우치는 정도를 나타내는 척도로, 관측치들이 얼마만큼 집중적으로 중심에 몰려 있는가를 측정할 때 사용한다.The proposed method shows that the main lobe is sharp and the side lobe is almost absent. Use kurtosis to quantify this sharpness. Kurtosis is a measure of the degree to which a probability distribution is biased, and is used to measure how intensively the observations are centered.
Kurtosis에 대한 식은 아래의 수학식 15와 같이 표현된다.The expression for Kurtosis is expressed by Equation (15) below.
여기서, μ는 X에 대한 평균,σ는 X에 대한 표준편차, E[]는 기댓값을 나타낸다.Where μ is the mean for X, σ is the standard deviation for X, and E [] is the expected value.
정규분포의 경우 kurtosis 값은 3이며, 균등한 분포일수록 0에 가까워지고, 한 쪽으로 편중되었을 때의 kurtosis 값은 3보다 크게 나타나게 된다. 이 값을 통해 분포가 균등한지 또는 한 쪽에 편중되어있는지 확인할 수 있다. Kurtosis 값이 클수록 높은 해상도의 성능을 보인다고 할 수 있다.In the case of normal distribution, the kurtosis value is 3, and the uniform distribution is closer to 0, and the kurtosis value is larger than 3 when biased toward one side. This value can be used to determine whether the distribution is uniform or biased. The higher the Kurtosis value, the higher the resolution.
도 7은 알고리즘별 도래각 추정 결과에 대한 kurtosis의 값을 나타낸 도면이다. 이를 적용하기 위해 정량화된 스펙트럼에서 최대값을 갖는 각도를 기준으로 ±20˚ 사이의 값들만 사용하였다.7 is a graph showing the value of kurtosis with respect to the result of the estimation of the angle of attack according to each algorithm. To apply this, only the values between ± 20 ° are used based on the angle having the maximum value in the quantified spectrum.
기존 알고리즘은 각도를 추정하는 피크 값을 갖는 main lobe 이외에서도 side lobe가 크게 존재한다. 하지만 제안하는 방법은 기존 알고리즘에 비해 도래각으로 추정하는 main lobe 이외에 side lobe가 거의 없음을 확인할 수 있다. 즉, 도래각 추정의 해상도를 높여 각도로 추정하는 main lobe에 대해서만 상대적으로 큰 값을 갖고 side lobe를 줄일 수 있다.The existing algorithm has a large side lobe in addition to the main lobe having the peak value for estimating the angle. However, the proposed method has almost no side lobes other than the main lobe estimated by the angle of incidence. That is, the side lobe can be reduced by having a relatively large value only for the main lobe that estimates the angle by increasing the resolution of the arrival angle estimation.
도 8은 알고리즘별 도래각 추정 각도와 실제 각도와의 오차값이 존재할 때 해당 오차별 kurtosis 값들을 평균으로 나타낸 도면이다. 이 결과를 통해 기존 알고리즘보다 제안하는 방법의 도래각 추정 오차가 크게 벗어나지 않는 것을 확인할 수 있으며, 도래각 추정의 오차를 가질 때 kurtosis 값들의 평균이 매우 높게 나타나는 것을 확인하였다.FIG. 8 is a graph showing an average value of the erroneous kurtosis values when there exists an error value between the angle of arrival angle and the actual angle of each algorithm. From these results, it can be confirmed that the approach angle error of the proposed method is not much different from the existing algorithm, and it is confirmed that the mean value of kurtosis is very high when the error of the arrival angle estimation is obtained.
표 1은 전체 1592 개의 데이터에 대해 알고리즘별 kurtosis 값의 평균을 나타낸 것이다.Table 1 shows the average of kurtosis values by algorithm for 1592 data in total.
기존 알고리즘의 평균 kurtosis는 3 미만으로 정규분포보다 균등하게 형성되는 것을 확인하였고, 제안하는 방법의 평균 Kurtosis는 31.9140으로 매우 크게 나타나며, 이는 peak값을 갖는 main lobe에 대해서만 상대적으로 큰 값을 가지고 side lobe가 작게 나타나 스펙트럼의 분포가 한 쪽으로 편중되어있음을 알 수 있다. 이를 통해 제안하는 도래각 추정 방법이 고해상도의 성능을 보이는 것을 확인하였다.The average kurtosis of the existing algorithms is less than 3 and uniformly formed than the normal distribution. The average kurtosis of the proposed method is very large, 31.9140, which is relatively large only for the main lobe having the peak value, Is small and the distribution of the spectrum is biased toward one side. It is confirmed that the proposed method has high resolution performance.
도 9는 한 개의 각도에 대해 8∼12개의 데이터를 가지며 총 1952개의 데이터에 대해 실제각도와 추정각도의 차이에서 발생하는 오차를 평균과 표준편차로 나타낸 도면이다. Bartlett과 MUSIC은 전체 데이터에 대해 같은 값을 가지며, Capon은 표준편차가 비교적 큰 것을 확인할 수 있다. 이 결과를 통해 제안하는 방법이 Capon 알고리즘보다 도래각 추정 오차가 작은 것을 확인할 수 있다.FIG. 9 is a graph showing an average and a standard deviation of an error occurring in a difference between an actual angle and an estimated angle with respect to a total of 1952 data having 8 to 12 data for one angle. Bartlett and MUSIC have the same value for all data, and Capon has a relatively large standard deviation. From these results, it can be seen that the proposed method has a smaller error angle of arrival than the Capon algorithm.
표 2는 전체 1592개의 데이터에 대해 실제각도와 추정각도의 평균오차와 해당 각도별 표준편차들의 평균을 나타낸 것이다.Table 2 shows the average error of the actual angle and the estimated angle and the average of the standard deviations by the corresponding angle for all 1592 data.
제안하는 방법의 평균오차는 1˚ 이내로 가장 작은 오차를 가지며, 기존 알고리즘인 Bartlett, Capon, MUSIC에 비해 표준편차 또한 가장 작은 것을 확인할 수 있다. 이 결과를 통해 제안하는 방법이 기존 알고리즘에 비해 도래각 추정의 정확도에 더 우수한 성능을 보이는 것을 확인하였다.The mean error of the proposed method is the smallest within 1 °, and the standard deviation is smaller than that of the conventional algorithms Bartlett, Capon, and MUSIC. From these results, it is confirmed that the proposed method shows better performance than the existing algorithm in accuracy of the arrival angle estimation.
결론적으로, 제안하는 방법은 main lobe가 매우 날카롭게 형성되고 side lobe는 거의 나타나지 않으며, kurtosis를 이용하여 분포의 균등을 정량화한 표 1의 결과를 통해 제안하는 방법의 스펙트럼이 가장 고해상도의 성능을 보인 것을 알 수 있다. 표 2의 도래각 추정 결과를 통해 제안하는 방법은 기존 알고리즘보다 도래각 추정의 오차가 가장 작으며 그 오차의 범위 또한 가장 작은 것을 확인할 수 있다.In conclusion, the proposed method shows that the main lobe is very sharp and the side lobes are hardly visible, and that the spectrum of the proposed method shows the highest resolution performance from the results of Table 1, which quantifies the distribution uniformity by using kurtosis Able to know. From the results of Table 2, it can be seen that the proposed method has the smallest errors and the smallest error range than the existing algorithms.
이상과 같은 본 발명에 따른 레이더 장치 및 그것을 이용한 도래각 추정 방법에 따르면, 기존의 알고리즘에 비해 각도 추정 및 해상도 성능이 우수하며 도래각 추정 정확도가 높은 이점이 있다.According to the radar apparatus and the arrival angle estimation method using the radar apparatus according to the present invention, the angle estimation and the resolution performance are superior to the existing algorithms and the accuracy of the arrival angle estimation is high.
본 발명은 도면에 도시된 실시예를 참고로 설명되었으나 이는 예시적인 것에 불과하며, 본 기술 분야의 통상의 지식을 가진 자라면 이로부터 다양한 변형 및 균등한 다른 실시예가 가능하다는 점을 이해할 것이다. 따라서, 본 발명의 진정한 기술적 보호 범위는 첨부된 특허청구범위의 기술적 사상에 의하여 정해져야 할 것이다.While the present invention has been described with reference to exemplary embodiments, it is to be understood that the invention is not limited to the disclosed exemplary embodiments, but, on the contrary, is intended to cover various modifications and equivalent arrangements included within the spirit and scope of the appended claims. Accordingly, the true scope of the present invention should be determined by the technical idea of the appended claims.
100: 레이더 장치110: 신호 획득부
120: 제어부130: 연산부
140: 도래각 추정부100: radar device 110: signal acquisition unit
 120: control unit 130:
 140:
| Application Number | Priority Date | Filing Date | Title | 
|---|---|---|---|
| KR1020160126164AKR101796472B1 (en) | 2016-09-30 | 2016-09-30 | Radar apparatus and DOA estimation method using the same | 
| Application Number | Priority Date | Filing Date | Title | 
|---|---|---|---|
| KR1020160126164AKR101796472B1 (en) | 2016-09-30 | 2016-09-30 | Radar apparatus and DOA estimation method using the same | 
| Publication Number | Publication Date | 
|---|---|
| KR101796472B1true KR101796472B1 (en) | 2017-12-12 | 
| Application Number | Title | Priority Date | Filing Date | 
|---|---|---|---|
| KR1020160126164AExpired - Fee RelatedKR101796472B1 (en) | 2016-09-30 | 2016-09-30 | Radar apparatus and DOA estimation method using the same | 
| Country | Link | 
|---|---|
| KR (1) | KR101796472B1 (en) | 
| Publication number | Priority date | Publication date | Assignee | Title | 
|---|---|---|---|---|
| CN110109048A (en)* | 2019-05-23 | 2019-08-09 | 北京航空航天大学 | A kind of invasion signal arrival bearing's angular range estimation method based on phase difference | 
| KR102042430B1 (en)* | 2019-08-26 | 2019-11-08 | 한화시스템(주) | Apparatus and method for detecting Energy in Cognitive Radio Communication Systems | 
| CN115348661A (en)* | 2021-05-13 | 2022-11-15 | 维沃移动通信有限公司 | Positioning method, related device and readable storage medium | 
| KR102587987B1 (en)* | 2023-07-21 | 2023-10-11 | 포항공과대학교 산학협력단 | Target detection apparatus using angle estimation in MPSK-MIMO FMCW radar method thereof | 
| KR20250051923A (en) | 2023-10-11 | 2025-04-18 | 주식회사 불스아이 | Method of estimating angle of arrival and radar system | 
| Publication number | Priority date | Publication date | Assignee | Title | 
|---|---|---|---|---|
| JP2012098278A (en) | 2010-10-29 | 2012-05-24 | Korea Electronics Telecommun | Real-time angle-of-arrival estimation device and method thereof | 
| JP2013205399A (en) | 2012-03-29 | 2013-10-07 | Panasonic Corp | Rader system | 
| KR101334734B1 (en) | 2012-05-31 | 2013-11-29 | 국방과학연구소 | Method and device for computing doa of incident signal using beam function | 
| JP2016080369A (en) | 2014-10-09 | 2016-05-16 | 富士通株式会社 | Angle estimation apparatus and angle estimation method | 
| Publication number | Priority date | Publication date | Assignee | Title | 
|---|---|---|---|---|
| JP2012098278A (en) | 2010-10-29 | 2012-05-24 | Korea Electronics Telecommun | Real-time angle-of-arrival estimation device and method thereof | 
| JP2013205399A (en) | 2012-03-29 | 2013-10-07 | Panasonic Corp | Rader system | 
| KR101334734B1 (en) | 2012-05-31 | 2013-11-29 | 국방과학연구소 | Method and device for computing doa of incident signal using beam function | 
| JP2016080369A (en) | 2014-10-09 | 2016-05-16 | 富士通株式会社 | Angle estimation apparatus and angle estimation method | 
| Publication number | Priority date | Publication date | Assignee | Title | 
|---|---|---|---|---|
| CN110109048A (en)* | 2019-05-23 | 2019-08-09 | 北京航空航天大学 | A kind of invasion signal arrival bearing's angular range estimation method based on phase difference | 
| CN110109048B (en)* | 2019-05-23 | 2020-11-06 | 北京航空航天大学 | A method for estimating the angle range of the incoming wave direction of the intrusion signal based on the phase difference | 
| KR102042430B1 (en)* | 2019-08-26 | 2019-11-08 | 한화시스템(주) | Apparatus and method for detecting Energy in Cognitive Radio Communication Systems | 
| CN115348661A (en)* | 2021-05-13 | 2022-11-15 | 维沃移动通信有限公司 | Positioning method, related device and readable storage medium | 
| KR102587987B1 (en)* | 2023-07-21 | 2023-10-11 | 포항공과대학교 산학협력단 | Target detection apparatus using angle estimation in MPSK-MIMO FMCW radar method thereof | 
| KR20250051923A (en) | 2023-10-11 | 2025-04-18 | 주식회사 불스아이 | Method of estimating angle of arrival and radar system | 
| Publication | Publication Date | Title | 
|---|---|---|
| US10539645B2 (en) | Angle of arrival estimation | |
| CN111373282B (en) | Radar processing chain for FMCW radar system | |
| KR101796472B1 (en) | Radar apparatus and DOA estimation method using the same | |
| US11340342B2 (en) | Automotive radar using 3D printed luneburg lens | |
| CN107064861B (en) | Apparatus for estimating angle of arrival and apparatus for beamforming | |
| US9470782B2 (en) | Method and apparatus for increasing angular resolution in an automotive radar system | |
| US10768276B2 (en) | Decentralised radar system | |
| US9910150B2 (en) | Method, antenna array, radar system and vehicle | |
| US10261172B2 (en) | Radar apparatus for vehicle and method of removing ghost of the same | |
| US10732273B2 (en) | Radar device for vehicle and method for estimating angle of target using same | |
| WO2014066360A1 (en) | Sensor system and method for determining target location using sparsity-based processing | |
| JP4972852B2 (en) | Radar equipment | |
| CN110673086A (en) | Two-dimensional angle super-resolution method based on digital array radar | |
| WO2007092034A1 (en) | System and method for passively estimating angle and range of a source using signal samples collected simulataneously from a multi-aperture antenna | |
| US11269070B2 (en) | Radar apparatus | |
| US20220043111A1 (en) | Method for evaluating radar systems | |
| CN109521426A (en) | The method and device thereof of the angle of target are obtained based on car radar | |
| CN117368922A (en) | Vehicle-mounted radar angle measurement method, terminal equipment and storage medium | |
| US20200292691A1 (en) | Sidelobe Detector And Angle/Angle-Rate Estimator For A Slewing Monopluse Antenna | |
| CN111295596B (en) | Angle measuring method, angle measuring equipment and angle measuring storage medium for millimeter wave radar | |
| Frid et al. | Determining direction-of-arrival accuracy for installed antennas by postprocessing of far-field data | |
| CN110515066B (en) | Vehicle-mounted millimeter wave radar and target height measuring method thereof | |
| US20230314127A1 (en) | Angle width estimation device, angle width estimation method, and target angle measurement device | |
| WO2024221662A1 (en) | Radar target angle measurement method and device, and storage medium | |
| US20240036183A1 (en) | Radar method and radar system for a phase-coherent analysis | 
| Date | Code | Title | Description | 
|---|---|---|---|
| PA0109 | Patent application | St.27 status event code:A-0-1-A10-A12-nap-PA0109 | |
| PA0201 | Request for examination | St.27 status event code:A-1-2-D10-D11-exm-PA0201 | |
| E701 | Decision to grant or registration of patent right | ||
| PE0701 | Decision of registration | St.27 status event code:A-1-2-D10-D22-exm-PE0701 | |
| GRNT | Written decision to grant | ||
| PR0701 | Registration of establishment | St.27 status event code:A-2-4-F10-F11-exm-PR0701 | |
| PR1002 | Payment of registration fee | St.27 status event code:A-2-2-U10-U11-oth-PR1002 Fee payment year number:1 | |
| PG1601 | Publication of registration | St.27 status event code:A-4-4-Q10-Q13-nap-PG1601 | |
| PR1001 | Payment of annual fee | St.27 status event code:A-4-4-U10-U11-oth-PR1001 Fee payment year number:4 | |
| PN2301 | Change of applicant | St.27 status event code:A-5-5-R10-R13-asn-PN2301 St.27 status event code:A-5-5-R10-R11-asn-PN2301 | |
| PR1001 | Payment of annual fee | St.27 status event code:A-4-4-U10-U11-oth-PR1001 Fee payment year number:5 | |
| PR1001 | Payment of annual fee | St.27 status event code:A-4-4-U10-U11-oth-PR1001 Fee payment year number:6 | |
| PC1903 | Unpaid annual fee | St.27 status event code:A-4-4-U10-U13-oth-PC1903 Not in force date:20231107 Payment event data comment text:Termination Category : DEFAULT_OF_REGISTRATION_FEE | |
| P22-X000 | Classification modified | St.27 status event code:A-4-4-P10-P22-nap-X000 | |
| PC1903 | Unpaid annual fee | St.27 status event code:N-4-6-H10-H13-oth-PC1903 Ip right cessation event data comment text:Termination Category : DEFAULT_OF_REGISTRATION_FEE Not in force date:20231107 |