Movatterモバイル変換


[0]ホーム

URL:


KR101698291B1 - 이동체 구동 방법 및 이동체 구동 시스템, 패턴 형성 방법 및 장치, 노광 방법 및 장치, 그리고 디바이스 제조 방법 - Google Patents

이동체 구동 방법 및 이동체 구동 시스템, 패턴 형성 방법 및 장치, 노광 방법 및 장치, 그리고 디바이스 제조 방법
Download PDF

Info

Publication number
KR101698291B1
KR101698291B1KR1020157036552AKR20157036552AKR101698291B1KR 101698291 B1KR101698291 B1KR 101698291B1KR 1020157036552 AKR1020157036552 AKR 1020157036552AKR 20157036552 AKR20157036552 AKR 20157036552AKR 101698291 B1KR101698291 B1KR 101698291B1
Authority
KR
South Korea
Prior art keywords
head
heads
substrate
measurement
projection optical
Prior art date
Legal status (The legal status is an assumption and is not a legal conclusion. Google has not performed a legal analysis and makes no representation as to the accuracy of the status listed.)
Expired - Fee Related
Application number
KR1020157036552A
Other languages
English (en)
Other versions
KR20160006237A (ko
Inventor
유이치 시바자키
Original Assignee
가부시키가이샤 니콘
Priority date (The priority date is an assumption and is not a legal conclusion. Google has not performed a legal analysis and makes no representation as to the accuracy of the date listed.)
Filing date
Publication date
Application filed by 가부시키가이샤 니콘filedCritical가부시키가이샤 니콘
Publication of KR20160006237ApublicationCriticalpatent/KR20160006237A/ko
Application grantedgrantedCritical
Publication of KR101698291B1publicationCriticalpatent/KR101698291B1/ko
Expired - Fee Relatedlegal-statusCriticalCurrent
Anticipated expirationlegal-statusCritical

Links

Images

Classifications

Landscapes

Abstract

스테이지 (WST) 의 구동 중에, 인코더 시스템의 X 인코더와 Y 인코더를 적어도 각 1 개 포함하는 3 개의 인코더 (Enc1, Enc2 및 Enc3) 에 의해 스테이지 (WST) 의 이동면 내의 위치 정보가 계측되고, 제어 장치에 의해 스테이지 (WST) 의 이동면 내의 위치가 전환 전후에서 유지되도록, 스테이지 (WST) 의 이동면 내의 위치 정보의 계측에 사용하는 인코더가 인코더 (Enc1, Enc2 및 Enc3) 로부터 인코더 (Enc4, Enc2 및 Enc3) 로 전환된다. 이 때문에, 스테이지의 위치 제어에 사용하는 인코더의 전환이 실시되고 있음에도 불구하고, 전환 전후에서 스테이지의 이동면 내의 위치가 유지되어, 정확한 연결이 가능해진다.

Description

이동체 구동 방법 및 이동체 구동 시스템, 패턴 형성 방법 및 장치, 노광 방법 및 장치, 그리고 디바이스 제조 방법{MOBILE BODY DRIVE METHOD AND MOBILE BODY DRIVE SYSTEM, PATTERN FORMATION METHOD AND APPARATUS, EXPOSURE METHOD AND APPARATUS, AND DEVICE MANUFACTURING METHOD}
본 발명은, 이동체 구동 방법 및 이동체 구동 시스템, 패턴 형성 방법 및 장치, 노광 방법 및 장치, 그리고 디바이스 제조 방법에 관련된 것으로서, 더욱 상세하게는, 이동체를 이동면 내에서 구동시키는 이동체 구동 방법 및 이동체 구동 시스템, 상기 이동체 구동 방법을 이용한 패턴 형성 방법 및 상기 이동체 구동 시스템을 구비하는 패턴 형성 장치, 상기 이동체 구동 방법을 이용한 노광 방법 및 상기 이동체 구동 시스템을 구비하는 노광 장치, 그리고 상기 패턴 형성 방법을 이용한 디바이스 제조 방법에 관한 것이다.
종래에 반도체 소자, 액정 표시 소자 등의 마이크로 디바이스 (전자 디바이스 등) 의 제조에 있어서의 리소그래피 공정에서는, 스텝·앤드·리피트 방식의 축소 투영 노광 장치 (이른바 스테퍼) 나 스텝·앤드·스캔 방식의 축소 투영 노광 장치 (이른바 스캐닝·스테퍼 (스캐너라고도 불린다)) 등이 비교적 많이 사용되고 있다.
이러한 종류의 노광 장치에서는, 웨이퍼 상의 복수의 쇼트 영역에 레티클 (또는 마스크) 의 패턴을 전사하기 위해, 웨이퍼를 유지하는 웨이퍼 스테이지는 XY 2 차원 방향으로 예를 들어 리니어 모터 등에 의해 구동된다. 특히, 스캐닝·스테퍼의 경우, 웨이퍼 스테이지뿐만 아니라, 레티클 스테이지도 리니어 모터 등에 의해 주사 방향으로 소정 스트로크로 구동된다. 레티클 스테이지나 웨이퍼 스테이지의 위치 계측은, 장기간에 걸쳐 계측값의 안정성이 양호하고, 고분해능인 레이저 간섭계를 사용하여 실시되는 것이 일반적이다.
그런데, 반도체 소자의 고집적화에 수반되는 패턴의 미세화에 의해 보다 고정밀도의 스테이지의 위치 제어가 요구되게 되었고, 이제는 레이저 간섭계의 빔 광로 상 분위기의 온도 요동에서 기인하는 계측값의 단기적인 변동이 오버레이 버짓 중의 큰 비중을 차지하게 되었다.
한편, 스테이지의 위치 계측에 사용되는 레이저 간섭계 이외의 계측 장치로서 인코더가 있는데, 인코더는 스케일을 사용하기 때문에, 그 스케일의 기계적인 장기 안정성 (격자 피치의 드리프트, 고정 위치 드리프트, 열팽창 등) 이 부족하고, 이 때문에 레이저 간섭계에 비해 계측값의 선형성이 부족하여, 장기 안정성이 떨어진다는 결점을 갖고 있다.
상기 서술한 레이저 간섭계와 인코더의 결점을 감안하여, 레이저 간섭계와 인코더 (회절 격자를 사용하는 위치 검출 센서) 를 병용하여 스테이지의 위치를 계측하는 장치가 다양하게 제안되어 있다 (특허 문헌 1, 2 등 참조).
또, 종래의 인코더의 계측 분해능은 간섭계에 비해 떨어졌으나, 최근에는 계측 분해능이 레이저 간섭계와 동일한 정도 이상인 인코더가 출현하였고 (예를 들어 특허 문헌 3 등 참조), 상기 서술한 레이저 간섭계와 인코더를 조합하는 기술이 주목받게 되었다.
그런데, 예를 들어 인코더를 사용하여 웨이퍼를 유지하고 2 차원 이동하는 노광 장치의 웨이퍼 스테이지의 이동면 내의 위치 계측을 실시하는 경우에, 그 웨이퍼 스테이지 등의 필요 이상의 대형화를 피하기 위해서는, 복수의 인코더를 사용하여 웨이퍼 스테이지의 이동 중에 제어에 사용하는 인코더를 전환하는 것, 즉 복수의 인코더 사이에서 연결을 실시하는 것이 필요 불가결해진다. 그러나, 예를 들어 웨이퍼 스테이지에 그레이팅을 배치한 경우를 생각하면, 용이하게 상상되는 바와 같이, 웨이퍼 스테이지의 이동 중, 특히 소정의 경로를 따라 정확하게 웨이퍼 스테이지를 2 차원 이동시키면서, 복수의 인코더 사이에서 연결을 실시하는 것은 그렇게 간단하지는 않다.
또, 연결 동작을 반복함으로써, 연결시에 발생하는 오차의 누적에 의해 시간의 경과와 함께 웨이퍼 스테이지의 위치 오차가 커지고, 결과적으로 노광 정밀도 (중첩 정밀도) 가 악화될 우려도 있다.
한편으로, 웨이퍼 스테이지의 이동 가능한 범위 전역 (全域) 에서, 반드시 인코더 시스템을 사용하여 웨이퍼 스테이지의 위치를 계측할 필요는 없다고 생각된다.
그런데, 인코더의 헤드의 검출 신호, 즉, 수광 소자의 광전 변환 신호 등의 전기 신호의 전선 중 전파 속도는 유한하며, 인코더의 검출 신호가 전파되는 전선의 길이는 일반적으로 수m 내지 10m 로, 10m 를 초과하는 경우도 적지 않다. 이와 같은 길이의 전선 중을 광의 속도로 신호가 전파되는 것을 생각하면, 이 전파에 수반되는 지연 시간의 영향은 무시할 수 없는 레벨이다.
일본 공개특허공보 2002-151405호일본 공개특허공보 2004-101362호일본 공개특허공보 2005-308592호
본 발명은, 상기 서술한 사정하에서 이루어진 것으로서, 제 1 관점에서 보면, 서로 직교하는 제 1 축 및 제 2 축을 포함하는 이동면 내에서 이동체를 구동시키는 이동체 구동 방법으로서, 그레이팅에 검출광을 조사하고, 상기 그레이팅으로부터의 검출광을 수광하는 헤드를 갖는 복수의 인코더를 포함하는 인코더 시스템의 적어도 2 개의 인코더를 사용하여, 상기 이동면 내에 있어서의 상기 이동체의 위치 정보를 계측하는 공정과 ; 상기 이동면 내에 있어서의 상기 이동체의 위치가 전환 전후에서 유지되도록, 상기 이동체의 위치 제어에 사용하는 인코더를 상기 적어도 2 개의 인코더 중 어느 하나의 인코더로부터 다른 인코더로 전환하는 공정을 포함하는 제 1 이동체 구동 방법이다.
이에 의하면, 이동체의 구동 중에 인코더 시스템의 적어도 2 개의 인코더를 사용하여 이동면 내에 있어서의 이동체의 위치 정보가 계측되고, 상기 이동면 내에 있어서의 이동체의 위치가 전환 전후에서 유지되도록, 이동체의 위치 제어에 사용되는 인코더가 상기 적어도 2 개의 인코더 중 어느 하나의 인코더로부터 다른 인코더로 전환된다. 이 때문에, 이동체의 위치 제어에 사용되는 인코더의 전환이 실시되고 있음에도 불구하고, 전환 전후에서 이동면 내에 있어서의 이동체의 위치가 유지되어, 정확한 연결이 가능해진다. 이로써, 복수의 인코더 사이에서 연결을 실시하면서, 소정의 경로를 따라 정확하게 이동체를 2 차원 이동시킬 수 있게 된다.
본 발명은, 제 2 관점에서 보면, 이동면 내에서 이동체를 구동시키는 이동체 구동 방법으로서, 상기 이동체를 상기 이동면 내의 소정 방향으로 구동시킬 때에, 상기 이동면 내에 있어서의 상기 이동체의 위치 정보를 계측하는 복수의 헤드를 포함하는 인코더 시스템의 적어도 1 개의 헤드의 검출 신호에 따른 계측 데이터를, 소정의 제어 샘플링 간격으로 취입하는 공정과 ; 마지막으로 취입한 최신의 계측 데이터와 적어도 1 개 앞의 데이터를 포함하는 과거의 계측 데이터를 포함하는 복수의 데이터와, 상기 검출 신호의 전파 경로 중의 전파에 수반되는 지연 시간의 정보에 기초하여, 상기 검출 신호의 전파에 수반되는 계측 지연에 기인하는 상기 헤드의 계측 오차가 보정되도록 상기 이동체를 구동시키는 공정을 포함하는 제 2 이동체 구동 방법이다.
이에 의하면, 이동체를 이동면 내의 소정 방향으로 구동시킬 때에, 이동면 내에 있어서의 이동체의 위치 정보를 계측하는 인코더 시스템의 적어도 1 개의 헤드의 검출 신호에 따른 계측 데이터를, 소정의 제어 샘플링 간격으로 취입하고, 마지막으로 취입한 최신의 계측 데이터와 적어도 1 개 앞 (1 개의 제어 샘플링 간격 앞) 의 데이터를 포함하는 과거의 계측 데이터를 포함하는 복수의 데이터와, 검출 신호의 전파 경로 중의 전파에 수반되는 지연 시간의 정보에 기초하여, 검출 신호의 전파에 수반되는 계측 지연에 기인하는 상기 헤드의 계측 오차가 보정되도록 이동체를 구동시킨다. 따라서, 인코더 헤드의 검출 신호의 전파 경로 중의 전파에 수반되는 계측 지연에 영향을 받지 않고, 이동체를 고정밀도로 원하는 방향으로 구동시킬 수 있게 된다.
본 발명은, 제 3 관점에서 보면, 이동면 내에서 이동 가능한 이동체 상에 물체를 탑재하는 공정과 ; 상기 물체에 대해 패턴을 형성하기 위해, 본 발명의 제 1, 제 2 이동체 구동 방법 중 어느 하나에 의해 상기 이동체를 구동시키는 공정을 포함하는 패턴 형성 방법이다.
이에 의하면, 본 발명의 제 1, 제 2 이동체 구동 방법 중 어느 하나를 이용하여 구동되는 이동체 상에 탑재된 물체에 패턴을 형성함으로써, 물체 상에 원하는 패턴을 형성할 수 있게 된다.
본 발명은, 제 4 관점에서 보면, 패턴 형성 공정을 포함하는 디바이스 제조 방법으로서, 상기 패턴 형성 공정에서는, 본 발명의 패턴 형성 방법을 이용하여 기판 상에 패턴을 형성하는 제 1 디바이스 제조 방법이다.
본 발명은, 제 5 관점에서 보면, 에너지빔의 조사에 의해 물체에 패턴을 형성하는 노광 방법으로서, 상기 에너지빔과 상기 물체의 상대 이동을 위해 본 발명의 제 1, 제 2 이동체 구동 방법 중 어느 하나를 이용하여 상기 물체를 탑재하는 이동체를 구동시키는 제 1 노광 방법이다.
이에 의하면, 물체에 조사되는 에너지빔과 상기 물체의 상대 이동을 위해 본 발명의 제 1, 제 2 이동체 구동 방법 중 어느 하나를 이용하여, 상기 물체를 탑재하는 이동체가 양호한 정밀도로 구동된다. 따라서, 주사 노광에 의해, 물체 상에 원하는 패턴을 형성할 수 있게 된다.
본 발명은, 제 6 관점에서 보면, 이동면 내에서 이동하는 이동체 상의 물체를 순차 교환하고, 교환 후의 물체를 순차 노광하여 각 물체 상에 패턴을 각각 형성하는 노광 방법으로서, 상기 이동체 상에서 물체의 교환이 실시될 때마다, 상기 이동체의 상기 이동면 내에 있어서의 위치 정보를 노광 위치를 포함하는 소정의 유효 영역 내에서 계측하는 인코더 시스템의 적어도 3 개의 인코더를 사용한 상기 이동면 내에 있어서의 상기 이동체의 위치 제어를 다시 개시하는 제 2 노광 방법이다.
이에 의하면, 이동체 상에서 물체의 교환이 실시될 때마다, 이동체의 이동면 내에 있어서의 위치 정보를 유효 영역 내에서 계측하는 인코더 시스템의 적어도 3 개의 인코더를 사용한 상기 이동면 내에 있어서의 이동체의 위치 제어가 다시 개시된다. 이 때문에, 물체 교환이 실시될 때마다 이동체의 위치 오차가 캔슬되어, 시간의 경과와 함께 이동체의 위치 오차가 커지는 경우가 없다. 따라서, 이동체의 이동면 내에 있어서의 위치 정보를, 노광 위치를 포함하는 소정의 유효 영역 내에서 인코더 시스템에 의해 양호한 정밀도로 장기간에 걸쳐 계측할 수 있게 되고, 이로써 노광 정밀도를 장기간에 걸쳐 유지할 수 있게 된다.
본 발명은, 제 7 관점에서 보면, 이동면 내에서 이동체를 구동시키는 이동체 구동 방법으로서, 그레이팅에 검출광을 조사하고, 상기 그레이팅으로부터의 검출광을 수광하는 헤드를 각각 갖고, 상기 이동면 내에 있어서의 상기 이동체의 위치 정보를 계측하는 복수의 인코더를 포함하는 인코더 시스템의 각 인코더의 출력을 상시 취입함과 함께, 상기 이동체의 위치 제어에 사용하고 있던 인코더로부터 다른 인코더로 상기 이동체의 위치 제어에 사용하는 인코더를 전환하는 동작을, 상기 이동체의 위치 제어의 타이밍에 동기하여 실행하는 공정을 포함하는 제 3 이동체 구동 방법이다.
이에 의하면, 이동체의 구동 중, 인코더 시스템의 각 인코더의 출력이 항상 취입됨과 함께, 이동체의 위치 제어에 사용되고 있던 인코더로부터 다른 인코더로 상기 이동체의 위치 제어에 사용되는 인코더를 전환하는 동작이, 이동체의 위치 제어의 타이밍에 동기하여 실행된다. 이 때문에, 인코더의 전환을 고속으로 실시할 필요가 없어지고, 그 전환을 위한 고정밀도의 하드웨어가 불필요해져, 비용의 저감을 도모할 수 있게 된다.
본 발명은, 제 8 관점에서 보면, 서로 직교하는 제 1 축 및 제 2 축을 포함하는 이동면 내에서 이동체를 구동시키는 이동체 구동 방법으로서, 그레이팅에 검출광을 조사하고, 상기 그레이팅으로부터의 검출광을 수광하는 헤드를 각각 갖는 복수의 인코더를 포함하는 인코더 시스템의 적어도 1 개의 인코더를 사용하여, 상기 이동면 내에 있어서의 상기 이동체의 위치 정보를 계측하는 공정과 ; 상기 이동체의 이동 루트에 기초하여, 상기 이동체의 위치 제어에 사용하는 인코더를 임의의 인코더로부터 다른 인코더로 전환하는 전환의 대상이 되는 인코더의 조합 및 전환의 타이밍을 스케줄링하는 공정과 ; 상기 스케줄링된 내용에 기초하여, 상기 임의의 인코더로부터 다른 인코더로 전환하는 공정을 포함하는 제 4 이동체 구동 방법이다.
이에 의하면, 이동체의 이동 루트에 기초하여, 상기 이동체의 위치 제어에 사용하는 인코더를 인코더 시스템의 임의의 인코더로부터 다른 인코더로 전환하는 전환의 대상이 되는 인코더의 조합 및 전환의 타이밍이 스케줄링된다. 그리고, 이동체의 이동 중, 이동체의 이동면 내의 위치 정보가 인코더 시스템의 적어도 1 개의 인코더를 사용하여 계측되고, 상기 스케줄링된 내용에 기초하여 임의의 인코더로부터 다른 인코더로의 전환이 실시된다. 이로써, 이동체의 목표 궤도에 따른 무리가 없는 인코더의 전환이 가능해진다.
본 발명은, 제 9 관점에서 보면, 서로 직교하는 제 1 축 및 제 2 축을 포함하는 이동면 내에서 이동체를 구동시키는 이동체 구동 시스템으로서, 그레이팅에 검출광을 조사하고, 상기 그레이팅으로부터의 검출광을 수광하는 헤드를 각각 갖고, 상기 제 1 축에 평행한 방향에 관한 상기 이동체의 위치 정보를 계측하는 제 1 인코더와 상기 제 2 축에 평행한 방향에 관한 상기 이동체의 위치 정보를 계측하는 제 2 인코더를 적어도 각 1 개, 합계로 3 개 이상 포함하는 인코더 시스템과 ; 상기 이동면 내에 있어서의 상기 이동체의 위치가 전환 전후에서 유지되도록, 상기 이동면 내에 있어서의 상기 이동체의 위치 정보의 계측에 사용하는 인코더를, 상기 제 1 인코더와 상기 제 2 인코더를 적어도 각 1 개 포함하는 적어도 2 개의 인코더 중 어느 하나의 인코더로부터 다른 인코더로 전환하는 제어 장치를 구비하는 제 1 이동체 구동 시스템이다.
이에 의하면, 이동체의 구동 중에, 인코더 시스템의 제 1 인코더와 상기 제 2 인코더를 적어도 각 1 개 포함하는 적어도 2 개의 인코더에 의해 이동면 내에 있어서의 이동체의 위치 정보가 계측되고, 제어 장치에 의해 이동면 내에 있어서의 이동체의 위치가 전환 전후에서 유지되도록, 이동면 내에 있어서의 이동체의 위치 정보의 계측에 사용하는 인코더가, 상기 적어도 2 개의 인코더 중 어느 하나의 인코더로부터 다른 인코더로 전환된다. 이 때문에, 이동체의 위치 제어에 사용하는 인코더의 전환이 실시되고 있음에도 불구하고, 전환 전후에서 이동면 내에 있어서의 이동체의 위치가 유지되어, 정확한 연결이 가능해진다. 이로써, 복수의 인코더 사이에서 연결을 실시하면서, 소정의 경로를 따라 정확하게 이동체를 2 차원 이동시킬 수 있게 된다.
본 발명은, 제 10 관점에서 보면, 이동면 내에서 이동체를 구동시키는 이동체 구동 시스템으로서, 상기 이동면 내에 있어서의 상기 이동체의 위치 정보를 계측하는 복수의 헤드를 포함하는 인코더 시스템과 ; 상기 이동체를 상기 이동면 내의 소정 방향으로 구동시킬 때에, 상기 인코더 시스템의 적어도 1 개의 헤드의 검출 신호에 따른 계측 데이터를, 소정의 제어 샘플링 간격으로 취입함과 함께, 마지막으로 취입한 최신의 계측 데이터와 적어도 1 개 앞의 데이터를 포함하는 과거의 계측 데이터를 포함하는 복수의 데이터와, 상기 검출 신호의 전파 경로 중의 전파에 수반되는 지연 시간의 정보에 기초하여, 상기 검출 신호의 전파에 수반되는 계측 지연에 기인하는 상기 헤드의 계측 오차가 보정되도록 상기 이동체를 구동시키는 제어 장치를 구비하는 제 2 이동체 구동 시스템이다.
이에 의하면, 제어 장치에 의해 이동체를 이동면 내의 소정 방향으로 구동시킬 때에, 인코더 시스템의 적어도 1 개의 헤드의 검출 신호에 따른 계측 데이터가 소정의 제어 샘플링 간격으로 취입됨과 함께, 마지막으로 취입한 최신의 계측 데이터와 적어도 1 개 앞의 데이터를 포함하는 과거의 계측 데이터를 포함하는 복수의 데이터와, 검출 신호의 전파 경로 중의 전파에 수반되는 지연 시간의 정보에 기초하여, 검출 신호의 전파에 수반되는 계측 지연에 기인하는 상기 헤드의 계측 오차가 보정되도록 이동체가 구동된다. 이로써, 인코더 헤드의 검출 신호의 전파 경로 중의 전파에 수반되는 계측 지연에 영향을 받지 않고, 이동체를 고정밀도로 원하는 방향으로 구동시킬 수 있게 된다.
본 발명은, 제 11 관점에서 보면, 이동면 내에서 이동체를 구동시키는 이동체 구동 시스템으로서, 상기 이동면 내에 있어서의 상기 이동체의 위치 정보를 계측하는 복수의 헤드를 포함하는 인코더 시스템과 ; 상기 이동면 내에 있어서의 상기 이동체의 위치 정보를 계측하는 간섭계 시스템과 ; 상기 이동체를 소정 방향으로 구동시키고, 그 구동 중에 상기 인코더 시스템의 복수의 헤드에 대해, 각 헤드의 검출 신호와 상기 간섭계 시스템의 검출 신호를 소정 샘플링 타이밍으로 동시에 취입하고, 양 검출 신호에 기초하여 상기 복수의 헤드 각각의 검출 신호의 전파 경로 중의 전파에 수반되는 지연 시간의 정보를 상기 간섭계 시스템의 검출 신호를 기준으로 하여 취득하는 지연 시간 취득 처리를 실행하는 처리 장치와 ; 상기 인코더 시스템의 상기 복수의 헤드 각각의 검출 신호에 대응하는 계측 데이터와, 상기 복수의 헤드 각각에 대한 상기 지연 시간의 정보에 기초하여, 상기 이동체를 구동시키는 제어 장치를 구비하는 제 3 이동체 구동 시스템이다.
이에 의하면, 처리 장치에 의해 이동체를 소정 방향으로 구동시키고, 그 구동 중에 인코더 시스템의 복수의 헤드에 대해, 각 헤드의 검출 신호와 간섭계 시스템의 검출 신호를 소정 샘플링 타이밍으로 동시에 취입하고, 양 검출 신호에 기초하여 상기 복수의 헤드 각각의 검출 신호의 전파 경로 중의 전파에 수반되는 지연 시간의 정보를 간섭계 시스템의 검출 신호를 기준으로 하여 취득하는 지연 시간 취득 처리가 실행된다. 이로써, 처리 장치 스스로가 복수의 헤드 각각에 대한 지연 시간의 정보를 간섭계 시스템의 검출 신호를 기준으로 하여 취득할 수 있게 된다. 그리고, 제어 장치에 의해, 인코더 시스템의 복수의 헤드 각각의 검출 신호에 대응하는 계측 데이터와, 취득된 복수의 헤드 각각에 대한 상기 지연 시간의 정보에 기초하여 이동체가 구동된다. 이로써, 헤드마다 상기 지연 시간이 상이해도, 이 복수의 헤드간 지연 시간의 상이의 영향을 받지 않고, 이동체를 인코더 시스템의 각 인코더를 사용하여 양호한 정밀도로 구동시킬 수 있게 된다.
본 발명은, 제 12 관점에서 보면, 물체가 탑재되고, 그 물체를 유지하여 이동면 내에서 이동 가능한 이동체와 ; 상기 물체에 대한 패턴 형성을 위해, 상기 이동체를 구동시키는 본 발명의 제 1 ∼ 제 3 이동체 구동 시스템 중 어느 하나를 구비하는 제 1 패턴 형성 장치이다.
이에 의하면, 본 발명의 제 1 ∼ 제 3 이동체 구동 시스템 중 어느 하나에 의해 구동되는 이동체 상의 물체에 패터닝 장치에 의해 패턴을 생성함으로써, 물체 상에 원하는 패턴을 형성할 수 있게 된다.
본 발명은, 제 13 관점에서 보면, 에너지빔의 조사에 의해 물체에 패턴을 형성하는 노광 장치로서, 상기 물체에 상기 에너지빔을 조사하는 패터닝 장치와 ; 본 발명의 제 1 ∼ 제 3 이동체 구동 시스템 중 어느 하나를 구비하고, 상기 에너지빔과 상기 물체의 상대 이동을 위해, 상기 이동체 구동 시스템에 의한 상기 물체를 탑재하는 이동체의 구동을 실시하는 제 1 노광 장치이다.
이에 의하면, 패터닝 장치로부터 물체에 조사되는 에너지빔과 상기 물체의 상대 이동을 위해, 본 발명의 제 1 ∼ 제 3 이동체 구동 시스템 중 어느 하나에 의해 상기 물체를 탑재하는 이동체가 구동된다. 따라서, 주사 노광에 의해 물체 상에 원하는 패턴을 형성할 수 있게 된다.
본 발명은, 제 14 관점에서 보면, 이동면 내에서 이동하는 이동체 상의 물체를 순차 교환하고, 교환 후의 물체를 순차 노광하여 각 물체 상에 패턴을 각각 형성하는 노광 장치로서, 상기 이동체의 상기 이동면 내에 있어서의 위치 정보를 노광 위치를 포함하는 소정의 유효 영역 내에서 계측하는 적어도 3 개의 인코더를 포함하는 인코더 시스템과 ; 상기 이동체 상에서 물체의 교환이 실시될 때마다, 상기 인코더 시스템의 적어도 3 개의 인코더를 사용한 상기 이동면 내에 있어서의 상기 이동체의 위치 제어를 다시 개시하는 제어 장치를 구비하는 제 2 노광 장치이다.
이에 의하면, 제어 장치에 의해 이동체 상에서 물체의 교환이 실시될 때마다, 이동체의 이동면 내에 있어서의 위치 정보를 유효 영역 내에서 계측하는 인코더 시스템의 적어도 3 개의 인코더를 사용한 상기 이동면 내에 있어서의 이동체의 위치 제어가 다시 개시된다. 이 때문에, 물체 교환이 실시될 때마다 이동체의 위치 오차가 캔슬 (cancel) 되어, 시간의 경과와 함께 이동체의 위치 오차가 커지는 경우가 없다. 따라서, 이동체의 이동면 내에 있어서의 위치 정보를, 노광 위치를 포함하는 소정의 유효 영역 내에서 인코더 시스템에 의해 양호한 정밀도로 장기간에 걸쳐 계측할 수 있게 되고, 이로써 노광 정밀도를 장기간에 걸쳐 유지할 수 있게 된다.
본 발명은, 제 15 관점에서 보면, 이동면 내에서 이동체를 구동시키는 이동체 구동 시스템으로서, 그레이팅에 검출광을 조사하고, 상기 그레이팅으로부터의 검출광을 수광하는 헤드를 각각 갖고, 상기 이동면 내에 있어서의 상기 이동체의 위치 정보를 계측하는 복수의 인코더를 포함하는 인코더 시스템과 ; 상기 인코더 시스템의 각 인코더의 출력을 상시 취입함과 함께, 상기 이동체의 위치 제어에 사용하고 있던 인코더로부터 다른 인코더로 상기 이동체의 위치 제어에 사용하는 인코더를 전환하는 동작을, 상기 이동체의 위치 제어의 타이밍에 동기하여 실행하는 제어 장치를 구비하는 제 4 이동체 구동 시스템이다.
이에 의하면, 이동체의 구동 중, 제어 장치에 의해 인코더 시스템의 각 인코더의 출력이 항상 취입됨과 함께, 이동체의 위치 제어에 사용하고 있던 인코더로부터 다른 인코더로 이동체의 위치 제어에 사용하는 인코더를 전환하는 동작이 이동체의 위치 제어의 타이밍에 동기하여 실행된다. 이 때문에, 인코더의 전환을 고속으로 실시할 필요가 없어지고, 그 전환을 위한 고정밀도의 하드웨어가 불필요해져, 비용의 저감을 도모할 수 있게 된다.
본 발명은, 제 16 관점에서 보면, 서로 직교하는 제 1 축 및 제 2 축을 포함하는 이동면 내에서 이동체를 구동시키는 이동체 구동 시스템으로서, 그레이팅에 검출광을 조사하고, 상기 그레이팅으로부터의 검출광을 수광하는 헤드를 갖고, 상기 이동면 내에 있어서의 상기 이동체의 위치 정보를 계측하는 복수의 인코더를 포함하는 인코더 시스템과 ; 상기 이동체의 이동 루트에 기초하여, 상기 이동체의 위치 제어에 사용하는 인코더를 상기 인코더 시스템의 임의의 인코더로부터 다른 인코더로 전환하는 전환의 대상이 되는 인코더의 조합 및 전환 타이밍을 스케줄링하는 제어 장치를 구비하는 제 5 이동체 구동 시스템이다.
이에 의하면, 제어 장치에 의해, 이동체의 이동 루트에 기초하여, 이동체의 위치 제어에 사용하는 인코더를 인코더 시스템의 임의의 인코더로부터 다른 인코더로 전환하는 전환의 대상이 되는 인코더의 조합 및 전환의 타이밍이 스케줄링된다. 그리고, 이동체의 이동 중, 이동면 내에 있어서의 이동체의 위치 정보가 인코더 시스템의 적어도 1 개의 인코더를 사용하여 계측되고, 상기 스케줄링의 내용에 기초하여 임의의 인코더로부터 다른 인코더로의 전환이 실시된다. 이로써, 이동체의 목표 궤도에 따른 무리가 없는 인코더의 전환이 가능해진다.
본 발명은, 제 17 관점에서 보면, 물체가 탑재되고, 그 물체를 유지하여 이동면 내에서 이동 가능한 이동체와 ; 상기 물체에 대한 패턴 형성을 위해 상기 이동체를 구동시키는 본 발명의 제 4, 제 5 이동체 구동 시스템 중 어느 하나를 구비하는 제 2 패턴 형성 장치이다.
이에 의하면, 본 발명의 제 4, 제 5 이동체 구동 시스템 중 어느 하나에 의해 원활하게 구동되는 이동체 상의 물체에 패터닝 장치에 의해 패턴을 생성함으로써, 물체 상에 양호한 정밀도로 패턴을 형성할 수 있게 된다.
본 발명은, 제 18 관점에서 보면, 에너지빔의 조사에 의해 물체에 패턴을 형성하는 노광 장치로서, 상기 물체에 상기 에너지빔을 조사하는 패터닝 장치와 ; 본 발명의 제 4, 제 5 이동체 구동 시스템 중 어느 하나를 구비하고, 상기 에너지빔과 상기 물체의 상대 이동을 위해, 상기 이동체 구동 시스템에 의한 상기 물체를 탑재하는 이동체의 구동을 실시하는 제 3 노광 장치이다.
이에 의하면, 패터닝 장치로부터 물체에 조사되는 에너지빔과 상기 물체의 상대 이동을 위해, 본 발명의 제 4, 제 5 이동체 구동 시스템 중 어느 하나에 의해 상기 물체를 탑재하는 이동체가 양호한 정밀도로 구동된다. 따라서, 주사 노광에 의해 물체 상에 양호한 정밀도로 패턴을 형성할 수 있게 된다.
본 발명은, 제 19 관점에서 보면, 에너지빔으로 물체를 노광하는 노광 장치로서, 상기 물체를 유지하고, 적어도 소정 평면 내에서 직교하는 제 1 및 제 2 방향으로 이동 가능한 이동체와 ; 상기 물체가 유지되는 상기 이동체의 일면에 격자부와 헤드 유닛의 일방이 형성되고, 또한 타방이 상기 이동체의 일면과 대향하여 형성됨과 함께, 상기 헤드 유닛의 복수의 헤드 중 상기 격자부와 대향하는 헤드에 의해, 상기 소정 평면 내에서의 상기 이동체의 위치 정보를 계측하는 인코더 시스템과 ; 상기 이동체의 이동에 수반되는 상기 계측에 사용하는 헤드의 전환시, 그 전환 전의 헤드에 의해 계측되는 위치 정보와, 상기 제 1 및 제 2 방향과 상이한 방향에 관한 상기 이동체의 위치 정보에 기초하여, 상기 전환 후의 헤드에 의해 계측되어야 할 위치 정보를 결정하는 제어 장치를 구비하는 제 4 노광 장치이다.
이에 의하면, 이동체의 이동에 수반되는 이동체의 위치 계측에 사용되는 헤드의 전환 전후에서 이동체의 위치가 유지되어, 원활한 헤드의 전환이 가능해진다. 이로써, 복수의 헤드간에서 전환을 실시하면서, 적어도 소정 평면 내에서 정확하게 이동체를 2 차원 이동시킬 수 있게 되고, 나아가서는 이동체 상의 물체를 양호한 정밀도로 노광할 수 있게 된다.
본 발명은, 제 20 관점에서 보면, 에너지빔으로 물체를 노광하는 노광 장치로서, 상기 물체를 유지하고, 적어도 소정 평면 내에서 직교하는 제 1 및 제 2 방향으로 이동 가능한 이동체와 ; 상기 물체가 유지되는 상기 이동체의 일면에 격자부와 헤드 유닛의 일방이 형성되고, 또한 타방이 상기 이동체의 일면과 대향하여 형성됨과 함께, 상기 헤드 유닛의 복수의 헤드 중 상기 격자부와 대향하는 헤드에 의해, 상기 소정 평면 내에서의 상기 이동체의 위치 정보를 계측하는 인코더 시스템과 ; 상기 이동체의 이동 중, 상기 계측에 사용하는 헤드를 다른 헤드로 전환하여, 상기 계측을 계속함과 함께, 상기 다른 헤드에 의해 계측되는 상기 인코더 시스템의 계측 정보와, 상기 전환시의 상기 제 1 및 제 2 방향과 상이한 방향에 관한 상기 이동체의 위치 정보에 기초하여, 상기 소정 평면 내에서의 상기 이동체의 위치를 제어하는 제어 장치를 구비하는 제 5 노광 장치이다.
이에 의하면, 복수의 헤드간에서 전환을 실시하면서, 적어도 소정 평면 내에서 정확하게 이동체를 2 차원 이동시킬 수 있게 되고, 나아가서는 이동체 상의 물체를 양호한 정밀도로 노광할 수 있게 된다.
본 발명은, 제 21 관점에서 보면, 에너지빔으로 물체를 노광하는 노광 장치로서, 상기 물체를 유지하고, 적어도 소정 평면 내에서 직교하는 제 1 및 제 2 방향으로 이동 가능한 이동체와 ; 상기 물체가 유지되는 상기 이동체의 일면에 격자부와 헤드 유닛의 일방이 형성되고, 또한 타방이 상기 이동체의 일면과 대향하여 형성됨과 함께, 상기 헤드 유닛의 복수의 헤드 중 상기 격자부와 대향하는 적어도 3 개의 헤드에 의해, 상기 제 1 방향, 상기 제 2 방향, 및 상기 소정 평면 내의 회전 방향에 관한 상기 이동체의 위치 정보를 계측하는 인코더 시스템과 ; 상기 이동체의 이동 중, 상기 계측에 사용하는 3 개의 헤드를 적어도 1 개가 상이한 3 개의 헤드로 전환하여 상기 계측을 계속함과 함께, 상기 전환시, 상기 전환 전의 3 개의 헤드에 의해 계측되는 위치 정보에 기초하여, 상기 전환 전의 3 개의 헤드와 상이한 상기 전환 후의 3 개의 헤드의 적어도 1 개에 의해 계측되어야 할 위치 정보를 결정하는 제어 장치를 구비하는 제 6 노광 장치이다.
이에 의하면, 이동체의 이동에 수반되는 이동체의 위치 계측에 사용되는 헤드의 전환 전후에서 이동체의 소정면 내의 위치 (소정면 내의 회전을 포함한다) 가 유지되어, 원활한 헤드의 전환이 가능해진다. 이로써, 복수의 헤드간에서 전환을 실시하면서, 적어도 소정 평면 내에서 정확하게 이동체를 2 차원 이동시킬 수 있게 되고, 나아가서는 이동체 상의 물체를 양호한 정밀도로 노광할 수 있게 된다.
본 발명은, 제 22 관점에서 보면, 에너지빔으로 물체를 노광하는 노광 장치로서, 상기 물체를 유지하고, 적어도 소정 평면 내에서 직교하는 제 1 및 제 2 방향으로 이동 가능한 이동체와 ; 상기 물체가 유지되는 상기 이동체의 일면에 격자부와 헤드 유닛의 일방이 형성되고, 또한 타방이 상기 이동체의 일면과 대향하여 형성됨과 함께, 상기 헤드 유닛의 복수의 헤드 중 상기 격자부와 대향하는 헤드에 의해, 상기 소정 평면 내에서의 상기 이동체의 위치 정보를 계측하는 인코더 시스템과 ; 상기 위치 정보의 계측에 사용되는 헤드의 상기 소정 평면과 평행한 면 내에서의 위치 정보와, 상기 인코더 시스템의 계측 정보에 기초하여, 상기 이동체의 상기 소정 평면 내에서의 위치를 제어하는 제어 장치를 구비하는 제 7 노광 장치이다.
이에 의하면, 위치 정보의 계측에 사용되는 헤드의 소정 평면과 평행한 면 내에서의 위치의 편차 (예를 들어 설계상 위치로부터의 편차) 에서 기인하는 인코더 시스템의 계측 오차에 영향을 받지 않고, 적어도 소정 평면 내에서 정확하게 이동체를 2 차원 이동시킬 수 있게 되고, 나아가서는 이동체 상의 물체를 양호한 정밀도로 노광할 수 있게 된다.
본 발명은, 제 23 관점에서 보면, 에너지빔으로 물체를 노광하는 노광 장치로서, 상기 물체를 유지하고, 적어도 소정 평면 내에서 직교하는 제 1 및 제 2 방향으로 이동 가능한 이동체와 ; 상기 물체가 유지되는 상기 이동체의 일면에 격자부와 헤드 유닛의 일방이 형성되고, 또한 타방이 상기 이동체의 일면과 대향하여 형성됨과 함께, 상기 헤드 유닛의 복수의 헤드 중 상기 격자부와 대향하는 헤드에 의해, 상기 소정 평면 내에서의 상기 이동체의 위치 정보를 계측하는 인코더 시스템과 ; 상기 헤드 유닛의 복수의 헤드의 상기 소정 평면과 평행한 면 내에서의 위치 정보를 계측하고, 계측된 위치 정보와, 상기 인코더 시스템의 계측 정보에 기초하여, 상기 이동체의 상기 소정 평면 내에서의 위치를 제어하는 제어 장치를 구비하는 제 8 노광 장치이다.
이에 의하면, 적어도 소정 평면 내에서 정확하게 이동체를 2 차원 이동시킬 수 있게 되고, 나아가서는 이동체 상의 물체를 양호한 정밀도로 노광할 수 있게 된다.
본 발명은, 제 24 관점에서 보면, 에너지빔으로 물체를 노광하는 노광 방법으로서, 적어도 소정 평면 내에서 직교하는 제 1 및 제 2 방향으로 이동 가능한 이동체에 상기 물체를 탑재하고, 상기 물체가 탑재되는 상기 이동체의 일면에 격자부와 헤드 유닛의 일방이 형성되고, 또한 타방이 상기 이동체의 일면과 대향하여 형성됨과 함께, 상기 헤드 유닛의 복수의 헤드 중 상기 격자부와 대향하는 헤드에 의해 상기 소정 평면 내에서의 상기 이동체의 위치 정보를 계측하는 인코더 시스템을 사용하여 상기 이동체의 위치 정보를 계측하고, 상기 이동체의 이동에 수반되는 상기 계측에 사용하는 헤드의 전환시, 그 전환 전의 헤드에 의해 계측되는 위치 정보와, 상기 제 1 및 제 2 방향과 상이한 방향에 관한 상기 이동체의 위치 정보에 기초하여, 상기 전환 후의 헤드에 의해 계측되어야 할 위치 정보를 결정하는 제 3 노광 방법이다.
이에 의하면, 이동체의 이동에 수반되는 이동체의 위치 계측에 사용되는 헤드의 전환 전후에서 이동체의 위치가 유지되어, 원활한 헤드의 전환이 가능해진다. 이로써, 복수의 헤드간에서 전환을 실시하면서, 적어도 소정 평면 내에서 정확하게 이동체를 2 차원 이동시킬 수 있게 되고, 나아가서는 이동체 상의 물체를 양호한 정밀도로 노광할 수 있게 된다.
본 발명은, 제 25 관점에서 보면, 에너지빔으로 물체를 노광하는 노광 방법으로서, 적어도 소정 평면 내에서 직교하는 제 1 및 제 2 방향으로 이동 가능한 이동체에 상기 물체를 탑재하고, 상기 물체가 탑재되는 상기 이동체의 일면에 격자부와 헤드 유닛의 일방이 형성되고, 또한 타방이 상기 이동체의 일면과 대향하여 형성됨과 함께, 상기 헤드 유닛의 복수의 헤드 중 상기 격자부와 대향하는 헤드에 의해, 상기 소정 평면 내에서의 상기 이동체의 위치 정보를 계측하는 인코더 시스템을 사용하여 상기 이동체의 위치 정보를 계측하고, 상기 이동체의 이동 중, 상기 계측에 사용하는 헤드를 다른 헤드로 전환하여, 상기 계측을 계속함과 함께, 상기 다른 헤드에 의해 계측되는 상기 인코더 시스템의 계측 정보와, 상기 전환시의 상기 제 1 및 제 2 방향과 상이한 방향에 관한 상기 이동체의 위치 정보에 기초하여, 상기 소정 평면 내에서의 상기 이동체의 위치를 제어하는 제 4 노광 방법이다.
이에 의하면, 복수의 헤드간에서 전환을 실시하면서, 적어도 소정 평면 내에서 정확하게 이동체를 2 차원 이동시킬 수 있게 되고, 나아가서는 이동체 상의 물체를 양호한 정밀도로 노광할 수 있게 된다.
본 발명은, 제 26 관점에서 보면, 에너지빔으로 물체를 노광하는 노광 방법으로서, 적어도 소정 평면 내에서 직교하는 제 1 및 제 2 방향으로 이동 가능한 이동체에 상기 물체를 탑재하고, 상기 물체가 탑재되는 상기 이동체의 일면에 격자부와 헤드 유닛의 일방이 형성되고, 또한 타방이 상기 이동체의 일면과 대향하여 형성됨과 함께, 상기 헤드 유닛의 복수의 헤드 중 상기 격자부와 대향하는 적어도 3 개의 헤드에 의해, 상기 제 1 방향, 상기 제 2 방향, 및 상기 소정 평면 내의 회전 방향에 관한 상기 이동체의 위치 정보를 계측하는 인코더 시스템을 사용하여 상기 이동체의 위치 정보를 계측하고, 상기 이동체의 이동 중, 상기 계측에 사용하는 3 개의 헤드를 적어도 1 개가 상이한 3 개의 헤드로 전환하여 상기 계측을 계속함과 함께, 상기 전환시, 상기 전환 전의 3 개의 헤드에 의해 계측되는 위치 정보에 기초하여, 상기 전환 전의 3 개의 헤드와 상이한 상기 전환 후의 3 개의 헤드 중 적어도 1 개의 헤드에 의해 계측되어야 할 위치 정보를 결정하는 제 5 노광 방법이다.
이에 의하면, 이동체의 이동에 수반되는 이동체의 위치 계측에 사용되는 헤드의 전환 전후에서 이동체의 소정면 내의 위치 (소정면 내의 회전을 포함한다) 가 유지되어, 원활한 헤드의 전환이 가능해진다. 이로써, 복수의 헤드간에서 전환을 실시하면서, 적어도 소정 평면 내에서 정확하게 이동체를 2 차원 이동시킬 수 있게 되고, 나아가서는 이동체 상의 물체를 양호한 정밀도로 노광할 수 있게 된다.
본 발명은, 제 27 관점에서 보면, 에너지빔으로 물체를 노광하는 노광 방법으로서, 적어도 소정 평면 내에서 직교하는 제 1 및 제 2 방향으로 이동 가능한 이동체에 상기 물체를 탑재하고, 상기 물체가 유지되는 상기 이동체의 일면에 격자부와 헤드 유닛의 일방이 형성되고, 또한 타방이 상기 이동체의 일면과 대향하여 형성됨과 함께, 상기 헤드 유닛의 복수의 헤드 중 상기 격자부와 대향하는 헤드에 의해, 상기 소정 평면 내에서의 상기 이동체의 위치 정보를 계측하는 인코더 시스템의 계측 정보와, 상기 위치 정보의 계측에 사용되는 헤드의 상기 소정 평면과 평행한 면 내에서의 위치 정보에 기초하여, 상기 이동체의 상기 소정 평면 내에서의 위치를 제어하는 제 6 노광 방법이다.
이에 의하면, 위치 정보의 계측에 사용되는 헤드의 소정 평면과 평행한 면 내에서의 위치의 편차 (예를 들어 설계상 위치로부터의 편차) 에서 기인하는 인코더 시스템의 계측 오차에 영향을 받지 않고, 적어도 소정 평면 내에서 정확하게 이동체를 2 차원 이동시킬 수 있게 되고, 나아가서는 이동체 상의 물체를 양호한 정밀도로 노광할 수 있게 된다.
본 발명은, 제 28 관점에서 보면, 에너지빔으로 물체를 노광하는 노광 방법으로서, 적어도 소정 평면 내에서 직교하는 제 1 및 제 2 방향으로 이동 가능한 이동체에 상기 물체를 탑재하고, 상기 물체가 탑재되는 상기 이동체의 일면에 격자부와 헤드 유닛의 일방이 형성되고, 또한 타방이 상기 이동체의 일면과 대향하여 형성됨과 함께, 상기 헤드 유닛의 복수의 헤드 중 상기 격자부와 대향하는 헤드에 의해, 상기 소정 평면 내에서의 상기 이동체의 위치 정보를 계측하는 인코더 시스템의 상기 헤드 유닛의 복수의 헤드의 상기 소정 평면과 평행한 면 내에서의 위치 정보를 계측하고, 계측된 위치 정보와, 상기 인코더 시스템의 계측 정보에 기초하여, 상기 이동체의 상기 소정 평면 내에서의 위치를 제어하는 제 7 노광 방법이다.
이에 의하면, 적어도 소정 평면 내에서 정확하게 이동체를 2 차원 이동시킬 수 있게 되고, 나아가서는 이동체 상의 물체를 양호한 정밀도로 노광할 수 있게 된다.
본 발명은, 제 29 관점에서 보면, 리소그래피 공정을 포함하는 디바이스 제조 방법으로서, 상기 리소그래피 공정에서는, 본 발명의 제 3 내지 제 7 노광 방법 중 어느 하나를 이용하여 상기 이동체 상에 탑재된 감응 물체를 노광하고, 그 감응 물체 상에 패턴을 형성하는 제 2 디바이스 제조 방법이다.
도 1 은 일 실시형태에 관련된 노광 장치의 구성을 개략적으로 나타내는 도면이다.
도 2 는 도 1 의 스테이지 장치를 나타내는 평면도이다.
도 3 은 도 1 의 노광 장치가 구비하는 각종 계측 장치 (인코더, 얼라인먼트계, 다점 AF 계, Z 센서 등) 의 배치를 나타내는 평면도이다.
도 4(A) 는 웨이퍼 스테이지를 나타내는 평면도이고, 도 4(B) 는 웨이퍼 스테이지 (WST) 를 나타내는 일부 단면된 개략 측면도이다.
도 5(A) 는 계측 스테이지를 나타내는 평면도이고, 도 5(B) 는 계측 스테이지를 나타내는 일부 단면된 개략 측면도이다.
도 6 은 일 실시형태에 관련된 노광 장치의 제어계의 주요한 구성을 나타내는 블록도이다.
도 7(A) 는 인코더의 구성의 일례를 나타내는 도면이고, 도 7(B) 는 검출광으로서 격자 (RG) 의 주기 방향으로 길게 연장되는 단면 형상의 레이저빔 (LB) 이 사용된 경우를 나타내는 도면이다.
도 8(A) 는 이동면에 의해 산란되는 광이 받는 도플러 효과를 나타내는 도면이고, 도 8(B) 는 인코더 헤드 내의 빔의 반사형 회절 격자에 대한 입사광, 회절광의 관계를 설명하기 위한 도면이다.
도 9(A) 는 인코더의 헤드와 스케일 사이에 비계측 방향의 상대 운동이 발생한 경우라도 계측값이 변화하지 않는 케이스를 나타내는 도면이고, 도 9(B) 는 인코더의 헤드와 스케일 사이에 비계측 방향의 상대 운동이 발생한 경우에 계측값이 변화하는 케이스의 일례를 나타내는 도면이다.
도 10(A) ∼ 도 10(D) 는 헤드와 스케일 사이에 비계측 방향의 상대 운동이 발생한 경우에 있어서, 인코더의 계측값이 변화하는 경우와 계측값이 변화하지 않는 경우를 설명하기 위한 도면이다.
도 11(A) 및 도 11(B) 는 비계측 방향에 대한 헤드와 스케일의 상대 운동에서 기인하는 인코더 (제 1 번째 인코더) 의 계측 오차를 보정하는 보정 정보를 취득하기 위한 동작을 설명하기 위한 도면이다.
도 12 는 피칭량 θx = α 에 있어서의 Z 위치의 변화에 대한 인코더의 계측 오차를 나타내는 그래프이다.
도 13 은 헤드와 스케일의 비계측 방향에 대한 상대 운동에서 기인하는 다른 인코더 (제 2 번째 인코더) 의 계측 오차를 보정하는 보정 정보를 취득하기 위한 동작을 설명하기 위한 도면이다.
도 14 는 헤드 위치의 캘리브레이션 처리에 대해 설명하기 위한 도면이다.
도 15 는 아베 이탈량을 구하기 위한 캘리브레이션 처리에 대해 설명하기 위한 도면이다.
도 16 은 복수의 헤드에서 동일한 스케일 상의 복수의 계측점을 계측하는 경우에 발생하는 문제를 설명하기 위한 도면이다.
도 17 은 스케일의 요철을 측정하는 방법을 설명하기 위한 제 1 도면이다.
도 18(A) ∼ 도 18(D) 는 스케일의 요철을 측정하는 방법을 설명하기 위한 제 2 도면이다.
도 19 는 스케일의 격자 피치의 보정 정보 및 격자 변형의 보정 정보의 취득 동작에 대해 설명하기 위한 도면이다.
도 20 은 각 Y 헤드의 검출 신호의 전선 중의 전파에 수반되는 지연 시간을 구하는 방법을 설명하기 위한 도면이다.
도 21 은 각 헤드의 검출 신호의 전선 중의 전파에 수반되는 계측 지연에 기인하는 인코더의 계측 오차의 보정 방법의 일례에 대해 설명하기 위한 도면이다.
도 22(A) 및 도 22(B) 는 보정이 완료된 인코더의 계측값을 웨이퍼 스테이지 (WST) 의 위치로 변환하는 구체적 방법을 설명하기 위한 도면이다.
도 23(A) 및 도 23(B) 는 어레이상으로 배치된 복수의 헤드를 각각 포함하는 복수의 인코더에 의한 연속적인 웨이퍼 테이블의 XY 평면 내의 위치 계측 및 헤드간의 계측값에 대해 설명하기 위한 도면이다.
도 24(A) ∼ 도 24(E) 는 인코더 전환의 순서를 설명하기 위한 도면이다.
도 25 는 웨이퍼 스테이지의 XY 평면 내의 위치 제어에 사용되는 인코더의 전환 처리를 설명하기 위한 도면이다.
도 26 은 웨이퍼 스테이지의 위치 제어, 인코더의 카운트값의 취입 및 인코더 전환의 타이밍을 개념적으로 나타내는 도면이다.
도 27 은 웨이퍼 스테이지 상의 웨이퍼에 대한 스텝·앤드·스캔 방식의 노광이 실시되고 있는 상태의 웨이퍼 스테이지 및 계측 스테이지 상태를 나타내는 도면이다.
도 28 은 노광 종료 후에, 웨이퍼 스테이지와 계측 스테이지가 이간된 상태에서 양 스테이지가 접촉하는 상태로 이행한 직후의 양 스테이지의 상태를 나타내는 도면이다.
도 29 는 웨이퍼 테이블과 계측 테이블의 Y 축 방향의 위치 관계를 유지하면서, 계측 스테이지가 -Y 방향으로 이동하고, 웨이퍼 스테이지가 언로딩 포지션을 향하여 이동하고 있을 때의 양 스테이지의 상태를 나타내는 도면이다.
도 30 은 계측 스테이지가 Sec-BCHK (인터벌) 를 실시하는 위치에 도달하였을 때의 웨이퍼 스테이지와 계측 스테이지의 상태를 나타내는 도면이다.
도 31 은 Sec-BCHK (인터벌) 가 실시되는 것과 병행하여, 웨이퍼 스테이지가 언로딩 포지션으로부터 로딩 포지션으로 이동하였을 때의 웨이퍼 스테이지와 계측 스테이지의 상태를 나타내는 도면이다.
도 32 는 계측 스테이지가 최적 스크럼 대기 위치로 이동하고, 웨이퍼가 웨이퍼 테이블 상에 로딩되었을 때의 웨이퍼 스테이지와 계측 스테이지의 상태를 나타내는 도면이다.
도 33 은 계측 스테이지가 최적 스크럼 대기 위치에서 대기 중에, 웨이퍼 스테이지가 Pri-BCHK 의 전반 (前半) 의 처리를 실시하는 위치로 이동하였을 때의 양 스테이지의 상태를 나타내는 도면이다.
도 34 는 얼라인먼트계 (AL1, AL22, AL23) 를 사용하여, 3 개의 퍼스트 (first) 얼라인먼트 쇼트 영역에 부설된 얼라인먼트 마크를 동시 검출하고 있을 때의 웨이퍼 스테이지와 계측 스테이지의 상태를 나타내는 도면이다.
도 35 는 포커스 캘리브레이션 전반의 처리가 실시되고 있을 때의 웨이퍼 스테이지와 계측 스테이지의 상태를 나타내는 도면이다.
도 36 은 얼라인먼트계 (AL1, AL21 ∼ AL24) 를 사용하여, 5 개의 세컨드 (second) 얼라인먼트 쇼트 영역에 부설된 얼라인먼트 마크를 동시 검출하고 있을 때의 웨이퍼 스테이지와 계측 스테이지의 상태를 나타내는 도면이다.
도 37 은 Pri-BCHK 후반 (後半) 의 처리 및 포커스 캘리브레이션 후반의 처리 중 적어도 일방이 실시되고 있을 때의 웨이퍼 스테이지와 계측 스테이지의 상태를 나타내는 도면이다.
도 38 은 얼라인먼트계 (AL1, AL21 ∼ AL24) 를 사용하여, 5 개의 서드 (third) 얼라인먼트 쇼트 영역에 부설된 얼라인먼트 마크를 동시 검출하고 있을 때의 웨이퍼 스테이지와 계측 스테이지의 상태를 나타내는 도면이다.
도 39 는 얼라인먼트계 (AL1, AL22 ∼ AL23) 를 사용하여, 3 개의 포스 (fourth) 얼라인먼트 쇼트 영역에 부설된 얼라인먼트 마크를 동시 검출하고 있을 때의 웨이퍼 스테이지와 계측 스테이지의 상태를 나타내는 도면이다.
도 40 은 포커스 맵핑이 종료되었을 때의 웨이퍼 스테이지와 계측 스테이지의 상태를 나타내는 도면이다.
도 41 은 디바이스 제조 방법의 실시형태를 설명하기 위한 플로우 차트이다.
도 42 는 도 41 의 단계 204 의 구체예를 나타내는 플로우 차트이다.
이하, 본 발명의 일 실시형태를 도 1 ∼ 도 40 에 기초하여 설명한다.
도 1 에는, 일 실시형태에 관련된 노광 장치 (100) 의 구성이 개략적으로 나타나 있다. 이 노광 장치 (100) 는, 스텝·앤드·스캔 방식의 주사형 노광 장치, 즉 이른바 스캐너이다. 후술하는 바와 같이 본 실시형태에서는, 투영 광학계 (PL) 가 형성되어 있고, 이하에 있어서는, 이 투영 광학계 (PL) 의 광축 (AX) 과 평행한 방향을 Z 축 방향, 이것에 직교하는 면 내에서 레티클과 웨이퍼가 상대 주사되는 방향을 Y 축 방향, Z 축 및 Y 축에 직교하는 방향을 X 축 방향으로 하고, X 축, Y 축 및 Z 축 둘레의 회전 (경사) 방향을 각각 θx, θy 및 θz 방향으로 하여 설명한다.
노광 장치 (100) 는 조명계 (10), 그 조명계 (10) 로부터의 노광용 조명광 (이하,「조명광」또는「노광광」이라고 부른다) (IL) 에 의해 조명되는 레티클 (R) 을 유지하는 레티클 스테이지 (RST), 레티클 (R) 로부터 사출된 조명광 (IL) 을 웨이퍼 (W) 상에 투사하는 투영 광학계 (PL) 를 포함하는 투영 유닛 (PU), 웨이퍼 스테이지 (WST) 및 계측 스테이지 (MST) 를 갖는 스테이지 장치 (50) 및 이들의 제어계 등을 포함하고 있다. 웨이퍼 스테이지 (WST) 상에는 웨이퍼 (W) 가 탑재되어 있다.
조명계 (10) 는, 예를 들어 일본 공개특허공보 2001-313250호 (대응하는 미국 특허출원공개 제2003/0025890호 명세서) 등에 개시되는 바와 같이, 광원과, 옵티컬 인터그레이터 등을 포함하는 조도 균일화 광학계 및 레티클 블라인드 등 (모두 도시 생략) 을 갖는 조명 광학계를 포함하고 있다. 이 조명계 (10) 에서는, 레티클 블라인드 (마스킹 시스템) 로 규정된 레티클 (R) 상에서 X 축 방향으로 연장되는 슬릿상의 조명 영역을 조명광 (노광광) (IL) 에 의해 거의 균일한 조도로 조명한다. 여기서, 조명광 (IL) 으로는, 일례로서 ArF 엑시머 레이저광 (파장 193㎚) 이 사용되고 있다. 또, 옵티컬 인터그레이터로는, 예를 들어 플라이 아이 렌즈, 로드 인터그레이터 (내면 반사형 인터그레이터) 혹은 회절 광학 소자 등을 사용할 수 있다.
레티클 스테이지 (RST) 상에는, 회로 패턴 등이 그 패턴면 (도 1 에 있어서의 하면) 에 형성된 레티클 (R) 이, 예를 들어 진공 흡착에 의해 고정되어 있다. 레티클 스테이지 (RST) 는, 예를 들어 리니어 모터 등을 포함하는 레티클 스테이지 구동계 (11) (도 1 에서는 도시 생략, 도 6 참조) 에 의해, XY 평면 내에서 미소 구동 가능함과 함께, 소정의 주사 방향 (도 1 에 있어서의 지면 내 좌우 방향인 Y 축 방향) 으로 지정된 주사 속도로 구동 가능하게 되어 있다.
레티클 스테이지 (RST) 의 이동면 내의 위치 정보 (θz 방향의 회전 정보를 포함한다) 는, 레티클 레이저 간섭계 (이하,「레티클 간섭계」라고 한다) (116) 에 의해, 이동경 (15) (실제로는, Y 축 방향에 직교하는 반사면을 갖는 Y 이동경과 X 축 방향에 직교하는 반사면을 갖는 X 이동경이 형성되어 있다) 을 통해, 예를 들어 0.5 ∼ 1㎚ 정도의 분해능으로 상시 검출된다. 레티클 간섭계 (116) 의 계측값은, 주제어 장치 (20) (도 1 에서는 도시 생략, 도 6 참조) 에 보내진다. 주제어 장치 (20) 는, 레티클 간섭계 (116) 의 계측값에 기초하여 레티클 스테이지 (RST) 의 X 축 방향, Y 축 방향 및 θz 방향의 위치를 산출함과 함께, 이 산출 결과에 기초하여 레티클 스테이지 구동계 (11) 를 제어함으로써, 레티클 스테이지 (RST) 의 위치 (및 속도) 를 제어한다. 또한, 이동경 (15) 대신에, 레티클 스테이지 (RST) 의 단면을 경면 가공하여 반사면 (이동경 (15) 의 반사면에 상당) 을 형성하는 것으로 해도 된다. 또, 레티클 간섭계 (116) 는 Z 축, θx 및 θy 방향의 적어도 1 개에 관한 레티클 스테이지 (RST) 의 위치 정보 역시 계측 가능하게 해도 된다.
투영 유닛 (PU) 은, 레티클 스테이지 (RST) 의 도 1 에 있어서의 하방에 배치되어 있다. 투영 유닛 (PU) 은, 경통 (40) 과, 그 경통 (40) 내에 소정의 위치 관계로 유지된 복수의 광학 소자를 갖는 투영 광학계 (PL) 를 포함한다. 투영 광학계 (PL) 로는, 예를 들어 Z 축 방향과 평행한 광축 (AX) 을 따라 배열되는 복수의 렌즈 (렌즈 엘리먼트) 로 이루어지는 굴절 광학계가 사용되고 있다. 투영 광학계 (PL) 는, 예를 들어 양측 텔레센트릭하고 소정의 투영 배율 (예를 들어 1/4 배, 1/5 배 또는 1/8 배 등) 을 갖는다. 이 때문에, 조명계 (10) 로부터의 조명광 (IL) 에 의해 조명 영역 (IAR) 이 조명되면, 투영 광학계 (PL) 의 제 1 면 (물체면) 과 패턴면이 거의 일치하여 배치되는 레티클 (R) 을 통과한 조명광 (IL) 에 의해, 투영 광학계 (PL) (투영 유닛 (PU)) 및 액체 (Lq) (도 1 참조) 를 통해 그 조명 영역 (IAR) 내의 레티클의 회로 패턴의 축소 이미지 (회로 패턴의 일부의 축소 이미지) 가, 그 제 2 면 (이미지면) 측에 배치되는, 표면에 레지스트 (감광제) 가 도포된 웨이퍼 (W) 상의 상기 조명 영역 (IAR) 에 공액인 영역 (노광 영역) (IA) 에 형성된다. 그리고, 레티클 스테이지 (RST) 와 웨이퍼 스테이지 (WST) 의 동기 구동에 의해, 조명 영역 (IAR) (조명광 (IL)) 에 대해 레티클을 주사 방향 (Y 축 방향) 으로 상대 이동시킴과 함께 노광 영역 (조명광 (IL)) 에 대해 웨이퍼 (W) 를 주사 방향 (Y 축 방향) 으로 상대 이동시킴으로써 웨이퍼 (W) 상의 1 개의 쇼트 영역 (구획 영역) 의 주사 노광이 실시되고, 그 쇼트 영역에 레티클의 패턴이 전사된다. 즉, 본 실시형태에서는 조명계 (10), 레티클 및 투영 광학계 (PL) 에 의해 웨이퍼 (W) 상에 패턴이 생성되고, 조명광 (IL) 에 의한 웨이퍼 (W) 상의 감응층 (레지스트층) 의 노광에 의해 웨이퍼 (W) 상에 그 패턴이 형성된다. 도시하고 있지 않지만, 투영 유닛 (PU) 은 방진 기구를 통해 3 개의 지주로 지지되는 경통 정반에 탑재되는데, 예를 들어 국제공개 제2006/038952호 팜플렛에 개시되어 있는 바와 같이, 투영 유닛 (PU) 의 상방에 배치되는 도시 생략된 메인 프레임 부재, 혹은 레티클 스테이지 (RST) 가 배치되는 베이스 부재 등에 대해 투영 유닛 (PU) 을 매달아 지지해도 된다.
또, 본 실시형태의 노광 장치 (100) 에서는 액침법을 적용한 노광을 실시하기 때문에, 투영 광학계 (PL) 를 구성하는 가장 이미지면측 (웨이퍼 (W) 측) 에 가까운 광학 소자, 여기서는 렌즈 (이하,「선단 (先端) 렌즈」라고도 한다) (191) 를 유지하는 경통 (40) 의 하단부 주위를 둘러싸도록, 국소 액침 장치 (8) 의 일부를 구성하는 노즐 유닛 (32) 이 형성되어 있다. 본 실시형태에서는, 노즐 유닛 (32) 은 도 1 에 나타내는 바와 같이, 그 하단면이 선단 렌즈 (191) 의 하단면과 거의 면일 (面一) 하게 설정되어 있다. 또, 노즐 유닛 (32) 은 액체 (Lq) 의 공급구 및 회수구와, 웨이퍼 (W) 가 대향하여 배치되고, 또한 회수구가 형성되는 하면과, 액체 공급관 (31A) 및 액체 회수관 (31B) 과 각각 접속되는 공급 유로 및 회수 유로를 구비하고 있다. 액체 공급관 (31A) 과 액체 회수관 (31B) 은, 도 3 에 나타내는 바와 같이, 평면에서 보았을 때 (상방에서 보았을 때) X 축 방향 및 Y 축 방향에 대해 45°경사지고, 투영 광학계 (PL) 의 광축 (AX) 을 통과하는 Y 축 방향의 직선 (LV) 에 관해 대칭인 배치로 되어 있다.
액체 공급관 (31A) 에는, 그 일단이 액체 공급 장치 (5) (도 1 에서는 도시 생략, 도 6 참조) 에 접속된 도시 생략된 공급관의 타단이 접속되어 있고, 액체 회수관 (31B) 에는, 그 일단이 액체 회수 장치 (6) (도 1 에서는 도시 생략, 도 6 참조) 에 접속된 도시 생략된 회수관의 타단이 접속되어 있다.
액체 공급 장치 (5) 는 액체의 탱크, 가압 펌프, 온도 제어 장치, 그리고 액체 공급관 (31A) 에 대한 액체의 공급·정지를 제어하기 위한 밸브 등을 포함하고 있다. 밸브로는, 예를 들어 액체의 공급·정지뿐만 아니라, 유량의 조정도 가능해지도록 유량 제어 밸브를 사용하는 것이 바람직하다. 상기 온도 제어 장치는 액체 탱크 내의 액체의 온도를 노광 장치가 수납되어 있는 챔버 (도시 생략) 내의 온도와 동일한 정도의 온도로 조정한다. 또한, 액체를 공급하기 위한 탱크, 가압 펌프, 온도 제어 장치, 밸브 등은, 그 전부를 노광 장치 (100) 에서 구비하고 있을 필요는 없고, 적어도 일부를 노광 장치 (100) 가 설치되는 공장 등의 설비로 대체할 수도 있다.
액체 회수 장치 (6) 는, 액체의 탱크 및 흡인 펌프, 그리고 액체 회수관 (31B) 을 통한 액체의 회수·정지를 제어하기 위한 밸브 등을 포함하고 있다. 밸브로는, 액체 공급 장치 (5) 의 밸브에 대응하여 유량 제어 밸브를 사용하는 것이 바람직하다. 또한, 액체를 회수하기 위한 탱크, 흡인 펌프, 밸브 등은 그 전부를 노광 장치 (100) 에서 구비하고 있을 필요는 없고, 적어도 일부를 노광 장치 (100) 가 설치되는 공장 등의 설비로 대체할 수도 있다.
본 실시형태에서는, 상기 액체로서, ArF 엑시머 레이저광 (파장 193㎚ 의 광) 이 투과하는 순수 (이하, 특별히 필요한 경우를 제외하고, 단순히「물」이라고 기술한다) 를 사용하는 것으로 한다. 순수는, 반도체 제조 공장 등에서 용이하게 대량으로 입수할 수 있음과 함께, 웨이퍼 상의 포토레지스트 및 광학 렌즈 등에 대한 악영향이 없는 이점이 있다.
ArF 엑시머 레이저광에 대한 물의 굴절률 (n) 은 거의 1.44 이다. 이 물 중에서는, 조명광 (IL) 의 파장은 193㎚ × 1/n = 약 134㎚ 로 단파장화된다.
액체 공급 장치 (5) 및 액체 회수 장치 (6) 는 각각 컨트롤러를 구비하고 있고, 각각의 컨트롤러는 주제어 장치 (20) 에 의해 제어된다 (도 6 참조). 액체 공급 장치 (5) 의 컨트롤러는, 주제어 장치 (20) 로부터의 지시에 따라 액체 공급관 (31A) 에 접속된 밸브를 소정 개도 (開度) 로 열고, 액체 공급관 (31A), 공급 유로 및 공급구를 통해 선단 렌즈 (191) 와 웨이퍼 (W) 사이에 물 (Lq) (도 1 참조) 을 공급한다. 또, 이 때 액체 회수 장치 (6) 의 컨트롤러는, 주제어 장치 (20) 로부터의 지시에 따라 액체 회수관 (31B) 에 접속된 밸브를 소정 개도로 열고, 회수구, 회수 유로 및 액체 회수관 (31B) 을 통해, 선단 렌즈 (191) 와 웨이퍼 (W) 사이로부터 액체 회수 장치 (6) (액체의 탱크) 의 내부로 물 (Lq) 을 회수한다. 이 때, 주제어 장치 (20) 는 선단 렌즈 (191) 와 웨이퍼 (W) 사이에 공급되는 물 (Lq) 의 양과 회수되는 물 (Lq) 의 양이 항상 동등해지도록, 액체 공급 장치 (5) 의 컨트롤러, 액체 회수 장치 (6) 의 컨트롤러에 대해 지령을 부여한다. 따라서, 선단 렌즈 (191) 와 웨이퍼 (W) 사이에 일정량의 물 (Lq) 이 유지된다 (도 1 참조). 이 경우, 선단 렌즈 (191) 와 웨이퍼 (W) 사이에 유지된 물 (Lq) 은 항상 교체되고 있다.
상기 설명으로부터 분명한 바와 같이, 본 실시형태에서는 노즐 유닛 (32), 액체 공급 장치 (5), 액체 회수 장치 (6), 액체 공급관 (31A) 및 액체 회수관 (31B) 등을 포함하고, 국소 액침 장치 (8) 가 구성되어 있다. 국소 액침 장치 (8) 는, 노즐 유닛 (32) 에 의해 선단 렌즈 (191) 와 웨이퍼 (W) 사이를 액체 (Lq) 로 채워, 조명광 (IL) 의 광로 공간을 포함하는 국소적인 액침 공간 (액침 영역 (14) 에 상당) 을 형성한다. 따라서, 노즐 유닛 (32) 은 액침 공간 형성 부재 혹은 봉쇄 (contai㎚ent) 부재 (또는 한정 (confinement) 부재) 등이라고도 불린다. 또한, 국소 액침 장치 (8) 의 일부, 예를 들어 적어도 노즐 유닛 (32) 은, 투영 유닛 (PU) 을 유지하는 메인 프레임 (전술한 경통 정반을 포함한다) 에 매달아 지지되어도 되고, 메인 프레임과는 다른 프레임 부재에 형성해도 된다. 혹은, 전술한 바와 같이 투영 유닛 (PU) 이 매달려서 지지되는 경우에는, 투영 유닛 (PU) 과 일체로 노즐 유닛 (32) 을 매달아 지지해도 되는데, 본 실시형태에서는 투영 유닛 (PU) 과는 독립적으로 매달아 지지되는 계측 프레임에 노즐 유닛 (32) 을 형성하고 있다. 이 경우, 투영 유닛 (PU) 을 매달아 지지하고 있지 않아도 된다.
또한, 투영 유닛 (PU) 하방에 계측 스테이지 (MST) 가 위치하는 경우에도, 상기와 동일하게 후술하는 계측 테이블과 선단 렌즈 (191) 사이에 물 (Lq) 을 채울 수 있다.
또한, 상기 설명에서는 일례로서 액체 공급관 (노즐) 과 액체 회수관 (노즐) 이 각각 1 개씩 형성되어 있는 것으로 하였으나, 이에 한정되지 않고, 주위의 부재와의 관계를 고려해도 배치가 가능하다면, 예를 들어 국제공개 제99/49504호 팜플렛에 개시되어 있는 바와 같이, 노즐을 다수 갖는 구성을 채용하는 것으로 해도 된다. 또, 노즐 유닛 (32) 의 하면을, 선단 렌즈 (191) 의 사출면보다 투영 광학계 (PL) 의 이미지면 (즉, 웨이퍼) 의 근처에 배치하거나, 혹은 선단 렌즈 (191) 의 이미지면측 광로에 추가하여, 선단 렌즈 (191) 의 물체면측 광로도 액체로 채우는 구성을 채용해도 된다. 요점은, 적어도 투영 광학계 (PL) 를 구성하는 최하단의 광학 부재 (선단 렌즈) (191) 와 웨이퍼 (W) 사이에 액체를 공급할 수 있다면, 그 구성은 어떠한 것이어도 된다. 예를 들어 국제공개 제2004/053955호 팜플렛에 개시되어 있는 액침 기구, 혹은 유럽 특허출원공개 제1420298호 명세서에 개시되어 있는 액침 기구 등도 본 실시형태의 노광 장치에 적용할 수 있다.
도 1 로 되돌아와, 상기 스테이지 장치 (50) 는, 베이스반 (12) 의 상방에 배치된 웨이퍼 스테이지 (WST) 및 계측 스테이지 (MST), 이들 스테이지 (WST, MST) 의 위치 정보를 계측하는 Y 간섭계 (16, 18) 등을 포함하는 간섭계 시스템 (118) (도 6 참조), 및 노광시 등에 웨이퍼 스테이지 (WST) 의 위치 정보를 계측하는 데 사용되는 후술하는 인코더 시스템, 그리고 스테이지 (WST, MST) 를 구동시키는 스테이지 구동계 (124) (도 6 참조) 등을 구비하고 있다.
웨이퍼 스테이지 (WST), 계측 스테이지 (MST) 각각의 저면에는, 도시 생략된 비접촉 베어링, 예를 들어 진공 예압형 공기 정압 베어링 (이하,「에어 패드」라고 부른다) 이 복수 지점에 형성되어 있다. 이들 에어 패드로부터 베이스반 (12) 의 상면을 향하여 분출된 가압 공기의 정압에 의해, 베이스반 (12) 의 상방에 웨이퍼 스테이지 (WST), 계측 스테이지 (MST) 가 수㎛ 정도의 클리어런스를 사이에 두고 비접촉으로 지지되어 있다. 또, 스테이지 (WST, MST) 는, 스테이지 구동계 (124) 에 의해 소정 평면 (XY 평면) 내의 Y 축 방향 (도 1 에 있어서의 지면 내 좌우 방향) 및 X 축 방향 (도 1 에 있어서의 지면 직교 방향) 으로 독립적으로 2 차원 구동 가능하다.
이것을 더욱 상세히 서술하면, 플로어면 상에는 도 2 의 평면도에 나타내는 바와 같이, 베이스반 (12) 을 사이에 두고 X 축 방향의 일측과 타측에, Y 축 방향으로 연장되는 한 쌍의 Y 축 고정자 (86, 87) 가 각각 배치되어 있다. Y 축 고정자 (86, 87) 는, 예를 들어 Y 축 방향을 따라 소정 간격으로 또한 교대로 배치된 N 극 자석과 S 극 자석의 복수의 세트로 이루어지는 영구 자석군을 내장하는 자극 유닛에 의해 구성되어 있다. Y 축 고정자 (86, 87) 에는, 각 2 개의 Y 축 가동자 (82, 84 및 83, 85) 가 각각 비접촉으로 걸어맞춘 상태로 형성되어 있다. 즉, 합계 4 개의 Y 축 가동자 (82, 84, 83, 85) 는, XZ 단면 U 자상의 Y 축 고정자 (86 또는 87) 의 내부 공간에 삽입된 상태로 되어 있고, 대응하는 Y 축 고정자 (86 또는 87) 에 대해 도시 생략된 에어 패드를 각각 통해 예를 들어 수㎛ 정도의 클리어런스를 사이에 두고 비접촉으로 지지되어 있다. Y 축 가동자 (82, 84, 83, 85) 의 각각은, 예를 들어 Y 축 방향을 따라 소정 간격으로 배치된 전기자 코일을 내장하는 전기자 유닛에 의해 구성되어 있다. 즉, 본 실시형태에서는, 전기자 유닛으로 이루어지는 Y 축 가동자 (82, 84) 와 자극 유닛으로 이루어지는 Y 축 고정자 (86) 에 의해, 무빙 코일형의 Y 축 리니어 모터가 각각 구성되어 있다. 동일하게 Y 축 가동자 (83, 85) 와 Y 축 고정자 (87) 에 의해, 무빙 코일형의 Y 축 리니어 모터가 각각 구성되어 있다. 이하에 있어서는, 상기 4 개의 Y 축 리니어 모터 각각을, 각각의 가동자 (82, 84, 83, 85) 와 동일한 부호를 사용하여, 적절히 Y 축 리니어 모터 (82), Y 축 리니어 모터 (84), Y 축 리니어 모터 (83) 및 Y 축 리니어 모터 (85) 라고 부르는 것으로 한다.
상기 4 개의 Y 축 리니어 모터 중, 2 개의 Y 축 리니어 모터 (82, 83) 의 가동자 (82, 83) 는, X 축 방향으로 연장되는 X 축 고정자 (80) 의 길이 방향의 일단과 타단에 각각 고정되어 있다. 또, 나머지 2 개의 Y 축 리니어 모터 (84, 85) 의 가동자 (84, 85) 는, X 축 방향으로 연장되는 X 축 고정자 (81) 의 일단과 타단에 고정되어 있다. 따라서, X 축 고정자 (80, 81) 는, 각 한 쌍의 Y 축 리니어 모터 (82, 83, 84, 85) 에 의해 Y 축을 따라 각각 구동된다.
X 축 고정자 (80, 81) 의 각각은, 예를 들어 X 축 방향을 따라 소정 간격으로 배치된 전기자 코일을 각각 내장하는 전기자 유닛에 의해 구성되어 있다.
일방의 X 축 고정자 (81) 는, 웨이퍼 스테이지 (WST) 의 일부를 구성하는 스테이지 본체 (91) (도 2 에서는 도시 생략, 도 1 참조) 에 형성된 도시 생략된 개구에 삽입 상태로 형성되어 있다. 이 스테이지 본체 (91) 의 상기 개구의 내부에는, 예를 들어 X 축 방향을 따라 소정 간격으로 또한 교대로 배치된 N 극 자석과 S 극 자석의 복수의 세트로 이루어지는 영구 자석군을 갖는 자극 유닛이 형성되어 있다. 이 자극 유닛과 X 축 고정자 (81) 에 의해, 스테이지 본체 (91) 를 X 축 방향으로 구동시키는 무빙 마그넷형의 X 축 리니어 모터가 구성되어 있다. 동일하게, 타방의 X 축 고정자 (80) 는, 계측 스테이지 (MST) 의 일부를 구성하는 스테이지 본체 (92) (도 2 에서는 도시 생략, 도 1 참조) 에 형성된 개구에 삽입 상태로 형성되어 있다. 이 스테이지 본체 (92) 의 상기 개구의 내부에는, 웨이퍼 스테이지 (WST) 측 (스테이지 본체 (91) 측) 과 동일한 자극 유닛이 형성되어 있다. 이 자극 유닛과 X 축 고정자 (80) 에 의해, 계측 스테이지 (MST) 를 X 축 방향으로 구동시키는 무빙 마그넷형의 X 축 리니어 모터가 구성되어 있다.
본 실시형태에서는, 스테이지 구동계 (124) 를 구성하는 상기 각 리니어 모터가 도 6 에 나타내는 주제어 장치 (20) 에 의해 제어된다. 또한, 각 리니어 모터는 각각 무빙 마그넷형이나 무빙 코일형의 어느 일방으로 한정되는 것은 아니며, 필요에 따라 적절히 선택할 수 있다.
또한, 한 쌍의 Y 축 리니어 모터 (84, 85) 가 각각 발생하는 추력 (推力) 을 약간 다르게 함으로써, 웨이퍼 스테이지 (WST) 의 요잉량 (θz 방향의 회전량) 의 제어가 가능하다. 또, 한 쌍의 Y 축 리니어 모터 (82, 83) 가 각각 발생하는 추력을 약간 다르게 함으로써, 계측 스테이지 (MST) 의 요잉량의 제어가 가능하다.
웨이퍼 스테이지 (WST) 는 전술한 스테이지 본체 (91) 와, 그 스테이지 본체 (91) 상에 탑재된 웨이퍼 테이블 (WTB) 을 포함한다. 이 웨이퍼 테이블 (WTB) 및 스테이지 본체 (91) 는, 도시 생략된 Z 레벨링 기구 (예를 들어 보이스 코일 모터 등을 포함한다) 에 의해, 베이스반 (12) 및 X 축 고정자 (81) 에 대해 Z 축 방향, θx 방향 및 θy 방향으로 상대적으로 미소 구동된다. 즉, 웨이퍼 테이블 (WTB) 은 XY 평면 (또는 투영 광학계 (PL) 의 이미지면) 에 대해 Z 축 방향으로 미동 (微動) 가능하고 또한 경사 (틸트) 가능하게 되어 있다. 또한, 도 6 에서는, 상기 각 리니어 모터 및 Z 레벨링 기구, 그리고 계측 스테이지 (MST) 의 구동계를 포함하여, 스테이지 구동계 (124) 로서 나타내고 있다. 또, 웨이퍼 테이블 (WTB) 은 X 축, Y 축 및 θz 방향의 적어도 1 개에 대해서도 미동 가능하게 구성해도 된다.
상기 웨이퍼 테이블 (WTB) 상에는, 웨이퍼 (W) 를 진공 흡착 등에 의해 유지하는 웨이퍼 홀더 (도시 생략) 가 형성되어 있다. 웨이퍼 홀더는 웨이퍼 테이블 (WTB) 과 일체로 형성해도 되지만, 본 실시형태에서는 웨이퍼 홀더와 웨이퍼 테이블 (WTB) 을 따로 따로 구성하고, 예를 들어 진공 흡착 등에 의해 웨이퍼 홀더를 웨이퍼 테이블 (WTB) 의 오목부 내에 고정시키고 있다. 또, 웨이퍼 테이블 (WTB) 의 상면에는, 웨이퍼 홀더 상에 탑재되는 웨이퍼의 표면과 거의 면일하게 되는, 액체 (Lq) 에 대해 발액화 처리된 표면 (발액면) 을 갖고, 또한 외형 (윤곽) 이 직사각형이고 그 중앙부에 웨이퍼 홀더 (웨이퍼의 탑재 영역) 보다 한층 큰 원형의 개구가 형성된 플레이트 (발액판) (28) 가 형성되어 있다. 플레이트 (28) 는, 저열팽창률의 재료, 예를 들어 유리 또는 세라믹스 (쇼트사의 제로듀어 (상품명), Al2O3 혹은 TiC 등) 로 이루어지고, 그 표면에는, 예를 들어 불소 수지 재료, 폴리4불화에틸렌 (테플론 (등록상표)) 등의 불소계 수지 재료, 아크릴계 수지 재료 혹은 실리콘계 수지 재료 등에 의해 발액막이 형성된다. 또한 플레이트 (28) 는, 도 4(A) 의 웨이퍼 테이블 (WTB) (웨이퍼 스테이지 (WST)) 의 평면도에 나타내는 바와 같이, 원형의 개구를 둘러싸는, 외형 (윤곽) 이 직사각형인 제 1 발액 영역 (28a) 과, 제 1 발액 영역 (28a) 의 주위에 배치되는 직사각형 프레임상 (고리상) 의 제 2 발액 영역 (28b) 을 갖는다. 제 1 발액 영역 (28a) 은, 예를 들어 노광 동작시, 웨이퍼의 표면으로부터 비어져 나오는 액침 영역 (14) 의 적어도 일부가 형성되고, 제 2 발액 영역 (28b) 은 후술하는 인코더 시스템을 위한 스케일 (격자부) 이 형성된다. 또한, 플레이트 (28) 는 그 표면의 적어도 일부가 웨이퍼의 표면과 면일하지 않아도 되고, 즉 상이한 높이이어도 된다. 또, 플레이트 (28) 는 단일 플레이트이어도 되지만, 본 실시형태에서는 복수의 플레이트, 예를 들어 제 1 및 제 2 발액 영역 (28a, 28b) 에 각각 대응하는 제 1 및 제 2 발액판을 조합하여 구성한다. 본 실시형태에서는, 전술한 바와 같이 액체 (Lq) 로서 순수를 사용하므로, 이하에서는 제 1 및 제 2 발액 영역 (28a, 28b) 을 각각 제 1 및 제 2 발수판 (28a, 28b) 이라고도 부른다.
이 경우, 내측의 제 1 발수판 (28a) 에는 노광광 (IL) 이 조사되는 데 반해, 외측의 제 2 발수판 (28b) 에는 노광광 (IL) 이 대부분 조사되지 않는다. 이것을 고려하여, 본 실시형태에서는, 제 1 발수판 (28a) 의 표면에는 노광광 (IL) (이 경우, 진공 자외역의 광) 에 대한 내성이 충분히 있는 발수 코팅이 실시된 제 1 발수 영역이 형성되고, 제 2 발수판 (28b) 에는, 그 표면에 제 1 발수 영역에 비해 노광광 (IL) 에 대한 내성이 떨어지는 발수 코팅이 실시된 제 2 발수 영역이 형성되어 있다. 일반적으로 유리판에는, 노광광 (IL) (이 경우, 진공 자외역의 광) 에 대한 내성이 충분히 있는 발수 코팅을 실시하기 어렵기 때문에, 이와 같이 제 1 발수판 (28a) 과 그 주위의 제 2 발수판 (28b) 의 2 개 부분으로 분리하는 것은 효과적이다. 또한, 이에 한정되지 않고, 동일한 플레이트의 상면에 노광광 (IL) 에 대한 내성이 상이한 2 종류의 발수 코팅을 실시하여, 제 1 발수 영역, 제 2 발수 영역을 형성해도 된다. 또, 제 1 및 제 2 발수 영역에서 발수 코팅의 종류가 동일해도 된다. 예를 들어 동일한 플레이트에 1 개의 발수 영역을 형성하기만 해도 된다.
또, 도 4(A) 로부터 분명한 바와 같이, 제 1 발수판 (28a) 의 +Y 측의 단부에는, 그 X 축 방향의 중앙부에 직사각형의 노치가 형성되고, 이 노치와 제 2 발수판 (28b) 으로 둘러싸이는 직사각형의 공간의 내부 (노치의 내부) 에 계측 플레이트 (30) 가 매립되어 있다. 계측 플레이트 (30) 의 길이 방향의 중앙 (웨이퍼 테이블 (WTB) 의 센터 라인 (LL) 상) 에는 기준 마크 (FM) 가 형성됨과 함께, 그 기준 마크 (FM) 의 X 축 방향의 일측과 타측에, 기준 마크 (FM) 의 중심에 관해 대칭인 배치로 한 쌍의 공간 이미지 계측 슬릿 패턴 (SL) 이 형성되어 있다. 각 공간 이미지 계측 슬릿 패턴 (SL) 으로는, 일례로서 Y 축 방향과 X 축 방향을 따른 변을 갖는 L 자상의 슬릿 패턴을 사용할 수 있다.
그리고, 상기 각 공간 이미지 계측 슬릿 패턴 (SL) 하방의 웨이퍼 스테이지 (WST) 부분에는, 도 4(B) 에 나타내는 바와 같이, 그 내부에 대물 렌즈, 미러, 릴레이 렌즈 등을 포함하는 광학계가 수납된 L 자상의 케이스 (36) 가, 웨이퍼 테이블 (WTB) 로부터 스테이지 본체 (91) 내부의 일부를 관통하는 상태로, 일부 매립 상태로 장착되어 있다. 케이스 (36) 는 도시는 생략되어 있지만, 상기 한 쌍의 공간 이미지 계측 슬릿 패턴 (SL) 에 대응하여 한 쌍 형성되어 있다.
상기 케이스 (36) 내부의 광학계는, 공간 이미지 계측 슬릿 패턴 (SL) 을 상방으로부터 하방으로 투과한 조명광 (IL) 을, L 자상의 경로를 따라 유도하여 -Y 방향을 향하여 사출한다. 또한, 이하에 있어서는, 편의상 케이스 (36) 내부의 광학계를 케이스 (36) 와 동일한 부호를 사용하여 송광계 (36) 라고 기술한다.
또한, 제 2 발수판 (28b) 의 상면에는, 그 4 변의 각각을 따라 소정 피치로 다수의 격자선이 직접 형성되어 있다. 이것을 더욱 상세히 서술하면, 제 2 발수판 (28b) 의 X 축 방향 일측과 타측 (도 4(A) 에 있어서의 좌우 양측) 의 영역에는, Y 스케일 (39Y1, 39Y2) 이 각각 형성되어 있다. Y 스케일 (39Y1, 39Y2) 은 각각, 예를 들어 X 축 방향을 길이 방향으로 하는 격자선 (38) 이 소정 피치로 Y 축에 평행한 방향 (Y 축 방향) 을 따라 형성되는, Y 축 방향을 주기 방향으로 하는 반사형의 격자 (예를 들어 회절 격자) 에 의해 구성되어 있다.
동일하게, 제 2 발수판 (28b) 의 Y 축 방향 일측과 타측 (도 4(A) 에 있어서의 상하 양측) 의 영역에는, X 스케일 (39X1, 39X2) 이 각각 형성되어 있다. X 스케일 (39X1, 39X2) 은 각각, 예를 들어 Y 축 방향을 길이 방향으로 하는 격자선 (37) 이 소정 피치로 X 축에 평행한 방향 (X 축 방향) 을 따라 형성되는, X 축 방향을 주기 방향으로 하는 반사형의 격자 (예를 들어 회절 격자) 에 의해 구성되어 있다.
상기 각 스케일로는, 제 2 발수판 (28b) 의 표면에 예를 들어 홀로그램 등에 의해 반사형의 회절 격자 (RG) (도 7 참조) 가 제조된 것이 사용되고 있다. 이 경우, 각 스케일에는 좁은 슬릿이나 홈 등으로 이루어지는 격자가 눈금으로서 소정 간격 (피치) 으로 새겨져 있다. 각 스케일에 사용되는 회절 격자의 종류는 한정되는 것은 아니며, 기계적으로 홈 등이 형성된 것뿐만 아니라, 예를 들어 감광성 수지에 간섭 무늬를 베이킹하여 제조한 것이어도 된다. 단, 각 스케일은, 예를 들어 박판 형상의 유리에 상기 회절 격자의 눈금을, 예를 들어 138㎚ ∼ 4㎛ 사이의 피치, 예를 들어 1㎛ 피치로 새겨 제조되어 있다. 이들 스케일은 전술한 발액막 (발수막) 으로 덮여 있다. 또한, 도 4(A) 에서는 도시의 편의상, 격자의 피치는 실제의 피치에 비해 현격히 넓게 도시되어 있다. 그 밖의 도면에 있어서도 동일하다.
이와 같이, 본 실시형태에서는 제 2 발수판 (28b) 그 자체가 스케일을 구성하므로, 제 2 발수판 (28b) 으로서 저열팽창의 유리판을 사용하는 것으로 한 것이다. 그러나, 이에 한정되지 않고, 격자가 형성된 저열팽창의 유리판 등으로 이루어지는 스케일 부재를, 국소적인 신축이 발생하지 않도록 판스프링 (또는 진공 흡착) 등에 의해 웨이퍼 테이블 (WTB) 의 상면에 고정시켜도 되고, 이 경우에는, 전체면에 동일한 발수 코팅이 실시된 발수판을 플레이트 (28) 대신에 사용해도 된다. 혹은, 웨이퍼 테이블 (WTB) 을 저열팽창 재료로 형성할 수도 있고, 이러한 경우에는, 한 쌍의 Y 스케일과 X 스케일은 그 웨이퍼 테이블 (WTB) 의 상면에 직접 형성해도 된다.
또한, 회절 격자를 보호하기 위해, 발액성을 구비한 저열팽창률의 유리판으로 커버하는 것도 유효하다. 여기서, 유리판은 그 두께가 예를 들어 1㎜ 이고, 그 표면이 웨이퍼면과 동일한 높이가 되도록 웨이퍼 테이블 (WST) 상면에 설치된다. 이 때문에, 웨이퍼 스테이지 (WST) 에 유지되는 웨이퍼 (W) 의 표면과 스케일의 격자면의 Z 축 방향 간격은 1㎜ 가 된다.
또한, 스케일의 단부 부근에는, 후술하는 인코더 헤드와 스케일간의 상대 위치를 결정하기 위한 위치 정하기 패턴이 형성되어 있다. 이 위치 정하기 패턴은 반사율이 상이한 격자선으로 구성되고, 이 패턴 상을 인코더 헤드가 주사하면, 인코더의 출력 신호의 강도가 변화한다. 그래서, 미리 임계값을 정해 두고, 출력 신호의 강도가 그 임계값을 초과하는 위치를 검출한다. 이 검출된 위치를 기준으로 인코더 헤드와 스케일간의 상대 위치를 설정한다.
본 실시형태에서는, 주제어 장치 (20) 는 간섭계 시스템 (118) (도 6 참조) 의 계측 결과로부터, 전체 스트로크 영역에 있어서의 웨이퍼 스테이지 (WST) 의 6 자유도 방향 (Z, X, Y, θz, θx, θy 방향) 의 변위를 구할 수 있다. 여기서, 간섭계 시스템 (118) 은 X 간섭계 (126 ∼ 128) 와, Y 간섭계 (16) 와, Z 간섭계 (43A, 43B) 를 포함한다.
상기 웨이퍼 테이블 (WTB) 의 -Y 단면, -X 단면에는 각각 경면 가공이 실시되고, 도 2 에 나타내는 반사면 (17a), 반사면 (17b) 이 형성되어 있다. 간섭계 시스템 (118) (도 6 참조) 의 일부를 구성하는 Y 간섭계 (16) 및 X 간섭계 (126, 127, 128) (도 1 에서는, X 간섭계 (126 ∼ 128) 는 도시 생략, 도 2 참조) 는, 이들의 반사면 (17a, 17b) 에 각각 간섭계 빔 (측장빔) 을 투사하여 각각의 반사광을 수광함으로써, 각 반사면의 기준 위치 (일반적으로는 투영 유닛 (PU) 측면에 고정 미러를 배치하고, 그것을 기준면으로 한다) 로부터의 변위, 즉 웨이퍼 스테이지 (WST) 의 XY 평면 내의 위치 정보를 계측하고, 이 계측한 위치 정보를 주제어 장치 (20) 에 공급한다. 본 실시형태에서는 후술하는 바와 같이, 상기 각 간섭계로는, 일부를 제외하고 측장축 (側長軸) 을 복수 갖는 다축 간섭계가 사용되고 있다.
한편, 스테이지 본체 (91) 의 -Y 측의 측면에는, 도 1 및 도 4(B) 에 나타내는 바와 같이, X 축 방향을 길이 방향으로 하는 이동경 (41) 이, 도시 생략된 키네마틱 지지 기구를 통해 장착되어 있다.
이동경 (41) 에 대향하여, 그 이동경 (41) 에 측장빔을 조사하는, 간섭계 시스템 (118) (도 6 참조) 의 일부를 구성하는 한 쌍의 Z 간섭계 (43A, 43B) 가 형성되어 있다 (도 1 및 도 2 참조). 이것을 더욱 상세히 서술하면, 이동경 (41) 은 도 2 및 도 4(B) 를 종합하면 알 수 있는 바와 같이, X 축 방향의 길이가 웨이퍼 테이블 (WTB) 의 반사면 (17a) 보다 적어도 Z 간섭계 (43A, 43B) 의 간격만큼 길게 설계되어 있다. 또, 이동경 (41) 은, 직사각형과 등각 사다리꼴을 일체화한 육각형의 단면 형상을 갖는 부재로 이루어진다. 이동경 (41) 의 -Y 측의 면에 경면 가공이 실시되어, 3 개의 반사면 (41b, 41a, 41c) 이 형성되어 있다.
반사면 (41a) 은 이동경 (41) 의 -Y 측의 단면을 구성하고, XZ 평면과 평행으로 또한 X 축 방향으로 연장되어 있다. 반사면 (41b) 은 반사면 (41a) 의 + Z 측에 인접하는 면을 구성하고, XZ 평면에 대해 소정 각도만큼 도 4(B) 에 있어서의 시계 회전 방향으로 경사된 면과 평행으로 또한 X 축 방향으로 연장되어 있다. 반사면 (41c) 은 반사면 (41a) 의 -Z 측에 인접하는 면을 구성하고, 반사면 (41a) 을 사이에 끼우고 반사면 (41b) 과 대칭으로 형성되어 있다.
Z 간섭계 (43A, 43B) 는 도 1 및 도 2 를 종합하면 알 수 있는 바와 같이, Y 간섭계 (16) 의 X 축 방향의 일측과 타측에 거의 동일 거리 떨어져, 또한 Y 간섭계 (16) 보다 약간 낮은 위치에 각각 배치되어 있다.
Z 간섭계 (43A, 43B) 각각으로부터, 도 1 에 나타내는 바와 같이, Y 축 방향을 따른 측장빔 (B1) 이 반사면 (41b) 을 향하여 투사됨과 함께, Y 축 방향을 따른 측장빔 (B2) 이 반사면 (41c) (도 4(B) 참조) 을 향하여 투사된다. 본 실시형태에서는, 반사면 (41b) 에서 반사된 측장빔 (B1) 과 직교하는 반사면을 갖는 고정경 (47A) 및 반사면 (41c) 에서 반사된 측장빔 (B2) 과 직교하는 반사면을 갖는 고정경 (47B) 이, 이동경 (41) 으로부터 -Y 방향으로 소정 거리 떨어진 위치에 측장빔 (B1, B2) 에 간섭하지 않는 상태에서, 각각 X 축 방향으로 연장되어 있다.
고정경 (47A, 47B) 은, 예를 들어 투영 유닛 (PU) 을 지지하는 프레임 (도시 생략) 에 형성된 동일한 지지체 (도시 생략) 에 지지되어 있다. 또한, 고정경 (47A, 47B) 은 전술한 계측 프레임 등에 형성해도 된다. 또, 본 실시형태에서는, 3 개의 반사면 (41b, 41a, 41c) 을 갖는 이동경 (41) 과, 고정경 (47A, 47B) 을 형성하는 것으로 하였으나, 이에 한정되지 않고, 예를 들어 45 도의 경사면을 갖는 이동경을 스테이지 본체 (91) 의 측면에 형성하고, 웨이퍼 스테이지 (WST) 의 상방에 고정경을 배치하는 구성으로 해도 된다. 이 경우, 고정경을 전술한 지지체 혹은 계측 프레임 등에 형성하면 된다.
Y 간섭계 (16) 는 도 2 에 나타내는 바와 같이, 투영 광학계 (PL) 의 투영 중심 (광축 (AX), 도 1 참조) 을 통과하는 Y 축에 평행한 직선으로부터 동일 거리 -X 측, +X 측으로 떨어져 있는 Y 축 방향의 측장축을 따라 측장빔 (B41, B42) 을 웨이퍼 테이블 (WTB) 의 반사면 (17a) 에 투사하고, 각각의 반사광을 수광함으로써, 웨이퍼 테이블 (WTB) 의 측장빔 (B41, B42) 의 조사점에 있어서의 Y 축 방향의 위치 (Y 위치) 를 검출하고 있다. 또한, 도 1 에서는, 측장빔 (B41, B42) 이 대표적으로 측장빔 (B4) 으로서 나타나 있다.
또, Y 간섭계 (16) 는, 측장빔 (B41, B42) 과의 사이에 Z 축 방향으로 소정 간격을 두고 Y 축 방향의 측장축을 따라 측장빔 (B3) 을 반사면 (41a) 을 향하여 투사하고, 반사면 (41a) 에서 반사된 측장빔 (B3) 을 수광함으로써, 이동경 (41) 의 반사면 (41a) (즉 웨이퍼 스테이지 (WST)) 의 Y 위치를 검출하고 있다.
주제어 장치 (20) 는, Y 간섭계 (16) 의 측장빔 (B41, B42) 에 대응하는 측장축의 계측값의 평균값에 기초하여 반사면 (17a), 즉 웨이퍼 테이블 (WTB) (웨이퍼 스테이지 (WST)) 의 Y 위치 (보다 정확하게는, Y 축 방향의 변위 (ΔY)) 를 산출한다. 또, 주제어 장치 (20) 는 측장빔 (B41, B42) 에 대응하는 측장축의 계측값의 차이로부터, 웨이퍼 스테이지 (WST) 의 θz 방향의 변위 (요잉량) (Δθz(Y)) 를 산출한다. 또, 주제어 장치 (20) 는, 반사면 (17a) 및 반사면 (41a) 의 Y 위치 (Y 축 방향의 변위 (ΔY)) 에 기초하여, 웨이퍼 스테이지 (WST) 의 θx 방향의 변위 (피칭량) (Δθx) 를 산출한다.
또, X 간섭계 (126) 는 도 2 에 나타내는 바와 같이, 전술한 직선 (LH) 에 관해 동일 거리 떨어진 2 축의 측장축을 따라 측장빔 (B51, B52) 을 웨이퍼 테이블 (WTB) 에 투사하고 있고, 주제어 장치 (20) 는 측장빔 (B51, B52) 에 대응하는 측장축의 계측값에 기초하여, 웨이퍼 스테이지 (WST) 의 X 축 방향의 위치 (X 위치, 보다 정확하게는 X 축 방향의 변위 (ΔX)) 를 산출한다. 또, 주제어 장치 (20) 는, 측장빔 (B51, B52) 에 대응하는 측장축의 계측값의 차이로부터, 웨이퍼 스테이지 (WST) 의 θz 방향의 변위 (요잉량) (Δθz(x)) 를 산출한다. 또한, X 간섭계 (126) 로부터 얻어지는 Δθz(x) 와 Y 간섭계 (16) 로부터 얻어지는 Δθz(Y) 는 서로 동등하고, 웨이퍼 스테이지 (WST) 의 θz 방향에 대한 변위 (요잉량) (Δθz) 를 대표한다.
또, 도 2 에 점선으로 나타내는 바와 같이, X 간섭계 (128) 로부터 X 축에 평행한 측장축을 따라 측장빔 (B7) 이 사출된다. 이 X 간섭계 (128) 는, 실제로는 후술하는 언로딩 포지션 (UP) 과 로딩 포지션 (LP) (도 3 참조) 을 연결하는 X 축에 평행한 측장축을 따라, 언로딩 포지션 (UP) 과 로딩 포지션 (LP) 의 근방에 위치하는 웨이퍼 테이블 (WTB) 의 반사면 (17b) 에 측장빔 (B7) 을 투사한다. 또, 도 2 에 나타내는 바와 같이, X 간섭계 (127) 로부터 측장빔 (B6) 이 웨이퍼 테이블 (WTB) 의 반사면 (17b) 에 투사된다. 실제로는, 측장빔 (B6) 은 프라이머리 얼라인먼트계 (AL1) 의 검출 중심을 통과하는 X 축에 평행한 측장축을 따라, 웨이퍼 테이블 (WTB) 의 반사면 (17b) 에 투사된다.
주제어 장치 (20) 는, X 간섭계 (127) 의 측장빔 (B6) 의 계측값 및 X 간섭계 (128) 의 측장빔 (B7) 의 계측값으로부터도, 웨이퍼 테이블 (WTB) 의 X 축 방향의 변위 (ΔX) 를 구할 수 있다. 단, 3 개의 X 간섭계 (126, 127, 128) 의 배치가 Y 축 방향에 관해 상이하여, X 간섭계 (126) 는 도 27 에 나타내는 노광시에, X 간섭계 (127) 는 도 34 등에 나타내는 웨이퍼 얼라인먼트시에, X 간섭계 (128) 는 도 32 에 나타내는 웨이퍼의 로딩시 및 도 30 에 나타내는 언로딩시에 사용된다.
또, Z 간섭계 (43A, 43B) 각각으로부터는, Y 축을 따르는 측장빔 (B1, B2) 이 이동경 (41) 을 향하여 투사된다. 이들 측장빔 (B1, B2) 은, 이동경 (41) 의 반사면 (41b, 41c) 각각에 소정의 입사각 (θ/2 로 한다) 으로 입사된다. 그리고, 측장빔 (B1, B2) 은 반사면 (41b, 41c) 에서 각각 반사되어, 고정경 (47A, 47B) 의 반사면에 수직으로 입사된다. 그리고, 고정경 (47A, 47B) 의 반사면에서 반사된 측장빔 (B1, B2) 은, 다시 반사면 (41b, 41c) 에서 각각 반사되어 (입사시의 광로를 역방향으로 되돌아와) Z 간섭계 (43A, 43B) 에서 수광된다.
여기서, 웨이퍼 스테이지 (WST) (즉 이동경 (41)) 의 Y 축 방향에 대한 변위를 ΔYo, Z 축 방향에 대한 변위를 ΔZo 로 하면, Z 간섭계 (43A, 43B) 에서 수광되는 측장빔 (B1) 의 광로 길이 변화 (ΔL1) 및 측장빔 (B2) 의 광로 길이 변화 (ΔL2) 는 각각 이하의 식 (1), (2) 로 나타낸다.
ΔL1 = ΔYo × (1 + cosθ) - ΔZo × sinθ …(1)
ΔL2 = ΔYo × (1 + cosθ) + ΔZo × sinθ …(2)
따라서, 식 (1), (2) 로부터 ΔZo 및 ΔYo 는 다음 식 (3), (4) 로 구해진다.
ΔZo = (ΔL2 - ΔL1)/2sinθ …(3)
ΔYo = (ΔL1 + ΔL2)/{2(1 + cosθ)} …(4)
상기 변위 (ΔZo, ΔYo) 는 Z 간섭계 (43A, 43B) 각각에서 구해진다. 그래서, Z 간섭계 (43A) 에서 구해지는 변위를 ΔZoR, ΔYoR 로 하고, Z 간섭계 (43B) 에서 구해지는 변위를 ΔZoL, ΔYoL 로 한다. 그리고, Z 간섭계 (43A, 43B) 각각이 투사하는 측장빔 (B1, B2) 이 X 축 방향으로 이간되는 거리를 D 로 한다 (도 2 참조). 이러한 전제하에서, 이동경 (41) (즉 웨이퍼 스테이지 (WST)) 의 θz 방향에 대한 변위 (요잉량) (Δθz), 및 이동경 (41) (즉 웨이퍼 스테이지 (WST)) 의 θy 방향에 대한 변위 (롤링량) (Δθy) 는 다음 식 (5), (6) 으로 구해진다.
Δθz ≒ (ΔYoR - ΔYoL)/D …(5)
Δθy ≒ (ΔZoL - ΔZoR)/D …(6)
따라서, 주제어 장치 (20) 는 상기 식 (3) ∼ 식 (6) 을 사용함으로써, Z 간섭계 (43A, 43B) 의 계측 결과에 기초하여, 웨이퍼 스테이지 (WST) 의 4 자유도의 변위 (ΔZo, ΔYo, Δθz, Δθy) 를 산출할 수 있다.
이와 같이, 주제어 장치 (20) 는 간섭계 시스템 (118) 의 계측 결과로부터, 6 자유도 방향 (Z, X, Y, θz, θx, θy 방향) 에 관한 웨이퍼 스테이지 (WST) 의 변위를 구할 수 있다. 또한, 본 실시형태에서는 간섭계 시스템 (118) 이 웨이퍼 스테이지 (WST) 의 6 자유도 방향의 위치 정보를 계측 가능한 것으로 하였으나, 계측 방향은 6 자유도 방향으로 한정되지 않고 5 자유도 이하의 방향이어도 된다.
또한, 간섭계의 주요한 오차 요인으로서, 빔 광로 상의 분위기의 온도 변화와 온도 구배에 의해 발생하는 공기 요동의 효과가 있다. 공기 요동에 의해, 광의 파장 λ 이 λ + Δλ 로 변화한 것으로 한다. 이 파장의 미소 변화 (Δλ) 에 의한 위상차 (KΔL) 의 변화는, 파수 K = 2π/λ 이므로, 2πΔLΔλ/λ2 로 구해진다. 여기서, 가령 광의 파장 λ = 1㎛, 미소 변화 Δλ = 1㎚ 로 하면, 광로차 ΔL = 100㎜ 에 대해, 위상 변화는 2π × 100 이 된다. 이 위상 변화는, 계측 단위의 100 배의 변위에 대응한다. 이와 같이, 광로 길이가 길게 설정되는 경우에는, 간섭계는 단시간에 일어나는 공기 요동의 영향이 커, 단기 안정성이 떨어진다. 그와 같은 경우에는 인코더를 사용하는 것이 바람직하다.
또한, 본 실시형태에서는, 웨이퍼 스테이지 (WST) (91, WTB) 가 6 자유도로 이동 가능한 단일의 스테이지인 경우에 대해 설명하였으나, 이에 한정되지 않고, XY 평면 내에서 자유롭게 이동 가능한 스테이지 본체 (91) 와, 그 스테이지 본체 (91) 상에 탑재되고, 스테이지 본체 (91) 에 대해 적어도 Z 축 방향, θx 방향 및 θy 방향으로 상대적으로 미소 구동 가능한 웨이퍼 테이블 (WTB) 을 포함하여 웨이퍼 스테이지 (WST) 를 구성해도 된다. 이 경우, 전술한 이동경 (41) 은 웨이퍼 테이블 (WTB) 에 형성된다. 또, 반사면 (17a), 반사면 (17b) 대신에, 웨이퍼 테이블 (WTB) 에 평면 미러로 이루어지는 이동경을 형성해도 된다.
단, 본 실시형태에서는, 웨이퍼 스테이지 (WST) (웨이퍼 테이블 (WTB)) 의 XY 평면 내의 위치 정보 (θz 방향의 회전 정보를 포함하는 3 자유도 방향의 위치 정보) 는 주로 후술하는 인코더 시스템에 의해 계측되고, 간섭계 (16, 126, 127) 의 계측값은, 그 인코더 시스템의 계측값의 장기적 변동 (예를 들어, 스케일의 시간 경과적인 변형 등에 의함) 을 보정 (교정) 하는 경우, 인코더 시스템의 출력 이상시의 백업 경우 등에 보조적으로 사용된다. 또한, 본 실시형태에서는, 웨이퍼 스테이지 (WST) 의 6 자유도 방향의 위치 정보 중, X 축 방향, Y 축 방향 및 θz 방향을 포함하는 3 자유도 방향의 위치 정보는 후술하는 인코더 시스템에 의해 계측하고, 나머지 3 자유도 방향, 즉 Z 축 방향, θx 방향 및 θy 방향의 위치 정보는, 후술하는 복수의 Z 센서를 갖는 계측 시스템에 의해 계측된다. 여기서, 나머지 3 자유도 방향의 위치 정보는, 계측 시스템과 간섭계 시스템 (118) 의 양방에 의해 계측해도 된다. 예를 들어 계측 시스템에 의해 Z 축 방향 및 θy 방향의 위치 정보를 계측하고, 간섭계 시스템 (118) 에 의해 θx 방향의 위치 정보를 계측해도 된다.
또한, 간섭계 시스템 (118) 은 그 적어도 일부 (예를 들어 광학계 등) 가 투영 유닛 (PU) 을 유지하는 메인 프레임에 형성되거나, 혹은 전술한 바와 같이 매달아 지지되는 투영 유닛 (PU) 과 일체로 형성되어도 되지만, 본 실시형태에서는 전술한 계측 프레임에 형성되는 것으로 한다.
계측 스테이지 (MST) 는 전술한 스테이지 본체 (92) 와, 그 스테이지 본체 (92) 상에 탑재된 계측 테이블 (MTB) 을 포함하고 있다. 계측 테이블 (MTB) 은, 도시 생략된 Z 레벨링 기구를 통해 스테이지 본체 (92) 상에 탑재되어 있다. 그러나, 이에 한정되지 않고, 예를 들어 계측 테이블 (MTB) 을, 스테이지 본체 (92) 에 대해 X 축 방향, Y 축 방향 및 θz 방향으로 미동 가능하게 구성한 이른바 조(粗) 미동 구조의 계측 스테이지 (MST) 를 채용해도 되고, 혹은 계측 테이블 (MTB) 을 스테이지 본체 (92) 에 고정시키고, 그 계측 테이블 (MTB) 과 스테이지 본체 (92) 를 포함하는 계측 스테이지 (MST) 의 전체를 6 자유도 방향으로 구동 가능한 구성으로 해도 된다.
계측 테이블 (MTB) (및 스테이지 본체 (92)) 에는, 각종 계측용 부재가 형성되어 있다. 이 계측용 부재로는, 예를 들어 도 2 및 도 5(A) 에 나타내는 바와 같이, 투영 광학계 (PL) 의 이미지면 상에서 조명광 (IL) 을 수광하는 핀홀상의 수광부를 갖는 조도 불균일 센서 (94), 투영 광학계 (PL) 에 의해 투영되는 패턴의 공간 이미지 (투영 이미지) 를 계측하는 공간 이미지 계측기 (96), 및 예를 들어 국제공개 제03/065428호 팜플렛 등에 개시되어 있는 샤크-하트만 (Shack-Hartman) 방식의 파면 수차 계측기 (98) 등이 채용되어 있다. 파면 수차 계측기 (98) 로는, 예를 들어 국제공개 제99/60361호 팜플렛 (대응 유럽 특허출원공개 제1079223호 명세서) 에 개시되는 것도 사용할 수 있다.
조도 불균일 센서 (94) 로는, 예를 들어 일본 공개특허공보 소57-117238호 (대응하는 미국 특허 제4,465,368호 명세서) 등에 개시되는 것과 동일한 구성인 것을 사용할 수 있다. 또, 공간 이미지 계측기 (96) 로는, 예를 들어 일본 공개특허공보 2002-14005호 (대응하는 미국 특허출원공개 제2002/0041377호 명세서) 등에 개시되는 것과 동일한 구성인 것을 사용할 수 있다. 또한, 본 실시형태에서는 3 개의 계측용 부재 (94, 96, 98) 를 계측 스테이지 (MST) 에 형성하는 것으로 하였으나, 계측용 부재의 종류 및/또는 수 등은 이에 한정되지 않는다. 계측용 부재로서, 예를 들어 투영 광학계 (PL) 의 투과율을 계측하는 투과율 계측기 및/또는 전술한 국소 액침 장치 (8), 예를 들어 노즐 유닛 (32) (혹은 선단 렌즈 (191)) 등을 관찰하는 계측기 등을 사용해도 된다. 또한, 계측용 부재와 상이한 부재, 예를 들어 노즐 유닛 (32), 선단 렌즈 (191) 등을 청소하는 청소 부재 등을 계측 스테이지 (MST) 에 탑재해도 된다.
본 실시형태에서는, 도 5(A) 로부터도 알 수 있는 바와 같이, 사용 빈도가 높은 센서류, 조도 불균일 센서 (94) 나 공간 이미지 계측기 (96) 등은, 계측 스테이지 (MST) 의 센터 라인 (CL) (중심을 통과하는 Y 축) 상에 배치되어 있다. 이 때문에, 본 실시형태에서는 이들 센서류를 사용한 계측을, 계측 스테이지 (MST) 를 X 축 방향으로 이동시키지 않고, Y 축 방향으로만 이동시켜 실시할 수 있다.
상기 각 센서에 추가하여, 예를 들어 일본 공개특허공보 평11-16816호 (대응하는 미국 특허출원공개 제2002/0061469호 명세서) 등에 개시되는, 투영 광학계 (PL) 의 이미지면 상에서 조명광 (IL) 을 수광하는 소정 면적의 수광부를 갖는 조도 모니터를 채용해도 되고, 이 조도 모니터도 센터 라인 상에 배치하는 것이 바람직하다.
또한, 본 실시형태에서는, 투영 광학계 (PL) 와 액체 (물) (Lq) 를 통해 노광광 (조명광) (IL) 에 의해 웨이퍼 (W) 를 노광하는 액침 노광이 실시되는 데 대응하여, 조명광 (IL) 을 사용하는 계측에 사용되는 상기 조도 불균일 센서 (94) (및 조도 모니터), 공간 이미지 계측기 (96), 그리고 파면 수차 계측기 (98) 에서는, 투영 광학계 (PL) 및 물 (Lq) 을 통해 조명광 (IL) 을 수광하게 된다. 또, 각 센서는, 예를 들어 광학계 등의 일부만이 계측 테이블 (MTB) (및 스테이지 본체 (92)) 에 탑재되어 있어도 되고, 센서 전체를 계측 테이블 (MTB) (및 스테이지 본체 (92)) 에 배치하도록 해도 된다.
계측 스테이지 (MST) 의 스테이지 본체 (92) 에는, 도 5(B) 에 나타내는 바와 같이, 그 -Y 측의 단면에 프레임상의 장착 부재 (42) 가 고정되어 있다. 또, 스테이지 본체 (92) 의 -Y 측의 단면에는, 장착 부재 (42) 의 개구 내부의 X 축 방향의 중심 위치 근방에, 전술한 한 쌍의 송광계 (36) 에 대향할 수 있는 배치로 한 쌍의 수광계 (44) 가 고정되어 있다. 각 수광계 (44) 는, 릴레이 렌즈 등의 광학계와, 수광 소자, 예를 들어 포토 멀티플라이어 튜브 등과, 이들을 수납하는 케이스에 의해 구성되어 있다. 도 4(B) 및 도 5(B), 그리고 지금까지의 설명으로부터 용이하게 상상되는 바와 같이, 본 실시형태에서는, 웨이퍼 스테이지 (WST) 와 계측 스테이지 (MST) 가, Y 축 방향에 관해 소정 거리 이내에 근접한 상태 (접촉 상태를 포함한다) 에서는, 계측 플레이트 (30) 의 각 공간 이미지 계측 슬릿 패턴 (SL) 을 투과한 조명광 (IL) 이 전술한 각 송광계 (36) 에 의해 안내되고, 각 수광계 (44) 내부의 각 수광 소자에서 수광된다. 즉, 계측 플레이트 (30), 송광계 (36) 및 수광계 (44) 에 의해, 전술한 일본 공개특허공보 2002-14005호 (대응하는 미국 특허출원공개 제2002/0041377호 명세서) 등에 개시되는 것과 동일한 공간 이미지 계측 장치 (45) 가 구성된다 (도 6 참조).
상기 장착 부재 (42) 위에는, 단면 직사각형의 막대상 부재로 이루어지는 기준 부재로서의 컨피덴셜 바 (이하,「CD 바」라고 약술한다) (46) 가 X 축 방향으로 연장되어 있다. 이 CD 바 (46) 는, 풀 키네마틱 마운트 구조에 의해 계측 스테이지 (MST) 상에 키네마틱하게 지지되어 있다.
CD 바 (46) 는 원기 (原器) (계측 기준) 가 되기 때문에, 저열팽창의 광학 유리 세라믹스, 예를 들어 쇼트사의 제로듀어 (상품명) 등이 그 소재로서 채용되어 있다. 이 CD 바 (46) 의 상면 (표면) 은, 이른바 기준 평면판과 동일한 정도로 그 평탄도가 높게 설정되어 있다. 또, 이 CD 바 (46) 의 길이 방향의 일측과 타측의 단부 근방에는, 도 5(A) 에 나타내는 바와 같이, Y 축 방향을 주기 방향으로 하는 기준 격자 (예를 들어 회절 격자) (52) 가 각각 형성되어 있다. 이 한 쌍의 기준 격자 (52) 는, 서로 소정 거리 (L 로 한다) 를 두고 CD 바 (46) 의 X 축 방향의 중심, 즉 전술한 센터 라인 (CL) 에 관해 대칭인 배치로 형성되어 있다. 또한, 거리 (L) 는 예를 들어 400㎜ 이상의 거리이다.
또, 이 CD 바 (46) 의 상면에는, 도 5(A) 에 나타내는 바와 같은 배치로 복수의 기준 마크 (M) 가 형성되어 있다. 이 복수의 기준 마크 (M) 는 동일 피치로 Y 축 방향에 관해 3 행의 배열로 형성되고, 각 행의 배열이 X 축 방향에 관해 서로 소정 거리만큼 어긋나 형성되어 있다. 각 기준 마크 (M) 로는, 후술하는 프라이머리 얼라인먼트계, 세컨더리 얼라인먼트계에 의해 검출 가능한 치수의 2 차원 마크가 사용되고 있다. 기준 마크 (M) 는 그 형상 (구성) 이 전술한 기준 마크 (FM) 와 상이해도 되는데, 본 실시형태에서는 기준 마크 (M) 와 기준 마크 (FM) 는 동일한 구성이고, 또한 웨이퍼 (W) 의 얼라인먼트 마크와도 동일한 구성이 되어 있다. 또한, 본 실시형태에서는 CD 바 (46) 의 표면 및 계측 테이블 (MTB) (전술한 계측용 부재를 포함해도 된다) 의 표면도 각각 발액막 (발수막) 으로 덮여 있다.
계측 테이블 (MTB) 의 +Y 단면, -X 단면도 전술한 웨이퍼 테이블 (WTB) 과 동일한 반사면 (19a, 19b) 이 형성되어 있다 (도 2 및 도 5(A) 참조). 간섭계 시스템 (118) (도 6 참조) 의 Y 간섭계 (18), X 간섭계 (130) (도 1 에서는, X 간섭계 (130) 는 도시 생략, 도 2 참조) 는, 이들 반사면 (19a, 19b) 에 도 2 에 나타내는 바와 같이, 간섭계 빔 (측장빔) 을 투사하여 각각의 반사광을 수광함으로써, 각 반사면의 기준 위치로부터의 변위, 즉 계측 스테이지 (MST) 의 위치 정보 (예를 들어 적어도 X 축 및 Y 축 방향의 위치 정보와 θz 방향의 회전 정보를 포함한다) 를 계측하고, 이 계측값이 주제어 장치 (20) 에 공급된다.
본 실시형태의 노광 장치 (100) 에서는, 도 1 에서는 도면의 착종 (錯綜) 을 피하는 관점에서 도시가 생략되어 있지만, 실제로는 도 3 에 나타내는 바와 같이, 투영 유닛 (PU) 의 중심 (투영 광학계 (PL) 의 광축 (AX), 본 실시형태에서는 전술한 노광 영역 (IA) 의 중심과도 일치) 을 통과하고 또한 Y 축과 평행한 직선 (LV) 상에서, 그 광축으로부터 -Y 측으로 소정 거리를 둔 위치에 검출 중심을 갖는 프라이머리 얼라인먼트계 (AL1) 가 배치되어 있다. 이 프라이머리 얼라인먼트계 (AL1) 는, 지지 부재 (54) 를 통해 도시 생략된 메인 프레임의 하면에 고정되어 있다. 이 프라이머리 얼라인먼트계 (AL1) 를 사이에 끼우고, X 축 방향의 일측과 타측에는 그 직선 (LV) 에 관해 거의 대칭으로 검출 중심이 배치되는 세컨더리 얼라인먼트계 (AL21, AL22 와 AL23, AL24) 가 각각 형성되어 있다. 즉, 5 개의 얼라인먼트계 (AL1, AL21 ∼ AL24) 는 그 검출 중심이 X 축 방향에 관해 상이한 위치에 배치되어 있고, 즉 X 축 방향을 따라 배치되어 있다.
각 세컨더리 얼라인먼트계 (AL2n) (n = 1 ∼ 4) 는, 세컨더리 얼라인먼트계 (AL24) 에 대해 대표적으로 나타내는 바와 같이, 회전 중심 (O) 을 중심으로 하여 도 3 에 있어서의 시계 방향 및 반시계 방향으로 소정 각도 범위에서 회전 운동 가능한 아암 (56n) (n = 1 ∼ 4) 의 선단 (회전 운동 단부) 에 고정되어 있다. 본 실시형태에서는, 각 세컨더리 얼라인먼트계 (AL2n) 는 그 일부 (예를 들어 얼라인먼트광을 검출 영역에 조사하고, 또한 검출 영역 내의 대상 마크로부터 발생하는 광을 수광 소자로 유도하는 광학계를 적어도 포함한다) 가 아암 (56n) 에 고정되고, 나머지의 일부는 투영 유닛 (PU) 을 유지하는 메인 프레임에 형성된다. 세컨더리 얼라인먼트계 (AL21, AL22, AL23, AL24) 는 각각 회전 중심 (O) 을 중심으로 하여 회전 운동함으로써 X 위치가 조정된다. 즉, 세컨더리 얼라인먼트계 (AL21, AL22, AL23, AL24) 는 그 검출 영역 (또는 검출 중심) 이 독립적으로 X 축 방향으로 가동이다. 따라서, 프라이머리 얼라인먼트계 (AL1) 및 세컨더리 얼라인먼트계 (AL21, AL22, AL23, AL24) 는 X 축 방향에 관해 그 검출 영역의 상대 위치가 조정 가능하게 되어 있다. 또한, 본 실시형태에서는, 아암의 회전 운동에 의해 세컨더리 얼라인먼트계 (AL21, AL22, AL23, AL24) 의 X 위치가 조정되는 것으로 하였으나, 이에 한정되지 않고, 세컨더리 얼라인먼트계 (AL21, AL22, AL23, AL24) 를 X 축 방향으로 왕복 구동시키는 구동 기구를 형성해도 된다. 또, 세컨더리 얼라인먼트계 (AL21, AL22, AL23, AL24) 의 적어도 1 개를 X 축 방향뿐만이 아니라 Y 축 방향으로도 가동으로 해도 된다. 또한, 각 세컨더리 얼라인먼트계 (AL2n) 는 그 일부가 아암 (56n) 에 의해 이동되므로, 도시 생략된 센서, 예를 들어 간섭계, 혹은 인코더 등에 의해 아암 (56n) 에 고정되는 그 일부의 위치 정보가 계측 가능하게 되어 있다. 이 센서는, 세컨더리 얼라인먼트계 (AL2n) 의 X 축 방향의 위치 정보를 계측하기만 해도 되지만, 다른 방향, 예를 들어 Y 축 방향 및/또는 회전 방향 (θx 및 θy 방향의 적어도 일방을 포함한다) 의 위치 정보도 계측 가능하게 해도 된다.
각 아암 (56n) 의 상면에는, 차동 배기형의 에어 베어링으로 이루어지는 배큠 패드 (58n) (n = 1 ∼ 4) 가 형성되어 있다. 또, 아암 (56n) 은, 모터 등을 포함하는 회전 구동 기구 (60n) (n = 1 ∼ 4, 도 3 에서는 도시 생략, 도 6 참조) 에 의해, 주제어 장치 (20) 의 지시에 따라 회전 운동된다. 주제어 장치 (20) 는, 아암 (56n) 의 회전 조정 후에, 각 배큠 패드 (58n) 를 작동시켜 각 아암 (56n) 을 도시 생략된 메인 프레임에 흡착 고정시킨다. 이로써, 각 아암 (56n) 의 회전 각도 조정 후의 상태, 즉, 프라이머리 얼라인먼트계 (AL1) 에 대한 4 개의 세컨더리 얼라인먼트계 (AL21 ∼ AL24) 의 원하는 위치 관계가 유지된다.
또한, 메인 프레임의 아암 (56n) 에 대향하는 부분이 자성체라면, 배큠 패드 (58) 대신에 전자석을 채용해도 된다.
본 실시형태에서는, 프라이머리 얼라인먼트계 (AL1) 및 4 개의 세컨더리 얼라인먼트계 (AL21 ∼ AL24) 의 각각으로서, 예를 들어 웨이퍼 상의 레지스트를 감광시키지 않는 브로드밴드 검출 광속을 대상 마크에 조사하고, 그 대상 마크로부터의 반사광에 의해 수광면에 결상된 대상 마크의 이미지와 도시 생략된 지표 (각 얼라인먼트계 내에 형성된 지표판 상의 지표 패턴) 의 이미지를 촬상 소자 (CCD 등) 를 사용하여 촬상하고, 그들의 촬상 신호를 출력하는 화상 처리 방식의 FIA (Field Image Alig㎚ent) 계가 사용되고 있다. 프라이머리 얼라인먼트계 (AL1) 및 4 개의 세컨더리 얼라인먼트계 (AL21 ∼ AL24) 의 각각으로부터의 촬상 신호는 도 6 의 주제어 장치 (20) 에 공급된다.
또한, 상기 각 얼라인먼트계로는 FIA 계에 한정하지 않고, 코히런트한 검출광을 대상 마크에 조사하고, 그 대상 마크로부터 발생하는 산란광 또는 회절광을 검출하거나, 혹은 그 대상 마크로부터 발생하는 2 개의 회절광 (예를 들어 동일 차수의 회절광, 혹은 동일 방향으로 회절하는 회절광) 을 간섭시켜 검출하는 얼라인먼트 센서를 단독으로 혹은 적절히 조합하여 사용하는 것은 물론 가능하다. 또, 본 실시형태에서는 5 개의 얼라인먼트계 (AL1, AL21 ∼ AL24) 를 형성하는 것으로 하고 있지만, 그 수는 5 개에 한정되는 것은 아니며, 2 개 이상 또한 4 개 이하, 혹은 6 개 이상이어도 되고, 홀수가 아니라 짝수이어도 된다. 또한, 본 실시형태에서는, 5 개의 얼라인먼트계 (AL1, AL21 ∼ AL24) 는, 지지 부재 (54) 를 통해 투영 유닛 (PU) 을 유지하는 메인 프레임의 하면에 고정되는 것으로 하였으나, 이에 한정되지 않고, 예를 들어 전술한 계측 프레임에 형성해도 된다. 또, 얼라인먼트계 (AL1, AL21 ∼ AL24) 는 웨이퍼 (W) 의 얼라인먼트 마크 및 CD 바 (46) 의 기준 마크를 검출하므로, 본 실시형태에서는 단순히 마크 검출계라고도 불린다.
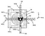
본 실시형태의 노광 장치 (100) 에서는, 도 3 에 나타내는 바와 같이, 전술한 노즐 유닛 (32) 의 주위를 사방에서 둘러싸는 상태에서, 인코더 시스템의 4 개의 헤드 유닛 (62A ∼ 62D) 이 배치되어 있다. 이들 헤드 유닛 (62A ∼ 62D) 은, 도 3 에서는 도면의 착종을 피하는 관점에서 도시가 생략되어 있지만, 실제로는 지지 부재를 통해 전술한 투영 유닛 (PU) 을 유지하는 메인 프레임에 매단 상태로 고정되어 있다. 또한, 헤드 유닛 (62A ∼ 62D) 은, 예를 들어 투영 유닛 (PU) 이 매달아 지지되는 경우에는 투영 유닛 (PU) 과 일체로 매달아 지지해도 되고, 혹은 전술한 계측 프레임에 형성해도 된다.
헤드 유닛 (62A, 62C) 은, 투영 유닛 (PU) 의 +X 측, -X 측에 각각 X 축 방향을 길이 방향으로 하고, 또한 투영 광학계 (PL) 의 광축 (AX) 에 관해 대칭으로 광축 (AX) 으로부터 거의 동일 거리를 두고 배치되어 있다. 또, 헤드 유닛 (62B, 62D) 은, 투영 유닛 (PU) 의 +Y 측, -Y 측에 각각 Y 축 방향을 길이 방향으로 하고, 또한 투영 광학계 (PL) 의 광축 (AX) 으로부터 거의 동일 거리를 두고 배치되어 있다.
헤드 유닛 (62A 및 62C) 은, 도 3 에 나타내는 바와 같이, X 축 방향을 따라 투영 광학계 (PL) 의 광축 (AX) 을 통과하고 또한 X 축과 평행한 직선 (LH) 상에 소정 간격으로 배치된 복수 (여기서는 6 개) 의 Y 헤드 (64) 를 구비하고 있다. 헤드 유닛 (62A) 은, 전술한 Y 스케일 (39Y1) 을 사용하여, 웨이퍼 스테이지 (WST) (웨이퍼 테이블 (WTB)) 의 Y 축 방향의 위치 (Y 위치) 를 계측하는 다안 (多眼) (여기서는, 6 안) 의 Y 리니어 인코더 (이하, 적절히「Y 인코더」또는「인코더」라고 약술한다) (70A) (도 6 참조) 를 구성한다. 동일하게, 헤드 유닛 (62C) 은 전술한 Y 스케일 (39Y2) 을 사용하여, 웨이퍼 스테이지 (WST) (웨이퍼 테이블 (WTB)) 의 Y 위치를 계측하는 다안 (여기서는, 6 안) 의 Y 인코더 (70C) (도 6 참조) 를 구성한다. 여기서, 헤드 유닛 (62A, 62C) 이 구비하는 인접하는 Y 헤드 (64) (즉, 계측빔) 의 간격은, 전술한 Y 스케일 (39Y1, 39Y2) 의 X 축 방향의 폭 (보다 정확하게는, 격자선 (38) 의 길이) 보다 좁게 설정되어 있다. 또, 헤드 유닛 (62A, 62C) 이 각각 구비하는 복수의 Y 헤드 (64) 중, 가장 내측에 위치하는 Y 헤드 (64) 는, 투영 광학계 (PL) 의 광축에 가능한 한 가까이 배치하기 위해, 투영 광학계 (PL) 의 경통 (40) 의 하단부 (보다 정확하게는 선단 렌즈 (191) 를 둘러싸는 노즐 유닛 (32) 의 가로측) 에 고정되어 있다.
헤드 유닛 (62B) 은, 도 3 에 나타내는 바와 같이, 상기 직선 (LV) 상에 Y 축 방향을 따라 소정 간격으로 배치된 복수, 여기서는 7 개의 X 헤드 (66) 를 구비하고 있다. 또, 헤드 유닛 (62D) 은, 상기 직선 (LV) 상에 소정 간격으로 배치된 복수, 여기서는 11 개 (단, 도 3 에서는 프라이머리 얼라인먼트계 (AL1) 와 겹치는 11 개 중 3 개는 도시 생략) 의 X 헤드 (66) 를 구비하고 있다. 헤드 유닛 (62B) 은, 전술한 X 스케일 (39X1) 을 사용하여, 웨이퍼 스테이지 (WST) (웨이퍼 테이블 (WTB)) 의 X 축 방향의 위치 (X 위치) 를 계측하는, 다안 (여기서는, 7 안) 의 X 리니어 인코더 (이하, 적절히「X 인코더」또는「인코더」라고 약술한다) (70B) (도 6 참조) 를 구성한다. 또, 헤드 유닛 (62D) 은, 전술한 X 스케일 (39X2) 을 사용하여, 웨이퍼 스테이지 (WST) (웨이퍼 테이블 (WTB)) 의 X 위치를 계측하는, 다안 (여기서는, 11 안) 의 X 인코더 (70D) (도 6 참조) 를 구성한다. 또, 본 실시형태에서는, 예를 들어 후술하는 얼라인먼트시 등에 헤드 유닛 (62D) 이 구비하는 11 개의 X 헤드 (66) 중 2 개의 X 헤드 (66) 가, X 스케일 (39X1), X 스케일 (39X2) 에 동시에 각각 대향하는 경우가 있다. 이 경우에는, X 스케일 (39X1) 과 이에 대향하는 X 헤드 (66) 에 의해 X 리니어 인코더 (70B) 가 구성되고, X 스케일 (39X2) 과 이에 대향하는 X 헤드 (66) 에 의해 X 리니어 인코더 (70D) 가 구성된다.
여기서, 11 개의 X 헤드 (66) 중 일부, 여기서는 3 개의 X 헤드는, 프라이머리 얼라인먼트계 (AL1) 의 지지 부재 (54) 의 하면측에 장착되어 있다. 또, 헤드 유닛 (62B, 62D) 이 각각 구비하는 인접하는 X 헤드 (66) (계측빔) 상호의 간격은, 전술한 X 스케일 (39X1, 39X2) 의 Y 축 방향의 폭 (보다 정확하게는, 격자선 (37) 의 길이) 보다 좁게 설정되어 있다. 또, 헤드 유닛 (62B, 62D) 이 각각 구비하는 복수의 X 헤드 (66) 중 가장 내측에 위치하는 X 헤드 (66) 는, 투영 광학계 (PL) 의 광축에 가능한 한 가까이 배치하기 위해, 투영 광학계 (PL) 의 경통의 하단부 (보다 정확하게는 선단 렌즈 (191) 를 둘러싸는 노즐 유닛 (32) 의 가로측) 에 고정되어 있다.
또한, 세컨더리 얼라인먼트계 (AL21) 의 -X 측, 세컨더리 얼라인먼트계 (AL24) 의 +X 측에, 프라이머리 얼라인먼트계 (AL1) 의 검출 중심을 통과하는 X 축에 평행한 직선 상 또한 그 검출 중심에 대해 거의 대칭으로 검출점이 배치되는 Y 헤드 (64y1, 64y2) 가 각각 형성되어 있다. Y 헤드 (64y1, 64y2) 의 간격은, 전술한 거리 (L) 에 거의 동등하게 설정되어 있다. Y 헤드 (64y1, 64y2) 는, 웨이퍼 스테이지 (WST) 상의 웨이퍼 (W) 의 중심이 상기 직선 (LV) 상에 있는 도 3 에 나타내는 상태에서는, Y 스케일 (39Y2, 39Y1) 에 각각 대향하도록 되어 있다. 후술하는 얼라인먼트 동작시 등에서는, Y 헤드 (64y1, 64y2) 에 대향하여 Y 스케일 (39Y2, 39Y1) 이 각각 배치되고, 이 Y 헤드 (64y1, 64y2) (즉, 이들 Y 헤드 (64y1, 64y2) 에 의해 구성되는 Y 인코더 (70C, 70A)) 에 의해 웨이퍼 스테이지 (WST) 의 Y 위치 (및 θz 회전) 가 계측된다.
또, 본 실시형태에서는, 세컨더리 얼라인먼트계의 후술하는 베이스 라인 계측시 등에, CD 바 (46) 의 한 쌍의 기준 격자 (52) 와 Y 헤드 (64y1, 64y2) 가 각각 대향하고, Y 헤드 (64y1, 64y2) 와 대향하는 기준 격자 (52) 에 의해, CD 바 (46) 의 Y 위치가 각각의 기준 격자 (52) 의 위치에서 계측된다. 이하에서는, 기준 격자 (52) 에 각각 대향하는 Y 헤드 (64y1, 64y2) 에 의해 구성되는 인코더를 Y 축 리니어 인코더 (70E, 70F) (도 6 참조) 라고 부른다.
상기 서술한 6 개의 리니어 인코더 (70A ∼ 70F) 는, 예를 들어 0.1㎚ 정도의 분해능으로 웨이퍼 스테이지 (WST) 의 각각의 계측 방향의 위치 정보를 계측하고, 그들의 계측값 (계측 정보) 은 주제어 장치 (20) 에 공급된다. 주제어 장치 (20) 는 리니어 인코더 (70A ∼ 70D) 의 계측값에 기초하여 웨이퍼 테이블 (WTB) 의 XY 평면 내의 위치를 제어함과 함께, 리니어 인코더 (70E, 70F) 의 계측값에 기초하여 CD 바 (46) 의 θz 방향의 회전을 제어한다. 또한, 리니어 인코더의 구성 등에 대해서는 추가로 후술한다.
본 실시형태의 노광 장치 (100) 에서는, 웨이퍼 (W) 의 Z 축 방향의 위치 정보를 계측하는 위치 계측 장치가 형성된다. 본 실시형태에서는 이 위치 계측 장치로서, 도 3 에 나타내는 바와 같이, 조사계 (90a) 및 수광계 (90b) 로 이루어지는, 예를 들어 일본 공개특허공보 평6-283403호 (대응하는 미국 특허 제5,448,332호 명세서) 등에 개시되는 것과 동일한 구성의 사입사 (斜入射) 방식의 다점 초점 위치 검출계 (이하,「다점 AF 계」라고 약술한다) 가 형성되어 있다. 본 실시형태에서는 일례로서, 전술한 헤드 유닛 (62C) 의 -X 단부의 -Y 측에 조사계 (90a) 가 배치되고, 이에 대치하는 상태에서, 전술한 헤드 유닛 (62A) 의 + X 단부의 -Y 측에 수광계 (90b) 가 배치되어 있다.
이 다점 AF 계 (90a, 90b) 의 복수의 검출점은, 도시는 생략되어 있지만, 피검면 상에서 X 축 방향을 따라 소정 간격으로 배치된다. 본 실시형태에서는, 예를 들어 1 행 M 열 (M 은 검출점의 총수) 또는 2 행 N 열 (N 은 검출점의 총수의 1/2) 의 매트릭스상으로 배치된다. 도 3 중에서는, 각각 검출빔이 조사되는 복수의 검출점을 개별적으로 도시 생략하고, 조사계 (90a) 및 수광계 (90b) 사이에서 X 축 방향으로 연장되는 가늘고 긴 검출 영역 (빔 영역) (AF) 으로서 나타내고 있다. 이 검출 영역 (AF) 은, X 축 방향의 길이가 웨이퍼 (W) 의 직경과 동일한 정도로 설정되어 있으므로, 웨이퍼 (W) 를 Y 축 방향으로 1 회 스캔하는 것만으로, 웨이퍼 (W) 의 거의 전체면에서 Z 축 방향의 위치 정보 (면 위치 정보) 를 계측할 수 있다. 또, 이 검출 영역 (AF) 은 Y 축 방향에 관해, 전술한 액침 영역 (14) (노광 영역 (IA)) 과 얼라인먼트계 (AL1, AL21, AL22, AL23, AL24) 의 검출 영역 사이에 배치되어 있으므로, 다점 AF 계와 얼라인먼트계에서 그 검출 동작을 병행하여 실시할 수 있게 되어 있다. 다점 AF 계는, 투영 유닛 (PU) 을 유지하는 메인 프레임 등에 형성해도 되는데, 본 실시형태에서는 전술한 계측 프레임에 형성하는 것으로 한다.
또한, 복수의 검출점은 1 행 M 열 또는 2 행 N 열로 배치되는 것으로 하였으나, 행수 및/또는 열수는 이에 한정되지 않는다. 단, 행수가 2 이상인 경우에는, 상이한 행 사이에서도 검출점의 X 축 방향의 위치를 다르게 하는 것이 바람직하다. 또한, 복수의 검출점은 X 축 방향을 따라 배치되는 것으로 하였으나, 이에 한정되지 않고, 복수의 검출점의 전부 또는 일부를 Y 축 방향에 관해 상이한 위치에 배치해도 된다. 예를 들어 X 축 및 Y 축의 양방과 교차하는 방향을 따라 복수의 검출점을 배치해도 된다. 즉, 복수의 검출점은 적어도 X 축 방향에 관해 위치가 상이하면 된다. 또, 본 실시형태에서는 복수의 검출점에 검출빔을 조사하는 것으로 하였으나, 예를 들어 검출 영역 (AF) 의 전역에 검출빔을 조사해도 된다. 또한, 검출 영역 (AF) 은 X 축 방향의 길이가 웨이퍼 (W) 의 직경과 동일한 정도가 아니어도 된다.
본 실시형태에서는, 다점 AF 계의 복수의 검출점 중의 양단에 위치하는 검출점의 근방, 즉 빔 영역 (AF) 의 양단부 근방에, 전술한 직선 (LV) 에 관해 대칭인 배치로 각 한 쌍의 Z 위치 계측용 면 위치 센서 (이하,「Z 센서」라고 약술한다) (72a, 72b 및 72c, 72d) 가 형성되어 있다. 이들 Z 센서 (72a ∼ 72d) 는, 도시 생략된 메인 프레임의 하면에 고정되어 있다. Z 센서 (72a ∼ 72d) 로는, 웨이퍼 테이블 (WTB) 에 대해 상방으로부터 광을 조사하고, 그 반사광을 수광하여 그 광의 조사점에 있어서의 웨이퍼 테이블 (WTB) 표면의 XY 평면에 직교하는 Z 축 방향의 위치 정보를 계측하는 센서, 일례로서 CD 드라이브 장치 등에서 사용되는 광 픽업과 같은 구성의 광학식 변위 센서 (광 픽업 방식의 센서) 가 사용되고 있다. 또한, Z 센서 (72a ∼ 72d) 는 전술한 계측 프레임 등에 형성해도 된다.
또한, 전술한 헤드 유닛 (62C) 은, 복수의 Y 헤드 (64) 를 연결하는 X 축 방향의 직선 (LH) 을 사이에 두고 일측과 타측에 위치하는, 직선 (LH) 에 평행한 2 개의 직선 상을 각각 따라 또한 서로 대응하여 소정 간격으로 배치된 복수 (여기서는 각 6 개, 합계로 12 개) 의 Z 센서 (74i,j) (i = 1, 2, j = 1, 2, ……, 6) 를 구비하고 있다. 이 경우, 쌍을 이루는 Z 센서 (741,j, 742,j) 는 상기 직선 (LH) 에 관해 대칭으로 배치되어 있다. 또한, 복수쌍 (여기서는 6 쌍) 의 Z 센서 (741,j, 742,j) 와 복수의 Y 헤드 (64) 는 X 축 방향에 관해 교대로 배치되어 있다. 각 Z 센서 (74i,j) 로는, 전술한 Z 센서 (72a ∼ 72d) 와 동일한 광 픽업 방식의 센서가 사용되고 있다.
여기서, 직선 (LH) 에 관해 대칭인 위치에 있는 각 쌍의 Z 센서 (741,j, 742,j) 의 간격은, 전술한 Z 센서 (72a, 72b) 의 간격과 동일 간격으로 설정되어 있다. 또, 한 쌍의 Z 센서 (741,4, 742,4) 는, Z 센서 (72a, 72b) 와 동일한 Y 축 방향의 직선 상에 위치하고 있다.
또, 전술한 헤드 유닛 (62A) 은 전술한 직선 (LV) 에 관해, 상기 서술한 복수의 Z 센서 (74i,j) 와 대칭으로 배치된 복수, 여기서는 12 개의 Z 센서 (76p,q) (p = 1, 2, q = 1, 2, ……, 6) 를 구비하고 있다. 각 Z 센서 (76p,q) 로는, 전술한 Z 센서 (72a ∼ 72d) 와 동일한 광 픽업 방식의 센서가 사용되고 있다. 또, 한 쌍의 Z 센서 (761,3, 762,3) 는 Z 센서 (72c, 72d) 와 동일한 Y 축 방향의 직선 상에 위치하고 있다. 또한, Z 센서 (74i,j, 76p,q) 는 예를 들어 전술한 메인 프레임 혹은 계측 프레임에 형성된다. 또, 본 실시형태에서는, Z 센서 (72a ∼ 72d, 74i,j, 76p,q) 를 갖는 계측 시스템은, 전술한 스케일과 대향하는 1 개 또는 복수의 Z 센서에 의해 웨이퍼 스테이지 (WST) 의 Z 축 방향의 위치 정보를 계측한다. 이 때문에, 노광 동작에서는, 웨이퍼 스테이지 (WST) 의 이동에 따라 위치 계측에 사용하는 Z 센서 (74i,j, 76p,q) 가 전환된다. 또한 노광 동작에서는, Y 스케일 (39Y1) 과 적어도 1 개의 Z 센서 (76p,q) 가 대향하고, 또한 Y 스케일 (39Y2) 과 적어도 1 개의 Z 센서 (74i,j) 가 대향한다. 따라서, 계측 시스템은 웨이퍼 스테이지 (WST) 의 Z 축 방향의 위치 정보뿐만이 아니라 θy 방향의 위치 정보 (롤링) 도 계측 가능하다. 또, 본 실시형태에서는, 계측 시스템의 각 Z 센서가 스케일의 격자면 (회절 격자의 형성면) 을 검출하는 것으로 하고 있지만, 격자면과 상이한 면, 예를 들어 격자면을 덮는 커버 유리의 일면을 검출하는 것으로 해도 된다.
또한, 도 3 에서는, 계측 스테이지 (MST) 의 도시가 생략됨과 함께, 그 계측 스테이지 (MST) 와 선단 렌즈 (191) 사이에 유지되는 물 (Lq) 로 형성되는 액침 영역이 부호 14 로 나타나 있다. 또, 이 도 3 에 있어서, 부호 78 은 다점 AF 계 (90a, 90b) 의 빔로 근방에 소정 온도로 온도 조정된 드라이 에어를, 도 3 중의 백색 화살표로 나타내는 바와 같이 예를 들어 다운 플로우로 송풍하는 국소 공조 시스템을 나타낸다. 또, 부호 UP 는, 웨이퍼 테이블 (WTB) 상의 웨이퍼의 언로딩가 실시되는 언로딩 포지션을 나타내고, 부호 LP 는 웨이퍼 테이블 (WTB) 상으로의 웨이퍼의 로딩이 실시되는 로딩 포지션을 나타낸다. 본 실시형태에서는, 언로딩 포지션 (UP) 과 로딩 포지션 (LP) 은, 직선 (LV) 에 관해 대칭으로 설정되어 있다. 또한, 언로딩 포지션 (UP) 과 로딩 포지션 (LP) 을 동일 위치로 해도 된다.
도 6 에는 노광 장치 (100) 의 제어계의 주요한 구성이 나타나 있다. 이 제어계는, 장치 전체를 통괄적으로 제어하는 마이크로 컴퓨터 (또는 워크 스테이션) 로 이루어지는 주제어 장치 (20) 를 중심으로 하여 구성되어 있다. 이 주제어 장치 (20) 에 접속된 외부 기억 장치인 메모리 (34) 에는, 후술하는 보정 정보가 기억되어 있다. 또한, 도 6 에 있어서는, 전술한 조도 불균일 센서 (94), 공간 이미지 계측기 (96) 및 파면 수차 계측기 (98) 등의 계측 스테이지 (MST) 에 형성된 각종 센서가, 통합하여 센서군 (99) 으로서 나타나 있다.
본 실시형태에서는, 주제어 장치 (20) 는 인코더 시스템 (70A ∼ 70F) (도 6 참조) 을 사용함으로써, 웨이퍼 스테이지 (WST) 의 유효 스트로크 영역, 즉 얼라인먼트 및 노광 동작을 위해 웨이퍼 스테이지 (WST) 가 이동하는 영역에 있어서, 그 3 자유도 (X, Y, θz) 방향의 위치 좌표를 계측할 수 있다.
여기서, 인코더 (70A ∼ 70F) 의 구성 등에 대해, 도 7(A) 에 확대하여 나타내는 Y 인코더 (70A) 를 대표적으로 들어 설명한다. 이 도 7(A) 에는, Y 스케일 (39Y1) 에 검출광 (계측빔) 을 조사하는 헤드 유닛 (62A) 의 1 개의 Y 헤드 (64) 가 나타나 있다.
Y 헤드 (64) 는 크게 나누면, 조사계 (64a), 광학계 (64b) 및 수광계 (64c) 의 3 부분으로 구성되어 있다.
조사계 (64a) 는, 레이저빔 (LB) 을 Y 축 및 Z 축에 대해 45˚ 를 이루는 방향으로 사출하는 광원, 예를 들어 반도체 레이저 (LD) 와, 그 반도체 레이저 (LD) 로부터 사출되는 레이저빔 (LB) 의 광로 상에 배치된 수속 렌즈 (L1) 를 포함한다.
광학계 (64b) 는, 그 분리면이 XZ 평면과 평행인 편광 빔 스플리터 (PBS), 한 쌍의 반사 미러 (R1a, R1b), 렌즈 (L2a, L2b), 4 분의 1 파장판 (이하, λ/4 판이라고 기술한다) (WP1a, WP1b) 및 반사 미러 (R2a, R2b) 등을 구비하고 있다.
수광계 (64c) 는, 편광자 (검광자) 및 광 검출기 등을 포함한다.
이 Y 인코더 (70A) 에 있어서, 반도체 레이저 (LD) 로부터 사출된 레이저빔 (LB) 은 렌즈 (L1) 를 통해 편광 빔 스플리터 (PBS) 에 입사되고, 편광 분리되어 2 개의 빔 (LB1, LB2) 이 된다. 편광 빔 스플리터 (PBS) 를 투과한 빔 (LB1) 은 반사 미러 (R1a) 를 통해 Y 스케일 (39Y1) 에 형성된 반사형 회절 격자 (RG) 에 도달하고, 편광 빔 스플리터 (PBS) 에서 반사된 빔 (LB2) 은 반사 미러 (R1b) 를 통해 반사형 회절 격자 (RG) 에 도달한다. 또한, 여기서「편광 분리」란, 입사빔을 P 편광 성분과 S 편광 성분으로 분리하는 것을 의미한다.
빔 (LB1, LB2) 의 조사에 의해 회절 격자 (RG) 로부터 발생하는 소정 차수의 회절빔, 예를 들어 1 차 회절빔은 각각 렌즈 (L2b, L2a) 를 통해 λ/4 판 (WP1b, WP1a) 에 의해 원편광으로 변환된 후, 반사 미러 (R2b, R2a) 에 의해 반사되어 다시 λ/4 판 (WP1b, WP1a) 을 통과하고, 왕로와 동일한 광로를 역방향으로 거슬러 가 편광 빔 스플리터 (PBS) 에 도달한다.
편광 빔 스플리터 (PBS) 에 도달한 2 개의 빔은, 각각 그 편광 방향이 본래의 방향에 대해 90 도 회전하고 있다. 이 때문에, 먼저 편광 빔 스플리터 (PBS) 를 투과한 빔 (LB1) 의 1 차 회절빔은, 편광 빔 스플리터 (PBS) 에서 반사되어 수광계 (64c) 에 입사됨과 함께, 먼저 편광 빔 스플리터 (PBS) 에서 반사된 빔 (LB2) 의 1 차 회절빔은, 편광 빔 스플리터 (PBS) 를 투과하여 상기 빔 (LB1) 의 1 차 회절빔과 동축으로 합성되어 수광계 (64c) 에 입사된다.
그리고, 상기 2 개의 1 차 회절빔은 수광계 (64c) 의 내부에서 검광자에 의해 편광 방향이 정렬되고, 서로 간섭하여 간섭광이 되고, 이 간섭광이 광 검출기에 의해 검출되어, 간섭광의 강도에 따른 전기 신호로 변환된다.
그리고, Y 스케일 (39Y1) (즉 웨이퍼 스테이지 (WST)) 이 계측 방향 (이 경우, Y 축 방향) 으로 이동하면, 2 개의 빔 각각의 위상이 변화하여 간섭광의 강도가 변화한다. 이 간섭광의 강도 변화가 수광계 (64c) 에 의해 검출되고, 그 강도 변화에 따른 위치 정보가 Y 인코더 (70A) 의 계측값으로서 출력된다. 그 밖의 인코더 (70B, 70C, 70D, 70E, 70F) 도 인코더 (70A) 와 동일하게 하여 구성되어 있다.
상기 설명으로부터 알 수 있는 바와 같이, 인코더 (70A ∼ 70F) 에서는, 간섭시키는 2 개의 광속의 광로 길이가 극히 짧고 또한 거의 동등하기 때문에, 공기 요동의 영향을 거의 무시할 수 있다. 또한, 각 인코더로는, 분해능이 예를 들어 0.1㎚ 정도인 것이 사용되고 있다.
또한, 본 실시형태의 인코더에서는 도 7(B) 에 나타내는 바와 같이, 검출광으로서 격자 (RG) 의 주기 방향으로 길게 연장되는 단면 형상의 레이저빔 (LB) 을 사용해도 된다. 도 7(B) 에서는, 격자 (RG) 와 비교하여 빔 (LB) 이 과장되어 크게 도시되어 있다.
또한, 다른 형태로서, 인코더 헤드에는 광학계 (64b) 만이 포함되고, 조사계 (64a) 와 수광계 (64c) 가 광학계 (64b) 로부터 물리적으로 분리되어 있는 타입도 있다. 이 타입의 경우, 이들 3 부분 사이는 광 화이버를 통해 광학적으로 접속된다.
다음으로, 인코더의 계측 원리를, 도 7(A) 에 나타내는 Y 인코더 (70A) 를 예로 하여 상세하게 설명한다. 먼저, 2 개의 복귀 광속 (LB1, LB2) 으로부터 합성되는 간섭광의 강도와, Y 스케일 (39Y2) 의 변위 (Y 헤드 (64) 와의 상대 변위) 의 관계를 도출한다.
2 개의 광속 (빔) (LB1, LB2) 은, 이동하는 반사형 회절 격자 (RG) 에 산란되면, 도플러 효과에 의한 주파수의 시프트, 즉 도플러 시프트를 수용한다. 도 8(A) 에 이동하는 반사면 (DS) 에 의한 광의 산란을 나타낸다. 단, 도면 중의 벡터 (k0, k1) 는 YZ 면에 대해 평행, 반사면 (DS) 은 Y 축에 대해 평행으로 Z 축에 대해 수직으로 한다.
반사면 (DS) 은 속도 벡터 v = vy + vz, 즉 +Y 방향으로 속도 Vy (= |vy|) 또한 +Z 방향으로 속도 Vz (=|vz|) 로 이동하고 있는 것으로 한다. 이 반사면에 대해, 파수 벡터 (k0) 의 광이 각도 θ0 로 입사되고, 파수 벡터 (k1) 의 광이 각도 θ1 로 산란된다. 단, |k0| = |k1| = K 로 한다. 입사광 (k0) 이 받는 도플러 시프트 (산란광 (k1) 과 입사광 (K0) 의 주파수의 차이) (fD) 는, 다음 식 (7) 로 부여된다.
2πfD = (k1 - k0)·v
= 2KVycos[(θ1 - θ0)/2]cosθ
+ 2KVzcos[(θ1 - θ0)/2]sinθ …(7)
여기서, θ = π/2 - (θ1 + θ0)/2 이므로, 상기 식을 변형하여 다음 식 (8) 을 얻는다.
2πfD = KVy(sinθ1 + sinθ0) + KVz(cosθ1 + cosθ0) …(8)
반사면 (DS) 은, 시간 Δt 동안에, 변위 벡터 (vΔt), 즉 +Y 방향으로 거리 ΔY = VyΔt, +Z 방향으로 거리 ΔZ = VzΔt 변위한다. 그에 수반하여 산란광 (k1) 의 위상은 Ф = 2πfDΔt 시프트한다. 식 (8) 을 대입하면, 위상 시프트 (Ф) 는 다음 식 (9) 으로부터 구해진다.
Ф = KΔY(sinθ1 + sinθ0) + KΔZ(cosθ1 + cosθ0) …(9)
여기서, 입사각 (θ0) 과 산란각 (θ1) 에는 다음 식의 관계 (회절 조건) 가 성립된다.
sinθ1 + sinθ0 = nλ/p …(10)
단, λ 은 광의 파장, p 는 회절 격자의 피치, n 은 회절 차수이다. 또한, 회절 차수 (n) 는 산란각 (회절각) - θ0 의 0 차 회절광을 기준으로 하여, +Y 방향으로 산란 (발생) 되는 회절광에 대해 정 (正), -Y 방향으로 발생되는 회절광에 대해 부 (負) 가 된다. 식 (9) 에 식 (10) 을 대입하면, 위상 시프트 (Ф) 는 다음 식 (11) 과 같이 고쳐 쓸 수 있다.
Ф = 2πnΔY/p + KΔZ(cosθ1 + cosθ0) …(11)
상기 식 (11) 로부터 분명한 바와 같이, 반사면 (DS) 이 정지되어 있으면, 즉 ΔY = ΔZ = 0 이라면, 위상 시프트 (Ф) 도 0 이 된다.
식 (11) 을 사용하여, 2 개의 광속 (LB1, LB2) 의 위상 시프트를 구한다. 먼저, 광속 (LB1) 의 위상 시프트를 생각한다. 도 8(B) 에 있어서, 반사경 (R1a) 에서 반사된 광속 (LB1) 은, 반사형 회절 격자 (RG) 에 각도 θa0 으로 입사되고, na 차 회절광이 각도 θa1 로 발생하는 것으로 한다. 이 때, 회절광이 받는 위상 시프트는 식 (11) 의 우변과 동일한 형태가 된다. 그리고, 반사경 (R2a) 에 의해 반사되어 복로를 거슬러 가는 복귀 광속은, 반사형 회절 격자 (RG) 에 각도 θa1 로 입사된다. 그리고 다시 회절광이 발생한다. 여기서, 각도 θa0 으로 발생하고, 본래의 광로를 거슬러 가 반사경 (R1a) 을 향하는 회절광은, 왕로에 있어서 발생한 회절광과 동일 차수의 na 차 회절광이다. 따라서, 광속 (LB1) 이 복로에서 받는 위상 시프트는, 왕로에서 받는 위상 시프트와 동등하다. 따라서, 광속 (LB1) 이 받는 전체 위상 시프트는, 다음 식 (12) 와 같이 구해진다.
Ф1 = 4πnaΔY/p + 2KΔZ(cosθa1 + cosθa0) …(12)
단, 회절 조건을 다음 식 (13) 으로 부여하였다.
sinθa1 + sinθa0 = naλ/p …(13)
한편, 광속 (LB2) 은 각도 θb0 으로 반사형 회절 격자 (RG) 에 입사되고, nb 차 회절광이 각도 θb1 로 발생된다. 이 회절광이, 반사경 (R2b) 에 의해 반사되고, 동일한 광로를 거슬러 가 반사경 (R1b) 으로 되돌아가는 것으로 한다. 광속 (LB2) 이 받는 전체 위상 시프트는 식 (12) 와 동일하게, 다음 식 (14) 와 같이 구해진다.
Ф2 = 4πnbΔY/p + 2KΔZ(cosθb1 + cosθb0) …(14)
단, 회절 조건을 다음 식 (15) 로 부여한다.
sinθb1 + sinθb0 = nbλ/p …(15)
2 개의 복귀 광속 (LB1, LB2) 으로부터 합성되는 간섭광의 강도 (I) 는, 광 검출기의 수광 위치에 있어서의 2 개의 복귀 광속 (LB1, LB2) 간의 위상의 차이 (Ф) 에, I∝1 + cosФ 로 의존한다. 단, 2 개의 광속 (LB1, LB2) 의 강도는 서로 동등한 것으로 하였다. 여기서, 위상차 (Ф) 는, 2 개의 광속 (LB1, LB2) 의 각각의 반사형 회절 격자 (RG) 의 Y, Z 변위에서 기인하는 위상 시프트의 차이 (즉 Ф2 - Ф1) 와, 2 개의 광속 (LB1, LB2) 의 광로차 (ΔL) 에서 기인하는 위상차 (KΔL) 의 합으로서, 식 (12) 와 식 (14) 를 사용하여 다음 식 (16) 과 같이 구해진다.
Ф = KΔL + 4π(nb - na)ΔY/p
+ 2KΔZf(θa0, θa1, θb0, θb1) + Ф0 …(16)
여기서, 반사경 (R1a, R1b, R2a, R2b) 의 배치와 회절 조건 (13), (15) 에서 정해지는 기하학적 인자를, 다음 식 (17) 과 같이 표기하였다.
f(θa0, θa1, θb0, θb1)
= cosθb1 + cosθb0 - cosθa1 - cosθa0 …(17)
또, 상기 식 (16) 에 있어서, 그 밖의 요인 (예를 들어 변위 (ΔL, ΔY, ΔZ) 의 기준 위치의 정의 등) 으로부터 정해지는 정위상 항을 Ф0 로 표기하였다.
여기서, 인코더는 광로차 ΔL = 0 및 다음 식 (18) 로 나타내는 대칭성을 만족하도록 구성되어 있는 것으로 한다.
θa0 = θb0, θa1 = θb1 …(18)
그 경우, 식 (16) 의 우변 제 3 항의 괄호 안은 0 이 되고, 동시에 nb = -na(= n) 을 만족하므로, 다음 식 (19) 가 얻어진다.
Фsym(ΔY) = 2πΔY/(p/4n) + Ф0 …(19)
상기 식 (19) 로부터, 위상차 (Фsym) 는 광의 파장 (λ) 에 의존하지 않는 것을 알 수 있다. 그리고, 간섭광의 강도 (I) 는, 변위 (ΔY) 가 계측 단위 (계측 피치라고도 부른다) p/4n 증가 혹은 감소할 때마다 강약을 반복하는 것을 알 수 있다. 그래서, 미리 정해진 기준 위치로부터의 변위 (ΔY) 에 수반되는 간섭광의 강도의 강약 횟수를 계측한다. 그리고, 그 계수값 (카운트값) (cΔY) 을 사용함으로써, 변위 (ΔY) 의 계측값 (CΔY) 이 다음 식 (20) 으로부터 산출된다.
CΔY = (p/4n) × cΔY …(20)
또한, 내삽기 (인터포레이터) 를 사용하여 간섭광의 정현적인 강도 변화를 분할함으로써, 그 위상 (Ф') (= Фsym%2π) 을 계측할 수 있다. 그 경우, 변위 (ΔY) 의 계측값 (CΔY) 은, 다음 식 (21) 에 의해 산출된다.
CΔY = (p/4n) × [cΔY + (Ф' - Ф0)/2π] …(21)
상기 식 (21) 에 있어서, 정위상 항 (Ф0) 을 위상 오프셋 (단, 0 ≤ Ф0 < 2π 로 정의한다) 으로 하고, 변위 (ΔY) 의 기준 위치에서의 위상 (Фsym) (ΔY = 0) 을 유지하는 것으로 한다.
이상의 설명으로부터 알 수 있는 바와 같이, 내삽기를 병용함으로써, 변위 (ΔY) 를 계측 단위 (p/4n) 이하의 계측 분해능으로 계측할 수 있다. 여기서, 계측 분해능은, 위상 (Ф') 의 분할 단위로부터 정해지는 이산화 오차 (양자화 오차라고도 부른다), 변위 (ΔY) 에 의한 간섭광의 강도 변화 (I) (ΔY) = I(Фsym(ΔY)) 의 이상적인 정현파형으로부터의 편차에서 기인하는 내삽 오차 등으로부터 정해진다. 또한, 변위 (ΔY) 의 이산화 단위는, 예를 들어 계측 단위 (p/4n) 의 수 1000 분의 1 로서, 약 0.1㎚ 로 충분히 작기 때문에, 특별히 언급하지 않는 한, 인코더의 계측값 (CΔY) 을 연속량으로 간주한다.
한편, 웨이퍼 스테이지 (WST) 가 Y 축 방향과는 상이한 방향으로 이동하고, 헤드 (64) 와 Y 스케일 (39Y1) 사이에 계측하고자 하는 방향 이외의 상대 운동 (비계측 방향의 상대 운동) 이 발생하면, 대부분의 경우, 그에 따라 Y 인코더 (70A) 에 계측 오차가 발생한다. 이하, 상기 서술한 인코더의 계측 원리에 기초하여, 계측 오차의 발생 메커니즘을 생각해 본다.
여기서, 간단한 예로서, 도 9(A) 및 도 9(B) 에 나타나는 2 개의 케이스에 있어서, 상기 식 (16) 으로 나타내는 위상차 (Ф) 의 변화를 생각해 본다. 먼저, 도 9(A) 의 케이스에서는, 헤드 (64) 의 광축이 Z 축 방향과 일치하고 있다 (헤드 (64) 가 기울지 않았다). 여기서, 웨이퍼 스테이지 (WST) 가 Z 축 방향으로 변위한 것으로 한다 (ΔZ ≠ 0, ΔY = 0). 이 경우, 광로차 (ΔL) 에 변화는 없기 때문에, 식 (16) 우변 제 1 항에 변화는 없다. 제 2 항은, 가정 ΔY = 0 으로부터 0 이 된다. 그리고, 제 3 항은 식 (18) 의 대칭성을 만족하고 있으므로 0 이 된다. 따라서, 위상차 (Ф) 에 변화는 발생하지 않고, 또 간섭광의 강도 변화도 발생하지 않는다. 결과적으로, 인코더의 계측값도 변화하지 않는다.
한편, 도 9(B) 의 케이스에서는, 헤드 (64) 의 광축이 Z 축에 대해 기울어져 있다 (헤드 (64) 가 기울어져 있다). 이 상태로부터, 웨이퍼 스테이지 (WST) 가 Z 축 방향으로 변위한 것으로 한다 (ΔZ ≠ 0, ΔY = 0). 이 경우도, 광로차 (ΔL) 에 변화는 발생하지 않기 때문에, 식 (16) 우변 제 1 항에 변화는 없다. 그리고 제 2 항은, 가정 ΔY = 0 으로부터 0 이 된다. 그러나, 헤드가 기울어져 있음으로써 식 (18) 의 대칭성이 깨지므로, 제 3 항은 0 이 되지 않고, Z 변위 (ΔZ) 에 비례하여 변화한다. 따라서, 위상차 (Ф) 에 변화가 발생하고, 결과적으로 계측값이 변화한다. 또한, 헤드 (64) 에 전도 (falling) 가 발생하지 않아도, 예를 들어 헤드의 광학 특성 (텔레센트리시티 등) 등에 따라서는, 식 (18) 의 대칭성이 무너져 동일하게 카운트값이 변화한다. 즉, 인코더 시스템의 계측 오차의 발생 요인이 되는 헤드 유닛의 특성 정보는 헤드의 전도뿐만이 아니라 그 광학 특성 등도 포함한다.
또, 도시는 생략하지만, 계측 방향 (Y 축 방향) 과 광축 방향 (Z 축 방향) 에 수직인 방향으로 웨이퍼 스테이지 (WST) 가 변위하는 경우 (ΔX ≠ 0, ΔY = 0, ΔZ = 0), 회절 격자 (RG) 의 격자선이 향하는 방향 (길이 방향) 이 계측 방향과 직교하고 있는 한 계측값은 변화하지 않지만, 직교하고 있지 않으면 각도에 비례한 게인에 의해 감도 (感度) 가 발생한다.
다음으로, 도 10(A) ∼ 도 10(D) 를 사용하여, 웨이퍼 스테이지 (WST) 가 회전 (경사가 변화) 하는 케이스를 생각해 본다. 먼저, 도 10(A) 의 경우, 헤드 (64) 의 광축이 Z 축 방향과 일치하고 있다 (헤드 (64) 가 기울지 않았다). 이 상태로부터, 웨이퍼 스테이지 (WST) 가 +Z 방향으로 변위하여 도 10(B) 의 상태가 되어도, 앞의 도 9(A) 와 동일한 케이스이므로, 인코더의 계측값은 변화하지 않는다.
다음으로, 도 10(B) 의 상태로부터, 웨이퍼 스테이지 (WST) 가 X 축 둘레로 회전하여 도 10(C) 에 나타내는 상태가 된다고 한다. 이 경우, 헤드와 스케일이 상대 운동하고 있지 않고, 즉 ΔY = ΔZ = 0 임에도 불구하고, 웨이퍼 스테이지 (WST) 의 회전에 의해 광로차 (ΔL) 에 변화가 발생하기 때문에, 인코더의 계측값이 변화한다. 즉, 웨이퍼 스테이지 (WST) 의 경사 (틸트) 에서 기인하여 인코더 시스템에 계측 오차가 발생한다.
다음으로, 도 10(C) 의 상태로부터, 웨이퍼 스테이지 (WST) 가 하방으로 이동하여 도 10(D) 의 상태가 되는 것으로 한다. 이 경우, 웨이퍼 스테이지 (WST) 는 회전하지 않기 때문에, 광로차 (ΔL) 에 변화는 발생하지 않는다. 그러나, 식 (18) 의 대칭성이 깨져 있기 때문에, 식 (16) 의 우변 제 3 항을 통해 Z 변위 (ΔZ) 에 의해 위상차 (Ф) 가 변화한다. 그로써, 인코더의 계측값이 변화한다. 또한, 도 10(D) 의 경우의 인코더의 카운트값은, 도 10(A) 와 동일한 카운트값이 된다.
발명자들이 실시한 시뮬레이션의 결과, 인코더의 계측값은 계측 방향인 Y 축 방향의 스케일의 변위뿐만 아니라, θx 방향 (피칭 방향), θz 방향 (요잉 방향) 의 자세 변화에 대해 감도를 가지는 데다, 전술한 대칭성이 무너져 있는 경우 등에서는, Z 축 방향의 위치 변화에도 의존하는 것이 판명되었다. 즉, 상기 서술한 이론적인 설명과 시뮬레이션의 결과가 일치하였다.
그래서, 본 실시형태에서는, 상기 서술한 비계측 방향에 대한 헤드와 스케일의 상대 운동에서 기인하는 각 인코더의 계측 오차를 보정하는 보정 정보를 다음과 같이 하여 취득하고 있다.
a. 먼저, 주제어 장치 (20) 는 간섭계 시스템 (118) 의 Y 간섭계 (16), X 간섭계 (126) 및 Z 간섭계 (43A, 43B) 의 계측값을 모니터하면서, 스테이지 구동계 (124) 를 통해 웨이퍼 스테이지 (WST) 를 구동시키고, 도 11(A) 및 도 11(B) 에 나타내는 바와 같이, 헤드 유닛 (62A) 의 가장 -X 측의 Y 헤드 (64) 를, 웨이퍼 테이블 (WTB) 상면의 Y 스케일 (39Y1) 의 임의의 영역 (도 11(A) 중에 원으로 둘러싸 나타내는 영역) (AR) 에 대향시킨다.
b. 그리고, 주제어 장치 (20) 는 Y 간섭계 (16) 및 Z 간섭계 (43A, 43B) 의 계측값에 기초하여, 웨이퍼 테이블 (WTB) (웨이퍼 스테이지 (WST)) 의 롤링량 (θy) 및 요잉량 (θz) 을 함께 제로, 또한 피칭량 (θx) 이 원하는 값 (α0) (여기서는, α0 = 200μrad 인 것으로 한다) 이 되도록, 웨이퍼 테이블 (WTB) (웨이퍼 스테이지 (WST)) 을 구동시키고, 그 구동 후에 상기 헤드 (64) 로부터 Y 스케일 (39Y1) 의 영역 (AR) 에 검출광을 조사하고, 그 반사광을 수광한 헤드 (64) 로부터의 광전 변환 신호에 따른 계측값을 내부 메모리에 기억한다.
c. 다음으로, 주제어 장치 (20) 는, Y 간섭계 (16) 및 Z 간섭계 (43A, 43B) 의 계측값에 기초하여 웨이퍼 테이블 (WTB) (웨이퍼 스테이지 (WST)) 의 자세 (피칭량 θx = α0, 요잉량 θz = 0, 롤링량 θy = 0) 를 유지하면서, 도 11(B) 중의 화살표로 나타내는 바와 같이, 웨이퍼 테이블 (WTB) (웨이퍼 스테이지 (WST)) 을 소정 범위 내, 예를 들어 -100㎛ ∼ +100㎛ 의 범위 내에서 Z 축 방향으로 구동시키고, 그 구동 중에 상기 헤드 (64) 로부터 Y 스케일 (39Y1) 의 영역 (AR) 에 검출광을 조사하면서, 소정의 샘플링 간격으로, 그 반사광을 수광한 헤드 (64) 로부터의 광전 변환 신호에 따른 계측값을 순차 취입하고, 내부 메모리에 기억한다.
d. 이어서, 주제어 장치 (20) 는, Y 간섭계 (16) 의 계측값에 기초하여 웨이퍼 테이블 (WTB) (웨이퍼 스테이지 (WST)) 의 피칭량 (θx) 을 (α = α0 - Δα) 로 변경한다.
e. 이어서, 그 변경 후의 자세에 대해, 상기 c. 와 동일한 동작을 반복한다.
f. 그 후, 상기 d. 와 e. 의 동작을 교대로 반복하여, 피칭량 (θx) 이 예를 들어 -200μrad < θx < +200μrad 인 범위에 대해, Δα (rad), 예를 들어 40μrad 간격으로 상기 Z 구동 범위 내의 헤드 (64) 의 계측값을 취입한다.
g. 다음으로, 상기 b. ∼ e. 의 처리에 의해 얻어진 내부 메모리 내의 각 데이터를, 가로축을 Z 위치, 세로축을 인코더 카운트값으로 하는 2 차원 좌표계 상으로 플롯하고, 피칭량이 동일할 때의 플롯점을 순차 연결하여, 피칭량이 제로인 라인 (중앙의 가로 라인) 이 원점을 통과하도록, 세로축 방향에 관해 가로축을 시프트함으로써, 도 12 에 나타내는 바와 같은, 그래프 (웨이퍼 스테이지의 Z 레벨링에 따른 인코더 (헤드) 의 계측값의 변화 특성을 나타내는 그래프) 가 얻어진다.
이 도 12 의 그래프 상의 각 점의 세로축의 값은, 피칭량 θx = α 에 있어서의, 각 Z 위치에 있어서의 인코더의 계측 오차이다. 그래서, 주제어 장치 (20) 에서는, 이 도 12 의 그래프 상의 각 점의 피칭량 (θx), Z 위치, 인코더 계측 오차를 테이블 데이터로 하고, 그 테이블 데이터를 스테이지 위치 기인 오차 보정 정보로서 메모리 (34) (도 6 참조) 에 기억한다. 혹은, 주제어 장치 (20) 는, 계측 오차를 Z 위치 (z), 피칭량 (θx) 의 함수로 하고, 예를 들어 최소 제곱법에 의해 미정 계수를 산출함으로써 그 함수를 구하고, 그 함수를 스테이지 위치 기인 오차 보정 정보로서 메모리 (34) 에 기억한다.
h. 다음으로, 주제어 장치 (20) 는, 간섭계 시스템 (118) 의 X 간섭계 (126) 의 계측값을 모니터하면서, 스테이지 구동계 (124) 를 통해 웨이퍼 스테이지 (WST) 를 -X 방향으로 소정량 구동시키고, 도 13 에 나타내는 바와 같이, 헤드 유닛 (62A) 의 -X 측의 단부로부터 2 번째 Y 헤드 (64) (위에서 데이터의 취득이 종료된 Y 헤드 (64) 옆의 Y 헤드) 를, 웨이퍼 테이블 (WTB) 상면의 Y 스케일 (39Y1) 의 전술한 영역 (AR) (도 13 중에 원으로 둘러싸 나타내는 영역) 에 대향시킨다.
i. 그리고, 주제어 장치 (20) 는, 그 Y 헤드 (64) 에 대해 상기 서술과 동일한 처리를 실시하고, 그 헤드 (64) 와 Y 스케일 (39Y1) 에 의해 구성되는 Y 인코더 (70A) 의 보정 정보를 메모리 (34) 에 기억한다.
j. 이후 동일하게 하여, 헤드 유닛 (62A) 의 나머지 각 Y 헤드 (64) 와 Y 스케일 (39Y1) 에 의해 구성되는 Y 인코더 (70A) 의 보정 정보, 헤드 유닛 (62B) 의 각 X 헤드 (66) 와 X 스케일 (39X1) 에 의해 구성되는 X 인코더 (70B) 의 보정 정보, 헤드 유닛 (62C) 의 각 X 헤드 (64) 와 Y 스케일 (39Y2) 에 의해 구성되는 Y 인코더 (70C) 의 보정 정보 및 헤드 유닛 (62D) 의 각 X 헤드 (66) 와 X 스케일 (39X2) 에 의해 구성되는 X 인코더 (70D) 의 보정 정보를 각각 구하고, 메모리 (34) 에 기억한다.
여기서, 헤드 유닛 (62B) 의 각 X 헤드 (66) 를 사용한 상기 서술한 계측시에는, 전술과 같이 X 스케일 (39X1) 상의 동일한 영역을 사용하고, 헤드 유닛 (62C) 의 각 Y 헤드 (64) 를 사용한 상기 서술한 계측시에는, Y 스케일 (39Y2) 상의 동일한 영역을 사용하고, 헤드 유닛 (62D) 의 각 Y 헤드 (66) 를 사용한 상기 서술한 계측시에는, X 스케일 (39X2) 상의 동일한 영역을 사용하는 것이 중요하다. 그 이유는, 간섭계 시스템 (118) 의 각 간섭계의 보정 (반사면 (17a, 17b) 및 반사면 (41a, 41b, 41c) 의 휨 보정을 포함한다) 이 종료되어 있으면, 그들 간섭계의 계측값에 기초하여 웨이퍼 스테이지 (WST) 의 자세를 원하는 자세로 언제라도 설정할 수 있고, 각 스케일의 동일 부위를 사용함으로써, 스케일면이 경사져 있어도 그 영향을 받아 각 헤드간에서 계측 오차가 발생하는 경우가 없기 때문이다.
또, 주제어 장치 (20) 는, Y 헤드 (64y1, 64y2) 에 대해서는 상기 서술한 헤드 유닛 (62C, 64A) 의 각 Y 헤드 (64) 와 동일한 Y 스케일 (39Y2, 39Y1) 상의 동일한 영역을 각각 사용하여 상기 서술한 계측을 실시하고, Y 스케일 (39Y2) 에 대향하는 Y 헤드 (64y1) 에 의해 구성되는 인코더 (70C) 의 보정 정보, 및 Y 스케일 (39Y1) 에 대향하는 Y 헤드 (64y2) 에 의해 구성되는 인코더 (70A) 의 보정 정보를 구하고, 메모리 (34) 에 기억한다.
다음으로, 주제어 장치 (20) 는 상기 서술한 피칭량을 변화시킨 경우와 동일한 순서로, 웨이퍼 스테이지 (WST) 의 피칭량 및 롤링량을 함께 제로로 유지한 채로, 웨이퍼 스테이지 (WST) 의 요잉량 (θz) 을 -200μrad < θz < +200μrad 의 범위에 대해 순차 변화시키고, 각 위치에서 웨이퍼 테이블 (WTB) (웨이퍼 스테이지 (WST)) 을 소정 범위 내, 예를 들어 -100㎛ ∼ +100㎛ 의 범위 내에서 Z 축 방향으로 구동시키고, 그 구동 중에 소정의 샘플링 간격으로 헤드의 계측값을 순차 취입하여, 내부 메모리에 기억한다. 이와 같은 계측을 모든 헤드 (64 또는 66) 에 대해 실시하고, 전술과 동일한 순서로 내부 메모리 내의 각 데이터를, 가로축을 Z 위치, 세로축을 인코더 카운트값으로 하는 2 차원 좌표 상에 플롯하고, 요잉량이 동일할 때의 플롯점을 순차 연결하여, 요잉량이 제로인 라인 (중앙의 가로 라인) 이 원점을 통과하도록 가로축을 시프트함으로써, 도 12 와 동일한 그래프를 얻는다. 그리고, 주제어 장치 (20) 는 얻어진 그래프 상의 각 점의 요잉량 (θz), Z 위치 (z), 계측 오차를 테이블 데이터로 하고, 그 테이블 데이터를 보정 정보로서 메모리 (34) 에 기억한다. 혹은, 주제어 장치 (20) 는 계측 오차를, Z 위치 (z), 요잉량 (θz) 의 함수로 하고, 예를 들어 최소 제곱법에 의해 미정 계수를 산출함으로써 그 함수를 구하고, 그 함수를 보정 정보로서 메모리 (34) 에 기억한다.
여기서, 웨이퍼 스테이지 (WST) 의 피칭량이 제로가 아니고, 또한 요잉량이 제로가 아닌 경우에 있어서의, 웨이퍼 스테이지 (WST) 가 Z 위치 (z) 일 때의 각 인코더의 계측 오차는, 그 Z 위치 (z) 일 때의 상기 피칭량에 따른 계측 오차와, 요잉량에 따른 계측 오차의 단순한 합 (선형 합) 이라고 생각해도 지장없다. 그 이유는, 시뮬레이션의 결과, 요잉을 변화시키는 경우에도 Z 위치의 변화에 따라 계측 오차 (카운트값) 가 선형으로 변화하는 것이 확인되고 있기 때문이다.
이하에서는, 설명의 간략화를 위해, 각 Y 인코더의 Y 헤드에 대해 다음 식 (22) 로 나타내는 바와 같은, 계측 오차 (Δy) 를 나타내는 웨이퍼 스테이지 (WST) 의 피칭량 (θx), 요잉량 (θz), Z 위치 (z) 의 함수가 구해져, 메모리 (34) 내에 기억되어 있는 것으로 한다. 또, 각 X 인코더의 X 헤드에 대해, 다음 식 (23) 으로 나타내는 바와 같은, 계측 오차 (Δx) 를 나타내는 웨이퍼 스테이지 (WST) 의 롤링량 (θy), 요잉량 (θz), Z 위치 (z) 의 함수가 구해져, 메모리 (34) 내에 기억되어 있는 것으로 한다.
Δy = f(z, θx, θz) = θx(z - a) + θz(z - b) ……(22)
Δx = g(z, θy, θz) = θy(z - c) + θz(z - d) ……(23)
상기 식 (22) 에 있어서, a 는 도 12 의 그래프의 각 직선이 교차하는 점의 Z 좌표이고, b 는 Y 인코더의 보정 정보의 취득을 위해 요잉량을 변화시킨 경우의 도 12 와 동일한 그래프의 각 직선이 교차하는 점의 Z 좌표이다. 또, 상기 식 (23) 에 있어서, c 는 X 인코더의 보정 정보의 취득을 위해 롤링량을 변화시킨 경우의 도 12 와 동일한 그래프의 각 직선이 교차하는 점의 Z 좌표이고, d 는 X 인코더의 보정 정보의 취득을 위해 요잉량을 변화시킨 경우의 도 12 와 동일한 그래프의 각 직선이 교차하는 점의 Z 좌표이다.
또한, 상기 Δy 나 Δx 는, Y 인코더 또는 X 인코더의 비계측 방향 (예를 들어 θx 방향 또는 θy 방향, θz 방향 및 Z 축 방향) 에 관한 웨이퍼 스테이지 (WST) 의 위치가 Y 인코더 또는 X 인코더의 계측값에 영향을 미치는 정도를 나타내는 것이기 때문에, 본 명세서에서는 스테이지 위치 기인 오차라고 부르고, 이 스테이지 위치 기인 오차를 그대로 보정 정보로서 사용할 수 있으므로, 이 보정 정보를 스테이지 위치 기인 오차 보정 정보로 부르는 것으로 하고 있다.
다음으로, 후술하는 인코더의 계측값을 웨이퍼 스테이지 (WST) 의 XY 평면 내의 위치 정보로 변환하는 처리, 및 복수의 인코더 사이에서의 연결 처리 등의 전제가 되는, 각 헤드의 XY 평면 내의 위치 좌표, 특히 비계측 방향의 위치 좌표를 취득하는 헤드 위치의 캘리브레이션 처리에 대해 설명한다. 여기서는, 일례로서 헤드 유닛 (62A, 62C) 을 각각 구성하는 Y 헤드 (64) 의 계측 방향에 직교하는 비계측 방향 (X 축 방향) 에 관한 위치 좌표의 캘리브레이션 처리에 대해 설명한다.
먼저, 이 캘리브레이션 처리의 개시에 있어서, 주제어 장치 (20) 는 웨이퍼 스테이지 (WST) 를 구동시켜, Y 스케일 (39Y1, 39Y2) 을 각각 헤드 유닛 (62A, 62C) 의 하방에 위치시킨다. 예를 들어 도 14 에 나타내는 바와 같이, 헤드 유닛 (62A) 의 좌측으로부터 3 번째 Y 헤드 (64A3), 헤드 유닛 (62C) 의 우측으로부터 2 번째 Y 헤드 (64C5) 를 Y 스케일 (39Y1, 39Y2) 에 각각 대향시킨다.
다음으로, 주제어 장치 (20) 는, Y 간섭계 (16) 의 측장빔 (B41, B42) 각각의 계측값 또는 Z 간섭계 (43A, 43B) 의 계측값에 기초하여, 웨이퍼 스테이지 (WST) 를 도 14 중에 화살표 RV 로 나타내는 바와 같이, 소정 각도 (θ 로 한다) 만큼 투영 광학계 (PL) 의 광축 (AX) 을 중심으로 하여 XY 평면 내에서 회전시키고, 이 회전 중에 얻어지는 Y 헤드 (64A3, 64C5) 와 대향하는 Y 스케일 (39Y1, 39Y2) 에 의해 각각 구성되는 인코더 (70A, 70C) 의 계측값을 취득한다. 도 14 중에는, 이 웨이퍼 스테이지 (WST) 의 회전 중에, Y 헤드 (64A3, 64C5) 에서 계측되는 계측값에 대응하는 벡터 (MA, MB) 가 각각 나타나 있다.
이 경우, θ 는 미소각이기 때문에 MA = b·θ 및 MB = a·θ 이 성립하고, 벡터 (MA, MB) 의 크기의 비 MA/MB 는 회전 중심부터 Y 헤드 (64A3, 64C5) 까지의 거리 (a, b) 의 비 a/b 와 동등하다.
그래서, 주제어 장치 (20) 는 상기 인코더 (70A, 70C) 의 계측값과, Y 간섭계 (16) 의 간섭계 빔 (B41, B42) 각각의 계측값으로부터 얻어지는 상기 소정 각도 (θ) 에 기초하여, 거리 (b, a), 즉, Y 헤드 (64A3, 64C5) 의 X 좌표값을 산출하거나, 혹은 그 산출된 X 좌표값에 기초하여 추가로 계산을 실시하고, Y 헤드 (64A3, 64C5) 의 설계상 위치에 대한 X 축 방향에 관한 위치 편차량 (즉, 그 위치 편차량의 보정 정보) 을 산출한다.
또, 도 14 에 나타내는 위치에 웨이퍼 스테이지 (WST) 가 있는 경우에는, 실제로는 X 스케일 (39X1, 39X2) 에 헤드 유닛 (62B, 62D) 이 각각 대향한다. 따라서, 주제어 장치 (20) 는 상기 웨이퍼 스테이지 (WST) 의 회전시에 X 스케일 (39X1, 39X2) 과, X 스케일 (39X1, 39X2) 에 각각 대향하는 헤드 유닛 (62B, 62D) 의 각 1 개의 X 헤드 (66) 에 의해 구성되는 인코더 (70B, 70D) 의 계측값을 동시에 취득하고 있다. 그리고, 상기와 동일하게 하여, X 스케일 (39X1, 39X2) 에 각각 대향하는 각 1 개의 X 헤드 (66) 의 Y 좌표값을 산출하거나, 혹은 그 산출 결과에 기초하여 추가로 계산을 실시하고, 그들 X 헤드의 설계상 위치에 대한 Y 축 방향에 관한 위치 편차량 (즉, 그 위치 편차량의 보정 정보) 을 산출한다.
다음으로, 주제어 장치 (20) 는 웨이퍼 스테이지 (WST) 를 X 축 방향으로 소정 피치로 이동시키고, 각 위치 결정 위치에서 상기 서술과 동일한 순서의 처리를 실시함으로써, 헤드 유닛 (62A, 62C) 의 나머지의 Y 헤드에 대해서도, X 좌표값, 혹은 설계상 위치에 대한 X 축 방향에 관한 위치 편차량 (즉, 그 위치 편차량의 보정 정보) 을 구할 수 있다.
또, 주제어 장치 (20) 는 도 14 의 위치로부터 Y 축 방향으로 소정 피치로 이동하고, 각 위치 결정 위치에서 상기 서술과 동일한 순서의 처리를 실시함으로써, 헤드 유닛 (62B, 62D) 의 나머지의 X 헤드에 대해서도, Y 좌표값, 혹은 설계상 위치에 대한 Y 축 방향에 관한 위치 편차량 (즉, 그 위치 편차량의 보정 정보) 을 구할 수 있다.
또, 주제어 장치 (20) 는 Y 헤드 (64y1, 64y2) 에 대해서도, 상기 서술한 Y 헤드 (64) 와 동일한 수법으로 X 좌표값 혹은 설계상 위치에 대한 X 축 방향에 관한 위치 편차량 (즉, 그 위치 편차량의 보정 정보) 을 취득한다.
이와 같이 하여, 주제어 장치 (20) 는 모든 Y 헤드 (64, 64y1, 64y2) 에 대한 X 좌표값 혹은 설계상 위치에 대한 X 축 방향에 관한 위치 편차량 (즉, 그 위치 편차량의 보정 정보) 및 모든 X 헤드 (66) 에 대한 Y 좌표값 혹은 설계상 위치에 대한 Y 축 방향에 관한 위치 편차량 (즉, 그 위치 편차량의 보정 정보) 을 취득할 수 있으므로, 그들 취득한 정보를 기억 장치, 예를 들어 메모리 (34) 에 기억한다. 이 메모리 (34) 내에 기억된 각 헤드의 X 좌표값 또는 Y 좌표값, 혹은 설계상 위치에 대한 X 축 방향 또는 Y 축 방향에 관한 위치 편차량이, 후술하는 인코더의 계측값을 웨이퍼 스테이지 (WST) 의 XY 평면 내의 위치 정보로 변환할 때 등에 사용되게 된다. 또한, 후술하는 인코더의 계측값을 웨이퍼 스테이지 (WST) 의 XY 평면 내의 위치 정보로 변환할 때 등에는, 각 Y 헤드에 대한 Y 좌표값, 각 X 헤드에 대한 X 좌표값으로는 설계값이 사용된다. 이것은, 이들 각 헤드의 계측 방향에 관한 위치 좌표가 웨이퍼 스테이지 (WST) 의 위치 제어 정밀도에 주는 영향은 매우 약하므로 (제어 정밀도에 대한 효능이 매우 느리다) 설계값을 사용해도 충분하기 때문이다.
그런데, 웨이퍼 테이블 (WTB) 상의 각 스케일 표면 (그레이팅 표면) 의 높이 (Z 위치) 와, 노광 중심 (전술한 노광 영역 (IA) 의 중심으로서, 본 실시형태에서는 투영 광학계 (PL) 의 광축 (AX) 과 일치) 을 포함하는 기준면의 높이에 오차 (또는 갭) 가 있으면, 웨이퍼 스테이지 (WST) 의 XY 평면과 평행한 축 (X 축 또는 Y 축) 둘레의 회전 (피칭 또는 롤링) 시에 인코더의 계측값에 이른바 아베 오차가 발생하므로, 이 오차를 보정하는 것이 필요하다. 여기서, 기준면이란, 간섭계 시스템 (118) 에서 계측되는 웨이퍼 스테이지 (WST) 의 Z 축 방향의 변위 (ΔZo) 의 기준이 되는 면으로서, 본 실시형태에서는 투영 광학계 (PL) 의 이미지면에 일치하고 있는 것으로 한다.
상기 오차의 보정을 위해서는, 웨이퍼 스테이지 (WST) 의 기준면에 대한 각 스케일 표면 (그레이팅 표면) 의 높이의 차이 (이른바 아베 이탈량) 를 정확하게 구해 둘 필요가 있다. 이것은, 상기 아베 이탈량에서 기인하는 아베 오차를 보정하는 것이, 인코더 시스템을 사용하여 웨이퍼 스테이지 (WST) 의 XY 평면 내의 위치를 정확하게 제어하기 위해서는 필요하기 때문이다. 이러한 점을 고려하여, 본 실시형태에서는, 주제어 장치 (20) 가 다음과 같은 순서로 상기 아베 이탈량을 구하기 위한 캘리브레이션을 실시하고 있다.
먼저, 이 캘리브레이션 처리의 개시에 있어서, 주제어 장치 (20) 는 웨이퍼 스테이지 (WST) 를 구동시켜, Y 스케일 (39Y1, 39Y2) 을 각각 헤드 유닛 (62A, 62C) 의 하방에 위치시킨다. 이 때, 예를 들어 도 15 에 나타내는 바와 같이, 헤드 유닛 (62A) 의 좌측으로부터 3 번째 Y 헤드 (64A3) 가, 전술한 스테이지 위치 기인 오차 보정 정보의 취득시에, 그 Y 헤드 (64A3) 를 대향시킨 Y 스케일 (39Y1) 상의 특정한 영역 (AR) 에 대향하고 있다. 또, 이 때, 도 15 에 나타내는 바와 같이, 헤드 유닛 (62C) 의 좌측으로부터 4 번째 Y 헤드 (64C4) 가, 전술한 스테이지 위치 기인 오차 보정 정보의 취득시에, 그 Y 헤드 (64C4) 를 대향시킨 Y 스케일 (39Y2) 상의 특정한 영역에 대향하고 있다.
다음으로, 주제어 장치 (20) 는 전술한 간섭계 빔 (B41, B42 및 B3) 을 이용한 Y 간섭계 (16) 의 계측 결과에 기초하여, 웨이퍼 스테이지 (WST) 의 XY 평면에 대한 θx 방향의 변위 (피칭량) (Δθx) 가 0 이 아닌 경우에는, 간섭계 시스템 (118) 의 Y 간섭계 (16) 의 계측 결과에 기초하여, 그 피칭량 (Δθx) 이 0 이 되도록 웨이퍼 스테이지 (WST) 를, 노광 중심을 통과하는 X 축에 평행한 축 둘레로 경사시킨다. 이 때, 간섭계 시스템 (118) 의 각 간섭계는 모든 보정이 완료되어 있으므로, 이와 같은 웨이퍼 스테이지 (WST) 의 피칭 제어는 가능하다.
그리고, 이와 같은 웨이퍼 스테이지 (WST) 의 피칭량의 조정 후, Y 스케일 (39Y1, 39Y2) 과, 대향하는 Y 헤드 (64A3, 64C4) 로 각각 구성되는 인코더 (70A, 70C) 의 계측값 (yA0, yC0) 을 취득한다.
다음으로, 주제어 장치 (20) 는 간섭계 빔 (B41, B42 및 B3) 을 이용한 Y 간섭계 (16) 의 계측 결과에 기초하여, 도 15 중에 화살표 RX 로 나타내는 바와 같이, 웨이퍼 스테이지 (WST) 를 각도 Ф 만큼 노광 중심을 통과하는 X 축에 평행한 축 둘레로 경사시킨다. 그리고, Y 스케일 (39Y1, 39Y2) 과, 대향하는 Y 헤드 (64A3, 64C4) 로 각각 구성되는 인코더 (70A, 70C) 의 계측값 (yA1, yC1) 을 취득한다.
그리고, 주제어 장치 (20) 는, 위에서 취득한 인코더 (70A, 70C) 의 계측값 (yA0, yC0 및 yA1, yC1), 그리고 상기 각도 Ф 에 기초하여, Y 스케일 (39Y1, 39Y2) 의 이른바 아베 이탈량 (hA, hC) 을 산출한다. 이 경우, Ф 는 미소각이기 때문에 sinФ = 0, cosФ = 1 이 성립한다.
hA = (yA1 - yA0)/Ф ……(24)
hC = (yC1 - yC0)/Ф ……(25)
다음으로, 주제어 장치 (20) 는 그 피칭량 (Δθx) 이 0 이 되도록 웨이퍼 스테이지 (WST) 의 피칭량을 조정 후, 필요에 따라 웨이퍼 스테이지 (WST) 를 X 축 방향으로 구동시키고, 전술한 스테이지 위치 기인 오차 보정 정보의 취득시에, 각 X 헤드 (66) 를 대향시킨 X 스케일 (39X1, 39X2) 상의 특정 영역에 헤드 유닛 (62B, 62D) 의 소정의 X 헤드 (66) 를 대향시킨다.
다음으로, 주제어 장치 (20) 는, 전술한 Z 간섭계 (43A, 43B) 의 출력을 사용하여 전술한 식 (6) 의 계산을 실시하고, 웨이퍼 스테이지 (WST) 의 XY 평면에 대한 θy 방향의 변위 (롤링량) (Δθy) 가 0 이 아닌 경우에는, 그 롤링량 (Δθy) 이 0 이 되도록 웨이퍼 스테이지 (WST) 를, 노광 중심을 통과하는 Y 축에 평행한 축 둘레로 경사시킨다. 그리고, 이와 같은 웨이퍼 스테이지 (WST) 의 롤링량의 조정 후, X 스케일 (39X1, 39X2) 과, 대향하는 각 X 헤드 (66) 로 각각 구성되는 인코더 (70B, 70D) 의 계측값 (xB0, xD0) 을 취득한다.
다음으로, 주제어 장치 (20) 는 Z 간섭계 (43A, 43B) 의 출력에 기초하여, 웨이퍼 스테이지 (WST) 를 각도 Ф 만큼 노광 중심을 통과하는 Y 축에 평행한 축 둘레로 경사시키고, X 스케일 (39X1, 39X2) 과, 대향하는 각 X 헤드 (66) 로 각각 구성되는 인코더 (70B, 70D) 의 계측값 (xB1, xD1) 을 취득한다.
그리고, 주제어 장치 (20) 는 위에서 취득한 인코더 (70B, 70D) 의 계측값 (XB0, XD0 및 XB1, XD1), 그리고 상기 각도 Ф 에 기초하여, X 스케일 (39X1, 39X2) 의 이른바 아베 이탈량 (hB, hD) 을 산출한다. 이 경우, Ф 는 미소각이다.
hB = (xB1 - xB0)/Ф ……(26)
hD = (xD1 - xD0)/Ф ……(27)
상기 식 (24), (25) 로부터 알 수 있는 바와 같이, 웨이퍼 스테이지 (WST) 의 피칭량을 Фx 로 하면, 웨이퍼 스테이지 (WST) 의 피칭에 수반되는 Y 인코더 (70A, 70C) 의 아베 오차 (ΔAA, ΔAC) 는, 다음 식 (28), (29) 로 나타낼 수 있다.
ΔAA = hA·Фx ……(28)
ΔAC = hC·Фx ……(29)
상기 식 (26), (27) 로부터 알 수 있는 바와 같이, 웨이퍼 스테이지 (WST) 의 롤링량을 Фy 로 하면, 웨이퍼 스테이지 (WST) 의 롤링에 수반되는 X 인코더 (70B, 70D) 의 아베 오차 (ΔAB, ΔAD) 는, 다음 식 (30), (31) 로 나타낼 수 있다.
ΔAB = hB·Фy ……(30)
ΔAD = hD·Фy ……(31)
주제어 장치 (20) 는, 상기 서술한 바와 같이 하여 구한 hA ∼ hD 또는 식 (28) ∼ 식 (31) 을 메모리 (34) 에 기억한다. 이로써, 주제어 장치 (20) 는, 로트 처리 중 등의 실제의 웨이퍼 스테이지 (WST) 의 위치 제어시에, 인코더 시스템에 의해 계측된 XY 평면 (이동면) 내에 있어서의 웨이퍼 스테이지 (WST) 의 위치 정보에 포함되는 아베 오차, 즉 Y 스케일 (39Y1, 39Y2) 표면 (그레이팅 표면) 의 전술한 기준면에 대한 아베 이탈량에서 기인하는, 웨이퍼 스테이지 (WST) 의 피칭량에 따른 Y 인코더 (70A, 70C) 의 계측 오차, 또는 X 스케일 (39X1, 39X2) 표면 (그레이팅 표면) 의 전술한 기준면에 대한 아베 이탈량에서 기인하는, 웨이퍼 스테이지 (WST) 의 롤링량에 따른 X 인코더 (70B, 70D) 의 계측 오차를 보정하면서, XY 평면 내의 임의의 방향에 관해 웨이퍼 스테이지 (WST) 를 고정밀도로 구동 (위치 제어) 시킬 수 있게 된다.
그런데, 인코더의 헤드의 광축이 Z 축에 거의 일치하고 있고, 또한 웨이퍼 스테이지 (WST) 의 피칭량, 롤링량 및 요잉량이 모두 제로인 경우에는, 상기 식 (22), 식 (23) 으로부터도 분명한 바와 같이, 웨이퍼 테이블 (WTB) 의 자세에서 기인하는 상기 서술한 인코더의 계측 오차는 발생하지 않겠지만, 실제로는 이와 같은 경우에도 인코더의 계측 오차는 제로는 되지 않는다. 이것은, Y 스케일 (39Y1, 39Y2), X 스케일 (39X1, 39X2) 의 표면 (제 2 발수판 (28b) 의 표면) 이 이상적인 평면이 아니라, 다소의 요철이 존재하기 때문이다. 스케일의 표면 (정확하게는, 회절 격자 표면 및 회절 격자가 커버 유리로 덮여 있는 경우에는, 그 커버 유리의 면을 포함한다) 에 요철이 있으면, 웨이퍼 스테이지 (WST) 가 XY 평면에 평행한 면을 따라 움직인 경우에도, 인코더의 헤드에 대해 스케일면은 Z 축 방향으로 변위하거나 (상하동하거나), 경사지게 된다. 이것은, 결과적으로 헤드와 스케일에 비계측 방향에 관한 상대 운동이 발생하는 것이며, 이와 같은 상대 운동은 계측 오차의 요인이 되는 것은 전술한 바와 같다.
또, 도 16 에 나타내는 바와 같이, 예를 들어 복수의 헤드 (66A, 66B) 에서 동일한 스케일 (39X) 상의 복수의 계측점 (P1, P2) 을 계측하는 경우에 있어서, 그 복수의 헤드 (66A, 66B) 의 광축의 기울기가 상이하고, 또한 스케일 (39X) 의 표면에 요철 (경사를 포함한다) 이 있으면, 도 16 에 있어서 ΔXA ≠ ΔXB 인 점에서 분명한 바와 같이, 그 기울기의 상이에 의해 요철이 계측값에 주는 영향이 헤드마다 상이하게 된다. 따라서, 이 영향의 상이를 배제하기 위해서는, 스케일 (39X) 표면의 요철을 구해 둘 필요가 있다. 이 스케일 (39X) 표면의 요철을, 예를 들어 전술한 Z 센서 등의 인코더 이외의 계측 장치를 사용하여 계측해도 되는데, 이와 같이 한 경우에는, 그 계측 장치의 계측 분해능에 의해 요철의 계측 정밀도가 규정되기 때문에, 요철을 고정밀도로 계측하기 위해서는, Z 센서로서 본래의 목적에 필요한 센서보다 고정밀도이고 또한 고가의 센서를 사용해야 할 가능성이 있다.
그래서, 본 실시형태에서는, 인코더 시스템 그 자체를 사용하여 스케일 표면의 요철을 계측하는 수법을 채용하고 있다. 이하, 이에 대해 설명한다.
전술한 웨이퍼 스테이지 (WST) 의 Z 레벨링에 따른 인코더 (헤드) 의 계측값의 변화 특성을 나타내는 도 12 의 그래프 (오차 특성 곡선) 에 나타내는 바와 같이, 각 인코더 헤드에 대해, 웨이퍼 스테이지 (WST) 의 틸트 동작에 대해 감도를 가지지 않는 점, 즉 웨이퍼 스테이지 (WST) 의 XY 평면에 대한 경사 각도에 의하지 않고, 인코더의 계측 오차가 제로가 되는 특이점이 Z 축 방향에 1 점만 존재한다. 웨이퍼 스테이지 (WST) 를, 전술한 스테이지 위치 기인 오차 보정 정보의 취득시와 동일하게 움직여 이 점을 찾아내면, 그 점 (Z 위치) 은 그 인코더 헤드에 대한 특이점으로 평가할 수 있다. 이 특이점을 찾아내는 동작을 스케일 상의 복수의 계측점에 대해 실시하면, 그 스케일의 면의 형상 (요철) 을 구할 수 있다.
(a) 그래서, 주제어 장치 (20) 는, 먼저 간섭계 시스템 (118) 의 Y 간섭계 (16), X 간섭계 (126) 및 Z 간섭계 (43A, 43B) 의 계측값을 모니터하면서, 스테이지 구동계 (124) 를 통해 웨이퍼 스테이지 (WST) 를 구동시키고, 도 17 에 나타내는 바와 같이, 헤드 유닛 (62A) 의 임의의 Y 헤드, 예를 들어 동일 도 17 중의 Y 헤드 (64A2) 를 Y 스케일 (39Y1) 의 +Y 측의 단부 근방에 대향시킨다. 그리고, 주제어 장치 (20) 는 전술과 동일하게, 그 위치에서 웨이퍼 스테이지 (WST) 의 피칭량 (θx 회전량) 을 적어도 2 단계로 변경시키고, 변경시마다, 그 때의 웨이퍼 스테이지 (WST) 의 자세를 유지한 상태에서 Y 헤드 (64A2) 로부터 Y 스케일 (39Y1) 의 대상으로 하는 계측점에 검출광을 조사하면서, 웨이퍼 스테이지 (WST) 를 소정 스트로크 범위에서 Z 축 방향으로 스캔하고 (이동시키고), 그 스캔 (이동) 중에 Y 스케일 (39Y1) 에 대향하는 Y 헤드 (64A2) (인코더 (70A)) 의 계측 결과를 샘플링한다. 또한, 상기 샘플링은, 웨이퍼 스테이지 (WST) 의 요잉량 (및 롤링량) 을 제로로 유지한 채로 실시된다.
그리고, 주제어 장치 (20) 는 그 샘플링 결과에 기초하여 소정의 연산을 실시함으로써, 웨이퍼 스테이지 (WST) 의 Z 위치에 따른 상기 인코더 (70A) 의 상기 대상으로 하는 계측점에 있어서의 오차 특성 곡선 (도 12 참조) 을 복수의 자세 각각에 대해 구하고, 그 복수의 오차 특성 곡선의 교점, 즉 웨이퍼 스테이지 (WST) 의 XY 평면에 대한 경사 각도에 의하지 않고, 상기 인코더 (70A) 의 계측 오차가 제로가 되는 점을, 대상으로 하는 계측점에 있어서의 특이점으로 하고, 이 특이점의 Z 위치 정보 (z1) (도 18(A) 참조) 를 구한다.
(b) 다음으로, 주제어 장치 (20) 는, 간섭계 시스템 (118) 의 Y 간섭계 (16), X 간섭계 (126) 및 Z 간섭계 (43A, 43B) 의 계측값을 모니터하면서, 웨이퍼 스테이지 (WST) 의 피칭량 및 롤링량을 제로로 유지한 채로, 스테이지 구동계 (124) 를 통해 웨이퍼 스테이지 (WST) 를 +Y 방향으로 소정량 스텝 이동시킨다. 이 이동은, 간섭계의 공기 요동에 의한 계측 오차를 무시할 수 있는 정도의 저속으로 실시된다.
(c) 그리고, 그 단계 이동 후의 위치에서 상기 (a) 와 동일하게 하여, 그 위치에 있어서의 상기 인코더 (70A) 의 특이점의 Z 위치 정보 (zp) (여기서는, p = 2) 를 구한다.
그 후, 주제어 장치 (20) 는, 상기 (b) 및 (c) 와 동일한 동작을 반복하여 실시함으로써, 스케일 (39Y1) 상의 Y 축 방향으로 소정 간격으로 설정된 복수 (예를 들어 n-1 개) 의 계측점에 있어서의 Z 위치 정보 (zp) (p = 2, 3……, i, ……k, ……n) 를 구한다.
도 18(B) 에는, 상기 서술한 바와 같이 하여 구해진 제 i 번째 계측점에 있어서의 특이점의 z 위치 정보 (zi) 가 나타나고, 도 18(C) 에는, 제 k 번째 계측점에 있어서의 특이점의 z 위치 정보 (zk) 가 나타나 있다.
(d) 그리고, 주제어 장치 (20) 는, 상기 복수의 계측점 각각에 대해 구한 특이점의 Z 위치 정보 (z1, z2, ……zn) 에 기초하여, 스케일 (39Y1) 의 요철을 구한다. 도 18(D) 에 나타내는 바와 같이, 스케일 (39Y1) 상의 각 계측점에 있어서의 특이점의 Z 위치 (zp) 를 나타내는 양 화살표의 일단을 소정의 기준선에 일치시키면, 각 양 화살표의 타단을 연결하는 곡선이 스케일 (39Y1) 의 표면 형상 (요철) 을 나타낸다. 따라서, 주제어 장치 (20) 에서는 이 요철을 나타내는 함수 z = f1(y) 를, 각 양 화살표의 타단의 점을 커브 피트 (최소 제곱 근사) 하여 구하고, 메모리 (34) 에 기억한다. 또한, y 는 Y 간섭계 (16) 에서 계측되는 웨이퍼 스테이지 (WST) 의 Y 좌표이다.
(e) 주제어 장치 (20) 는, 상기와 동일하게 하여 Y 스케일 (39Y2) 의 요철을 나타내는 함수 z = f2(y), X 스케일 (39X1) 의 요철을 나타내는 함수 z = g1(x) 및 X 스케일 (39X2) 의 요철을 나타내는 함수 z = g2(x) 를 각각 구하고, 메모리 (34) 에 기억한다. 또한, x 는 X 간섭계 (126) 에서 계측되는 웨이퍼 스테이지 (WST) 의 X 좌표이다.
여기서, 각 스케일 상의 각 계측점에 있어서, 상기 서술한 오차 특성 곡선 (도 12 참조) 을 구할 때에, Z 의 변화에도 불구하고 계측 오차가 항상 제로가 되는 오차 특성 곡선을 구하면, 그 오차 특성 곡선을 얻었을 때의 웨이퍼 스테이지 (WST) 의 피칭량 (또는 롤링량) 이 스케일면의 그 계측점에 있어서의 경사량에 대응한다. 따라서, 상기 방법에서는 스케일면의 높이 정보에 추가하여, 각 계측점에서의 경사의 정보도 얻는 것으로 해도 된다. 이와 같이 하면, 상기 서술한 커브 피트시에 보다 정밀도가 높은 피팅이 가능해진다.
그런데, 인코더의 스케일은, 사용 시간의 경과와 함께 열팽창, 그 외에 의해 회절 격자가 변형되거나, 회절 격자의 피치가 부분적 또는 전체적으로 변화하는 등, 기계적인 장기 안정성이 부족하다. 이 때문에, 그 계측값에 포함되는 오차가 사용 시간의 경과와 함께 커지므로, 이것을 보정할 필요가 있다. 이하, 본 실시형태의 노광 장치 (100) 에서 실시되는 스케일의 격자 피치의 보정 정보 및 격자 변형의 보정 정보의 취득 동작에 대해, 도 19 에 기초하여 설명한다.
이 도 19 에 있어서, 측장빔 (B41, B42) 은 전술한 직선 (LV) 에 관해 대칭으로 배치되고, Y 간섭계 (16) 의 실질적인 측장축은 투영 광학계 (PL) 의 광축을 통과하는, Y 축 방향과 평행한 직선 (LV) 에 일치한다. 이 때문에, Y 간섭계 (16) 에 의하면, 아베 오차없이 웨이퍼 테이블 (WTB) 의 Y 위치를 계측할 수 있다. 동일하게, 측장빔 (B51, B52) 은 전술한 직선 (LH) 에 관해 대칭으로 배치되고, X 간섭계 (126) 의 실질적인 측장축은 투영 광학계 (PL) 의 광축을 통과하는, X 축 방향과 평행한 직선 (LH) 에 일치한다. 이 때문에, X 간섭계 (126) 에 의하면, 아베 오차없이 웨이퍼 테이블 (WTB) 의 X 위치를 계측할 수 있다.
먼저, X 스케일의 격자선의 변형 (격자선의 휨) 의 보정 정보와, Y 스케일의 격자 피치의 보정 정보의 취득 동작에 대해 설명한다. 여기서는, 설명을 간단하게 하기 위해, 반사면 (17b) 은 이상적인 평면인 것으로 한다. 또, 이 취득 동작에 앞서, 상기 서술한 각 스케일 표면의 요철 정보의 계측이 실시되고, Y 스케일 (39Y1) 의 요철을 나타내는 함수 z = f1(y), Y 스케일 (39Y2) 의 요철을 나타내는 함수 z = f2(y), X 스케일 (39X1) 의 요철을 나타내는 함수 z = g1(x) 및 X 스케일 (39X2) 의 요철을 나타내는 함수 z = g2(x) 가 메모리 (34) 내에 기억되어 있는 것으로 한다.
주제어 장치 (20) 는, 먼저 메모리 (34) 내에 기억되어 있는 함수 z = f1(y), 함수 z = f2(y), 함수 z = g1(x) 및 함수 z = g2(x) 를 내부 메모리에 판독 입력한다.
다음으로, 주제어 장치 (20) 는, Y 간섭계 (16) 의 계측값의 단기 변동을 무시할 수 있는 정도의 저속으로, 또한 X 간섭계 (126) 의 계측값을 소정값에 고정시킨 상태에서, 웨이퍼 스테이지 (WST) 를 Y 간섭계 (16) 및 Z 간섭계 (43A, 43B) 의 계측값에 기초하여, 피칭량, 롤링량 및 요잉량을 모두 제로로 유지한 상태에서, 도 19 중에 화살표 F, F' 로 나타내는 바와 같이, 예를 들어 전술한 유효 스트로크 범위에서 +Y 방향 및 -Y 방향의 적어도 일방의 방향으로 이동시킨다. 이 이동 중에, 주제어 장치 (20) 는, 상기 서술한 함수 z = f1(y), 함수 z = f2(y) 를 각각 사용하여 Y 리니어 인코더 (70A, 70C) 의 계측값 (출력) 을 보정하면서, 그 보정 후의 계측값과 Y 간섭계 (16) 의 계측값 (보다 정확하게는 간섭계 빔 (B41, B42) 의 계측값) 을 소정의 샘플링 간격으로 취입하고, 그 취입한 각 계측값에 기초하여 Y 리니어 인코더 (70A, 70C) 의 계측값 (인코더 (70A) 의 출력-함수 f1(y) 에 대응하는 계측값, 인코더 (70C) 의 출력-함수 f2(y) 에 대응하는 계측값) 과 Y 간섭계 (16) 의 계측값의 관계를 구한다. 즉, 이와 같이 하여, 주제어 장치 (20) 는 웨이퍼 스테이지 (WST) 의 이동에 수반하여 헤드 유닛 (62A 및 62C) 에 순차 대향 배치되는 Y 스케일 (39Y1 및 39Y2) 의 격자 피치 (인접하는 격자선의 간격) 및 그 격자 피치의 보정 정보를 구한다. 이 격자 피치의 보정 정보로는, 예를 들어 가로축이 간섭계의 계측값, 세로축이 인코더의 계측값 (스케일면의 요철에서 기인하는 오차가 보정된 계측값) 으로 한 경우의 양자의 관계를 곡선으로 나타내는 보정 맵 등을 구할 수 있다. 이 경우의 Y 간섭계 (16) 의 계측값은, 전술한 극저속으로 웨이퍼 스테이지 (WST) 를 스캔하였을 때에 얻어지는 것이기 때문에, 장기적인 변동 오차는 물론, 공기 요동에서 기인하는 단기적인 변동 오차도 대부분 포함되지 않아, 오차를 무시할 수 있는 정확한 값으로 생각해도 지장없다.
또, 주제어 장치 (20) 는 상기 웨이퍼 스테이지 (WST) 의 이동 중에, 그 이동에 수반하여 상기 X 스케일 (39X1, 39X2) 에 순차 대향 배치되는 헤드 유닛 (62B 및 62D) 의 복수의 X 헤드 (66) 로부터 얻어지는 계측값 (X 리니어 인코더 (70B 및 70D) 의 계측값) 을 통계적으로 처리, 예를 들어 평균 (또는 가중 평균한다) 함으로써, 그 복수의 X 헤드 (66) 에 순차 대향한 격자선 (37) 의 변형 (휨) 의 보정 정보도 구하고 있다. 이것은, 반사면 (17b) 이 이상적인 평면인 경우에는, 웨이퍼 스테이지 (WST) 를 +Y 방향 또는 -Y 방향으로 보내는 과정에서, 반복적으로 동일 흔들림 패턴이 출현할 것이기 때문에, 복수의 X 헤드 (66) 에서 취득한 계측 데이터를 평균화 등을 하면, 그 복수의 X 헤드 (66) 에 순차 대향한 격자선 (37) 의 변형 (휨) 의 보정 정보를 정확하게 구할 수 있기 때문이다.
또한, 반사면 (17b) 이 이상적인 평면이 아닌 통상적인 경우에는, 미리 그 반사면의 요철 (휨) 을 계측하여 그 휨의 보정 데이터를 구해 두고, 상기 서술한 웨이퍼 스테이지 (WST) 의 +Y 방향 또는 -Y 방향으로의 이동시에, X 간섭계 (126) 의 계측값을 소정값에 고정시키는 대신에 그 보정 데이터에 기초하여, 웨이퍼 스테이지 (WST) 의 X 위치를 제어하면서 웨이퍼 스테이지 (WST) 의 +Y 방향 또는 -Y 방향으로의 이동을 실시함으로써, 웨이퍼 스테이지 (WST) 를 정확하게 Y 축 방향으로 이동시키는 것으로 하면 된다. 이와 같이 하면, 상기와 완전히 동일한, Y 스케일의 격자 피치의 보정 정보 및 격자선 (37) 의 변형 (휨) 의 보정 정보를 얻을 수 있다. 또한, 상기 서술한 복수의 X 헤드 (66) 에서 취득한 계측 데이터는, 반사면 (17b) 이 상이한 부위 기준에서의 복수의 데이터로서, 어느 X 헤드 (66) 도 동일한 격자선 (37) 의 변형 (휨) 을 계측하고 있는 것이기 때문에, 상기 평균화 등에 의해 반사면의 휨 보정 잔차 (殘差) 가 평균화되어 참값에 가까워진다 (바꿔 말하면 복수의 X 헤드에서 취득한 계측 데이터 (격자선 (37) 의 휨 정보) 를 평균화함으로써, 휨 잔차의 영향을 약하게 할 수 있다) 는 부수적인 효과도 있다.
다음으로, Y 스케일의 격자선의 변형 (격자선의 휨) 의 보정 정보 및 X 스케일의 격자 피치의 보정 정보의 취득 동작에 대해 설명한다. 여기서는, 설명을 간단하게 하기 위해, 반사면 (17a) 은 이상적인 평면인 것으로 한다. 이 경우, 상기 서술한 보정의 경우와, X 축 방향과 Y 축 방향을 바꾼 처리를 실시하면 된다.
즉, 주제어 장치 (20) 는, X 간섭계 (126) 의 계측값의 단기 변동을 무시할 수 있는 정도의 저속으로, 또한 Y 간섭계 (16) 의 계측값을 소정값에 고정시킨 상태에서, 웨이퍼 스테이지 (WST) 를 X 간섭계 (126), Y 간섭계 (16) 및 Z 간섭계 (43A, 43B) 의 계측값에 기초하여, 피칭량, 롤링량 및 요잉량을 모두 제로로 유지한 상태에서, 예를 들어 전술한 유효 스트로크 범위에서 +X 방향 및 -X 방향의 적어도 일방의 방향으로 이동시킨다. 이 이동 중에, 주제어 장치 (20) 는 상기 서술한 함수 z = g1(x), 함수 z = g2(x) 를 각각 사용하여 X 리니어 인코더 (70B, 70D) 의 계측값을 보정하면서, 그 보정 후의 계측값과 X 간섭계 (126) 의 계측값을 소정의 샘플링 간격으로 취입하고, 그 취입한 각 계측값에 기초하여 X 리니어 인코더 (70B, 70D) 의 계측값 (인코더 (70B) 의 출력-함수 g1(x) 에 대응하는 계측값, 인코더 (70D) 의 출력-함수 g2(x) 에 대응하는 계측값) 과 X 간섭계 (126) 의 계측값의 관계를 구하는 것으로 하면 된다. 즉, 이와 같이 하여, 주제어 장치 (20) 는 웨이퍼 스테이지 (WST) 의 이동에 수반하여 헤드 유닛 (62B 및 62D) 에 순차 대향 배치되는 X 스케일 (39X1 및 39X2) 의 격자 피치 (인접하는 격자선의 간격) 및 그 격자 피치의 보정 정보를 구한다. 이 격자 피치의 보정 정보로는, 예를 들어 가로축이 간섭계의 계측값, 세로축이 인코더의 계측값 (스케일면의 요철에서 기인하는 오차가 보정된 계측값) 으로 한 경우의 양자의 관계를 곡선으로 나타내는 맵 등을 구할 수 있다. 이 경우의 X 간섭계 (126) 의 계측값은, 전술한 극저속으로 웨이퍼 스테이지 (WST) 를 스캔하였을 때에 얻어지는 것이기 때문에, 장기적인 변동 오차는 물론, 공기 요동에서 기인하는 단기적인 변동 오차도 대부분 포함되지 않아, 오차를 무시할 수 있는 정확한 값으로 생각해도 지장없다.
또, 주제어 장치 (20) 는 상기 웨이퍼 스테이지 (WST) 의 이동 중에, 그 이동에 수반하여 상기 Y 스케일 (39Y1, 39Y2) 에 순차 대향 배치되는 헤드 유닛 (62A 및 62C) 의 복수의 Y 헤드 (64) 로부터 얻어지는 계측값 (Y 리니어 인코더 (70A 및 70C) 의 계측값) 을 통계적으로 처리, 예를 들어 평균 (또는 가중 평균한다) 함으로써, 그 복수의 Y 헤드 (64) 에 순차 대향한 격자선 (38) 의 변형 (휨) 의 보정 정보도 구하고 있다. 이것은, 반사면 (17a) 이 이상적인 평면인 경우에는, 웨이퍼 스테이지 (WST) 를 +X 방향 또는 -X 방향으로 보내는 과정에서, 반복적으로 동일 흔들림 패턴이 출현할 것이기 때문에, 복수의 Y 헤드 (64) 에서 취득한 계측 데이터를 평균화 등을 하면, 그 복수의 Y 헤드 (64) 에 순차 대향한 격자선 (38) 의 변형 (휨) 의 보정 정보를 정확하게 구할 수 있기 때문이다.
또한, 반사면 (17a) 이 이상적인 평면이 아닌 통상적인 경우에는, 미리 그 반사면의 요철 (휨) 을 계측하여 그 휨의 보정 데이터를 구해 두고, 상기 서술한 웨이퍼 스테이지 (WST) 의 +X 방향 또는 -X 방향으로의 이동시에, Y 간섭계 (16) 의 계측값을 소정값에 고정시키는 대신에 그 보정 데이터에 기초하여, 웨이퍼 스테이지 (WST) 의 Y 위치를 제어하면서 웨이퍼 스테이지 (WST) 의 +X 방향 또는 -X 방향으로의 이동을 실시함으로써, 웨이퍼 스테이지 (WST) 를 정확하게 X 축 방향으로 이동시키는 것으로 하면 된다. 이와 같이 하면, 상기와 완전히 동일한, X 스케일의 격자 피치의 보정 정보 및 격자선 (38) 의 변형 (휨) 의 보정 정보를 얻을 수 있다.
이와 같이 하여, 주제어 장치 (20) 는 소정의 타이밍마다, 예를 들어 로트 선두마다 등에, Y 스케일의 격자 피치의 보정 정보 및 격자선 (37) 의 변형 (휨) 의 보정 정보, 그리고 X 스케일의 격자 피치의 보정 정보 및 격자선 (38) 의 변형 (휨) 의 보정 정보를 얻는다.
그리고, 로트의 처리 중 등에는, 주제어 장치 (20) 는 헤드 유닛 (62A, 62C) 으로부터 얻어지는 계측값 (즉, 인코더 (70A, 70C) 의 계측값) 을 상기 격자 피치의 보정 정보 및 상기 서술한 격자선 (38) 의 변형 (휨) 의 보정 정보, 간섭계 시스템 (118) 에 의해 계측되는 웨이퍼 스테이지 (WST) 의 Z 위치, 피칭량 (Δθx) 및 요잉량 (Δθz) 에 따른 스테이지 위치 기인 오차 보정 정보, 그리고 Y 스케일 (39Y1, 39Y2) 표면의 아베 이탈량에서 기인하는 웨이퍼 스테이지 (WST) 의 피칭량 (Δθx) 에 따른 아베 오차의 보정 정보에 기초하여 보정하면서, 웨이퍼 스테이지 (WST) 의 Y 축 방향으로의 이동 제어를, Y 스케일 (39Y1, 39Y2) 과 헤드 유닛 (62A, 62C) 을 사용하여, 즉 Y 리니어 인코더 (70A, 70C) 를 사용하여 실시한다. 이로써, Y 스케일의 격자 피치의 시간 경과적인 변화 및 Y 스케일을 구성하는 각 격자 (선) 의 휨의 영향을 받지 않고, 웨이퍼 스테이지 (WST) 의 비계측 방향에 관한 위치의 변화 (헤드와 스케일의 비계측 방향에 관한 상대 운동) 에 영향을 받지 않고, 또한 아베 오차의 영향을 받지 않고, Y 리니어 인코더 (70A, 70C) 를 사용하여 웨이퍼 스테이지 (WST) 의 Y 축 방향의 이동 제어를 양호한 정밀도로 실시할 수 있게 된다.
또, 로트의 처리 중 등에는, 주제어 장치 (20) 는 헤드 유닛 (62B, 62D) 으로부터 얻어지는 계측값 (즉, 인코더 (70B, 70D) 의 계측값) 을 상기 격자 피치의 보정 정보 및 상기 서술한 격자선 (37) 의 변형 (휨) 의 보정 정보, 간섭계 시스템 (118) 에 의해 계측되는 웨이퍼 스테이지 (WST) 의 Z 위치 (z), 롤링량 (θy) 및 요잉량 (θz) 에 따른 스테이지 위치 기인 오차 보정 정보, 그리고 X 스케일 (39X1, 39X2) 표면의 아베 이탈량에서 기인하는 웨이퍼 스테이지 (WST) 의 롤링량 (Δθy) 에 따른 아베 오차의 보정 정보에 기초하여 보정하면서, 웨이퍼 스테이지 (WST) 의 X 축 방향으로의 이동 제어를, X 스케일 (39X1, 39X2) 과 헤드 유닛 (62B, 62D) 을 사용하여, 즉 X 리니어 인코더 (70B, 70D) 를 사용하여 실시한다. 이로써, X 스케일의 격자 피치의 시간 경과적인 변화 및 X 스케일을 구성하는 각 격자 (선) 의 휨의 영향을 받지 않고, 웨이퍼 스테이지 (WST) 의 비계측 방향에 관한 위치의 변화 (헤드와 스케일의 비계측 방향에 관한 상대 운동) 에 영향을 받지 않고, 또한 아베 오차의 영향을 받지 않고, X 리니어 인코더 (70B, 70D) 를 사용하여 웨이퍼 스테이지 (WST) 의 X 축 방향의 이동 제어를 양호한 정밀도로 실시할 수 있게 된다.
또한, 상기 서술한 설명에서는 Y 스케일, X 스케일 모두에 대해서 격자 피치, 격자선 휨의 보정 정보의 취득을 실시하는 것으로 하였으나, 이에 한정되지 않고, Y 스케일 및 X 스케일 중 어느 하나에 대해서만 격자 피치 및 격자선 휨의 보정 정보의 취득을 실시해도 되고, Y 스케일 및 X 스케일의 양자에 대해, 격자 피치, 격자선 휨 중 어느 하나에 대한 보정 정보만을 취득해도 된다. 예를 들어 X 스케일의 격자선 (37) 의 휨의 보정 정보의 취득만을 실시하는 경우에는, 반드시 Y 간섭계 (16) 를 사용하지는 않고, Y 리니어 인코더 (70A, 70C) 의 계측값에 기초하여 웨이퍼 스테이지 (WST) 를 Y 축 방향으로 이동시켜도 된다. 동일하게, 예를 들어 Y 스케일의 격자선 (38) 의 휨의 보정 정보의 취득만을 실시하는 경우에는, 반드시 X 간섭계 (126) 를 사용하지는 않고, X 리니어 인코더 (70B, 70D) 의 계측값에 기초하여 웨이퍼 스테이지 (WST) 를 X 축 방향으로 이동시켜도 된다. 또, 전술한 스테이지 위치 기인 오차와, 스케일 (예를 들어 격자면의 평면도 (평탄성) 및/또는 격자의 형성 오차 (피치 오차, 격자선 휨 등을 포함한다) 등) 에서 기인하여 발생하는 인코더의 계측 오차 (이하, 스케일 기인 오차라고도 부른다) 중 어느 일방을 보상하기만 해도 된다.
그런데, 실제의 노광시 등에는, 간섭계의 빔의 광로 상의 공기 요동에서 기인하는 계측값의 단기적인 변동을 무시할 수 없는 속도로, 웨이퍼 스테이지 (WST) 가 주제어 장치 (20) 에 의해 스테이지 구동계 (124) 를 통해 구동된다. 따라서, 인코더 시스템의 계측값에 기초하여 웨이퍼 스테이지 (WST) 의 위치 제어를 실시하는 것이 중요해진다. 예를 들어 웨이퍼 스테이지 (WST) 를 노광 중에 Y 축 방향으로 스캔시킬 때에는, 주제어 장치 (20) 는 Y 스케일 (39Y1, 39Y2) 에 각각 대향하는 한 쌍의 Y 헤드 (64) (Y 인코더) 의 계측값에 기초하여 스테이지 구동계 (124) 를 구동시킨다. 이 때, 한 쌍의 Y 헤드 (64) (Y 인코더) 의 계측값에 기초하여 웨이퍼 스테이지 구동계 (124) 를 통해 웨이퍼 스테이지 (WST) 를 정확하게 Y 축 방향으로 이동시키기 위해서는, 그 한 쌍의 Y 헤드 (64) 각각의 검출 신호 (수광 소자에 의한 광전 변환 신호) 의 전선 중의 전파에 수반되는 계측 지연에 의한 계측 오차가 웨이퍼 스테이지 (WST) 의 위치 제어에 영향을 주지 않게 할 필요가 있다. 또, 예를 들어 웨이퍼 (W) 상의 1 개의 쇼트 영역의 노광과 인접하는 쇼트 영역의 노광 사이에서 실시되는, 웨이퍼 스테이지 (WST) 의 쇼트간 스테핑 동작시 등에, 주제어 장치 (20) 는, X 스케일 (39X1, 39X2) 에 각각 대향하는 한 쌍의 X 헤드 (66) (X 인코더) 의 계측값에 기초하여 웨이퍼 스테이지 (WST) 의 X 축 방향의 위치를 제어할 필요도 있다. 이 경우에는, 그 한 쌍의 X 헤드 (66) 각각의 검출 신호 (수광 소자에 의한 광전 변환 신호) 의 전선 중의 전파에 수반되는 계측 지연에 의한 계측 오차가 웨이퍼 스테이지 (WST) 의 위치 제어에 영향을 주지 않게 할 필요가 있다. 또, 웨이퍼 (W) 상의 모든 쇼트 영역을 노광하기 위해서는, 후술하는 복수의 인코더 사이의 연결 동작이 필수이다. 따라서, 인코더 시스템의 모든 Y 헤드 (64) 및 X 헤드 (66), 그리고 한 쌍의 Y 헤드 (64y1, 64y2) 의 검출 신호 (수광 소자에 의한 광전 변환 신호) 의 전선 중의 전파에 수반되는 지연 시간의 정보를 미리 구해 둘 필요가 있다.
한편으로, 본 실시형태의 노광 장치 (100) 는 인코더 시스템에 추가로, 간섭계 시스템 (118) 에 의해서도 웨이퍼 스테이지 (WST) 의 XY 평면 내에 있어서의 위치 정보를 계측 가능하다. 즉, 노광 장치 (100) 에서는, 인코더 시스템의 각 Y 헤드와 Y 간섭계 (16) 에 의한, 웨이퍼 스테이지 (WST) 의 Y 축 방향에 관한 위치 정보의 동시 계측, 및 인코더 시스템의 각 X 헤드와 X 간섭계 (126) 에 의한, 웨이퍼 스테이지 (WST) 의 X 축 방향에 관한 위치 정보의 동시 계측이 가능하다.
그래서, 주제어 장치 (20) 는 다음과 같은 순서로, 인코더 시스템의 모든 Y 헤드 (64) 및 X 헤드 (66), 그리고 한 쌍의 Y 헤드 (64y1, 64y2) 의 검출 신호 (수광 소자에 의한 광전 변환 신호) 의 전선 중의 전파에 수반되는 지연 시간의 정보를, 예를 들어 장치의 기동시 등에 취득한다.
먼저, 주제어 장치 (20) 는 Y 스케일 (39Y1, 39Y2) 각각에, 헤드 유닛 (62A, 62C) 각각의 1 개의 Y 헤드 (64) 가 대향하는 위치에 웨이퍼 스테이지 (WST) 를 이동시킨다.
다음으로, 주제어 장치 (20) 는 Y 간섭계 (16) 및 X 간섭계 (126), 그리고 반사면 (17b) 의 휨의 보정 데이터에 기초하여, 웨이퍼 스테이지 (WST) 의 X 위치를 제어하면서, 또한 Y 간섭계 (16) 및 Z 간섭계 (43A, 43B) 의 계측값에 기초하여, 피칭량, 롤링량 및 요잉량을 모두 제로로 유지한 상태에서, 웨이퍼 스테이지 (WST) 를 +Y 방향 또는 -Y 방향으로 소정의 속도, 예를 들어 주사 노광시와 동일한 속도로 구동시킨다. 이 구동 중에, 주제어 장치 (20) 는, Y 스케일 (39Y1, 39Y2) 각각에 대향하는 2 개의 Y 헤드 (64) 로부터의 검출 신호와, Y 간섭계 (16) 의 출력 신호를 동시에 또한 소정의 샘플링 간격으로 예를 들어 메모리 (34) 등의 기억 장치에 취입한다.
이 결과, 예를 들어 도 20 에 나타내는 바와 같이, 함께 사인 커브로 나타내는 Y 간섭계 (16) 의 출력 신호 (C1) 와, 각 Y 헤드 (64) 의 검출 신호 (C2) 가 얻어진다. 도 20 에 있어서, 가로축은 시간 (t) 을 나타내고, 세로축은 신호 강도 (I) 를 나타낸다. 또한, 이 도 20 에는 양 신호 (C1, C2) 의 피크값과 보텀값이 함께 동일한 값이 되도록, 적어도 일방의 신호를 정규화한 후의 양 신호가 나타나 있다.
그리고, 주제어 장치 (20) 는, 도 20 중에 나타내는 세로축에 평행한 직선과 양 신호 (C1, C2) 각각의 교점 (Q1, Q2) 을 구하고, 점 (Q1, Q2) 의 거리 (강도의 차이) (ΔI) 를 구하고, 그 강도차 (ΔI) 에 소정의 계수 (γ) 를 곱해, 신호 (C1) 를 기준으로 하는, 신호 (C2) 의 전선 중의 전파에 수반되는 각 Y 헤드 (64) 에 대한 지연 시간 (δ) 을 구한다. 여기서, 계수 (γ) 는 미리 실험 등으로 구한 강도의 차이 (ΔI) 를 상기 지연 시간 (δ) 으로 변환하기 위한 계수이다.
여기서, 주제어 장치 (20) 는 Y 스케일 (39Y1, 39Y2) 각각에 대향하는 2 개의 Y 헤드 (64) 의 각각에 대해 지연 시간 (δ) 을 구하는 것은 물론이다.
다음으로, 주제어 장치 (20) 는 웨이퍼 스테이지 (WST) 를 인접하는 Y 헤드의 간격만큼 -X 방향( 또는 +X 방향) 으로 이동시켜, 상기와 동일한 순서로 Y 스케일 (39Y1, 39Y2) 각각에 대향하는 2 개의 Y 헤드 (64) 의 각각에 대해 지연 시간 (δ) 을 구한다. 이후, 주제어 장치 (20) 는 동일한 순서를 반복하여 모든 Y 헤드 (64) 및 Y 헤드 (64y1, 64y2) 에 대해, 지연 시간 (δ) 을 구한다. 또한, 상기 설명에서는, 2 개의 Y 헤드를 1 세트로 하여 한 번에 지연 시간 (δ) 을 구하는 것으로 하였으나, 이에 한정되지 않고, Y 헤드마다 상기와 동일한 순서로 지연 시간 (δ) 을 구해도 된다.
또, 인코더 시스템의 각 X 헤드 (66) 에 대해 검출 신호 (수광 소자에 의한 광전 변환 신호) 의 전선 중의 전파에 수반되는 지연 시간의 정보를 구하는 경우에는, 주제어 장치 (20) 는, 상기 서술한 보정의 경우와 X 축 방향과 Y 축 방향을 바꾼 처리를 실시한다. 또한, 이 처리의 상세한 것에 대해서는 생략한다.
주제어 장치 (20) 는 상기 서술한 바와 같이 하여, Y 간섭계 (16) 의 계측값을 기준으로 하는 인코더 시스템의 각 Y 헤드의 검출 신호의 전선 중의 전파에 수반되는 지연 시간의 정보, X 간섭계 (126) 의 계측값을 기준으로 하는 인코더 시스템의 각 X 헤드의 검출 신호의 전선 중의 전파에 수반되는 지연 시간의 정보를 각각 구하고, 메모리 (34) 에 기억한다.
다음으로, 상기 서술한 각 헤드의 검출 신호의 전선 중의 전파에 수반되는 계측 지연에 기인하는 인코더의 계측 오차의 보정 방법의 일례에 대해, 도 21 에 기초하여 설명한다. 이 도 21 에는, 소정의 속도 (v0) 로부터 소정의 가속도 (감속도) (a) 로 감속 중의 웨이퍼 스테이지 (WST) 의 Y 축 방향에 관한 위치의 시간 변화의 일례를 나타내는 시간 변화 곡선 y = y(t) 와, 상기 계측 오차를 보정하기 위해 사용되는 근사 직선 y = ycal(t) 가 나타나 있다. 여기서, 시간 변화 곡선 y = y(t) 는, 전술한 각 Y 헤드의 검출 신호의 전선 중의 전파에 수반되는 지연 시간 (δ) 의 기준이 되는 계측 장치, 여기서는 Y 간섭계 (16) 에서 계측되는 웨이퍼 스테이지 (WST) 의 Y 축 방향에 관한 위치의 변화를 나타내는 곡선 (소정의 계측 샘플링 간격으로 얻어지는 Y 간섭계 (16) 의 계측값을 최소 제곱 근사한 곡선) 이다. 근사 직선 y = ycal(t) 는, 시간 변화 곡선 y = y(t) 상의 점 (S1) 과 점 (S2) 을 연결한 직선이다. 점 (S1) 은, 현재 시각을 t 로 하고, 현재 시각 (t) 에 있어서 주제어 장치 (20) 가 취득하는 최신의 Y 인코더 (Y 헤드) 의 계측값에 대응하는, 상기 지연 시간 (δ) 만큼 전의 시각 (t - δ) 에 있어서의 시간 변화 곡선 y = y(t) 상의 점이다. 또, 점 (S2) 은, 현재 시각 (t) 으로부터 1 제어 샘플링 간격 (Δt) (Δt 는, 예를 들어 96㎲) 앞의 시각 (t - Δt) 에 있어서 주제어 장치 (20) 가 취득한 Y 인코더 (Y 헤드) 의 계측값, 즉 1 개 앞의 Y 인코더 (Y 헤드) 의 계측값에 대응하는, 시각 (t - Δt - δ) 에 있어서의 시간 변화 곡선 y = y(t) 상의 점이다. 따라서, 주제어 장치 (20) 는, 현재 시각 (t) 에 있어서 주제어 장치 (20) 가 취득하는 최신의 Y 인코더 (Y 헤드) 의 계측값과, 1 개 앞의 Y 인코더 (Y 헤드) 의 계측값에 기초하여 근사 직선 y = ycal(t) 를 산출할 수 있다.
이 경우, 근사 직선 y = ycal(t) 는 다음 식 (32) 로 나타낼 수 있다.
Figure 112015126739637-pat00001
또, 시간 변화 곡선 y = y(t) 는, 소정의 속도 (v0) 로부터 소정의 가속도 (감속도) (a) 로 감속 중의 웨이퍼 스테이지 (WST) 의 Y 축 방향에 관한 위치 변화의 일례를 나타내는 곡선이기 때문에, 일례로서 다음 식 (33) 으로 나타낼 수 있다.
y = y(t) = v0t - 1/2at2……(33)
따라서, 도 21 중에 나타내는 보정 오차, 즉 현재 시각 (t) 에 있어서의 y = y(t) 와 y = ycal(t) 의 차이 (ycal(t) - y(t)) 는 다음 식 (34) 로 나타낼 수 있다.
Figure 112015126739637-pat00002
감속도 (가속도) a = 20[m/s2], 지연 시간 δ = 100[ns], 1 제어 샘플링 간격 Δt = 96[μsec] 인 경우, 보정 오차는 0.1㎚ 가 되고, 이 양이면 당분간은 문제가 되지 않는다고 할 수 있다. 즉, 각 Y 헤드에 대해 지연 시간 (δ) 이 정확하게 구해져 있으면, 상기 서술한 수법에 의해 계측 지연 (지연 시간) 에서 기인하는 인코더의 계측 오차를 소프트하게 보정할 수 있다.
즉, 주제어 장치 (20) 는 인코더 시스템의 각 Y 헤드의 계측값과, 1 제어 샘플링 간격 앞의 계측값에 기초하여, 시각 (t), 시각 (t - Δt) 에 있어서의 시간 변화 곡선 y = y(t) 상의 점 (S1, S2) 을 찾아내고, 그들 점 (S1, S2) 을 통과하는 근사 직선 y = ycal(t) 를 산출하고, 시각 (t) 에 있어서의 근사 직선 y = ycal(t) 상의 점의 y 좌표값을 구함으로써, 각 Y 헤드의 검출 신호의 전선 중의 전파에 수반되는 계측 지연에 의한 계측 오차를 보정할 수 있고, 인코더 시스템의 각 Y 헤드에 대한 계측 지연의 영향을 보정할 수 있다.
또, 주제어 장치 (20) 는, 인코더 시스템의 각 X 헤드 (66) 에 대한 계측 지연 (지연 시간 (δ)) 의 영향도, 상기 서술과 동일하게 하여 보정할 수 있다.
그 밖의 계측 오차의 발생 요인으로서, 빔 광로 상의 분위기의 온도 요동 (공기 요동) 을 생각할 수 있다. 2 개의 복귀 광속 (LB1, LB2) 간의 위상차 (Ф) 는, 식 (16) 우변 제 1 항으로부터, 2 개의 광속의 광로차 (ΔL) 에 의존한다. 여기서, 공기 요동에 의해 광의 파장 λ 이 λ + Δλ 으로 변화한 것으로 한다. 이 파장의 미소 변화 (Δλ) 에 의해, 위상차는 미소량 ΔФ = 2πΔLΔλ/λ2 변화한다. 여기서, 만일 광의 파장 λ = 1㎛, 미소 변화 Δλ = 1㎚ 로 하면, 광로차 ΔL = 1㎜ 에 대해, 위상 변화 ΔФ = 2π 가 된다. 이 위상 변화는, 인코더의 카운트값으로 환산하면 1 에 상당한다. 또, 변위로 환산하면 p/2(nb - na) 에 상당한다. 따라서, nb = -na = 1 로 하면, p = 1㎛ 인 경우, 0.25㎛ 의 계측 오차가 발생하게 된다.
실제의 인코더에서는, 간섭시키는 2 개의 광속의 광로 길이가 극히 짧기 때문에, 공기 요동에 의한 파장 변화 (Δλ) 는 매우 작다. 또한, 광로차 (ΔL) 는 광축이 반사면에 대해 직교하는 이상 (理想) 상태에 있어서, 거의 0 이 되도록 설계되어 있다. 그 때문에, 공기 요동에서 기인하는 계측 오차는 거의 무시할 수 있다. 간섭계와 비교해도 현격히 작고, 단기 안정성이 우수하다.
본 실시형태의 노광 장치 (100) 에서는, 예를 들어 장치의 기동시 등에, 주제어 장치 (20) 는 전술한 일련의 캘리브레이션 처리, 즉 A. 스테이지 위치 기인 오차 보정 정보의 취득 처리, B. 헤드 위치 캘리브레이션 처리, C. 아베 이탈량을 구하기 위한 캘리브레이션 처리, D. 스케일의 면의 형상 (요철) 을 구하는 처리, E. 스케일의 격자 피치의 보정 정보 및 격자 변형의 보정 정보의 취득 처리 및 F. 계측 지연에 의한 계측 오차의 보정 정보의 취득 처리를 복수 회, 전술한 순서 혹은 상이한 순서로 반복해도 된다. 이 반복시에, 전회까지 계측한 각종 정보를 사용하여, 2 회째 이후의 각종 캘리브레이션 처리를 실시하는 것으로 해도 된다.
예를 들어 상기 서술한 스테이지 위치 기인 오차 보정 정보의 취득 처리시에는, 예를 들어 웨이퍼 테이블 (WTB) (웨이퍼 스테이지 (WST)) 의 피칭 (또는 롤링) 의 조정은, Z 위치 z = 0 의 점을 중심으로 하여 웨이퍼 스테이지 (WST) 를 θx 회전 (또는 θy 회전) 시켜야 하고, 그 전제로는, Y 스케일 (39Y1, 39Y2) (또는 X 스케일 (39X1, 39X2)) 의 전술한 아베 이탈량이 이미 알려져 있어야 한다. 그래서, 제 1 회째의 스테이지 위치 기인 오차 보정 정보의 취득 처리에서는, Y 스케일 (39Y1, 39Y2) (또는 X 스케일 (39X1, 39X2)) 의 아베 이탈량으로서 설계값을 사용하여, 전술한 순서로 A. 스테이지 위치 기인 오차 보정 정보의 취득 처리를 실시하고, 그 후 B. 헤드 위치 캘리브레이션 처리 및 C. 아베 이탈량을 구하기 위한 캘리브레이션 처리를 실시한 후, D. 스케일의 면의 형상 (요철) 을 구하는 처리, 그리고 E. 스케일의 격자 피치의 보정 정보 및 격자 변형의 보정 정보의 취득 처리를 실시하고, 그 후에, 제 2 회째의 A. 스테이지 위치 기인 오차 보정 정보의 취득 처리를 실시할 때에, 위에서 실제로 구한 아베 이탈량에 기초하여, Z 위치 z = 0 의 점을 중심으로 하여 웨이퍼 스테이지 (WST) 를 θx 회전 (또는 θy 회전) 시켜, 전술한 순서로 스테이지 위치 기인 오차 보정 정보를 취득해도 된다. 이와 같이 함으로써, 2 회째의 계측으로 아베 이탈량의 설계값에 대한 오차의 영향을 받지 않는 스테이지 위치 기인 오차 보정 정보를 취득할 수 있게 된다.
다음으로, 상기 서술한 스테이지 위치 기인 오차 보정 정보의 취득, 스케일 표면의 요철 계측, 스케일의 격자 피치의 보정 정보 및 격자 변형의 보정 정보의 취득, 그리고 스케일 표면의 아베 이탈량의 취득 등의 처리가 미리 실시된 후에, 실제의 로트의 처리 중 등에 실행되는, 웨이퍼 스테이지 (WST) 의 XY 평면 내의 위치 제어에 사용되는 인코더의 전환 처리, 즉 복수의 인코더 사이에서의 연결 처리에 대해 설명한다.
여기서, 먼저 복수의 인코더 사이에서의 연결 처리의 설명에 앞서, 그 전제가 되는, 보정이 완료된 인코더의 계측값을 웨이퍼 스테이지 (WST) 의 위치로 변환하는 구체적 방법에 대해 도 22(A) 및 도 22(B) 를 사용하여 설명한다. 여기서는, 설명을 간단하게 하기 위해, 웨이퍼 스테이지 (WST) 의 자유도가 3 자유도 (X, Y, θz) 인 것으로 한다.
도 22(A) 에는, 웨이퍼 스테이지 (WST) 가 좌표 원점 (X, Y, θz) = (0, 0, 0) 에 있는 기준 상태가 나타나 있다. 이 기준 상태로부터, 인코더 (Y 헤드) (Enc1, Enc2) 및 인코더 (X 헤드) (Enc3) 모두가, 각각이 대향하는 스케일 (39Y1, 39Y2 및 39X1) 의 주사 영역으로부터 벗어나지 않는 범위 내에서 웨이퍼 스테이지 (WST) 를 구동시킨다. 이와 같이 하여, 웨이퍼 스테이지 (WST) 가 위치 (X, Y, θz) 로 이동한 상태가 도 22(B) 에 나타나 있다.
여기서, XY 좌표계에 있어서의, 인코더 (Enc1, Enc2, Enc3) 의 계측점의 위치 좌표 (X, Y) 를 각각 (p1, q1), (p2, q2), (p3, q3) 으로 한다. 인코더 (Enc1, Enc2) 의 X 좌표값 (p1, p2) 및 인코더 (Enc3) 의 Y 좌표값 (q3) 으로는, 전술한 헤드 위치의 캘리브레이션시에 취득한 위치 정보가, 인코더 (Enc1, Enc2) 의 Y 좌표값 (q1, q2) 및 인코더 (Enc3) 의 X 좌표값 (p3) 으로는, 설계상 위치 정보가, 메모리 (34) 내로부터 각각 판독 출력되어 사용된다.
X 헤드와 Y 헤드는, 각각 웨이퍼 스테이지 (WST) 의 중심축 (LL 과 LW) 으로부터의 상대 거리를 계측한다. 따라서, X 헤드와 Y 헤드의 계측값 (CX, CY) 은, 각각 다음 식 (35a), (35b) 로 나타낼 수 있다.
CX = r'·ex' …(35a)
CY = r'·ey' …(35b)
여기서, ex', ey' 는 웨이퍼 스테이지 (WST) 에 놓인 상대 좌표계 (X', Y', θz') 에 있어서의 X', Y' 단위 벡터로서, 기준 좌표계 (X, Y, θz) 에 있어서의 X, Y 단위 벡터 (ex, ey) 와, 다음 식 (36) 의 관계가 있다.
Figure 112015126739637-pat00003
또, r' 는 상대 좌표계에 있어서의 인코더의 위치 벡터로서, 기준 좌표계에 있어서의 위치 벡터 r = (p, q) 를 사용하여, r' = r - (O' - O) 로 부여된다. 따라서, 식 (35a), (35b) 는 다음 식 (37a), (37b) 와 같이 고쳐 쓸 수 있다.
CX = (p - X)cosθz + (q - Y)sinθz ……(37a)
CY = -(p - X)sinθz + (q - Y)cosθz ……(37b)
따라서, 도 22(B) 에 나타내는 바와 같이, 웨이퍼 스테이지 (WST) 가 좌표 (X, Y, θz) 에 위치하는 경우, 3 개의 인코더의 계측값은 이론상 다음의 식 (38a) ∼ (38c) (아핀 변환의 관계라고도 부른다) 로 나타낼 수 있다.
C1 = -(p1 - X)sinθz + (q1 - Y)cosθz ……(38a)
C2 = -(p2 - X)sinθz + (q2 - Y)cosθz ……(38b)
C3 = (p3 - X)cosθz + (q3 - Y)sinθz ……(38c)
또한, 도 22(A) 의 기준 상태에서는, 연립 방정식 (38a) ∼ (38c) 로부터, C1 = q1, C2 = q2, C3 = p3 이 된다. 따라서, 기준 상태에 있어서, 3 개의 인코더 (Enc1, Enc2, Enc3) 의 계측값을 각각 q1, q2, p3 으로 초기 설정하면, 이후 웨이퍼 스테이지 (WST) 의 변위 (X, Y, θz) 에 대해, 3 개의 인코더는 식 (38a) ∼ (38c) 로 부여되는 이론값을 제시하게 된다.
연립 방정식 (38a) ∼ (38c) 에서는, 변수가 3 개 (X, Y, θz) 에 대해 3 개의 식이 부여되어 있다. 따라서, 반대로, 연립 방정식 (38a) ∼ (38c) 에 있어서의 종속 변수 (C1, C2, C3) 가 부여되면, 변수 (X, Y, θz) 를 구할 수 있다. 여기서, 근사 sinθz ≒ θz 를 적용하거나, 혹은 보다 고차의 근사를 적용해도, 용이하게 방정식을 풀 수 있다. 따라서, 인코더의 계측값 (C1, C2, C3) 으로부터 웨이퍼 스테이지 (WST) 의 위치 (X, Y, θz) 를 산출할 수 있다.
상기 서술한 바와 같이 하여 구성된 본 실시형태의 노광 장치 (100) 에서는, 전술한 바와 같은 웨이퍼 테이블 (WTB) 상의 X 스케일, Y 스케일의 배치 및 전술한 바와 같은 X 헤드, Y 헤드의 배치를 채용한 점에서, 도 23(A) 및 도 23(B) 등에 예시되는 바와 같이, 웨이퍼 스테이지 (WST) 의 유효 스트로크 범위 (즉, 본 실시형태에서는, 얼라인먼트 및 노광 동작을 위해 이동하는 범위) 에서는, 반드시 X 스케일 (39X1, 39X2) 중 적어도 일방에 헤드 유닛 (62B, 62D) 에 속하는 합계 18 개의 X 헤드 중 적어도 1 지점의 X 헤드 (66) 가 대향하고, 또한 Y 스케일 (39Y1, 39Y2) 에 헤드 유닛 (62A, 62C) 에 각각 속하는 적어도 각 1 개의 Y 헤드 (64), 또는 Y 헤드 (64y1, 64y2) 가 각각 대향하게 되어 있다. 즉, 4 개의 스케일 중 적어도 3 개에, 대응하는 헤드가 적어도 각 1 개 대향하게 되어 있다.
또한, 도 23(A) 및 도 23(B) 중에서는, 대응하는 X 스케일 또는 Y 스케일에 대향한 헤드가 원으로 둘러싸여 나타나 있다.
이 때문에, 주제어 장치 (20) 는 전술한 웨이퍼 스테이지 (WST) 의 유효 스트로크 범위에서는, 인코더 (70A 및 70C) 와, 인코더 (70B 및 70D) 의 적어도 일방의 적어도 합계 3 개의 인코더의 계측값에 기초하여, 스테이지 구동계 (124) 를 구성하는 각 모터를 제어함으로써, 웨이퍼 스테이지 (WST) 의 XY 평면 내의 위치 정보 (θz 방향의 회전을 포함한다) 를 고정밀도로 제어할 수 있다. 인코더 (70A ∼ 70D) 의 계측값이 수용하는 공기 요동의 영향은 간섭계에 비하면 무시할 수 있을만큼 작기 때문에, 공기 요동의 영향을 수용하는 계측의 단기 안정성은 간섭계에 비해 현격히 양호하다.
또, 도 23(A) 중에 백색 화살표로 나타내는 바와 같이 웨이퍼 스테이지 (WST) 를 X 축 방향으로 구동시킬 때, 그 웨이퍼 스테이지 (WST) 의 Y 축 방향의 위치를 계측하는 Y 헤드 (64) 가, 도 23(A) 중에 화살표 e1, e2 로 나타내는 바와 같이, 옆의 Y 헤드 (64) 로 순차 전환된다. 예를 들어 실선의 원으로 둘러싸이는 Y 헤드 (64) 로부터 점선의 원으로 둘러싸이는 Y 헤드 (64) 로 전환된다. 이 때문에, 그 전환 전후에서, 후술하는 계측값의 연결 처리가 실시된다.
또, 도 23(B) 중에 백색 화살표로 나타내는 바와 같이 웨이퍼 스테이지 (WST) 를 Y 축 방향으로 구동시킬 때, 그 웨이퍼 스테이지 (WST) 의 X 축 방향의 위치를 계측하는 X 헤드 (66) 가, 순차 옆의 X 헤드 (66) 로 전환된다. 예를 들어 실선의 원으로 둘러싸이는 X 헤드 (66) 로부터 점선의 원으로 둘러싸이는 X 헤드 (66) 로 전환된다. 이 때문에, 그 전환 전후에서 계측값의 연결 처리가 실시된다.
여기서, 도 23(A) 중에 화살표 e1 로 나타내는 Y 헤드 643 으로부터 644 로의 전환을 예로, 인코더 헤드의 전환 순서를 도 24(A) ∼ 도 24(E) 에 기초하여 설명한다.
도 24(A) 에는, 전환 전의 상태가 나타나 있다. 이 상태에서는, Y 스케일 (39Y2) 상의 주사 영역 (회절 격자가 형성되어 있는 영역) 에 대향하고 있는 Y 헤드 (643) 가 작동하고 있어, 주사 영역으로부터 벗어나 있는 Y 헤드 (644) 는 정지되어 있다. 여기서, 작동하고 있는 헤드를 흑색 원, 정지되어 있는 헤드를 백색 원으로 나타낸다. 그리고, 주제어 장치 (20) 는 작동 중의 Y 헤드 (643) 의 계측값을 감시하고 있다. 여기서, 계측값이 감시되고 있는 헤드를 2 중의 직사각형 프레임으로 나타냈다.
여기서, 웨이퍼 스테이지 (WST) 가 +X 방향으로 이동한다. 그로써, Y 스케일 (39Y2) 이 우측 방향으로 변위한다. 여기서, 본 실시형태에서는 전술한 바와 같이, 인접하는 2 개의 Y 헤드의 간격은, Y 스케일 (39Y2) 의 X 축 방향의 유효폭 (주사 영역의 폭) 보다 좁게 설정되어 있다. 그 때문에, 도 24(B) 에 나타내는 바와 같이, Y 헤드 (643, 644) 가 Y 스케일 (39Y2) 의 주사 영역에 대향하는 상태가 있다. 그래서, 주제어 장치 (20) 는 작동 중의 Y 헤드 (643) 와 함께, 정지 중의 Y 헤드 (644) 가 주사 영역에 대향한 것을 확인하여 Y 헤드 (644) 를 복귀시킨다. 단, 주제어 장치 (20) 는 이 시점에서는 아직 계측값의 감시를 개시하지 않는다.
다음으로, 도 24(C) 에 나타내는 바와 같이, 나중에 정지되는 Y 헤드 (643) 가 주사 영역에 대향하고 있는 동안에, 주제어 장치 (20) 는 Y 헤드 (643) 를 포함하는 작동 중의 인코더 헤드의 계측값으로부터, 복귀한 Y 헤드 (644) 의 기준 위치를 산출한다. 그리고, 주제어 장치 (20) 는, 그 기준 위치를 Y 헤드 (644) 의 계측값의 초기값으로서 설정한다. 또한, 기준 위치의 산출과 초기값의 설정에 관해서는, 다음에 상세하게 설명한다.
주제어 장치 (20) 는 상기 초기값의 설정과 동시에, 계측값을 감시하는 인코더 헤드를, Y 헤드 643 으로부터 644 로 전환한다. 전환 종료 후, 주제어 장치 (20) 는 도 24(D) 에 나타내는 바와 같이, Y 헤드 (643) 를 주사 영역으로부터 벗어나기 전에 정지시킨다. 이상에 의해, 인코더 헤드의 전환 전체 작업이 종료되고, 이후, 도 24(E) 에 나타내는 바와 같이, Y 헤드 (644) 의 계측값이 주제어 장치 (20) 에 의해 감시된다.
본 실시형태에서는, 헤드 유닛 (62A, 62C) 이 각각 구비하는 인접하는 Y 헤드 (64) 의 간격은, 예를 들어 70㎜ (일부 예외 있음) 로서, Y 스케일 (39Y1, 39Y2) 의 주사 영역의 X 축 방향의 유효폭 (예를 들어 76㎜) 보다 좁게 설정되어 있다. 또, 동일하게, 헤드 유닛 (62B, 62D) 이 각각 구비하는 인접하는 X 헤드 (66) 의 간격은, 예를 들어 70㎜ (일부 예외 있음) 로서, X 스케일 (39X1, 39X2) 의 주사 영역의 Y 축 방향의 유효폭 (예를 들어 76㎜) 보다 좁게 설정되어 있다. 이로써, 상기 서술한 바와 같이, Y 헤드 (64) 및 X 헤드 (66) 의 전환을 원활하게 실행할 수 있다.
또한, 본 실시형태에서는, 인접하는 양 헤드가 스케일에 대향하는 범위, 즉 도 24(B) 에 나타내는 상태부터 도 24(D) 에 나타내는 상태까지의 웨이퍼 스테이지 (WST) 의 이동 거리가 예를 들어 6㎜ 이다. 그 중앙, 즉, 도 24(C) 에 나타내는 웨이퍼 스테이지 (WST) 의 위치에서 계측값을 감시하는 헤드가 전환된다. 이 전환 작업은, 정지되는 헤드가 주사 영역으로부터 벗어날 때까지, 즉 웨이퍼 스테이지 (WST) 가 도 24(C) 에 나타내는 상태부터 도 24(D) 에 나타내는 상태까지로 거리 3㎜ 의 영역을 이동하는 동안에 완료된다. 예를 들어 스테이지의 이동 속도 1m/sec 인 경우, 3msec 의 시간 내에 헤드의 전환 작업이 완료되게 된다.
다음으로, 인코더 헤드의 전환시에 있어서의 연결 처리, 즉 계측값의 초기 설정에 대해, 주제어 장치 (20) 의 동작을 중심으로 하여 설명한다.
본 실시형태에서는, 전술한 바와 같이, 웨이퍼 스테이지 (WST) 의 유효 스트로크 범위에서는 항상 3 개의 인코더 (X 헤드 및 Y 헤드) 가 웨이퍼 스테이지 (WST) 를 관측하고 있고, 인코더의 전환 처리를 실시할 때에는 도 25 에 나타내는 바와 같이, 4 개의 인코더가 웨이퍼 스테이지 (WST) 를 관측하고 있게 된다.
웨이퍼 스테이지 (WST) 의 XY 평면 내의 위치 제어에 사용되는 인코더의 전환 처리 (연결) 를 실시하고자 하는 순간에 있어서, 도 25 에 나타내는 바와 같이, 인코더 (Enc1, Enc2, Enc3 및 Enc4) 가, 각각 스케일 (39Y1, 39Y2, 39X1, 39X2) 위에 위치하고 있다. 이 도 25 를 언뜻 보면, 인코더 (Enc1) 로부터 인코더 (Enc4) 로 전환하고자 하는 것처럼 보이지만, 인코더 (Enc1) 와 인코더 (Enc4) 에서는, 계측 방향이 상이한 점에서도 분명한 바와 같이, 연결을 실시하고자 하는 타이밍에 있어서 인코더 (Enc1) 의 계측값 (카운트값) 을 그대로 인코더 (Enc4) 의 계측값의 초기값으로서 부여해도 아무 의미도 없다.
그래서, 본 실시형태에서는, 주제어 장치 (20) 가 3 개의 인코더 (Enc1, Enc2 및 Enc3) 에 의한 계측·서보로부터, 3 개의 인코더 (Enc2, Enc3 및 Enc4) 에 의한 계측·서보로 전환하게 되어 있다. 즉, 도 25 로부터 알 수 있는 바와 같이, 이 방식은 통상적인 인코더 연결의 개념과는 상이하고, 어느 헤드로부터 다른 헤드로 연결한다는 것이 아니고, 3 개의 헤드 (인코더) 의 조합으로부터 다른 3 개의 헤드 (인코더) 의 조합으로 연결하는 것이다. 또한, 3 개의 헤드와 다른 3 개의 헤드에서 상이한 헤드는 1 개에 한정되지 않는다. 또, 도 25 에서는 인코더 (Enc3) 를 인코더 (Enc4) 로 전환하는 것으로 하였으나, 인코더 (Enc4) 대신에, 예를 들어 인코더 (Enc3) 에 인접하는 인코더로 전환하는 것으로 해도 된다.
주제어 장치 (20) 는, 먼저 인코더 (Enc1, Enc2 및 Enc3) 의 계측값 (C1, C2, C3) 에 기초하여, 상기 연립 방정식 (38a) ∼ (38c) 를 풀어, 웨이퍼 스테이지 (WST) 의 XY 평면 내의 위치 정보 (X, Y, θz) 를 산출한다.
다음으로, 주제어 장치 (20) 는, 다음 식 (39) 의 아핀 변환의 식에, 위에서 산출한 X, θz 를 대입하여, 인코더 (X 헤드) (Enc4) 의 계측값의 초기값을 결정한다.
C4 = (p4 - X)cosθz + (q4 - Y)sinθz ……(39)
상기 식 (39) 에 있어서, p4, q4 는 인코더 (Enc4) 의 계측점의 X 좌표값, Y 좌표값이다. 인코더 (Enc4) 의 Y 좌표값 (q4) 으로서 전술한 헤드 위치의 캘리브레이션시에 취득한 위치 정보가, 인코더 (Enc4) 의 X 좌표값 (p4) 으로는 설계상 위치 정보가, 메모리 (34) 내로부터 각각 판독 출력되어 사용된다.
상기 초기값 (C4) 을 인코더 (Enc4) 의 초기값으로서 부여함으로써, 웨이퍼 스테이지 (WST) 의 3 자유도 방향의 위치 (X, Y, θz) 를 유지한 채로, 모순없이 연결이 완료되게 된다. 그 이후에는, 전환 후에 사용하는 인코더 (Enc2, Enc3 및 Enc4) 의 계측값 (C2, C3, C4) 을 사용하여, 다음의 연립 방정식 (38b) ∼ (38d) 를 풀어, 웨이퍼 스테이지 (WST) 의 위치 좌표 (X, Y, θz) 를 산출한다.
C2 = -(p2 - X)sinθz + (q2 - Y)cosθz …(38b)
C3 = (p3 - X)cosθz + (q3 - Y)sinθz …(38c)
C4 = (p4 - X)cosθz + (q4 - Y)sinθz …(38d)
또한, 4 개째의 인코더가 Y 헤드인 경우에는, 이론식 (38d) 대신에 다음의 이론식 (38e) 를 사용한 연립 방정식 (38b) (38c) (38e) 를 사용하면 된다.
C4 = -(p4 - X)sinθz + (q4 - Y)cosθz …(38e)
단, 위에서 산출된 계측값 (C4) 은, 전술한 각종 인코더의 계측 오차가 보정된 보정 완료된 인코더의 계측값이기 때문에, 주제어 장치 (20) 는, 전술한 스테이지 위치 기인 오차 보정 정보, 스케일의 격자 피치의 보정 정보 (및 격자 변형의 보정 정보), 아베 이탈량 (아베 오차 보정 정보) 등을 사용하여, 계측값 (C4) 을 역보정하고, 보정 전의 원시값 (raw value, C4') 을 산출하고, 그 원시값 (C4') 을 인코더 (Enc4) 의 계측값의 초기값으로서 결정한다.
여기서 역보정이란, 아무런 보정을 실시하지 않는 인코더의 계측값 (C4') 을, 전술한 스테이지 위치 기인 오차 보정 정보, 스케일 기인 오차 보정 정보 (예를 들어 스케일의 격자 피치의 보정 정보 (및 격자 변형의 보정 정보) 등), 및 아베 이탈량 (아베 오차 보정 정보) 등을 사용하여 보정한 보정 후의 인코더의 계측값이 C4 라는 가정하에, 계측값 (C4) 에 기초하여 계측값 (C4') 을 산출하는 처리를 의미한다.
그런데, 웨이퍼 스테이지 (WST) 의 위치 제어의 간격 (제어 샘플링 간격) 은, 일례로서 96[μsec] 인데, 간섭계나 인코더의 계측 간격 (계측 샘플링 간격) 은 이보다 훨씬 고속으로 실시할 필요가 있다. 간섭계나 인코더의 샘플링이 제어 샘플링보다 고속인 이유는, 간섭계나 인코더도 간섭광의 강도 변화 (프린지) 를 세고 있는 것으로서, 샘플링 간격이 커지면 계측이 곤란해지기 때문이다.
그런데, 웨이퍼 스테이지 (WST) 의 위치 서보 제어계에서는, 96[μsec] 의 제어 샘플링 간격마다 웨이퍼 스테이지 (WST) 의 현재 위치를 갱신하고, 목표 위치에 위치 결정하기 위한 연산을 하여, 추력 지령값 등을 출력하고 있다. 따라서, 웨이퍼 스테이지의 위치 정보를 필요로 하는 것은 96[μsec] 의 제어 샘플링 간격마다이고, 그 사이의 위치 정보는 웨이퍼 스테이지 (WST) 의 위치 제어에는 필요없다. 간섭계나 인코더는 프린지를 잃지 않기 위해 고속으로 샘플링하고 있는 것에 불과하다.
그래서, 본 실시형태에서는, 주제어 장치 (20) 는 웨이퍼 스테이지 (WST) 가 전술한 유효 스트로크 범위에 있는 동안은 항상, 인코더 시스템의 각 인코더 (헤드) 로부터 스케일을 보고 있는지의 여부에 관계없이 계측값 (카운트값) 을 방류하여 계속 수취한다. 그리고, 주제어 장치 (20) 는 상기 서술한 인코더의 전환 동작 (복수 인코더 사이의 연결 동작) 을, 96[μsec] 마다 실시되는 웨이퍼 스테이지의 위치 제어의 타이밍과 동기하여 실시하고 있다. 이와 같이 함으로써, 전기적으로 고속의 인코더의 전환 동작이 불필요해져, 그러한 고속의 전환 동작을 실현하기 위한 고가의 하드웨어를 반드시 형성하지 않아도 되게 된다. 도 26 에는, 본 실시형태에 있어서 실시되는 웨이퍼 스테이지 (WST) 의 위치 제어, 인코더의 카운트값의 취입 및 인코더 전환의 타이밍이 개념적으로 나타나 있다. 이 도 26 에 있어서, 부호 CSCK 는 웨이퍼 스테이지 (WST) 의 위치 제어의 샘플링 클록의 발생 타이밍을 나타내고, 부호 MSCK 는 인코더 (및 간섭계) 의 계측 샘플링 클록의 발생 타이밍을 나타낸다. 또, 부호 CH 는 인코더의 전환 (연결) 을 모식적으로 나타낸다.
또한, 인코더의 전환을 실시하는지의 여부에 관계없이, 주제어 장치 (20) 는 웨이퍼 스테이지의 위치 제어의 샘플링 클록의 발생 타이밍마다, 각 헤드에 대한 지연 시간 (δ) 에서 기인되는 계측 오차의 보정을 실행한다. 이로써, 계측 지연에 의한 계측 오차가 보정된 3 개의 인코더의 계측값에 기초하여, 웨이퍼 스테이지 (WST) 의 위치 (X, Y, θz) 가 제어되게 된다.
그런데, 상기 설명에서는, 어느 헤드 (인코더) 의 조합으로부터 어느 헤드 (인코더) 의 조합으로 전환되는지, 어느 타이밍으로 전환되는지를 알고 있는 것으로 하고 있는데, 실제의 시퀀스에서도 이와 같이 되어 있어야 한다. 연결을 실행하는 타이밍에 대해서도 사전에 스케줄링해 두는 것이 바람직하다.
그래서, 본 실시형태에서는, 주제어 장치 (20) 는 웨이퍼 스테이지 (WST) 의 이동 루트 (목표 궤도) 에 기초하여, XY 평면 내의 3 자유도 (X, Y, θz) 방향에 관한 웨이퍼 스테이지 (WST) 의 위치 정보를 계측하기 위해 사용하는 3 개의 인코더 (헤드) 의 전환 (3 개의 헤드의 조합 (예를 들어 인코더 (Enc1, Enc2 및 Enc3)) 으로부터, 다른 3 개의 헤드의 조합 (예를 들어 Enc4, Enc2 및 Enc3) 으로의 전환, 및 그 전환의 타이밍) 을 미리 스케줄링하고, 그 스케줄링 결과를 메모리 (34) 등의 기억 장치에 기억시키고 있다.
여기서, 리트라이 (재시도) 를 생각하지 않으면, 쇼트 맵 (노광 맵) 마다 일정한 스케줄 내용이 되지만, 실제로는 리트라이를 고려해야 하기 때문에, 주제어 장치 (20) 는 노광 동작을 실시하면서 조금 앞의 스케줄을 항상 갱신해 가는 것이 바람직하다.
또한, 위에서는, 본 실시형태에 있어서의 웨이퍼 스테이지 (WST) 의 위치 제어에 사용하는 인코더의 전환 방법에 관한 원리적인 설명을 실시하는 관계에서 인코더 (헤드) (Enc1, Enc2, Enc3, Enc4) 등으로 하고 있지만, 헤드 (Enc1, Enc2) 는 헤드 유닛 (62A, 62C) 의 Y 헤드 (64) 및 한 쌍의 Y 헤드 (64y1, 64y2) 중 어느 하나를 대표적으로 나타내고, 헤드 (Enc3, Enc4) 는 헤드 유닛 (62B, 62D) 의 X 헤드 (66) 를 대표적으로 나타내는 것임은 말할 필요도 없다. 또, 동일한 이유에서, 도 22(A), 도 22(B) 및 도 25 에서는, 인코더 (헤드) (Enc1, Enc2, Enc3) 등의 배치도 실제의 배치 (도 3 등) 와는 상이하게 나타나 있다.
<<전환 및 연결 원리의 일반론>>
본 실시형태에서는, 웨이퍼 스테이지 (WST) 의 3 자유도 (X, Y, θz) 방향의 위치 좌표를 계측하기 위해, 항상 인코더 시스템 (70A ∼ 70D) 을 구성하는 X 인코더 (헤드) 및 Y 인코더 (헤드) 중, 적어도 1 개의 X 헤드와 적어도 2 개의 Y 헤드를 포함하는 적어도 3 개의 헤드를 사용하고 있다. 그 때문에, 웨이퍼 스테이지 (WST) 의 이동에 수반하여 사용하는 헤드를 전환할 때에는, 전환 전후에서 스테이지 위치의 계측 결과를 연속으로 연결하기 위해, 3 개의 헤드의 조합으로부터 다른 3 개의 헤드의 조합으로 전환하는 방식을 채용하고 있다. 이 방식을 제 1 방식이라고 부르는 것으로 한다.
그러나, 전환 및 연결 처리의 기본 원리를 상이한 관점에서 생각하면, 사용하고 있는 3 개의 헤드 중 1 개의 헤드를 다른 1 개의 헤드로 전환하는 방식으로 파악할 수도 있다. 이 방식을 제 2 방식이라고 부른다. 그래서, 도 24(A) ∼ 도 24(E) 에 나타나 있는 Y 헤드 (643) 으로부터 Y 헤드 (644) 로의 전환 및 연결 처리를 예로서, 제 2 방식을 설명한다.
전환 처리의 기본 순서는 앞서 서술한 순서와 동일하고, 도 24(A) ∼ 도 24(E) 에 나타내는 바와 같이, 나중에 정지되는 제 1 헤드 (643) 와 새롭게 사용되는 제 2 헤드 (644) 의 양방이 대응하는 스케일 (39Y2) 에 대향하고 있는 동안에, 제 2 헤드 (644) 의 복귀와 계측값의 설정 (연결 처리) 및 계측값을 감시하는 헤드의 전환 (및 제 1 헤드 (643) 의 정지) 이 주제어 장치 (20) 에 의해 실행된다.
계측값의 설정 (연결 처리) 시에, 주제어 장치 (20) 는 제 2 헤드 (644) 의 계측값 (CY4) 을, 제 1 헤드 (643) 의 계측값 (CY3) 을 사용하여 예측한다. 여기서, 이론식 (37b) 으로부터, Y 헤드 (643, 644) 의 계측값 (CY3, CY4) 은 다음 식 (39a) (39b) 에 따른다.
CY3 = -(p3 - X)sinθz + (q3 - Y)cosθz ……(39a)
CY4 = -(p4 - X)sinθz + (q4 - Y)cosθz ……(39b)
여기서, (p3, q3), (p4, q4) 는 Y 헤드 (643, 644) 의 X, Y 설치 위치 (보다 정확하게는 계측점의 X, Y 위치) 이다. 간단하게 하기 위해, Y 헤드 (643, 644) 의 Y 설치 위치는 동등한 (q3 = q4) 로 가정한다. 이 가정하에, 상기 식 (39a) (39b) 로부터, 다음 식 (40) 이 얻어진다.
CY4 = CY3 + (p3 - p4)sinθz ……(40)
따라서, 나중에 정지되는 제 1 헤드 (643) 의 계측값을 상기 식 (40) 의 우변의 CY3 에 대입하여 좌변의 CY4 를 구함으로써, 새롭게 사용하는 제 2 헤드 (644) 의 계측값을 예측할 수 있다.
얻어진 예측값 (CY4) 을 그에 적합한 타이밍으로, 제 2 헤드 (644) 의 계측값의 초기값으로서 설정한다. 설정 후, 제 1 헤드 (643) 를 스케일 (39Y2) 로부터 벗어날 때에 정지시켜, 전환 및 연결 처리가 완료된다.
또한, 상기 식 (40) 을 사용하여 제 2 헤드 (644) 의 계측값을 예측할 때, 변수 (θz) 에는, 작동 중인 다른 헤드의 계측 결과로부터 얻어지는 회전각 (θz) 의 값을 대입하면 된다. 여기서, 작동 중인 다른 헤드란, 전환의 대상으로 되어 있는 제 1 헤드 (643) 에 한정하지 않고, 회전각 (θz) 을 구하는 데 필요한 계측 결과를 제공하는 헤드 전부를 포함한다. 여기서, 제 1 헤드 (643) 는 헤드 유닛 (62C) 의 1 개의 헤드이므로, 제 1 헤드 (643) 와, 예를 들어 전환시에 Y 스케일 (39Y1) 과 대향하는 헤드 유닛 (62A) 의 1 개의 헤드를 사용하여 회전각 (θz) 을 구해도 된다. 혹은, 변수 (θz) 에는, 간섭계 시스템 (118) 의 X 간섭계 (126), Y 간섭계 (16), 혹은 Z 간섭계 (43A, 43B) 등의 계측 결과로부터 얻어지는 회전각 (θz) 의 값을 대입할 수도 있다.
또한, 여기서는 Y 헤드끼리의 전환 및 연결 처리를 예로 설명하였으나, X 헤드끼리의 전환 및 연결 처리에 대해서도, 또 X 헤드와 Y 헤드 사이와 같이 상이한 헤드 유닛에 속하는 2 개의 헤드 사이의 전환 및 연결 처리에 대해서도, 동일하게 제 2 방식으로서 설명할 수 있다.
그래서, 연결 처리의 원리를 일반화하면, 웨이퍼 스테이지 (WST) 의 위치 계측의 결과가 전환 전후에서 연속으로 이어지도록, 새롭게 사용되는 다른 헤드의 계측값을 예측하고, 그 예측값을 제 2 헤드의 계측값의 초기값으로서 설정한다. 여기서, 다른 헤드의 계측값을 예측하기 위해, 이론식 (37a) (37b) 와, 나중에 정지되는 전환 대상의 헤드를 포함하여 작동 중인 헤드의 계측값을 필요 수 사용하게 된다. 단, 연결시에 필요한 웨이퍼 스테이지 (WST) 의 θz 방향의 회전각은, 간섭계 시스템 (118) 의 계측 결과로부터 얻어지는 값을 사용해도 된다.
상기 서술한 바와 같이, 앞의 제 1 방식과 동일하게, 웨이퍼 스에이지 (WST) 의 3 자유도 (X, Y, θz) 방향의 위치를 계측하기 위해, 항상 적어도 3 개의 헤드를 사용하는 것을 전제로 해도, 새롭게 사용되는 다른 헤드의 계측값을 예측하는 구체적 순서에는 저촉되지 않고, 전환 및 연결 처리의 직접적인 대상인 2 개의 헤드에만 주목하면, 사용하고 있는 3 개의 헤드 중 1 개의 헤드를 다른 1 개의 헤드로 전환하는 제 2 방식의 착안이 성립한다.
또한, 지금까지는 웨이퍼 스테이지 (WST) 의 3 자유도 (X, Y, θz) 방향의 위치를, 적어도 3 개의 헤드를 사용하여 계측하는 것을 전제로 설명하였다. 그러나, 2 개 이상의 m 개의 자유도 방향 (자유도의 선택은 임의) 의 위치를, 적어도 m 개의 헤드를 사용하여 계측하는 경우에도, 사용하고 있는 m 개의 헤드 중 1 개의 헤드를 다른 1 개의 헤드로 전환하는 제 2 방식의 착안이 상기 서술과 동일하게 성립하는 것은 분명하다.
다음으로, 특수한 조건하에서는, 2 개의 헤드의 조합으로부터 다른 2 개의 헤드의 조합으로 전환하는 방식 (제 3 방식이라고 부른다) 의 착안이, 수미일관하여 성립하는 것을 설명한다.
상기 서술한 예에서는, 도 24(A) ∼ 도 24(E) 에 나타내는 바와 같이, Y 헤드 (643, 644) 의 각각이 대응하는 Y 스케일 (39Y2) 에 대향하고 있는 동안에, 양 헤드 (643, 644) 간의 전환 및 연결 처리가 실행된다. 이 때, 본 실시형태의 노광 장치 (100) 에서 채용하는 스케일과 헤드의 배치에 의하면, 헤드 유닛 (62A) 의 1 개의 Y 헤드 (64A 로 한다) 가 Y 스케일 (39Y1) 에 대향하여, Y 스케일 (39Y1) 의 Y 축 방향의 상대 변위를 계측하고 있다. 그래서, 제 1 조합의 Y 헤드 (643, 64A) 로부터 제 2 조합의 Y 헤드 (644, 64A) 로의 전환 및 연결 처리를 생각해 본다.
Y 헤드 (64A) 의 계측값 (CYA) 은, 이론식 (37b) 으로부터 다음 식 (39c) 에 따른다.
CYA = -(pA - X)sinθz + (qA - Y)cosθz ……(39c)
여기서, (pA, qA) 는 Y 헤드 (64A) 의 X, Y 설치 위치 (보다 정확하게는 계측점의 X, Y 위치) 이다. 간단하게 하기 위해, Y 헤드 (64A) 의 Y 설치 위치 (qA) 는, Y 헤드 (643, 644) 의 Y 설치 위치 (q3, q4) 와 동등한 (qA = q3 = q4) 로 가정한다.
제 1 조합의 Y 헤드 (643, 64A) 의 계측값 (CY3, CYA) 이 따르는 이론식 (39a) (39c) 을, 새롭게 사용하는 Y 헤드 (644) 의 계측값 (CY3) 이 따르는 이론식 (39b) 에 대입하면, 다음 식 (41) 이 유도된다.
CY4 = (1 - c)CY3 - c·CYA ……(41)
단, 상수 c = (p3 - p4)/(qA - q3) 으로 두었다. 따라서, Y 헤드 (643, 64A) 의 계측값의 각각을 상기 식 (41) 의 우변의 CY3, CYA 에 대입하여 좌변의 CY4 를 구하게 되어, 새롭게 사용하는 Y 헤드 (644) 의 계측값을 예측할 수 있다.
얻어진 예측값 (CY4) 을, 그에 적합한 타이밍으로 Y 헤드 (644) 의 계측값으로서 설정한다. 설정 후, Y 헤드 (643) 를 Y 스케일 (39Y2) 로부터 벗어날 때에 정지시켜, 전환 및 연결 처리가 완료된다.
또한, 본 실시형태의 노광 장치 (100) 에 있어서 채용된 스케일과 헤드의 배치에 의하면, 적어도 1 개의 X 헤드 (66) 가 X 스케일 (39X1 또는 39X2) 에 대향하고 있고, 그 X 축 방향에 대한 상대 변위를 계측하고 있다. 그리고, 1 개의 X 헤드 (66) 와 2 개의 Y 헤드 (643, 64A) 의 3 개의 헤드의 계측 결과로부터, 웨이퍼 스테이지 (WST) 의 3 자유도 (X, Y, θz) 방향의 위치를 산출하고 있다. 그러나, 상기 서술한 전환 및 연결 처리의 예에서는, X 헤드 (66) 는 스펙테이터 (spectator) 의 역할을 하고 있을 뿐이고, 2 개의 Y 헤드 (643, 64A) 의 조합으로부터 다른 2 개의 Y 헤드 (644, 64A) 의 조합으로 전환하는 제 3 방식의 착안이 수미일관하여 성립하고 있다.
따라서, 웨이퍼 스테이지 (WST) 의 3 자유도 (X, Y, θz) 방향의 위치를 계측하기 위해서는 3 개의 헤드의 사용이 불가결하다는 전제하에서, 본 실시형태의 노광 장치 (100) 에 있어서 채용된 스케일과 헤드의 배치에 상관없이, 모든 케이스에 있어서 적용 가능한 전환 및 연결 처리의 일반적 방식으로서, 제 1 방식이 제안된 것이다. 그리고, 본 실시형태의 노광 장치 (100) 에 있어서 채용된 스케일과 헤드의 구체적인 배치, 그리고 연결 처리의 구체적 순서를 밟으면, 특별한 조건하에서 제 3 방식의 착안이 성립하는 경우도 있다.
또한, 제 1 방식에 추가하여, 상기 서술한 제 2 및 제 3 방식에 의한 인코더 헤드의 전환 및 연결 처리에서는, 전환 전후에서 감시하는 웨이퍼 스테이지 (WST) 의 위치 좌표가 연속으로 이어지도록, 새롭게 사용하는 다른 헤드의 계측값을 예측하고, 이 예측값을 다른 헤드의 계측값의 초기값으로서 설정하는 것으로 하였다. 그 대신에, 전환 및 연결 처리에 의해 발생하는 계측 오차도 포함하여, 다른 헤드의 계측 오차를 산출하고, 그 보정 데이터를 작성한다. 그리고, 다른 헤드의 사용 중에는, 작성한 보정 데이터를 사용하여 웨이퍼 스테이지 (WST) 를 서보 구동 제어하는 것으로 해도 된다. 이 경우, 보정 데이터에 기초하여, 다른 헤드에 의해 계측되는 웨이퍼 스테이지 (WST) 의 위치 정보를 보정해도 되고, 서보 제어를 위한 웨이퍼 스테이지 (WST) 의 목표 위치를 보정해도 된다. 또한, 노광 동작에서는, 웨이퍼 스테이지 (WST) 의 움직임에 추종하여 레티클 스테이지를 서보 구동 제어하고 있다. 그래서, 보정 데이터에 기초하여, 웨이퍼 스테이지 (WST) 의 서보 제어를 수정하는 대신에, 레티클 스테이지의 추종 서보 제어를 수정하는 것으로 해도 된다. 또, 이들 제어 방식에 의하면, 다른 헤드의 초기값으로서 전환 전의 헤드의 계측값을 그대로 설정해도 된다. 또한, 보정 데이터를 작성할 때, 인코더 시스템에 한정하지 않고, 간섭계 시스템 등, 본 실시형태에 있어서의 노광 장치에 구비되어 있는 계측 시스템을 적절히 사용하면 된다.
다음으로, 본 실시형태의 노광 장치 (100) 에 있어서의, 웨이퍼 스테이지 (WST) 와 계측 스테이지 (MST) 를 사용한 병행 처리 동작에 대해, 도 27 ∼ 도 40 에 기초하여 설명한다. 또한, 이하의 동작 중, 주제어 장치 (20) 에 의해, 국소 액침 장치 (8) 의 액체 공급 장치 (5) 및 액체 회수 장치 (6) 의 각 밸브의 개폐 제어가 전술한 바와 같이 하여 실시되고, 투영 광학계 (PL) 의 선단 렌즈 (191) 의 바로 아래에는 항상 물이 채워져 있다. 그러나, 이하에서는, 설명을 알기 쉽게 하기 위해, 액체 공급 장치 (5) 및 액체 회수 장치 (6) 의 제어에 관한 설명은 생략한다. 또, 이후의 동작 설명은 다수의 도면을 사용하여 실시하지만, 도면마다 동일한 부재에 부호가 부여되어 있거나, 부여되어 있지 않다. 즉, 도면마다 기재되어 있는 부호가 상이하지만, 그들 도면은 부호의 유무에 상관없이 동일 구성이다. 지금까지 설명에 사용한 각 도면에 대해서도 동일하다.
도 27 에는, 웨이퍼 스테이지 (WST) 상의 웨이퍼 (W) (여기서는, 일례로서 어느 로트 (1 로트는 25 장 또는 50 장) 의 중간 웨이퍼로 한다) 에 대한 스텝·앤드·스캔 방식의 노광이 실시되어 있는 상태가 나타나 있다. 이 때, 계측 스테이지 (MST) 는, 웨이퍼 스테이지 (WST) 와의 충돌이 회피되는 퇴피 위치에 대기하고 있어도 되지만, 본 실시형태에서는 웨이퍼 스테이지 (WST) 와 소정의 거리를 유지하고 추종하여 이동하고 있다. 이 때문에, 노광 종료 후에, 웨이퍼 스테이지 (WST) 와의 접촉 상태 (또는 근접 상태) 로 이행할 때의 계측 스테이지 (MST) 의 이동 거리는, 상기 소정의 거리와 동일한 거리로 충분하게 된다.
이 노광 중, 주제어 장치 (20) 에 의해, X 스케일 (39X1, 39X2) 에 각각 대향하는 도 27 중에 원으로 둘러싸여 나타나 있는 2 개의 X 헤드 (66) (X 인코더 (70B, 70D)) 와, Y 스케일 (39Y1, 39Y2) 에 각각 대향하는 도 27 중에 원으로 둘러싸여 나타나 있는 2 개의 Y 헤드 (64) (Y 인코더 (70A, 70C)) 중, 적어도 3 개의 인코더의 계측값, 및 간섭계 시스템 (118) 에 의해 계측되는 웨이퍼 스테이지 (WST) 의 피칭량 또는 롤링량 및 요잉량, 그리고 Z 위치에 따른 각 인코더의 스테이지 위치 기인 오차 보정 정보 (전술한 식 (22) 또는 식 (23) 으로 구해지는 보정 정보), 각 스케일에 대한 격자 피치의 보정 정보 및 격자선의 휨의 보정 정보, 그리고 아베 이탈량 (아베 오차 보정 정보) 에 기초하여, 웨이퍼 테이블 (WTB) (웨이퍼 스테이지 (WST)) 의 XY 평면 내의 위치 (θz 회전을 포함한다) 가 제어되어 있다. 또, 주제어 장치 (20) 에 의해, 웨이퍼 테이블 (WTB) 의 Z 축 방향의 위치와 θy 회전 (롤링) 및 θx 회전 (피칭) 은, 웨이퍼 테이블 (WTB) 표면의 X 축 방향 일측과 타측의 단부 (본 실시형태에서는 Y 스케일 (39Y1, 39Y2)) 에 각각 대향하는 각 한 쌍의 Z 센서 (741,j, 742,j, 761,q, 762,q) 의 계측값에 기초하여 제어되어 있다. 또한, 웨이퍼 테이블 (WTB) 의 Z 축 방향의 위치와 θy 회전 (롤링) 을 Z 센서 (741,j, 742,j, 761,q, 762,q) 의 계측값에 기초하여 제어하고, θx 회전 (피칭) 은 Y 간섭계 (16) 의 계측값에 기초하여 제어해도 된다. 어느 경우에 있어서도, 이 노광 중의 웨이퍼 테이블 (WTB) 의 Z 축 방향의 위치, θy 회전 및 θx 회전의 제어 (웨이퍼 (W) 의 포커스·레벨링 제어) 는, 전술한 다점 AF 계에 의해 사전에 실시된 포커스 맵핑의 결과에 기초하여 실시된다.
상기 노광 동작은, 주제어 장치 (20) 에 의해, 사전에 실시된 웨이퍼 얼라인먼트 (예를 들어, EGA; Enhanced Globla Alignment) 의 결과 및 얼라인먼트계 (AL1, AL21 ∼ AL24) 의 최신 베이스 라인 등에 기초하여, 웨이퍼 (W) 상의 각 쇼트 영역의 노광을 위한 주사 개시 위치 (가속 개시 위치) 로 웨이퍼 스테이지 (WST) 가 이동되는 쇼트간 이동 동작과, 각 쇼트 영역에 대해 레티클 (R) 에 형성된 패턴을 주사 노광 방식으로 전사하는 주사 노광 동작을 반복함으로써 실시된다. 또한, 상기 노광 동작은 선단 렌즈 (191) 와 웨이퍼 (W) 사이에 물을 유지한 상태에서 실시된다. 또, 도 27 에 있어서의 -Y 측에 위치하는 쇼트 영역으로부터 +Y 측에 위치하는 쇼트 영역의 순서로 노광이 실시된다. 또한, EGA 방식은 예를 들어 미국 특허 제4,780,617호 명세서 등에 개시되어 있다.
그리고, 주제어 장치 (20) 는 웨이퍼 (W) 상의 최종 쇼트 영역이 노광되기 전에, X 간섭계 (130) 의 계측값을 일정값으로 유지하면서 Y 간섭계 (18) 의 계측값에 기초하여 스테이지 구동계 (124) 를 제어하여, 계측 스테이지 (MST) (계측 테이블 (MTB)) 를 도 28 에 나타내는 위치까지 이동시킨다. 이 때, CD 바 (46) (계측 테이블 (MTB)) 의 -Y 측의 단면과 웨이퍼 테이블 (WTB) 의 +Y 측의 단면은 접촉하고 있다. 또한, 예를 들어 각 테이블의 Y 축 방향 위치를 계측하는 간섭계 또는 인코더의 계측값을 모니터하여 계측 테이블 (MTB) 과 웨이퍼 테이블 (WTB) 을 Y 축 방향으로 예를 들어 300㎛ 정도 이간시켜, 비접촉 상태 (근접 상태) 를 유지해도 된다. 웨이퍼 스테이지 (WST) 와 계측 스테이지 (MST) 는, 웨이퍼 (W) 의 노광 중에 도 28 에 나타내는 위치 관계로 설정된 후, 이 위치 관계가 유지되도록 이동된다.
이어서, 도 29 에 나타내는 바와 같이, 주제어 장치 (20) 는 웨이퍼 테이블 (WTB) 과 계측 테이블 (MTB) 의 Y 축 방향의 위치 관계를 유지하면서, 계측 스테이지 (MST) 를 -Y 방향으로 구동시키는 동작을 개시함과 함께, 웨이퍼 스테이지 (WST) 를 언로딩 포지션 (UP) 을 향하여 구동시키는 동작을 개시한다. 이 동작이 개시되면, 본 실시형태에서는 계측 스테이지 (MST) 가 -Y 방향만으로 이동되고, 웨이퍼 스테이지 (WST) 가 -Y 방향 및 -X 방향으로 이동된다. 또, 이 이동 개시의 단계에서는, 주제어 장치 (20) 에 의해 3 개의 인코더의 계측값에 기초하여, 웨이퍼 테이블 (WTB) (웨이퍼 스테이지 (WST)) 의 XY 평면 내의 위치 (θz 회전을 포함한다) 가 제어되어 있다.
이와 같이 하여, 주제어 장치 (20) 에 의해 웨이퍼 스테이지 (WST), 계측 스테이지 (MST) 가 동시에 구동되면, 투영 유닛 (PU) 의 선단 렌즈 (191) 와 웨이퍼 (W) 사이에 유지되어 있던 물 (도 29 중에 나타내는 액침 영역 (14) 의 물) 이, 웨이퍼 스테이지 (WST) 및 계측 스테이지 (MST) 의 -Y 측으로의 이동에 수반하여, 웨이퍼 (W) → 플레이트 (28) → CD 바 (46) → 계측 테이블 (MTB) 상을 순차 이동한다. 또한, 상기 이동하는 동안, 웨이퍼 테이블 (WTB), 계측 테이블 (MTB) 은 전술한 접촉 상태 (또는 근접 상태) 를 유지하고 있다. 또한, 도 29 에는, 액침 영역 (14) 의 물이 플레이트 (28) 로부터 CD 바 (46) 에 전달되기 직전의 상태가 나타나 있다. 또, 이 도 29 에 나타내는 상태에서는, 주제어 장치 (20) 에 의해 3 개의 인코더 (70A, 70B, 70D) 의 계측값 (및 간섭계 시스템 (118) 에 의해 계측되는 웨이퍼 스테이지 (WST) 의 피칭량, 롤링량, 요잉량 및 Z 위치에 따른 메모리 (34) 내에 기억된 인코더 (70A, 70B 또는 70D) 의 스테이지 위치 기인 오차 보정 정보, 그리고 스케일의 격자 피치의 보정 정보 및 격자선의 보정 정보 등) 에 기초하여, 웨이퍼 테이블 (WTB) (웨이퍼 스테이지 (WST)) 의 XY 평면 내의 위치 (θz 회전을 포함한다) 가 제어되어 있다.
도 29 의 상태로부터, 추가로 웨이퍼 스테이지 (WST), 계측 스테이지 (MST) 가 각각 상기 방향으로 동시에 약간 구동되면, Y 인코더 (70A) (및 70C) 에 의한 웨이퍼 스테이지 (WST) (웨이퍼 테이블 (WTB)) 의 위치 계측을 할 수 없게 되므로, 이 직전에 주제어 장치 (20) 는 웨이퍼 스테이지 (WST) (웨이퍼 테이블 (WTB)) 의 Y 위치 및 θz 회전의 제어를, Y 인코더 (70A, 70C) 의 계측값에 기초하는 제어로부터 Y 간섭계 (16) 및 Z 간섭계 (43A, 43B) 의 계측값에 기초하는 제어로 전환한다. 그리고, 소정 시간 후, 도 30 에 나타내는 바와 같이, 계측 스테이지 (MST) 가 소정의 인터벌 (여기서는 웨이퍼 교환마다) 로 실시되는 세컨더리 얼라인먼트계의 베이스 라인 계측 (이하, 적절히 Sec-BCHK (인터벌) 라고도 부른다) 을 실시하는 위치에 도달한다. 그리고, 주제어 장치 (20) 는 그 위치에서 계측 스테이지 (MST) 를 정지시킴과 함께, X 스케일 (39X1) 에 대향하는 도 30 중에 원으로 둘러싸여 나타나는 X 헤드 (66) (X 리니어 인코더 (70B)) 에 의해 웨이퍼 스테이지 (WST) 의 X 위치를 계측하고 또한 Y 축 방향 및 θz 회전 등은 Y 간섭계 (16) 및 Z 간섭계 (43A, 43B) 에 의해 계측하면서, 웨이퍼 스테이지 (WST) 를 추가로 언로딩 포지션 (UP) 을 향하여 구동시키고, 언로딩 포지션 (UP) 에서 정지시킨다. 또한, 도 30 의 상태에서는, 계측 테이블 (MTB) 과 선단 렌즈 (191) 사이에 물이 유지되어 있다.
이어서, 주제어 장치 (20) 는 도 30 및 도 31 에 나타내는 바와 같이, 계측 스테이지 (MST) 에 지지된 CD 바 (46) 상의 한 쌍의 기준 격자 (52) 에 각각 대향하는 도 31 중에 원으로 둘러싸여 나타나는 Y 헤드 (64y1, 64y2) 에 의해 구성되는 전술한 Y 축 리니어 인코더 (70E, 70F) 의 계측값에 기초하여, CD 바 (46) 의 θz 회전을 조정함과 함께, 계측 테이블 (MTB) 의 센터 라인 (CL) 상 또는 그 근방에 위치하는 기준 마크 (M) 를 검출하는 프라이머리 얼라인먼트계 (AL1) 의 계측값에 기초하여 CD 바 (46) 의 XY 위치를 조정한다. 그리고, 이 상태에서 주제어 장치 (20) 는, 4 개의 세컨더리 얼라인먼트계 (AL21 ∼ AL24) 를 사용하여, 각각의 세컨더리 얼라인먼트계의 시야 내에 있는 CD 바 (46) 상의 기준 마크 (M) 를 동시에 계측함으로써, 4 개의 세컨더리 얼라인먼트계 (AL21 ∼ AL24) 의 베이스 라인 (프라이머리 얼라인먼트계 (AL1) 에 대한 4 개의 세컨더리 얼라인먼트계의 상대 위치) 을 각각 구하는 Sec-BCHK (인터벌) 를 실시한다. 이 Sec-BCHK (인터벌) 와 병행하여, 주제어 장치 (20) 는 언로딩 포지션 (UP) 에 정지되어 있는 웨이퍼 스테이지 (WST) 상의 웨이퍼 (W) 를, 도시 생략된 언로딩 아암의 구동계에 지령을 주어 언로딩시킴과 함께, 그 언로딩시에 상승 구동시킨 상하동 핀 (CT) (도 30 에서는 도시 생략, 도 31 참조) 을 소정량 상승시킨 채로, 웨이퍼 스테이지 (WST) 를 +X 방향으로 구동시켜 로딩 포지션 (LP) 으로 이동시킨다.
다음으로, 주제어 장치 (20) 는 도 32 에 나타내는 바와 같이, 계측 스테이지 (MST) 를 웨이퍼 스테이지 (WST) 로부터 떨어진 상태로부터 웨이퍼 스테이지 (WST) 와의 전술한 접촉 상태 (또는 근접 상태) 로 이행시키기 위한 최적의 대기 위치 (이하,「최적 스크럼 대기 위치」라고 부른다) 로 이동시킨다. 이와 병행하여, 주제어 장치 (20) 는 도시 생략된 로딩 아암의 구동계에 지령을 주어, 웨이퍼 테이블 (WTB) 상에 새로운 웨이퍼 (W) 를 로딩시킨다. 이 경우, 상하동 핀 (CT) 이 소정량 상승한 상태를 유지하고 있으므로, 상하동 핀 (CT) 이 하강 구동되어 웨이퍼 홀더의 내부에 수납되어 있는 경우에 비해 웨이퍼 로딩을 단시간에 실시할 수 있다. 또한, 도 32 에는 웨이퍼 (W) 가 웨이퍼 테이블 (WTB) 상에 로딩된 상태가 나타나 있다.
본 실시형태에 있어서, 상기 서술한 계측 스테이지 (MST) 의 최적 스크럼 대기 위치는, 웨이퍼 상의 얼라인먼트 쇼트 영역에 부설된 얼라인먼트 마크의 Y 좌표에 따라 적절히 설정된다. 또, 본 실시형태에서는, 웨이퍼 스테이지 (WST) 가 웨이퍼 얼라인먼트를 위해 정지하는 위치에서, 접촉 상태 (또는 근접 상태) 로 이행할 수 있도록, 최적 스크럼 대기 위치가 정해진다.
다음으로, 주제어 장치 (20) 는, 웨이퍼 스테이지 (WST) 를 로딩 포지션 (LP) 으로부터, 도 33 에 나타내는, 계측 플레이트 (30) 상의 기준 마크 (FM) 가 프라이머리 얼라인먼트계 (AL1) 의 시야 (검출 영역) 내에 위치 결정되는 위치 (즉, 프라이머리 얼라인먼트계의 베이스 라인 계측 (Pri-BCHK) 의 전반의 처리를 실시하는 위치) 로 이동시킨다. 이 때, 주제어 장치 (20) 는, X 축 방향에 대해서는 인코더 (70B), Y 축 방향 및 θz 회전에 대해서는 Y 간섭계 (16) 및 Z 간섭계 (43A, 43B) 의 계측값에 기초하는 변칙 제어에 의해, 웨이퍼 테이블 (WTB) (웨이퍼 스테이지 (WST)) 의 XY 평면 내의 위치를 제어한다. 그리고, 도 33 에 나타내는 Pri-BCHK 의 전반의 처리를 실시하는 위치에 웨이퍼 스테이지 (WST) 가 도달하면, 주제어 장치 (20) 는 다음과 같은 순서로, 주제어 장치 (20) 는 웨이퍼 스테이지 (WST) 의 XY 평면 내의 위치 제어를 상기 서술한 변칙 제어로부터 3 개의 인코더 (헤드) 를 사용한 위치 제어로 전환한다.
웨이퍼 스테이지 (WST) 가 도 33 에 나타내는 Pri-BCHK 의 전반의 처리를 실시하는 위치로 이동한 상태에서는, X 스케일 (39X1, 39X2) 에 헤드 유닛 (62D) 의 2 개의 X 헤드 (66) (그 중, X 스케일 (39X2) 에 대향하는 헤드 (66) 가 원으로 둘러싸여 나타나 있다) 가 각각 대향하고, Y 스케일 (39Y1, 39Y2) 에는 도 33 중에 원으로 둘러싸여 나타나는 2 개의 Y 헤드 (64y2, 64y1) 가 각각 대향하고 있다. 이 상태에서, 주제어 장치 (20) 는 2 개의 Y 헤드 (64y2, 64y1) 와, X 스케일 (39X2) 에 대향하고 있는 X 헤드 (66) 를 선택하고 (이 선택된 3 개의 헤드를 이하에서는 원점 헤드라고 부른다), 각 원점 헤드의 절대 위상이 각 원점 헤드에 대해 미리 정한 초기값이 되도록 웨이퍼 스테이지 (WST) 를 XY 평면 내에서 미동시킨다. 여기서, 각 원점 헤드의 절대 위상의 초기값은, 웨이퍼 스테이지 (WST) 의 θz 회전 오차가 가능한 한 0 에 가까운 값이 되도록 미리 웨이퍼 스테이지 (WST) 의 θz 회전을 조정하고, 그 조정 후에 얻은 Y 헤드 (64y2, 64y1) 의 절대 위상의 계측값과, 이와 동시에 계측한 나머지 원점 헤드 (66) 의 절대 위상의 계측값이 정해져 있다. 또한, 상기 미동이 개시되는 시점에서는, 각 원점 헤드의 계측값이 미리 정한 값에 대해 간섭 무늬의 1 프린지의 범위 내에 들어가도록, 웨이퍼 스테이지 (WST) 의 XY 평면 내의 위치가 몰려 있다.
그리고, 주제어 장치 (20) 는 3 개의 원점 헤드 (66, 64y2, 64y1) 의 절대 위상이 각각의 초기값이 된 시점에서, Y 스케일 (39Y1, 39Y2) 에 각각 대향하는 원점 헤드 (Y 헤드) (64y2, 64y1) (인코더 (70A, 70C)) 및 X 스케일 (39X2) 에 대향하는 원점 헤드 (X 헤드) (66) (인코더 (70D)) 를 사용한 XY 평면 내에 있어서의 웨이퍼 스테이지 (WST) 의 위치 제어를 다시 개시한다. 즉, 이와 같이 하여, 주제어 장치 (20) 에서는, Pri-BCHK 의 전반의 처리를 실시하는 위치에서 웨이퍼 스테이지 (WST) 의 XY 평면 내에 있어서의 위치 제어를 전술한 변칙 제어로부터, 3 개의 원점 헤드 (66, 64y2 및 64y1) 에 대응하는 인코더 (70A, 70C 및 70D) 의 계측값에 기초하는 위치 제어로 전환한다. 이 인코더 (70A, 70C 및 70D) 의 계측값에 기초하는 위치 제어는, 인코더 (70A, 70C 및 70D) 의 계측값 및 간섭계 시스템 (118) 에 의해 계측되는 웨이퍼 스테이지 (WST) 의 피칭량 또는 롤링량, 요잉량, 및 Z 위치에 따른 각 인코더의 스테이지 위치 기인 오차 보정 정보 (전술한 식 (22), 식 (23) 으로 구해지는 보정 정보), 각 스케일의 격자 피치의 보정 정보 및 격자선의 보정 정보, 그리고 아베 이탈량 (아베 오차 보정 정보) 에 기초하여, 웨이퍼 스테이지 (WST) 의 XY 평면 내의 위치를 제어함으로써 실시된다.
이어서, 주제어 장치 (20) 는, 기준 마크 (FM) 를 프라이머리 얼라인먼트계 (AL1) 를 사용하여 검출하는 Pri-BCHK 의 전반의 처리를 실시한다. 이 때, 계측 스테이지 (MST) 는 전술한 최적 스크럼 대기 위치에서 대기 중이다.
다음으로, 주제어 장치 (20) 는, 상기 서술한 적어도 3 개의 인코더의 계측값과 상기 각 보정 정보에 기초하여, 웨이퍼 스테이지 (WST) 의 위치를 관리하면서, 3 개의 퍼스트 얼라인먼트 쇼트 영역에 부설된 얼라인먼트 마크를 검출하는 위치를 향하여 웨이퍼 스테이지 (WST) 의 +Y 방향으로의 이동을 개시한다.
그리고, 웨이퍼 스테이지 (WST) 가 도 34에 나타내는 위치에 도달하면, 주제어 장치 (20) 는 웨이퍼 스테이지 (WST) 를 정지시킨다. 이에 앞서, 주제어 장치 (20) 는, Z 센서 (72a ∼ 72d) 가 웨이퍼 테이블 (WTB) 상에 닿은 시점 또는 그 전의 시점에서, 그들 Z 센서 (72a ∼ 72d) 를 작동시켜 (온으로 하여), 웨이퍼 테이블 (WTB) 의 Z 위치 및 경사 (θy 회전 및 θx 회전) 를 계측하고 있다.
상기 웨이퍼 스테이지 (WST) 의 정지 후, 주제어 장치 (20) 는 프라이머리 얼라인먼트계 (AL1), 세컨더리 얼라인먼트계 (AL22, AL23) 를 사용하여, 3 개의 퍼스트 얼라인먼트 쇼트 영역에 부설된 얼라인먼트 마크를 거의 동시에 또한 개별적으로 검출하고 (도 34 중의 별 마크 참조), 상기 3 개의 얼라인먼트계 (AL1, AL22, AL23) 의 검출 결과와 그 검출시의 상기 적어도 3 개의 인코더의 계측값 (상기 각 보정 정보에 의한 보정 후의 계측값) 을 관련지어 내부 메모리에 기억한다.
상기 서술한 바와 같이 본 실시형태에서는, 퍼스트 얼라인먼트 쇼트 영역의 얼라인먼트 마크의 검출을 실시하는 위치에서, 계측 스테이지 (MST) 와 웨이퍼 스테이지 (WST) 의 접촉 상태 (또는 근접 상태) 로의 이행이 완료되고, 그 위치로부터, 주제어 장치 (20) 에 의해 그 접촉 상태 (또는 근접 상태) 에서의 양 스테이지 (WST, MST) 의 +Y 방향으로의 이동 (5 개의 세컨드 얼라인먼트 쇼트 영역에 부설된 얼라인먼트 마크를 검출하는 위치를 향한 스텝 이동) 이 개시된다. 이 양 스테이지 (WST, MST) 의 +Y 방향으로의 이동 개시에 앞서, 주제어 장치 (20) 는 도 34 에 나타내는 바와 같이, 다점 AF 계 (90a, 90b) 의 조사계 (90a) 로부터 검출빔을 웨이퍼 테이블 (WTB) 을 향하여 조사를 개시하고 있다. 이로써, 웨이퍼 테이블 (WTB) 상에 다점 AF 계의 검출 영역이 형성된다.
그리고, 상기 양 스테이지 (WST, MST) 의 +Y 방향으로의 이동 중에, 도 35 에 나타내는 위치에 양 스테이지 (WST, MST) 가 도달하면, 주제어 장치 (20) 는 포커스 캘리브레이션의 전반의 처리를 실시하고, 전술한 직선 (LV) 에 웨이퍼 테이블 (WTB) 의 중심 (웨이퍼 (W) 의 중심과 거의 일치) 을 통과하는 Y 축 방향의 직선 (센터 라인) 이 일치한 상태에 있어서의 Z 센서 (72a, 72b, 72c, 72d) 의 계측값 (웨이퍼 테이블 (WTB) 의 X 축 방향의 일측과 타측의 단부에 있어서의 면 위치 정보) 과, 다점 AF 계 (90a, 90b) 의 계측 플레이트 (30) 표면의 검출점 (복수의 검출점 중 중앙 또는 그 근방에 위치하는 검출점) 에 있어서의 검출 결과 (면 위치 정보) 의 관계를 구한다. 이 때, 액침 영역 (14) 은 CD 바 (46) 와 웨이퍼 테이블 (WTB) 의 경계 부근에 위치하고 있다. 즉, 액침 영역 (14) 이 CD 바 (46) 로부터 웨이퍼 테이블 (WTB) 에 전달되기 직전의 상태로 되어 있다.
그리고, 양 스테이지 (WST, MST) 가 접촉 상태 (또는 근접 상태) 를 유지한 채로 +Y 방향으로 더욱 이동하여, 도 36 에 나타내는 위치에 도달하면, 5 개의 얼라인먼트계 (AL1, AL21 ∼ AL24) 를 사용하여, 5 개의 세컨드 얼라인먼트 쇼트 영역에 부설된 얼라인먼트 마크를 거의 동시에 또한 개별적으로 검출하고 (도 35 중의 별 마크 참조), 상기 5 개의 얼라인먼트계 (AL1, AL21 ∼ AL24) 의 검출 결과와 그 검출시의 3 개의 인코더 (70A, 70C, 70D) 의 계측값 (보정 정보에 의한 보정 후의 계측값) 을 관련지어 내부 메모리에 기억한다. 이 때, X 스케일 (39X1) 에 대향하고, 또한 투영 광학계 (PL) 의 광축을 통과하는 Y 축 방향의 직선 (LV) 상에 위치하는 X 헤드가 존재하지 않기 때문에, 주제어 장치 (20) 는, X 스케일 (39X2) 에 대향하는 X 헤드 (66) (X 리니어 인코더 (70D)) 및 Y 리니어 인코더 (70A, 70C) 의 계측값에 기초하여, 웨이퍼 테이블 (WTB) 의 XY 평면 내의 위치를 제어하고 있다.
상기 서술한 바와 같이, 본 실시형태에서는, 세컨드 얼라인먼트 쇼트 영역의 얼라인먼트 마크의 검출이 종료된 시점에서, 합계 8 점의 얼라인먼트 마크의 위치 정보 (2 차원 위치 정보) 를 검출할 수 있다. 그래서, 이 단계에서 주제어 장치 (20) 는 이들 위치 정보를 사용하여 예를 들어 일본 공개특허공보 소61-44429호 (대응하는 미국 특허 제4,780,617호 명세서) 등에 개시되는 통계 연산을 실시하여 웨이퍼 (W) 의 스케일링 (쇼트 배율) 을 구하고, 그 산출한 쇼트 배율에 기초하여, 조정 장치 (68) (도 6 참조) 를 제어하여 투영 광학계 (PL) 의 광학 특성, 예를 들어 투영 배율을 조정해도 된다. 조정 장치 (68) 는, 예를 들어 투영 광학계 (PL) 를 구성하는 특정한 가동 렌즈를 구동시키거나, 혹은 투영 광학계 (PL) 를 구성하는 특정 렌즈간에 형성된 기밀실 내부의 기체 압력을 변경하는 등 하여, 투영 광학계 (PL) 의 광학 특성을 조정한다.
또, 주제어 장치 (20) 는, 상기 5 개의 세컨드 얼라인먼트 쇼트 영역에 부설된 얼라인먼트 마크의 동시 검출의 종료 후, 접촉 상태 (또는 근접 상태) 에서의 양 스테이지 (WST, MST) 의 +Y 방향으로의 이동을 다시 개시함과 동시에, 도 36 에 나타내는 바와 같이, Z 센서 (72a ∼ 72d) 와 다점 AF 계 (90a, 90b) 를 동시에 사용한 포커스 맵핑을 개시한다.
그리고, 양 스테이지 (WST, MST) 가, 도 37 에 나타내는 계측 플레이트 (30) 가 투영 광학계 (PL) 의 바로 아래에 배치되는 위치에 도달하면, 주제어 장치 (20) 는 Pri-BCHK 후반의 처리 및 포커스 캘리브레이션의 후반의 처리를 실시한다. 여기서, Pri-BCHK 후반의 처리란, 투영 광학계 (PL) 에 의해 투영된 레티클 (R) 상의 한 쌍의 계측 마크의 투영 이미지 (공간 이미지) 를, 공간 이미지 계측 슬릿 패턴 (SL) 이 계측 플레이트 (30) 에 형성되는 전술한 공간 이미지 계측 장치 (45) 를 사용하여 계측하고, 그 계측 결과 (웨이퍼 테이블 (WTB) 의 XY 위치에 따른 공간 이미지 강도) 를 내부 메모리에 기억하는 처리를 가리킨다. 이 처리에서는, 미국 특허출원공개 제2002/0041377호 명세서 등에 개시되는 방법과 동일하게, 한 쌍의 공간 이미지 계측 슬릿 패턴 (SL) 을 각각 사용한 슬릿 스캔 방식의 공간 이미지 계측 동작으로 한 쌍의 계측 마크의 투영 이미지가 계측된다. 또, 포커스 캘리브레이션의 후반의 처리란, 주제어 장치 (20) 가 도 37 에 나타내는 바와 같이, Z 센서 (72a, 72b, 72c, 72d) 에 의해 계측되는 웨이퍼 테이블 (WTB) (웨이퍼 스테이지 (WST)) 의 면 위치 정보에 기초하여, 계측 플레이트 (30) (웨이퍼 테이블 (WTB)) 의 투영 광학계 (PL) 의 광축 방향에 관한 위치 (Z 위치) 를 제어하면서, 공간 이미지 계측 장치 (45) 를 사용하여 레티클 (R) 또는 레티클 스테이지 (RST) 상의 도시 생략된 마크판에 형성된 계측 마크의 공간 이미지를 계측하고, 그 계측 결과에 기초하여 투영 광학계 (PL) 의 베스트 포커스 위치를 계측하는 처리를 가리킨다. 이 계측 마크의 투영 이미지의 계측 동작은, 예를 들어 국제공개 제05/124834호 팜플렛 등에 개시되어 있다. 주제어 장치 (20) 는 계측 플레이트 (30) 를 Z 축 방향으로 이동시키면서, 공간 이미지 계측 장치 (45) 로부터의 출력 신호의 취입과 동기하여, Z 센서 (741,4, 742,4, 761,3, 762,3) 의 계측값을 취입한다. 그리고, 투영 광학계 (PL) 의 베스트 포커스 위치에 대응하는 Z 센서 (741,4, 742,4, 761,3, 762,3) 의 값을 도시 생략된 메모리에 기억한다. 또한, 포커스 캘리브레이션의 후반의 처리에서, Z 센서 (72a, 72b, 72c, 72d) 에 의해 계측되는 면 위치 정보를 사용하여, 계측 플레이트 (30) (웨이퍼 스테이지 (WST)) 의 투영 광학계 (PL) 의 광축 방향에 관한 위치 (Z 위치) 를 제어하는 것은, 이 포커스 캘리브레이션의 후반의 처리가 전술한 포커스 맵핑 도중에 실시되기 때문이다.
이 경우, 액침 영역 (14) 이 투영 광학계 (PL) 와 계측 플레이트 (30) (웨이퍼 테이블 (WTB)) 사이에 형성되어 있으므로, 상기 공간 이미지의 계측은 투영 광학계 (PL) 및 물 (Lq) 을 통해 실시된다. 또, 계측 플레이트 (30) 등은 웨이퍼 스테이지 (WST) (웨이퍼 테이블 (WTB)) 에 탑재되고, 수광 소자 등은 계측 스테이지 (MST) 에 탑재되어 있으므로, 상기 공간 이미지의 계측은 도 37 에 나타내는 바와 같이, 웨이퍼 스테이지 (WST) 와 계측 스테이지 (MST) 가 접촉 상태 (또는 근접 상태) 를 유지한 채로 실시된다. 상기 계측에 의해, 투영 광학계 (PL) 의 베스트 포커스 위치에 대응하는, 전술한 직선 (LV) 에 웨이퍼 테이블 (WTB) 의 중심을 통과하는 Y 축 방향의 직선 (센터 라인) 이 일치한 상태에 있어서의 Z 센서 (741,4, 742,4, 761,3, 762,3) 의 계측값 (즉, 웨이퍼 테이블 (WTB) 의 면 위치 정보) 이 구해진다.
그리고, 주제어 장치 (20) 는 상기 서술한 Pri-BCHK 의 전반의 처리 결과와 Pri-BCHK 의 후반의 처리 결과에 기초하여, 프라이머리 얼라인먼트계 (AL1) 의 베이스 라인을 산출한다. 이와 함께, 주제어 장치 (20) 는, 전술한 포커스 캘리브레이션 전반의 처리에서 얻어진 Z 센서 (72a, 72b, 72c, 72d) 의 계측값 (웨이퍼 테이블 (WTB) 의 면 위치 정보) 과, 다점 AF 계 (90a, 90b) 의 계측 플레이트 (30) 표면의 검출점에 있어서의 검출 결과 (면 위치 정보) 의 관계와, 전술한 포커스 캘리브레이션 후반의 처리에서 얻어진 투영 광학계 (PL) 의 베스트 포커스 위치에 대응하는 Z 센서 (741,4, 742,4, 761,3, 762,3) 의 계측값 (즉, 웨이퍼 테이블 (WTB) 의 면 위치 정보) 에 기초하여, 투영 광학계 (PL) 의 베스트 포커스 위치에 대한 다점 AF 계 (90a, 90b) 의 대표적인 검출점 (이 경우, 복수의 검출점 중 중앙 또는 그 근방에 위치하는 검출점) 에 있어서의 오프셋을 구하고, 그 오프셋이 0 이 되도록 예를 들어 광학적 수법에 의해 다점 AF 계의 검출 원점을 조정한다.
이 경우에 있어서, 스루풋을 향상시키는 관점에서, 상기 서술한 Pri-BCHK 의 후반의 처리 및 포커스 캘리브레이션 후반의 처리의 일방의 처리만을 실시해도 되고, 양방의 처리를 실시하지 않고, 다음의 처리로 이행해도 된다. 물론, Pri-BCHK 의 후반의 처리를 실시하지 않는 경우에는, 전술한 Pri-BCHK 의 전반의 처리를 실시할 필요도 없고, 이 경우에는, 주제어 장치 (20) 는 전술한 로딩 포지션 (LP) 으로부터 퍼스트 얼라인먼트 쇼트 영역에 부설된 얼라인먼트 마크를 검출하는 위치로 웨이퍼 스테이지 (WST) 를 이동시키면 된다. 또한, Pri-BCHK 처리를 실시하지 않는 경우, 노광 대상의 웨이퍼 (W) 보다 앞의 웨이퍼의 노광 직전에 동일한 동작으로 계측된 베이스 라인이 사용된다. 또, 포커스 캘리브레이션의 후반의 처리를 실시하지 않는 경우, 베이스 라인과 동일하게 앞의 웨이퍼의 노광 직전에 계측된 투영 광학계 (PL) 의 베스트 포커스 위치가 사용된다.
또한, 이 도 37 의 상태에서는, 전술한 포커스 캘리브레이션은 속행되고 있다.
상기 접촉 상태 (또는 근접 상태) 에서의 양 스테이지 (WST, MST) 의 +Y 방향으로의 이동에 의해, 소정 시간 후, 웨이퍼 스테이지 (WST) 가 도 38 에 나타내는 위치에 도달하면, 주제어 장치 (20) 는 웨이퍼 스테이지 (WST) 를 그 위치에서 정지시킴과 함께, 계측 스테이지 (MST) 에 대해서는 그대로 +Y 방향으로의 이동을 속행시킨다. 그리고, 주제어 장치 (20) 는 5 개의 얼라인먼트계 (AL1, AL21 ∼ AL24) 를 사용하여, 5 개의 서드 얼라인먼트 쇼트 영역에 부설된 얼라인먼트 마크를 거의 동시에 또한 개별적으로 검출하고 (도 38 중의 별 마크 참조), 상기 5 개의 얼라인먼트계 (AL1, AL21 ∼ AL24) 의 검출 결과와 그 검출시의 상기 4 개의 인코더 중, 적어도 3 개의 인코더의 계측값 (상기 각 보정 정보에 의한 보정 후의 계측값) 을 관련지어 내부 메모리에 기억한다. 이 때, 포커스 맵핑은 속행되고 있다.
한편, 상기 웨이퍼 스테이지 (WST) 의 정지로부터 소정 시간 후에, 계측 스테이지 (MST) 와 웨이퍼 스테이지 (WST) 는 접촉 (또는 근접 상태) 으로부터 이간 상태로 이행한다. 이 이간 상태로 이행 후, 주제어 장치 (20) 는 계측 스테이지 (MST) 가 노광 개시까지 대기하는 노광 개시 대기 위치에 도달하면, 그 위치에서 정지시킨다.
다음으로, 주제어 장치 (20) 는, 3 개의 포스 얼라인먼트 쇼트 영역에 부설된 얼라인먼트 마크를 검출하는 위치를 향한 웨이퍼 스테이지 (WST) 의 +Y 방향으로의 이동을 개시한다. 이 때, 포커스 맵핑은 속행되고 있다. 한편, 계측 스테이지 (WST) 는 상기 노광 개시 대기 위치에서 대기하고 있다.
그리고, 웨이퍼 스테이지 (WST) 가 도 39 에 나타내는 위치에 도달하면, 주제어 장치 (20) 는 즉시 웨이퍼 스테이지 (WST) 를 정지시키고, 프라이머리 얼라인먼트계 (AL1), 세컨더리 얼라인먼트계 (AL22, AL23) 를 사용하여, 웨이퍼 (W) 상의 3 개의 포스 얼라인먼트 쇼트 영역에 부설된 얼라인먼트 마크를 거의 동시에 또한 개별적으로 검출하고 (도 39 중의 별 마크 참조), 상기 3 개의 얼라인먼트계 (AL1, AL22, AL23) 의 검출 결과와 그 검출시의 상기 4 개의 인코더 중, 적어도 3 개의 인코더의 계측값 (보정 정보에 의한 보정 후의 계측값) 을 관련지어 내부 메모리에 기억한다. 이 시점에서도, 포커스 맵핑은 속행되고, 계측 스테이지 (MST) 는 상기 노광 개시 대기 위치에서 대기한 그대로이다. 그리고, 주제어 장치 (20) 는, 이와 같이 하여 얻은 합계 16 개의 얼라인먼트 마크의 검출 결과와 대응하는 인코더의 계측값 (상기 각 보정 정보에 의한 보정 후의 계측값) 을 사용하여, 예를 들어 미국 특허 제4,780,617호 명세서 등에 개시되는 EGA 방식에 의해, 상기 4 개의 인코더의 계측축에 의해 규정되는 좌표계 (예를 들어 웨이퍼 테이블 (WTB) 의 중심을 원점으로 하는 XY 좌표계) 상에 있어서의 웨이퍼 (W) 상의 모든 쇼트 영역의 배열 정보 (좌표값) 를 산출한다.
다음으로, 주제어 장치 (20) 는 웨이퍼 스테이지 (WST) 를 다시 +Y 방향으로 이동시키면서, 포커스 맵핑을 속행한다. 그리고, 다점 AF 계 (90a, 90b) 로부터의 검출빔이 웨이퍼 (W) 표면으로부터 벗어나면, 도 40 에 나타내는 바와 같이 포커스 맵핑을 종료한다. 그 후, 주제어 장치 (20) 는, 사전에 실시된 전술한 웨이퍼 얼라인먼트 (EGA) 의 결과 및 최신의 5 개의 얼라인먼트계 (AL1, AL21 ∼ AL24) 의 베이스 라인 등에 기초하여, 스텝·앤드·스캔 방식의 노광을 액침 노광으로 실시하고, 웨이퍼 (W) 상의 복수의 쇼트 영역에 레티클 패턴을 순차 전사한다. 이후, 로트 내의 나머지 웨이퍼를 노광하기 위해, 동일한 동작이 반복하여 실시된다.
이상 상세하게 설명한 바와 같이, 본 실시형태에 관련된 노광 장치 (100) 에 의하면, 웨이퍼 스테이지 (WST) 의 구동 중에, 인코더 시스템의 X 인코더와 Y 인코더를 적어도 각 1 개 포함하는 3 개의 인코더에 의해 XY 평면 내에 있어서의 웨이퍼 스테이지 (WST) 의 위치 정보 (θz 회전을 포함한다) 가 계측된다. 그리고, 주제어 장치 (20) 에 의해, XY 평면 내에 있어서의 웨이퍼 스테이지 (WST) 의 위치가 전환 전후에서 유지되도록, XY 평면 내에 있어서의 웨이퍼 스테이지 (WST) 의 위치 정보의 계측에 사용하는 인코더 (헤드) 가, 상기 3 개의 인코더 중 어느 하나의 인코더로부터 다른 인코더로 전환된다. 이 때문에, 웨이퍼 스테이지 (WST) 의 위치 제어에 사용하는 인코더의 전환이 실시되고 있음에도 불구하고, 전환 전후에서 웨이퍼 스테이지 (WST) 의 XY 평면 내의 위치가 유지되어, 정확한 연결이 가능해진다. 또, 주제어 장치 (20) 는 이 인코더의 전환시에도, 전술한 계측 지연에 기인하는 헤드 (인코더) 의 계측 오차를 보정한 각 인코더의 계측값을 사용한다. 따라서, 복수의 인코더 사이에서 연결을 실시하면서, 소정의 경로를 따라 정확하게 웨이퍼 스테이지 (WST) 를 2 차원 이동시킬 수 있게 된다.
또, 본 실시형태에 관련된 노광 장치 (100) 에 의하면, 예를 들어 로트 처리 중, 주제어 장치 (20) 에 의해, 인코더 시스템의 X 헤드 (X 인코더) 와 Y 헤드 (Y 인코더) 를 적어도 각 1 개 포함하는 3 개의 헤드 (인코더) 에 의해 XY 평면 (이동면) 내에 있어서의 웨이퍼 스테이지 (WST) 의 위치 정보 (θz 회전을 포함한다) 가 계측된다. 그리고, 주제어 장치 (20) 에 의해, 그 위치 정보의 계측 결과와 그 위치 정보의 계측에 사용된 3 개의 헤드의 이동면 내에 있어서의 위치 정보 ((X, Y) 좌표값) 에 기초하여, XY 평면 내에서 웨이퍼 스테이지 (WST) 가 구동된다. 이 경우, 주제어 장치 (20) 는, 아핀 변환의 관계를 이용하여 XY 평면 내에 있어서의 웨이퍼 스테이지 (WST) 의 위치 정보를 산출하면서 XY 평면 내에서 웨이퍼 스테이지 (WST) 를 구동시킨다. 이로써, 복수의 Y 헤드 (64) 또는 복수의 X 헤드 (66) 를 각각 갖는 헤드 유닛 (62A ∼ 62D) 을 포함하는 인코더 시스템을 사용하여 웨이퍼 스테이지 (WST) 의 이동 중에 제어에 사용하는 헤드 (인코더) 를 전환하면서, 웨이퍼 스테이지 (WST) 의 이동을 양호한 정밀도로 제어할 수 있게 된다.
또, 본 실시형태의 노광 장치 (100) 에 의하면, 웨이퍼 스테이지 (WST) 의 구동 중, 주제어 장치 (20) 에 의해, 인코더 시스템의 각 인코더 (헤드) 의 출력이 상시 (소정의 계측 샘플링 간격으로) 취입됨과 함께, 웨이퍼 스테이지 (WST) 의 위치 제어에 사용하고 있던 인코더 (헤드) 로부터 다른 인코더 (헤드) 로 웨이퍼 스테이지 (WST) 의 위치 제어에 사용하는 인코더를 전환하는 동작이, 웨이퍼 스테이지 (WST) 의 위치 제어 타이밍에 동기하여 실행된다. 이 때문에, 인코더의 전환을, 간섭계나 인코더의 출력의 취입이 실시되는 계측 샘플링과 동기하여 고속으로 실시할 필요가 없어지고, 그 전환을 위한 고정밀도의 하드웨어가 불필요해져, 비용의 저감을 도모할 수 있게 된다.
또, 본 실시형태의 노광 장치 (100) 에 의하면, 주제어 장치 (20) 에 의해 웨이퍼 스테이지 (WST) 의 이동 루트에 기초하여, 웨이퍼 스테이지 (WST) 의 위치 제어에 사용하는 인코더를 인코더 시스템의 임의의 인코더로부터 다른 인코더로 전환하는 전환의 대상이 되는 인코더의 조합 및 전환의 타이밍이 미리 스케줄링된다. 그리고, 웨이퍼 스테이지 (WST) 의 이동 중, 주제어 장치 (20) 에 의해 웨이퍼 스테이지 (WST) 의 XY 평면 내의 위치 정보가 인코더 시스템의 3 개 인코더를 사용하여 계측되고, 상기 스케줄링된 내용에 기초하여, 임의의 인코더로부터 다른 인코더로의 전환이 실시된다. 이로써, 웨이퍼 스테이지 (WST) 의 목표 궤도에 따른 무리가 없는 인코더의 전환이 가능해진다.
또, 본 실시형태의 노광 장치 (100) 에 의하면, 웨이퍼 얼라인먼트시나 노광시 등에, 웨이퍼 스테이지 (WST) 를 소정 방향, 예를 들어 Y 축 방향으로 이동하는 경우, 인코더 시스템의 계측 정보와, 웨이퍼 스테이지 (WST) 의 Y 축 방향과 상이한 방향의 위치 정보 (경사 정보를 포함하고, 예를 들어 θx 방향의 회전 정보 등) 와, 스케일의 특성 정보 (예를 들어 격자면의 평면도 및/또는 격자 형성 오차 등) 와, 스케일의 아베 이탈량에서 기인하는 아베 오차의 보정 정보에 기초하여, 웨이퍼 스테이지 (WST) 가 Y 축 방향으로 구동된다. 즉, Y 축 방향과 상이한 방향에 대한 웨이퍼 스테이지 (WST) 의 변위 (경사를 포함한다) 와 스케일에서 기인하여 발생하는 인코더 시스템 (인코더 (70A, 70C)) 의 계측 오차를 보상하도록 웨이퍼 스테이지 (WST) 가 구동된다. 본 실시형태에서는, 주제어 장치 (20) 에 의해 소정 방향, 예를 들어 Y 축 방향에 관한 웨이퍼 스테이지 (WST) 의 위치 정보를 계측하는 인코더 (70A, 70C) 의 계측값과, 그 계측시의 Y 축 방향과는 상이한 방향 (비계측 방향) 에 관한 웨이퍼 스테이지 (WST) 의 위치 정보, 예를 들어 간섭계 시스템 (118) 의 Y 간섭계 (16), Z 간섭계 (43A, 43B) 에서 계측되는 웨이퍼 스테이지 (WST) 의 θx 방향, θz 방향 및 Z 축 방향의 위치 정보에 따른 스테이지 위치 기인 오차 보정 정보 (전술한 식 (22) 에서 산출되는 보정 정보) 와, Y 스케일의 격자 피치의 보정 정보 (이것은 Y 스케일의 요철 (평면도) 이 고려된 보정 정보이다) 와, Y 스케일의 격자선 (38) 의 휨의 보정 정보와, Y 스케일의 아베 이탈량에서 기인하는 아베 오차의 보정 정보에 기초하여 웨이퍼 스테이지 (WST) 가 Y 축 방향으로 구동된다. 이와 같이 하여, 스케일 (39Y1, 39Y2) 과 Y 헤드 (64) 의 비계측 방향에 대한 상대 변위, Y 스케일 (39Y1, 39Y2) 의 격자 피치 및 격자선 (38) 의 휨에서 기인하는 인코더 (70A, 70C) 의 계측 오차, 그리고 Y 스케일의 아베 이탈량에서 기인하는 아베 오차가, 각각의 보정 정보에 의해 보정된 인코더 (70A, 70C) 의 계측값에 기초하여 스테이지 구동계 (124) 가 제어되고, 웨이퍼 스테이지 (WST) 가 Y 축 방향으로 구동된다. 이 경우, 인코더 (70A, 70C) 의 계측값 (카운트값) 는, 이상적인 격자 (회절 격자) 를 이상적인 인코더 (헤드) 에서 계측하고 있는 것과 동일한 결과가 되어 있다. 여기서, 이상적인 격자 (회절 격자) 란, 그 격자의 면이 스테이지의 이동면 (XY 평면) 에 평행하며 또한 완전한 평면이고, 격자의 피치 방향이 간섭계의 빔에 평행하며 격자선의 간격이 완전하게 등간격이 되어 있다는 것이다. 이상적인 인코더 (헤드) 란, 광축이 스테이지의 이동면에 수직이고, 또한 Z 변위, 레벨링, 요잉 등에 의해 계측값이 변화하지 않는 것이다.
또, 웨이퍼 스테이지 (WST) 를 X 축 방향으로 이동시키는 경우, 인코더 시스템의 계측 정보와, 웨이퍼 스테이지 (WST) 의 X 축 방향과 상이한 방향의 위치 정보 (경사 정보를 포함하고, 예를 들어 θy 방향의 회전 정보 등) 와, 스케일의 특성 정보 (예를 들어 격자면의 평면도 및/또는 격자 형성 오차 등) 와, 스케일의 아베 이탈량에서 기인하는 아베 오차의 보정 정보에 기초하여, 웨이퍼 스테이지 (WST) 가 X 축 방향으로 구동된다. 즉, X 축 방향과 상이한 방향에 대한 웨이퍼 스테이지 (WST) 의 변위 (경사를 포함한다) 에서 기인하여 발생하는 인코더 시스템 (인코더 (70B, 70D)) 의 계측 오차를 보상하도록 웨이퍼 스테이지 (WST) 가 구동된다. 본 실시형태에서는, 주제어 장치 (20) 에 의해, X 축 방향에 관한 웨이퍼 스테이지 (WST) 의 위치 정보를 계측하는 인코더 (70B, 70D) 의 계측값과, 그 계측시의 웨이퍼 스테이지 (WST) 의 X 축 방향과는 상이한 방향 (비계측 방향) 의 위치 정보, 예를 들어 간섭계 시스템 (118) 의 Z 간섭계 (43A, 43B) 에서 계측되는 웨이퍼 스테이지 (WST) 의 θy 방향, θz 방향 및 Z 축 방향의 위치 정보에 따른 스테이지 위치 기인 오차 보정 정보 (전술한 식 (23) 으로 산출되는 보정 정보) 와, X 스케일의 격자 피치의 보정 정보 (이것은 스케일의 요철 (평면도) 이 고려된 보정 정보이다) 와, X 스케일의 격자선 (37) 의 휨의 보정 정보와, X 스케일 (39X1, 39X2) 의 아베 이탈량에서 기인하는 아베 오차의 보정 정보에 기초하여, 웨이퍼 스테이지 (WST) 가 X 축 방향으로 구동된다. 이와 같이 하여, X 스케일 (39X1, 39X2) 과 X 헤드 (66) 의 비계측 방향에 대한 상대 변위, X 스케일 (39X1, 39X2) 의 격자 피치 및 격자선 (37) 의 휨에서 기인하는 인코더 (70B, 70D) 의 계측 오차, 그리고 X 스케일 (39X1, 39X2) 의 아베 이탈량에서 기인하는 아베 오차가 각각의 보정 정보에 의해 보정된 인코더 (70B, 70D) 의 계측값에 기초하여, 스테이지 구동계 (124) 가 제어되고, 웨이퍼 스테이지 (WST) 가 X 축 방향으로 구동된다. 이 경우, 인코더 (70B, 70D) 의 계측값은, 이상적인 격자 (회절 격자) 를 이상적인 인코더 (헤드) 에서 계측하고 있는 것과 동일한 결과가 되어 있다.
따라서, 헤드와 스케일 사이의 계측하고자 하는 방향 (계측 방향) 이외의 상대 운동에 영향을 받지 않고, 아베 오차의 영향을 받지 않고, 스케일의 요철의 영향을 받지 않고, 또한 스케일의 격자 피치 및 격자 휨의 영향을 받지 않고서, 인코더를 사용하여 웨이퍼 스테이지 (WST) 를 원하는 방향으로 양호한 정밀도로 구동시킬 수 있게 된다.
또, 본 실시형태의 노광 장치 (100) 에 의하면, 웨이퍼 상의 각 쇼트 영역에 레티클 (R) 의 패턴을 형성할 때에 스텝·앤드·스캔 방식의 노광이 실시되는데, 이 스텝·앤드·스캔 방식의 노광 동작 중에, 주제어 장치 (20) 는 복수의 인코더 사이에서의 연결 동작을 미리 설정된 스케줄에 따른 인코더 사이 (인코더의 조합간) 에서, 상기 스케줄에 따른 타이밍으로 웨이퍼 스테이지 (WST) 의 위치 제어의 타이밍에 동기하여 실시한다.
또, 본 실시형태에 관련된 노광 장치 (100) 에 의하면, 주제어 장치 (20) 에 의해 웨이퍼 스테이지 (WST) 를 XY 평면 내의 소정 방향으로 구동시킬 때에, 인코더 시스템의 적어도 1 개, 예를 들어 X 헤드와 Y 헤드를 포함하여 합계로 3 개의 헤드의 검출 신호에 따른 계측 데이터가 소정의 제어 샘플링 간격 (예를 들어 96[μsec]) 으로 각각 취입됨과 함께, 각 헤드에 대해, 마지막으로 취입한 최신의 계측 데이터 및 1 개 앞 (1 개의 제어 샘플링 간격 앞) 의 데이터와, 검출 신호의 전선 (전파 경로) 중의 전파에 수반되는 지연 시간 (δ) 의 정보에 기초하여, 검출 신호의 전선 (전파 경로) 중의 전파에 수반되는 계측 지연에 기인하는 헤드 (인코더) 의 계측 오차가 보정되도록 웨이퍼 스테이지 (WST) 가 구동된다. 이로써, 인코더 헤드의 검출 신호의 전선 (전파 경로) 중의 전파에 수반되는 계측 지연에 영향을 받지 않고, 웨이퍼 스테이지 (WST) 를 고정밀도로 원하는 방향으로 구동시킬 수 있게 된다.
예를 들어 본 실시형태의 노광 장치 (100) 에서는, 웨이퍼 스테이지 (WST) 를 Y 축 쪽으로 구동시키는 경우, Y 스케일 (39Y1, 39Y2) 에 각각 대향하는 한 쌍의 Y 헤드 (64) 를 각각 갖는 인코더 (70A, 70C) 를 포함하는 합계 3 개의 헤드 (인코더) 를 사용하여 웨이퍼 스테이지 (WST) 의 위치 정보가 계측된다. 이 때, Y 스케일 (39Y1, 39Y2) 에 각각 대향하는 한 쌍의 Y 헤드 (64) 상호간의 상기 지연 시간 (δ) 이 상이하다고 해도, 주제어 장치 (20) 에 의해 지연 시간 (δ) 에서 기인하는 헤드 (인코더) 의 계측 오차가 보정되도록 웨이퍼 스테이지 (WST) 가 구동되므로, 결과적으로 한 쌍의 Y 헤드 (64) 상호간의 상기 지연 시간 (δ) 의 상이에 의해 웨이퍼 스테이지 (WST) 에 θz 회전 오차가 발생할 우려가 없다.
또, 본 실시형태에서는, 상기 웨이퍼 스테이지 (WST) 의 구동에 앞서, 예를 들어 장치의 기동시 등에 주제어 장치 (20) 에 의해 웨이퍼 스테이지 (WST) 를 XY 평면 내의 소정 방향 (예를 들어 Y 축 방향 (또는 X 축 방향)) 으로 구동시키고, 그 구동 중에 인코더 시스템의 복수, 예를 들어 한 쌍의 Y 헤드 (64) (또는 X 헤드 (66)) 의 각각에 대해 그 각 헤드의 검출 신호와 간섭계 시스템 (118) 의 Y 간섭계 (16) (또는 X 간섭계 (126)) 의 검출 신호를 소정 샘플링 타이밍으로 동시에 메모리 (34) 등에 취입하고, 양 검출 신호에 기초하여 각 헤드에 대한 지연 시간의 정보를 대응하는 간섭계의 검출 신호를 기준으로 하여 취득하는 지연 시간 취득 처리가 실행된다. 이와 같이 하여, 노광 장치 (100) (주제어 장치 (20)) 스스로가, 복수의 헤드 각각의 검출 신호의 지연 시간의 정보를 간섭계 시스템 (118) 의 대응하는 간섭계의 검출 신호를 기준으로 하여 취득할 수 있게 된다.
그리고, 그 취득한 인코더 시스템의 복수의 헤드 각각에 대한 지연 시간의 정보와, 복수의 헤드 각각의 검출 신호에 대응하는 계측 데이터에 기초하여, 주제어 장치 (20) 에 의해 웨이퍼 스테이지 (WST) 가 상기 서술한 바와 같이 하여 구동된다. 이로써, 헤드마다 지연 시간이 상이해도, 이 복수의 헤드간의 지연 시간의 상이의 영향을 받지 않고, 웨이퍼 스테이지 (WST) 를 인코더 시스템의 각 인코더를 사용하여 양호한 정밀도로 구동시킬 수 있게 된다.
또, 본 실시형태의 노광 장치 (100) 에 의하면, 주제어 장치 (20) 에 의해 웨이퍼 스테이지 (WST) 상의 웨이퍼 (W) 에 대한 노광이 종료되면, 웨이퍼 스테이지 (WST) 가 언로딩 포지션 (UP), 로딩 포지션 (LP) 으로 순차 이동되고, 노광이 완료된 웨이퍼 (W) 의 웨이퍼 스테이지 (WST) 상으로부터의 언로딩, 및 웨이퍼 스테이지 (WST) 상에 대한 새로운 웨이퍼 (W) 의 로딩, 즉 웨이퍼 스테이지 (WST) 상에서의 웨이퍼 (W) 의 교환이 실시된다. 이 웨이퍼 (W) 의 교환이 종료될 때마다, 주제어 장치 (20) 에 의해 웨이퍼 스테이지 (WST) 가 전술한 Pri-BCHK 의 전반의 처리를 실시하는 위치에 위치 결정되고, 인코더 시스템의 3 개의 인코더를 사용한 XY 평면 내에 있어서의 웨이퍼 스테이지 (WST) 의 위치 제어가 전술한 순서에 따라 다시 개시된다. 이 때문에, 전술한 복수의 인코더 사이에서의 연결 처리 (웨이퍼 스테이지 (WST) 의 XY 평면 내의 위치 제어에 사용되는 인코더의 전환 처리) 등을 반복하여 실시해도, 웨이퍼 (W) 의 교환이 실시될 때마다, 그 연결 처리에 수반되는 웨이퍼 스테이지 (WST) 의 위치 오차 (연결 처리할 때마다 누적된 누적 오차) 가 캔슬되어, 웨이퍼 스테이지 (WST) 의 위치 오차가 허용 레벨을 초과할 때까지 누적되는 경우가 없다. 따라서, 인코더 시스템에 의해 웨이퍼 스테이지 (WST) 의 XY 평면 내에 있어서의 위치 정보를, 노광 위치를 포함하는 전술한 유효 영역 내에서 양호한 정밀도로 장기간에 걸쳐 계측할 수 있게 되고, 이로써 노광 정밀도를 장기간에 걸쳐 유지할 수 있게 된다.
또, 본 실시형태에서는, 주제어 장치 (20) 에 의해 서로 거리 (L) (≥ 400㎜) 떨어진 한 쌍의 원점 헤드 (64y2, 64y1) 의 절대 위상이, 미리 정한 초기값이 되는 위치에 웨이퍼 스테이지 (WST) 의 요잉이 조정된 상태에서, 인코더 시스템의 3 개의 인코더를 사용한 XY 평면 내에 있어서의 웨이퍼 스테이지 (WST) 의 위치 제어가 다시 개시된다. 이 때문에, 3 개의 원점 헤드의 계측값에 기초하는, 웨이퍼 스테이지 (WST) 의 XY 평면 내 위치의 제어 개시 시점에 있어서의 웨이퍼 스테이지 (WST) 의 요잉 오차를 거의 0 으로 설정할 수 있고, 결과적으로 그 웨이퍼 스테이지 (WST) 의 요잉 오차에 수반하는, 프라이머리 얼라인먼트계의 베이스 라인의 X 축 방향에 관한 편차 및 칩 로테이션 (웨이퍼 (W) 상의 쇼트 영역의 회전 오차), 그리고 그 칩 로테이션에 수반되는 중첩 오차의 발생을 효과적으로 억제할 수 있다.
또, 본 실시형태에서는, 주제어 장치 (20) 에 의해 웨이퍼 스테이지 (WST) 상에서 웨이퍼 (W) 의 교환이 실시될 때마다, EGA 얼라인먼트 계측의 개시에 앞서, 구체적으로는 얼라인먼트계 (AL1, AL22, AL23) 에 의한 웨이퍼 (W) 상의 3 개의 퍼스트 얼라인먼트 쇼트 영역에 부설된 얼라인먼트 마크의 계측에 앞서, 3 개의 인코더를 사용한 XY 평면 내에 있어서의 웨이퍼 스테이지 (WST) 의 위치 제어가 다시 개시된다. 이 때문에, 상기 3 개의 인코더를 사용한 XY 평면 내에 있어서의 웨이퍼 스테이지 (WST) 의 위치 제어가 다시 개시된 시점에서, 인코더에 의해 계측되는 웨이퍼 스테이지 (WST) 의 X 위치 및 Y 위치의 계측값에 다소의 오차가 존재해도, 이후의 EGA 에 의해 그 오차가 결과적으로 캔슬된다.
또, 본 실시형태에서는, 도 30, 도 31 및 도 32 에 나타내는 바와 같이, 주제어 장치 (20) 에 의해, 인코더 시스템의 X 인코더 (70B) (X 스케일 (39X2) 에 대향하는 헤드 유닛 (62D) 의 1 개의 X 헤드 (66)) 를 사용하여, 웨이퍼 스테이지 (WST) 상에서 웨이퍼 (W) 의 교환이 실시되고 있는 동안에도, 그 X 인코더 (70B) 의 계측 방향인 X 축 방향에 관한 웨이퍼 스테이지 (WST) 의 위치 정보의 계측이 계속되고 있다. 이 때문에, 언로딩 포지션 (UP) 및 로딩 포지션 (LP) 근방에 있어서의 웨이퍼 스테이지 (WST) 의 X 위치를 계측하는 X 간섭계 (128) 는 반드시 형성할 필요는 없다. 단, 본 실시형태에서는, 그 인코더의 이상시 등의 백업의 목적 등으로 X 간섭계 (128) 를 형성하고 있다.
또, 본 실시형태의 노광 장치 (100) 에 의하면, 조명계 (10) 로부터 레티클 (R), 투영 광학계 (PL) 및 물 (Lq) 을 통해 웨이퍼 (W) 에 조사되는 조명광 (IL) 과 웨이퍼 (W) 의 상대 이동을 위해, 주제어 장치 (20) 에 의해, 상기 서술한 각 인코더의 계측값, 그 계측시에 있어서의 웨이퍼 스테이지의 비계측 방향의 위치 정보에 따른 각 인코더의 스테이지 위치 기인 오차 보정 정보, 각 스케일의 격자 피치의 보정 정보 및 격자선의 보정 정보, 그리고 각 스케일의 아베 이탈량에서 기인하는 아베 오차의 보정 정보에 기초하여 웨이퍼 (W) 를 탑재하는 웨이퍼 스테이지 (WST) 가 양호한 정밀도로 구동된다.
따라서, 주사 노광 또한 액침 노광에 의해, 웨이퍼 상의 각 쇼트 영역에 양호한 정밀도로 레티클 (R) 의 원하는 패턴을 형성할 수 있게 된다.
또, 본 실시형태에서는, 먼저 도 33 및 도 34 에 기초하여 설명한 바와 같이, 주제어 장치 (20) 가, 얼라인먼트계 (AL1, AL22, AL23) 에 의한 웨이퍼 (W) 상의 3 개의 퍼스트 얼라인먼트 쇼트 영역에 부설된 얼라인먼트 마크의 계측 (EGA 얼라인먼트 계측) 에 앞서, 웨이퍼 스테이지 (WST) 의 위치 제어에 사용하는 계측 장치를 간섭계 시스템 (118) 으로부터 인코더 시스템으로 전환한다 (웨이퍼 테이블 (WTB) 의 XY 평면 내의 위치 제어를 전술한 변칙 제어로부터 인코더 (70B, 70D) 와 인코더 (70A, 70C) 중 적어도 3 개의 인코더의 계측값에 기초하는 제어로 전환한다). 이로써, 전환 직후의 인코더 시스템에 의한 웨이퍼 스테이지 (WST) 의 X 위치 및 Y 위치의 계측값에 다소의 오차가 존재해도, 이후의 EGA 에 의해 그 오차가 결과적으로 캔슬된다는 이점이 있다.
또, 본 실시형태에 의하면, 주제어 장치 (20) 는 전술한 인코더의 계측값의 스테이지 위치 기인 오차 보정 정보의 취득시에, 웨이퍼 스테이지 (WST) 를 상이한 복수의 자세로 변화시키고, 각 자세에 대해, 간섭계 시스템 (118) 의 계측 결과에 기초하여 웨이퍼 스테이지 (WST) 의 자세를 유지한 상태에서, 인코더의 헤드 (64 또는 66) 로부터 스케일 (39Y1, 39Y2, 39X1 또는 39X2) 의 특정 영역에 검출광을 조사하면서, 웨이퍼 스테이지 (WST) 를 Z 축 방향으로 소정 스트로크 범위에서 이동시키고, 그 이동 중에 인코더의 계측 결과를 샘플링한다. 이로써, 각 자세에 대한, 웨이퍼 스테이지 (WST) 의 이동면에 직교하는 방향 (Z 축 방향) 의 위치에 따른 인코더의 계측값의 변화 정보 (예를 들어 도 12 의 그래프에 나타내는 바와 같은 오차 특성 곡선) 가 얻어진다.
그리고, 주제어 장치 (20) 는 이 샘플링 결과, 즉 각 자세에 대한, 웨이퍼 스테이지 (WST) 의 Z 축 방향의 위치에 따른 인코더의 계측값의 변화 정보에 기초하여 소정의 연산을 실시함으로써, 웨이퍼 스테이지 (WST) 의 비계측 방향의 위치 정보에 따른 인코더의 계측값의 보정 정보를 구한다. 따라서, 간단한 방법으로 비계측 방향에 관한 헤드와 스케일의 상대 변화에서 기인하는 인코더의 계측 오차를 보정하는 스테이지 위치 기인 오차 보정 정보를 결정할 수 있다.
또, 본 실시형태에서는, 동일한 헤드 유닛을 구성하는 복수의 헤드, 예를 들어 헤드 유닛 (62A) 을 구성하는 복수의 Y 헤드 (64) 에 대해, 상기 보정 정보를 결정하는 경우에, 대응하는 Y 스케일 (39Y1) 의 동일한 특정 영역에 각 Y 헤드 (64) 로부터 검출광을 조사하여, 상기 서술한 인코더의 계측 결과의 샘플링을 실시하고, 그 샘플링 결과에 기초하여, 각 Y 헤드 (64) 와 Y 스케일 (39Y1) 로 구성되는 각 인코더의 스테이지 위치 기인 오차 보정 정보를 결정하고 있으므로, 결과적으로 이 보정 정보를 사용함으로써 헤드의 전도에 의해 발생하는 기하학적인 오차도 보정된다. 바꿔 말하면, 주제어 장치 (20) 는, 동일한 스케일에 대응하는 복수의 인코더를 대상으로 하여 상기 보정 정보를 구할 때에, 웨이퍼 스테이지 (WST) 를 Z 축 방향으로 이동시켰을 때에 대상으로 하는 인코더의 헤드의 전도에 의해 발생하는 기하학적인 오차를 고려하여 상기 대상으로 하는 인코더의 보정 정보를 구하고 있다. 따라서, 본 실시형태에서는, 복수의 헤드의 전도각이 상이한 것에서 기인하는 코사인 오차도 발생하는 경우가 없다. 또, Y 헤드 (64) 에 전도가 발생하지 않아도, 예를 들어 헤드의 광학 특성 (텔레센트리시티 등) 등에서 기인하여 인코더에 계측 오차가 발생하는 경우, 동일하게 상기 보정 정보를 구함으로써, 계측 오차의 발생, 나아가서는 웨이퍼 스테이지 (WST) 의 위치 제어 정밀도의 저하를 방지할 수 있다. 즉 본 실시형태에서는, 헤드 유닛에서 기인하여 발생하는 인코더 시스템의 계측 오차 (이하, 헤드 기인 오차라고도 부른다) 를 보상하도록 웨이퍼 스테이지 (WST) 가 구동된다. 또한, 헤드 유닛의 특성 정보 (예를 들어 헤드의 전도 및/또는 광학 특성 등을 포함한다) 에 기초하여, 예를 들어 인코더 시스템의 계측값의 보정 정보를 산출하도록 해도 된다.
또한, 상기 실시형태에서는, 웨이퍼 스테이지 (WST) 의 위치 제어에 사용하는 인코더의 전환시에, XY 평면 (이동면) 내의 3 자유도 방향에 관한 웨이퍼 스테이지 (WST) 의 위치 (X, Y, θz) 가 전환 전후에서 유지되도록, 이동면 내의 3 자유도 방향에 관한 웨이퍼 스테이지 (WST) 의 위치 정보를 계측하는 3 개의 인코더 (헤드) 중 어느 하나의 인코더 (헤드) 로부터 다른 인코더 (헤드) 로 전환하는 경우에 대해 설명하였으나, 본 발명이 이에 한정되는 것은 아니다. 예를 들어 이동체가 이동면 내에서 회전이 허용되어 있지 않은 경우에는, 그 이동체는 이동면 내에서는 2 자유도 (X, Y) 밖에 자유도를 가지지 않지만, 이러한 경우에도 본 발명은 적용이 가능하다. 즉, 이 경우, 이동면 내의 제 1 축에 평행한 방향에 관한 이동체의 위치 정보를 계측하는 제 1 인코더와 상기 이동면 내에 있어서 상기 제 1 축에 직교하는 제 2 축에 평행한 방향에 관한 이동체의 위치 정보를 계측하는 제 2 인코더를 적어도 각 1 개, 합계로 3 개 이상 포함하는 인코더 시스템을 사용하고, 제어 장치가, 이동면 내에 있어서의 이동체의 위치가 전환 전후에서 유지되도록, 이동면 내에 있어서의 이동체의 위치 정보의 계측에 사용하는 인코더를, 제 1 인코더와 제 2 인코더를 적어도 각 1 개 포함하는 적어도 2 개의 인코더 중 어느 하나의 인코더로부터 다른 인코더로 전환하는 것으로 하면 된다. 이와 같이 한 경우에는, 이동체의 위치 제어에 사용하는 인코더의 전환이 실시되고 있음에도 불구하고, 전환 전후에서 이동체의 이동면 내의 위치가 유지되어 정확한 연결이 가능해지고, 이로써 복수의 인코더 사이에서 연결을 실시하면서, 소정의 경로를 따라 정확하게 이동체를 2 차원 이동시킬 수 있게 된다. 또, 제어 장치는, 상기 실시형태와 동일하게, 이동체의 이동 루트에 기초하여, 상기 전환의 대상이 되는 인코더의 조합 및 전환 타이밍을 스케줄링하는 것으로 할 수 있음과 함께, 인코더 시스템의 각 인코더의 계측값을 상시 취입함과 함께, 이동체의 위치 제어에 사용하고 있던 적어도 2 개의 인코더 중 어느 하나의 인코더로부터 다른 인코더로 이동체의 제어에 사용하는 인코더를 전환하는 동작을, 이동체의 위치 제어의 타이밍에 동기하여 실행하는 것으로 할 수 있다.
또, 전술한 전환시에, 제어 장치는 전환 전에 이동체의 위치 제어에 사용하고 있던 적어도 2 개의 인코더의 계측값에 기초하여 아핀 변환의 관계를 이용한 연산식에 의해 이동체의 이동면 내의 위치 정보를 산출하고, 그 산출 결과를 만족하도록 상기 다른 인코더의 계측값의 초기값을 결정하는 것으로 할 수 있다.
또한, 상기 실시형태에서는, 2 차원면 내에서 이동하는 웨이퍼 스테이지의 위치 정보를 계측하는 복수의 인코더를 포함하는 인코더 시스템을 구비하고, 주제어 장치 (20) 가 인코더 시스템의 각 인코더의 출력을 상시 취입함과 함께, 이동체의 위치 제어에 사용하고 있던 인코더로부터 다른 인코더로 이동체의 위치 제어에 사용하는 인코더를 전환하는 동작을 이동체의 위치 제어의 타이밍에 동기하여 실행하는 이동체 구동 시스템에 대해 예시하였으나, 이에 한정되지 않고, 예를 들어 1 차원 방향으로만 이동하는 이동체의 위치 정보를 계측하는 복수의 인코더를 포함하는 인코더 시스템을 구비한 이동체 구동 시스템에 있어서, 제어 장치가 인코더 시스템의 각 인코더의 출력을 상시 취입함과 함께, 이동체의 위치 제어에 사용하고 있던 인코더로부터 다른 인코더로 이동체의 위치 제어에 사용하는 인코더를 전환하는 동작을, 이동체의 위치 제어의 타이밍에 동기하여 실행하는 것으로 해도 된다. 이러한 경우에도, 인코더의 전환을 고속으로 실시할 필요가 없어지고, 그 전환을 위한 고정밀도의 하드웨어가 불필요해져, 비용의 저감을 도모할 수 있게 된다.
또, 상기 실시형태에서는, 주제어 장치 (20) 가 웨이퍼 스테이지 (WST) 의 이동 루트에 기초하여, 이동면 (XY 평면) 내의 3 자유도 방향에 관한 웨이퍼 스테이지 (WST) 의 위치 정보를 계측하는 인코더 시스템의 3 개의 인코더 중 임의의 인코더로부터 다른 인코더로 전환하는 전환의 대상이 되는 인코더의 조합 및 전환 타이밍을 스케줄링하는 경우에 대해 설명하였으나, 본 발명이 이에 한정되는 것은 아니다. 예를 들어 이동면 내에 있어서의 2 자유도 방향 또는 1 자유도 방향만의 이동밖에 허용되어 있지 않은 이동체도 있지만, 이러한 이동체를 이동면 내에서 구동시키는 이동체 구동 시스템이어도, 이동면 내에 있어서의 이동체의 위치 정보를 계측하는 복수의 인코더를 포함하는 인코더 시스템을 구비하고 있으면, 상기 실시형태와 동일하게, 제어 장치가 이동체의 이동 루트에 기초하여, 이동체의 위치 제어에 사용하는 인코더를 상기 인코더 시스템의 임의의 인코더로부터 다른 인코더로 전환하는 전환의 대상이 되는 인코더의 조합 및 전환 타이밍을 스케줄링하는 것이 바람직하다. 이로써, 이동체의 목표 궤도에 따른 무리가 없는 인코더의 전환이 가능해진다. 또, 이 경우에도, 제어 장치는 인코더 시스템의 각 인코더의 출력을 상시 취입함과 함께, 이동체의 위치 제어에 사용하고 있던 임의의 인코더로부터 다른 인코더로의 전환 동작을 상기 이동체의 위치 제어의 타이밍에 동기하여 실행하는 것으로 할 수 있다.
웨이퍼 스테이지 (WST) 를 X 축 방향으로 이동하면, 상기 실시형태에서는, 예를 들어 헤드 유닛 (62A) 과 헤드 유닛 (62C) 에서 헤드의 전환 및 연결 처리가 동시에, 혹은 일부가 병행하여 실시되는데, 헤드 유닛 (62A, 62C) 에서 그 처리를 상이한 타이밍으로 실시하도록 해도 된다. 이 경우, 예를 들어 헤드 유닛 (62A, 62C) 에서, 인접하는 헤드의 간격은 동일하게 하고, 그 X 축 방향의 위치를 어긋나게 하여 배치해도 된다.
또한, 상기 실시형태에서는, 동일한 노광 장치에 의해 인코더의 헤드의 전환 및 계측값의 연결에 관한 발명, 인코더 시스템의 각종 계측 오차 (예를 들어 스테이지 위치 기인 오차, 헤드 기인 오차, 스케일 기인 오차 및 아베 오차 등) 의 보정에 관한 발명, 인코더 시스템을 사용한 웨이퍼 스테이지의 위치 제어를 웨이퍼 교환마다 다시 개시하는 발명 (인코더 시스템의 리셋에 관한 발명), 인코더 (헤드) 의 전환 동작을 웨이퍼 스테이지의 위치 제어의 타이밍에 동기하여 실행하는, 전환 타이밍에 관한 발명, 웨이퍼 스테이지의 이동 루트에 기초하여 그 전환 타이밍을 스케줄링하는 발명, 및 검출 신호의 전파에 수반되는 계측 지연에 기인하는 인코더 헤드의 계측 오차의 보정에 관련된 발명 등이 실시되는 것으로 하였다. 그러나, 이들 발명은 각각 단독으로, 혹은 임의로 조합하여 실시해도 된다.
또, 전술한 헤드의 전환·연결 처리와 조합하여, 전술한 스테이지 위치 기인 오차, 헤드 기인 오차, 스케일 기인 오차 및 아베 오차의 1 개 또는 2 개 이상의 조합의 보정을 실시해도 된다.
또한, 상기 실시형태에서는 주제어 장치 (20) 가, 현재 시각 (t) 에 있어서 취득한 각 인코더 (헤드) 의 최신의 계측값과 1 개 앞 (1 개의 제어 샘플링 간격) 의 계측값에 기초하여 웨이퍼 스테이지 (WST) 의 위치의 시간 변화 (예를 들어 도 10 에 나타내는 시간 변화 곡선 y = y(t) 참조) 에 대한 근사 직선 (예를 들어 도 10 에 나타내는 직선 y = ycal(t) 참조) 을 산출하고, 그 근사 직선을 사용하여, 인코더 시스템의 각 헤드의 검출 신호의 전파 경로 중의 전파에 수반되는 계측 지연에 기인하는 계측 오차가 보정되도록 웨이퍼 스테이지 (WST) 를 구동시키는 것으로 하였으나, 본 발명이 이에 한정되는 경우는 없다. 즉, 본 발명에 있어서는, 제어 장치는 최신의 계측 데이터 및 1 개 앞 (1 개의 제어 샘플링 간격) 앞의 계측 데이터에 추가로, 2 개 앞 (2 개의 제어 샘플링 간격 앞) 의 계측 데이터도 사용하여, 이동체의 위치의 시간 변화 곡선의 2 차의 근사 곡선을 산출하고, 그 근사 곡선에 기초하여 인코더 시스템의 각 헤드의 검출 신호의 전파 경로 중의 전파에 수반되는 계측 지연에 의한 계측 오차가 보정되도록 웨이퍼 스테이지 (WST) 를 구동시키는 것으로 해도 된다. 요점은, 제어 장치는, 인코더 시스템의 헤드에 있어서의 최신의 계측 데이터와 적어도 1 개 앞의 데이터를 포함하는 과거의 계측 데이터를 포함하는 복수의 데이터와, 상기 헤드의 검출 신호의 전선 중의 전파에 수반되는 지연 시간의 정보에 기초하여, 상기 헤드의 계측 지연에 의한 계측 오차가 보정되도록 이동체를 구동시키면 된다.
또, 상기 실시형태에서는, 주제어 장치 (20) 가 인코더 시스템의 각 Y 헤드 (또는 각 X 헤드) 의 검출 신호와 Y 간섭계 (16) (또는 X 간섭계 (126)) 의 검출 신호에 기초하여 각 Y 헤드 (또는 각 X 헤드) 의 상기 지연 시간의 정보를 Y 간섭계 (16) (또는 X 간섭계 (126)) 의 검출 신호를 기준으로 하여 취득하는 지연 시간 취득 처리를 실행하는 것으로 하였으나, 이에 한정되지 않고, 어느 하나의 X 헤드 (또는 Y 헤드) 의 검출 신호의 전선 중의 전파에 수반되는 지연 시간과 다른 X 헤드 (또는 Y 헤드) 의 검출 신호의 전선 중의 전파에 수반되는 지연 시간의 차이를 구함으로써, 1 개의 X 헤드 (또는 Y 헤드) 의 검출 신호를 기준으로 하여 다른 X 헤드 (또는 Y 헤드) 에 대한 상기 지연 시간의 정보를 취득해도 된다.
또, 상기 실시형태에서는, 주제어 장치 (20) 가 인코더 시스템의 모든 헤드에 대해 상기 지연 시간 취득 처리를 실행하는 것으로 하였으나, 이에 한정되지 않고, 일부의 헤드에 대해 지연 시간 취득 처리를 실행하는 것으로 해도 된다.
또, 상기 실시형태에서는, 도 20 을 사용하여 설명한 바와 같이, 주제어 장치 (20) 가 상기 지연 시간 취득 처리시에, 각 헤드, 예를 들어 Y 헤드 (64) 의 검출 신호 (C2) 와 대응하는 간섭계, 예를 들어 Y 간섭계 (16) 의 출력 신호 (C1) 와의 강도의 차이 (ΔI) 에 기초하여, 그 Y 헤드 (64) 에 대한 상기 지연 시간 (δ) 의 정보를 산출하는 것으로 하였으나, 이에 한정되지 않고, 양 신호의 시간축 방향의 편차로부터 지연 시간의 정보를 직접 구해도 된다.
또한, 상기 실시형태에서는, 언로딩 포지션 및 로딩 포지션에서 헤드 유닛 (62D) 의 1 개의 헤드 (66) 이외의 나머지의 모든 헤드가 스케일에 대향하지 않게 되어, 인코더 시스템에 의한 웨이퍼 스테이지의 XY 평면 내의 위치 계측이 물리적으로 불가능해지는 경우에 대해 설명하였으나, 본 발명이 이에 한정되는 것은 아니다. 즉, 인코더 시스템에 의한 웨이퍼 스테이지의 XY 평면 내의 위치 계측이 언로딩 포지션 및 로딩 포지션에서도 계속하여 가능한 경우에도, 상기 실시형태와 동일하게, 웨이퍼 스테이지 (WST) 가 웨이퍼 교환 위치로부터 얼라인먼트 영역으로 복귀할 때까지의 동안 중 어느 하나의 시점에서, 3 개의 인코더를 사용한 웨이퍼 스테이지 (WST) 의 위치 계측 및 위치 제어를 다시 개시하는 것이 바람직하다. 이와 같이 함으로써, 복수의 인코더 사이의 연결 처리를 반복하는 것에 수반되는 웨이퍼 스테이지 위치의 누적 오차를 정기적으로 캔슬할 수 있다.
또한, 상기 실시형태에서는 설명을 간략화하기 위해, 주제어 장치 (20) 가 스테이지계, 간섭계 시스템, 인코더 시스템 등, 노광 장치의 구성 각 부의 제어를 실시하는 것으로 하였으나, 이에 한정되지 않고, 상기 주제어 장치 (20) 가 실시하는 제어의 적어도 일부를, 복수의 제어 장치에서 분담하여 실시해도 되는 것은 물론이다. 예를 들어 인코더 시스템, Z 센서 및 간섭계 시스템의 계측값에 기초하여 웨이퍼 스테이지 (WST) 등의 제어를 실시하는 스테이지 제어 장치를 주제어 장치 (20) 의 지배하에 형성해도 된다. 또한, 상기 주제어 장치 (20) 가 실시하는 제어는 반드시 하드웨어에 의해 실현할 필요는 없고, 주제어 장치 (20) 또는 전술한 바와 같이 분담하여 제어를 실시하는 몇 가지의 제어 장치 각각의 동작을 규정하는 컴퓨터·프로그램에 의해 소프트웨어적으로 실현되어도 된다.
또한, 상기 실시형태에 있어서의 인코더 시스템, 간섭계 시스템, 다점 AF 계 및 Z 센서 등의 구성이나 배치는 일례로서, 본 발명이 이에 한정되지 않는 것은 물론이다. 예를 들어 상기 실시형태에서는, Y 축 방향 위치의 계측에 사용되는 한 쌍의 Y 스케일 (39Y1, 39Y2) 과, X 축 방향 위치의 계측에 사용되는 한 쌍의 X 스케일 (39X1, 39X2) 이 웨이퍼 테이블 (WTB) 상에 형성되고, 이에 대응하여 한 쌍의 헤드 유닛 (62A, 62C) 이 투영 광학계 (PL) 의 X 축 방향의 일측과 타측에 배치되고, 한 쌍의 헤드 유닛 (62B, 62D) 이 투영 광학계 (PL) 의 Y 축 방향의 일측과 타측에 배치되는 경우에 대해 예시하였다. 그러나, 이에 한정되지 않고, Y 축 방향 위치의 계측용의 Y 스케일 (39Y1, 39Y2) 및 X 축 방향 위치 계측용의 X 스케일 (39X1, 39X2) 중 적어도 일방이 한 쌍이 아니라 1 개만 웨이퍼 테이블 (WTB) 상에 형성되어 있어도 되고, 혹은 한 쌍의 헤드 유닛 (62A, 62C) 및 한 쌍의 헤드 유닛 (62B, 62D) 중 적어도 일방의 1 개만 형성되어 있어도 된다. 또, 스케일의 연장 방향 및 헤드 유닛의 연장 방향은, 상기 실시형태의 X 축 방향, Y 축 방향과 같은 직교 방향에 한정하지 않고, 서로 교차하는 방향이면 된다. 또, 회절 격자의 주기 방향이 각 스케일의 길이 방향과 직교하는 (또는 교차하는) 방향이어도 되고, 이 경우에는, 회절 격자의 주기 방향과 직교하는 방향으로, 대응하는 헤드 유닛의 복수의 헤드가 배치되어 있으면 된다. 또, 각 헤드 유닛이 상기 회절 격자의 주기 방향과 직교하는 방향으로 간극 없이 배치된 복수의 헤드를 갖고 있어도 된다.
또, 상기 실시형태에서는, 웨이퍼 스테이지 (WST) 의 XY 평면에 평행한 면, 구체적으로는 상면에 X 스케일, Y 스케일이 배치된 경우에 대해 설명하였으나, 이에 한정되지 않고, 웨이퍼 스테이지 (WST) 의 하면은 물론, 측면에 그레이팅을 배치해도 된다. 혹은 웨이퍼 스테이지에 헤드를 형성하고, 이동체의 외부에 2 차원 격자 (또는 2 차원 배치된 1 차원의 격자부) 를 배치하는 구성의 인코더 시스템을 채용해도 된다. 이 경우, 웨이퍼 스테이지 상면에 Z 센서도 배치하는 경우에는, 그 2 차원 격자 (또는 2 차원 배치된 1 차원의 격자부) 를, Z 센서로부터의 계측빔을 반사하는 반사면으로서 겸용해도 된다.
또한, 상기 실시형태에서는, 웨이퍼 스테이지 (WST) 의 θx 방향의 회전 정보 (피칭량) 를 간섭계 시스템 (118) 에서 계측하는 것으로 하였으나, 예를 들어 1 쌍의 Z 센서 (74i,j 또는 76p,q) 의 계측값으로부터 피칭량을 구해도 된다. 혹은, 헤드 유닛 (62A, 62C) 과 동일하게, 예를 들어 헤드 유닛 (62B, 62D) 의 각 헤드에 근접하여 1 개 또는 한 쌍의 Z 센서를 형성하고, X 스케일 (39X1, 39X2) 과 각각 대향하는 Z 센서의 계측값으로부터 피칭량을 구해도 된다. 이로써, 간섭계 시스템 (118) 을 사용하지 않고, 전술한 인코더와 Z 센서를 사용하여 웨이퍼 스테이지 (WST) 의 6 자유도의 방향, 즉 X 축, Y 축, Z 축, θx, θy 및 θz 방향의 위치 정보를 계측할 수 있게 된다. 전술한 인코더와 Z 센서에 의한 웨이퍼 스테이지 (WST) 의 6 자유도 방향의 위치 정보의 계측은, 노광 동작뿐만이 아니라 전술한 얼라인먼트 동작 및/또는 포커스 맵핑 동작으로 실시해도 된다.
또, 상기 실시형태에서는, 웨이퍼 스테이지 (WST) 를 구동시키는 소정 방향과 상이한 방향에 대한 웨이퍼 스테이지 (WST) 의 변위 (헤드와 스케일의 상대 변위) 에서 기인하여 발생하는 인코더 시스템의 계측 오차를 보상하도록, 전술한 보정 정보에 기초하여 인코더 시스템의 계측값을 보정하는 것으로 하였으나, 이에 한정되지 않고, 예를 들어 인코더 시스템의 계측값에 기초하여 웨이퍼 스테이지 (WST) 를 구동시키면서, 전술한 보정 정보에 기초하여 웨이퍼 스테이지 (WST) 를 위치 결정하는 목표 위치를 보정하는 것으로 해도 된다. 혹은, 특히 노광 동작에서는, 예를 들어 인코더 시스템의 계측값에 기초하여 웨이퍼 스테이지 (WST) 를 구동시키면서, 전술한 보정 정보에 기초하여 레티클 스테이지 (RST) 의 위치를 보정해도 된다.
또, 상기 실시형태에서는, 예를 들어 노광시 등에 웨이퍼 스테이지 (WST) 만이 인코더 시스템의 계측값에 기초하여 구동되는 것으로 하였으나, 예를 들어 레티클 스테이지 (RST) 의 위치를 계측하는 인코더 시스템을 추가하고, 그 인코더 시스템의 계측값과 레티클 간섭계 (116) 에 의해 계측되는 레티클 스테이지의 비계측 방향의 위치 정보에 따른 보정 정보에 기초하여, 레티클 스테이지 (RST) 를 구동시키는 것으로 해도 된다.
또, 상기 실시형태에서는, 1 개의 고정 프라이머리 얼라인먼트계와 4 개의 가동 세컨더리 얼라인먼트계를 구비하고, 이들 5 개의 얼라인먼트계에 따른 시퀀스로 웨이퍼 상의 16 개의 얼라인먼트 쇼트 영역에 부설된 얼라인먼트 마크를 검출하는 경우에 대해 설명하였다. 그러나, 세컨더리 얼라인먼트계는 가동이 아니어도 되고, 또 세컨더리 얼라인먼트계의 수는 불문한다. 요점은, 웨이퍼 상의 얼라인먼트 마크를 검출 가능한 적어도 1 개의 얼라인먼트계가 있으면 된다.
또한, 상기 실시형태에서는, 예를 들어 국제공개 제2005/074014호 팜플렛 등에 개시되어 있는 노광 장치와 동일하게, 웨이퍼 스테이지 (WST) 와는 별도로 계측 스테이지 (MST) 를 구비하고 있는 노광 장치에 대해 설명하였으나, 이에 한정되지 않고, 예를 들어 일본 공개특허공보 평10-214783호 및 대응하는 미국 특허 제6,341,007호 명세서, 그리고 국제공개 제98/40791호 팜플렛 및 대응하는 미국 특허 제6,262,796호 명세서 등에 개시되어 있는 바와 같이, 2 개의 웨이퍼 스테이지를 사용하여 노광 동작과 계측 동작 (예를 들어 얼라인먼트계에 의한 마크 검출 등) 을 거의 병행하여 실행 가능한 트윈 웨이퍼 스테이지 방식의 노광 장치에서도, 전술한 인코더 시스템 (도 3 등 참조) 을 사용하여 각 웨이퍼 스테이지의 위치 제어를 실시할 수 있다. 여기서, 노광 동작시뿐만이 아니라 계측 동작시라도, 각 헤드 유닛의 배치, 길이 등을 적절히 설정함으로써, 전술한 인코더 시스템을 그대로 사용하여 각 웨이퍼 스테이지의 위치 제어를 실시할 수 있으나, 전술한 헤드 유닛 (62A ∼ 62D) 과는 별도로, 그 계측 동작 중에 사용 가능한 헤드 유닛을 형성해도 된다. 예를 들어 1 개 또는 2 개의 얼라인먼트계를 중심으로 하여 십자상으로 배치되는 4 개의 헤드 유닛을 형성하고, 상기 계측 동작시에는 이들 헤드 유닛과 대응하는 스케일에 의해 각 웨이퍼 스테이지 (WST) 의 위치 정보를 계측하도록 해도 된다. 트윈 웨이퍼 스테이지 방식의 노광 장치에서는, 2 개의 웨이퍼 스테이지에 각각 적어도 각 2 개의 스케일이 형성됨과 함께, 일방의 웨이퍼 스테이지에 탑재된 웨이퍼의 노광 동작이 종료되면, 그 일방의 웨이퍼 스테이지와의 교환으로, 계측 위치에서 마크 검출 등이 실시된 다음의 웨이퍼를 탑재하는 타방의 웨이퍼 스테이지가 노광 위치에 배치된다. 또, 노광 동작과 병행하여 실시되는 계측 동작은, 얼라인먼트계에 의한 웨이퍼 등의 마크 검출에 한정되는 것은 아니고, 그 대신에, 혹은 그것과 조합하여 웨이퍼의 면 정보 (단차 (段差) 정보 등) 를 검출해도 된다.
또한, 상기 실시형태에서는, 웨이퍼 스테이지 (WST) 측에서 각 웨이퍼의 교환을 실시하고 있는 동안에, 계측 스테이지 (MST) 측에서는 CD 바 (46) 를 사용하여 Sec-BCHK (인터벌) 를 실시하는 경우에 대해 설명하였으나, 이에 한정되지 않고, 계측 스테이지 (MST) 의 계측기 (계측용 부재) 를 사용하여, 조도 불균일 계측 (및 조도 계측), 공간 이미지 계측, 파면 수차 계측 등의 적어도 1 개를 실시하고, 그 계측 결과를 그 후에 실시되는 웨이퍼의 노광에 반영시키는 것으로 해도 된다. 구체적으로는, 예를 들어 계측 결과에 기초하여 조정 장치 (68) 에 의해 투영 광학계 (PL) 의 조정을 실시하는 것으로 할 수 있다.
또, 상기 실시형태에서는 계측 스테이지 (MST) 에도 스케일을 배치하고, 전술한 인코더 시스템 (헤드 유닛) 을 사용하여 계측 스테이지의 위치 제어를 실시하도록 해도 된다. 즉, 인코더 시스템에 의한 위치 정보의 계측을 실시하는 이동체는 웨이퍼 스테이지에 한정되는 것은 아니다.
또한, 웨이퍼 스테이지 (WST) 의 소형화나 경량화 등을 고려하면, 웨이퍼 스테이지 (WST) 상에서 웨이퍼 (W) 에 가능한 한 접근하여 스케일을 배치하는 것이 바람직하지만, 웨이퍼 스테이지를 크게 하는 것이 허용될 때에는, 웨이퍼 스테이지를 크게 하고, 대향하여 배치되는 한 쌍 스케일의 간격을 넓힘으로써, 적어도 웨이퍼의 노광 동작 중에는 항상 X 축 및 Y 축 방향에 관해 각각 2 개씩, 합계 4 개의 위치 정보를 계측 가능하게 해도 된다. 또, 웨이퍼 스테이지를 크게 하는 대신에, 예를 들어 스케일을 그 일부가 웨이퍼 스테이지로부터 비어져 나오도록 형성하거나, 혹은 적어도 1 개의 스케일이 형성되는 보조 플레이트를 사용하여 웨이퍼 스테이지 본체보다 외측에 스케일을 배치함으로써, 동일하게 대향하여 배치되는 한 쌍의 스케일의 간격을 넓히도록 해도 된다.
또, 상기 실시형태에 있어서, Y 스케일 (39Y1, 39Y2), X 스케일 (39X1, 39X2) 에 대한 이물질의 부착, 오염 등에 의한 계측 정밀도의 저하를 방지하기 위해, 예를 들어 적어도 회절 격자를 덮도록 표면에 코팅을 실시하거나, 혹은 커버 유리를 형성해도 된다. 이 경우, 특히 액침형의 노광 장치에서는, 발액성의 보호막을 스케일 (격자면) 에 코팅해도 되고, 커버 유리의 표면 (상면) 에 발액막을 형성해도 된다. 또한, 각 스케일은 그 길이 방향의 거의 전역에 걸쳐 회절 격자가 연속적으로 형성되는 것으로 하였으나, 예를 들어 회절 격자를 복수의 영역으로 나누어 단속적 (斷續的) 으로 형성해도 되고, 혹은 각 스케일을 복수의 스케일로 구성해도 된다. 또, 상기 실시형태에서는, 인코더로서, 회절 간섭 방식의 인코더를 사용하는 경우에 대해 예시하였으나, 이에 한정되지 않고, 이른바 픽업 방식, 자기 방식 등의 방식도 사용할 수 있고, 예를 들어 미국 특허 제6,639,686호 명세서 등에 개시되는 이른바 스캔 인코더 등도 사용할 수 있다.
또, 상기 실시형태에서는, Z 센서로서, 전술한 광 픽업 방식의 센서 대신에, 예를 들어 프로브빔을 계측 대상면에 투사하고, 그 반사광을 수광함으로써 계측 대상면의 Z 축 방향의 변위를 광학적으로 판독하는 제 1 센서 (광 픽업 방식의 센서이어도 되고, 그 밖의 광학식의 변위 센서이어도 된다) 와, 그 제 1 센서를 Z 축 방향으로 구동시키는 구동부와, 제 1 센서의 Z 축 방향의 변위를 계측하는 제 2 센서 (예를 들어 인코더 등) 를 구비한 구성의 센서를 사용해도 된다. 이러한 구성의 Z 센서에서는, 계측 대상면, 예를 들어 스케일의 면과 제 1 센서의 Z 축 방향의 거리가 항상 일정해지도록, 제 1 센서의 출력에 기초하여 구동부가 제 1 센서를 Z 축 방향으로 구동시키는 모드 (제 1 서보 제어 모드) 와, 외부 (제어 장치) 로부터 제 2 센서의 목표값을 부여하고, 이 목표값에 제 2 센서의 계측값이 일치하도록 구동부가 제 1 센서의 Z 축 방향의 위치를 유지하는 모드 (제 1 서보 제어 모드) 를 설정할 수 있다. 제 1 서보 제어 모드의 경우, Z 센서의 출력으로는 계측부 (제 2 센서) 의 출력을 사용할 수 있고, 제 2 서보 제어 모드의 경우, 제 2 센서의 출력을 사용할 수 있다. 또, 이와 같은 Z 센서를 사용하는 경우에서, 제 2 센서로서 인코더를 채용하는 경우, 결과적으로 웨이퍼 스테이지 (WST) (웨이퍼 테이블 (WTB)) 의 6 자유도 방향의 위치 정보를, 인코더를 사용하여 계측할 수 있다. 또, 상기 실시형태에서는, Z 센서로서 그 밖의 검출 방식의 센서를 채용할 수도 있다.
또, 상기 실시형태에 있어서, 웨이퍼 스테이지 (WST) 의 위치 정보를 계측하는 복수의 간섭계의 구성이나 조합은, 전술한 구성 및 조합으로 한정되는 것은 아니다. 요점은, 인코더 시스템의 계측 방향을 제외한 방향의 웨이퍼 스테이지 (WST) 의 위치 정보를 계측할 수 있다면, 간섭계의 구성 및 조합은 특별히 불문한다. 요점은, 상기 서술한 인코더 시스템 이외에, 인코더 시스템의 계측 방향을 제외한 방향의 웨이퍼 스테이지 (WST) 의 위치 정보를 계측할 수 있는 계측 장치 (간섭계인지의 여부도 불문한다) 가 있으면 된다. 예를 들어 전술한 Z 센서를 계측 장치로서 사용해도 된다.
또, 상기 실시형태에서는, 다점 AF 계 외에 Z 센서가 형성되는 것으로 하였으나, 예를 들어 다점 AF 계에서 노광시에 웨이퍼 (W) 의 노광 대상 쇼트 영역에 있어서의 면 위치 정보를 검출할 수 있다면, Z 센서는 반드시 형성할 필요는 없다.
또한, 상기 실시형태에서는, 액체로서 순수 (물) 를 사용하는 것으로 하였으나, 본 발명이 이에 한정되지 않는 것은 물론이다. 액체로는, 화학적으로 안정적이고, 조명광 (IL) 의 투과율이 높고 안전한 액체, 예를 들어 불소계 불활성 액체를 사용해도 된다. 이 불소계 불활성 액체로는, 예를 들어 플루오리너트 (fluorinert, 미국 3M 사의 상품명) 를 사용할 수 있다. 이 불소계 불활성 액체는 냉각 효과면에서도 우수하다. 또, 액체로서, 조명광 (IL) 에 대한 굴절률이 순수 (굴절률은 1.44 정도) 보다 높은, 예를 들어 1.5 이상의 액체를 사용해도 된다. 이 액체로는, 예를 들어 굴절률이 약 1.50 인 이소프로판올, 굴절률이 약 1.61 인 글리세롤 (글리세린) 과 같은 C-H 결합 혹은 O-H 결합을 가지는 소정 액체, 헥산, 헵탄, 데칸 등의 소정 액체 (유기 용제) 또는 굴절률이 약 1.60 인 데칼린 (Decalin : Decahydronaphthalene) 등을 들 수 있다. 혹은, 이들 소정 액체 중 임의의 2 종류 이상의 액체가 혼합된 것이어도 되고, 순수에 상기 소정 액체가 첨가 (혼합) 된 것이어도 된다. 혹은, 액체로는, 순수에 H+, Cs+, K+, Cl-, SO42-, PO42- 등의 염기 또는 산을 첨가 (혼합) 한 것이어도 된다. 나아가서는, 순수에 Al 산화물 등의 미립자를 첨가 (혼합) 한 것이어도 된다. 이들 액체는, ArF 엑시머 레이저광을 투과 가능하다. 또, 액체로는, 광의 흡수 계수가 작고, 온도 의존성이 적고, 투영 광학계 (선단의 광학 부재) 및/또는 웨이퍼의 표면에 도포되어 있는 감광재 (또는 보호막 (탑코트막) 혹은 반사 방지막 등) 에 대해 안정적인 것인 것이 바람직하다. 또, F2 레이저를 광원으로 하는 경우에는, 폼블린 오일을 선택하면 된다.
또, 상기 실시형태에서, 회수된 액체를 재이용하도록 해도 되고, 이 경우에는 회수된 액체로부터 불순물을 제거하는 필터를 액체 회수 장치 또는 회수관 등에 형성해 두는 것이 바람직하다.
또한, 상기 실시형태에서는, 노광 장치가 액침형의 노광 장치인 경우에 대해 설명하였으나, 이에 한정되는 것은 아니며, 액체 (물) 를 통하지 않고 웨이퍼 (W) 의 노광을 실시하는 드라이 타입의 노광 장치에도 본 발명은 바람직하게 적용할 수 있다.
또, 상기 실시형태에서는, 스텝·앤드·스캔 방식 등의 주사형 노광 장치에 본 발명이 적용된 경우에 대해 설명하였으나, 이에 한정되지 않고, 스테퍼 등의 정지 (靜止) 형 노광 장치에 본 발명을 적용해도 된다. 스테퍼 등이어도, 노광 대상의 물체가 탑재된 스테이지의 위치를 인코더로 계측함으로써, 동일하게, 공기 요동에서 기인하는 위치 계측 오차의 발생을 대부분 0 으로 할 수 있다. 또, 스테퍼 등이어도, 전술과 동일하게, 그 스테이지의 위치 제어에 사용되는 인코더의 전환을 실시할 수 있고, 그 전환의 대상이 되는 인코더 (헤드) 의 조합 및 전환 타이밍의 스케줄링을 실시할 수 있다. 또, 전환 동작의 타이밍은, 스테이지의 위치 제어의 타이밍과 동기하여 실시하는 것으로 할 수 있다. 또한, 인코더의 계측값과 전술한 각 보정 정보에 기초하여, 스테이지를 고정밀도로 위치 결정할 수 있게 되고, 결과적으로 고정밀도의 레티클 패턴의 물체 상에 대한 전사가 가능해진다. 또, 쇼트 영역과 쇼트 영역을 합성하는 스텝·앤드·스티치 방식의 축소 투영 노광 장치, 프록시미티 방식의 노광 장치, 또는 미러 프로젝션·얼라이너 등에도 본 발명은 적용할 수 있다.
또, 상기 실시형태의 노광 장치에 있어서의 투영 광학계의 배율은 축소계뿐만 아니라 등배 및 확대계 중 어느 것이어도 되고, 투영 광학계 (PL) 는 굴절계뿐만 아니라, 반사계 및 반사 굴절계 중 어느 것이어도 되고, 그 투영 이미지는 도립상 및 정립상 중 어느 것이어도 된다. 또한, 투영 광학계 (PL) 를 통해 조명광 (IL) 이 조사되는 노광 영역은, 투영 광학계 (PL) 의 시야 내에서 광축 (AX) 을 포함하는 온 액시스 (ON AXIS) 영역인데, 예를 들어 국제공개 제2004/107011호 팜플렛에 개시되는 바와 같이, 복수의 반사면을 갖고 또한 중간 이미지를 적어도 1 회 형성하는 광학계 (반사계 또는 반사 굴절계) 가 그 일부에 형성되고, 또한 단일의 광축을 갖는, 이른바 인라인형의 반사 굴절계와 동일하게, 그 노광 영역은 광축 (AX) 을 포함하지 않는 오프 액시스 (OFF AXIS)영역이어도 된다. 또, 전술한 조명 영역 및 노광 영역은 그 형상이 직사각형인 것으로 하였으나, 이에 한정되지 않고, 예를 들어 원호, 사다리꼴 혹은 평행사변형 등이어도 된다.
또한, 상기 실시형태의 노광 장치의 광원은, ArF 엑시머 레이저에 한정하지 않고, KrF 엑시머 레이저 (출력 파장 248㎚), F2 레이저 (출력 파장 157㎚), Ar2 레이저 (출력 파장 126㎚), Kr2 레이저 (출력 파장 146㎚) 등의 펄스 레이저 광원, 혹은 g 선 (파장 436㎚), i 선 (파장 365㎚) 등의 휘선을 발하는 초고압 수은 램프 등을 사용할 수도 있다. 또, YAG 레이저의 고조파 발생 장치 등을 사용할 수도 있다. 이 외에, 예를 들어 국제공개 제1999/46835호 팜플렛 (대응 미국 특허 7,023,610호 명세서) 에 개시되어 있는 바와 같이, 진공 자외광으로서 DFB 반도체 레이저 또는 화이버 레이저로부터 발진되는 적외역, 또는 가시역의 단일 파장 레이저광을, 예를 들어 에르븀 (또는 에르븀과 이테르븀의 양방) 이 도프된 화이버 앰프로 증폭하고, 비선형 광학 결정을 사용하여 자외광으로 파장 변환한 고조파를 사용해도 된다.
또, 상기 실시형태에서는, 노광 장치의 조명광 (IL) 으로는 파장 100㎚ 이상의 광에 한정하지 않고, 파장 100㎚ 미만의 광을 사용해도 되는 것은 말할 필요도 없다. 예를 들어 최근, 70㎚ 이하의 패턴을 노광하기 위해, SOR 이나 플라즈마 레이저를 광원으로 하여, 연 X 선 영역 (예를 들어 5 ∼ 15㎚ 의 파장역) 의 EUV (Extreme Ultraviolet) 광을 발생시킴과 함께, 그 노광 파장 (예를 들어 13.5㎚) 하에서 설계된 전반사 축소 광학계 및 반사형 마스크를 사용한 EUV 노광 장치의 개발이 실시되고 있다. 이 장치에 있어서는, 원호 조명을 사용하여 마스크와 웨이퍼를 동기 주사하여 스캔 노광하는 구성을 생각할 수 있으므로, 이러한 장치에도 본 발명을 바람직하게 적용할 수 있다. 이 외에, 전자선 또는 이온빔 등의 하전 입자선을 사용하는 노광 장치에도 본 발명은 적용할 수 있다.
또, 상기 서술한 실시형태에 있어서는, 광 투과성의 기판 상에 소정의 차광 패턴 (또는 위상 패턴·감광 패턴) 을 형성한 광 투과형 마스크 (레티클) 를 사용하였으나, 이 레티클 대신에, 예를 들어 미국 특허 제6,778,257호 명세서에 개시되어 있는 바와 같이, 노광해야 할 패턴의 전자 데이터에 기초하여, 투과 패턴 또는 반사 패턴 혹은 발광 패턴을 형성하는 전자 마스크 (가변 성형 마스크, 액티브 마스크 혹은 이미지 제너레이터라고도 불리고, 예를 들어 비발광형 화상 표시 소자 (공간 광 변조기) 의 일종인 DMD (Digital Micro-mirror Device) 등을 포함한다) 를 사용해도 된다. 이러한 가변 성형 마스크를 사용하는 경우에는, 웨이퍼 또는 유리 플레이트 등이 탑재되는 스테이지가 가변 성형 마스크에 대해 상대 이동하므로, 그 스테이지의 이동면 내의 위치를 인코더 시스템을 사용하여 계측하고, 전술한 복수의 인코더 사이에서의 연결 동작을 실시하면서, 인코더의 계측값과 전술한 각 보정 정보에 기초하여 그 스테이지를 구동시킴으로써, 상기 실시형태와 동등한 효과를 얻을 수 있다.
또, 예를 들어 국제공개 제2001/035168호 팜플렛에 개시되어 있는 바와 같이, 간섭 무늬를 웨이퍼 상에 형성함으로써, 웨이퍼 상에 라인·앤드·스페이스 패턴을 형성하는 노광 장치 (리소그래피 시스템) 에도 본 발명을 적용할 수 있다.
또한, 예를 들어 일본 공표특허공보 2004-519850호 (대응 미국 특허 제6,611,316호 명세서) 에 개시되어 있는 바와 같이, 2 개의 레티클 패턴을 투영 광학계를 통해 웨이퍼 상에서 합성하고, 1 회의 스캔 노광에 의해 웨이퍼 상의 1 개의 쇼트 영역을 거의 동시에 이중 노광하는 노광 장치에도 본 발명을 적용할 수 있다.
또, 물체 상에 패턴을 형성하는 장치는 전술한 노광 장치 (리소그래피 시스템) 에 한정되지 않고, 예를 들어 잉크젯 방식으로 물체 상에 패턴을 형성하는 장치에도 본 발명을 적용할 수 있다.
또한, 상기 실시형태 및 변형예에서 패턴을 형성해야 할 물체 (에너지빔이 조사되는 노광 대상의 물체) 는 웨이퍼에 한정되는 것은 아니며, 유리 플레이트, 세라믹 기판, 필름 부재 혹은 마스크 블랭크스 등 다른 물체이어도 된다.
노광 장치의 용도로는 반도체 제조용의 노광 장치에 한정되지 않고, 예를 들어 사각형의 유리 플레이트에 액정 표시 소자 패턴을 전사하는 액정용의 노광 장치나 유기 EL, 박막 자기 헤드, 촬상 소자 (CCD 등), 마이크로 머신 및 DNA 칩 등을 제조하기 위한 노광 장치에도 널리 적용할 수 있다. 또, 반도체 소자 등의 마이크로 디바이스뿐만이 아니라, 광 노광 장치, EUV 노광 장치, X 선 노광 장치 및 전자선 노광 장치 등으로 사용되는 레티클 또는 마스크를 제조하기 위해, 유리 기판 또는 실리콘 웨이퍼 등에 회로 패턴을 전사하는 노광 장치에도 본 발명을 적용할 수 있다.
또한, 본 발명의 이동체 구동 시스템, 이동체 구동 방법 혹은 결정 방법은, 노광 장치에 한정하지 않고, 그 밖의 기판의 처리 장치 (예를 들어 레이저 리페어 장치, 기판 검사 장치 기타), 혹은 그 밖의 정밀 기계에 있어서의 시료의 위치 결정 장치, 와이어 본딩 장치 등의 2 차원 면 내에서 이동하는 스테이지 등의 이동체를 구비한 장치에도 널리 적용할 수 있다.
또, 상기 실시형태의 노광 장치 (패턴 형성 장치) 는, 본원 청구의 범위에 거론된 각 구성 요소를 포함하는 각종 서브 시스템을, 소정의 기계적 정밀도, 전기적 정밀도, 광학적 정밀도를 유지하도록 조립함으로써 제조된다. 이들 각종 정밀도를 확보하기 위해, 이 조립 전후에는, 각종 광학계에 대해서는 광학적 정밀도를 달성하기 위한 조정, 각종 기계계에 대해서는 기계적 정밀도를 달성하기 위한 조정, 각종 전기계에 대해서는 전기적 정밀도를 달성하기 위한 조정이 실시된다. 각종 서브 시스템으로부터 노광 장치에 대한 조립 공정은, 각종 서브 시스템 상호의 기계적 접속, 전기 회로의 배선 접속, 기압 회로의 배관 접속 등이 포함된다. 이 각종 서브 시스템으로부터 노광 장치에 대한 조립 공정 전에, 각 서브 시스템 개개의 조립 공정이 있는 것은 말할 필요도 없다. 각종 서브 시스템의 노광 장치에 대한 조립 공정이 종료되면, 종합 조정이 실시되어, 노광 장치 전체로서의 각종 정밀도가 확보된다. 또한, 노광 장치의 제조는 온도 및 클린도 등이 관리된 클린 룸에서 실시하는 것이 바람직하다.
또한, 상기 실시형태에서 인용한 노광 장치 등에 관한 모든 공보, 국제공개 팜플렛, 미국 특허출원 공개 명세서 및 미국 특허 명세서의 개시를 원용하여 본 명세서의 기재의 일부로 한다.
다음으로 상기 서술한 노광 장치 (패턴 형성 장치) 를 리소그래피 공정에서 사용하는 디바이스의 제조 방법의 실시형태에 대해 설명한다.
도 41 에는, 디바이스 (IC 나 LSI 등의 반도체 칩, 액정 패널, CCD, 박막 자기 헤드, 마이크로 머신 등) 의 제조예의 플로우 차트가 나타나 있다. 도 41 에 나타내는 바와 같이, 먼저 단계 201 (설계 단계) 에 있어서, 디바이스의 기능·성능 설계 (예를 들어 반도체 디바이스의 회로 설계 등) 를 실시하고, 그 기능을 실현하기 위한 패턴 설계를 실시한다. 이어서, 단계 202 (마스크 제작 단계) 에 있어서, 설계한 회로 패턴을 형성한 마스크를 제작한다. 한편, 단계 203 (웨이퍼 제조 단계) 에 있어서, 실리콘 등의 재료를 사용하여 웨이퍼를 제조한다.
다음으로, 단계 204 (웨이퍼 처리 단계) 에 있어서, 단계 201 ∼ 단계 203 에서 준비한 마스크와 웨이퍼를 사용하여, 후술하는 바와 같이, 리소그래피 기술 등에 의해 웨이퍼 상에 실제 회로 등을 형성한다. 이어서, 단계 205 (디바이스 조립 단계) 에 있어서, 단계 204 에서 처리된 웨이퍼를 사용하여 디바이스 조립을 실시한다. 이 단계 205 에는, 다이싱 공정, 본딩 공정 및 패키지 공정 (칩 봉입) 등의 공정이 필요에 따라 포함된다.
마지막으로, 단계 206 (검사 단계) 에 있어서, 단계 205 에서 제조된 디바이스의 동작 확인 테스트, 내구 테스트 등의 검사를 실시한다. 이러한 공정을 거친 후에 디바이스가 완성되고, 이것이 출하된다.
도 42 에는, 반도체 디바이스에 있어서의 상기 단계 204 의 상세한 플로우예가 나타나 있다. 도 42 에 있어서, 단계 211 (산화 단계) 에 있어서는 웨이퍼의 표면을 산화시킨다. 단계 212 (CVD 단계) 에 있어서는 웨이퍼 표면에 절연막을 형성한다. 단계 213 (전극 형성 단계) 에 있어서는 웨이퍼 상에 전극을 증착에 의해 형성한다. 단계 214 (이온 주입 단계) 에 있어서는 웨이퍼에 이온을 주입한다. 이상의 단계 211 ∼ 단계 214 각각은, 웨이퍼 처리의 각 단계의 전처리 공정을 구성하고 있고, 각 단계에 있어서 필요한 처리에 따라 선택되어 실행된다.
웨이퍼 프로세스의 각 단계에 있어서, 상기 서술한 전처리 공정이 종료되면, 이하와 같이 하여 후처리 공정이 실행된다. 이 후처리 공정에서는, 먼저 단계 215 (레지스트 형성 단계) 에 있어서, 웨이퍼에 감광제를 도포한다. 이어서, 단계 216 (노광 단계) 에 있어서, 위에서 설명한 노광 장치 (패턴 형성 장치) 및 그 노광 방법 (패턴 형성 방법) 에 의해 마스크의 회로 패턴을 웨이퍼에 전사한다. 다음으로, 단계 217 (현상 단계) 에 있어서는 노광된 웨이퍼를 현상하고, 단계 218 (에칭 단계) 에 있어서, 레지스트가 잔존하고 있는 부분 이외의 부분의 노출 부재를 에칭에 의해 제거한다. 그리고, 단계 219 (레지스트 제거 단계) 에 있어서, 에칭이 완료되어 불필요해진 레지스트를 없앤다.
이들 전처리 공정과 후처리 공정을 반복하여 실시함으로써, 웨이퍼 상에 다중으로 회로 패턴이 형성된다.
이상 설명한 본 실시형태의 디바이스 제조 방법을 사용하면, 노광 공정 (단계 216) 에 있어서 상기 실시형태의 노광 장치 (패턴 형성 장치) 및 그 노광 방법 (패턴 형성 방법) 이 사용되므로, 중첩하여 정밀도를 높게 유지하면서, 고스루풋인 노광을 실시할 수 있다. 따라서, 미세 패턴이 형성된 고집적도의 마이크로 디바이스의 생산성을 향상시킬 수 있다.
이상 설명한 바와 같이, 본 발명의 이동체 구동 시스템 및 이동체 구동 방법은 이동면 내에서 이동체를 구동시키는 데 적합하다. 또, 본 발명의 패턴 형성 장치 및 패턴 형성 방법은 물체 상에 패턴을 형성하는 데 적합하다. 또, 본 발명의 노광 장치 및 노광 방법, 그리고 디바이스 제조 방법은 마이크로 디바이스의 제조에 적합하다.
100노광 장치
10조명계
11레티클 스테이지 구동계
15이동경
20주제어 장치

Claims (61)

  1. 투영 광학계를 통해 조명광으로 기판을 노광하는 노광 장치로서,
    상기 기판을 유지하는 홀더와, 상기 홀더가 형성되는 상면측에 배치되는 슬릿 패턴을 갖고, 상기 투영 광학계의 하방에 배치되는 스테이지와,
    상기 투영 광학계를 통해 투영되는 마크 이미지를, 상기 슬릿 패턴을 통해 검출하는 공간 이미지 계측 장치와,
    상기 스테이지를 구동하는 모터를 갖는 구동계와,
    상기 스테이지에 격자부와 헤드의 일방이 형성되고, 상기 격자부와 상기 헤드의 타방이 상기 스테이지와 대향하도록 상기 투영 광학계의 하단측에 형성되고, 상기 격자부와 대향하는 복수의 상기 헤드에 의해, 상기 스테이지의 위치 정보를 계측하는 계측 시스템과,
    상기 계측 시스템으로 계측되는 위치 정보에 기초하여 상기 구동계를 제어하는 제어 장치를 구비하고,
    상기 기판의 노광 동작과 상기 마크 이미지의 검출 동작에서 각각, 상기 계측 시스템에 의해 상기 스테이지의 위치 정보가 계측됨과 함께, 상기 노광 동작에있어서 상기 마크 이미지의 검출 정보가 사용되고,
    상기 제어 장치는, 상기 검출 동작에 있어서, 상기 마크 이미지가 상기 슬릿패턴 상에 투영되도록 상기 구동계를 제어하고,
    상기 스테이지의 이동 중, 상기 복수의 헤드 중 1 개 대신에, 상기 복수의 헤드와 상이한 다른 헤드가 사용되도록 상기 헤드의 전환이 실시됨과 함께, 상기 전환 전에 사용되는 상기 복수의 헤드에 의해 계측되는 위치 정보에 기초하여, 상기 전환 후에 사용되는 상기 다른 헤드에 의해 계측되는 위치 정보의 보정 정보가 취득되고,
    상기 전환 후, 상기 복수의 헤드 중 상기 1 개의 헤드를 제외한 나머지 헤드와, 상기 다른 헤드를 포함하는 복수의 헤드에 의해 상기 스테이지의 위치 정보가계측되는 노광 장치.
  2. 제 1 항에 있어서,
    상기 마크 이미지의 검출 정보는, 상기 기판의 얼라인먼트와, 상기 투영 광학계의 포커스 정보의 취득 중 적어도 일방에 사용되는 노광 장치.
  3. 제 2 항에 있어서,
    상기 홀더는, 상기 스테이지의 상면의 오목부 내에 형성됨과 함께, 상기 오목부 내에서 상기 기판을 유지하고,
    상기 슬릿 패턴은, 상기 오목부와 상이한 상기 상면의 개구 내에 배치되는 계측 부재에 형성되는 노광 장치.
  4. 제 3 항에 있어서,
    상기 제어 장치는, 상기 투영 광학계의 광축 방향에 관한 상기 계측 부재의 위치를 변경하면서, 상기 공간 이미지 계측 장치에 의해 상기 마크 이미지가 검출되도록 상기 구동계를 제어하고, 상기 마크 이미지의 검출 정보에 기초하여 상기 투영 광학계의 포커스 정보를 취득하는 노광 장치.
  5. 제 4 항에 있어서,
    상기 기판에 빔을 조사하여 상기 기판의 위치 정보를 계측하는 기판 계측계를 추가로 구비하고,
    상기 기판의 계측 동작에 있어서, 상기 계측 시스템에 의해 상기 스테이지의 위치 정보가 계측되고,
    상기 기판 계측계는, 상기 기판의 마크를 검출하는 마크 검출계와, 상기 투영 광학계의 광축 방향에 관한 상기 기판의 위치 정보를 계측하는 위치 계측 장치를 갖는 노광 장치.
  6. 제 5 항에 있어서,
    상기 제어 장치는, 상기 노광 동작에 있어서, 상기 기판 계측계에 의한 상기 기판의 계측 정보와, 상기 계측 동작에 있어서 상기 계측 시스템으로 계측되는 위치 정보를 사용하여, 상기 계측 시스템으로 계측되는 위치 정보에 기초하는 상기 구동계에 의한 상기 스테이지의 구동을 제어하는 노광 장치.
  7. 제 5 항에 있어서,
    상기 마크 이미지의 검출 정보는, 상기 마크 검출계에 의한 상기 기판의 계측 정보를 사용하는 상기 기판의 얼라인먼트 동작과, 상기 위치 계측 장치에 의한 상기 기판의 계측 정보를 사용하는 상기 기판의 포커스·레벨링 동작 중 적어도 일방에서 사용되는 노광 장치.
  8. 제 7 항에 있어서,
    상기 투영 광학계를 지지하는 프레임 부재를 추가로 구비하고,
    상기 마크 검출계 및 상기 위치 계측 장치는, 상기 투영 광학계로부터 떨어져 상기 프레임 부재에 형성되는 노광 장치.
  9. 제 8 항에 있어서,
    상기 격자부와 상기 헤드의 타방은, 상기 프레임 부재에 형성되는 노광 장치.
  10. 제 9 항에 있어서,
    상기 스테이지는, 상기 헤드가 형성됨과 함께, 상기 격자부의 하방에서 이동되는 노광 장치.
  11. 제 1 항에 있어서,
    상기 투영 광학계를 지지하는 프레임 부재를 추가로 구비하고,
    상기 격자부와 상기 헤드의 타방은, 상기 프레임 부재에 형성되는 노광 장치.
  12. 제 11 항에 있어서,
    상기 격자부와 상기 헤드의 타방은, 상기 프레임 부재로부터 지지 부재를 통해서 지지되는 노광 장치.
  13. 제 12 항에 있어서,
    상기 헤드는 상기 스테이지에 형성됨과 함께, 상기 격자부는 상기 지지 부재를 통해서 상기 프레임 부재에 지지되고,
    상기 노광 동작 및 상기 검출 동작에 있어서, 상기 스테이지는 상기 격자부의 하방에서 이동되는 노광 장치.
  14. 제 12 항에 있어서,
    상기 투영 광학계의 하방에 형성되는 베이스를 추가로 구비하고,
    상기 구동계는, 상기 베이스 상에서 비접촉으로 지지되는 상기 스테이지를 이동시키는 노광 장치.
  15. 제 14 항에 있어서,
    상기 투영 광학계의 아래에 액체로 액침 영역을 형성하는 노즐 유닛을 추가로 구비하고,
    상기 공간 이미지 계측 장치는, 상기 투영 광학계와 상기 액침 영역의 액체를 통해 상기 슬릿 패턴 상에 투영되는 상기 마크 이미지를 검출하고,
    상기 노즐 유닛은, 상기 프레임 부재, 혹은 상기 프레임 부재와 상이한 프레임 부재에 형성되는 노광 장치.
  16. 제 1 항 내지 제 15 항 중 어느 한 항에 있어서,
    상기 계측 시스템은, 상기 투영 광학계의 광축과 직교하는 소정 평면 내에서 서로 직교하는 제 1, 제 2 방향을 포함하는 6 자유도 방향에 관한 상기 스테이지의 위치 정보를 계측하는 노광 장치.
  17. 제 1 항 내지 제 15 항 중 어느 한 항에 있어서,
    상기 투영 광학계의 아래에 액체로 액침 영역을 형성하는 노즐 유닛을 추가로 구비하고,
    상기 노즐 유닛은, 상기 투영 광학계의 복수의 광학 소자 중, 상기 조명광이 통과하는 사출면이 상기 액침 영역의 액체와 접하는 렌즈를 둘러싸도록 상기 투영 광학계의 하단측에 형성되고,
    상기 기판은, 상기 투영 광학계와 상기 액침 영역의 액체를 통해 상기 조명광으로 노광되고,
    상기 공간 이미지 계측 장치는, 상기 투영 광학계와 상기 액침 영역의 액체를 통해 상기 슬릿 패턴 상에 투영되는 상기 마크 이미지를 검출하는 노광 장치.
  18. 제 17 항에 있어서,
    상기 격자부와 상기 헤드의 타방은, 상기 투영 광학계에 대해 상기 노즐 유닛의 외측에 형성되는 노광 장치.
  19. 제 17 항에 있어서,
    상기 노즐 유닛은 그 하면이 상기 렌즈의 사출면보다 낮아지도록 형성되는 노광 장치.
  20. 제 19 항에 있어서,
    상기 투영 광학계를 지지하는 프레임 부재를 추가로 구비하고,
    상기 노즐 유닛은, 상기 프레임 부재에 형성되는 노광 장치.
  21. 제 19 항에 있어서,
    상기 투영 광학계를 지지하는 프레임 부재와,
    상기 노즐 유닛이 형성되고, 상기 프레임 부재와 상이한 프레임 부재를 추가로 구비하는 노광 장치.
  22. 제 19 항에 있어서,
    상기 스테이지는 그 상면의 오목부 내에 상기 홀더가 형성되고, 상기 기판의 표면이 상기 스테이지의 상면과 동일면이 되도록 상기 오목부 내에서 상기 기판을 유지하는 노광 장치.
  23. 제 22 항에 있어서,
    상기 투영 광학계를 지지하는 프레임 부재와,
    상기 투영 광학계로부터 떨어져 상기 프레임 부재에 형성되고, 상기 기판에 빔을 조사하여 상기 기판의 위치 정보를 계측하는 기판 계측계를 추가로 구비하고,
    상기 기판의 계측 동작에 있어서, 상기 계측 시스템에 의해 상기 스테이지의 위치 정보가 계측되고,
    상기 기판 계측계는, 상기 기판의 마크를 검출하는 마크 검출계와, 상기 투영 광학계의 광축 방향에 관한 상기 기판의 위치 정보를 계측하는 위치 계측 장치를 갖는 노광 장치.
  24. 제 23 항에 있어서,
    상기 격자부와 상기 헤드의 타방은, 상기 프레임 부재에 형성되는 노광 장치.
  25. 제 1 항 내지 제 15 항 중 어느 한 항에 있어서,
    상기 전환 전, 상기 격자부와 대향하는 3 개의 상기 헤드에 의해 상기 스테이지의 위치 정보가 계측되고,
    상기 전환 후, 상기 3 개의 헤드 중 상기 1 개의 헤드를 제외한 2 개의 헤드와, 상기 3 개의 헤드와 상이한 상기 다른 헤드를 포함하는 3 개의 헤드에 의해 상기 스테이지의 위치 정보가 계측되고,
    상기 보정 정보는, 상기 전환 전에 사용되는 3 개의 헤드에 의해 계측되는 위치 정보로부터 취득되는 노광 장치.
  26. 제 25 항에 있어서,
    상기 보정 정보는, 상기 전환 전에 사용되는 상기 3 개의 헤드와 상기 다른 헤드를 포함하는 4 개의 헤드가 상기 격자부와 대향하고 있는 동안에 취득되는 노광 장치.
  27. 제 25 항에 있어서,
    상기 헤드의 전환은, 상기 전환 전에 사용되는 상기 3 개의 헤드와 상기 다른 헤드를 포함하는 4 개의 헤드가 상기 격자부와 대향하고 있는 동안에 실시되는 노광 장치.
  28. 제 25 항에 있어서,
    상기 격자부는, 각각 반사형 격자가 형성되는 4 개의 스케일 부재를 갖고,
    상기 보정 정보의 취득 및 상기 헤드의 전환은, 상기 전환 전에 사용되는 상기 3 개의 헤드와 상기 다른 헤드를 포함하는 4 개의 헤드가 각각 상기 4 개의 스케일 부재와 대향하고 있는 동안에 실시되는 노광 장치.
  29. 제 28 항에 있어서,
    적어도 상기 노광 동작에 있어서, 상기 4 개의 스케일 부재의 3 개 또는 4 개와 각각 대향하는 3 개 또는 4 개의 상기 헤드에 의해 상기 스테이지의 위치 정보가 계측되는 노광 장치.
  30. 제 29 항에 있어서,
    상기 스테이지의 이동에 의해, 상기 격자부와 대향하는 헤드가 상기 3 개의 헤드와 상기 4 개의 헤드의 일방으로부터 타방으로 변경되는 노광 장치.
  31. 투영 광학계를 통해 조명광으로 기판을 노광하는 노광 방법으로서,
    상기 기판을 유지하는 홀더와, 상기 홀더가 형성되는 상면측에 배치되는 슬릿 패턴을 갖는 스테이지를, 상기 투영 광학계의 하방에서 이동시키는 것과,
    상기 스테이지에 격자부와 헤드의 일방이 형성되고, 상기 격자부와 상기 헤드의 타방이 상기 스테이지와 대향하도록 상기 투영 광학계의 하단측에 형성되는 계측 시스템의, 상기 격자부와 대향하는 복수의 상기 헤드에 의해, 상기 스테이지의 위치 정보를 계측하는 것과,
    상기 투영 광학계를 통해 투영되는 마크 이미지를, 상기 슬릿 패턴을 통해 검출하기 위해, 상기 마크 이미지가 상기 슬릿 패턴 상에 투영되도록 상기 스테이지를 배치하는 것을 포함하고,
    상기 기판의 노광 동작과 상기 마크 이미지의 검출 동작에서 각각, 상기 계측 시스템에 의해 상기 스테이지의 위치 정보가 계측됨과 함께, 상기 노광 동작에 있어서 상기 마크 이미지의 검출 정보가 사용되고,
    상기 스테이지의 이동 중, 상기 복수의 헤드 중 1 개 대신에, 상기 복수의 헤드와 상이한 다른 헤드가 사용되도록 상기 헤드의 전환이 실시됨과 함께, 상기 전환 전에 사용되는 상기 복수의 헤드에 의해 계측되는 위치 정보에 기초하여, 상기 전환 후에 사용되는 상기 다른 헤드에 의해 계측되는 위치 정보의 보정 정보가 취득되고,
    상기 전환 후, 상기 복수의 헤드 중 상기 1 개의 헤드를 제외한 나머지 헤드와, 상기 다른 헤드를 포함하는 복수의 헤드에 의해 상기 스테이지의 위치 정보가 계측되는 노광 방법.
  32. 제 31 항에 있어서,
    상기 마크 이미지의 검출 정보는, 상기 기판의 얼라인먼트와, 상기 투영 광학계의 포커스 정보의 취득 중 적어도 일방에 사용되는 노광 방법.
  33. 제 32 항에 있어서,
    상기 기판은, 상기 홀더가 형성되는 상기 스테이지의 상면의 오목부 내에서 유지되고,
    상기 슬릿 패턴은, 상기 오목부와 상이한 상기 상면의 개구 내에 배치되는 계측 부재에 형성되는 노광 방법.
  34. 제 33 항에 있어서,
    상기 투영 광학계의 광축 방향에 관한 상기 계측 부재의 위치를 변경하면서, 상기 슬릿 패턴을 통해 상기 마크 이미지가 검출되고, 상기 마크 이미지의 검출 정보에 기초하여 상기 투영 광학계의 포커스 정보가 취득되는 노광 방법.
  35. 제 34 항에 있어서,
    상기 기판에 빔을 조사하는 기판 계측계에 의해 상기 기판의 위치 정보가 계측되고,
    상기 기판의 계측 동작에 있어서, 상기 계측 시스템에 의해 상기 스테이지의 위치 정보가 계측되고,
    상기 기판 계측계는, 상기 기판의 마크를 검출하는 마크 검출계와, 상기 투영 광학계의 광축 방향에 관한 상기 기판의 위치 정보를 계측하는 위치 계측 장치를 갖는 노광 방법.
  36. 제 35 항에 있어서,
    상기 노광 동작에 있어서, 상기 기판 계측계에 의한 상기 기판의 계측 정보와, 상기 계측 동작에 있어서 상기 계측 시스템으로 계측되는 위치 정보를 사용하여, 상기 계측 시스템으로 계측되는 위치 정보에 기초하는 상기 스테이지의 구동이 제어되는 노광 방법.
  37. 제 35 항에 있어서,
    상기 마크 이미지의 검출 정보는, 상기 마크 검출계에 의한 상기 기판의 계측 정보를 사용하는 상기 기판의 얼라인먼트 동작과, 상기 위치 계측 장치에 의한 상기 기판의 계측 정보를 사용하는 상기 기판의 포커스·레벨링 동작 중 적어도 일방에서 사용되는 노광 방법.
  38. 제 37 항에 있어서,
    상기 마크 검출계 및 상기 위치 계측 장치는, 상기 투영 광학계로부터 떨어져 상기 투영 광학계를 지지하는 프레임 부재에 형성되는 노광 방법.
  39. 제 31 항 내지 제 38 항 중 어느 한 항에 있어서,
    상기 격자부와 상기 헤드의 타방은, 상기 투영 광학계를 지지하는 프레임 부재에 형성되는 노광 방법.
  40. 제 39 항에 있어서,
    상기 격자부와 상기 헤드의 타방은, 상기 프레임 부재로부터 지지 부재를 통해서 지지되는 노광 방법.
  41. 제 40 항에 있어서,
    상기 헤드는 상기 스테이지에 형성됨과 함께, 상기 격자부는 상기 지지 부재를 통해서 상기 프레임 부재에 지지되고,
    상기 노광 동작 및 상기 검출 동작에 있어서, 상기 스테이지는 상기 격자부의 하방에서 이동되는 노광 방법.
  42. 제 40 항에 있어서,
    상기 스테이지는, 상기 투영 광학계의 하방에 형성되는 베이스 상에서 비접촉으로 지지되는 노광 방법.
  43. 제 42 항에 있어서,
    상기 프레임 부재, 혹은 상기 프레임 부재와 상이한 프레임 부재에 형성되는 노즐 유닛에 의해, 상기 투영 광학계의 아래에 액체로 액침 영역이 형성되고,
    상기 마크 이미지는, 상기 투영 광학계와 상기 액침 영역의 액체를 통해 상기 슬릿 패턴 상에 투영되는 노광 방법.
  44. 제 31 항 내지 제 38 항 중 어느 한 항에 있어서,
    상기 계측 시스템에 의해, 상기 투영 광학계의 광축과 직교하는 소정 평면 내에서 서로 직교하는 제 1, 제 2 방향을 포함하는 6 자유도 방향에 관한 상기 스테이지의 위치 정보가 계측되는 노광 방법.
  45. 제 31 항 내지 제 38 항 중 어느 한 항에 있어서,
    상기 투영 광학계와 액침 영역의 액체를 통해 상기 조명광으로 상기 기판이 노광되도록, 상기 투영 광학계의 복수의 광학 소자 중, 상기 조명광이 통과하는 사출면이 상기 액침 영역의 액체와 접하는 렌즈를 둘러싸도록 상기 투영 광학계의 하단측에 형성되는 노즐 유닛에 의해, 상기 투영 광학계의 아래에 액체로 상기 액침 영역이 형성되고,
    상기 마크 이미지는, 상기 투영 광학계와 상기 액침 영역의 액체를 통해 상기 슬릿 패턴 상에 투영되는 노광 방법.
  46. 제 45 항에 있어서,
    상기 격자부와 상기 헤드의 타방은, 상기 투영 광학계에 대해 상기 노즐 유닛의 외측에 형성되는 노광 방법.
  47. 제 45 항에 있어서,
    상기 노즐 유닛은 그 하면이 상기 렌즈의 사출면보다 낮아지도록 형성되는 노광 방법.
  48. 제 47 항에 있어서,
    상기 기판은 그 표면이 상기 스테이지의 상면과 동일면이 되도록, 상기 홀더가 형성되는 상기 상면의 오목부 내에서 유지되는 노광 방법.
  49. 제 48 항에 있어서,
    상기 투영 광학계로부터 떨어져 상기 투영 광학계를 지지하는 프레임 부재에 형성되고, 상기 기판에 빔을 조사하는 기판 계측계에 의해, 상기 기판의 위치 정보가 계측되고,
    상기 기판의 계측 동작에 있어서, 상기 계측 시스템에 의해 상기 스테이지의 위치 정보가 계측되고,
    상기 기판 계측계는, 상기 기판의 마크를 검출하는 마크 검출계와, 상기 투영 광학계의 광축 방향에 관한 상기 기판의 위치 정보를 계측하는 위치 계측 장치를 갖는 노광 방법.
  50. 제 31 항 내지 제 38 항 중 어느 한 항에 있어서,
    상기 전환 전, 상기 격자부와 대향하는 3 개의 상기 헤드에 의해 상기 스테이지의 위치 정보가 계측되고,
    상기 전환 후, 상기 3 개의 헤드 중 상기 1 개의 헤드를 제외한 2 개의 헤드와, 상기 3 개의 헤드와 상이한 상기 다른 헤드를 포함하는 3 개의 헤드에 의해 상기 스테이지의 위치 정보가 계측되고,
    상기 보정 정보는, 상기 전환 전에 사용되는 3 개의 헤드에 의해 계측되는 위치 정보로부터 취득되는 노광 방법.
  51. 제 50 항에 있어서,
    상기 보정 정보는, 상기 전환 전에 사용되는 상기 3 개의 헤드와 상기 다른 헤드를 포함하는 4 개의 헤드가 상기 격자부와 대향하고 있는 동안에 취득되는 노광 방법.
  52. 제 50 항에 있어서,
    상기 헤드의 전환은, 상기 전환 전에 사용되는 상기 3 개의 헤드와 상기 다른 헤드를 포함하는 4 개의 헤드가 상기 격자부와 대향하고 있는 동안에 실시되는 노광 방법.
  53. 제 50 항에 있어서,
    상기 격자부는, 각각 반사형 격자가 형성되는 4 개의 스케일 부재를 갖고,
    상기 보정 정보의 취득 및 상기 헤드의 전환은, 상기 전환 전에 사용되는 상기 3 개의 헤드와 상기 다른 헤드를 포함하는 4 개의 헤드가 각각 상기 4 개의 스케일 부재와 대향하고 있는 동안에 실시되는 노광 방법.
  54. 제 53 항에 있어서,
    적어도 상기 노광 동작에 있어서, 상기 4 개의 스케일 부재의 3 개 또는 4 개와 각각 대향하는 3 개 또는 4 개의 상기 헤드에 의해 상기 스테이지의 위치 정보가 계측되는 노광 방법.
  55. 제 54 항에 있어서,
    상기 스테이지의 이동에 의해, 상기 격자부와 대향하는 헤드가 상기 3 개의 헤드와 상기 4 개의 헤드의 일방으로부터 타방으로 변경되는 노광 방법.
  56. 디바이스 제조 방법으로서,
    제 31 항 내지 제 38 항 중 어느 한 항에 기재된 노광 방법을 사용하여 기판을 노광하는 것과,
    노광된 상기 기판을 현상하는 것을 포함하는 디바이스 제조 방법.
  57. 삭제
  58. 삭제
  59. 삭제
  60. 삭제
  61. 삭제
KR1020157036552A2006-08-312007-08-31이동체 구동 방법 및 이동체 구동 시스템, 패턴 형성 방법 및 장치, 노광 방법 및 장치, 그리고 디바이스 제조 방법Expired - Fee RelatedKR101698291B1 (ko)

Applications Claiming Priority (7)

Application NumberPriority DateFiling DateTitle
JPJP-P-2006-2370452006-08-31
JP20062370452006-08-31
JP20062376062006-09-01
JPJP-P-2006-2376062006-09-01
JPJP-P-2006-2374912006-09-01
JP20062374912006-09-01
PCT/JP2007/067074WO2008026742A1 (fr)2006-08-312007-08-31Procédé d'entraînement de corps mobile et système d'entraînement de corps mobile, procédé et appareil de mise en forme de motif, procédé et appareil d'exposition et procédé de fabrication de dispositif

Related Parent Applications (1)

Application NumberTitlePriority DateFiling Date
KR1020157019884ADivisionKR101645909B1 (ko)2006-08-312007-08-31이동체 구동 방법 및 이동체 구동 시스템, 패턴 형성 방법 및 장치, 노광 방법 및 장치, 그리고 디바이스 제조 방법

Related Child Applications (1)

Application NumberTitlePriority DateFiling Date
KR1020177000847ADivisionKR101824374B1 (ko)2006-08-312007-08-31이동체 구동 방법 및 이동체 구동 시스템, 패턴 형성 방법 및 장치, 노광 방법 및 장치, 그리고 디바이스 제조 방법

Publications (2)

Publication NumberPublication Date
KR20160006237A KR20160006237A (ko)2016-01-18
KR101698291B1true KR101698291B1 (ko)2017-02-01

Family

ID=39136023

Family Applications (14)

Application NumberTitlePriority DateFiling Date
KR1020157036552AExpired - Fee RelatedKR101698291B1 (ko)2006-08-312007-08-31이동체 구동 방법 및 이동체 구동 시스템, 패턴 형성 방법 및 장치, 노광 방법 및 장치, 그리고 디바이스 제조 방법
KR1020157036553AExpired - Fee RelatedKR101711323B1 (ko)2006-08-312007-08-31이동체 구동 방법 및 이동체 구동 시스템, 패턴 형성 방법 및 장치, 노광 방법 및 장치, 그리고 디바이스 제조 방법
KR1020187002349AExpired - Fee RelatedKR101933360B1 (ko)2006-08-312007-08-31이동체 구동 방법 및 이동체 구동 시스템, 패턴 형성 방법 및 장치, 노광 방법 및 장치, 그리고 디바이스 제조 방법
KR1020167000307AExpired - Fee RelatedKR101670638B1 (ko)2006-08-312007-08-31이동체 구동 방법 및 이동체 구동 시스템, 패턴 형성 방법 및 장치, 노광 방법 및 장치, 그리고 디바이스 제조 방법
KR1020167000308AExpired - Fee RelatedKR101670639B1 (ko)2006-08-312007-08-31이동체 구동 방법 및 이동체 구동 시스템, 패턴 형성 방법 및 장치, 노광 방법 및 장치, 그리고 디바이스 제조 방법
KR1020087026015AExpired - Fee RelatedKR101400615B1 (ko)2006-08-312007-08-31이동체 구동 방법 및 이동체 구동 시스템, 패턴 형성 방법 및 장치, 노광 방법 및 장치, 그리고 디바이스 제조 방법
KR1020147034198AExpired - Fee RelatedKR101585370B1 (ko)2006-08-312007-08-31이동체 구동 방법 및 이동체 구동 시스템, 패턴 형성 방법 및 장치, 노광 방법 및 장치, 그리고 디바이스 제조 방법
KR1020147017741AExpired - Fee RelatedKR101529845B1 (ko)2006-08-312007-08-31이동체 구동 방법 및 이동체 구동 시스템, 패턴 형성 방법 및 장치, 노광 방법 및 장치, 그리고 디바이스 제조 방법
KR1020187036725ACeasedKR20180137600A (ko)2006-08-312007-08-31이동체 구동 방법 및 이동체 구동 시스템, 패턴 형성 방법 및 장치, 노광 방법 및 장치, 그리고 디바이스 제조 방법
KR1020137020821AExpired - Fee RelatedKR101477448B1 (ko)2006-08-312007-08-31이동체 구동 방법 및 이동체 구동 시스템, 패턴 형성 방법 및 장치, 노광 방법 및 장치, 그리고 디바이스 제조 방법
KR1020177000847AExpired - Fee RelatedKR101824374B1 (ko)2006-08-312007-08-31이동체 구동 방법 및 이동체 구동 시스템, 패턴 형성 방법 및 장치, 노광 방법 및 장치, 그리고 디바이스 제조 방법
KR1020157019884AExpired - Fee RelatedKR101645909B1 (ko)2006-08-312007-08-31이동체 구동 방법 및 이동체 구동 시스템, 패턴 형성 방법 및 장치, 노광 방법 및 장치, 그리고 디바이스 제조 방법
KR1020137020822AExpired - Fee RelatedKR101409011B1 (ko)2006-08-312007-08-31이동체 구동 방법 및 이동체 구동 시스템, 패턴 형성 방법 및 장치, 노광 방법 및 장치, 그리고 디바이스 제조 방법
KR1020147034199AExpired - Fee RelatedKR101565275B1 (ko)2006-08-312007-08-31이동체 구동 방법 및 이동체 구동 시스템, 패턴 형성 방법 및 장치, 노광 방법 및 장치, 그리고 디바이스 제조 방법

Family Applications After (13)

Application NumberTitlePriority DateFiling Date
KR1020157036553AExpired - Fee RelatedKR101711323B1 (ko)2006-08-312007-08-31이동체 구동 방법 및 이동체 구동 시스템, 패턴 형성 방법 및 장치, 노광 방법 및 장치, 그리고 디바이스 제조 방법
KR1020187002349AExpired - Fee RelatedKR101933360B1 (ko)2006-08-312007-08-31이동체 구동 방법 및 이동체 구동 시스템, 패턴 형성 방법 및 장치, 노광 방법 및 장치, 그리고 디바이스 제조 방법
KR1020167000307AExpired - Fee RelatedKR101670638B1 (ko)2006-08-312007-08-31이동체 구동 방법 및 이동체 구동 시스템, 패턴 형성 방법 및 장치, 노광 방법 및 장치, 그리고 디바이스 제조 방법
KR1020167000308AExpired - Fee RelatedKR101670639B1 (ko)2006-08-312007-08-31이동체 구동 방법 및 이동체 구동 시스템, 패턴 형성 방법 및 장치, 노광 방법 및 장치, 그리고 디바이스 제조 방법
KR1020087026015AExpired - Fee RelatedKR101400615B1 (ko)2006-08-312007-08-31이동체 구동 방법 및 이동체 구동 시스템, 패턴 형성 방법 및 장치, 노광 방법 및 장치, 그리고 디바이스 제조 방법
KR1020147034198AExpired - Fee RelatedKR101585370B1 (ko)2006-08-312007-08-31이동체 구동 방법 및 이동체 구동 시스템, 패턴 형성 방법 및 장치, 노광 방법 및 장치, 그리고 디바이스 제조 방법
KR1020147017741AExpired - Fee RelatedKR101529845B1 (ko)2006-08-312007-08-31이동체 구동 방법 및 이동체 구동 시스템, 패턴 형성 방법 및 장치, 노광 방법 및 장치, 그리고 디바이스 제조 방법
KR1020187036725ACeasedKR20180137600A (ko)2006-08-312007-08-31이동체 구동 방법 및 이동체 구동 시스템, 패턴 형성 방법 및 장치, 노광 방법 및 장치, 그리고 디바이스 제조 방법
KR1020137020821AExpired - Fee RelatedKR101477448B1 (ko)2006-08-312007-08-31이동체 구동 방법 및 이동체 구동 시스템, 패턴 형성 방법 및 장치, 노광 방법 및 장치, 그리고 디바이스 제조 방법
KR1020177000847AExpired - Fee RelatedKR101824374B1 (ko)2006-08-312007-08-31이동체 구동 방법 및 이동체 구동 시스템, 패턴 형성 방법 및 장치, 노광 방법 및 장치, 그리고 디바이스 제조 방법
KR1020157019884AExpired - Fee RelatedKR101645909B1 (ko)2006-08-312007-08-31이동체 구동 방법 및 이동체 구동 시스템, 패턴 형성 방법 및 장치, 노광 방법 및 장치, 그리고 디바이스 제조 방법
KR1020137020822AExpired - Fee RelatedKR101409011B1 (ko)2006-08-312007-08-31이동체 구동 방법 및 이동체 구동 시스템, 패턴 형성 방법 및 장치, 노광 방법 및 장치, 그리고 디바이스 제조 방법
KR1020147034199AExpired - Fee RelatedKR101565275B1 (ko)2006-08-312007-08-31이동체 구동 방법 및 이동체 구동 시스템, 패턴 형성 방법 및 장치, 노광 방법 및 장치, 그리고 디바이스 제조 방법

Country Status (9)

CountryLink
US (6)US20080094592A1 (ko)
EP (8)EP3067748B1 (ko)
JP (13)JP5035245B2 (ko)
KR (14)KR101698291B1 (ko)
CN (3)CN101405840B (ko)
HK (2)HK1248325B (ko)
SG (2)SG10201407395SA (ko)
TW (8)TWI596444B (ko)
WO (1)WO2008026742A1 (ko)

Families Citing this family (118)

* Cited by examiner, † Cited by third party
Publication numberPriority datePublication dateAssigneeTitle
EP3147710B1 (en)2006-01-192019-04-10Nikon CorporationExposure apparatus, exposure method, and device manufacturing method
US8675171B2 (en)2006-08-312014-03-18Nikon CorporationMovable body drive system and movable body drive method, pattern formation apparatus and method, exposure apparatus and method, device manufacturing method, and decision-making method
KR101444473B1 (ko)2006-08-312014-09-24가부시키가이샤 니콘이동체 구동 방법 및 이동체 구동 시스템, 패턴 형성 방법 및 장치, 노광 방법 및 장치, 그리고 디바이스 제조 방법
KR101698291B1 (ko)2006-08-312017-02-01가부시키가이샤 니콘이동체 구동 방법 및 이동체 구동 시스템, 패턴 형성 방법 및 장치, 노광 방법 및 장치, 그리고 디바이스 제조 방법
CN102360169B (zh)2006-09-012014-01-22株式会社尼康移动体驱动方法及移动体驱动系统、图案形成方法及装置、曝光方法及装置、组件制造方法、以及校正方法
SG10201407218XA (en)2006-09-012015-01-29Nippon Kogaku KkMovable Body Drive Method And Movable Body Drive System, Pattern Formation Method And Apparatus, Exposure Method And Apparatus, And Device Manufacturing Method
JP5177449B2 (ja)*2007-07-242013-04-03株式会社ニコン移動体駆動方法及び移動体駆動システム、パターン形成方法及び装置、露光方法及び装置、並びにデバイス製造方法
US8237919B2 (en)*2007-08-242012-08-07Nikon CorporationMovable body drive method and movable body drive system, pattern formation method and apparatus, exposure method and apparatus, and device manufacturing method for continuous position measurement of movable body before and after switching between sensor heads
US9013681B2 (en)*2007-11-062015-04-21Nikon CorporationMovable body apparatus, pattern formation apparatus and exposure apparatus, and device manufacturing method
US9256140B2 (en)*2007-11-072016-02-09Nikon CorporationMovable body apparatus, pattern formation apparatus and exposure apparatus, and device manufacturing method with measurement device to measure movable body in Z direction
US8665455B2 (en)*2007-11-082014-03-04Nikon CorporationMovable body apparatus, pattern formation apparatus and exposure apparatus, and device manufacturing method
US8422015B2 (en)2007-11-092013-04-16Nikon CorporationMovable body apparatus, pattern formation apparatus and exposure apparatus, and device manufacturing method
US8711327B2 (en)*2007-12-142014-04-29Nikon CorporationExposure apparatus, exposure method, and device manufacturing method
US8237916B2 (en)*2007-12-282012-08-07Nikon CorporationMovable body drive system, pattern formation apparatus, exposure apparatus and exposure method, and device manufacturing method
TWI602033B (zh)2007-12-282017-10-11Nippon Kogaku KkExposure apparatus, moving body driving system, pattern forming apparatus, exposure method, and device manufacturing method
US8269945B2 (en)2007-12-282012-09-18Nikon CorporationMovable body drive method and apparatus, exposure method and apparatus, pattern formation method and apparatus, and device manufacturing method
US8792079B2 (en)*2007-12-282014-07-29Nikon CorporationExposure apparatus, exposure method, and device manufacturing method having encoders to measure displacement between optical member and measurement mount and between measurement mount and movable body
JP5126594B2 (ja)*2008-04-042013-01-23株式会社ニコン較正方法、露光方法及びデバイス製造方法、並びに露光装置
US8786829B2 (en)*2008-05-132014-07-22Nikon CorporationExposure apparatus, exposure method, and device manufacturing method
US8228482B2 (en)*2008-05-132012-07-24Nikon CorporationExposure apparatus, exposure method, and device manufacturing method
US8817236B2 (en)2008-05-132014-08-26Nikon CorporationMovable body system, movable body drive method, pattern formation apparatus, pattern formation method, exposure apparatus, exposure method, and device manufacturing method
US8994923B2 (en)*2008-09-222015-03-31Nikon CorporationMovable body apparatus, exposure apparatus, exposure method, and device manufacturing method
JP5151852B2 (ja)*2008-09-222013-02-27株式会社ニコン補正情報作成方法、露光方法及び露光装置、並びにデバイス製造方法
US8508735B2 (en)*2008-09-222013-08-13Nikon CorporationMovable body apparatus, movable body drive method, exposure apparatus, exposure method, and device manufacturing method
US8325325B2 (en)2008-09-222012-12-04Nikon CorporationMovable body apparatus, movable body drive method, exposure apparatus, exposure method, and device manufacturing method
US8760629B2 (en)2008-12-192014-06-24Nikon CorporationExposure apparatus including positional measurement system of movable body, exposure method of exposing object including measuring positional information of movable body, and device manufacturing method that includes exposure method of exposing object, including measuring positional information of movable body
US8599359B2 (en)2008-12-192013-12-03Nikon CorporationExposure apparatus, exposure method, device manufacturing method, and carrier method
US8902402B2 (en)2008-12-192014-12-02Nikon CorporationMovable body apparatus, exposure apparatus, exposure method, and device manufacturing method
US8773635B2 (en)*2008-12-192014-07-08Nikon CorporationExposure apparatus, exposure method, and device manufacturing method
CN102396083B (zh)2009-04-132015-12-16天空激光二极管有限公司用于激光器应用的使用gan衬底的光学装置结构
US8634442B1 (en)2009-04-132014-01-21Soraa Laser Diode, Inc.Optical device structure using GaN substrates for laser applications
US8837545B2 (en)2009-04-132014-09-16Soraa Laser Diode, Inc.Optical device structure using GaN substrates and growth structures for laser applications
JP2012527766A (ja)2009-05-202012-11-08マッパー・リソグラフィー・アイピー・ビー.ブイ.デュアルパス走査
US8553204B2 (en)*2009-05-202013-10-08Nikon CorporationMovable body apparatus, exposure apparatus, exposure method, and device manufacturing method
US8792084B2 (en)*2009-05-202014-07-29Nikon CorporationExposure apparatus, exposure method, and device manufacturing method
US8970820B2 (en)2009-05-202015-03-03Nikon CorporationObject exchange method, exposure method, carrier system, exposure apparatus, and device manufacturing method
US8493547B2 (en)2009-08-252013-07-23Nikon CorporationExposure apparatus, exposure method, and device manufacturing method
US8488109B2 (en)2009-08-252013-07-16Nikon CorporationExposure method, exposure apparatus, and device manufacturing method
US8514395B2 (en)*2009-08-252013-08-20Nikon CorporationExposure method, exposure apparatus, and device manufacturing method
US20110056444A1 (en)*2009-09-082011-03-10Im Chai SPolarity sequenced electro magnetic head gasket engine and replacement kit
NL2005322A (en)*2009-09-112011-03-14Asml Netherlands BvA shutter member, a lithographic apparatus and device manufacturing method.
US20110096312A1 (en)*2009-09-282011-04-28Nikon CorporationExposure apparatus and device fabricating method
US20110102761A1 (en)*2009-09-282011-05-05Nikon CorporationStage apparatus, exposure apparatus, and device fabricating method
US20110096318A1 (en)*2009-09-282011-04-28Nikon CorporationExposure apparatus and device fabricating method
US20110096306A1 (en)*2009-09-282011-04-28Nikon CorporationStage apparatus, exposure apparatus, driving method, exposing method, and device fabricating method
US20110123913A1 (en)*2009-11-192011-05-26Nikon CorporationExposure apparatus, exposing method, and device fabricating method
US20110128523A1 (en)*2009-11-192011-06-02Nikon CorporationStage apparatus, exposure apparatus, driving method, exposing method, and device fabricating method
TWI402641B (zh)*2009-12-042013-07-21Ind Tech Res Inst聯結多系統達成多軸同步插值裝置與方法
US8488106B2 (en)*2009-12-282013-07-16Nikon CorporationMovable body drive method, movable body apparatus, exposure method, exposure apparatus, and device manufacturing method
NL2006004A (en)*2010-03-252011-09-27Asml Netherlands BvImprint lithography.
NL2006913A (en)2010-07-162012-01-17Asml Netherlands BvLithographic apparatus and method.
NL2007818A (en)2010-12-202012-06-21Asml Netherlands BvMethod of updating calibration data and a device manufacturing method.
NL2007802A (en)2010-12-212012-06-25Asml Netherlands BvA substrate table, a lithographic apparatus and a device manufacturing method.
JP6038882B2 (ja)2011-04-202016-12-07マッパー・リソグラフィー・アイピー・ビー.ブイ.光ファイバの構成体及びこのような構成体を形成する方法
US9207549B2 (en)2011-12-292015-12-08Nikon CorporationExposure apparatus and exposure method, and device manufacturing method with encoder of higher reliability for position measurement
WO2013132081A2 (en)2012-03-082013-09-12Mapper Lithography Ip B.V.Lithography system and method for processing a target, such as a wafer
US8779635B2 (en)*2012-04-102014-07-15Kla-Tencor CorporationArrangement of reticle positioning device for actinic inspection of EUV reticles
JP5936479B2 (ja)*2012-08-032016-06-22キヤノン株式会社計測装置、リソグラフィー装置、および物品の製造方法
JP5936478B2 (ja)*2012-08-032016-06-22キヤノン株式会社計測装置、リソグラフィー装置、および物品の製造方法
KR102203305B1 (ko)2012-10-022021-01-14가부시키가이샤 니콘노광 장치 및 노광 방법, 그리고 디바이스 제조 방법
WO2014122223A1 (en)*2013-02-082014-08-14Asml Netherlands B.V.Lithographic apparatus and device manufacturing method
JP6381184B2 (ja)*2013-07-092018-08-29キヤノン株式会社校正方法、測定装置、露光装置および物品の製造方法
KR20160060067A (ko)2013-09-042016-05-27씨케이디 가부시키 가이샤전자 액추에이터용 전기자 코일, 전자 액추에이터, 노광 장치, 및 디바이스 제조 방법
JP6452086B2 (ja)*2013-10-312019-01-16キヤノン株式会社形状算出装置及び方法、計測装置、物品製造方法、及び、プログラム
DE102014205523A1 (de)*2014-03-252015-10-01Etel S.A.Positioniereinrichtung in Portalbauweise
US10534277B2 (en)*2014-03-262020-01-14Nikon CorporationMovable body apparatus, exposure apparatus, manufacturing method of flat panel display, and device manufacturing method
US10048600B2 (en)2014-03-282018-08-14Nikon CorporationMovable body apparatus, exposure apparatus, manufacturing method of flat panel display, device manufacturing method, and movable body drive method
JP6465565B2 (ja)2014-05-192019-02-06キヤノン株式会社露光装置、位置合わせ方法およびデバイス製造方法
JP6342738B2 (ja)*2014-07-242018-06-13株式会社Screenホールディングスデータ補正装置、描画装置、検査装置、データ補正方法、描画方法、検査方法およびプログラム
WO2016030090A1 (en)*2014-08-292016-03-03Asml Netherlands B.V.Encoder system calibration method, object positioning system, lithographic apparatus and device device manufacturing method
CN111610696A (zh)2015-02-232020-09-01株式会社尼康基板处理系统及基板处理方法、以及组件制造方法
KR102688211B1 (ko)2015-02-232024-07-24가부시키가이샤 니콘계측 장치, 리소그래피 시스템 및 노광 장치, 그리고 디바이스 제조 방법
TWI878938B (zh)2015-02-232025-04-01日商尼康股份有限公司測量裝置、曝光裝置、微影系統、測量方法以及曝光方法
US10585355B2 (en)2015-09-302020-03-10Nikon CorporationExposure apparatus and exposure method, and flat panel display manufacturing method
WO2017057590A1 (ja)2015-09-302017-04-06株式会社ニコン露光装置、露光方法、フラットパネルディスプレイの製造方法、及びデバイス製造方法
CN108139694B (zh)2015-09-302021-08-03株式会社尼康曝光装置、曝光方法以及平面显示器制造方法
HK1248833A1 (zh)*2015-09-302018-10-19株式会社尼康曝光装置及曝光方法、以及平面显示器制造方法
KR102676390B1 (ko)*2015-09-302024-06-18가부시키가이샤 니콘노광 장치, 플랫 패널 디스플레이의 제조 방법, 디바이스 제조 방법 및 노광 방법
US10520834B2 (en)2015-09-302019-12-31Nikon CorporationMovable body apparatus, exposure apparatus, manufacturing method of flat-panel display and device manufacturing method, and movement method of object
CN108139677B (zh)2015-09-302021-06-22株式会社尼康曝光装置、平面显示器之制造方法、以及元件制造方法
CN108139683B (zh)*2015-09-302021-11-05株式会社尼康曝光装置及曝光方法、以及平面显示器制造方法
KR102828061B1 (ko)*2015-09-302025-07-01가부시키가이샤 니콘이동체 장치, 노광 장치, 플랫 패널 디스플레이의 제조 방법, 및 디바이스 제조 방법, 그리고 계측 방법
US20180356739A1 (en)2015-09-302018-12-13Nikon CorporationExposure apparatus, manufacturing method of flat-panel display, device manufacturing method, and exposure method
NL2017584A (en)2015-10-272017-05-19Asml Holding NvPolarization independent metrology system
KR102170147B1 (ko)2015-12-282020-10-27에이에스엠엘 네델란즈 비.브이.모듈레이션 기술을 이용한 메트롤로지를 위한 대체 타겟 디자인
CN205427436U (zh)*2016-03-232016-08-03北京京东方光电科技有限公司显示器件的对位检测设备及曝光工艺系统
JP6925783B2 (ja)*2016-05-262021-08-25株式会社アドテックエンジニアリングパターン描画装置及びパターン描画方法
JP6438441B2 (ja)*2016-08-042018-12-12ファナック株式会社エンコーダの信号処理装置、エンコーダ、信号処理方法及びプログラム
CN119414655A (zh)*2016-08-242025-02-11株式会社 尼康基板处理系统、以及元件制造方法
JP6855011B2 (ja)2016-09-302021-04-07株式会社ニコン露光装置、フラットパネルディスプレイの製造方法、デバイス製造方法、及び露光方法
CN113504712B (zh)*2016-09-302023-09-19株式会社尼康曝光装置、平板显示器的制造方法、以及元件制造方法
JP6791255B2 (ja)2016-09-302020-11-25株式会社ニコン搬送装置、露光装置、露光方法、フラットパネルディスプレイの製造方法、デバイス製造方法、及び搬送方法
WO2018062500A1 (ja)*2016-09-302018-04-05株式会社ニコン移動体装置、移動方法、露光装置、露光方法、フラットパネルディスプレイの製造方法、並びにデバイス製造方法
WO2018077873A1 (en)*2016-10-272018-05-03Asml Netherlands B.V.System and method for determining and calibrating a position of a stage
WO2018083930A1 (ja)*2016-11-012018-05-11株式会社島津製作所放射線断層撮影装置の撮像倍率校正方法
US11036045B2 (en)*2017-03-142021-06-15Pioneer CorporationDisplay device
US10877370B2 (en)*2017-07-312020-12-29Taiwan Semiconductor Manufacturing Co., Ltd.Stretchable layout design for EUV defect mitigation
CN107806822B (zh)*2017-09-212020-06-09中国科学院长春光学精密机械与物理研究所一种测量装置
CN107687814B (zh)*2017-09-212020-05-12中国科学院长春光学精密机械与物理研究所一种测量装置
TWI663845B (zh)*2017-11-092019-06-21美商Tt電子公司光學編碼裝置及方法
LT3759537T (lt)*2018-03-022023-08-25Gooch And Housego PlcMontavimo žiedas optinio įtaiso centravimui palaikyti
JP7137363B2 (ja)*2018-06-112022-09-14キヤノン株式会社露光方法、露光装置、物品の製造方法及び計測方法
DE102019210274A1 (de)2019-07-112021-01-14Dr. Johannes Heidenhain GmbhOptische Positionsmesseinrichtung
US11764111B2 (en)*2019-10-242023-09-19Texas Instruments IncorporatedReducing cross-wafer variability for minimum width resistors
CN113155053B (zh)2020-01-222024-09-06株式会社三丰三维几何形状测量装置和三维几何形状测量方法
JP7360978B2 (ja)*2020-03-182023-10-13株式会社日立ハイテクサイエンス荷電粒子ビーム装置
CN111580455B (zh)*2020-06-052021-06-25广东省智能制造研究所一种数控设备的定位精度可靠性评估方法
US11874144B2 (en)*2020-07-282024-01-16Li LinDisplacement measurement system
JP7633045B2 (ja)*2021-03-092025-02-19株式会社Screenホールディングス露光方法および露光装置
JP7633044B2 (ja)*2021-03-092025-02-19株式会社Screenホールディングス露光方法および露光装置
JP2023000112A (ja)*2021-06-172023-01-04キオクシア株式会社計測装置および計測プログラム
CN113552534B (zh)*2021-08-052022-02-01中国人民解放军战略支援部队航天工程大学基于脉冲信号的旋转基线干涉仪相位标校方法
TWI791343B (zh)*2021-12-012023-02-01財團法人工業技術研究院旋轉軸的幾何誤差的獲取方法與獲取設備
JP2023087446A (ja)2021-12-132023-06-23キヤノン株式会社搬送装置
KR20240058311A (ko)2022-10-262024-05-03삼성전자주식회사기판 처리 장치
CN116674205B (zh)*2023-08-012023-12-15易加三维增材技术(杭州)有限公司位移控制方法、装置、非易失性存储介质及电子设备
CN117733873B (zh)*2024-02-192024-04-19深圳市德富莱智能科技股份有限公司一种三维自动校准系统
CN118565393B (zh)*2024-07-292024-10-18汇丰金属科技(溧阳)有限公司一种粉末冶金轴承精度检测装置

Citations (1)

* Cited by examiner, † Cited by third party
Publication numberPriority datePublication dateAssigneeTitle
JP2002031895A (ja)2000-07-182002-01-31Nikon Corp露光装置

Family Cites Families (209)

* Cited by examiner, † Cited by third party
Publication numberPriority datePublication dateAssigneeTitle
US368A (en)1837-08-31John williamson
DE224448C (ko)
US4465A (en)1846-04-18Improvement in plows
DE221563C (ko)
US4215938A (en)*1978-09-281980-08-05Farrand Industries, Inc.Method and apparatus for correcting the error of a position measuring interferometer
US4346164A (en)*1980-10-061982-08-24Werner TabarelliPhotolithographic method for the manufacture of integrated circuits
JPS57117238A (en)1981-01-141982-07-21Nippon Kogaku Kk <Nikon>Exposing and baking device for manufacturing integrated circuit with illuminometer
JPS57153433A (en)*1981-03-181982-09-22Hitachi LtdManufacturing device for semiconductor
JPS58202448A (ja)1982-05-211983-11-25Hitachi Ltd露光装置
JPS5919912A (ja)1982-07-261984-02-01Hitachi Ltd液浸距離保持装置
DD221563A1 (de)1983-09-141985-04-24Mikroelektronik Zt Forsch TechImmersionsobjektiv fuer die schrittweise projektionsabbildung einer maskenstruktur
JPS60119407A (ja)*1983-11-301985-06-26Nippon Kogaku Kk <Nikon>比較検査装置
DD224448A1 (de)1984-03-011985-07-03Zeiss Jena Veb CarlEinrichtung zur fotolithografischen strukturuebertragung
JPS6144429A (ja)1984-08-091986-03-04Nippon Kogaku Kk <Nikon>位置合わせ方法、及び位置合せ装置
US4780617A (en)1984-08-091988-10-25Nippon Kogaku K.K.Method for successive alignment of chip patterns on a substrate
JPS6265326A (ja)1985-09-181987-03-24Hitachi Ltd露光装置
JPS63157419A (ja)1986-12-221988-06-30Toshiba Corp微細パタ−ン転写装置
JPS63292005A (ja)*1987-05-251988-11-29Nikon Corp走り誤差補正をなした移動量検出装置
US5070250A (en)1989-02-281991-12-03Nikon CorporationPosition detection apparatus with adjustable beam and interference fringe positions
US5489986A (en)*1989-02-281996-02-06Nikon CorporationPosition detecting apparatus
US5021649A (en)*1989-03-281991-06-04Canon Kabushiki KaishaRelief diffraction grating encoder
JP2784225B2 (ja)1989-11-281998-08-06双葉電子工業株式会社相対移動量測定装置
JP3077149B2 (ja)*1990-01-222000-08-14株式会社ニコン測定装置、測定方法、及び露光装置、露光方法、及び回路パターンチップ
US5523843A (en)*1990-07-091996-06-04Canon Kabushiki KaishaPosition detecting system
DE4033556A1 (de)*1990-10-221992-04-23Suess Kg KarlMessanordnung fuer x,y,(phi)-koordinatentische
JPH04305917A (ja)1991-04-021992-10-28Nikon Corp密着型露光装置
JPH04305915A (ja)1991-04-021992-10-28Nikon Corp密着型露光装置
US5506684A (en)1991-04-041996-04-09Nikon CorporationProjection scanning exposure apparatus with synchronous mask/wafer alignment system
JP3149472B2 (ja)*1991-08-302001-03-26株式会社ニコン走査露光装置および物体の移動測定装置
JP3030386B2 (ja)1991-05-152000-04-10敏一 中村抗ガン剤
DE4219311C2 (de)*1991-06-131996-03-07Sony Magnescale IncVerschiebungsdetektor
JPH0562877A (ja)1991-09-021993-03-12Yasuko Shinohara光によるlsi製造縮小投影露光装置の光学系
JPH05129184A (ja)*1991-10-301993-05-25Canon Inc投影露光装置
JPH05173639A (ja)*1991-12-201993-07-13Fujitsu Ltd位置制御装置及びその制御方法
JPH06124873A (ja)1992-10-091994-05-06Canon Inc液浸式投影露光装置
JP2753930B2 (ja)*1992-11-271998-05-20キヤノン株式会社液浸式投影露光装置
JP3316833B2 (ja)1993-03-262002-08-19株式会社ニコン走査露光方法、面位置設定装置、走査型露光装置、及び前記方法を使用するデバイス製造方法
KR100300618B1 (ko)1992-12-252001-11-22오노 시게오노광방법,노광장치,및그장치를사용하는디바이스제조방법
JP3303386B2 (ja)1993-02-032002-07-22株式会社ニコン投影露光装置及び方法
US5461237A (en)*1993-03-261995-10-24Nikon CorporationSurface-position setting apparatus
US5583609A (en)1993-04-231996-12-10Nikon CorporationProjection exposure apparatus
JP3309871B2 (ja)*1993-04-272002-07-29株式会社ニコン投影露光方法及び装置、並びに素子製造方法
JP3375076B2 (ja)1993-04-272003-02-10株式会社ニコン投影露光方法及び装置、並びに素子製造方法
US5581324A (en)1993-06-101996-12-03Nikon CorporationThermal distortion compensated projection exposure method and apparatus for manufacturing semiconductors
JP3319819B2 (ja)*1993-06-252002-09-03株式会社リコー画像形成装置管理システム
US6122036A (en)1993-10-212000-09-19Nikon CorporationProjection exposure apparatus and method
JPH09223650A (ja)1996-02-151997-08-26Nikon Corp露光装置
US5625453A (en)*1993-10-261997-04-29Canon Kabushiki KaishaSystem and method for detecting the relative positional deviation between diffraction gratings and for measuring the width of a line constituting a diffraction grating
JP3382389B2 (ja)*1993-10-262003-03-04キヤノン株式会社位置ずれ検出方法及びそれを用いた位置ずれ検出装置
JPH07190741A (ja)*1993-12-271995-07-28Nippon Telegr & Teleph Corp <Ntt>測定誤差補正法
JPH07220990A (ja)1994-01-281995-08-18Hitachi Ltdパターン形成方法及びその露光装置
JPH07270122A (ja)1994-03-301995-10-20Canon Inc変位検出装置、該変位検出装置を備えた露光装置およびデバイスの製造方法
JPH07318699A (ja)*1994-05-271995-12-08Canon Incステージ装置及びこれを有する露光装置とデバイス製造方法
US6018384A (en)1994-09-072000-01-25Nikon CorporationProjection exposure system
JP3379238B2 (ja)1994-09-082003-02-24株式会社ニコン走査型露光装置
JPH0883753A (ja)*1994-09-131996-03-26Nikon Corp焦点検出方法
JPH08316125A (ja)1995-05-191996-11-29Hitachi Ltd投影露光方法及び露光装置
JPH08316124A (ja)*1995-05-191996-11-29Hitachi Ltd投影露光方法及び露光装置
JPH09115820A (ja)*1995-10-131997-05-02Nikon Corp走査型露光装置及び露光方法
JPH09318321A (ja)*1996-05-301997-12-12Olympus Optical Co Ltd測長装置
JPH1022218A (ja)*1996-07-021998-01-23Nikon Corp基板のアライメント方法
JP3300856B2 (ja)*1996-08-122002-07-08イーエルオー・タッチシステムズ・インコーポレイテッド複数の相互非直交波を使用した音響式状態センサ
JPH1063011A (ja)1996-08-141998-03-06Nikon Corp走査型露光装置及び走査露光方法
US5917580A (en)*1996-08-291999-06-29Canon Kabushiki KaishaScan exposure method and apparatus
US5825043A (en)*1996-10-071998-10-20Nikon Precision Inc.Focusing and tilting adjustment system for lithography aligner, manufacturing apparatus or inspection apparatus
KR20030096435A (ko)*1996-11-282003-12-31가부시키가이샤 니콘노광장치 및 노광방법
JP4029183B2 (ja)1996-11-282008-01-09株式会社ニコン投影露光装置及び投影露光方法
JPH10223528A (ja)1996-12-301998-08-21Nikon Corp投影露光装置及び位置合わせ方法
JP3626504B2 (ja)1997-03-102005-03-09アーエスエム リソグラフィ ベスローテン フェンノートシャップ2個の物品ホルダを有する位置決め装置
JP3963037B2 (ja)*1997-03-192007-08-22ソニー株式会社記録装置及び再生装置
JPH10270535A (ja)1997-03-251998-10-09Nikon Corp移動ステージ装置、及び該ステージ装置を用いた回路デバイス製造方法
JP3747566B2 (ja)1997-04-232006-02-22株式会社ニコン液浸型露光装置
JP3817836B2 (ja)1997-06-102006-09-06株式会社ニコン露光装置及びその製造方法並びに露光方法及びデバイス製造方法
JPH1116816A (ja)*1997-06-251999-01-22Nikon Corp投影露光装置、該装置を用いた露光方法、及び該装置を用いた回路デバイスの製造方法
JPH11121325A (ja)*1997-09-031999-04-30Canon Inc投影露光装置
JP4210871B2 (ja)*1997-10-312009-01-21株式会社ニコン露光装置
US6020964A (en)1997-12-022000-02-01Asm Lithography B.V.Interferometer system and lithograph apparatus including an interferometer system
JPH11176727A (ja)1997-12-111999-07-02Nikon Corp投影露光装置
JP3809268B2 (ja)1997-12-192006-08-16キヤノン株式会社デバイス製造方法
JPH11191585A (ja)*1997-12-261999-07-13Canon Incステージ装置、およびこれを用いた露光装置、ならびにデバイス製造方法
JPH11233420A (ja)1998-02-181999-08-27Nikon Corp投影露光装置及び位置検出方法
WO1999046835A1 (fr)1998-03-111999-09-16Nikon CorporationDispositif a laser ultraviolet et appareil d'exposition comportant un tel dispositif a laser ultraviolet
US6008610A (en)1998-03-201999-12-28Nikon CorporationPosition control apparatus for fine stages carried by a coarse stage on a high-precision scanning positioning system
WO1999049504A1 (fr)1998-03-261999-09-30Nikon CorporationProcede et systeme d'exposition par projection
JP4505989B2 (ja)1998-05-192010-07-21株式会社ニコン収差測定装置並びに測定方法及び該装置を備える投影露光装置並びに該方法を用いるデバイス製造方法、露光方法
JP2000058436A (ja)1998-08-112000-02-25Nikon Corp投影露光装置及び露光方法
JP2000068192A (ja)1998-08-182000-03-03Nikon Corp露光装置、露光方法及び位置検出方法
US6144118A (en)*1998-09-182000-11-07General Scanning, Inc.High-speed precision positioning apparatus
EP1014199B1 (en)1998-12-242011-03-30Canon Kabushiki KaishaStage control apparatus, exposure apparatus and method of manufacturing a semiconductor device
US6924884B2 (en)*1999-03-082005-08-02Asml Netherlands B.V.Off-axis leveling in lithographic projection apparatus
TW490596B (en)*1999-03-082002-06-11Asm Lithography BvLithographic projection apparatus, method of manufacturing a device using the lithographic projection apparatus, device manufactured according to the method and method of calibrating the lithographic projection apparatus
US6381004B1 (en)*1999-09-292002-04-30Nikon CorporationExposure apparatus and device manufacturing method
JP2001118768A (ja)*1999-10-152001-04-27Nikon Corpマスクのアライメント方法および露光装置
WO2001035168A1 (en)1999-11-102001-05-17Massachusetts Institute Of TechnologyInterference lithography utilizing phase-locked scanning beams
JP4428781B2 (ja)1999-12-282010-03-10キヤノン株式会社光学式ロータリエンコーダ及びモータ制御装置
EP1275036B1 (en)*2000-01-112005-10-26Electro Scientific Industries, Inc.Abbe error correction system and method
JP2001308003A (ja)*2000-02-152001-11-02Nikon Corp露光方法及び装置、並びにデバイス製造方法
JP2001313250A (ja)2000-02-252001-11-09Nikon Corp露光装置、その調整方法、及び前記露光装置を用いるデバイス製造方法
US6771350B2 (en)2000-02-252004-08-03Nikon CorporationExposure apparatus and exposure method capable of controlling illumination distribution
JP2001332490A (ja)*2000-03-142001-11-30Nikon Corp位置合わせ方法、露光方法、露光装置、及びデバイス製造方法
US6639686B1 (en)2000-04-132003-10-28Nanowave, Inc.Method of and apparatus for real-time continual nanometer scale position measurement by beam probing as by laser beams and the like of atomic and other undulating surfaces such as gratings or the like relatively moving with respect to the probing beams
US20020041377A1 (en)2000-04-252002-04-11Nikon CorporationAerial image measurement method and unit, optical properties measurement method and unit, adjustment method of projection optical system, exposure method and apparatus, making method of exposure apparatus, and device manufacturing method
JP2002014005A (ja)2000-04-252002-01-18Nikon Corp空間像計測方法、結像特性計測方法、空間像計測装置及び露光装置
US6970245B2 (en)*2000-08-022005-11-29Honeywell International Inc.Optical alignment detection system
JP2002090114A (ja)*2000-07-102002-03-27Mitsutoyo Corp光スポット位置センサ及び変位測定装置
US7289212B2 (en)*2000-08-242007-10-30Asml Netherlands B.V.Lithographic apparatus, device manufacturing method and device manufacturing thereby
US7561270B2 (en)*2000-08-242009-07-14Asml Netherlands B.V.Lithographic apparatus, device manufacturing method and device manufactured thereby
TW527526B (en)2000-08-242003-04-11Asml Netherlands BvLithographic apparatus, device manufacturing method, and device manufactured thereby
US6557190B2 (en)2001-08-312003-05-06National Rv Holdings, Inc.Storable bed assembly
JP2002164269A (ja)*2000-11-272002-06-07Nikon Corp露光方法及び装置、並びにデバイス製造方法
KR100815222B1 (ko)2001-02-272008-03-19에이에스엠엘 유에스, 인크.리소그래피 장치 및 적어도 하나의 레티클 상에 형성된 적어도 두 개의 패턴으로부터의 이미지로 기판 스테이지 상의 필드를 노출시키는 방법
WO2002078388A2 (en)2001-03-272002-10-031... LimitedMethod and apparatus to create a sound field
JP2002305140A (ja)*2001-04-062002-10-18Nikon Corp露光装置及び基板処理システム
JP4198338B2 (ja)*2001-07-092008-12-17株式会社 東北テクノアーチステージ装置
JP2003031474A (ja)*2001-07-162003-01-31Oki Electric Ind Co Ltd露光装置および露光方法
TW529172B (en)2001-07-242003-04-21Asml Netherlands BvImaging apparatus
KR20010112204A (ko)*2001-12-012001-12-20엄경미위생패드
JP2003249443A (ja)2001-12-212003-09-05Nikon Corpステージ装置、ステージ位置管理方法、露光方法及び露光装置、並びにデバイス製造方法
EP1478010A4 (en)*2002-01-292007-12-12Nikon Corp PICTURE CONTROL STATE SETUP SYSTEM, EXPOSURE METHOD, EXPOSURE DEVICE, PROGRAM AND INFORMATION RECORDING MEDIUM
US6987555B2 (en)*2002-04-232006-01-17Asml Netherlands B.V.Lithographic apparatus, device manufacturing method, and device manufactured thereby
JP4168665B2 (ja)2002-05-222008-10-22株式会社ニコン露光方法及び露光装置、デバイス製造方法
JP2004014876A (ja)*2002-06-072004-01-15Nikon Corp調整方法、空間像計測方法及び像面計測方法、並びに露光装置
JP3833148B2 (ja)*2002-06-252006-10-11キヤノン株式会社位置決め装置及びその制御方法、露光装置、デバイスの製造方法、半導体製造工場、露光装置の保守方法
JP2004041362A (ja)2002-07-102004-02-12Sankyo Kk弾球遊技機およびスロットマシン
KR20050025626A (ko)*2002-07-312005-03-14가부시키가이샤 니콘위치계측방법, 위치제어방법, 노광방법 및 노광장치,그리고 디바이스 제조방법
TWI249082B (en)2002-08-232006-02-11Nikon CorpProjection optical system and method for photolithography and exposure apparatus and method using same
JP2004101362A (ja)2002-09-102004-04-02Canon Incステージ位置計測および位置決め装置
CN100476599C (zh)*2002-09-202009-04-08Asml荷兰有限公司光刻标记结构、包含该光刻标记结构的光刻投射装置和利用该光刻标记结构进行基片对准的方法
CN1245668C (zh)*2002-10-142006-03-15台湾积体电路制造股份有限公司曝光系统及其曝光方法
DE60335595D1 (de)2002-11-122011-02-17Asml Netherlands BvLithographischer Apparat mit Immersion und Verfahren zur Herstellung einer Vorrichtung
EP1420298B1 (en)2002-11-122013-02-20ASML Netherlands B.V.Lithographic apparatus
CN101470360B (zh)*2002-11-122013-07-24Asml荷兰有限公司光刻装置和器件制造方法
US7393804B2 (en)*2002-11-182008-07-01Ict Co., Ltd.Exhaust gas purifying catalyst and process for purification of exhaust gas
WO2004051184A1 (ja)*2002-12-032004-06-17Nikon Corporation形状計測方法、形状計測装置、チルト計測方法、ステージ装置、露光装置、露光方法、及びデバイス製造方法
WO2004053955A1 (ja)2002-12-102004-06-24Nikon Corporation露光装置及びデバイス製造方法
AU2003289237A1 (en)*2002-12-102004-06-30Nikon CorporationExposure apparatus and method for manufacturing device
EP3062152B1 (en)2003-04-102017-12-20Nikon CorporationEnvironmental system including vaccum scavenge for an immersion lithography apparatus
KR101225884B1 (ko)*2003-04-112013-01-28가부시키가이샤 니콘액침 리소그래피 머신에서 웨이퍼 교환동안 투영 렌즈 아래의 갭에서 액침 액체를 유지하는 장치 및 방법
EP2722703A3 (en)2003-05-062014-07-23Nikon CorporationProjection optical system, and exposure apparatus and exposure method
US7025498B2 (en)*2003-05-302006-04-11Asml Holding N.V.System and method of measuring thermal expansion
TW201721717A (zh)*2003-06-192017-06-16尼康股份有限公司曝光裝置、曝光方法、及元件製造方法
US20050027487A1 (en)*2003-07-152005-02-03Supriya IyerProduct defect analysis and resolution system
JP4492239B2 (ja)*2003-07-282010-06-30株式会社ニコン露光装置及びデバイス製造方法、並びに露光装置の制御方法
KR101641011B1 (ko)*2003-07-282016-07-19가부시키가이샤 니콘노광 장치 및 디바이스 제조 방법, 그리고 노광 장치의 제어 방법
KR101475995B1 (ko)*2003-08-212014-12-23가부시키가이샤 니콘노광 장치, 노광 방법 및 디바이스 제조 방법
JP4524601B2 (ja)*2003-10-092010-08-18株式会社ニコン露光装置及び露光方法、デバイス製造方法
TWI295408B (en)*2003-10-222008-04-01Asml Netherlands BvLithographic apparatus and device manufacturing method, and measurement system
JP2005159322A (ja)*2003-10-312005-06-16Nikon Corp定盤、ステージ装置及び露光装置並びに露光方法
US7589822B2 (en)*2004-02-022009-09-15Nikon CorporationStage drive method and stage unit, exposure apparatus, and device manufacturing method
US7102729B2 (en)*2004-02-032006-09-05Asml Netherlands B.V.Lithographic apparatus, measurement system, and device manufacturing method
TW200537255A (en)2004-02-042005-11-16Nikon CorpExposure equipment and method, position control method and device manufacturing method
JP2005252246A (ja)2004-02-042005-09-15Nikon Corp露光装置及び方法、位置制御方法、並びにデバイス製造方法
JP4429037B2 (ja)*2004-02-272010-03-10キヤノン株式会社ステージ装置及びその制御方法
JP2005249452A (ja)2004-03-022005-09-15Konica Minolta Medical & Graphic Incリニアエンコーダ、画像読取装置及び画像記録装置
JP4622340B2 (ja)2004-03-042011-02-02株式会社ニコン露光装置、デバイス製造方法
JP2005268608A (ja)2004-03-192005-09-29Sumitomo Heavy Ind Ltdステージ装置
JP2005283357A (ja)*2004-03-302005-10-13Sendai Nikon:Kk光電式エンコーダ
US7898642B2 (en)2004-04-142011-03-01Asml Netherlands B.V.Lithographic apparatus and device manufacturing method
JP4751032B2 (ja)2004-04-222011-08-17株式会社森精機製作所変位検出装置
US20050241694A1 (en)2004-04-292005-11-03Red Flame Hot Tap Services Ltd.Hot tapping method, system and apparatus
US7126109B2 (en)2004-06-142006-10-24Gsi Group CorporationEncoder scale error compensation employing comparison among multiple detectors
JP4873242B2 (ja)2004-06-222012-02-08株式会社ニコンベストフォーカス検出方法及び露光方法、並びに露光装置
US20060013959A1 (en)*2004-07-152006-01-19Morales Hector DProcess to apply a polimeric coating on non-ferrous substrates
US7256871B2 (en)*2004-07-272007-08-14Asml Netherlands B.V.Lithographic apparatus and method for calibrating the same
US7701550B2 (en)*2004-08-192010-04-20Asml Netherlands B.V.Lithographic apparatus and device manufacturing method
KR101506100B1 (ko)2004-09-172015-03-26가부시키가이샤 니콘노광 장치, 노광 방법 및 디바이스 제조 방법
JP4852951B2 (ja)*2004-09-172012-01-11株式会社ニコン露光装置、露光方法及びデバイス製造方法
CN101052916B (zh)2004-09-302010-05-12株式会社尼康投影光学设备和曝光装置
KR101364347B1 (ko)*2004-10-152014-02-18가부시키가이샤 니콘노광 장치 및 디바이스 제조 방법
JP4424739B2 (ja)2004-10-192010-03-03キヤノン株式会社ステージ装置
US7388663B2 (en)*2004-10-282008-06-17Asml Netherlands B.V.Optical position assessment apparatus and method
CN101598903A (zh)*2004-11-012009-12-09株式会社尼康曝光装置及曝光方法
TWI588872B (zh)*2004-11-182017-06-21尼康股份有限公司Position measurement method, position control method, measurement method, loading method, exposure method and exposure apparatus, and device manufacturing method
JP4807629B2 (ja)2004-11-252011-11-02株式会社ニコン露光装置及びデバイス製造方法
US20060139595A1 (en)*2004-12-272006-06-29Asml Netherlands B.V.Lithographic apparatus and method for determining Z position errors/variations and substrate table flatness
JP4450739B2 (ja)2005-01-212010-04-14富士フイルム株式会社露光装置
JP2006210570A (ja)2005-01-272006-08-10Nikon Corp調整方法、露光装置
US7515281B2 (en)*2005-04-082009-04-07Asml Netherlands B.V.Lithographic apparatus and device manufacturing method
US7161659B2 (en)*2005-04-082007-01-09Asml Netherlands B.V.Dual stage lithographic apparatus and device manufacturing method
US7405811B2 (en)*2005-04-202008-07-29Asml Netherlands B.V.Lithographic apparatus and positioning apparatus
US7349069B2 (en)*2005-04-202008-03-25Asml Netherlands B.V.Lithographic apparatus and positioning apparatus
JP2007054987A (ja)*2005-08-232007-03-08Soshiodaiya Systems Kk印刷装置及び印刷方法
US7348574B2 (en)*2005-09-022008-03-25Asml Netherlands, B.V.Position measurement system and lithographic apparatus
US7362446B2 (en)*2005-09-152008-04-22Asml Netherlands B.V.Position measurement unit, measurement system and lithographic apparatus comprising such position measurement unit
JP2007093546A (ja)*2005-09-302007-04-12Nikon Corpエンコーダシステム、ステージ装置及び露光装置
US7978339B2 (en)*2005-10-042011-07-12Asml Netherlands B.V.Lithographic apparatus temperature compensation
JP4164508B2 (ja)*2005-10-042008-10-15キヤノン株式会社露光装置及びデバイス製造方法
EP3147710B1 (en)*2006-01-192019-04-10Nikon CorporationExposure apparatus, exposure method, and device manufacturing method
JPWO2007097350A1 (ja)*2006-02-212009-07-16株式会社ニコン位置計測装置及び位置計測方法、移動体駆動システム及び移動体駆動方法、パターン形成装置及びパターン形成方法、露光装置及び露光方法、並びにデバイス製造方法
WO2007097380A1 (ja)2006-02-212007-08-30Nikon Corporationパターン形成装置及びパターン形成方法、移動体駆動システム及び移動体駆動方法、露光装置及び露光方法、並びにデバイス製造方法
CN101385120B (zh)*2006-02-212012-09-05株式会社尼康测定装置及方法、处理装置及方法、图案形成装置及方法、曝光装置及方法、以及元件制造方法
CN101980084B (zh)*2006-02-212013-01-23株式会社尼康曝光装置、曝光方法及组件制造方法
US7602489B2 (en)*2006-02-222009-10-13Asml Netherlands B.V.Lithographic apparatus and device manufacturing method
US7253875B1 (en)*2006-03-032007-08-07Asml Netherlands B.V.Lithographic apparatus and device manufacturing method
US7636165B2 (en)*2006-03-212009-12-22Asml Netherlands B.V.Displacement measurement systems lithographic apparatus and device manufacturing method
US7576832B2 (en)2006-05-042009-08-18Asml Netherlands B.V.Lithographic apparatus and device manufacturing method
US7483120B2 (en)*2006-05-092009-01-27Asml Netherlands B.V.Displacement measurement system, lithographic apparatus, displacement measurement method and device manufacturing method
JP4393540B2 (ja)2006-08-012010-01-06シャープ株式会社樹脂含有粒子の凝集体の製造方法、トナー、現像剤、現像装置および画像形成装置
US20080050680A1 (en)*2006-08-242008-02-28Stefan BrandlLithography systems and methods
US8675171B2 (en)*2006-08-312014-03-18Nikon CorporationMovable body drive system and movable body drive method, pattern formation apparatus and method, exposure apparatus and method, device manufacturing method, and decision-making method
KR101698291B1 (ko)*2006-08-312017-02-01가부시키가이샤 니콘이동체 구동 방법 및 이동체 구동 시스템, 패턴 형성 방법 및 장치, 노광 방법 및 장치, 그리고 디바이스 제조 방법
KR101444473B1 (ko)2006-08-312014-09-24가부시키가이샤 니콘이동체 구동 방법 및 이동체 구동 시스템, 패턴 형성 방법 및 장치, 노광 방법 및 장치, 그리고 디바이스 제조 방법
CN102360169B (zh)*2006-09-012014-01-22株式会社尼康移动体驱动方法及移动体驱动系统、图案形成方法及装置、曝光方法及装置、组件制造方法、以及校正方法
SG10201407218XA (en)2006-09-012015-01-29Nippon Kogaku KkMovable Body Drive Method And Movable Body Drive System, Pattern Formation Method And Apparatus, Exposure Method And Apparatus, And Device Manufacturing Method
US7619207B2 (en)*2006-11-082009-11-17Asml Netherlands B.V.Lithographic apparatus and device manufacturing method
US7903866B2 (en)2007-03-292011-03-08Asml Netherlands B.V.Measurement system, lithographic apparatus and method for measuring a position dependent signal of a movable object
US7710540B2 (en)*2007-04-052010-05-04Asml Netherlands B.V.Lithographic apparatus and device manufacturing method
US8547527B2 (en)*2007-07-242013-10-01Nikon CorporationMovable body drive method and movable body drive system, pattern formation method and pattern formation apparatus, and device manufacturing method
TWI602033B (zh)*2007-12-282017-10-11Nippon Kogaku KkExposure apparatus, moving body driving system, pattern forming apparatus, exposure method, and device manufacturing method

Patent Citations (1)

* Cited by examiner, † Cited by third party
Publication numberPriority datePublication dateAssigneeTitle
JP2002031895A (ja)2000-07-182002-01-31Nikon Corp露光装置

Also Published As

Publication numberPublication date
JP2016128929A (ja)2016-07-14
KR20160006804A (ko)2016-01-19
HK1224021A1 (en)2017-08-11
KR101824374B1 (ko)2018-01-31
US9983486B2 (en)2018-05-29
KR101933360B1 (ko)2018-12-27
JP2014199933A (ja)2014-10-23
KR101585370B1 (ko)2016-01-14
JP2016027414A (ja)2016-02-18
HK1259005A1 (zh)2019-11-22
US10353301B2 (en)2019-07-16
US20140049759A1 (en)2014-02-20
EP3067748B1 (en)2017-12-20
KR20150008898A (ko)2015-01-23
US10353302B2 (en)2019-07-16
JP2012147026A (ja)2012-08-02
JP6508285B2 (ja)2019-05-08
EP2065920A4 (en)2014-05-14
JP5522488B2 (ja)2014-06-18
CN102520588B (zh)2014-10-15
KR20130105910A (ko)2013-09-26
CN101405840A (zh)2009-04-08
JP2017010043A (ja)2017-01-12
CN102520589A (zh)2012-06-27
JP5522489B2 (ja)2014-06-18
JP6143138B2 (ja)2017-06-07
KR101645909B1 (ko)2016-08-12
TWI602032B (zh)2017-10-11
TWI596444B (zh)2017-08-21
EP3418807A1 (en)2018-12-26
KR20170007549A (ko)2017-01-18
EP2993688A2 (en)2016-03-09
KR101565275B1 (ko)2015-11-02
KR20150008897A (ko)2015-01-23
TW201614392A (en)2016-04-16
HK1168662A1 (en)2013-01-04
KR20160006805A (ko)2016-01-19
TW201403262A (zh)2014-01-16
JP6339599B2 (ja)2018-06-06
KR101670639B1 (ko)2016-10-28
JP6241632B2 (ja)2017-12-06
KR20180137600A (ko)2018-12-27
EP2993688A3 (en)2016-04-20
KR101477448B1 (ko)2014-12-29
EP2065920A1 (en)2009-06-03
JP5035245B2 (ja)2012-09-26
US20190011843A1 (en)2019-01-10
US20080094592A1 (en)2008-04-24
HK1169863A1 (en)2013-02-08
TWI416269B (zh)2013-11-21
US20190004440A1 (en)2019-01-03
SG174091A1 (en)2011-09-29
JP5686164B2 (ja)2015-03-18
EP2738608A1 (en)2014-06-04
US20140049758A1 (en)2014-02-20
TWI594083B (zh)2017-08-01
EP3312676B1 (en)2019-05-15
TWI653511B (zh)2019-03-11
EP2991101A3 (en)2016-04-20
TW201403263A (zh)2014-01-16
HK1193879A1 (en)2014-10-03
CN102520589B (zh)2015-07-15
CN102520588A (zh)2012-06-27
HK1218184A1 (en)2017-02-03
WO2008026742A1 (fr)2008-03-06
TWI649631B (zh)2019-02-01
HK1130944A1 (en)2010-01-08
KR20160006238A (ko)2016-01-18
KR101409011B1 (ko)2014-06-18
TWI529501B (zh)2016-04-11
TW201614391A (en)2016-04-16
JP5999392B2 (ja)2016-09-28
KR20130105909A (ko)2013-09-26
JPWO2008026742A1 (ja)2010-01-21
KR20180011878A (ko)2018-02-02
EP2991101A2 (en)2016-03-02
KR20090045885A (ko)2009-05-08
US10338482B2 (en)2019-07-02
EP3064999A1 (en)2016-09-07
KR101711323B1 (ko)2017-02-28
US20180246421A1 (en)2018-08-30
JP5729578B2 (ja)2015-06-03
JP2015179290A (ja)2015-10-08
JP2013258418A (ja)2013-12-26
EP3064999B1 (en)2017-07-26
HK1224022A1 (en)2017-08-11
EP2991101B1 (en)2017-04-12
KR101400615B1 (ko)2014-05-27
JP6143122B2 (ja)2017-06-07
TW200830055A (en)2008-07-16
EP2065920B1 (en)2016-07-06
TW201614393A (en)2016-04-16
EP3067748A1 (en)2016-09-14
JP2016028285A (ja)2016-02-25
KR20160006237A (ko)2016-01-18
JP2015109457A (ja)2015-06-11
SG10201407395SA (en)2014-12-30
TW201631409A (zh)2016-09-01
KR101529845B1 (ko)2015-06-17
TWI537687B (zh)2016-06-11
EP3312676A1 (en)2018-04-25
TW201802615A (zh)2018-01-16
US9958792B2 (en)2018-05-01
JP6143125B2 (ja)2017-06-07
KR20150092342A (ko)2015-08-12
EP2738608B1 (en)2016-06-01
JP2018041090A (ja)2018-03-15
JP6029037B2 (ja)2016-11-24
KR20140098829A (ko)2014-08-08
JP2016106254A (ja)2016-06-16
EP2738608B9 (en)2016-08-17
KR101670638B1 (ko)2016-11-09
HK1248325B (en)2020-04-09
HK1218187A1 (en)2017-02-03
EP2993688B1 (en)2017-04-05
CN101405840B (zh)2012-01-18
JP2012138621A (ja)2012-07-19

Similar Documents

PublicationPublication DateTitle
KR101698291B1 (ko)이동체 구동 방법 및 이동체 구동 시스템, 패턴 형성 방법 및 장치, 노광 방법 및 장치, 그리고 디바이스 제조 방법
KR101529851B1 (ko)이동체 구동 방법 및 이동체 구동 시스템, 패턴 형성 방법 및 장치, 노광 방법 및 장치, 그리고 디바이스 제조 방법
KR101660667B1 (ko)이동체 구동 방법 및 이동체 구동 시스템, 패턴 형성 방법 및 장치, 노광 방법 및 장치, 디바이스 제조 방법, 그리고 캘리브레이션 방법

Legal Events

DateCodeTitleDescription
A107Divisional application of patent
A201Request for examination
PA0104Divisional application for international application

St.27 status event code:A-0-1-A10-A16-div-PA0104

St.27 status event code:A-0-1-A10-A18-div-PA0104

PA0201Request for examination

St.27 status event code:A-1-2-D10-D11-exm-PA0201

PG1501Laying open of application

St.27 status event code:A-1-1-Q10-Q12-nap-PG1501

E902Notification of reason for refusal
PE0902Notice of grounds for rejection

St.27 status event code:A-1-2-D10-D21-exm-PE0902

T11-X000Administrative time limit extension requested

St.27 status event code:U-3-3-T10-T11-oth-X000

E13-X000Pre-grant limitation requested

St.27 status event code:A-2-3-E10-E13-lim-X000

P11-X000Amendment of application requested

St.27 status event code:A-2-2-P10-P11-nap-X000

P13-X000Application amended

St.27 status event code:A-2-2-P10-P13-nap-X000

E701Decision to grant or registration of patent right
PE0701Decision of registration

St.27 status event code:A-1-2-D10-D22-exm-PE0701

A107Divisional application of patent
PA0104Divisional application for international application

St.27 status event code:A-0-1-A10-A16-div-PA0104

St.27 status event code:A-0-1-A10-A18-div-PA0104

PR0701Registration of establishment

St.27 status event code:A-2-4-F10-F11-exm-PR0701

PR1002Payment of registration fee

Fee payment year number:1

St.27 status event code:A-2-2-U10-U12-oth-PR1002

PG1601Publication of registration

St.27 status event code:A-4-4-Q10-Q13-nap-PG1601

P22-X000Classification modified

St.27 status event code:A-4-4-P10-P22-nap-X000

PC1903Unpaid annual fee

Not in force date:20200114

Payment event data comment text:Termination Category : DEFAULT_OF_REGISTRATION_FEE

St.27 status event code:A-4-4-U10-U13-oth-PC1903

PC1903Unpaid annual fee

Ip right cessation event data comment text:Termination Category : DEFAULT_OF_REGISTRATION_FEE

Not in force date:20200114

St.27 status event code:N-4-6-H10-H13-oth-PC1903

R18-X000Changes to party contact information recorded

St.27 status event code:A-5-5-R10-R18-oth-X000

P22-X000Classification modified

St.27 status event code:A-4-4-P10-P22-nap-X000


[8]ページ先頭

©2009-2025 Movatter.jp