




본 발명은 전력 제어 시스템에 관한 것으로, 보다 구체적으로 다수의 에너지 저장 장치로 구성된 전력 제어 시스템 및 그 운영 방법에 관한 것이다.The present invention relates to a power control system, and more particularly, to a power control system composed of a plurality of energy storage devices and a method of operating the same.
산업의 발달과 더불어 전력수요가 점차 증대되고 있으며 주야간, 계절간, 일별간 전력 사용량의 격차가 점차 심화되고 있다.With the development of the industry, electric power demand is gradually increasing, and the gap between day and night, season, and day is widening.
최근에 이러한 이유로 계통의 잉여 전력을 활용하여 피크부하를 삭감하기 위한 많은 기술들이 빠르게 개발되고 있는데, 이러한 기술들 중에서 대표적인 것이 계통의 잉여 전력을 전지에 저장하거나 계통의 부족 전력을 전지에서 공급해주는 에너지 저장 시스템(Energy Storage System)이다.Recently, many techniques for reducing the peak load by utilizing the surplus power of the system have been rapidly developed for this reason. One of these technologies is to store the surplus power of the system in a battery or to supply energy Storage system (Energy Storage System).
에너지 저장 시스템은 야간의 잉여 전력이나 풍력, 태양광 등의 신재생 에너지원에서 발전된 잉여 전력을 저장하였다가 피크 부하시 저장되어 있던 전력을 계통에 공급한다. 이를 통해 신재생 에너지원에 의해 불안정하게 변동되는 계통 전력을 안정화 시키고 최대부하 삭감과 부하 평준화를 달성할 수 있게 된다. 이러한 에너지 저장 시스템의 일 예가 대한민국 공개특허 제10-2012-0038490호에 제시된 바 있다.The energy storage system stores surplus power generated at night, surplus power generated from renewable energy sources such as wind power and solar power, and supplies power stored in peak load to the system. This will stabilize the system power unstably fluctuating by the renewable energy source and achieve maximum load reduction and load leveling. An example of such an energy storage system is disclosed in Korean Patent Publication No. 10-2012-0038490.
최근, 다수개의 에너지 저장 시스템을 병렬로 연결하여 구성한 대규모 에너지 저장 시스템을 통해 계통안정화를 위한 유효전력을 제어하는 방법이 제안된 바 있다.Recently, a method for controlling active power for system stabilization through a large-scale energy storage system constructed by connecting a plurality of energy storage systems in parallel has been proposed.
하지만, 종래의 대규모 에너지 저장 시스템의 경우, 유효전력을 제어함에 있어서 개별 에너지 저장 시스템에 저장되어 있는 에너지량의 차이를 고려하지 않았기 때문에, 각 에너지 저장 시스템에서 출력되는 유효전력이 제한될 뿐만 아니라 별도로 무효전력을 제어 할 수 없어 계통 안정화의 극대화가 제한된다는 문제점이 있다.However, in the case of a conventional large-scale energy storage system, since the difference in the amount of energy stored in the individual energy storage system is not considered in controlling the active power, the effective power output from each energy storage system is limited, The reactive power can not be controlled, thereby limiting the maximization of system stabilization.
본 발명은 상술한 문제점을 해결하기 위한 것으로서, 에너지 저장 장치에 저장되어 있는 에너지량에 따라 에너지 저장 장치의 유효전력 및 무효전력을 조절할 수 있는 다수의 에너지 저장 장치로 구성된 전력 제어 시스템 및 그 운영 방법을 제공하는 것을 그 기술적 과제로 한다.SUMMARY OF THE INVENTION The present invention provides a power control system including a plurality of energy storage devices capable of adjusting active power and reactive power of an energy storage device according to an amount of energy stored in an energy storage device, The present invention has been made in view of the above problems.
상술한 목적을 달성하기 위한 본 발명의 일 측면에 따른 다수의 에너지 저장 장치로 구성된 전력 제어 시스템은, 배터리에 에너지를 충전하거나, 배터리에 저장되어 있는 에너지를 방전하는 복수개의 에너지 저장 장치; 및 상기 복수개의 에너지 저장장치에 대한 전체 유효전력 지령치 및 상기 각 에너지 저장장치에 저장되어 있는 에너지량을 이용하여 상기 각 에너지 저장장치 별 유효전력 지령치를 산출하고, 상기 복수개의 에너지 저장장치에 대한 전체 무효전력 지령치를 이용하여 상기 각 에너지 저장장치 별 무효전력 지령치를 산출하는 전력 관리 장치를 포함하는 것을 특징으로 한다.According to an aspect of the present invention, there is provided a power control system including a plurality of energy storage devices for charging energy into a battery or discharging energy stored in the battery. And calculating an effective power command value for each of the plurality of energy storage devices using the total active power command value for the plurality of energy storage devices and the amount of energy stored in each of the energy storage devices, And a power management device for calculating a reactive power command value for each of the energy storage devices using the reactive power command value.
상술한 목적을 달성하기 위한 본 발명의 일 측면에 따른 다수의 에너지 저장 장치로 구성된 전력 제어 시스템의 운영 방법은, 복수개의 에너지 저장장치에 대한 전체 유효전력 지령치 및 전체 무효전력 지령치를 수신하는 단계; 상기 전체 유효전력 지령치 및 각 에너지 저장장치에 저장되어 있는 에너지량을 이용하여 상기 각 에너지 저장장치 별 유효전력 지령치를 산출하고, 상기 전체 무효전력 지령치를 이용하여 상기 각 에너지 저장장치 별 무효전력 지령치를 산출하는 단계; 및 상기 에너지 저장장치 별 유효전력 지령치 및 무효전력 지령치를 이용하여 산출되는 에너지 저장장치의 출력이 정격용량을 초과하는 경우, 상기 에너지 저장장치 별 유효전력 지령치에 따라 상기 에너지 저장장치의 무효전력 지령치를 보정하는 단계를 포함하는 것을 특징으로 한다.According to an aspect of the present invention, there is provided a method of operating a power control system including a plurality of energy storage devices, the method comprising: receiving a total reactive power command value and a total reactive power command value for a plurality of energy storage devices; Calculates an effective power command value for each energy storage device by using the total effective power command value and the energy amount stored in each energy storage device, and calculates a reactive power command value for each energy storage device by using the total reactive power command value Calculating; And a reactive power command value of the energy storage device according to an effective power command value for each energy storage device when the output of the energy storage device calculated using the reactive power command value and the reactive power command value for each energy storage device exceeds the rated capacity And correcting the error.
본 발명에 따르면, 다수의 에너지 저장 장치로 구성된 전력 제어 시스템에서, 개별 에너지 저장 장치에 저장된 에너지량에 기초하여 각 에너지 저장 장치의 유효전력 및 무효전력을 산출하기 때문에 각 에너지 저장 장치의 유효전력 및 무효전력의 출력이 제한되지 않아 계통 안정화에 필요한 유효전력 및 무효전력을 항시 제공할 수 있어 시스템의 신뢰성이 향상된다는 효과가 있다.According to the present invention, in a power control system composed of a plurality of energy storage devices, since the active power and the reactive power of each energy storage device are calculated based on the amount of energy stored in the individual energy storage device, The output of the reactive power is not limited so that the active power and the reactive power necessary for the system stabilization can be always provided, thereby improving the reliability of the system.
또한, 본 발명에 따르면 에너지 저장 용량이 서로 다른 에너지 저장 장치를 연결하여 전력 제어 시스템을 구현할 수 있어, 시스템의 확장성을 극대화시킬 수 있다는 효과가 있다.Also, according to the present invention, it is possible to implement a power control system by connecting energy storage devices having different energy storage capacities, thereby maximizing system scalability.
또한, 본 발명에 따르면 별도의 무효전력 보상장치의 추가 설치가 요구되지 않아 전력 제어 시스템의 설치 비용을 감소시킬 수 있다는 효과가 있다.Further, according to the present invention, it is not required to additionally install an additional reactive power compensation device, thereby reducing the installation cost of the power control system.
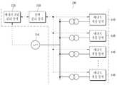
도 1은 본 발명의 일 실시예에 따른 다수의 에너지 저장 장치로 구성된 전력 제어 시스템의 구성을 보여주는 도면이다.
도 2는 도 1에 도시된 전력 관리 장치의 구성을 보여주는 블록도이다.
도 3는 본 발명의 일 실시예에 따른 전력 관리 장치가 각 에너지 저장장치의 유효전력 지령치 및 무효전력 지령치를 산출하는 방법을 예시적으로 보여주는 도면이다.
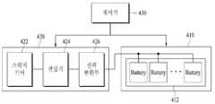
도 4는 도 1에 도시된 에너지 저장 장치의 구성을 보여주는 블록도이다.
도 5는 본 발명의 일 실시예에 따른 다수의 에너지 저장 장치로 구성된 전력 제어 시스템의 운영 방법을 보여주는 플로우차트이다.1 is a diagram illustrating a configuration of a power control system configured by a plurality of energy storage devices according to an embodiment of the present invention.
 2 is a block diagram showing the configuration of the power management apparatus shown in FIG.
 FIG. 3 is a diagram illustrating a method of calculating a reactive power command value and a reactive power command value of each energy storage device according to an embodiment of the present invention. Referring to FIG.
 4 is a block diagram showing the configuration of the energy storage device shown in FIG.
 5 is a flowchart illustrating a method of operating a power control system configured with a plurality of energy storage devices according to an embodiment of the present invention.
본 명세서에서 서술되는 용어의 의미는 다음과 같이 이해되어야 할 것이다.The meaning of the terms described herein should be understood as follows.
단수의 표현은 문맥상 명백하게 다르게 정의하지 않는 한 복수의 표현을 포함하는 것으로 이해되어야 하고, "제1", "제2" 등의 용어는 하나의 구성요소를 다른 구성요소로부터 구별하기 위한 것으로, 이들 용어들에 의해 권리범위가 한정되어서는 아니 된다.The word " first, "" second," and the like, used to distinguish one element from another, are to be understood to include plural representations unless the context clearly dictates otherwise. The scope of the right should not be limited by these terms.
"포함하다" 또는 "가지다" 등의 용어는 하나 또는 그 이상의 다른 특징이나 숫자, 단계, 동작, 구성요소, 부분품 또는 이들을 조합한 것들의 존재 또는 부가 가능성을 미리 배제하지 않는 것으로 이해되어야 한다.It should be understood that the terms "comprises" or "having" does not preclude the presence or addition of one or more other features, integers, steps, operations, elements, components, or combinations thereof.
"적어도 하나"의 용어는 하나 이상의 관련 항목으로부터 제시 가능한 모든 조합을 포함하는 것으로 이해되어야 한다. 예를 들어, "제1 항목, 제2 항목 및 제 3항목 중에서 적어도 하나"의 의미는 제1 항목, 제2 항목 또는 제3 항목 각각 뿐만 아니라 제1 항목, 제2 항목 및 제3 항목 중에서 2개 이상으로부터 제시될 수 있는 모든 항목의 조합을 의미한다.It should be understood that the term "at least one" includes all possible combinations from one or more related items. For example, the meaning of "at least one of the first item, the second item and the third item" means not only the first item, the second item or the third item, but also the second item and the second item among the first item, Means any combination of items that can be presented from more than one.
이하에서는 설명의 편의를 위해 동일한 구성에 대해서는 동일한 도면부호를 부여하여 해당 구성을 설명하기로 한다.
Hereinafter, the same components will be denoted by the same reference numerals for convenience of description.
이하, 첨부되는 도면을 참고하여 본 발명의 실시예들에 대해 상세히 설명한다.Hereinafter, embodiments of the present invention will be described in detail with reference to the accompanying drawings.
도 1 본 발명의 일 실시예에 따른 다수의 에너지 저장 장치로 구성된 전력 제어 시스템의 구성을 보여주는 도면이다.1 is a diagram illustrating a configuration of a power control system configured by a plurality of energy storage devices according to an embodiment of the present invention.
도 1에 도시된 바와 같이, 본 발명의 일 실시예에 따른 다수의 에너지 저장 장치로 구성된 전력 제어 시스템(이하, '전력 제어 시스템'이라 함, 100)은, 전력계통(110)에 연결되어, 에너지 저장장치의 유효전력 및 무효전력을 조절함으로써 전력계통(110)의 안정화를 수행한다.1, a power control system 100 (hereinafter referred to as a 'power control system') composed of a plurality of energy storage devices according to an embodiment of the present invention is connected to a
전력계통(110)의 안정화(Stability)는 위상각 안정도(Angle Stability) 및 전압 안정도(Voltage Stability)로 구분할 수 있다.  위상각 안정도는 전력계통(110)의 외란(상정사고, 부하의 급증, 또는 발전기의 탈락 등)시 전력계통(110)의 동기 위상각을 유지하는 정도를 의미한다.  전압 안정도는 전력계통(110)의 외란 시 전력계통(110)이 적정 전압을 유지하는 정도를 의미한다.  평상시 전력계통(110)은 항시 위상각 안정도와 전압 안정도가 안정한 범위에서 운전된다.  그러나 특정한 상황에서(상정사고의 발생이나, 부하 또는 발전기의 탈락 등) 전력계통(110)의 운전점이 안정한 영역을 벗어나게 되면 대규모 정전과 같은 상황이 발생하게 된다.Stability of the
위상각 안정도는 발전기의 인출선로가 탈락된 경우나 발전기가 회전하는 운동에너지가 전기에너지로 모두 변환되어 전력계통에 공급되지 못할 때 발생한다. 즉, 외란이 발생한 후 과도기간 동안 발전기가 가속하여 축적되는 에너지를 고장제거 후에 전력계통에서 흡수할 수 있는 경우 전력계통의 위상각 안정도가 유지될 수 있다.The phase angle stability occurs when the outgoing line of the generator is disconnected or when the kinetic energy of the generator is converted into electric energy and can not be supplied to the power system. That is, the phase angle stability of the power system can be maintained if the energy accumulated during the transient period after the disturbance is generated can be absorbed in the power system after the fault is removed.
전압 안정도는 무효전력의 부족에서 발생한다. 발전기에서 생산된 전력은 변압기 및 송전선로의 임피던스로 인해 수요지까지 전송되면서 무효전력의 손실이 발생한다. 무효전력의 손실은 외란의 발생으로 전력계통의 임피던스가 증가하면 더욱 증가하며, 이러한 무효전력의 손실로 인해 전압이 하락하여 안정한 영역을 벗어나게 되면 대규모 정전이 발생하게 된다. 즉, 외란으로 인한 무효전력의 손실을 충분히 보상하면 전압 안정도를 유지할 수 있다.Voltage stability arises from the lack of reactive power. The power generated by the generator is transmitted to the customer site due to the impedance of the transformer and the transmission line, resulting in loss of reactive power. The loss of reactive power increases as the impedance of the power system increases due to the occurrence of disturbance. If the voltage falls due to the loss of the reactive power and deviates from the stable region, large power failure occurs. That is, if the loss of the reactive power due to the disturbance is sufficiently compensated, the voltage stability can be maintained.
따라서 본 발명에 따른 전력 제어 시스템(100)은 에너지 저장 장치의 유효전력뿐만 아나라 무효전력을 제어함으로써 전력 계통(110)의 안정화를 수행한다.  이를 위해, 본 발명에 따른 전력 제어 시스템(100)은 에너지 관리 장치(Energy Management System: EMS, 120), 전력 관리 장치(Power Management System: PMS, 130), 및 복수개의 에너지 저장 장치(Energy Storage System: ESS, 140)를 포함한다.Therefore, the
먼저, 에너지 관리 장치(120)는 전력계통(110)의 운영상태를 감시하여 전력계통(110)에서 필요로 하는 유효전력을 계산하고, 계산된 유효전력을 복수개의 에너지 저장장치(140)가 출력해야 하는 전체 유효전력 지령치로 결정한다.  또한, 에너지 관리 장치(120)는 전력계통(110)의 안정화를 위해 요구되는 무효전력을 계산하고, 계산된 무효전력을 복수개의 에너지 저장장치(140)가 출력해야 하는 전체 무효전력 지령치로 결정한다.  에너지 관리 장치(120)는 결정된 전체 유효전력 지령치 및 전체 무효전력 지령치를 전력 관리 장치(130)로 전달한다.First, the
전력 관리 장치(130)는, 에너지 관리 장치(120)로부터 전체 유효전력 지령치 및 전체 무효전력 지령치가 수신되면, 전체 유효전력 지령치 및 각 에너지 저장장치(140)에 저장되어 있는 에너지량을 이용하여 각 에너지 저장장치(140) 별 유효전력 지령치를 산출한다.When the total effective power command value and the total reactive power command value are received from the
또한, 전력 관리 장치(130)는 전체 무효전력 지령치를 이용하여 각 에너지 저장장치(140) 별 무효전력 지령치를 산출한다.Further, the
이하에서, 도 2를 참조하여 본 발명에 따른 전력 관리 장치(130)의 구성에 대해 보다 구체적으로 설명한다.Hereinafter, the configuration of the
도 2는 본 발명의 일 실시예에 따른 전력 관리 장치(130)의 구성을 보여주는 블록도이다.2 is a block diagram illustrating a configuration of a
도 2에 도시된 바와 같이, 본 발명에 따른 전력 관리 장치(130)는 제1 통신부(210), 제2 통신부(220), 제1 가중치 산출부(230), 유효전력 지령치 산출부(240), 무효전력 지령치 산출부(260), 및 보정부(250)를 포함한다.2, the
제1 통신부(210)는 에너지 관리 장치(120)로부터 전체 무효전력 지령치 및 전체 유효전력 지령치를 수신한다.  또한, 제1 통신부(210)는 복수개의 에너지 저장 장치(140)의 상태정보를 에너지 관리 장치(120)로 전달한다.The
일 실시예에 있어서, 복수개의 에너지 저장장치(140)의 상태정보는 각 에너지 저장장치(140)의 에너지량, 각 에너지 저장장치(140)의 동작상태, 각 에너지 저장장치(140)에 충전되고 있는 에너지량, 또는 각 에너지 저장장치(140)에서 방전되고 있는 에너지량 등을 포함한다.In one embodiment, the state information of the plurality of
제2 통신부(220)는 복수개의 에너지 저장장치(140)로부터 각 에너지 저장장치(140)의 상태정보를 수신하고, 각 에너지 저장장치(140)로 각 에너지 저장장치(140)의 유효전력 지령치 및 무효전력 지령치를 전달한다.The
제1 가중치 산출부(230)는 에너지 저장장치(140)의 에너지량에 따라 에너지 저장장치들의 유효전력 지령치를 조절하기 위한 유효전력 분담 가중치를 산출한다.The first
본 발명에서 제1 가중치 산출부(230)를 통해 유효전력 분담 가중치를 산출하는 것은, 에너지 저장장치(140)의 에너지량에 따라 상이하게 산출된 유효전력 분담 가중치를 각 에너지 저장장치(140)에 적용하지 않게 되면, 전체 유효전력 지령치에 해당하는 유효전력을 각 에너지 저장장치(140)가 균등 부담하게 되고 이러한 경우 에너지량이 작은 에너지 저장장치(140)의 출력이 제한될 수 밖에 없다는 문제점이 있기 때문이다.The calculation of the effective power sharing weight through the first
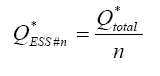
일 실시예에 있어서, 제1 가중치 산출부(230)는 아래의 수학식 1을 이용하여 각 에너지 저장장치(140) 별로 유효전력 분담 가중치를 산출할 수 있다.In one embodiment, the first
상기 수학식 1에서은 n번째 에너지 저장장치(140)의 유효전력 분담 가중치를 나타내고,은 n번째 에너지 저장장치(140)의 에너지 저장량을 나타내고, n은 에너지 저장장치(140)의 개수를 나타낸다.In Equation (1) The active power sharing weight of the n-th
유효전력 지령치 산출부(240)는 제1 가중치 산출부(230)에 의해 산출된 유효전력 분담 가중치, 전체 유효전력 지령치, 및 에너지 저장장치(140)의 개수를 이용하여 에너지 저장장치(140) 별 유효전력 지령치를 산출한다.The active power command
일 실시예에 있어서, 유효전력 지령치 산출부(240)는 아래의 수학식 2를 이용하여 에너지 저장장치(140) 별 유효전력 지령치를 산출한다.In one embodiment, the effective power command
수학식 2에서는 n번째 에너지 저장장치(140)의 유효전력 지령치를 나타내고,은 n번째 에너지 저장장치(140)의 유효전력 분담 가중치를 나타내며,은 전체 유효전력 지령치를 나타내고, n은 에너지 저장장치(140)의 개수를 나타낸다.In
무효전력 지령치 산출부(260)는 전체 무효전력 지령치를 이용하여 각 에너지 저장장치(140) 별 무효전력 지령치를 산출한다.The reactive power command
일 실시예에 있어서, 무효전력 지령치 산출부(260)는 아래의 수학식 3을 이용하여 각 에너지 저장장치(140) 별 무효전력 지령치를 산출한다.In one embodiment, the reactive power command
수학식 3에서는 에너지 저장장치(140)의 무효전력 지령치를 나타내고,은 전체 무효전력 지령치를 나타내며, n은 에너지 저장장치의 개수를 나타낸다.  즉, 무효전력 지령치 산출부(260)는 전체 무효전력 지령치에 해당하는 무효전력을 각 에너지 저장장치(140)가 균등 부담할 수 있도록 각 에너지 저장장치(140)의 무효전력 지령치를 산출한다.In
보정부(250)는 출력이 정격용량을 초과하게 되는 에너지 저장장치(140)가 존재하는지 여부를 판단하고, 존재하는 경우 각 에너지 저장장치(140)의 무효전력 지령치를 보정한다.The
이를 위해, 보정부(250)는 도 2에 도시된 바와 같이, 판단부(252), 제2 가중치 산출부(254), 및 연산부(256)를 포함한다.For this, the
먼저, 판단부(252)는 에너지 저장장치(140)의 유효전력 지령치 및 무효전력 지령치를 이용하여 각 에너지 저장장치(140)의 출력을 산출하고, 출력이 정격용량을 초과하게 되는 에너지 저장장치(140)가 존재하는지 여부를 판단한다.  일 실시예에 있어서, 판단부(252)는 아래의 수학식 4를 이용하여 각 에너지 저장장치(140)의 출력을 산출한다.The
수학식 4에서,은 n번째 에너지 저장장치(140)의 출력을 나타내고,는 n번째 에너지 저장장치(140)의 유효전력 지령치를 나타내며,는 n번째 에너지 저장장치(140)의 무효전력 지령치를 나타낸다.In Equation (4) Represents the output of the n-th
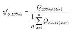
제2 가중치 산출부(254)는 출력이 정격용량을 초과하는 에너지 저장장치(140)가 존재하는 경우, 각 에너지 저장장치(140)의 무효전력 지령치를 보정하기 위해 에너지 저장장치(140) 별 유효전력 지령치에 따라 각 에너지 저장장치(140)들의 무효전력 지령치를 조절하기 위한 무효전력 분담 가중치를 산출한다.The
일 실시예에 있어서, 제2 가중치 산출부(254)는 아래의 수학식 5를 이용하여 각 에너지 저장장치(140) 별로 무효전력 분담 가중치를 산출한다.In one embodiment, the second
수학식 5에서는 n번째 에너지 저장장치(140)의 무효전력 분담 가중치를 나타내고,는 n번째 에너지 저장장치(140)에서 출력 가능한 무효전력을 나타낸다.In Equation (5) Represents the reactive power sharing weight of the n-th
n번째 에너지 저장장치(140)에서 출력 가능한 무효전력은 아래의 수학식 6을 이용하여 산출된다.The reactive power that can be output from the n-th
수학식 6에서,는 n번째 에너지 저장장치의 정격용량을 나타내고,은 n번째 에너지 저장장치(140)의 유효전력 지령치를 나타낸다.In Equation (6) Represents the rated capacity of the n-th energy storage device, N < / RTI >
연산부(256)는 각 에너지 저장장치(140) 별 무효전력 지령치에 각 에너지 저장장치(140) 별 무효전력 분담 가중치를 승산함으로써 각 에너지 저장장치(140) 별 무효전력 지령치를 보정한다.  이를 수학식으로 표현하면 아래의 수학식 7과 같다.The
수학식 7에서,는 보정된 무효전력 지령치를 나타낸다.In Equation (7) Represents a corrected reactive power command value.
이와 같이, 본 발명은 각 에너지 저장장치(140)의 에너지량에 기초하여 각 에너지 저장장치(140)가 분담해야 하는 유효전력의 지령치을 상이하게 결정하고, 각 에너지 저장장치(140)의 유효전력 지령치를 기초로 각 에너지 저장장치(140)가 분담해야 하는 무효전력의 지령치를 상이하게 결정함으로써 에너지 저장장치(140)의 유효전력의 출력 및 무효전력의 출력이 제한되는 것을 방지할 수 있게 된다.As described above, according to the present invention, based on the energy amount of each
이하에서는 상술한 바와 같은 전력 관리 장치(130)가 각 에너지 저장장치(140)의 유효전력 지령치 및 무효전력 지령치를 산출하는 방법을 도 3을 참조하여 예를 들어 설명하기로 한다.Hereinafter, a method of calculating the effective power command value and the reactive power command value of each
도 3은 본 발명의 일 실시예에 따른 전력 관리 장치(130)가 각 에너지 저장장치(140)의 유효전력 지령치 및 무효전력 지령치를 산출하는 방법을 예시적으로 보여주는 도면이다.FIG. 3 is a diagram illustrating an exemplary method for the
도 3의 예에서는 전력 제어 시스템(100)이 4개의 에너지 저장장치(ESS, 140a~140d)를 포함하는 것으로 가정하고, 각 에너지 저장장치(140a~140d)의 정격용량은 4MVA이고, 전력계통(110)에서 요구되는 전체 유효전력 지령치는 12MW이고 전체 무효전력 지령치는 4MVar이며, 제1 및 제2 에너지 저장장치(140a, 140b)의 에너지량을 80%이고 제3 및 제4 에너지 저장장치(140c, 140d)의 에너지량은 40%인 것으로 가정한다.In the example of FIG. 3, it is assumed that the
전력 관리 장치(130)는, 각 에너지 저장장치(140a~140d)의 에너지량이 상이하기 때문에 수학식 1을 이용하여 각 에너지 저장장치(140a~140d) 별로 유효전력 분담 가중치를 산출한다.  수학식 1에 따라, 제1 및 제2 에너지 저장장치(140a, 140b)의 유효전력 분담 가중치는 4/3로 산출되고, 제3 및 제4 에너지 저장장치(140c, 140d)의 유효전력 분담 가중치는 2/3으로 산출된다.The
이후, 전력 관리 장치(130)는 수학식 2를 이용하여 각 에너지 저장장치(140a~140d) 별로 유효전력 지령치를 산출한다.  수학식 2에 따라, 제1 및 제2 에너지 저장장치(140a, 140b)의 유효전력 지령치는 4MW로 산출되고, 제3 및 제4 에너지 저장장치(140c, 140d)의 유효전력 지령치는 2MW으로 산출된다.Then, the
한편, 전력 관리 장치(130)는 수학식 3을 이용하여 각 에너지 저장장치(140a~140d)의 무효전력 지령치를 산출한다.  수학식 3에 따라, 제1 내지 제4 에너지 저장장치(140a~140d)의 무효전력 지령치는 1MVar로 산출된다.Meanwhile, the
이후, 전력 관리 장치(130)는 수학식 4를 이용하여 각 에너지 저장장치(140a~140d)의 출력을 산출하고, 산출된 출력이 정격용량을 초과하는 에너지 저장장치가 존재하는지 여부를 판단한다.  수학식 4에 따라 제1 및 제2 에너지 저장장치(140a, 140b)의 출력은 4.1MVA로 산출되고, 제3 및 제4 에너지 저장장치(140c, 140d)의 출력은 2.2MVA로 산출된다.Then, the
제1 및 제2 에너지 저장장치(140a, 140b)의 출력이 정격용량을 초과하기 때문에 전력 관리 장치(130)는 각 에너지 저장장치(140a~140d)의 무효전력 지령치를 조절하기 위해, 수학식 5 및 수학식 6을 이용하여 각 에너지 저장장치(140a~140d)의 무효전력 분담 가중치를 산출한다.  수학식 5 및 6에 따라, 제1 및 제2 에너지 저장장치(140a, 140b)의 무효전력 분담 가중치는 0으로 산출되고, 제3 및 제4 에너지 저장장치(140c, 140d)의 무효전력 분담 가중치는 2로 산출된다.Because the outputs of the first and second
이후, 전력 관리 장치(130)는 수학식 7을 이용하여 각 에너지 저장장치(140a~140d)의 보정된 무효전력 지령치를 산출한다.  수학식 7에 따라, 제1 및 제2 에너지 저장장치(140a, 140b)의 보정된 무효전력 지령치는 0MVar로 산출되고, 제3 및 제4 에너지 저장장치(140c, 140d)의 보정된 무효전력 지령치는 2MVar로 산출된다.Thereafter, the
각 에너지 저장장치(140a~140d)의 유효전력 지령치 및 보정된 무효전력 지령치를 수학식 4에 대입하여 각 에너지 저장장치(140a~140d)의 출력을 계산하면, 제1 및 제2 에너지 저장장치(140a, 140b)의 출력은 4MVA이고, 제3 및 제4 에너지 저장장치(140c, 140d)의 출력은 2.8MVA이므로, 출력이 정격용량을 초과하는 에너지 저장장치가 존재하지 않는다는 것을 알 수 있다.  이에 따라, 각 에너지 저장장치(140a~140d)의 유효전력의 출력 및 무효전력의 출력 또한 제한되지 않아 전력 제어 시스템(100)의 운전영역이 제한되지 않게 되고 이로 인해 전력 품질 및 시스템의 신뢰성을 향상시킬 수 있게 된다.When the active power command values and the corrected reactive power command values of the respective
다시 도 1을 참조하면, 에너지 저장 장치(140)는 전력 관리 장치(130)로부터 전달되는 유효전력 지령치 및 무효전력 지령치에 따라 충방전 동작을 수행하여 에너지를 저장하거나 에너지를 제공한다.Referring again to FIG. 1, the
일 실시예에 있어서, 이러한 에너지 저장장치(140)는 도 4에 도시된 바와 같이, 배터리 조절 장치(Battery Conditioning System: BCS, 410), 전력조절장치(Power Conditioning System: PCS, 420), 및 제어기(ESS Controller, 430)를 포함한다.4, the
도 4에 도시된 에너지 저장 장치(140)에는 하나의 배터리 조절장치(410)가 포함되는 것으로 기재하였지만, 변형된 실시예에 있어서는 에너지 저장 장치(140)에 복수개의 배터리 조절장치(410)가 포함될 수도 있을 것이다.It is noted that the
먼저, 배터리 조절장치(410)는, 하나 이상의 배터리 랙(Rack, 미도시)들로 구성되어 외부에서 제공되는 에너지를 저장하거나 피크 부하 또는 계통 사고 발생 시 하나 이상의 배터리 랙에 저장되어 있는 에너지를 외부로 제공한다.First, the
이때, 배터리 랙은, 복수개의 배터리 랙이 직렬 또는 병렬로 연결된 배터리 랙 그룹(412)의 형태로 배터리 조절장치(410)에 포함되거나, 복수개의 배터리 랙 그룹(412)이 서로 연결된 형태로 배터리 조절장치(410)에 포함될 수 있다.  이하에서는, 설명의 편의를 위해, 배터리 랙을 배터리 랙 그룹과 동일한 의미로 사용하기로 한다.At this time, the battery rack may be included in the
다음으로, 전력조절장치(420)는, 배터리 조절장치(410)와 계통을 연계하는 역할을 수행한다.  보다 구체적으로, 전력조절장치(420)는 유효전력 지령치 및 무효전력 지령치에 따라 배터리 조절장치(410)에 포함된 하나 이상의 배터리 랙 그룹(412)에 에너지를 저장하거나 하나 이상의 배터리 랙 그룹(412)에 저장된 에너지를 외부로 제공하는 역할을 수행한다.Next, the
이러한 전력 조절 장치(420)는 스위치 기어(SWGR, 422), 변압기(424), 및 전력 변환부(426)를 포함한다.The
스위치기어(422)는 전력계통(110)에 대한 전력의 차단과 전력계통(110)으로부터 공급되는 전력의 투입을 담당한다.The
변압기(424)는 승압 또는 감압을 담당한다.The
전력 변환부(Power Conversion Unit: PCU, 426)는 배터리 랙 그룹(412)에 연결되어 계통의 교류전압을 직류전압으로 변환하거나, 배터리 랙 그룹(412)의 직류전압을 교류전압으로 변환한다.A power conversion unit (PCU) 426 is connected to the
일 실시예에 있어서, 배터리 조절장치(410)는 복수개의 배터리 랙 그룹(412)을 포함하고, 전력조절장치(420)는 각 배터리 랙 그룹(412)에 대응되는 복수개의 전력 변환부(422)를 포함할 수 있다.  이러한 실시예에 따르는 경우, 각 배터리 랙그룹(412)에 연결된 전력 변환부(422)는 전력조절장치(420)가 유효전력 지령치 또는 무효전력 지령치에 따라 각 배터리 랙 그룹(412)을 충전 또는 방전시키게 된다.The
제어기(430)는 에너지 저장장치(140)의 에너지량, 에너지 저장장치(140)의 동작상태, 에너지 저장장치(140)에 충전되고 있는 에너지량, 또는 에너지 저장장치(140)에서 방전되고 있는 에너지량 등을 포함하는 에너지 저장장치(140)의 상태정보를 전력 관리 장치(130)로 전달한다.The
또한, 제어기(430)는 전력 관리 장치(130)로부터 전달되는 유효전력 지령치 및 무효전력 지령치에 따라 배터리 조절장치(410)에 포함된 하나 이상의 배터리 랙그룹(412)의 충방전이 수행되도록 전력조절장치(420)의 동작을 제어한다.The
일 실시예에 있어서, 제어기(430)는 배터리 조절장치(410)에 포함된 각 배터리 랙 그룹(412)간의 에너지량이 상이한 경우, 각 배터리 랙 그룹(412) 별로 유효전력 지령치 및 무효전력 지령치를 재산출할 수 있다.The
이하에서는 도 5를 참조하여 본 발명에 따른 전력 제어 시스템의 운영방법에 대해 설명한다.Hereinafter, a method of operating the power control system according to the present invention will be described with reference to FIG.
도 5는 본 발명의 일 실시예에 따른 전력 제어 시스템의 운영방법을 보여주는 플로우차트이다. 도 5에 도시된 운영방법은 도 1에 도시된 바와 같은 구성을 갖는 전력 제어 시스템에 의해 수행될 수 있다.5 is a flowchart illustrating a method of operating a power control system according to an embodiment of the present invention. The operating method shown in Fig. 5 can be performed by a power control system having a configuration as shown in Fig.
먼저, 도 5에 도시된 바와 같이, 전력 제어 시스템은 복수개의 에너지 저장장치에 대한 전체 유효전력 지령치 및 전체 무효전력 지령치를 산출한다(S500).5, the power control system calculates the total effective power command value and the total reactive power command value for a plurality of energy storage devices (S500).
다음으로, 전력 제어 시스템은 각 에너지 저장장치의 에너지량에 따라 각 에너지 저장장치 별 유효전력 지령치를 조절하기 위한 유효전력 분담 가중치를 산출한다(S510).Next, the power control system calculates the active power sharing weight for adjusting the effective power command value for each energy storage device according to the energy amount of each energy storage device (S510).
일 실시예에 있어서, 전력 제어 시스템은 상술한 수학식 1을 이용하여 각 에너지 저장장치 별 유효전력 분담 가중치를 산출할 수 있다.In one embodiment, the power control system may calculate the active power sharing weight for each energy storage device using Equation (1).
다음으로, 전력 제어 시스템은 전체 유효전력 지령치 및 각 에너지 저장장치 별 유효전력 분담 가중치를 이용하여 각 에너지 저장장치 별 유효전력 지령치를 산출한다(S520).Next, the power control system calculates the effective power command value for each energy storage device using the total effective power command value and the active power sharing weight for each energy storage device (S520).
일 실시예에 있어서, 전력 제어 시스템은 상술한 수학식 2를 이용하여 각 에너지 저장장치 별 유효전력 지령치를 산출할 수 있다.In one embodiment, the power control system may calculate the effective power command value for each energy storage device using Equation (2).
다음으로, 전력 제어 시스템은 전체 무효전력 지령치를 이용하여 각 에너지 저장장치 별 무효전력 지령치를 산출한다(S530).Next, the power control system calculates the reactive power command value for each energy storage device by using the total reactive power command value (S530).
일 실시예에 있어서, 전력 제어 시스템은 상술한 수학식 3에 따라 전체 무효 전력 지령치를 에너지 저장장치의 개수로 제산함으로써 각 에너지 저장장치 별 무효전력 지령치를 산출할 수 있다.In one embodiment, the power control system can calculate the reactive power command value for each energy storage device by dividing the total reactive power command value by the number of energy storage devices according to the above-described Equation (3).
상술한 실시예에 있어서는 유효전력 분담 가중치 및 유효전력 지령치를 산출한 이후에 무효전력 지령치를 산출하는 것으로 설명하였지만, 변형된 실시예에 있어서는 유효전력 분담 가중치, 유효전력 지령치, 및 무효전력 지령치를 동시에 산출하거나 무효전력 지령치를 가장 먼저 산출할 수도 있을 것이다.In the above-described embodiment, the reactive power command value is calculated after calculating the active power share weight and the active power command value. However, in the modified embodiment, the active power share weight, the effective power command value, Or the reactive power command value may be calculated first.
다음으로, 전력 제어 시스템은, 각 에너지 저장장치 별 유효전력 지령치 및 무효전력 지령치를 이용하여 에너지 저장장치의 출력을 산출하고(S540), 산출된 출력이 정격용량을 초과하는 에너지 저장장치가 존재하는지 여부를 판단한다(S550). 일 실시예에 있어서, 전력 제어 시스템은 상술한 수학식 4를 이용하여 각 에너지 저장장치의 출력을 산출할 수 있다.Next, the power control system calculates an output of the energy storage device using the effective power command value and the reactive power command value for each energy storage device (S540), and determines whether there is an energy storage device whose calculated output exceeds the rated capacity (S550). In one embodiment, the power control system may calculate the output of each energy storage device using Equation (4) above.
판단결과, 출력이 정격용량을 초과하는 에너지 저장장치가 존재하는 경우 전력 제어 시스템은 각 에너지 저장장치의 무효전력 지령치를 보정하기 위해 각 에너지 저장장치의 유효전력 지령치를 이용하여 각 에너지 저장장치 별 무효전력 분담 가중치를 산출한다(S560).As a result of the determination, when there is an energy storage device whose output exceeds the rated capacity, the power control system uses the effective power set value of each energy storage device to correct the reactive power setpoint of each energy storage device, The power sharing weight is calculated (S560).
일 실시예에 있어서, 전력 제어 시스템은 상술한 수학식 5 및 6을 이용하여 각 에너지 저장장치 별 무효전력 분담 가중치를 산출할 수 있다. 무효전력 분담 가중치를 산출하는 방법은 수학식 5 및 6에 대한 부분에서 기재하였으므로 상세한 설명은 생략하기로 한다.In one embodiment, the power control system may calculate the reactive power sharing weight for each energy storage device using equations (5) and (6) described above. Since the method for calculating the reactive power sharing weight is described in the section of Equations (5) and (6), a detailed description will be omitted.
이후, 전력 제어 시스템은 S530에서 산출된 각 에너지 저장장치 별 무효전력 지령치에 S560에서 산출된 무효전력 분담 가중치를 승산함으로써 에너지 저장장치의 무효전력 지령치를 보정한다(S570).Thereafter, the power control system corrects the reactive power command value of the energy storage device by multiplying the reactive power command value for each energy storage device calculated in S530 by the reactive power sharing weight calculated in S560 (S570).
이후, 전력 제어 시스템은 각 에너지 저장장치의 유효전력 지령치 및 무효전력 지령치(또는 보정된 무효전력 지령치)에 따라 에너지 저장장치를 충방전 시킨다(S580).Thereafter, the power control system charges and discharges the energy storage device according to the effective power command value and the reactive power command value (or the corrected reactive power command value) of each energy storage device (S580).
본 발명이 속하는 기술분야의 당업자는 상술한 본 발명이 그 기술적 사상이나 필수적 특징을 변경하지 않고서 다른 구체적인 형태로 실시될 수 있다는 것을 이해할 수 있을 것이다.It will be understood by those skilled in the art that the present invention can be embodied in other specific forms without departing from the spirit or essential characteristics thereof.
그러므로, 이상에서 기술한 실시예들은 모든 면에서 예시적인 것이며 한정적인 것이 아닌 것으로 이해해야만 한다. 본 발명의 범위는 상기 상세한 설명보다는 후술하는 특허청구범위에 의하여 나타내어지며, 특허청구범위의 의미 및 범위 그리고 그 등가 개념으로부터 도출되는 모든 변경 또는 변형된 형태가 본 발명의 범위에 포함되는 것으로 해석되어야 한다.It is therefore to be understood that the above-described embodiments are illustrative in all aspects and not restrictive. The scope of the present invention is defined by the appended claims rather than the detailed description and all changes or modifications derived from the meaning and scope of the claims and their equivalents are to be construed as being included within the scope of the present invention do.
100: 전력 제어 시스템110: 전력계통
120: 에너지 관리 장치130: 전력 관리 장치
140: 에너지 저장 장치210: 제1 통신부
220: 제2 통신부230: 제1 가중치 산출부
240: 유효전력 지령치 산출부260: 무효전력 지령치 산출부
252: 판단부254: 제2 가중치 산출부
256: 연산부100: power control system 110: power system
 120: Energy management device 130: Power management device
 140: Energy storage device 210: First communication part
 220: second communication unit 230: first weight calculation unit
 240: Active power command value calculation unit 260: Reactive power command value calculation unit
 252: Judgment section 254: Second weight calculation section
 256:
| Application Number | Priority Date | Filing Date | Title | 
|---|---|---|---|
| KR1020140162657AKR101673057B1 (en) | 2014-11-20 | 2014-11-20 | Power Controlling System Having Plurality of Energy Storage System and Method for Operating The Same | 
| Application Number | Priority Date | Filing Date | Title | 
|---|---|---|---|
| KR1020140162657AKR101673057B1 (en) | 2014-11-20 | 2014-11-20 | Power Controlling System Having Plurality of Energy Storage System and Method for Operating The Same | 
| Publication Number | Publication Date | 
|---|---|
| KR20160060851A KR20160060851A (en) | 2016-05-31 | 
| KR101673057B1true KR101673057B1 (en) | 2016-11-07 | 
| Application Number | Title | Priority Date | Filing Date | 
|---|---|---|---|
| KR1020140162657AActiveKR101673057B1 (en) | 2014-11-20 | 2014-11-20 | Power Controlling System Having Plurality of Energy Storage System and Method for Operating The Same | 
| Country | Link | 
|---|---|
| KR (1) | KR101673057B1 (en) | 
| Publication number | Priority date | Publication date | Assignee | Title | 
|---|---|---|---|---|
| KR20190026379A (en)* | 2017-09-05 | 2019-03-13 | 한국에너지기술연구원 | Grid-off microgrid system capable of maintaining rated voltage and rated frequency | 
| CN108509011A (en)* | 2018-03-21 | 2018-09-07 | 苏州市谨思百刻新能源技术有限公司 | Portable energy-storing system control method | 
| KR102212989B1 (en)* | 2018-12-06 | 2021-02-05 | 한전케이디엔주식회사 | Apparatus for controlling energy storage system and method thereof | 
| KR102358645B1 (en)* | 2021-03-29 | 2022-02-08 | (주)대륜엔지니어링 | A Power Distribution Board with Reinforced Stability | 
| CN115498631B (en)* | 2022-09-16 | 2025-09-05 | 华为数字能源技术有限公司 | Power supply system and control method thereof | 
| Publication number | Priority date | Publication date | Assignee | Title | 
|---|---|---|---|---|
| JP2009273359A (en) | 2004-09-24 | 2009-11-19 | Kansai Electric Power Co Inc:The | Power system control method and power system controller using secondary battery | 
| JP2010074989A (en)* | 2008-09-19 | 2010-04-02 | Tokyo Gas Co Ltd | Distributed power system and method of stabilizing system voltage using same | 
| JP5633872B1 (en)* | 2013-02-08 | 2014-12-03 | 日本電気株式会社 | Battery control device, battery control system, battery control method, and recording medium | 
| Publication number | Priority date | Publication date | Assignee | Title | 
|---|---|---|---|---|
| KR101338008B1 (en)* | 2012-03-30 | 2013-12-09 | 한국전기연구원 | Method and system for compensating reactive power of wind power equipment | 
| Publication number | Priority date | Publication date | Assignee | Title | 
|---|---|---|---|---|
| JP2009273359A (en) | 2004-09-24 | 2009-11-19 | Kansai Electric Power Co Inc:The | Power system control method and power system controller using secondary battery | 
| JP2010074989A (en)* | 2008-09-19 | 2010-04-02 | Tokyo Gas Co Ltd | Distributed power system and method of stabilizing system voltage using same | 
| JP5633872B1 (en)* | 2013-02-08 | 2014-12-03 | 日本電気株式会社 | Battery control device, battery control system, battery control method, and recording medium | 
| Publication number | Publication date | 
|---|---|
| KR20160060851A (en) | 2016-05-31 | 
| Publication | Publication Date | Title | 
|---|---|---|
| JP5100132B2 (en) | Frequency adjustment system and frequency adjustment method | |
| CA2921065C (en) | Power control device | |
| US10355487B2 (en) | Photovoltaic system | |
| JP5076157B2 (en) | Distributed power supply system and system voltage stabilization method using this system | |
| JP5308511B2 (en) | Output control method and output control apparatus for wind power generation equipment | |
| US8803363B2 (en) | Method and system for regulating power of an electricity grid system | |
| KR101673057B1 (en) | Power Controlling System Having Plurality of Energy Storage System and Method for Operating The Same | |
| KR102264862B1 (en) | System and Method for Controlling Inertial of Energy Storage System | |
| WO2010016158A1 (en) | Secondary battery control apparatus and control method | |
| CN110720165A (en) | Method for operating a wind power plant | |
| KR102234527B1 (en) | SoC Management System and Method using Frequency Control at ESS Interfacing Generation Plant | |
| KR102233773B1 (en) | System for converting power and method for controlling the system | |
| US10074985B2 (en) | Solar and/or wind inverter | |
| EP4165748A1 (en) | Hybrid power plant fast frequency response | |
| KR20180062795A (en) | Management system for micro-grid | |
| KR20220075969A (en) | Frequincy regulation operating method and grid system frequincy regulation system | |
| KR101936293B1 (en) | An energy storage system | |
| KR101299269B1 (en) | Battery Energy Storage System | |
| KR101977165B1 (en) | System and method for controlling ess for emergency power source, and a recording medium having computer readable program for executing the method | |
| JP2023166743A (en) | Power control device, power control method, and power control program | |
| KR20170018647A (en) | A frequency control system and method for power grid using an energy storage device | |
| JP2015130732A (en) | Power stabilizer | |
| KR102234526B1 (en) | SoC Management System and Method using Frequency Control and Adaptive Control at ESS Interfacing Generation Plant | |
| KR101800501B1 (en) | Power Controlling System for Controlling Division Operation of Plurality of Energy Storage System and Division Operation Method for Plurality of Energy Storage System | 
| Date | Code | Title | Description | 
|---|---|---|---|
| A201 | Request for examination | ||
| PA0109 | Patent application | St.27 status event code:A-0-1-A10-A12-nap-PA0109 | |
| PA0201 | Request for examination | St.27 status event code:A-1-2-D10-D11-exm-PA0201 | |
| PN2301 | Change of applicant | St.27 status event code:A-3-3-R10-R13-asn-PN2301 St.27 status event code:A-3-3-R10-R11-asn-PN2301 | |
| D13-X000 | Search requested | St.27 status event code:A-1-2-D10-D13-srh-X000 | |
| D14-X000 | Search report completed | St.27 status event code:A-1-2-D10-D14-srh-X000 | |
| P22-X000 | Classification modified | St.27 status event code:A-2-2-P10-P22-nap-X000 | |
| E902 | Notification of reason for refusal | ||
| PE0902 | Notice of grounds for rejection | St.27 status event code:A-1-2-D10-D21-exm-PE0902 | |
| PG1501 | Laying open of application | St.27 status event code:A-1-1-Q10-Q12-nap-PG1501 | |
| P11-X000 | Amendment of application requested | St.27 status event code:A-2-2-P10-P11-nap-X000 | |
| P13-X000 | Application amended | St.27 status event code:A-2-2-P10-P13-nap-X000 | |
| E701 | Decision to grant or registration of patent right | ||
| PE0701 | Decision of registration | St.27 status event code:A-1-2-D10-D22-exm-PE0701 | |
| PR0701 | Registration of establishment | St.27 status event code:A-2-4-F10-F11-exm-PR0701 | |
| PR1002 | Payment of registration fee | St.27 status event code:A-2-2-U10-U11-oth-PR1002 Fee payment year number:1 | |
| PG1601 | Publication of registration | St.27 status event code:A-4-4-Q10-Q13-nap-PG1601 | |
| FPAY | Annual fee payment | Payment date:20191001 Year of fee payment:4 | |
| PR1001 | Payment of annual fee | St.27 status event code:A-4-4-U10-U11-oth-PR1001 Fee payment year number:4 | |
| PR1001 | Payment of annual fee | St.27 status event code:A-4-4-U10-U11-oth-PR1001 Fee payment year number:5 | |
| S14-X000 | Exclusive voluntary license recorded | St.27 status event code:A-4-4-S10-S14-lic-X000 | |
| PR1001 | Payment of annual fee | St.27 status event code:A-4-4-U10-U11-oth-PR1001 Fee payment year number:6 | |
| R18-X000 | Changes to party contact information recorded | St.27 status event code:A-5-5-R10-R18-oth-X000 | |
| PR1001 | Payment of annual fee | St.27 status event code:A-4-4-U10-U11-oth-PR1001 Fee payment year number:7 | |
| R18-X000 | Changes to party contact information recorded | St.27 status event code:A-5-5-R10-R18-oth-X000 | |
| PR1001 | Payment of annual fee | St.27 status event code:A-4-4-U10-U11-oth-PR1001 Fee payment year number:8 | |
| PR1001 | Payment of annual fee | St.27 status event code:A-4-4-U10-U11-oth-PR1001 Fee payment year number:9 | |
| PR1001 | Payment of annual fee | St.27 status event code:A-4-4-U10-U11-oth-PR1001 Fee payment year number:10 |