



본 발명은 전기영동 나노입자, 그 제조방법 및 전기영동 나노입자에 관한 것으로서, 보다 구체적으로는 표면에 고분자가 그라프팅된 나노사이즈의 전기영동 입자 및 그 제조방법, 그리고 이를 포함하는 전기영동 나노입자 분산용액에 관한 것이다.
The present invention relates to electrophoretic nanoparticles, a method for producing the same, and electrophoretic nanoparticles. More particularly, the present invention relates to nano-sized electrophoretic particles in which a polymer is grafted on a surface, a method for producing the same, and electrophoretic nanoparticles To a dispersion solution.
최근, 에너지 손실을 최소화하기 위한 에코 창문, 자동차용 룸미러, 스크린 및 전시용 윈도우 패널 등에 빛의 투과와 차단을 용이하게 제어할 수 있는 시스템이 급속히 채택되어 사용되기 시작하였다. 이들 기술은 스마트 윈도우(smart window)라고 불리우며 전압, 열, 빛 등을 가하여 빛의 투과율을 가변적으로 제어할 수 있는 기능을 갖춘 차세대 기능성 소재로 각광받고 있다.
In recent years, a system capable of easily controlling the transmission and blocking of light to eco windows, automobile room mirrors, screens, and display window panels has been rapidly adopted and used to minimize energy loss. These technologies are called smart windows and they are attracting attention as a next generation functional materials with the ability to control the transmittance of light by varying voltage, heat, and light.
현재까지 개발된 스마트 윈도우의 구현방식으로는 분극입자방식, 액정방식, 전기변색(Electo-cromic) 방식, 광 변색(Photo-cromic) 방식, 열 변색(Thermo-chromic)방식 등이 보고되고 있으며, 이 가운데 전기적으로 빛의 투과율을 제어하는 전기 변색 소자(electro-chromic device, ECD)가 대표적이다. ECD의 구동방식은 바이올로겐(Viologen)과 같은 유기물의 전기적 산화-환원에 따른 색차를 이용하는 방식과 WO3, MoO3등과 같은 무기물을 증착하여 투과율을 조절하는 방식으로 구분할 수 있다.
Electro-cromic, photo-cromic, and thermo-chromic methods have been reported as the implementation methods of smart windows developed to date. Electrochromic devices (ECD), which control the transmittance of light electrically, are typical examples. The driving method of the ECD can be classified into a method using a chrominance due to the electrical oxidation-reduction of an organic material such as a viologen and a method of controlling the transmittance by depositing inorganic materials such as WO3 and MoO3 .
특히, 유기물의 전기적 산화-환원에 따른 색차방식 기술의 경우, 1982년 미국 Gentex사가 자동차 후면경의 반사율을 조절 (US patent 4,443,057)함으로써 스마트 윈도우시장에서 보다 확대되었는데, 현재도 ECD 기술이 자동차에 적용되는 전세계 시장규모는 2조원/년이며 년간 성장률은 20%로 예측되고 있는 고성장 산업으로 성장중이다. 그러나 ECD 분야는 Gentex사가 거의 독점하고 있기 때문에 후발주자들의 기술진입이 매우 어려운 상태이며, 바이오로겐 유도체의 경우 유기물이기 때문에 내후성이 약할 뿐만 아니라 산화-환원 응답속도가 느린 단점들을 가지고 있어 갑자기 터널에 진입할 경우 그 기능을 발휘할 수 없다는 한계가 존재한다.
In particular, in the case of chromatic aberration due to the electrical oxidation and reduction of organic materials, Gentex in the USA adjusted the reflectivity of the back side of the automobile (US Patent 4,443,057) in 1982, which was further expanded in the smart window market. The global market size is 2 trillion won / year, and it is growing into a high-growth industry with a growth rate of 20% per year. However, since Gentex has almost monopolized the ECD field, it is very difficult for the downstream customers to enter the technology. In the case of the biologen derivative, it is not only weak in weatherability but also has a slow oxidation-reduction response speed. There is a limitation that it can not exert its function when it enters.
이에 M. Winter와 R. K. Reich는 전기변색원리를 이용한 반사율 조절 후면경의 느린 응답속도를 개선하기 위해 반사형 전기영동 나노입자가 함입된 마이크로캡슐(Microcapsule)을 이용한 특허를 개시한바 있었다(US 특허공보 6,014,247). 다만 상기 특허는 반사형 나노입자의 전기장의 여부에 따라 빠른 응답속도를 구현할 수는 있었으나, 입자의 응집 및 분산을 이용하였기 때문에 반사된 이미지의 흐림(haze)현상을 피할 수 없어 상용화되지는 못하였다.
M. Winter and RK Reich disclosed a patent using microcapsules containing reflection type electrophoretic nanoparticles to improve the slow response speed of the reflectance control rear surface using the electrochromic principle (US Pat. No. 6,014,247 ). However, although the above-mentioned patent could realize a fast response speed depending on the electric field of the reflection type nanoparticles, since it utilizes the agglomeration and dispersion of the particles, the haze phenomenon of the reflected image can not be avoided and it is not commercialized .
한편, 스마트 윈도우의 또 다른 구현 방법으로는 전기영동 나노입자를 이용한 색 가변기술 방식이 존재한다. 전기 영동 나노입자에 의한 색 가변 기술은 고 비점 유기 메트릭스 내 전하를 뛴 검은색 나노입자를 미세 패턴된 ITO 전극사이에 주입하고, 전압을 인가하면 검은색 나노입자가 분산된 상태에서 패턴된 전극면적으로 이동, 빛의 투과도를 조절하는 원리이다. 현재까지 합성된 전기영동나노 입자 제조의 경우 반사형 디스플레이의 일종인 전자종이(E-paper)에 집중적으로 적용되어 왔다.
On the other hand, there is a color variation technique using electrophoretic nanoparticles as another implementation method of smart window. The color variation technique using electrophoretic nanoparticles is a technique of injecting black nano particles having charge in a high boiling organic matrix between fine ITO electrodes, To control the transmission of light. In the case of electrophoretic nanoparticles synthesized to date, it has been applied to electronic paper (E-paper), which is a type of reflective display.
최근, 대한 민국 공개특허 제10-2013-0054975호에서 미세패턴이 포함된 거울전극과 투명전극으로 이뤄진 셀에 전기습윤(electrowetting) 물질, 콜레스테릭(cholestertic)액정 물질, 전기영동(electrophoresis) 물질 등이 충진 되어 있는 반사도 조절 장치가 공개된 바 있으나, 상기 특허는 반사도 조절 장치자체의 구동방법에 관한 것일 뿐, 충진물질의 제조 및 특징에 관해서는 기술적으로 언급하지 않고 있다.
Recently, Korean Patent Laid-Open Publication No. 10-2013-0054975 discloses a method of manufacturing an electrowetting material, a cholestertic liquid crystal material, an electrophoresis material, And the like. However, the above-mentioned patent relates to a driving method of the reflectivity adjusting device itself, but does not mention the manufacturing and characteristics of the filling material technically.
광 투과율을 자동적으로 조절 가능한 장치에 적용할 수 있는 나노입자들은 빛을 흡수할 수 있는 흑색 나노입자가 단독으로 존재해야 하며, 저농도에서의 우수한 분산안정성, 분산 매질의 높은 저항값 등이 확보되어야 하므로 전자종이에 적용되는 것과는 다른 기술이 요구된다.
The nanoparticles that can be applied to an apparatus that can automatically adjust the light transmittance must have black nanoparticles capable of absorbing light alone, and have excellent dispersion stability at a low concentration and a high resistance value of a dispersion medium A technique different from that applied to electronic paper is required.
대표적인 흑색 전기영동 나노입자로는 빛의 흡수도가 우수한 카본블랙을 들수 있으나, 카본블랙 나노입자는 입자 고유의 전기전도도를 가지고 전압을 인가 할 경우 전기 전도의 통로로 작용하여 전기에너지 소비의 원인이 된다. 또한 대부분의 카본블랙입자는 수십 나노미터 사이즈의 1차 카본입자들이 수백 나노미터 이상의 집합체(agglomerates)로 되어 있어 가시광선과 산란에 의한 선명도가 떨어지는 단점을 가지고 있다.
Typical black electrophoretic nanoparticles include carbon black, which has excellent light absorbance. However, carbon black nanoparticles have inherent electrical conductivity, which acts as a conduction path for electrical conduction when voltage is applied, do. In addition, most of the carbon black particles have a disadvantage in that the primary carbon particles having a size of several tens of nanometers are agglomerates of several hundred nanometers or more, resulting in poor visibility due to visible light and scattering.
이에 본 발명은 전기영동 나노입자의 입자 고유저항을 높게 하여 전기영동 셀의 소비전력을 최소화 할 뿐만 아니라 우수한 분산성을 갖고, 가시광선의 산란을 최소화하여 선명한 이미지의 반사가 가능한 나노사이즈의 전기영동 입자를 제공하는 것을 목적으로 한다.
Accordingly, it is an object of the present invention to provide a nano-sized electrophoretic particle capable of minimizing the power consumption of the electrophoresis cell by increasing the particle resistivity of the electrophoretic nanoparticle and having excellent dispersibility and minimizing the scattering of visible light, And to provide the above-mentioned objects.
상기 과제를 해결하기 위한 본 발명의 바람직한 제 1 구현예는 산질화티탄 입자; 및 상기 산질화티탄 입자의 표면에 그라프팅된, 양이온성 작용기를 포함하는 아크릴계 고분자 또는 음이온성 작용기를 포함하는 아크릴계 고분자를 포함하고, 평균 입경이 10 내지 200nm인 전기영동 나노입자이다.In order to solve the above-described problems, a first preferred embodiment of the present invention is a titanium nitride oxide particle; And an acrylic polymer including a cationic functional group or an acrylic polymer including an anionic functional group, which is grafted onto the surface of the titanium oxynitride particle, and has an average particle diameter of 10 to 200 nm.
본 발명에 따른 바람직한 제 2 구현예는 (a) 산질화티탄 입자 표면을 3-(트리메톡시실릴)프로필 메타크릴레이트, 3-(트리에톡시실릴)프로필 메타크릴레이트 및 3-(트리메톡시실릴)프로필 아크릴레이트를 포함하는 군으로부터 선택된 1종 이상의 아크릴계 결합제로 처리하여 표면처리된 산질화티탄 입자를 얻는 단계; 및 (b) 용매하에서 (ⅰ) 상기 (a)단계에서 얻은 표면처리된 산질화티탄 입자, (ⅱ) 양이온성 작용기를 포함하는 이온성 단량체 또는 음이온성 작용기를 포함하는 이온성 단량체 및 (ⅲ) 에틸렌성 불포화 이중결합을 포함하는 단량체를 반응시키는 단계를 포함하는 전기영동 나노입자의 제조방법이다.In a second preferred embodiment of the present invention, there is provided a method for producing a titanium oxide thin film, comprising the steps of: (a) coating a surface of a titanium oxynitride particle with 3- (trimethoxysilyl) propyl methacrylate, 3- (triethoxysilyl) propyl methacrylate and 3- (Meth) acrylate) to obtain a titanium oxynitride surface-treated by treatment with at least one acrylic coupling agent selected from the group consisting of And (b) a surface-treated titanium oxynitride particle obtained in the step (a), (ii) an ionic monomer containing a cationic functional group or an ionic monomer containing an anionic functional group, and (iii) And reacting a monomer containing an ethylenically unsaturated double bond.
또한, 본 발명에 따른 바람직한 제 3 구현예는 비극성 용매; 및 상기 비극성 용매 100중량부 대비 상기 제 1 구현예의 전기영동 나노입자 0.1 내지 20중량부를 포함하는 전기영동 나노입자 분산액이다.Also, a third preferred embodiment according to the present invention is a nonpolar solvent; And 0.1 to 20 parts by weight of the electrophoretic nanoparticles of the first embodiment relative to 100 parts by weight of the non-polar solvent.
나아가 본 발명에 따른 바람직한 제 4 구현예는 상기 제 3 구현예에 의한 전기영동 나노입자 분산액을 포함하는 전기영동 셀을 구비한 스마트 윈도우이다.
Further, a fourth preferred embodiment according to the present invention is a smart window having an electrophoresis cell including the electrophoretic nanoparticle dispersion according to the third embodiment.
전류구동으로 산환-환원의 화학적 색차를 나타내는 바이올로겐을 기반으로 하는 전기변색소재와 비교하여 본 발명에 따른 전기영동 나노입자의 경우 투과도 조절 메카니즘이 전기장에 의해서 물리적으로 이루어지므로 장기 구동안정성이 현저히 우수하다. 또한, 자동차 후면경 뿐만 아니라 변색유리, 에너지 절약형 열효율 유리, 태양전지와의 하이브리드 제품 등 고부가가치의 경쟁력 있는 차세대 특수유리인 스마트 윈도우에 적용될 수 있다.
The electrophoretic nanoparticle according to the present invention is physically realized by the electric field in the case of the electrophoretic nanoparticle according to the present invention in comparison with the viologen-based electrochromic material showing the chemical color difference of redox-reduction by current driving, great. In addition, it can be applied to smart window, which is a next-generation special glass with high value added, such as discoloration glass, energy-saving heat-efficiency glass, and hybrid product with solar cell.
도 1은 본 발명의 실시예 1에 따라 표면에 고분자가 그라프팅된 전(좌)/후(우)의 산질화티탄블랙입자를 나타내는 전자현미경 사진이다.
도 2는 본 발명의 실시예 1에 따라 제조된 전기영동 구동셀의 On/Off 상태를 나타내는 사진이다.
도 3은 본 발명의 실시예 1에 따라 제조된 전기영동 구동셀의 On/Off 상태의 반사율을 나타내는 그래프이다.
도 4는 본 발명의 전기영동 나노입자 분산액이 충전된 전기영동 셀을 포함하는 광 반사율 조절장치의 구조를 나타내는 개략도이다.BRIEF DESCRIPTION OF THE DRAWINGS FIG. 1 is an electron micrograph showing the titanium black particles before (left) and after (right) in which polymers are grafted on the surface according to Example 1 of the present invention. FIG.
 2 is a photograph showing on / off states of an electrophoretic driving cell manufactured according to Example 1 of the present invention.
 3 is a graph showing the reflectance of the electrophoretic driving cell manufactured according to the first embodiment of the present invention in an On / Off state.
 4 is a schematic view showing the structure of a light reflectance adjusting device including an electrophoresis cell filled with the electrophoretic nanoparticle dispersion of the present invention.
고유저항이 높은 전기영동 나노입자에 대하여 예의 연구한 결과, 산질화티탄블랙 표면에 양이온 그룹 혹은 음이온 그룹이 포함된 고분자가 그라프팅 될 경우 비극성 용매에 분산 안정성이 뛰어나고, 이러한 전기영동 나노입자를 포함한 분산액을 전기영동 셀에 주입하여 사용할 경우 인가전압 여부에 따른 반사도 조절능력이 특히 뛰어나다는 사실을 발견하고 본 발명을 완성하였다.
As a result of intensive studies on electrophoretic nanoparticles having high resistivity, it has been found that when a polymer containing a cationic group or an anionic group is grafted on the titanium oxynitride black surface, dispersion stability in a nonpolar solvent is excellent, The inventors of the present invention have found that the use of a dispersion liquid for injecting an electrophoretic cell is particularly effective in controlling the reflectivity according to the applied voltage.
이에 본 발명의 일 양태에 따르면, 산질화티탄 입자; 및 상기 산질화티탄 입자의 표면에 그라프팅된, 양이온성 작용기를 포함하는 아크릴계 고분자 또는 음이온성 작용기를 포함하는 아크릴계 고분자를 포함하고, 평균 입경이 10 내지 200nm인 전기영동 나노입자를 제공할 수 있다.
Thus, according to one aspect of the present invention, titanium oxynitride particles; And electrophoretic nanoparticles comprising an acrylic polymer containing a cationic functional group or an acrylic polymer containing an anionic functional group grafted to the surface of the titanium oxynitride particle and having an average particle diameter of 10 to 200 nm .
본 발명의 바람직한 양태에 따르면, 상기 전기영동 나노입자는 (a) 산질화티탄 입자 표면을 3-(트리메톡시실릴)프로필 메타크릴레이트, 3-(트리에톡시실릴)프로필 메타크릴레이트 및 3-(트리메톡시실릴)프로필 아크릴레이트를 포함하는 군으로부터 선택된 1종 이상의 아크릴계 결합제로 처리하여 표면처리된 산질화티탄 입자를 얻는 단계; 및 (b) 용매하에서 (ⅰ) 상기 (a)단계에서 얻은 표면처리된 산질화티탄 입자, (ⅱ) 양이온성 작용기를 포함하는 이온성 단량체 또는 음이온성 작용기를 포함하는 이온성 단량체 및 (ⅲ) 에틸렌성 불포화 이중결합을 포함하는 단량체를 반응시키는 단계를 포함하는 전기영동 나노입자의 제조방법으로부터 제조될 수 있다.
According to a preferred embodiment of the present invention, the electrophoretic nanoparticles comprise (a) a surface of a titanium oxynitride particle, wherein 3- (trimethoxysilyl) propyl methacrylate, 3- (triethoxysilyl) - (trimethoxysilyl) propyl acrylate to obtain a titanium oxynitride surface-treated by treating it with at least one acrylic coupling agent selected from the group consisting of And (b) a surface-treated titanium oxynitride particle obtained in the step (a), (ii) an ionic monomer containing a cationic functional group or an ionic monomer containing an anionic functional group, and (iii) Reacting a monomer containing an ethylenically unsaturated double bond with a monomer containing an ethylenically unsaturated double bond.
본 발명에서 상기 (a)단계는 산질화 티탄입자 표면에 고분자를 용이하게 그라프팅시키기 위한 단계로서 입자표면에 라디칼 중합이 가능한 관능기를 도입하는 단계이다. 상기 3-(트리메톡시실릴)프로필 메타크릴레이트, 3-(트리에톡시실릴)프로필 메타크릴레이트 및 3-(트리메톡시실릴)프로필 아크릴레이트를 포함하는 군으로부터 선택된 1종 이상의 아크릴계 결합제는 산질화티탄 입자 표면의 수산기와 반응할 수 있는 알킬옥시실릴 그룹을 가지고 있어 산 혹은 염기 조건에서 용이하게 산질화티탄 입자와 결합을 이룰 수 있다. 또한, 이들 아크릴계 결합제는 분자내 라디칼 중합이 가능한 (메타)아크릴 관능기를 동시에 가지고 있어 후술하는 이온성 단량체와 반응하여 궁극적으로 산질화 티탄 입자 표면에 고분자 그라프팅이 가능하게 된다.
In the present invention, the step (a) is a step for easily grafting the polymer onto the surface of the titanium oxynitride particle, and is a step of introducing a functional group capable of radical polymerization to the particle surface. The at least one acrylic binder selected from the group consisting of 3- (trimethoxysilyl) propyl methacrylate, 3- (triethoxysilyl) propyl methacrylate and 3- (trimethoxysilyl) propyl acrylate is And has an alkyloxysilyl group capable of reacting with the hydroxyl group on the surface of the titanium oxynitride particle, so that it can be easily bonded to the titanium oxynitride particle in the acid or base condition. These acrylic binders also have a (meth) acrylic functional group capable of intramolecular radical polymerization, so that they can react with ionic monomers described later, and ultimately enable polymer grafting on the surface of titanium oxynitride particles.
본 발명의 바람직한 양태에 따르면, 상기 산질화티탄은 백색의 산화티탄을 고온에서 암모니아와 질화환원반응에 의해서 제조된다(하기 화학 반응식1 참조). 이와 같이 제조된 산질화티탄은 일반적으로 화장품의 마스카라, 복사기 롤라 부품, LCD칼라필터의 블랙메트릭스 등에 사용된다. 블랙안료의 대명사인 카본블랙과 비교할 경우, 카본블랙은 붉은 톤의 검정색을 띠고 있지만 산질화티탄은 청색 톤의 검정색을 띠고 있다는 것이 특징이다.
According to a preferred embodiment of the present invention, the titanium oxynitride is produced by nitriding a white titanium oxide with ammonia at a high temperature (see the following chemical reaction formula 1). The titanium oxynitride thus produced is generally used for cosmetics such as mascara, copier roller parts, black matrixes for LCD color filters and the like. Compared with carbon black, which is synonymous with black pigments, carbon black has a reddish black color, but titanium oxynitride has a blue-toned black color.
즉, 카본블랙은 수십 나노미터 사이즈의 카본입자들이 수백 나노미터 이상의 집합체(agglomerates)를 이루고 있어 가시광선과 산란에 의한 선명도가 떨어질 수 있으나, 청색 톤의 산질화티탄블랙은 가시광선의 산란을 최소화 하여 이미지의 선명한 반사는 물론, 고유저항이 높아 전기영동 셀의 소비전력을 최소화 할 수 있다.In other words, the carbon black having a size of several tens of nanometers may aggregate agglomerates of several hundred nanometers or more, and the sharpness due to visible light and scattering may be lowered. However, the titanium black oxide, which is a blue tone, And the power consumption of the electrophoresis cell can be minimized.
(화학 반응식 1) (Chemical reaction formula 1)
본 발명의 산질화티탄은 사이즈는 10 내지 200nm사이즈를 갖는 통상의 산질화티탄 나노입자라면 종류에 제한하지 않으며 표면에 SiO2에 의해서 피복된 산질화티탄 나노입자를 적용하는 것도 가능하다. 상업화된 산질화티탄은 일본 미쯔비시(Mitsubishi) 전자재료화학의 12S, 16M, 13M, 13M-C, 그리고 13M-T 등이 용이하게 사용될 수 있다.
The titanium oxynitride of the present invention is not limited to the usual titanium oxynitride nanoparticles having a size of 10 to 200 nm in size, but it is also possible to apply titanium oxynitride nanoparticles coated on the surface with SiO2 . Commercially available titanium oxynitride can be readily used such as 12S, 16M, 13M, 13M-C, and 13M-T of Mitsubishi Electric Materials Chemistry, Japan.
또한, 본 발명의 바람직한 양태에 따르면, 상기 산질화티탄 입자 표면에 그라프팅된 고분자는 용매에 대한 분산 안정성과 전기영동 속도를 고려하여 분자량(Mw)을 300 내지 100,000 범위 이내로 적절히 제어하는 것이 바람직할 수 있다. 분자량의 제어방법과 관련하여서는 당업자가 인지하고 있는 다양한 방법을 통해 가능하며 그에 한정이 있는 것은 아니다.
According to a preferred embodiment of the present invention, it is preferable that the polymer grafted on the surface of the titanium oxynitride particle has a molecular weight (Mw) controlled within a range of 300 to 100,000 in consideration of dispersion stability to a solvent and electrophoretic velocity . The method of controlling the molecular weight is possible through various methods recognized by those skilled in the art, and is not limited thereto.
본 발명의 바람직한 양태에 따르면, 본 발명의 전기영동 나노입자는 입자표면에 그라프팅된 고분자의 관능기(functional group)에 크게 영향을 받는다. 즉, 입자표면에 그라프팅된 고분자의 이온성 그룹이 전하를 갖게 되면, 전기영동 나노입자는 표면이 대전상태가 높아짐에 따라 전기장에 대한 민감도가 증하하게 되고, 결과적으로 낮은 구동전압에서도 높은 응답속도를 나타낼 수 있게 된다. 또한, 입자 표면에 전하량이 보다 많이 존재할수록 전기영동 속도가 더욱 향상될 수 있다.
According to a preferred embodiment of the present invention, the electrophoretic nanoparticles of the present invention are greatly influenced by the functional group of the polymer grafted on the particle surface. That is, when the ionic group of the grafted polymer on the surface of the particles has a charge, the electrophoretic nanoparticles increase in sensitivity to the electric field as the surface of the electrophoretic nanoparticles becomes higher in charge state. As a result, . ≪ / RTI > In addition, the greater the amount of charge on the particle surface, the more the electrophoresis rate can be improved.
본 발명에서 상기 고분자가 양이온성 작용기를 포함하는 아크릴계 고분자일 경우, 상기 고분자는 아미노기를 포함하는 단량체 및 4급 암모늄 염을 포함하는 단량체 중 선택된 적어도 하나의 양이온성 단량체로부터 유도된 아크릴계 고분자인 것이 바람직하다.
In the present invention, when the polymer is an acrylic polymer containing a cationic functional group, the polymer is preferably an acrylic polymer derived from at least one cationic monomer selected from monomers including an amino group and monomers including a quaternary ammonium salt Do.
이때, 상기 아미노기를 포함하는 양이온성 단량체는 N-메틸아미노에틸 (메타)아크릴레이트, N-에틸아미노에틸 (메타)아크릴레이트, N,N-디메틸아미노에틸 (메타)아크릴레이트, N.N-디에틸아미노에틸 (메타)아크릴레이트, N,N-디부틸아미노에틸 아크릴레이트, N,N-디-t-부틸아미노에틸 아크릴레이트, 2-N-피페리딜에틸 (메타)아크릴레이트, N-페닐아미노에틸 메타크릴레이트, N,N-디페닐아미노에틸 메타크릴레이트, 디메틸아미노 스타이렌, N-페닐아미노에틸 스타이렌, 디메틸아미노에톡시 스타이렌, 디페닐아미노에틸 스타이렌, 2-비닐피리딘, 4-비닐피리딘, 2-비닐-6-메틸피리딘 및 알릴아민으로 이루어진 군으로부터 선택된 1 종 이상인 것일 수 있다.
The cationic monomer containing the amino group may be selected from the group consisting of N-methylaminoethyl (meth) acrylate, N-ethylaminoethyl (meth) acrylate, N, N-dimethylaminoethyl (Meth) acrylate, N, N-dibutylaminoethyl acrylate, N, N-di-t-butylaminoethyl acrylate, 2- Aminoethylmethacrylate, N, N-diphenylaminoethyl methacrylate, dimethylaminostyrene, N-phenylaminoethylstyrene, dimethylaminoethoxystyrene, diphenylaminoethylstyrene, 2-vinylpyridine, 4-vinylpyridine, 2-vinyl-6-methylpyridine, and allylamine.
또한, 상기 4급 암모늄 염을 포함하는 양이온성 단량체는 하기 화학식 1로 표현되는 화학구조를 갖는 것일 수 있다.The cationic monomer containing the quaternary ammonium salt may have a chemical structure represented by the following formula (1).
(화학식 1)(Formula 1)
이때, 상기 R1 는 수소원자 또는 메틸기, R2는 탄소수 2 내지 4의 알킬렌기, R3는 탄소수 10 내지 18의 알킬기, R4는 탄소수 1 내지 2의 알킬기, 및 X는 염소, 브롬 및 요오드 원자 중 어느 하나이다. 다만, 상기 구조식으로 대표되는 4급 암모늄염을 가지고 있는 단량체는 극성 그룹을 가지고 있어 전기영동 구동 셀의 비극성 용매에 분산성이 떨어질 수 있기 때문에 R3는 탄소수 10 내지 18인 장쇄의 알킬기를 가지는 것이 보다 바람직하다.
Wherein R1 is a hydrogen atom or a methyl group, R2 is an alkylene group having 2 to 4 carbon atoms, R3 is an alkyl group having 10 to 18 carbon atoms, R4 is an alkyl group having 1 to 2 carbon atoms, and X is chlorine, bromine and iodine Atoms. However, since the monomer having a quaternary ammonium salt represented by the structural formula has a polar group, the dispersibility of the non-polar solvent in the electrophoretic driving cell may deteriorate. Therefore, it is preferable that R3 has a long chain alkyl group having 10 to 18 carbon atoms desirable.
한편, 본 발명에서 상기 고분자가 음이온성 작용기를 포함하는 아크릴계 고분자일 경우, 상기 고분자는 하이드록시기, 카르복실기, 설포닐기 및 포스포닐기 중 적어도 하나의 작용기를 포함하는 음이온성 단량체로부터 유도된 고분자인 것일 수 있다.
In the present invention, when the polymer is an acrylic polymer containing an anionic functional group, the polymer is a polymer derived from an anionic monomer containing at least one functional group selected from a hydroxyl group, a carboxyl group, a sulfonyl group and a phosphonyl group Lt; / RTI >
이때, 상기 하이드록시기를 포함하는 음이온성 단량체는 하이드록시 스타이렌이고, 카르복실기를 포함하는 음이온성 단량체는 (메타)아크릴 산, 말레익 산, 무수말레익 산, 이타코닉산, 무수 이타코닉산, 푸마릭산, 신나믹산, 크로토닉산, 비닐벤조익산, 2-메타크릴옥시에틸 석시네이트, 2-메타크릴옥시에틸 말레이트, 2-메타크릴옥시에틸 헥사하이드로프탈레이트 및 2-메타크릴옥시에틸 트리멜리테이트로 이루어진 군으로부터 선택된 1종 이상인 것이고, 상기 설포닐기를 갖는 단량체는 비닐설포닉산, 알릴설포닉산, 스타이렌설포닉산, 2-설포에틸 메타크릴레이트 및 2-아크릴아마이드-2-메틸프로판설포닉산으로 이루어진 군으로부터 선택된 1종 이상인 것이며, 상기 포스포닐기를 갖는 단량체는 3-클로로아마이드포스폭시프로필 메타크릴레이트 및 2-메타크릴옥시에틸 산 포스페이트로 이루어진 군으로부터 선택된 1종 이상일 수 있다.
Here, the anionic monomer containing a hydroxy group is hydroxystyrene, and the anionic monomer containing a carboxyl group is a (meth) acrylic acid, a maleic acid, a maleic anhydride, an itaconic acid, an itaconic anhydride, Fumaric acid, cinnamic acid, crotonic acid, vinylbenzoic acid, 2-methacryloxyethyl succinate, 2-methacryloxyethyl maleate, 2-methacryloxyethyl hexahydrophthalate and 2- methacryloxyethyl trimellitate And the monomer having a sulfonyl group is at least one selected from the group consisting of vinylsulfonic acid, allylsulfonic acid, styrenesulfonic acid, 2-sulfoethyl methacrylate, and 2-acrylamide-2-methylpropanesulfonic acid , And the monomer having a phosphonyl group is at least one selected from the group consisting of 3-chloroamidopropyl methacrylate and 2- It may be at least one member selected from the group consisting of methacrylic oxyethyl acid phosphate.
아울러, 본 발명의 바람직한 양태에 따르면, 상기 (b)단계에 투입되는 에틸렌성 불포화 이중결합을 포함하는 단량체는 2-에틸헥실 (메타)아크릴레이트, 옥틸 (메타)아크릴레이트, 노닐 (메타)아크릴레이트, 데실 (메타)아크릴레이트, 라우릴 (메타)아크릴레이트, 스테아릴 (메타)아크릴레이트, 비닐 라우레이트, 메틸 (메타)아크릴레이트, 에틸 (메타)아크릴레이트, 부틸 (메타)아크릴레이트, 헥실 (메타)아크릴레이트, 시클로헥실 (메타)아크릴레이트, 벤질 (메타)아크릴레이트, 페닐 (메타)아크릴레이트, 스타이렌, 비닐톨루엔, 비닐 아세테이트, 디비닐벤젠, 에틸렌 글리콜 디(메타)아크릴레이트, 디에틸렌글리콜 디(메타)아크릴레이트, 트리에틸렌글리콜 트리(메타)아크릴레이트, 부탄디올 디(메타)아크릴레이트, 1,6-헥산디올 디(메타)아크릴레이트, 트리메틸올프로판 트리(메타)아크릴레이트, 테트라메틸올메탄 트리(메타)아크릴레이트, 테트라메틸올메탄 테트라(메타)아크릴레이트, 디프로필렌글리콜 디(메타)아크릴레이트, 트리메틸올헥산 트리(메타)아크릴레이트, 펜타에리쓰리톨 테트라(메타)아크릴레이트, 1,3-디부틸렌글리콜 디(메타)아크릴레이트, 트리메틸올에탄 트리(메타)아크릴레이트, 3-[트리스(트리메틸실록시)실릴]프로필 메타크릴레이트, 실리콘오일프로필 메타크릴레이트 및 트리플로오르에틸 메타크릴레이트를 포함하는 군으로부터 선택된 1종 이상인 것일 수 있다.
According to a preferred embodiment of the present invention, the monomer containing an ethylenically unsaturated double bond to be added to the step (b) is selected from the group consisting of 2-ethylhexyl (meth) acrylate, octyl (meth) acrylate, (Meth) acrylate, stearyl (meth) acrylate, vinyl laurate, methyl (meth) acrylate, ethyl (meth) acrylate, butyl (meth) acrylate, (Meth) acrylate, styrene, vinyltoluene, vinyl acetate, divinylbenzene, ethylene glycol di (meth) acrylate, , Diethylene glycol di (meth) acrylate, triethylene glycol tri (meth) acrylate, butanediol di (meth) acrylate, 1,6-hexanediol di (Meth) acrylate, tetramethylolmethane tri (meth) acrylate, tetramethylolmethane tetra (meth) acrylate, dipropylene glycol di (meth) acrylate, trimethylolhexane tri , Trimethylol ethane tri (meth) acrylate, 3- [tris (trimethylsiloxy) silyl] propyl (meth) acrylate, pentaerythritol tetra At least one selected from the group consisting of acrylate, methacrylate, acrylate, methacrylate, acrylate, acrylate, methacrylate, triallylethylmethacrylate.
본 발명에서 상기 (b)단계의 반응은 중합개시제에 의해 반응이 시작되는 라디칼 반응인 것이며, 이로써 라디칼 중합이 가능한 관능기로 표면처리된 산질화티탄 입자의 표면이 결과적으로는 고분자가 그라프팅된 구조를 갖게 되는 것이다.
In the present invention, the reaction in the step (b) is a radical reaction in which a reaction is initiated by a polymerization initiator. As a result, the surface of the titanium oxynitride particles surface-treated with a functional group capable of radical polymerization is consequently converted to a structure in which a polymer is grafted .
본 발명의 또 다른 양태에 따르면, 본 발명은 비극성 용매에 상술한 전기영동 나노입자가 포함된 분산용액을 제공한다. 산질화티탄 입자 표면에 고분자가 그라프팅된 본 발명의 전기영동 나노입자는 비극성 용매에 대해 우수한 분산안정성을 나타낸다.
According to another aspect of the present invention, there is provided a dispersion solution containing the electrophoretic nanoparticles described above in a non-polar solvent. The electrophoretic nanoparticles of the present invention in which polymers are grafted on the surface of titanium oxynitride exhibit excellent dispersion stability to nonpolar solvents.
특히, 본 발명의 바람직한 양태에 따르면, 상기 분산용액은 통상 요구되는 광학밀도(optical density, D=log(I0/I))인 2 내지 20을만족하기 위해 비극성 용매 100중량부 대비 본 발명의 전기영동 나노입자를 0.1 내지 20 중량부 포함할 수 있다. 이때, 산질화티탄 입자의 농도에 따라 광학밀도가 증가할 수 있으나, 0.1 중량부 미만을 포함하게 되면, 광학밀도가 지나치게 낮아 빛의 선택적 투과 혹은 반사 효과가 떨어지고, 20 중량부를 초과하게 되면 비극성 용매에 분산된 전기영도 나노입자 용액의 점도가 너무 높아져 전기영동 속도가 느려지는 문제가 발생할 수 있다.
Particularly, according to a preferred embodiment of the present invention, the dispersion solution has an optical density (D = log (I0 / I)) of usually 2 to 20 The electrophoretic nanoparticles of the present invention may be contained in an amount of 0.1 to 20 parts by weight based on 100 parts by weight of the non-polar solvent. At this time, the optical density can be increased according to the concentration of the titanium oxynitride particles. However, if the amount of the titanium oxide particles is less than 0.1 part by weight, the optical density is too low to selectively transmit or reflect light. When the amount exceeds 20 parts by weight, The viscosity of the electrophoretically dispersed nanoparticle solution may become too high and the electrophoresis speed may be slowed down.
본 발명의 바람직한 양태에 따르면, 상기 비극성 용매는 높은 전기절연 성질을 가지고 있으며, 용해도 상수(solubility parameter) δ가 14 내지 20 SI인 것이 누전 없이 전기영동을 용이하게 하는 측면에서 바람직하다.
According to a preferred embodiment of the present invention, the non-polar solvent has a high electrical insulating property, and a solubility parameter? Of 14 to 20 SI is preferable in view of facilitating electrophoresis without leakage.
이때, 상기 비극성 용매는 펜탄, 헥산, 햅탄, 옥탄, 노난, 데칸, 도데칸을 포함하는 탄화수소; 이소헥산, 이소옥탄, 이소도데칸을 포함하는 이소파라핀 탄화수소; 액상 파라핀을 포함하는 알킬 나프테닉 탄화수소; 벤젠, 톨루엔, 자일렌, 알킬벤젠을 포함하는 방향족 탄화수소; 솔벤트 납사; 디메틸 실리콘오일, 메틸페닐 실리콘오일, 디알킬실리콘 오일, 알킬페닐실리콘 오일, 사이클릭 폴리(디알킬실록산), 사이클릭 폴리(알킬페닐실록산)을 포함하는 실리콘 오일; 및 할로겐화 탄화수소 오일 중 선택된 적어도 하나인 것이 바람직하다.
The nonpolar solvent may include hydrocarbons including pentane, hexane, heptane, octane, nonane, decane and dodecane; Isopentane hydrocarbons including isohexane, isooctane and isododecane; Alkylnaphthenic hydrocarbons including liquid paraffins; Aromatic hydrocarbons including benzene, toluene, xylene, and alkylbenzene; Solvent naphtha; Silicone oils including dimethyl silicone oil, methylphenyl silicone oil, dialkyl silicone oil, alkylphenyl silicone oil, cyclic poly (dialkylsiloxane), cyclic poly (alkylphenylsiloxane); And a halogenated hydrocarbon oil.
본 발명의 바람직한 양태에 따르면, 상기 분산액은 분산된 전기 영동 산질화티탄 나노입자의 분산을 보다 용이하게 제어하기 위하여 비극성 용매 100 중량부 대비 0.1 내지 20중량부의 분산제를 추가적으로 포함할 수 있으며, 이때 상기 분산제제로는 디옥틸 소디움 설포석시네이트 (Aerosol OT), BYK-110, 161, 183, 또는 트윈(Tween), 스팬(Span), OLOA 계열(Chevron Oronite Inc. 제품), Ganex 계열 (ISP Inc.사 제품), Solspers 계열(Lubrizol Co. 사 제품)을 사용할 수 으나 이에 제한되지 않는다.
According to a preferred embodiment of the present invention, the dispersion may further comprise 0.1 to 20 parts by weight of a dispersant relative to 100 parts by weight of the non-polar solvent in order to more easily control the dispersion of the dispersed electrophoretic titanium oxynitride nanoparticles, Examples of the dispersing agent include dioctyl sodium sulfosuccinate (BYOS-110, 161, 183, or Tween, Span, OLOA series (manufactured by Chevron Oronite Inc.), Ganex series (ISP Inc.). , And Solspers series (manufactured by Lubrizol Co.).
본 발명에서 상기 전기영동 산질화티탄 나노입자 및 분산제의 경우, 이들을 비극성 용매에 투입하고 볼밀(ball mill), 샌드밀(sand mill), 초음파분산기(ultra sonificater), 호모게나이저(homogenizer), 아트리터(atriter) 등을 사용하여 분산시킬 수 있으며, 이에 제한되지 않고 통상적인 분산방법이라면 용이하게 적용가능하다.
In the present invention, in the case of the electrophoretic titanium oxynitride nanoparticles and the dispersant, they are added to a nonpolar solvent, and the mixture is dispersed in a ball mill, a sand mill, an ultrasonic disperser, a homogenizer, And can be dispersed by using an atriter or the like. However, the present invention is not limited thereto.
본 발명의 바람직한 양태에 따르면, 상기 분산액은 비저항이 107 Ω㎝이상인 것일 수 있다. 통상의 전기영동입자 분산액의 비저항이 106Ω㎝점을 감안할 경우, 본 발명의 전기영동 입자 분산액의 비저항이 높아 낮은 구동전압이 요구되며, 잔류 전류의 발생도 미미하여 불필요한 에너지 소모를 방지할 수 있는 효과를 얻을 수 있다.
According to a preferred embodiment of the present invention, the dispersion may have a resistivity of 107 ? Cm or more. Considering the specific resistivity of the electrophoretic particle dispersion of 106 Ω cm, the electrophoretic particle dispersion of the present invention has a high specific resistance and requires a low driving voltage. Also, since the generation of residual current is small, unnecessary energy consumption can be prevented Effect can be obtained.
이러한 특성에 따라, 본 발명의 상기 전기영동 (질산화티탄) 나노입자 분산액은 전기영동 셀에 충진하여 용이하게 사용될 수 있다. 특히, 전류의 흐름에 따라 반사도 조절이 가능한 광 반사율 조절장치, 즉, 스마트 윈도우에 포함된 전기영동 셀에 사용되는 것이 바람직하며, 가장 바람직하게는 자동차 후면경 및 보조경 중 적어도 하나에 적용될 수 있다. 이때, 상기 광 반사율 조절장치는 정보 입력부, 전원공급부 및 조사광 감지부를 추가적으로 구비하는 것이 바람직하다.
According to this characteristic, the electrophoretic (titanium oxynitrate) nano-particle dispersion of the present invention can be easily used by filling the electrophoresis cell. Particularly, it is preferable to use a light reflectance control device capable of adjusting the reflectance according to the current flow, that is, to be used in an electrophoresis cell included in a smart window, and most preferably to at least one of an automobile rear surface and an auxiliary light . The light reflectance adjusting device may further include an information input unit, a power supply unit, and an irradiating light sensing unit.
본 발명의 전기영동 나노입자 분산액을 포함하는 전기영동 셀을 구비한 스마트 윈도우의 구체적인 일예로, 본 발명의 전기영동 나노입자 분산액이 자동차 후면경에 적용될 경우, 자동차 후면경을 위한 전기영동셀의 구조는 하기 도 4와 같을 수 있다. 즉, 투명패턴전극층 및 반사패턴전극층 사이의 셀에 전기영동 산질화티탄 나노입자가 분산된 분산액이 주입되어 충진되는 구조를 갖는다. 자동차 후면경용 전기영동셀의 제조방법은 반드시 이에 제한되는 것은 아니나 다음과 같을 수 있다.
As a specific example of a smart window having an electrophoretic cell including the electrophoretic nanoparticle dispersion of the present invention, when the electrophoretic nanoparticle dispersion of the present invention is applied to the back surface of an automobile, the structure of the electrophoresis cell May be as shown in Fig. That is, there is a structure in which a dispersion liquid in which electrophoretic titanium oxynitride nanoparticles are dispersed is injected into a cell between the transparent pattern electrode layer and the reflection pattern electrode layer and filled. The manufacturing method of the rear-back electrophoresis cell of an automobile may be as follows.
광학적으로 투명한 상기 투명패턴전극층은 증착(sputtering) 방법, 진공 흡착법(vacuum deposition) 또는 CVD방법에 의해서 ITO, SnO2 또는 ZnO2:Al 를 증착하고 이후 포토리소(photolithogrphy) 공정에 의해서 패턴닝하여 제조한다. 또한, 상기 반사패턴 전극층은 거울역할을 하는 것으로서 은, 알루미늄, 몰리브데늄 등의 금속을 증착하여 70% 이상 반사율을 갖도록 하는 것이 바람직하다. 이때, 상기 각 층의 패턴닝은 직선형태이며 선폭은 5 내지 30 ㎛이며, 선간격은 30 내지 300㎛ 사이인 것이 바람직하다.
The optically transparent transparent pattern electrode layer is formed by depositing ITO, SnO2 or ZnO2 : Al by a sputtering method, a vacuum deposition method, or a CVD method, and then patterning by photolithogrphy processing do. In addition, the reflective pattern electrode layer serves as a mirror, and it is preferable to deposit a metal such as silver, aluminum, or molybdenum to have a reflectance of 70% or more. At this time, the patterning of each layer is linear, the line width is 5 to 30 mu m, and the line spacing is preferably 30 to 300 mu m.
투명패턴전극층과 반사패턴전극층 사이의 간격은 스페이서볼의 산포에 의해서 5 내지 30 ㎛로 조절하고, 기벽 엣지 실런트(edge sealant)처리를 하여 고정할 수 있다. 이렇게 제조된 전기영동 셀에 본 발명의 전기영동 질산화티탄 나노입자 분산액을 진공주입, 모세관 주입, 등에 의해서 주입하거나 ODF(one drop filling)방법에 의해서 충진한 다음 투명패턴전극과 반사패턴전극층층 사이에 1 내지 30V의 직류전압을 인가하면, 전류인가 여부에 따라 산질화티탄 나노입자는 전기영동 거동을 보이며 투명 패턴전극으로 모이도록 하거나 셀 내부에 확산되어 입사광의 반사율(또는 투과율)을 조절 할 수 있게 된다.
The gap between the transparent pattern electrode layer and the reflection pattern electrode layer can be adjusted to 5 to 30 탆 by dispersing the spacer balls and fixed by edge sealant treatment. The electrophoretic dispersion of titanium nano-sized titanium dioxide nanoparticles of the present invention was filled into the thus prepared electrophoresis cell by vacuum injection, capillary injection, or the like, or filled by an ODF (one drop filling) method, When a direct current voltage of 1 to 30 V is applied, the titanium oxynitride nanoparticles exhibit electrophoretic behavior depending on whether a current is applied or can be collected into a transparent pattern electrode or diffused into a cell to control the reflectance (or transmittance) do.
실시예Example
이하, 실시예를 통하여 본 발명을 더욱 상세히 설명 하고자 한다. 이들 실시예는 오로지 본 발명을 보다 구체적으로 설명하기 위한 것으로서, 이에 의해 본 발명이 한정되는 것은 아니다.
Hereinafter, the present invention will be described in more detail with reference to Examples. These examples are for the purpose of illustrating the present invention more specifically, and the present invention is not limited thereto.
실시예Example 1. One.
실시예Example 1-1. 아미노기를 포함하는 전기영동 1-1. Electrophoresis involving amino groups산질화티탄Titanium oxynitride 입자의 제조 Manufacturing of particles
교반기, 온도계, 환류기가 있는 500ml 반응기에 산질화티탄(일본, 전자재료화학 13MT, 10% 수용액) 30g을 에탄올 150ml에 가하고 교반한다. 아세틱산 7.5g과 3-(트리메톡시실릴)프로필 메타크릴레이트 25g을 가하고 24시간동안 반응한다. 반응생성물을 원심분리(3000rpm)에 의해서 회수하고 3회 에탄올에 의해서 세척하였다.
To a 500 ml reactor equipped with a stirrer, a thermometer and a reflux condenser was added 30 g of titanium oxynitride (Japan Electronics Technology, 13MT, 10% aqueous solution) to 150 ml of ethanol and stirred. 7.5 g of acetic acid and 25 g of 3- (trimethoxysilyl) propyl methacrylate were added and reacted for 24 hours. The reaction product was recovered by centrifugation (3000 rpm) and washed three times with ethanol.
반응기, 온도계, 환류기가 있는 또 다른 250ml 반응기에 톨루엔 80g을 가하고 3-(트리메톡시실릴)프로필 메타크릴레이트 표면 처리된 산질화티탄블랙 3g과 2-에틸헥실 아크릴레이트 5g, 알릴아민 1g을 넣고 중합개시제인 아조비스이소부티로나이트릴 0.5g을 가하여 70℃에서 6시간동안 질소분위기 하에서 반응하였다. 반응종료 후, 전기영동 산질화티탄을 얻기 위하여 고체 침전물을 톨루엔으로 씻고, 원심분리하고 이를 반복하였다. 최종 합성된 전기영동 산질화티탄을 70℃에서 시간동안 진공 건조하여 얻었다.
In another 250 ml reactor equipped with a reactor, a thermometer and a reflux condenser, 80 g of toluene was added, 3 g of titanium (III) oxide treated with 3- (trimethoxysilyl) propyl methacrylate, 5 g of 2-ethylhexyl acrylate and 1 g of allylamine 0.5 g of azobisisobutyronitrile as a polymerization initiator was added and the mixture was reacted at 70 DEG C for 6 hours under a nitrogen atmosphere. After completion of the reaction, the solid precipitate was washed with toluene to obtain electrophoresis titanium oxynitride, centrifuged and repeated. The finally synthesized electrophoretic titanium oxynitride was vacuum dried at 70 ° C for a time.
상시 실시예 1-1에 따라 제조된 고분자 그라프팅된 산질화티탄블랙은 전자현미경 사진 분석결과 도 1에서 확인할 수 있는 바와 같이 평균 150㎚ 의 입자경을 갖는 것으로 분석되었다.
The polymer grafted titanium oxynitride black prepared according to Example 1-1 at all times was analyzed by electron micrograph to have an average particle size of 150 nm as shown in Fig.
실시예Example 1-2. 1-2.산질화티탄Titanium oxynitride 입자를 이용한 전기영동 셀 제조 Preparation of electrophoresis cell using particles
합성된 전기영동 산질화티탄 나노입자를 초음파 분산에 의해서 분산제인 OLOA 11000 0.5 중량%가 포함된 비극성 솔벤트인 아소파 G(IsoparG)에 1.2%중량 분산하였다. 분산된 전기영동 산질화티탄블랙 분산을 캐필러리(capillary) 필링에 의해서 스트라이프 형태의 15㎛의 선폭과 85㎛의 선간격인 투명패턴전극과 반대전극의 은으로 증착된 거울층으로 셀 간격 20㎛로 구성된 셀에 주입하여, 하기 도 3과 같이 산질화티탄 분산액이 충진된 전기영동셀를 제조하였다.
The synthesized electrophoretic titanium oxynitride nanoparticles were 1.2% weight-dispersed by ultrasonic dispersion in a nonpolar solvent (Isopar G) containing 0.5% by weight of OLOA 11000 as a dispersing agent. The dispersed electrophoretic dispersion of titanium oxynitride black was subjected to capillary filling to form a 15 μm line width stripe-shaped transparent pattern electrode having a line spacing of 85 μm and a silver layer deposited on the opposite electrode, Mu] m to prepare an electrophoresis cell packed with a titanium oxynitride dispersion as shown in Fig.
실시예Example 2. 2.
실시예Example 2-1. 4급 암모늄염을 포함한 단량체 합성 2-1. Synthesis of monomers including quaternary ammonium salts
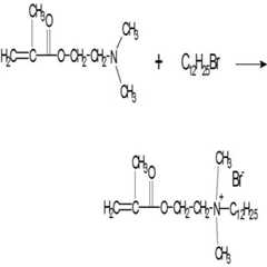
반응기, 온도계, 환류기가 있는 또 다른 250ml 반응기에 1-브로모도데칸(12.6g, 50.56 mmol)과 N,N-디메틸아미노에틸 메타크릴레이트(17.7g, 112.6mmol), 아세톤 100ml을 가하고 35 ℃로 가열하고 20시간동안 반응하였다(하기 화학 반응식 2 참조). 반응이 완료된 후 반응물은 로터리이베퍼레이터(rotary evaporator)의 감압하에서 아세톤을 제거하고 헥산을 가하여 결정을 얻었다. 얻어진 결정은 필터 및 건조하였고 13.6g의 4급암모늄을 포함한 단량체를 얻었으며, 4급 암모늄을 포함한 단량체의 H1-NMR에 의해서 그 구조를 확인하였다. 6.15 ppm과 5.70 ppm에서 methacryl proton에서 확인하였고 4.67ppm과 4.17ppm에서 ethylene proton과 3.52ppm에서 2개의 methyl proton, 3.59 ppm에서 methylene proton, 1.1~1.3 ppm에서 dodecyl group의 proton을 확인하였다.
Bromododecane (12.6 g, 50.56 mmol), N, N-dimethylaminoethyl methacrylate (17.7 g, 112.6 mmol) and acetone (100 ml) were added to another 250 ml reactor equipped with a stirrer, a thermometer and a reflux condenser, Heated and reacted for 20 hours (see reaction scheme 2 below). After the reaction was completed, acetone was removed from the reaction mixture under reduced pressure on a rotary evaporator, and hexane was added to obtain crystals. The obtained crystals were filtered and dried to obtain a monomer containing 13.6 g of quaternary ammonium. The structure was confirmed by the H1 -NMR of the monomer containing quaternary ammonium. It was confirmed in methacrylic proton at 6.15 ppm and 5.70 ppm, and proton of dodecyl group was confirmed at methyl proton at 3.59 ppm and methyl proton at 3.59 ppm and ethylene proton at 3.57 ppm and methyl proton at 3.52 ppm at 4.67 ppm and 4.17 ppm, respectively.
(화학 반응식 2)(Chemical reaction formula 2)
실시예Example 2-2. 전기영동 2-2. Electrophoresis산질화티탄블랙Titanium oxynitride black 입자 제조 Particle manufacturing
알릴아민 대신에 상기 실시예 2-1에서 합성한 4급 암모늄염 포함한 단량체를 동량(1g) 적용하는 것 이외에는 상기 실시예 1-1의 방법과 동일한 합성조건으로 전기영동 산질화티탄블랙을 제조하였다.Electrophoresis titanium oxynitride black was prepared under the same synthesis conditions as in Example 1-1 except that the same amount (1 g) of the monomer containing the quaternary ammonium salt synthesized in Example 2-1 was used instead of allylamine.
실시예Example 2-3. 2-3.산질화티탄Titanium oxynitride 입자를 이용한 전기영동 셀 제조 Preparation of electrophoresis cell using particles
상기 실시예 2-2에서 합성된 전기영동 산질화티탄블랙 입자를 초음파 분산에 의해서 분산제인 OLOA 11000 0.6 중량%가 포함된 비극성 솔벤트인 아소파 G(IsoparG)에 1.2%중량 분산하였다. 분산된 전기영동 산질화티탄블랙 분산을 캐필러리(capillary) 필링에 의해서 스트라이프 형태의 15㎛의 선폭과 85㎛의 선간격인 투명패턴전극과 반대전극의 은으로 증착된 거울층으로 셀 간격 20㎛로 구성된 셀에 주입하였다.
The electrophoretic titanium oxynitride black particles synthesized in Example 2-2 were subjected to 1.2% weight dispersion by ultrasonic dispersion in a nonpolar solvent (Isopar G) containing 0.6% by weight of OLOA 11000 as a dispersing agent. The dispersed electrophoretic dispersion of titanium oxynitride black was subjected to capillary filling to form a 15 μm line width stripe-shaped transparent pattern electrode having a line spacing of 85 μm and a silver layer deposited on the opposite electrode, Mu] m.
실시예Example 3. 3.
실시예Example 3-1. 3-1.음이온성Anionic 작용기를 포함한 전기영동 Electrophoresis including functional groups산질화티탄Titanium oxynitride 입자의 제조 Manufacturing of particles
알릴아민 대신에 메타크릴산 1.45g 적용하는 것 이외에는 상기 실시예 1-1의 방법과 동일한 합성조건으로 전기영동 산질화티탄블랙을 제조하였다.Except that 1.45 g of methacrylic acid was used instead of allylamine, electrophoresis titanium oxynitride black was prepared under the same synthesis conditions as those of the above-mentioned Example 1-1.
실시예Example 3-2. 3-2.산질화티탄Titanium oxynitride 입자를 이용한 전기영동 셀 제조 Preparation of electrophoresis cell using particles
상기 실시예 3-1에서 합성된 전기영동 산질화티탄블랙 입자를 초음파 분산에 의해서 분산제인 Airosol AOT 0.7 중량%가 포함된 비극성 솔벤트인 아소파 G(IsoparG)에 1.2%중량 분산하였다. 분산된 전기영동 산질화티탄블랙 분산을 캐필러리(capillary) 필링에 의해서 스트라이프 형태의 15㎛의 선폭과 85㎛의 선간격인 투명패턴전극과 반대전극의 은으로 증착된 거울층으로 셀 간격 20㎛로 구성된 셀에 주입하였다.
The electrophoretic titanium oxynitride black particles synthesized in Example 3-1 were subjected to 1.2% weight dispersion by ultrasonic dispersion in a nonpolar solvent (Isopar G) containing 0.7% by weight of Airosol AOT as a dispersing agent. The dispersed electrophoretic dispersion of titanium oxynitride black was subjected to capillary filling to form a 15 μm line width stripe-shaped transparent pattern electrode having a line spacing of 85 μm and a silver layer deposited on the opposite electrode, Mu] m.
비교예Comparative Example 1. One.
비교예Comparative Example 1-1. 전기영동 카본입자의 제조 1-1. Preparation of electrophoretic carbon particles
교반기, 온도계, 환류기가 있는 500 ml 반응기에 카본블랙(printex 200, Degussa, 독일) 10g을 물 300ml와 함께 가하고 교반한다. 37% 염산 수용액을 0.3g 및 4-비닐아닐린을 2.5g을 가하고 65 ℃로 온도로 승온하고 교반하였다. 10% 소디움나트라이트 1.2g을 가하고 3시간동안 반응을 지속하였다. 고형분을 물로 씻고 원심분리의 3회 반복하고 최종적으로 건조하여 표면처리된 카본블랙을 얻었다.To a 500 ml reactor equipped with a stirrer, a thermometer and a reflux condenser, 10 g of carbon black (printex 200, Degussa, Germany) is added with 300 ml of water and stirred. 0.3 g of a 37% hydrochloric acid aqueous solution and 2.5 g of 4-vinyl aniline were added, and the mixture was heated to 65 캜 and stirred. 1.2 g of 10% sodium nitrite was added and the reaction was continued for 3 hours. The solids were washed with water, centrifuged three times and finally dried to obtain surface-treated carbon black.
반응기, 온도계, 환류기가 있는 또 다른 250ml 반응기에 톨루엔 80g을 가하고 4-비닐스타이렌 그룹이 표면처리된 카본블랙 3g과 2-에틸헥실 아크릴레이트 5g, 알릴아민 1g을 넣고 중합개시제인 아조비스이소부티로나이트릴 0.5g을 가하여 70℃에서 6시간동안 질소분위기 하에서 반응하였다. 반응종료 후, 전기영동 카본블랙을 얻기 위하여 고체 침전물을 톨루엔으로 씻고, 원심분리하고 이를 반복하였다. 최종 합성된 전기영동 카본 블랙을 70℃에서 시간동안 진공 건조하여 얻었다.
In another 250 ml reactor equipped with a reactor, a thermometer and a reflux condenser, 80 g of toluene was added, 3 g of carbon black treated with 4-vinylstyrene group, 5 g of 2-ethylhexyl acrylate, and 1 g of allylamine were added, and azobisisobutyl And 0.5 g of ronatryl was added thereto, followed by reaction at 70 캜 for 6 hours under a nitrogen atmosphere. After the completion of the reaction, the solid precipitate was washed with toluene to obtain electrophoresis carbon black, centrifuged and repeated. The final synthesized electrophoretic carbon black was obtained by vacuum drying at 70 ° C for a time.
비교예Comparative Example 1-2. 카본블랙 나노입자를 이용한 전기영동 셀 제조 1-2. Manufacture of electrophoresis cell using carbon black nanoparticles
합성된 전기영동 카본블랙 입자 0.7중량%를 초음파 분산에 의해서 분산제인 OLOA 11000가 1중량%가 포함된 비극성 솔벤트인 아소파 G(IsoparG)에 분산하였다. 분산된 전기영동 산질화티탄블랙 분산을 캐필러리(capillary) 필링에 의해서 스트라이프 형태의 15㎛의 선폭과 85㎛의 선간격인 투명패턴전극과 반대전극은 은으로 증착된 거울층으로 셀 간격 20㎛로 구성된 셀에 주입하여 전기영동셀을 제조하였다.
0.7% by weight of synthesized electrophoretic carbon black particles were dispersed by ultrasonic dispersion in a nonpolar solvent (Isopar G) containing 1% by weight of a dispersing agent OLOA 11000. The dispersed electrophoretic scattered titanium oxide black dispersion was patterned by capillary filling to form a 15 μm line width stripe pattern and a transparent pattern electrode having a line spacing of 85 μm and a counter electrode, Mu] m to prepare an electrophoresis cell.
실험예Experimental Example..
상기 실시예 1, 2 및 비교예 1의 전기영동 셀에 대하여 ON 상태 반사율, 구동전압, 셀 저항, ON 잔류전류 및 On/Off 반사율 차(?R)를 하기와 같이 평가하였고, 그 결과는 표 1에 반영하였다.
The ON state reflectance, the driving voltage, the cell resistance, the ON residual current, and the On / Off reflectance difference (? R) of the electrophoretic cells of Examples 1 and 2 and Comparative Example 1 were evaluated as follows. Respectively.
실험예Experimental Example 1. One.ONON 상태 반사율 State reflectance
ON 상태 반사율은 UltraScan Pro, HunterLab사의 spectrophotometer를 사용하였고, 400~800nm의 반사율을 측정 이들의 평균값을 계산 전기영동 구동셀의 반사율 평가지표로 활용하였다. 광원은 halogen lamp(Avalight-HAL, Avantes)를 사용하였으며 측정 결과는 하기 도4에 전기영동 구동 셀의 ON/OFF 상태에서 400~800nm 반사율로 각각 표시하였다.
The ON state reflectance was measured using a spectrophotometer of UltraScan Pro or HunterLab, and the reflectance of 400 to 800 nm was measured. The average value of these was used as an index of reflectance of the electrophoresis driven cell. A halogen lamp (Avalight-HAL, Avantes) was used as a light source. The measurement results are shown in FIG. 4, with the reflectance of 400 to 800 nm in the ON / OFF state of the electrophoretic driving cell.
실험예Experimental Example 2. 구동전압 2. Driving voltage
구동전압은 전기영동 셀에 1~15 DCV사이에서 각각 1DCV 간격으로 인가하여 반사율을 측정하였고 OFF에서 반사율로부터 10% 증가시키는 인가전압으로 결정하였다.
The driving voltage was applied to the electrophoresis cell at intervals of 1 DCV between 1 and 15 DCV, and the reflectance was measured. The OFF voltage was determined to be 10% higher than the reflectance.
실험예Experimental Example 3. 전기영동 셀 저항 측정 3. Electrophoresis cell resistance measurement
전기영동 나노입자 분산이 충진된 셀의 저항은 Hioki사 저항시험기(모델 IR 4052-10)를 사용하여 양극과 음극단자사이의 전기 저항을 측정 평가하였다.
The resistance of the cell filled with the electrophoretic nano particle dispersion was measured and evaluated by using a Hioki resistance tester (Model IR 4052-10).
실험예Experimental Example 4. 4.OnOn 상태 잔류 전류 측정 State Residual Current Measurement
전기 영동셀을 12DCV를 인가하여 ON상태에서 Fluke사 17B 디지털멀티미터를 이용 양극과 음극사이의 잔류전류를 측정하였다.
The residual current between the anode and the cathode was measured using a Fluke 17B digital multimeter in the ON state by applying 12 DCV to the electrophoresis cell.
실험예Experimental Example 5. 5.OnOn//OffOff 반사율 차(ΔR) The reflectance difference (? R)
상기 On 상태 반사율 측정방법과 동일하게 전기영동 셀의 Off상태에서 반사율을 측정하고 On상태 반사율 값에서 Off상태 반사율을 차감하여 측정하였다.
The reflectance was measured in the OFF state of the electrophoresis cell and the off state reflectance was subtracted from the ON state reflectance value in the same manner as the ON state reflectance measurement method.
반사율 (%)ON state
 Reflectivity (%)
(DCV)Driving voltage
 (DCV)
상기 표 1에 따르면, 비교예 1같이 전기영동 셀에 카본블랙 나노입자가 주입된 경우 전기영동 셀의 저항값이 3X104Ω㎝로 산질화 티탄블랙(실시예 1 내지 3)과 비교하여 낮은 값을 나타내고, 이는 전기영동 구동셀의 On상태에서 2mA의 잔류전류를 흐르게 하는 것을 알 수 있다. 이와 같은 결과는 카본블랙 나노입자가 전기전도성을 띠어 이를 포함한 구동셀의 저항값을 떨어뜨린 것에 기인한 것으로 해석되었다. 또한, 이러한 카본 블랙이 적용된 전기영동셀은 자동차 후면경 적용하였을 경우, 자동차가 정차 중에도 잔류전류가 흘러 자동차 축전기의 방전의 원인이 될것으로 파악되었다.
According to Table 1, when the carbon black nanoparticles were injected into the electrophoresis cell as in Comparative Example 1, the resistance value of the electrophoresis cell was 3 × 104 Ω cm, which was lower than that of the titanium oxynitride black (Examples 1 to 3) , Which indicates that the residual current of 2 mA flows in the On state of the electrophoretic driving cell. These results were interpreted as a result of the fact that the carbon black nanoparticles were electrically conductive and the resistance value of the driving cell including the carbon black nanoparticles was lowered. In addition, it is understood that the electrophoresis cell to which such carbon black is applied is likely to cause a discharge of an automobile capacitor due to the residual current flowing in the vehicle when the vehicle is stopped at the rear of the vehicle.
반면, 실시예 1 내지 3의 전기영동 셀은 1011Ω㎝ 이상의 전기 저항치 보이며, On상태에서 낮은 잔류전류를 나타내고 있기 때문에 상업적 자동차 후면경 적용에 문제가 없는 것으로 나타났다. 결과적으로, 본 발명의 전기영동 산질화티탄 나노입자를 기반으로 하는 전기영동셀을 자동차 후면경과 같이 광 반사율 조절장치에 적용할 경우 선명한 반사광을 인위적으로 조절할 수 있을 뿐만 아니라 에너지 절감기능을 가질 것으로 판단되었다.
On the other hand, the electrophoresis cells of Examples 1 to 3 showed an electric resistance value of 1011 Ω cm or more, and showed a low residual current in the On state, so that there was no problem in commercial automotive rear surface application. As a result, when the electrophoresis cell based on the electrophoretic titanium oxynitride nanoparticle of the present invention is applied to a light reflectance control device such as a back surface of an automobile, it is possible to artificially control clear reflected light and to have an energy saving function .
| Application Number | Priority Date | Filing Date | Title | 
|---|---|---|---|
| KR1020140111775AKR101641054B1 (en) | 2014-08-26 | 2014-08-26 | Electrophoretic nanoparticle, manufacturing method of the same and dispersion solution of the electrophoretic nanoparticle | 
| Application Number | Priority Date | Filing Date | Title | 
|---|---|---|---|
| KR1020140111775AKR101641054B1 (en) | 2014-08-26 | 2014-08-26 | Electrophoretic nanoparticle, manufacturing method of the same and dispersion solution of the electrophoretic nanoparticle | 
| Publication Number | Publication Date | 
|---|---|
| KR20160030592A KR20160030592A (en) | 2016-03-21 | 
| KR101641054B1true KR101641054B1 (en) | 2016-07-21 | 
| Application Number | Title | Priority Date | Filing Date | 
|---|---|---|---|
| KR1020140111775AActiveKR101641054B1 (en) | 2014-08-26 | 2014-08-26 | Electrophoretic nanoparticle, manufacturing method of the same and dispersion solution of the electrophoretic nanoparticle | 
| Country | Link | 
|---|---|
| KR (1) | KR101641054B1 (en) | 
| Publication number | Priority date | Publication date | Assignee | Title | 
|---|---|---|---|---|
| US10921676B2 (en) | 2017-08-30 | 2021-02-16 | E Ink Corporation | Electrophoretic medium | 
| CN114424116A (en) | 2019-09-19 | 2022-04-29 | Lg伊诺特有限公司 | Electrophoretic particle and optical path control member including the electrophoretic particle | 
| Publication number | Priority date | Publication date | Assignee | Title | 
|---|---|---|---|---|
| JP2003151648A (en)* | 2001-11-14 | 2003-05-23 | Ulvac Japan Ltd | Solar battery using visible light sensitive type titanium oxide, and manufacturing method thereof | 
| Publication number | Priority date | Publication date | Assignee | Title | 
|---|---|---|---|---|
| JP2014500905A (en)* | 2010-11-30 | 2014-01-16 | メルク パテント ゲーエムベーハー | Particles for electrophoretic display | 
| Publication number | Priority date | Publication date | Assignee | Title | 
|---|---|---|---|---|
| JP2003151648A (en)* | 2001-11-14 | 2003-05-23 | Ulvac Japan Ltd | Solar battery using visible light sensitive type titanium oxide, and manufacturing method thereof | 
| Publication number | Publication date | 
|---|---|
| KR20160030592A (en) | 2016-03-21 | 
| Publication | Publication Date | Title | 
|---|---|---|
| CN101542380B (en) | Electrophoretic particle, electrophoretic particle dispersion liquid, image display medium, and image display device | |
| Chang-Jian et al. | Facile preparation of WO3/PEDOT: PSS composite for inkjet printed electrochromic window and its performance for heat shielding | |
| TWI662352B (en) | Color organic pigments and electrophoretic display media containing the same | |
| KR101169922B1 (en) | Electrochromic particles | |
| DE69609275T2 (en) | Light-modulating film with increased UV resistance for a light valve | |
| US5463492A (en) | Light modulating film of improved clarity for a light valve | |
| JP5421966B2 (en) | Electrophoretic particles | |
| TW466359B (en) | Ultraviolet radiation-curable light-modulating film for a light valve, and method of making same | |
| CN107922829A (en) | Electric driven color-changing part with improved dielectric substrate | |
| JP5041788B2 (en) | Composite particle and method for producing the same | |
| EP2240518A2 (en) | Fluid compositions for colour electrophoretic displays | |
| WO2013154779A1 (en) | Nanocrystal-polymer nanocomposite electrochromic device | |
| CN104849934A (en) | Method of manufacturing electrophoresis particles, electrophoresis particles, electrophoresis dispersion liquid, electrophoresis sheet, electrophoresis device, and electronic apparatus | |
| KR101641054B1 (en) | Electrophoretic nanoparticle, manufacturing method of the same and dispersion solution of the electrophoretic nanoparticle | |
| KR20130107075A (en) | Magnetic-chromism film having excellent chromism contrast effect | |
| US20150323850A1 (en) | Method for preparing electrophoretic particles, electrophoretic particles, electrophoretic dispersion, electrophoretic sheet, electrophoretic apparatus, and electronic device | |
| JP2006064832A (en) | Light control material, light control film and method for producing the same | |
| KR20170015616A (en) | Electrophoretic Carbonblack and Preparing Method Thereof, Dispersions Using Electrophoretic Carbonblack and Vehicle Rearview Mirror Containing the same | |
| JP2005300962A (en) | Light control material, light control film, light control glass and production method thereof | |
| CN106019759A (en) | Electrophoretic particle, method of manufacturing electrophoretic particle, electrophoresis dispersion liquid, electrophoresis sheet, electrophoresis device, and electronic apparatus | |
| CN105585677B (en) | Method for producing electrophoretic particle, electrophoretic dispersion liquid, electrophoretic sheet, electrophoretic device, and electronic apparatus | |
| KR20130109842A (en) | Electrophoretic particle and electrophoretic device and electrophoretic display using the same | |
| JP2007231208A (en) | Fine particles, method for producing fine particles, fine particle dispersion, and image display medium and apparatus using the same | |
| JP3923581B2 (en) | Electrochromic element | |
| KR102467289B1 (en) | Electrochromic ink composition and electrochromic device comprising the same | 
| Date | Code | Title | Description | 
|---|---|---|---|
| A201 | Request for examination | ||
| PA0109 | Patent application | St.27 status event code:A-0-1-A10-A12-nap-PA0109 | |
| PA0201 | Request for examination | St.27 status event code:A-1-2-D10-D11-exm-PA0201 | |
| D13-X000 | Search requested | St.27 status event code:A-1-2-D10-D13-srh-X000 | |
| D14-X000 | Search report completed | St.27 status event code:A-1-2-D10-D14-srh-X000 | |
| E902 | Notification of reason for refusal | ||
| PE0902 | Notice of grounds for rejection | St.27 status event code:A-1-2-D10-D21-exm-PE0902 | |
| R17-X000 | Change to representative recorded | St.27 status event code:A-3-3-R10-R17-oth-X000 | |
| T11-X000 | Administrative time limit extension requested | St.27 status event code:U-3-3-T10-T11-oth-X000 | |
| T11-X000 | Administrative time limit extension requested | St.27 status event code:U-3-3-T10-T11-oth-X000 | |
| P11-X000 | Amendment of application requested | St.27 status event code:A-2-2-P10-P11-nap-X000 | |
| P13-X000 | Application amended | St.27 status event code:A-2-2-P10-P13-nap-X000 | |
| PG1501 | Laying open of application | St.27 status event code:A-1-1-Q10-Q12-nap-PG1501 | |
| E701 | Decision to grant or registration of patent right | ||
| PE0701 | Decision of registration | St.27 status event code:A-1-2-D10-D22-exm-PE0701 | |
| PR0701 | Registration of establishment | St.27 status event code:A-2-4-F10-F11-exm-PR0701 | |
| PR1002 | Payment of registration fee | St.27 status event code:A-2-2-U10-U11-oth-PR1002 Fee payment year number:1 | |
| PG1601 | Publication of registration | St.27 status event code:A-4-4-Q10-Q13-nap-PG1601 | |
| FPAY | Annual fee payment | Payment date:20190805 Year of fee payment:4 | |
| PR1001 | Payment of annual fee | St.27 status event code:A-4-4-U10-U11-oth-PR1001 Fee payment year number:4 | |
| PR1001 | Payment of annual fee | St.27 status event code:A-4-4-U10-U11-oth-PR1001 Fee payment year number:5 | |
| P22-X000 | Classification modified | St.27 status event code:A-4-4-P10-P22-nap-X000 | |
| PR1001 | Payment of annual fee | St.27 status event code:A-4-4-U10-U11-oth-PR1001 Fee payment year number:6 | |
| PN2301 | Change of applicant | St.27 status event code:A-5-5-R10-R13-asn-PN2301 St.27 status event code:A-5-5-R10-R11-asn-PN2301 | |
| PR1001 | Payment of annual fee | St.27 status event code:A-4-4-U10-U11-oth-PR1001 Fee payment year number:7 | |
| PR1001 | Payment of annual fee | St.27 status event code:A-4-4-U10-U11-oth-PR1001 Fee payment year number:8 | |
| PR1001 | Payment of annual fee | St.27 status event code:A-4-4-U10-U11-oth-PR1001 Fee payment year number:9 | |
| PR1001 | Payment of annual fee | St.27 status event code:A-4-4-U10-U11-oth-PR1001 Fee payment year number:10 |