


본 발명은 복합시트, 그의 제조방법 및 이를 포함하는 디스플레이 장치에 관한 것이다.The present invention relates to a composite sheet, a manufacturing method thereof, and a display device including the composite sheet.
디스플레이 장치용 기판 소재로 소형화, 박형화, 경량화, 내충격성, 유연성 등이 요구되고 있다. 이에 종전 디스플레이 장치의 유리 기판을 대체하기 위한 소재로서 플렉시블(flexible) 디스플레이용 기판이 각광을 받고 있다.As substrate materials for display devices, miniaturization, thinness, light weight, impact resistance, flexibility and the like are required. As a material for replacing the glass substrate of the conventional display device, a substrate for a flexible display has been spotlighted.
유리섬유 또는 유리섬유의 직조된 형태가 함침된 매트릭스를 플렉시블 기판으로 사용할 수 있다. 그러나, 유리섬유를 포함시킴으로써 기판 위에 배리어층 적층시 표면 조도가 문제될 수 있고, 배리어층과 기판은 모듈러스 차이가 나서 기판 위에 배리어층을 높은 부착성으로 적층시킬 수 없으므로, 배리어층과 기판 사이에 버퍼층을 형성하는 기술에 대한 연구가 진행되고 있다.A matrix impregnated with a woven form of glass fiber or glass fiber can be used as a flexible substrate. However, by including glass fibers, surface roughness may be a problem in the case of stacking a barrier layer on a substrate, and since the barrier layer and the substrate have a modulus difference, the barrier layer can not be stacked on the substrate with high adhesion, Studies are being made on techniques for forming a buffer layer.
이와 관련하여, 한국공개특허 제2013-0022666호는 실리콘 고무를 포함하고 글라스 크로스가 함침된 매트릭스를 포함하는 플렉시블 기판을 개시하고 있다.In this regard, Korean Patent Laid-Open Publication No. 2013-0022666 discloses a flexible substrate including a silicone rubber-impregnated matrix.
본 발명이 해결하고자 하는 과제는 표면 에너지가 높고, 모듈러스가 높아 소정의 부품 또는 층을 안정하게 적층시킬 수 있는 복합시트를 제공하는 것이다.A problem to be solved by the present invention is to provide a composite sheet capable of stably laminating a predetermined component or layer because of high surface energy and high modulus.
본 발명이 해결하고자 하는 다른 과제는 표면 조도가 개선됨과 동시에 배리어층의 부착성이 높은 복합시트를 제공하는 것이다.Another object to be solved by the present invention is to provide a composite sheet having improved surface roughness and high adhesion of a barrier layer.
본 발명이 해결하고자 하는 또 다른 과제는 매트릭스와 버퍼층 간의 결합력과 안정성이 높은 복합시트를 제공하는 것이다.Another object of the present invention is to provide a composite sheet having high bonding strength and stability between a matrix and a buffer layer.
본 발명이 해결하고자 하는 또 다른 과제는 크랙 발생이 없고 안정성이 높은 복합시트를 제공하는 것이다.Another problem to be solved by the present invention is to provide a composite sheet free from cracks and having high stability.
본 발명이 해결하고자 하는 또 다른 과제는 버퍼층을 고 결합력으로 안정하게 적층시킬 수 있는 복합시트의 제조방법을 제공하는 것이다.A further object of the present invention is to provide a method for producing a composite sheet capable of stably stacking a buffer layer with high bonding force.
본 발명의 하나의 관점인 복합시트는 실리콘계 매트릭스에 함침된 보강재를 포함하는 제1시트 및 상기 제1시트의 적어도 일면에 형성된 제2시트를 포함하고, 상기 제2시트는 표면 에너지가 55dyne/cm 이상, 모듈러스가 20MPa 이상, 상기 제1시트에 대해 크로스 컷이 90% 이상이 될 수 있다.A composite sheet according to one aspect of the present invention includes a first sheet including a reinforcing material impregnated into a silicon matrix and a second sheet formed on at least one side of the first sheet, wherein the second sheet has a surface energy of 55 dyne / cm Or more, the modulus of 20 MPa or more, and the cross-cut with respect to the first sheet may be 90% or more.
본 발명의 다른 관점인 복합시트의 제조방법은 보강재가 함침된 매트릭스용 조성물 상에 제2시트용 조성물과 기재필름이 순차 형성된 적층체를 형성하고, 제2시트용 조성물과 매트릭스용 조성물을 경화시키는 단계를 포함하고, 제2시트용 조성물과 매트릭스용 조성물의 경화 전에 매트릭스용 조성물과 제2 시트용 조성물은 완전 경화되지 않은 상태일 수 있다.Another aspect of the present invention is a method for producing a composite sheet, comprising: forming a laminate on which a composition for a second sheet and a base film are sequentially formed on a matrix composition impregnated with a reinforcing material; and curing the composition for a second sheet and the composition for a matrix The composition for the matrix and the composition for the second sheet may be in a state of not being fully cured before the curing of the composition for the second sheet and the composition for a matrix.
본 발명의 또 다른 관점인 디스플레이 장치는 기판, 및 상기 기판 위에 형성된 장치용 부재를 포함하고, 상기 기판은 상기 복합시트를 포함할 수 있다.A display device, which is another aspect of the present invention, includes a substrate, and a member for an apparatus formed on the substrate, and the substrate may include the composite sheet.
본 발명은 표면 에너지가 높고, 모듈러스가 높아 소정의 부품 또는 층을 안정하게 적층시킬 수 있는 복합시트를 제공하였다.The present invention provides a composite sheet capable of stably laminating a predetermined part or layer with high surface energy and high modulus.
본 발명은 표면 조도가 개선됨과 동시에 배리어층의 부착성이 높은 복합시트를 제공하였다.The present invention provides a composite sheet with improved surface roughness and high adhesion of a barrier layer.
본 발명은 크랙 발생이 없고 안정성이 높은 복합시트를 제공하였다.The present invention provides a composite sheet free from cracks and highly stable.
본 발명은 매트릭스와 버퍼층 간의 결합력과 안정성이 높은 복합시트를 제공하였다.The present invention provides a composite sheet having high bonding strength and stability between a matrix and a buffer layer.
본 발명은 버퍼층을 안정하게 고 결합력으로 적층시킬 수 있는 복합시트의 제조방법을 제공하였다.The present invention provides a method for producing a composite sheet capable of stably stacking buffer layers with high bonding strength.
도 1은 본 발명 일 실시예의 복합시트의 단면도이다.
도 2는 본 발명 다른 실시예의 복합시트의 단면도이다.
도 3은 본 발명 일 실시예의 디스플레이 장치의 단면도이다.1 is a cross-sectional view of a composite sheet according to an embodiment of the present invention.
 2 is a cross-sectional view of a composite sheet according to another embodiment of the present invention.
 3 is a cross-sectional view of a display device according to an embodiment of the present invention.
첨부한 도면을 참고하여 실시예에 대하여 본 발명이 속하는 기술 분야에서 통상의 지식을 가진 자가 용이하게 실시할 수 있도록 상세히 설명한다. 본 발명은 여러 가지 상이한 형태로 구현될 수 있으며 여기에서 설명하는 실시예에 한정되지 않는다. 도면에서 본 발명을 명확하게 설명하기 위해서 설명과 관계없는 부분은 생략하였으며, 명세서 전체를 통하여 동일 또는 유사한 구성 요소에 대해서는 동일한 도면 부호를 붙였다. 본 명세서에서 "상부", "하부"는 도면을 기준으로 정의한 것으로, 보는 시각에 따라 "상부"가 "하부"로, "하부"가 "상부"로 변경될 수 있다.The present invention is not limited to the above embodiments and various changes and modifications may be made by those skilled in the art without departing from the scope of the present invention. The present invention may be embodied in many different forms and is not limited to the embodiments described herein. In order to clearly illustrate the present invention, parts not related to the description are omitted, and the same or similar components are denoted by the same reference numerals throughout the specification. In the present specification, "upper" and "lower" are defined with reference to the drawings, and "upper" may be changed to "lower" and "lower" may be changed to "upper" depending on viewing time.
본 명세서에서 "모듈러스"는 Micro indentation 장비(HM2000, Fisher사)를 사용하여 micro indentor(Vicker 압자)로 10mN의 힘을 10초 동안 가하고, 3초 동안 크립(creep), 그리고 10초동안 relaxation하여 측정하여 계산한 값을 의미한다.In the present specification, "modulus" is measured by applying a force of 10 mN with a micro indentor (Vicker indenter) for 10 seconds using a micro indentation device (HM2000, Fisher), creeping for 3 seconds and relaxation for 10 seconds .
본 명세서에서 "크로스 컷"은 복합시트 중 제2시트만을 1 mm × 1 mm(가로 × 세로)로 크기가 동일한 소정의 샘플 개수 N으로 커팅한 후, 제2시트를 복합시트로부터 3M(810, 18 mm)테이프로 180°도로 박리시켰을 때(ASTM D-3359), 박리 전 제2시트의 샘플 개수 N에 대해 박리 후 복합시트에 남아있는 샘플 개수 n에 대한 비(n/N)로 계산한 값을 의미한다.In the present specification, "crosscut" means that after cutting only the second sheet of the composite sheet to a predetermined number of samples N having the same size as 1 mm x 1 mm (width x length), the second sheet is cut from the composite sheet to 3M (810, (N / N) relative to the number of samples remaining in the composite sheet after peeling with respect to the number of samples N of the second sheet before peeling (ASTM D-3359) when peeled off at 180 deg. Lt; / RTI >
본 명세서에서 "경화율"은 1725cm-1를 Reference로 하여 조성물을 경화시키기 전에 1410cm-1부근의 피크에서의 흡수 피크의 강도를 A, 경화시킨 후 해당 1410cm-1부근의 피크에서의 흡수 피크의 강도를 B라고 할 때, | 1-(B/A) | x 100이 될 수 있다."Cure rate" as used herein is 1725cm-1 a prior to curing the composition by Reference to the intensity of the absorption peak at the peak in the vicinity of 1410cm-1 A, after curing of the absorption peak of 1410cm-1 in the vicinity of the peak When the intensity is B, | 1- (B / A) | x < / RTI >
이하, 도 1을 참조하여, 본 발명의 일 실시예에 따른 복합시트를 설명한다. 도 1은 본 발명 일 실시예의 복합시트의 단면도이다. 도 1을 참조하면, 본 발명의 일 실시예에 따른 복합시트(100)는 매트릭스(1)에 함침된 보강재(5)를 포함하는 제1시트(10), 및 제1시트(10)의 상부면에 형성된 제2시트(20)를 포함할 수 있다.Hereinafter, a composite sheet according to an embodiment of the present invention will be described with reference to FIG. 1 is a cross-sectional view of a composite sheet according to an embodiment of the present invention. 1, a
제2시트(20)의 표면 에너지는 55dyne/cm 이상이고, 모듈러스는 20MPa 이상이 될 수 있다. 제2시트의 표면 에너지 및 모듈러스가 상기 범위인 경우, 제2시트의 상부면에 소정의 부품 또는 층이 적층되더라도 복합시트로부터 쉽게 분리되지 않고, 복합시트에 파단이 생기지 않는다. 예를 들면 제2시트(20)의 표면 에너지는 55 내지 70dyne/cm이고 모듈러스는 20MPa 내지 5GPa가 될 수 있다.The surface energy of the
본 발명의 일 실시예에서는 제1 시트(10)보다 표면 에너지가 높고, 제1시트(10) 대비 모듈러스가 동등 또는 이상인 제2시트(20)를 제1 시트(10)의 상부면에 형성함으로써 복합시트의 표면 에너지와 모듈러스를 높여 주어 복합시트에 배리어층이 안정하게 적층되도록 할 수 있고, 제2시트(20)에 의해 제1시트(10)의 표면이 개질됨으로써 복합시트의 표면 조도(Ra)도 낮출 수 있다. 즉, 본 발명의 일 실시예에서는 제1시트(10)의 모듈러스를 M1, 제2시트(20)의 모듈러스를 M2, 제1시트(10)의 표면 에너지를 S1, 제2시트(20)의 표면 에너지를 S2라고 할 때, M1≤M2, S1<S2가 될 수 있다. 이와 같이 제2시트는 버퍼층으로서 복합시트의 표면 조도를 개선함과 동시에 배리어층의 부착성을 높일 수 있다.In one embodiment of the present invention, by forming a
제1시트(10)와 제2시트(20) 각각의 두께는 특별히 제한되지 않는데, 제1시트(10)의 두께를 T1, 제2시트(20)의 두께를 T2라고 할 때, T1>T2가 될 수 있다. 상기 범위에서, 복합시트를 플렉시블 기판 용도로 사용할 수 있다. 구체적으로 T1은 15 내지 200㎛, T2는 1 내지 15㎛가 될 수 있다.The thickness of each of the
제1시트(10)와 제2시트(20)는 별개로 제조된 후 접착층 등에 의해 적층시킬 수도 있지만, 제1시트(10)와 제2시트(20)를 일체형으로 제조함으로써 복합시트 전체의 두께를 감소시키고, 모듈러스의 개선 효과도 높이고, 제1시트와 제2시트간의 결합력과 안정성을 높일 수 있다. 상기 "일체형"은 제1시트와 제2시트 사이에 접착층 등이 개재되지 않고 제1시트와 제2시트가 물리적인 힘에 의해 분리되지 않은 상태를 의미한다. 일 구체예에서, 제2시트(20)는 제1시트(10)에 대한 크로스 컷이 90% 이상, 예를 들면 90 내지 100%가 될 수 있다. 상기 범위에서, 제2시트는 제1시트에 대해 결합력이 높아 복합시트의 안정성을 높일 수 있다.The
복합시트(100)의 표면조도(Ra)는 100nm 이하, 구체적으로 50nm 이하, 더 구체적으로 1 내지 50nm가 될 수 있다. 상기 범위에서, 기판 용도로 사용될 수 있다. 복합시트는 열팽창계수가 0ppm/℃ 내지 400ppm/℃, 구체적으로 0ppm/℃ 내지 10ppm/℃, 더 구체적으로 3ppm/℃ 내지 7ppm/℃가 될 수 있다. 상기 범위 내에서, 플렉시블 기판으로 제조시 열 변형이 억제될 수 있다. 열팽창계수는 ASTM E 831 방법으로서, 온도에 따른 dimensional change를 Thermo-mechanical analyser(expansion mode, force 0.05N)를 이용하여 측정한 후, 온도(30 내지 250℃)에 따른 시료 길이의 변화 곡선으로부터 측정할 수 있다. 복합시트는 두께가 15㎛ 내지 200㎛가 될 수 있다. 상기 범위에서, 플렉시블 기판 용도의 복합시트로 사용될 수 있다. 복합시트는 가시광선 영역에서 투명할 수 있다.The surface roughness Ra of the
매트릭스(1)는 인장 신율이 15% 이상, 예를 들면 15 내지 40%가 될 수 있고, 매트릭스의 모듈러스는 5 내지 20 MPa, 예를 들면 5 내지 15MPa가 될 수 있다. 상기 범위에서, 복합시트의 열안정성, 내열성이 좋아 고온 처리시에도 크랙이 발생하지 않을 수 있고, 유연성이 좋고, 매트릭스와 보강재 계면에서 갈라짐이 생기지 않을 수 있고, 상부면에 소정 소재의 부품 또는 층을 적층하더라도 복합시트로부터의 분리를 막을 수 있다. 상기 "인장 신율"은 매트릭스 시편(Width 5mm, Length 20mm)에 대하여 TA.XT.plus(TA instrument)로 속도 50mm/min로 측정시의 값을 의미한다.The
매트릭스(1)는 실리콘계 매트릭스로서, 실리콘계 러버, 구체적으로 선형의 실리콘(silicone)계 러버의 경화물을 포함할 수 있다. 선형의 실리콘계 러버는 소정 길이로 실록산 단위가 연결된 구조를 가져 매트릭스의 인장 신율을 높임으로써 복합시트의 고온 처리에도 매트릭스의 열팽창과 보강재 간의 열팽창 차이를 완화할 수 있고, 기판으로서의 유연성을 얻을 수 있다.The
구체적으로, 상기 선형의 실리콘계 러버는 경화성 작용기를 갖는 실록산 올리고머 또는 폴리머일 수 있으며, 예를 들어, 경화성 작용기를 갖는 제1 반복 단위 및 경화성 작용기를 갖지 않는 적어도 하나 이상의 제2 반복 단위를 포함하는 공중합체일 수 있다. 상기 경화성 작용기를 갖는 실록산은 경화성 작용기를 포함하는 제1 단량체와 경화성 작용기를 미포함하는 적어도 하나 이상의 제2 단량체의 중합반응에 의해 형성될 수 있으며, 이때 경화성 작용기를 포함하는 제1 단량체는 총 단량체에 대하여 1.0중량% 이하, 예를 들면 0.01 내지 1.0중량%로 포함될 수 있다. 상기 범위에서, 가교 사이트인 경화성 작용기가 특정 범위로 첨가됨으로써 크랙 발생이 낮아 복합시트의 안정성을 높일 수 있다. 상기 "경화성 작용기"는 매트릭스용 조성물을 경화 가능하게 하고, 비-러버형 실리콘 화합물 또는 가교제와 가교 반응을 하는 것으로서, 말단에 불포화결합을 갖는 탄소수 2 내지 12의 불포화탄화수소기, 예를 들면 비닐기, 또는 알릴기가 될 수 있다.Specifically, the linear silicone-based rubber may be a siloxane oligomer or polymer having a curable functional group, and may be, for example, a copolymer comprising a first repeating unit having a curable functional group and at least one second repeating unit having no curable functional group Lt; / RTI > The siloxane having a curable functional group may be formed by a polymerization reaction of a first monomer containing a curable functional group and at least one second monomer containing a curable functional group, wherein the first monomer containing a curable functional group is a By weight or less, for example, 0.01 to 1.0% by weight. Within the above range, the curable functional group, which is a crosslinking site, is added in a specific range, so that the occurrence of cracks is low and the stability of the composite sheet can be enhanced. The above-mentioned "curable functional group" means a group capable of curing the matrix composition and performing a crosslinking reaction with a non-rubbery silicone compound or a crosslinking agent, and includes an unsaturated hydrocarbon group having an unsaturated bond at the terminal and having 2 to 12 carbon atoms, , Or an allyl group.
예를 들면, 선형의 실리콘계 러버는 비닐기 함유-폴리디메틸실록산(Polydimethylsiloxane, PDMS)일 수 있다. 비닐기 함유-폴리디메틸실록산은 페닐메틸디메톡시실란(Phenylmethyldimethoxysilane, PMDMS), 디메틸디메톡시실란(Dimethyldimethoxysilane, DMDMS) 및 비닐 메틸디메톡시실란(Vinylmethyldimethoxysilane, VMDMS)을 포함하는 실리콘계 러버 제조용 조성물로부터 제조될 수 있는데, 구체적으로 PMDMS, DMDMS, VMDMS의 가수분해, 중합 및 말단 캡핑 반응에 의해 제조될 수 있다. 이때 VMDMS는 PMDMS, DMDMS 및 VMDMS 의 합에 대하여 1.0중량% 이하, 예를 들면 0.01 내지 1.0중량%로 포함될 수 있다. 상기 범위에서, 가교 사이트(site)인 비닐기가 특정 범위로 포함되어 매트릭스의 인장 신율을 극대화하고, 복합시트의 안정성을 높일 수 있다. 이때, PMDMS, DMDMS 및 VMDMS 의 합 중 목표로 하는 굴절률에 따라 PMDMS는 10 내지 80중량%, DMDMS는 10 내지 90중량% 구체적으로 19 내지 85중량%로 포함될 수 있다. 상기 범위에서, 목표로 하는 복합시트의 굴절률을 확보할 수 있다.For example, the linear silicone-based rubber may be a vinyl group-containing polydimethylsiloxane (PDMS). Vinyl group-containing polydimethylsiloxane can be prepared from a composition for the preparation of silicone-based rubbers including phenylmethyldimethoxysilane (PMDMS), dimethyldimethoxysilane (DMDMS), and vinylmethyldimethoxysilane (VMDMS) Specifically, it can be prepared by hydrolysis, polymerization and end-capping reaction of PMDMS, DMDMS, VMDMS. At this time, the VMDMS may be contained in an amount of 1.0 wt% or less, for example, 0.01 to 1.0 wt%, based on the sum of PMDMS, DMDMS and VMDMS. In the above range, the vinyl group which is a crosslinking site is included in a specific range, thereby maximizing the tensile elongation of the matrix and enhancing the stability of the composite sheet. In this case, the PMDMS may be included in an amount of 10 to 80% by weight and the DMDMS may be included in an amount of 10 to 90% by weight, specifically 19 to 85% by weight, depending on the target refractive index in the sum of PMDMS, DMDMS and VMDMS. Within the above range, the refractive index of the target composite sheet can be ensured.
일 구체예에서, 선형의 실리콘계 러버는 경화성 작용기와, 및 지방족 탄화수소기, 및/또는 방향족 탄화수소기 등을 갖는 선형의 실록산 올리고머 또는 폴리머일 수 있다. 지방족 탄화수소기, 방향족 탄화수소기 등은 매트릭스를 지지하고 보강재 간의 결합을 위한 것으로서, 특히 방향족 탄화수소기는 보강재와 매트릭스 간의 굴절률을 매칭시킴으로써 복합시트의 투과도를 높일 수 있다. 구체적으로, 선형의 실리콘계 러버는 하기 화학식 1, 하기 화학식 2, 및 하기 화학식 3을 포함할 수 있다:In one embodiment, the linear silicone-based rubber may be a linear siloxane oligomer or polymer having a curable functional group and an aliphatic hydrocarbon group, and / or an aromatic hydrocarbon group, and the like. The aliphatic hydrocarbon group, the aromatic hydrocarbon group and the like are for supporting the matrix and for bonding between the reinforcing materials. In particular, the aromatic hydrocarbon group can increase the permeability of the composite sheet by matching the refractive index between the reinforcing material and the matrix. Specifically, the linear silicone-based rubber may comprise the following
<화학식 1>≪
<화학식 2>(2)
<화학식 3>(3)
(상기 화학식 1 내지 3에서, *는 원소의 연결 부위이고, Ra, Rb, Rc, Rd, Re, Rf, Rg, Rh는 각각 독립적으로 수소, 탄소수 1 내지 10의 알킬기, 탄소수 6 내지 20의 아릴기, 탄소수 7 내지 20의 아릴알킬기, 또는 말단에 이중결합을 갖는 탄소수 2 내지 12의 불포화 탄화수소기이고, Ra, Rb, Rc, Rd, Re, Rf, Rg, Rh 중 하나 이상은 말단에 이중결합을 갖는 탄소수 2 내지 12의 불포화 탄화수소기이다). 보다 구체적으로, 상기 선형의 실리콘계 러버는 상기 화학식 1의 반복단위 및 말단에 상기 화학식 2 및 3을 포함할 수 있다.Wherein Ra , Rb , Rc , Rd , Re , Rf , Rg and Rh are each independently selected from the group consisting of hydrogen, alkyl group, having 6 to 20 carbon atoms of the aryl group, C7 to C20 arylalkyl group, or terminal carbon atoms, an unsaturated hydrocarbon group of 2 to 12 having a double bond in the a, Ra, Rb, Rc, Rd, Re, At least one of Rf , Rg and Rh is an unsaturated hydrocarbon group having 2 to 12 carbon atoms and having a double bond at the terminal). More specifically, the linear silicone rubber may include the repeating units of the formula (1) and the repeating units (2) and (3) at the terminal.
구체적으로, 선형의 실리콘계 러버는 하기 화학식 4의 반복 단위를 포함할 수 있다:Specifically, the linear silicone-based rubber may comprise repeating units of the following formula:
<화학식 4>≪ Formula 4 >
(상기 화학식 4에서, *는 원소의 연결 부위이고, 0<x<1, 0<y<1, 0≤z≤1이고, Me는 메틸기이다).(In the formula (4), * is a connecting site of the element, 0 <x <1, 0 <y <1, 0? Z? 1, and Me is a methyl group).
예를 들어, 선형의 실리콘계 러버는 하기 화학식 5또는 6으로 표시될 수 있다:For example, a linear silicone-based rubber may be represented by the following
<화학식 5>≪
(상기 화학식 5에서, 10≤x≤400, 10≤y≤700, 0≤z≤700이고, Me는 메틸기이다).(In the
<화학식 6>(6)
(상기 화학식 6에서, 10≤x≤400, 10≤y≤700, 0<z≤700이고, Me는 메틸기이다).(In the
구체적으로, 상기 화학식 5, 6에서 x, y, z는 정수가 될 수 있다.Specifically, in the above formulas (5) and (6), x, y and z may be integers.
선형의 실리콘계 러버는 수평균분자량(Mn)이 2000 내지 50000g/mol이 될 수 있다. 상기 범위에서, 매트릭스를 지지할 수 있다.The linear silicone rubber may have a number average molecular weight (Mn) of 2000 to 50,000 g / mol. Within this range, the matrix can be supported.
일 구체예에서, 매트릭스는 선형의 실리콘계 러버와 가교제(cross-linker)를 포함하는 매트릭스용 조성물을 경화시켜 형성될 수 있다. 가교제는 선형의 실리콘계 러버의 경화성 작용기와 히드로실릴반응(hydrosilylation)할 수 있도록 2개 이상의 -Si-H 기를 갖는 단분자 또는 그의 올리고머로서, 열 또는 UV에 의해 활성화 되어 히드로실릴반응을 할 수 있다. 또한, 가교제는 실록산 단위를 가짐으로써, 선형의 실리콘계 러버 등의 수지와의 혼용성은 물론 고내열성 효과를 구현할 수도 있다. 조성물 중 고형분 기준으로 선형의 실리콘계 러버는 80 내지 99중량%, 가교제는 1 내지 20중량%로 포함될 수 있다. 상기 범위에서, 크랙 발생이 낮아 복합시트의 안정성을 높일 수 있다.In one embodiment, the matrix can be formed by curing a composition for a matrix comprising a linear silicone-based rubber and a cross-linker. The crosslinking agent is a monomolecular or oligomer having two or more -Si-H groups so as to hydrosilylate with a curable functional group of a linear silicone rubber, and can be activated by heat or UV to perform a hydrosilyl reaction. In addition, the cross-linking agent having a siloxane unit can realize a high heat resistance effect as well as compatibility with a resin such as a linear silicone rubber. The linear silicone rubber in the composition may be contained in an amount of 80 to 99% by weight, and the crosslinking agent may be contained in an amount of 1 to 20% by weight based on the solid content. In the above range, the occurrence of cracks is low and the stability of the composite sheet can be enhanced.
예를 들면, 가교제는 하기 화학식 7, 화학식 8, 및 화학식 9를 포함할 수 있다:For example, the crosslinking agent may comprise the following structural formulas (7), (8), and (9)
<화학식 7>≪ Formula 7 >
<화학식 8>(8)
<화학식 9>≪ Formula 9 >
(상기 화학식 7 내지 9에서, *는 원소의 연결 부위이고, Ri, Rj, Rk, Rl, Rm, Rn, Ro, Rp는 각각 독립적으로 수소, 탄소수 1 내지 10의 알킬기, 탄소수 6 내지 20의 아릴기, 또는 실릴옥시기이고,  Ri, Rj, Rk, Rl, Rm, Rn, Ro, Rp중 두 개 이상은 수소이다). 상기 "실릴옥시기"는 탄소수 1 내지 10의 알킬기 또는 수소를 갖는, -Si-O-기를 의미한다. 즉, 상기 가교제는 화학식 7의 반복단위를 포함하는 한편, 말단은 화학식 8 및 9를 포함할 수 있다.(In the formula 7 to 9, and * in a joint of the elements, Ri, Rj, Rk, Rl, Rm, Rn, Ro, Rp is independently hydrogen, C 1 -
구체적으로, 가교제는 하기 화학식 10 내지 화학식 14 중 어느 하나로 표시되는 화합물, 및 하기 화학식 15의 올리고머로 이루어진 군에서 선택된 단독 또는 이들의 혼합물일 수 있다:Specifically, the crosslinking agent may be a single compound selected from the group consisting of compounds represented by any one of the following formulas (10) to (14), and oligomers of the following formula (15)
<화학식 10>≪
<화학식 11>≪ Formula 11 >
<화학식 12>≪ Formula 12 >
<화학식 13>≪ Formula 13 >
<화학식 14>≪ Formula 14 >
<화학식 15>≪ Formula 15 >
(상기 화학식 15에서, 0≤x≤30, 0<y≤40, 0≤z≤40이고, Me는 메틸기이다). 상기 화학식 15의 가교제의 수평균분자량(Mn)은 200 내지 3000g/mol이 될 수 있다. 상기 범위에서, 선형의 실리콘계 러버 등의 수지와 혼용성이 우수하고 경화효율을 높일 수 있다.(In the formula (15), 0? X? 30, 0? Y? 40, 0? Z? 40, and Me is a methyl group. The number average molecular weight (Mn) of the crosslinking agent of Formula 15 may be 200 to 3000 g / mol. Within this range, excellent compatibility with a resin such as a linear silicone rubber or the like can be obtained and the curing efficiency can be increased.
선형의 실리콘계 러버의 중량평균분자량에 대한 선형의 실리콘계 러버 중 실리콘-경화작용기(예:Si-비닐기)의 몰수의 비를 A라고 하고, 가교제의 (중량)평균분자량에 대한 가교제 중 실리콘-H(Si-H)의 몰수의 비를 B라고 할 때, A:B는 1:1 내지 1:3, 예를 들면 1:1 내지 1:2가 될 수 있다. 상기 범위에서, 크랙 발생이 낮아 복합시트의 안정성을 높일 수 있다.The ratio of the number of moles of the silicon-curing functional group (e.g., Si-vinyl group) in the linear silicone rubber to the weight average molecular weight of the linear silicone rubber is defined as A, A: B may be from 1: 1 to 1: 3, for example, from 1: 1 to 1: 2, where B is the ratio of the number of moles of Si- In the above range, the occurrence of cracks is low and the stability of the composite sheet can be enhanced.
매트릭스용 조성물은 촉매, 억제제 중 하나 이상을 더 포함할 수 있다.The composition for a matrix may further comprise at least one of a catalyst and an inhibitor.
촉매는 가교 반응 속도를 높이기 위한 것으로, 플렉시블 기판용 복합시트 제조에서 통상적으로 사용되는 촉매를 사용할 수 있다. 예를 들면, 촉매는 백금계 또는 로듐계 촉매로서 백금과 유기 화합물의 복합체, 백금과 비닐화된 오르가노실록산 복합체, 로듐과 올레핀 착체 등을 사용할 수 있다. 구체적으로는, 촉매는 Karstedt 촉매를 포함하는 비닐알킬실란 백금 착물(vinylalkylsilane platinum complex), 백금흑(platinum black), 염화백금산(chloroplatinic acid), 염화백금산-올레핀 착체(chloroplatinic acid-olefin complex), 염화백금산-알코올 배위 화합물(chloroplatinic acid-alcohol complex), 또는 이들의 혼합물을 사용할 수 있다. 촉매는 금속의 중량으로, 선형의 실리콘계 러버에 대해 2ppm 내지 2000ppm, 예를 들면 5ppm 내지 500ppm으로 포함될 수 있다. 상기 범위에서, 가교 반응 속도를 충분히 높일 수 있고, 불필요한 촉매의 사용을 배제할 수 있다.The catalyst is used for increasing the crosslinking reaction rate, and a catalyst commonly used in the production of a composite sheet for a flexible substrate can be used. For example, the catalyst may be a platinum-based or rhodium-based catalyst, a complex of platinum and an organic compound, a platinum-vinylated organosiloxane complex, a rhodium-olefin complex, or the like. Specifically, the catalyst may be a vinylalkylsilane platinum complex, a platinum black, a chloroplatinic acid, a chloroplatinic acid-olefin complex, a chloroplatinic acid-olefin complex, A chloroplatinic acid-alcohol complex, or a mixture thereof may be used. The catalyst may comprise from 2 ppm to 2000 ppm, for example from 5 ppm to 500 ppm, based on the weight of the metal, for the linear silicone rubber. Within the above range, the crosslinking reaction rate can be sufficiently increased, and unnecessary use of the catalyst can be avoided.
억제제는 상온에서는 촉매의 작용을 억제하고 고온의 경화 과정에서는 촉매 억제 작용을 하지 않음으로써 고온에서 조성물을 경화시킬 수 있고, 플렉시블 기판용 복합시트 제조에서 통상적으로 사용되는 억제제를 사용할 수 있다. 예를 들면, 억제제는 3,5-디메틸-1-헥신-3-올(3,5-Dimethyl-1-hexyn-3-ol) 등을 포함하는 아세틸렌성 알코올(acetylenic alcohol), 피리딘(pyridine), 포스핀(phosphine), 유기 포스파이트(organic phosphite), 불포화아미드(unsaturated amide), 디알킬카르복실레이트(dialkyl carboxylate), 디알킬 아세틸렌 디카르복실레이트(dialkyl acetylene dicarboxylate), 알킬화된 말리에이트(alkylated maleate), 디알릴말리에이트(diallyl maleate), 또는 이들의 혼합물로 이루어진 군으로부터 선택될 수 있다. 억제제는 선형의 실리콘계 러버에 대해 100ppm 내지 2500ppm으로 포함될 수 있다. 상기 범위에서, 온도에 따른 촉매의 억제, 및 고온 경화를 제어할 수 있다.The inhibitor inhibits the action of the catalyst at room temperature and does not inhibit the catalyst in the course of curing at high temperature, so that the composition can be cured at a high temperature and an inhibitor commonly used in the manufacture of a composite sheet for a flexible substrate can be used. For example, the inhibitor may be selected from the group consisting of acetylenic alcohols, pyridine, and the like, including 3,5-dimethyl-1-hexyn- Phosphine, organic phosphite, unsaturated amide, dialkyl carboxylate, dialkyl acetylene dicarboxylate, alkylated malateate (also referred to as " alkylated maleate, diallyl maleate, or mixtures thereof. The inhibitor may be included at from 100 ppm to 2500 ppm for the linear silicone rubber. Within this range, it is possible to control the suppression of the catalyst depending on the temperature, and the high temperature curing.
보강재는 매트릭스(1) 내에 포함(embedd)되어 있는데, 구체적으로 분산, 단일 층 또는 복수층 구조로 매트릭스에 포함될 수 있다. 도 1 에는 보강재(5)가 매트릭스(1)에 층상으로 함침된 구조만을 도시하나, 이에 한정되는 것은 아니며, 보강재는 매트릭스 내에 분산되어 있거나, 직조된 형태로 함침되거나, 일방향(uni direction)으로 배열되어 함침될 수도 있다. 또한, 보강재는 단일층 또는 복수층으로 형성될 수 있다. 복합시트 중 보강재는 30 내지 70중량%, 예를 들면 40 내지 60중량%로 포함될 수 있다. 상기 범위에서, 플렉시블 기판의 고내열성 및 기계적 물성을 확보할 수 있고, 투명성, 유연성, 경량성이 좋도록 할 수 있을 뿐만 아니라 복합시트에 유연성을 제공할 수 있다.The stiffener is embeddable within the
보강재는 매트릭스와의 굴절률 차이(보강재의 굴절률-매트릭스의 굴절률의 절대값)가 0.01 이하가 될 수 있다. 상기 범위에서, 우수한 투명성과 투광성을 가질 수 있다. 예를 들면, 굴절률 차이는 0 내지 0.005, 예를 들면 0.0001 내지 0.005가 될 수 있다. 구체적으로, 보강재는 굴절률(refractive index)이 1.5 이하, 구체적으로 1.47 내지 1.48인 것을 사용할 수 있다. 굴절률이 1.5 이하인 보강재는 실리콘계 매트릭스와의 굴절률 차이가 작아 복합시트는 투명성을 확보할 수 있다. 또한, 보강재는 열팽창계수가 10 ppm/℃ 이하, 구체적으로 3 내지 5 ppm/℃ 인 것을 사용할 수 있으며, 이와 같은 보강재를 사용하는 경우 복합시트 전체의 열팽창계수를 낮출 수 있어 내열성의 향상을 가져올 수 있다. 열팽창계수는 ASTM E 831 방법으로서, 온도에 따른 dimensional change를 Thermo-mechanical analyser(expansion mode, force 0.05N)를 이용하여 측정한 후, 온도(30 내지 250℃)에 따른 시료 길이의 변화 곡선으로부터 측정할 수 있다. 구체적으로, 보강재는 유리섬유, 유리 섬유포(glass fiber cloth), 유리 직물(glass fabric), 유리 부직포, 유리 메쉬(glass mesh) 로 이루어진 군으로부터 선택되는 1종 이상을 포함할 수 있지만, 이에 제한되지 않는다.The stiffener may have a refractive index difference with respect to the matrix (refractive index of the stiffener - absolute value of the refractive index of the matrix) of 0.01 or less. Within this range, it can have excellent transparency and translucency. For example, the refractive index difference may be from 0 to 0.005, for example from 0.0001 to 0.005. Specifically, the reinforcing material may have a refractive index of 1.5 or less, specifically 1.47 to 1.48. The reinforcing material having a refractive index of 1.5 or less has a small difference in refractive index from the silicone matrix, so that the composite sheet can secure transparency. The reinforcing material may have a coefficient of thermal expansion of 10 ppm / ° C or less, specifically 3 to 5 ppm / ° C. When such a reinforcing material is used, the thermal expansion coefficient of the entire composite sheet can be lowered, have. The thermal expansion coefficient is measured by a thermo-mechanical analyzer (expansion mode, force 0.05N) according to ASTM E 831 method and measured from the curve of the sample length according to the temperature (30 to 250 ° C) can do. Specifically, the reinforcing material may include at least one selected from the group consisting of glass fiber, glass fiber cloth, glass fabric, glass nonwoven fabric, glass mesh, Do not.
이하, 본 발명의 다른 구체예의 매트릭스를 설명한다. 본 발명의 다른 구체예의 매트릭스는 상기 선형의 실리콘계 러버, 상기 가교제, 및 비-러버형(non-rubber) 실리콘 화합물을 포함하는 매트릭스용 조성물의 경화물을 포함할 수 있다. 비-러버형 실리콘 화합물을 더 포함함으로써, 선형의 실리콘계 러버와 비-러버형 실리콘 화합물 간의 몰수비 조절에 의해 복합시트의 모듈러스 조절이 용이할 수 있다. 비-러버형 실리콘 화합물을 포함하는 점 이외에는 본 발명 일 구체예의 매트릭스와 실질적으로 동일하다.Hereinafter, a matrix of another embodiment of the present invention will be described. The matrix of another embodiment of the present invention may comprise a cured product of said linear silicone-based rubber, said crosslinking agent, and a composition for a matrix comprising a non-rubbery silicone compound. By further including the non-rubbery silicone compound, modulus control of the composite sheet can be facilitated by controlling the molar ratio between the linear silicone rubber and the non-rubbery silicone compound. Is substantially the same as the matrix of the embodiment of the present invention except that it includes a non-rubbery silicone compound.
비-러버형 실리콘 화합물은 예를 들어, 고리형 실록산 화합물일 수 있다. 고리형 실록산 화합물은 실록산 단위가 고리 형태로 연결된 구조로서 복합시트의 모듈러스를 높일 수 있다. 고리형 실록산 화합물은 경화성 작용기, 및 지방족 탄화수소기 및/또는 방향족 탄화수소기를 포함할 수 있고, 경화성 작용기는 말단에 이중결합을 갖는 탄소수 2 내지 12의 불포화탄화수소기, 예를 들면 비닐기, 또는 알릴기가 될 수 있다.The non-rubbery silicone compound may be, for example, a cyclic siloxane compound. The cyclic siloxane compound has a structure in which siloxane units are linked in the form of a ring to increase the modulus of the composite sheet. The cyclic siloxane compound may include a curing functional group and an aliphatic hydrocarbon group and / or an aromatic hydrocarbon group, and the curable functional group may be an unsaturated hydrocarbon group having 2 to 12 carbon atoms having a double bond at the terminal, for example, a vinyl group, .
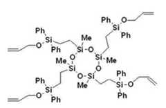
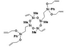
구체예에서, 고리형 실록산 화합물은 동종 또는 이종의 실록산 단위가 3 내지 10개 연결된 고리형 실록산으로서, 예를 들면 시클로트리실록산(cyclotrisiloxane), 시클로테트라실록산(cyclotetrasiloxane), 시클로펜타실록산(cyclopentasiloxane), 시클로헥사실록산(cyclohexasiloxane), 시클로헵타실록산(cycloheptasiloxane), 또는 시클로옥타실록산(cyclooctasiloxane) 중 하나 이상의 실리콘에 상술한 경화성 작용기 등이 결합된 화합물을 포함할 수 있다. 예를 들면, 고리형 실록산 화합물은 테트라비닐테트라메틸시클로테트라실록산(tetravinyltetramethylcyclotetrasiloxane), 테트라비닐테트라메틸시클로테트라실록산으로부터 제조된 유도체, 테트라메틸시클로테트라실록산(tetramethylcyclotetrasiloxane)으로부터 제조된 유도체 등을 포함할 수 있다.In embodiments, the cyclic siloxane compound is a cyclic siloxane having 3 to 10 linked homo- or hetero- siloxane units, such as cyclotrisiloxane, cyclotetrasiloxane, cyclopentasiloxane, cyclopentasiloxane, A compound in which at least one of silicones such as cyclohexasiloxane, cycloheptasiloxane, or cyclooctasiloxane is bonded to the above-described curable functional group, and the like. For example, cyclic siloxane compounds can include tetravinyltetramethylcyclotetrasiloxane, derivatives prepared from tetravinyltetramethylcyclotetrasiloxane, derivatives prepared from tetramethylcyclotetrasiloxane, and the like .
일 구체예에서, 고리형 실록산 화합물은 하기 화학식 16으로 표시될 수 있다:In one embodiment, the cyclic siloxane compound can be represented by the formula:
<화학식 16>≪ Formula 16 >
(상기 화학식 16에서, R1, R2, R3, R4, R5, R6,R7,R8은 각각 독립적으로 탄소수 1 내지 10의 알킬기, 탄소수 6 내지 20의 아릴기, 비닐기, 알릴기, 알릴옥시기, 비닐옥시기, 또는 하기 화학식 17이고,(Wherein R1 , R2 , R3 , R4 , R5 , R6, R7and R8 each independently represent an alkyl group having 1 to 10 carbon atoms, an aryl group having 6 to 20 carbon atoms, , An allyl group, an allyloxy group, a vinyloxy group, or a group represented by the following formula (17)
<화학식 17>≪ Formula 17 >
(상기 화학식 17에서, *은 상기 화학식 16 중 Si에 대한 연결 부위이고,(In the above formula (17), * is a connecting site to Si in the above formula (16)
R9는 탄소수 1 내지 10의 알킬렌기, 또는 탄소수 6 내지 20의 아릴렌기이고, R10, R11, R12는 각각 독립적으로 탄소수 1 내지 10의 알킬기, 탄소수 6 내지 20의 아릴기, 비닐기, 알릴기, 알릴옥시기, 비닐옥시기이고, X1, X2는 각각 독립적으로 단일 결합, O, S, 또는 NR(R은 수소 또는 탄소수 1 내지 10의 알킬기이다)이고,R9 is an alkylene group having 1 to 10 carbon atoms or an arylene group having 6 to 20 carbon atoms and R10 , R11 and R12 each independently represent an alkyl group having 1 to 10 carbon atoms, an aryl group having 6 to 20 carbon atoms, , An allyl group, an allyloxy group, and a vinyloxy group; X1 and X2 each independently represent a single bond, O, S, or NR (R is hydrogen or an alkyl group having 1 to 10 carbon atoms)
R1, R2, R3, R4, R5, R6,R7,R8 중 하나 이상은 비닐기, 알릴기, 알릴옥시기, 비닐옥시기, R10, R11, R12 중 하나 이상이 비닐기인 화학식 17,  R10, R11, R12 중 하나 이상이 알릴기인 화학식 18, R10, R11, R12 중 하나 이상이 알릴옥시기인 화학식 17, 또는 R10, R11, R12 중 하나 이상이 비닐옥시기인 화학식 17이다).R 1, R 2, R 3 , R 4,
상기 유도체는 통상의 방법으로 제조될 수 있다. 예를 들면, 테트라비닐테트라알킬시클로테트라실록산 중 알킬기를 할로겐화된 알킬기로 변환하고, 경화성 작용기 함유 화합물 예를 들면 알릴 알코올, 비닐 알코올 등을 Karstedt 백금 촉매 하에 반응시켜 제조될 수 있다.The derivative can be prepared by a conventional method. For example, it can be prepared by converting an alkyl group in a tetravinyl tetraalkylcyclotetrasiloxane to a halogenated alkyl group and reacting a curable functional group-containing compound such as allyl alcohol, vinyl alcohol or the like under a Karstedt platinum catalyst.
구체적으로, 고리형 실록산 화합물은 하기 화학식 18 내지 43 중 어느 하나로 표시될 수 있지만, 이에 제한되지 않는다:Specifically, the cyclic siloxane compound may be represented by any one of the following formulas (18) to (43), but is not limited thereto:
<화학식 18>≪ Formula 18 >
<화학식 19>(19)
<화학식 20>(20)
<화학식 21>(21)
<화학식 22>(22)
<화학식 23>≪ Formula 23 >
<화학식 24>≪ EMI ID =
<화학식 25>≪
<화학식 26>(26)
<화학식 27>≪ Formula 27 >
<화학식 28>(28)
<화학식 29>(29)
<화학식 30>(30)
<화학식 31>(31)
<화학식 32>(32)
<화학식 33>≪
<화학식 34>(34)
<화학식 35>≪
<화학식 36>≪ EMI ID =
<화학식 37>(37)
<화학식 38>≪ Formula 38 >
<화학식 39>≪ EMI ID =
<화학식 40>≪ EMI ID =
<화학식 41>≪ EMI ID =
<화학식 42>(42)
<화학식 43>≪ Formula 43 >
(상기 화학식 18 내지 화학식 43에서, Me는 메틸기이고, Ph는 페닐기이다).(In the above Chemical Formulas 18 to 43, Me is a methyl group and Ph is a phenyl group).
매트릭스용 조성물 중 비-러버형 실리콘 화합물의 분자량에 대한 비-러버형 실리콘 화합물 중 실리콘-경화 작용기(예:Si-비닐기)의 몰수의 비를 C, 선형의 실리콘계 러버의 중량평균분자량에 대한 선형의 실리콘계 러버 중 실리콘-경화 작용기(예:Si-비닐기)의 몰수의 비를 A라고 할 때, C:A는 1:1 내지 6:1, 예를 들면 3:1 내지 6:1이 될 수 있다. 상기 범위에서, 복합시트의 열안정성이 우수할 수 있다. 또한, 가교제의 (중량)평균분자량에 대한 가교제 중 실리콘-H(Si-H)의 몰수의 비를 B라고 할 때, (A+C):B는 1:1 내지 1:3, 예를 들면 1:1 내지 1:2가 될 수 있다. 상기 범위에서, 크랙 발생이 낮아 복합시트의 안정성을 높일 수 있다.The ratio of the number of moles of the silicon-curing functional group (e.g., Si-vinyl group) in the non-rubbery silicone compound to the molecular weight of the non-rubbery silicone compound in the matrix composition is represented by C, A is 1: 1 to 6: 1, for example, 3: 1 to 6: 1, where A is the ratio of the number of moles of the silicon-curing functional group (e.g., Si- . Within the above range, the composite sheet may have excellent thermal stability. When the ratio of the number of moles of silicon-H (Si-H) in the cross-linking agent to the (weight) average molecular weight of the cross-linking agent is B, the ratio of (A + C): B is 1: 1 to 1: 3, 1: 1 to 1: 2. In the above range, the occurrence of cracks is low and the stability of the composite sheet can be enhanced.
매트릭스용 조성물 중 고형분 기준으로 선형의 실리콘계 러버는 60 내지 80중량%, 비-러버형 실리콘 화합물은 1 내지 30중량%, 가교제는 1 내지 20중량%로 포함될 수 있다. 상기 범위에서, 적정 범위의 가교 사이트가 반응함으로써 미반응된 물질로 인해 복합시트의 투과도가 저해되는 것을 막을 수 있다.In the composition for a matrix, the linear silicone rubber, the non-rubber silicone compound and the crosslinking agent may be contained in an amount of 60 to 80% by weight, 1 to 30% by weight, and 1 to 20% by weight, respectively. Within this range, it is possible to prevent the permeability of the composite sheet from being hindered by the unreacted material due to the reaction of the appropriate range of crosslinking sites.
제2시트(20)는 경화 작용기를 갖는 통상의 수지로서, 경화 후 상술한 표면 에너지를 가지며, 제1시트(10) 위에 적층시 상술한 모듈러스 범위를 구현할 수 있다면 수지의 종류에 제한을 두지 않는다. 예를 들면, 제2시트는 아크릴 수지 등으로 제조될 수 있다.The
이하, 도 2를 참조하여 본 발명의 다른 실시예에 따른 복합시트를 설명한다. 도 2는 본 발명 다른 실시예의 복합시트의 단면도이다. 도 2를 참조하면, 본 발명의 다른 실시예에 따른 복합시트(200)는 매트릭스(1)에 함침된 보강재(5)를 포함하는 제1시트(10), 제1시트(10)의 상부면에 형성된 제2시트(20), 및 제2시트(20)의 상부면에 형성된 배리어층(30)을 포함할 수 있다. 배리어층 (30)을 더 포함시킨 것을 제외하고는 본 발명 일 실시예의 복합시트와 동일하다. 또한, 도 2에서는 배리어층 1층이 매트릭스의 상부면에 형성된 경우만을 도시하였으나, 배리어층은 2층 이상 형성될 수도 있고, 매트릭스의 상부면 뿐만 아니라 하부면에도 형성될 수도 있다.Hereinafter, a composite sheet according to another embodiment of the present invention will be described with reference to FIG. 2 is a cross-sectional view of a composite sheet according to another embodiment of the present invention. Referring to FIG. 2, a
배리어층(30)은 제2시트(20)에 일면에 형성되어 복합시트(200)의 가스 차단성, 내투습성, 기계적 물성, 또는 평활성을 극대화시키는 효과를 구현할 수 있다. 일 구체예에서, 배리어층(30)은 질화규소, 산화규소, 탄화규소, 질화알루미늄, ITO(indium tin oxide), IZO(indium zinc oxide) 중 하나 이상을 포함할 수 있다. 배리어층(30)의 모듈러스는 5 내지 20GPa, 구체적으로 10 내지 20GPa이 될 수 있고, 두께가 5 내지 300nm가 될 수 있다. 상기 범위에서, 복합시트의 투과도에 영향을 미치지 않으면서 낮은 표면 조도와 효율적인 투습도 제어 효과가 있을 수 있다.The
배리어층(30)은 제2시트(20)의 표면에 물리적 증착, 화학적 증착, 코팅, 스퍼터링, 증발법, 이온 도금법, 습식 코팅법, 유기 무기 다층 코팅법의 방법으로 형성될 수 있다.The
이하, 본 발명의 일 실시예에 따른 복합시트의 제조방법에 대해 설명한다. 본 발명의 일 실시예에 따른 복합시트의 제조방법은 보강재가 함침된 매트릭스용 조성물 상에 제2시트용 조성물과 기재필름이 순차 형성된 적층체를 형성하고, 제2시트용 조성물과 매트릭스용 조성물을 경화시키는 것을 포함하고, 제2시트용 조성물과 매트릭스용 조성물의 경화 전에 매트릭스용 조성물과 제2 시트용 조성물은 완전 경화되지 않은 상태일 수 있다. 상기 "완전 경화"는 매트릭스용 조성물과 제2 시트용 조성물이 각각 90% 이상의 경화율로 경화된 상태를 의미할 수 있다.Hereinafter, a method for manufacturing a composite sheet according to an embodiment of the present invention will be described. A method for producing a composite sheet according to an embodiment of the present invention includes: forming a laminate having a composition for a second sheet and a base film sequentially formed on a matrix composition impregnated with a reinforcing material; and forming a composition for a second sheet and a composition for a matrix And the composition for a matrix and the composition for a second sheet may not be fully cured before curing the composition for a second sheet and the composition for a matrix. The "completely cured" may mean that the composition for a matrix and the composition for a second sheet are each cured at a curing rate of 90% or more.
제2시트용 조성물은 상술한 제2시트를 형성하기 위한 수지를 포함하는 조성물로서, 수지는 통상의 용매 예를 들면 메틸에틸케톤(MEK) 등에 용해된 상태로 코팅될 수 있다.The composition for the second sheet is a composition comprising a resin for forming the second sheet described above, and the resin may be coated in a state where it is dissolved in a common solvent such as methyl ethyl ketone (MEK).
적층체는 제2시트용 조성물이 코팅된 기재 필름에 매트릭용 조성물을 코팅하고 보강재를 함침하여 형성할 수도 있고, 또는 제2시트용 조성물이 코팅된 기재 필름을 보강재가 함침된 매트릭스 상에 라미네이트하여 형성할 수도 있다. 상기 보강재가 함침된 매트릭스는 기재필름 상에 매트릭스용 조성물을 코팅하고 보강재를 함침하여 제조할 수 있으며, 이때, 제2시트용 조성물과 매트릭스용 조성물은 완전 경화되지 않은 상태일 수 있다. 제2 시트용 조성물과 매트릭스용 조성물이 완전 경화되지 않은 상태에서 추후 동시에 경화됨으로써, 매트릭스 위에 제2시트를 안정하게 고 결합으로 형성할 수 있다.The laminate may be formed by coating the matrix composition on the base film coated with the composition for the second sheet and impregnating the reinforcing material or by laminating the base film coated with the composition for the second sheet onto the matrix impregnated with the reinforcement . The matrix impregnated with the reinforcing material may be prepared by coating a matrix composition on a base film and impregnating a reinforcing material, wherein the composition for the second sheet and the composition for a matrix may not be completely cured. The composition for a second sheet and the composition for a matrix are cured at the same time in a state in which they are not completely cured so that the second sheet can be stably formed in a high bond on the matrix.
기재필름은 제2시트용 조성물을 안정하게 유지할 수 있고, 제2시트로부터 쉽게 박리될 수 있는 것이라면 특별히 제한되지 않는다. 예를 들면, 기재필름은 폴리에틸렌테레프탈레이트(PET) 등의 폴리에스테르 필름을 사용할 수 있다. 또한, 기재필름은 제2시트용 조성물의 코팅 용이성을 위해 프라이머(primer)층이 더 형성될 수 있는데, 프라이머층은 아크릴, 폴리에스테르 재질 등으로 형성될 수 있다. 기재필름은 두께가 10 내지 100㎛가 될 수 있다. 상기 범위에서, 제2시트용 조성물을 안정하게 유지할 수 있다.The base film is not particularly limited as long as it can stably maintain the composition for the second sheet and can be easily peeled off from the second sheet. For example, the base film may be a polyester film such as polyethylene terephthalate (PET). In addition, the base film may further include a primer layer for ease of coating the second sheet composition. The primer layer may be formed of acrylic, polyester, or the like. The base film may have a thickness of 10 to 100 mu m. Within this range, the composition for the second sheet can be stably maintained.
제2시트용 조성물이 코팅된 기재필름은 기재필름 상에 제2 시트용 조성물을 코팅하여 형성하는데, 제2시트용 조성물의 코팅 두께는 최종 복합시트 중 제2시트의 두께를 고려하여 1 내지 10㎛가 될 수 있다. 코팅 방법은 특별히 제한되지 않으며, 스핀 코팅, 다이 코팅 등이 될 수 있다.The substrate film coated with the composition for the second sheet is formed by coating the composition for the second sheet on the base film, wherein the coating thickness of the composition for the second sheet is 1 to 10 Mu m. The coating method is not particularly limited, and may be spin coating, die coating, or the like.
제2시트용 조성물은 경화 전, 구체적으로 매트릭스용 조성물과 접촉하기 전에 일부 경화될 수 있다. 이는 제2시트용 조성물을 기재필름에 안정하게 고정시킬 수 있고, 제2시트용 수지에 남아있는 일부의 경화성 작용기가 추후 매트릭스에 포함된 경화성 작용기와 서로 경화 반응함으로써 제2시트와 제1시트 간의 결합력을 높일 수 있고 추후 기재필름으로부터 제2시트가 쉽게 박리되도록 할 수 있다. 구체적으로, 제2시트용 조성물은 경화율 10 내지 50%로 경화될 수 있다. 상기 범위에서, 제2시트용 조성물을 기재필름에 안정하게 고정시킬 수 있고, 제1시트와 제2시트의 결합력을 높일 수 있다. 이를 위해, 경화는 저 광량에서 수행하는 것이 좋은데, 예를 들면 UVA파장에서 300mJ 이하, 예를 들면 10 내지 300mJ, 1 내지 60초동안 수행될 수 있다.The composition for the second sheet may be partially cured before curing, specifically before contacting the composition for a matrix. This makes it possible to stably fix the composition for the second sheet to the base film, and a part of the curable functional groups remaining in the resin for the second sheet is cured with the curable functional groups contained in the matrix, The bonding force can be increased and the second sheet can be easily peeled off from the substrate film at a later stage. Specifically, the composition for the second sheet can be cured at a curing rate of 10 to 50%. Within the above range, the composition for the second sheet can be stably fixed to the base film, and the bonding force between the first sheet and the second sheet can be increased. For this purpose, the curing is preferably carried out at a low light dose, for example at a UVA wavelength of 300 mJ or less, for example 10 to 300 mJ, for 1 to 60 seconds.
적층체를 형성한 후 매트릭스용 조성물과 제2시트용 조성물을 경화시킬 수 있다. 경화 방법은 특별히 제한되지 않으며, 예를 들면 열경화, 광경화, 또는 이들의 조합을 사용할 수 있다. 열경화는 30 내지 100℃에서 1 내지 3시간 동안 수행될 수 있지만 이에 제한되지 않는다. 광경화는 300 내지 1000mJ에서, 10 초 내지 5분 동안 수행될 수 있다.After the laminate is formed, the composition for a matrix and the composition for a second sheet can be cured. The curing method is not particularly limited, and for example, thermal curing, light curing, or a combination thereof can be used. The thermal curing may be performed at 30 to 100 캜 for 1 to 3 hours, but is not limited thereto. Photocuring can be performed at 300 to 1000 mJ for 10 seconds to 5 minutes.
본 발명의 일 실시예에 따른 복합시트의 제조방법은 기재필름을 박리하는 단계를 더 포함할 수 있는데, 기재필름은 물리적 방법 또는 복합시트의 물성에 영향을 주지 않는 범위 내에서 화학적인 방법으로 박리할 수 있고, 이에 제한되지 않는다.The method for manufacturing a composite sheet according to an embodiment of the present invention may further include a step of peeling the base film, wherein the base film is peeled off by a chemical method within a range that does not affect physical properties or physical properties of the composite sheet But is not limited thereto.
이상, 보강재가 함침된 매트릭스용 조성물 일 면에 제2시트용 조성물과 기재필름이 순차 형성된 적층체가 형성된 경우만을 설명하였으나, 보강재가 함침된 매트릭스용 조성물 양면에 제2시트용 조성물과 기재필름이 순차 형성된 적층체가 형성된 경우에도 동일하게 적용될 수 있다.In the above description, only the case where the laminate for the second sheet and the base film are sequentially formed on one side of the composition for the matrix impregnated with the reinforcing material is described. However, when the composition for the second sheet and the base film are sequentially formed on both sides of the matrix- The same can be applied to the case where the formed laminate is formed.
본 발명의 디스플레이 장치는 상기 복합시트를 포함할 수 있다. 디스플레이 장치는 예를 들면 플렉시블 액정디스플레이 장치, 플렉시블 유기발광소자디스플레이 장치 등이 될 수 있지만, 이에 제한되지 않는다. 디스플레이 장치는 기판, 상기 기판 위에 형성된 장치용 부재를 포함하고, 상기 장치용 부재는 유기발광소자, 액정 등을 포함할 수 있다.The display device of the present invention may include the composite sheet. The display device may be, for example, a flexible liquid crystal display device, a flexible organic light emitting diode display device or the like, but is not limited thereto. The display device includes a substrate and a member for an apparatus formed on the substrate, and the member for the apparatus may include an organic light emitting element, a liquid crystal, or the like.
본 발명의 디스플레이 장치는 상기 복합시트를 포함할 수 있다. 디스플레이 장치는 예를 들면 플렉시블 액정디스플레이 장치, 플렉시블 유기발광소자디스플레이 장치 등이 될 수 있지만, 이에 제한되지 않는다. 디스플레이 장치는 기판, 상기 기판 위에 형성된 장치용 부재를 포함하고, 상기 장치용 부재는 유기발광소자, 액정 등을 포함할 수 있다.The display device of the present invention may include the composite sheet. The display device may be, for example, a flexible liquid crystal display device, a flexible organic light emitting diode display device or the like, but is not limited thereto. The display device includes a substrate and a member for an apparatus formed on the substrate, and the member for the apparatus may include an organic light emitting element, a liquid crystal, or the like.
이하, 도 3을 참조하여 본 발명의 일 실시예에 따른 디스플레이 장치를 설명한다. 도 3은 본 발명 일 실시예의 디스플레이 장치의 단면도이다. 도 3을 참조하면, 본 발명의 일 실시예에 따른 디스플레이 장치는 기판(110), 기판(110)의 상부에 형성된 버퍼층(25), 버퍼층(25)의 상부에 형성된 게이트 전극(41), 게이트 전극(41)과 버퍼층(25) 사이에 형성된 게이트 절연막(40)을 포함할 수 있다. 게이트 절연막(40) 내부에는 소스 및 드레인 영역(31,32,33)을 포함하는 활성층(35)이 형성되어 있다. 게이트 절연막(40)의 상부에는 소스 및 드레인 전극(52,53)이 형성된 층간 절연막(51)이 형성되어 있고, 층간 절연막(51) 상부에는 콘택홀(62)을 포함하는 패시베이션층(61), 제1 전극(70), 및 화소 정의막(80)이 형성되어 있다. 화소 정의막(80) 상부에는 유기 발광층(71)과 제2 전극(72)이 형성되어 있고, 기판(110)은 상기 복합시트를 포함할 수 있다.Hereinafter, a display device according to an embodiment of the present invention will be described with reference to FIG. 3 is a cross-sectional view of a display device according to an embodiment of the present invention. 3, a display device according to an embodiment of the present invention includes a
이하, 실시예를 통하여 본 발명을 보다 구체적으로 설명하고자 하나, 이러한 실시예들은 단지 설명의 목적을 위한 것으로, 본 발명을 제한하는 것으로 해석되어서는 안 된다.Hereinafter, the present invention will be described in more detail by way of examples, but these examples are for illustrative purposes only and should not be construed as limiting the present invention.
제조예Manufacturing example: 선형의 실리콘계: Linear silicon system러버의Rubber 제조 Produce
페닐메틸디메톡시실란(Phenylmethyldimethoxysilane, PMDMS), 디메틸디메톡시실란(Dimethyldimethoxysilane, DMDMS)과 비닐 메틸 디메톡시실란(Vinylmethyldimethoxy silane, VMDMS)를 사용하여 합성하였다. PMDMS, DMDMS 및 VMDMS 를 계량 후(PMDMS:DMDMS = 3:2(중량비), VMDMS 의 첨가 당량: PMDMS + DMDMS + VMDMS 중 1.0중량%), 70℃에서 1시간 동안 DIW(deionized water)/KOH 하에서 가수분해를 진행하였다. 90℃에서 중합 반응을 진행하고, Toluene과 H2O를 첨가하여 25℃로 낮추고, H2O로 수세하였다. 그 후에 1,3-디비닐테트라메틸디실록산(1,3-divinyltetramethyldisiloxane, Vi-MM)을 첨가하고 50℃에서 5시간 말단 캡핑을 진행하고, 상온에서 H2O로 수세하고, evaporator로 용매를 제거하여 최종 선형의 실리콘계 러버를 합성하였다. 합성된 선형의 실리콘계 러버의 수평균분자량(Mn)은 7,000g/mol이었다.And synthesized by using phenylmethyldimethoxysilane (PMDMS), dimethyldimethoxysilane (DMDMS), and vinylmethyldimethoxysilane (VMDMS). After PMDMS, DMDMS and VMDMS were weighed (PMDMS: DMDMS = 3: 2 (weight ratio), adding equivalent of VMDMS: 1.0 wt% in PMDMS + DMDMS + VMDMS) and 1 hour at 70 ° C under DIW (deionized water) / KOH Followed by hydrolysis. The polymerization reaction was carried out at 90 ° C, Toluene and H2 O were added, the temperature was lowered to 25 ° C, and the reaction solution was washed with H2 O. After that, 1,3-divinyltetramethyldisiloxane (Vi-MM) was added and the end capping was performed at 50 ° C for 5 hours. The reaction mixture was washed with H2 O at room temperature, And the final linear silicone rubber was synthesized. The number average molecular weight (Mn) of the synthesized linear silicone rubber was 7,000 g / mol.
실시예Example 1 One
제조예 1의 선형의 실리콘계 러버, 가교제인 트리스-실란(트리스(디메틸실록시)페닐실란, tris(dimethylsiloxy)phenylsilane, 순도:98% 이상, 제이엘켐), 비-러버형 실리콘 화합물인 테트라비닐테트라메틸시클로테트라실록산(tetravinyltetramethylcyclotetrasiloxane, D4vinyl, 순도:95%이상, 제이엘켐)을 중량비가 6:2:1이 되도록 배합하고, 억제제(Surfynol)와 Karstedt 촉매(Umicore사)를 선형의 실리콘계 러버에 대해 각각 1000ppm, 500ppm으로 첨가하고 교반하여 매트릭스용 조성물을 제조하였다. 아크릴 수지로 SSH-1001LV(Shin-A T&C)과 MHIC-11(MNP Co.)의 1:1 중량비 혼합물을 MEK(methyl ethyl ketone)에 고형분 50중량%로 희석하고, 폴리에틸렌테레프탈레이트(PET, Toray사, 두께 38㎛, 프라이머 코팅된 제품) 필름 위에 코팅하였다. 용제 MEK를 제거한 후 UV 300mJ을 조사하여 아크릴 수지 일부를 경화시켰다(경화율:30%). 경화된 아크릴 수지의 두께는 2 내지 3㎛이었다. 유리 섬유포(굴절률:1.48, 열팽창계수:3ppm/℃)를 상기 매트릭스용 조성물에 함침하고, 일면에는 아크릴 수지가 없는 PET 필름을, 다른 일면에는 상기 아크릴 수지가 일부 경화된 PET 필름을 적용하고 0.1MPa의 압력으로 라미네이션하고, 60℃에서 1시간 동안 경화시키고, 양쪽 PET 필름을 박리시켜, 유리 섬유포가 함침된 실리콘 수지층인 제1시트와 실리콘 수지층 위에 형성된 아크릴 수지층인 제2시트를 포함하는 복합시트를 제조하였다.A linear silicone rubber of Production Example 1, a tris-silane (tris (dimethylsiloxy) phenylsilane, purity: 98% or more, JJ Chem), a crosslinking agent, a non-rubbery silicone compound tetravinyl tetra (Surfynol) and Karstedt catalyst (Umicore) were blended in a weight ratio of 6: 2: 1, and each of the inhibitors (Surfynol) and Karstedt catalyst (Umicore) was added to a linear silicone rubber 1000 ppm and 500 ppm, and stirred to prepare a composition for a matrix. A mixture of SSH-1001LV (Shin-A T & C) and MHIC-11 (MNP Co.) in an amount of 1: 1 by weight was diluted with methyl ethyl ketone (MEK) to a solid content of 50% by weight and polyethylene terephthalate Lt; / RTI > thick, 38 mu m thick, primer coated product). After the solvent MEK was removed, a part of the acrylic resin was cured by irradiation with UV 300 mJ (curing rate: 30%). The thickness of the cured acrylic resin was 2 to 3 占 퐉. The PET composition was impregnated with a glass fiber cloth (refractive index: 1.48, coefficient of thermal expansion: 3 ppm / 占 폚), and a PET film having no acrylic resin on one side and a partially cured PET film on the other side And a second sheet which is an acrylic resin layer formed on the silicone resin layer, the first sheet being a silicone resin layer impregnated with a glass fiber cloth and being peeled off both PET films, To prepare a composite sheet.
실시예Example 2 2
유리 섬유포가 함침된 매트릭스용 조성물의 양면에 아크릴 수지가 일부 경화된 PET 필름을 적용한 것을 제외하고는 실시예 1과 동일한 방법으로, 복합시트를 제조하였다.A composite sheet was prepared in the same manner as in Example 1, except that a PET film partially cured of acrylic resin was applied to both sides of a composition for a matrix impregnated with glass fiber cloth.
비교예Comparative Example 1 One
유리 섬유포가 함침된 매트릭스용 조성물을 경화시켜 제1시트를 제조하고, 제조된 제1시트 위에 미경화된 아크릴 수지를 코팅되지 않은 PET 필름을 이용하여 재함침하고, 경화시킨 것을 제외하고는 실시예 1과 동일한 방법으로 복합시트를 제조하였다.The first sheet was prepared by curing the composition for a matrix impregnated with the glass fiber cloth and the uncured acrylic resin on the first sheet thus prepared was re-impregnated with an uncoated PET film and cured, 1, a composite sheet was prepared.
비교예Comparative Example 2 2
유리 섬유포가 함침된 매트릭스용 조성물을 경화시켜 제1시트를 제조하고, 제조된 제1시트 위에 코로나 처리를 하고, 그런 다음, 제조된 제1시트 위에 미경화된 아크릴 수지를 코팅되지 않은 PET 필름을 이용하여 재함침하고, 경화시킨 것을 제외하고는 실시예 1과 동일한 방법으로 복합시트를 제조하였다.A first sheet is prepared by curing a composition for a matrix impregnated with a glass fiber cloth, corona treatment is performed on the first sheet thus prepared, and then an uncured PET film is coated on the first sheet, , And then cured, to prepare a composite sheet.
비교예Comparative Example 3 3
유리 섬유포가 함침된 매트릭스용 조성물을 경화시켜 제1시트를 제조하고, 제조된 제1시트 위에 UV 오존(UVO) 처리를 하고, 그런 다음, 제조된 제1시트 위에 미경화된 아크릴 수지를 코팅되지 않은 PET 필름을 이용하여 재함침하고, 경화시킨 것을 제외하고는 실시예 1과 동일한 방법으로 복합시트를 제조하였다.A first sheet is prepared by curing a composition for a matrix impregnated with a glass fiber cloth, a UV ozone treatment is applied to the first sheet, and then an uncured acrylic resin is coated on the first sheet A composite sheet was prepared in the same manner as in Example 1, except that the PET film was re-impregnated and cured.
비교예Comparative Example 4 4
유리 섬유포가 함침된 매트릭스용 조성물을 경화시켜 제1시트를 제조하고 아크릴 수지의 추가 함침 없이 복합시트를 제조하였다.The composition for a matrix impregnated with glass fiber cloth was cured to prepare a first sheet and a composite sheet was produced without additional impregnation of an acrylic resin.
실시예 1 내지 2, 비교예 1 내지 4의 복합시트에 대해 하기 물성을 측정하고 하기 표 1에 나타내었다.The following properties of the composite sheets of Examples 1 to 2 and Comparative Examples 1 to 4 were measured and are shown in Table 1 below.
(1) 표면 에너지: SEO사의 Phoenix300 Contact Angle Analyzer를 사용하여 접촉각을 측정하였다. 접촉각에 "Owens-Wendt-geometric" Method를 적용하여 표면 에너지를 계산하였다. 구체적으로, 극성 용액(deionized water)과 비극성 용액(diiodomethane)을 측정하고자 하는 복합시트 중 제2시트인 아크릴 수지층에 한 방울 (5 내지 8㎕) 떨어뜨려 두 용매의 접촉각을 상온(25℃)에서 접촉각 측정기를 이용하여 측정하며 표면에너지 계산식으로 많이 이용되는 Owens-Wendt-geometric 식을 이용하여 표면 에너지를 계산하였다. 동일한 방법으로 실리콘 수지층에 대해서도 표면 에너지를 계산하였다.(1) Surface energy: The contact angle was measured using a Phoenix 300 Contact Angle Analyzer manufactured by SEO Corporation. The surface energy was calculated by applying the "Owens-Wendt-geometric" method to the contact angle. Specifically, a drop (5 to 8 ㎕) was dropped to the acrylic resin layer, which is the second sheet, of the composite sheet to be measured for the deionized water and the diiodomethane, and the contact angle of the two solvents was adjusted to room temperature (25 캜) And the surface energy was calculated using the Owens-Wendt-geometric equation, which is often used as a surface energy calculation equation. Surface energy was also calculated for the silicone resin layer in the same manner.
(2) 모듈러스: 복합시트 중 제2시트인 아크릴 수지층에 대해 Micro indentation 장비(HM2000, Fisher사)를 사용하여 micro indentor(Vicker 압자)로 10mN의 힘을 10초 동안 가하고, 3초 동안 크립(creep), 그리고 10초 동안 relaxation하여 측정하여 계산하였다. 동일한 방법으로 실리콘 수지층 중 유리섬유로 된 씨실과 날실이 없고 실리콘 수지로만 된 윈도우 부분에 대해서도 모듈러스를 계산하였다.(2) Modulus: The acrylic resin layer as the second sheet of the composite sheet was subjected to a force of 10 mN for 10 seconds with a micro indentor (Vicker indenter) using a micro indentation equipment (HM2000, Fisher) creep), and relaxation for 10 seconds. In the same manner, the modulus was calculated for the glass portion of the silicone resin layer and the window portion of the silicone resin without warp and warp.
(3) 표면 조도(roughness, Ra): Optical profiler(ZYGO, 700s)를 이용하여 복합시트 중 아크릴 수지층 표면에 대해 측정하였다.(3) Surface roughness (Ra): The surface of the acrylic resin layer in the composite sheet was measured using an optical profiler (ZYGO, 700s).
(4) 크랙 발생 여부: 복합시트에 대해 25℃에서 크랙 발생 여부를 광학 현미경으로 반사 모드(mode)로 측정하였다. 복합시트 표면에 크랙이 없는 경우 X, 크랙이 있는 경우 O로 평가하였다.(4) Creation of cracks: The occurrence of cracks at 25 占 폚 of the composite sheet was measured by an optical microscope in a reflection mode. X for cracks on the surface of the composite sheet, and 0 for cracks.
(5) 크로스 컷(cross cut): 실리콘 수지층과 아크릴 수지층 간의 결합 정도를 측정한다. 크로스 해치 커터(cross hatch cutter, YCC-230/1)로 복합시트 중 아크릴 수지층만을 가로x세로 (1mm x 1mm )의가로 10개 세로 10개로 나누어 동등 크기의 총 100개의 샘플로 커팅한 후, 3M 표준테이프(810, 18mm)을 이용하여 180˚로 아크릴 수지층을 실리콘 수지층으로부터 박리시켰다(ASTM D-3359). 박리 전 아크릴 수지층의 샘플 개수(100개)에 대해 박리 후 복합시트에 남아있는 아크릴 수지층의 개수에 대한 비로 계산하였다.(5) Cross-cut: Measure the degree of bonding between the silicone resin layer and the acrylic resin layer. A cross hatch cutter (YCC-230/1) was used to cut only the acrylic resin layer of the composite sheet in the width x length (1 mm x 1 mm) (ASTM D-3359) using a 3M standard tape (810, 18 mm) at an angle of 180 °. The acrylic resin layer was peeled off from the silicone resin layer. The number of samples (100 pieces) of the acrylic resin layer before peeling was calculated as a ratio to the number of acrylic resin layers remaining on the composite sheet after peeling.
두께 (㎛)Acrylic resin layer
 Thickness (㎛)
(dyne/cm)Surface energy
 (dyne / cm)
(MPa)Modulus
 (MPa)
(nm)Surface roughness
 (nm)
(%)Crosscut
 (%)
수지층acryl
 Resin layer
상기 표 1에서 나타난 바와 같이, 본 발명의 복합시트는 표면에너지가 높고 모듈러스가 높으며 표면 조도도 낮아 복합시트 위에 소정의 층을 안정하게 적층할 수 있는 효과가 있고, 크로스 컷이 높아 매트릭스와 버퍼층 간의 결합력과 안정성이 높고, 크랙도 발생하지 않아 안정성이 높음을 확인하였다.As shown in Table 1, the composite sheet of the present invention has a high surface energy, a high modulus, and a low surface roughness, so that a predetermined layer can be stably stacked on the composite sheet, and the cross- It was confirmed that the bonding strength and stability were high and the stability was high because no crack occurred.
반면에, 비교예 1 내지 3의 복합시트는 크랙이 발생하여 안정성이 낮고, 크로스 컷도 낮아 매트릭스와 버퍼층 간의 결합력과 안정성이 낮았다. 또한, 아크릴 수지층을 포함하지 않은 비교예 4의 복합시트는 표면 조도가 높았다.On the other hand, the composite sheets of Comparative Examples 1 to 3 were cracked to have low stability and low crosscut, so that the bonding force and stability between the matrix and the buffer layer were low. The composite sheet of Comparative Example 4, which did not contain an acrylic resin layer, had a high surface roughness.
| Application Number | Priority Date | Filing Date | Title | 
|---|---|---|---|
| KR1020130089178AKR101593749B1 (en) | 2013-07-26 | 2013-07-26 | Composite sheet, method for manufacturing the same and displaying apparatus comprising the same | 
| US14/893,921US10046538B2 (en) | 2013-07-26 | 2014-05-09 | Composite sheet, method for manufacturing same, and display device including same | 
| PCT/KR2014/004192WO2015012479A1 (en) | 2013-07-26 | 2014-05-09 | Composite sheet, method for manufacturing same, and display device including same | 
| Application Number | Priority Date | Filing Date | Title | 
|---|---|---|---|
| KR1020130089178AKR101593749B1 (en) | 2013-07-26 | 2013-07-26 | Composite sheet, method for manufacturing the same and displaying apparatus comprising the same | 
| Publication Number | Publication Date | 
|---|---|
| KR20150012956A KR20150012956A (en) | 2015-02-04 | 
| KR101593749B1true KR101593749B1 (en) | 2016-02-12 | 
| Application Number | Title | Priority Date | Filing Date | 
|---|---|---|---|
| KR1020130089178AExpired - Fee RelatedKR101593749B1 (en) | 2013-07-26 | 2013-07-26 | Composite sheet, method for manufacturing the same and displaying apparatus comprising the same | 
| Country | Link | 
|---|---|
| KR (1) | KR101593749B1 (en) | 
| Publication number | Priority date | Publication date | Assignee | Title | 
|---|---|---|---|---|
| KR20170140865A (en)* | 2016-06-14 | 2017-12-22 | 주식회사 핌텍스 | Back-light textile for advertising and apparatus of advertising using the textile | 
| KR102540848B1 (en)* | 2017-01-04 | 2023-06-08 | 삼성전자주식회사 | Compositions, composites prepared therefrom, and electronic devices including the same | 
| Publication number | Priority date | Publication date | Assignee | Title | 
|---|---|---|---|---|
| US5747152A (en)* | 1993-12-02 | 1998-05-05 | Dai Nippon Printing Co., Ltd. | Transparent functional membrane containing functional ultrafine particles, transparent functional film, and process for producing the same | 
| KR101332442B1 (en)* | 2011-09-21 | 2013-11-25 | 제일모직주식회사 | Composite sheet and substrate for display device comprising the same | 
| Publication number | Publication date | 
|---|---|
| KR20150012956A (en) | 2015-02-04 | 
| Publication | Publication Date | Title | 
|---|---|---|
| US8658755B2 (en) | Silicon-containing curable composition and cured product thereof | |
| KR102136686B1 (en) | Silicone Composition | |
| EP3447082A1 (en) | Highly dielectric film, usages thereof, and manufacturing method therefor | |
| KR102016348B1 (en) | Resin composition for packaging optical devices | |
| US20120045629A1 (en) | Vinylhydrogenpolysiloxane Adhesive Composition | |
| KR101593749B1 (en) | Composite sheet, method for manufacturing the same and displaying apparatus comprising the same | |
| CN113330073A (en) | Curable polyorganosiloxane composition for film formation and method for producing polyorganosiloxane cured film | |
| EP2674448A1 (en) | Composite sheet, method for preparing the same and display substrate including the same | |
| TW201307082A (en) | Composite sheet and substrate for display device using the same | |
| KR101625267B1 (en) | Composition for composite sheet, composite sheet prepared from the same and display apparatus comprising the same | |
| KR101625266B1 (en) | Composite sheet and displaying apparatus comprising the same | |
| JP7536416B2 (en) | UV-activated liquid silicone composition for optical applications | |
| KR101499248B1 (en) | Composition for encapsulation, barrier layer comprising the same and encapsulated apparatus comprising the same | |
| US10046538B2 (en) | Composite sheet, method for manufacturing same, and display device including same | |
| KR101676523B1 (en) | Composite sheet and display apparatus comprising the same | |
| KR20080012555A (en) | Multilayer plastic substrate with improved chemical resistance and manufacturing method thereof | |
| KR101584403B1 (en) | Composite sheet and display apparatus comprising the same | |
| KR20150057274A (en) | Composite sheet, method for preparing the same and display apparatus comprising the same | |
| KR101526002B1 (en) | Composite sheet, method for preparing thereof and flexible substrate comprising the same | |
| KR101918295B1 (en) | Organopolysiloxane composition | |
| WO2019202837A1 (en) | Transparent desiccant for organic el, and method for using same | |
| KR20130128650A (en) | Organopolysiloxane composition | |
| KR20140080355A (en) | Composite sheet and displaying device comprising the same | |
| KR20140118596A (en) | Composite sheet, method for preparing the same, substrate for display device comprising the same and displaying apparatus comprising the same | 
| Date | Code | Title | Description | 
|---|---|---|---|
| PA0109 | Patent application | St.27 status event code:A-0-1-A10-A12-nap-PA0109 | |
| PN2301 | Change of applicant | St.27 status event code:A-3-3-R10-R13-asn-PN2301 St.27 status event code:A-3-3-R10-R11-asn-PN2301 | |
| A201 | Request for examination | ||
| PA0201 | Request for examination | St.27 status event code:A-1-2-D10-D11-exm-PA0201 | |
| PG1501 | Laying open of application | St.27 status event code:A-1-1-Q10-Q12-nap-PG1501 | |
| E902 | Notification of reason for refusal | ||
| PE0902 | Notice of grounds for rejection | St.27 status event code:A-1-2-D10-D21-exm-PE0902 | |
| P11-X000 | Amendment of application requested | St.27 status event code:A-2-2-P10-P11-nap-X000 | |
| P13-X000 | Application amended | St.27 status event code:A-2-2-P10-P13-nap-X000 | |
| E701 | Decision to grant or registration of patent right | ||
| PE0701 | Decision of registration | St.27 status event code:A-1-2-D10-D22-exm-PE0701 | |
| GRNT | Written decision to grant | ||
| PR0701 | Registration of establishment | St.27 status event code:A-2-4-F10-F11-exm-PR0701 | |
| PR1002 | Payment of registration fee | St.27 status event code:A-2-2-U10-U11-oth-PR1002 Fee payment year number:1 | |
| PG1601 | Publication of registration | St.27 status event code:A-4-4-Q10-Q13-nap-PG1601 | |
| P22-X000 | Classification modified | St.27 status event code:A-4-4-P10-P22-nap-X000 | |
| FPAY | Annual fee payment | Payment date:20190117 Year of fee payment:4 | |
| PR1001 | Payment of annual fee | St.27 status event code:A-4-4-U10-U11-oth-PR1001 Fee payment year number:4 | |
| PC1903 | Unpaid annual fee | St.27 status event code:A-4-4-U10-U13-oth-PC1903 Not in force date:20200204 Payment event data comment text:Termination Category : DEFAULT_OF_REGISTRATION_FEE | |
| PC1903 | Unpaid annual fee | St.27 status event code:N-4-6-H10-H13-oth-PC1903 Ip right cessation event data comment text:Termination Category : DEFAULT_OF_REGISTRATION_FEE Not in force date:20200204 |