












본 발명은 모발 재건용 임플란트에 관한 것으로, 더욱 상세하게는 이식용 모발이 삽입되는 중공을 갖는 부재로 인체 두피 또는 표피에 모발이 잘 삽입되고 장기간 탈모되지 않도록 하는 모발 재건용 임플란트에 관한 것이다.The present invention relates to an implant for reconstructing hair, and more particularly to an implant for reconstructing hair, which is a hollow member into which a hair for implantation is inserted, so that the hair is well inserted into the human scalp or skin and is not loosened for a long time.
일반적으로 인체의 노화나 약물의 남용 혹은 심리적으로 받게 되는 스트레스 정도에 따라 머리카락 등이 탈모되는 현상이 나타난다.Generally, there is a phenomenon of hair loss such as aging of the human body, abuse of the drug or the degree of psychological stress.
이러한 탈모 형상이 나타나는 경우, 이를 커버하기 위하여 많은 이들이 가발을 이용하거나 외과적 수술에 의한 모발 이식 등의 방법을 사용하고 있다.When such a hair loss shape appears, many people use a wig or a hair transplant by surgical operation to cover it.
이 중에서, 모발이식은 경제적 부담에도 불구하고 자연스러운 모발 상태를 유지할 수 있는 까닭에 많은 사람들이 관심을 가지고 있으며, 최근 들어 다양한 모발 이식 시술들이 이루어지고 있다.Among them, hair transplantation is an important issue for many people because it can maintain natural hair condition despite economic burden. Recently, a variety of hair transplantation procedures have been performed.
이 때문에, 최근 들어서는 모발을 인체에 직접 식모하는 모발 및 그 이식 방법에 대한 다양한 연구가 진행되고 있다.For this reason, in recent years, various studies have been conducted on hair that directly implants hair on a human body and a method of implanting the hair.
예컨대, 이식용 모발의 재료와 관련하여서는 식모 후에 체내에서 거절 반응 등의 영향이 비교적 적은 나이론, 폴리에스텔 기타의 합성수지제 등이 많이 선택되고 있다.For example, in connection with the material of the hair for implantation, a lot of nylon, polyester and other synthetic resin agents having a relatively small influence in the body after the meal has been selected.
한편, 모발 이식 방법과 관련하여서는 모발로서 식모 후 빠지거나 떨어지지 않고 식모 부위에 이질감을 주지 않으면서 자연스러운 모발 상태를 유지할 수 있도록 하는 다양한 임플란트 부재를 이용한 이식 방법에 대한 연구가 진행되고 있다.
In connection with the hair transplantation method, research has been conducted on various implantation methods using a variety of implant members that can maintain a natural state of hair while preventing hair from falling off or falling off and not giving a feeling of hairs to the knee area.
이러한 모발 이식(또는 식모라고도 한다) 방법 중 기존에 사용되고 있는 모발 이식 방법으로는 다음과 같은 기술 등이 있다.
Among these methods of hair transplantation (or called hair implantation), there are the following techniques as hair transplantation methods that have been used in the past.
(가) 모발의 한끝을 열수축시켜서 괴상부(덩어리모양의 부분)을 형성하고 이것을 모근부로 한 이식 타입(이 방법은 이식으로 형성되는 환상부의 크기나 형상이 열수축 때문에 일정하게 되지 않고 또 탄화(炭化)되는 일이 있는 문제점이 있음)
(A) a transplanting type in which one end of the hair is heat-shrunk to form a massive part (lump-shaped part) and this is a root part (this method does not require the size and shape of the annular part formed by implantation to be constant due to heat shrinkage, ) There is a problem that it may happen.
(나) 모발의 한끝에 연질의 합성수지제를 우산모양의 형체 또는 통상(筒狀) 형체를 한몸으로 고정부착하여서 모근부로 한 이식 타입(이 방법은 가공이 힘들어서 대량생산이 곤란하며 인체에의 삽입저항이 커서 인체에의 아픔이 크고 또한 모발이 식모될 때 절단되는 등의 문제점이 있음)
(B) a graft type in which a soft synthetic resin agent is fixed on one end of the hair by an umbrella-shaped body or a cylindrical body in one piece to form a hair root portion (this method is difficult to mass- There is a problem that the resistance is large and the pain on the human body is large and the hair is cut when the hair is put on the hair)
(다) 모발의 한끝을 고리모향으로 결속하여 모근부로 한 이식 타입(이 이식 방법은 매듭을 지우는 일이 번거롭고 까다로워서 대량생산이 어려우며, 또한 생산을 한다고 해도 매듭 부분이 풀어지기 쉬우며, 매듭부위의 융기부가 크기 때문에 모발을 인체에 식모할 때 삽입저항이 커서 절단우려가 있고 고통을 수반하는 문제점이 있음)
(C) a graft type in which one end of the hair is bound to the root of the loop and is made into the root of the root (this grafting method is troublesome and difficult to massively produce a knot, and even if it is produced, the knot portion is likely to be loosened, Since the protuberance is large, when the hair is put on the human body, there is a problem that the insertion resistance is large and there is a fear of cutting and it involves pain.
(라) 한가닥의 길이가 모발의 중앙부에 매듭을 주어 두가닥을 한 몸으로 하여 상기한 매듭을 모근부로 한 이식 타입( 이 이식 방법은 전술한 (다)의 것과 같은 문제점을 가지고 있으며, 식모를 한후 모근부에서 두가닥의 털이 인체의 표피에서 나란히 나오고 있기 때문에 빗질(Brushing) 등을 하면 두가닥의 털이 털구멍을 열어주게 되어 2가닥의 털사이로 세균이 침입하여 화농(化膿)되어서 털이 빠지게 되는 것등을 유발시키는 문제점이 있음)
(D) A transplant type in which the length of one strand is knotted at the central part of the hair and the two strands are one body, and the above knot is used as a root canal (this transplantation method has the same problem as the above (c) Since the two hairy hairs are coming out side by side on the skin of the human body, when brushing, etc., the two hairy hairs open the hairy holes, and the germs invade between the two strands of hair, And the like)
(마) 특허출원공고번호가 제1984-0000598호이고 발명의 명칭이 '인공모'(공고일자 1984.04.28.)인 종래 기술에 개시된 기술로, 한가닥의 인공모를 식모하는 것으로 여러가닥의 인공모를 식모한 것과 같게 되어 인체에의 아픔이 적고 대량생산에 적합하고 싼값으로 제조될 수 있는 인공모를 제안한 이식 타입(이 이식 방법은 도 1에 도시된 바와 같이 모발(인공모)에 있는 바늘 모양의 미늘이 지속적으로 그 기능을 유지하는 것을 기대할 수 없으며, 시간이 지나면서 탄성을 점차 잃어 가므로 인하여 모발(인공모)이 탈모되는 문제점이 있음)
(E) A technique disclosed in the prior art, in which the patent application publication number is 1984-0000598 and the name of the invention is "artificial hair" (date of publication Apr. 28, 1984), and a plurality of artificial hair A transplanting type in which an artificial hair which can be manufactured at a low cost and which is suitable for mass production and which can be manufactured at a low price (the transplanting method is a needle-like barb in the hair (artificial hair) Can not be expected to maintain its function continuously and the hair gradually looses its elasticity over time, resulting in hair loss (artificial hair)
(바) 실용신안등록번호가 제20-0424303호이고 고안의 명칭이 '피부 식재용 인공 모'인 종래 기술에 개시된 기술로, 다수 가닥의 인공 모를 침형으로 구성되는 식재봉 내에 직접 식모하여 구성토록 함으로써 인공 모의 구조가 단순하도록 하여 인공 모의 제조공정이 단축되고 용이하여 제조원가의 절감을 기할 수 있으며, 두피의 외부로 모발 이외의 부재가 노출될 우려가 없어 효과적인 식모상태를 유지할 수 있으며, 식모 후 모발의 탈리 가능성을 최소화하여 품질의 신뢰성을 향상할 수 있도록 한 피부 식모용 인공 모 이식 타입( 이 이식 방법은 도 2에 도시된 바와 같이 큰 식립체(식재봉)로 인한 문제점이 있다  즉, 도 3을 참조하면, 식립체(식재봉)가 클 경우 상부 상피에 혈액공급이 불량해져 상피의 괴사(세포조직이 붕괴되거나 기능이 정지되는 것을 말함) 될 수 있으며 동일한 이유로 식립체를 서로 가까이 심을 수가 없다.  또한, 빗금부위(A) 혈액공급 불량해지고 이로 인해 괴사되며, 인접해 식립할 경우 빗금 B 크기뿐만 아니라 그 사이 부분도 혈액 공급이 불량해져 괴사되는 부위가 커진다.(d 부분에 대응하는 식립체 윗부분)   이와 같은 이유로 불가피하게 식립체를 서로 멀리하여 식립(식모)하여야 하는데, 그러할 경우 자연스러운 모발 형태를 만들기 어렵다.  즉, 간격을 멀리할수록 빈 공간이 크게 보여지게 된다.  또한 식립체는 염증, 감염 등을 전혀 배재하기 어려운데, 식립체가 클 경우 제거가 상대적으로 어렵고 피부 절개부위가 불가피하게 커지므로 상흔이 상대적으로 크게 남게 되는 문제점이 있다).
(F) A technique disclosed in the prior art, in which the utility model registration number is 20-0424303 and the name of the design is artificial hair for skin preparation. Thereby making it possible to shorten the manufacturing process of the artificial hair. Thus, it is possible to reduce the manufacturing cost, and it is possible to maintain an effective state of flossing because there is no possibility of exposing members other than the hair to the outside of the scalp, Artificial implantable type for skin flossing which can improve the reliability of the quality by minimizing the possibility of flossing of the skin. (This implantation method has a problem due to a large embroidery stitching as shown in Fig. 2) , It can be said that when the food is sewn, the supply of blood to the upper epithelium becomes poor and the necrosis of the epithelium (the cell tissue collapses or the function ceases) In addition, the shaded area (A) becomes poor in blood supply and becomes necrotic due to the same reason, and when placed adjacent to the shaded area, not only the size of the shaded area B but also the area between the areas becomes poor For this reason, it is inevitably necessary to place the implants away from each other, and if so, it is difficult to form a natural hair shape. That is, the farther the spacing is, the more empty In addition, it is difficult to dislodge inflammation and infection at all, and it is relatively difficult to remove when the implant is large, and the skin incision is inevitably enlarged, so that the scars remain relatively large.
(사) 특허출원공개번호가 제 10-2012-0098780호이고 발명의 명칭이 '모발이식 앵커 및 이를 이용하는 시스템과 방법'인 종래 기술에 개시된 기술로, 천연모발이나 인조모발을 인간의 조직에 연결하는 앵커를 제공하여 모발과 표적조직이 기계적이고 인공적으로 연결되어, 생리학적 적응 여부와 무관하게 성공적으로 연결을 제안한 이식 타입(이 이식 방법은 도 4에 도시된 바와 같이 앵커의 가지가 형상기억물질, 고탄성 물질, 탄성 플라스틱 물질 또는 고흡수성 폴리머로 이루어지는 것 또는 가지와 홀더 중의 적어도 하나가 니티놀(nitinol)(합금재료)로 이루어지는 것으로 생리학적 부작용이 발생하는 문제점이 있다.  또한 앵커(식립체)의 염증, 감염 등을 전혀 배재할 수 없으며 염증, 감염 등으로 앵커를 제거하고자 할 때 앵커(식립체)를 제거하는 데 상당히 어렵다는 문제점이 있다.)
(G) Patent Application Publication No. 10-2012-0098780, entitled " System and method for using a hair graft anchor and a method for using the same, " which discloses a technique of connecting natural hair or artificial hair to a human tissue The implantation type in which the hair and the target tissue are mechanically and artificially connected so as to propose a successful connection irrespective of physiological adaptation (in this implantation method, the branch of the anchor is connected to the shape memory material , A high elasticity material, an elastic plastic material or a super absorbent polymer, or at least one of a branch and a holder is made of nitinol (alloy material), thereby causing a physiological side effect. Inflammation, infection, etc. can not be excreted at all. When anchor is to be removed by inflammation, infection, etc., it is very important to remove the anchor Awesome there is a problem.)
(아) 한편, 도 5에 도시된 바와 같이 피부 바깥으로 식립체를 드러낸 이식 타입도 있다(이 이식 방법은 식립체가 촉감 및 시각으로 확인될 수 있으며, 손으로 만졌을 때 머리카락의 느낌이 자연스럽지 못하며 시각적으로 혐오감을 야기할 수 있는 문제점이 있음)
(A) On the other hand, as shown in Fig. 5, there is a graft type in which a graft is exposed outside the skin (this graft method can be confirmed by touching and visualizing the graft, and the feeling of the hair is not natural when touched by hand There is a problem that can cause visual disgust)
(자) 기타, 도 6에 도시된 바와 같은 분리형 이식체 이식 타입이 있는데, 이 이식 방법은 그 구조가 복잡하고 피부 표면과 수용부(B)에 삽입부(A)가 자연스럽게 일치할 수 없어 울퉁불퉁한 피부 표면이 되어 삽입부(A) 상부 표면이 눈으로 확인되어 혐오감을 불러일으키는 문제점이 있다.6, the implantation method is complicated in its structure, and the insertion portion A can not coincide naturally with the surface of the skin and the receiving portion B, There is a problem that the surface of the skin becomes a skin surface and the upper surface of the insertion portion A is visually confirmed to cause an aversion.
본 발명은 상기한 바와 같은 문제점을 해결하기 위하여 안출된 것으로, 인체 표피에 큰 상처를 내지 않으면서 모발이 잘 삽입되도록 하고 오랜 기간 탈모되지 않고 외관상 자연스럽고 그 구조가 간단한 모발 재건용 임플란트를 제공함에 그 목적이 있다.Disclosure of the Invention The present invention has been conceived to solve the problems described above, and provides an implant for hair rehabilitation which allows the hair to be inserted well without causing a large wound on the human skin and is natural in appearance, It has its purpose.
본 발명의 다른 목적은 식립체를 여러 가지 이유(감염, 염증, 새로운 식립체 교체, 외관 변화 등)로 제거하고자 할 때 제거가 용이하도록 한 모발 재건용 임플란트를 제공함에 있다.Another object of the present invention is to provide an implant for hair reconstruction that is easy to remove when the implant is to be removed by various reasons (infection, inflammation, new implant replacement, appearance change, etc.).
본 발명의 다른 목적은 다양한 모발(모발의 형태, 색상, 인체 부위에 적합한 모발 등)에 적용할 수 있는 모발 재건용 임플란트을 제공함에 있다.Another object of the present invention is to provide an implant for hair reconstruction that can be applied to various types of hair (shape, color, hair suitable for a human body, etc.).
상기한 목적을 달성하기 위하여, 본 발명의 모발 재건용 임플란트는 인체의 두피 또는 표피에 이식되는 모발 재건용 임플란트로서, 이식용 모발이 삽입되는 중공부를 갖는 본체부와, 본체부의 외주면에 상기 본체부의 수직 방향 대비 소정 각도로 기울어져 연장되면서 형성되는 적어도 하나 이상의 미늘을 포함하는 것을 그 특징으로 한다.In order to achieve the above object, the present invention provides an implant for reconstructing hair, which is implanted into a scalp or a skin of a human body, comprising: a main body having a hollow portion into which hair for implantation is inserted; And at least one barb formed by being inclined at a predetermined angle with respect to the vertical direction.
본 발명에 있어서, 본 발명의 모발 재건용 임플란트는 여러 가지 타입(type)을 가질 수 있으며,In the present invention, the hair restoration implant of the present invention may have various types,
본 발명의 모발 재건용 임플란트에서 중공부의 저면부는 본체부의 하단부와 일체인 것을 그 특징으로 한다.In the hair restoration implant of the present invention, the bottom face portion of the hollow portion is integral with the lower end portion of the main body portion.
또는, 본 발명의 모발 재건용 임플란트에서 본체부의 중공부는 본체부를 관통하는 것을 그 특징으로 한다.Alternatively, in the hair restoration implant of the present invention, the hollow portion of the main body portion passes through the main body portion.
또한, 본 발명에 있어서 중공부가 본체부를 관통하는 타입은 노출된 모발을 노출부위만큼 잘라내어 형성되는 것을 그 특징으로 한다.Also, in the present invention, the type in which the hollow portion penetrates the body portion is characterized in that the exposed hair is formed by cutting out the exposed portion.
한편, 압접 장치에 의해서 모발이 삽입되어 있는 중공부를 중심축 방향으로 압접되는 것을 그 특징으로 한다.On the other hand, the hollow portion in which the hair is inserted is pressed in the direction of the central axis by the pressure contact device.
본 발명의 모발 재건용 임플란트는 중공부 내에 모발을 삽입하여 중공부를 압접됨으로써 1개의 유닛(unit)을 형성하는 것을 그 특징으로 한다.The hair implant reconstitution implant of the present invention is characterized in that one unit is formed by inserting hair into the hollow portion to press the hollow portion.
본 발명에 있어서, 본체부의 외주면에 형성되는 미늘은 침상형 또는 물고기비늘형 등 다양한 형상을 가질 수 있는 것을 그 특징으로 한다.In the present invention, the barb formed on the outer circumferential surface of the body part may have various shapes such as a needle-like shape or a fish scale shape.
또한, 물고기 비늘형과 같이 본체부 외주면과 미늘 사이에 공간이 형성될 수 있는 것을 그 특징으로 한다.In addition, a space can be formed between the outer peripheral surface of the main body and the barb like a fish scale type.
외관상 자연모와 비슷하고 자연스러워 머리카락(대머리)으로 인한 스트레스를 감소시키고 사회적응력, 자신감 등이 저하되는 것을 방지하고 정신적인 건강에 도움을 줄 수 있다.It is similar in appearance to natural hair and it is natural to reduce the stress caused by hair (baldness), prevent social adaptability and self-confidence from deteriorating, and help mental health.
또한, 다양한 모발(모발의 형태, 색상, 인체 부위에 적합한 모발 등)에 적용할 수 있다.In addition, it can be applied to various types of hair (hair shape, color, hair suitable for a human body, etc.).
도 1은 종래 기술의 실시례에 따른 참고도(1)이다.
도 2는 종래 기술에 실시례에 따른 참고도(2)이다.
도 3은 종래 기술의 문제점에 대한 설명도(1)이다.
도 4는 종래 기술에 실시례에 따른 참고도(3)이다.
도 5는 종래 기술의 문제점에 대한 설명도(2)이다.
도 6은 종래 기술의 문제점에 대한 설명도(3)이다.
도 7은 본 발명의 제1 실시례에 따른 모발 재건용 임플란트의 사시도이다.
도 8은 본 발명의 제1 실시례에 따른 모발 재건용 임플란트의 단면도이다.
도 9는 본 발명의 제2 실시례에 따른 모발 재건용 임플란트의 단면도이다.
도 10은 본 발명의 제2 실시례에 따른 모발 재건용 임플란트의 삐져나온 모발 절단 전후 단면도이다.
도 11은 본 발명의 제3 실시례에 따른 모발 재건용 임플란트의 사시도 및 평면도이다.
도 12는 본 발명의 제4 실시례에 따른 모발 재건용 임플란트의 사시도 및 평면도이다.
도 13은 본 발명의 여러 실시례에 따른 모발 재건용 임플란트의 확대 모식도이다.1 is a reference (1) according to an embodiment of the prior art.
 2 is a reference (2) according to an embodiment in the prior art.
 3 is an explanatory diagram (1) of a problem of the prior art.
 4 is a reference (3) according to an embodiment in the prior art.
 5 is an explanatory diagram (2) of a problem of the conventional technique.
 6 is an explanatory diagram (3) of a problem of the prior art.
 7 is a perspective view of an implant for hair restoration according to the first embodiment of the present invention.
 8 is a cross-sectional view of an implant for reconstructing hair according to the first embodiment of the present invention.
 9 is a sectional view of an implant for reconstructing hair according to a second embodiment of the present invention.
 Fig. 10 is a cross-sectional front view and a rear view of the protruding hair of the implant for reconstructing hair according to the second embodiment of the present invention.
 11 is a perspective view and a plan view of an implant for reconstructing hair according to a third embodiment of the present invention.
 12 is a perspective view and a plan view of an implant for reconstructing hair according to a fourth embodiment of the present invention.
 13 is an enlarged schematic view of an implant for hair reconstruction according to various embodiments of the present invention.
본 발명에서 제안하는 모발 재건용 임플란트에 대한 구체적인 설명에 앞서, 본 발명은 다양한 변경이 가능하고 여러 가지 실시례를 가질 수 있는 것인 바, 특정 실시례들을 도면에 예시하고 발명을 실시하기 위한 구체적인 내용에 상세하게 설명하고자 한다.It is to be understood that the present invention is not limited to the specifically disclosed embodiments, and that various changes and modifications may be made therein without departing from the spirit and scope of the invention as defined in the appended claims. I will explain the details in detail.
그러나 이는 본 발명의 특정한 실시 형태에 대해 한정하려는 것이 아니며, 본 발명의 사상 및 기술 범위에 포함되는 모든 변경, 균등물 내지 대체물을 포함하는 것으로 이해되어야 한다.It should be understood, however, that it is not intended to be limited to the particular embodiments of the invention but includes all modifications, equivalents, and alternatives falling within the spirit and scope of the invention.
이하, 본 발명의 바람직한 실시례에 따른 모발 재건용 임플란트를 첨부된 도면에 참조하여 상세히 설명하기로 하며, 상세한 설명에 있어서 동일한 기능을 수행하는 구성 요소에 대해서는 동일한 명칭 또는 동일한 부호를 병기한다.Hereinafter, an implant for reconstructing hair according to a preferred embodiment of the present invention will be described in detail with reference to the accompanying drawings. In the detailed description, components that perform the same function are denoted by the same names or the same reference numerals.
본 발명에서 '모발'은 머리카락, 눈썹, 수염, 음모 등과 같은 털인 자연모발이나 그 기능을 하는 인공모발을 포괄하는 의미로 사용되며, 본 발명의 기술 내용을 쉽게 설명하고 발명의 이해를 돕기 위해 사용된 것으로써 본 발명의 대상이 아니다.
In the present invention, 'hair' is used to mean natural hair which is hair such as hair, eyebrows, beard, pubic hair, or artificial hair that functions, and is used to easily explain the technical contents of the present invention and to help understand the invention And is not an object of the present invention.
도 7은 본 발명의 제1 실시례에 따른 모발 재건용 임플란트의 사시도이다.7 is a perspective view of an implant for hair restoration according to the first embodiment of the present invention.
본 발명의 모발 재건용 임플란트(100)는 인체의 두피 또는 표피에 이식되는 모발 재건용 임플란트로서, 이식용 모발이 삽입되는 중공부(20)를 갖는 본체부(10)와, 본체부(10) 외주면(30)에 본체부(10)의 수직 방향 대비 소정 각도로 기울어져 연장되면서 형성되는 적어도 하나 이상의 미늘(31)을 포함하고 있다.An implant for reconstructing hair according to the present invention is a hair implant reconstructing implant which is implanted in a scalp or a skin of a human body. The implant has a
도 8은 본 발명의 제1 실시례에 따른 모발 재건용 임플란트의 단면도이다.8 is a cross-sectional view of an implant for reconstructing hair according to the first embodiment of the present invention.
도 8에 도시된 바와 같이, 중공부(20)의 저면부(21)는 본체부(10)의 하단부와 일체인 것을 특징으로 한다.8, the
도 9는 본 발명의 제2 실시례에 따른 모발 재건용 임플란트의 단면도이다.9 is a sectional view of an implant for reconstructing hair according to a second embodiment of the present invention.
도 9에 도시된 바와 같이, 본체부(10)의 중공부(20)는 본체부(10)를 관통하는 것을 특징으로 한다.9, the
본 발명의 모발 재건용 임플란트(100)는 여러 가지 타입(type)을 가질 수 있는데, 도 9과 같이 중공부(20)가 본체부(10)를 관통하는 타입은 노출된 모발을 도 10과 같이 잘라내어 형성된다.The
도 8 내지 9에 도시된 바와 같이, 본 발명의 모발 재건용 임플란트(100)는 압접 장치(미도시)에 의해서 모발(200)이 삽입되어 있는 중공부(20)를 중심축 방향으로 압접(A, B)되어 지는 것을 특징으로 한다.8 to 9, the hair
본 발명의 모발 재건용 임플란트(100)는 중공부(20) 내에 모발을 삽입하여 중공부(20)를 압접됨으로써 1개의 유닛(unit)을 형성하게 된다.In the
도 11 내지 12에 도시된 바와 같이, 본체부(10)의 외주면(30)에 형성되는 미늘(31,32)은 본체부(10)와 일체로 성형될 수 있으며 침상형 또는 물고기 비늘형 등 다양한 형상을 가질 수 있다.11 to 12, the
일반적으로 미늘의 형상은 침상형이 많으나 물고기 비늘형의 형상은 내부에 공간(40)이 형성되어 세포의 안착에 도움을 줄 수 있다.Generally, the shape of the barb is acicular, but the shape of the fish scale forms a space (40) in the inside of the barb, which can help to settle the cell.
도 13은 본 발명의 여러 실시례에 따른 모발 재건용 임플란트의 확대 모식도이다. 도 13에 도시된 바와 같이 본체부(10)의 외주면(30)에는 민자형(a)과 같이 미늘이 없을 수 있으며, 침상형(b), 비늘형(c) 등과 같이 다양한 타입의 형상을 가지는 미늘이 있을 수 있다.
13 is an enlarged schematic view of an implant for hair reconstruction according to various embodiments of the present invention. 13, the outer
이하는 본 발명의 실시례에 따른 모발 재건용 임플란트에 대해 구체적으로 그 크기와 형상에 대해 설명하고자 한다.Hereinafter, the size and shape of the implant for reconstructing hair according to the embodiment of the present invention will be described in detail.
일반적으로 모발의 직경(이하, 모발의 직경을 d라고 한다)은 70 ~ 100 ㎛이며, 본 발명에 따른 본체부(10)의 직경는 3 × d 이하로 하는 것이 바람직하다.Generally, the diameter of the hair (hereinafter, referred to as the diameter of the hair) is 70 to 100 占 퐉, and the diameter of the
또한, 본체부(10)의 길이는 2 mm 이하로 하는 것이 바람직하다.The length of the
왜냐하면, 두피 또는 표피의 가장 얇은 부위는 약 5 mm 정도의 두께를 보이는 경우도 있고, 본체부(10)의 길이를 더 길게 하면 피부 외부로 노출될 확률이 높고, 노출시 심리적 거부감 및 상피(피부의 외피)에 혈액공급 등이 방해되기 때문이기도 하지만 본체부(10)의 길이가 2 mm 이하에서도 충분한 탈모억지력(모발이 표피 내에서 빠지지 않고 유지되는 힘)을 가질 수 있기 때문이기도 하다.This is because the thinnest part of the scalp or epidermis may have a thickness of about 5 mm, and if the length of the
또한, 눈썹처럼 외부자극을 크게 받지 않는 부위는 본체부(10)의 길이를 더욱 짧게 하여도 정상적 기능을 기대할 수 있다.In addition, even if the length of the
한편, 머리, 수염 등은 고정부위가 실제 1.5 ~ 2 mm 가량 된다.On the other hand, the hair, hair, etc. are actually 1.5 ~ 2 mm in fixed area.
위와 같이 본 발명의 모발 재건용 임플란트를 구성하는 본체부(10)의 직경은 3×d 이하로 모발의 직경과 육안으로 큰 차이가 없고, 본체부(10)의 길이가 2 mm 이하로 짧기 때문에 얕은 피부에도 모발 이식이 가능한 특징이 있다.As described above, the diameter of the
한편, 본 발명의 모발 재건용 임플란트의 본체부(10)는 위에서 언급하였듯이 그 크기가 매우 작으며 가늘고 소정의 길이를 가진 원통형 형상인 것이라 할 수 있다.Meanwhile, the
또한, 본 발명의 기술적 사상에서 벗어 나지 않는 범위 내에서 여러 가지 다양한 형상을 취하여 구현할 수 있을 것이다.The present invention may be embodied in various other forms without departing from the spirit of the present invention.
한편, 본 발명의 모발 재건용 임플란트의 본체부(10)는 위와 같이 작은 크기로 인하여 하나의 모발과 연결이 가능하여 모발 사이 간격을 좁게 할 수 있어서 자연스런 머리모양을 표현할 수 있다.In the meantime, since the
또한, 종래 식립체의 큰 크기로 인하여 피부 표피가 괴사(세포조직이 붕괴되거나 기능이 정지되는 것을 말한다)되는 위험성이 높았으나 종래 기술의 식립체에 상응하는 본 발명의 본체부(10)는 그 크기가 작아서 그 위험성이 현격히 적다는 것을 알 수 있다.
In addition, although the skin portion of the present invention has a high risk of necrosis (cell tissue collapses or stops functioning) due to the large size of the conventional body, the
본 발명의 모발 재건용 임플란트(100)에서 미늘(31,32)은 외향으로 나온 나뭇가지(branch) 형상을 가지며, 도 8에 도시된 바와 같이 중공부(20)에서 원심방향으로 외주면(30)까지 두께(t1)는 0.5×d 이하이고 본체부(10)의 외주면(30)에서부터 원심방향으로 미늘(31,32)의 끝단까지 높이(t2)는 대략 0.5×d 이하로 하는 것이 바람직하다.In the
본 발명에서 탈모억지력(모발이 표피 내에서 빠지지 않고 유지되는 힘)은 미늘(31,32)의 숫자를 증감시켜 조절할 수 있고, 본체부(10)의 길이를 연장시키는 경우 미늘의 갯수를 더 늘릴 수 있으므로 탈모억지력을 더 개선시킬 수도 있을 것이다.In the present invention, the depilatory deterrent force (the force by which the hair is retained without falling off the skin) can be adjusted by increasing or decreasing the number of the
또한, 탈모억지력이 크게 요구되지 않을 때에는 미늘(31,32)이 필요 없을 수 있다.(도 13의 민자형(a))In addition, the
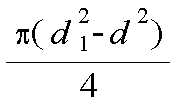
왜냐하면, 모발(200)과 본체부(10)의 직경 차이만으로도 탈모억지력(모발유지력)을 기대할 수 있기 때문이며 (즉 모발(200) 직경을 d, 본체부(10) 직경을 d1, 직경 차이의 단면적을 A라 하면 A=으로 A면적만큼 단이 생겨 표피에서 모발을 잡아주기 때문이다), 이는 자연모의 탈모저항과 비교 테스트를 통하여 확인이 가능하다. 즉, 자연모와 비슷한 탈모억지력을 낼 수 있다.This is because hair restraining force (hair retaining force) can be expected only by the difference in diameter between the
또한, 본 발명의 모발 재건용 임플란트는 여러 가지 이유(감염, 염증, 새로운 식립체 교체, 외관 변화 등)로 인하여 제거하고자 할 때 그 구조상 제거가 용이하며, 제거후에도 흉터가 거의 남지 않고, 제거 부위가 안정된 후에는 손쉽게 재식립(재식모)이 가능할 수 있다.In addition, the implant for reconstructing hair of the present invention is easy to remove due to various reasons (infection, inflammation, new implant replacement, appearance change, etc.), its scar is rarely left after removal, It is possible to re-arrange (rehabilitate) easily.
또한, 본 발명의 모발 재건용 임플란트는 다양한 모발(모발의 형태, 색상, 인체 부위에 적합한 모발, 사람의 기호에 따른 모발 등)에 적용할 수 있다.
In addition, the implant for reconstructing hair of the present invention can be applied to various types of hair (shape of hair, color, hair suitable for a human body part, hair according to human taste, etc.).
또한, 본 발명의 모발 재건용 임플란트는 체내에서 거절 반응 등의 영향이 비교적 적은 나이론, 폴리에스텔 또는 기타의 합성수지 소재나 인체에 삽입할 수 있고 인체에 무해한 금속재질 등을 사용할 수 있지만, 물론 이에 한정되지는 않는다.
In addition, the hair restoration implant of the present invention can be inserted into a nylon, polyester or other synthetic resin material or a human body which is relatively unaffected by a rejection reaction or the like and can be harmless to the human body. However, It does not.
100 : 본 발명의 실시례에 따른 모발 재건용 임플란트
10 : 본체부
20 : 중공부
21 : 저면부
30 : 외주면
31, 32 : 미늘
40 : 공간
200 : 모발100: Implant for reconstructing hair according to an embodiment of the present invention
 10:
 20: hollow
 21:
 30: outer peripheral surface
 31, 32: barb
 40: Space
 200: Hair
| Application Number | Priority Date | Filing Date | Title | 
|---|---|---|---|
| KR20130135236AKR101496046B1 (en) | 2013-11-08 | 2013-11-08 | Hair Reconstruction Implant | 
| Application Number | Priority Date | Filing Date | Title | 
|---|---|---|---|
| KR20130135236AKR101496046B1 (en) | 2013-11-08 | 2013-11-08 | Hair Reconstruction Implant | 
| Publication Number | Publication Date | 
|---|---|
| KR101496046B1true KR101496046B1 (en) | 2015-02-25 | 
| Application Number | Title | Priority Date | Filing Date | 
|---|---|---|---|
| KR20130135236AExpired - Fee RelatedKR101496046B1 (en) | 2013-11-08 | 2013-11-08 | Hair Reconstruction Implant | 
| Country | Link | 
|---|---|
| KR (1) | KR101496046B1 (en) | 
| Publication number | Priority date | Publication date | Assignee | Title | 
|---|---|---|---|---|
| KR20160107021A (en)* | 2015-03-03 | 2016-09-13 | 김두희 | Hair implant and transplantation method thereof | 
| KR102237437B1 (en) | 2020-12-23 | 2021-04-06 | 김두희 | Hair implant structure | 
| KR102237442B1 (en) | 2020-12-23 | 2021-04-06 | 김두희 | Apparatus for implanting hair follicle | 
| Publication number | Priority date | Publication date | Assignee | Title | 
|---|---|---|---|---|
| US4969903A (en) | 1989-11-13 | 1990-11-13 | Wilfredo Valle | Hair implant system | 
| KR20090073960A (en)* | 2007-12-31 | 2009-07-03 | 김윤성 | Hair structure of transplanted natural and artificial hairs and hair transplantation method using the same | 
| KR20120037287A (en)* | 2010-10-11 | 2012-04-19 | 전병구 | Device for transplanting hair | 
| KR20120098780A (en)* | 2009-11-27 | 2012-09-05 | 헤어스테틱스 엘티디. | Hair implant anchors and systems and methods for use thereof | 
| Publication number | Priority date | Publication date | Assignee | Title | 
|---|---|---|---|---|
| US4969903A (en) | 1989-11-13 | 1990-11-13 | Wilfredo Valle | Hair implant system | 
| KR20090073960A (en)* | 2007-12-31 | 2009-07-03 | 김윤성 | Hair structure of transplanted natural and artificial hairs and hair transplantation method using the same | 
| KR20120098780A (en)* | 2009-11-27 | 2012-09-05 | 헤어스테틱스 엘티디. | Hair implant anchors and systems and methods for use thereof | 
| KR20120037287A (en)* | 2010-10-11 | 2012-04-19 | 전병구 | Device for transplanting hair | 
| Publication number | Priority date | Publication date | Assignee | Title | 
|---|---|---|---|---|
| KR20160107021A (en)* | 2015-03-03 | 2016-09-13 | 김두희 | Hair implant and transplantation method thereof | 
| KR102305747B1 (en) | 2015-03-03 | 2021-09-27 | 김두희 | Hair implant and transplantation method thereof | 
| KR102237437B1 (en) | 2020-12-23 | 2021-04-06 | 김두희 | Hair implant structure | 
| KR102237442B1 (en) | 2020-12-23 | 2021-04-06 | 김두희 | Apparatus for implanting hair follicle | 
| Publication | Publication Date | Title | 
|---|---|---|
| KR102686939B1 (en) | Hair implants with improved retention and medical safety features | |
| US4969903A (en) | Hair implant system | |
| JP2011506035A (en) | Structure of natural and artificial hair for transplantation and hair transplantation method using the same | |
| KR102305747B1 (en) | Hair implant and transplantation method thereof | |
| JP2020529909A5 (en) | ||
| KR101496046B1 (en) | Hair Reconstruction Implant | |
| US12383258B2 (en) | Eight-dimensional barbed surgical thread | |
| KR101503014B1 (en) | Hair implant | |
| US20140277453A1 (en) | Ciliary implant, ciliary augmentation | |
| KR20210146941A (en) | Hair implants with improved fixation and medical safety structures | |
| KR200413370Y1 (en) | Artificial hair for skin food | |
| JP2024543415A (en) | Hair implant with enhanced fixation and medical safety features | |
| KR20160137102A (en) | Lifting thread for insertion into in-vivo | |
| US11413134B1 (en) | Nipple implant system | |
| JP6466605B2 (en) | Adipose tissue reconstruction material | |
| JPH10216161A (en) | Thread for hair implant | |
| RU47695U1 (en) | BIOIMPLANT FOR CULTURE FORMATION AFTER REMOVAL OF THE EYE | |
| RU2812035C2 (en) | Hair implants providing improved attachment and enhanced medical safety measures | |
| RU2776439C9 (en) | Hair implants with enhanced fixation and medical safety characteristics | |
| RU2776439C2 (en) | Hair implants with enhanced fixation and medical safety characteristics | |
| RU2446751C2 (en) | Method of eye-lashes implantation (its versions) | |
| KR200424303Y1 (en) | Artificial hair for skin food | |
| JPS61247443A (en) | Hair prosthetic method | |
| JP2016140494A (en) | Adipose tissue reconstruction material | |
| JP5128715B1 (en) | acupuncture | 
| Date | Code | Title | Description | 
|---|---|---|---|
| PA0109 | Patent application | St.27 status event code:A-0-1-A10-A12-nap-PA0109 | |
| PA0201 | Request for examination | St.27 status event code:A-1-2-D10-D11-exm-PA0201 | |
| P11-X000 | Amendment of application requested | St.27 status event code:A-2-2-P10-P11-nap-X000 | |
| P13-X000 | Application amended | St.27 status event code:A-2-2-P10-P13-nap-X000 | |
| D13-X000 | Search requested | St.27 status event code:A-1-2-D10-D13-srh-X000 | |
| D14-X000 | Search report completed | St.27 status event code:A-1-2-D10-D14-srh-X000 | |
| PE0902 | Notice of grounds for rejection | St.27 status event code:A-1-2-D10-D21-exm-PE0902 | |
| E13-X000 | Pre-grant limitation requested | St.27 status event code:A-2-3-E10-E13-lim-X000 | |
| P11-X000 | Amendment of application requested | St.27 status event code:A-2-2-P10-P11-nap-X000 | |
| P13-X000 | Application amended | St.27 status event code:A-2-2-P10-P13-nap-X000 | |
| P11-X000 | Amendment of application requested | St.27 status event code:A-2-2-P10-P11-nap-X000 | |
| P13-X000 | Application amended | St.27 status event code:A-2-2-P10-P13-nap-X000 | |
| E701 | Decision to grant or registration of patent right | ||
| GRNT | Written decision to grant | ||
| PE0701 | Decision of registration | St.27 status event code:A-1-2-D10-D22-exm-PE0701 | |
| PR0701 | Registration of establishment | St.27 status event code:A-2-4-F10-F11-exm-PR0701 | |
| PR1002 | Payment of registration fee | St.27 status event code:A-2-2-U10-U11-oth-PR1002 Fee payment year number:1 | |
| PG1601 | Publication of registration | St.27 status event code:A-4-4-Q10-Q13-nap-PG1601 | |
| P22-X000 | Classification modified | St.27 status event code:A-4-4-P10-P22-nap-X000 | |
| LAPS | Lapse due to unpaid annual fee | ||
| PC1903 | Unpaid annual fee | St.27 status event code:A-4-4-U10-U13-oth-PC1903 Not in force date:20180217 Payment event data comment text:Termination Category : DEFAULT_OF_REGISTRATION_FEE | |
| P22-X000 | Classification modified | St.27 status event code:A-4-4-P10-P22-nap-X000 | |
| PC1903 | Unpaid annual fee | St.27 status event code:N-4-6-H10-H13-oth-PC1903 Ip right cessation event data comment text:Termination Category : DEFAULT_OF_REGISTRATION_FEE Not in force date:20180217 |