

본 발명은 광 파이프 제작을 위해 사용되는 광 라이팅 필름의 프리즘층 형성용 자외선 경화형 수지 조성물에 관한 것으로 광학 필름의 제조공정을 단순화 하면서도 수치안정성을 높일 수 있다.The present invention relates to an ultraviolet curable resin composition for forming a prism layer of a light-illuminating film used for manufacturing a light pipe, and can improve the numerical stability while simplifying the manufacturing process of the optical film.
통상의 광 파이프 구조물은 투명한 중합체 물질로 구성되며, 미세한 구조물로 구조화된 외면과, 구조화되지 않은 매끈한 내면을 구비한 관 형태의 벽을 포함한다. 상기 구조화되지 않은 내면은 실질적으로 평탄하며, 이에 반해, 상기 구조화된 외면은 상호 나란히 배열되어 광 파이프의 길이 방향으로 연장된 복수의 삼각형 홈을 형성하는 선형의 프리즘 배열을 포함한다. 이러한 구조상의 특징으로 인해 광 파이프는 소정의 각도 범위 내에서 광 파이프 내로 입력된 빛을 내부 전반사에 의해 광 파이프의 내부에 구속함으로써 광 파이프의 길이 방향을 따라 빛을 전송한다. 상기한 바와 같은 전형적인 광 파이프는 미국특허 제 4,805,984호에 개시되어 있으며, 본원에 참고문헌으로 인용된다.Conventional light pipe structures consist of a transparent polymeric material, including an outer surface structured with a fine structure and a tubular wall with an unstructured smooth inner surface. The unstructured inner surface is substantially planar, while the structured outer surfaces comprise a linear prism arrangement arranged side by side to form a plurality of triangular grooves extending in the longitudinal direction of the light pipe. Due to such a structural feature, the light pipe transmits light along the length direction of the light pipe by restricting the light inputted into the light pipe within the predetermined angle range by the total internal reflection inside the light pipe. A typical light pipe as described above is disclosed in U.S. Patent No. 4,805,984, which is incorporated herein by reference.
한편, 광 파이프는 특정 지점을 조명하기 위한 포인트 조명의 용도만 아니라, 어떤 한 영역을 조명할 목적으로도 이용된다. 종래에 광 파이프의 내부에서 진행하는 빛을 외부로 분배시키기 위해 다양한 기술이 이용되어 왔다. 이러한 기술의 하나로서, 구조화된 면에 배치된 프리즘의 형상을 변경시킴으로써, 즉, 프리즘의 모서리부를 둥글게 하거나, 프리즘의 일부를 마모시키거나, 선택된 영역의 프리즘을 완전히 제거함으로써 광이 광파이프의 변경된 영역을 통해 방출되게 하는 기술이 포함된다.On the other hand, a light pipe is used not only for the purpose of point lighting for illuminating a specific point, but also for illuminating an area. Conventionally, various techniques have been used to distribute light traveling inside the light pipe to the outside. As one of such techniques, by changing the shape of the prism disposed on the structured surface, that is, by rounding the corner of the prism, worn a part of the prism, or completely removing the prism in the selected area, To be emitted through the region.
또한, 이와는 다른 기술로서, 광 파이프 내에 광 배출기(light extractor)를 배치하는 기술이 포함된다. 이러한 광 배출기에는 빛을 내부 전반사의 각도 범위를 벗어나는 각도로 광 파이프 쪽으로 반사시키도록 형상화된 스트립 또는 시트 형태의 물질이 있다.Also, as another technique, a technique of disposing a light extractor in a light pipe is included. Such a light emitter has a strip or sheet of material shaped to reflect light back toward the light pipe at an angle that deviates from the angular range of total internal reflection.
그러나, 이러한 방식으로 빛이 반사되는 경우에, 광 파이프의 전반사율이 감소하며, 이로써 빛이 광 파이프의 벽을 통해 방출되게 하므로 장식용 또는 기능성 조명을 제공할 수 있다.However, when light is reflected in this manner, the total reflectance of the light pipe is reduced, thereby allowing light to be emitted through the walls of the light pipe, thus providing decorative or functional lighting.
광 파이프는 통상적으로 광 라이팅 필름(OLF: Optical Lighting Film)을 사용하여 제조된다. 전형적인 광 라이팅 필름은 일면에 엠보싱 가공되거나 또는 그 반대로 성형된 선형의 프리즘 배열을 갖는 비교적 얇은 시트형태의 투명 물질로 대부분 내열성이 우수한 폴리카보네이트로 제조된다. 공정상 형상을 부여하기 위해서 폴리카보네이트 필름에 가온을 하여 원하는 형상의 금속 몰드를 찍어내는 방법을 사용하 는 기술이 일반적이다. 이러한 공정은 가온, 몰딩, 냉각의 공정을 거쳐야 하기 때문에 공정이 길고, 금속몰드의 마모 등으로 인하여 불량률이 증가되는 문제가 있고, 가온공정과 냉각공정을 거치기 때문에 치수안정성이 떨어져 원하는 형상을 구현하기 어렵다.Light pipes are typically manufactured using optical lighting films (OLFs). A typical light-lining film is made of a polycarbonate which is mostly heat-resistant and is a transparent material in the form of a relatively thin sheet having a linear prism arrangement that is embossed on one side or vice versa. In order to give a process shape, a technique of heating a polycarbonate film and taking a metal mold of a desired shape is generally used. Since such a process requires heating, molding, and cooling processes, there is a problem that the process is long and the defect rate increases due to abrasion of the metal mold, etc. Since the process is subjected to the warming process and the cooling process, it's difficult.
본 발명의 목적은 공정을 단순화 시킬 수 있으면서도, 치수 안정성이 우수하여 원하는 형상을 구현할 수 있고, 표면경도가 높고 내열성이 우수한 광라이팅 필름 제조용 자외선 경화형 수지 조성물을 제공하는 것이다.An object of the present invention is to provide an ultraviolet curable resin composition for manufacturing a photolining film which is capable of simplifying the process, exhibiting excellent dimensional stability and realizing a desired shape, and having high surface hardness and excellent heat resistance.
본 발명의 또 다른 목적은 표면경도가 높고 내열성이 우수하며, 원하는대로 우수한 형상을 제조할 수 있어 광 파이프에 사용시 원하는 방향으로 빛을 전달할 수 있는 광라이팅 필름을 제공하는 것이다.Another object of the present invention is to provide a light-illuminating film capable of transmitting light in a desired direction when used in a light pipe because of its high surface hardness, excellent heat resistance, and excellent shape as desired.
본 발명의 또 다른 목적은 공정이 단순하면서도 치수안정성이 높은 광라이팅 필름의 제조방법을 제공하는 것이다.It is still another object of the present invention to provide a method for producing an optical bright film having a simple process and high dimensional stability.
본 발명의 목적을 달성하기 위하여, 본 발명은In order to achieve the object of the present invention,
하기 화학식 1의 비스페놀형 자외선 경화형 (메타)아크릴레이트 올리고머(A), 화학식 2의 우레탄 (메타)아크릴레이트 올리고머(B), 화학식 3의 자외선 경화형 (메타)아크릴레이트 단량체(C) 및 1개 이상의 광개시제(D)를 포함하는 것을 특징으로 하는 광라이팅 필름 제조용 자외선 경화형 수지 조성물을 제공한다.(Meth) acrylate oligomer (B) represented by the following general formula (1), an ultraviolet ray curable (meth) acrylate monomer (C) represented by the general formula And a photoinitiator (D). The present invention also provides an ultraviolet-curable resin composition for producing a light-illuminating film.
(화학식 1)(Formula 1)
상기 식에서, R1은 CH2, C(CH3)2, CHCH3, CHC2H5 , C(C6H5)2, S, SO2, O 중 하나이며, R2는 독립적으로 수소원자, 브롬원자, 염소원자, 벤젠고리 또는 탄소수3 내지 10의 단일 또는 이중 이상의 축합링도 가능하며. R3 및 R4은 -CH2CH2-, -CH2-CH(CH3)-, 또는 -CH2CH(OH)CH2- 이며, R5는 수소 원자 또는 메틸기이고, n 및 m 은 독립적으로 0내지 10의 정수이나 둘 다 0은 아니다.Wherein, R1 isCH 2, C (CH 3) 2, CHCH 3, CHC 2 H 5, C (C 6 H 5) 2, is one ofS, SO 2, O, R 2 is a hydrogen atom independently , A bromine atom, a chlorine atom, a benzene ring or a carbon number Single or double condensation rings of 3 to 10 are also possible. R3 and R4 are -CH2 CH2 -, -CH2 -CH (CH3 ) - or -CH2 CH (OH) CH2 -, R5 is a hydrogen atom or a methyl group, Independently an integer from 0 to 10, or both are not zero.
(화학식 2) (2)
(상기 식에서, X는 1~10개의 (메타)아크릴레이트 관능기를 포함하는 탄소수 7~80개의 지방족 또는 방향족 탄화수소이고 R은 탄소수 3~15개의 지방족 탄화수소 또는 6~15의 방향족 탄화수소이다).(Wherein X is an aliphatic or aromatic hydrocarbon having 7 to 80 carbon atoms and 1 to 10 (meth) acrylate functional groups and R is an aliphatic hydrocarbon having 3 to 15 carbon atoms or an aromatic hydrocarbon having 6 to 15 carbon atoms.
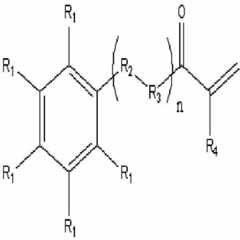
(화학식 3)(Formula 3)
상기 식에서 R1는 독립적으로 수소원자, 브롬원자, 벤젠고리 또는 탄소수 3내지 10의 단일 또는 이중 이상의 축합링도 가능하며, R2는 산소원자 또는 황원자 이며, R3은 -CH2CH2--, -CH2-CH(CH3)-, 또는 -CH2CH(OH)CH2- 이며, R4는 수소 또는 메틸기이며, n은 1내지 10의 정수이다.Wherein R1 is independently a hydrogen atom, a bromine atom, a benzene ring or a condensed ring of 3 to 10 carbon atoms, R2 is an oxygen atom or a sulfur atom, R3 is -CH2 CH2 - , -CH2 -CH (CH3 ) -, or -CH2 CH (OH) CH2 -, R4 is hydrogen or a methyl group, and n is an integer of 1 to 10.
본 발명의 또 다른 목적을 달성하기 위하여, 본 발명은 베이스 필름; 및 상기 베이스 필름 상에 형성된 프리즘 층을 포함하며, 상기 프리즘 층이 본 발명에 따른 자외선 경화형 수지 조성물로 이루어진 광 라이팅 필름을 제공한다.In order to accomplish still another object of the present invention, And a prism layer formed on the base film, wherein the prism layer comprises the ultraviolet curable resin composition according to the present invention.
본 발명의 또 다른 목적을 달성하기 위하여, 본 발명은In order to achieve still another object of the present invention,
베이스 필름에, 자외선 경화형 수지 조성물을 도포하여 자외선 경화형 수지층을 형성하는 단계;Forming an ultraviolet curable resin layer on the base film by applying an ultraviolet curable resin composition;
상기 자외선 경화형 수지층에 프리즘 패턴을 전사하는 단계; 및Transferring a prism pattern to the ultraviolet curable resin layer; And
상기 자외선 경화형 수지층에 자외선을 조사하여 경화시키는 단계를 포함하는 것을 특징으로 하는 광라이팅 필름의 제조방법을 제공한다.And irradiating ultraviolet rays to the ultraviolet curable resin layer to cure the ultraviolet curable resin layer.
본 발명에 따른 일 실시예에 의하면, 상기 자외선 경화형 수지 조성물이 경화후 굴절율이 베이스 필름의 굴절율과 동일 또는 베이스 필름의 굴절율+ 0.005 범위의 굴절율을 갖는 것이 바람직하다.According to one embodiment of the present invention, it is preferable that the ultraviolet-curable resin composition has a refractive index after curing that is the same as the refractive index of the base film or a refractive index in the range of+ 0.005.
본 발명에 따른 자외선 경화형 조성물을 사용하여 광라이팅 필름의 프리즘층을 제조하는 경우 종래 기술과 달리 베이스필름에 자외선 경화형 조성물을 도포, 패턴 형성 및 경화라는 단순 공정만으로도 프리즘층의 형성이 가능하며, 금속 몰드의 마모 등으로 인한 불량이 발생할 우려가 없으며, 가온과 냉각공정에 따른 치수 안정성이 떨어지는 문제점도 함께 해결할 수 있다. 또한 기재필름과의 접착력이 향상되어 작업성이 우수하고 생산성이 높은 광라이팅 필름을 제조할 수 있다.When a prism layer of a photolithography film is produced using the ultraviolet ray curable composition according to the present invention, a prism layer can be formed only by a simple process such as application of an ultraviolet curable composition on a base film, pattern formation and curing, There is no possibility of occurrence of defects due to abrasion of the mold and the like, and the dimensional stability due to the heating and cooling processes is poor. Further, the adhesive strength to the base film is improved, and an optical lighting film having excellent workability and high productivity can be produced.
또한, 본 발명에 따른 자외선 경화형 조성물은 경화 후 굴절율이 베이스 필름 굴절율과 유사하며, 유연성도 갖추어 필름 제작 후 외부의 힘에 의해 형상이 손상되거나 광 파이프 제작 과정 중 원통형으로 필름을 가공하여도 필름이 부스러지거나 파괴되지 않으며, 표면경도가 높고 내열성이 우수한 광라이팅 필름을 제조할 수 있다.In addition, the ultraviolet ray curable composition according to the present invention has a refractive index similar to that of a base film after curing and has flexibility. Therefore, even if a film is processed into a cylindrical shape during the production of a light pipe, It is possible to produce an optical writing film which is not broken or destroyed, has a high surface hardness and is excellent in heat resistance.
이하에서 본 발명을 더욱 상세히 설명한다.Hereinafter, the present invention will be described in more detail.
본 발명은 상기 화학식 1의 자외선 경화형 (메타)아크릴레이트 올리고머(A), 화학식 2의 우레탄 (메타)아크릴레이트 올리고머(B), 화학식 3의 자외선 경화형 (메타)아크릴레이트 단량체(C), 및 1개 이상의 광개시제(D)를 포함하는 것을 특징으로 하는 광라이팅 필름의 프리즘층 형성용 자외선 경화형 수지 조성물을 제공한다.The present invention relates to an ultraviolet curable (meth) acrylate oligomer (A) of Formula 1, a urethane (meth) acrylate oligomer (B) of Formula 2, an ultraviolet (D) of at least one photo-initiator.
상기 화학식 1의 (메타)아크릴레이트 올리고머(A)는 자외선 경화형 조성물 100 중량부에 대하여, 9 내지 60 중량부로 포함되는 것이 바람직하며, 15 중량부 미만인 경우에는 표면 경도와 경화성이 떨어지며, 60 중량부 초과일 경우에는 부착력이 미흡하고 작업 점도가 높아 생산성이 떨어진다.The (meth) acrylate oligomer (A) of the above formula (1) is preferably contained in an amount of 9 to 60 parts by weight based on 100 parts by weight of the ultraviolet curable composition. When the amount is less than 15 parts by weight, the surface hardness and curability are poor. If it is exceeded, the adhesive strength is insufficient and the work viscosity is high, so the productivity is low.
상기 화학식 2의 우레탄 (메타)아크릴레이트(B)는 코팅 후 표면의 유연성 및 부착력을 향상시키는 역할을 하며, 자외선 경화형 수지 조성물 100 중량부에 대하여, 10 내지 40 중량부 포함되는 것이 바람직하며, 10 중량부 미만이면 부착이 어렵고, 40 중량부 초과일 경우 점도가 너무 높아 작업성이 떨어지는 문제점이 있다.The urethane (meth) acrylate (B) of the formula (2) serves to improve the flexibility and adhesion of the surface after coating and is preferably contained in an amount of 10 to 40 parts by weight per 100 parts by weight of the ultraviolet- When the amount is less than 40 parts by weight, the viscosity is too high, resulting in poor workability.
상기 화학식 3의 (메타)아크릴레이트 단량체(C)는 자외선 경화형 수지 조성물100중량부에 대하여, 20내지 80중량부 포함되는 것이 바람직한바, 20 중량부 미만인 경우에는 부착력이 미흡하고 점도가 높아 작업성이 떨어지며, 80 중량부 초과일 경우에는 표면 경도와 경화성이 떨어진다.The (meth) acrylate monomer (C) of the above formula (3) is preferably contained in an amount of 20 to 80 parts by weight based on 100 parts by weight of the ultraviolet curable resin composition. When the amount is less than 20 parts by weight, If it exceeds 80 parts by weight, the surface hardness and hardenability become poor.
상기 (메타)아크릴레이트 단량체(C)는 액상 굴절률이 1.51이상이고, 25℃에서의 점도가 5 내지 250cps인 (메타)아크릴레이트를 포함하는 것이 바람직하다. 굴절률이 1.51이하이면, 광학성능을 높일 수 없는 문제가 있으며, 점도가 250cps 이상이면 작업성이 떨어져 공정상 어려움이 있다.The (meth) acrylate monomer (C) preferably contains a (meth) acrylate having a liquid refractive index of 1.51 or more and a viscosity at 25 ° C of 5 to 250 cps. If the refractive index is 1.51 or less, there is a problem that the optical performance can not be increased. If the viscosity is 250 cps or more, the workability is lowered and the process is difficult.
상기 화학식 1의 자외선 경화형 (메타)아크릴레이트 올리고머(A)로는, 비스페놀로부터 제조된 에틸렌 옥사이드 부가 (메타)아크릴레이트 올리고머, 프로필렌 옥사이드 부가 (메타)아크릴레이트 올리고머, 에폭시 부가 아크릴 올리고머 등이 사용될 수 있다. 구체적으로는, 비스페놀A 에폭시 (메타) 아크릴레이트, 에톡실레이티드 비스페놀A (메타)아크릴레이트, 프로필레이티드 비스페놀A (메타)아크릴레 이트, 비스페놀F 에폭시 (메타) 아크릴레이트, 에톡실레이티드 비스페놀F (메타)아크릴레이트, 프로필레이티드 비스페놀F (메타)아크릴레이트, 비스페놀AD 에폭시 (메타) 아크릴레이트, 에톡실레이티드 비스페놀AD (메타)아크릴레이트, 프로필레이티드 비스페놀AD (메타)아크릴레이트, 브롬화 비스페놀A 에폭시 (메타) 아크릴레이트, 에톡실레이티드 브롬화 비스페놀A (메타)아크릴레이트, 프로필레이티드 브롬화 비스페놀A (메타)아크릴레이트, 등이 있다.Examples of the ultraviolet curable (meth) acrylate oligomer (A) represented by Formula 1 include ethylene oxide adduct (meth) acrylate oligomer, propylene oxide adduct (meth) acrylate oligomer and epoxy acrylate oligomer prepared from bisphenol . Specific examples thereof include bisphenol A epoxy (meth) acrylate, ethoxylated bisphenol A (meth) acrylate, propylated bisphenol A (meth) acrylate, bisphenol F epoxy (meth) acrylate, ethoxylated (Meth) acrylate, propylated bisphenol F (meth) acrylate, bisphenol F (meth) acrylate, propylated bisphenol F (meth) acrylate, bisphenol AD epoxy (meth) acrylate, ethoxylated bisphenol AD , Brominated bisphenol A epoxy (meth) acrylate, ethoxylated brominated bisphenol A (meth) acrylate, propylated brominated bisphenol A (meth) acrylate and the like.
상기 화학식 2로 표시되는, 우레탄 (메타)아크릴레이트(B)는 일례로 3관능의 이소시아네이트에 수산기를 포함하고 있는 (메타)아크릴레이트를 반응시켜 제조할 수 있다. 보다 구체적으로는 3관능 이소시아네이트로는 헥사 메틸렌 디이소시아네이트로부터 유도된 3관능 이소시아네이트, 이소포론 디이소시아네이트로부터 유도된 3관능 이소시아네이트, 트리 메탄 프로판올 어덕트 톨루엔 디이소시아네이트 등을 사용할 수 있으며 히드록시기를 포함한 아크릴레이트는 2-히드록시 에틸 (메타)아크릴레이트, 2-히드록시 이소 프로필 (메타)아크릴레이트, 4-히드록시 부틸 (메타)아크릴레이트, 카프로락톤 개환 히드록시 아크릴레이트, 펜타 에릴 트리톨 트리/테트라 (메타)아크릴레이트 혼합물, 다이 펜타에릴 트리톨 펜타/헥사 (메타)아크릴레이트 혼합물 등을 사용할 수 있다. 시판되는 것으로는 HS 켐트론사의 3관능 우레탄 아크릴레이트를 들 수 있다.The urethane (meth) acrylate (B) represented by the general formula (2) can be prepared, for example, by reacting a trifunctional isocyanate with a (meth) acrylate containing a hydroxyl group. More specifically, examples of the trifunctional isocyanate include trifunctional isocyanate derived from hexamethylene diisocyanate, trifunctional isocyanate derived from isophorone diisocyanate, trimethane propanol adduct toluene diisocyanate, and the like. The acrylate containing a hydroxyl group (Meth) acrylate, caprolactone ring-opening hydroxyacrylate, pentaerythritol tri (meth) acrylate, 2-hydroxyethyl (Meth) acrylate mixture, a dipentaerythritol penta / hexa (meth) acrylate mixture, and the like. Commercially available trifunctional urethane acrylates from HS Chemtron are examples.
본 발명의 실시예에 따라, 상기 화학식 3의 자외선 경화형 (메타)아크릴레이트 단량체(C)로는 벤질(메타)아크릴레이트, 2-사이오페놀 에틸 (메타)아크릴레이 트, 2-페녹시 에탄올 (메타)아크릴레이트, 2-페닐페녹시 에틸 (메타)아크릴레이트, 2-글리시딜 에테르 사이오페놀 (메타) 아크릴레이트, 오르소 페닐 사이오 페놀 에틸 (메타)아크릴레이트, 글리시딜 에테르 오르소 페닐 사이오 페놀 (메타) 아크릴레이트, 큐밀 사이오페놀 에틸 (메타)아크릴레이트, 글리시딜 에테르 큐밀 사이오페놀 (메타)아크릴레이트, 나프탈렌 사이오 에틸 (메타)아크릴레이트 또는 글리시딜 에테르 나프탈렌 사이오 (메타) 아크릴 레이트 군에서 선택된 1종 이상의 (메타)아크릴레이트일 수 있다.According to an embodiment of the present invention, examples of the ultraviolet curable (meth) acrylate monomer (C) of Formula 3 include benzyl (meth) acrylate, 2-cyanophenolethyl (meth) acrylate, 2-phenoxyethanol (Meth) acrylate, 2-phenylphenoxyethyl (meth) acrylate, 2-glycidyl ether cyanophenol (meth) acrylate, orthophenyl cyanophenol ethyl (meth) acrylate, glycidyl ether (Meth) acrylate, naphthalenesioethyl (meth) acrylate or glycidyl ether (meth) acrylate, methacryloxypropyl (meth) acrylate, Acrylate and naphthalene (meth) acrylate.
본 발명에 따른 광개시제(D)는 자외선 조사에 의해 분해되고 라디칼을 생성하여, 중합을 개시할 수 있는 화합물이면 당업계에 알려진, 어느 화합물이나 가능하다.The photoinitiator (D) according to the present invention can be any compound known in the art as long as it is a compound capable of decomposing by ultraviolet irradiation to generate radicals and initiate polymerization.
광개시제의 예로는 아세토페논, 아세토페논 벤질 케탈, 1-하이드록시 사이클로 헥실 페닐 케톤, 2,2-다이메톡시-2-페닐아세토페논, 잔톤, 플루오렌온, 벤즈 알데하이드, 플루오렌, 안트라퀴논, 트라이 페닐 아민, 카바졸, 3-메틸 아세토페논, 4-클로로벤조페논, 4,4'-다이메톡시벤조 페논, 미츨러(Michler's)케톤, 벤조인 프로필 에테르, 벤질 다이 메틸케탈, 1 -(4-아이소 프로필 페닐)-2-하이드록시-2 메틸 프로판-1-온, 2-하이드록시 -2-메틸-1-페닐프로판-1-온, 2,4,6-트리 메틸 벤조일 디 페닐 포스핀 옥사이드, 비스-(2,6-다이메톡시벤조일)-2,4,4- 트리 메틸 펜틸 포스핀 옥사이드, 올리고 (2-하이드록시-2-메틸-1-(4-(1-메틸 바이닐) 페닐) 프로 파논), 4-메틸 벤조페논, 및 1-[4-(4-벤조일 페닐 설파닐) 페닐]-2-메틸-2-(4-메틸 페닐 술폰닐)프로판-1-원으로 이루어진 군에서 1 종 이상 선택될 수 있다. 구체적인 예로서 이가큐어 184, 651, 907, 754, 127, 819, 2959, 2100 다로큐어 1173, MBF, BP, TPO (시바 게이지사), 이사큐어 KIP 150, KIP 100F, KIP75LT, KIP IT, ONE, TZT, TZM, KT55, KTO46, 1001M, KL 200, KS 300, HB (람버르티 사) 등은 시판되는 제품으로 제공 될 수 있다.Examples of photoinitiators include acetophenone, acetophenone benzyl ketal, 1-hydroxycyclohexyl phenyl ketone, 2,2-dimethoxy-2-phenylacetophenone, xanthone, fluorene, benzaldehyde, fluorene, anthraquinone, Benzophenone, triphenylamine, carbazole, 3-methylacetophenone, 4-chlorobenzophenone, 4,4'-dimethoxybenzophenone, Michler's ketone, benzoin propyl ether, 2-hydroxy-2-methyl-1-phenylpropan-1-one, 2,4,6-trimethylbenzoyldiphenylphosphine (2-hydroxy-2-methyl-1- (4- (1-methylvinyl) -2,3,4-trimethylpentylphosphine oxide, ) Phenyl) propanone), 4-methylbenzophenone, and 1- [4- (4-benzoylphenylsulfanyl) phenyl] -2-methyl-2- One species in the group It can be selected. As a concrete example, IGACURE 184, 651, 907, 754, 127, 819, 2959, 2100 DauroCURE 1173, MBF, BP, TPO (Shiba Gage Co.), Iscure KIP 150, KIP 100F, KIP 75LT, KIP IT, ONE, TZT, TZM, KT55, KTO46, 1001M, KL 200,
상기 광개시제는 조성물 100 중량부에 대하여 0.1 내지 10 중량부를 포함하는 것이 바람직하다. 0.1 중량부 미만인 경우에는 충분한 광경화가 이루어지지 않아 블로킹 현상, 표면강도, 부착력등의 문제가 발생할 수 있고 10 중량부를 초과하는 경우에는 경화 후 광개시제가 잔존하게 되어 장시간 방치 시 잔존 광개시제의 표면 석출 현상이 발생하며, 황변현상, 내광성 등의 문제점이 발생한다.It is preferable that the photoinitiator comprises 0.1 to 10 parts by weight based on 100 parts by weight of the composition. When the amount of the photoinitiator is less than 0.1 parts by weight, sufficient photo-curing may not be achieved, and problems such as blocking phenomenon, surface strength and adhesion may occur. If the amount exceeds 10 parts by weight, And problems such as yellowing and light fastness occur.
상기 물질 이외에도 항산화제, 자외선 흡수제, 광안정제, 열적고분자화 금지제, 레블링제, 계면활성제, 윤활제 등이 상기 프리즘층 형성용 경화 수지 조성물에 함께 사용될 수 있다.In addition to the above materials, an antioxidant, an ultraviolet absorber, a light stabilizer, a thermal polymerization inhibitor, a leveling agent, a surfactant, a lubricant, etc. may be used together with the cured resin composition for forming a prism layer.
상기 언급된 성분(A) 및 성분(B), 성분(C)외에 본 발명에서 공정 조건상 점도 조절이나 유연성 및 강도를 높이기 위하여 임의 성분으로서 자외선 경화가 가능한 (메타)아크릴레이트 또는 비닐기를 지니고 있는 단량체를 첨가하여 사용할 수 있다. 이러한 단량체는 자외선 경화형 수지 조성물 100 중량부에 대하여 5 내지 20 중량부로 포함되는 것이 바람직하다. In addition to the above-mentioned components (A), (B) and (C), in the present invention, a monomer having a (meth) acrylate or vinyl group capable of ultraviolet curing as an optional component for controlling viscosity, Can be added. Such a monomer is preferably contained in an amount of 5 to 20 parts by weight based on 100 parts by weight of the ultraviolet-curing resin composition.
이러한 단량체의 예로는 디펜타에리스리톨헥사(메타)아크릴레이트, 펜타에리스리톨펜타(메타) 아크릴레이트, 펜타에리스리톨테트라(메타)아크릴레이트, 디트리메틸올프로판테트라(메타)아크릴레이트, 트리메틸올프로판트리(메타) 아크릴레이트, 글리세롤트리(메타)아크릴레이트, 트리스(2-히드록시에틸)이소시아누레이트트리(메타)아크릴레이트, 에틸렌클리콜디(메타)아크릴레이트, 프로필렌 글리콜(메타)아크릴레이트, 1,3-부탄디올디(메타)아크릴레이트, 1,4-부탄디올디(메타)아크릴레이트, 1,6-헥산디올디(메타)아크릴레이트, 네오펜틸글리콜디(메타)아크릴레이트, 디에틸렌글리콜디(메타)아크릴레이트, 트리에틸렌클리콜디(메타) 아크릴레이트, 디프로필렌글리콜디(메타)아크릴레이트, 비스(2-히드록시에틸)이소시아누레이트디(메타)아크릴레이트, 히드록시에틸(메타)아크릴레이트, 히드록시프로필(메타)아크릴레이트, 히드록시부틸(메타)아크릴레이트, 이소옥틸(메타)아크릴레이트, (메타)아크릴산, 메틸(메타)아크릴레이트 , 아이소보네올(메타)아크릴레이트, 이소-덱실(메타)아크릴레이트, 스테아릴(메타)아크릴레이트, 및 테트라하이드로퍼푸릴(메타)아크릴레이트 등의 (메타) 아크릴레이트 단량체와 n-비닐 피닐리돈, 스티렌, 하이드록시부틸 비릴 에테르, 라우릴 비닐 에테르, 세틸비닐에테르, 2-에틸헥실비닐에테르 등의 비닐계 단량체를 사용할 수 있다.Examples of such monomers include dipentaerythritol hexa (meth) acrylate, pentaerythritol penta (meth) acrylate, pentaerythritol tetra (meth) acrylate, ditrimethylolpropane tetra (meth) acrylate, trimethylolpropane tri (Meth) acrylate, ethylene glycol di (meth) acrylate, glycerol tri (meth) acrylate, tris (2-hydroxyethyl) isocyanurate tri Acrylate, 1,6-hexanediol di (meth) acrylate, neopentyl glycol di (meth) acrylate, diethylene glycol di (Meth) acrylate, triethylene glycol di (meth) acrylate, dipropylene glycol di (meth) acrylate, bis (2-hydroxyethyl) isocyanurate di (Meth) acrylates such as hydroxyethyl (meth) acrylate, hydroxypropyl (meth) acrylate, hydroxybutyl (meth) acrylate, isooctyl (Meth) acrylate monomers such as (meth) acrylate, iso-decyl (meth) acrylate, stearyl (meth) acrylate and tetrahydroperfuryl , it is possible to use a vinyl monomer such as hydroxybutyl biril ether, lauryl vinyl ether, cetyl vinyl onTerre, 2-ethylhexyl vinyl ether.
본 발명의 또 다른 실시예에 따라 베이스 필름; 및 상기 베이스 필름 상에 형성된 프리즘 층을 포함하며, 상기 프리즘 층이 본 발명에 따른 자외선 경화형 수지 조성물로 이루어진 광 라이팅 필름을 제공한다.According to another embodiment of the present invention, And a prism layer formed on the base film, wherein the prism layer comprises the ultraviolet curable resin composition according to the present invention.
상기 베이스 필름은 투명한 재질로서, 바람직하게는 광학적 특성 측면에서 양호한 물질인 폴리 에틸렌 테레프탈레이트(이하 PET), 폴리카보네이트(PC), 폴리에틸렌 나프탈레이트(PEN) 등이 사용될 수 있다.The base film may be made of a transparent material, preferably polyethylene terephthalate (PET), polycarbonate (PC), polyethylene naphthalate (PEN) or the like, which is preferable in terms of optical characteristics.
본 발명의 일 실시예에 따르면, 상기 베이스 필름은 수분산 폴리우레탄 또는 수성 아크릴 수지 층이 1~2㎛ 프라이머 형식으로 코팅된 것을 사용할 수도 있다.According to an embodiment of the present invention, the base film may be formed by coating a water-dispersed polyurethane or an aqueous acrylic resin layer with a primer type of 1 to 2 탆.
상기 베이스 필름의 두께는 10 ~ 1000㎛ 정도이고, 바람직하게는 50 ~ 300㎛가 사용된다. 필름의 두께가 상기 범위보다 얇으면 내열성이 떨어지고 두꺼우면 광특성이 떨어져 광 라이팅 필름으로 사용하기 어렵다.The thickness of the base film is about 10 to 1000 mu m, preferably 50 to 300 mu m. When the thickness of the film is thinner than the above range, the heat resistance is poor. When the thickness is too large, the optical characteristics are poor and it is difficult to use the film as a light-illuminating film.
본 발명의 일 실시예에 따르면, 베이스 필름에, 경화후 굴절율이 베이스 필름의 굴절율과 동일 또는+ 0.05 범위의 굴절율을 갖는 자외선 경화형 수지 조성물을 도포하여 자외선 경화형 수지층을 형성하는 단계; 상기 자외선 경화형 수지층에 프리즘 패턴을 전사하는 단계; 및 상기 자외선 경화형 수지층에 자외선을 조사하여 경화시키는 단계를 포함하는 광라이팅 필름의 제조방법을 제공한다.According to one embodiment of the invention, comprising a base film, the refractive index after curing by applying the ultraviolet curable resin composition having a refractive index of the refractive index the same as or+ 0.05 range of the base film forming the ultraviolet-curing resin layer; Transferring a prism pattern to the ultraviolet curable resin layer; And irradiating ultraviolet rays to the ultraviolet curable resin layer to cure the composition.
상기 자외선 경화형 수지 조성물을 도포하는 단계, 상기 자외선 경화형 수지층에 프리즘 패턴을 전사하는 단계 및 상기 자외선 경화형 수지층에 자외선을 조 사하여 경화시키는 단계는 동시에 이루어지거나 순차적으로 이루어질 수 있으며, 공정 시간과 공정설비의 간소화를 고려하여 동시에 이루어지는 것이 바람직하다. The steps of applying the ultraviolet curing resin composition, transferring the prism pattern to the ultraviolet curable resin layer, and curing the ultraviolet curable resin layer by irradiating ultraviolet light may be performed simultaneously or sequentially, It is preferable that the process is simultaneously performed in consideration of the simplification of the process facility.
상기 프리즘층 패턴의 형성은 당해 기술분야에 알려진 어떠한 방법으로도 가능하며, 예를 들어 구조화 패턴이 형성된 몰드로 전사시켜 형성될 수 있다.The prism layer pattern may be formed by any method known in the art and may be formed, for example, by transferring to a mold in which a structured pattern is formed.
상기 자외선 경화형 수지 조성물은 베이스 필름의 굴절율과 경화후 굴절율이 동일 및 유사한 것이 바람직하며, 일반적으로 베이스 필름으로 사용되는 굴절율과 동일 또는 유사한 굴절율로는, 액상 굴절율이 1.54 내지 1.55이고 경화후 굴절율이 1.58 내지 1.59인 것을 사용할 수 있다.The refractive index of the ultraviolet ray curable resin composition is preferably the same or similar to that of the base film. The refractive index of the ultraviolet ray curable resin composition is the same or similar to that of the base film. The refractive index is 1.54 to 1.55, To 1.59 can be used.
상기 자외선 경화형 수지 조성물은 화학식 1의 (메타)아크릴레이트 올리고머(A), 화학식 2의 우레탄(메타)아크릴레이트 올리고머(B), 화학식 3의 자외선 경화형 (메타)아크릴레이트 단량체(C) 및 1개 이상의 광개시제(D)를 포함하는 것이 바람직하다.The ultraviolet ray curable resin composition comprises (meth) acrylate oligomer (A), urethane (meth) acrylate oligomer (B), ultraviolet ray curable (meth) acrylate monomer (C) It is preferable to include the above-mentioned photoinitiator (D).
본 발명의 일 실시예 의하면, 도 1을 참조로 하면, 수지 투입구(400)로부터 본 발명에 따른 자외선 경화형 수지 조성물이 베이스 필름롤(100)로부터 공급되는 베이스 필름 일측면에 도포됨과 동시에 프리즘 패턴 형상의 마스터 몰드(300)에 의해 수지층에 프리즘 패턴이 전사되며, 동시에 UV 조사기(200)에 의해 상기 수지층이 경화되어, 광 라이팅 필름을 제조하게 된다.  이렇게 제조된 광라이팅 필름을 포함하는 광파이프의 개략도를 도 2에서 볼 수 있다.1, an ultraviolet curable resin composition according to the present invention is applied from a
상기 코팅방식으로는 그라비아 코팅 롤투롤코팅, 라이프 코팅 등 당해 기술 분야에 널리 알려진 것을 용이하게 적용할 수 있으며, 롤투롤 코팅이 바람직하다.As the coating method, gravure coating roll-to-roll coating, life coating, etc. widely known in the art can be easily applied, and roll-to-roll coating is preferable.
상기 수지층의 도포두께는 보통 1 ~ 300㎛이며, 바람직하게는 50~250㎛이고, 너무 얇으면 공정상 균일성이 떨어지며, 너무 두꺼우면 경화도 부족으로 강도가 떨어지며 투과도가 낮아져 휘도가 떨어질 수 있다.The coating thickness of the resin layer is usually 1 to 300 탆, preferably 50 to 250 탆. When the thickness is too thin, the uniformity in the process is inferior. If it is too thick, the strength is lowered due to insufficient hardness, have.
상기 UV광의 조사량은 약 0.1~2J/cm2이고, 바람직하게는 0.1~1J/cm2이며 파장은 365nm를 주 파장으로 하는 메탈 할라이드 계열의 램프를 사용하는 것이 좋다.It is preferable to use a metal halide lamp having a wavelength of 365 nm as the irradiation dose of the UV light of about 0.1 to 2 J / cm2 , preferably 0.1 to 1 J / cm2 .
본 발명에 따른 자외선 경화형 수지 조성물은 미세구조-포함 광학 물품(예 필름)과 같은 다른 광학 물질 제조용으로 유리하게 사용될 수 있다. 예를 들어, 프레넬 렌즈와 같은 광학렌즈, 고굴절률 필름과 같은 광학필름, 평판형 필름, 다층필름, 재귀반사 시트, 광섬유 또는 광학튜브 등이 포함된다.The ultraviolet curable resin composition according to the present invention can be advantageously used for producing other optical materials such as microstructure-containing optical articles (e.g., films). For example, optical lenses such as Fresnel lenses, optical films such as high refractive index films, flat plate films, multilayer films, retroreflective sheets, optical fibers or optical tubes and the like.
이하, 실시예에 의해 본 발명을 보다 구체적으로 설명하고자 한다. 이들 실시예는 오직 본 발명을 설명하기 위한 것으로, 본 발명의 범위가 이들 실시예에 국한되지 않는다는 것은 당업자에게 있어서 자명하다.Hereinafter, the present invention will be described in more detail with reference to Examples. It is to be understood by those skilled in the art that these embodiments are for illustrative purpose only and that the scope of the present invention is not limited to these embodiments.
실시예Example 1 내지 5 및 1 to 5 and비교예Comparative Example 1 내지 6: 자외선 경화형 수지 조성물 1 to 6: UV curable resin composition
각각의 조성 및 조성비는 하기의 표 1과 같이 하여 자외선 경화형 수지 조성물을 제조하였다.The ultraviolet ray curable resin composition was prepared as shown in Table 1 below.
< 표1 ><Table 1>
* EB-600 : 화학식 1 의 수지(SK-cytec)* EB-600: Resin of formula (1) (SK-cytec)
* UA300 : 3관능 우레탄 아크릴레이트(HS켐트론사)* UA300: trifunctional urethane acrylate (HS Chemtron)
* OGASOL-EA-400E : 에톡실레이티드 플루오렌 아크릴레이트(오사카 가스사)* OGASOL-EA-400E: ethoxylated fluorene acrylate (Osaka Gas Co., Ltd.)
* BP-042 : 에톡실레이티드 비스페놀 A 아크릴레이트(한농화성)* BP-042: Ethoxylated bisphenol A acrylate (concentrate)
* A-LEN-10 : 2-페닐페녹시 에틸 (메타)아크릴레이트(신나카무라)* A-LEN-10: 2-phenylphenoxyethyl (meth) acrylate (Shin Nakamura)
* ACMO : 아크로일몰포린 (코진사)* ACMO: Acro Sunset Purin (Kojin Temple)
* D-MBF : 메틸벤조일포메이트(시바게이지)* D-MBF: methylbenzoylformate (Shiba Gage)
* D-1173 : 2-하이드록시-2-메틸-1-페닐-1-프로파논 (시바게이지)* D-1173: 2-Hydroxy-2-methyl-1-phenyl-1-propanone (Shiba Gage)
* TPO : 2,4,6-트리메틸벤조일-디페닐-포스핀옥사이드 (시바게이지)* TPO: 2,4,6-trimethylbenzoyl-diphenyl-phosphine oxide (Shiba gauge)
실시예Example 1 내지 5 및 1 to 5 and비교예Comparative Example 1 내지 6: 광 1 to 6: light라이팅Lighting 필름의 제조 Production of film
도 1을 참조로 하여, 수지 투입구(400)로부터 공급되는 실시예 1 내지 5 및 비 교예 1 내지 6에 따른 수지 조성물을 250㎛ 필름두께의 PC 필름롤(100)로부터 공급되는 PC 필름 일측면에 250㎛의 두께로 도포하면서, 동시에 프리즘 패턴 형상의 마스터 몰드(300)로 수지층에 프리즘 패턴을 전사하였다. 동시에 1000mJ/ cm2의 광량의 메탈 할라이드 램프(UV 조사기: 200)를 조사하여 상기 수지층을 경화시켰다.1, the resin compositions according to Examples 1 to 5 and Comparative Examples 1 to 6 supplied from the
실험예Experimental Example 1: 조성물의 1:경화전Before curing 물성 Properties
- 점도: 25oC에서의 점도는 JIS K7117에 따른 회전 점도계를 사용하여 측정하였다- Viscosity: The viscosity at 25° C was measured using a rotational viscometer according to JIS K7117
- 굴절률: 조성물의 굴절률을 측정하기 위해 굴절계(모델명: 1T,- Refractive index: To measure the refractive index of the composition, a refractometer (Model: 1T,
일본ATAGO ABBE)를 사용하여 굴절률을 측정한다. 측정을 위한 광원은 589.3㎚의 D광선 나트륨램프를 이용한다.Japan ATAGO ABBE) is used to measure the refractive index. The light source for the measurement is a 589.3 nm D-light sodium lamp.
실험예Experimental Example 2: 조성물의 경화 후 물성 2: Physical properties after curing of the composition
- 굴절률: 조성물의 굴절률을 측정하기 위해 굴절계(모델명: 1T,일본ATAGO ABBE)를 사용하여 굴절률을 측정한다. 측정을 위한 광원은 589.3㎚의 D광선 나트륨램프를 이용한다.- Refractive index: The refractive index is measured using a refractometer (Model: 1T, Japan ATAGO ABBE) to measure the refractive index of the composition. The light source for the measurement is a 589.3 nm D-light sodium lamp.
실험예Experimental Example 3: 접착력 평가(떨어진 개수/100) 3: Adhesion evaluation (number of dropped / 100)
- 상온 부착력 : 제작된 시트를 10x10mm의 영역내에서 100개의 매트릭스 구조로 절 개한 후, 그 위에 테이프를 접착하고 수직으로 강하게 이형하면서 떨어져 나온 매트릭스의 개수를 표기한다.- Adhesion at room temperature: Cut the prepared sheet into 100 matrix structures within the area of 10x10 mm, and then tape the tape on it, and mark the number of dislodged matrix while vertically and strongly releasing.
- 고온 부착력 : 제작된 시트를85℃에서 72시간 동안 폭로 시킨 후 10x10mm의 영역내에서 100개의 매트릭스 구조로 절개한 후, 그 위에 테이프를 접착하고 수직으로 강하게 이형하면서 떨어져 나온 매트릭스의 개수를 표기한다.- High Temperature Adhesion: The prepared sheet was exposed at 85 占 폚 for 72 hours and then cut into 100 matrix structures in an area of 10 x 10 mm, then the tape was adhered thereon and the number of the dislodged matrices was marked while vertically and strongly releasing .
실험예Experimental Example 4: 열 4: heat황변Yellow 테스트 Test
제작된 시트를 85℃에서 72시간 동안 폭로 시킨 후 색차계를 이용하여 초기색좌표 및 폭로 후 색좌표를 이용하여 표기한다(Delta E 값).The prepared sheet was exposed at 85 캜 for 72 hours, and then expressed by using a colorimeter, using the initial color coordinates and the color coordinates after the exposure (Delta E value).
Delta E값이 10이 넘을 경우 NG.If Delta E value is over 10 NG.
실험예Experimental Example 5: 5:부스러짐성Brittle property
제작된 시트를 90°각도로 꺽어 코팅 표면의 부스러짐의 정도를 측정한다.The manufactured sheet is bent at an angle of 90 ° to measure the degree of brittleness of the coated surface.
양호 : O, 보통 : △, 불량 : XGood: O, Normal:?, Bad: X
< 표2 ><Table 2>
상기 표 2로부터 알 수 있는 바와 같이, 본 발명에 따른 자외선 경화형 수지 조성물의 경우, 투명성, 경화 후 굴절률이 베이스 필름의 굴절율(PET의 경우 1.56, PC의 경우 1.58, PEN 1.6 정도로, 대략 범위 1.56 ~ 1.6)과 유사하며 접착력 및 내열성이 우수한 경화물을 제공한 조성물을 제공하는 것을 알 수 있다.As can be seen from Table 2, in the case of the ultraviolet ray curable resin composition according to the present invention, the transparency and the refractive index after curing were 1.56 for the base film (1.56 for PC, 1.58 for PEN, 1.6 for PEN, 1.6) and provides a cured product having excellent adhesive strength and heat resistance.
즉, 본 발명에 따라 자외선 경화형 조성물로 광라이팅 필름의 프리즘층을 형성하는 경우, 자외선 경화형 조성물은 공정시간이 짧고, 형상부여하는 공정이 단순하여 열을 부가하지 않고도 형상부여가 가능하여 치수안정성이 높은 효과가 있다. 그러면서도 베이스 필름과 동일 및 유사한 굴절율을 나타내어 표면경도가 높고 내열성이 우수하면서도, 유연성이 좋아 필름의 부스러짐이나, 본 발명의 또 다른 목적은 작업성 및 생산성이 우수한 형상부여가 가능한 조성물을 제공한다.That is, in the case of forming the prism layer of the light-setting film with the ultraviolet ray curable composition according to the present invention, the ultraviolet ray curable composition has a short process time and simple process for imparting shape, It has a high effect. In addition, it exhibits the same and similar refractive index as the base film, exhibits a high surface hardness and excellent heat resistance, and is flexible and has a high degree of flexibility. Another object of the present invention is to provide a composition capable of imparting excellent workability and productivity.
도 1은 몰드를 이용하여 광라이팅 필름을 제작하는 방법을 개략적으로 나타낸 공정도이며,FIG. 1 is a process diagram schematically showing a method of manufacturing a photo-lining film using a mold,
도 2은 광라이팅 필름을 포함하는 광파이프의 개략도이다.2 is a schematic view of a light pipe comprising a light-lining film.
<부호에 대한 설명><Explanation of symbols>
100: 베이스 필름롤 200: UV조사기 100: base film roll 200: UV irradiator
300: 마스터 몰드 400: 수지 투입구300: master mold 400: resin inlet
500: 광라이팅 필름 600: 광파이프500: light-illuminating film 600: light pipe
700: 외부 공기층700: outer air layer
| Application Number | Priority Date | Filing Date | Title | 
|---|---|---|---|
| KR1020080067050AKR101403136B1 (en) | 2008-07-10 | 2008-07-10 | UV-curable resin composition for forming a prism layer of a photolating film | 
| Application Number | Priority Date | Filing Date | Title | 
|---|---|---|---|
| KR1020080067050AKR101403136B1 (en) | 2008-07-10 | 2008-07-10 | UV-curable resin composition for forming a prism layer of a photolating film | 
| Publication Number | Publication Date | 
|---|---|
| KR20100006727A KR20100006727A (en) | 2010-01-21 | 
| KR101403136B1true KR101403136B1 (en) | 2014-06-27 | 
| Application Number | Title | Priority Date | Filing Date | 
|---|---|---|---|
| KR1020080067050AExpired - Fee RelatedKR101403136B1 (en) | 2008-07-10 | 2008-07-10 | UV-curable resin composition for forming a prism layer of a photolating film | 
| Country | Link | 
|---|---|
| KR (1) | KR101403136B1 (en) | 
| Publication number | Priority date | Publication date | Assignee | Title | 
|---|---|---|---|---|
| KR20080037308A (en)* | 2006-10-25 | 2008-04-30 | 엘지전자 주식회사 | Prism sheet, backlight unit having the same, and a manufacturing method thereof | 
| Publication number | Priority date | Publication date | Assignee | Title | 
|---|---|---|---|---|
| KR20080037308A (en)* | 2006-10-25 | 2008-04-30 | 엘지전자 주식회사 | Prism sheet, backlight unit having the same, and a manufacturing method thereof | 
| Publication number | Publication date | 
|---|---|
| KR20100006727A (en) | 2010-01-21 | 
| Publication | Publication Date | Title | 
|---|---|---|
| JP4003800B2 (en) | Active energy ray-curable resin composition for film protective layer and film using the same | |
| JP5470957B2 (en) | Active energy ray-curable resin composition for film protective layer | |
| JP4001180B2 (en) | Active energy ray-curable resin composition for film protective layer and film using the same | |
| US20100221552A1 (en) | Photocurable Coating Materials | |
| KR102225825B1 (en) | Photocurable composition and coating layer comprising cured product of the same | |
| WO2006115085A1 (en) | Actinic radiation curable resin composition and articles and moldings made by using the same | |
| KR101207184B1 (en) | Photocurable Composition, Brightness Enhancement Sheet, Back Light Unit and Liquid Crystal Display Device Including the Same | |
| KR101532334B1 (en) | Photocurable Resin Compositions Having High Refractive Index | |
| KR101860116B1 (en) | Light curing type imprinting composition for fine patterning of light guide panel for display devices, imprinted light guide panel thereof, and back light unit and display device containing the same | |
| KR20130074830A (en) | Anti-blocking hardcoating composition and hard coating layer for anti-blocking | |
| JP6706972B2 (en) | Coating agent, cured resin film and laminate | |
| BR112018011985B1 (en) | OPTICAL FIBER | |
| KR101532341B1 (en) | Photocurable Resin Compositions Having High Refractive Index | |
| KR101194553B1 (en) | UV Curable Resin Composition, Prism Sheet of the same, and Backlight Unit and Liquid Crystal Display Device using the sheet | |
| KR20140024562A (en) | Hard coating composition and hard coating film using the same | |
| KR101403136B1 (en) | UV-curable resin composition for forming a prism layer of a photolating film | |
| KR20130042393A (en) | Uv curable resin composition and prism sheet using the same | |
| TWI874311B (en) | Hardening resin composition | |
| KR101258453B1 (en) | UV curable resin composition for BLU light guide plate and light guide plate | |
| JP2006188589A (en) | Active energy ray-curable resin composition and cured film obtained from the composition | |
| TW202323033A (en) | Hard coat film and method for manufacturing the same | |
| KR102605107B1 (en) | Solvent-free type organic-inorganic hybrid coating compositon and coating film comprising same | |
| JP2019112548A (en) | (meth)acrylate resin and optical member | |
| KR101465260B1 (en) | UV-curable Resin Composition for forming prism layer of a prism film or a prism functional complex film, the Prism Film and the Liquid Crystalline device employing the same | |
| KR20120131419A (en) | UV Curable Resin Composition, Prism Sheet Using the same, Backlight Unit and Liquid Crystal Display Device Including the sheet | 
| Date | Code | Title | Description | 
|---|---|---|---|
| PA0109 | Patent application | St.27 status event code:A-0-1-A10-A12-nap-PA0109 | |
| PG1501 | Laying open of application | St.27 status event code:A-1-1-Q10-Q12-nap-PG1501 | |
| PN2301 | Change of applicant | St.27 status event code:A-3-3-R10-R13-asn-PN2301 St.27 status event code:A-3-3-R10-R11-asn-PN2301 | |
| A201 | Request for examination | ||
| PA0201 | Request for examination | St.27 status event code:A-1-2-D10-D11-exm-PA0201 | |
| D13-X000 | Search requested | St.27 status event code:A-1-2-D10-D13-srh-X000 | |
| PN2301 | Change of applicant | St.27 status event code:A-3-3-R10-R13-asn-PN2301 St.27 status event code:A-3-3-R10-R11-asn-PN2301 | |
| D14-X000 | Search report completed | St.27 status event code:A-1-2-D10-D14-srh-X000 | |
| E902 | Notification of reason for refusal | ||
| PE0902 | Notice of grounds for rejection | St.27 status event code:A-1-2-D10-D21-exm-PE0902 | |
| E13-X000 | Pre-grant limitation requested | St.27 status event code:A-2-3-E10-E13-lim-X000 | |
| P11-X000 | Amendment of application requested | St.27 status event code:A-2-2-P10-P11-nap-X000 | |
| P13-X000 | Application amended | St.27 status event code:A-2-2-P10-P13-nap-X000 | |
| E701 | Decision to grant or registration of patent right | ||
| PE0701 | Decision of registration | St.27 status event code:A-1-2-D10-D22-exm-PE0701 | |
| GRNT | Written decision to grant | ||
| PR0701 | Registration of establishment | St.27 status event code:A-2-4-F10-F11-exm-PR0701 | |
| PR1002 | Payment of registration fee | St.27 status event code:A-2-2-U10-U11-oth-PR1002 Fee payment year number:1 | |
| PG1601 | Publication of registration | St.27 status event code:A-4-4-Q10-Q13-nap-PG1601 | |
| LAPS | Lapse due to unpaid annual fee | ||
| PC1903 | Unpaid annual fee | St.27 status event code:A-4-4-U10-U13-oth-PC1903 Not in force date:20170528 Payment event data comment text:Termination Category : DEFAULT_OF_REGISTRATION_FEE | |
| PC1903 | Unpaid annual fee | St.27 status event code:N-4-6-H10-H13-oth-PC1903 Ip right cessation event data comment text:Termination Category : DEFAULT_OF_REGISTRATION_FEE Not in force date:20170528 | |
| R18-X000 | Changes to party contact information recorded | St.27 status event code:A-5-5-R10-R18-oth-X000 | |
| R18-X000 | Changes to party contact information recorded | St.27 status event code:A-5-5-R10-R18-oth-X000 | |
| R18-X000 | Changes to party contact information recorded | St.27 status event code:A-5-5-R10-R18-oth-X000 | |
| R18-X000 | Changes to party contact information recorded | St.27 status event code:A-5-5-R10-R18-oth-X000 | |
| R18-X000 | Changes to party contact information recorded | St.27 status event code:A-5-5-R10-R18-oth-X000 | |
| R18-X000 | Changes to party contact information recorded | St.27 status event code:A-5-5-R10-R18-oth-X000 | |
| R18-X000 | Changes to party contact information recorded | St.27 status event code:A-5-5-R10-R18-oth-X000 |