

본 발명은 센서 네트워크 환경에서의 오류 데이터 식별방법 및 이를 이용한 센서 네트워크 시스템에 관한 것으로, 구체적으로는 센서들을 통해 측정된 환경정보들을 수집하는 센서노드 및 상기 센서노드에서 수집한 환경정보를 저장하는 센서 로거를 포함하는 센서 네트워크 환경에서 각 센서, 상기 센서노드 또는 상기 센서 로거에서 발생할 수 있는 데이터의 오류를 식별하는 것으로, 특히, 수중 또는 해양환경에서 사용가능한 센서 네트워크 환경에서의 오류 데이터 식별방법 및 이를 이용한 센서 네트워크 시스템에 관한 것이다.The present invention relates to a method for identifying an error data in a sensor network environment and a sensor network system using the same. Specifically, a sensor node for collecting environmental information measured through sensors and a sensor for storing environmental information collected from the sensor node. In the sensor network environment including a logger to identify the error of each sensor, the sensor node or the data that may occur in the sensor logger, in particular, the error data identification method in a sensor network environment that can be used in underwater or marine environments and the same It relates to a sensor network system used.
일반적으로, 센서 네트워크(sensor network)는 복수 개의 센서들을 네트워크로 구성한 것으로, 무선 센서 네트워크(wireless sensor network) 또는 유비쿼터스 센서 네트워크(ubiquitous sensor network)으로 불리기도 하며, 지그비(Zigbee), 블루투스(Bluetooth), 와이파이(WiFi)를 포함하는 무선 RF(Radio Frequency), 애드혹(Ad-Hoc) 또는 메시(Mesh) 네트워크 기술 등을 이용하여 무선 기반으로 센서들이 서로 연결된 테느워크를 형성하게 된다.In general, a sensor network is composed of a plurality of sensors as a network, and may be called a wireless sensor network or a ubiquitous sensor network, and may be Zigbee or Bluetooth. Using wireless radio frequency (RF), ad-hoc or mesh network technology including Wi-Fi, the sensors form a network connected to each other on a wireless basis.
또한, 상기 센서 네트워크는 센서노드, 싱크노드 및 게이트웨이 노드를 포함하며, 상기 센서노드는 센서들이 측정한 환경정보 데이터를 수집하여 상기 싱크노트 또는 상기 게이트웨이 노드로 전송하도록 구비된다.The sensor network may include a sensor node, a sink node, and a gateway node, and the sensor node is provided to collect environmental information data measured by sensors and transmit the collected environmental information data to the sink node or the gateway node.
또한, 상기 싱크노드는 복수 개의 센서노드로부터 환경정보 데이터를 수집하거나 특정 이벤트성 데이터를 센서 네트워크 외부로 연계할 수 있게 구비되며, 상기 게이트웨이 노드는 IP 기반 네트워크와 센서 네트워크를 연계하는 것으로, 상기 싱크노드 또는 상기 센서노드에서 상기 환경정보 데이터를 전송받아 상기 IP 기반 네트워크로 연계하도록 구비된다.The sink node may collect environment information data from a plurality of sensor nodes or associate specific event data outside the sensor network, and the gateway node associates an IP-based network with a sensor network. A node or the sensor node is provided to receive the environmental information data and to associate with the IP-based network.
또한, 상기 센서 네트워크는 수중 또는 해양과 같이 접근하기 어려운 열악한 장소에 센서들을 구비하여 온도, 습도 또는 오염 등을 포함하는 다양한 환경정보를 수집하여 관리할 수 있게 한다.In addition, the sensor network includes sensors in inaccessible places, such as underwater or ocean, to collect and manage various environmental information including temperature, humidity or pollution.
한편, 상기 센서 네트워크를 수중 또는 해양에 구비한 경우 해양에 설치할 수 있는 센서들은 크기가 크고 무거우면서 고가인 반면에 해양에 서식하는 생물 및 해수의 염도로 인해 부식이 빠르게 진행되어 수명이 짧아지고 고장이 쉽게 발생하고 있으나 이를 신속하게 발견하여 효율적으로 관리할 수 없는 문제점이 있었다.On the other hand, when the sensor network is provided underwater or in the ocean, the sensors that can be installed in the ocean are large in size, heavy and expensive, while the corrosion progresses rapidly due to the salinity of living organisms and seawater, which shortens the lifespan. Although a breakdown occurs easily, there was a problem that can not be found quickly and efficiently managed.
또한, 상기 센서 네트워크를 구성하는 기본적인 요소인 센서 및 센서노드에서는 전력고갈, 센서 및 센서노드 간의 데이터 전달과정, 하드웨어부품 고장(Hard Failure), 센서의 캘리브레이션 에러, 랜덤노이즈 에러 등을 포함하는 소프트 고장(Soft Failure) 등이 발생할 수 있으며, 이러한 고장이 발생한 경우에는 센서에서 측정한 정확한 측정데이터가 센서 네트워크로 전송되지 못하는 문제점이 발생되었다.In addition, in the sensor and the sensor node, which is a basic element of the sensor network, soft failure including power depletion, data transfer process between the sensor and the sensor node, hardware failure, hardware calibration error, random noise error, and the like. (Soft Failure) may occur, and in the event of such a failure, accurate measurement data measured by the sensor may not be transmitted to the sensor network.
또한, 상기 센서 네트워크에서 센서 노드 및 센서의 고장(Sensor node faulty or Sensor faulty)이 발생한 경우에는, 센서 네트워크 상의 데이터 정확성을 크게 저하하며 양질의 서비스 제공이 어렵고 센서 네트워크를 마비시키는 등의 문제점이 발생하게 된다.In addition, when a sensor node and a sensor fault occur in the sensor network, problems such as severely deteriorating data accuracy on the sensor network, difficulty in providing high quality service, and paralyzing the sensor network occur. Done.
본 발명자들은 수중 또는 해양환경에 구성된 센서 네트워크 환경에서 센서 또는 센서노드에서 발생할 수 있는 데이터의 오류를 식별할 수 있게 하고자 연구 노력한 결과, 센서 네트워크 환경에서의 오류 데이터 식별방법 및 이를 이용한 센서 네트워크 시스템의 기술적 구성을 개발하게 되어 본 발명을 완성하게 되었다.The present inventors have made efforts to identify data errors that may occur in a sensor or a sensor node in a sensor network environment configured in an underwater or marine environment, and thus, a method of identifying error data in a sensor network environment and a sensor network system using the same The technical construction was developed to complete the present invention.
따라서, 본 발명의 목적은 센서들에서 측정된 측정데이터들을 수집하는 센서노드에서 상기 측정 데이터들을 전송받아 일정기간 동안 저장하며, 상기 측정 데이터들 중 오류가 발생된 오류 데이터를 식별할 수 있는 센서 네트워크 환경에서의 오류 데이터 식별방법 및 이를 이용한 센서 네트워크 시스템을 제공하는 것이다.Accordingly, an object of the present invention is to receive and store the measurement data in a sensor node that collects measurement data measured by the sensors for a period of time, the sensor network that can identify the error data of the error occurs among the measurement data The present invention provides a method for identifying error data in an environment and a sensor network system using the same.
또한, 본 발명의 다른 목적은 측정 데이터를 저장할 시 상기 측정 데이터의 저장 기간 및 저장 갯수를 최소화하여 저장 및 관리할 수 있는 센서 네트워크 환경에서의 오류 데이터 식별방법 및 이를 이용한 센서 네트워크 시스템을 제공하는 것이다.In addition, another object of the present invention is to provide an error data identification method in a sensor network environment that can be stored and managed by minimizing the storage period and the number of storage when the measurement data is stored, and a sensor network system using the same. .
본 발명의 목적들은 이상에서 언급한 목적들로 제한되지 않으며, 언급되지 않은 또 다른 목적들은 아래의 기재로부터 당업자에게 명확하게 이해될 수 있을 것이다.The objects of the present invention are not limited to the above-mentioned objects, and other objects not mentioned can be clearly understood by those skilled in the art from the following description.
상기의 목적을 달성하기 위하여 본 발명은 센서들을 통해 측정된 환경정보의 데이터인 측정 데이터들을 수집하는 센서노드 및 상기 측정 데이터를 저장하는 센서 로거를 포함하는 센서 네트워크 환경에서 상기 측정 데이터들 중 오류가 발생된 측정 데이터를 식별하는 오류 데이터 식별방법으로써, 상기 센서 로거가 각 센서들이 측정하는 측정 환경에 따라 상기 측정 데이터의 기준 범위를 설정하는 제 1단계; 상기 센서노드가 상기 센서들로부터 상기 측정 데이터들을 수집하고 상기 센서 로거로 상기 측정 데이터들을 전송하는 제 2단계; 및 상기 센서 로거가 상기 측정 데이터들 중 상기 기준 범위 이내의 측정 데이터들을 정상 데이터들로 식별하고, 상기 기준 범위를 초과 또는 미달하는 측정 데이터들을 오류 데이터들로 식별하는 제 3단계;를 포함하는 센서 네트워크 환경에서의 오류 데이터 식별방법을 제공한다.In order to achieve the above object, the present invention provides a sensor node including a sensor node that collects measurement data, which is data of environmental information measured through sensors, and a sensor logger storing the measurement data. An error data identification method for identifying generated measurement data, comprising: a first step of setting, by the sensor logger, a reference range of the measurement data according to a measurement environment measured by each sensor; A second step of the sensor node collecting the measurement data from the sensors and transmitting the measurement data to the sensor logger; And a third step of the sensor logger identifying the measurement data within the reference range among the measurement data as normal data and identifying the measurement data above or below the reference range as error data. It provides error data identification method in network environment.
또한, 본 발명은 오류 데이터 식별방법을 이용하여 센서 로거가 측정 데이터들 중에서 오류 데이터를 식별할 수 있도록 구비된 센서 네트워크 시스템을 제공한다.In addition, the present invention provides a sensor network system provided to enable the sensor logger to identify the error data among the measurement data using the error data identification method.
바람직한 실시예에 있어서, 상기 기준 범위는 상기 센서노드에서 상기 센서 로거로 최근에 전송된 특정 갯수의 측정 데이터를 이용하여, 현재 상기 센서 로거에 전송된 특정 측정 데이터의 최소 임계치 및 최대 임계치를 설정하는 제 1 기준범위;를 포함한다.In a preferred embodiment, the reference range sets a minimum threshold and a maximum threshold of specific measurement data currently transmitted to the sensor logger using a specific number of measurement data recently transmitted from the sensor node to the sensor logger. It includes a first reference range.
바람직한 실시예에 있어서, 상기 제 1단계 이전에, 상기 센서 로거에 상기 기준 범위의 설정을 위해 사용될 측정 데이터의 갯수인 저장 갯수를 설정하는 제 A단계;를 더 포함한다.In a preferred embodiment, before the first step, a step A of setting a storage number, which is the number of measurement data to be used for setting the reference range to the sensor logger; further includes.
바람직한 실시예에 있어서, 상기 센서 로거가 상기 측정 데이터들 중 상기 저장 갯수를 초과한 특정 측정 데이터를 제거하는 제 4단계;를 더 포함한다.In a preferred embodiment, the sensor logger further comprises a fourth step of removing the specific measurement data exceeds the storage number of the measurement data.
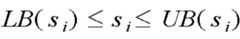
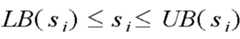
바람직한 실시예에 있어서, 상기 기준 범위는 상기 측정 환경에서 측정될 수 있는 최소 허용치 및 최대 허용치를 포함하는 제 2기준 범위;를 더 포함한다.In a preferred embodiment, the reference range further includes a second reference range comprising a minimum allowable value and a maximum allowable value that can be measured in the measurement environment.
바람직한 실시예에 있어서, 상기 제 1단계는 상기 센서 로거가 아래의 수학식 1을 이용하여 상기 제 1기준 범위를 계산하게 한다.In a preferred embodiment, the first step causes the sensor logger to calculate the first reference range using Equation 1 below.
[수학식 1][Equation 1]
여기서, sn은 n번째 측정 데이터이고, sn+1은 현재 전송받은 측정 데이터이며, α 및 β는 사용자에 의해 지정된 허용 상수이고, r은 측정 데이터의 개수이다.Here, sn is the nth measurement data, sn + 1 is the measurement data currently transmitted, α and β are allowable constants specified by the user, and r is the number of measurement data.
바람직한 실시예에 있어서, 상기 제 1단계는 상기 센서 로거가 아래의 수학식 2를 이용하여 상기 제 2기준 범위를 계산하게 한다.In a preferred embodiment, the first step causes the sensor logger to calculate the second reference range using Equation 2 below.
[수학식 2]&Quot; (2) "
여기서, si는 측정 데이터이고, LB는 최소 허용치이며, UB는 최대 허용치이다.Where si is the measurement data, LB is the minimum tolerance and UB is the maximum tolerance.
바람직한 실시예에 있어서, 상기 1단계는, 상기 센서 로거에 1 내지 5개 사이의 특정값으로 상기 저장 갯수가 설정된다.In a preferred embodiment, said first step, said storage number is set to a specific value between 1 and 5 in said sensor logger.
본 발명은 다음과 같은 우수한 효과를 가진다.The present invention has the following excellent effects.
먼저, 본 발명의 일실시예에 따른 오류 데이터 식별방법 및 이를 이용한 센서 네트워크 시스템에 의하면, 센서 로거가 센서 노드에서 센서로부터 수집한 측정 데이터들을 전송받아 상기 측정 데이터들 중 기준 범위 이내의 정상 데이터 및 상기 기준 범위를 초과 또는 미달하는 오류 데이터를 식별할 수 있으므로, 센서 또는 센서 노드에서 발생한 오류 데이터를 용이하게 식별할 수 있고, 특정 오류 데이터를 발생시킨 센서 또는 센서 노드의 고장 여부를 효율적으로 발견할 수 있는 효과를 얻을 수 있다.First, according to an error data identification method and a sensor network system using the same according to an embodiment of the present invention, a sensor logger receives measurement data collected from a sensor at a sensor node, and includes normal data within a reference range among the measurement data; Since error data above or below the reference range can be identified, error data generated at the sensor or sensor node can be easily identified, and the sensor or sensor node that has generated the specific error data can be efficiently detected. The effect can be obtained.
또한, 본 발명의 일실시예에 따른 오류 데이터 식별방법 및 이를 이용한 센서 네트워크 시스템에 의하면, 센서 로거가 기설정된 저장 갯수 및 저장시간으로 정상 데이터들을 저장하도록 구비되므로, 센서 로거가 기준 범위를 정확하게 계산하면서도 저장용량이 최소화되는 효과를 얻을 수 있다.In addition, according to the error data identification method and the sensor network system using the same according to an embodiment of the present invention, since the sensor logger is provided to store the normal data with a preset number and storage time, the sensor logger calculates the reference range accurately At the same time, the storage capacity can be minimized.
도 1은 본 발명의 일실시예에 따른 오류 데이터 식별방법을 나타내는 블럭도.
도 2는 본 발명의 일실시예에 따른 센서 네트워크 시스템을 나타내는 블럭도.1 is a block diagram illustrating a method of identifying error data according to an embodiment of the present invention.
 2 is a block diagram illustrating a sensor network system according to an embodiment of the present invention.
본 발명에서 사용되는 용어는 가능한 현재 널리 사용되는 일반적인 용어를 선택하였으나, 특정한 경우는 출원인이 임의로 선정한 용어도 있는데 이 경우에는 단순한 용어의 명칭이 아닌 발명의 상세한 설명 부분에 기재되거나 사용된 의미를 고려하여 그 의미가 파악되어야 할 것이다.Although the terms used in the present invention have been selected as general terms that are widely used at present, there are some terms selected arbitrarily by the applicant in a specific case. In this case, the meaning described or used in the detailed description part of the invention The meaning must be grasped.
이하, 첨부된 도면에 도시된 바람직한 실시예를 참조하여 본 발명의 기술적 구성을 상세하게 설명한다.Hereinafter, the technical structure of the present invention will be described in detail with reference to preferred embodiments shown in the accompanying drawings.
그러나, 본 발명은 여기서 설명되는 실시예에 한정되지 않고 다른 형태로 구체화될 수도 있다. 명세서 전체에 걸쳐 동일한 참조번호는 동일한 구성요소를 나타낸다.However, the present invention is not limited to the embodiments described herein but may be embodied in other forms. Like reference numerals designate like elements throughout the specification.
본 발명의 일실시예에 따른 오류 데이터 식별방법은, 센서 네트워크 환경에서 발생할 수 있는 오류 데이터를 식별하기 위한 것으로, 상기 센서 네트워크 환경은 일반적으로 센서들을 통해 측정된 환경정보의 데이터인 측정 데이터들을 수집하는 센서노드(Sensor Node)가 구비되며, 또한, 상기 측정 데이터를 저장할 수 있는 센서 로거(Sensor Logger)가 구비된다.The error data identification method according to an embodiment of the present invention is for identifying error data that may occur in a sensor network environment, and the sensor network environment collects measurement data which is generally data of environmental information measured through sensors. A sensor node is provided, and a sensor logger capable of storing the measurement data is provided.
또한, 상기 센서 로거는 상기 센서노드에서 전송된 특정 데이터를 기록할 수 있게 구비되는 것으로, 상기 센서노드와 유,무선으로 연결되거나 상기 센서 노드에 장착될 수 있고, 온도, 유량, 압력 또는 염도 등을 포함하는 환경정보의 측정치가 상기 측정 데이터로 입력되어 저장할 수 있게 구비되며, 예컨대, 데이터 로거(Data Logger) 장치로 구비할 수 있다.In addition, the sensor logger is to be able to record the specific data transmitted from the sensor node, and can be connected to the sensor node, wired or wireless, or mounted in the sensor node, temperature, flow rate, pressure or salinity, etc. The measurement value of the environmental information including a may be input and stored as the measurement data, for example, may be provided as a data logger (Data Logger) device.
또한, 본 발명의 일실시예에서는 상기 센서 네트워크 환경에서 상기 센서를 통해 수집된 측정 데이터 자체의 오류 및 상기 측정 데이터가 상기 센서로부터 상기 센서 노드로 수집되면서 데이터 전달과정에서 발생되는 오류를 식별할 수 있게 한다.In addition, in one embodiment of the present invention, the error of the measurement data itself collected through the sensor in the sensor network environment and the measurement data is collected from the sensor to the sensor node can identify the error generated in the data transfer process. To be.
또한, 본 발명의 일실시예에서는 상기 센서 및 상기 센서 노드에서의 오류 데이터를 식별하도록 구비하였으나, 실질적으로, 상기 센서, 상기 센서 노드, 싱크 노드(Sink Node), 게이트웨이 노드(Gateway Node) 또는 서버(Server) 간의 데이터 전달과정에서 발생하는 오류 데이터를 식별하도록 구비될 수도 있다.
Further, in an embodiment of the present invention, the sensor and the sensor node is provided to identify error data, but in practice, the sensor, the sensor node, a sink node, a gateway node, or a server. It may be provided to identify the error data occurring in the data transfer process between the (Server).
도 1은 본 발명의 일실시예에 따른 오류 데이터 식별방법을 나타내는 블럭도이다.1 is a block diagram illustrating a method of identifying error data according to an embodiment of the present invention.
도 1을 참조하면, 본 발명의 일실시예에 따른 오류 데이터 식별방법은, 먼저, 상기 센서 로거에 상기 측정 데이터의 저장 갯수를 설정하게 된다(S1000).Referring to FIG. 1, in the error data identification method according to an embodiment of the present invention, first, a storage number of the measurement data is set in the sensor logger (S1000).
또한, 상기 저장 갯수는 후술될 기준 범위를 설정할 시 사용되는 상기 측정 데이터의 갯수이며, 상기 센서 로거는 상기 측정 데이터를 상기 싱크 노드, 상기 게이트웨이 노드 또는 상기 서버로 전송하되, 상기 저장 갯수만큼 상기 측정 데이터를 저장하게 된다.In addition, the storage number is the number of the measurement data used when setting the reference range to be described later, the sensor logger transmits the measurement data to the sink node, the gateway node or the server, the measurement by the storage number The data will be saved.
또한, 상기 저장 갯수는 실질적으로 후술될 기준 범위를 계산하기 위한 최소한의 갯수로 설정하는 것이 바람직하며, 상기 센서 로거에 사용자 명령으로 입력받아 설정될 수 있다. 또한, 상기 센서 로거에는 상기 측정 데이터들 중 후술될 정상 데이터로 저장하도록 구비하는 것이 바람직하다.In addition, the storage number is preferably set to the minimum number for calculating the reference range to be described later, it may be set by receiving a user command to the sensor logger. In addition, the sensor logger is preferably provided to store the normal data to be described later of the measurement data.
또한, 본 발명의 일실시예에서는 상기 센서 로거에 1 내지 5개 사이의 특정값으로 상기 저장 갯수가 설정되었으며, 바람직하게 상기 저장 갯수는 3개의 측정 데이터 또는 후술될 정상 데이터를 저장하여 유지하도록 설정될 수 있다.In addition, in one embodiment of the present invention, the storage number is set to a specific value between 1 and 5 in the sensor logger. Preferably, the storage number is set to store and maintain three measurement data or normal data to be described later. Can be.
또한, 상기 센서 로거는 PC, 노트북, 모바일단말 또는 태블릿 PC를 포함하는 컴퓨팅 장치를 이용하여, 상기 저장 갯수를 사용자 명령으로 입력받아 저장 또는 연산할 수 있게 구비될 수 있다. 또한, 상기 센서 로거에는 자체적으로 외부 명령을 입력받을 수 있는 키패드, 터치스크린 또는 입력버튼이 구비되어 상기 저장 갯수를 입력받을 수도 있다.In addition, the sensor logger may be provided to be stored or calculated by receiving the storage number as a user command using a computing device including a PC, a notebook computer, a mobile terminal, or a tablet PC. In addition, the sensor logger may be provided with a keypad, a touch screen, or an input button capable of receiving an external command by itself, and may receive the storage number.
즉, 상기 센서 로거는 상기 저장 갯수만큼의 특정 측정 데이터만 저장되므로, 최소한의 저장용량을 사용하면서 후술될 기준 범위의 계산이 정확하게 이루어w질 수 있게 구비되는 것이다.That is, since the sensor logger stores only the specific measurement data as many as the storage number, the sensor logger is provided so that the calculation of the reference range to be described below can be accurately performed while using the minimum storage capacity.
다음, 각 센서가 측정하는 측정 환경에 따라 측정하고자 하는 측정 데이터의 기준 범위를 상기 센서 로거에 설정하게 된다(S2000).Next, the reference range of the measurement data to be measured is set in the sensor logger according to the measurement environment measured by each sensor (S2000).
또한, 상기 측정 환경은 예컨대, 수중 또는 해양일 수 있고, 상기 측정 데이터는 예컨대, 상기 각 센서를 통해 수온, 염도, 오염 정도, 용존산소량, pH, 기온, 기압, 습도, 풍향, 풍속, 강우량, 수위, 유속 또는 파고 등을 측정한 데이터일 수 있다.In addition, the measurement environment may be, for example, underwater or ocean, and the measurement data may be, for example, water temperature, salinity, pollution degree, dissolved oxygen amount, pH, temperature, air pressure, humidity, wind direction, wind speed, rainfall, The data may be measured water level, flow rate or crest.
또한, 상기 기준 범위는 상기 측정 데이터들 중에서 오류 데이터 및 정상 데이터를 식별하기 위한 것으로, 상기 센서 로거에 저장되거나 미리 설정되며, 제 1기준 범위 및 제 2기준 범위를 포함한다.In addition, the reference range is for identifying error data and normal data among the measurement data, and is stored or preset in the sensor logger, and includes a first reference range and a second reference range.
또한, 상기 기준 범위는 복수 개의 센서에 동일하게 적용될 수도 있고, 복수 개의 기준 범위가 설정되어 각 센서에 각 기준 범위가 적용되도록 설정될 수도 있다. 또한, 상기 정상 데이터는 상기 기준 범위 이내의 특정값을 갖는 특정 측정 데이터이며, 상기 오류 데이터는 상기 기준 범위를 초과 또는 미달하는 특정값을 갖는 특정 측정 데이터이다.In addition, the reference range may be equally applied to a plurality of sensors, or a plurality of reference ranges may be set so that each reference range is applied to each sensor. Further, the normal data is specific measurement data having a specific value within the reference range, and the error data is specific measurement data having a specific value above or below the reference range.
또한, 상기 제 1기준 범위는 상기 정상 데이터의 최소 임계치 및 최대 임계치를 설정하기 위한 것으로, 상기 센서노드에서 상기 센서 로거로 최근에 전송된 특정 갯수의 측정 데이터를 이용하여 상기 최소 임계치 및 상기 최대 임계치를 설정하도록 구비된다.In addition, the first reference range is for setting the minimum threshold and the maximum threshold of the normal data, the minimum threshold and the maximum threshold using a specific number of measurement data recently transmitted from the sensor node to the sensor logger. It is provided to set.
또한, 상기 센서 로거는 아래의 수학식 1을 이용하여 상기 제 1기준 범위를 계산하게 된다.In addition, the sensor logger calculates the first reference range using Equation 1 below.
[수학식 1][Equation 1]
여기서, sn은 n번째 측정 데이터이고, sn+1은 센서 로거가 현재 전송받은 측정 데이터이며, α 및 β는 사용자에 의해 지정된 허용 상수로써 상기 데이터베이스 또는 상기 통계 분석을 통해 산출된 특정값이며, r은 측정 데이터의 개수로써 상기 제 1기준 범위를 계산하기 위한 측정 데이터의 최소 데이터 개수이고, 상기 저장 갯수와 실질적으로 동일한 특정값을 갖게 된다.Where sn is the nth measurement data, sn + 1 is the measurement data currently transmitted by the sensor logger, and α and β are tolerance values specified by the user and are specific values calculated through the database or the statistical analysis. , r is the minimum number of data of the measurement data for calculating the first reference range as the number of measurement data, and has a specific value substantially the same as the number of storage.
즉, 상기 센서 로거는 상기 저장 갯수로 저장된 측정 데이터들의 평균값을 계산하고, 상기 허용 상수를 상기 평균값과 합하여 상기 최소 임계치 또는 상기 최대 임계치를 포함하는 상기 제 1기준 범위를 계산하게 된다.That is, the sensor logger calculates an average value of the measured data stored in the stored number, and calculates the first reference range including the minimum threshold or the maximum threshold by adding the allowable constant to the average value.
또한, 상기 허용 상수는 양수 또는 음수로 설정될 수 있으며, 상기 측정 환경을 과거에 측정하여 생성된 데이터베이스(DB) 또는 상기 측정 환경의 계절에 따른 변화량을 반영한 통계 분석을 통해 설정될 수 있다.In addition, the allowable constant may be set to a positive number or a negative number, and may be set through a database (DB) generated by measuring the measurement environment in the past or a statistical analysis reflecting a change amount according to the season of the measurement environment.
또한, 상기 제 1기준 범위의 상기 최대 임계치 및 상기 최소 임계치는 상기 센서 로거에 상기 저장 갯수만큼 저장된 특정 측정 데이터에 따라 변동되므로, 계절 또는 시간의 경과하더라도 상기 측정 환경에서 측정된 상기 측정 데이터가 정상 데이터 또는 오류 데이터인지를 정확하고 효율적으로 계산할 수 있다.In addition, since the maximum threshold value and the minimum threshold value of the first reference range are changed according to the specific measurement data stored in the sensor logger by the number of storage, the measurement data measured in the measurement environment is normal even if the season or time elapses. Accurately and efficiently calculate whether it is data or error data.
또한, 상기 제 2 기준 범위는 상기 측정 환경에 따라서 측정될 수 있는 특정 측정치의 범위를 계산하게 한 것으로, 예컨대, 수온의 허용범위 또는 용존산소의 허용범위 등을 뜻하며, 상기 측정 환경에 따라서 다양한 환경적 요인을 반영하도록 구비될 수 있다.In addition, the second reference range is to calculate the range of a specific measurement value that can be measured according to the measurement environment, for example, the allowable range of the water temperature or the allowable range of dissolved oxygen, etc., and various environments depending on the measurement environment It may be provided to reflect the enemy factor.
또한, 상기 센서 로거는 아래의 수학식 2를 이용하여 상기 제 2기준 범위를 계산하게 된다.In addition, the sensor logger calculates the second reference range using Equation 2 below.
[수학식 2]&Quot; (2) "
여기서, si는 측정 데이터이고, LB는 최소 허용치이며, UB는 최대 허용치이며, 또한, 상기 LB 및 상기 UB는 상기 데이터베이스 또는 상기 통계 분석을 통해 산출된 특정값으로 산출될 수 있고 시간에 따라 서로 다른 특정값으로 적용될 수도 있다.Where si is the measurement data, LB is the minimum allowable value, UB is the maximum allowable value, and the LB and the UB can be calculated with a specific value calculated through the database or the statistical analysis It may be applied to other specific values.
또한, 상기 제 2기준 범위는 상기 측정 데이터가 상기 측정 환경에서 실질적으로 측정될 수 있는 최소 허용치 및 최대 허용치의 범위에 해당하는 데이터인지를 계산할 수 있게 한다.In addition, the second reference range makes it possible to calculate whether the measurement data corresponds to a range of minimum and maximum allowable values that can be measured substantially in the measurement environment.
한편, 상기 센서 로거에는 저장용량을 최적화할 수 있도록 상기 측정 데이터가 저장되는 저장 시간이 설정될 수 있으며, 또한, 상기 저장 시간은 현재 시간을 기준으로 일정 시간이 경과한 측정 데이터를 제거할 수도 있다. 또한, 상기 저장 시간은 상기 센서 로거가 저장용량을 최적화하면서, 상기 제 1기준 범위의 정확성을 저하시키지 않게 설정하는 것이 바람직하다.On the other hand, the sensor logger may be set to the storage time for storing the measurement data to optimize the storage capacity, the storage time may also remove the measurement data elapsed a certain time based on the current time. . In addition, the storage time is preferably set so that the sensor logger does not lower the accuracy of the first reference range while optimizing the storage capacity.
또한, 상기 저장 시간은, 예컨대, 12 내지 36 시간 사이의 특정값으로 상기 저장시간이 설정될 수 있으며, 바람직하게는 상기 저장시간은 24시간, 즉, 1일로 설정될 수 있다.In addition, the storage time, for example, the storage time may be set to a specific value between 12 to 36 hours, preferably, the storage time may be set to 24 hours, that is, 1 day.
다음, 상기 센서노드는 상기 센서들로부터 상기 측정 데이터들을 수집하게 되고, 상기 센서노드에서 상기 센서 로거로 상기 측정 데이터들이 전송되게 된다(S3000).Next, the sensor node collects the measurement data from the sensors, and the measurement data is transmitted from the sensor node to the sensor logger (S3000).
또한, 상기 센서 노드 및 상기 센서 로거는 유선 또는 무선으로 연결되어 상기 측정 데이터가 전송되도록 구비할 수 있고, 상기 센서 로거 및 상기 센서 노드가 일체로 구비될 수도 있다.The sensor node and the sensor logger may be connected by wire or wirelessly to transmit the measurement data, and the sensor logger and the sensor node may be integrally provided.
다음, 상기 센서 로거가 상기 기준 범위를 계산하여, 정상 데이터 및 오류 데이터를 식별하게 되는데, 이때, 상기 센서 로거는 상기 측정 데이터들 중 상기 기준 범위 이내의 측정 데이터들을 정상 데이터들로 저장하고, 상기 기준 범위를 초과 또는 미달하는 측정 데이터들을 오류 데이터들로 식별하게 된다(S4000).Next, the sensor logger calculates the reference range to identify normal data and error data, wherein the sensor logger stores the measurement data within the reference range among the measurement data as normal data, and Measurement data over or under the reference range are identified as error data (S4000).
또한, 상기 센서 로거는 상기 측정 데이터를 외부로 연계하여 전송하게 되는데, 이때, 각 오류 데이터가 식별된 경우 오류 데이터 발생신호를 외부로 송출하도록 구비되며, 상기 오류 데이터를 가장 최근에 저장한 특정 정상 데이터로 대체하여 외부로 송출하도록 구비될 수도 있다.In addition, the sensor logger transmits the measurement data to the outside in connection with each other. In this case, when each error data is identified, the sensor logger is provided to send an error data generation signal to the outside, and the specific normal storing the error data most recently. It may be provided to transmit to the outside in place of the data.
또한, 상기 센서 로거는 상기 제 1기준 범위 및 상기 제 2기준 범위를 모두 만족하는 측정 데이터를 상기 정상 데이터로 식별하거나, 상기 제 1기준 범위 또는 상기 제 2기준 범위를 만족하지 못한 측정 데이터를 상기 오류 데이터로 식별하도록 구비될 수 있다.The sensor logger may identify measurement data satisfying both the first reference range and the second reference range as the normal data, or may measure the measurement data that does not satisfy the first reference range or the second reference range. It may be provided to identify with error data.
다음, 상기 센서 로거가 특정 측정 데이터를 제거하게 되는데, 이때, 상기 센서 로거는 상기 측정 데이터들 중 상기 저장 갯수를 초과한 측정 데이터들을 제거하여, 저장용량을 확보하고 최근의 측정 데이터들을 유지하게 된다(S5000).Next, the sensor logger removes specific measurement data. At this time, the sensor logger removes measurement data exceeding the storage number of the measurement data to secure a storage capacity and maintain recent measurement data. (S5000).
또한, 상기 센서 로거는 상기 측정 데이터들 중 상기 정상 데이터들을 저장하도록 구비하는 것이 바람직하고, 상기 저장 갯수를 초과하는 특정 정상 데이터들을 제거하도록 구비될 수 있다.In addition, the sensor logger is preferably provided to store the normal data of the measurement data, it may be provided to remove the specific normal data exceeding the number of storage.
또한, 상기 센서 로거는 현재 시간을 기준으로 최근에 전송된 측정 데이터를 유지하고, 상기 센서 로거가 가장 이전에 저장한 특정 정상 데이터를 제거하도록 구비할 수 있다.
In addition, the sensor logger may be provided to maintain the recently transmitted measurement data based on the current time, and to remove the specific normal data previously stored by the sensor logger.
도 2는 본 발명의 일실시예에 따른 센서 네트워크 시스템을 나타내는 블럭도이다.2 is a block diagram illustrating a sensor network system according to an embodiment of the present invention.
도 2를 참조하면, 본 발명의 일실시예에 따른 센서 네트워크 시스템은, 데이터의 전달과정에서 정상 데이터 및 오류 데이터를 식별할 수 있게 한 것으로, 센서(110), 센서 노드(120), 센서 로거(130) 및 서버(140)를 포함한다.2, the sensor network system according to an embodiment of the present invention, it is possible to identify the normal data and the error data in the data transfer process, the
또한, 상기 센서(110)는 환경정보를 측정하기 위한 것으로, 수온, 염도, 오염 정도, 용존산소량, pH, 기온, 기압, 습도, 풍향, 풍속, 강우량, 수위, 유속 또는 파고 등을 측정할 수 있는 다양한 센서로 구비될 수 있고, 상기 환경정보를 측정한 측정 데이터들을 외부로 전송할 수 있게 구비하는 것이 바람직하다.In addition, the
또한, 상기 센서 노드(120)는 상기 센서(110)로부터 상기 측정 데이터들을 수집하기 위한 것으로, 상기 센서(110)에서 측정된 온도, 유량, 압력 또는 염도 등을 포함하는 환경정보의 측정치가 상기 측정 데이터로 수집된다. 또한, 상기 센서 노드(120)는 상기 센서(110)와 일체로 형성되거나, 유선 또는 무선으로 상기 측정 데이터를 전송받아 수집할 수 있게 구비된다.In addition, the
또한, 상기 센서 노드(120)는 복수 개로 구비될 수 있으며, 각 센서 노드(120)에는 복수 개의 센서(110)들이 연결될 수도 있다.In addition, a plurality of
또한, 상기 센서 로거(130)는 상기 측정 데이터를 저장하고, 상기 정상 데이터 및 상기 오류 데이터를 식별하기 위한 것으로, 상기 센서 노드(120)와 유,무선으로 연결되거나 상기 센서 노드(120)에 장착될 수 있으며, 예컨대, 데이터 로거(Data Logger) 장치로 구비할 수 있다.In addition, the
또한, 상기 센서 로거(130)는 본 발명의 일실시예에 따른 오류 데이터 식별방법을 이용하여, 상기 측정 데이터들 중에서 상기 정상 데이터 및 상기 오류 데이터를 식별할 수 있도록 구비된다. 또한, 상기 센서 로거(130)는 상기 측정 데이터를 외부로 전송 또는 연계하도록 구비되게 되는데, 이때, 상기 측정 데이터는 상기 정상 데이터로 전송하도록 구비하는 것이 바람직하다.In addition, the
또한, 상기 센서 로거(130)는 상기 오류 데이터가 발생하면, 외부로 오류 데이터 발생신호를 송출하거나, 상기 오류 데이터를 가장 최근의 정상 데이터로 대체하여 외부로 송출하도록 구비될 수 있다.In addition, when the error data is generated, the
또한, 상기 서버(140)는 상기 측정 데이터를 상기 센서 로거(130)로부터 전송받아 저장하는 것으로, 인터넷을 포함하는 통신망을 통해 상기 측정 데이터를 전송할 수 있게 구비되며, 유선 또는 무선을 통해 상기 센서 로거(130)와 연결될 수 있다. 또한, 상기 서버(140)는 상기 통신망을 통해 후술될 사용자 단말(150) 또는 관리자 단말(160)과 연결될 수 있다.In addition, the
또한, 상기 사용자 단말(150)은 상기 측정 데이터를 전송받아 화면에 출력할 수 있게 구비된 것으로, 예컨대, PC, 모바일, 노트북 또는 태블릿 PC로 구비할 수 있다.In addition, the
또한, 상기 관리자 단말(160)은 상기 센서를 통해 상기 환경정보를 측정하고 관리하기 위한 것으로, 상기 서버(140)를 통해 상기 측정 데이터를 전송받으며, 상기 오류 데이터 발생신호를 전송받아 특정 센서(110) 또는 특정 센서 노드(120)의 고장을 확인할 수 있게 한다. 또한, 상기 관리자 단말(160)은 PC, 모바일, 노트북 또는 태블릿 PC로 구비할 수 있을 것이다.In addition, the
이상에서 살펴본 바와 같이 본 발명은 바람직한 실시예를 들어 도시하고 설명하였으나, 상기한 실시예에 한정되지 아니하며 본 발명의 정신을 벗어나지 않는 범위 내에서 당해 발명이 속하는 기술분야에서 통상의 지식을 가진 자에 의해 다양한 변경과 수정이 가능할 것이다.While the present invention has been particularly shown and described with reference to exemplary embodiments thereof, it is clearly understood that the same is by way of illustration and example only and is not to be taken by way of limitation, Various changes and modifications will be possible.
110 : 센서120 : 센서 노드
130 : 센서 로거 140 : 서버
150 : 사용자 단말160 : 관리자 단말110
 130: sensor logger 140: server
 150: user terminal 160: manager terminal
| Application Number | Priority Date | Filing Date | Title | 
|---|---|---|---|
| KR1020120031961AKR101384133B1 (en) | 2012-03-28 | 2012-03-28 | Method for Identifying failure data in sensor network and sensor network system using the same | 
| Application Number | Priority Date | Filing Date | Title | 
|---|---|---|---|
| KR1020120031961AKR101384133B1 (en) | 2012-03-28 | 2012-03-28 | Method for Identifying failure data in sensor network and sensor network system using the same | 
| Publication Number | Publication Date | 
|---|---|
| KR20130109860A KR20130109860A (en) | 2013-10-08 | 
| KR101384133B1true KR101384133B1 (en) | 2014-04-14 | 
| Application Number | Title | Priority Date | Filing Date | 
|---|---|---|---|
| KR1020120031961AActiveKR101384133B1 (en) | 2012-03-28 | 2012-03-28 | Method for Identifying failure data in sensor network and sensor network system using the same | 
| Country | Link | 
|---|---|
| KR (1) | KR101384133B1 (en) | 
| Publication number | Priority date | Publication date | Assignee | Title | 
|---|---|---|---|---|
| KR101660102B1 (en) | 2014-04-08 | 2016-10-04 | 엘에스산전 주식회사 | Apparatus for water demand forecasting | 
| KR102336873B1 (en)* | 2020-04-27 | 2021-12-08 | 주식회사 글로비즈 | Method and system of diagnosing heat, air ventilation and cooling system for railway vehicle | 
| KR102340157B1 (en)* | 2020-08-31 | 2021-12-16 | 주식회사 모빅랩 | Device including sensor modules | 
| KR20220049225A (en) | 2020-10-14 | 2022-04-21 | 강상수 | Preemptive maintenance system and method for sensor network | 
| Publication number | Priority date | Publication date | Assignee | Title | 
|---|---|---|---|---|
| KR20070033492A (en)* | 2005-09-21 | 2007-03-27 | 삼성전자주식회사 | Anomaly Data Processing Method in Wireless Sensor Network | 
| KR20090083014A (en)* | 2008-01-29 | 2009-08-03 | 주식회사 가온솔루션 | Apparatus and method for restoring data loss under sensor network situation | 
| KR20100078116A (en)* | 2008-12-30 | 2010-07-08 | (주)코어테크놀로지 | Data caching method for unity control monitoring service based usn | 
| Publication number | Priority date | Publication date | Assignee | Title | 
|---|---|---|---|---|
| KR20070033492A (en)* | 2005-09-21 | 2007-03-27 | 삼성전자주식회사 | Anomaly Data Processing Method in Wireless Sensor Network | 
| KR20090083014A (en)* | 2008-01-29 | 2009-08-03 | 주식회사 가온솔루션 | Apparatus and method for restoring data loss under sensor network situation | 
| KR20100078116A (en)* | 2008-12-30 | 2010-07-08 | (주)코어테크놀로지 | Data caching method for unity control monitoring service based usn | 
| Publication number | Publication date | 
|---|---|
| KR20130109860A (en) | 2013-10-08 | 
| Publication | Publication Date | Title | 
|---|---|---|
| Fathy et al. | An adaptive method for data reduction in the internet of things | |
| JP6641893B2 (en) | How to manage sensor networks | |
| Yawut et al. | A wireless sensor network for weather and disaster alarm systems | |
| Fathy et al. | Quality-based and energy-efficient data communication for the internet of things networks | |
| CN112101662A (en) | Equipment health condition and life cycle detection method, storage medium and electronic equipment | |
| JP6776143B2 (en) | Water level measurement system | |
| KR101384133B1 (en) | Method for Identifying failure data in sensor network and sensor network system using the same | |
| JP2017511881A (en) | Highly accurate altitude judgment system and method using atmospheric pressure | |
| US10248091B2 (en) | Method and apparatus for providing equipment maintenance via a network | |
| JP2008178006A (en) | Wireless node position estimation method, system, and processing apparatus therefor | |
| CN110786021B (en) | Method and system for collecting sensor data | |
| JP2010049433A (en) | System for supporting prediction of damage caused by typhoon | |
| JP6159594B2 (en) | Observation value processing apparatus, observation value processing method, and observation value processing program | |
| JP2016114361A (en) | Positioning method, server, and program | |
| CN104159295A (en) | Node positioning method based on filtering algorithm in wireless sensor network | |
| KR20160105151A (en) | A Method for a Crime Prediction by Estimating a Cell Value and A System for the Same | |
| CN108076086B (en) | A kind of remote monitoring method and equipment | |
| CN105407496A (en) | A method for identifying erroneous measurements in wireless sensor networks | |
| Chan et al. | ZigBee wireless sensor network for surface drainage monitoring and flood prediction | |
| KR101058155B1 (en) | Method and device for saving measured value of sensor that store only deviation of measured value in sensor network in separate storage area of memory | |
| KR20220070706A (en) | Energy smart farm sensing data error identification method | |
| Stoev et al. | Microclimatic data collection multisensor system for design of energy model in residential buildings | |
| US11578973B2 (en) | Method for automatically notifying an intended person as well as a test and measurement device | |
| JP6809105B2 (en) | Communication systems, measuring devices, and communication methods | |
| Frontera-Bergas et al. | flash flood station design with data quality assessment for SmartCity applications | 
| Date | Code | Title | Description | 
|---|---|---|---|
| A201 | Request for examination | ||
| PA0109 | Patent application | Patent event code:PA01091R01D Comment text:Patent Application Patent event date:20120328 | |
| PA0201 | Request for examination | ||
| E902 | Notification of reason for refusal | ||
| PE0902 | Notice of grounds for rejection | Comment text:Notification of reason for refusal Patent event date:20130709 Patent event code:PE09021S01D | |
| PG1501 | Laying open of application | ||
| E90F | Notification of reason for final refusal | ||
| PE0902 | Notice of grounds for rejection | Comment text:Final Notice of Reason for Refusal Patent event date:20131114 Patent event code:PE09021S02D | |
| E701 | Decision to grant or registration of patent right | ||
| PE0701 | Decision of registration | Patent event code:PE07011S01D Comment text:Decision to Grant Registration Patent event date:20140327 | |
| GRNT | Written decision to grant | ||
| PR0701 | Registration of establishment | Comment text:Registration of Establishment Patent event date:20140404 Patent event code:PR07011E01D | |
| PR1002 | Payment of registration fee | Payment date:20140404 End annual number:3 Start annual number:1 | |
| PG1601 | Publication of registration | ||
| FPAY | Annual fee payment | Payment date:20170216 Year of fee payment:4 | |
| PR1001 | Payment of annual fee | Payment date:20170216 Start annual number:4 End annual number:4 | |
| FPAY | Annual fee payment | Payment date:20190320 Year of fee payment:6 | |
| PR1001 | Payment of annual fee | Payment date:20190320 Start annual number:6 End annual number:6 | |
| PR1001 | Payment of annual fee | Payment date:20200325 Start annual number:7 End annual number:7 | |
| PR1001 | Payment of annual fee | Payment date:20220310 Start annual number:9 End annual number:9 | |
| PR1001 | Payment of annual fee | Payment date:20230315 Start annual number:10 End annual number:10 | |
| PR1001 | Payment of annual fee | Payment date:20240403 Start annual number:11 End annual number:11 | |
| PR1001 | Payment of annual fee | Payment date:20250224 Start annual number:12 End annual number:12 |