






본 발명은 고분자 및 코팅 소재의 스크래치 시인성 정량화 방법에 관한 것으로, 더욱 상세하게는 고분자 및 코팅 소재의 표면에 생성된 긁힘(mar) 및 스크래치(scratch)에 의한 표면 손상의 시인성(visibility)을 삼차원 색좌표를 통해 정량화된 수치로 나타내고, 이를 이용하여 스크래치 시인성 지수(Scratch Visibility Index, SVI)로 산출해냄으로써 소재의 표면 손상의 시인성을 정량화하여 평가하는 방법에 관한 것이다.
The present invention relates to a method for quantifying scratch visibility of a polymer and a coating material, and more particularly, to three-dimensional color coordinates of the visibility of surface damage due to scratches and scratches generated on the surface of the polymer and the coating material. The present invention relates to a method of quantifying and evaluating the visibility of surface damage of a material by expressing it as a quantified value through the SVI and using the same to calculate a Scratch Visibility Index (SVI).
최근 들어 감성품질이 중요시됨에 따라 고분자 및 코팅 소재의 표면 특성, 즉 표면조도(roughness), 경도(hardness), 마찰(friction)·마모(wear), 긁힘(mar) 및 스크래치(scratch) 특성 등에 관한 연구의 중요성이 대두되고 있고, 이와 더불어 고분자 및 코팅 소재의 스크래치 특성을 명확하게 정량화할 수 있는 평가기법에 대한 관심이 고조되고 있다.In recent years, as the quality of sensitivity is important, the surface properties of polymers and coating materials, such as surface roughness, hardness, friction, wear, scratch and scratch characteristics, etc. The importance of research is on the rise, and there is a growing interest in evaluation techniques that can clearly quantify the scratch properties of polymers and coating materials.
최근 ASTM (D7027-05) 및 ISO standard (19252:2008) 등에서 스크래치에 의한 표면 손상에 대한 정량적인 평가방법을 설명하고 있지만, 이들 표준시험법은 시험 방법론과 표면 손상의 형상에 관한 관찰에 초점을 두어 기술하고 있다.Although recent ASTM (D7027-05) and ISO standards (19252: 2008) describe quantitative assessments of surface damage due to scratches, these standard test methods focus on the test methodology and observation of the shape of surface damage. I put it.
예를 들어, ISO 19252는 스크래치에 의한 표면 손상을 스크래치 팁이 지나간 부위의 외관적인 형상에 따라 표면이랑(ploughing)이나 쐐기형성(wedging formation) 또는 찢김(cutting)현상 등으로 구분하여 평가하고 있다.For example, ISO 19252 evaluates the surface damage caused by scratching by classifying the surface into puffing, wedging formation, or cutting depending on the appearance of the portion where the scratch tip has passed.
그러나, 상기와 같은 평가방법은 관측자에 따라 그 경계의 구분이 지극히 주관적이고, 따라서 개인적 판단에 의존하여 평가될 수 있기 때문에 실험 재현성에 문제가 있으며, 객관화가 어렵고 변별력이 저하되는 문제점이 있다.However, the evaluation method as described above has a problem in reproducibility, difficulty in objectification and deterioration in discrimination because the boundary is very subjective according to the observer and thus can be evaluated depending on individual judgment.
또한, 상기 ASTM (D7027-05)에서는 비교적 낮은 일정하중에서 소재 표면에 긁힘 현상이 발생하고, 추가적인 일정하중이 가해졌을 때 보다 심화된 백화(whitening)현상 나타나게 된다. 그리고, 이 시점에서의 수직하중 즉, 임계수직하중(critical normal load)을 판단기준으로 소재의 표면 손상을 정량적으로 평가하고 있다.In addition, in ASTM (D7027-05), scratches occur on the surface of the material at relatively low constant loads, and when the additional constant loads are applied, deepening of whitening occurs. The surface damage of the material is quantitatively evaluated based on the criterion of the vertical load, that is, the critical normal load, at this point.
그러나, 임계수직하중은 단위길이 혹은 면적 등으로 나누어 표준화(normalization)시킨 소재 물성(material property)이 아니므로 실험자의 개인적 판단에 의존하여 평가될 수 있기 때문에 측정·평가 인자로 일반화하기 어려운 문제점이 있다.However, since the critical vertical load is not a normalized material property divided by unit length or area, it is difficult to generalize to a measurement and evaluation factor because it can be evaluated based on individual judgment of the experimenter. .
따라서 스크래치에 의한 소재의 표면 손상의 시인성을 평가함에 있어서 상기와 같은 비효율적인 종래의 평가방법들을 대체할 수 있는 효율적이고 보다 정량화된 평가방법이 요구된다.
Therefore, in evaluating the visibility of the surface damage of the material by scratching, there is a need for an efficient and more quantitative evaluation method that can replace the inefficient conventional evaluation methods.
본 발명은 상기와 같은 문제점을 감안하여 창출한 것으로, 선형증가하중(linearly increasing load) 하에서 고분자 및 코팅 소재 표면에 생성된 긁힘과 스크래치에 의한 표면 손상의 시인성을 평가하는데 있어서, 소재 표면과 소정의 선 접촉(line contact)이 가능한 스크래치 팁(tip)을 이용하여 소재 표면에 스크래치를 인위적으로 발생시킨 후, 표면 손상의 시인성을 컬러 모델의 삼차원(3-D) 색좌표로 수치화함으로써 스크래치에 의한 표면 손상의 시인성을 정량화된 수치, 즉 스크래치 시인성 지수(SVI)로 산출하여 신뢰성 및 재현성 등이 보다 우수한 고분자 및 코팅 소재의 스크래치 시인성 정량화 방법을 제공하는데 그 목적이 있다.
The present invention has been made in view of the above problems, and in evaluating the visibility of surface damage caused by scratches and scratches generated on the surface of polymers and coating materials under linearly increasing load, Surface damage caused by scratching by artificially generating scratches on the surface of the material using scratch tips capable of line contact, and then quantifying the visibility of the surface damage in three-dimensional (3-D) color coordinates of the color model. The purpose of the present invention is to provide a method for quantifying scratch visibility of polymers and coating materials having better reliability and reproducibility by calculating the visibility of quantified values, that is, the scratch visibility index (SVI).
상기한 목적을 달성하기 위해 본 발명은, 고분자 및 코팅 소재의 표면에 생성된 스크래치에 의한 표면 손상의 시인성을 정량화하기 위하여,In order to achieve the above object, the present invention, in order to quantify the visibility of surface damage caused by scratches generated on the surface of the polymer and coating material,
고분자 및 코팅 소재의 시험편을 준비하는 단계; 상기 시험편의 표면에 스크래치를 발생시키는 단계; 상기 스크래치에 의한 표면 손상을 스캔하여 이미지를 획득하는 단계; 색분석 소프트웨어를 이용하여 상기 이미지를 각 픽셀 별로 색분석하여 표면 손상의 변화추이를 색좌표로 프로파일화하는 단계; 상기 색좌표와 시험편의 표면에 작용하는 하중의 변화추이를 도식화하고 스크래치 시인성과 관련된 성분만을 판별 조합하여 스크래치 시인성 지수(SVI)로 나타내는 단계;를 포함하는 것을 특징으로 하는 고분자 및 코팅 소재의 스크래치 시인성 정량화 방법을 제공한다.Preparing a test piece of a polymer and a coating material; Generating a scratch on the surface of the test piece; Scanning the surface damage caused by the scratch to obtain an image; Using color analysis software to color-code the image for each pixel to profile change trends of surface damage in color coordinates; Sizing the change trend of the load applied to the surface of the color coordinates and the test piece and distinguishing and combining only the components related to the scratch visibility and represented by the scratch visibility index (SVI); Quantifying the scratch visibility of the polymer and coating material, comprising a Provide a method.
바람직하게, 상기 스크래치를 발생시키는 단계의 스크래치는 시험편의 표면에 선 접촉 가능한 스크래치 팁을 사용하여 발생시키는 것을 특징으로 한다.Preferably, the scratch of the step of generating the scratch is characterized in that it is generated using a scratch tip capable of linear contact with the surface of the test piece.
또한 바람직하게, 상기 스크래치를 발생시키는 단계의 스크래치는 시험편의 표면에 선형적인 증가하중을 가하여 발생시키는 것을 특징으로 한다.Also preferably, the scratch in the step of generating the scratch is characterized in that generated by applying a linear increasing load on the surface of the test piece.
그리고 바람직하게, 상기 스크래치에 의한 시험편의 표면 손상 부위를 분석함에 있어서 삼차원 컬러 모델을 이용한 색분석 기법을 적용하는 것을 특징으로 한다.And preferably, in analyzing the surface damage of the test piece by the scratch, it is characterized by applying a color analysis technique using a three-dimensional color model.
더욱 바람직하게, 상기 색좌표로 프로파일화하는 단계의 색분석 소프트웨어는 시험편의 표면 손상을 분석함에 있어서 전체 혹은 임의의 선택영역에 대한 색분석이 가능한 것을 특징으로 한다.More preferably, the color analysis software for profiling with the color coordinates is capable of color analysis of all or any selected area in analyzing the surface damage of the specimen.
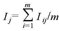
또한 바람직하게, 상기 색분석 소프트웨어는 스크래치 방향에 따라 이미지의 각 열(j)을 대표하는 색좌표는 해당 열(j)의 모든 색좌표 값들의 평균치로 나타내는 것을 특징으로 한다.Also preferably, the color analysis software is characterized in that the color coordinates representing each column j of the image according to the scratch direction is represented by an average value of all the color coordinate values of the column j.
더욱 바람직하게, 상기 색분석 소프트웨어는 시험편의 표면에 생긴 전체 스크래치의 폭과 길이에 대한 연속적인 측정이 가능한 것을 특징으로 한다.More preferably, the color analysis software is capable of continuously measuring the width and length of the total scratches on the surface of the specimen.
그리고, 상기 스크래치 시인성 지수는 시험편의 표면 손상의 발생이 인식되는 시점에서의 밝기값(Ic), 채도값(Sc), 그리고 임계 스크래치 저항()의 조합인 [Ic, Sc,]으로 나타내는 것을 특징으로 한다.The scratch visibility index may include brightness valuesIc , saturation valuesSc , and threshold scratch resistances at the time when occurrence of surface damage of a test piece is recognized. ) Is a combination of [Ic ,Sc , It is characterized by.
보다 바람직하게, 상기 스크래치 팁은 시험편의 표면에 수평방향으로 접촉하여 일정거리 및 일정속도로 스크래치 손상을 유도하는 것을 특징으로 한다.
More preferably, the scratch tip is in contact with the surface of the test piece in a horizontal direction to induce scratch damage at a certain distance and a constant speed.
본 발명은 고분자 및 코팅 소재의 표면에 생성된 긁힘(mar)과 스크래치(scratch)에 의한 표면 손상의 시인성을 정량화된 수치로 산출함으로써 스크래치 시인성의 객관적인 평가가 가능하며, 이에 따라 측정자 및 측정 환경에 의한 오차를 줄일 수 있고 내스크래치성 평가에 대한 신뢰성을 확보할 수 있다.The present invention enables the objective evaluation of scratch visibility by calculating quantitative numerical values of the visibility of surface damage due to scratches and scratches generated on the surface of the polymer and the coating material. Can reduce errors and ensure reliability for scratch resistance evaluation.
또한, 본 발명에 따른 방법은 스크래치에 의한 표면 손상의 시인성을 정량화된 스크래치 시인성 지수(Scratch Visibility Index, SVI)로 나타냄으로써 모든 고분자 및 코팅 소재의 스크래치에 의한 표면손상의 시인성을 객관적으로 평가할 수 있다.
In addition, the method according to the present invention can objectively evaluate the visibility of surface damage caused by scratching of all polymers and coating materials by expressing the visibility of surface damage caused by scratch by the Scratch Visibility Index (SVI). .
도 1은 본 발명에 따른 고분자 및 코팅 소재의 스크래치 시인성을 정량화하는 방법과 기존의 평가방법을 비교하여 나타낸 시험 순서도이다.
도 2는 본 발명에서 사용하는 스크래치 팁의 구체적인 형상과 선형증가하중 하에서 유도된 소재 표면 손상의 형상을 개략적으로 도식화한 것이다.
도 3은 HSI 컬러 모델의 색좌표를 설명하는 개략도이다.
도 4은 본 발명에서 사용한 색분석 소프트웨어를 이용하여 이미지의 각 열을 대표하는 색좌표 값을 취하는 방법을 설명하는 개략도이다.
도 5는 본 발명의 실시예에서 평판형 스캐너로부터 얻은 선형증가하중 하의 긁힘 및 스크래치에 의한 표면 손상 이미지이다.
도 6은 본 발명에 따른 실시예의 색분석 결과인 세 개의 색좌표 및 해당 스크래치 저항의 변화추이를 스크래치 궤적에 따라 도식화하여 나타낸 그래프이다.
도 7은 도 5에 표시된 영역 I, II, III의 광학현미경 사진으로서, (a)는 첫 번째 컬러 전이점, (b)는 두 번째 컬러 전이점, (c)는 세 번째 컬러 전이점 부근의 표면 손상 형태를 보여준다.Figure 1 is a test flow chart showing a comparison of the conventional method and the method of quantifying the scratch visibility of the polymer and the coating material according to the present invention.
 Figure 2 schematically illustrates the specific shape of the scratch tip used in the present invention and the shape of the material surface damage induced under linear increase load.
 3 is a schematic diagram illustrating color coordinates of an HSI color model.
 4 is a schematic diagram illustrating a method of taking color coordinate values representing each column of an image using color analysis software used in the present invention.
 5 is a surface damage image due to scratches and scratches under a linear increase load obtained from a flatbed scanner in an embodiment of the present invention.
 FIG. 6 is a graph illustrating three color coordinates of the color analysis result of the exemplary embodiment of the present invention and a change trend of the corresponding scratch resistance according to the scratch trajectory. FIG.
 FIG. 7 is an optical micrograph of regions I, II and III shown in FIG. 5, wherein (a) is the first color transition point, (b) is the second color transition point, and (c) is near the third color transition point. Shows surface damage forms.
본 발명에서 사용한 용어는 단지 특정한 실시예를 설명하기 위해 사용된 것으로 본 발명을 한정하려는 의도가 아니며, 설명에 있어서 주지된 기술과 동일한 부분에 대하여 중복되는 설명은 생략되는 것도 있다.The terminology used herein is for the purpose of describing particular example embodiments only and is not intended to be limiting of the invention. In the description, overlapping descriptions of the same parts as well-known technologies may be omitted.
본 발명은 고분자 및 코팅 소재의 표면에 생성된 긁힘(mar)과 스크래치(scratch)에 의한 표면 손상의 시인성(visibility)을 정량적인 수치로 평가할 수 있는 방법에 관한 것으로, 선형으로 증가하는 하중 즉, 선형증가하중(linearly increasing load) 조건에서 소재 표면과 선 접촉(line contact)하는 스크래치 팁을 이용하여 스크래치에 의한 표면 손상을 유도하고, 상기 표면 손상 부위를 스캔하여 디지털화된 이미지를 얻어서 저장한 다음, 색분석 소프트웨어를 이용하여 스크래치에 의한 표면 손상의 변화추이를 삼차원(3-D) 컬러 모델의 색좌표로 프로파일화한 후, 마지막으로 스크래치 궤적(path)에 따른 색좌표와 작용응력의 변화추이를 도식화하고 스크래치 시인성과 관련된 성분만을 판별 조합하여 최종적으로 정량화된 수치인 스크래치 시인성 지수(Scratch Visibility Index, SVI)로 산출하는 방법을 제공한다.The present invention relates to a method for quantitatively evaluating the visibility of surface damage due to scratches and scratches generated on the surfaces of polymers and coating materials in a quantitative manner. Using scratch tips that line contact the surface of the material under linearly increasing load conditions to induce surface damage by scratching, scan the surface damage site to obtain a digitized image and save it. Using the color analysis software, the change of surface damage caused by scratch is profiled with the color coordinates of the 3-D color model. Finally, the change of the color coordinates and the working stress according to the scratch trajectory is plotted. Scratch Visibility Index, which is the final quantified value by discriminating and combining only components related to scratch visibility , SVI).
이하, 첨부된 도면 및 실시예를 참조로 하여 본 발명을 상세하게 설명한다.Hereinafter, with reference to the accompanying drawings and embodiments will be described in detail the present invention.
본 발명에서 고분자 및 코팅 소재는 고분자 소재와 더불어 각종 소재 표면에 형성된 코팅 소재를 말하며, 본 명세서에서는 '고분자 및 코팅'을 생략하고 간단하게 '소재'라고 칭하겠다.In the present invention, the polymer and the coating material refer to a coating material formed on the surface of various materials together with the polymer material, and in the present specification, a 'polymer and a coating' are omitted and will be referred to simply as a 'material'.
도 1에 도시된 바와 같이, 선형증가하중 조건하에서의 스크래치 시험을 통한 내스크래치성을 평가하기 위하여, 먼저 선택한 소재의 시험편을 준비하고, 이 시험편에 인위적으로 스크래치 손상을 유도하여 표면을 손상시킨다.As shown in Fig. 1, in order to evaluate the scratch resistance through the scratch test under linearly increasing load conditions, a test piece of a selected material is first prepared, and the test piece is artificially induced to damage the surface by damaging the surface.
시험편의 표면에 스크래치된 표면 손상 즉, 스크래치 손상을 가하기 위하여 선형증가하중 하에서 스크래치 시험을 실시하며, 이때 시험편의 표면을 손상시키기 위한 스크래치 발생기로는 일반적인 스크래치 발생장치를 사용할 수 있고, 본 발명의 실시예에서는 Center for Tribology, Inc사의 UMT-2 모델을 사용하여 스크래치 테스트를 수행하였다.In order to apply scratched surface damage, that is, scratch damage to the surface of the test piece, a scratch test is carried out under a linear increase load.As a scratch generator for damaging the surface of the test piece, a general scratch generator may be used, and the present invention may be carried out. In the example, a scratch test was performed using a UMT-2 model from Center for Tribology, Inc.
본 발명에서 스크래치 발생기는 시험편의 표면에 긁힘 및 스크래치를 인위적으로 발생시키기 위한 장치로서 소재 표면과 선 접촉(line contact)이 가능한 스크래치 팁을 포함하며, 상기 스크래치 팁의 재질은 소재 표면을 손상시키기 위하여 고분자 및 코팅 소재보다 높은 경도의 금속이나 광물 또는 무기물인 것이 바람직하다.In the present invention, the scratch generator is an apparatus for artificially generating scratches and scratches on the surface of the test piece and includes a scratch tip capable of line contact with the surface of the material, the material of the scratch tip is to damage the surface of the material It is preferably a metal, mineral or inorganic material of higher hardness than the polymer and the coating material.
본 발명에서 스크래치 팁은 선형으로 증가하는 하중 조건에서 소재 표면에 접촉하여 스크래치 생성을 위한 응력을 작용시키게 된다.In the present invention, the scratch tip is in contact with the surface of the material under a linearly increasing load condition to exert a stress for scratch generation.
이를 위하여 스크래치 발생기는 스크래치 팁이 시험편의 표면에 선형적인 증가하중을 가하도록 제어한다.To this end, the scratch generator controls the scratch tip to exert a linear increasing load on the surface of the specimen.
상기 스크래치 팁은 스크래치 시험에서 선형증가하는 하중(예를 들어, 1~30N) 하에서 시험편의 표면과 수평방향으로 접촉하여 일정거리(길이) 및 일정속도로 스크래치 손상을 유도한다.The scratch tip is in horizontal contact with the surface of the specimen under linearly increasing load (eg, 1 to 30 N) in the scratch test to induce scratch damage at a constant distance (length) and at a constant speed.
다시 말해, 스크래치 팁은 시험편의 표면에 스크래치 손상을 유도하기 위하여 시험편의 표면과 수평방향으로 접촉하여 일정거리 및 일정속도로 선형증가하중을 가하게 된다.In other words, the scratch tip is in contact with the surface of the specimen in the horizontal direction in order to induce scratch damage on the surface of the specimen to apply a linear increase load at a constant distance and constant speed.
도 2는 본 발명에서 사용하는 스크래치 팁의 구체적인 형상과 선형증가하중 하에서 유도된 소재 표면 손상의 형상을 개략적으로 도식화한 것으로, 선형증가하는 하중에 의한 시험편의 표면 손상을 스크래치 궤적에 따라 보여준다. 도시된 바와 같이, 시험편의 표면에 생성된 손상은 스크래치 방향에 따라 선형으로 증가하는 하중이 가해짐에 의해 첫 번째 컬러 전이점(1st), 두 번째 컬러 전이점(2nd), 세 번째 컬러 전이점(3rd)이 순차적으로 나타나게 된다.FIG. 2 schematically illustrates the shape of the scratch tip used in the present invention and the shape of the material surface damage induced under the linear increase load, and shows the surface damage of the specimen due to the linear increasing load according to the scratch trajectory. As shown, the damage created on the surface of the specimen is subjected to the first color transition point (1st), second color transition point (2nd), and third color transition point by applying a linearly increasing load along the scratch direction. (3rd) appears sequentially.
상기 시험편의 표면에 긁힘 및 스크래치와 같은 표면 손상이 생성되면 스캐너 등과 같은 장비를 이용하여 표면 손상 부위를 스캔하여 디지털화된 이미지를 획득 저장한다.When surface damage such as scratches and scratches are generated on the surface of the test piece, the surface damage area is scanned using a device such as a scanner to acquire and store a digitized image.
여기서, 상기 디지털화된 이미지는 최소 해상도 600 × 600dpi 이상, 24-비트 컬러 모드로 스크래치된 소재 표면을 디지털 이미지화하는 것이 바람직하며, 본 발명의 실시예에서는 일례로 Epson사의 Perfection V700 photo 모델을 사용하여 디지털 이미지를 획득하였다.Here, the digitized image is a digital image of the surface of the scratched material with a minimum resolution of 600 × 600 dpi or higher, 24-bit color mode, in the embodiment of the present invention, for example, using the Perfection V700 photo model of Epson Image was acquired.
상기와 같이 시험편 표면의 스크래치 손상 부위를 디지털 이미지화 한 후, 색분석 소프트웨어를 이용하여 스크래치 팁이 지나가며 생성한 표면 손상의 흔적 즉, 입력된 이미지의 스크래치 궤적(path)을 따라 표면 손상의 변화를 3-D 컬러 모델의 세가지 컬러성분(색좌표)으로 수치화한다.After digitally imaging the scratch damage on the surface of the specimen as described above, the surface damage along the trace path of the input image, i.e., the scratch trace of the input image, is generated by using the color analysis software. Digitize with three color components (color coordinates) of 3-D color model.
여기서, 색분석 소프트웨어는 상기 이미지의 스크래치 궤적을 따라 표면 손상의 변화추이를 삼차원 컬러 모델의 색좌표 값으로 측정하여 나타낼 수 있는 프로그램으로, 본 발명에서는 이를 이용하여 스크래치에 의한 표면 손상의 시인성을 측정하고 소재의 내스크래치성을 평가할 수 있다.Here, the color analysis software is a program that can measure and display the change trend of the surface damage along the scratch trajectory of the image by the color coordinate value of the three-dimensional color model, in the present invention by using it to measure the visibility of the surface damage by scratch The scratch resistance of the material can be evaluated.
본 발명의 실시예에서는 상업용 색분석 프로그램인 QWin을 사용하였으며, 색분석 결과를 3-D 컬러 모델인 HSI의 색좌표로 나타내었다.In the embodiment of the present invention, a commercial color analysis program QWin was used, and the color analysis results are expressed in color coordinates of HSI, which is a 3-D color model.
상기 색좌표는 디지털화된 이미지의 각 픽셀(pixel)에 대해 고유의 컬러값을 나타내는 서로 다른 세 개의 성분으로 표현되며, 예를 들어 RGB 컬러 모델의 경우 레드(Red)값(R), 그린(Green)값(G) 및 블루(Blue)값(B)으로 표현되고, HSI 컬러 모델의 경우 도 3과 같이 색조(Hue)값(H), 채도(Saturation)값(S), 밝기(Intensity)값(I)으로 표현된다.The color coordinates are represented by three different components representing unique color values for each pixel of the digitized image. For example, in the case of the RGB color model, the red (R) and green (Green) colors are represented. Value (G) and blue value (B), and in the case of the HSI color model, as shown in FIG. 3, a hue value H, a saturation value S, and an intensity value ( It is expressed by I).
색조 혹은 색조값은 색상 자체를 표현하는 성분이고, 채도 혹은 채도값은 흰색을 얼마나 포함하고 있는지를 나타내는 성분이며, 마지막으로 밝기 혹은 밝기값은 색의 밝기(휘도)를 나타내는 성분이다. 각각의 성분은 0에서 255까지의 수치로 표현되며, 스캔 작업을 통해 얻은 이미지의 각 픽셀(pixel)은 상기의 세 가지 컬러 성분의 조합 즉, 색좌표로서 해당 픽셀의 고유한 컬러를 나타낼 수 있다.The hue or hue value is a component expressing the color itself, the saturation or saturation value is a component indicating how much white is contained, and finally, the brightness or brightness value is a component indicating the brightness (luminance) of the color. Each component is represented by a number from 0 to 255, and each pixel of the image obtained through the scanning operation may represent a unique color of the pixel as a combination of the three color components, that is, color coordinates.
상기 색분석 소프트웨어는 시험편의 표면에 생긴 전체 스크래치의 폭과 길이에 대한 연속적인 측정이 가능할 뿐만 아니라, 시험편 표면의 손상 영역을 임의로 선택하여 표면 손상의 시인성을 측정할 수 있는 것이 바람직하다.The color analysis software is not only capable of continuously measuring the width and length of the total scratches on the surface of the test piece, but is also capable of arbitrarily selecting the area of damage on the test piece surface to measure the visibility of the surface damage.
아울러, 상기 색분석 소프트웨어는 임의의 선택영역(임의로 선택한 소재 표면의 손상 영역)에 대한 평가 시, 도 4와 같이 스크래치 방향에 따라 각 열(j)을 대표하는 색좌표는 해당 열(j)의 모든 색좌표 값들의 평균치 예를 들어 [Rj, Gj, Bj]로 나타내는 것이 바람직하며, 이를 수식으로 나타내면 아래 수학식 1과 같다.In addition, when the color analysis software evaluates an arbitrary selection area (damage area of a randomly selected material surface), the color coordinates representing each row j according to the scratch direction as shown in FIG. For example, the average value of the color coordinate values may be represented by [Rj , Gj , Bj ], which is represented by
도 4는 색분석 소프트웨어를 이용하여 스크래치 방향에 따라 각 열의 색좌표 값을 취하는 방법을 나타낸 개략도로서, 이를 참조로 하여 보다 구체적으로 설명하면, 상기 색분석 소프트웨어는 시험편 표면의 손상부위로부터 얻은 이미지 분석영역 중 전체 혹은 임의로 선택한 영역에 대해 스크래치 방향을 따라 이미지의 각 픽셀을 열(j) 별로 분류하고, 분류한 각 열(j)을 대표하는 색좌표는 해당 열(j)의 모든 색좌표 값들의 평균치로 나타낸다.4 is a schematic diagram illustrating a method of taking color coordinate values of each column according to a scratch direction using color analysis software. Referring to this in more detail, the color analysis software includes an image analysis area obtained from a damaged part of a surface of a specimen. Each pixel of the image is classified by column (j) along the scratch direction with respect to the entire or randomly selected area, and the color coordinates representing each classified column (j) are represented by the average of all color coordinate values of the corresponding column (j). .
본 발명에서 RGB 컬러 모델의 경우 스크래치 방향에 따라 각 열(j)을 대표하는 색좌표를 상기 수학식 1과 같이 표현할 수 있음을 참조로 하여, HSI 컬러 모델의 경우 아래 수학식 2와 같이 나타낼 수 있음을 유추할 수 있다.In the present invention, with reference to the color coordinates representing each column j according to the scratch direction in the case of the RGB color model can be expressed as
따라서, 표면 손상의 이미지 분석영역 중 임의의 선택영역에서 스크래치 방향에 따른 각 열(j)을 대표하는 색좌표는 [Rj, Gj, Bj] 혹은 [Hj, Sj,Ij] 등으로 표현할 수 있다.Therefore, the color coordinates representing each column j according to the scratch direction in any selected region of the image analysis region of surface damage are [Rj , Gj , Bj ] or [Hj , Sj, Ij ], etc. It can be expressed as
상기의 색분석 결과를 바탕으로, 스크래치 궤적에 따른 색좌표의 변화와 작용응력의 증가를 하나의 도표에 도식화하여 최종 정량화된 스크래치 시인성 지수(SVI)를 산출한다.Based on the color analysis results, the final quantified scratch visibility index (SVI) is calculated by plotting the change of color coordinates and the increase of the working stress according to the scratch trajectory in one chart.
스크래치 시인성 지수는 스크래치 시인성이 감지되는 시점, 즉 표면 손상의 발생이 인식되는 시점에서의 색좌표(color coordinates)와 임계 스크래치 저항(Scratch resistance,)의 조합으로 표현될 수 있고, 본 발명에서는 상기 스크래치 시인성 지수를 아래 수학식 3와 같이 정의한다.Scratch visibility indexes include color coordinates and threshold scratch resistance at the point when scratch visibility is detected, that is, when occurrence of surface damage is recognized. ), And in the present invention, the scratch visibility index is defined as in
여기서,Ic와Sc는 각각 시험편의 표면 손상이 인식되는 시점의 밝기값과 채도값으로, 다시 말하면 후술되는 시인성 개시점에서의 밝기값과 채도값이다.Here,Ic andSc are brightness values and chroma values at the time when surface damage of the test piece is recognized, that is, brightness values and chroma values at the visibility start point described later.
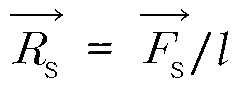
더불어스크래치 저항()은 아래 수학식 4와 같이 계산한다.together Scratch resistance ( ) Is calculated as in Equation 4 below.
여기서,l은 스크래치 팁이 소재 표면과 접촉하는 길이이고, 임계 스크래치 저항()은 시험편의 표면 손상이 인식되는 시점에서의 스크래치 저항()을 의미한다.Wherel is the length the scratch tip is in contact with the material surface, and the critical scratch resistance ( ) Is the scratch resistance at which the surface damage ).
그리고 스크래치 팁을 시험편의 표면에 선 접촉한 상태로 이동시켜 시험편에 스크래치 손상을 가할 수 있도록 하는 스크래치 구동력(Scratch force,)은 두 법선 벡터인 수직하중()과 접선하중()의 합으로서, 스크래치 시험시 제공되는 선형증가하는 하중에 따라 결정되며, 아래 수학식 5와 같이 구한다.Scratch force, which moves the scratch tip in line contact with the surface of the specimen, can cause scratch damage to the specimen. ) Is the normal load (two normal vectors) ) And tangential load ( ) Is determined by the linear increasing load provided during the scratch test, and is obtained as shown in Equation 5 below.
여기서, 수직하중()은 스크래치 팁을 통해 소재 표면에 수직방향으로 작용하는 하중이고, 접선하중()은 스크래치 팁을 통해 소재 표면에 수평방향으로 작용하는 하중이다.Where vertical load ( ) Is the load acting perpendicular to the surface of the material through the scratch tip, and the tangential load ( Is the load acting horizontally on the material surface through the scratch tip.
본 발명은 소재 표면에 가해진 스크래치 손상의 시인성을 정량화하는데 있어서 소재의 두께에 대한 특별한 제한은 없으나 두께가 10 mm 이하인 시험편이 바람직하며, 최소 길이가 70 mm이상이고 굴곡이 없는 평판형 시험편을 사용하는 것이 바람직하다.In the present invention, there is no particular limitation on the thickness of the material in quantifying the visibility of scratch damage applied to the surface of the material, but a test piece having a thickness of 10 mm or less is preferable, and a flat specimen having a minimum length of 70 mm or more and no bending is used. It is preferable.
본 발명은 하기 실시예를 통해 보다 잘 이해될 수 있으며, 하기의 실시예는 본 발명의 예시 목적을 위한 것으로 첨부된 특허청구범위를 한정하는 것은 아니다.
The invention can be better understood through the following examples, which are intended to illustrate the invention and are not intended to limit the appended claims.
실시예Example
본 발명에서는 3 mm 두께의 평판형 폴리프로필렌 복합소재를 스크래치 시인성 평가용 시험편으로 사용하였다.In the present invention, a flat polypropylene composite material having a thickness of 3 mm was used as a test piece for scratch visibility evaluation.
스크래치 발생기를 사용하여 상기 시험편에 총 50 mm의 스크래치를 가하였다. 이때 스크래치 속도(스크래치 손상을 생성하는 속도)는 1 mm/s로 고정하고 실험하중 조건은 1 ~ 30N 의 선형증가하는 하중을 부여하였다.A total of 50 mm of scratch was applied to the specimen using a scratch generator. At this time, the scratch speed (speed to generate scratch damage) was fixed at 1 mm / s and the experimental load condition was given a linear increasing load of 1 to 30N.
본 실시예에서 스크래치 팁은 도 2의 형상을 가지고 시험편의 표면에 접촉하는 길이가1mm인 것을 사용하였다.In this embodiment, the scratch tip has the shape of FIG. 2 and has a length in contact with the surface of the test piece. 1 mm was used.
상기와 같은 절차를 통해 긁힘 및 스크래치 등의 표면 손상이 유도된 소재 표면을 평판형 스캐너 장비를 이용하여 디지털 이미지화하였다.Through the above procedure, the surface of the material from which surface damage such as scratching and scratching was induced was digitally imaged using a flatbed scanner device.
도 5는 상기 평판형 스캐너로부터 얻은 긁힘 및 스크래치에 의한 표면 손상 이미지를 보여준다.5 shows surface damage images by scratches and scratches obtained from the flatbed scanner.
본 실시예에서는 전체 스크래치 폭의 약 90% 정도만을 임의로 선택하였고(도 2 참고) HSI 컬러 모델을 사용하여 색분석을 수행하였다.In this example, only about 90% of the total scratch width was arbitrarily selected (see FIG. 2), and color analysis was performed using an HSI color model.
도 6은 본 실시예의 색분석 결과인 세 개의 색좌표(H,S,I) 및 해당 스크래치 저항()의 변화추이 등을 스크래치 궤적에 따라 도식화하여 나타낸 그래프이다.FIG. 6 shows three color coordinates (H, S, I) and the corresponding scratch resistance as a result of color analysis of the present embodiment. ) Is a graph showing the change trend of) according to the scratch trajectory.
도 6과 같이 스크래치 궤적이 증가(스크래치 길이가 증가)함에 따라, ① 스크래치 저항()은 선형적으로 증가하고, ② 색조값(H)은 거의 일정한 값을 유지하는 반면, ③ 밝기값(I)의 증가 및 ④ 채도값(S)의 감소 경향을 보였다.As the scratch trajectory increases (the scratch length increases), as shown in FIG. 6, the scratch resistance ( ) Increased linearly, and ② the hue value (H) remained almost constant, whereas ③ increased the brightness value (I) and decreased the ④ saturation value (S).
즉, 스크래치 구동력()이 스크래치 궤적을 따라 증가하게 되면 스크래치된 홈(groove) 부근에서 표면 손상으로 인한 빛의 산란이 증가하는 백화(whitening)현상이 발생하게 됨을 알 수 있다.That is, the scratch driving force ( If the) increases along the scratch trajectory, it can be seen that whitening occurs due to increased scattering of light due to surface damage in the vicinity of the scratched groove.
또한, 스크래치에 의한 소재의 백화현상은 색좌표의 변화를 유발시키게 되는데, 구체적으로 말하면 HSI 컬러 모델의 밝기값(I)과 채도값(S)은 백화현상을 직접적으로 반영하여 수치의 변화를 보이는 반면, 색조값(H)은 백화현상과 무관하게 일정한 수치를 유지하였다.In addition, the whitening of the material due to scratching causes a change in the color coordinate. Specifically, the brightness value (I) and the saturation value (S) of the HSI color model directly change the value while reflecting the whitening phenomenon. , Hue value (H) was maintained a constant value irrespective of whitening phenomenon.
도 6에서 스크래치 궤적에 따른 밝기값(I) 및 채도값(S)의 프로파일(profile)을 자세히 살펴보면, 스크래치에 의한 표면 손상의 정도가 증가함에 따라 이들 값의 기울기(slope)가 계속해서 변화하는 것을 관찰할 수 있다.Referring to the profiles of the brightness value I and the saturation value S according to the scratch trajectory in FIG. 6, the slope of these values continuously changes as the degree of surface damage caused by the scratch increases. Can be observed.
예를 들어 도 6에서 밝기값(I)의 경우, 스크래치 미생성 영역(도 6의 No damage zone)에서의 수치는 일정한 값을 유지하다가 첫 번째 컬러 변이점(the first color transition point)을 지나 스크래치 생성 영역(도 6의 Mar zone)으로 진입하면서 증가하고 다시 일정(even)하게 유지되다가 두 번째 컬러 변이점(the second color transition point)을 지나면서 다시 증가하다가 일정하게 유지되며, 그 이후 이러한 현상이 반복적으로 재현됨을 확인할 수 있다.For example, in the case of the brightness value I in FIG. 6, the value in the scratch-free zone (No damage zone in FIG. 6) remains constant and then scratches past the first color transition point. It enters the creation zone (Mar zone of FIG. 6), increases and remains constant again, then increases again through the second color transition point, and then remains constant. It can be seen that it is repeatedly reproduced.
반면, 도 6에서 채도값(S)의 경우, 초기 수치는 일정한 값을 유지하다가 첫 번째 컬러 변이점을 지나 스크래치 생성 영역(도 6의 Mar zone)으로 진입하면서 감소하고 다시 일정(even)하게 유지되다가 두 번째 컬러 변이점을 지나면서 다시 감소하다가 일정하게 유지되며, 그 이후 이러한 현상이 반복적으로 재현되었다.On the other hand, in the case of the saturation value S in FIG. 6, the initial value is kept constant and then decreases and remains constant even after entering the scratch generation region (Mar zone of FIG. 6) past the first color transition point. After the second color transition, it decreases again and then remains constant, after which the phenomenon is repeatedly reproduced.
이와 같이 도 6에서의 밝기값(I)과 채도값(S)의 기울기 변화는 색좌표값 특히, 밝기값과 채도값이 표면 손상 정도의 변화를 나타내는 식별 지표로 사용될 수 있음을 의미하고 있다.As described above, the inclination change of the brightness value I and the saturation value S in FIG. 6 means that the color coordinate value, in particular, the brightness value and the saturation value can be used as an identification index indicating a change in the degree of surface damage.
전술한 바에 따라, 소재 표면에 생성된 스크래치의 시인성은 밝기값(I)과 채도값(S) 및 스크래치 저항()과 연관이 있음을 알 수 있고, 스크래치 시인성 지수는 이들을 조합하여 도출할 수 있음을 짐작할 수 있다.As described above, the visibility of the scratches generated on the surface of the material has the brightness value (I), the saturation value (S), and the scratch resistance ( ), And the scratch visibility index can be estimated by combining them.
한편, 광학현미경을 이용한 관찰은 도 6의 컬러 변이점과 표면 손상의 형태를 연관시키기 위해 수행하였다.On the other hand, observation using an optical microscope was performed to correlate the color shift point of FIG. 6 with the form of surface damage.
도 7의 (a), (b), (c)는 도 5에 표시된 영역 I, II, III을 각각 확대 도시한광학현미경 사진으로서, 각각 첫 번째, 두 번째, 세 번째 컬러 변이점 부근의 표면 손상의 형태를 보여준다.(A), (b) and (c) of FIG. 7 are enlarged optical micrographs of the regions I, II and III shown in FIG. 5, respectively, and the surfaces near the first, second and third color transition points, respectively. Show the form of damage.
도 7에서 보이는 바와 같이 영역 I은 비교적 가벼운 표면 손상인 긁힘(mar) 현상을 나타내고, 영역 II는 물결무늬 형상의 표면 손상이 중첩되어 있는 모습을 보여준다. 이러한 표면 손상은 육안으로도 백화현상이 확인되며, 본 발명의 실시예에서는 보다 확실하게 식별 가능한 도 6의 두 번째 컬러 변이점을 “시인성 개시점”(onset of scratch visibility)으로 결정하였다.As shown in FIG. 7, region I shows a mar phenomenon, which is a relatively light surface damage, and region II shows a superimposition of wavy surface damage. This surface damage is visualized even with the naked eye, and in the embodiment of the present invention, the second color shift point of FIG. 6 is more identifiably determined as an "onset of scratch visibility".
그리고, 본 발명은 시인성 개시점에서의 밝기값(Ic), 채도값(Sc), 그리고 스크래치 저항()의 조합인 [Ic,Sc,]을 “스크래치 시인성 지수”로 결정한다.In addition, the present invention provides a brightness value (Ic ), a saturation value (Sc ), and a scratch resistance at the starting point of visibility. ) Is a combination of [Ic ,Sc , ] Is determined by the “scratch visibility index”.
표 1에 상기 실시예의 시험 결과를 스크래치 시인성 지수(SVI)로 나타내었다.Table 1 shows the test results of the above examples in terms of scratch visibility index (SVI).
본 실시예에서 본 발명에 따른 긁힘 및 스크래치에 의한 표면 손상의 시인성을 평가하는 방법은 표면 손상의 시인성이 디지털화된 수치로 표현되어 보다 쉽게 정량화됨을 알 수 있었다.In the present embodiment, the method for evaluating the visibility of surface damage by scratching and scratching according to the present invention was found to be more easily quantified by expressing the visibility of surface damage as a digitized value.
한편, 영역 III은 세 번째 컬러 변이점 부근으로 스크래치 손상이 좀 더 진행됨에 따라 물결무늬의 폭이 보다 커진 것을 확인할 수 있었다.On the other hand, region III was found to be larger in the width of the wave pattern as the scratch damage proceeds to the vicinity of the third color transition point.
이와 같이 본 발명은 고분자 및 코팅 소재에 생성된 긁힘과 스크래치에 의한 표면 손상의 시인성을 정량화할 수 있음은 물론, 최종 정량화된 결과로 스크래치 시인성 지수를 도출해냄으로써 종래에 정량화가 어려웠던 스크래치 시인성을 손쉽게 정량화, 물성화할 수 있는 효과가 있다.As such, the present invention can quantify the visibility of surface damage due to scratches and scratches generated in polymers and coating materials, as well as deriving the scratch visibility index as a final quantified result, thus easily quantifying scratch visibility, which was difficult to quantify conventionally. It has the effect of being physicalized.
또한, 상기 실시예를 통해 확인한 바와 같이 표면 손상의 시인성을 나타내는 정량화된 수치들은 측정자와 측정 환경에 의한 오차가 작고 신뢰성 및 재현성이 높은 결과임을 알 수 있다.In addition, it can be seen that the quantified values indicating the visibility of the surface damage, as confirmed through the above examples, are a result of a small error due to the measurer and the measurement environment, and high reliability and reproducibility.
더불어, 본 발명에 따른 정량화 방법은 고분자 및 코팅 소재 표면의 컬러 유·무, 표면무늬 유·무 및 무늬 형상에 무관하게 적용이 가능하여 광범위하게 사용될 수 있다.In addition, the quantification method according to the present invention can be applied to a wide range of polymers and coating materials, regardless of the color of the surface, the presence or absence of the surface pattern, and the pattern shape.
본 발명의 단순한 변형 내지 변경은 이 분야의 통상적인 지식을 가진 자에 의하여 용이하게 실시될 수 있으며, 이러한 변형이나 변경은 모두 본 발명의 범위에 포함되는 것으로 볼 수 있다.Simple modifications or changes of the present invention can be easily carried out by those skilled in the art, and all such modifications or changes can be regarded as being included in the scope of the present invention.
| Application Number | Priority Date | Filing Date | Title | 
|---|---|---|---|
| KR1020100030993AKR101224476B1 (en) | 2010-04-05 | 2010-04-05 | Quantitative determination of scratch visibility for polymeric and coating materials | 
| US12/845,388US8316689B2 (en) | 2010-04-05 | 2010-07-28 | Quantitative evaluation of scratch-induced damages on polymeric and coating materials | 
| JP2010174254AJP2011220995A (en) | 2010-04-05 | 2010-08-03 | Quantization method for scratch-induced surface damage on polymeric and coating materials | 
| Application Number | Priority Date | Filing Date | Title | 
|---|---|---|---|
| KR1020100030993AKR101224476B1 (en) | 2010-04-05 | 2010-04-05 | Quantitative determination of scratch visibility for polymeric and coating materials | 
| Publication Number | Publication Date | 
|---|---|
| KR20110111756A KR20110111756A (en) | 2011-10-12 | 
| KR101224476B1true KR101224476B1 (en) | 2013-01-21 | 
| Application Number | Title | Priority Date | Filing Date | 
|---|---|---|---|
| KR1020100030993AExpired - Fee RelatedKR101224476B1 (en) | 2010-04-05 | 2010-04-05 | Quantitative determination of scratch visibility for polymeric and coating materials | 
| Country | Link | 
|---|---|
| KR (1) | KR101224476B1 (en) | 
| Publication number | Priority date | Publication date | Assignee | Title | 
|---|---|---|---|---|
| KR20150046633A (en)* | 2013-10-22 | 2015-04-30 | 대우조선해양 주식회사 | Method for measuring local ice resistance of model ship | 
| Publication number | Priority date | Publication date | Assignee | Title | 
|---|---|---|---|---|
| CN110108711A (en)* | 2019-04-20 | 2019-08-09 | 东莞中科蓝海智能视觉科技有限公司 | Visual inspection system for defects of side wall of circular ring | 
| CN110308091B (en)* | 2019-07-11 | 2024-06-25 | 中体彩印务技术有限公司 | Detection method and system for anti-counterfeiting mark | 
| CN118150491A (en)* | 2024-03-11 | 2024-06-07 | 成都市产品质量监督检验研究院 | A quantitative evaluation method for the visibility of scratches on polymer surfaces | 
| Publication number | Priority date | Publication date | Assignee | Title | 
|---|---|---|---|---|
| US7384806B2 (en) | 1993-06-17 | 2008-06-10 | Kla-Tencor Corporation | Method for characterizing defects on semiconductor wafers | 
| US20080285840A1 (en) | 2005-12-26 | 2008-11-20 | Nikon Corporation | Defect inspection apparatus performing defect inspection by image analysis | 
| Publication number | Priority date | Publication date | Assignee | Title | 
|---|---|---|---|---|
| US7384806B2 (en) | 1993-06-17 | 2008-06-10 | Kla-Tencor Corporation | Method for characterizing defects on semiconductor wafers | 
| US20080285840A1 (en) | 2005-12-26 | 2008-11-20 | Nikon Corporation | Defect inspection apparatus performing defect inspection by image analysis | 
| Publication number | Priority date | Publication date | Assignee | Title | 
|---|---|---|---|---|
| KR20150046633A (en)* | 2013-10-22 | 2015-04-30 | 대우조선해양 주식회사 | Method for measuring local ice resistance of model ship | 
| KR102044268B1 (en)* | 2013-10-22 | 2019-11-13 | 대우조선해양 주식회사 | Method for measuring local ice resistance of model ship | 
| Publication number | Publication date | 
|---|---|
| KR20110111756A (en) | 2011-10-12 | 
| Publication | Publication Date | Title | 
|---|---|---|
| JP2011220995A (en) | Quantization method for scratch-induced surface damage on polymeric and coating materials | |
| US5631465A (en) | Method of interpreting thermographic data for non-destructive evaluation | |
| US9903710B2 (en) | Shape inspection apparatus for metallic body and shape inspection method for metallic body | |
| JP7370355B2 (en) | Evaluation method and device for roughening metal surfaces | |
| KR101224476B1 (en) | Quantitative determination of scratch visibility for polymeric and coating materials | |
| JP2018519511A (en) | Gemstone color measurement | |
| Hamdi et al. | Effect of color, gloss, and surface texture perception on scratch and mar visibility in polymers | |
| KR20160008220A (en) | Transparency evaluation device, transparency evaluation method and transparency evaluation program | |
| Browning et al. | Contrast-based evaluation of mar resistance of thermoplastic olefins | |
| JP6632145B2 (en) | Surface roughness determination device and determination method | |
| KR101224477B1 (en) | Quantitative evaluation of scratch-induced damages on polymeric and coating materials | |
| JP2022000642A (en) | Wire wear inspection method | |
| Koshti | Assessing visual and system flaw detectability in nondestructive evaluation | |
| Barr et al. | New technique for the quantification of scratch visibility on polymeric textured surfaces | |
| KR101608843B1 (en) | System and Method for Automatically Detecting a Mura Defect using Advanced Weber's Law | |
| JP5181912B2 (en) | Surface defect inspection method, surface defect inspection apparatus, steel sheet manufacturing method, and steel sheet manufacturing apparatus | |
| CN105556277B (en) | Method and device for determining the wear resistance of a coated flat product | |
| JP2014052339A (en) | Surface irregularity inspection device and surface irregularity inspection method | |
| Weon et al. | Quantitative determination of scratch-induced damage visibility on polymer surfaces | |
| JP6164804B2 (en) | Surface shape measuring apparatus and method | |
| JP4954038B2 (en) | Evaluation method of makeup scraps | |
| JP7411155B2 (en) | Color unevenness inspection device and color unevenness inspection method | |
| JPH06189942A (en) | Skin surface analysis system and skin surface analysis method | |
| CN110006371A (en) | A kind of laser quenching quality testing analysis method based on image recognition | |
| Schmitt et al. | Image processing applied to brick quality control | 
| Date | Code | Title | Description | 
|---|---|---|---|
| A201 | Request for examination | ||
| PA0109 | Patent application | St.27 status event code:A-0-1-A10-A12-nap-PA0109 | |
| PA0201 | Request for examination | St.27 status event code:A-1-2-D10-D11-exm-PA0201 | |
| PG1501 | Laying open of application | St.27 status event code:A-1-1-Q10-Q12-nap-PG1501 | |
| D13-X000 | Search requested | St.27 status event code:A-1-2-D10-D13-srh-X000 | |
| D14-X000 | Search report completed | St.27 status event code:A-1-2-D10-D14-srh-X000 | |
| E902 | Notification of reason for refusal | ||
| PE0902 | Notice of grounds for rejection | St.27 status event code:A-1-2-D10-D21-exm-PE0902 | |
| T11-X000 | Administrative time limit extension requested | St.27 status event code:U-3-3-T10-T11-oth-X000 | |
| T11-X000 | Administrative time limit extension requested | St.27 status event code:U-3-3-T10-T11-oth-X000 | |
| E13-X000 | Pre-grant limitation requested | St.27 status event code:A-2-3-E10-E13-lim-X000 | |
| P11-X000 | Amendment of application requested | St.27 status event code:A-2-2-P10-P11-nap-X000 | |
| P13-X000 | Application amended | St.27 status event code:A-2-2-P10-P13-nap-X000 | |
| E90F | Notification of reason for final refusal | ||
| PE0902 | Notice of grounds for rejection | St.27 status event code:A-1-2-D10-D21-exm-PE0902 | |
| P11-X000 | Amendment of application requested | St.27 status event code:A-2-2-P10-P11-nap-X000 | |
| P13-X000 | Application amended | St.27 status event code:A-2-2-P10-P13-nap-X000 | |
| E701 | Decision to grant or registration of patent right | ||
| PE0701 | Decision of registration | St.27 status event code:A-1-2-D10-D22-exm-PE0701 | |
| GRNT | Written decision to grant | ||
| PR0701 | Registration of establishment | St.27 status event code:A-2-4-F10-F11-exm-PR0701 | |
| PR1002 | Payment of registration fee | St.27 status event code:A-2-2-U10-U11-oth-PR1002 Fee payment year number:1 | |
| PG1601 | Publication of registration | St.27 status event code:A-4-4-Q10-Q13-nap-PG1601 | |
| FPAY | Annual fee payment | Payment date:20151221 Year of fee payment:4 | |
| PR1001 | Payment of annual fee | St.27 status event code:A-4-4-U10-U11-oth-PR1001 Fee payment year number:4 | |
| R17-X000 | Change to representative recorded | St.27 status event code:A-5-5-R10-R17-oth-X000 | |
| P22-X000 | Classification modified | St.27 status event code:A-4-4-P10-P22-nap-X000 | |
| FPAY | Annual fee payment | Payment date:20161228 Year of fee payment:5 | |
| PR1001 | Payment of annual fee | St.27 status event code:A-4-4-U10-U11-oth-PR1001 Fee payment year number:5 | |
| R18-X000 | Changes to party contact information recorded | St.27 status event code:A-5-5-R10-R18-oth-X000 | |
| FPAY | Annual fee payment | Payment date:20171226 Year of fee payment:6 | |
| PR1001 | Payment of annual fee | St.27 status event code:A-4-4-U10-U11-oth-PR1001 Fee payment year number:6 | |
| FPAY | Annual fee payment | Payment date:20190115 Year of fee payment:7 | |
| PR1001 | Payment of annual fee | St.27 status event code:A-4-4-U10-U11-oth-PR1001 Fee payment year number:7 | |
| PC1903 | Unpaid annual fee | St.27 status event code:A-4-4-U10-U13-oth-PC1903 Not in force date:20200116 Payment event data comment text:Termination Category : DEFAULT_OF_REGISTRATION_FEE | |
| PC1903 | Unpaid annual fee | St.27 status event code:N-4-6-H10-H13-oth-PC1903 Ip right cessation event data comment text:Termination Category : DEFAULT_OF_REGISTRATION_FEE Not in force date:20200116 |