




본 발명은 수면의 질을 결정하기 위한 장치 및 방법에 관한 것으로서, 특히 사용자가 수면을 취하는 동안 사용자의 생체정보를 간편하게 측정하여 수면의 질을 결정하는 장치 및 방법에 관한 것이다.
The present invention relates to an apparatus and method for determining the quality of sleep, and more particularly to an apparatus and method for determining the quality of sleep by simply measuring the user's biometric information while the user is sleeping.
최근 삶의 질이 향상되고 노령화가 급속히 진행됨에 따라 무병장수에 대한 열망이 커지면서 건강에 대한 관심이 날로 증가하고 있다. 건강을 유지하고 개선시키는 방법에는 운동, 식이요법 등 다양한 방법이 있지만, 하루 중 약 25%의 시간을 할애하는 수면활동을 잘 관리하는 것이 무엇보다 중요하다. 이러한 이유로 최근에는 수면의 질을 향상시키기 위한 연구가 활발히 진행되고 있다.Recently, as the quality of life is improved and the aging population is rapidly progressing, the interest in health is increasing day by day as the desire for disease-free longevity grows. There are many ways to maintain and improve your health, including exercise and diet, but it's important to take good care of your sleep, which is about 25% of the time. For this reason, researches to improve sleep quality have been actively conducted in recent years.
수면의 질을 향상시키기 위해선, 수면 상태에 대한 분석이 선행되어야 한다. 사용자의 수면 상태를 분석하고 이를 자료화하여 체계적으로 관리함으로써 건강한 신체를 유지할 수 있다. 수면 상태를 분석하기 위해서는 수면 중 호흡수, 심박수, 움직임(뒤척임)수 및 수면시간 등의 다양한 생체정보를 측정하는 것이 기본이 될 것이다.In order to improve the quality of sleep, analysis of sleep conditions must be preceded. You can maintain a healthy body by analyzing the user's sleep status and documenting and systematically managing it. In order to analyze the sleep state, it is basic to measure various bio information such as the number of breaths during sleep, heart rate, movement (backward rotation), and sleep time.
그러나, 호흡수 또는 심박수 등의 생체정보를 측정하기 위해 의료용 장비를 동원하는 것은 번거로울 뿐만 아니라, 생체정보 측정을 위해 신체에 부착해야 하는 등의 불편함이 수반된다. 이 경우, 수면의 질을 향상시키기 위해 생체정보를 측정함으로써 수반되는 번거로움과 불편함으로 인해 오히려 수면의 질을 해치는 결과를 초래할 수도 있다.
However, mobilizing medical equipment to measure biometric information such as respiratory rate or heart rate is cumbersome, and it is accompanied by inconvenience such as attaching to the body for biometric information measurement. In this case, the cumbersome and discomfort associated with measuring the biometric information to improve the quality of sleep may result in the quality of sleep.
상기와 같은 문제점을 해결하기 위한 본 발명의 목적은 사용자가 수면을 취하는 동안 비접착식의 센서를 통해 호흡수, 심박수 및 움직임수 중 적어도 하나에 대한 생체정보를 간편하게 측정하여 수면의 질을 결정하는 수면의 질 결정 장치 및 방법을 제공함에 있다.
An object of the present invention for solving the above problems is to sleep sleep to determine the quality of sleep by simply measuring the biometric information on at least one of the respiratory rate, heart rate and movement through the non-adhesive sensor while the user sleeps To provide a quality determination apparatus and method.
본 발명의 일 실시 예에 따른 수면의 질 결정 장치는 사용자에 의해 가해지는 압력의 크기 및 빈도에 따라 상기 사용자의 심박에 대한 심박신호, 상기 사용자의 호흡에 대한 호흡신호 및 상기 사용자의 움직임에 대한 움직임신호 중 적어도 하나를 포함하는 원신호를 측정하는 센서부; 상기 센서부로부터 측정된 원신호로부터 상기 심박신호, 호흡신호 및 움직임신호를 소정의 주파수에 따라 서로 구분하여 출력하는 필터부; 상기 필터부에 의해 출력된 심박신호로부터 심박수를 측정하고, 상기 필터부에 의해 출력된 호흡신호로부터 호흡수를 측정하며, 상기 필터부에 의해 출력된 움직임신호로부터 움직임수를 측정하고, 상기 측정된 심박수, 호흡수 및 움직임수 중 적어도 하나를 이용하여 미리 결정된 값에 따라 수면의 질을 결정하는 제어부; 및 상기 제어부에 의해 결정된 수면의 질에 대한 결과를 출력하는 출력부를 포함하는 것을 특징으로 한다.
Sleep quality determination apparatus according to an embodiment of the present invention according to the magnitude and frequency of the pressure applied by the user to the heartbeat signal of the user's heart rate, the breathing signal for the user's breathing and the movement of the user A sensor unit measuring an original signal including at least one of the motion signals; A filter unit for dividing the heartbeat signal, the respiration signal, and the movement signal from each other according to a predetermined frequency from the original signal measured by the sensor unit; The heart rate is measured from the heart rate signal output by the filter unit, the respiratory rate is measured from the respiration signal output by the filter unit, the motion number is measured from the motion signal output by the filter unit, and the measured A controller configured to determine sleep quality according to a predetermined value using at least one of a heart rate, a respiratory rate, and a movement number; And an output unit configured to output a result of sleep quality determined by the controller.
본 발명의 일 실시 예에 따른 수면의 질 결정 방법은 센서부로 사용자에 의해 가해지는 압력의 크기 및 빈도에 따라 상기 사용자의 심박에 대한 심박신호, 상기 사용자의 호흡에 대한 호흡신호 및 상기 사용자의 움직임에 대한 움직임신호 중 적어도 하나를 포함하는 원신호를 측정하는 생체정보 측정단계; 필터부로 상기 센서부로부터 측정된 원신호로부터 상기 심박신호, 호흡신호 및 움직임신호를 소정의 주파수에 따라 서로 구분하여 출력하는 필터링단계; 제어부로 상기 필터부에 의해 출력된 심박신호로부터 심박수를 측정하고, 상기 필터부에 의해 출력된 호흡신호로부터 호흡수를 측정하며, 상기 필터부에 의해 출력된 움직임신호로부터 움직임수를 측정하고, 상기 측정된 심박수, 호흡수 및 움직임수 중 적어도 하나를 이용하여 미리 결정된 값에 따라 수면의 질을 결정하는 수면의 질 결정단계; 및 출력부로 상기 제어부에 의해 결정된 수면의 질에 대한 결과를 출력하는 출력단계를 포함하는 것을 특징으로 한다.
Sleep quality determination method according to an embodiment of the present invention according to the magnitude and frequency of the pressure applied by the user to the sensor unit heart rate signal for the user's heart rate, breathing signal for the user's breathing and the user's movement A biometric information measuring step of measuring an original signal including at least one of a motion signal for a; A filtering step of dividing the heartbeat signal, the respiration signal, and the movement signal from the original signal measured by the sensor unit according to a predetermined frequency to a filter unit; Measuring a heart rate from the heart rate signal output by the filter unit with a control unit, measuring the respiratory rate from the respiration signal output by the filter unit, measuring the number of movements from the motion signal output by the filter unit, A sleep quality determining step of determining sleep quality according to a predetermined value using at least one of measured heart rate, respiration rate, and movement number; And an output step of outputting a result of sleep quality determined by the controller to an output unit.
본 발명인 수면의 질 결정 장치 및 방법에 따르면, 사용자가 수면을 취하는 동안 비접착식의 센서를 통해 호흡수, 심박수 및 움직임수 중 적어도 하나에 대한 생체정보를 간편하게 측정하고, 측정된 상기 생체정보에 의해 미리 설정된 값에 따라 수면의 질을 결정하고 출력하여 사용자에게 제공함으로써, 사용자는 상기 수면의 질에 대한 결과를 통해 수면 방법을 체계적으로 관리하여 사용자의 건강을 증진시키는 이점을 갖는다.
According to the inventor's sleep quality determination apparatus and method, the user can easily measure the biometric information on at least one of the respiratory rate, heart rate and the number of movements through the non-adhesive sensor during sleep, and by the measured biometric information By determining and outputting sleep quality according to a predetermined value and providing the same to the user, the user has an advantage of improving the health of the user by systematically managing the sleep method through the result of the sleep quality.
도 1은 본 발명의 일 실시 예에 따른 수면의 질 결정 장치에 대한 블록도,
도 2는 본 발명의 일 실시 예에 따른 수면의 질 결정 장치를 개략적으로 도시한 도면,
도 3은 본 발명의 일 실시 예에 따른 수면의 질 결정 장치에 대한 블록도,
도 4는 호흡신호 및 심박신호를 포함하는 원신호를 도시한 도표,
도 5는 본 발명의 일 실시 예에 따른 수면의 질 결정 방법에 대한 순서도.1 is a block diagram of an apparatus for determining sleep quality according to an embodiment of the present invention;
 2 is a view schematically showing an apparatus for determining sleep quality according to an embodiment of the present invention;
 3 is a block diagram of an apparatus for determining sleep quality according to an embodiment of the present invention;
 4 is a diagram showing an original signal including a respiratory signal and a heartbeat signal;
 5 is a flowchart illustrating a method for determining sleep quality according to an embodiment of the present invention.
하기에서 본 발명을 설명함에 있어 관련된 공지 기능 또는 구성에 대한 구체적인 설명이 본 발명의 요지를 불필요하게 흐릴 수 있다고 판단되는 경우에는 그 상세한 설명을 생략할 것이다. 이하에서는 첨부한 도면을 참고로 하여 본 발명의 실시 예에 대하여 본 발명이 속하는 기술 분야에서 통상의 지식을 가진 자가 용이하게 실시할 수 있도록 상세히 설명한다.
In the following description of the present invention, detailed descriptions of well-known functions or configurations will be omitted if it is determined that the detailed description of the present invention may unnecessarily obscure the subject matter of the present invention. Hereinafter, exemplary embodiments of the present invention will be described in detail with reference to the accompanying drawings so that those skilled in the art may easily implement the present invention.
도 1은 본 발명의 일 실시 예에 따른 수면의 질 결정 장치에 대한 블록도이다.1 is a block diagram of an apparatus for determining sleep quality according to an embodiment of the present invention.
도 1에 도시된 바와 같이, 본 발명의 일 실시 예에 따른 수면의 질 결정 장치는 센서부(11), 필터부(13), 출력부(15) 및 제어부(17)를 포함한다.As shown in FIG. 1, the apparatus for determining sleep quality according to an embodiment of the present invention includes a
상기 센서부(11)는 사용자에 의해 가해지는 압력의 크기 및 빈도에 따라 상기 사용자의 심박에 대한 심박신호, 상기 사용자의 호흡에 대한 호흡신호 및 상기 사용자의 움직임에 대한 움직임신호 중 적어도 하나를 포함하는 원신호를 측정한다. 본 발명의 일 실시 예에 따르면, 상기 센서부(11)는 가해진 압력에 따라 전압의 크기를 다르게 하여 출력하는 압전 소자(피에조 소자)로 이루어질 수 있다. 상기 센서부(11)는 상기 심박수, 호흡수 및 움직임수를 측정하여, 이를 아날로그 신호로 변환한다. 상기 아날로그 신호는 아날로그-디지털 변환기(Analogue Digital Convertor, 미도시)에 의해 디지털 신호로 변환된다.
The
상기 필터부(13)는 상기 센서부(11)로부터 측정된 원신호로부터 상기 심박신호, 호흡신호 및 움직임신호를 소정의 주파수에 따라 서로 구분하여 출력한다. 원신호에 포함된 심박신호, 호흡신호 및 움직임신호는 하기에 설명하겠지만, 각각 서로 다른 주파수 대역을 갖기 때문에 각각의 주파수 대역만을 통과시키는 필터를 통해서 각각의 신호를 검출하여 출력할 수 있다. 예를 들어, 상기 원신호에 상기 심박신호 및 호흡신호가 포함되어 있고 상기 심박신호를 검출한다면, 상기 심박신호는 상기 호흡신호에 비하여 높은 주파수 성분으로 이루어져있기 때문에 심박신호만을 통과시키는 고역통과필터를 사용하여 상기 심박신호만을 상기 원신호로부터 검출할 수 있다.
The
상기 제어부(17)는 상기 필터부(13)에 의해 출력된 심박신호로부터 심박수를 측정하고, 상기 필터부(13)에 의해 출력된 호흡신호로부터 호흡수를 측정하며, 상기 필터부(13)에 의해 출력된 움직임신호로부터 움직임수를 측정하고, 상기 측정된 심박수, 호흡수 및 움직임수 중 적어도 하나를 이용하여 미리 결정된 값에 따라 수면의 질을 결정한다. 상기 심박수, 호흡수 및 움직임수 중 적어도 하나를 이용하여 수면의 질을 결정하는 내용은 하기에서 자세히 설명하기로 한다.
The
상기 출력부(15)는 상기 제어부(17)에 의해 결정된 수면의 질에 대한 결과를 출력한다. 상기 출력부(15)는 상기 결정된 수면의 질을 음성, 영상 또는 촉감으로 사용자에게 알려줄 수 있다. 따라서, 상기 출력부(15)는 스피커, 디스플레이어 또는 촉감을 느낄 수 있도록 하는 촉감장치 중 적어도 하나로 이루어질 수 있으며, 복수의 조합으로도 이루어질 수 있다. 상기 출력부(15)가 디스플레이어로 이루어진 경우, 상기 출력부(15)는 LED(Light Emitting Diode), LCD(Liquid Crystal Display) 및 유기 EL(Luminescence Display) 등 다양한 방식으로 이루어질 수 있다.The
상기 제어부(17)에서 결정된 수면의 질은 상기 장치에 더 포함될 수 있는 출력부(15)를 통해 사용자가 직접적으로 인식할 수 있도록 출력될 수 있지만, PC 등의 외부 장치로 전송되어 출력될 수도 있다.
The sleep quality determined by the
도 2는 본 발명의 일 실시 예에 따른 수면의 질 결정 장치를 개략적으로 도시한 도면이다.2 is a view schematically showing an apparatus for determining sleep quality according to an embodiment of the present invention.
도 2에 도시된 바와 같이, 본 발명에 따른 수면의 질 결정 장치는 일반적인 침대 형태로 이루어질 수 있다. 또한, 본 발명에 따른 수면의 질 결정 장치는 일반적인 침대 이외에도 의자, 소파, 전기장판과 같이 인체를 지지하도록 하여 사용자로 하여금 수면을 취할 수 있도록 하는 모든 장치를 포함한다.As shown in Figure 2, the sleep quality determination apparatus according to the present invention may be made in the form of a general bed. In addition, the sleep quality determining apparatus according to the present invention includes all devices to support the human body such as chairs, sofas, electric blankets in addition to the general bed to allow the user to sleep.
상기 센서부(11)는 본 발명에 따른 수면의 질 결정 장치에서 인체가 상기 장치에 접촉하는 부분에 부착될 수 있다. 상기 센서부(11)는 사용자가 어떠한 불편함을 느끼지 않고 편안하게 수면을 취할 수 있도록 인체에 비접착식으로 상기 장치에 부착된다. 상기 장치가 침대로 이루어진 경우, 인체를 지지하고 접촉되는 침대의 상면에 배치될 수 있다. 또한, 상기 장치가 다른 형태로 이루어진 경우에도, 상기 센서부(11)는 인체에 접촉하여 압력을 감지할 수 있는 면에 배치될 수 있다.The
도 2에서 상기 센서부(11)는 복수의 열로 실질적으로 평행하게 배치되어있지만, 이외에도 다양한 형태로 배치될 수 있다. 즉, 상기 센서부(11)는 상기 수면의 질 결정 장치의 일면에 균일하게 또는 불균일하게 배치될 수 있다. 상기 센서부(11)는 사용자의 수면 중 사용자에 호흡, 심박 및 움직임으로 인해 압력을 감지할 수 있는 부분이라면 상기 수면의 질 결정 장치의 일면이 아닌 다수의 면상에도 배치될 수 있다.
In FIG. 2, the
도 3은 본 발명의 일 실시 예에 따른 수면의 질 결정 장치에 대한 블록도이다.3 is a block diagram of an apparatus for determining sleep quality according to an embodiment of the present invention.
도 3에 도시된 바와 같이, 본 발명의 일 실시 예에 따른 수면의 질 결정 장치는 저장부(19)를 더 포함할 수 있다. 상기 저장부(19)를 더 포함하여, 사용자는 상기 제어부(17)로부터 결정된 수면의 질에 대한 데이터를 일단위, 주단위 또는 월단위로 저장하여 관리함으로써 보다 장기간에 걸쳐서 건강관리를 할 수 있는 이점이 있다. 또한, 상기 수면의 질에 대한 데이터는 상기 제어부(17)로부터 PC 등의 외부 장치로 전송되어 역시 일단위, 주단위 또는 월단위로 체계적으로 저장되고 관리될 수 있다. 나아가, 외부 장치로 전송된 상기 수면의 질에 대한 데이터는 건강관리서버를 통해, 사용자는 의사와 같은 건강에 대한 전문가의 상담을 받을 수 있도록 할 수도 있다.
As shown in FIG. 3, the apparatus for determining sleep quality according to an embodiment of the present invention may further include a storage unit 19. In addition to the storage unit 19, the user can manage the health for a longer time by storing and managing the data on the sleep quality determined from the
하기에서는 본 발명에 따른 수면의 질 결정 장치의 동작에 대해서 상세히 설명하기로 한다.
Hereinafter, the operation of the sleep quality determining apparatus according to the present invention will be described in detail.
도 4는 호흡신호 및 심박신호를 포함하는 원신호를 도시한 도표이다.4 is a diagram illustrating an original signal including a respiration signal and a heartbeat signal.
사용자가 본 발명에 따른 장치에 눕거나 앉는 등 상기 장치에 지지하여 수면을 취하게 되면, 상기 사용자의 호흡 및 심박으로 인해 상기 센서는 상기 호흡신호 및 심박신호를 포함하는 원신호를 출력하게 된다. 도 4에 도시된 바와 같이 상기 원신호(41)는 고주파 성분인 심박신호(42) 및 저주파 성분인 호흡신호(43)로 이루어진다. 상기 사용자의 심박수 및 호흡수를 측정하기 위해서는 상기 원신호(41)로부터 상기 심박신호(42) 및 호흡신호(43)를 분리하여 검출할 필요가 있다. 상기 심박신호(42) 및 호흡신호(43)의 분리에는 대역통과필터가 사용될 수 있다. 즉 상기 원신호(41)로부터 상기 심박신호(42)를 검출하기 위해서는 상기 심박신호(42) 주파수 대역에 해당하는 고주파 대역통과필터를 사용하여 상기 원신호(41)를 필터링한다. 또한 상기 원신호(41)로부터 상기 호흡신호(43)를 검출하기 위해서는 상기 호흡신호(43) 주파수 대역에 해당하는 저주파 대역통과필터를 사용하여 상기 원신호(41)를 필터링한다. 이렇게 상기 원신호(41)로부터 분리 검출된 상기 심박신호(42)로부터 심박수를 측정하고, 상기 호흡신호(43)로부터 호흡수를 측정한다.
When the user sleeps in support of the device, such as lying or sitting on the device according to the present invention, the sensor outputs an original signal including the breathing signal and the heartbeat signal due to the breathing and heartbeat of the user. As shown in FIG. 4, the
사용자가 눕거나 앉는 등 상기 수면의 질 결정 장치에 지지하여 상기 센서로부터 호흡신호, 심박신호 및 움직임신호를 포함하는 원신호가 출력되는 시점부터 수면이 완료되어 상기 장치로부터 이탈하는 시점(기상시각)까지를 전체수면시간으로 정의한다. 상기 전체수면시간은 다시 수면 중(수면에 들기 시작하는 시점부터 수면이 완료되는 시점까지)인 순수수면시간과, 상기 장치에 지지하여 수면에 들기까지의 시간인 수면잠복시간으로 이루어진다.When the user lie down or sit down and supports the sleep quality determining device, and when the original signal including breathing signal, heart rate signal and movement signal is output from the sensor, the time of sleep is completed and the time is released from the device (weather time) Is defined as the total sleep time. The total sleep time is made up of the pure sleep time during sleep (from the start of sleep to the time when the sleep is completed) and the sleep latency time which is the time from entering the sleep supported by the device.
사용자는 상기 장치에 신체를 지지한 후 순수수면에 이르기까지 수회의 움직임(뒤척임)을 계속하는데, 상기 수면잠복시간이란 사용자가 침대에 누운 시각부터 상기 움직임이 소정의 시간 동안(대략 10분) 발생하지 않는 시점까지를 말한다. 상기 순수수면시간은 상기 수면잠복시간이 종료되는 시점부터 기상시각까지로 정의된다. 사용자가 기상하는 시점(수면이 완료되는 시점)은 사용자의 심한 움직임 이후 소정의 시간 동안 상기 원신호가 소정의 진폭 이하의 값으로 출력되는 시점으로 결정한다.The user supports the body to the device and continues several movements (backwards) until pure sleep, wherein the sleep latency time occurs from the time the user lies in bed for a predetermined time (about 10 minutes). Say until you don't. The pure sleep time is defined as the time from the end of the sleep latency time to the weather time. The time at which the user wakes up (the time when sleep is completed) is determined as the time at which the original signal is output at a value equal to or less than a predetermined amplitude for a predetermined time after the heavy movement of the user.
한편, 수면 중 사용자의 움직임 발생 여부는 수면을 취하는 동안 상기 센서부(11)로부터 측정된 원신호의 진폭이 소정의 값 이상이 되는지 여부로 결정한다. 움직임이 발생하면 호흡, 심박이 아닌 값이 전달되는데, 이 경우 상기 원신호의 진폭은 상기 호흡신호 및 심박신호만을 포함하는 원신호의 진폭에 비하여 상대적으로 크게 측정된다. 일반적으로 인간은 수면 중 20 내지 60회 정도 신체의 자세를 바꾼다. 따라서 사용자의 움직임은 수면의 질을 결정하는 중요한 요소가 되며, 본 발명에서는 다양한 실시 예들을 통해 상기 움직임수를 이용하여 수면의 질을 결정한다.On the other hand, whether or not the user's movement during sleep is determined by whether the amplitude of the original signal measured from the
수면시간과 기상시간이 일정하지 않으면, 사용자는 무의식적으로 불안감을 느끼게 되고, 사용자의 수면의 질은 상당히 저하된다. 따라서 수면시간과 기상시간을 결정하여 사용자에게 제공하면 사용자는 이를 생활패턴에 반영함으로써 보다 쾌적한 수면을 취할 수 있기 때문에 사용자의 수면의 질을 결정하는 중요한 요소가 된다. 본 발명의 일 실시 예에서는, 전체수면시간에 대한 순수수면시간의 비율을 수면의 질 결정요소(S1)로 정한다. 이를 수학식으로 표현하면 다음의 수학식 1과 같다.If the sleep time and wake up time are not constant, the user unconsciously feels anxious, and the quality of sleep of the user is considerably degraded. Therefore, if the sleep time and the wake-up time is determined and provided to the user, the user can take a more comfortable sleep by reflecting it in the life pattern, which is an important factor in determining the sleep quality of the user. In one embodiment of the present invention, the ratio of pure sleep time to total sleep time is determined as the sleep quality determining element (S1). This is expressed as Equation 1 below.
여기에서, Sp는 상기 순수수면시간을 나타내고, Stt는 상기 전체수면시간을 나타낸다.
Here, Sp represents the pure sleep time, and Stt represents the total sleep time.
상기 순수수면시간은 다시 얕은수면(Rapid Eye Movement, REM)시간과 깊은수면(Non-REM)시간으로 이루어진다. 얕은수면이란 외관적으로 주위의 환경에 대하여 반응하지 않으면서, 감각이나 반사기능이 저하되지만, 각성할 수도 있고 특유의 수면 자세를 취하는 수면 단계를 말한다.The pure sleep time is composed of a rapid eye movement (REM) time and a deep sleep (Non-REM) time. Shallow sleep refers to the sleep stage, which does not seem to respond to the surrounding environment, but decreases sensation and reflexes, but can wake up and take a unique sleep posture.
얕은수면은 하룻밤에 약 4회 내지 6회로 약 90분 간격으로 나타나고, 각각 10분 내지 1시간 동안 계속된다. 깊은수면이란 상기 순수수면 중 얕은수면 이외의 수면상태를 말한다. 평균적으로 깊은수면은 순수수면의 20%를 차지하고, 얕은수면에서 깊은수면으로 전이되는 시간이 순수수면의 50%를 차지한다. 상기 50%의 전이시간은 명확하게 깊은수면 또는 얕은수면으로 구분하기가 용이하지 않기 때문에, 적절한 시간 간격으로 나누어서(예를 들어 1:1의 시간으로) 깊은수면 또는 얕은수면으로 구분한다.Shallow sleep appears at about 90-minute intervals, about 4 to 6 times overnight, and lasts 10 minutes to 1 hour each. Deep sleep means a sleep state other than the shallow sleep of the pure sleep. On average, deep sleep accounts for 20% of pure water, and the transition from shallow to deep sleep accounts for 50% of pure water. Since the 50% transition time is not easily distinguished into deep or shallow sleep, it is divided into deep or shallow sleep by dividing at an appropriate time interval (for example, by 1: 1 time).
상기 깊은수면시간과 얕은수면시간을 비교하면, 먼저 근육의 긴장도 면에서 얕은수면 상태에서 뚜렷하게 저하되지만, 깊은수면 상태에서 약간의 저하만 있거나 일시적인 뚜렷한 저하만이 발생한다. 심박수 면에서, 얕은수면 상태에서 심박수는 규칙적이지 못하고 흐트러지면서 증가하지만, 깊은수면 상태에서 감소하는 경향을 보인다. 호흡수 면에서, 얕은수면 상태에서 호흡수는 규칙적이지 못하고 흐트러지면서 증가하지만, 깊은수면 상태에서 감소하는 경향을 보인다. 혈압 면에서, 얕은수면 상태에서 규칙적이지 못하고 흐트러지지만, 깊은수면 상태에서 저하된다. 또한 얕은수면 상태에서 발한 증세가 나타나지 않지만, 깊은수면 상태에서 발한 증세를 보이기도 한다.Comparing the deep sleep time and the shallow sleep time, first, the muscle tension is markedly lowered in the shallow sleep state, but in the deep sleep state, only a slight decrease or only a temporary sharp decrease occurs. In terms of heart rate, the heart rate in the shallow state of sleep increases in an irregular and disorganized manner, but decreases in the deep state of sleep. In terms of respiratory rate, in shallow sleep conditions, the respiratory rate increases in an unregular and disturbed fashion, but decreases in deep sleep conditions. In terms of blood pressure, it is not regular and disturbed in the shallow state of sleep, but decreases in the deep state of sleep. In addition, sweating does not appear in shallow sleep, but may also occur in deep sleep.
본 발명의 실시 예들에서는, 상기 깊은수면시간과 얕은수면시간을 구분하기 위해 상기 호흡수 및 심박수를 이용하지만, 이에 한정되지 않는다. 본 발명의 일 실시 예에서는 깊은수면 상태에서보다 호흡이 흐트러지고(호흡신호의 진폭 변화가 심함), 호흡수가 20 내지 30%가 증가하는 경우, 얕은수면 상태가 지속되는 얕은수면시간으로 결정한다. 또한, 본 발명의 다른 실시 예에서는 깊은수면 상태에서보다 심박이 흐트러지고(심박신호의 진폭 변화가 심함), 심박수가 20 내지 30%가 증가하는 경우, 얕은수면 상태가 지속되는 얕은수면시간으로 결정한다.In the embodiments of the present invention, the respiratory rate and the heart rate are used to distinguish between the deep sleep time and the shallow sleep time, but are not limited thereto. In an embodiment of the present invention, when the respiratory disorder is disturbed (the amplitude change of the respiration signal is severe) than in the deep sleep state, and the respiratory rate increases by 20 to 30%, it is determined as the shallow sleep time during which the shallow sleep state continues. In another embodiment of the present invention, when the heart rate is disturbed (a change in the amplitude of the heartbeat signal is severe) than in the deep sleep state, and the heart rate is increased by 20 to 30%, the sleep time is determined as the shallow sleep time. do.
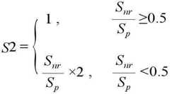
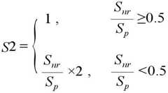
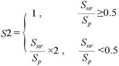
본 발명의 일 실시 예에 따르면, 상기 호흡수 또는 심박수를 이용하여 사용자가 깊은 수면을 취하는 시간인 깊은수면시간을 결정하고, 상기 순수수면시간에 대한 상기 결정된 깊은수면시간의 비율을 수면의 질 결정요소(S2)로 정한다. 이를 수학식으로 표현하면 다음의 수학식 2와 같다.According to an embodiment of the present invention, using the breathing rate or heart rate to determine the deep sleep time, which is the time for the user to take a deep sleep, and determine the sleep quality of the ratio of the determined deep sleep time to the pure sleep time The element S2 is determined. This may be expressed as Equation 2 below.
여기에서, Snr은 상기 깊은수면시간(Non-REM)을 나타내고, Sp는 상기 순수수면시간을 나타낸다. 상기 수학식 2는 깊은수면시간이 순수수면시간에서 차지하는 비율이 50% 이하로 낮아지면 수면의 질이 떨어진다는 사실에 근거한다. 즉, 본 수면의 질 결정요소(S2)는 상기 비율이 50% 이상이면 일괄적으로 1의 값을 갖고, 상기 비율이 50% 미만일 때는 상기 깊은수면시간과 순수수면시간의 비율에 따라 결정된다.
Here, Snr represents the deep sleep time (Non-REM), and Sp represents the pure sleep time. Equation 2 is based on the fact that the quality of sleep deteriorates when the ratio of deep sleep time to pure sleep time is lowered to 50% or less. That is, this sleep quality determining element (S2) has a value of 1 collectively when the ratio is 50% or more, and when the ratio is less than 50%, it is determined according to the ratio of deep sleep time and pure sleep time.
무호흡이란 수면 중 기도가 완전히 막혀서 10초 이상 호흡이 정지되는 증상이 시간당 5번 이상이거나 7시간 동안 30회 이상 있는 경우를 말한다. 코골이는 호흡이 완전히 정지되지는 않고 좁아진 기도를 통해 공기의 흐름이 빨라져서 주변의 유동적인 부위가 떨리면서 소리가 나서 발생되는 증상으로, 코골이 또한 무호흡의 일종이다. 무호흡은 상기 센서부(11)에 의해 측정된 호흡수를 이용하여 구할 수 있다.Apnea is when the airway is completely blocked during sleep and the breathing stops for more than 10 seconds or more than 5 times per hour or more than 30 times for 7 hours. Snoring is a symptom that is caused by the sound of the surrounding fluid area shaking as the air flows through the narrowed airways, not completely stopping breathing. Snoring is also a type of apnea. Apnea can be obtained using the respiratory rate measured by the
이상호흡이란 비정상적인 호흡수를 보일 때를 지칭한다. 이상호흡에는 빈호흡, 서호흡, 과도호흡 및 호흡곤란 상태가 있다. 호흡수가 분당 24회 이상일 때를 빈호흡 상태라 하고, 이러한 증상은 흥분이나 공포 등과 같은 정서적 상태에서 발생한다. 호흡수가 분당 30 내지 50회 이상일 때를 과도호흡 상태라 하고, 이러한 증상은 호흡기 질환(예를 들어, 기관지나 천식), 빈혈, 쇠약, 출혈, 운동 또는 체온 증가시 발생한다. 호흡수가 분당 10회 이하일 때를 서호흡 상태라 하고, 이러한 증상은 뇌 내압의 상승과 진정제나 마약을 다량 투여했을 경우 발생한다. 기타 기도성 폐질환, 신진 대사성, 뇌성 등의 원인으로 호흡수가 증가하는 경우를 호흡곤란 상태라 한다.Abnormal breathing refers to abnormal breathing rate. Abnormal breathing includes poor breathing, western breathing, hyperventilation and dyspnea. When the respiratory rate is more than 24 times per minute, it is called an empty breathing state. This symptom occurs in an emotional state such as excitement or fear. Hyperventilation is when the respiratory rate is more than 30 to 50 times per minute, and this symptom occurs with respiratory disease (eg bronchial or asthma), anemia, weakness, bleeding, exercise or increased body temperature. When the respiratory rate is less than 10 times per minute is called a West Respiratory state, this symptom is caused by an increase in intracranial pressure and high doses of sedatives or drugs. Increased respiratory rate due to other airway lung disease, metabolic, cerebral encephalopathy is called dyspnea.
상기 제어부(17)는 상기 호흡수를 이용하여 상기 소정의 값에 따라 무호흡 및 이상호흡 여부를 결정한다. 본 명세서에서는 상기 무호흡 및 이상호흡이 지속되는 시간을 각성시간으로 정의한다. 즉, 상기 각성시간이란 소정의 호흡수 범위 이외의 호흡수를 보이는 무호흡 및 이상호흡의 합산 시간이다. 또한, 무호흡 및 이상호흡으로 인해 각성이 유발되므로, 각성의 횟수는 무호흡 및 이상호흡수로부터 결정될 수 있다. 또한, 각성은 무호흡 및 이상호흡으로 인해 유발되는 움직임에 의해 결정될 수도 있어서, 각성의 횟수는 상기 움직임수를 이용하여 결정할 수도 있다. 본 발명의 일 실시 예에서는 상기 각성시간을 분단위로 적용하고, 상기 각성횟수 및 각성시간을 합한 값을 상기 순수수면시간에서 뺀 시간이 상기 순수수면시간에 대해서 차지하는 비율을 수면의 질 결정요소(S3)로 정한다. 즉, 상기 각성시간(Sat), 각성횟수(Saf), 순수수면시간(Sp) 및 수면의 질 결정요소(S3)와의 관계를 수학식으로 표현하면 다음의 수학식 3과 같다.The
한편, 수면의 질은 수면을 취한 후 기상을 하기 바로 전(수면 완료 전) 어떠한 수면 상태에 있었는지에 따라서도 크게 좌우된다. 일반적으로 얕은수면 상태에서 기상을 하는 경우가 깊은수면 상태에서 기상을 하는 경우보다 수면의 질을 높일 수 있다. 따라서 본 발명의 일 실시 예에서는 기상시 얕은 수면 상태에 있었는지를 상기 호흡수, 심박수 또는 호흡수와 심박수의 조합을 이용하여 결정한 후, 기상 시 얕은수면 상태인 경우 소정의 값을 부과함으로써 수면의 질 결정요소(S4)로 정한다. 예를 들어, 상기 소정의 값은 얕은수면 상태로 기상하는 경우 1로 설정하고, 얕은수면 이외의 상태로 기상하는 경우 0으로 설정하여 수면의 질 결정요소로 삼는다. 이를 수학식으로 표현하면 다음의 수학식 4와 같다.On the other hand, the quality of sleep greatly depends on what kind of sleep you were in right after waking up (just before sleep). Generally, waking up in a shallow state of sleep can improve sleep quality than waking up in a deep state of sleep. Therefore, according to an embodiment of the present invention, after determining whether a person is in a shallow sleep state during waking using the respiratory rate, heart rate, or a combination of the respiratory rate and heart rate, and imposing a predetermined value in the case of a shallow sleep state during waking, It is determined by the quality determining element (S4). For example, the predetermined value is set to 1 when waking up in a shallow sleep state, and set to 0 when waking up in a non-shallow sleep state as a quality determining factor of sleep. This may be expressed as Equation 4 below.
또한, 본 발명의 일 실시 예에 따르면 상기에서 설명한 수면의 질 결정요소들을 조합하여 수면의 질을 점수로 산정할 수도 있다. 즉, 상기 제어부(17)는 전체수면시간에 대한 상기 순수수면시간의 비율로 제1요소(S1)를 구하고, 이 경우 상기 전체수면시간은 사용자가 상기 장치에 눕거나 기대어 상기 센서부(11)로부터 상기 원신호가 출력되는 시점부터 수면에 드는 시점까지의 시간인 수면잠복시간과 상기 순수수면시간의 합으로 이루어지고, 상기 순수수면시간에 대한 상기 깊은수면시간의 비율로 제2요소(S2)를 구하며, 상기 호흡수를 이용하여 소정의 호흡수 범위 이외의 호흡수를 보이는 무호흡 및 이상호흡의 합산 시간인 각성시간을 결정하고, 상기 무호흡 및 이상호흡에 의해 유발되는 각성횟수를 결정하며, 상기 순수수면시간에 대해 상기 순수수면시간에서 상기 각성시간 및 각성횟수를 뺀 값이 차지하는 비율로 제3요소(S3)를 구하고, 수면 완료 시 얕은수면 상태인지를 결정하고, 얕은수면 상태인 경우 1의 값을 갖는 제4요소(S4)를 구한다. 이후, 상기 제어부(17)는 상기 구해진 제1요소(S1), 제2요소(S2), 제3요소(S3) 및 제4요소(S4)에 대해 각각 소정의 가중치를 설정한 후 합산하여 수면의 질을 결정한다.Further, according to an embodiment of the present invention, the quality of sleep may be calculated as a score by combining the sleep quality determining factors described above. That is, the
본 발명의 일 실시 예에 따르면, 상기 소정의 가중치는 상기 제1요소(S1), 제2요소(S2), 제3요소(S3) 및 제4요소(S4)에 대해 각각 20, 30, 20 및 30으로 하여, 다음의 수학식 5와 같이 수면의 질(P)을 결정한다.According to an embodiment of the present invention, the predetermined weight is 20, 30, 20 for the first element S1, the second element S2, the third element S3, and the fourth element S4, respectively. And 30, the sleep quality P is determined as shown in Equation 5 below.
도 5는 본 발명의 일 실시 예에 따른 수면의 질 결정 방법에 대한 순서도이다.5 is a flowchart illustrating a method of determining sleep quality according to an embodiment of the present invention.
도 5에 도시된 바와 같이, 생체정보 측정단계(S51)에서는 센서부로 사용자에 의해 가해지는 압력의 크기 및 빈도에 따라 상기 사용자의 심박에 대한 심박신호, 상기 사용자의 호흡에 대한 호흡신호 및 상기 사용자의 움직임에 대한 움직임신호 중 적어도 하나를 포함하는 원신호를 측정한다. 본 발명의 일 실시 예에 따르면 상기 센서부는 압전 소자(피에조 센서)로 이루어질 수 있다.As shown in FIG. 5, in the biometric information measuring step S51, a heartbeat signal for the user's heartbeat, a breathing signal for the user's breath, and the user according to the magnitude and frequency of the pressure applied by the user to the sensor unit. Measure the original signal including at least one of the motion signal for the movement of. According to an embodiment of the present invention, the sensor unit may be formed of a piezoelectric element (piezo sensor).
필터링 단계(S52)에서는 필터부로 상기 센서부로부터 측정된 원신호로부터 상기 심박신호, 호흡신호 및 움직임신호를 소정의 주파수에 따라 서로 구분하여 출력한다.In the filtering step (S52), the heartbeat signal, the respiration signal, and the movement signal are separated from each other according to a predetermined frequency and output from the original signal measured by the sensor unit.
수면의 질 결정단계(S53)에서는 제어부로 상기 필터부에 의해 출력된 심박신호로부터 심박수를 측정하고, 상기 필터부에 의해 출력된 호흡신호로부터 호흡수를 측정하며, 상기 필터부에 의해 출력된 움직임신호로부터 움직임수를 측정하고, 상기 측정된 심박수, 호흡수 및 움직임수 중 적어도 하나를 이용하여 미리 결정된 값에 따라 수면의 질을 결정한다.In the sleep quality determination step (S53), the controller measures the heart rate from the heart rate signal output by the filter unit, measures the respiratory rate from the breath signal output by the filter unit, and outputs the movement by the filter unit. The number of movements is measured from the signal, and sleep quality is determined according to a predetermined value using at least one of the measured heart rate, respiration rate, and movement number.
출력단계(S54)에서는 출력부로 상기 제어부에 의해 결정된 수면의 질에 대한 결과를 출력한다.
In the output step (S54) outputs the result of the sleep quality determined by the control unit to the output unit.
본 발명의 일 실시 예는 상기 상기 수면의 질 결정단계(S53)에서 상기 제어부는 상기 측정된 심박수 또는 호흡수로부터 미리 결정된 값에 따라 상기 사용자가 깊은 수면을 취하는 시간인 깊은수면시간을 결정하고, 상기 측정된 움직임수로부터 미리 결정된 값에 따라 상기 사용자가 수면에 든 시간인 순수수면시간을 결정하며, 상기 심박수, 호흡수, 움직임수, 깊은수면시간 및 순수수면시간 중 적어도 하나로부터 미리 정해진 값에 따라 수면의 질을 결정한다.
According to an embodiment of the present invention, in the step of determining the quality of sleep (S53), the controller determines a deep sleep time which is a time at which the user takes a deep sleep according to a predetermined value from the measured heart rate or respiratory rate, The pure sleep time, which is the time the user sleeps, is determined according to a predetermined value from the measured number of movements, and a predetermined value is determined from at least one of the heart rate, the respiratory rate, the movement number, the deep sleep time, and the pure sleep time. Determine the quality of your sleep.
또한, 본 발명의 일 실시 예는 도 5에 따른 실시 예에서, 상기 수면의 질 결정단계(S53)에서 전체수면시간은 사용자가 상기 장치에 눕거나 기대어 상기 센서부로부터 상기 원신호가 출력되는 시점부터 수면에 드는 시점까지의 시간인 수면잠복시간과 상기 순수수면시간의 합으로 이루어지고, 상기 제어부는 상기 전체수면시간(Stt)에 대한 상기 순수수면시간(Sp)의 비율로 표현되는 상기 수학식 1에 따라 수면의 질을 결정하는 요소(S1)로 삼는다.
In addition, according to an embodiment of the present invention, in the embodiment according to FIG. 5, in the sleep quality determination step (S53), the total sleep time is a time point at which the original signal is output from the sensor unit by the user lying or leaning on the device. A sleep latency time, which is a time from sleep to a point of time, and the pure sleep time, wherein the controller is expressed by the ratio of the pure sleep time Sp to the total sleep time Stt; According to the 1 to determine the quality of sleep (S1).
나아가, 본 발명의 일 실시 예는 도 5에 따른 실시 예에서, 상기 수면의 질 결정단계(S53)에서 상기 제어부는 상기 순수수면시간(Sp)에 대한 상기 깊은수면시간(Snr)의 비율로 표현되는 상기 수학식 2에 따라 수면의 질을 결정하는 요소(S2)로 삼는다.
Further, according to an embodiment of the present invention, in the sleep quality determining step (S53), the control unit is expressed as a ratio of the deep sleep time (Snr) to the pure sleep time (Sp). According to the equation (2) to be used as an element (S2) for determining the quality of sleep.
또한, 본 발명의 일 실시 예는 도 5에 따른 실시 예에서, 상기 수면의 질 결정단계(S53)에서 상기 제어부는 상기 호흡수를 이용하여 소정의 호흡수 범위 이외의 호흡수를 보이는 무호흡 및 이상호흡의 합산 시간인 각성시간을 결정하고, 상기 무호흡 및 이상호흡에 의해 유발되는 각성횟수를 결정하며, 상기 순수수면시간에 대해 상기 순수수면시간에서 상기 각성시간 및 각성횟수를 뺀 값이 차지하는 비율로 표현되는 상기 수학식 3에 따라 수면의 질을 결정하는 요소(S3)로 삼는다.
In addition, in one embodiment of the present invention, the control unit in the sleep quality determination step (S53) of the sleep apnea and abnormality showing a respiratory rate other than a predetermined respiratory range using the respiratory rate Awakening time, which is the sum of breathing time, is determined, and the number of awakenings caused by the apnea and abnormal breathing is determined, and the pure sleep time is the ratio of the pure sleep time minus the awakening time and the awakening frequency. According to Equation 3 to be expressed as an element (S3) for determining the quality of sleep.
또한, 본 발명의 일 실시 예는 도 5에 따른 실시 예에서, 상기 수면의 질 결정단계(S53)에서 상기 제어부는 수면 완료 시 얕은수면 상태인지를 결정하고, 얕은수면 상태인 경우 소정의 값으로 수면의 질을 결정하는 요소로 삼는다.
Further, according to an embodiment of the present invention, in the embodiment according to FIG. 5, in the sleep quality determination step (S53), the controller determines whether the sleep state is a shallow sleep state, and when the shallow sleep state is a predetermined value. Use it as a determinant of sleep quality.
본 발명의 일 실시 예는 상기 실시 예들에서 수면의 질을 결정하는 요소를 조합하여 수면의 질을 결정한다. 즉, 상기 수면의 질 결정단계(S53)에서, 상기 전체수면시간에 대한 상기 순수수면시간의 비율로 제1요소(S1)를 구하고, 이 경우 상기 전체수면시간은 사용자가 상기 장치에 눕거나 기대어 상기 센서부로부터 상기 원신호가 출력되는 시점부터 수면에 드는 시점까지의 시간인 수면잠복시간과 상기 순수수면시간의 합으로 이루어지고, 상기 순수수면시간에 대한 상기 깊은수면시간의 비율로 제2요소(S2)를 구하며, 상기 호흡수를 이용하여 소정의 호흡수 범위 이외의 호흡수를 보이는 무호흡 및 이상호흡의 합산 시간인 각성시간을 결정하고, 상기 무호흡 및 이상호흡에 의해 유발되는 각성횟수를 결정하며, 상기 순수수면시간에 대해 상기 순수수면시간에서 상기 각성시간 및 각성횟수를 뺀 값이 차지하는 비율로 제3요소(S3)를 구하고, 수면 완료 시 얕은수면 상태인지를 결정하고, 다음의 수학식에 따라 제4요소(S4) 구하며, 상기 구해진 제1요소(S1), 제2요소(S2), 제3요소(S3) 및 제4요소(S4)에 대해 각각 소정의 가중치를 설정한 후 합산하여 수면의 질을 결정한다.One embodiment of the present invention determines the quality of sleep by combining the factors that determine the quality of sleep in the above embodiments. That is, in the sleep quality determination step (S53), the first element (S1) is obtained as the ratio of the pure sleep time to the total sleep time, in which case the total sleep time is lying or leaning on the device by the user It is made up of the sum of the sleep latency time and the pure sleep time, which is the time from the point of time when the original signal is output from the sensor to the time of sleep, and the second element in the ratio of the deep sleep time to the pure sleep time (S2) to determine the awakening time, which is the sum of the apnea and abnormal breaths showing the respiratory rate outside the predetermined respiratory rate range using the respiratory rate, and determine the number of awakenings caused by the apnea and abnormal breathing. The third element (S3) is obtained by the ratio of the pure sleep time minus the awakening time and the awakening frequency to the pure sleep time. Determine whether the state, and the following equation The fourth element S4 is obtained according to the above equations, and a predetermined weight is set for each of the obtained first element S1, the second element S2, the third element S3, and the fourth element S4, and then summed. To determine your sleep quality.
본 발명의 다른 실시 예에 따르면, 상기 실시 예에서 상기 제1요소(S1), 제2요소(S2), 제3요소(S3) 및 제4요소(S4)에 대한 소정의 가중치는 각각 20, 30, 20 및 30으로 하여 상기 수학식 5에 따라 수면의 질(P)을 결정한다.
According to another embodiment of the present invention, in the above embodiment, predetermined weights for the first element S1, the second element S2, the third element S3, and the fourth element S4 are 20, The quality of sleep P is determined according to Equation 5 by using 30, 20, and 30.
한편 이상에서는 본 발명의 구체적인 실시 예에 관해 설명하였으나, 본 발명의 범위에서 벗어나지 않는 한도 내에서 여러 가지 변형이 가능함은 물론이다. 그러므로 본 발명의 범위는 설명된 실시 예에 국한되지 않으며, 후술하는 특허청구범위뿐만 아니라 이 특허청구범위와 균등한 것들에 의해 정해져야 한다.While the invention has been shown and described with reference to certain preferred embodiments thereof, it will be understood by those skilled in the art that various changes and modifications may be made without departing from the spirit and scope of the invention. Therefore, the scope of the present invention should not be limited to the described embodiments, but should be defined not only by the claims below, but also by those equivalent to the claims.
| Application Number | Priority Date | Filing Date | Title | 
|---|---|---|---|
| KR1020100107335AKR101218626B1 (en) | 2010-10-29 | 2010-10-29 | Arraratus and method determining quality of sleep | 
| Application Number | Priority Date | Filing Date | Title | 
|---|---|---|---|
| KR1020100107335AKR101218626B1 (en) | 2010-10-29 | 2010-10-29 | Arraratus and method determining quality of sleep | 
| Publication Number | Publication Date | 
|---|---|
| KR20120045660A KR20120045660A (en) | 2012-05-09 | 
| KR101218626B1true KR101218626B1 (en) | 2013-01-07 | 
| Application Number | Title | Priority Date | Filing Date | 
|---|---|---|---|
| KR1020100107335AActiveKR101218626B1 (en) | 2010-10-29 | 2010-10-29 | Arraratus and method determining quality of sleep | 
| Country | Link | 
|---|---|
| KR (1) | KR101218626B1 (en) | 
| Publication number | Priority date | Publication date | Assignee | Title | 
|---|---|---|---|---|
| WO2016108582A1 (en)* | 2014-12-29 | 2016-07-07 | 드림비전스주식회사 | Smart bed system and control method | 
| KR102021701B1 (en)* | 2018-06-15 | 2019-09-16 | 선문대학교 산학협력단 | Sleep behavior disorder monitoring device | 
| US11266346B2 (en) | 2017-06-07 | 2022-03-08 | Electronics And Telecommunications Research Institute | Method and apparatus for determining sleep state using biometric information and motion information | 
| Publication number | Priority date | Publication date | Assignee | Title | 
|---|---|---|---|---|
| KR102457097B1 (en)* | 2015-12-31 | 2022-10-20 | 코웨이 주식회사 | Method for measurement and analysis of sleep with a mattress | 
| JP2019505291A (en)* | 2016-01-07 | 2019-02-28 | グローバル カイネティクス コーポレーション ピーティーワイ リミテッド | System and method for assessing sleep states | 
| US10952663B2 (en)* | 2016-03-09 | 2021-03-23 | Panasonic Intellectual Property Management Co., Ltd. | Dementia information output system and recording medium | 
| US12123763B2 (en) | 2019-02-12 | 2024-10-22 | Sleep Number Corporation | Load sensor assembly for bed leg and bed with load sensor assembly | 
| EP3923802A4 (en)* | 2019-02-12 | 2023-04-19 | UDP Labs, Inc. | MULTIDIMENSIONAL MULTIVARIABLE MULTIPLE SENSOR SYSTEM | 
| KR102128917B1 (en)* | 2020-01-08 | 2020-07-01 | (주)성우메디텍 | A smart bed with a sleeping sensor | 
| CN113520328B (en)* | 2021-08-16 | 2023-11-24 | 成都云卫康医疗科技有限公司 | Sleep quality evaluation method | 
| Publication number | Priority date | Publication date | Assignee | Title | 
|---|---|---|---|---|
| KR20060092037A (en)* | 2005-02-17 | 2006-08-22 | 재단법인서울대학교산학협력재단 | Restraint weight sensing based sleep structure analysis device | 
| KR20070084901A (en)* | 2006-02-22 | 2007-08-27 | (주)한별메디텍 | Unrestrained sleep state determination device and method | 
| KR20100022706A (en)* | 2008-08-20 | 2010-03-03 | 서울대학교산학협력단 | Apparatus and method for non-constrained analysis of sleeping status using air-mattress | 
| Publication number | Priority date | Publication date | Assignee | Title | 
|---|---|---|---|---|
| KR20060092037A (en)* | 2005-02-17 | 2006-08-22 | 재단법인서울대학교산학협력재단 | Restraint weight sensing based sleep structure analysis device | 
| KR20070084901A (en)* | 2006-02-22 | 2007-08-27 | (주)한별메디텍 | Unrestrained sleep state determination device and method | 
| KR20100022706A (en)* | 2008-08-20 | 2010-03-03 | 서울대학교산학협력단 | Apparatus and method for non-constrained analysis of sleeping status using air-mattress | 
| Publication number | Priority date | Publication date | Assignee | Title | 
|---|---|---|---|---|
| WO2016108582A1 (en)* | 2014-12-29 | 2016-07-07 | 드림비전스주식회사 | Smart bed system and control method | 
| US11266346B2 (en) | 2017-06-07 | 2022-03-08 | Electronics And Telecommunications Research Institute | Method and apparatus for determining sleep state using biometric information and motion information | 
| KR102021701B1 (en)* | 2018-06-15 | 2019-09-16 | 선문대학교 산학협력단 | Sleep behavior disorder monitoring device | 
| Publication number | Publication date | 
|---|---|
| KR20120045660A (en) | 2012-05-09 | 
| Publication | Publication Date | Title | 
|---|---|---|
| KR101218626B1 (en) | Arraratus and method determining quality of sleep | |
| EP4171360B1 (en) | Systems and methods for multi-component health scoring | |
| KR101218629B1 (en) | Arraratus and method determining quality of sleep by measuring heart beat in real time | |
| US11541201B2 (en) | Sleep performance system and method of use | |
| JP7635211B2 (en) | Systems and methods for continuous therapy - Patents.com | |
| US20220133222A1 (en) | A sleep monitoring system and method | |
| Van der Loos et al. | Development of sensate and robotic bed technologies for vital signs monitoring and sleep quality improvement | |
| TW201528198A (en) | Fatigue monitoring and management system and method thereof | |
| EP4252631A2 (en) | Systems for insomnia screening and management | |
| JP2011500110A (en) | Automated sleep phenotype | |
| WO2008037020A1 (en) | Methods and apparatus for assessing sleep quality | |
| KR102250606B1 (en) | Smart Matteress | |
| JP2023544515A (en) | Systems and methods for assisting users of respiratory treatment systems | |
| US20250001109A1 (en) | Enhanced wearable sensing | |
| JP2023523001A (en) | Systems and methods for analyzing sleep-related parameters | |
| JP2023513887A (en) | Systems and methods for reducing insomnia-related symptoms | |
| US20220395181A1 (en) | System and methods for sensor-based detection of sleep characteristics and generating animation depiction of the same | |
| KR101218647B1 (en) | Arraratus and method determining quality of sleep by measuring breath in real time | |
| JP2023544119A (en) | Systems and methods for monitoring comorbidities | |
| US20250134451A1 (en) | Biofeedback cognitive behavioral therapy for insomnia | |
| JP2024149807A (en) | Sleep Analysis Device | |
| CN114746006A (en) | Analysis system and analysis method | |
| JP7699140B2 (en) | Systems and methods for increasing sleepiness in an individual - Patents.com | |
| US20230218844A1 (en) | Systems And Methods For Therapy Cessation Diagnoses | |
| Tiihonen | Novel portable devices for recording sleep apnea and evaluation altered consciousness | 
| Date | Code | Title | Description | 
|---|---|---|---|
| A201 | Request for examination | ||
| PA0109 | Patent application | Patent event code:PA01091R01D Comment text:Patent Application Patent event date:20101029 | |
| PA0201 | Request for examination | ||
| E902 | Notification of reason for refusal | ||
| PE0902 | Notice of grounds for rejection | Comment text:Notification of reason for refusal Patent event date:20120118 Patent event code:PE09021S01D | |
| AMND | Amendment | ||
| PG1501 | Laying open of application | ||
| E601 | Decision to refuse application | ||
| PE0601 | Decision on rejection of patent | Patent event date:20120830 Comment text:Decision to Refuse Application Patent event code:PE06012S01D Patent event date:20120118 Comment text:Notification of reason for refusal Patent event code:PE06011S01I | |
| AMND | Amendment | ||
| PX0901 | Re-examination | Patent event code:PX09011S01I Patent event date:20120830 Comment text:Decision to Refuse Application Patent event code:PX09012R01I Patent event date:20120319 Comment text:Amendment to Specification, etc. | |
| PX0701 | Decision of registration after re-examination | Patent event date:20121210 Comment text:Decision to Grant Registration Patent event code:PX07013S01D Patent event date:20121030 Comment text:Amendment to Specification, etc. Patent event code:PX07012R01I Patent event date:20120830 Comment text:Decision to Refuse Application Patent event code:PX07011S01I Patent event date:20120319 Comment text:Amendment to Specification, etc. Patent event code:PX07012R01I | |
| X701 | Decision to grant (after re-examination) | ||
| GRNT | Written decision to grant | ||
| PR0701 | Registration of establishment | Comment text:Registration of Establishment Patent event date:20121228 Patent event code:PR07011E01D | |
| PR1002 | Payment of registration fee | Payment date:20121231 End annual number:3 Start annual number:1 | |
| PG1601 | Publication of registration | ||
| FPAY | Annual fee payment | Payment date:20151205 Year of fee payment:4 | |
| PR1001 | Payment of annual fee | Payment date:20151205 Start annual number:4 End annual number:4 | |
| FPAY | Annual fee payment | Payment date:20161130 Year of fee payment:5 | |
| PR1001 | Payment of annual fee | Payment date:20161130 Start annual number:5 End annual number:5 | |
| FPAY | Annual fee payment | Payment date:20181114 Year of fee payment:7 | |
| PR1001 | Payment of annual fee | Payment date:20181114 Start annual number:7 End annual number:7 | |
| PR1001 | Payment of annual fee | Payment date:20200429 Start annual number:8 End annual number:8 | |
| PR1001 | Payment of annual fee | Payment date:20200928 Start annual number:9 End annual number:9 |