







본 발명의 실시예는 엘이디를 위한 역률보상형 엘이디 조명장치에 관한 것이다. 더 상세하게는 기존의 형광등에서 사용되고 있는 신속점등(Rapid Start)식 안정기에 직접 사용할 수 있으면서도 역률이 좋고 출력 파워를 LED에 맞도록 설계할 수 있는 역률보상형 엘이디 조명장치에 관한 것이다.Embodiment of the present invention relates to a power factor correction type LED lighting device for the LED. More particularly, the present invention relates to a power factor correction type LED lighting device that can be directly used for a rapid start ballast that is used in a conventional fluorescent lamp, but has a good power factor and can be designed to match an output power to an LED.
LED는 전력 소모가 작고 반영구적으로 긴 수명을 가지며 기존의 형광등에 필적할 정도의 휘도(brightness)특성을 갖는 등 장점이 많으므로, 현재 전 세계적으로 많은 연구가 이루어지고 있으며 차츰 조명 광원으로서 형광등을 대체하는 LED조명등(엘광등)으로 널리 사용되고 있는 추세다.LED has a lot of advantages such as low power consumption, semi-permanent long life and brightness characteristics comparable to the existing fluorescent lamps. Therefore, many studies are being conducted all over the world. It is a trend that is widely used as LED lighting (el light).
일반적으로 형광등은 부성 저항특성을 갖는 수은방전관의 일종으로서, 형광등의 방전개시를 유도하여 점등 후 안정적으로 점등 상태를 유지하기 위한 장치로 안정기가 필요하다. 안정기는 초기 형광등의 점등에 필요한 방전개시 고전압을 인가해 주고 점등 후에는 형광등에 안정적인 전압과 전류를 공급하는 역할을 한다.In general, a fluorescent lamp is a kind of mercury discharge tube having negative resistance characteristics, and a ballast is required as a device for stably maintaining a lighting state after induction by inducing the discharge of the fluorescent lamp. The ballast applies high voltage to start the discharge necessary for the initial lighting of the fluorescent lamp and supplies stable voltage and current to the fluorescent lamp after the lighting.
한편, LED를 이용한 조명은 형광등과 달리 안정기라는 부품이 없이도 일정한 전압 전류에 의해서 바로 동작이 가능하며 형광등과 같은 조도를 발생시키기 위한 필요 전력이 LED조명등의 경우 형광등의 절반 수준인 장점이 있다. 그런데, 기존의 형광등 조명을 대체하여 LED조명등으로 교체하려면 안정기와 형광등을 제거하고 설치하면 된다. 하지만, 신속점등식의 경우 안정기가 견고하게 건물 천정에 부착되어 있는 경우가 일반적이어서 이를 떼어내는 것이 용이하지 않아 전문가의 도움이 필요하고 이에 따라 비용이 많이 드는 문제가 있다.On the other hand, the lighting using the LED can be directly operated by a constant voltage current, without the component of the ballast, unlike the fluorescent lamp, the power required to generate the illuminance, such as fluorescent lamp has the advantage that half of the fluorescent lamp. However, if you want to replace the existing fluorescent lighting with LED lighting, remove the ballast and fluorescent lamps and install. However, in the case of the quick lighting equation, the ballast is generally firmly attached to the building ceiling, and thus it is not easy to remove the ballast, which requires a specialist's help and thus a costly problem.
따라서 기존의 신속점등식 안정기를 그대로 두고 형광등만 LED조명등으로 교체하는 방법을 사용할 수도 있으나, 단순히 기존의 형광등을 LED조명등으로 교체하게 되면 입력 역률도 나빠질 뿐만 아니라 입력전류의 고조파(harmonics)가 과도하게 발생하며 출력전력도 온도나 입력전압에 민감하게 변하는 문제점이 있다.Therefore, it is possible to use the method of replacing the fluorescent lamp with the LED lamp while leaving the existing fast-lighting ballast intact, but simply replacing the existing fluorescent lamp with the LED lamp will not only reduce the input power factor but also generate excessive harmonics of the input current. In addition, there is a problem that the output power is sensitive to temperature or input voltage.
이러한 문제점을 해결하기 위해 본 발명의 일 실시예는, 기존의 수은방전식 형광등을 LED 등의 발광소자를 이용한 조명등으로 교체함에 있어서 형광등의 점등을 위한 기설치된 신속점등식 안정기를 제거하지 않으면서도 역률 특성이 좋고 기존의 형광등과 유사한 조도를 낼 수 있는 방법을 제공하고자 하는 데 목적이 있다.In order to solve this problem, one embodiment of the present invention, in replacing the existing mercury discharge fluorescent lamp with a light emitting device using a light emitting device such as LED power factor characteristics without removing the pre-installed quick-lighting ballast for the lighting of the fluorescent lamp The purpose is to provide a method that can produce a good illumination similar to the conventional fluorescent lamps.
전술한 목적을 달성하기 위해 본 발명의 일 실시예는, 역률보상형 엘이디 조명장치에 있어서, 신속점등식 안정기의 소켓에 결합될 수 있도록 상기 엘이디 조명장치의 양단부에 각각 구비된 접속단자와, 상기 양단부 중 일단부의 접속단자와 타단부의 접속단자 사이에 연결되도록 인덕턴스 소자 및 캐패시턴스 소자가 직렬연결된 직렬 인덕턴스-캐패시턴스 소자를 구비하는 보상회로; 및 상기 캐패시턴스 소자 양단에 연결되어 상기 캐패시턴스 소자 양단의 교류 전류를 직류전류로 정류하는 정류회로 및 상기 정류회로 양단에 연결되어 상기 직류전류를 수신하여 구동되는 엘이디모듈을 구비하는 엘이디 부하회로를 포함하는 것을 특징으로 하는 엘이디 조명장치를 제공한다.In order to achieve the above object, an embodiment of the present invention, in the power factor correction type LED lighting device, each of the connection terminals provided on both ends of the LED lighting device to be coupled to the socket of the quick-lighting ballast, the both ends A compensation circuit including an inductance element and a series inductance-capacitance element in which a capacitance element is connected in series so as to be connected between a connection terminal of one end and a connection terminal of the other end; And an LED load circuit having a rectifying circuit connected to both ends of the capacitance element to rectify AC current at both ends of the capacitance element into a DC current, and an LED module connected to both ends of the rectifying circuit to receive and drive the DC current. It provides an LED lighting apparatus characterized in that.
또한, 전술한 목적을 달성하기 위해 본 발명의 다른 실시예는, 역률보상형 엘이디 조명장치에 있어서, 신속점등식 안정기의 소켓에 결합될 수 있도록 상기 엘이디 조명장치의 양단부에 각각 2개씩 구비된 접속단자, 상기 일단부의 어느 한 접속단자와 상기 일단부의 다른 한 접속단자 사이에 직렬연결되는 제1인덕턴스 소자 및 제2인덕턴스 소자, 상기 타단부의 어느 한 접속단자와 상기 타단부의 다른 한 접속단자 사이에 직렬연결되는 제3인덕턴스 소자 및 제4인덕턴스 소자, 상기 제1인덕턴스 소자와 상기 제2인덕턴스 소자 사이의 접속점과 상기 제3인덕턴스 소자와 상기 제4인덕턴스 소자 사이의 접속점 사이에 연결된 캐패시턴스 소자를 구비하는 보상회로; 및 상기 캐패시턴스 소자 양단에 연결되어 상기 캐패시턴스 소자 양단의 교류 전류를 직류전류로 정류하는 정류회로 및 상기 정류회로 양단에 연결되어 상기 직류전류를 수신하여 구동되는 엘이디모듈을 구비하는 엘이디 부하회로를 포함하는 것을 특징으로 하는 엘이디 조명장치를 제공한다.In addition, another embodiment of the present invention, in order to achieve the above object, in the power factor correction type LED lighting device, each of the two connection terminals provided on both ends of the LED lighting device to be coupled to the socket of the quick-lighting ballast And a first inductance element and a second inductance element connected in series between any one connection terminal of the one end and the other connection terminal of the one end, between any one connection terminal of the other end and the other connection terminal of the other end. A third inductance element and a fourth inductance element connected in series, a capacitance element connected between a connection point between said first inductance element and said second inductance element and a connection point between said third inductance element and said fourth inductance element; Compensation circuit; And an LED load circuit having a rectifying circuit connected to both ends of the capacitance element to rectify AC current at both ends of the capacitance element into a DC current, and an LED module connected to both ends of the rectifying circuit to receive and drive the DC current. It provides an LED lighting apparatus characterized in that.
이상에서 설명한 바와 같이 본 발명의 실시예에 의하면, 기 설치되어 있는 신속점등식 안정기 뒷단에 형광등을 대체하는 LED조명등을 설치함에 있어서, 보상회로를 적용하여 입력단의 역률이 1에 가까우면서도 출력을 안정적으로 낼 수 있도록 하는 효과가 있다.As described above, according to the embodiment of the present invention, in installing the LED lighting lamp replacing the fluorescent lamp at the rear end of the pre-equipped quick-lighting ballast, the power factor of the input terminal is close to 1 while the power factor of the input stage is stably applied by applying a compensation circuit. It has the effect of making it work.
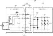
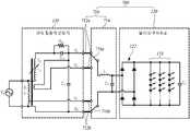
도 1은 보상회로(110)와 엘이디 부하회로(120)를 포함하는 본 발명의 제1실시예에 따른 엘이디 조명장치(100)와 신속점등식 안정기(130)로 구성된 조명시스템을 도시한 도면이다.
도 2는 보상회로(110)와 엘이디 부하회로(120)를 포함하는 본 발명의 제1실시예에 따른 엘이디 조명장치(100)와 신속점등식 안정기(130)로 구성된 조명시스템의 블록도를 도시한 도면이다.
도 3은 보상회로(110), 엘이디 부하회로(120) 및 신속점등식 안정기(130)의 회로도를 예시한 도면이다.
도 4는 도 3에서 나타낸 회로를 이상적인 단권변압기(Ideal Auto Transformer)를 포함한 등가회로로 나타낸 도면이다.
도 5는 도 4에서 도시한 등가회로에서 이상적인 단권변압기(Ideal auto transformer)를 제거하고 2차측(T2)의 임피던스를 1차측(T1)으로 이동시킨 등가회로를 도시한 도면이다.
도 6은 보상회로(610)와 엘이디 부하회로(120)를 포함하는 본 발명의 제2실시예에 따른 엘이디 조명장치(600)를 구비하는 조명시스템을 나타낸 도면이다.
도 7은 보상회로(710)와 엘이디 부하회로(120)를 포함하는 본 발명의 제3실시예에 따른 엘이디 조명장치(700)를 구비하는 조명시스템을 나타낸 도면이다.
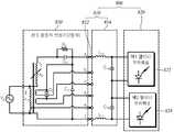
도 8은 보상회로(810)와 엘이디 부하회로(820)를 포함하는 본 발명의 제4실시예에 따른 엘이디 조명장치(800)를 구비하는 조명시스템을 나타낸 도면이다.FIG. 1 is a diagram illustrating an illumination system including an
FIG. 2 shows a block diagram of an illumination system comprising an
3 is a diagram illustrating a circuit diagram of the
FIG. 4 is a diagram of the circuit shown in FIG. 3 as an equivalent circuit including an ideal single auto transformer.
FIG. 5 is a diagram illustrating an equivalent circuit in which the ideal single auto transformer is removed from the equivalent circuit shown in FIG. 4 and the impedance of the secondary side T2 is moved to the primary side T1.
FIG. 6 is a diagram illustrating an illumination system including an
FIG. 7 illustrates an illumination system including an
8 is a diagram illustrating an illumination system including an
이하, 본 발명의 일부 실시예들을 예시적인 도면을 통해 상세하게 설명한다. 각 도면의 구성요소들에 참조부호를 부가함에 있어서, 동일한 구성요소들에 대해서는 비록 다른 도면상에 표시되더라도 가능한 한 동일한 부호를 가지도록 하고 있음에 유의해야 한다. 또한, 본 발명을 설명함에 있어, 관련된 공지 구성 또는 기능에 대한 구체적인 설명이 본 발명의 요지를 흐릴 수 있다고 판단되는 경우에는 그 상세한 설명은 생략한다.Hereinafter, some embodiments of the present invention will be described in detail through exemplary drawings. In adding reference numerals to the components of each drawing, it should be noted that the same reference numerals are used to refer to the same components as much as possible even if displayed on different drawings. In the following description of the present invention, a detailed description of known functions and configurations incorporated herein will be omitted when it may make the subject matter of the present invention rather unclear.
또한, 본 발명의 구성 요소를 설명하는 데 있어서, 제 1, 제 2, A, B, (a), (b) 등의 용어를 사용할 수 있다. 이러한 용어는 그 구성 요소를 다른 구성 요소와 구별하기 위한 것일 뿐, 그 용어에 의해 해당 구성 요소의 본질이나 차례 또는 순서 등이 한정되지 않는다. 어떤 구성 요소가 다른 구성요소에 "연결", "결합" 또는 "접속"된다고 기재된 경우, 그 구성 요소는 그 다른 구성요소에 직접적으로 연결되거나 또는 접속될 수 있지만, 각 구성 요소 사이에 또 다른 구성 요소가 "연결", "결합" 또는 "접속"될 수도 있다고 이해되어야 할 것이다.In addition, in describing the component of this invention, terms, such as 1st, 2nd, A, B, (a), (b), can be used. These terms are only for distinguishing the components from other components, and the nature, order or order of the components are not limited by the terms. If a component is described as being "connected", "coupled" or "connected" to another component, that component may be directly connected to or connected to that other component, but there may be another configuration between each component. It is to be understood that the elements may be "connected", "coupled" or "connected".
도 1은 보상회로(110)와 엘이디 부하회로(120)를 포함하는 본 발명의 제1실시예에 따른 엘이디 조명장치(100)와 신속점등식 안정기(130)로 구성된 조명시스템을 도시한 도면이고, 도 2는 보상회로(110)와 엘이디 부하회로(120)를 포함하는 본 발명의 제1실시예에 따른 엘이디 조명장치(100)와 신속점등식 안정기(130)로 구성된 조명시스템의 블록도를 도시한 도면이고, 도 3은 보상회로(110), 엘이디 부하회로(120) 및 신속점등식 안정기(130)의 회로도를 예시한 도면이다.FIG. 1 is a diagram illustrating an illumination system including an
도 1 내지 3에 도시하듯이, 본 발명의 제1실시예에 따른 보상회로(110)는 신속점등식 안정기(130)의 소켓(132a, 132b)에 결합될 수 있도록 엘이디 조명장치(100)의 양단부에 각각 구비된 접속단자(112a, 112b)를 구비하고, 접속단자(112a, 112b)의 양단부 중에서 일단부의 접속단자(112a)와 타단부의 접속단자(112b) 사이에는 인덕턴스 소자(L1) 및 캐패시턴스 소자(C1)가 직렬연결된 직렬 인덕턴스-캐패시턴스 소자(114)를 구비한다.As shown in Figures 1 to 3, the
엘이디 부하회로(120)는 캐패시턴스 소자(C1) 양단에 연결되어 캐패시턴스 소자 양단의 교류 전류를 직류전류로 정류하는 정류회로(122) 및 정류회로 양단에 연결되어 정류회로(122)에서 발생한 직류전류를 수신하여 구동되는 엘이디모듈(124)을 구비한다. 도 3에서 정류회로(122)로는 풀브릿지 정류기를 사용하였고, 엘이디모듈(124)로는 풀브릿지 정류기에 병렬 연결된 엘이디 어레이를 사용하였으나, 본 발명이 이에 한정되지는 않는다.The
도 3의 신속점등식 안정기(130)가 일반적인 직관형 형광등을 부하회로로 사용하도록 만들어진 경우, a 및 b는 형광등 일단부의 2개의 접속단자(112a)가 결합되는 도 1에서의 신속점등식 안정기(130)의 소켓 일단부(132a)의 접속부를 나타내고, c 및 d는 형광등 타단부의 2개의 접속단자(112b)가 결합되는 신속점등식 안정기(130)의 소켓 타단부(132b)의 접속부를 나타낸 것이다.When the quick-
신속점등식 안정기(130)는 부하회로(예컨대 형광등)가 직접 연결되는 경우에, 입력전원(Vs)이 입력되는 순간에는 입력전원의 주파수에 가포화리액터(T2의 인덕턴스 성분) 및 안정기 캐패시터(Cm)를 공진시켜 큰 전류를 형광등에 흘려주어 형광등을 온(On) 시키고, 형광등이 켜진 후에는 가포화리액터가 포화됨으로 인하여 가포화리액터의 인덕턴스 크기가 하락하여 가포화리액터 및 안정기 캐패시터(Cm) 간에 공진이 발생하지 않는다. 따라서 형광등에 가해지는 전압이 대폭 저하됨으로 인하여 형광등에 입력되는 전류는 감소하고, 입력단의 역률을 1로 만족시키면서 형광등의 출력인 부하전류를 일정하게 유지시키게 된다.The fast-
도 3에서, 보상회로(110)는 신속점등식 안정기(130)의 소켓 일단부(132a)의 하나의 접속부 a와 소켓 타단부(132b)의 하나의 접속부(d) 사이에 직렬 인덕턴스-캐패시턴스 소자(114)가 연결된다. 여기서, 직렬 인덕턴스-캐패시턴스 소자(114)는 인덕턴스 소자로 사용되는 보상 인덕터(L1)와 캐패시턴스 소자로 사용되는 보상 캐패시터(C1)를 포함하고, 엘이디 부하회로(120)는 보상 캐패시터(C1)의 양단자에 병렬로 연결된다.In FIG. 3, the
엘이디 부하회로(120)는 정류회로(122)를 구성하는 풀브릿지 정류기(D1, D2, D3, D4), 엘이디모듈(124)을 구성하는 엘이디 어레이 및 출력캐패시터 C2로 이루어질 수 있다.The
도 3과 같이 신속점등식 안정기(130)를 보상회로(110) 없이 엘이디 부하회로(120)에 곧바로 사용하면 엘이디모듈(124)에 요구되는 출력전력은 같은 정도의 조도에서 형광등의 대략 절반이 된다. 그러면, 신속점등식 안정기(130)에 흐르는 전류도 그만큼 감소하게 되며, 이로 인해 신속점등식 안정기(130) 내의 용량성 전류(capacitive current)가 감소하는 결과를 초래하게 되어 신속점등식 안정기(130)의 전원입력단의 역률이 지상(lag)이 된다. 따라서, 이와 같이 신속점등식 안정기(130)의 전원입력단의 역률이 감소하는 것을 방지하고 역률을 1로 맞춰주기 위하여 보상회로(110)가 필요하며, 보상회로(110)에서는 엘이디 부하회로(120)와 병렬로 보상 캐패시터 C1을 설치한다. 신속점등식 안정기(130)의 전원입력단의 역률을 1로 맞춰주기 위하여 단순히 보상 캐패시터 C1만 보상회로(110)에 구비하는 경우에는 전원입력단에서의 공진주파수가 변화하게 되므로 공진주파수가 변화하지 않도록 보상 캐패시터 C1과 직렬로 보상 인덕터 L1을 추가하여 공진주파수를 신속점등식 안정기(130)의 입력전원의 주파수에 맞도록 조절해줄 수 있다.As shown in FIG. 3, when the quick-
엘이디 부하회로(120)는 다양한 형태로 구성될 수 있으며, 출력캐패시터 C2대신에 엘이디모듈(124)과 정류회로(122) 사이에 인덕터(미도시)를 두어 출력 전류변화를 줄일 수도 있는데, 이 경우 인덕터(미도시)와 출력캐패시터(C2)의 값을 조합하여 출력 전류변화를 줄일 수도 있다. 또는 출력캐패시터(C2)를 생략하여 전원주파수의 2배(120Hz)인 플리커링 잡음을 허용하게 설계할 수도 있다. 또한, 정류회로(122)로 풀브릿지 정류기 대신 하프브릿지 정류기를 사용할 수 있으며, 정류회로(122) 내에서 다이오드 대신 LED를 직병렬로 사용할 수도 있다. 이와 같이 다양한 엘이디 부하회로(120)를 사용할 수 있으며, 엘이디 부하회로(120)로 사용될 수 있는 부하회로의 종류는 본 실시예에서 언급한 것에 한정되지 않는다.The
한편, 본 실시예에서 엘이디 부하회로(120) 내의 엘이디모듈(124)의 소재로서 사용될 수 있는 LED(Light Emitting Diode)는 유기발광 다이오드(OLED: Organic Light Emitting Diode), AMOLED(Active Matrix Organic Light Emitting Diode) 등의 다양한 발광소자를 포함하여 사용할 수 있다.On the other hand, LED (Light Emitting Diode) that can be used as the material of the
도 4는 도 3에서 나타낸 회로를 이상적인 단권변압기(Ideal Auto Transformer)를 포함한 등가회로로 나타낸 도면이다.FIG. 4 is a diagram of the circuit shown in FIG. 3 as an equivalent circuit including an ideal single auto transformer.
실제적인 단권변압기(Auto Transformer)를 이상적인 단권변압기로 대체하면 1차측(T1)의 자화 인덕턴스 Lm과 1, 2차측의 누설 인덕턴스를 등가적으로 나타낸 Llk가 포함된다. n1과 n2는 각각 1차측(T1)과 2차측(T2) 코일의 턴수를 각각 나타낸 것이며, 엘이디 부하회로(120)는 등가적으로 Ro로 모델링될 수 있다. 여기서 2차측(T2) 코일의 턴수(n2)는 2차측(T2)에서의 가포화 리액터의 특성을 반영하여 등가적으로 가변인 것으로 가정하였다.Replacing an actual autotransformer with an ideal single transformer involves the magnetization inductance Lm on the primary side (T1) and Llk equivalently representing the leakage inductance on the primary and secondary sides. n1 and n2 indicate the number of turns of the primary side T1 and the secondary side T2 coils, respectively, and the
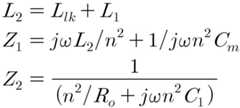
도 5는 도 4에서 도시한 등가회로에서 이상적인 단권변압기(Ideal auto transformer)를 제거하고 2차측(T2)의 임피던스를 1차측(T1)으로 이동시킨 등가회로를 도시한 도면이다. 여기서 L2은 Llk와 L1의 합을 의미하며, Im과 I1은 각각 자화 인덕턴스에 흐르는 전류와 인덕턴스 L2에 흐르는 전류를 나타낸다. Vo은 출력전압을 의미하며 n은 변압기(Transformer)의 1차측(T1)과 2차측(T2)의 턴수비 (n1+n2)/n1을 의미한다.FIG. 5 is a diagram illustrating an equivalent circuit in which the ideal single auto transformer is removed from the equivalent circuit shown in FIG. 4 and the impedance of the secondary side T2 is moved to the primary side T1. Where L2 is the sum of Llk and L1 , and Im and I1 represent the current flowing through the magnetizing inductance and the current flowing through the inductance L2 , respectively. Vo denotes the output voltage and n denotes the turn ratio (n1 + n2 ) / n1 of the primary side T1 and the secondary side T2 of the transformer.
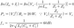
도 5에서 인덕턴스 L2와 등가 임피던스 Z1, Z2는 수학식 1과 같이 나타낼 수 있다.In FIG. 5, inductance L2 and equivalent impedances Z1 and Z2 may be represented by Equation 1.
전술하였듯이, 입력전원측에서의 역률이 1이 되도록 L1 및 C1의 크기를 결정하며 이는 일반적인 가정용 엘광등(즉, 형광등 단자에 연결되는 엘이디 부하회로(120)를 의미)의 출력을 20 W라고 가정하여 크기를 정할 수 있다. 이때, 전원입력단의 공진주파수(fs)가 입력전원의 주파수와 일치하게 되는 조건은 수학식 2와 같이 나타낼 수 있다.As described above, the size of L1 and C1 is determined so that the power factor at the input power side is 1, which is 20 W as the output of a general home EL lamp (that is, the
수학식 2에서 Vs는 입력전원의 전압, Vo는 등가 임피던스 Z2에 걸리는 출력전압을 나타낸다.In
이와 같이 수학식 2는 3개의 독립적인 식으로 구성되며, 수학식 2의 세개의 식을 동시에 만족하는 L1, C1, Ro 값을 계산하여 선정할 수 있다. 하지만, 실제로는 신속점등식 안정기(130) 내의 2차측(T2)의 과포화 특성과 수학식 2의 근사적 특성 때문에 L1, C1, Ro 값을 결정함에 있어서 수학식 2에서 계산된 값에서 실험을 통한 약간의 보정이 필요하다. 이와 같이, 엘이디 부하회로(120)의 부하값인 Ro가 결정된 경우, 엘이디 조명장치(100)가 원하는 출력(즉, 엘이디 부하회로(120)의 원하는 부하값 Ro에 의한 출력)을 얻기 위하여, 입력역률이 1이 되고 입력전원의 주파수와 공진주파수가 일치되어 입력전류의 고조파가 최소화되는 특성을 얻도록 보상회로(110)의 인덕터(L1) 및 캐패시터(C1)의 값을 결정할 수 있다.Thus,
한편, 부하값인 Ro값은 엘이디 부하회로(120)에서 LED의 연결형태에 따라 변화시킬 수 있다. 즉, 엘이디 부하회로(120)에서 LED를 복수로 직렬 또는 병렬로 연결하면 등가의 Ro가 변할 수 있는데, LED어레이에 직렬로 연결하는 LED의 개수가 많아질수록 등가의 Ro가 증가하고 병렬로 연결하는 LED어레이의 개수가 많아질수록 등가의 Ro는 감소한다.On the other hand, the Ro value of the load value can be changed according to the connection form of the LED in the
수학식 1과 수학식 2의 관계에서 입력전원의 주파수가 60Hz(f1)가 아닌 50Hz(f2)로 설정된 환경에서 사용되는 경우에, 신속점등식 안정기(130)의 인덕터와 캐패시터의 값이 모두 f1/f2배로 비례하도록 설정되는 것이 일반적이다. 따라서, 보상회로(110)에 사용되는 인덕터와 캐패시터의 값도 모두 입력전원의 주파수가 60Hz(f1)의 경우의 값의 f1/f2배가 되도록 설정하면 수학식 1의 임피던스 Z1, Z2는 크기가 변하지 않는다. 즉, 입력전원의 주파수(f2)의 변화에 따라 신속점등식 안정기(130) 내의 1, 2차측의 누설 인덕턴스(Llk), 캐패시터(Cm)의 크기, 보상회로(110)의 캐패시터(C1) 및 보상 인덕터(L1)의 크기도 f1/f2배로 설정하면 임피던스 Z1, Z2는 주파수에 무관한 크기가 될 수 있다.In the relationship between Equation 1 and
도 6은 보상회로(610)와 엘이디 부하회로(120)를 포함하는 본 발명의 제2실시예에 따른 엘이디 조명장치(600)를 구비하는 조명시스템을 나타낸 도면이다.FIG. 6 is a diagram illustrating an illumination system including an
도 6의 보상회로(610)는 도 3에서 나타내었던 보상회로(110)의 보상 인덕터 L1을 신속점등식 안정기(130)의 소켓(132a, 132b)의 4개의 결합단자의 극성과 관계없이 보상회로(610) 및 엘이디 부하회로(120)를 연결하여 동작하도록 하기 위해서 보상회로(110)는 엘이디 조명장치(600)의 양단부에 각각 2개씩의 접속단자(612a, 612b)를 구비하고 도 3에서의 보상 인덕터 L1과 동일한 인덕턴스 값을 갖는 각각의 인덕터 L1a(제1인덕턴스 소자), L1b(제2인덕턴스 소자), L1c(제3인덕턴스 소자), L1d(제4인덕턴스 소자)의 일단부를 각 접속단자(612a, 612b)에 연결하고, L1a, L1b의 타단부는 보상 캐패시터(C1)의 일단부에, L1c, L1d의 타단부는 보상 캐패시터(C1)의 타단부에 연결할 수 있다.The
도 6의 경우, 인덕터 L1a, L1b, L1c, L1d에 흐르는 각각의 전류는 도 3의 인덕터 L1에 흐르는 전류(I1)의 절반(I1/2)이므로 각 인덕터(L1a, L1b, L1c, L1d)의 소비전력은 L1(I1/2)2/2이어서 4개 인덕터(L1a, L1b, L1c, L1d)에서의 소비전력의 합은 L1I12/2이 되므로 도 3의 경우의 I1의 전류가 흐르는 보상 인덕터 L1의 소비전력(L1I12/2)과 같아진다. 따라서, 보상회로(110)에서 보상 인덕터를 신속점등식 안정기(130)의 소켓(132a, 132b)의 4개의 결합단자에 각각 연결하더라도 소비전력의 증가가 발생하지 않으며, 보상 인덕터를 4개로 연결하는 비용만 추가로 발생하므로 큰 비용의 증가가 없이 보상회로(110)를 구현할 수 있다.In the case of Figure 6, the inductor L1a, L1b, L1c, respectively, of the current flowing in L1d because it is half (I1/2) of the current (I1) flowing through the inductor L1 of Figure 3, each inductor (L1a , L1b, L1c, the sum of the power consumption in the power consumption of the L1d) isL 1 (I 1/2) 2/2 then four inductors(L 1a, L 1b, L 1c, L 1d) is L1 I12/2 becomes equal to the power consumption since the compensation inductor(L 1 I 1 2/2 ) L1 of the current I1 flowing in the case of Fig. Therefore, even if the
도 7은 보상회로(710)와 엘이디 부하회로(120)를 포함하는 본 발명의 제3실시예에 따른 엘이디 조명장치(700)를 구비하는 조명시스템을 나타낸 도면이다.FIG. 7 illustrates an illumination system including an
도 7에서, 도 3과 같이 신속점등식 안정기(130)의 소켓 일단부(132a)의 두 단자 a, b의 전압을 Va, Vb라 하고, 신속점등식 안정기(130)의 소켓 타단부(132b)의 두 단자 c, d의 전압을 Vc, Vd라 하면, (Va>Vb>Vc>Vd)이고, a, b 사이의 전압차와 c, d 사이의 전압차는 입력전원이 220 V인 경우 소정의 전압차(일반적으로, 약 4Vrms)를 갖는다. 즉, |Va-Vb|=|Vc-Vd|≒(4V)rms 가 된다.In FIG. 7, the voltages of the two terminals a and b of the socket one
도 7의 회로에서 (Va>Vb>Vc>Vd)이고, |Va-Vb|=|Vc-Vd|≒(4V)rms 인 점을 이용하여 정격전압 220V를 기준으로 입력 전압이 220V보다 낮은 곳에서는 Va-Vd, 220V보다 높은 곳에서는 Vb-Vc, 220V 근처인 곳에서는 Va-Vc 또는 Vb-Vd가 보상회로(110)의 입력단으로 선택되도록 스위치를 사용할 수 있다. 이때 스위치로는 직렬 인덕턴스-캐패시턴스 소자의 일단과 엘이디 조명장치(100)의 양단부에 구비된 접속단자 중 일단부의 접속단자(712a)를 연결하는 제1스위치(716a), 직렬 인덕턴스-캐패시턴스 소자의 타단과 엘이디 조명장치(100)의 양단부의 접속단자 중 타단부의 접속단자(712b)를 연결하는 제2스위치(716b)를 포함할 수 있다.In the circuit of FIG. 7, the voltage rating is 220V based on the point of (Va > Vb > Vc > Vd ) and | Va -Vb | = | Vc -Vd | ≒ (4V)rms . For example, Va -Vd where the input voltage is lower than 220V, Vb -Vc where it is higher than 220V, and Va -Vc or Vb -Vd where the input voltage is near 220V is the input terminal of the
도 8은 보상회로(810)와 엘이디 부하회로(820)를 포함하는 본 발명의 제4실시예에 따른 엘이디 조명장치(800)를 구비하는 조명시스템을 나타낸 도면이다.8 is a diagram illustrating an illumination system including an
도 1 내지 도 7이 1등식의 조명시스템을 나타낸 데 비해, 도 8은 2등식의 조명시스템을 나타낸 것이며, 보상회로(810)와 엘이디 부하회로(820)의 실제적인 연결관계를 나타낸 것이 아니라, 2등식의 조명시스템에 보상회로(810) 및 엘이디 부하회로(820)를 두개(822, 824) 연결하는 경우 조명시스템의 동작특성을 분석하기 위하여 그 원리를 설명하기 위한 도면이다.1 to 7 show a 1-light lighting system, FIG. 8 shows a 2-light lighting system, and does not show the actual connection relationship between the
2등식 조명시스템의 경우에도 1등식 조명시스템의 경우에 기존의 형광등 1개를 보상회로(110)와 엘이디 부하회로(120)를 사용하듯이 이를 기존의 이등식 형광등 조명시스템의 신속점등식 안정기(830)에 접속되는 형광등의 2개 위치에 동일한 방법으로 엘이디 조명장치(800)를 삽입한다. 실제로는 1등식 조명시스템과 2등식 조명시스템의 신속점등식 안정기의 동작점이 다르기 때문에 1등식 조명시스템에 적용했던 것과 동일한 파라메터의 값을 갖는 엘이디 조명장치(800)를 그대로 2등식 조명시스템에 적용하면 동일한 동작 특성을 보이지 못할 수가 있다. 하지만, 이렇게 하더라도 출력전력과 입력 역률특성 등이 유사하다는 것이 실험적으로 확인되며, 만약 보다 우수한 특성이 요구될 경우에는 수학식 1 내지 2를 사용하여 2등식 조명시스템에 맞게 보상 인덕터 및 보상 캐패시터의 용량을 설계하면 된다.In the case of the two-lamp lighting system, as in the case of the first-class lighting system, one conventional fluorescent lamp uses the
그 외에 3등식 조명시스템, 4등식 조명시스템의 경우에도 마찬가지의 설계 원리가 적용되며, 본 발명은 조명시스템 내에 삽입될 수 있는 형광등의 개수에 제한을 받지 않는다.In addition, the same design principle applies to a three-light system and a four-light system, and the present invention is not limited to the number of fluorescent lamps that can be inserted into the lighting system.
이상에서, 본 발명의 실시예를 구성하는 모든 구성 요소들이 하나로 결합되거나 결합되어 동작하는 것으로 설명되었다고 해서, 본 발명이 반드시 이러한 실시예에 한정되는 것은 아니다. 즉, 본 발명의 목적 범위 안에서라면, 그 모든 구성 요소들이 하나 이상으로 선택적으로 결합하여 동작할 수도 있다.In the above description, all elements constituting the embodiments of the present invention are described as being combined or operating in combination, but the present invention is not necessarily limited to the embodiments. In other words, within the scope of the present invention, all of the components may be selectively operated in combination with one or more.
또한, 이상에서 기재된 "포함하다", "구성하다" 또는 "가지다" 등의 용어는, 특별히 반대되는 기재가 없는 한, 해당 구성 요소가 내재될 수 있음을 의미하는 것이므로, 다른 구성 요소를 제외하는 것이 아니라 다른 구성 요소를 더 포함할 수 있는 것으로 해석되어야 한다. 기술적이거나 과학적인 용어를 포함한 모든 용어들은, 다르게 정의되지 않는 한, 본 발명이 속하는 기술 분야에서 통상의 지식을 가진 자에 의해 일반적으로 이해되는 것과 동일한 의미를 가진다. 사전에 정의된 용어와 같이 일반적으로 사용되는 용어들은 관련 기술의 문맥 상의 의미와 일치하는 것으로 해석되어야 하며, 본 발명에서 명백하게 정의하지 않는 한, 이상적이거나 과도하게 형식적인 의미로 해석되지 않는다.In addition, the terms "comprise", "comprise" or "having" described above mean that the corresponding component may be included, unless otherwise stated, and thus excludes other components. It should be construed that it may further include other components instead. All terms, including technical and scientific terms, have the same meanings as commonly understood by one of ordinary skill in the art unless otherwise defined. Terms commonly used, such as terms defined in a dictionary, should be interpreted to coincide with the contextual meaning of the related art, and shall not be construed in an ideal or excessively formal sense unless explicitly defined in the present invention.
이상의 설명은 본 발명의 기술 사상을 예시적으로 설명한 것에 불과한 것으로서, 본 발명이 속하는 기술 분야에서 통상의 지식을 가진 자라면 본 발명의 본질적인 특성에서 벗어나지 않는 범위에서 다양한 수정 및 변형이 가능할 것이다. 따라서, 본 발명에 개시된 실시예들은 본 발명의 기술 사상을 한정하기 위한 것이 아니라 설명하기 위한 것이고, 이러한 실시예에 의하여 본 발명의 기술 사상의 범위가 한정되는 것은 아니다. 본 발명의 보호 범위는 아래의 청구범위에 의하여 해석되어야 하며, 그와 동등한 범위 내에 있는 모든 기술 사상은 본 발명의 권리범위에 포함되는 것으로 해석되어야 할 것이다.The foregoing description is merely illustrative of the technical idea of the present invention, and various changes and modifications may be made by those skilled in the art without departing from the essential characteristics of the present invention. Therefore, the embodiments disclosed in the present invention are not intended to limit the technical idea of the present invention but to describe the present invention, and the scope of the technical idea of the present invention is not limited by these embodiments. The protection scope of the present invention should be interpreted by the following claims, and all technical ideas within the equivalent scope should be interpreted as being included in the scope of the present invention.
이상에서 설명한 바와 같이 본 발명은 기 설치되어 있는 신속점등식 안정기 뒷단에 형광등을 대체하는 LED 등의 발광소자를 설치함에 있어서, 보상회로를 적용하여 입력단의 역률이 1에 가까우면서도 출력을 안정적으로 낼 수 있도록 하는 효과가 있어 유용한 발명이다.
As described above, the present invention provides stable light output while the power factor of the input terminal is close to 1 by applying a compensation circuit when installing a light emitting device such as an LED to replace a fluorescent lamp at the rear end of a pre-equipped quick-lighting ballast. The invention is useful because it is effective.
| Application Number | Priority Date | Filing Date | Title |
|---|---|---|---|
| KR1020100099802AKR101102781B1 (en) | 2010-10-13 | 2010-10-13 | Power factor correction LED lighting device |
| JP2013533765AJP5680761B2 (en) | 2010-10-13 | 2011-10-11 | Power factor compensated LED lighting system |
| PCT/KR2011/007546WO2012050348A2 (en) | 2010-10-13 | 2011-10-11 | Power factor compensation type led lighting apparatus |
| Application Number | Priority Date | Filing Date | Title |
|---|---|---|---|
| KR1020100099802AKR101102781B1 (en) | 2010-10-13 | 2010-10-13 | Power factor correction LED lighting device |
| Application Number | Title | Priority Date | Filing Date |
|---|---|---|---|
| KR1020110137348ADivisionKR101276133B1 (en) | 2011-12-19 | 2011-12-19 | Power Factor Compensation-Type LED Lighting Apparatus |
| Publication Number | Publication Date |
|---|---|
| KR101102781B1true KR101102781B1 (en) | 2012-01-05 |
| Application Number | Title | Priority Date | Filing Date |
|---|---|---|---|
| KR1020100099802AExpired - Fee RelatedKR101102781B1 (en) | 2010-10-13 | 2010-10-13 | Power factor correction LED lighting device |
| Country | Link |
|---|---|
| KR (1) | KR101102781B1 (en) |
| Publication number | Priority date | Publication date | Assignee | Title |
|---|---|---|---|---|
| US9055636B2 (en) | 2012-09-24 | 2015-06-09 | Samsung Electronics Co., Ltd. | Light source driving device and illuminating apparatus using the same |
| US9439250B2 (en) | 2012-09-24 | 2016-09-06 | Samsung Electronics Co., Ltd. | Driving light emitting diode (LED) lamps using power received from ballast stabilizers |
| Publication number | Priority date | Publication date | Assignee | Title |
|---|---|---|---|---|
| KR20030023372A (en)* | 2001-09-13 | 2003-03-19 | 최승희 | Power supply circuit of electronic ballast |
| KR100917226B1 (en)* | 2009-02-17 | 2009-09-16 | 노현태 | Pin-to-pin type LED lamp with high compatibility |
| Publication number | Priority date | Publication date | Assignee | Title |
|---|---|---|---|---|
| KR20030023372A (en)* | 2001-09-13 | 2003-03-19 | 최승희 | Power supply circuit of electronic ballast |
| KR100917226B1 (en)* | 2009-02-17 | 2009-09-16 | 노현태 | Pin-to-pin type LED lamp with high compatibility |
| Publication number | Priority date | Publication date | Assignee | Title |
|---|---|---|---|---|
| US9055636B2 (en) | 2012-09-24 | 2015-06-09 | Samsung Electronics Co., Ltd. | Light source driving device and illuminating apparatus using the same |
| US9439250B2 (en) | 2012-09-24 | 2016-09-06 | Samsung Electronics Co., Ltd. | Driving light emitting diode (LED) lamps using power received from ballast stabilizers |
| Publication | Publication Date | Title |
|---|---|---|
| US8629621B2 (en) | Resonant network for reduction of flicker perception in solid state lighting systems | |
| US8625310B2 (en) | Method of supplying power, power supply apparatus for performing the method and display apparatus having the apparatus | |
| US9497814B2 (en) | Driver device and driving method for driving a load, in particular an LED unit | |
| US20100096976A1 (en) | Led fluorescent lamp | |
| KR101213455B1 (en) | The method and device for current balancing, led lighting equipment, lcd back/light module, lcd display equipment | |
| US20100237802A1 (en) | Current balancing device, led lighting device, and lcd b/l module | |
| KR20130129957A (en) | Synchronous regulation for led string driver | |
| US20100214210A1 (en) | Current balancing device, led lighting apparatus, lcd backlight module, and lcd display unit | |
| US20100327771A1 (en) | Method for controlling gas discharge lamps | |
| KR101276133B1 (en) | Power Factor Compensation-Type LED Lighting Apparatus | |
| US20100295471A1 (en) | Current balancing apparatus | |
| KR100996581B1 (en) | Power Supply Device Having Current Control Circuit for Power Factor Improvement | |
| US20110216567A1 (en) | Single switch inverter | |
| KR101102781B1 (en) | Power factor correction LED lighting device | |
| JP2010165546A (en) | Lighting device and illumination apparatus | |
| US20140361703A1 (en) | Led lighting converter | |
| US7940011B2 (en) | Lamp drive circuit for driving a number of lamps and balancing currents flowing through the lamps | |
| KR101452059B1 (en) | Power suuplying apparatus and power supplying apparatus | |
| WO2012050348A2 (en) | Power factor compensation type led lighting apparatus | |
| KR101240286B1 (en) | Power factor compensation-type led lighting apparatus | |
| US20100060191A1 (en) | Electric-discharge-lamp lighting apparatus | |
| KR101474077B1 (en) | Light emitting diode diriving circuit | |
| JP5680761B2 (en) | Power factor compensated LED lighting system | |
| JP2008258166A (en) | Fluorescent lamp drive power supply | |
| KR101839052B1 (en) | Power converter |
| Date | Code | Title | Description |
|---|---|---|---|
| A201 | Request for examination | ||
| PA0109 | Patent application | St.27 status event code:A-0-1-A10-A12-nap-PA0109 | |
| PA0201 | Request for examination | St.27 status event code:A-1-2-D10-D11-exm-PA0201 | |
| P11-X000 | Amendment of application requested | St.27 status event code:A-2-2-P10-P11-nap-X000 | |
| P13-X000 | Application amended | St.27 status event code:A-2-2-P10-P13-nap-X000 | |
| A302 | Request for accelerated examination | ||
| PA0302 | Request for accelerated examination | St.27 status event code:A-1-2-D10-D17-exm-PA0302 St.27 status event code:A-1-2-D10-D16-exm-PA0302 | |
| D13-X000 | Search requested | St.27 status event code:A-1-2-D10-D13-srh-X000 | |
| D14-X000 | Search report completed | St.27 status event code:A-1-2-D10-D14-srh-X000 | |
| E902 | Notification of reason for refusal | ||
| PE0902 | Notice of grounds for rejection | St.27 status event code:A-1-2-D10-D21-exm-PE0902 | |
| T11-X000 | Administrative time limit extension requested | St.27 status event code:U-3-3-T10-T11-oth-X000 | |
| AMND | Amendment | ||
| P11-X000 | Amendment of application requested | St.27 status event code:A-2-2-P10-P11-nap-X000 | |
| P13-X000 | Application amended | St.27 status event code:A-2-2-P10-P13-nap-X000 | |
| E601 | Decision to refuse application | ||
| PE0601 | Decision on rejection of patent | St.27 status event code:N-2-6-B10-B15-exm-PE0601 | |
| T11-X000 | Administrative time limit extension requested | St.27 status event code:U-3-3-T10-T11-oth-X000 | |
| A107 | Divisional application of patent | ||
| AMND | Amendment | ||
| E13-X000 | Pre-grant limitation requested | St.27 status event code:A-2-3-E10-E13-lim-X000 | |
| P11-X000 | Amendment of application requested | St.27 status event code:A-2-2-P10-P11-nap-X000 | |
| P13-X000 | Application amended | St.27 status event code:A-2-2-P10-P13-nap-X000 | |
| PA0107 | Divisional application | St.27 status event code:A-0-1-A10-A18-div-PA0107 St.27 status event code:A-0-1-A10-A16-div-PA0107 | |
| PX0901 | Re-examination | St.27 status event code:A-2-3-E10-E12-rex-PX0901 | |
| PX0701 | Decision of registration after re-examination | St.27 status event code:A-3-4-F10-F13-rex-PX0701 | |
| X701 | Decision to grant (after re-examination) | ||
| GRNT | Written decision to grant | ||
| PR0701 | Registration of establishment | St.27 status event code:A-2-4-F10-F11-exm-PR0701 | |
| PR1002 | Payment of registration fee | St.27 status event code:A-2-2-U10-U11-oth-PR1002 Fee payment year number:1 | |
| PG1601 | Publication of registration | St.27 status event code:A-4-4-Q10-Q13-nap-PG1601 | |
| R18-X000 | Changes to party contact information recorded | St.27 status event code:A-5-5-R10-R18-oth-X000 | |
| S14-X000 | Exclusive voluntary license recorded | St.27 status event code:A-4-4-S10-S14-lic-X000 | |
| R18-X000 | Changes to party contact information recorded | St.27 status event code:A-5-5-R10-R18-oth-X000 | |
| PN2301 | Change of applicant | St.27 status event code:A-5-5-R10-R13-asn-PN2301 St.27 status event code:A-5-5-R10-R11-asn-PN2301 | |
| R18-X000 | Changes to party contact information recorded | St.27 status event code:A-5-5-R10-R18-oth-X000 | |
| FPAY | Annual fee payment | Payment date:20150226 Year of fee payment:4 | |
| PR1001 | Payment of annual fee | St.27 status event code:A-4-4-U10-U11-oth-PR1001 Fee payment year number:4 | |
| PR1001 | Payment of annual fee | St.27 status event code:A-4-4-U10-U11-oth-PR1001 Fee payment year number:5 | |
| FPAY | Annual fee payment | Payment date:20161129 Year of fee payment:6 | |
| PR1001 | Payment of annual fee | St.27 status event code:A-4-4-U10-U11-oth-PR1001 Fee payment year number:6 | |
| LAPS | Lapse due to unpaid annual fee | ||
| PC1903 | Unpaid annual fee | St.27 status event code:A-4-4-U10-U13-oth-PC1903 Not in force date:20171230 Payment event data comment text:Termination Category : DEFAULT_OF_REGISTRATION_FEE | |
| PC1903 | Unpaid annual fee | St.27 status event code:N-4-6-H10-H13-oth-PC1903 Ip right cessation event data comment text:Termination Category : DEFAULT_OF_REGISTRATION_FEE Not in force date:20171230 | |
| R18-X000 | Changes to party contact information recorded | St.27 status event code:A-5-5-R10-R18-oth-X000 | |
| P22-X000 | Classification modified | St.27 status event code:A-4-4-P10-P22-nap-X000 | |
| P22-X000 | Classification modified | St.27 status event code:A-4-4-P10-P22-nap-X000 | |
| PN2301 | Change of applicant | St.27 status event code:A-5-5-R10-R13-asn-PN2301 St.27 status event code:A-5-5-R10-R11-asn-PN2301 | |
| R18-X000 | Changes to party contact information recorded | St.27 status event code:A-5-5-R10-R18-oth-X000 | |
| P22-X000 | Classification modified | St.27 status event code:A-4-4-P10-P22-nap-X000 | |
| R18-X000 | Changes to party contact information recorded | St.27 status event code:A-5-5-R10-R18-oth-X000 | |
| R18-X000 | Changes to party contact information recorded | St.27 status event code:A-5-5-R10-R18-oth-X000 |