





본 발명은 암세포 사멸 유도 효과를 나타내는 필발 추출물 및 아실아마이드 화합물에 관한 것이다.The present invention relates to an essential extract and an acylamide compound which exhibits cancer cell death inducing effect.
세계보건기구에 의하면 세계적인 암 발병률은 2000년에 1,000만 명에서 2020년에는 1,500만 명으로 증가할 것으로 예측하고 있는데 이는 고령화 추세와 흡연, 그리고 비 건강적인 생활습관에 주로 기인한다고 밝히고 있다. 이러한 증가추세는 결국 암 치료제 시장의 성장과 맞물리게 되는데, 2010년대엔 600억 달러에 이르는 세계 항암제 시장이 형성될 것으로 내다보고 있다.According to the World Health Organization, global cancer incidence is expected to increase from 10 million in 2000 to 15 million by 2020, mainly due to the aging trend, smoking and unhealthy lifestyles. This increase will eventually coincide with the growth of the cancer drug market, which is expected to create a $ 60 billion global anticancer drug market in 2010.
전립선암의 경우엔 2006년까지 50대 이상 남성의 약 1.15억 명이 양성 전립선비대증(Benign Prostatic Hyperplasia, BPH)을 앓고 있는데, 생명에 위험이 없는 증상에도 불구하고 그 시장 규모는 약 100억 달러에 달하고 있어 전립선암 시장을 고려한다면 매우 큰 잠재성을 가지고 있음을 알 수 있다. 이와 같이 고령화 사회가 되면서 남성에게 일반적으로 찾아오는 전립선 비대증인 양성종양으로부터 악성종양인 전립선암으로의 진행의 비율도 높아져 전립선암 치료제뿐만이 아닌, 예방 제로서의 개념에서도 치료시장 활성화의 속도가 높게 되는 것으로 나타나고 있다.In the case of prostate cancer, by 2006, about 115 million men in their 50s and over had Benign Prostatic Hyperplasia (BPH). Therefore, if you consider the prostate cancer market, it has great potential. As the aging society increases, the rate of progression from benign tumors, which are common to men, to prostate cancer, which is a malignant tumor, is also increasing, and thus the speed of revitalization of the treatment market is increasing not only in the treatment of prostate cancer but also as a preventive agent. Appearing.
특히, 전립선암의 1차적 치료시도는 많은 경우에 있어서 호르몬 요법에 의존을 하나 이후의 치료방법에 있어서는 화학적 치료제를 사용할 수밖에 없는 것이 현실이며, 계속해서 새로운 작용점을 기반으로 한 화학치료제 개발에 투자가 이루어지고 있다. 대표적으로 몇 년 전 세계시장에서는 루프론이라는 전립선암 치료제가 등장을 했고 국내시장에서도 엘록사틴의 판매가 급등하였다.In particular, primary treatment attempts for prostate cancer rely on hormonal therapy in many cases, but in the subsequent treatment methods, there is no choice but to use chemotherapeutic agents. It is done. A few years ago, the prostate cancer drug called loopron appeared in the global market, and sales of eloxatin surged in the domestic market.
미국의 경우, 새로운 전립선암 치료법 개발에 큰 관심이 일고 있는데, 그동안은 전립선암 치료의 부작용 때문에 전립선암 연구에 대하여 거의 무관심 하였고 업계와 정부도 전립선암 연구에의 투자에는 상대적으로 도외시하여 왔다. 예를 들어 유방암 연구는 유방암이 전립선암과 비슷한 치사율을 가지고 있음에도 불구하고 4배나 더 많은 연구지원비를 받고 있다. 그러나, 최근에는 전립선암에 대한 인식이 높아지고 있고 대중의 인식을 높이기 위한 노력이 갈수록 뜨거워지고 있는데, 상원의원을 비롯한 정치인들이 전립선암을 공개적으로 논함으로써 전립선암에 대한 대중의 인식을 높이는데 도움을 주었으며, 대중의 인식이 향상됨과 동시에 치료법도 차츰 개선되고 있다. 10년 전만 해도 전립선을 치료하는 방법은 성기능과 배뇨억제능력을 상실케 하는 수술법 말고는 대안적인 치료법이 없었다. 하지만, 기존의 치료법을 새로운 방식으로 응용하고 수백만 달러가 새로운 연구 활동에 투입돼 새로운 전립선암 치료법이 개발되고 있다.In the United States, interest in developing new prostate cancer therapies has been largely indifferent to prostate cancer research because of the side effects of prostate cancer treatment, and the industry and government have relatively neglected investment in prostate cancer research. For example, breast cancer research has received four times more funding, even though breast cancer has similar mortality rates to prostate cancer. However, in recent years, awareness of prostate cancer has increased and efforts to raise public awareness are heating up, helping senators and other politicians publicly discuss prostate cancer to help raise public awareness of prostate cancer. In addition to improving public awareness, therapies are gradually improving. Ten years ago, there was no alternative to treating the prostate gland except for surgery that would cause loss of sexual function and urination control. However, new prostate cancer therapies are being developed by applying existing therapies in new ways and spending millions of dollars into new research activities.
최근 미국의 한 연구 결과에 의하면 50대의 30%에서 전립선 암세포가 발견되었다는 보고가 있는데, 전립선암은 현재 미국에서 가장 빈번하게 진단되는 질병으 로서 매년 30여 만 건이 발생하고 있다. 또한, 전립선암에 걸려 매년 41,400명이 사망하고 있어 미국에서 암으로 인한 사망원인 중에서 2위를 차지하고 있고 남성 암 발병율의 1위를 차지하고 있다[J. Am. Med. Assoc. 294; 1255-59, 2005]. 50세가 넘어가면서 전립선암 발생이 증가하기 시작하여서 60세가 넘어가게 되면 눈에 띄게 증가하는데 이는 남성 평균 수명이 약 74세 정도이며 점차 고령화 사회로 진행되어감을 고려할 때 매우 큰 사회적 문제가 되고 있다.A recent US study found that 30% of prostate cancer cells were found in the 50s. Prostate cancer is the most frequently diagnosed disease in the United States, with more than 300,000 cases occurring each year. In addition, 41,400 people die each year from prostate cancer, making it the second leading cause of cancer deaths in the United States and the number one in men's cancer incidence [J. Am. Med. Assoc. 294; 1255-59, 2005]. The incidence of prostate cancer began to increase after the age of 50, and markedly increased after the age of 60, which is a significant social problem considering that the average male life expectancy is about 74 years and gradually progresses to an aging society.
우리나라 전립선암의 경우 미국이나 유럽에서는 남성 암 사망자의 약 20%를 차지하는 빈도 높은 암이지만 우리나라에서는 약 1.2%로 비교적 빈도가 낮다. 그러나, 식생활의 서구화 및 고령화 사회로의 이행에 따라 그 빈도는 증가하는 추세인데, 연령별로 보면 45세 이하의 남성에서는 드물고, 50세 이후부터 고령이 될수록 빈도가 두 배 이상씩 높아져, 전립선암은 고령자의 암이라고도 말할 수 있을 것이다. 또한, 최근 경제성장과 노인인구의 증가, 서구화된 음식섭취, 진단기법의 발달로 전립선암의 빈도가 높아지고 있을 뿐만 아니라 관심도 많아지고 있다. 그리고, 얼마 전 프랑스의 미테랑 전 대통령이 전립선암으로 별세하고 중국의 등소평이 전립선암을 앓고 있었으며, 우리나라에서도 장래가 촉망되던 모 정치가가 전립선암으로 사망한 사실 등이 뉴스에 보도됨으로써 전립선암에 대한 관심이 높아지고 있다.In Korea, prostate cancer is a cancer that accounts for 20% of male cancer deaths in the United States and Europe, but it is relatively low in Korea (1.2%). However, the frequency of diet is increasing with the transition to the westernized and aging society. By age, it is rare in men younger than 45 years old, and the frequency increases more than twice as old as 50 years old. It may be said that it is cancer of elderly person. In addition, the recent growth of the population, the elderly population, westernized food intake, the development of diagnostic techniques are increasing the frequency of prostate cancer as well as the interest is increasing. Recently, the former president of France's Miteran died of prostate cancer, Deng Xiaoping of China suffered from prostate cancer, and the news of the death of prostate cancer from a mother politician who was promising the future in Korea was reported. Interest is growing.
전립선암 발생은 해마다 급격히 증가추세인데, 전립선암은 조기에 발견되면 치료율이 높은 편이나 암 징후가 없어 대부분 말기에 발견이 되어 사망률이 매우 높다. 또한, 한국사회가 고령화로 치달으면서 노년기 남성들이 잘 걸리는 전립 선암도 덩달아 급증하고 있어 한 해 전립선암으로 새로 진단받는 환자수가 1984년 181명에 불과하던 전립선암 신규 환자가 2004년 3730명으로 20년 동안 20.6배 급증했다. 따라서, 우리나라도 그동안 도외시 되어왔던 전립선암 치료제 개발에 더욱 많은 투자가 이루어져야 하며 이를 위하여 더욱 심도있는 전립선 세포암화에 대한 기초 연구가 필요하다.The incidence of prostate cancer increases rapidly every year. Prostate cancer is found early in life, but the rate of treatment is high, but there are no signs of cancer. In addition, as the Korean society is aging, prostate cancer, which is more common in older men, is rapidly increasing, and the number of newly diagnosed patients with prostate cancer is 3,800 in 2004. Soaring 20.6 times. Therefore, Korea should invest more in the development of prostate cancer treatments, which have been neglected in the past, and for this, further research on prostate cell carcinization is necessary.
전립선암은 그 자체로서가 사망률이 높은 것이 아니라, 매우 느리게 진행이 되므로 이미 발견이 되었을 때에는 상당한 진행이 이루어진 후이므로 사망률이 매우 높다[In Vivo, 8; 439-43, 1994]. 전립선암이 심화될 경우 안드로겐 비의존성으로 변하게 되는데, 이러한 상황에서는 전립선 세포중의 기질세포(stromal cell)는 스스로의 성장인자들을 발현, 분비하여 자신 주변의 세포들에 영향을 미치게 되어 더욱 세포 암화의 범위가 넓어지게 되는데, EGF, TGFα, bFGF, IGF-1 등의 세포성장인자들과 이들의 수용체들의 발현이 대표적인 경우이다. 이렇게 발현된 단백질들은 주변의 전립선 상피세포(epithelial cell)를 안드로겐 의존성에서 비의존성으로 바꾸는 역할을 하게 되는데, DU-145와 PC3 등의 전립선암 세포들은 bFGF를 스스로 만들어 흉선이 제거된 쥐(athymic mouse)에서도 암을 일으킨다. 위와 같은 성장인자들에 의한 신호전달과정을 보면 전립선 상피세포의 세포막에 있는 Ras 단백질이 매우 중요한 역할을 하게 되는데, 대부분의 전립선 세포 암화 과정의 신호들은 Ras에 모아지게 된다. Ras의 활성화는 GTP의 흡착에 의해 이루어지는데, 이 후에 Raf-MEK-ERK 등 일련의 단백질들의 결합과 활성화가 일어나고 다시 세포 핵 내의 유전자 전사가 일어나 세포 암화를 유발하게 된다. 이때 발 현되는 유전자들은 비록 안드로겐에 의해 발현이 일어나도록 구조(androgen response element, ARE)를 가지고는 있지만, 앞에서 언급된 성장인자들에 의해 안드로겐 없이도 유전자 발현이 일어나 결국 안드로겐 비의존성 발현이 된다. 따라서, Ras 단백질을 효과적으로 조절한다면 전립선 세포암화를 차단할 수 있게 되는데, 실제로 Oncolytics 회사에서 개발된 레오리신(Reolysin)은 Ras 단백질을 타겟으로 하여 현재 임상시험 중에 있다.Prostate cancer does not have a high mortality rate on its own, but progresses very slowly, and since it has already been discovered, significant progress has been made [In Vivo, 8; 439-43, 1994]. When prostate cancer is intensified, it is changed to androgen independence. In this situation, stromal cells in the prostate cells express and secrete their growth factors and affect the cells around them, which leads to more cellular cancer. The range is widened, expression of cell growth factors such as EGF, TGFα, bFGF, IGF-1 and their receptors is a typical case. These proteins are responsible for transforming the surrounding prostate epithelial cells from androgen-independent to prostate cancer cells, such as DU-145 and PC3, which make bFGF by itself to remove thymus (athymic mouse). ) Causes cancer. In the signal transduction process by these growth factors, Ras protein in the cell membrane of prostate epithelial cells plays a very important role. Most prostate cell carcinogenesis signals are collected in Ras. Ras activation is performed by adsorption of GTP, followed by binding and activation of a series of proteins such as Raf-MEK-ERK, followed by gene transcription in the cell nucleus, leading to cell cancer. The genes expressed at this time have a structure (androgen response element, ARE) to be expressed by androgens, but gene expression occurs without androgens by the growth factors mentioned above, and eventually become androgen-independent expression. Therefore, effective control of Ras protein could block prostate cell carcinoma. Indeed, Leolysin, developed by Oncolytics, is currently in clinical trials targeting Ras protein.
그렇지만 안타깝게도 현재로서는, 잠복성의 비 전이성 전립선암과 높은 전이성의 전립선암을 구분할 수 있는 방법을 가지고 있지 못하고 있는 실정이다. 또한, 현재까지의 연구는 대부분 특정 전립선암 세포에서의 결과이며 세포에 따라 다른 양상을 나타내고 있어 좀 더 효과적인 타겟 접근 방식에 의해 새로운 전립선암 치료제가 발굴된다면 현재의 전립선암의 위험과 사망률을 매우 낮출 수 있을 것이다.Unfortunately, for now, there is no way to distinguish between latent and non-metastatic prostate cancer. In addition, most of the studies to date have resulted in specific prostate cancer cells and are cell-specific, suggesting that new prostate cancer therapies can be found to lower the risk and mortality of current prostate cancers if a more effective target approach is identified. Could be.
이에, 본 발명자들은 선진국 남성 사망율 1위를 차지하는 전립선암 치료제 발굴을 목표로 세포사멸 유도물질을 식물 추출물로부터 탐색하여 세포사멸 활성화에 효과적인 아실아마이드 화합물을 필발로부터 분리하였고, 이들이 마우스 동물모델에서 전립선암의 크기를 감소시키는 효과가 있음을 밝힘으로써 본 발명을 완성하게 되었다. 더불어, 상기 아실아마이드 화합물이 혈액암과 간암에 대한 세포 사멸 활성도 갖고 있음을 확인하였다.Therefore, the present inventors searched for apoptosis inducers from plant extracts to target prostate cancer treatment drugs, which is the leading male mortality rate in developed countries, and isolated acylamide compounds effective for activating apoptosis from the pilates. The present invention has been completed by revealing that there is an effect of reducing the size of. In addition, it was confirmed that the acylamide compound also has apoptosis activity against hematologic and liver cancer.
따라서, 본 발명은 필발 추출물 또는 다음 화학식 1로 표시되는 아실아마이드 화합물을 유효성분으로 함유하는 암 예방 및 치료용 조성물을 제공하는데 그 목적이 있다;Accordingly, an object of the present invention is to provide a composition for preventing and treating cancer containing an essential extract or an acylamide compound represented by the following
[화학식 1][Formula 1]
상기 화학식 1에서,는 단일결합 또는 이중결합을 나타내고, n이 5 내지 9의 정수이고; R 및 R'는 각각 수소원자 또는 C2-C6의 직쇄 또는 분쇄형의 알킬기이거나, 또는 R 및 R'은 이들이 결합되어 있는 질소원자와 함께 5 내지 7각형의 헤테로사이클릭알킬기를 형성할 수 있다.In
본 발명은 필발 추출물 또는 이로부터 분리된 다음 화학식 1로 표시되는 아실아마이드 화합물을 유효성분으로 함유하는 암 예방 및 치료용 조성물을 그 특징으로 한다;The present invention is characterized by a composition for preventing and treating cancer, which contains an essential extract or an isolated acylamide compound represented by the following formula (1) as an active ingredient;
[화학식 1][Formula 1]
상기 화학식 1에서,는 단일결합 또는 이중결합을 나타내고, n이 5 내지 9의 정수이고; R 및 R'는 각각 수소원자 또는 C2-C6의 직쇄 또는 분쇄형의 알킬기이거나, 또는 R 및 R'은 이들이 결합되어 있는 질소원자와 함께 5 내지 7각형의 헤테로사이클릭알킬기를 형성할 수 있다.In
이와 같은 본 발명을 더욱 상세히 설명하면 다음과 같다.Hereinafter, the present invention will be described in detail.
본 발명은 세포사멸효소인 카스파제-3(caspase-3)의 활성을 유도하고, 나아가 암 동물모델에서 암의 크기를 경감시키는 효과를 나타내는 상기 아실아마이드 화합물에 관한 것이다.The present invention relates to the above acylamide compounds which induce the activity of caspase-3, an apoptosis enzyme, and further reduce the size of cancer in cancer animal models.
상기 화학식 1로 표시되는 아실아마이드 화합물은이 이중결합이고, n이 6 또는 8이며; R 및 R'는 각각 수소원자 또는 C2-C6의 직쇄 또는 분쇄형의 알킬기이거나, 또는 R 및 R'은 이들이 결합되어 있는 질소원자와 함께 5 내지 7각형의 헤테로사이클릭알킬기를 형성할 수 있 것이 더욱 바람직하다.     상기 화학식 1로 표시되는 아실아마이드 화합물은 다음 화학식 1a 또는 화학식 1b로 표시되는 화합물이 더욱 더 바람직하며, 가장 바람직하기로는 화학식 1a-1, 1a-2, 1a-3, 1b-1 및 1b-2 중에서 선택된 것이다.Acylamide compound represented by
[화학식 1a-1][Formula 1a-1]
[화학식 1b][Chemical Formula 1b]
상기 화학식 1a 및 화학식 1b에서,는 단일결합 또는 이중결합을 나타내고, n이 5 내지 9의 정수이다.In Formula 1a and Formula 1b, Represents a single bond or a double bond and n is an integer of 5-9.
[화학식 1a-1][Formula 1a-1]
[화학식 1b-1][Formula 1b-1]
[화학식 1a-2][Formula 1a-2]
[화학식 1b-2][Formula 1b-2]
[화학식 1a-3][Formula 1a-3]
본 발명의 유효성분인 아실아마이드 화합물의 분리방법은 다음과 같다.Separation method of the acylamide compound which is the active ingredient of the present invention is as follows.
(1) 필발(Piper longum)을 분쇄한 후 알콜 수용액을 필발 함량 대비 3 ~ 10배를 넣어 3회 용매 추출하는 단계;(1) pulverizing thepiper longum and extracting the solvent three times by adding 3-10 times the aqueous alcohol solution to the content of the hairbrush;
(2) 상기 추출단계에서 얻어진 여액을 증발 농축한 후, 농축액을 50 ~ 100배 부피의 증류수에 현탁한 후 동량의 클로로포름 및 에틸 아세테이트 등의 유기용매로 활성물질을 추출, 농축하여 엑기스를 얻는 단계 및;(2) evaporating and concentrating the filtrate obtained in the extraction step, and then suspending the concentrate in distilled water having a volume of 50 to 100 times, extracting and concentrating the active substance with an organic solvent such as chloroform and ethyl acetate in the same amount to obtain an extract. And;
(3) 상기 엑기스에서 활성물질을 분리하기 위해서 RP-18 컬럼을 전개용매 30% MeOH부터 100% MeOH까지 500 ml씩 용출시켜 용출액을 감압 농축하는 단계(3) eluting the RP-18 column from developing solvent 30% MeOH to 100% MeOH by 500 ml in order to separate the active substance from the extract and concentrating the eluate under reduced pressure.
(4) 그 후 농축된 활성분획을 정제하기위해 역상 C18 레진으로 충진한 컬럼(시세이도 캡셀 팩 역상 C18 컬럼; 10 × 250 mm 사이즈; 5 ㎛ 입자크기)을 이용한 HPLC를 용출용매로 97.5% MeOH를 사용하고, 용출속도 3 ml/min로 실시하여 254 nm 의 파장에서 흡광도를 측정하는 방법으로 PL-2(25.6분대 용출시간, 화학식 2a), PL-3(30.4분대 용출시간, 화학식 3a), PL-4(35.3분대 용출시간, 화학식 2b), PL-6(46.2분대 용출시간, 화학식 3b), PL-7(50.3분대 용출시간, 화학식 2c)을 분리 정제하는 단계로 이루어진다.(4) Then, HPLC using a column filled with reverse phase C18 resin (Shiseido Capsel Pack reverse phase C18 column; 10 × 250 mm size; 5 μm particle size) to purify the concentrated active fraction was carried out using 97.5% MeOH as eluent. PL-2 (25.6-minute elution time, Formula 2a), PL-3 (30.4-minute elution time, Formula 3a), PL by measuring the absorbance at a wavelength of 254 nm by using a dissolution rate of 3 ml / min. -4 (35.3 component elution time, formula 2b), PL-6 (46.2 component elution time, formula 3b), PL-7 (50.3 component elution time, formula 2c) is separated and purified.
상기 필발로부터 분리하여 얻은 아실아마이드 화합물이 세포사멸효소의 활성화를 유도하고, K-Ras 암 유전자가 과발현된 267B1/K-ras 전립선암 세포주를 주입한 마우스 동물모델에서 전립선암의 크기를 현저히 줄이는 효과를 나타내었으며, HBx 간암 유전자에 의해 만들어진 Chang/HBx 간암세포의 사멸도 효과적으로 유도함을 지방산 생합성 효소를 저해하고, 렙틴 수용체(leptin receptor) 이상으로 비만을 보이고 있어 전립선암을 비롯하여 간암 등 여러 암에 치료제로 사용될 가능성이 큰 물질을 개발하였다.Acylamide Compounds Isolated from the Induced Induced Activation of Apoptosis and Significantly Reduced Prostate Cancer in Mouse Animal Models Infused with 267B1 / K-ras Prostate Cancer Cell Line Overexpressed K-Ras Cancer Gene It inhibits fatty acid biosynthesis enzymes and effectively induces the death of Chang / HBx hepatocellular carcinoma cells produced by HBx hepatocellular carcinoma gene, and has been shown to be obese above leptin receptor, thereby treating prostate cancer and other cancers. We have developed a material that is likely to be used.
따라서, 본 발명은 필발 추출물 또는 이로부터 분리된 아실아마이드 화합물을 유효성분으로 포함하는 암 예방 및 치료 조성물을 포함한다.Therefore, the present invention includes a cancer prevention and treatment composition comprising the essential extract or an acylamide compound isolated therefrom as an active ingredient.
또한, 상기 아실아마이드 화합물은 유효성분으로서 경구 투여용 제형, 예를 들면 정제, 트로키제(troches), 로진지(lozenge), 수용성 또는 유성현탁액, 조제분말, 산제 또는 과립, 에멀젼, 하드 또는 소프트 캅셀, 현탁액, 유화액, 시럽 또는 엘릭실제(elixirs)로 제제화된다. 정제 및 캅셀 등의 제형으로 제제화하기 위해 락토오스, 사카로오스, 솔비톨, 만니톨, 전분, 아밀로펙틴, 셀룰로오스 또는 젤라틴과 같은 결합제; 디칼슘 포스페이트와 같은 부형제; 옥수수 전분 또는 고구마 전분과 같은 붕괴제; 스테아린산 마그네슘, 스테아린산 칼슘, 스테아릴푸마르산 나 트륨 또는 폴리에틸렌글리콜 왁스와 같은 윤활유가 함유된다. 캅셀제형의 경우는 상기에서 언급한 물질 이외에도 지방유와 같은 액체 담체를 함유한다. 또한, 상기 유효성분은 비경구로 투여할 수 있으며, 비경구 투여는 피하주사, 정맥주사, 근육 내 주사 또는 흉부 내 주사 주입방식에 의한다. 비경구 투여용 제형으로 제제화하기 위해서는 상기 조성물을 안정제 또는 완충제와 함께 물에서 혼합하여 용액으로 제조하고 이를 앰플 또는 바이알의 단위 투여형으로 제제화한다.In addition, the acylamide compound is an active ingredient as an active ingredient, for example, tablets, troches, lozenges, water-soluble or oily suspensions, preparation powders, powders or granules, emulsions, hard or soft capsules. , Suspensions, emulsions, syrups or elixirs. Binders such as lactose, saccharose, sorbitol, mannitol, starch, amylopectin, cellulose or gelatin for formulation into formulations such as tablets and capsules; Excipients such as dicalcium phosphate; Disintegrants such as corn starch or sweet potato starch; Lubricants such as magnesium stearate, calcium stearate, sodium stearyl fumarate or polyethylene glycol wax are contained. In the case of the capsule formulation, in addition to the substances mentioned above, it contains a liquid carrier such as fatty oil. In addition, the active ingredient can be administered parenterally, parenteral administration is by subcutaneous injection, intravenous injection, intramuscular injection or intrathoracic injection injection method. To formulate into a parenteral formulation, the composition is prepared in solution by mixing in water with stabilizers or buffers and formulated into unit dosage forms of ampoules or vials.
상기 유효성분의 유효투입량은 환자의 나이, 신체적 조건, 몸무게 등에 의해 다양화될 수 있지만, 일반적으로 10 내지 100 ㎎/㎏(몸무게)/1일 범위 내에서 투여하는 것이 바람직하다. 그리고, 1일 유효투입량 범위 내에서 하루에 한번 또는 하루에 여러 번 나누어 투입할 수 있다.The effective amount of the active ingredient may be varied depending on the age, physical condition, weight, etc. of the patient, but in general, it is preferable to administer within the range of 10 to 100 mg / kg (weight) / day. In addition, within a daily effective dosage range, it can be injected once or divided into several times a day.
이상에서 설명한 바와 같이, 본 발명에 따른 필발로부터 얻은 아실아마이드 화합물은 전립선암 및 혈액암, 간암 세포 사멸을 유도하고 특히 동물모델에서 전립선암에 대한 항암 효과가 우수하므로, 이를 유효성분으로 함유하는 항암제로 사용할 수 있다.As described above, the acylamide compound obtained from the invention according to the present invention induces prostate cancer, hematologic cancer, and hepatocarcinoma cell death, and particularly, an anticancer agent containing it as an active ingredient because it has an excellent anticancer effect on prostate cancer in animal models. Can be used as
이하, 본 발명을 실시예에 의거하여 더욱 상세히 설명하겠는 바, 본 발명이 실시예에 의해 한정되는 것은 아니다.Hereinafter, the present invention will be described in more detail with reference to Examples, but the present invention is not limited by Examples.
실시예 1 : 필발로부터 세포사멸 활성물질의 분리Example 1 Isolation of Apoptosis Activator
분쇄한 필발(Piper longum)을 함량대비 10 배량의 알코올성 용매를 사용하여 활성물질이 용출할 수 있도록 5시간 동안 환류 추출한 후 상기 알코올성 용매 추출액을 감압 농축하였다. 그런 다음, 농축된 분획을 50 배량의 증류수에 현탁하고 동량의 에틸아세테이트 등의 유기용매로 3 회에 걸쳐 용매 분획하여 활성물질을 포함하는 조 추출물을 얻었다. 상기에서 얻어진 조 추출물의 활성물질을 분리하기 위해서 RP-18 컬럼을 전개용매 30% MeOH부터 100% MeOH까지 500 ml씩 용출시켜 용출액을 감압 농축하였다. 그 후 농축된 활성분획을 정제하기 위해 역상 C18 레진으로 충진한 컬럼(시세이도 캡셀 팩 역상 C18 컬럼; 10 × 250 mm 사이즈; 5 ㎛ 입자크기)을 이용한 HPLC를 용출용매로 97.5% MeOH를 사용하고, 용출속도 3 ml/min로 실시하여 254 nm의 파장에서 흡광도를 측정하는 방법으로 PL-2(25.6분대 용출시간), PL-3(30.4분대 용출시간), PL-4(35.3분대 용출시간), PL-6(46.2분대 용출시간), PL-7(50.3분대 용출시간)을 분리하였다[도 1].The pulverized piper (Plumlongum ) was extracted under reflux for 5 hours so that the active substance was eluted using 10 times the amount of alcoholic solvent, and the alcoholic solvent extract was concentrated under reduced pressure. Then, the concentrated fraction was suspended in 50 times of distilled water and solvent fractionated three times with an organic solvent such as ethyl acetate to obtain a crude extract containing the active substance. In order to separate the active material of the crude extract obtained above, the RP-18 column was eluted at 500 ml from developing solvent 30% MeOH to 100% MeOH, and the eluate was concentrated under reduced pressure. Then, using a column filled with reverse phase C18 resin (Shiseido Capsel Pack reverse phase C18 column; 10 × 250 mm size; 5 μm particle size), 97.5% MeOH was used as the eluent to purify the concentrated active fraction. A method of measuring the absorbance at a wavelength of 254 nm by dissolution rate of 3 ml / min, PL-2 (25.6 minutes elution time), PL-3 (30.4 minutes elution time), PL-4 (35.3 minutes elution time), PL-6 (46.2 minutes elution time) and PL-7 (50.3 minutes elution time) were separated [FIG. 1].
실시예 2 : 필발로부터 분리된 세포사멸 활성물질의 구조 확인Example 2 Confirmation of Structure of Apoptosis Activator
필발의 메탄올 추출물로부터 분리한 PL-2, PL-3, PL-4, PL-6 및 PL-7의 물리 화학적 특성은 다음 표 1에 나타내었다.The physicochemical properties of PL-2, PL-3, PL-4, PL-6, and PL-7 isolated from the methanol extracts of the primary are shown in Table 1 below.
필발에서 분리된 5가지의 활성물질은 옅은 노란색의 오일형태이었다. 고해상도 질량분석(ESI-mass)을 측정하여 PL-2의 분자량은 333.30이고 PL-3의 분자량은 345.30, PL-4의 분자량은 361.33, PL-6의 분자량은 373.33, PL-7의 분자량은 363.35 m/z를 나타내었다. 본 화합물들은 다 메탄올, DMSO에는 잘 용해되었지만 물에는 잘 용해되지 않았다. 또한, RP18 TLC에서 100% 메탄올(MeOH) 전개용매에서 0.5(PL-2)와 0.4(PL-3, 4), 0.37(PL-6), 0.3(PL-7)의 Rf 값을 보였다.The five active substances isolated from the draw were in the form of a pale yellow oil. High resolution mass spectrometry (ESI-mass) was measured and the molecular weight of PL-2 was 333.30, the molecular weight of PL-3 was 345.30, the molecular weight of PL-4 was 361.33, the molecular weight of PL-6 was 373.33, and the molecular weight of PL-7 was 363.35. m / z is indicated. The compounds were well dissolved in methanol and DMSO but not in water. In addition,Rf values of 0.5 (PL-2), 0.4 (PL-3, 4), 0.37 (PL-6), and 0.3 (PL-7) in 100% methanol (MeOH) developing solvent were shown in RP18 TLC.
이들 화합물의 화학 구조를 규명하기 위하여,1H-NMR 스펙트럼 및13C-NMR 스펙트럼을 측정하여 분석한 결과 PL-2는 분자식 C22H39NO을 갖고분자량 333.30의 다음 화학식 1a-1의 구조를 갖는 화합물로 확인하였으며, PL-3은 분자식 C23H39NO을 갖고 분자량 345.30의 다음 화학식 1b-1의 구조를 갖는 화합물로 확인하였다. 또한, PL-4는 분자식 C24H43NO을 갖고 분자량 361.33의 다음 화학식 1a-2의 구조를 갖는 화합물로 확인되었으며, PL-6은 분자식 C25H43NO을 갖고 분자량 373.33의 다음 화학식 1b-2의 구조를 갖는 화합물로 확인되었고, PL-7은 C24H45NO을 갖고 분자량 363.35의 다음 화학식 1a-3의 구조를 갖는 화합물로 확인하였다.In order to elucidate the chemical structure of these compounds,1 H-NMR spectra and13 C-NMR spectra were measured and analyzed. PL-2 has the molecular formula C22 H39 NO. It was identified as a compound having the structure of the formula (1a-1) having a molecular weight of 333.30, PL-3 has a molecular formula C23 H39 NO and a compound having the structure of the following formula (1b-1) having a molecular weight of 345.30. Also, PL-4 was identified as a compound having the molecular formula C24 H43 NO and having the structure of the following formula 1a-2 having a molecular weight of 361.33, PL-6 has the molecular formula C25 H43 NO and having the molecular weight of 373.33 of the following formula 1b- It was identified as a compound having a structure of 2, PL-7 was identified as a compound having a structure of the following formula 1a-3 having a C24 H45 NO and a molecular weight of 363.35.
MeOH:H2O=3:2)Rf value (RP18 TLC
 MeOH: H2 O = 3: 2)
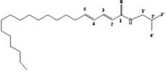
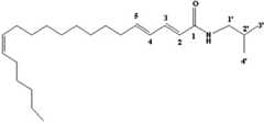
[화학식 1a-1](PL-2)[Formula 1a-1] (PL-2)
[화학식 1b-1](PL-3)Formula 1b-1 (PL-3)
[화학식 1a-2](PL-4)[Formula 1a-2] (PL-4)
[화학식 1b-2](PL-6)Formula 1b-2 (PL-6)
Carbon number
[화학식 1a-3](PL-7)[Formula 1a-3] (PL-7)
실시예 3 : 필발 조추출물의 암세포사멸 활성 측정Example 3: Measurement of cancer cell death activity of the crude crude extract
2 X 106 cells/ml 농도의 HL60 혈액암 세포를 6-웰 배양접시에 넣고 필발의 조추출물 시료를 농도별도 처리하였다.     48시간 동안 처리한 후 세포증식 상태를 CCK-8 킷트를 사용하여 분석한 후 DMSO를 처리한 대조군에 대한 백분율로 나타내었다.    0.025 mg/ml 농도에서부터 세포사멸 효과를 보이면서 0.05 mg/ml의 농도에서는 62%의 사멸율과 0.1 mg/ml 농도의 처리 시에서는 90% 이상의 사멸효과를 보였다[도 2].HL60 hematologic cancer cells at a concentration of 2
실시예 4 : 활성물질의 세포사멸 유도활성 측정Example 4 Measurement of Apoptosis Inducing Activity of Active Material
2 X 106 cells/ml 농도의 HL60 혈액암 세포를 6-웰 배양접시에 넣고 시료를 농도별도 처리하였다.     3~4시간 후 세포를 모아서 PBS 완충용액으로 세척하고 세포사멸을 분석하였다.     세포사멸 정도는 FITC가 부착된 아넥신 V(annexin V) 항체와 PI(propidium iodide)을 사용하여 분석하였으며, 이는 이미 상용화된 분석방법에 따른 것이다.     사용기기는 FACSCalibur를 사용하였으며 데이터 분석은 CellQuest 소프트웨어에 의하여 이루어졌다.HL60 hematologic cancer cells at a concentration of 2
FACScan 분석에서 PI와 아넥신 V는 각각 세포핵과 세포막을 염색하여 세포사멸이 일어나고 있는 세포들의 분포를 나타내준다. 각 사각형은 4 구획으로 나뉘어 있는데, 아무 시료도 첨가되지 않은 대조군에서는 97.1%의 세포가 정상 상태이고 1.97%가 괴사를 일으키고 있음을 보여준다. 그러나, 세포사멸은 단지 0.9%에 불과하다. 그러나, 캄토테신(Cp)이 처리된 대조군에서는 정상세포가 42.6%로 줄어든 반면에 세포사멸은 57%(10.9 + 46.1)로 증가되어 있다. 이와 비교하여, 필발의 PL-2를 30, 60, 90 μM 처리된 경우에는 세포사멸 정도가 증가됨을 볼 수 있다[도 3].In FACScan analysis, PI and Annexin V stain the cell nucleus and cell membrane, respectively, and show the distribution of cells in which apoptosis is taking place. Each square is divided into four compartments, showing that 97.1% of cells are normal and 1.97% are causing necrosis in the control without any sample added. However, cell death is only 0.9%. However, in the control group treated with camptothecin (Cp), normal cells were reduced to 42.6%, while apoptosis was increased to 57% (10.9 + 46.1). In comparison, the degree of apoptosis was increased when the PL-2 was treated with 30, 60, or 90 μM of the essential PL [FIG. 3].
실시예 5 : 세포사멸 단백질 발현 유도활성 측정Example 5 Measurement of Apoptosis Expression
필발로부터 분리된 PL-2, PL-3, PL-4, PL-6, PL-7을 HL60 혈액암세포에 처리하여 세포사멸의 가장 대표적 단백질인 카스파제-3(caspase-3)의 활성화를 조사하였다. 카스파제-3은 활성화될 때에 작은 조각으로 분리가 되는데, 대조구 물질인 Cp와 비교하여 다섯 가지의 PL 물질 중에서 PL-7은 카스파제-3활성화를 전혀 보이지 않고 다른 4종의 PL 물질은 매우 유효한 활성을 보이고 있다. 따라서, 이 중에서 대표적으로 PL-2를 농도별로 세포에 처리하여 다른 세포사멸 관련 단백질들의 발현을 조사함으로써 필발에 의한 세포사멸 기작을 밝혀내었다.PL-2, PL-3, PL-4, PL-6, and PL-7 isolated from the essential cells were treated with HL60 hematologic cancer cells to investigate the activation of caspase-3, the most representative protein of apoptosis. It was. Caspase-3 breaks down into smaller pieces when activated. Of the five PL substances, PL-7 shows no caspase-3 activation and the other four PL substances are very effective compared to the control material Cp. It is showing activity. Therefore, among them, PL-2 was typically treated in cells at different concentrations to investigate expression of other apoptosis related proteins, thereby revealing apoptosis mechanism caused by incidence.
세포사멸은 크게 세포막으로부터 이루어지는 경로와 미토콘드리아로부터 내부적으로 나타나는 세포사멸의 두 가지 경로로 나누어볼 수 있는데, 카스파제-9, 카스파제-8, 카스파제-3의 활성화뿐만 아니라 카스파제-3에 의해 이루어지는 PARP의 분해도 PL-2에 의해 나타나는 것으로 보아 세포 내, 외부 모두로부터 세포사멸이 이루어졌을 가능성이 있을 것으로 보였다. 따라서, 먼저 세포막으로부터의 세포사멸을 조사하기 위하여 Fas, FADD, Fas 리간드, c-FLIPs를 분석하였을 때, c-FLIPs의 발현이 PL-2에 의해 감소됨이 밝혀졌다. 따라서, 세포막 신호전달에서 c-FLIPs의 감소로 인해 세포사멸이 증가됨을 알 수 있었다.Apoptosis can be divided into two main pathways: cell pathways and apoptosis internally from the mitochondria. Caspase-3, as well as activation of caspase-9, caspase-8, and caspase-3 The degradation of PARP was also caused by PL-2, suggesting that apoptosis could have occurred both inside and outside the cell. Therefore, when analyzing Fas, FADD, Fas ligand, c-FLIPs to investigate apoptosis from the cell membrane, it was found that the expression of c-FLIPs was reduced by PL-2. Therefore, it was found that apoptosis was increased due to the reduction of c-FLIPs in cell membrane signaling.
한편, 미토콘드리아의 관련성을 알아보기 위해 여러 단백질을 조사하였는데, Bcl-2, Bcl-xL은 관련이 없고 Bax의 양이 PL-2에 의해 증가되는 것과 사이토크롬 C의 양이 미토콘드리아로부터 세포질로 방출되는 것으로 미루어 볼 때 미토콘드리아가 PL-2에 의한 세포사멸에 관여함을 알 수 있다. 또한, 세포사멸의 대표적 단백질중의 하나인 JNK의 인산화가 증가함을 볼 수 있었다.On the other hand, various proteins were examined to determine the relationship between mitochondria. Bcl-2 and Bcl-xL are not related, and the amount of Bax is increased by PL-2 and the amount of cytochrome C is released from the mitochondria into the cytoplasm. It can be seen that mitochondria are involved in apoptosis by PL-2. In addition, phosphorylation of JNK, one of the representative proteins of apoptosis, was found to increase.
이들 결과들을 종합해 볼 때 필발의 대표적 구성물질인 PL-2는 세포막 신호전달에서 c-FLIPs의 양을 감소시켜 세포사멸을 증가시키고, 또한 동시에 세포내 미토콘드리아로부터의 세포사멸을 유도하여 JNK의 인산화를 통한 핵 내 유전자 절단 및 세포사멸을 유발시키는 것을 알 수 있다[도 4].Taken together, these representative components, PL-2, reduce the amount of c-FLIPs in cell membrane signaling, increase apoptosis, and simultaneously induce apoptosis from intracellular mitochondria, thereby phosphorylating JNK. It can be seen that induces gene cleavage and cell death in the nucleus through [Fig. 4].
실시예 6: 전립선암과 간암세포 사멸 활성Example 6: Prostate Cancer and Hepatic Cancer Cell Killing Activity
필발에서 분리된 5종의 물질을 K-ras 암유전자가 과발현된 267B1/K-ras 전립선암세포와 HBx 간암 유전자가 과발현된 Chang/HBx 세포에 처리하여 세포사멸 유도활성을 조사하였다. 각각의 물질을 24, 48시간 동안 처리한 후 세포증식 상태를 CCK-8 킷트를 사용하여 분석한 후 백분율로 나타내었을 때, HL60 세포에서 조사하였을 때와 마찬가지로 전립선암, 간암 세포에서도 PL-7은 세포사멸 정도가 매우 약하였고 나머지 4종은 비슷한 활성 혹은 PL-2가 더욱 강한 세포사멸 활성을 보였다[도 5].Five isolates isolated from the pre-treatment were treated with 267B1 / K-ras prostate cancer cells overexpressing the K-ras oncogene and Chang / HBx cells overexpressing the HBx liver cancer gene to investigate apoptosis induction activity. After treating each substance for 24 and 48 hours, the cell proliferation status was analyzed using the CCK-8 kit and expressed as a percentage, and PL-7 was similar in prostate cancer and liver cancer cells as in the HL60 cells. The degree of apoptosis was very weak and the remaining four species showed similar activity or stronger apoptosis activity of PL-2 [FIG. 5].
[수학식 1][Equation 1]
A : 아무것도 넣지 않은 세포증식 흡광도A: cell proliferation absorbance without anything
B : 시료를 넣은 후 세포증식 흡광도B: cell proliferation absorbance after sample insertion
C : 디메틸설폭사이드(DMSO)를 넣은 후 세포증식 흡광도C: Cell proliferation absorbance after adding dimethyl sulfoxide (DMSO)
실시예 7: 전립선암 동물모델 마우스에서의 항암활성 확인Example 7: Confirmation of anticancer activity in prostate cancer animal model mouse
4주령된 누드마우스를 1주간 동물사육장에서 기른 후 1x106의 전립선암 세포를 100 ㎕ PBS 완충용액에 모아 마우스 등 부위에 피하 주사를 하였다. 1주 후 필발로부터 분리된 PL-2를 DMSO에 녹이고 농도별로 희석하여 복강 주사를 하였다. 1주 후부터 3주간에 걸쳐 이틀에 한 번씩 종양의 크기를 측정하여 마지막 날에 종양을 적출하였다. 대조군의 경우는 DMSO만을 마우스에 PL-2와 동일 기간 동안 처리하였다[도 6].Four-week-old nude mice were raised in a zoo for 1 week, and then 1 × 106 prostate cancer cells were collected in 100 μl PBS buffer solution and subcutaneously injected into the back of mice. One week later, PL-2 was isolated from the pilates, dissolved in DMSO, diluted by concentration, and intraperitoneally injected. Tumors were removed on the last day by measuring tumor size once every two days from one week to three weeks. In the case of the control group, only DMSO was treated for the same period of time as PL-2 in mice [FIG. 6].
실시예 8 : 독성실험Example 8 Toxicity Test
1. 급성독성 Acute Toxicity
필발로부터 분리된 아실아마이드 화합물들을 각각 단기간에 과량을 섭취하였을 시 급성적(24시간 이내)으로 동물체 내에 미치는 독성을 조사하고, 치사율을 결정하기 위하여 본 실험을 수행하였다.This experiment was carried out to investigate the toxicity of the acylamide compounds isolated from the incidence in an animal body acutely (within 24 hours) upon ingestion of an excess in a short period of time and to determine the mortality rate.
일반적인 마우스인 ICR 마우스 계통 50 마리를 대조군은 10 마리, 실험군은 20 마리씩 배정하였다. 대조군에는 DMSO만을 투여하고, 실험군은 필발로부터 분리된 아실아마이드 화합물들을 상기 실시예에서 이용된 투여농도인 10 mg/kg의 2,000배(20 g/kg) 및 5,000배(100 g/kg)의 농도로 각각 경구 투여하였다. 투여 24시간 후에 각각의 치사율을 조사한 결과, 대조군과 20 g/kg 농도의 아실아마이드 화합물을 투여한 실험군에서는 모두 생존하였으나, 100 g/kg 농도의 아실아마이드 화합물을 투여한 실험군에서는 12 마리의 치사율을 보였다.50 ICR mouse strains, which are general mice, were assigned to 10 control groups and 20 experimental groups. In the control group, only DMSO was administered, and the experimental group contained the acylamide compounds isolated from the essential concentrations of 2,000 times (20 g / kg) and 5,000 times (100 g / kg) of 10 mg / kg, which is the dose used in the above example. Each was administered orally. After 24 hours of administration, the mortality rate was 12% in the control group and the experimental group treated with 20 g / kg acylamide compound. Seemed.
이와 같은 실험 결과로부터 아실아마이드 화합물은 1회 동물 치사량이 100 g/kg(100,000 mg/kg) 정도로서 일반적인 효능을 보이는 농도(10 mg / kg)의 약 10,000배 정도로서 독성이 거의 없는 매우 안전한 물질임을 알 수 있었다.The results of these experiments indicate that acylamide is a very safe substance with almost no toxicity, with a single animal lethal dose of about 100 g / kg (100,000 mg / kg) and about 10,000 times its normal efficacy concentration (10 mg / kg). Could.
2. 장기 및 조직 독성2. Organ and tissue toxicity
필발로부터 분리된 아실아마이드 화합물들을 각각 10 mg/kg의 농도로 4주 동안 투여하여 비만예방과 치료, 혈당강하 및 지방간 억제 효과 등의 관찰시험에 이용된Leprdb/Leprdb 마우스를 대상으로 실험하였다. 동물의 각 장기(조직)에 미치는 영향을 조사하기 위하여, 아실아마이드 화합물을 투여한 실험군과 DMSO만을 투여한 대조군의 동물들로부터 4주 후 혈액을 채취하여 GOT(glutamate-oxalate-transferase), GPT(glutamate-pyruvate-transferase), 크레아틴 키나아제(creatin kinase) 및 크레아티닌(creatinine)등의 혈액 내 농도를 측정하였다. 그 결과, 간독성과 관계있는 것으로 알려진 GOT 및 GPT의 경우를 보면 대조군(GOT: 233 ± 47 IU/L, GPT: 116 ± 31 IU/L)와 비교하여 실험군은 낮은 값(GOT: 157 ± 15 IU/L, GPT: 78 ± 21 IU/L)을 나타내어 간보호 작용이 있는 것으로 관찰되었고, 그 외 신장독성의 지표인 크레아티닌과 근육독성의 지표인 크레아틴 키나아제 등의 경우에는 대조군과 비교하여 실험군은 별다른 차이를 보이지 않았다.The acylamide compounds isolated from the essentials were administered for 4 weeks at a concentration of 10 mg / kg, respectively, to studyLeprdb/ Leprdb mice used for the observation of obesity prevention and treatment, hypoglycemia, and fatty liver inhibition. . To investigate the effects on the organs (tissues) of the animals, blood was collected after 4 weeks from animals of the experimental group to which the acylamide compound was administered and the control group to which only DMSO was administered. GOT (glutamate-oxalate-transferase) and GPT ( Blood concentrations of glutamate-pyruvate-transferase, creatin kinase and creatinine were measured. As a result, in the case of GOT and GPT known to be related to hepatotoxicity, the experimental group had a lower value (GOT: 157 ± 15 IU) compared to the control group (GOT: 233 ± 47 IU / L, GPT: 116 ± 31 IU / L). / L, GPT: 78 ± 21 IU / L), hepatoprotective activity was observed, and creatinine, an indicator of kidney toxicity, and creatine kinase, an indicator of muscle toxicity, were compared to the control group. There was no difference.
또한, 각 동물로부터 심장, 폐, 췌장, 부신, 간, 신장 및 근육 등을 절취하여 통상적인 조직절편 제작과정을 거쳐 광학현미경으로 조직학적 관찰을 시행하였다. 그 결과, 간 조직의 경우 대조군은 심한 지방변성을 나타낸 반면, 실험군은 거의 정상적인 상태를 보여 혈액 내 낮은 농도의 GOT 및 GPT 수준과 더불어 간에 대한 보호 작용이 있음을 알 수 있었다. 그 외 장기에 대한 조직학적 관찰에서는 특이한 이상은 관찰되지 않아 아실아마이드 화합물의 동물장기에 대한 독성은 발견되지 않았다.In addition, the heart, lung, pancreas, adrenal gland, liver, kidney, and muscles were removed from each animal, and histological observations were performed by optical microscopy through a conventional tissue fabrication process. As a result, in the case of liver tissue, the control group showed severe fatty degeneration, while the experimental group showed almost normal state, and it showed that there was a protective action against the liver as well as low concentrations of GOT and GPT levels in the blood. No abnormalities were observed in histological observations of other organs, so no toxicity of the acylamide compound to the organ organs was found.
제조예 1 : 정제의 제조Preparation Example 1 Preparation of Tablet
유효성분(아실아마이드 화합물) 10 g10 g of active ingredients (acylamide compound)
락토스 70 g70 g of lactose
결정성 셀룰로오스 15 g15 g of crystalline cellulose
마그네슘 스테아레이트 5 g5 g of magnesium stearate
총 량 100 gTotal amount 100 g
상기에서 나열된 성분들을 잘게 부숴 혼합한 후 직타법(direct tableting method)에 의해 정제를 제조하였다. 각 정제의 총량은 100 ㎎이고, 그 중 유효성분의 함량은 10 ㎎이다.The tablets were prepared by direct tableting method after mixing the ingredients listed above finely. The total amount of each tablet is 100 mg, of which the active ingredient content is 10 mg.
제조예 2 : 캡슐제의 제조Preparation Example 2 Preparation of Capsule
유효성분(아실아마이드 화합물) 10 g10 g of active ingredients (acylamide compound)
옥수수 전분 50 g50 g of corn starch
카르복시 셀룰로오스 40 g40 g of carboxy cellulose
총 량 100 gTotal amount 100 g
상기에서 나열된 성분들을 잘게 부숴 혼합하여 분말을 제조하였다. 6 번 경질 캡슐에 분말 100 ㎎을 넣어 캡슐제를 제조하였다.A powder was prepared by crushing and mixing the ingredients listed above. 100 mg of powder was added to the 6 times hard capsule to prepare a capsule.
도 1은 필발의 알코올 추출물에서 아실아마이드 화합물(PL-2, PL-3, PL-4, PL-6, PL-7)들을 분리하기 위한 고속액체크로마토그래피(HPLC)를 역상 C18 레진을 사용하여 97.5% 메탄올을 용출용매로 하여 용출시킬 때 얻어지는 분획 피크의 용출패턴을 보인 것이다.Figure 1 is a high-performance liquid chromatography (HPLC) for separating acylamide compounds (PL-2, PL-3, PL-4, PL-6, PL-7) from the alcohol extract of the essential phase using reverse phase C18 resin The elution pattern of the fractional peak obtained when eluting with 97.5% methanol as the eluting solvent is shown.
도 2는 필발의 조추출물의 암세포 사멸 효과를 분석하기 위하여 HL60 혈액암세포에 필발 조추출물을 0.01 mg/ml, 0.025 mg/ml, 0.05 mg/ml, 0.1 mg/ml의 농도로 처리하고 48시간 후에 살아있는 세포의 비율을 DMSO를 처리한 대조구에 비교한 그래프이다.2 is 48 hours after treatment with crude crude extracts at concentrations of 0.01 mg / ml, 0.025 mg / ml, 0.05 mg / ml, and 0.1 mg / ml to HL60 hematologic cancer cells in order to analyze the cancer cell killing effect of the crude crude extract. The percentage of live cells is compared to the control treated with DMSO.
도 3은 아실아마이드 화합물 PL-2를 30, 60, 90 μM 농도로 HL60 혈액암세포에 처리하여 유동세포분석기(flow cytometer)에 의해 분석한 세포사멸 활성을 캄포테신(camptothecin, Cp) 및 무처리 대조군(-)과 비교한 것으로, 프로피움 아이오다이드(propium iodide)와 아넥신(annexin)으로 각각 세포핵과 세포막을 염색하여 세포사멸이 일어나고 있는 세포들의 분포를 나타내는 것으로, PL-2의 농도가 증가할수록 세포사멸 정도가 증가하고 있다.FIG. 3 shows the apoptosis activity of the acylamide compound PL-2 at 30, 60, and 90 μM in HL60 hematologic cancer cells and analyzed by a flow cytometer. Compared with (-), staining the nucleus and cell membrane with propium iodide and annexin, respectively, shows the distribution of cells in which apoptosis occurs, and the concentration of PL-2 is increased. The more apoptosis is increasing.
도 4는 아실아마이드 화합물(PL-2, PL-3, PL-4, PL-6, PL-7)을 HL60 혈액암 세포에 처리하여 세포사멸 지표 단백질 중의 하나인 단백질분해효소 카스파제(caspase) 분해절편이 생기는 것과 PL-2를 대표로 30, 60, 90μM의 농도로 처리하였을 때 세포사멸에 관계하는 단백질들의 활성화가 확인되는 전기영동 결과이다.Figure 4 is treated with acylamide compounds (PL-2, PL-3, PL-4, PL-6, PL-7) HL60 hematological cancer cells proteolytic enzyme caspase (caspase) which is one of the apoptosis indicator protein It is the result of electrophoresis in which degradation fragments are formed and the activation of proteins related to apoptosis is confirmed when treated at concentrations of 30, 60 and 90 μM, representing PL-2.
도 5는 아실아마이드 화합물 PL-2(14), PL-3(15), PL-4(16), PL-6(17), PL- 7(18)을 K-Ras 암 유전자에 의해 암화된 267B1/K-ras 전립선암 세포와 HBx 암 유전자에 의해 암화된 Chang/HBx 간암 세포에 처리하여 24시간과 48시간 후에 세포증식이 억제되는 상태를 비교한 그래프이다.Figure 5 shows the acylamide compounds PL-2 (14), PL-3 (15), PL-4 (16), PL-6 (17), PL-7 (18) is carcinized by K-Ras cancer gene This is a graph comparing 267B1 / K-ras prostate cancer cells and Chang / HBx hepatocellular carcinoma cells cancerd by HBx cancer genes to inhibit cell proliferation after 24 and 48 hours.
도 6의 A는 아실아마이드 화합물 PL-2를 전립선암을 유발한 누드마우스에 1kg당 25mg, 50mg씩 3주간 투여하여 고형 전립선암 덩어리의 부피를 측정한 그래프이고, B는 크기가 감소된 실험군과 활성물질을 투여하지 않은 상태의 대조군과의 외관상 및 적출 전립선암 덩어리의 크기를 비교한 사진이다.6A is a graph measuring the volume of solid prostate cancer masses by administering acylamide compound PL-2 to 25 mg / kg of 3 kg per 3 kg for 3 weeks in nude mice induced with prostate cancer, and B is a group having a reduced size. This is a photograph comparing the size of the isolated and prostate cancer mass with the control group without the active substance.
| Application Number | Priority Date | Filing Date | Title | 
|---|---|---|---|
| KR1020080122162AKR101070475B1 (en) | 2008-12-03 | 2008-12-03 | Acylamides inducing apoptotic cell death of cancer cell | 
| PCT/KR2008/007163WO2010064745A1 (en) | 2008-12-03 | 2008-12-04 | Acylamides inducing apoptosis of cancer cells | 
| Application Number | Priority Date | Filing Date | Title | 
|---|---|---|---|
| KR1020080122162AKR101070475B1 (en) | 2008-12-03 | 2008-12-03 | Acylamides inducing apoptotic cell death of cancer cell | 
| Publication Number | Publication Date | 
|---|---|
| KR20100063582A KR20100063582A (en) | 2010-06-11 | 
| KR101070475B1true KR101070475B1 (en) | 2011-10-06 | 
| Application Number | Title | Priority Date | Filing Date | 
|---|---|---|---|
| KR1020080122162AExpired - Fee RelatedKR101070475B1 (en) | 2008-12-03 | 2008-12-03 | Acylamides inducing apoptotic cell death of cancer cell | 
| Country | Link | 
|---|---|
| KR (1) | KR101070475B1 (en) | 
| WO (1) | WO2010064745A1 (en) | 
| Publication number | Priority date | Publication date | Assignee | Title | 
|---|---|---|---|---|
| KR101288053B1 (en)* | 2011-07-04 | 2013-07-23 | 동국대학교 산학협력단 | Composition for Prevention or Treatment of inner ear damage Comprising an extract of Piper longum L. | 
| WO2022225911A1 (en)* | 2021-04-23 | 2022-10-27 | Icahn School Of Medicine At Mount Sinai | Methods of treating adenocarcinoma with human microbiota derived n-acyl amides | 
| Publication number | Priority date | Publication date | Assignee | Title | 
|---|---|---|---|---|
| WO2004041295A1 (en)* | 2002-10-29 | 2004-05-21 | Council Of Scientific And Industrial Research | New alpha-glucosidase inhibitors from a natural source | 
| Publication number | Priority date | Publication date | Assignee | Title | 
|---|---|---|---|---|
| WO2004041295A1 (en)* | 2002-10-29 | 2004-05-21 | Council Of Scientific And Industrial Research | New alpha-glucosidase inhibitors from a natural source | 
| Title | 
|---|
| Journal of Chromatography A, Vol. 1040, pp. 193-204* | 
| Journal of Ethnopharmacology, Vol. 90, pp. 339-346* | 
| Publication number | Publication date | 
|---|---|
| KR20100063582A (en) | 2010-06-11 | 
| WO2010064745A1 (en) | 2010-06-10 | 
| Publication | Publication Date | Title | 
|---|---|---|
| Cheng et al. | Mulberry fruits extracts induce apoptosis and autophagy of liver cancer cell and prevent hepatocarcinogenesis in vivo | |
| KR101074158B1 (en) | Composition comprising polysaccharide extracted from panax ginseng preventing and treating liver diseases | |
| Kim et al. | Apoptosis of DU145 human prostate cancer cells induced by dehydrocostus lactone isolated from the root of Saussurea lappa | |
| JP2012500776A (en) | ANTI-CANCER METHOD USING AN EXTRACT OF HANASGE ANEMARRHENAASPHODELOIDESBUNGE | |
| Feng et al. | Siwu decoction suppress myeloid-derived suppressor cells through tumour cells necroptosis to inhibit hepatocellular carcinoma | |
| KR101070475B1 (en) | Acylamides inducing apoptotic cell death of cancer cell | |
| KR100830851B1 (en) | Dyestuff extract showing whitening activity and anti-inflammatory activity | |
| KR102041875B1 (en) | Pharmaceutical composition containing cannabidiol extract and TRAIL for preventing or treating conlon cancer | |
| TW201132342A (en) | Antrocin containing pharmaceutical compositions for inhibiting cancer cells | |
| KR102621972B1 (en) | Method for producing gold nanoparticle using bacterial strain and phyllanthus emblica extract and pharmaceutical composition for treating cancer comprising the gold nanoparticle | |
| KR20100134463A (en) | Fat-soluble Ginseng Extract Composition for Cancer Cell Growth Inhibition, Pharmaceutical Composition and Health Food | |
| WO2015130081A1 (en) | Pharmaceutical composition for preventing and treating breast cancer containing inula helenium hexane fraction having stat3 inhibitory activity or compound isolated therefrom as active ingredient | |
| KR100564927B1 (en) | Anticancer agent containing Platicodin as an active ingredient | |
| KR100583051B1 (en) | Cinnamon and Jujube Extracts for Cancer Treatment and Prevention | |
| KR20220133573A (en) | Composition for Anticancer Comprising Cyrtomium falcatum extract | |
| KR20220124040A (en) | Anti-cancer use of sea cucumber gonadal extract or a compound derived therefrom | |
| KR102013398B1 (en) | Composition for preventing or treating cancer comprising codium extracts or fraction thereof, and trail protein | |
| KR20210145922A (en) | Composition for preventing, improving or treating cancer comprising Aplykurodin A as an active ingredient | |
| KR102155713B1 (en) | Composition for preventing or treating cancer comprising sea cucumber extracts or fraction thereof, and trail protein | |
| US20110124741A1 (en) | Radiosensitizer compositions comprising schisandra chinensis(turcz.)baill and methods for use | |
| Huynh et al. | Evaluation of the Synergistic effect of Curcuma aromatica in combination with Sorafenib on a hepatoblastoma cell line in vitro | |
| KR20010090665A (en) | Composition Comprising Xanthium strumarium L. Extract for Use in Preventing and Treating Cataract and Method for Preparation Thereof | |
| Patel et al. | Fermented wheat germ extract as natural support in cancer patients | |
| JP2001335503A (en) | Radical scavenging drug | |
| Campo et al. | Baccharin from Green Propolis: A Review of its Antiproliferative Effects | 
| Date | Code | Title | Description | 
|---|---|---|---|
| A201 | Request for examination | ||
| PA0109 | Patent application | St.27 status event code:A-0-1-A10-A12-nap-PA0109 | |
| PA0201 | Request for examination | St.27 status event code:A-1-2-D10-D11-exm-PA0201 | |
| D13-X000 | Search requested | St.27 status event code:A-1-2-D10-D13-srh-X000 | |
| D14-X000 | Search report completed | St.27 status event code:A-1-2-D10-D14-srh-X000 | |
| PG1501 | Laying open of application | St.27 status event code:A-1-1-Q10-Q12-nap-PG1501 | |
| R17-X000 | Change to representative recorded | St.27 status event code:A-3-3-R10-R17-oth-X000 | |
| E902 | Notification of reason for refusal | ||
| PE0902 | Notice of grounds for rejection | St.27 status event code:A-1-2-D10-D21-exm-PE0902 | |
| T11-X000 | Administrative time limit extension requested | St.27 status event code:U-3-3-T10-T11-oth-X000 | |
| T11-X000 | Administrative time limit extension requested | St.27 status event code:U-3-3-T10-T11-oth-X000 | |
| E13-X000 | Pre-grant limitation requested | St.27 status event code:A-2-3-E10-E13-lim-X000 | |
| P11-X000 | Amendment of application requested | St.27 status event code:A-2-2-P10-P11-nap-X000 | |
| P13-X000 | Application amended | St.27 status event code:A-2-2-P10-P13-nap-X000 | |
| E701 | Decision to grant or registration of patent right | ||
| PE0701 | Decision of registration | St.27 status event code:A-1-2-D10-D22-exm-PE0701 | |
| GRNT | Written decision to grant | ||
| PR0701 | Registration of establishment | St.27 status event code:A-2-4-F10-F11-exm-PR0701 | |
| PR1002 | Payment of registration fee | St.27 status event code:A-2-2-U10-U11-oth-PR1002 Fee payment year number:1 | |
| PG1601 | Publication of registration | St.27 status event code:A-4-4-Q10-Q13-nap-PG1601 | |
| FPAY | Annual fee payment | Payment date:20140929 Year of fee payment:4 | |
| PR1001 | Payment of annual fee | St.27 status event code:A-4-4-U10-U11-oth-PR1001 Fee payment year number:4 | |
| PN2301 | Change of applicant | St.27 status event code:A-5-5-R10-R13-asn-PN2301 St.27 status event code:A-5-5-R10-R11-asn-PN2301 | |
| FPAY | Annual fee payment | Payment date:20150910 Year of fee payment:5 | |
| PR1001 | Payment of annual fee | St.27 status event code:A-4-4-U10-U11-oth-PR1001 Fee payment year number:5 | |
| R17-X000 | Change to representative recorded | St.27 status event code:A-5-5-R10-R17-oth-X000 | |
| FPAY | Annual fee payment | Payment date:20160927 Year of fee payment:6 | |
| PR1001 | Payment of annual fee | St.27 status event code:A-4-4-U10-U11-oth-PR1001 Fee payment year number:6 | |
| LAPS | Lapse due to unpaid annual fee | ||
| PC1903 | Unpaid annual fee | St.27 status event code:A-4-4-U10-U13-oth-PC1903 Not in force date:20170929 Payment event data comment text:Termination Category : DEFAULT_OF_REGISTRATION_FEE | |
| PC1903 | Unpaid annual fee | St.27 status event code:N-4-6-H10-H13-oth-PC1903 Ip right cessation event data comment text:Termination Category : DEFAULT_OF_REGISTRATION_FEE Not in force date:20170929 | |
| R18-X000 | Changes to party contact information recorded | St.27 status event code:A-5-5-R10-R18-oth-X000 | |
| R18-X000 | Changes to party contact information recorded | St.27 status event code:A-5-5-R10-R18-oth-X000 | |
| R18-X000 | Changes to party contact information recorded | St.27 status event code:A-5-5-R10-R18-oth-X000 |