
















3535U.S.C §119 에 따른 우선권 주장Claims of Priority Under U.S.C §119
본 특허 출원은, 본 명세서 명백하게 참조로서 포함되고 본원의 양수인에게 양도되었으며, 2004 년 6 월 30 일에 제출된, 발명의 명칭이 "무선 통신 시스템에서 파일롯 간섭을 소거하는 방법 및 장치 (METHOD AND APPARATUS FOR CANCELING PILOT INTERFERENCE IN A WIRELESS COMMUNICATION SYSTEM)" 인 미국 가특허 출원 제 60/584,527 호에 대해 우선권을 주장한다.This patent application is hereby expressly incorporated by reference and assigned to the assignee herein, and filed June 30, 2004, entitled "Method and Apparatus for Canceling Pilot Interference in a Wireless Communication System" FOR CANCELING PILOT INTERFERENCE IN A WIRELESS COMMUNICATION SYSTEM. "U.S. Provisional Patent Application 60 / 584,527.
배경background
분야Field
본 발명은 일반적으로 데이터 통신에 관한 것이고, 더욱 구체적으로는 무선 (예를 들어, CDMA) 통신 시스템에서의 파일롯으로 인한 간섭을 소거하는 기술에 관한 것이다.FIELD OF THE INVENTION The present invention relates generally to data communication, and more particularly to techniques for canceling interference due to pilot in a wireless (eg CDMA) communication system.
배경background
무선 통신 시스템은 광범위하게 개발되어 패킷 데이터 등과 같은 다양한 유형의 통신을 제공한다. 이들 시스템은 코드 분할 다중 접속 (CDMA), 시간 분할 다중 접속 (TDMA), 또는 일부 다른 다중 접속 기술에 기초할 수도 있다. CDMA 시스템은 다른 유형의 시스템보다 증가된 시스템 용량을 포함하는 특정 이점을 제공할 수도 있다. CDMA 기술은 통상적으로 모두 이분야에 공지된 IS-95, cdma2000, IS-856, W-CDMA, 및 TS-CDMA 표준과 같은 하나 이상의 표준을 구현하도록 디자인된다.Wireless communication systems have been widely developed to provide various types of communication such as packet data and the like. These systems may be based on code division multiple access (CDMA), time division multiple access (TDMA), or some other multiple access technology. CDMA systems may provide certain advantages, including increased system capacity, over other types of systems. CDMA technology is typically all designed to implement one or more standards such as the IS-95, cdma2000, IS-856, W-CDMA, and TS-CDMA standards known in the art.
일부 무선 (예를 들어, CDMA) 통신 시스템에서, 파일롯은 송신기 유닛 (예를 들어, 단말기) 으로부터 다수의 기능을 수행하는 수신기 유닛을 어시스트하는 수기 유닛 (예를 들어, 기지국) 으로 송신될 수도 있다. 예를 들어, 파일롯은 송신기 유닛의 타이밍 및 주파수와의 동기화를 위해 수신기 유닛, 채널 응답 및 통신 채널의 품질의 추정, 데이터 송신의 코히어런트 복조 등에 사용될 수도 있다. 파일롯은 통상적으로 알려진 데이터 패턴 (예를 들어, 모두 제로인 시퀀스) 에 기초하고, 알려진 신호 프로세싱 방식 (예를 들어, 특정 채널라이징 코드로 채널라이징되고 알려진 확산 시퀀스로 확산됨) 을 이용하여 생성된다.In some wireless (eg, CDMA) communication systems, a pilot may be transmitted from a transmitter unit (eg, a terminal) to a handwriting unit (eg, a base station) that assists a receiver unit performing multiple functions. . For example, the pilot may be used for estimation of receiver unit, channel response and communication channel quality, coherent demodulation of data transmission, etc., for synchronization with the timing and frequency of the transmitter unit. Pilots are typically based on known data patterns (e.g., all zero sequences) and are generated using known signal processing schemes (e.g., channelized with a particular channelizing code and spread with known spreading sequences).
cdma2000 에서의 역방향 링크에서, 각각의 단말기에 대한 확산 시퀀스는 (1) 모든 단말기에 공통인 복소 의사-랜덤 잡음 (PN) 시퀀스 및 (2) 단말기에 특정된 스크램블링 시퀀스에 기초하여 생성된다. 이러한 방법에서, 상이한 단말기로부터의 파일롯은 단말기들의 상이한 스크램블링 시퀀스에 의해 식별될 수도 있다. cdma2000 및 IS-95 시스템에서의 순방향 링크상에서, 각각의 기지국은 PN 시퀀스의 특정 오프셋을 할당받는다. 이러한 방법에서, 상이한 기지국으로부터의 파일롯은 기지국의 상이한 할당된 PN 오프셋에 의해 식별될 수도 있다.In the reverse link in cdma2000, a spreading sequence for each terminal is generated based on (1) a complex pseudo-random noise (PN) sequence common to all terminals and (2) a scrambling sequence specific to the terminal. In this method, pilots from different terminals may be identified by different scrambling sequences of terminals. On the forward link in cdma2000 and IS-95 systems, each base station is assigned a specific offset of the PN sequence. In this method, pilots from different base stations may be identified by different assigned PN offsets of the base stations.
수신기 유닛에서, 레이크 수신기는 종종 수신기 유닛과 함께 통신을 확립한 모든 송신기 유닛으로부터의 송신된 파일롯, 시그널링, 및 트래픽 데이터를 복구하도록 사용된다. 특정 송신기 유닛으로부터 송신된 신호는 다중 신호 경로를 통해 수신기에서 수신될 수도 있고, 충분한 강도의 각각의 수신된 신호 인스턴스 (또는 다중경로) 는 레이크 수신기에 의해 개별적으로 변조될 수도 있다. 각각의 이러한 다중경로는 송신기 유닛에서 수행된 것과 상보적인 방법으로 프로세싱되어 이 다중 경로를 통해 수신된 데이터 및 파일롯을 복구한다. 복구된 파일롯은 다중경로에 대한 채널 응답을 나타내고 이에 의해 결정된 진폭 및 위상을 가진다. 파일롯은 통상적으로, 채널 응답에 의해 마찬가지로 파일롯과 함께 송신되고, 왜곡된 다양한 유형의 데이터의 코히어런트 복조에 사용된다. 각각의 송신기 유닛의 경우, 그 송신기 유닛에 대한 다수의 다중경로의 파일롯들은 이들 다중경로로부터 도출된 변조된 심볼을 결합하도록 또한 사용되어, 개선된 품질을 갖는 결합된 심볼을 획득한다.At the receiver unit, the rake receiver is often used to recover transmitted pilot, signaling, and traffic data from all transmitter units that have established communication with the receiver unit. The signal transmitted from a particular transmitter unit may be received at the receiver via a multi-signal path, and each received signal instance (or multipath) of sufficient strength may be individually modulated by the rake receiver. Each such multipath is processed in a manner complementary to that performed at the transmitter unit to recover the data and pilot received via this multipath. The recovered pilot represents the channel response to multipath and has the amplitude and phase determined by it. The pilot is typically transmitted with the pilot as well by the channel response and used for coherent demodulation of various types of distorted data. For each transmitter unit, multiple multipath pilots for that transmitter unit are also used to combine the modulated symbols derived from these multipaths to obtain combined symbols with improved quality.
역방향 링크상에서, 각각의 송신 단말기로부터의 파일롯은 모든 다른 단말기로부터의 신호에 대해 간섭으로서 작용한다. 각각의 단말기에 대해, 모든 다른 단말기에 의해 송신된 파일롯으로 인한 총 간섭은 이 단말기에 의해 경험된 총 간섭의 큰 퍼센티지일 수도 있다. 이 파일롯 간섭은 성능 (예를 들어, 고 패킷 에러 레이트) 을 저하시키고 또한 역방향 링크 용량을 감소시킬 수 있다.On the reverse link, the pilot from each transmitting terminal acts as interference to the signals from all other terminals. For each terminal, the total interference due to the pilot transmitted by all other terminals may be a large percentage of the total interference experienced by this terminal. This pilot interference can degrade performance (eg, high packet error rate) and also reduce reverse link capacity.
따라서, 무선 (예를 들어, CDMA) 통신 시스템에서의 파일롯으로 인한 간섭을 소거하는 기술에 대한 필요가 있다.Accordingly, there is a need for a technique for canceling interference due to pilot in a wireless (eg CDMA) communication system.
요약summary
본 발명의 양태는 무선 (예를 들어, CDMA) 통신 시스템에서 파일롯 간섭을 추정하고 소거하는 기술을 제공한다. 수신 신호는 통상적으로 다수의 신호 인스턴스 (즉, 다중경로) 를 포함한다. 변조되는 각각의 다중경로 (즉, 각각의 원하는 다중경로) 에 대해, 모든 다중경로에서의 파일롯은 원하는 다중경로에서의 데이터에 대한 간섭이다. 파일롯이 알려진 데이터 패턴 (예를 들어, 모두 제로인 시퀀스) 및 알려진 채널라이징 코드 (예를 들어, 제로의 왈시 코드) 에 기초하여 생성된 경우, 간섭 다중경로에서의 파일롯은 수신기 유닛에서의 다중경로의 도달 시간에 대응하는 위상을 갖는 확산 시퀀스로서 간단히 추정될 수도 있다. 각각의 간섭 다중경로로부터의 파일롯 간섭은 확산 시퀀스 및 그 다중경로 (파일롯에 의해 추정될 수도 있음) 의 채널 응답의 추정치에 기초하여 추정될 수도 있다. 다수의 간섭 다중경로로 인한 총 파일롯 간섭은 수신 신호로부터 도출되고 감산되어 파일롯 제거된 파일롯 간섭을 가진 파일롯-소거 신호를 제공한다.Aspects of the present invention provide a technique for estimating and canceling pilot interference in a wireless (eg, CDMA) communication system. The received signal typically contains a number of signal instances (ie, multipath). For each multipath that is modulated (ie, each desired multipath), the pilot in every multipath is the interference to the data in the desired multipath. If the pilot is generated based on a known data pattern (e.g., a sequence that is all zeros) and a known channelizing code (e.g., a Walsh code of zero), then the pilot in the interfering multipath is determined by the multipath of the multipath in the receiver unit. It may simply be estimated as a spreading sequence having a phase corresponding to the arrival time. Pilot interference from each interfering multipath may be estimated based on an estimate of the spreading sequence and the channel response of that multipath (which may be estimated by the pilot). The total pilot interference due to the multiple interference multipaths is derived from the received signal and subtracted to provide a pilot-erase signal with pilot interference removed.
특정 실시형태에서, 무선 (예를 들어, cdma2000) 통신 시스템에서의 수신기 유닛에서 파일롯 간섭을 소거하는 방법이 제공된다. 방법에 따라, 각각이 파일롯을 포함하는 다수의 신호 인스턴스로 구성된 수신 신호는 초기에 프로세싱되어 데이터 샘플을 제공한다. 그 후, 데이터 샘플은 프로세싱되어 하나 이상의 (간섭) 신호 인스턴스 각각으로 인한 파일롯 간섭의 추정치를 도출하고, 파일롯 간섭 추정치는 또한 결합되어 총 파일롯 간섭을 도출한다. 그 후, 총 파일롯 간섭은 데이터 샘플로부터 감산되어 파일롯-소거 데이터 샘플을 제공하고, 파일롯-소거 데이터 샘플은 더 프로세싱되어 수신 신호의 하나 이상의 (원하는) 신호 인스턴스 각 각에 대해 변조된 데이터를 도출한다.In certain embodiments, a method is provided for canceling pilot interference at a receiver unit in a wireless (eg, cdma2000) communication system. According to the method, a received signal consisting of a number of signal instances each comprising a pilot is initially processed to provide a data sample. The data samples are then processed to derive an estimate of pilot interference due to each of the one or more (interfering) signal instances, and the pilot interference estimates are also combined to derive the total pilot interference. The total pilot interference is then subtracted from the data samples to provide pilot-erase data samples, which are further processed to yield modulated data for each of one or more (desired) signal instances of the received signal. .
각 간섭 신호 인스턴스로 인한 파일롯 간섭은 (1) 신호 인스턴스에 대한 확산 시퀀스로 데이터 샘플을 역확산하고 (2) 파일롯 채널라이징 코드로 역확산 샘플을 채널라이징하여 파일롯 심볼을 제공하며 (3) 파일롯 심볼을 필터링하여 신호 인스턴스의 추정된 채널 응답을 제공하고 (4) 신호 인스턴스에 대한 확산 시퀀스에 추정된 채널 응답을 곱하여 추정된 파일롯 간섭을 제공함으로써 추정될 수도 있다. 각각의 원하는 다중경로에 대한 데이터 복조는 (1) 신호 인스턴스에 대한 확산 시퀀스로 파일롯 소거된 데이터 샘플을 역확산하고 (2) 데이터 채널라이징 코드로 역확산 샘플을 채널라이징하여 데이터 심볼을 제공하며, (3) 데이터 심볼을 복조하여 복조된 데이터를 신호 인스턴스에 제공함으로써 수행될 수도 있다. 개선된 성능을 위해, 추정 및 소거는 PN 칩 레이트보다 높은 샘플 레이트로 수행될 수도 있다.The pilot interference due to each interfering signal instance is (1) despreading the data samples with a spreading sequence for the signal instance and (2) channelizing the despreading samples with a pilot channelizing code to provide a pilot symbol and (3) a pilot symbol. It may be estimated by filtering to provide the estimated channel response of the signal instance and (4) multiplying the spreading sequence for the signal instance by the estimated channel response to provide the estimated pilot interference. The data demodulation for each desired multipath comprises (1) despreading the pilot erased data samples with the spreading sequence for the signal instance and (2) channelizing the despread samples with the data channelizing code to provide data symbols, (3) may be performed by demodulating data symbols and providing demodulated data to a signal instance. For improved performance, estimation and cancellation may be performed at a sample rate higher than the PN chip rate.
파일롯 간섭 소거를 위한 또 다른 시스템 및 방법은 다중경로의 채널 추정치 및 잡음 추정치를 결정하는 단계, 다중경로의 채널 추정치 및 잡음 추정치에 기초하여 소거 팩터를 선택하는 단계, 채널 추정치에 선택된 소거 팩터를 곱하는 단계, 채널 추정치 및 소거 팩터의 곱에 송신 펄스 및 수신 필터의 미리-계산된 콘볼루션을 곱하는 단계, 확산 파일롯 신호 (예를 들어, PN 시퀀스) 및 가중 필터 (즉, 채널 추정치, 소거 팩터 및 미리-계산된 콘볼루션의 곱) 의 콘볼루션을 수행하여 파일롯 샘플을 재구성하는 단계, 다중 핑거 프로세서로부터의 재구성된 파일롯 샘플을 누산하고 누산된 재구성된 파일롯 샘플을 데이터 샘플로부터 감산하여 데이터 복조를 수행하는 단계를 포함할 수도 있다. 이들 프로세스의 순서는 변경될 수도 있다.Another system and method for pilot interference cancellation includes determining a multipath channel estimate and a noise estimate, selecting an cancellation factor based on the multipath channel estimate and the noise estimate, and multiplying the channel estimate by the selected cancellation factor. Multiplying the product of the transmit pulse and the receive filter by the product of the step, the channel estimate and the cancellation factor, the spread pilot signal (e.g., a PN sequence) and the weighted filter (i.e. Reconstructing the pilot sample by performing a convolution of a product of the calculated convolution, accumulating the reconstructed pilot sample from the multiple finger processor and subtracting the accumulated reconstructed pilot sample from the data sample to perform data demodulation It may also include a step. The order of these processes may be changed.
본 발명의 다양한 양태, 실시형태, 및 특징은 이하 상세히 설명된다.Various aspects, embodiments, and features of the invention are described in detail below.
도면의 간단한 설명Brief description of the drawings
본 발명의 특징, 본질 및 이점은 이하의 도면을 참조하여, 상세한 설명으로부터 더욱 명백하며, 동일한 참조 번호는 명세서 전반에 걸쳐 동일하게 대응한다.The features, nature and advantages of the present invention will become more apparent from the following detailed description when taken in conjunction with the following drawings, wherein like reference numerals correspond equally throughout the specification.
도 1 은 무선 통신 시스템의 도면이다.1 is a diagram of a wireless communication system.
도 2 는 기지국 및 단말기의 실시형태의 간단화된 블록도이다.2 is a simplified block diagram of an embodiment of a base station and a terminal.
도 3 은 cdma2000 의 역방향 링크에 대한 변조기의 실시형태의 블록도이다.3 is a block diagram of an embodiment of a modulator for the reverse link of cdma2000.
도 4 는 레이크 수신기의 실시형태의 블록도이다.4 is a block diagram of an embodiment of a rake receiver.
도 5 는 데이터 복조를 수행하는 것 외에도 파일롯 간섭을 추정하고 소거할 수 있는 레이크 수신기내의 핑거 프로세서의 특정 실시형태의 블록도이다.5 is a block diagram of a particular embodiment of a finger processor in a rake receiver capable of estimating and canceling pilot interference in addition to performing data demodulation.
도 6a 및 6b 는 일 실시형태에 따라 파일롯 간섭을 추정치를 도출하기 위해 데이터 샘플의 프로세싱을 그래프로 나타내는 도면이다.6A and 6B are graphs illustrating processing of data samples to derive pilot interference estimates in accordance with one embodiment.
도 7 은 다수의 다중경로에 대해 총 파일롯 간섭을 도출하기 위한 프로세스의 일 실시형태의 흐름도이다.7 is a flow diagram of one embodiment of a process for deriving total pilot interference for multiple multipaths.
도 8 은 파일롯 간섭 소거로 다수의 다중경로를 데이터 복조하는 프로세스의 실시형태의 흐름도이다.8 is a flowchart of an embodiment of a process for data demodulating multiple multipaths with pilot interference cancellation.
도 9 는 샘플 버퍼 및 도 4 의 레이크 수신기와 같은 레이크 수신기내의 핑거 프로세서의 또 다른 실시형태의 블록도이다.9 is a block diagram of another embodiment of a finger processor in a rake receiver such as the sample buffer and the rake receiver of FIG.
도 10 은 도 9 의 핑거 프로세서에 의해 사용될 수도 있는 룩업 테이블의 예이다.10 is an example of a lookup table that may be used by the finger processor of FIG. 9.
도 11 은 도 9 의 핑거 프로세서와 유사한 2 개의 핑거 프로세서에 대한 시간 스냅샷의 예를 도시한다.FIG. 11 shows an example of a time snapshot for two finger processors similar to the finger processor of FIG. 9.
도 12a 는 다수의 다중경로에 대한 누산된 파일롯 간섭을 도출하는 또 다른 실시형태의 흐름도이다.12A is a flow diagram of another embodiment that derives accumulated pilot interference for multiple multipaths.
도 12b 는 다수의 다중경로에 대한 누산된 파일롯 간섭을 도출하는 프로세스의 또 다른 실시형태의 흐름도이다.12B is a flow diagram of another embodiment of a process for deriving accumulated pilot interference for multiple multipaths.
도 13a 는 복수의 안테나를 가진 수신기 및 복수의 간섭 누산 버퍼를 가진 복조기의 블록도이다.13A is a block diagram of a receiver having a plurality of antennas and a demodulator having a plurality of interference accumulating buffers.
도 13b 는 복수의 안테나를 가진 수신기 및 단일의 간섭 누산 버퍼를 가진 복조기의 블록도이다.13B is a block diagram of a receiver having a plurality of antennas and a demodulator having a single interference accumulating buffer.
도 14 는 도 3 의 송신 필터 및 도 2 의 수신기의 수신 필터에 의해 제공된 송신 펄스의 콘볼루션의 예를 도시한다.14 shows an example of the convolution of transmit pulses provided by the transmit filter of FIG. 3 and the receive filter of the receiver of FIG.
상세한 설명details
단말기로부터의 단일의 송신은 하나 이상의 신호 경로를 통해 기지국에 도달할 수도 있다. 이들 신호 경로는 스트레이트 경로 (예를 들어, 신호 경로 (110a)) 및 반사 경로 (예를 들어, 신호 경로 (110b)) 를 포함할 수도 있다. 반사 신호가 반사 소스에 반사되고 가시 경로 (line-of-sight path) 와 상이한 경로를 통해 기지국에 도달하는 경우, 반사 경로가 생성된다. 반사 소스는 통상 적으로 단말기가 동작하는 환경에서의 인공물이다 (예를 들어, 빌딩, 나무, 또는 일부 다른 구조물). 그 결과, 기지국에서 각각의 안테나에 의해 수신된 신호는 하나 이상의 단말기로부터의 다수의 신호 인스턴스 (또는 다중경로) 를 포함할 수도 있다.A single transmission from the terminal may reach the base station via one or more signal paths. These signal paths may include straight paths (eg,
시스템 (100) 에서, 시스템 제어기 (102) (또한 종종 기지국 제어기 (BSC) 로서 칭함) 는 기지국 (104) 에 결합되고, 결합된 기지국에 좌표 및 제어를 제공하며, 또한 결합된 기지국을 통해 단말기 (106) 로의 콜의 라우팅을 제어한다. 또한, 시스템 제어기 (102) 는 이동 전화 교환국 (MSC) 을 통해 일반 전화 교환망 (PSTN) 에 결합되고, 패킷 데이터 서빙 노드 (PDSN) 를 통해 패킷 데이터 네트워크에 결합되며, 이들은 도 1 에 도시되지 않는다. 시스템 (100) 은 IS-95, CDMA2000, CDMA 2000 1xEV-DV, CDMA 2000 1xEV-DO (IS-856), WCDMA, TD-SCDMA, TS-CDMA, 또는 일부 다른 CDMA 표준, 또는 이들의 조합과 같은 하나 이상의 CDMA 표준을 지원하도록 디자인될 수도 있다.In
본 발명의 다양한 양태 및 실시형태는 다양한 무선 통신 시스템에서의 순방향 및 역방향 링크에 대해 적용될 수도 있다. 명백함을 위해, 파일롯 간섭 소거 기술은 cdma2000 에서의 역방향 링크에 대해 구체적으로 설명된다.Various aspects and embodiments of the invention may be applied to the forward and reverse links in various wireless communication systems. For clarity, the pilot interference cancellation technique is described in detail for the reverse link in cdma2000.
도 2 는 기지국 (104) 및 단말기 (106) 의 실시형태의 간단화된 블록도이다. 역방향 링크상의 단말기 (106) 에서, 송신 (TX) 데이터 프로세서 (214) 는 데이터 소스 (212) 로부터의 사용자-특정 데이터, 메시지와 같은 다양한 유형의 "트래픽" 을 수신한다. 그 후, TX 데이터 프로세서 (214) 는 하나 이상의 코딩 방식 에 기초하여 상이한 유형의 트래픽을 포맷하고 코딩하여 코딩된 데이터를 제공한다. 각 코딩 방식은 사이클릭 리던던시 체크 (CRC), 콘볼루션, 터보, 블록, 및 다른 코딩을 포함할 수도 있고, 코딩을 전혀 포함하지 않을 수도 있다. 에러 정정 코드가 페이딩에 대항하도록 사용된 경우, 인터리빙이 공통적으로 적용된다. 다른 코딩 방식은 자동 재송 요구 (ARQ), 하이브리드 ARQ, 및 증분 리던던시 반복 기술을 포함할 수도 있다. 통상적으로, 상이한 유형의 트래픽은 상이한 코딩 방식을 사용하여 코딩된다. 그 후, 변조기 (MODL; 216) 는 파일롯 데이터를 수신하고 TX 데이터 프로세서 (214) 로부터의 데이터를 코딩하며, 또한 수신된 데이터를 프로세싱하여 변조된 데이터를 생성한다.2 is a simplified block diagram of an embodiment of a
도 3 은 도 2 의 변조기에 사용될 수도 있는 변조기 (216a) 의 일 실시형태의 블록도이다. cdma2000 에서의 역방향 링크상에서, 변조기 (216a) 에 의한 프로세싱은 곱셈기 (312) 에 의해 각각의 왈시 코드 Cchx 로 다수의 코드 채널 (예를 들어, 트래픽, 싱크, 페이징, 및 파일롯 채널) 각각에 대한 데이터를 커버링하여 각 코드 채널상에 사용자-특정 데이터 (패킷 데이터), 메시지 (제어 데이터), 및 파일롯 데이터를 채널라이징하는 단계를 포함한다. 각 코드 채널에 대한 채널라이징된 데이터는 유닛 (314) 에 의해 각각의 이득 Gi 로 스케일링되어 코드 채널의 상대적인 송신 전력을 제어할 수도 있다. 그 후, 동위상 (I) 경로에 대한 모든 코드 채널에 대한 스케일링된 데이터는 합산기 (316a) 에 의해 합산되어 I-채널 데이터를 제공하고, 쿼드러처 (Q) 경로에 대한 모든 코드 채널에 대해 스케일링 된 데이터는 합산기 (316b) 에 의해 합산되어 Q-채널 데이터를 제공한다.3 is a block diagram of one embodiment of a
도 3 은 또한 cdma2000 에서의 역방향 링크에 대한 확산 시퀀스 생성기 (320) 의 일 실시형태를 도시한다. 생성기 (320) 내에, 긴 코드 생성기 (322) 는 단말기에 할당된 긴 코드 마스크를 수신하고 긴 코드 마스크에 의해 결정된 위상을 갖는 의자-랜덤 잡음 (PN) 시퀀스를 생성한다. 그 후, 긴 PN 시퀀스는 곱셈기 (326a) 에 의해 I-채널 PN 시퀀스와 곱해져서 I 확산 시퀀스를 생성한다. 긴 PN 시퀀스는 지연 엘리먼트 (324) 에 의해 지연되고, 곱셈기 (326b) 에 의해 Q-채널 PN 시퀀스와 곱해지며, 엘리먼트 (328) 에 의해 2 개의 팩터로 데시메이트되고, 왈시 코드 (Cs = +-) 로 커버링되고, 곱셈기 (330) 에 의해 I 확산 시퀀스로 확산되어 Q 확산 시퀀스를 생성한다. I-채널 및 Q-채널 PN 시퀀스는 모든 단말기에 의해 사용되는 복소 짧은 PN 시퀀스를 형성한다. I 및 Q 확산 시퀀스는 단말기에 특정되는 복소 확산 시퀀스 Sk 를 형성한다.3 also shows an embodiment of a spreading
변조기 (216a) 내애서, I-채널 데이터 및 Q-채널 데이터 (DchI + jDchQ) 는 곱셈기 (340) 에 의해 복소수 곱셈 동작을 통해 I 및 Q 확산 시퀀스로 (SkI + jSkQ) 확산되어 I 확산 데이터 및 Q 확산 데이터 (DspI + jDspQ) 를 생성한다. 복소수 역확산 동작은 다음과 같이 표현된다.A modulator (216a) within aeseo, I- and Q- channel data channel data (D + jDchIchQ) is spread (SkI + jSkQ) to the I and Q spreading sequences via a complex multiplication operation by the
I 및 Q 확산 데이터는 변조기 (216a) 에 의해 제공된 변조된 데이터를 포함한다.I and Q spread data include modulated data provided by
그 후, 변조된 데이터는 송신기 (TMTR; 218a) 에 제공되어 조절된다. 송신기 (218a) 는 도 2 의 송신기 (218) 의 일 실시형태이다. 신호 조절하는 단계는 I 및 Q 채널을 필터 (352a 및 352b) 로 각각 필터링하는 단계, 및 필터링된 I 및 Q 데이터를 곱셈기 (354a 및 354b) 에 의해 각각 및 로 업컨버팅하는 단계를 포함한다. 곱셈기 (354a 및 354b) 로부터의 I 및 Q 컴포넌트는 합산기 (356) 에 의해 합산되고 곱셈기 (358) 에 의해 이득 G0 로 증폭되어 역방향 링크 변조된 신호를 생성한다.The modulated data is then provided to and adjusted by the transmitter (TMTR) 218a.
도 2 로 돌아가서, 그 후, 역방향 링크 변조된 신호는 하나 이상의 기지국으로 무선 통신 링크를 통해 안테나 (220) 를 통해 송신된다.Returning to FIG. 2, the reverse link modulated signal is then transmitted via the
기지국 (104) 에서, 다수의 단말기로부터의 역방향 링크 변조된 신호는 하나 이상의 안테나 (250) 각각에 의해 수신된다. 복수의 안테나 (250) 는 페이딩과 같은 해로운 경로 효과에 대항하는 공간 다이버시티를 제공하도록 사용될 수도 있다. 예를 들어, 3 개의 섹터를 지원하는 기지국에 대해, 각 섹터에 대해 2 개의 안테나가 사용될 수도 있어 기지국은 6 개의 안테나를 구비할 수도 있다. 그 결과, 임의의 수의 안테나가 기지국에서 사용될 수도 있다.At
각 수신 신호는 각각의 수신기 (RCVR; 252) 에 제공되고, 수신기 (RCVR; 252) 는 수신 신호를 조절하고 (예를 들어, 필터링, 증폭, 다운컨버팅함) 디지털화 하여 그 수신 신호에 대한 데이터 샘플을 제공한다. 각 수신 신호는 다수의 단말기 각각에 대해 하나 이상의 신호 인스턴스 (즉, 다중경로) 를 포함할 수도 있다.Each received signal is provided to a respective receiver (RCVR) 252, where the receiver (RCVR) 252 adjusts (e.g., filters, amplifies, downconverts) the received signal and digitizes the data sample for that received signal. To provide. Each received signal may include one or more signal instances (ie, multipath) for each of the plurality of terminals.
복조기 (DEMOD; 254) 는 그 후, 모든 수신 신호에 대한 데이터 샘플을 수신하고 프로세싱하여 복구된 심볼을 제공한다. cdma2000 에 대해, 특정 단말기로부터의 데이터 송신을 복구하는 복조기 (254) 에 의한 프로세싱은 (1) 단말기에서 데이터를 확산하도록 사용된 동일한 확산 시퀀스로 데이터 샘플을 역확산하는 단계, (2) 역확산 샘플을 채널라이징하여 수신 데이터 및 파일롯을 각 코드 채널상에 아이솔레이트되거나 (isolate) 채널라이징하는 단계, 및 (3) 복구된 파일롯으로 채널라이징된 데이터를 코히어런트하게 복조하여 복조된 데이터를 제공하는 단계를 포함한다. 복조기 (254) 는 이하의 설명과 같이, 다수의 단말기 각각에 대한 복수의 신호 인스턴스를 프로세싱할 수 있는 레이크 수신기를 구현할 수도 있다.Demodulator (DEMOD) 254 then receives and processes data samples for all received signals to provide recovered symbols. For cdma2000, processing by
그 후, 수신 (RX) 데이터 프로세서 (256) 는 각 단말기에 대해 복조된 데이터를 수신하고 디코딩하여 역방향 링크상에서 단말기에 의해 송신된 사용자-특정 데이터 및 메시지를 복구한다. 단말기에서, 복조기 (254) 및 RX 데이터 프로세서 (256) 에 의한 프로세싱은 변조기 (216) 및 TX 데이터 프로세서 (214) 각각에 의한 프로세싱에 상보적이다.Receive (RX)
도 4 는 다수의 단말기 (106) 로부터의 역방향 링크 변조된 신호를 수신하고 복조할 수 있는 레이크 수신기 (254a) 의 일 실시형태의 블록도이다. 레이크 수신기 (254a) 는 하나 이상의 (L 개) 샘플 버퍼 (408), 하나 이상의 (M 개) 핑거 프로세서 (410), 탐색기 (412), 및 심볼 결합기 (420) 를 구비한다. 도 4 의 실시형태는 동일한 결합기 (420) 에 결합된 모든 핑거 프로세서 (410) 를 도시한다. 일부 구성에서, (256) 핑거 프로세서와 같이 상당한 수의 핑거 프로세서 (410) 가 있을 수도 있다.4 is a block diagram of one embodiment of a
다중경로 환경으로 인해, 각 단말기 (106) 로부터 송신된 역방향 링크 변조된 신호는 다수의 신호 경로를 통해 기지국 (104) 에 도달할 수도 있고 (도 1 에 도시된 바와 같음), 각 기지국 안테나에 대해 수신된 신호는 통상적으로 다수의 단말기 각각으로부터의 역방향 링크 변조된 신호의 상이한 인스턴스의 결합을 포함한다. 수신된 신호에서의 각 신호 인스턴스 (또는 다중경로) 는 통상적으로 특정 크기, 위상, 및 도달 시간 (즉, CDMA 시스템 시간에 대한 지연 또는 시간 오프셋) 과 연관된다. 기지국에서 다중경로의 도달 시간들의 차는 하나 이상의 PN 칩 이고, 각 수신기 (252) 로의 입력에서의 수신 신호 는 다음과 같이 표현된다.Due to the multipath environment, the reverse link modulated signal transmitted from each terminal 106 may reach the
는 j 번째 단말기에 의해 송신된 j 번째 역방향 링크 변조된 신호이고, Is a j th reverse link modulated signal transmitted by a j th terminal,
는, j 번째 역방향 링크 변조된 신호 가 송신된 시간에 대한 i 번째 다중경로의 l 번째 안테나에서의 도달 시간이며, Is the j th reverse link modulated signal. Is the arrival time at the l th antenna of the i th multipath relative to the transmitted time,
는 l 번째 안테나에서의 j 번째 단말기에 대해 i 번째 다중경로에 대한 채널 이득 및 위상을 나타내고, Denotes the channel gain and phase for the i th multipath for the j th terminal in the l th antenna,
는 l 번째 신호에서의 모든 역방향 링크 변조된 신호에대한 합이고, Is the sum of all reverse link modulated signals in the l th signal,
는 l 번째 수신 신호에서의 각 역방향 링크 변조된 신호의 모든 다중경로에 대한 합이고, Is the sum of all multipaths of each reverse link modulated signal in the l th received signal,
n(t) 는 RF 에서의 실수값 채널 잡음과 내부 수신기 잡음을 나타낸다. n (t) represents real channel noise and internal receiver noise in RF.
각각의 수신기 (252) 는 각 수신 신호 를 증폭하고 주파수 다운컨버팅하여, 단말기에서 사용된 송신 필터 (예를 들어, 필터 (352)) 에 통상적으로 매칭하는 수신 필터로 신호를 필터링하여 조절된 신호를 제공한다. 그 후, 각 수신기 유닛 (252) 는 조절된 신호를 디지털화하여 데이터 샘플의 각 스트림을 제공하고, 그 후, 데이터 샘플은 각각의 샘플 버퍼 (408) 에 제공된다.Each
각 샘플 버퍼 (408) 는 수신 데이터 샘플을 저장하고 적합한 데이터 샘플을 적당한 시간에 적당한 프로세싱 유닛 (예를 들어, 핑거 프로세서 (410) 및/또는 탐색기 (412)) 에 제공한다. 일 디자인에서, 각 버퍼 (408) 는 데이터 샘플을 할당된 핑거 프로세서의 각 세트에 제공하여 그 버퍼에 연관된 수신 신호에서의 다중경로를 프로세싱한다. 또 다른 디자인에서, 다수의 버퍼 (408) 는 데이터 샘플을 시간 분할 다중 방식으로 다수의 다중경로를 프로세싱하는 용량을 가진 특정 핑 거 프로세서에 제공한다 (예를 들어, 시간 분할 다중 방식으로). 샘플 버퍼 (408a 내지 408l) 는 또한 적당한 사이즈 및 스피드의 단일의 버퍼로서 구현될 수도 있다.Each sample buffer 408 stores the received data sample and provides the appropriate data sample to the appropriate processing unit (eg, finger processor 410 and / or searcher 412) at a suitable time. In one design, each buffer 408 provides a data sample to each set of assigned finger processors to process multipath in the received signal associated with that buffer. In another design, multiple buffers 408 provide data samples to a particular finger processor that has the capacity to process multiple multipaths in a time division multiple manner (eg, in a time division multiple manner).
탐색기 (412) 는 수신 신호에서 강한 다중경로를 탐색하고, 기준 세트를 만족시키는 각각의 탐색된 다중경로의 강도와 타이밍의 표시를 제공하도록 사용된다. 특정 단말기의 다중경로에 대한 탐색은 통상적으로 각 수신 신호에 대한 데이터 샘플을 다양한 칩 또는 서브-칩 오프셋 (또는 위상) 에서 국부적으로 생성된 단말기의 확산 시퀀스와 상관 (correlation) 함으로써 수행된다. 확산 시퀀스의 의사-잡음 본질로 인해, 데이터 샘플과 확산 신호와의 상관은, 상관 결과가 높은 값의 경우인, 국부적으로 생성된 확산 시퀀스의 위상이 다중경로의 위상으로 시간-정렬된 경우를 제외하고, 낮아야 한다.
각 역방향 링크 변조된 신호 에 대해, 탐색기 (412) 는 그 역방향 링크 변조된 신호에 대해 탐색된 하나 이상의 다중경로 세트에 하나 이상의 시간 오프셋 세트를 제공할 수도 있다 (각각의 탐색된 다중경로의 신호 강도와 함께일 수 있음). 탐색기 (412) 에 의해 제공된 시간 오프셋 은 기지국 타이밍 또는 CDMA 시스템 시간에 상대적이고, 신호 송신의 시간에 상대적인 수학식 (2) 에 도시된 시간 오프셋 에 관련된다.Each reverse link modulated signal For, the
탐색기 (412) 는 하나 이상의 탐색기 유닛으로 디자인될 수도 있고, 각각의 탐색기 유닛은 각각의 탐색 윈도우를 통해 다중경로를 탐색하도록 디자인될 수도 있다. 각 탐색 윈도우는 탐색되는 확산 시퀀스 위상의 범위를 포함한다. 탐색기 유닛은 병렬로 동작되어 탐색 동작을 스피드 업할 수도 있다. 또한 또는 대신에, 탐색기 (412) 는 높은 클럭 레이트로 동작되어 탐색 동작을 스피드 업할 수도 있다. 탐색기와 탐색은 미국 특허 출원 제 5,805,648, 5,781,543, 5,764,687, 및 5,644,591 에 더욱 상세히 개시되어 있다.The
각각의 핑거 프로세서 (410) 는 할당되어 하나 이상의 해당 다중경로 (예를 들어, 탐색기 (412) 에 의해 제공된 신호 강도 정보에 기초하여 제어기 (260) 에 의해 결정된 바와 같은 충분한 강도의 다중경로) 의 각 세트를 프로세싱할 수도 있다. 그 후, 각각의 핑거 프로세서 (410) 는, 각 할당된 다중경로에 대해, (1) 할당된 다중경로를 포함하는 수신 신호에 대한 데이터 샘플, (2) 할당된 다중경로의 시간 오프셋 또는 시간 오프셋 에 대응하는 위상을 가진 확산 시퀀스 (확산 시퀀스 생성기 (414) 에 의해 생성될 수도 있음) 중 하나, 및 (3) 복구되는 코드 채널에 대한 채널라이징 코드 (예를 들어, 왈시 코드) 를 수신한다. 그 후, 각 핑거 프로세서 (410) 는 수신 데이터 샘플을 프로세싱하여 각 할당된 다중경로에 대한 복조된 데이터를 제공한다. 핑거 프로세서 (410) 에 의한 프로세싱은 이하 더욱 상세히 설명된다.Each finger processor 410 is assigned to each of one or more corresponding multipaths (e.g., multipaths of sufficient strength as determined by the
심볼 결합기 (420) 는 각 단말기에 대해 복조된 데이터 (즉, 복조된 심볼) 를 수신하고 결합한다. 특히, 심볼 결합기 (420) 는 각 단말기에 대해 모든 할당된 다중경로에 대한 복조된 심볼을 수신하고, 핑거 프로세서의 디자인에 의존하 여, 심볼을 시간-정렬하여 (또는 스큐) 할당된 다중경로에 대한 시간 오프셋에서의 차이를 계산한다. 그 후, 심볼 결합기 (420) 는 각 단말기에 대해 시간-정렬 복조된 심볼을 결합하여 단말기에 대한 복구된 심볼을 제공한다. 복수의 심볼 결합기가 제공되어 복수의 단말기에 대한 심볼을 동시에 결합할 수도 있다. 그 후, 각 단말기에 대해 복구된 심볼은 RX 데이터 프로세서 (256) 에 제공되어 디코딩된다.The
다중경로의 프로세싱은 다양한 복조 디자인에 기초하여 수행될 수도 있다. 제 1 복조 디자인에서, 하나의 핑거 프로세서가 할당되어 수신 신호에서의 다수의 다중경로를 프로세싱한다. 이 디자인에 대해, 샘플 버퍼로부터의 데이터 샘플은 특정 시간 지속기간 (즉, PN 칩의 특정 넘버) 을 커버링하고, 일부 규정된 시간 경계에서 시작하는 "세그멘트" 로 프로세싱될 수도 있다. 제 2 복조 디자인에서, 복수의 핑거 프로세서가 할당되어 수신 신호에서의 복수의 다중경로를 프로세싱한다. 제 1 복조기 디자인에 대한 다양한 양태 및 실시형태가 설명된다.Multipath processing may be performed based on various demodulation designs. In a first demodulation design, one finger processor is assigned to process multiple multipaths in the received signal. For this design, data samples from the sample buffer may be processed into "segments" covering a specific time duration (ie, a specific number of PN chips) and starting at some defined time boundary. In a second demodulation design, a plurality of finger processors are assigned to process a plurality of multipaths in the received signal. Various aspects and embodiments of the first demodulator design are described.
파일롯 간섭 소거는 또한 다양한 방식에 기초하여 수행될 수도 있다. 제 1 복조기 디자인에 기초하는 제 1 파일롯 간섭 소거 방식에서, 특정 다중경로의 채널 응답은 데이터 샘플의 세그멘트에 기초하여 추정되고, 그 후, 추정된 채널 응답이 사용되어 동일한 세그멘트에 대해 이 다중경로로 인한 파일롯 간섭의 추정치를 도출한다. 이 방식은 개선된 파일롯 간섭 소거를 제공할 수도 있다. 그러나, 데이터 샘플의 세그멘트가, 데이터 복조가 동일한 세트멘트상에서 실행하기 이전에 우선 프로세싱되어 파일롯 간섭을 추정하고 소거하기 때문에, 이 방식은 또한 다중경로에 대한 데이터 복조에서 추가적인 프로세싱 지연을 도입한다.Pilot interference cancellation may also be performed based on various schemes. In a first pilot interference cancellation scheme based on a first demodulator design, the channel response of a particular multipath is estimated based on the segment of data samples, and then the estimated channel response is used to make this multipath for the same segment. An estimate of the pilot interference due to is derived. This approach may provide improved pilot interference cancellation. However, because the segment of data samples is first processed before data demodulation is performed on the same set to estimate and cancel pilot interference, this approach also introduces additional processing delay in data demodulation for multipath.
제 1 복조 디자인에 기초하는 제 2 파일롯 간섭 소거 방식에서, 특정 다중경로의 채널 응답은 데이터 샘플의 세그멘트에 기초하여 추정되고, 그 후, 추정된 채널 응답이 사용되어 다음 세그멘트에 대해 이 다중경로로 인한 파일롯 간섭의 추정치를 도출한다. 이 방식은 파일롯 간섭 추정 및 소거로부터 유발된 데이터 복조에서 추가적인 프로세싱 지연을 감소시키도록 (또는 제거할 수 있음) 사용될 수도 있다. 그러나, 링크 조건은 시간에 따라 지속적으로 변할 수도 있기 때문에, 현재 세그멘트에 대한 채널 응답 추정치가 다음 세그멘트에 있어서도 여전히 정확하도록, 현재와 다음 세그멘트간의 시간 지연은 충분히 짧게 유지되어야 한다. 간단함을 위해, 파일롯 간섭 추정 및 소거는 제 2 방식에 대해 이하 설명된다.In a second pilot interference cancellation scheme based on the first demodulation design, the channel response of a particular multipath is estimated based on the segment of the data sample, and then the estimated channel response is used to make this multipath for the next segment. An estimate of the pilot interference due to is derived. This approach may be used to reduce (or eliminate) additional processing delay in data demodulation resulting from pilot interference estimation and cancellation. However, since the link conditions may change over time, the time delay between the current and the next segment must be kept short enough so that the channel response estimate for the current segment is still accurate for the next segment. For simplicity, pilot interference estimation and cancellation are described below for the second scheme.
도 5 는 데이터 복조를 수행하는 것에 더해, 파일롯 간섭을 추정하고 소거할 수 있는 핑거 프로세서 (410x) 의 특정 실시형태의 블록도이다. 핑거 프로세서 (410x) 는 도 4 에 도시된 레이크 수신기 (254a) 에서의 각 핑거 프로세서 (410) 에 대해 사용될 수도 있다. 다음의 설명에서, 도 5 는 프로세싱 엘리멘트를 도시하고, 도 6a 및 도 6b 는 파일롯 간섭 및 소거에 대한 타이밍을 그래프로 도시한다.5 is a block diagram of a particular embodiment of a
핑거 프로세서 (410x) 가 할당되어 특정 수신 신호에서의 하나 이상의 "원하는" 다중경로를 복조한다. 샘플 버퍼 (408x) 는 핑거 프로세서 (410x) 에 할당된 다중경로를 포함하는 수신 신호에 대한 데이터 샘플을 저장한다. 버퍼 (408x) 는 핑거 프로세서가 필요하고, 필요로 하는 바와 같이, 핑거 프로세서에 적 당한 데이터 샘플 (세그멘트로) 을 제공한다. 도 5 에 도시된 실시형태에서, 핑거 프로세서 (410x) 는 리샘플러 (522), 파일롯 추정치 (520 또는 채널 추정기), 합산기 (542), 데이터 복조 유닛 (550), 및 파일롯 간섭 추정기 (530) 를 구비한다.
핑거 프로세서 (410x) 에 의해 복조되는 원하는 다중경로에 대해, 동일한 수신 신호에서의 모든 다중경로의 파일롯 및 다른 모든 다른 다중경로의 데이터는 이 다중경로에 대해 간섭으로 작용한다. 파일롯은 알려진 데이터 패턴 (예를 들어, 통상적으로 모든 제로 시퀀스) 및 알려진 방식으로 프로세싱되기 때문에, "간섭하는" 다중경로의 파일롯은 원하는 다중경로로부터 추정되고 제거되어 원하는 다중경로의 데이터 컴포넌트의 신호 품질을 개선할 수도 있다. 핑거 프로세서 (410x) 는 아래의 설명과 같이, 원하는 다중경로의 파일롯을 포함하는 수신 신호에서 탐색된 다수의 다중경로로 인한 파일롯 간섭을 추정하고 소거할 수 있다.For the desired multipath demodulated by
일 실시형태에서, 파일롯 간섭 추정 및 소거 및 데이터 복조는 "버스트" 에서 수행된다. 각 버스트 (즉, 각 프로세싱 사이클) 에 대해, 특정 수의 PN 칩 동안 데이터 샘플의 세그멘트가 프로세싱되어 특정 다중경로로 인한 파일롯 간섭을 추정한다. 특정 실시형태에서, cdma2000 에 대해, 64 개의 PN 칩일 수도 있는 하나의 심볼 주기 동안 각 세그멘트는 데이터 샘플을 포함한다. 그러나, 다른 세그멘트 사이즈가 (예를 들어, 다른 지속기간의 데이터 심볼에 대해) 사용될 수도 있으며, 이것은 명세서의 범위내이다. 이하의 설명과 같이, 데이터 복조는 파일롯 간섭 추정치를 가진 병렬 및 파이프라인 (pipelined) 방식으로 수행되어 프로 세싱 효율을 증가시키고 전체 프로세싱 시간을 감소시킬 수 있다.In one embodiment, pilot interference estimation and cancellation and data demodulation are performed at " burst. &Quot; For each burst (ie, each processing cycle), segments of data samples are processed during a certain number of PN chips to estimate pilot interference due to a particular multipath. In a particular embodiment, for cdma2000, each segment includes a data sample during one symbol period, which may be 64 PN chips. However, other segment sizes may be used (eg, for data symbols of different durations), which is within the scope of the specification. As described below, data demodulation may be performed in a parallel and pipelined manner with pilot interference estimates to increase processing efficiency and reduce overall processing time.
m 번째 다중경로 (여기서 m=(i,j,l) 이고 l 번째 수신 신호에서 탐색된 j 번째 역방향 링크 변조된 신호에 대한 i 번째 다중경로의 표기임) 로 인한 파일롯 간섭의 추정치를 도출하기 위해, 데이터 샘플의 세그멘트는 버퍼 (408x) 로부터 핑거 프로세서 (410x) 내의 리샘플러 (522) 로 초기에 제공된다. 그 후, 리샘플러 (522) 는 데시메니션 (decimation) 및 보간 (interpolation) 또는 이들의 조합을 수행하여, 칩 레이트로 적합한 "파인-그레인 (fine-grain)" 을 가진 데시메이트된 데이터 샘플을 제공한다.to derive an estimate of pilot interference due to the m th multipath, where m = (i, j, l) and the i th multipath representation for the j th reverse link modulated signal found in the l th received signal The segment of data samples is initially provided from the
도 6a 는 리샘플러 (522) 에 의해 수행된 리샘플링의 일 실시형태를 그래프로 도시한다. 수신 신호는 통상적으로 높은 시간 해상도를 제공하는 복수 (예를 들어, 2, 4, 또는 8) 배 칩 레이트인 샘플 레이트로 오버샘플링된다. 데이터 샘플은 샘플 버퍼 (408x) 에 저장되고, 그 후, 샘플 버퍼 (408x) 는 각 프로세싱 사이클 동안 데이터 샘플의 세그멘트 (예를 들어 512 개) 를 제공한다. 그 후, 리샘플러 (522) 는 버퍼 (408x) 로부터 수신된 데이터 샘플을 "리샘플링" 하여 칩 레이트로 적합한 타이밍 위상을 가진 샘플을 제공한다.6A graphically illustrates one embodiment of the resampling performed by the
도 6a 에 도시된 바와 같이, 수신 신호가 충분히 (예를 들어, 8 배의 칩 레이트로) 오버샘플링된 경우, 그 후, m 번째 다중경로에 대한 리샘플링은 매번, 예를 들어, 버퍼로부터 수신된 8 번째 데이터 샘플에 m 번째 다중경로의 피크의 타이밍에 가장 근접하여 정렬되는 선택된 데이터 샘플을 제공함으로써 수행될 수도 있다. m 번째 다중경로는 통상적으로 데이터 복조를 위해 할당된 다중경로이고, 다중경로의 시간 오프셋 은 탐색기 (412) 에 의해 결정되고 제공될 수도 있다. 그러나, 데이터 복조에 대해 할당되지 않은 다중경로로 인한 파일롯 간섭은 또한 각각의 이러한 다중경로의 시간 오프셋이 알려진 한, 추정되고 소거될 수도 있다. 각각의 다중경로의 시간 오프셋 은 기지국 타이밍 또는 CDMA 시스템 시간에 상대적인 심볼 주기의 정수 넘버 및 심볼 주기의 프랙셔널 (fractional) 부분을 포함하는 것으로 (즉,) 관측될 수도 있고, 여기서 심볼 주기는 채널화 코드의 길이 (예를 들어, cdma2000 에 대한 64 개의 PN 칩) 에 의해 결정된다. 시간 오프셋의 프랙셔널 부분 은 리샘플러 (522) 에 제공하고 데시메이션을 위해 데이터 샘플의 특정 세그멘트를 선택하도록 사용될 수도 있다. 도 6a 에서 도시된 예에서, m 번째 다중경로의 시간 오프셋의 프랙셔널 부분은=5 이고, 데이터 샘플 세그멘트 (622) 는 버퍼 (408x) 에 의해 제공되며, 리샘플러 (522) 에 의해 제공된 데시메이트된 데이터 샘플은 음영 박스에 의해 표현된다.As shown in FIG. 6A, if the received signal is sufficiently oversampled (eg, at 8 times chip rate), then the resampling for the mth multipath is received each time, eg, from a buffer. It may be done by providing the eighth data sample with the selected data sample aligned closest to the timing of the mth multipath peak. The m-th multipath is typically the multipath allocated for data demodulation and the time offset of the multipath. May be determined and provided by the
수신 신호가 충분히 오버샘플링되는 일부 다른 수신기 디자인에서, 보간은 대신 또는 추가로 이 분야에 공지된 바와 같은 적합한 타이밍 위상으로 새로운 샘플을 도출하기 위해 데시메이션과 함께 수행된다.In some other receiver designs where the received signal is sufficiently oversampled, interpolation is instead or additionally performed with decimation to derive a new sample with a suitable timing phase as is known in the art.
파일롯 추정기 (520) 내에, 역확산기 (524) 는 파일롯 간섭이 추정되는 m 번째 다중경로의 시간 오프셋 에 대응하는 위상을 갖는 (켤레 복소수인) 확산 시퀀스 및 데시메이트된 데이터 샘플을 수신한다. 확산 시퀀스 는 확산 시퀀스 생성기 (414) 에 의해 제공될 수도 있다. cdma2000 에서의 역방향 링크에 대해, 확산 시퀀스 는 도 3 의 확산 시퀀스 생성기 (320) 에 대해 도시된 바와 같이 생성될 수도 있다. 그리고 도 6a 에 도시된 바와 같이, 데이터 샘플 세그멘트와 동일한 길이 및 동일한 타이밍 위상을 갖는 확산 시퀀스 의 세그멘트가 역확산을 위해 사용된다 (즉, 확산 시퀀스 는 데시메이트된 데이터 샘플로 시간-정렬된다).In
역확산기 (524) (도 3 에 도시된 곱셈기 (340) 과 같은 복소수 곱셈기로서 구현될 수도 있음) 는 확산 시퀀스 로 데시메이트된 데이터 샘플을 역확산시켜 역확산 샘플을 제공한다. 파일롯 채널라이저 (526) 는 단말기에서 파일롯에 대해 사용된 채널화 코드 (예를 들어, cdma2000 에 대한 제로의 왈시 코드) 를 역확산 샘플에 곱한다. 그 후, 복구된 파일롯 샘플은 특정 누산 시간 간격 동안 누산되어 파일롯 심볼을 제공한다. 누산 시간 간격은 통상적으로 파일롯 채널화 코드 길이의 정수배이다. 파일롯 데이터가 제로의 채널화 코드로 커버링되는 경우 (cdma2000 에서와 같음), 채널화 코드 와의 곱셈은 생략될 수도 있고, 파일롯 채널라이저 (526) 는 역확산기 (524) 로부터 역확산 샘플의 누산을 간단히 수행한다. 특정 실시형태에서, 하나의 파일롯 심볼은 하나의 파일롯 주기의 사이즈를 가진 각가의 세그멘트에 제공된다.Despreader 524 (which may be implemented as a complex multiplier, such as
파일롯 채널라이저 (526) 로부터의 파일롯 심볼은 파일롯 필터 (528) 에 제공되고 특정 로우패스 필터 응답에 기초하여 필터링되어 잡음을 제거한다. 파 일롯 필터 (528) 는 유한 임펄스 응답 필터 (FIR), 무한 임펄스 응답 (IIR) 필터, 또는 다른 필터 구조로서 구현될 수도 있다. 파일롯 필터 (528) 는 m 번째 다중경로의 채널 응답의 표현 (즉, 이득 및 위상) 인 파일롯 추정치 를 제공한다. 그 결과, 각 파일롯 추정치 는 복소수 값이다. 파일롯 추정치가 충분한 레이트로 제공되어 다중경로의 채널 응답에서의 무의미하지 않은 변화가 캡처되고 보고된다. 특정 실시형태에서, 하나의 파일롯 추정치나 하나의 심볼 사이즈를 갖는 각 세그멘트에 제공된다.Pilot symbols from
그 후, 파일롯 간섭 추정기 (530) 는 다음 세그멘트에 대한 m 번째 다중경로로 인한 파일롯 간섭을 추정한다. 파일롯 간섭을 추정하기 위해, m 번째 다중경로에 대한 파일롯 데이터 및 파일롯 채널화 코드 는 파일롯 채널라이저 (532) 에 제공되고, 파일롯 채널라이저 (532) 는 파일롯 채널화 코드로 파일롯 데이터를 채널라이징하여 채널라이징된 데이터를 제공한다. 그 후, 확산기 (534) 는 확산 시퀀스 로 채널라이징된 파일롯 데이터를 수신하고 확산하여 확산 파일롯 데이터 (즉, 프로세싱된 파일롯 데이터) 를 생성한다. 확산 시퀀스 는 도 6a 에 도시된 바와 같이, m 번째 간섭 다중경로의 시간 오프셋 에 대응하는 위상을 가지고, 다음 세그멘트에 대해 N 개의 PN 칩 만큼 앞서있다. 파일롯 데이터가 모두 제로의 시퀀스이고 파일롯 채널화 코드가 또한 모두 제로의 시퀀스인 경우, 파일롯 채널라이저 (532) 및 확산기 (534) 는 생략될 수도 있고 확산 파일롯 데이터는 단순히 확산 시퀀스 이다.The
그 후, 곱셈기 (536) 는 확산 파일롯 데이터를 수신하고 파일롯 필터 (528) 로부터의 파일롯 추정치 를 곱하여 다음 세그멘트에 대한 m 번째 다중경로로 인한 파일롯 간섭 의 추정치를 제공한다. 파일롯 추정치 가 현재 세그멘트로부터 도출되고 다음 세그멘트에 대해 추정된 파일롯 간섭을 도출하도록 사용되기 때문에, 예측 기술은 파일롯 추정치에 기초하여 다음 세그멘트에 대한 파일롯 예측치를 도출하도록 사용될 수도 있다. 그 후, 이들 파일롯 예측치는 다음 세그멘트에 대해 추정된 파일롯 간섭을 도출하도록 사용될 수도 있다.The
일 실시형태에서, 곱셈기 (536) 는 샘플 레이트로 (예를 들어, 8 배의 칩 레이트) m 번째 다중경로로 인한, m 번째 다중경로의 타이밍 위상을 가진 추정된 파일롯 간섭을 제공한다. 이것은 모든 다중경로에 대해 추정된 파일롯 간섭 (통상적으로 모두가 PN 칩 타이밍 경계에 정렬되지는 않은 상이한 시간 오프셋을 가짐) 이 높은 시간 해상도로 누산될 수 있도록 한다. 데이터 샘플 세그멘트에 관해, 동일한 수의 간섭 샘플을 포함하는, m 번째 다중경로에 대한 추정된 파일롯 간섭 은 간섭 누산기 (538) 에 제공된다. 도 6a 에 도시된 바와 같이, m 번째 다중경로에 대한 간섭 샘플은 다중경로의 시간 오프셋의 프랙셔널 부분에 의해 결정된 누산기에서의 위치에 저장된다.In one embodiment,
주어진 신호에서의 모든 다중경로에 대해 총 파일롯 간섭을 도출하기 위해, 전술한 프로세싱은 다수회 반복될 수도 있고, 하나의 반복 또는 프로세싱 사이클은 파일롯 간섭이 원하는 다중경로로부터 추정되고 소거되는 각 간섭 다중경로에 대한 것이다. 하나의 안테나로부터의 채널 추정치는 통상적으로 다른 안테나에 대해 양호하지 않기 때문에, 파일롯 간섭 소거는 통상적으로 동일한 안테나를 통해 수신된 다중경로에 대해 수행된다. 동일한 핑거 프로세서 하드웨어가 복수의 반복에 대해 사용된 경우, 프로세싱은 버스트로 수행될 수도 있고, 각 버스트는 다중경로의 프랙셔널 시간 오프셋에 의해 결정된 데이터 샘플의 각 세그멘트상에서 수행된다.In order to derive the total pilot interference for all multipaths in a given signal, the above-described processing may be repeated a number of times, and one repetition or processing cycle is performed for each interfering multipath where pilot interference is estimated and canceled from the desired multipath. It is about. Since channel estimates from one antenna are typically not good for the other antenna, pilot interference cancellation is typically performed on multipath received over the same antenna. If the same finger processor hardware is used for multiple iterations, processing may be performed in bursts, with each burst performed on each segment of data samples determined by the multipath fractional time offset.
제 1 반복 이전에, 누산기 (538) 는 클리어되고 재설정된다. 각 반복에 대해, 현재 다중경로로 인한 추정된 파일롯 간섭 은 모든 이전-프로세싱된 다중경로에 대해 누산된 파일롯 간섭과 함께 누산된다. 그러나, 도 6a 에 도시된 바와 같이, 추정된 파일롯 간섭 은 현재 다중경로의 시간 오프셋에 의해 결정된 누산기 (538) 의 특정 섹션에서의 샘플과 함께 누산된다. 모든 간섭 다중경로가 프로세싱된 이후에, 누산기 (538) 에서의 누산된 파일롯 간섭은 모든 프로세싱된 다중경로로 인한 총 파일롯 간섭 을 포함한다.Prior to the first iteration, the
도 6a 는 누산기 (538) 의 일 실시형태를 도시한다. 핑거 프로세서 (410x) 는 현재 세그멘트에 대해 m 번째 다중경로에 대한 데이터 복조를 수행하고 (이전에 도출되고 누산기 (538) 에 저장된 총 파일롯 간섭 을 이용함), 다음 세그멘트에 대해 m 번째 다중경로로 인한 파일롯 간섭 은 누산기 의 또 다른 섹션에서 추정되고 누산될 수도 있다.6A illustrates one embodiment of an
m 번째 다중경로의 파일롯은, m 번째 다중경로를 포함하는 수신 신호에서의 모든 다중경로에 대해 간섭이다. 복수의 핑거 프로세스가 주어진 단말기에 대한 수신 신호에서의 다수의 다중경로를 프로세싱하기 위해 할당된 복조기 디자인에 대해, m 번째 다중경로로 인한 추정된 파일롯 간섭 은 하나의 핑거 프로세서에 의해 동일한 수신 신호에서의 다른 다중경로를 프로세싱하도록 할당된 다른 핑거 프로세서에 제공될 수도 있다.The pilot of the mth multipath is interference for all multipaths in the received signal including the mth multipath. Estimated pilot interference due to the m th multipath, for a demodulator design in which multiple finger processes are assigned to process multiple multipaths in the received signal for a given terminal May be provided to another finger processor assigned by one finger processor to process another multipath in the same received signal.
m 번째 다중경로상의 데이터를 복구하는 복조에 대해, 세그멘트에 대한 데이터 샘플은 버퍼 (408x) 로부터 리샘플러 (522) 로 제공된다. 그 후, 리샘플러 (522) 는 수신된 데이터 샘플을 리샘플링하여 동일한 레이트로 이 다중 경로에 대해 적합한 타이밍 위상을 갖는 데시메이트된 데이터 샘플을 제공한다. 데시메인트된 데이터 샘플은 전술한 바와 같이 프로세싱되어 파일롯 추정치 를 제공한다.For demodulation to recover data on the m th multipath, data samples for the segments are provided from the
동시에, 동일한 세그멘트에 대해 총 파일롯 간섭 에 대한 간섭 샘플은 누산기 (538) 로부터 리샘플러 (540) 에 제공된다. 리샘플러 (540) 는 유사하게 수신 간섭 신호를 리샘플링하여 칩 레이트로 m 번째 다중경로에 대해 적합한 타이밍 위상을 갖는 데시메이트된 간섭을 제공한다. 그 후, 합산기 (542) 는 데시메이트된 데이터 샘프로부터 데시메이트된 간섭 샘플을 수신하고 감산하여 파일롯-소거 데이터 샘플을 제공한다.At the same time, total pilot interference for the same segment Interference samples for are provided from
데이터 복조 유닛 (550) 내에, 역확산기 (544) 는 파일롯-소거 데이터 샘플을 수신하고 (켤레 복수소인) 확산 시퀀스 로 역확산하여 역확산된 샘플을 제공한다. 확산 시퀀스 는 m 번째 다중경로의 시간 오프셋 에 대응하는 위상을 가진다. 그 후, 채널라이저 (546) 은 역확산된 샘플에 핑거 프로세서에 의해 복구되는 코드 채널에 대해 사용된 채널화 코드 를 곱한다. 그 후, 채널화된 데이터 샘플은 채널화 코드 의 길이 전반에 누산되어 데이터 심볼을 제공한다.In
그 후, 데이터 복조기 (548) 는 데이터 심볼을 수신하고 파일롯 추정치 로 복조하여 그 후, 심볼 결합기 (420) 로 제공되는 m 번째 다중경로에 대한 복조된 심볼 (즉, 복조된 데이터) 을 제공한다. 데이터 복조 및 심볼 결합은 전술한 미국 특허 제 5,764,687 호에 개시된 바와 같이 획득될 수도 있다. 미국 특허 제 5,764,687 호는 역확산 데이터와 필터링된 파일롯 사이의 도트 (dot) 곱을 수행함으로써 IS-95 에 대한 BPSK 데이터 복조를 설명한다. cdma2000 및 W-CDMA 에서 사용된 QPSK 모듈의 복조는 특허 제 5,764,687 호에 설명된다. 즉, 도트 곱 대신에, 도트 곱 및 크로스-곱이 동위상 및 쿼드러처 스트림을 복구하도록 사용된다.
전술한 바와 같이, m 번째 다중경로에 대한 데이터 복조는 파일롯 간섭 추정치를 가진 병렬 및 파이프라인 방식으로 수행될 수도 있다. 역환산기 (544) 및 데이터 채널라이저 (546) 는 현재 세그멘트 (확산 시퀀스, 및 채널화 코드 를 가짐) 에 대해 파일롯-소거 데이터 샘플을 프로세싱하여 m 번째 다중경로에 대한 데이터 심볼을 제공하고, 역확산기 (524) 및 파일롯 채널라이저 (526) 는 현재 세그멘트 (확산 시퀀스, 및 파일롯 채널화 코드 를 가짐) 에 대해 데이터 샘플을 프로세싱하여 이 다중경로에 대한 파일롯 심볼을 제공한다. 파일롯 심볼은 파일롯 필터 (528) 에 의해 필터링되어 다중경로에 대한 파일롯 추정치 를 제공한다. 그 후, 파일롯 간섭 추정기 (530) 는 전술한 바와 같이, 다음 세그멘트에 대해 이 다중경로로 인한 추정된 파일롯 간섭 을 도출한다. 이 방식에서, 데이터 복조가 이전의 세그멘트로부터 도출된 총 파일롯 간섭 을 사용하여 현재 세그멘트상에서 수행되는 동안, 다음 세그멘트에 대한 파일롯 간섭이 다음 세그멘트를 위해 사용되도록 추정되고 누산기의 또 다른 섹션에 저장된다.As discussed above, data demodulation for the m th multipath may be performed in a parallel and pipelined manner with pilot interference estimates.
또 다른 실시형태에서, 복조되는 특정 다중경로에 대한 파일롯은 전술한 바와 같이 "로 (raw)" 수신된 데이터 샘플 (샘플 버퍼 (408x) 로부터의) 에 기초하고, 파일롯-소거 데이터 샘플 (누산기 (538) 로부터의) 에 기초하지 않으며 추정된다. 또 다른 실시형태에서, 총 파일롯 간섭이 복조되는 다중경로의 파일롯을 제외하고 간섭 파일롯의 일부 또는 모두를 포함하는 경우, 파일롯은 파일롯-소거 데이터 샘플에 기초하여 추정될 수도 있다 (즉, 복조되는 다중경로의 파일롯은 다 른 파일롯-소거 데이터 샘플에 포함된다). 이 다른 실시형태는 복조되는 다중경로의 채널 응답의 개선된 추정치를 제공할 수도 있고, 특히 파일롯 추정치가 통상적으로 약한 다중경로를 취급함에 있어서 제한 팩터인 역방향 링크에 대해 유리하다. 파일롯 추정을 위해 사용된 동일한 "소거된 다른 파일롯" 데이터 샘플은 또한 다중경로에 대한 데이터를 복구하도록 프로세싱될 수도 있어, 동일한 데이터 샘플 스트림상에서 파일롯 추정 및 데이터 복조 모두를 수행하는 핑거 프로세서 아키텍처에 대해 유리한다. 동일한 컨셉은 특정 간섭 다중경로의 채널 응답을 추정하도록 사용될 수도 있다 (즉, 추정된 채널 응답은 그 제거된 특정 다중경로의 파일롯을 제외한 간섭 파일롯을 가진 "소거된 다른 파일롯" 데이터 샘플 또는 로 데이터 샘플 중 하나에 기초할 수도 있음).In another embodiment, the pilot for the particular multipath to be demodulated is based on the data sample received from the "raw" (from
도 6a 및 도 6b 는 일 실시형태에 따라 파일롯 간섭의 추정치를 도출하기 위해 데이터 샘플의 프로세싱을 도시하는 도면이다. 도 6a 및 도 6b 에 도시된 예에서, 수신 신호는 시간 오프셋및 와 연관된 3 개의 다중 경로를 포함한다. 수신 신호는 8 배의 칩 레이트인 샘플 레이트로 디지털화하여 데이터 샘플을 제공하고, 데이터 샘플은 샘플 버퍼에 저장된다. 이들 다중경로는 다중경로의 피크에서 샘플링될 수도 있고 그렇지 않을 수도 있다.6A and 6B illustrate processing of data samples to derive an estimate of pilot interference, in accordance with an embodiment. In the example shown in Figs. 6A and 6B, the received signal is a time offset And It includes three multipaths associated with. The received signal is digitized at a sample rate that is eight times the chip rate to provide data samples, which are stored in the sample buffer. These multipaths may or may not be sampled at the peaks of the multipath.
도 6a 및 도 6b 에서 도시된 예에서, 각세그멘트는 64 개의 PN 칩의 심볼 주기 동안 512 개의 데이터 샘플을 포함하였다. 파일롯 간섭은 3 개의 다중경로 각각에 대해 및 각각의 심볼 주기 동안 추정된다. 각 다중경로에 대한 심볼 타이밍은 다중경로의 프랙셔널의 시간 오프셋에 의해 결정된다. 일반적으로 사실 인, 다중경로의 프랙셔널의 시간 오프셋들이 동일하지 않은 경우, 이들 다중경로들에 대한 심볼 타이밍은 상이할 것이고 상이한 데이터 샘플 세그멘트와 연관될 것이다. 일 실시형태에서, 다중경로는 다중경로의 프랙셔널의 시간 오프셋에 기초한 순서로 프로세싱되고, 다중경로는 최초로 프로세싱되는 최소 프랙셔널의 시간 오프셋을 가지고, 최종으로 프로세싱되는 최대 프랙셔널의 시간 오프셋을 가진다. 이 프로세싱 순서는, 프로세싱되는 경우, 총 파일롯 간섭이 각 다중경로에 대해 도출되고 이용가능하도록 보장한다.In the example shown in FIGS. 6A and 6B, each segment included 512 data samples during the symbol period of 64 PN chips. Pilot interference is estimated for each of the three multipaths and during each symbol period. The symbol timing for each multipath is determined by the time offset of the multipath fraction. If the time offsets of multipath fractions, which are generally true, are not the same, the symbol timing for these multipaths will be different and will be associated with different data sample segments. In one embodiment, multipaths are processed in order based on the time offsets of the multipath fractions, multipaths having the time fractions of the minimum fractions that are first processed, and finally having the time offsets of the maximum fractions processed. . This processing order ensures that when processed, the total pilot interference is derived and available for each multipath.
도 6a 에서, 프랙셔널의 시간 오프셋 을 가진 m 번째 다중경로에 대한 n 번째 심볼 주기 동안, 리샘플러 (522) 는 샘플 버퍼 (408) 로부터 샘플 5 내지 516 을 수신하고 역확산기 (524) 에 음영 박스로 표시된 데이터 샘플 5, 13, 21 등 및 509 을 제공한다. 대응하여, 역확산기 (524) 는 동일한 시간 오프셋 에 대응하는 위상을 가진 확산 시퀀스 를 수신하고 확산 시퀀스로 데시메이트된 데이터 샘플을 역확산시킨다. 그 후, 전술한 바와 같이, 파일롯 추정치 는 이 세그멘트에 대해 역확산된 샘플에 기초하여 도출된다.In Figure 6a, the fractional time offset During the nth symbol period for the mth multipath with, the
m 번째 다중경로로 인한 추정된 파일롯 간섭을 도출하기 위해, 확산기 (534) 는 다음 세그멘트에 대응하는 확산 시퀀스 를 수신하고 채널라이징된 파일롯 데이터를 확산한다. 그 후, 곱셈기 (536) 는 확산 파일롯 데이터에 (확산 시퀀스 에 의해 확산됨) 현재 세그멘트로부터 도출된 파일롯 추정치 를 곱하여 다음 세그멘트에 대한 추정된 파일롯 간섭 을 제공한다. 추정된 파일롯 간섭 은 도 6a 에 도시된 바와 같이, 간섭 누산기 (538) 에서 동일한 인덱스들 517 내지 1028 에서의 샘플로 누산된 간섭 샘플 517 내지 1028 을 포함한다. 이 방식에서, m 번째 다중경로의 프랙셔널 시간 오프셋은 총 파일롯 간섭의 도출에서 계산된다.To derive the estimated pilot interference due to the m-th multipath,
n 번째 심볼 주기 동안 m 번째 다중경로의 데이터 복조에 대해, 간섭 샘플 5 내지 516 의 동일한 세그멘트가 누산기 (538) 로부터 리샘플러 (540) 로 제공된다. 그 후, 리샘플러 (540) 는 합산기 (542) 에 리샘플러 (522) 에 의해 제공된 동일-인덱스된 데이터 샘플에 대응하는 간섭 샘플 5, 13, 20 등 및 509 (또한 음영 박스에 의해 도시됨) 를 제공한다. 그 후, 파일롯-소거 데이터 샘플의 데이터 복조는 전술한 바와 같이 수행된다. 각 다중경로는 유사한 방식으로 프로세싱될 수도 있다. 그러나, 각 다중경로가 상이한 시간 오프셋과 연관될 수도 있기 때문에, 상이한 데시메이트된 데이터 및 간섭 샘플이 동작될 수도 있다.For data demodulation of the m th multipath during the n th symbol period, the same segments of
도 6b 는 3 개의 다중경로로 인한 추정된 파일롯 간섭을 도출하도록 사용된 3 개의 데이터 샘플 세그멘트, 데시메이트된 데이터 샘플, 및 3 개의 확산 시퀀스를 도시한다.6B shows three data sample segments, decimated data samples, and three spreading sequences used to derive the estimated pilot interference due to three multipaths.
또 다른 복조 디자인에서, 충분한 프로세싱 용량이 제공되는 경우, 파일롯 간섭/소거 및 데이터 복조가 실시간으로 (예를 들어, 데이터 샘플이 수신됨에 따라) 수행될 수도 있다. 예를 들어, M 개의 핑거 프로세서는 동시에 할당되어 수신 신호에서의 M 개의 다중경로를 동시에 프로세싱할 수도 있다. 각 심볼 주기 동안, 각 핑거 프로세서는 그 심볼 주기에 대한 파일롯 추정치를 도출할 수 있고, 파일롯 추정치는 다음의 심볼 주기 동안 핑거 프로세서의 할당된 다중경로로 인한 추정된 파일롯 간섭을 도출하도록 사용된다. 그 후, 합산기는 모든 핑거 프로세서로부터의 추정된 파일롯 간섭을 합산하고 (각 시간 오프셋을 고려함), 다음 심볼 주기 동안의 총 파일롯 간섭은 간섭 누산기에 저장된다.In another demodulation design, when sufficient processing capacity is provided, pilot interference / erase and data demodulation may be performed in real time (eg, as data samples are received). For example, M finger processors may be assigned simultaneously to process M multipaths in a received signal simultaneously. During each symbol period, each finger processor can derive a pilot estimate for that symbol period, and the pilot estimate is used to derive the estimated pilot interference due to the assigned multipath of the finger processor during the next symbol period. The summer then sums (estimated each time offset) the estimated pilot interference from all finger processors, and the total pilot interference for the next symbol period is stored in the interference accumulator.
그 후, 데이터 샘플이 간섭 다음 심볼 주기 동안 수신되는 경우, 총 파일롯 간섭은 데이터 샘플로부터 감산될 수도 있고, 또한, 동일한 파일롯-소거 데이터 샘플은 데이터 복조를 위해 M 개의 핑거 프로세서로 제공된다 (또한, 이들 핑거 프로세서에 파일롯 소거없이, 파일롯 추정치를 도출하도록 사용되는 수신 데이터 샘플이 제공된다). 이 방법에서, 데이터 복조는 파일롯-소거 데이터 샘플상에서 실시간으로 수행될 수도 있고, 샘플 버퍼는 제거될 수 있다. 동일한 세그멘트에 대해 (다음 세그멘트가 아님) 파일롯 추정치가 추정된 파일롯 간섭을 도출하도록 사용되는 방식에서, 데이터 샘플은 총 파일롯 간섭이 도출되는 동안 일시적으로 저장될 수도 있다 (예를 들어, 하나의 심볼 주기 동안).Then, if the data sample is received during the symbol period following the interference, the total pilot interference may be subtracted from the data sample, and the same pilot-erase data sample is provided to the M finger processors for data demodulation (also, These finger processors are provided with received data samples that are used to derive a pilot estimate, without pilot cancellation). In this method, data demodulation may be performed in real time on pilot-erase data samples and the sample buffer may be removed. In the manner in which the pilot estimate for the same segment (not the next segment) is used to derive the estimated pilot interference, the data sample may be temporarily stored (eg, one symbol period) while the total pilot interference is derived. During).
동일한 데이터 샘플이 복수회 프로세싱되는 복조 디자인에 대해 (예를 들어, 하나의 핑거 프로세서는 다수의 다중경로를 프로세싱하도록 디자인됨), 샘플 버퍼는 데이터 샘플이 무심코 드롭되지 않는 것을 보장하는 방법으로 디자인되고 동작될 수도 있다. 일 실시형태에서, 샘플 버퍼는 저장된 데이터 샘플을 핑거 프로세서(들) 에 제공하는 동안 들어오는 데이터 샘플을 수신하도록 디자인된다. 이것은 새로운 데이터 샘플이 버퍼의 또 다른 부분에 기록되는 동안 저장된 데이터 샘플이 버퍼의 하나의 부분으로부터 판독될 수도 있는 방법으로 샘플 버퍼를 구현함으로써 획득된다. 샘플 버퍼는 더블 버퍼 또는 다중 버퍼, 다중-포트 버퍼, 순환 (circular) 버퍼, 또는 일부 다른 버퍼 디자인로서 구현될 수도 있다. 간섭 누산기는 샘플 버퍼(예를 들어, 순환 버퍼) 와 유사한 방법으로 구현될 수도 있다.For demodulation designs in which the same data sample is processed multiple times (e.g., one finger processor is designed to process multiple multipaths), the sample buffer is designed in such a way as to ensure that the data sample is not inadvertently dropped. May be operated. In one embodiment, the sample buffer is designed to receive incoming data samples while providing stored data samples to the finger processor (s). This is obtained by implementing the sample buffer in such a way that stored data samples may be read from one part of the buffer while new data samples are written to another part of the buffer. The sample buffer may be implemented as a double buffer or a multiple buffer, a multi-port buffer, a circular buffer, or some other buffer design. The interference accumulator may be implemented in a similar manner as the sample buffer (eg, circular buffer).
상기 복조 디자인에 대해, 아직 프로세싱중인 오버라이팅 샘플을 방지하기 위해, 샘플 버퍼의 용량은 모든 M 개의 다중경로에 대한 총 파일롯 간섭을 도출하는데 필요한 시간의 적어도 2 배가 되도록 선택될 수도 있다 (시간과 버퍼 용량의 관계는 샘플 레이트에 의해 규정된다). 상이한 데이터 샘플 세그멘트가 M 개의 다중경로 각각에 대해 사용될 수도 있는 경우, 샘플 버퍼의 용량은 샘플 버퍼에 할당된 각 수신 신호에 대해 적어도 이 되도록 선택될 수도 있으며, 여기서 N 은 하나의 다중경로에 대한 추정된 파일롯 간섭을 도출하도록 사용된 데이터 샘플의 지속기간이고, 은 데이터 샘플 (칩 레이트를 초과하는 샘플의 비로서 규정됨) 에 대한 오버샘플링 팩터이다. 하나의 심볼 주기 (예를 들어, N=64 개의 PN 칩) 의 세그멘트가 각 다중경로에 대해 프로세싱되는 상기의 예에 대해, 2 개의 심볼 주기의 버퍼는 심볼 주기의 프랙셔널 시간 오프셋에 관계없이 각 다중경로에 대한 데이터 샘플의 하나의 심볼 주기의 세그멘트를 제공할 수 있다. 오버샘플 레이트가 이고, 버퍼의 최대 사이즈는 데이터 샘플이다.For the demodulation design, to prevent overwriting samples that are still being processed, the capacity of the sample buffer may be chosen to be at least twice the time needed to derive the total pilot interference for all M multipaths (time and buffers). The capacity relationship is defined by the sample rate). If different data sample segments may be used for each of the M multipaths, the capacity of the sample buffer should be at least for each received signal assigned to the sample buffer. May be selected, where N is the duration of the data sample used to derive the estimated pilot interference for one multipath, Is the oversampling factor for the data sample (defined as the ratio of samples exceeding the chip rate). For the above example where a segment of one symbol period (e.g., N = 64 PN chips) is processed for each multipath, the buffer of two symbol periods may each be independent of the fractional time offset of the symbol period. One symbol period segment of a data sample for multipath may be provided. Oversample rate The maximum size of the buffer is Data sample.
유사하게, 간섭 누산기의 용량은 적어도 가 되도록 선택될 수도 있다. 간섭 누산기에 대한 여분의 심볼 주기 (즉, 2·N 대신 3·N) 는 추정된 파일롯 간섭이 다음 세그멘트에 대해 도출된다는 사실을 고려해야 한다.Similarly, the capacity of the interference accumulator is at least It may be selected to be. The extra symbol period for the interference accumulator (
전술한 바와 같이, 하나의 데이터 샘플 세그멘트로부터 도출된 추정된 파일롯 간섭은 나중의 데이터 샘플 세그멘트로부터 소거될 수도 있다. 결과적으로, 이동 단말기에 대해, 다양한 다중경로의 통신 링크 및 채널 응답은 지속적으로 변한다. 따라서, 파일롯 간섭이 추정되는 데이터 샘플과 추정된 파일롯 간섭이 소거되는 데이터 샘플 사이의 지연을 감소시키는 것이 바람직하다. 이 지연은 2·N 칩 만큼 클 수도 있다.As discussed above, the estimated pilot interference derived from one data sample segment may be canceled from a later data sample segment. As a result, for mobile terminals, communication links and channel responses of various multipaths vary continuously. Thus, it is desirable to reduce the delay between data samples for which pilot interference is estimated and data samples for which estimated pilot interference is cancelled. This delay may be as large as 2 N chips.
N 에 대해 충분히 작은 값을 선택함으로써, 각 다중경로의 채널 응답은 2·N 칩의 주기에 걸쳐 비교적 일정하게 유지될 것으로 기대될 수도 있다. 그러나, N 의 값은 프로세싱되는 각 다중경로의 채널 응답의 정확한 추정치를 허용하도록 충분히 크게 선택되어야 한다.By selecting a sufficiently small value for N, each multipath channel response may be expected to remain relatively constant over the period of the 2N chip. However, the value of N should be chosen large enough to allow an accurate estimate of the channel response of each multipath being processed.
도 7 은 일 실시형태에 따라, 다수의 다중경로에 대해 총 파일롯 간섭을 도출하는 프로세스 (700) 의 흐름도이다. 프로세스 (700) 는 도 5 에 도시된 핑거 프로세서에 의해 구현될 수도 있다.7 is a flow diagram of a
초기에, 추정된 파일롯 간섭을 누산하도록 사용된 누산기는 단계 712 에서 클리어된다. 프로세싱되지 않은 간섭 다중경로는 단계 714 에서 선택된다. 통상적으로, 파일롯 간섭은 데이터 복조를 위해 할당된 각 다중경로에 대해 추정된다. 그러나, 할당되지 않은 다중경로로 인한 파일롯 간섭 또한 추정될 수도 있다. 일반적으로, 간섭 다중경로의 임의의 수가 프로세싱될 수도 있고, 이들 다중 경로에 대해 파일롯 간섭은 추정되고 누산되어 총 파일롯 간섭을 도출한다.Initially, the accumulator used to accumulate the estimated pilot interference is cleared at
단계 716 에서, 선택된 다중경로로 수신된 신호에 대한 데이터 샘플은 그 후, 프로세싱되어 선택된 다중경로의 채널 응답의 추정치를 도출한다. 전술한 바와 같이, 채널 응답은 선택된 다중경로에서의 파일롯에 기초하여 추정될 수도 있다. cdma2000 에 대해, 이 프로세싱은 (1) 다중경로에 대한 확산 시퀀스로 (즉, 다중 경로의 시간 오프셋에 대응하는 적합한 위상을 가짐) 데이터 샘플을 역확산하는 단계, (2) 역확산된 데이터 샘플을 채널라이징하여 파일롯 심볼을 제공하는 단계 (예를 들어, 역확산된 샘플에 파일롯 채널화 코드를 곱하고 파일롯 채널화 코드 길이를 초과하는 채널라이징된 데이터 샘플을 누산하는 단계), 및 (3) 파일롯 심볼을 필터링하여 선택된 다중경로의 채널 응답을 표시하는 파일롯 추정치를 도출하는 단계를 수반한다. 또한, 다른 기술을 이용한 채널 응답의 추정이 구현될 수도 있고, 이것은 명세서의 범위 내이다.At
그 후, 단계 718 에서 선택된 다중경로로 인한 파일롯 간섭이 추정된다. 파일롯 간섭은 프로세싱된 파일롯 데이터를 생성하고 이 데이터에 단계 716 에서 도출된 추정된 채널 응답을 곱함으로써 추정될 수도 있다. 파일롯 데이터가 모두 제로인 시퀀스이고 파일롯 채널화 코드가 또한 모두 제로인 경우, 프로세싱된 파일롯 데이터는 단순히 선택된 다중경로에 대한 확산 시퀀스이다. 일반적으 로, 프로세싱된 파일롯 데이터는 송신기 유닛에서 모든 신호 프로세싱 이후의, 그러나 필터링 및 주파수 업컨버팅 이전의 파일롯 데이터이다 (예를 들어, cdma2000 에서의 역방향 링크에 대한 도 3 의 변조기 (216a) 의 출력에서의 데이터).Then, pilot interference due to the multipath selected in
단계 720 에서, 선택된 다중경로에 대해 추정된 파일롯 간섭은 미리-프로세싱된 다중경로에 대해 추정된 파일롯 간섭과 함께 간섭 누산기에 누산된다. 전술한 바와 같이, 다중경로의 타이밍 위상은 단계 716, 718, 및 720 을 수행함으로써 관측된다.In
그 후, 단계 722 에서 모든 간섭 다중경로가 프로세싱되었는지 여부를 결정한다. 답이 아니오인 경우, 프로세스는 단계 714 로 복귀하고, 또 다른 간섭 다중경로가 프로세싱을 위해 선택된다. 그렇지 않은 경우, 누산기의 컨텐츠는 단계 724 로 제공될 수도 있는 모든 프로세싱된 다중경로로 인한 파일롯 간섭을 나타낸다. 그 후, 프로세스는 종결한다.Then, in
도 7 에서의 파일롯 간섭 추정치는 하나 이상의 핑거 프로세서를 이용하여 시간 분할 다중 방법으로 모든 다중경로에 대해 수행될 수도 있다. 또한, 모든 다중경로에 대한 파일롯 간섭 추정치는 다수의 핑거 프로세서를 이용하여 병렬로 수행될 수도 있다. 이 케이스에서, 하드웨어가 충분한 용량을 가진 경우, 파일롯 간섭 추정치 및 소거는 데이터 복조와 함께 실시간으로 수행될 수도 있다 (예를 들어, 전술한 바와 같이 최소한의 버퍼 또는 버퍼없이 데이터 샘플이 수신되는 바와 같음).The pilot interference estimate in FIG. 7 may be performed for all multipaths in time division multiplexing using one or more finger processors. In addition, pilot interference estimates for all multipaths may be performed in parallel using multiple finger processors. In this case, if the hardware has sufficient capacity, pilot interference estimates and cancellation may be performed in real time with data demodulation (eg, as data samples are received with minimal or no buffer as described above). ).
도 8 은 일 실시형태에 따라 다수의 다중경로를 파일롯 간섭 소거로 데이터 복조하는 프로세스 (800) 의 흐름도이다. 프로세스 (800) 는 또한 도 5 에 도시된 핑거 프로세서에 의해 구현될 수도 있다.8 is a flow diagram of a
초기에, 단계 812 에서 모든 해당 다중경로로 인한 총 파일롯 간섭이 도출된다. 단계 812 는 도 7 에 도시된 프로세스 (700) 를 이용하여 구현될 수도 있다. 그 후, 단계 814 에서 특정 다중경로는 데이터 복조를 위해 선택된다. 일 실시형태에서 및 전술한 바와 같이, 단계 816 에서 총 파일롯 간섭은 선택된 다중경로로부터 초기에 소거된다. 이것은 선택된 다중경로를 포함하는 수신 신호에 대한 데이터 샘플로부터 총 파일롯 간섭에 대한 간섭 샘플 (누산기에 저장됨) 을 감산함으로써 획득될 수도 있다.Initially, in step 812 the total pilot interference due to all of the corresponding multipaths is derived. Step 812 may be implemented using the
그 후, 데이터 복조는 정규의 방법으로 파일롯-소거 신호상에서 수행된다. cdma2000 에 대해, 이것은 (1) 파일롯-소거 데이터 샘플을 역확산하는 단계, (2) 역확산 데이터를 채널라이징하여 데이터 심볼을 제공하는 단계, 및 (3) 데이터 심볼을 파일롯 추정치로 복조하는 단계를 수반한다. 선택된 다중경로에 대해 복조된 심볼 (즉, 복조된 데이터) 은 동일한 송신기 유닛 (예를 들어, 단말기) 에 대한 다른 다중경로에 대해 복조된 심볼과 결합된다. 복수의 수신 신호에서의 (예를 들어, 수신 다이버시티가 사용된 경우) 다중경로에 대해 복조된 심볼은 또한 결합될 수도 있다. 심볼 결합은 도 4 에 도시된 심볼 결합기에 의해 획득될 수도 있다.Then, data demodulation is performed on the pilot-erase signal in the normal way. For cdma2000, this includes (1) despreading the pilot-erase data samples, (2) channelizing the despread data to provide data symbols, and (3) demodulating the data symbols into pilot estimates. Entails. The demodulated symbols (ie demodulated data) for the selected multipath are combined with the demodulated symbols for other multipaths for the same transmitter unit (eg, terminal). The demodulated symbols for multipath in a plurality of received signals (eg, when receive diversity is used) may also be combined. Symbol combining may be obtained by the symbol combiner shown in FIG.
그 후, 단계 822 에서 할당된 다중경로가 복조되었는지 여부를 결정한다. 답이 아니오인 경우, 프로세스는 단계 814 로 복귀하고, 또 다른 다중경로가 데이 터 복조를 위해 선택된다. 그렇기 않은 경우, 프로세스는 종결한다.Thereafter, it is determined whether the multipath allocated in
전술한 바와 같이, 주어진 송신기 유닛의 모든 할당된 다중경로에 대한 데이터 복조는 하나 이상의 핑거 프로세서를 사용하여 시간 분할 다중 방법으로 수행될 수도 있다. 또한, 모든 할당된 다중경로에 대한 데이터 복조는 다수의 핑거 프로세서를 이용하여 병렬로 수행될 수도 있다.As noted above, data demodulation for all assigned multipaths of a given transmitter unit may be performed in a time division multiplexing manner using one or more finger processors. In addition, data demodulation for all assigned multipaths may be performed in parallel using multiple finger processors.
도 4 및 도 5 로 돌아가 참조하면, 탐색기 (412) 는 파일롯-소거 데이터 샘플 (버퍼 (408) 로부터의 로 수신된 데이터 샘플 대신) 에 기초하여 새로운 다중경로를 탐색하도록 디자인되고 동작할 수도 있다. 이것은, 일부 또는 모든 알려진 다중경로로부터의 파일롯 간섭이 전술한 바와 같이 제거되었기 때문에, 개선된 탐색 성능을 제공할 수도 있다.Referring back to FIGS. 4 and 5, the
또 다른Other레이크lake 수신기 및 Receiver and핑거Finger 프로세서 실시형태 Processor embodiment
도 9 는 전술한 도 4 의 레이크 수신기 (254a) 의 일부 양태에 유사할 수도 있는 레이크 수신기 내의 핑거 프로세서 (900) 의 또 다른 실시형태 및 샘플 버퍼 (908) 의 블록도이다. 레이크 수신기는 몇몇 다중경로를 프로세싱하는 256 또는 512 개의 핑거 프로세서 (900) 와 같은 개별 핑거 프로세서 (900) 의 큰 수를 포함할 수도 있다. 또한, 레이크 수신기는 몇몇의 핑거 프로세서 (900) 의 기능을 시뮬레이션하는 시간 분할 방법으로 몇몇의 다중경로를 프로세싱하는 단일의 고속 프로세서를 포함할 수도 있다. 샘플 버퍼 (908) 의 일 실시형태는 칩 레이트 × 2 ("칩×2") 의 샘플 레이트로 데이터 샘플의 세그멘트를 저장하는 순환 랜덤 액세스 메모리 (RAM) 가 될 수도 있다. 칩 레이트는 1/Tc 이고, 여기서 Tc 는 칩 지속기간이다. 예를 들어, 칩 레이트는 1.2MHz 일 수도 있다. 다른 칩 레이트가 사용될 수도 있다.9 is a block diagram of another embodiment of a
핑거 프로세서 (900) 는 CDMA2000 1xEV-DO 시스템 또는 다른 시스템에 대해 사용될 수도 있다. 핑거 프로세서 (900) 는 채널 추정기 (902), 데이터 복조기 유닛 (904), 및 파일롯 간섭 추정기 (906) 를 구비한다. 채널 추정기 (902) 는 역확산기 (910), 파일롯 디-채널라이저 (912) 및 파일롯 필터 (914) 를 구비한다. 데이터 복조 유닛 (904) 은 역확산기 (918), 데이터 디-채널라이저 (920) 및 데이터 복조기 (922) 를 구비한다. 파일롯 간섭 추정기 (906) 는 소거 팩터 계산 유닛 (924), 곱셈기 (926 및 932), 재구성 필터 테이블 (938), 파일롯 재구성 필터링 블록 (930), 파일롯 간섭 누산 블록 (928), 파일롯 채널라이저 (934) 및 확산기 (936) 를 구비한다.
도 9 의 채널 추정기 (902) 는 후술하는 일부 예외와 함께 도 5 를 참조하여 전술한 파일롯 추정기 (520) 와 유사한 방법으로 동작할 수도 있다. 유사하게, 도 9 의 데이터 복조 유닛 (904) 은 후술하는 일부 예외와 함께 도 5 를 참조하여 전술한 데이터 복조 유닛 (550) 과 유사한 방법으로 수행될 수도 있다.The
역확산기 (910, 918) 는 확산 시퀀스 생성기 (414) (도 4) 로부터 예를 들어, 도 5 에서의 로 전술된 PN 시퀀스인 켤레 복소수 확산 시퀀스 를 수신한다. 일 실시형태에서, 역확산기 (910, 918) 는 우선 시간 오프셋 에 서 시작하는 샘플 버퍼 (908) 로부터의 세그멘트의 데이터 샘플에 확산 시퀀스 를 곱한 후, 역확산된 데이터 샘플을 리샘플링한다. 또 다른 실시형태에서, 역확산기 (910, 918) 는 우선 다중경로의 시간 오프셋 에서 시작하는 샘플 버퍼 (908) 로부터의 세그멘트의 데이터 샘플을 리샘플링한 후, 리샘플링한 데이터 샘플에 확산 시퀀스 를 곱한다.
도 9 의 역확산기 (910, 918) 는 샘플 버퍼 (908) 로부터의 데이터 샘플을 리샘플링하고, 업샘플링하며, 합산하고, 데시메이트하고, 또는 보간하는 리샘플러 또는 보간기를 구비하여 원하는 레이트를 획득할 수도 있다. 리샘플링의 유형은 샘플 버퍼 (908) 에 저장된 수신 신호 샘플의 레이트에 의존한다. 예를 들어, 역확산기 (910) 는 샘플 버퍼 (908) 로부터의 샘플을 칩×2 의 레이트에서 핑거 시간 오프셋의 최대 해상도, 예를 들어, 칩×8 로 업샘플링할 수도 있다. 역확산기 (910) 는 파일롯 디-채널라이저 (912) 로의 출력에 대해 칩×8 샘플을 칩×1 으로 데시메이트할 수도 있다.The
일반적으로, 칩×1, 칩×2, 칩×4 와 같은 상이한 레이트는 핑거 프로세서 (900) 의 상이한 컴포넌트에 의해 사용될 수도 있다. 칩×8 과 같은 더 높은 레이트는 샘플의 성능 및 정확성을 개선할 수도 있다. 칩×2 와 같은 더 낮은 레이트는 덜 정확할 수도 있지만, 계산 및 프로세싱 시간을 감소시킴으로써 효율성을 개선한다.In general, different rates such as chip × 1, chip × 2, chip × 4 may be used by different components of the
파일롯 디-채널라이저 (912) 는 (a) 역확산기 (910) 로부터의 역확산된 데이 터 샘플 및 파일롯 채널화 코드 를 수신하고 (b) 디-채널라이징된 파일롯 심볼을 출력한다. 유사하게, 데이터 디-채널라이저 (920) 는 (a) 애더 (916) 로부터의 역확산된 데이터 샘플 및 데이터 채널화 코드 를 수신하고 (b) 디-채널라이징된 데이터 심볼을 출력한다.
파일롯Pilot 필터 filter
파일롯 필터 (914) 는 및 과 같은 다양한 형태로 파일롯 필터 (914) 로부터 출력될 수도 있는 적어도 2 개의 값 및 을 도출한다. 는 핑거 프로세서 (900) 에 할당될 특정 다중경로의 채널 추정치이다. 채널 추정치 는 채널 계수 (크기, 위상, 및 지연 또는 시간 오프셋) 에 대응한다. 파일롯 필터 (914) 는 하나 이상의 세그멘트, 예를 들어, 현재 세그멘트 "n" 및/또는 과거 또는 미래 세그멘트를 사용하여 채널 추정치 를 제공할 수도 있다. 일 예에서, 파일롯 필터 (914) 는 4 개 내지 6 개의 세그멘트를 사용하여 채널 추정치를 도출한다. 또한, 파일롯 필터 (914) 는 하나 이상의 세그멘트를 사용하여 미래 채널 추정치, 즉, 채널 추정치의 예측을 제공할 수도 있다. 채널 추정치 는 후술하는 바와 같이 파일롯 재구성을 위해 파일롯 간섭 추정기 (906) 에 의해 사용될 것이다. 파일롯 필터 (914) 에 의해 곱셈기 (926) 로의 채널 추정치 출력은 I 및 Q 컴포넌트를 갖는 복소수일 수도 있다.
는 핑거 프로세서 (900) 에 예측된 간섭 텀 (term) 을 플러스하는 잡음 의 배리언스 (variance) 이다. 채널 추정치 의 배리언스가 높은 경우, 채널은 잡음이다. 은 데이터 복조기 (922) 에 의해 사용되어 데이터를 복조한다. 는 소거 팩터 계산 유닛 (924) 에 의해 사용된다. 파일롯 필터 (914) 는 위상 로테이터 또는 위상 보정기를 구비할 수도 있다. Is a variation of noise that adds an expected interference term to
소거elimination팩터의Factor 계산 Calculation
수신기가 완벽한 채널 상태 정보를 가진 경우, 복수의 핑거 프로세서 (900) 에 의한 간섭 소거는 다중 액세스 채널의 용량을 개선할 수도 있다. 실제적으로, 각 사용자의 채널은 시변이고, 신뢰할 수 있는 채널 상태 정보를 추정하기 위해 변할 수도 있다. 각 사용자의 파일롯은 실제적이고 신뢰할 수 있는 파일롯-기반 채널 추정치를 사용함으로써 수신 신호로부터 소거되어야 한다. 신뢰할 수 없는 추정치의 사용은 데이터 샘플의 초과-소거 (over-cancellation) 를 유발한다. 채널 추정기 (902) 가 신뢰할 수 없는 잡음 파일롯-기반 채널 추정치를 검출한 경우, 채널 팩터 계산 유닛 (924) 은 소거를 감소시키거나 방지한다. 그 결과, 소거 팩터 계산 유닛 (924) 은 파일롯 간섭 소거 이후에 잔여 에너지 (잡음) 를 최소화한다.If the receiver has complete channel state information, interference cancellation by the plurality of
예를 들어, 3 개의 핑거 프로세서 (900) 는 상이한 오프셋으로 동일한 수신 신호를 프로세싱하고 상이한 SNR 또는 채널 추정치를 검출할 수도 있다. 하나의 핑거 프로세서가 특정 잡음 채널을 검출한 경우, 파일롯 간섭 소거에 대한 핑거 프로세서의 재구성된 파일롯의 기여를 감소시키는 것이 바람직할 수도 있다.For example, three
(핑거 프로세서 (900) 에 예측된 간섭 텀을 플러스하는 잡음의 배리언스) 가 높고, 파일롯 신호 강도 가 낮은 경우, 채널 추정치 는 신뢰할 수 없을 수도 있다. 소거 팩터 계산 유닛 (924) 은 0, .1, .2, .5, 등과 같은 낮은 소거 팩터 를 선택할 수도 있다. 이것은 핑거 프로세서 (900) 에 의해 사용된 잡음 채널 추정치의 크기를 감소시켜 파일롯 샘플을 재구성한다. (Variance of noise that plus predicted interference term to finger processor 900) is high, and pilot signal strength If is low, the channel estimate May not be reliable. The erasure
가 낮고, 파일롯 신호 강도 가 높은 경우, 채널 추정치 는 신뢰할 수 있고, 간섭 팩터 소거 유닛 (924) 는 .8, .9, 1.0 등과 같은 높은 소거 팩터 를 선택할 수도 있다. 가 높고, 파일롯 신호 강도 또한 높은 경우, 채널 추정치 는 다소 신뢰할 수도 있고, 소거 팩터 계산 유닛 (924) 은 .5, .6, .7, .8 등과 같은 모더레이트 (moderate) 소거 팩터 를 선택할 수도 있다. 소거 팩터 에 대한 값은 파일롯 복조가 어떻게 구현되고, 채널 추정치가 어떻게 도출되는지에 의존할 수도 있다. 일부 경우에, 소거 팩터 는 1 보다 크게 선택될 수도 있다. 예를 들어, 채널의 위상은 소거되는 에너지를 유발하는 파일롯 복조 동안 부적합하게 정렬될 수도 있다. 이 채널은 언더-추정된 신호 크기이거나 바이어스된 채널 추정치를 가진다. 그 결과, 1 보다 큰 소거 팩터 의 선택과 사용은 채널 추정치에 일부 보정 백 (correction back) 을 부가할 것이다. 이하의 수학식은 가우시안 (Gaussian) 잡음을 가진 하나의 세그멘트를 초과하여 지속적인 채널에 최적일 수도 있다. Low, pilot signal strength If is high, the channel estimate Is reliable, and the interference
일 실시형태에서, 소거 팩터 계산 유닛 (924) 은 파일롯 필터 (914) 로부터의 을 사용하여 수학식으로부터 소거 팩터 를 계산한다.In one embodiment, the erasure
여기서 은 에 비례하고, 은 채널 추정기 (902) 에 의해 추정된 칩 당 에너지이며, 는 잡음이고 ( 신호 대 잡음비를 나타냄), N 은 채널 추정치의 평균 길이이다. N 은 및 을 추정하도록 사용된 샘플의 개수를 나타낸다. N 은 512, 1024 또는 2048 칩과 같은 세그멘트 길이일 수도 있다.here silver Proportional to, Is the energy per chip estimated by the
또 다른 실시형태에서, 소거 팩터 계산 유닛 (924) 은 파일롯 필터 (914) 로부터의 를 사용하여, 룩-업 테이블 (LUT) 로부터의 최적의 소거 팩터 를 선택한다. 룩-업 테이블은 의 소정의 값 또는 범위 및 대응하는 소정의 소거 팩터 를 포함한다.In another embodiment, the erasure
도 10 은 및 소정의 소거 팩터 에 대한 룩업 테이블의 예이다. 테이블은 을 사용하고, 여기서 는 포화되고 4 비트로 라운딩되어 좌측 열의 0 내지 15 사이의 넘버를 제공한다. 우측 열은 수학식으로부터 도출된 소정의 소거 팩터 를 포함한다.10 is And a predetermined erase factor Here is an example of a lookup table for. Table , Where Is saturated and rounded into 4 bits to give a number between 0 and 15 in the left column. The right column is a predetermined erase factor derived from the equation It includes.
테이블의 사이즈는, 다른 수학식이 사용되거나 이외의 더 많은 정보가 사용되어 소거 팩터를 계산하는 경우, 변할 수도 있다.The size of the table can be any other equation If more information is used to calculate the erase factor, it may change.
제 1 곱셈기 (926) 는 채널 추정치 에 소거 팩터 계산 유닛 (924) 으로부터 계산되거나 선택된 소거 팩터 를 곱하여, 즉 스케일링하여 세그멘트 당 (per-segment) 가중 채널 계수를 제공한다.
파일롯Pilot 재구성 Reconstruction필터링Filter
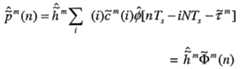
다중경로 수신 신호의 시간 지연 또는 오프셋 이 칩 지속기간 Tc 와 칩 지속기간 Tc 의 프랙션, 즉 하나의 칩 지속기간 Tc 보다 작은 프랙션의 합의 정수배인 경우, 인터-칩 간섭 (ICI) 이 발생한다. 핑거 프로세서 (900) 는 송신기 (218) (도 3) 에 의한 펄스-형상을 설명해줄 재구성 필터링을 수행한다. 도 14 는 도 3 의 송신기 필터 (352a 및 352b) 로부터의 시간 도메인에서의 추정된 (미리-계산된) 송신 펄스 와 수신기 (252; 전술한 바와 같음) 의 수신 필터 함수 의 콘볼루션인 의 예를 도시한다. 구체적으로, 도 9 의 재구성 필터 테이블 (938), 제 2 곱셈기 (932) 및 파일롯 재구성 필터링 블록 (930) 은 송신 펄스의 센터 로브 예컨대, 1402 (즉, 센터 탭 또는 피크값) 뿐만 아니라, 추정된 송신 펄스의 복수의 로브 (lobe) 예컨데, 1402, 1404A, 1404B, 1406A, 1406B (즉, 복수의 탭들) 을 설명해준다. 핑거 프로세서 (900) 에 의해 수행된 필터링은 더욱 신뢰할 수 있는 재구성된 파일롯 샘플을 제공한다. 송신 펄스 및 수신 필터 및 재구성 필터링의 형상을 고려하지 않고, 재구성된 파일롯 신호는 수 신된 샘플에 파일롯의 기여를 정확히 반영할 수 없을 수도 있다.Time delay or offset of multipath received signal Inter-chip interference (ICI) occurs when the fraction of the chip duration Tc and the fraction of the chip duration Tc, i.e., the sum of fractions less than one chip duration Tc.
일 실시형태에서, 파일롯 재구성 필터링 블록 (930) 은 예를 들어, 칩×8 로부터 칩×2 로의 데시메이트하는 단계와 신호 프로세스에서의 필터링하는 단계를 결합하는 다상 (polyphase) 유한 임펄스 응답 필터 (FIR) 를 구비한다. 다상 필터에 위상이 주어질 수 있고, 다상 필터는 주어진 위상에 따라 필터 기능을 데시메이트하고 필터링을 수행한다. 예를 들어, 다상 필터는 8 개의 상이한 가능한 위상으로 8 만큼 데시메이트된 전술된 콘볼루션을 사용할 수도 있다. 필터 테이블 (938) 로의 시간 오프셋 입력은 8 개의 상이한 가능한 위상 중 하나에 대응하는 필터 계수를 선택한다. 곱셈기 (932) 는 채널 추정치 및 소거 팩터에 의해 필터 계수를 곱한다 (선택된 위상에 따라). 재구성 필터링 블록 (930) 은 필터 계수, 채널 추정치 및 소거 팩터로 칩×8 에서 확산기 (936) 로부터의 확산 파일롯 신호 (의 콘볼루션을 수행함) 를 필터링한다. 콘볼루션이 8 의 데시메이션 이후에, 64 개 (8 개의 샘플의 8 개의 그룹) 샘플을 가진 경우, 재구성 필터링 블록 (930) 은 8-탭 필터이고 단지 8 개의 샘플을 필터링한다. 이 실시형태는 파일롯 간섭 추정기 (906) 의 복잡성을 감소시킬 수도 있다.In one embodiment, pilot
재구성 필터 테이블 (938) 은 (도 3 의 송신 필터 (352a, 352b) 로부터의) 추정된 송신 펄스 와 도 2 의 수신기 (252) 에서의 수신 필터 (예를 들어, 로우 패스 필터) 와의 콘볼루션 을 나타내는 미리-계산된 필터 계수의 세트를 저장한다. 단말기 (106) 의 송신 필터 (352a, 352b) 에 의해 사용된 송 신 펄스 는 기지국 (104) 에서 핑거 프로세서 (900) 에 의해 알려지고 추정될 수도 있다. 송신 펄스 는 이동 전화 제조자 또는 IS-95, CDMA2000 등과 같은 표준에 의해 규정될 수도 있다. 수신 필터 함수는 도 3 의 송신 필터 (352) 와 이상적으로 매칭된 필터 (MF) 가 될 수도 있지만, 실제 수신 필터는 송신 필터 (352) 와 정확히 매칭하지 않을 수도 있다. 기지국 수신기가 제조되는 경우, 수신 필터 함수 는 세트가 될 수도 있다.The reconstruction filter table 938 stores the estimated transmit pulses (from the transmit
일 구성에서, 콘볼루션은 핑거 프로세서 (900) 에서 예를 들어, 칩×8 인 최상의 샘플 레이트로 샘플링되어, 필터 테이블 (938) 은 복수의 필터 테이블, 예를 들어, 8 개의 필터 테이블을 포함하고, 여기서 ith 필터 테이블은 시간 오프셋 i (여기서, i = 0, 1, 2, ...7) 에서의 원래의 칩×8 상관 함수 의 칩-레벨 샘플에 대응한다. 각 필터 테이블은 2M+1 개의 탭 엔트리를 가질 수도 있고, 각 엔트리는 16 개의 비트를 가질 수도 있다. 일 실시형태에서, M 은 2 와 동일하거나 크도록 선택되어 성능 손실을 감소시킨다 (M=2 인 경우, 2M+1=5 이다). 필터 테이블은 칩×1 에서 5-13 칩 시간 스팬 (여기서 M=2 내지 6 이고, 2M+1=5 내지 13 임), 또는 33-97 칩×8 시간 스팬 (여기서, M=2 내지 6 이고, 2M(8)+1=33 내지 97 임) 이다. 일 실시형태에서, 동일한 필터 테이블 (938) 은 복수의 핑거 프로세서 (900) 에 의해 사용될 수도 있다.In one configuration, the convolution is sampled at the
일 실시형태에서, 각 핑거 프로세서 (900) 의 제 2 곱셈기 (932) 는 칩×2 파일롯 샘플의 재구성을 위해 (핑거 프로세서 (900) 에 할당된) 에 대한 적합 한 시간 오프셋에서 2 개의 이러한 필터 테이블에 접속하고, 하나의 테이블은 짝수 샘플용이고, 하나의 테이블은 홀수 샘플용이다. 제 2 곱셈기 (932) 는 제 1 곱셈기 (956) 로부터의 스케일링된 세그멘트당 채널 추정치 계수에 2 개의 선택된 필터 테이블의 각 필터 탭 (미리-계산된 필터 계수) 을 곱한다. 제 2 곱셈기 (932) 는 파일롯 재구성 필터링 블록 (930) 에 세그멘트당 필터 탭 계수 (예를 들어, 칩×2 에서) 를 출력한다.In one embodiment, the
일 실시형태에서, 파일롯 재구성 필터링 블록 (930) 의 출력이 칩×2 에서 샘플을 제공하는 경우, 개별 리샘플러는 파일롯 간섭 추정기 (906) 에 필요하지 않을 수도 있다. 재구성필터 블록 (930) 은 칩 레이트를 샘플 레이트로 변경할 수도 있다.In one embodiment, if the output of pilot
도 9 의 파일롯 채널라이저 (934) 및 확산기 (936) 는, 도 9 의 확산기 (936) 가 현재 세그멘트 "n" 의 확산 시퀀스 Pm 을 수신하는 것을 제외하고는 도 5 의 파일롯 채널라이저 (532) 및 확산기 (534) 와 유사한 방법으로 동작할 수도 있다. 반대로 도 5 의 확산기 (534) 는 도 5 및 6a 로 전술한 바와 같이, 다음 세그멘트에 대해 확산 시퀀스 를 수신한다. 도 9 의 확산기 (936) 는 현재 세그멘트 "n" 의 확산 시퀀스 Pm 를 수신하고, 다음 세그멘트 "n+1" 가 아닌 현재 세그멘트 "n" 에 대한 확산 파일롯 신호 (예를 들어, 복소 PN 시퀀스 칩) 를 제공한다. 그 결과, 도 9 의 핑거 프로세싱 (900) 은 현재 세그멘트 "n" 의 파일롯 간섭을 재구성한다. 현재 세그멘트 "n" 에 대해 복수의 핑거 프로세서로 부터 파일롯 간섭을 재구성하고 누산하는 단계와 현재 세그멘트 "n" 의 데이터 샘플로부터 현재 세그멘트 "n" 누산된 재구성된 파일롯 간섭을 감산하는 단계 사이에 짧은 지연이 있을 수도 있다. 그러나 이 접근 (현재 세그멘트 "n" 의 데이터 샘플로부터 현재 세그멘트 "n" 의 누산된 재구성된 파일롯 간섭을 소거하는 단계) 은 특히, 높은 시변 채널에 신뢰할 수 있는/정확한 파일롯 간섭 소거를 제공할 수도 있다.The
파일롯 채널라이저 (934) 는 I 및 Q 컴포넌트를 갖는 복수 채널화 코드를 수신할 수도 있다. 확산기 (936) 는 4 개의 가능한 값 +/-1 또는 +/-i 을 가진 복소 PN 시퀀스를 수신할 수도 있다. 채널라이저 (934) 및 확산기 (936) 는 현재 세그멘트 "n" 의 각 양측상에 여분의 칩을 생성하여 파일롯 재구성 필터링 블록 (930) 에 의한 필터링을 어시스트한다.
파일롯 재구성 필터링 블록 (930) 은 활성 필터링, 즉, 확산기 (936) 로부터의 확산 파일롯 신호 (예를 들어, PN 시퀀스) 및 필터 테이블 계수 의 곱, 소거 팩터 및 채널 추정치의 콘볼루션을 수행한다. 예를 들어, 파일롯 재구성 필터링 블록 (930) 은 2 개의 5-탭 필터, 9-탭 필터 또는 13-탭 필터를 칩×1 에서 포함할 수도 있다. 각 필터 당 2M+1 개의 탭이 있을 수도 있다. 파일롯 재구성 필터링 블록 (930) 에 의해 제공된 필터링은 ICI (inter-chip interference) 의 효과를 감소시킬 수도 있다.Pilot
파일롯 재구성 필터링 블록 (930) 은 칩×2 해상도에서 사용자-시간 정렬된 파일롯 신호의 하나의 세그멘트를 재구성할 수도 있고 칩×2 파일롯 샘플을 제공한다. 또 다른 실시형태에서, 파일롯 재구성 필터링 블록 (930) 은 칩×8 에서 오버샘플링된 PN 시퀀스를 필터링하고, 리샘플러 (파일롯 재구성 필터링 블록 (930) 과 버퍼 (928) 사이의) 는 파일롯 재구성 필터링 블록 (930) 으로부터의 칩×8 을 주어진 위상을 가진 칩×2 로 즉, 0 으로부터 7 까지의 시작 샘플로 데시메이트한다 (시간 오프셋 에 의존함). 그 후, 샘플은 버퍼 (928) 에 저장된다.Pilot
파일롯 재구성 필터링 블록 (930) 은 핑거 프로세서 (900) 에 할당된 다중경로의 추정된 파일롯 샘플을 포함하는 재구성된 파일롯 간섭 신호 를 출력한다. 파일롯 재구성 필터링 블록 (930) 은 특히, 역확산기 (910) 가 주파수 오프셋을 보상하는 위상 로테이터를 구비하는 경우, 위상 디-로테이터 또는 위상 보정기를 포함할 수도 있다.Pilot
파일롯Pilot 간섭 Interference누산Accumulation 버퍼 buffer
파일롯 간섭 누산 버퍼 (928) 는 적합한 시간 오프셋에서 파일롯 재구성 필터링 블록 (930) 으로부터의 재구성된 파일롯을 저장하고 누산한다. 예로서, 파일롯 간섭 누산 버퍼 (928) 는 순환 랜덤 액세스 메모리 (RAM) 일 수도 있다. 일 구성에서, 복수의 핑거 프로세서 (900) 의 복수의 파일롯 재구성 필터링 블록 (930) 으로부터의 상이한 시간 오프셋으로 재구성된 파일롯 샘플을 저장하고 누산하는 단일의 파일롯 간섭 누산 버퍼 (928) 가 있을 수도 있다. 단일의 간섭 누산 버퍼는 복수의 핑거 프로세서에서의 복수의 간섭 누산 버퍼를 갖는 실시형태에 비해 더 적은 메모리 공간 및 다른 자원을 사용할 수도 있다.Pilot
파일롯 간섭 누산 버퍼 (928) 는 샘플 버퍼 (908) 와 동일한 해상도를 가질 수도 있다. 예를 들어, 파일롯 간섭 누산 버퍼 (928) 는 칩×2 해상도, 즉, 2×칩 레이트의 속도로 동작할 수도 있다. 각 세그멘트가 512 개의 칩의 길이를 갖는 경우, 파일롯 간섭 누산 버퍼 (928) 는 적어도 2 개의 세그멘트, 즉, 파일롯 재구성 필터링 블록 (930) 으로부터 생성된 512 개의 칩/세그멘트×2 샘플/칩=1024 를 저장할 수도 있다. 2 이상의 세그멘트 길이로, 파일롯 간섭 누산 버퍼 (928) 는 이전의 파일롯 샘플의 오버랩을 저장할 수도 있다. 파일롯 간섭 누산 버퍼 (928) 는 다른 사이즈로 구현될 수도 있다. 파일롯 간섭 누산 버퍼 (928) 는 3/2 또는 4/3 x 칩 레이트와 같은 다른 샘플 레이트를 사용할 수도 있다.The pilot
핑거 프로세서 (900) 가 파일롯 재구성을 완료한 이후에, 간섭 누산 버퍼 (928) 는 전체 파일롯 간섭 추정치를 포함한다. 그 후, 각 핑거 프로세서 (900) 의 애더 (916) 는 수신 신호 (샘플 버퍼 (908) 로부터의) 로부터 간섭 누산 버퍼 컨텐츠 샘플-와이즈 (간섭 누산 버퍼 (928) 로부터의) 를 감산하여 데이터 복조 유닛 (904) 에 파일롯-프리 데이터 샘플을 제공한다.After
단일의 간섭 누산 버퍼의 사용의 복잡성의 감소는 다중 경로 (사용자) 도달 시간과 독립적인 재구성된 파일롯을 생성함으로써 획득될 수도 있다. 예를 들어, 재구성된 파일롯은 칩×2 레이트로 생성되고 시스템-시간-정렬될 수도 있다. 그 결과, 재구성된 파일롯은 다중경로 (사용자) 도달 시간과 독립적이다. 간섭 누산 버퍼 (928) 에 의해 제공된 재구성된 파일롯은 핑거 또는 사용자 시간을 고려하지 않고 즉, 리샘플링하지 않고 시스템 시간을 따라 샘플 버퍼 (908) 에 의해 제공된 수신 신호로부터 예를 들어, 버스트 감산을 통해 직접 감산될 수도 있다. 이것은 도 5 의 핑거 프로세서 (410) 에서의 리샘플러 (540) 와 같은 리샘플러에 대한 필요를 제거한다.Reduction in the complexity of using a single interference accumulating buffer may be obtained by generating a reconstructed pilot that is independent of multipath (user) arrival time. For example, the reconstructed pilot may be generated and chip-time-aligned at chip × 2 rate. As a result, the reconstructed pilot is independent of multipath (user) arrival time. The reconstructed pilot provided by the
시간time스냅샷Snapshot
도 11 은 상이한 다중경로 시간 오프셋 t1 및 t2 를 가진 (도 9 의) 2 개의 핑거 프로세서 (900) 에 대한 시간 스냅샷의 예를 도시한다. 제 2 핑거 프로세서는 제 1 핑거 프로세서보다 짧은 시간 오프셋을 가진다. 라인 1112 및 1114 에 의해 도시된 바와 같이, 2 개의 핑거 프로세서는 세그멘트의 시퀀스 "n-1," "n-2," 및 "n-3," 에 대한 파일롯 복조, 파일롯 재구성 및 데이터 복조를 수행하고, 수신기 (252) (도 4) 는 수신기 (RX) 기록 포인터로 샘플 버퍼 (908) (도 9) 에 다음 세그멘트 "n+1" 를 기록한다. 도 11 의 바닥 라인 1116 은 세그멘트 "n-5," "n-4," "n-3," "n-2," "n-1," "n," "n+1," 등의 실시간으로 시간라인을 나타낸다. 세그멘트 "n" 는 현재 세그멘트를 나타낸다. 세그멘트 "n-1" 는 이전 세그멘트를 나타낸다. 세그멘트 "n+1" 는 다음 세그멘트를 나타낸다. 각 "세그멘트" 는 예를 들어, 512 개의 칩의 시간 스팬을 가질 수도 있다. 각 "칩" 은 예를 들어, 100 개의 클럭 사이클에 대응할 수도 있다.11 shows an example of a time snapshot for two finger processors 900 (of FIG. 9) with different multipath time offsets t1 and t2 . The second finger processor has a shorter time offset than the first finger processor. As shown by
수신기 (252) (도 4) 가 샘플 버퍼 (908) 로의 다음 세그멘트 "n+1" 기록을 시작하는 경우, 하나 이상의 이전 세그멘트, 예를 들어, "n-1" 및 "n" 은 샘플 버 퍼 (908) 에 저장되고 (이전 기록 동작에 의함) 2 개의 핑거 프로세서에 의한 프로세싱에 대해 사용가능하다. 각 핑거 프로세서의 시간 지연 오프셋은 도 11 에 도시된 바와 같이 세그멘트 "n-1" 의 파일롯 복조를 위해 시작 데이터 샘플 및 종료 데이터 샘플을 우측으로 시프팅한다. 그 결과, 세그멘트 "n+1" 가 샘플 버퍼 (908) 에 기록되기 때문에, 제 1 및 제 2 핑거 프로세서 모두 세그멘트 "n-1" 로부터의 일부 데이터 샘플 및 세그멘트 "n" 로부터의 일부 데이터 샘플로 세그멘트 "n-1" 에 대한 파일롯을 복조한다. 이 실시형태에서, 양 핑거 프로세서가 세그멘트 "n" 및 세그멘트 "n+1" (핑거 프로세서의 시간 오프셋 t1 및 t2 로 인함) 로부터의 데이터 샘플을 필요로 하고, 세그멘트 "n+1" 는 샘플 버퍼 (908) 에 아직 기록되지 않았기 때문에, 세그멘트 "n+1" 이 샘플 버퍼 (908) 에 기록되는 동안 제 1 및 제 2 핑거 프로세서는 세그멘트 "n" 에 대한 파일롯을 복조하지 못할 수도 있다.If receiver 252 (FIG. 4) starts writing the next segment “n + 1” into
도 5 로 전술한 바와 같이, 다음 세그멘트 "n+1" 에 대한 추정된 파일롯 간섭에 대조적으로 파일롯이 현재 세그멘트 "n" 에 대해 재구성되고 소거되기 때문에 도 11 은 데이터 복조에 대한 작은 지연을 도시한다. 그러나, 도 11 의 시간라인을 사용하는 핑거 프로세서는 더욱 정확한 채널 추정치 및 더 양호한 파일롯 간섭 소거 (PIC) 이득을 획득할 수도 있다.As described above with reference to FIG. 5, FIG. 11 shows a small delay for data demodulation because the pilot is reconstructed and erased for the current segment “n” in contrast to the estimated pilot interference for the next segment “n + 1”. . However, a finger processor using the timeline of FIG. 11 may obtain more accurate channel estimates and better pilot interference cancellation (PIC) gains.
도 12a 는 복수의 다중 경로에 대한 파일롯 간섭을 도출하고 누산하는 도 9 내지 도 11 과 함께 전술한 프로세스를 요약하는 흐름도이다. 블록 1200 에서, 복수의 핑거 프로세서 (900) 는 채널 신호 강도 추정치 및 잡음 추정치를 도출한다. 블록 1202 에서, 핑거 프로세서 (900) 는 (a) 채널 신호 강도 추정치 및 잡음 추정치에 기초하여 소거 팩터를 선택하고 (b) 채널 추정치에 선택된 소거 팩터를 곱한다. 블록 1204 에서, 핑거 프로세서 (900) 는 채널 추정치 및 선택된 소거 팩터의 곱에 재구성 필터 테이블 (930) 로부터의 를 곱한다. 블록 1206 에서, 핑거 프로세서 (900) 는 재구성 필터링을 수행하여 파일롯 샘플을 생성한다. 블록 1208 에서, 단일의 누산 버퍼 (928) 는 예를 들어, 칩×8 또는 칩×2 에서 복수의 핑거 프로세서 (900) 로부터의 재구성된 파일롯 샘플을 저장한다. 블록 1210 에서, 누산된 재구성된 파일롯 샘플은 데이터 복조를 수행하는 복수의 핑거 프로세서에 대한 데이터 샘플로부터 감산된다.12A is a flow diagram summarizing the process described above in conjunction with FIGS. 9-11 that derive and accumulate pilot interference for a plurality of multipaths. At
도 12b 는 필터링 및 파일롯 간섭 누산이 도 12a 와 비교된 순서로 스위칭되는, 다수의 다중경로에 대해 누산된 파일롯 간섭을 도출하는 프로세스의 또 다른 실시형태의 흐름도이다. 블록 1250 에서, 복수의 핑거 프로세서 (900) 는 채널 신호 강도 및 잡음 추정치를 도출한다. 블록 1252 에서, 핑거 프로세서 (900) 는 (a) 채널 신호 강도 추정치 및 잡음 추정치에 기초하여 소거 팩터를 선택하고 (b) 채널 추정치에 선택된 소거 팩터를 곱한다. 블록 1254 에서, 핑거 프로세서 (900) 는 채널 추정치 및 선택된 소거 팩터를 사용하여 파일롯 샘플을 재구성한다. 블록 1256 에서, 단일의 누산 버퍼 (928) 는 예를 들어, 칩×8 또는 칩×2 에서, 복수의 핑거 프로세서 (900) 로부터의 재구성된 파일롯 샘플을 저장한다. 블록 1258 에서, 단일의 재구성 필터링 블록은 에 의해 누산 버퍼 (928) 로부터의 파일롯 샘플을 필터링한다. 블록 1260 에서, 누산된 재구성된 파일롯 샘플은 데이터 복조를 수행하는 복수의 핑거 프로세서에 대한 데이터 샘플로부터 감산된다.12B is a flowchart of another embodiment of a process for deriving accumulated pilot interference for multiple multipaths, in which filtering and pilot interference accumulation are switched in the order compared to FIG. 12A. At
도 12b 에서, 필터링은 복수의 핑거 프로세서 (900) 로부터 재구성된 파일롯 간섭 샘플을 누산한 이후 및 데이터 샘플로부터 파일롯 간섭을 감산하기 이전에 수행된다. 각 핑거 프로세서 (900) 는 필터링을 수행할 필요가 없을 수도 있다. 이것은 각 핑거 프로세서 (900) 의 복잡성을 감소시킬 수도 있다.In FIG. 12B, filtering is performed after accumulating the reconstructed pilot interference samples from the plurality of
수학식Equation
수신된 역방향 링크 (RL) 신호의 실제 총 파일롯 간섭 신호 (복소수 값) 는 다음과 같이 표현된다.Actual total pilot interference signal of the received reverse link (RL) signal (Complex value) is expressed as follows.
여기서 n 은 수신 신호의 세그멘트를 나타내고 (예를 들어, n 은 칩 레이트×2 에 동일한 샘플 레이트를 가질 수도 있다);Where n represents a segment of the received signal (eg, n may have a sample rate equal to chip rate × 2);
K 는 수신 신호의 세그멘트 n 에 기여하는 사용자 또는 단말기의 총 수이며;K is the total number of users or terminals that contribute to segment n of the received signal;
L 은 수신 신호의 세그멘트 n 에 기여하는 다중경로의 총 수이고;L is the total number of multipaths that contribute to segment n of the received signal;
i 는 시간 인덱스를 칭하고;i refers to the time index;
는 Kth 사용자의 1th 경로의 추정된 복수 채널 계수이며; Is an estimated multi-channel coefficient of 1th path of Kth user;
는 kth 사용자의 복소 PN-시퀀스 p 및 파일롯 채널화 코드 의 곱과 동일하고; 파일롯 채널화 코드 는 CDMA 2000 과 같은 일부 CDMA 시스템에서의 하나의 시리즈이기 때문에, 는 kth 사용자의 복소 PN-시퀀스 p 와 동일하다; Kth user's complex PN-sequence p and pilot channelization codes Equal to the product of; Pilot channelization code Is a series in some CDMA systems, such as CDMA 2000, Is equal to the complex PN-sequence p of kth users;
는 예를 들어, 로우 패스 필터와 같이, 수신기 필터 (도 2 의 수신기 252 에서) 와 송신 펄스 (도 3 의 필터 (352a, 352b) 로부터의) 의 콘볼루션 (도 14) 이고, 전술한 바와 같이, 콘볼루션은 일 실시형태에서, 칩×8 해상도에서일 수도 있다. Receiver filter, for example, low pass filter (At
는 샘플링 주기이고; Is a sampling period;
는 칩 당 샘플의 수이며; Is the number of samples per chip;
는 kth 사용자의 1th 경로의 경로 지연이다. Is the path delay of kth user's 1th path.
복수의 M 개의 핑거 프로세서 (900) (도 9) 를 가진 레이크 수신기는 다음과 같이 표현되는 총 재구성된 파일롯 간섭 신호 (또한, 파일롯 간섭 "복제 (replica)" 또는 "추정치" 로 칭함) 를 도출할 수도 있다.A rake receiver with a plurality of M finger processors 900 (FIG. 9) will yield a total reconstructed pilot interference signal (also referred to as a pilot interference "replica" or "estimation" represented as follows. It may be.
여기서 M 은 다중경로를 프로세싱하는 핑거 프로세서의 총 수이고;Where M is the total number of finger processors processing the multipath;
는 mth 핑거 프로세서의 추정된 복소 채널 계수이며; Is an estimated complex channel coefficient of the mth finger processor;
는 mth 핑거 프로세서에 의해 사용된 복소 PN-시퀀스이고; Is the complex PN-sequence used by the mth finger processor;
는 mth 핑거의 추정된 경로 지연이다. Is the estimated path delay of the mth finger.
총 재구성된 파일롯 간섭 신호 는 각 핑거 프로세서 (900) 에 의해 도출된 각 재구성된 파일롯 간섭 신호 의 합으로서 표현될 수도 있다.Total Reconstructed Pilot Interference Signal Is each reconstructed pilot interference signal derived by each
핑거 프로세서 (900) 에 의해 도출된 각 재구성된 파일롯 간섭 신호는 다음과 같이 표현된다.Each reconstructed pilot interference signal derived by the
추정된 복소 채널 계수 가 하나의 세그멘트에 대해 미리 합산된 상수인 경우, 상기 수학식은 다음과 같이 재기록될 수도 있다.Estimated Complex Channel Coefficient If is a constant previously summed for one segment, the equation may be rewritten as follows.
여기서, 는 mth 핑거의 복소 재구성된 MF (매칭된 필터) 샘플이다. 추정된 복소 채널 계수 는 도 9 의 곱셈기 (926) 에 의해 제공될 수도 있고, 는 도 9 의 필터 테이블 (938), 곱셈기 (932), 파일롯 채널라이저 (934), 확산기 (936) 및 파일롯 재구성 필터링 블록 (930) 에 의해 제공될 수도 있다.here, Is a complex reconstructed MF (matched filter) sample of the mth finger. Estimated Complex Channel Coefficient May be provided by
도 9 에서의 프로세스의 순서는 다른 실시형태에서 변경될 수도 있다. 도 9 의 하나의 배리에이션 (variation) 은 의 펄스 형상 및 I 및 Q PN 시퀀스 p 를 프로세싱하여 I 및 Q 재구성된 샘플 을 생성할 수도 있다. I 재구성된 샘플 은 복소 채널 추정치 의 I 및 Q 컴포넌트에 의해 곱해진다. 유사하게, Q 재구성된 샘플 은 복소 채널 추정치 의 I 및 Q 컴포넌트에 의해 곱해진다. 옵션적 위상 로테이션은 I 및 Q 샘플상에서 수행될 수도 있다. 그 후, I 및 Q 샘플은 선택된 소거 팩터 에 의해 곱해지고 누산 버퍼 (928) 에 누산될 수도 있다. 그 결과, 소거 팩터 는 필터링 (도 9) 이전 대신 필터링 (필터링 블록 (930) 의 출력상에) 이후에 구현될 수도 있다.The order of the processes in FIG. 9 may be changed in other embodiments. One variation of FIG. 9 is I and Q reconstructed samples by processing the pulse shape of and the I and Q PN sequences p You can also create I reconstructed sample Is a complex channel estimate Multiplied by the I and Q components. Similarly, Q reconstructed sample Is a complex channel estimate Multiplied by the I and Q components. Optional phase rotation is I and Q It may also be performed on a sample. After that, I and Q Sample is selected erase factor May be multiplied by and accumulated in the
복수의 안테나Multiple antennas
도 13a 는 예를 들어, 12 개의 안테나인 복수의 안테나 (250A 내지 250L) 를 가진 수신기 (252) (도 2) 및 예를 들어, 12 개의 간섭 누산 버퍼인 복수의 간섭 누산 버퍼 (928A 내지 928L) 를 가진 복조기 (254) 의 블록도이다. 각 간섭 누산 버퍼 (928) 는 상이한 안테나 (250) 에 대해 재구성된 파일롯을 저장한다.13A shows a receiver 252 (FIG. 2) having a plurality of
도 13b 는 예를 들어, 12 개의 안테나인 복수의 안테나 (250A 내지 250L) 를 가진 수신기 (252) (도 2) 및 안테나 (250A 내지 250L) 의 일부 또는 모두에 대해 재구성된 파일롯을 저장하는 단일의 간섭 누산 버퍼 (928) 를 가진 복조기 (254) 의 블록도이다. 이 실시형태에서, 핑거 프로세서 (900) 는 하나의 안테나 (250) 에 대해 재구성된 파일롯 간섭을 재구성하고 간섭 누산 버퍼 (928) 에 파일롯 간섭을 저장한다. 그 후, 핑거 프로세서 (900) 는 PN 시퀀스를 시프팅함으로써 (및 일부 추가적인 프로세싱을 할 수도 있음) 또 다른 안테나에 대해 모든 파일롯을 재구성하고 간섭 누산 버퍼 (928) 에 파일롯 간섭을 저장한다. 핑거 프로세서 (900) 는 안테나 (250) 의 일부 또는 모두로부터의 모든 파일롯이 재구성되고 간섭 누산 버퍼 (928) 에 저장될때까지 계속된다. 재구성된 파일롯은 시스템 시간에 정렬되고 단일의 간섭 누산 버퍼 (928) 에 저장된다. 단일의 간섭 누산 버퍼 (928) 를 사용함으로써, 이 실시형태는 메모리 요구를 6 내지 12 배 감소시킬 수도 있다.FIG. 13B illustrates a single unit that stores reconstructed pilots for some or all of receiver 252 (FIG. 2) and
여기서 설명된 파일롯 간섭 소거 기술은 성능에 있어서 주목할만한 개선을 제공할 수도 있다. 전술한 바와 같이, 역방향 링크 상에서 각 단말기에 의해 송신된 파일롯은 배경 잡음 과 유사한 방법으로 총 채널 간섭 에 기여한다.모든 단말기로부터 송신된 파일롯은 모든 단말기 및 기지국에 의해 나타난 총 간섭 레벨의 실질적인 부분을 나타낼 수도 있다. 이것은 각 개별 단말기에 대한 더 낮은 SNR (lower signal-to-total-noise-plus-interference) 를 유발한다. 사실, 용량 근처에서 동작하는 cdma2000 (역방향 링크상의 파일롯을 지원함) 에서, 기지국에서 나타난 간섭의 대략 1/2 이 송신 단말기로부터의 파일롯으로 인할 것일 수도 있다는 것이 추정된다. 다중-단말기 및 다중-경로 파일롯 간섭의 소거 또는 감소는 각 개별 단말기의 SNR 을 개선하여, 각 단말기가 낮은 전력 레벨로 송신하고 여전히 바람직한 디코딩 성능을 획득하게 한다. 그 결과, 파일롯 간섭 소거 (PIC) 는 역방향 링크 용량을 증가시켜, 존재하는 단말기로부터 더 높은 데이터 레이트, 예를 들어, 30-35% 데이터 레이트 용량 증가를 허용하거나, 더 많은 단말기 또는 사용자, 예를 들어, 10-15% 더 많은 사용자가 무선 통신 시스템, 예를 들어, 기지국 서비스 영역에 추가될 수 있게 한다.The pilot interference cancellation technique described herein may provide a notable improvement in performance. As mentioned above, the pilot transmitted by each terminal on the reverse link is subject to background noise. Total channel interference in a similar way to The pilot transmitted from all terminals may represent a substantial portion of the total interference level exhibited by all terminals and base stations. This results in lower signal-to-total-noise-plus-interference (SNR) for each individual terminal. In fact, it is estimated that in cdma2000 operating near capacity (supporting the pilot on the reverse link), approximately half of the interference seen at the base station may be due to the pilot from the transmitting terminal. The cancellation or reduction of multi-terminal and multi-path pilot interference improves the SNR of each individual terminal, allowing each terminal to transmit at a lower power level and still obtain the desired decoding performance. As a result, pilot interference cancellation (PIC) increases reverse link capacity, allowing higher data rates, eg, 30-35% data rate capacity increase, from existing terminals, or allowing more terminals or users, e.g. For example, 10-15% more users can be added to a wireless communication system, eg, base station service area.
여기서 설명된 파일롯 간섭을 추정하고 소거하는 기술은 데이터와 함께 파일롯을 송신하는 다양한 무선 통신 시스템에서 사용될 수도 있다. 예를 들어, 이 기술은 다양한 CDMA 시스템 (예를 들어, IS-95, CDMA2000, CDMA 2000 1xEV-DV, CDMA 2000 1xEV-DO, WCDMA, TD-SCDMA, TS-CDMA 등), 개인 통신 서비스 (PCS) 시스템 (예를 들어, ANSI J-STD-008), 및 다른 무선 통신 시스템에 대해 사용될 수도 있다. 여기서 설명된 기술은, 하나 이상의 송신 신호 각각의 복수의 인스턴스가 수신되고 프로세싱되는 (예를 들어, 레이크 수신기 또는 다른 복조기에 의함) 경우, 및 또한 복수의 수신 신호가 수신되고 프로세싱되는 경우에, 파일롯 간섭을 추정하고 소거하도록 사용될 수도 있다.Techniques for estimating and canceling pilot interference described herein may be used in various wireless communication systems for transmitting pilot with data. For example, this technology can be used in various CDMA systems (e.g., IS-95, CDMA2000, CDMA 2000 1xEV-DV, CDMA 2000 1xEV-DO, WCDMA, TD-SCDMA, TS-CDMA, etc.), personal communication services (PCS). ) Systems (eg, ANSI J-STD-008), and other wireless communication systems. The technique described herein is a pilot when a plurality of instances of each of the one or more transmission signals are received and processed (eg, by a rake receiver or other demodulator), and also when the plurality of received signals are received and processed. It may be used to estimate and cancel the interference.
명료함을 위해, 다양한 양태 및 실시형태가 cdma2000 에서의 역방향 링크에 대해 설명되었다. 여기서 설명된 파일롯 간섭 소거 기술은 또한 기지국으로부터 단말기로의 순방향 링크에 대해 사용될 수도 있다. 복조기에 의한 프로세싱 은 지원되는 특정 CDMA 표준 및 창의적인 기술이 순방향 및 역방향 링크에 대해 사용되었는지 여부에 의해 결정된다. 예를 들어, IS-95 및 cdma2000 에서의 확산 시퀀스로의 "역확산" 은 W-CDMA 에서의 스크램블 시퀀스로 "디스크램블" 에 균등하고, IS-95 및 cdma2000 에서의 왈시 코드 또는 QOF (quasi-orthogonal) 로의 채널화는 W-CDMA 에서의 OVSF 로 "역확산" 에 균등이다. 일반적으로, 수신기에서 복조기에 의해 수행되는 프로세싱은 송신기 유닛에서 변조기에 의해 수행되는 것에 상보적이다.For clarity, various aspects and embodiments have been described with respect to a reverse link in cdma2000. The pilot interference cancellation technique described herein may also be used for the forward link from the base station to the terminal. Processing by the demodulator is determined by whether the particular CDMA standard and creative techniques supported are used for the forward and reverse links. For example, "despreading" into a spreading sequence in IS-95 and cdma2000 is equivalent to "descramble" in a scrambled sequence in W-CDMA, and Walsh code or QOF (quasi- in IS-95 and cdma2000). channelization is equal to "despreading" with OVSF in W-CDMA. In general, the processing performed by the demodulator in the receiver is complementary to that performed by the modulator in the transmitter unit.
순방향 링크에 대해, 여기서 설명된 기술은 또한 셀내의 모든 단말기에 송신되는 "공통" 파일롯에 더해, 또는 대신에 송신될 수도 있는 다른 파일롯을 대략 소거하도록 사용될 수도 있다. 예를 들어, cdma2000 은 "송신 다이버시티" 파일롯 및 "예비 (auxiliary)" 파일롯을 지원한다. 이들 다른 파일롯은 상이한 왈시 코드 (즉, QOF 함수일 수도 있는 상이한 채널화 코드) 를 사용한다. 상이한 데이터 패턴이 또한 파일롯에 대해 사용될 수도 있다. 임의의 이들 파일롯을 프로세싱하기 위해, 역확산된 샘플은 기지국에서 파일롯을 채널라이징하도록 사용된 동일한 왈시 코드로 복구되고, 파일롯에 대해 기지국에서 사용된 동일한 파일롯 데이터 패턴으로 더 상관된다 (즉, 곱하고 누산된다). 송신 다이버시티 파일롯 및/또는 예비 파일롯은 공통 파일롯에 더해 추정되고 소거될 수도 있다.For the forward link, the techniques described herein may also be used to approximately cancel other pilots that may be transmitted in addition to or instead of the “common” pilots transmitted to all terminals in the cell. For example, cdma2000 supports a "transmit diversity" pilot and a "auxiliary" pilot. These other pilots use different Walsh codes (ie different channelization codes, which may be QOF functions). Different data patterns may also be used for the pilot. To process any of these pilots, the despread sample is recovered to the same Walsh code used to channelize the pilot at the base station and further correlated to the same pilot data pattern used at the base station for the pilot (ie, multiply and accumulate). do). The transmit diversity pilot and / or the reserve pilot may be estimated and canceled in addition to the common pilot.
유사하게, W-CDMA 는 다수의 상이한 파일롯 채널을 지원한다. 첫째, 공통 파일롯 채널 (CPICH) 은 주요 기지국 안테나상에서 송신될 수도 있다. 둘째, 다이버시티 CPICH 는 비-제로 파일롯 데이터에 기초하여 생성되고 기지국의 다 이버시티 안테나상에서 송신될 수도 있다. 셋째, 하나 이상의 제 2 CPICH 는 셀의 제한된 부분에서 송신될 수도 있고, 각 제 2 CPICH 는 비-제로 채널화 코드를 사용하여 생성된다. 넷째, 기지국은 사용자 데이터 채널과 동일한 채널화 코드를 사용하여 특정 사용자에게 전용 파일롯을 송신할 수도 있다. 이 경우에, 파일롯 심볼은 사용자에 대한 데이터 심볼로 시간-다중화 (time-multiplexed) 된다. 따라서, 당업자는 여기서 설명된 기술은 상기의 상이한 유형의 파일롯 채널 및 무선 통신 시스템에서 송신될 수도 있는 다른 파일롯 채널에 적용가능하다는 것을 이해할 것이다.Similarly, W-CDMA supports many different pilot channels. First, a common pilot channel (CPICH) may be transmitted on the primary base station antenna. Second, diversity CPICH may be generated based on non-zero pilot data and transmitted on the diversity antenna of the base station. Third, one or more second CPICHs may be transmitted in a limited portion of the cell, and each second CPICH is generated using a non-zero channelization code. Fourth, the base station may transmit a dedicated pilot to a specific user using the same channelization code as the user data channel. In this case, the pilot symbols are time-multiplexed with data symbols for the user. Thus, those skilled in the art will appreciate that the techniques described herein are applicable to the above different types of pilot channels and other pilot channels that may be transmitted in a wireless communication system.
다양한 양태 및 실시형태를 구현하도록 사용될 수도 있는 복조기 (254) (도 2) 및 다른 프로세싱 유닛은 하드웨어, 소프트웨어, 펌웨어, 또는 이들의 조합으로 구현될 수도 있다. 하드웨어 디자인에 대해, 복조기 (파일롯 추정기 및 파일롯 간섭 추정기와 같은 파일롯 간섭 추정 및 소거를 위해 사용된 데이터 복조 유닛 및 엘리멘트를 포함하는), 및 다른 프로세싱 유닛은 하나 이상의 주문형 집적 회로 (ASIC), 디지털 신호 프로세서 (DSP), 디지털 신호 프로세싱 디바이스 (DSPD), 프로그램 가능 로직 디바이스 (PLD), 필드 프로그램 가능 게이트 어레이 (FPGA), 프로세서, 제어기, 마이크로 제어기, 마이크로프로세서, 다른 전자 유닛, 또는 이들의 조합으로 구현될 수도 있다.Demodulator 254 (FIG. 2) and other processing units that may be used to implement various aspects and embodiments may be implemented in hardware, software, firmware, or a combination thereof. For hardware design, demodulators (including data demodulation units and elements used for pilot interference estimation and cancellation, such as pilot estimators and pilot interference estimators), and other processing units may include one or more application specific integrated circuits (ASICs), digital signals. Implemented as a processor (DSP), a digital signal processing device (DSPD), a programmable logic device (PLD), a field programmable gate array (FPGA), a processor, a controller, a microcontroller, a microprocessor, another electronic unit, or a combination thereof May be
소프트웨어 구현에 대해, 파일롯 간섭 추정 및 소거 및 데이터 복조를 위해 사용된 엘리멘트는 여기서 설명된 기능을 수행하는 모듈 (예를 들어, 경과, 함수 등) 로 구현될 수도 있다. 소프트웨어 코드는 메모리 유닛 (예를 들어, 도 2 의 메모리 (262)) 에 저장되고 프로세서 (예를 들어, 제어기 (260)) 에 의해 실행될 수도 있다. 메모리 유닛은 프로세서 내부에 또는 프로세서 외부에서 구현될 수도 있고, 이 경우에, 메모리 유닛은 이 분야에 공지된 다양한 수단을 통해 프로세서에 통신적으로 결합될 수 있다.For software implementations, elements used for pilot interference estimation and cancellation and data demodulation may be implemented as modules (eg, transitions, functions, etc.) that perform the functions described herein. The software code may be stored in a memory unit (eg,
여기서 설명된 파일롯 간섭 추정 및 소거를 구현하도록 사용된 엘리멘트는 단말기 (예를 들어, 핸드셋, 핸드헬드 유닛, 스탠드 얼롱 유닛, 등) , 기지국, 또는 다른 통신 디바이스 또는 유닛에 통합될 수도 있는 수신기 유닛 또는 복조기에 통합될 수도 있다. 수신기 유닛 또는 복조기는 하나 이상의 집적 회로로 구현될 수도 있다.An element used to implement the pilot interference estimation and cancellation described herein may be a receiver unit that may be integrated into a terminal (eg, handset, handheld unit, stand-alone unit, etc.), base station, or other communication device or unit, or It may also be integrated into the demodulator. The receiver unit or demodulator may be implemented in one or more integrated circuits.
개시된 실시형태의 이전의 설명은 당업자가 본 발명을 제공하고 사용하도록 제공된다. 이들 실시형태의 다양한 변경들은 당업자에게 용이하게 명백할 것이며, 여기서 규정된 일반적 원리는 본 발명의 사상과 범위를 벗어나지 않고 다른 실시형태에 적용될 수도 있다. 그 결과, 본 발명은 여기서 설명된 실시형태에 한정되지 않지만, 여기서 개시된 원리 및 신규한 특징에 일치하는 최광의 범위에 부합한다.The previous description of the disclosed embodiments is provided to enable any person skilled in the art to make or use the present invention. Various modifications to these embodiments will be readily apparent to those skilled in the art, and the generic principles defined herein may be applied to other embodiments without departing from the spirit and scope of the invention. As a result, the present invention is not limited to the embodiments described herein, but corresponds to the widest scope consistent with the principles and novel features disclosed herein.
| Application Number | Priority Date | Filing Date | Title |
|---|---|---|---|
| KR1020077002421AKR100901669B1 (en) | 2004-06-30 | 2005-06-30 | Method and apparatus for canceling pilot interference in wireless communication system |
| Application Number | Priority Date | Filing Date | Title |
|---|---|---|---|
| US60/584,527 | 2004-06-30 | ||
| KR1020077002421AKR100901669B1 (en) | 2004-06-30 | 2005-06-30 | Method and apparatus for canceling pilot interference in wireless communication system |
| Publication Number | Publication Date |
|---|---|
| KR20070022164A KR20070022164A (en) | 2007-02-23 |
| KR100901669B1true KR100901669B1 (en) | 2009-06-08 |
| Application Number | Title | Priority Date | Filing Date |
|---|---|---|---|
| KR1020077002421AExpired - Fee RelatedKR100901669B1 (en) | 2004-06-30 | 2005-06-30 | Method and apparatus for canceling pilot interference in wireless communication system |
| Country | Link |
|---|---|
| KR (1) | KR100901669B1 (en) |
| Publication number | Priority date | Publication date | Assignee | Title |
|---|---|---|---|---|
| CN117724121B (en)* | 2024-02-18 | 2024-05-03 | 成都星联芯通科技有限公司 | PN code capturing method and device, storage medium and electronic equipment |
| Publication number | Priority date | Publication date | Assignee | Title |
|---|---|---|---|---|
| US6067292A (en) | 1996-08-20 | 2000-05-23 | Lucent Technologies Inc | Pilot interference cancellation for a coherent wireless code division multiple access receiver |
| US20030021334A1 (en) | 2001-06-06 | 2003-01-30 | Levin Jeffrey A. | Method and apparatus for canceling pilot interference in a wireless communication system |
| Publication number | Priority date | Publication date | Assignee | Title |
|---|---|---|---|---|
| US6067292A (en) | 1996-08-20 | 2000-05-23 | Lucent Technologies Inc | Pilot interference cancellation for a coherent wireless code division multiple access receiver |
| US20030021334A1 (en) | 2001-06-06 | 2003-01-30 | Levin Jeffrey A. | Method and apparatus for canceling pilot interference in a wireless communication system |
| Publication number | Publication date |
|---|---|
| KR20070022164A (en) | 2007-02-23 |
| Publication | Publication Date | Title |
|---|---|---|
| US8644264B2 (en) | Method and apparatus for canceling pilot interference in a wireless communication system | |
| KR101234472B1 (en) | Method and apparatus for canceling pilot interference in a wireless communication system | |
| US6570909B1 (en) | Interference suppression in a CDMA receiver | |
| JP4659828B2 (en) | Method and apparatus for canceling pilot interference in a wireless communication system | |
| US20050013350A1 (en) | Method and apparatus for canceling pilot interference in a wireless communication system | |
| KR100263801B1 (en) | Pilot interference cancellation for a coherent wireless code division multiple access receiver | |
| JP5002838B2 (en) | Combination of subchip resolution samples in the arms of a spread spectrum rake receiver. | |
| US6009089A (en) | Pilot interference cancellation for a coherent wireless code division multiple access receiver | |
| US6680727B2 (en) | Method and apparatus for canceling pilot interference in a CDMA communication system | |
| EP1305892B1 (en) | Method and apparatus for multipath parameter estimation in spread-spectrum communications systems | |
| KR20070007029A (en) | Method and apparatus for suppressing DS-CDMA interference using code specific coupling | |
| KR100901669B1 (en) | Method and apparatus for canceling pilot interference in wireless communication system | |
| HK1112334A (en) | Method and apparatus for canceling pilot interference in a wireless communication system | |
| HK1106630A (en) | Method and apparatus for canceling pilot interference in a wireless communication system | |
| HK1067251B (en) | Method and apparatus for canceling pilot interference in a wireless communication system | |
| HK1067251A1 (en) | Method and apparatus for canceling pilot interference in a wireless communication system |
| Date | Code | Title | Description |
|---|---|---|---|
| A201 | Request for examination | ||
| PA0105 | International application | St.27 status event code:A-0-1-A10-A15-nap-PA0105 | |
| PA0201 | Request for examination | St.27 status event code:A-1-2-D10-D11-exm-PA0201 | |
| PG1501 | Laying open of application | St.27 status event code:A-1-1-Q10-Q12-nap-PG1501 | |
| E902 | Notification of reason for refusal | ||
| PE0902 | Notice of grounds for rejection | St.27 status event code:A-1-2-D10-D21-exm-PE0902 | |
| T11-X000 | Administrative time limit extension requested | St.27 status event code:U-3-3-T10-T11-oth-X000 | |
| P11-X000 | Amendment of application requested | St.27 status event code:A-2-2-P10-P11-nap-X000 | |
| P13-X000 | Application amended | St.27 status event code:A-2-2-P10-P13-nap-X000 | |
| E902 | Notification of reason for refusal | ||
| PE0902 | Notice of grounds for rejection | St.27 status event code:A-1-2-D10-D21-exm-PE0902 | |
| T11-X000 | Administrative time limit extension requested | St.27 status event code:U-3-3-T10-T11-oth-X000 | |
| E13-X000 | Pre-grant limitation requested | St.27 status event code:A-2-3-E10-E13-lim-X000 | |
| P11-X000 | Amendment of application requested | St.27 status event code:A-2-2-P10-P11-nap-X000 | |
| P13-X000 | Application amended | St.27 status event code:A-2-2-P10-P13-nap-X000 | |
| E701 | Decision to grant or registration of patent right | ||
| PE0701 | Decision of registration | St.27 status event code:A-1-2-D10-D22-exm-PE0701 | |
| GRNT | Written decision to grant | ||
| PR0701 | Registration of establishment | St.27 status event code:A-2-4-F10-F11-exm-PR0701 | |
| PR1002 | Payment of registration fee | St.27 status event code:A-2-2-U10-U12-oth-PR1002 Fee payment year number:1 | |
| PG1601 | Publication of registration | St.27 status event code:A-4-4-Q10-Q13-nap-PG1601 | |
| PR1001 | Payment of annual fee | St.27 status event code:A-4-4-U10-U11-oth-PR1001 Fee payment year number:4 | |
| FPAY | Annual fee payment | Payment date:20130531 Year of fee payment:5 | |
| PR1001 | Payment of annual fee | St.27 status event code:A-4-4-U10-U11-oth-PR1001 Fee payment year number:5 | |
| FPAY | Annual fee payment | Payment date:20140529 Year of fee payment:6 | |
| PR1001 | Payment of annual fee | St.27 status event code:A-4-4-U10-U11-oth-PR1001 Fee payment year number:6 | |
| PR1001 | Payment of annual fee | St.27 status event code:A-4-4-U10-U11-oth-PR1001 Fee payment year number:7 | |
| FPAY | Annual fee payment | Payment date:20160330 Year of fee payment:8 | |
| PR1001 | Payment of annual fee | St.27 status event code:A-4-4-U10-U11-oth-PR1001 Fee payment year number:8 | |
| FPAY | Annual fee payment | Payment date:20170330 Year of fee payment:9 | |
| PR1001 | Payment of annual fee | St.27 status event code:A-4-4-U10-U11-oth-PR1001 Fee payment year number:9 | |
| FPAY | Annual fee payment | Payment date:20180329 Year of fee payment:10 | |
| PR1001 | Payment of annual fee | St.27 status event code:A-4-4-U10-U11-oth-PR1001 Fee payment year number:10 | |
| FPAY | Annual fee payment | Payment date:20190327 Year of fee payment:11 | |
| PR1001 | Payment of annual fee | St.27 status event code:A-4-4-U10-U11-oth-PR1001 Fee payment year number:11 | |
| PR1001 | Payment of annual fee | St.27 status event code:A-4-4-U10-U11-oth-PR1001 Fee payment year number:12 | |
| PC1903 | Unpaid annual fee | St.27 status event code:A-4-4-U10-U13-oth-PC1903 Not in force date:20210603 Payment event data comment text:Termination Category : DEFAULT_OF_REGISTRATION_FEE | |
| PC1903 | Unpaid annual fee | St.27 status event code:N-4-6-H10-H13-oth-PC1903 Ip right cessation event data comment text:Termination Category : DEFAULT_OF_REGISTRATION_FEE Not in force date:20210603 |