



도 1은 부분 계단형 분할 패칭 전송방식의 채널 할당에 따른 비디오 데이터 분할방법을 구성한 예시도,1 is an exemplary view illustrating a video data segmentation method according to channel allocation in a partially stepped split patching transmission method;
도 2는 본 발명에 따른 부분 계단형 분할 패칭 전송 방식을 설명하기 위해 보여주는 실시 예시도,2 is an exemplary view showing to explain a partial stepped split patching transmission method according to the present invention;
도 3은 부분 계단형 분할 패칭 전송 방식과 기존 NVoD 방식의 시청자 최대 대기시간을 비교한 결과를 나타낸 그래프,3 is a graph illustrating a result of comparing a viewer's maximum waiting time of a partial stepped split patching transmission method and a conventional NVoD method;
도 4는 부분 계단형 분할 전송 방식과 기존 NVoD 방식의 시청자 최대 버퍼 요구량을 비교한 결과를 나타낸 그래프.4 is a graph showing a result of comparing a viewer maximum buffer requirement of a partial stepped split transmission scheme and a conventional NVoD scheme.
본 발명은 방송(Broadcasting) 또는 멀티미디어(Multi-media)에서 실시하기 위한 부분 계단형 분할 패칭 방식을 이용한 유사 주문형 비디오 전송방법에 관한 것으로,The present invention relates to a video-on-demand video transmission method using a partial stepped split patching method for broadcasting or multimedia.
좀 더 상세하게는 NVoD(Near Video-on-Demand) 서비스 업체가 가입자에게 종래의 NVoD와 같은 대기 시간, 같은 크기의 저장장치(버퍼)와 같은 수의 비디오를 서비스하면서, 보다 적은 수의 채널로 서비스할 수 있도록 하고, 간단한 구성으로 실시 가능하게 하여 패칭 방식의 NVoD 서비스에 대한 실효성을 높일 수 있도록 하는 부분 계단형 분할 패칭 방식을 이용한 유사 주문형 비디오 전송방법에 관한 것이다.More specifically, an NVoD (Near Video-on-Demand) service offers subscribers the same latency as conventional NVoD, the same number of videos of the same size of storage (buffer), and fewer channels. The present invention relates to a video-on-demand video transmission method using a partial stepped split patching method that enables a service and a simple configuration to increase the effectiveness of a patching NVoD service.
일반적으로, 방송(Broadcasting) 또는 멀티미디어(Multi-media) 분야에서 실시되고 있는 주문형 비디오(Video-on-Demand)는 하나의 가입자 비디오 시청 요청이 있을 때 그 가입자에게 즉시 하나의 채널을 부여하게 하여 하나의 채널을 점유하고 사용하는 TVoD(True VoD)와, 항상 일정한 간격으로 특정한 비디오를 방송하고 여러 명의 가입자들이 하나의 비디오를 동시에 시청할 수 있는 NVoD(Near VoD)로 구분된다.In general, video-on-demand, which is being implemented in the field of broadcasting or multimedia, allows one subscriber to receive a channel immediately upon request of one subscriber video. It is divided into TVoD (True VoD), which occupies and uses channels, and NVoD (Near VoD), which always broadcasts a specific video at regular intervals and allows multiple subscribers to watch one video at the same time.
상대적으로 NVoD가 TVoD에 비해 같은 채널 대역폭으로 많은 가입자를 수용할 수 있는 것으로, 근래에 NVoD의 성능개선을 위해 많은 연구가 진행되어 왔으며, 이러한 연구는 크게 배치(Batch) 방식과 패치(Patch) 방식으로 구분이 된다.In comparison, NVoD can accommodate more subscribers with the same channel bandwidth than TVoD. Recently, many studies have been conducted to improve the performance of NVoD, and these studies are largely performed in a batch method and a patch method. It is divided into.
상기 배치 방식은 비디오 데이터를 대역폭과 길이를 기준으로 해서 다양한 방법으로 나누고 이를 서로 다른 채널에 주기적으로 브로드캐스트 하는 방식이고, 상기 패치 방식은 비디오 데이터를 정적인 채널(Static Channel)을 통해서 항상 일 정한 간격으로 비디오를 반복해서 전송하고 비디오 데이터 반복 주기 시간 동안 채널을 덧대는 형태로 구성된다.The batch method divides the video data into various methods based on bandwidth and length and periodically broadcasts them to different channels. The patch method always distributes the video data through a static channel. The video is repeatedly transmitted at intervals and the channel is padded during the video data repetition period.
이에, 상기 배치 방식은 채널 대역폭 효율이 우수하다는 장점이 있지만 복잡성이 증가하기 때문에 실제 구현에는 많은 제약이 따른다는 문제점이 있고, 상기 패치 방식은 채널 대역폭 효율은 많이 떨어지고 한정된 시청자에게만 서비스가 가능하며, 시청자 수가 늘어나면 필요한 대역폭도 함께 늘어난다는 문제점이 있지만 구현이 간단하다는 장점이 있다.Therefore, the arrangement method has the advantage of excellent channel bandwidth efficiency, but the complexity increases the problem that there is a lot of restrictions in the actual implementation, the patch method is a channel bandwidth efficiency is much lower and can be serviced only to a limited viewer, There is a problem that as the number of viewers increases, the required bandwidth also increases, but there is an advantage that the implementation is simple.
상기의 배치 방식에 따른 NVoD 방식에는 Fast Broadcasting, Harmonic Broadcasting, Staircase Broadcasting, Pyramid Broadcasting, Skyscraper Broadcasting, Pagoda Broadcasting 방식 등이 있고, 이들은 크게 Pyramid 방식, Harmonic 방식, Pagoda 방식으로 분류된다.The NVoD method according to the above arrangement method includes Fast Broadcasting, Harmonic Broadcasting, Staircase Broadcasting, Pyramid Broadcasting, Skyscraper Broadcasting, Pagoda Broadcasting, etc., and these are classified into Pyramid, Harmonic, and Pagoda methods.
또한, 상기의 패치 방식에 따른 NVoD 방식에는 비디오 데이터를 일정한 주기로 반복해서 전송하는 스태거드(Staggered : 엇갈리게 전송) 방식으로 비디오가 전송될 때 시청자가 요청이 발생하면 유니캐스트(Unicast) 전송방식을 스태거드 방식과 연결해서 시청자 대기시간을 줄이는 Joint and Stream방식, 스태거드 방식으로 비디오가 전송될 때 시청자의 요청 발생여부에 상관없이 스태거드 방식과의 연결을 위해서 필요한 데이터를 짧은 시간 동안 한꺼번에 여러 채널을 이용하여 전송을 하는 Stream bundling broadcasting방식 등이 있다.In addition, in the NVoD method according to the patch method, when a viewer requests a video when the video is transmitted in a staggered manner in which video data is repeatedly transmitted at a predetermined cycle, a unicast transmission method is used. Joint and Stream method which reduces viewer waiting time by connecting with staggered method, and staggered method provides data necessary for connection with staggered method for short time regardless of whether viewer requests occur. There is a stream bundling broadcasting method that transmits using multiple channels at once.
이에 따른, 각 기술들은 비디오 데이터의 분할 방법, 채널의 분할 방법 및 분할된 데이터의 전송방법에 따라 분류되고, 특히 상기의 방식들은 비디오 데이터 의 분할과 시청자단의 저장장치를 이용한 방식인 것이다.Accordingly, the techniques are classified according to the video data segmentation method, the channel segmentation method, and the segmented data transmission method. Particularly, the above-described methods are methods of segmenting the video data and using the storage unit of the viewer.
그러나, 상기의 방식들은 데이터의 분할을 이용하여 채널 대역폭의 효율을 높이거나 가입자의 대기시간을 줄였지만 시스템의 복잡성을 매우 증가시키는 원인이 된다.However, the above schemes use data partitioning to increase the efficiency of the channel bandwidth or reduce the latency of the subscriber, but cause the system complexity to be greatly increased.
특히, 비디오는 동영상과 음성 등의 대용량 데이터의 집합체로써, 이를 네트워크를 통하여 시청할 경우 대단히 큰 채널 대역폭이 필요하여 대역폭을 확보하기 위해 적지 않은 비용이 소요된다.In particular, video is a collection of large-capacity data such as video and voice, and when viewing it through a network, a very large channel bandwidth is required, which requires a considerable cost to secure the bandwidth.
따라서, 상기의 문제들로 인해 종래에 실시하고 있는 전송방법은 어느 정도 그 효율성에 한계가 있어 경제성이 저하되는 문제점이 항상 있는 것이다.Therefore, due to the above problems, the conventionally implemented transmission method has a problem in that the efficiency is lowered to some extent and the economy is always deteriorated.
본 발명은 상기한 바와 같은 종래기술이 갖는 제반 문제점들을 해결하고자 창출된 것으로 다음과 같은 목적을 갖는다.The present invention has been made to solve the problems of the prior art as described above has the following object.
본 발명은 비디오 데이터를 정적인 채널(Static Channel)을 통해서 항상 일정한 간격으로 비디오를 반복해서 전송하고 비디오 데이터 반복 주기 시간동안 채널을 덧대는 형태인 패칭(Patching)방식의 NVoD에서 시청자 대기시간을 유지하면서 채널 대역폭의 효율을 높이고, 간단한 방식으로 구성할 수 있게 하여 경제성을 향상시키게 하는 부분 계단형 분할 패칭 방식을 이용한 유사 주문형 비디오 전송방법을 제공하는데 그 목적이 있다.The present invention maintains a viewer's waiting time in a patching NVoD in which video data is repeatedly transmitted through a static channel at regular intervals and the channel is padded during the video data repetition period. The purpose of the present invention is to provide a pseudo-on-demand video transmission method using a partial stepped partitioning patching method which improves the efficiency of the channel bandwidth and can be configured in a simple manner to improve the economics.
본 발명의 다른 목적은 NVoD 서비스 업체가 가입자에게 종래의 NVoD와 같은 대기 시간, 같은 크기의 저장장치(버퍼)와 같은 수의 비디오를 서비스하면서 보다 적은 수의 채널로 서비스할 수 있게 하고, 간단한 구성으로 인한 패칭 방식의 NVoD 서비스에 대한 실효성을 향상시키게 하는 부분 계단형 분할 패칭 방식을 이용한 유사 주문형 비디오 전송방법을 제공하는데 있다.It is another object of the present invention to allow an NVoD service provider to serve subscribers with fewer channels while serving the same latency as conventional NVoD, the same number of storage devices (buffers), and a simpler configuration. To provide a similar on-demand video transmission method using a partial stepped partition patching method to improve the effectiveness of the patching method NVoD service.
본 발명의 또 다른 목적은 전체적으로 전송방법에 대한 경제성 및 효율성을 향상시켜 이를 이용하여 실시하는 사용상의 신뢰도 및 만족도를 극대화시키게 하는 부분 계단형 분할 패칭 방식을 이용한 유사 주문형 비디오 전송방법을 제공하는데 있다.It is still another object of the present invention to provide a pseudo-on-demand video transmission method using a partial stepped split patching method to improve the economics and efficiency of the transmission method as a whole to maximize the reliability and satisfaction in use.
이하, 상기한 본 발명에 대해서 구체적으로 살펴보기로 한다.Hereinafter, the present invention will be described in detail.
본 발명을 설명함에 있어, 관련된 공지 기능 또는 구성에 대한 구체적인 설명이 본 발명의 요지를 불필요하게 흐릴 수 있다고 판단되는 경우에는 그 상세한 설명을 생략한다.In describing the present invention, when it is determined that the detailed description of the related known function or configuration may unnecessarily obscure the subject matter of the present invention, the detailed description thereof will be omitted.
그리고 후술되는 용어들은 본 발명에서의 기능을 고려하여 설정된 용어들로서 이는 실험자, 사용자 및 생산자의 의도 또는 관례에 따라 달라 질 수 있으므로 그 정의는 본 명세서 전반에 걸친 내용을 토대로 내려져야 할 것이다.Terms to be described later are set in consideration of functions in the present invention, which may vary depending on the intention or practice of the experimenter, the user, and the producer, and the definitions should be made based on the contents throughout the present specification.
먼저, 본 발명에 의해 실시되고 있는 부분 계단형 분할 패칭 방식을 이용한 유사 주문형 비디오 전송방법은 NVoD(Near Video-on-Demand) 방식 중 비디오 데이터를 일정한 주기로 반복해서 전송하는 스태거드(Staggered) 방식의 전송주기 부분 을 채널 패칭 방식으로 스태거드 전송 방식과 같이 전송하는 것이다.First, the pseudo-on-demand video transmission method using the partial stepped division patching method implemented by the present invention is a staggered method of repeatedly transmitting video data at regular intervals among the NVoD (Near Video-on-Demand) methods. The transmission period of is transmitted in the channel patching manner as in the staggered transmission scheme.
이에. 상기 비디오 데이터의 스태거드 전송주기 부분을 패칭 방식에 할당된 채널을 가지고 비디오 데이터를 분할하도록 실행하고, 상기에서 계단형 방식으로 분할된 스태거드 방식의 주기부분과 비디오 데이터 전체 부분에 대해 스태거드 방식의 전송 주기로 맞추(DS=DP+d, 여기서 Ds는 스태거드의 전송주기로 스테거드 방식에 할당된 채널의 수를 n개 라고하면 D와 Ds의 관계는 Ds=D/n로 나타내고, Dp는 채널 패칭 방식에 사용되는 Ds부분으로 Dp=Ds-d로 나타내며, d는 부분 계단형 분할 패칭 방식을 적용하기 위해서 Ds가 동일하게 분할된 크기로 Ds부분을 전송하기 위해 할당된 채널의 수가 m일 경우 d=Ds/2m나타냄)도록 실행하게 된다.Therefore. The staggered transmission period portion of the video data is executed to divide the video data with a channel assigned to a patching scheme, and the staggered periodic portion and the entire video data portion divided in the stepped manner are performed. (DS = DP + d, where Ds is the number of channels allocated to the staggered method in the staggered transmission period, and the relationship between D and Ds is Ds = Dp is the portion of Ds used in the channel patching scheme, and Dp = Ds -d, and d is the size of Ds equally divided to apply the partial stepwise division patching scheme. If the number of channels allocated to transmit the portion of Ds is m, then d = Ds / 2m .
이에 따른, 상기 비디오 데이터의 스태거드 전송 주기 중에서 DP부분에 채널이 m개 할당되고, 상기 DP부분을 2m-1개의 동일한크기로 나누며, 채널 (여기서 i=0,...,m-1) 내에서 2i개 만큼의 비디오 데이터 세그먼트들이 주기적으로 브로드캐스트 되어 전송되고, 채널에 있는 각각의 데이터 세그먼트들은 2i개의 하위 세그먼트들로 나누어지며, 상기 채널에 있는 각각의 데이터 세그먼트들은 2i개의 하위 세그먼트들로 나누어진 데이터를 전송하기 위해서 채널도 역시 2i개 동일한 크기의 하위 채널로 분할하되, 상기 분할된 하위 채널은라고 나타내고, 이들의 대역폭은 b/2i 이며, 상기 하위 채널(여기서, u=1,...,2i)에서는 하위 세그먼트()들을 주기적으로 전송하게 되는 것이다.Accordingly, DP in the staggered transmission period of the video data M channels are allocated to the portion, and the DP portion is divided into 2m −1 equal sizes, As many as 2i video data segments are broadcasted periodically, where i = 0, ..., m-1 Each data segment in is divided into 2i subsegments, and the channel Each data segment in the channel is used to transmit data divided into 2i subsegments. Also divided into 2i sub-channels of the same size, the divided sub-channel And their bandwidth is b / 2i , and the lower channel (Where u = 1, ..., 2i ), the subsegment ( ) Will be sent periodically.
그리고, 상기 비디오 데이터의 스태거드 전송주기 부분을 이용하여 NVoD 시스템의 성능인 시청자 대기시간, 시청자 필요 버퍼량, 시청자 필요 채널 수, 채널대역폭을 조절하도록 실행하게 되는 것이다.The staggered transmission period portion of the video data is used to adjust the viewer latency, viewer required buffer amount, viewer required channel number, and channel bandwidth, which are the performance of the NVoD system.
[실시예]EXAMPLE
상기한 본 발명을 이루기 위한 바람직한 실시예를 참조하여 구체적으로 살펴보기로 한다.With reference to a preferred embodiment for achieving the present invention described above will be described in detail.
먼저, 본 발명에서는 부분 계단형 분할 패칭 방식을 이용한 것으로, 이 부분계단형 분할 패칭 방식은 NVoD 방식인 비디오 데이터를 일정한 주기로 반복해서 전송하는 스태거드(Staggered : 엇갈리게 전송) 방식을 이용하여 전송하고, 스태거드의 전송 주기에 해당되는 비디오 데이터 앞부분을 계단형 데이터 분할을 이용한 전송방식(Staircase Broadcasting 방식)으로 덧대어서 전송하는 방식이다.First, the present invention uses a partial stepped split patching method, which uses a staggered method to repeatedly transmit video data of a NVoD method at regular intervals. In this case, the video data corresponding to the staggered transmission period is padded and transmitted using a staircase broadcasting method.
이때, 각 부분은 주기적으로 브로드캐스트를 통해서 반복적으로 전송을 하고, 분할된 스태거드 전송 주기에 해당하는 비디오 데이터 앞부분을 스태거드 방식의 반복 주기와 일치하도록 맞추어서 전송을 하게 된다.At this time, each part is repeatedly transmitted through a broadcast periodically, and the front part of the video data corresponding to the divided staggered transmission period is transmitted to match the repetition period of the staggered method.
이러한, 패칭 방식의 NVoD 전송 구조는 구현을 쉽게 할 수 있고 채널 대역폭 활용도를 증가시킬 수 있게 한다.This patching NVoD transport structure facilitates implementation and increases channel bandwidth utilization.
이에 따른, 부분 계단형 분할 패칭 전송 방식이 서버(미도시)에서 송신하는 방법에 대해 살펴보면, 첨부도면 도 1 및 도 2에 도시된 바와 같이 서버에서 NVoD 서비스로 전송되는 비디오의 길이(D), 비디오의 재생 소모율(b)에 대한 전체 비디오의 크기(V)는 상기 비디오의 길이(D)와 비디오의 재생 소모율(b)을 곱한 상태(V=D×b)가 된다.Accordingly, a method of transmitting a partial stepped split patching scheme from a server (not shown) will be described. As shown in FIGS. 1 and 2, the length D of the video transmitted from the server to the NVoD service, The size V of the entire video with respect to the playback consumption rate b of the video is obtained by multiplying the length D of the video by the playback consumption rate b of the video (V = D × b).
그리고, 비디오 전송에 할당된 대역폭의 크기(B=β×b)로 나타낸다.In addition, this is represented by the size (B = β × b) of the bandwidth allocated for video transmission.
따라서, 서버에서 자세한 부분 계단형 분할 전송 방법은 아래의 내용에 따라 전송이 되는 것이다.Therefore, the detailed partial stepped split transmission method in the server is transmitted according to the following contents.
첫 번째 단계, 길이(D)를 갖는 비디오를 스태거드 방식으로 전송을 할 때, 스태거드의 주기는 Ds로 나타내고, 스태거드 방식에 할당된 채널의 수를 n개라 하면(여기서 각 채널의 대역폭은 b이다), 이때 상기 스태거드의 주기(Ds)는 비디오의 길이(D)를 스태거드 방식에 할당된 채널의 수 n개를 나눈(Ds=D/n)것으로 나타낸다.The first step, when transmitting video with length D in staggered manner, the period of staggered is represented by Ds , and the number of channels allocated to staggered method is n (where each The bandwidth of the channel is b), where the staggered period (Ds ) is the length (D) of the video divided by the number n of channels allocated to the staggered method (Ds = D / n). Indicates.
두 번째 단계, 부분 계단형 분할 패칭 방식을 이용한 전송 방식이 적용되는 DP(Ds=DP+d) 부분에 할당되는 채널의 개수를 m이라 하고, 스태거드 방식이 적용되는 비디오 데이터 전체 부분에 할당되는 채널의 개수를 n이라 하며, 이때은 데이터 분할을 이용한 전송 방식이 적용되는 부 분의 채널을 말하고,은 스태거드 전송 방식이 적용되는 부분의 채널을 나타낸 것으로, 여기서 각 채널의 대역폭은 b이고, 상기 m,n은 항상 정수의 값을 가지며,의 표기법은 a부분의 l번째 채널을 나타낸 것이다.In the second step, the number of channels allocated to the DP (Ds = DP + d) part to which the transmission method using the partial stepped split patching method is applied is m, and the video data to which the staggered method is applied as a whole The number of channels allocated to the part is called n. Refers to the part of the channel to which the transmission scheme using data partitioning is applied, Denotes a channel of a part to which a staggered transmission scheme is applied, wherein each channel has a bandwidth of b, and m and n always have an integer value, The notation of denotes the l channel of part a.
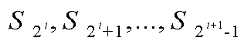
세 번째 단계, 스태거드 방식의 주기에 속하는 DP는 2m-1개의 동일한 크기를 가지는 세그먼트로 분할이 되고, 이 분할된 비디오는 Si로 나타내고 i번째 비디오 세그먼트를 나타낸 것이며, 모든 세그먼트는 번호 순서대로 연결되어 있고, 모든 연결된 비디오를 합치면 DP 부분의 비디오를 구성할 수 있으며, 비디오 DP 부분에 속하는부터의 길이는 d로 동일하다.The third step, DP , belonging to the staggered period, is divided into 2m-1 equally sized segments, which are represented by Si , representing the i th video segment, and all segments numbered in order, and is connected, it is possible to configure a video portion of the DP, combined all the connected video, belonging to the video part DP from The length of is equal to d.
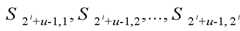
네 번째 단계, 채널 (여기서 i=0,...,m-1) 내에서는 2i개 만큼의 비디오 데이터 세그먼트들()이 전송되는데, 이 채널에 있는 각각의 데이터 세그먼트들은 2i개의 하위 세그먼트들로 나누어지고, 이때 하위 세그먼트의 크기는 동일하며, 채널에 있는 2i개 세그먼트들을 {Sv|v=2i,...,2i+1-1}이라고 하고, Sv의 2i개 하위 세그먼트들을 {Sv,u| u=1,...,2i}라고 표시한다. 이러한 데이터들의 분할로 인해 전송해야할 채널들의 분할이 필요하게 되는데, 채널도 역시 2i개 동일한 크기의 하위 채널로 분할되고, 이때 분할된 하위 채널은라고 표시를 하며, 이들의 대역폭은 b/2i이다. 여기서 데이터와 채널을 분할하고 저장하는 방법을 계단형 분할 방법이라 한다. 채널(여기서, u=1,...,2i)에서는 하위 세그먼트()들이 주기적으로 전송된다.(여기서 j=0,...,n-1) 내에서는 비디오의 전체 부분(V)이 스태거드 방식으로 주기적으로 브로드캐스트되어 전송되고, 이때 스태거드 방식의 반복주기 DS는 계단형 분할을 이용한 전송 방식과 주기를 맞추기 위해서 DS=DP+d가 되어야 한다.Fourth step, channel Within (i = 0, ..., m-1) as many as 2i video data segments ( ) Is sent to this channel Each data segment in is divided into 2i subsegments, where the subsegments are the same size and the channel The 2i segments in{S v | v = 2 i , ..., 2 i + 1 -1} , and that, the lower segments of the piece 2iS v {S v, u | u = 1 ,. .., 2i } This division of data requires division of channels to be transmitted. Also divided into 2i sub-channels of the same size, wherein the divided sub-channel And their bandwidth is b / 2i . Here, the method of dividing and storing data and channels is called a stepwise partitioning method. channel (Where u = 1, ..., 2i ), the subsegment ( Are transmitted periodically. In (where j = 0, ..., n-1), the entire portion (V) of the video is broadcast and transmitted periodically in the staggered manner, where the staggered repetition period DS is a stepped In order to match the transmission scheme and period using the division, DS = DP + d.
이에 대한, 첨부된 도 1 및 도 2는 부분 계단형 패칭 전송 방식의 서버 측면에서의 동작을 보여주고 있는 것으로, 비디오의 길이 D는 DS의 전송 주기를 가지고 반복적으로 전송이 되고 있을 때, DS를 DS에 할당될 채널 m개로 분할될 데이터 세그먼트 길이 d만큼의 길이를 뺀 부분 DP를 2m-1만큼으로 나누어서 채널에 2i 개 만큼의 비디오 데이터 세그먼트들을 주기적으로 전송한다.(여기서 d의 길이는 DS/2m 이다)의 표기법은 a부분의 l번째 채널을 나타내고,(i=0,...,m-1, u=1,...,2i)의 표기법은 DP 부분의 i번째 채널이면서 나u번째 서버 채널(sub-channel)을 나타낸 것이다.1 and 2 show an operation on the server side of the partially stepped patching transmission method. When the length D of the video is repeatedly transmitted with a transmission period of DS , D by dividing the part of theS dP obtained by subtracting the length of the data segment length d by m pieces to be split channel to be allocated to the dS 2m -1 as channel Periodically send as many as 2i video data segments, where d is the length DS / 2m The notation of represents the l-th channel of part a, The notation of (i = 0, ..., m-1, u = 1, ..., 2i ) denotes the i-th channel and the u-th server channel (sub-channel) of the DP part.
상기 DP부분을 계단형 분할을 이용한 전송 방식으로 전송하기 위해서 할당된 채널의 개수 m은 3이고, V를 스태거드 방식으로 전송하기 위해서 할당된 채널의 개수 n도 3이다. 스태거드 방식이 적용되는 V의 전송주기 DS는 DP+d이고, 여기서 d는 DS부분을 계단형 분할을 이용한 전송 방식으로 덧대어 전송하기 위해 DP/(2m-1)의 길이로 동일하게 분할한 세그먼트의 길이이다. 채널에 주기적으로 반복되어 전송되는 비디오 데이터 세그먼트는부터 까지이다.DP The number m of channels allocated for the transmission of the portion by the stepwise division scheme is 3, and the number n of channels allocated for the transmission of the V staggered scheme is also 3. Stagger is de how the transmission period of the DS V is applied isP D + d, where d is the DP / (2m -1) in order to transmit a control pad section DS to the transport method using a stepped split The length of the segment divided equally into lengths. channel The video data segment that is sent repeatedly at from Until.
또한, 부분 계단형 분할 패칭 전송 방식이 클라이언트에서 수신하는 방법을 살펴보면, 클라이언트에서 버퍼의 용량이 비디오 시청을 위해서 데이터를 저장하기에 충분하다고 할 때 비디오 데이터를 수신해서 시청하기 위해서는 아래와 같은 절차를 따라야 한다.Also, when the client receives the partial stepped split patching transmission method, the following procedure is required to receive and view the video data when the capacity of the buffer is sufficient to store the data for the video viewing. do.
첫 번째 단계, 먼저 시청자가 비디오의 시청을 원하는 시점을 t라고 하고, 채널(여기서 j=0,...,n-1)에서 비디오를 시작하는 시점을 t0 라고 하며, 이때 t0-d<t≤t0경우에는 채널에서 새로운 비디오가 시작하는 시간인 t0부터 전체 비디오 데이터 V를 다운로드 받으면서 바로 시청할 수 있도록 하고, t0<t≤t0+(2m-1)d경우에는 채널에서 시청가 요청 시점으로부터 가장 먼저 시작하는 비디오 데이터 세그먼트 S1을 다운로드 받으면서 바로 시청할 수 있도록 하며, 이와 동시에 채널부터 채널사이에 있는 비디오 데이터 세그먼트들 중에서 가장 최근에 채널에서 시작된 비디오 데이터에서 시청자가 원하는 시간 t에서 가정 먼저 시작되는 S1보다 이전의 데이터를 다운로드 받는다. 이때 시청자가 시청을 원하는 시간 t에서 가장 먼저 시작되는 S1의 시간과 동일한 시점에서 채널에서 비디오 데이터 V를 다운로드 받는다.The first step is to say t is the time when the viewer wants to watch the video, (Where j = 0, ..., n-1), the starting point of the video is called t0 , where t0 -d <t≤t0 In case channel From t0 , the time when a new video starts, the full video data V is downloaded and available for immediate viewing, t0 <t≤ t0 + (2m -1) d In case channel Allows viewers to watch the video data segment S1 that starts first from the time the viewer requested it, while watching From channels The most recent channel of video data segments in between In the video data started at, the viewer downloads data earlier than S1 , which starts first at the desired time t. At this time, the channel at the same point in time as S1 that starts first at the time t that the viewer wants to watch. Download video data V from.
두 번째 단계, DS 부분의 데이터 세그먼트들은 다운로드 받으면서 비디오 시청 소모율에 맞게부터의 순서로 끊어지지 않고 시청이 가능하도록 하고, 또한 전체 비디오 데이터 V의 부분적인 데이터와 DS 부분의 비디오 데이터 세그먼트들도 비디오 데이터를 다운로드 받으면서 비디오 시청 소모율에 맞게 끊어지지 않고 시청이 가능하도록 한다.In the second step, the data segments of the DS part are downloaded to match the video viewing consumption rate. from And and to enable the viewer without interruption in the order, so as to also enable viewing without being video data segment of the partial data and the DS portion of the video data V even while receiving download the video data cut off according to the video viewer consumption.
세 번째 단계, 채널에 있는 데이터 세그먼트를 Sv라고 하고, 채널에 있는 하위 채널을 라고 할 경우 여기서 i=0,...,m-1, v=2i,...,2i+1-1, u=1,...,2i 이다. 만약 채널에서 비디오 시작 시점과 시청자의 비디오 시청요청에 의한 비디오 시작 시점이 다를 경우 다운로드 비디오 데이터 세그먼트 S1을 tk에서 다운로드 하기 시작하고 채널내에서 S1의 길이가 d이라고 하면 하위 채널에서 녹화하여 재생해야 할 구간은 tk+(u-1)d부터 tk+(2i+u-1)d 까지 이고, 비디오 데이터 세그먼트들은 다운로드 받으면서 비디오 재생 소모율에 맞게 S1부터 채널를 통해서 다운받은 비디오 데이터와 끊어 지지 않고 시청을 위해서 필요한 부분까지 시청이 가능하도록 한다. 그 이후에는 채널를 통해서 다운받은 비디오 데이터를 재생시킨다.Third step, channel The data segment in is called Sv , and the channel Subchannel in Where i = 0, ..., m-1, v = 2i , ..., 2i + 1 -1, u = 1, ..., 2i . If channel If the video start point in the video and the video start point due to the viewer's request to watch are different, the download video data segment S1 starts to be downloaded from tk and the channel If the length of S1 within d is subchannel The interval to record and play at is from tk + (u-1) d to tk + (2i + u-1) d and the video data segments are downloaded from S1 according to the video playback consumption rate. Through the video data downloaded through the uninterrupted to be able to watch the part necessary for viewing. After that, the channel Play the video data downloaded through.
네 번째 단계, 채널(여기서 i=0,...,m-1)에서는 2i번째 비디오 데이터 세그먼트를 수신하게 되면 해당 채널에서는 다운로드를 멈추고,(여기서 j=0,...,n-1)에서는 비디오 데이터 V를 해당되는 채널 한곳에서 수신을 마치게 되면 다운로드를 멈춘다. 이때 채널를 통해서는 채널를 통해서 다운로드 받을 수 없는 비디오 데이터 V부분에 대해서만 다운로드하고 나머지 부분은 다운로드 하지 않는다.Fourth step, channel (Where i = 0, ..., m-1) receives the 2i th video data segment and the download stops on that channel, In this case, j = 0, ..., n-1, the download is stopped when the reception of video data V is completed in one channel. Channel Through the channel It only downloads the V part of the video data that cannot be downloaded through V, but does not download the rest.
또한, 부분 계단형 분할 패칭 전송 방식에서 시청자 대기시간에 대해 살펴보면, 시청자 대기시간은 채널에서 비디오 데이터 S1의 길이이고, 그 이유는 만약 비디오의 첫 번째 데이터 세그먼트 S1을 채널에서 시청자가 놓치게 되면 비디오의 시작을 위해서 시청자는 S1의 길이만큼 기다려야 비디오를 시청할 수 있으므로 최대 시청자 대기시간은 S1의 길이이다.In addition, when the viewer waiting time in the partial stepped split patching transmission method, the viewer waiting time is a channel In the length of the video data S1, because the channel of the first data segment S1 If the video If the viewer has missed in order to start the video viewer may have to wait as long as the S1 up to a viewer watching the video waiting time is the length of S1.
예를 들면, 만약 비디오의 길이(D)가 100분, 비디오 전송을 위해서 할당된  전체 채널의 수는 8, 그리고 스태거드 DS부분에 부분 게단형 분할 패칭 방식을 적용하기 위해서 할당된 채널이 4로 조건이 주어지면, 부분 계단형 분할 패칭 전송 방식을 사용할 경우에는 최대 시청자 대기시간이 1.56분 정도의 시간이 된다(25분/24=1.56분). 하지만 동일한 조건에서 스태거드 방식의 최대 시청자 대기시간은 12.5분으로 나타난다(100분/8=12.5분).For example, if the video length (D) is 100 min, the number of the assigned
이와 같은 간단한 비교에서도 알 수 있는 바와 같이 부분 계단형 분할 패칭 전송 방식은 기존의 방식과 비교해서 간단한 구조로 대역폭 사용에 대한 효율성을 높이는 방법인 것이다.As can be seen from such a simple comparison, the partial stepped split patching transmission method is a method of increasing the efficiency of bandwidth use with a simple structure compared to the conventional method.
또한, 부분 계단형 분할 패칭 전송 방식에서 시청자 버퍼 요구량에 대해 살펴보면, 부분 계단형 분할 패칭 방식에서 시청자 요구에 따라 비디오를 시청하기 위해서는 버퍼가 필요하게 되는 것으로, 이는 시청자 측면에서 보면 셋탑박스에서 비디오 데이터 재생 속도가 비디오 데이터의 수신 속도 보다 늦기 때문이다.In addition, in the case of the partial stepped split patching transmission method, the buffer demand for the viewer is required. In the partial stepped split patching method, the buffer is required to watch the video according to the viewer's demand. This is because the playback speed is slower than the reception speed of the video data.
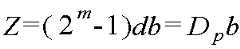
이에, 시청자 버퍼 요구량이 최대가 되는 경우는 시청자 비디오 시청 요구시간 t가 t0-2d<t≤t0-d일 때이고 이 경우에는 (2m-1)d 만큼의 길이 동안의 DS부분데이터를 셋탑박스에 저장을 해야 한다.Therefore, when the viewer buffer request amount is maximized, when the viewer video viewing request time t is t0 -2d < t < t0 -d, in this case, the DS partial data for a length of (2m -1) d Should be stored in the set-top box.
그리고, 시청자 버퍼 요구량이 최소가 되는 경우는 시청자 비디오 시청 요구시간 t가 t0-d<t≤t0일 때이고 이 경우에는 셋탑박스에 비디오 데이터를 저장해야 할 필요가 없으므로, 따라서 최대 사용자 버퍼 요구량(Z)은 다음과 같은 식으로 나타낼 수가 있다.When the viewer buffer request amount is minimum, the viewer video viewing request time t is t0 -d <t≤t0 In this case, since there is no need to store video data in the set-top box, the maximum user buffer requirement (Z) can be expressed as follows.
상기의 식에서 알 수 있는 바와 같이, 최대 버퍼 요구량(Z)은 스태거드 방식의 전송간격과 밀접한 관련이 있다.As can be seen from the above equation, the maximum buffer request amount Z is closely related to the staggered transmission interval.
상기에서 설명한 본 발명을 첨부도면 도 1 및 도 2에 도시된 구체적인 실시예를 통해 살펴보면, 부분 계단형 분할 패칭 방식이 D=24d, m=3 그리고 n=3인 경우를 나타낸 것으로, 이때 m=3이므로 DP는 7개의 세그먼트로 분할되어서 3개의 채널(, 그리고)에서 주기적으로 브로드캐스트 된다. n=3 이므로 V부분은 채널(,그리고 )에서 스태거드 방식을 사용해서 전송을 한다. 이때 스태거드 방식의 주기 DS는 8d이고, 여기서는 d가 D/24로 나타나고 이 크기는 시청자 최대 대기 시간이 된다. 비디오 데이터 세그먼트 S1과 비디오 데이터 V는 분할되지 않는다. 하지만 S2는 S2,1과 S2,2로 분할이 되고 S3는 S3,1과 S3,2으로 S4는 S4,1, S4,2, S4,3, S4,4의 형태로 분할된다. 나머지 비디오 데이터 세그먼트 들도 이와 같은 형태로 분할이 된다. 채널에서는 S1이 주기적으로 전송되고, 채널에는 S2,1과 S2,2, 채널에는 S3,1과 S3,2, 채널에는 S4,1, S4,2, S4,3, S4,4가 주기적으로 전송된다. 나머지 채널에서도 이와 같은 형태로 분할되어 전송이 된다.Looking at the present invention described above with reference to the specific embodiment shown in the accompanying drawings, Figures 1 and 2, it shows a case where the partial stepped split patching scheme is D = 24d, m = 3 and n = 3, where m = 3, so DP is divided into seven segments, so three channels ( , And Broadcasts periodically). Since n = 3, V is the channel ( , And ) Is transmitted using the staggered method. At this time, the staggered period DS is 8d, where d is represented as D / 24, and this size is the maximum viewer waiting time. Video data segment S1 and video data V are not divided. However, S2 is divided into S2, 1 and S2, 2 , S3 is S3, 1 and S3,2, and S4 is S4, 1 , S4, 2 , S4, 3 , S4In the form of, 4 . The remaining video data segments are also divided in this manner. channel S1 is transmitted periodically, and the channel S2, 1 and S2, 2 , channel S3, 1 and S3, 2 , channels S4, 1 , S4, 2 , S4, 3 , S4, 4 are periodically transmitted. The remaining channels are divided in this manner and transmitted.
그리고, 시청자 버퍼 요구량이 최소가 될 때는 시청자가 요청 시간 t가 t0-d<t≤t0에서 이루어지고 비디오 데이터 세그먼트를 t0에서부터 수신할 경우인데, 이 경우에는 단지 채널을 통해서 전체 비디오 데이터 수신 및 재생이 가능하기 때문에 버퍼가 필요 없게 된다.Then, when the viewer is minimized if the buffer requirement inde viewers made the request at time t is t0 -d<0 t≤t receiving video data segment from t0, in this case, only The entire video data can be received and played back through the channel, eliminating the need for a buffer.
또한, 시청자 버퍼 요구량이 최대가 될 때는 시청자가 요청 시간 t가 t0-2d<t≤t0-d에서 이루어지고 비디오 데이터 세그먼트를 t0-d에서부터 수신할 경우인데, 이 경우에는 DP부분을 다운로드 하는 동시에 시청이 가능하게 하면서 V부분에서 DP이후 부분의 데이터도 함께 다운로드 해야 끊김 없이 시청을 할 수 있는 것이다.In addition, when the viewer buffer demand is maximized, the viewer requests the time t at t0 -2d <t≤t0 -d and receives the video data segment from t0 -d, in this case the DP portion. You can download the video at the same time while watching the data from the V part after the DP to download without interruption.
예를 들면, 시청자 버퍼 요구량이 최소가 될 때는 시청자가 요청 시간 t가 t2<t≤t3에서 이루어지면 t3시작 시점에서 채널() 중에서 가장 최근에 시작된 한 채널에서 비디오 데이터 V를 다운로드 하면서 다운받는 비디오 데이터 V에서 이미 지나간 부분인 S1, S2, S3 데이터를 채널()에서 S1을 다운받으면서 재생하고, 채널()에서 S2, S3를 다운받아서 데이터의 순서대로 재생한다.For example, when the viewer buffer requirement is minimized, the viewer can see the channel at the start of t3 if the request time t is at t2 <t≤t3 . ) S1 , S2 , and S3 data, which has already passed from the downloaded video data V while downloading the video data V from one of the most recently started channels, ) And play S1 while downloading the channel (). ) And download S2 , S3 and play them in order of data.
상기의 S1, S2, S3 데이터 부분을 다 재생하고 나면 t3 시작 시점에서 채널()에서 다운받아 놓은 비디오 데이터 V를 재생하고, 시청자의 요구시간 t가 다른 구간에 나타나도 같은 방법으로 재생이 되는 것이다.After the playback, the S1, S2, S3 data portion of the channel at the start time t3 ( Play the video data V downloaded in the same way, and playback is performed in the same manner even if the required time t of the viewer appears in another section.
첨부도면 도 3 및 도 4에 도시된 바와 같이, 이는 비디오의 길이(D)를 100분으로 하고, 비디오 데이터를 스태거드 방식으로 전송하기 위해서 할당된 채널의 개수는 5로 하여 기존의 다른 방식들과 시청자 최대 대기시간(d)과 시청자 최대 버퍼 요구량(Z)에 대해 비교하여 나타낸 그래프이다.3 and 4, the length D of the video is 100 minutes, and the number of channels allocated to transmit the video data in the staggered method is 5, which is different from the conventional method. To the viewer maximum waiting time (d) and the viewer maximum buffer demand (Z).
즉, 도 3은 시청자 최대 대기시간(d)과 채널 대역폭과의 관계를 나타내고 있는 것으로, 여기서 비디오의 길이(D)는 100분이고, 비디오를 스태거드 방식으로 전송하는데 할당된 채널은 5로 하였으며, 이때 DS는 20분이다.That is, FIG. 3 shows the relationship between the maximum viewer latency d and the channel bandwidth, wherein the length D of the video is 100 minutes, and the channel allocated to transmitting the video in the staggered manner is 5. Where DS is 20 minutes.
그리고, Joint and Stream방식에서 도착율{Poisson arrival with rate, λ(req/min)}는 2로 하였고, 채널 대역폭은 스태거드 방식에 추가적으로 할당되는 채널의 수를 나타낸다.In the Joint and Stream method, the arrival rate (Poisson arrival with rate, λ (req / min)) was set to 2, and the channel bandwidth represents the number of channels additionally allocated to the staggered method.
이를 통해 확인할 수 있는 바와 같이, 부분 계단형 분할 패칭 방식의 시청자 최대 대기 시간은 채널이 증가할수록 Staggered Broadcasting, Joint and Stream, Stream bundling broadcasting 방식보다 현저하게 감소하는 것을 확인할 수가 있다.As can be seen through this, it can be seen that the maximum waiting time of the viewer in the partial stepped split patching method is significantly reduced as the channel increases than the staggered broadcasting, joint and stream, and stream bundling broadcasting methods.
또한, 도 4는 최대 버퍼 요구량(Z)과 채널 대역폭과의 관계를 나타내고 있는 것으로, 여기서 비디오를 스태거드 방식으로 전송하는데 할당된 채널은 5로 하였으며, 이때 DS는 20분이다.In addition, FIG. 4 shows the relationship between the maximum buffer demand (Z) and the channel bandwidth, wherein the channel allocated for transmitting video in the staggered manner is 5, where DS is 20 minutes.
그리고, Joint and Stream방식에서 도착율{Poisson arrival with rate, λ (req/min)}는 2로 하였고, 채널 대역폭은 스태거드 방식에 추가적으로 할당되는 채널의 수를 나타낸다.In the Joint and Stream method, the arrival rate (Poisson arrival with rate, λ (req / min)) was set to 2, and the channel bandwidth represents the number of channels additionally allocated to the staggered method.
이를 통해 확인할 수 있는 바와 같이 부분 계단형 분할 패칭 방식의 최대 버퍼 요구량은 채널이 증가할수록 DSb에 수렴한다는 것을 확인할 수 있고, 다른 방식들과 비교에서는 덧대는 채널의 수가 적을 때에 Joint and Stream과 Stream bundling broadcasting 방식보다는 약간 많아지지만 덧대는 채널의 수가 증가할수록 DSb에 같이 수렴한다는 것을 확인할 수가 있다.As can be seen from this, the maximum buffer requirement of the partial stepped split patching method converges to DS b as the channel increases.In comparison with other methods, the joint and stream and It is slightly more than stream bundling broadcasting method, but it can be seen that as the number of padding channels converges, it converges to DS b.
상기의 결과에서 알 수 있는 바와 같이, 기존의 패칭방식의 NVoD와 비교했을 때, 최대 버퍼 필요량은 변화하지 않으면서 시청자 대기시간은 많이 줄일 수 있다는 것을 확인할 수가 있다.As can be seen from the above results, when compared with the conventional patching NVoD, it can be seen that the viewer waiting time can be greatly reduced without changing the maximum buffer requirement.
상기와 같은 본 발명을 따를 때, 일반적으로 주문형 비디오 서비스(VoD Service)를 구현함에 있어 가장 큰 문제는 서비스를 하기 위해서 과다한 채널 대역폭이 필요하였고, 이 때문에 채널 대역폭 효율이 우수한 많은 주문형 비디오 방식들이 제안되었지만 이들의 구성은 복잡성 때문에 적용하기 무척 어려웠으나, 본 발명을 이용하여 주문형 비디오 서비스 시스템을 구축할 경우 동일한 조건(동일한 채널 대역폭, 동일한 지연시간, 동일한 저장장치)에서 시청자의 대기시간을 줄여서 채널 대역폭 효율을 높일 수 있을 뿐만 아니라 기존의 방법들에 비해 복잡성{비디오 데이터 분할 수, 채널 호핑(Hopping) 수, 동시 채널 사용 수}를 많이 줄여 실용적으로 이용이 가능하게 된 것이다.According to the present invention as described above, in general, the biggest problem in implementing a video on demand (VoD Service) was the excessive channel bandwidth required for the service, for this reason many on-demand video schemes with excellent channel bandwidth efficiency proposed Although these configurations are very difficult to apply due to the complexity, when building an on-demand video service system using the present invention, the channel bandwidth is reduced by reducing the waiting time of the viewer under the same conditions (same channel bandwidth, same delay time, same storage device). Not only can the efficiency be improved, but the complexity (the number of video data splits, the number of channel hoppings, and the number of simultaneous channels) is much lower than conventional methods, making it practically available.
마지막으로, 본 발명을 실시하고 있는 부분 계단형 분할 패칭 방식을 이용한 유사 주문형 비디오 전송방법의 실행에 있어 다양하게 변형될 수 있고 여러 가지 형태를 취할 수 있다.Finally, the implementation of the pseudo-on-demand video transmission method using the partial stepped split patching method of the present invention can be variously modified and can take various forms.
하지만, 본 발명은 상기의 상세한 설명에서 언급되는 특별한 형태로 한정되는 것이 아닌 것으로 이해되어야 하며, 오히려 첨부된 청구범위에 의해 정의되는 본 발명의 정신과 범위 내에 있는 모든 변형물과 균등물 및 대체물을 포함하는 것으로 이해되어야 한다.It is to be understood, however, that the present invention is not limited to the specific forms referred to in the above description, but rather includes all modifications, equivalents and substitutions within the spirit and scope of the invention as defined by the appended claims. It should be understood to do.
이상에서 살펴본 바와 같이, NVoD 방식에서 채널 대역폭 효율과 더불어 방식의 복잡성이 중요한 요소이나, 본 발명을 통한 NVoD 방식은 우수한 성능과 더불어 기존에 제안되었던 다양한 NVoD 방식들의 단점으로 알려진 비디오 데이터 세그먼트 수를 크게 줄이는 효과와, 복잡한 채널 관리를 많이 줄여주는 효과와, 한꺼번에 사용하는 채널의 수도 크게 줄여 기존 제안되었던 NVoD 방식보다 실용적인 방식을 갖는 효과가 있다.As described above, in the NVoD method, the channel bandwidth efficiency and the complexity of the method are important factors, but the NVoD method according to the present invention greatly improves the number of video data segments known as disadvantages of various NVoD methods that have been proposed. It has the effect of reducing the number of channels, reducing the complexity of managing a lot of channels, and reducing the number of channels used at the same time.
또한, 본 발명은 기존의 일반적인 스태거드 방식의 NVoD 방식에서 조금의 변화만으로 우수한 성능을 얻을 수 있는 효과와, 시청자 수의 변화에 따라 성능의 변화가 없기 때문에 대규모의 서비스에도 적용이 가능한 효과가 있다.In addition, the present invention has an effect that can obtain excellent performance with a slight change in the conventional staggered NVoD method, and can be applied to a large-scale service because there is no change in performance according to the change in the number of viewers have.
또한, 본 발명은 스태거드 방식에 적용되는 채널의 수를 조정하여 시청자의 대기시간과 필요한 버퍼량을 조절할 수 있어 NVoD 방식이 적용되는 환경에 따라 이들을 용이하게 조절하여 적용이 가능한 효과가 있다.In addition, the present invention can adjust the number of channels applied to the staggered method to adjust the waiting time of the viewer and the amount of buffer required, there is an effect that can be easily adjusted by applying them according to the environment in which the NVoD method is applied.
또한, 본 발명은 많은 시청자를 지원하는 NVoD 시스템에 적용이 가능하면서 우수한 성능과 동시에 간단한 구조를 유지하기 때문에 전체적으로 효율성이 향상되어 이를 통해 실시하는 사용상의 신뢰도 및 만족도가 극대화되는 등의 여러 효과가 있다.In addition, the present invention can be applied to the NVoD system supporting a large number of viewers, while maintaining a high performance and simple structure, the overall efficiency is improved, there is a variety of effects such as maximization of reliability and satisfaction in the implementation through this. .
| Application Number | Priority Date | Filing Date | Title | 
|---|---|---|---|
| KR1020060102771AKR100896726B1 (en) | 2006-10-23 | 2006-10-23 | Pseudo-on-demand video transmission method using partial stepped split patching | 
| Application Number | Priority Date | Filing Date | Title | 
|---|---|---|---|
| KR1020060102771AKR100896726B1 (en) | 2006-10-23 | 2006-10-23 | Pseudo-on-demand video transmission method using partial stepped split patching | 
| Application Number | Title | Priority Date | Filing Date | 
|---|---|---|---|
| KR1020080045533ADivisionKR20080047341A (en) | 2008-05-16 | 2008-05-16 | Pseudo-on-demand video transmission method using partial stepped split patching | 
| Publication Number | Publication Date | 
|---|---|
| KR20080036316A KR20080036316A (en) | 2008-04-28 | 
| KR100896726B1true KR100896726B1 (en) | 2009-05-11 | 
| Application Number | Title | Priority Date | Filing Date | 
|---|---|---|---|
| KR1020060102771AExpired - Fee RelatedKR100896726B1 (en) | 2006-10-23 | 2006-10-23 | Pseudo-on-demand video transmission method using partial stepped split patching | 
| Country | Link | 
|---|---|
| KR (1) | KR100896726B1 (en) | 
| Publication number | Priority date | Publication date | Assignee | Title | 
|---|---|---|---|---|
| KR101293005B1 (en) | 2011-12-20 | 2013-08-12 | 성균관대학교산학협력단 | Vod transmitting system using vod scheme combining fast broadcasting and patching | 
| Publication number | Priority date | Publication date | Assignee | Title | 
|---|---|---|---|---|
| KR100971351B1 (en)* | 2008-10-22 | 2010-07-20 | 성균관대학교산학협력단 | Proximity Video Transmission Method Using CAL and Sub Channel | 
| CN104506965B (en)* | 2014-12-08 | 2018-08-14 | 深圳市九洲电器有限公司 | A kind of order method and system | 
| Publication number | Priority date | Publication date | Assignee | Title | 
|---|---|---|---|---|
| US20020087994A1 (en) | 2000-06-14 | 2002-07-04 | Etienne Gomez | Process and system for video on demand | 
| Publication number | Priority date | Publication date | Assignee | Title | 
|---|---|---|---|---|
| US20020087994A1 (en) | 2000-06-14 | 2002-07-04 | Etienne Gomez | Process and system for video on demand | 
| Publication number | Priority date | Publication date | Assignee | Title | 
|---|---|---|---|---|
| KR101293005B1 (en) | 2011-12-20 | 2013-08-12 | 성균관대학교산학협력단 | Vod transmitting system using vod scheme combining fast broadcasting and patching | 
| Publication number | Publication date | 
|---|---|
| KR20080036316A (en) | 2008-04-28 | 
| Publication | Publication Date | Title | 
|---|---|---|
| US10681097B2 (en) | Methods and systems for data transmission | |
| US6018359A (en) | System and method for multicast video-on-demand delivery system | |
| Pâris et al. | Efficient broadcasting protocols for video on demand | |
| CN100466715C (en) | fast digital channel change | |
| KR20030034081A (en) | Methods for providing video-on-demand services for broadcasting systems | |
| US11303684B2 (en) | Methods and systems for data transmission | |
| EP1912441A2 (en) | Buffering and transmittig video data upon request | |
| KR100896726B1 (en) | Pseudo-on-demand video transmission method using partial stepped split patching | |
| KR100897835B1 (en) | Pseudo Custom Video Transmission Using Partial Patching | |
| Chan et al. | Client buffering techniques for scalable video broadcasting over broadband networks with low user delay | |
| KR100855021B1 (en) | Video Data Transmission Method Using Channel Harmonic Segmentation | |
| KR100851397B1 (en) | Method for video data delivery using partial divide broadcasting | |
| KR20050085362A (en) | Channel tapping in a near- video-on-demand system | |
| KR20080047341A (en) | Pseudo-on-demand video transmission method using partial stepped split patching | |
| KR100925521B1 (en) | How to send and receive multimedia data on demand | |
| KR100746104B1 (en) | Pseudo-on-demand video transmission using partial channel harmonic split patching | |
| KR100854467B1 (en) | Video Data Transmission Method Using Partial Stepped Split Broadcasting | |
| Wu et al. | Seamless channel transition for slotted generalized fibonacci broadcasting | |
| KR101211768B1 (en) | Data segmentation device and method and data merging device and method for harmonic broadcasting method using time-divided video data | |
| CN103002339A (en) | Method and device for acquiring demultiplexing data | |
| KR100864538B1 (en) | How to send and receive multimedia data on demand | |
| US8312487B1 (en) | Method and system for arranging an advertising schedule | |
| Poon et al. | First segment partition for video-on-demand broadcasting protocols | |
| Chen et al. | SingBroad: A scheduling scheme for broadcasting continuous multimedia data over a single channel | |
| KR20090041182A (en) | How to send and receive multimedia data on demand | 
| Date | Code | Title | Description | 
|---|---|---|---|
| A201 | Request for examination | ||
| PA0109 | Patent application | St.27 status event code:A-0-1-A10-A12-nap-PA0109 | |
| PA0201 | Request for examination | St.27 status event code:A-1-2-D10-D11-exm-PA0201 | |
| D13-X000 | Search requested | St.27 status event code:A-1-2-D10-D13-srh-X000 | |
| D14-X000 | Search report completed | St.27 status event code:A-1-2-D10-D14-srh-X000 | |
| E902 | Notification of reason for refusal | ||
| PE0902 | Notice of grounds for rejection | St.27 status event code:A-1-2-D10-D21-exm-PE0902 | |
| AMND | Amendment | ||
| E13-X000 | Pre-grant limitation requested | St.27 status event code:A-2-3-E10-E13-lim-X000 | |
| P11-X000 | Amendment of application requested | St.27 status event code:A-2-2-P10-P11-nap-X000 | |
| P13-X000 | Application amended | St.27 status event code:A-2-2-P10-P13-nap-X000 | |
| R18-X000 | Changes to party contact information recorded | St.27 status event code:A-3-3-R10-R18-oth-X000 | |
| E601 | Decision to refuse application | ||
| PE0601 | Decision on rejection of patent | St.27 status event code:N-2-6-B10-B15-exm-PE0601 | |
| PG1501 | Laying open of application | St.27 status event code:A-1-1-Q10-Q12-nap-PG1501 | |
| R17-X000 | Change to representative recorded | St.27 status event code:A-3-3-R10-R17-oth-X000 | |
| A107 | Divisional application of patent | ||
| AMND | Amendment | ||
| J201 | Request for trial against refusal decision | ||
| P11-X000 | Amendment of application requested | St.27 status event code:A-2-2-P10-P11-nap-X000 | |
| P13-X000 | Application amended | St.27 status event code:A-2-2-P10-P13-nap-X000 | |
| PA0107 | Divisional application | St.27 status event code:A-0-1-A10-A18-div-PA0107 St.27 status event code:A-0-1-A10-A16-div-PA0107 | |
| PJ0201 | Trial against decision of rejection | St.27 status event code:A-3-3-V10-V11-apl-PJ0201 | |
| PB0901 | Examination by re-examination before a trial | St.27 status event code:A-6-3-E10-E12-rex-PB0901 | |
| B601 | Maintenance of original decision after re-examination before a trial | ||
| E801 | Decision on dismissal of amendment | ||
| PB0601 | Maintenance of original decision after re-examination before a trial | St.27 status event code:N-3-6-B10-B17-rex-PB0601 | |
| J301 | Trial decision | Free format text:TRIAL DECISION FOR APPEAL AGAINST DECISION TO DECLINE REFUSAL REQUESTED 20080516 Effective date:20090423 | |
| PJ1301 | Trial decision | St.27 status event code:A-3-3-V10-V15-crt-PJ1301 Decision date:20090423 Appeal event data comment text:Appeal Kind Category : Appeal against decision to decline refusal, Appeal Ground Text : 2006 0102771 Appeal request date:20080516 Appellate body name:Patent Examination Board Decision authority category:Office appeal board Decision identifier:2008101004411 | |
| PS0901 | Examination by remand of revocation | St.27 status event code:A-6-3-E10-E12-rex-PS0901 | |
| S901 | Examination by remand of revocation | ||
| GRNO | Decision to grant (after opposition) | ||
| PS0701 | Decision of registration after remand of revocation | St.27 status event code:A-3-4-F10-F13-rex-PS0701 | |
| GRNT | Written decision to grant | ||
| PR0701 | Registration of establishment | St.27 status event code:A-2-4-F10-F11-exm-PR0701 | |
| PR1002 | Payment of registration fee | St.27 status event code:A-2-2-U10-U11-oth-PR1002 Fee payment year number:1 | |
| PG1601 | Publication of registration | St.27 status event code:A-4-4-Q10-Q13-nap-PG1601 | |
| PR1001 | Payment of annual fee | St.27 status event code:A-4-4-U10-U11-oth-PR1001 Fee payment year number:4 | |
| FPAY | Annual fee payment | Payment date:20130410 Year of fee payment:5 | |
| PR1001 | Payment of annual fee | St.27 status event code:A-4-4-U10-U11-oth-PR1001 Fee payment year number:5 | |
| FPAY | Annual fee payment | Payment date:20140401 Year of fee payment:6 | |
| PR1001 | Payment of annual fee | St.27 status event code:A-4-4-U10-U11-oth-PR1001 Fee payment year number:6 | |
| R18-X000 | Changes to party contact information recorded | St.27 status event code:A-5-5-R10-R18-oth-X000 | |
| R18-X000 | Changes to party contact information recorded | St.27 status event code:A-5-5-R10-R18-oth-X000 | |
| PR1001 | Payment of annual fee | St.27 status event code:A-4-4-U10-U11-oth-PR1001 Fee payment year number:7 | |
| LAPS | Lapse due to unpaid annual fee | ||
| PC1903 | Unpaid annual fee | St.27 status event code:A-4-4-U10-U13-oth-PC1903 Not in force date:20160501 Payment event data comment text:Termination Category : DEFAULT_OF_REGISTRATION_FEE | |
| PC1903 | Unpaid annual fee | St.27 status event code:N-4-6-H10-H13-oth-PC1903 Ip right cessation event data comment text:Termination Category : DEFAULT_OF_REGISTRATION_FEE Not in force date:20160501 | |
| P22-X000 | Classification modified | St.27 status event code:A-4-4-P10-P22-nap-X000 | |
| R18-X000 | Changes to party contact information recorded | St.27 status event code:A-5-5-R10-R18-oth-X000 | |
| R18-X000 | Changes to party contact information recorded | St.27 status event code:A-5-5-R10-R18-oth-X000 |