






본 발명은 일반적으로 전송 다이버시티를 이용하는 송신국에서 안테나 가중치들을 선택하는 방법에 관한 것이다. 특히, 본 발명은 상기 안테나 가중치들의 선택에서 섭동 기울기 근사 기술을 이용하는 장치 및 관련 방법에 관한 것이다. 단기 페이딩 프로세스를 단지 추적하는 대신에, 통신 신호가 송신되는 채널의 장기 공분산 매트릭스가 제공되기 때문에 개선된 안테나-가중치 선택 정확도가 제공된다. 그리고, 상기 안테나-가중치 선택의 실시에 필요한 피드백의 양은 상기 송신국에 의해 이용되는 송신 안테나들의 수와 상관없다.The present invention relates generally to a method for selecting antenna weights at a transmitting station using transmit diversity. In particular, the present invention relates to an apparatus and associated method using perturbation slope approximation techniques in the selection of the antenna weights. Instead of just tracking the short fading process, improved antenna-weighted selection accuracy is provided because the long term covariance matrix of the channel over which the communication signal is transmitted is provided. And, the amount of feedback required for the implementation of the antenna-weighted selection is independent of the number of transmit antennas used by the transmitting station.
정보의 전달은 현대 사회에서 불가결한 것이다. 정보의 전달은 통신 시스템의 동작을 통해 실시된다. 정보는 통신 채널을 통해 송신국 및 수신국 간에 전달된다. 송신국은 필요한 경우 상기 정보를 상기 통신 채널들을 통한 그것의 전달을 허용하기 위한 형태로 변환한다. 그리고, 상기 수신국은 필요한 경우, 상기 정보를 복구하기 위하여 그것에 대해 수행될 동작들을 허용하기 위하여 상기 정보의 검출 된 표시들에 대해 동작한다.The transmission of information is indispensable in modern society. The transfer of information is carried out through the operation of the communication system. Information is transferred between the transmitting station and the receiving station via a communication channel. The transmitting station converts the information as necessary to allow its transfer over the communication channels. The receiving station then operates on the detected indications of the information, if necessary, to allow the operations to be performed on it to recover the information.
매우 다양한 상이한 유형의 통신 시스템들이 개발되었고 송신국 및 수신국 간에 정보의 전달을 실시하는데 정기적으로 이용된다. 새로운 유형의 통신 시스템들이 개발되었고 통신 기술의 발달의 결과로서 계속 개발되고 있으며 구성되고 있다.A wide variety of different types of communication systems have been developed and are regularly used to effect the transfer of information between a transmitting station and a receiving station. New types of communication systems have been developed and continue to be developed and configured as a result of the development of communication technologies.
예시적인 통신 시스템은 무선 통신 시스템이다. 무선 통신 시스템에서, 통신 채널이 상기 송신국 및 수신국 간에 확장하는 무선 링크를 통해 정의된다. 무선 통신 시스템들로서 구현된 통신 시스템들은 때때로 유선 통신 시스템들에 비해 감소된 비용을 갖는다. 그리고, 고정, 무선 접속들보다는 무선 링크들이 상기 정보를 전달하는데 사용되는 통신 채널들을 정의하는데 이용되기 때문에, 무선 통신 시스템들은 이동 통신 시스템들로서의 구현을 따른다.An exemplary communication system is a wireless communication system. In a wireless communication system, a communication channel is defined over a radio link extending between the transmitting station and the receiving station. Communication systems implemented as wireless communication systems sometimes have a reduced cost compared to wired communication systems. And since wireless links, rather than fixed, wireless connections, are used to define the communication channels used to convey the information, wireless communication systems follow the implementation as mobile communication systems.
셀룰러 통신 시스템은 상당한 사용 레벨을 달성한 무선 통신 시스템의 전형이다. 셀룰러 통신 시스템들은 세계의 거주 지역들의 상당한 부분들 전반에 걸쳐 설치되었다. 상이한 유형의 셀룰러 통신 시스템들의 동작 매개 변수들을 공표하는, 다양한 셀룰러 통신 표준들이 발표되었다.Cellular communication systems are typical of wireless communication systems that have achieved significant levels of use. Cellular communication systems have been installed throughout a significant portion of the residential areas of the world. Various cellular communication standards have been published that publish operating parameters of different types of cellular communication systems.
일반적으로, 셀룰러 통신 시스템은 복수의 고정-사이트 송수신 기지국들을 포함하는 고정 네트워크 기반 구조를 포함한다. 상기 고정-사이트 송수신 기지국들은 상기 통신 시스템에 의해 포함될 지리적인 지역 전반에 걸쳐 이격된 위치들에 배치된다. 상기 송수신 기지국들 각각은 셀로서 지칭되는 구역을 정의하는데, 상기 구역으로부터 상기 셀룰러 통신 시스템은 그것의 이름을 획득한다.In general, a cellular communication system includes a fixed network infrastructure including a plurality of fixed-site transmit and receive base stations. The fixed-site transmit / receive base stations are located at spaced locations throughout the geographic area to be included by the communication system. Each of the base transceiver stations defines a zone, referred to as a cell, from which the cellular communication system obtains its name.
상기 송수신 기지국들이 부분들을 형성하는 상기 고정 네트워크 기반 구조는 패킷 데이터 백본 또는 일반 전화 교환망과 같은 핵심 네트워크에 연결된다. 컴퓨터 서버들, 전화국들 등과 같은 통신 장치들은 차례로 상기 핵심 네트워크 또는 다른 곳에 연결되고, 상기 네트워크 기반 구조 및 상기 핵심 네트워크를 통해 통신할 수 있다.The fixed network infrastructure, in which the base transceiver stations form parts, is connected to a core network such as a packet data backbone or a general switched telephone network. Communication devices, such as computer servers, telephone stations, etc., may in turn be connected to the core network or elsewhere, and communicate over the network infrastructure and the core network.
이동국들로 지칭되는 휴대용 송수신기들은 전자기 스펙트럼의 부분들을 형성하는 무선 링크들을 통해 상기 기지국들과 통신한다. 상기 셀룰러 통신 시스템의 사용은 전형적으로 서비스 가입에 따라 허용되고 가입자들로서 지칭되는 사용자들은 상기 이동국들을 이용하여 상기 셀룰러 통신 시스템을 통해 통신한다.Portable transceivers, referred to as mobile stations, communicate with the base stations via wireless links that form portions of the electromagnetic spectrum. The use of the cellular communication system is typically permitted according to service subscription and users, referred to as subscribers, communicate via the cellular communication system using the mobile stations.
무선 링크를 통해 전달된 정보는 이상적이지 않은 통신 상태의 결과로서 왜곡의 영향을 받기 쉽다. 다른 통신 시스템들은 유사하게 이상적이지 않아서, 이러한 다른 통신 시스템들에서의 정보의 전달도 유사하게 왜곡의 영향을 받기 쉽다. 상기 왜곡은 상기 송신국에 의해 전송될 때, 수신국으로 전달된 정보의 값들이 상기 정보의 대응하는 값들과 상이하도록 야기한다. 상기 왜곡이 상당한 경우, 상기 정보의 정보 내용은 상기 수신국에서 정확하게 복구될 수 없다.Information conveyed over the wireless link is susceptible to distortion as a result of non-ideal communication conditions. Other communication systems are similarly not ideal, so the transfer of information in these other communication systems is similarly susceptible to distortion. The distortion causes the values of the information conveyed to the receiving station to be different from the corresponding values of the information when transmitted by the transmitting station. If the distortion is significant, the information content of the information cannot be correctly recovered at the receiving station.
다중-경로 전송에 의해 야기되는 페이딩은 통신 채널을 통해 전달된 정보를 왜곡시킨다. 상기 통신 채널이 상당한 레벨의 페이딩을 나타내는 경우, 상기 정보의 정보 내용은 복구될 수 없을지도 모른다.Fading caused by multipath transmission distorts the information conveyed over the communication channel. If the communication channel exhibits a significant level of fading, the information content of the information may not be recoverable.
다양한 기술들이 상기 수신국으로의 통신 채널을 통한 정보의 전달동안 상기 정보에 대해 야기된 왜곡을 보상하거나 그렇지 않으면 극복하는데 이용된다. 예를 들어 공간 다이버시티가 때때로 이용된다. 공간 다이버시티는 정보가 전송되는 하나 이상의 송신 안테나 트랜스듀서의 송신국에서의 사용을 통해 생성된다. 공간 중복성은 그것으로부터 제공된다. 상기 안테나 트랜스듀서들은 전형적으로 각 안테나 트랜스듀서들에 의해 전달된 정보가 비상관 방식으로 페이딩된다는 것을 보장할만큼 매우 충분한 거리만큼 분리되어 있다. 그리고, 수신국들은 때때로 또한 적합한 분리 거리들만큼 분리되어 있는, 하나 이상의 수신 안테나 트랜스듀서를 이용한다.Various techniques are used to compensate for or otherwise overcome the distortion caused by the information during delivery of the information over a communication channel to the receiving station. For example, space diversity is sometimes used. Spatial diversity is created through the use at the transmitting station of one or more transmit antenna transducers over which information is transmitted. Spatial redundancy is provided from it. The antenna transducers are typically separated by a distance that is very sufficient to ensure that the information conveyed by each antenna transducer is faded in an uncorrelated manner. And, receiving stations sometimes use one or more receive antenna transducers, which are also separated by suitable separation distances.
다수의 송신 안테나 트랜스듀서들 및 다수의 수신 안테나 트랜스듀서들 양자를 이용하는 통신 시스템들은 때때로 다중-입력, 다중-출력(MIMO: Multiple-Input, Multiple-Output) 시스템들인 것으로 지칭된다. MIMO 시스템에서의 통신은 종래의 시스템들에 비해 상기 시스템의 더 높은 전체 용량이 달성될 수 있는 가능성을 제공한다. 증가하는 수의 사용자들은 서비스될 수 있거나 더 많은 데이터 처리량이 각 사용자에게 제공될 수 있다.Communication systems utilizing both multiple transmit antenna transducers and multiple receive antenna transducers are sometimes referred to as multiple-input, multiple-output (MIMO) systems. Communication in a MIMO system offers the possibility that higher overall capacity of the system can be achieved compared to conventional systems. Increasing numbers of users may be serviced or more data throughput may be provided to each user.
공간 다이버시티의 사용을 통해 제공되는 이점들은 상기 송신국에 상기 송신국과 수신국을 인터페이싱하는, 인터페이스, 즉 통신 채널의 상태에 대한 정보가 제공되는 경우 더 증대된다.The benefits provided through the use of spatial diversity are further amplified when information is provided on the interface, ie the status of the communication channel, which interfaces the transmitting and receiving stations.
송신국은 직접 통신 채널의 채널 특성들을 측정할 수 없다. 이러한 측정들은 수신국에서만 가능하다. 양방향 통신 시스템들에서, 수신국에서 행해진 측정들은 상기 채널 특성들에 관한 표시를 상기 송신국에 제공하기 위하여 상기 송신국으로 반환될 수 있다.The transmitting station cannot measure the channel characteristics of the direct communication channel. These measurements are only possible at the receiving station. In bidirectional communication systems, measurements made at a receiving station may be returned to the transmitting station to provide an indication of the channel characteristics to the transmitting station.
이러한 유형의 정보를 다중-안테나 송신국에 제공하는 통신 시스템들은 폐루 프 전송 다이버시티를 제공하는 시스템들인 것으로 지칭된다. 셀룰러 통신 시스템의 네트워크 기반 구조로부터 이동국까지 확장하는 통신 채널들은 때때로 다운 링크 또는 순방향 링크 채널들인 것으로 지칭된다. 그리고, 상기 이동국으로부터 다시 상기 네트워크 기반 구조까지 확장하는 채널들은 업링크 또는 역방향 링크 채널들인 것으로 지칭된다.Communication systems that provide this type of information to a multi-antenna transmitting station are referred to as systems that provide closed loop transmit diversity. The communication channels that extend from the network infrastructure of the cellular communication system to the mobile station are sometimes referred to as downlink or forward link channels. And channels that extend from the mobile station back to the network infrastructure are referred to as uplink or reverse link channels.
상기 수신국, 여기에서 이동국으로부터, 상기 송신국, 여기에서 네트워크 기반 구조로 반환된 피드백 정보는 안테나 가중치들의 값들을 선택하는데 사용된다. 상기 가중치들은 가중값들이고, 상기 가중값들에 의해 상기 안테나 트랜스듀서들 중 개별 안테나 트랜스듀서에 제공된 정보 신호들은 상기 이동국으로의 통신 채널을 통한 그들의 전달 이전에 가중된다. 목표는 상기 수신국으로의 정보의 전달을 용이하게 하기 위한 최선의 방법으로 상기 안테나 트랜스듀서들에 인가된 정보 신호들을 가중하는 것이다. 상기 안테나 가중치들의 값들은 다운링크 채널 공분산 매트릭스에 의해 스패닝된 서브스페이스의 공액(conjugate)과 비슷해진다. 상기 안테나 가중치들의 추정은 전송 서브스페이스 추적 절차로서 체계화될 수 있다. 몇몇 폐루프 전송 다이버시티 절차들이 이용된다. TxAA, 고유빔(eigenbeam) 형성자 및 다른 기술들이 때때로 이용된다. 하지만, 기존의 기술들은 다양한 결함을 겪는다. 예를 들어, TxAA 절차는 상기 안테나 가중치들의 선택에서 통신 채널의 장기 공분산 매트릭스를 고려하지 못한다. 그리고, 고유빔 형성자 기술의 사용은 송신국의 안테나 트랜스듀서들의 수에 의존한다. 안테나 트랜스듀서들의 수가 증가하는 경우, 이러한 기술의 복잡성은 급속하게 증가한다.The feedback information returned from the receiving station, here mobile station, to the transmitting station, here network infrastructure, is used to select values of antenna weights. The weights are weighted values, and the information signals provided to individual antenna transducers of the antenna transducers by the weighted values are weighted prior to their transmission over a communication channel to the mobile station. The goal is to weight the information signals applied to the antenna transducers in the best way to facilitate the transfer of information to the receiving station. The values of the antenna weights are similar to the conjugate of the subspace spanned by the downlink channel covariance matrix. The estimation of the antenna weights can be formulated as a transmission subspace tracking procedure. Several closed loop transmit diversity procedures are used. TxAA, eigenbeam formers and other techniques are sometimes used. However, existing technologies suffer from various deficiencies. For example, the TxAA procedure does not consider the long term covariance matrix of the communication channel in the selection of the antenna weights. And the use of intrinsic beamformer technology depends on the number of antenna transducers of the transmitting station. As the number of antenna transducers increases, the complexity of this technique increases rapidly.
그러므로, 필요한 것은 폐루프 전송 다이버시티를 구현하여, MIMO 또는 다른 통신 시스템에서 개선된 통신을 허용하는 개선된 방법이다.Therefore, what is needed is an improved method of implementing closed loop transmit diversity to allow for improved communication in MIMO or other communication systems.
본 발명의 중대한 개선들이 전개되는 것은 공간 다이버시티를 이용하는 무선 통신 시스템들과 관련된 이러한 배경 정보를 고려한 것이다.Significant developments of the present invention take into account this background information related to wireless communication systems using spatial diversity.
따라서, 본 발명은 유리하게는 전송 다이버시티를 이용하는 송신국에서 안테나 가중치들의 선택에서 섭동 기울기 근사 기술을 이용하는 방법을 제공한다.Accordingly, the present invention advantageously provides a method of using a perturbation slope approximation technique in the selection of antenna weights at a transmitting station using transmit diversity.
본 발명의 실시예의 동작중, 전송 다이버시티를 이용하는 송신국에서 안테나-가중치들을 선택하는 장치 및 관련된 방법이 제공된다.In operation of an embodiment of the present invention, an apparatus and associated method are provided for selecting antenna-weights at a transmitting station using transmit diversity.
개선된 안테나-가중치, 선택-정확도가 제공된다. 단기 페이딩 프로세스를 단지 추적하는 대신에 통신 채널의 장기 공분산 매트릭스가 추적된다. 상기 안테나 가중치 선택의 실시에 필요한 피드백의 양은 송신국에 의해 이용된 전송 안테나들의 수와 상관없다. 또한, 사용자-특정 파일럿 신호는 동작에 필요하지 않다. 그래서, 상기 방법 및 장치는 단지 파일럿 신호를 이용하는 시스템들이 아니라, 많은 상이한 유형의 높은 데이터율 시스템들 중 어느 것으로도 구현가능하다.Improved antenna-weighting, select-accuracy is provided. Instead of just tracking the short term fading process, the long term covariance matrix of the communication channel is tracked. The amount of feedback required to carry out the antenna weight selection is independent of the number of transmit antennas used by the transmitting station. In addition, no user-specific pilot signal is required for operation. Thus, the method and apparatus may be implemented in any of many different types of high data rate systems, not just systems using pilot signals.
본 발명의 일 태양에 있어서, 공간 다이버시티를 이용하는 송신국에서 안테나 가중값들이 용이하게 이용되도록 하기 위하여 결정적 섭동 기울기 근사 절차가 수행된다. 상기 근사 기술은 상기 안테나 가중값들의 선택의 최적화를 용이하게 하여, 송신국 및 수신국간의 통신을 최적화한다. 상기 수신국으로의 통신 채널을 통한 전달을 위해 송신국에서 섭동 벡터가 선택된다. 상기 섭동 벡터는 선택된 순서 로 선택되는데, 선택된 세트의 벡터들로부터 선택된다. 상기 벡터들은 각각 벡터값들로 형성된다. 상기 송신국의 안테나 트랜스듀서들의 안테나 가중치들은 시간 기간의 제1 부분동안 제1 방법으로 그리고 시간 기간의 제2 부분동안 제2 방법으로 섭동된다. 상기 시간 기간이 지정된 시간 길이의 타임 슬롯을 형성하는 경우, 상기 타임 슬롯의 첫번째 절반동안, 상기 안테나 가중치들은 포지티브 방향으로 상기 섭동 벡터에 의해 섭동된다. 그리고, 상기 타임 슬롯의 두번째 절반동안, 상기 섭동 벡터는 네거티브 방향으로 상기 가중치들을 섭동하기 위하여 상기 안테나 가중치들에 인가된다.In one aspect of the invention, a deterministic perturbation slope approximation procedure is performed to facilitate the use of antenna weights in a transmitting station using spatial diversity. The approximation technique facilitates optimization of the selection of the antenna weights, thereby optimizing communication between the transmitting station and the receiving station. A perturbation vector is selected at the transmitting station for delivery over the communication channel to the receiving station. The perturbation vectors are selected in the selected order, from the selected set of vectors. The vectors are each formed of vector values. The antenna weights of the antenna transducers of the transmitting station are perturbed in a first way during the first part of the time period and in a second way during the second part of the time period. If the time period forms a time slot of a specified time length, during the first half of the time slot, the antenna weights are perturbed by the perturbation vector in the positive direction. And, during the second half of the time slot, the perturbation vector is applied to the antenna weights to perturb the weights in the negative direction.
본 발명의 다른 태양에 있어서, 상기 통신 채널을 통해 상기 송신국에 의해 전달된 정보를 수신하는 상기 수신국은 상기 송신국에 의해 전달된 정보를 포함하는 수신된 신호들의 전력 레벨들을 측정한다. 개별 전력 레벨 측정들이 상기 타임 슬롯의 제1 절반 및 제2 절반 동안 행해진다. 상기 타임 슬롯의 개별 절반들동안 측정된 전력 레벨들간의 차이들이 결정된다. 그리고, 상기 계산된 차이들의 값들의 표시가 상기 송신국으로 반환된다.In another aspect of the present invention, the receiving station receiving the information conveyed by the transmitting station over the communication channel measures the power levels of the received signals including the information conveyed by the transmitting station. Separate power level measurements are made during the first and second half of the time slot. The differences between the power levels measured during the individual halves of the time slot are determined. An indication of the values of the calculated differences is then returned to the transmitting station.
그리고, 본 발명의 다른 태양에 있어서, 상기 송신국은 상기 수신국에서 형성된 계산된 차이들의 값들의 표시들의 전달을 검출하고 이러한 표시들을 이용하여 안테나 가중치들을 조정하는데, 상기 송신국에 의해 상기 수신국으로 송신된 정보 신호들을 상기 안테나 가중치들에 의해 후속적으로 가중한다.And in another aspect of the present invention, the transmitting station detects the transfer of indications of the values of the calculated differences formed at the receiving station and adjusts antenna weights using these indications by the receiving station. Are subsequently weighted by the antenna weights.
일 구현에 있어서, 상기 결정적 섭동 기울기 근사 기술은 공간 다이버시티를 이용하는 송수신 기지국을 지닌 셀룰러 통신 시스템에서 이용된다. 폐루프 전송 다 이버시티가 안테나 가중치들의 선택을 최적화하는데 제공되는데, 상기 송수신 기지국에 의해 상기 이동국으로 전달된 다운링크 신호들을 상기 안테나 가중치들에 의해 가중한다. 섭동 벡터들은 시간 기간의 개별 부분들 동안 포지티브 방향 및 네거티브 방향으로 상기 안테나 가중 요소들에 인가된다. 가중된 신호들은 상기 송수신 기지국에 의해 상기 이동국으로 송신되고 상기 이동국에서 검출된다. 상기 이동국은 타임 슬롯의 제1 및 제2 부분들 동안 검출된 신호들의 전력 레벨들을 측정하고 상기 타임 슬롯의 제1 및 제2 부분들동안 측정된 상기 전력 레벨들의 차이들의 값들을 상기 송수신 기지국으로 반환한다. 상기 송수신 기지국으로 반환된 값들은 상기 송수신 기지국에서 안테나 가중치들을 조정하는데 사용된다. 그것에 의해 폐루프 전송 다이버시티가 제공된다. 결정적 섭동 기울기 근사 기술들이 이용되기 때문에, 장기 공분산 매트릭스가 추적되고 안테나 가중치들을 선택하는데 이용된다. 그리고, 상기 안테나 가중치 선택은 상기 송수신 기지국 또는 다른 송신국에 의해 이용된 송신 안테나들의 수에 상관없다.In one implementation, the deterministic perturbation slope approximation technique is used in a cellular communication system with a base transceiver station using spatial diversity. Closed loop transmit diversity is provided to optimize the selection of antenna weights, where the downlink signals delivered by the transmit and receive base station to the mobile station are weighted by the antenna weights. Perturbation vectors are applied to the antenna weighting elements in the positive direction and the negative direction during separate portions of the time period. Weighted signals are transmitted to the mobile station by the base transceiver station and detected at the mobile station. The mobile station measures power levels of signals detected during the first and second portions of a time slot and returns values of differences in the power levels measured during the first and second portions of the time slot to the transmit and receive base station. do. The values returned to the base transceiver station are used to adjust antenna weights at the base transceiver station. Thereby closed loop transmit diversity is provided. Because deterministic perturbation slope approximation techniques are used, the long term covariance matrix is tracked and used to select antenna weights. The antenna weight selection is independent of the number of transmit antennas used by the transmit / receive base station or other transmitting station.
그러므로, 이들 및 다른 태양들에 있어서, 제1 통신국 및 제2 통신국을 지닌 통신 시스템을 위한 장치 및 관련된 방법이 제공된다. 상기 제1 통신국은 상기 제2 통신국으로 통신 신호를 전달한다. 상기 통신 신호는 제1 안테나 가중치에 의해 상기 제1 통신국의 제1 가중 요소에 의해 상기 제1 통신국의 제1 가중 요소에서 가중된다. 그리고, 상기 통신 신호는 적어도 제2 안테나 가중치를 가지고 상기 제1 통신국의 적어도 제2 가중 요소에서 가중된다. 상기 제1 및 적어도 제2 안테나 가중치들의 선택에 대한 최적화가 용이하게 된다. 섭동 벡터 선택기는 상기 제1 통신국 에 연결된다. 상기 섭동 벡터 선택기는 적어도 제1 선택된 섭동 벡터를 형성하기 위하여 적어도 제1 세트의 섭동 벡터값들을 선택한다. 섭동 벡터 애플리케이터는 상기 섭동 벡터 선택기에 연결된다. 상기 섭동 벡터 애플리케이터는 상기 적어도 제1 선택된 섭동 벡터를 형성하는 섭동값들을 상기 제1 및 적어도 제2 가중 요소들에 인가한다. 상기 제1 및 적어도 제2 가중 요소들에 인가된 상기 섭동값들은 적어도 부분적으로 상기 제1 및 적어도 제2 안테나 가중치들에 결정적이다.In these and other aspects, therefore, an apparatus and associated method for a communication system having a first communication station and a second communication station is provided. The first communication station transmits a communication signal to the second communication station. The communication signal is weighted at a first weighting element of the first communication station by a first weighting element of the first communication station by a first antenna weight. And the communication signal is weighted at at least a second weighting element of the first communication station with at least a second antenna weight. Optimization of the selection of the first and at least second antenna weights is facilitated. The perturbation vector selector is connected to the first communication station. The perturbation vector selector selects at least a first set of perturbation vector values to form at least a first selected perturbation vector. A perturbation vector applicator is coupled to the perturbation vector selector. The perturbation vector applicator applies perturbation values forming the at least first selected perturbation vector to the first and at least second weighting elements. The perturbation values applied to the first and at least second weighting elements are at least partially critical to the first and at least second antenna weights.
또한 이들 및 다른 태양들에 있어서, 제1 통신국, 제2 통신국 및 적어도 제3 통신국을 지닌 통신 시스템을 위한 장치 및 관련된 방법이 제공된다. 상기 제1 통신국 및 상기 제3 통신국은 함께 선택가능하게 통신 신호를 상기 제2 통신국으로 전달한다. 상기 통신 신호는 제1 안테나 가중치에 의해 상기 제1 통신국의 제1 가중 요소에서 가중된다. 상기 통신 신호는 적어도 제2 안테나 가중치를 가지고 상기 제1 통신국의 적어도 제2 가중 요소에서 가중된다. 그리고 상기 통신 신호는 상기 제3 통신국의 적어도 제3 가중 요소에서 선택가능하게 가중된다. 상기 제1, 제2 및 적어도 제3 안테나 가중치들의 선택의 최적화가 용이하게 된다. 섭동 벡터 선택기는 상기 제1 통신국 및 상기 제3 통신국에 연결된다. 상기 섭동 벡터 선택기는 적어도 제1 선택된 섭동 벡터를 형성하기 위하여 적어도 제1 세트의 섭동 벡터값을 선택한다. 그리고, 섭동 벡터 애플리케이터는 상기 섭동 벡터 선택기에 연결된다. 상기 섭동 벡터 애플리케이터는 상기 제1 통신국의 상기 제1 및 적어도 제2 가중 요소들에 상기 적어도 제1 선택된 섭동 벡터를 형성하는 섭동값들의 인가를 선택한다. 상기 섭동 벡터 애플리케이터는 상기 제3 안테나 가중 요소에 상기 적어도 제1 섭동 벡터를 형성하는 상기 섭동값들의 인가를 추가로 선택가능하게 선택한다. 상기 제1, 제2 및 선택가능하게 적어도 제3 가중 요소에 인가되는 섭동값들은 적어도 부분적으로 상기 제1 및 적어도 제2 안테나 가중치들에 결정적이다.Also in these and other aspects, an apparatus and associated method for a communication system having a first communication station, a second communication station and at least a third communication station is provided. The first communication station and the third communication station selectably together transmit a communication signal to the second communication station. The communication signal is weighted at a first weighting element of the first communication station by a first antenna weight. The communication signal has at least a second antenna weight and is weighted at at least a second weighting element of the first communication station. And the communication signal is selectively weighted in at least a third weighting element of the third communication station. Optimization of the selection of the first, second and at least third antenna weights is facilitated. The perturbation vector selector is coupled to the first and third communication stations. The perturbation vector selector selects at least a first set of perturbation vector values to form at least a first selected perturbation vector. The perturbation vector applicator is then connected to the perturbation vector selector. The perturbation vector applicator selects the application of perturbation values forming the at least first selected perturbation vector to the first and at least second weighting elements of the first communication station. The perturbation vector applicator further selectively selects application of the perturbation values forming the at least first perturbation vector to the third antenna weighting element. The perturbation values applied to the first, second and optionally at least third weighting elements are at least partially crucial to the first and at least second antenna weights.
본 발명의 더 완전한 이해 및 본 발명의 범위는 하기에 간략히 요약되는 첨부한 도면들, 다음 본 발명의 바람직한 실시예들에 관한 상세한 설명 및 첨부된 청구항들로부터 획득될 수 있다.A more complete understanding of the invention and the scope of the invention can be obtained from the accompanying drawings, which are briefly summarized below, the following detailed description of the preferred embodiments of the invention, and the appended claims.
도 1은 본 발명의 일 실시예가 통신 시스템의 동작 중 전달된 신호들을 가중하기 위한 최적 안테나 가중치들의 선택을 용이하게 하도록 동작가능한 통신 시스템의 기능 블록도를 도시한 것이다.1 illustrates a functional block diagram of a communication system in which an embodiment of the present invention is operable to facilitate the selection of optimal antenna weights for weighting the transmitted signals during operation of the communication system.
도 2는 본 발명의 일 실시예의 동작 중 이용되는 결정적 섭동 기울기 근사 기술의 표현을 도시한 것이다.Figure 2 shows a representation of a deterministic perturbation gradient approximation technique used during operation of one embodiment of the present invention.
도 3은 본 발명의 다른 실시예의 동작 중 이용되는 결정적 섭동 기울기 근사 기술의, 도 2에 도시된 것과 유사한 표현을 도시한 것이다.FIG. 3 shows a representation similar to that shown in FIG. 2, of a deterministic perturbation slope approximation technique used during operation of another embodiment of the present invention.
도 4는 본 발명의 일 실시예의 동작에 관한 방법을 열거하는 방법 흐름도를 도시한 것이다.4 shows a method flow diagram enumerating a method relating to the operation of an embodiment of the present invention.
도 5는 도 1에 도시된 것과 유사하지만, 여기에서 통화 채널 전환 프로세스동안 통신 시스템을 나타내는 기능 블록도를 도시한 것이다.FIG. 5 is similar to that shown in FIG. 1, but here illustrates a functional block diagram illustrating a communication system during a call channel switching process.
도 6은 도 5에 도시된 통신 시스템의 일부의 기능 블록도를 도시한 것이다.6 illustrates a functional block diagram of a portion of the communication system shown in FIG. 5.
도 7은 도 5에 도시된 통신 시스템의 일부의 기능 블록도를 도시한 것이다.7 shows a functional block diagram of a portion of the communication system shown in FIG. 5.
우선 도 1을 참조하면, 일반적을 10으로 도시된 무선 통신 시스템은 무선 채널들을 통해 상호접속된 2개의 개별적으로 배치된 통신국들간에 양방향 무선 통신을 제공한다. 여기에서, 상기 통신국들 중 첫번째 통신국은 셀룰러 통신 시스템의 송수신 기지국(BTS: Base Transceiver Station)(12)을 형성한다. 그리고, 상기 통신국들 중 두번째 통신국은 또한 셀룰러 통신 시스템에서 동작가능한, 이동국(14)을 형성한다.Referring first to FIG. 1, a wireless communication system, shown generally at 10, provides two-way wireless communication between two separately arranged communication stations interconnected through wireless channels. Here, the first of the communication stations forms a base transceiver station (BTS) 12 of the cellular communication system. And, the second of the communication stations also forms a
상기 무선 통신 채널들은 무선 링크들, 여기에서 순방향-링크 채널들(16) 및 역방향-링크 채널들(18)을 통해 정의된다. 상기 이동국으로 송신된 정보는 상기 순방향-링크 채널들(16)을 통해 상기 송수신 기지국에 의해 전달된다. 그리고, 상기 송수신 기지국으로의 전달을 위해 상기 이동국(14)에서 발신된 정보는 역방향 링크 채널들(18)을 통해 전달된다.The wireless communication channels are defined over wireless links, here forward-
상기 통신 시스템(10)은 몇몇 상이한 셀룰러-통신 표준들 중 어떤 표준에 따라 구성된 셀룰러 통신 시스템의 전형이다. 예를 들어, 상기 송수신 기지국 및 이동국은 3G-CDMA(3세대, CDMA) 통신 표준과 같은, 부호-분할, 다중-접속(CDMA) 통신 방식에서 동작가능한 장치들의 전형이다. 물론 본 발명의 실시예의 동작은 폐루프 전송 다이버시티가 유리하게 이용될 수 있는 다른 유형의 통신 시스템들 뿐만 아니라 다른 유형의 셀룰러 통신 시스템들에서 유사하게 동작가능하다.The
상기 송수신 기지국은 또한 무선 네트워크 제어기(RNC: Radio Network Controller)(22)를 포함하는 무선 액세스 네트워크의 부분을 형성한다. 그리고, 상 기 무선 네트워크 제어기는 차례로 이동 스위칭 센터(MSC: Mobile Switching Center)(24) 및 게이트웨이(GWY)(26)에 연결된다. 상기 이동 스위칭 센터 및 게이트웨이는 또한 상기 무선 액세스 네트워크의 부분들을 형성한다.The base transceiver station also forms part of a radio access network that includes a radio network controller (RNC) 22. The wireless network controller is in turn connected to a mobile switching center (MSC) 24 and a gateway (GWY) 26. The mobile switching center and gateway also form parts of the radio access network.
상기 이동 스위칭 센터는 일반 전화 교환망(PSTN: Public-Switched Telephone Network)(28)에 연결된다. 그리고, 상기 게이트웨이는 인터넷 백본과 같은, 패킷 데이터 네트워크(PDN: Packet Data Network)(32)에 연결된다. 대응 노드(CN: Correspondent Node)(34)는 상기 패킷 데이터 네트워크 및 상기 PSTN에 연결된 것으로 도시된다. 상기 대응 노드는 정보가 상기 통신 시스템의 동작중 라우팅되는 데이터 소스 또는 데이터 목적지의 전형이다.The mobile switching center is connected to a public-switched telephone network (PSTN) 28. The gateway is then connected to a Packet Data Network (PDN) 32, such as the Internet backbone. A Correspondent Node (CN) 34 is shown connected to the packet data network and the PSTN. The corresponding node is typical of a data source or data destination where information is routed during operation of the communication system.
상기 송수신 기지국(12)은 수신 회로(36)로 표시된 수신부 및 전송 회로(38)로 표시된 송신부 양자를 포함한다. 상기 송수신 기지국에 의해 상기 이동국으로 전달될 순방향 링크 신호는 상기 송신 회로에 의해 순방향 링크 채널들(16)을 통해 그것의 전달을 허용하기 위한 형태로 변환된다. 그리고, 폐루프 피드백 정보는 역방향 링크 채널(18)을 통해 상기 이동국에 의해 상기 송수신 기지국으로 반환된다.The transmit / receive
상기 이동국(14)은 또한 수신 회로(40)로 표시된 수신부 및 송신 회로(42)로 표시된 송신부를 포함한다. 상기 수신 회로는 순방향-링크 채널들(16)을 통해 상기 송수신 기지국에 의해 전송된 순방향-링크 신호들을 수신하도록 동작하고 상기 순방향-링크 신호들에 대해 동작한다. 그리고, 상기 송신 회로(42)는 역방향-링크 채널들(18)을 통해 역방향-링크 신호들을 상기 송수신 기지국으로 송신하도록 동작한다.The
여기에서, 상기 송수신 기지국 및 상기 이동국 양자는 다수의 안테나 트랜스듀서들을 포함하고, 상기 송수신 기지국-이동국 조합은 다중-입력, 다중-출력(MIMO) 시스템을 형성한다. 상기 송수신 기지국은 N개의 안테나 트랜스듀서들(44-1 내지 44-N)을 포함한다. 그리고, 상기 이동국은 M개의 안테나 트랜스듀서들, 안테나 트랜스듀서들 46-1 내지 46-M을 포함한다. 상기 안테나 트랜스듀서들(44 및 46)은 여기에서 상기 송수신 기지국 및 상기 이동국의 송신 및 수신 회로들 양자에 각각 연결된다.Here, both the base transceiver station and the mobile station comprise a plurality of antenna transducers, and the base transceiver station-mobile station combination forms a multi-input, multiple-output (MIMO) system. The base transceiver station includes N antenna transducers 44-1 through 44 -N. The mobile station then includes M antenna transducers, antenna transducers 46-1 through 46-M.
상기 송신 회로(38)는 라인(56)상에 부호화된 데이터를 형성하기 위하여 라인(54)을 통해 그것에 제공된 데이터를 부호화하는 부호기(52)를 포함한다. 상기 라인(56)은 업-믹서(up-mixer)(58)의 제1 입력 단자에 연결되고, 업-믹싱 신호(v(t))는 라인(62)을 통해 상기 업-믹서의 제2 입력 단자에 인가된다. 업-믹싱된 신호는 라인(64)상에서 생성된다.The transmitting
상기 라인(64)은 개별 안테나 트랜스듀서들(44)에 상기 업-믹싱된 신호를 인가하기 위한 개별 분기들을 포함한다. 가중 요소들(66 및 68)은 상기 라인(64)의 개별 분기들에 일렬로 배치된다. 즉, 상기 라인(64)의 분기는 상기 가중 요소(66)의 입력 단자에 연결되고, 상기 라인(64)의 제2 분기는 상기 가중 요소(68)의 입력 단자에 연결된다. 라인들(72 및 74)은 또한 각각 안테나 가중 요소들(66 및 68)에 연결된다. 상기 라인들(72 및 74)상에서 생성된 값들은 상기 업-믹싱된 신호들에 적용된 가중치들에 결정적이다. 일단 상기 신호들이 가중되면, 상기 신호들은 거기에서 변환될 안테나 트랜스듀서들에 인가된다. 부가적인 업-믹싱 및 다른 동작들은  상기 안테나 트랜스듀서들에의 인가 이전에 상기 가중된 신호들에 대해 수행된다.The
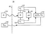
상기 송수신 기지국은 본 발명의 실시예의 장치(78)를 더 포함한다. 상기 장치(78)는 상기 라인들(72 및 74)상에 생성된 가중치들의 값들을 조정하고, 본 발명의 실시예의 폐루프 전송 다이버시티 방식에 따라 최적 안테나 가중치 선택을 용이하게 하는 방식으로 각각 상기 가중 요소들(66 및 68)에 인가된다. 상기 장치를 형성하는 요소들은 기능적으로 표현되고 처리 회로에 의해 실행가능한 알고리즘들에 의한 것과 같이, 어떤 요망되는 방법으로 구현될 수 있다. 상기 장치는 섭동 벡터 버퍼(84)로부터 검색된 벡터값들로 형성된 섭동 벡터들을 선택하도록 동작하는 섭동 벡터 선택기(82)를 포함한다. 상기 선택기(82)에 의해 선택된 상기 섭동 벡터들은 상기 섭동 벡터를 선택된 방식들로 상기 안테나 가중 요소들(66 및 68)에 인가하는 섭동 벡터 애플리케이터(85)에 제공된다. 상기 섭동 벡터들은 상기 안테나 가중 요소들의 가중치들을 섭동하고 차례로 상기 안테나 트랜스듀서들(44)에 의해 변환된 신호들의 값들을 섭동한다. 상기 섭동 벡터들로 가중된, 상기 순방향-링크 채널들(16)을 통해 생성된 순방향-링크 신호들은 상기 이동국(14)으로 전달된다. 상기 안테나 트랜스듀서들(46)에 의해 검출된 신호들은 전기적인 형태로 변환되고, 상기 수신 회로(40)에 제공되며 그곳에서 동작된다.The base transceiver station further includes the
상기 이동국은 또한 본 발명의 실시예의 장치(78)를 포함한다. 상기 이동국에 배치된 상기 장치(78)는 상기 송수신 기지국에 의해 생성되고 상기 순방향-링크 채널들(16)을 통해 전달된 신호의 전력 레벨들의 섭동들의 표시들을 검출하고 측정하도록 동작하는 검출기(88)를 포함한다. 여기에서, 상기 신호들의 전력 레벨들의  표시들이 측정되고, 그것의 표시들은 상기 송수신 기지국으로의 전송을 위하여 상기 송신 회로로 제공된다. 일단 상기 송수신 기지국으로 반환되면, 상기 검출기에 의해 행해진 검출들의 표시들은 후속 안테나 가중치들을 조정하는데 사용되는데, 상기 가중치들에 의해 상기 가중 요소들(66 및 68)은 인가된 신호들을 가중한다.The mobile station also includes an
상기 장치(78)는 장기 피드백의 추적을 제공하는 결정적 섭동 기울기 근사를 제공하도록 동작한다. 본 발명의 실시예의 장치(78)에 의해 이용되는 상기 결정적 섭동 기울기 근사 기술은 확률적 섭동 기울기 근사들(SPGAs: Stochastic Perturbation Gradient Approximations)에 대해 형성된다. 최적 기술들은 때때로 기울기 하강으로서 지칭되는 절차를 이용한다.The
최적화 문헌에서 사용된 가장 중요한 방법들 중 하나는 기울기 하강으로 알려져 있다. 그것은 공간상에 정의된 비용 함수의 전역적 최소(또는 최대)에 대응하여, 벡터 공간에서 어떤 포인트에 적응적으로 수렴하는 것을 포함한다. 상기 적응의 각 반복에서, 상기 비용 함수의 기울기의 추정치가 형성되고, 최적 벡터의 추정치는 그것이 상기 기울기 벡터의 방향으로 이동하도록 변경된다. 상기 프로세스는 각 반복에서 상기 비용-함수 사발(bowl)의 바닥에 더 가까이 이동할 때, 2차원 벡터 공간을 포함하는 3차원으로 가시화될 수 있다.One of the most important methods used in the optimization literature is known as gradient descent. It involves adaptively converging to a point in vector space, corresponding to the global minimum (or maximum) of the cost function defined in space. In each iteration of the adaptation, an estimate of the slope of the cost function is formed, and the estimate of the optimal vector is changed so that it moves in the direction of the slope vector. The process can be visualized in three dimensions, including a two-dimensional vector space, as it moves closer to the bottom of the cost-function bowl at each iteration.
가장 널리 사용되는 기울기 탐색 기술은 통계적 기울기 탐색인데, 상기 통계적 기울기 탐색은 적응 유한 임펄스 응답(FIR: Finite Impulse Response) 필터링을 위한 최소 평균 자승(LMS: Least Mean Squares) 알고리즘에서 적용된다. 적응 시간 도메인 FIR 필터링의 특징들 중 하나는 대부분의 이러한 문제 체계화에 있어서, 입 력 통계 벡터 프로세스가 상기 필터와 동일한 차수인 필터에 대해 동작하고 있다는 것이서, 상기 비용 함수 기울기 벡터를 추정하는데 사용될 수 있다는 것이다.The most widely used gradient search technique is statistical gradient search, which is applied in the Least Mean Squares (LMS) algorithm for adaptive finite impulse response (FIR) filtering. One of the features of adaptive time domain FIR filtering is that for most of these problem organization, the input statistic vector process is operating on a filter of the same order as the filter, which can be used to estimate the cost function slope vector. will be.
신경망 학습과 같은, 어떤 다른 경우에, 상기 기울기 벡터에 도달하기 위한 다른 방법들을 사용하는 것이 필요하다. 이러한 하나의 방법은 동시적인 통계적 섭동 기울기 근사 기술이라고 불리우는데, 각 반복에서, 상기 비용 함수에 대한 통계적 섭동의 영향이 조사되고, 이러한 영향에 기초하여 상기 최적 벡터의 추정치가 상기 섭동 벡터의 방향쪽으로 또는 상기 섭동 벡터로부터 떨어져 이동된다.In some other cases, such as neural network learning, it is necessary to use other methods for reaching the slope vector. One such method is called a simultaneous statistical perturbation gradient approximation technique, where at each iteration, the impact of statistical perturbation on the cost function is investigated, and based on this influence, an estimate of the optimal vector is directed towards the perturbation vector. Or moved away from the perturbation vector.
상기에 언급된 통계적 섭동 기술은 폐루프 전송 다이버시티 및 MIMO에 대한 전송 서브스페이스 추적의 문제에 적용되었다. 상기 SPGA 기술이 가능해지기 위하여, 전용 파일럿들이 사용되는데, 상기 전용 파일럿들은 섭동된 가중치들을 운반하고, 상기 섭동된 가중치들에 기초하여 상기 비용 함수가 추정된다. 상기 전용 파일럿들은 또한 수신된 신호를 간섭적으로 복조하는데 사용되는데, 이것은 두 슬롯들에 대한 전용 파일럿의 평균이 간섭 복조에 필요한 가중된 복합 채널 추정치를 제공하기 때문이다. 하지만, 고속 패킷 액세스 무선 시스템에 대한 많은 제안들에 있어서, 전용 파일럿 채널들에 대한 규정이 전혀 존재하지 않는다. 따라서, 기존의 SPGA 기술은 사용자-특정 파일럿이 존재하지 않는 경우에 구현될 수 없다.The statistical perturbation techniques mentioned above have been applied to the problem of transmission subspace tracking for closed loop transmit diversity and MIMO. In order to enable the SPGA technique, dedicated pilots are used, where the dedicated pilots carry perturbed weights and the cost function is estimated based on the perturbed weights. The dedicated pilots are also used to coherently demodulate the received signal since the average of the dedicated pilots for the two slots provides a weighted composite channel estimate needed for interference demodulation. However, in many proposals for high speed packet access wireless systems, there is no provision for dedicated pilot channels at all. Thus, existing SPGA techniques cannot be implemented in the absence of a user-specific pilot.
기존의 SPGA 기술의 다른 단점은 상기 전용 파일럿들이 이하 공통 파일럿들이라고 지칭되는, 사용자-비-특정 안테나 파일럿들과 비교할 때, 아주 낮은, 트래픽 신호와 동일한 전력을 가지고 보통 전송된다는 것이다. 이러한 사실은 채널 추정의 저하를 초래하는데 따라서 그 자체로 링크의 성능 저하를 초래한다.Another disadvantage of the existing SPGA technology is that the dedicated pilots are usually transmitted with the same power as the traffic signal, which is very low when compared to user-non-specific antenna pilots, hereinafter referred to as common pilots. This fact leads to a deterioration of the channel estimation and thus to the performance of the link itself.
상기 채널 추정의 신뢰성을 증가시키기 위한 가능한 방법은 상기 송신기에서 인가된 가중치들의 추정치와 함께 상기 공통 파일럿들로부터의 채널 추정치들의 조합을 사용하는 것이다. 상기 가중치들은 송신기에서 인가된 동일한 세트의 랜덤 섭동 벡터들이 상기 이동 수신기에서 복제될 수 있는 경우, 사실상 상기 이동국에 알려져 있을 수 있다. 이것은 동기된 방식으로 상기 기지국 및 상기 이동국 양자에서 복잡한 난수 생성기를 동작시키는 것을 포함한다. 상기 복잡성 및 동기 문제들은 이것을 바람직하지 않은 대안으로 만든다.A possible way to increase the reliability of the channel estimate is to use a combination of channel estimates from the common pilots with an estimate of the weights applied at the transmitter. The weights may in fact be known to the mobile station if the same set of random perturbation vectors applied at the transmitter can be replicated at the mobile receiver. This involves operating a complex random number generator at both the base station and the mobile station in a synchronized manner. The complexity and synchronization issues make this an undesirable alternative.
본 발명의 실시예의 상기 결정적 섭동 기울기 근사 기술의 사용은 상기에 언급된 문제들 양자를 다룬다. 첫째로, 결정적 섭동이 제안되는데, 이것은 두개의 동기된 랜덤 벡터 생성기들을 동작시키는 것을 불필요하게 한다. 둘째로, 상기 트래픽 신호 자체로부터 상기 비용 함수를 추출하는 방법이 제안되는데, 이것은 사용자-특정 파일럿을 불필요하게 한다.The use of the deterministic perturbation gradient approximation technique of an embodiment of the present invention addresses both of the problems mentioned above. First, deterministic perturbation is proposed, which makes it unnecessary to operate two synchronized random vector generators. Secondly, a method of extracting the cost function from the traffic signal itself is proposed, which makes the user-specific pilot unnecessary.
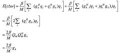
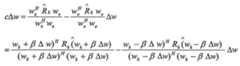
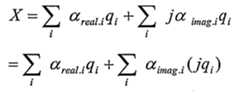
상기 알고리즘의 목적은 전송을 위해 상기 최적 안테나 가중치들(w)을 추정하는 것이다. hplk를 각 송신 안테나로부터 각 수신 안테나로의 L 경로들을 가지고, M-안테나 송신기로부터 N개의 안테나들을 지닌 수신기의 p번째 안테나까지, 시간 k에서 페이딩 채널 계수들을 나타내는 M-길이 벡터라고 하고, Hpk=[hplk ... hplk]MxL 라 하자. 수신된 신호 전력은,에 의해 제공되는데, 상기에서는 채널 공분산 매트릭스이다.The purpose of the algorithm is to estimate the optimal antenna weights w for transmission. hplk is called the M-length vector representing the fading channel coefficients at time k, with L paths from each transmit antenna to each receive antenna, from the M-antenna transmitter to the pth antenna of the receiver with N antennas, Hpk = [hplk ... hplk ] LetMxL . The received signal power is Which is provided by Is the channel covariance matrix.
수신된 신호 전력을 최대화하기 위하여 최적 가중치들은 수학식 1에 의해 제 공된다.The optimal weights are given by
상기 최적화에 대한 해법은 수학식 2에 의해 제공된다.The solution to the optimization is provided by equation (2).
수학식 2에서, u0는 Rk의 기본 고유벡터 또는 교대로 기본 성분으로 지칭된다. 상기 공분산 매트릭스의 시간-평균된 추정치가 상기 최적화에 사용되는 경우, 상기 가중치들은 상기 채널의 장기 공분산을 따른다. 최대화될 상기 비용 함수는 수학식 1로부터 다음 수학식 3과 같이 제공된다.In Equation 2, u0 is referred to as the basic eigenvector of Rk or alternatively the basic component. Time-averaged estimate of the covariance matrix Is used for the optimization, the weights follow the long term covariance of the channel. The cost function to be maximized is given from equation (1) to equation (3).
그리고 상기 벡터 wk에 관한 상기 비용 함수의 기울기는 수학식 4와 같이 테일러 급수 확장의 제1차 근사에 의해 제공된다는 것을 알 수 있다.And it can be seen that the slope of the cost function with respect to the vector wk is provided by the first-order approximation of Taylor series expansion, as shown in equation (4).
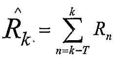
상기 가중 벡터 자체의 적응은 수학식 5의 반복에 의해 제공된다.The adaptation of the weight vector itself is provided by the iteration of equation (5).
수학식 4로부터, 상기 기울기의 추정치는 상기 수신기에서 형성될 수 있다는 것이 명백하다. 많은 경우에, 상기 적응은 상기 수신기에서 일어나야 한다. 하지만, 여기에서 상기 적응은 송신기에서 일어나야 한다. 역방향 링크를 통해 전체 Mx1 기울기 벡터를 피드백시키는 것은 실용적이지 않다.From Equation 4 it is clear that the estimate of the slope can be made at the receiver. In many cases, the adaptation must occur at the receiver. However, here the adaptation must take place at the transmitter. Feedback of the entire Mx1 slope vector over the reverse link is not practical.
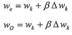
상기 섭동 알고리즘은 최소한의 피드백으로 상기 송신기에 상기 비용 함수의 기울기에 대한 근사를 제공하는 방법이다. 두 연속적인 시간 간격들에 대해, 현재의 가중 벡터는 수학식 6과 같이 섭동된다.The perturbation algorithm is a method of providing an approximation to the slope of the cost function to the transmitter with minimal feedback. For two consecutive time intervals, the current weight vector is perturbed as in Eq.
상기 섭동의 영향은 수신기에서 수학식 7과 같이 조사된다.The effect of the perturbation is investigated in
c는 실(real) 스칼라 양임을 주목하라. 또한 상기 공분산 매트릭스는 상기 섭동들이 수행된 기간에 걸쳐 일정한 것으로 가정됨을 주목하라. 통계적 섭동 기술에서, 상기 섭동이 랜덤하게 생성된 복소 벡터들을 포함하는 경우, 상기 양은 진정한 기울기 벡터 gk에 비례하는 벡터라는 것이 알려져 있는데, 상기에서는 기대값 연산자이다. 더욱이, c 대신에 양 sgn(c)만을 갖는 것으로 충분하다. 이것은 sgn(c)가 1-비트 양자화를 가지고, c의 고도로 양자화된 형태로 보여질 수 있기 때문이다. 따라서,가 되는데, 상기에서는 보통 c의 통계치와 비상관되는 것으로 가정되는, 양자화 잡음이다.Note that c is a real scalar quantity. Note also that the covariance matrix is assumed to be constant over the time period during which the perturbations were performed. In a statistical perturbation technique, if the perturbation includes randomly generated complex vectors, the amount Is known to be a vector proportional to the true gradient vector gk , where Is the expectation operator. Moreover, it is sufficient to have only sgn (c) instead of c. This is because sgn (c) has 1-bit quantization and can be seen in the highly quantized form of c. therefore, Where Is quantization noise, which is usually assumed to be uncorrelated with the statistics of c.
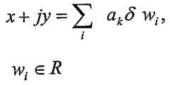
주된 아이디어는 상기 섭동에 대해 한 세트 또는 소정의 벡터들을 사용하고, 그들을 순환시키는 것이다. 우리의 목적을 위한 완전한 섭동 세트로부터 벡터들의 상태에 대한 테스트는 통계적 섭동의 경우에서와 같이, 수학식 8의 조건이 만족되는지에 대한 것이다.The main idea is to use a set or predetermined vectors for the perturbation and circulate them. The test for the state of the vectors from the complete perturbation set for our purposes is whether the condition of Equation 8 is satisfied, as in the case of statistical perturbation.
첫째로, 어떤 세트의 섭동 벡터들이 어떤 임의의 M-차원 복소 벡터가 수학식 9와 같이 표현될 수 있도록 되어 있어야 한다는 것은 직관적으로 명백하다.First, some set of perturbation vectors It is intuitively obvious that any arbitrary M-dimensional complex vector should be such that it can be expressed as
상기 조건은 상기 가중치들의 반복 해법이 실(real) 스케일 인자들과 상기 섭동 벡터들의 선형적인 합이라는 사실때문에 필요하고, 상기 합이 상기 벡터 공간에서의 어떤 포인트를 나타낼 수 있는 것은 필수적이다.The condition is necessary because of the fact that the iterative solution of the weights is a linear sum of real scale factors and the perturbation vectors, and it is essential that the sum can represent any point in the vector space.
를 직교 세트의 M-길이 벡터들이라고 하자. 그러면, 상기 세트 수학식 10은 완전한 섭동 세트를 형성한다는 것이 증명될 수 있다. Let be the M-length vectors of the orthogonal set. Then, the
어떤 임의의 복소 벡터 X는 QM으로부터의 벡터들의 선형적인 합으로서 표현될 수 있다는 것은 알려져 있다. 즉 수학식 11이 되도록 하는이 존재한다.It is known that any arbitrary complex vector X can be represented as a linear sum of the vectors from QM. (11) To be This exists.
하지만 상기한 선형 합은 수학식 12와 같이 재작성될 수 있다.However, the linear sum may be rewritten as in
따라서 상기 복소 공간내의 어떤 임의의 벡터는 실수 계수들을 사용하여내의 벡터들의 선형적인 합으로서 표현될 수 있다.Thus any arbitrary vector in the complex space may use real coefficients It can be expressed as a linear sum of the vectors in.
다음 우리는이 수학식 8의 조건을 만족한다고 설정해야 한다.Then we It should be set to satisfy the condition of this expression (8).
분모들이와 같이 동등시된다고 가정하면, 우리는 수학식 14를 갖는다.Denominator Suppose we are equalized, we have (14).
수학식 4로부터의 기울기의 근사를 사용하여, 상기한 것은 수학식 15와 같이 재작성될 수 있다.Using the approximation of the slope from Equation 4, the above can be rewritten as Equation 15.
상기 벡터 Δw는 동일한 확률을 갖는의 어떤 컬럼과 동일한 값들에 대해 취한다. 따라서, 수학식 16이 된다.The vector Δw has the same probability Having Takes the same values as any column in. Therefore, the expression (16) is obtained.
정의에 의해서 우리는를 가진다.By definition we Has
따라서, 어떤 직교 세트의 벡터들도 전송 서브스페이스 추적을 위한 섭동 세트를 형성하는데 사용될 수 있다. 직교 세트들의 몇몇 예들은 이산 푸리에 변환(DFT: Discrete Fourier Transform) 벡터들 또는 이산 코사인 변환(DCT: Discrete Cosine Transform) 벡터들의 세트이다.Thus, any orthogonal set of vectors can be used to form a perturbation set for transmission subspace tracking. Some examples of orthogonal sets are a set of Discrete Fourier Transform (DFT) vectors or Discrete Cosine Transform (DCT) vectors.
상기 DPGA 방법의 수렴은 상기 통계적 섭동 접근법의 것과 유사한 것으로 보여질 수 있다. 상기 섭동의 무작위성은 수렴에 대한 필수적인 조건으로서 제시되었다. 고려 사항들 중 하나는 결정적 섭동이 바이어스된 추정을 초래할 것이라는 것 같다. 다른 것은 랜덤 섭동만이 전역적인 최소에 대한 보장된 수렴을 초래할 것이라는 것이다. 이러한 관점으로부터, 상기 반복적인 알고리즘은 상기 비용 함수 표면이 국부적인 최소에서, 상기 섭동 벡터들 각각에 관한 모든 방향들에서 평평하다는 조건에서만 국부적인 최소에 빠질 것이다. 이러한 발생의 확률은 특히 시변 페이딩 채널 환경에서 아마도 작다.The convergence of the DPGA method can be seen to be similar to that of the statistical perturbation approach. The randomness of the perturbation has been presented as an essential condition for convergence. One of the considerations seems to be that deterministic perturbation will result in biased estimation. The other is that only random perturbation will result in a guaranteed convergence to the global minimum. From this point of view, the iterative algorithm will fall into local minimum only if the cost function surface is flat in local minimum, in all directions with respect to each of the perturbation vectors. The probability of this occurrence is probably small, especially in a time varying fading channel environment.
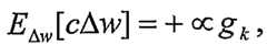
수학식 7로부터의 양 g1은 이동 수신기에서 획득되어야 한다. 하나의 방법은  상기 섭동된 가중치들로 가중된 파일럿 신호를 전송하는 것이다. 상기 파일럿은 사용자에 특정적일 것이어서, 사용자에 할당된 부가적인 전력을 필요로 한다. 전용 파일럿이 연속하여 및로 가중되는 반면에, 트래픽 신호 자체가 이전의 반복에서 적응에 의해 획득된 가중 벡터 wk로 가중될 것이라는 것을 주목하라.The amount g1 from
예시적인 구현에서 사용되는 대안적인 접근은, 상기 비용 함수를 획득하기 위하여 상기 트래픽 채널 자체를 사용하는 것이다. 각 순간에, 상기 트래픽 신호가 상기 섭동된 가중치들을 사용하여 가중된다고 가정하자. 상기 섭동된 가중치가 사용되는 경우, 전송된 심볼이 s인 경우, 역확산 이후, 안테나 p에서 상기 수신된 트래픽 신호를 고려하자: 시간 아래 첨자들을 무시하면,An alternative approach used in the example implementation is to use the traffic channel itself to obtain the cost function. Suppose that at each moment, the traffic signal is weighted using the perturbed weights. The perturbed weights Is used, if the transmitted symbol is s, after despreading, consider the received traffic signal at antenna p: ignoring the subscripts in time,
상기 양의 추정치는 단순히로서 알려질 수 있다. 전송된 심볼의 에너지에 대한 항은 QPSK, 8PSK와 같은 일정한 모듈러스 방식들을 사용하는 경우 소비될 수 있어지지만, 16-QAM과 같은 다중 레벨 방식들이 고려되어야 한다. 유사하게, 상기 섭동된 벡터는 다음 시간 간격에서 상기 트래픽 채널상에서 사용되고, 상기 양이 추정된다. 따라서, 상기 양 sgn(c)은 수학식 7로부터 추정될 수 있다. 상술된 바와 같이 상기 적응을 도와주기 위해  상기 트래 픽 채널 자체의 사용의 유일한 단점은 인가된 실제 가중치들이 상기 적응에 의해 지시된 값들로부터 항상 섭동된다는 것이다. 즉, 상기 적응 알고리즘에 의해 규정된 바와 같은 상기 가중치들은 wk이지만, 사용된 실제 가중치들은 we 또는 wo이다. 하지만 β는 작은 양이기 때문에, 상기 알고리즘의 성능에 대한 상기 섭동의 영향은 대수롭지 않다.Amount above Estimate of simply It can be known as. The term for the energy of the transmitted symbol may be consumed when using certain modulus schemes such as QPSK, 8PSK, but multi-level schemes such as 16-QAM should be considered. Similarly, the perturbed vector Is used on the traffic channel in the next time interval, and the amount This is estimated. Therefore, the amount sgn (c) can be estimated from
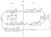
도 2는 상기 장치(78)를 도시한 것으로, 상기 이동국으로 순방향 링크를 통해 통신들을 최적화하기 위하여 상기 가중 요소의 안테나 가중치들을 최적화하는 예시적인 동작을 도시한 것이다.FIG. 2 illustrates the
라인 92의 (도시된 바와 같이) 좌측에 도시된 도면내의 요소들은 상기 송수신 기지국에서 수행된 동작들을 나타낸다. 그리고, 라인 92의 (도시된 바와 같이) 우측에 도시된 기능들은 상기 이동국(14)에서 수행된다. 초기에, 가중치 벡터에 의해 표현된, 상기 안테나 가중치들의 가중치 값들은 0 값으로 초기화되거나 상기 송수신 기지국 뿐만 아니라 상기 이동국에 알려진 작은 복소 벡터 양으로 초기화된다. 그다음 기능(94)으로 표시된 바와 같이, 섭동 벡터가 타임-슬롯 k에서 소정 세트의 벡터들로부터 미리 결정된 순서로 선택된다.Elements in the diagram shown on the left (as shown) of
상기 타임 슬롯 k의 첫번째 절반동안, 상기 송신 가중치들은 we를 생성하기 위하여 포지티브 방향으로 섭동되고, 순방향-링크, 트래픽-채널은 상기 안테나 트랜스듀서들(44)에 의해 변환되기 전에 상기 섭동된 가중치들을 통해 가중된다. 이러한 동작들은 기능(96)에 의해 표현된다.During the first half of the time slot k, the transmission weights are perturbed in the positive direction to generate we , and the forward-link, traffic-channel is perturbed prior to being converted by the
그리고, 상기 타임 슬롯 k의 두번째 절반동안, 상기 전송 가중치들은 wo를 생성하기 위하여 네거티브 방향으로 섭동되고 순방향-링크 트래픽-채널 신호들은 상기 안테나 트랜스듀서들(44)에 의해 변환되기 전에 상기 섭동된 가중치들을 통해 가중된다. 이러한 동작들은 기능(98)에 의해 표현된다. 그리고 상기 값들은 블록(102)에 의해 표시된 연산자 D-1에 의해 표시된 바와 같이, 지연된다.And, during the second half of the time slot k, the transmission weights are perturbed in the negative direction to generate wo and forward-link traffic-channel signals are perturbed before being converted by the
상기 이동국에서, 상기 장치(78)는 상기 타임 슬롯 k의 양쪽 절반들 동안 수신 신호의 전력 레벨들을 측정하도록 동작한다. 기능(104)에 의해 표시된 바와 같이, 상기 타임 슬롯의 첫번째 절반동안, 수신된 전력(Pe)은 변조된 전송 심볼들의 크기들에 대한 보정 이후에 획득된다. 그리고, 이러한 값은 기능(106)에 의해 표시된 연산자 D-1에 의해 연산된다. 상기 타임 슬롯 k의 두번째 절반동안, 수신 전력(Po)이 기능(108)에 의해 표시된 바와 같이 획득된다. 그다음, 그들간의 차이가 결정되고 그것의 단일 비트 표현이 기능(112)에 의해 표시된 바와 같이 결정되며, 상기 송수신 기지국으로의 피드백으로서 반환된다.At the mobile station, the
일단 상기 피드백이 상기 송수신 기지국에서 검출되면, 상기 안테나 가중치들은 후속 타임 슬롯 k+1 동안, 기능(114)에 의해 표시된 바와 같이, 갱신된다.Once the feedback is detected at the transmit / receive base station, the antenna weights are updated, as indicated by
연속적인 반복들이 연속적인 타임 슬롯들 동안 수행된다. 그리고, 유사한 동작들이 상기 송수신 기지국에 의해 반환된 피드백을 가지고 상기 이동국에서 수행될 수 있다.Successive iterations are performed during successive time slots. Similar operations can then be performed at the mobile station with feedback returned by the base transceiver station.
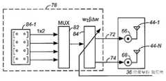
도 3은 상기 장치(78)를 도시한 것으로, 상기 이동국으로 순방향 링크를 통한 통신들을 최적화하기 위하여 송신국의 가중 요소들에 인가된 가중값들의 선택을 용이하게 하기 위한 본 발명의 다른 실시예의 예시적인 동작을 도시한 것이다.Figure 3 illustrates the
상기 구현에서, 도 2에 도시된 실시예의 동작과 관련된, 기능들(102 및 106)로 표현된 지연들은 여기에서 상기 섭동들이 상기 이동국에서 수행되기 때문에 제거된다.In this implementation, the delays represented by the
다시, 라인(92)의 (도시된 바와 같이) 좌측에 도시된 도면내의 요소들은 상기 송수신 기지국에서 수행된 동작들을 나타낸다. 그리고, 다시 라인(92)의 (도시된 바와 같이) 우측에 도시된 기능들은 상기 이동국(14)에서 수행된다.Again, the elements in the diagram shown on the left (as shown) of
기능(116)은 이동국(14)과 같은 이동국들로의 통신을 위하여 상기 송수신 기지국에 의한 파일럿 신호들의 생성을 나타낸 것이다. 그리고, 상기 이동국에서의 기능(118)은 여기에서 설명된 바와 같이, 벡터들(R)의 값들의 형성을 나타낸다. 상기 기능(R)에 의해 생성된 값들의 표시들은 기능들 Pe 및 Po(122 및 124)에 제공된다.
기능들(122 및 124)은 또한 여기에서 상기 이동국에 배치된 기능(94)에 연결된다. 상기 기능(94)은 상기 송수신 기지국에서 유지되는 대응하는 기능(94)과 동기되어 유지된다. 상기 기능(94)은 타임-슬롯 k에서 소정 세트의 벡터들로부터 미리 결정된 순서로 선택된, 섭동 벡터의 선택을 나타낸다.
기능들(122 및 124)은 각각 상기 기능들(122 및 124)에서 결정된 값들간의  차이들의 단일 비트 표현을 결정하도록 동작하는 차이 기능(112)에 제공된다. 상기 차이는 상기 송수신 기지국으로 반환되고 블록(126)에 의해 표시된, 가중치 값들을 조정하는데 사용되며, 상기 가중치 값들에 의해 상기 안테나 가중치들의 가중치 값들이 가중된다.
도 4는 본 발명의 일 실시예의 동작의 방법을 나타내는 일반적으로 134로 도시된 방법을 도시한 것이다. 상기 방법은 폐루프 전송 다이버시티를 이용하는 무선 통신 시스템에서 생성된 신호들을 가중하기 위한 안테나 가중치들의 선택의 최적화를 용이하게 한다.Figure 4 illustrates the method, generally shown at 134, illustrating a method of operation of one embodiment of the present invention. The method facilitates the optimization of the selection of antenna weights for weighting signals generated in a wireless communication system using closed loop transmit diversity.
우선, 블록(136)으로 표시된 바와 같이, 섭동값들로 형성된 적어도 제1의 선택된 섭동 선택기가 선택된다. 그다음 블록(138)으로 표시된 바와 같이, 상기 적어도 제1의 선택된 섭동 벡터가 송신국의 안테나 가중 요소들에 인가된다. 그다음, 블록(142)으로 표시된 바와 같이, 상기 제1 및 적어도 제2 안테나 가중치들에 의해 일단 가중된, 상기 통신 신호가 제2 통신국으로 송신된다.First, as indicated by
그것에 의해, 본 발명의 실시예의 동작을 통해, 상기 안테나 가중 요소들이 송신 신호들을 가중하는 안테나 가중치들을 선택하기 위하여 단일-비트 피드백 값을 이용하는 방법이 제공된다. 장기 공분산 매트릭스가 단지 단기 페이딩 프로세스를 추적하는 대신에 이용되기 때문에 개선된 정확도가 제공된다. 그리고, 상기 안테나 가중치들의 선택을 실시하는데 필요한 피드백의 양은 송신국에 의해 이용된 송신 안테나들의 수에 상관없다.Thereby, through the operation of an embodiment of the present invention, a method is provided wherein the antenna weighting elements use a single-bit feedback value to select antenna weights that weight transmission signals. Improved accuracy is provided because the long term covariance matrix is used instead of just tracking the short term fading process. And, the amount of feedback required to carry out the selection of the antenna weights is independent of the number of transmit antennas used by the transmitting station.
본 발명의 실시예에서, 결정적 섭동 기울기 근사 기술이 또한 소프트 통화 채널 전환 프로세스에 수반된 기지국들과 함께 사용된다. 소프트 통화 채널 전환 프로세스는 예를 들어 다른 통신 표준들 뿐만 아니라, 상기에 언급한 3G-CDMA 통신 표준에 따라 동작가능한 셀룰러 통신 시스템에서 사용된다. 상기 소프트 통화 채널 전환 프로세스동안, 이동국은 다수, 즉 둘 이상의 기지국들에 의해 전송된 데이터를 트래픽 채널을 통해 동시에 수신한다. 활성 세트가 상기 이동국에 의해 유지되거나 그렇지 않으면 상기 이동국과 연관된다. 상기 활성 세트는 이웃하는 기지국들을 열거하는데 상기 이웃하는 기지국들로부터의 신호 세기와 같은 신호들의 신호 레벨들은 선택된 임계값보다 더 양호하다.In an embodiment of the invention, a deterministic perturbation slope approximation technique is also used with the base stations involved in the soft talk channel switching process. The soft call channel switching process is used, for example, in cellular communication systems operable in accordance with the above-mentioned 3G-CDMA communication standard as well as other communication standards. During the soft call channel switching process, the mobile station receives multiple, ie, data transmitted by two or more base stations simultaneously over the traffic channel. An active set is maintained by or otherwise associated with the mobile station. The active set lists neighboring base stations where the signal levels of the signals, such as the signal strength from the neighboring base stations, are better than the selected threshold.
이러한 셀룰러 통신 시스템의 동작중, 기지국들은 파일럿 신호들을 전송한다. 선택된 이웃하는 기지국들에 의해 전송된 상기 파일럿 신호들의 신호 세기들은 상기 이동국에 의해 측정된다. 기지국에 의해 전송된 파일럿 신호의 신호 세기가 선택된 임계값보다 더 크다고 상기 이동국에 의해 결정되는 경우, 상기 이동국은 네트워크에 이러한 결정의 표시를 보고한다. 상기 파일럿 신호를 전송한 기지국은 상기 이동국과 연관된 상기 활성 세트의 일부가 된다. 상기 이동국으로 전달될 트래픽 데이터는 상기 이동국과 연관된 활성 세트의 기지국들 모두에 의해 전달된다. 유사한 방식으로, 기지국들은 생성된 파일럿 신호들이 선택된 임계값 아래로 떨어지는 경우 상기 활성 세트로부터 선택가능하게 제거된다. 그것에 의해, 이동국이 셀룰러 통신 시스템의 셀들간에 이동하는 경우, 트래픽 데이터는 상기 기지국들 중 연속적인 기지국들이 상기 이동국과 연관된 활성 세트를 형성할 때 상기 이동국을 가지고 계속 전달될 수 있다. 둘 이상의 기지국들이 상기 활성 세트의 부분인 경 우, 소프트 통화 채널 전환 프로세스가 일어난다고 한다.During operation of this cellular communication system, base stations transmit pilot signals. Signal strengths of the pilot signals transmitted by selected neighboring base stations are measured by the mobile station. If it is determined by the mobile station that the signal strength of the pilot signal transmitted by the base station is greater than the selected threshold, the mobile station reports an indication of this determination to the network. The base station that transmitted the pilot signal becomes part of the active set associated with the mobile station. Traffic data to be delivered to the mobile station is delivered by all of the base stations in the active set associated with the mobile station. In a similar manner, base stations are selectively removed from the active set when generated pilot signals fall below a selected threshold. Thereby, when a mobile station moves between cells of a cellular communication system, traffic data may continue to be delivered with the mobile station when successive base stations of the base stations form an active set associated with the mobile station. If two or more base stations are part of the active set, then a soft call channel switching process is said to occur.
상기 결정적 섭동 기울기 근사 기술의 사용은 통화 채널 전환 프로세스에 수반된 하나 이상의 기지국들이 안테나 가중치를 이용하는 경우 안테나 가중치 선택 정확도를 용이하게 한다. 상기 통화 채널 전환 프로세스 이전 또는 이후에, 상기 결정적 섭동 기울기 근사 기술은 도 1 내지 도 4에 도시된 실시예들에 관해, 이전에 설명된 바와 같이 수행된다. 그리고, 상기 통화 채널 전환 프로세스동안, 상기 결정적 섭동 기울기 근사 기술이 또한 사용되는데, 여기에서 상기 안테나 가중치 섭동들은 상기 기지국들 중 각 기지국의 안테나 가중 요소들에 인가된다.The use of the deterministic perturbation slope approximation technique facilitates antenna weight selection accuracy when one or more base stations involved in the call channel switching process use antenna weights. Before or after the call channel switching process, the deterministic perturbation gradient approximation technique is performed as previously described, with respect to the embodiments shown in FIGS. And, during the call channel switching process, the deterministic perturbation gradient approximation technique is also used, wherein the antenna weight perturbations are applied to the antenna weighting elements of each of the base stations.
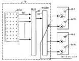
도 5는 도 1에 도시된 통신 시스템과 유사한 무선 통신 시스템을 도시한 것으로 여기에서 일반적으로 다시 10으로 도시된다. 상기 통신 시스템은 이동국(14)이 순방향 및 역방향 링크 채널들을 통해 통신하는 네트워크 부분을 다시 포함한다. 본 실시예의 네트워크 부분은 여기에서 12-1 및 12-2로 표시된, 두개의 기지국들(12)을 포함하는 것으로 도시된다. 상기 기지국들은 도 1에 관해 설명된 기지국(12)을 형성하기 위하여 이전에 도 1에 도시된 기능 요소들과 실질적으로 동일한 기능 요소들로 형성된다. 상기 기지국들(12-1 및 12-2)의 요소들에 대응하는 도 1에 도시된 요소들이 공통적으로 참조된다. 그리고, 이러한 공통적으로 참조된 요소들의 동작에 관한 설명은 이전의 도 1의 설명에 관해 발견될 수 있다. 상기 기지국들(12-1 및 12-2)은 통화 채널 전환 프로세스동안 상기 활성 세트의 부분을 형성하는 기지국들을 나타낸다. 부가적인 기지국들(12)은 또한 상기 활성 세트를 형성할 수 있고, 도 5는 이러한 부가적인 기지국들을 유사하게 도시할 수 있다.FIG. 5 illustrates a wireless communication system similar to the communication system shown in FIG. 1, which is generally shown again at 10. The communication system again includes a portion of the network with which the
여기에서, 상기 장치(78)는 상기 기지국들(12-1 및 12-2)간에 공유된다. 상기 장치(78)는 기능적으로 표현되기 때문에, 상기 장치는 상기 기지국들 중 하나에 배치되거나, 상기 기지국들로부터 분리되어 배치되거나, 그들간에 분포되는, 상기 기지국들(12-1 및 12-2)에 의해 공유되는 요소들을 가지고 다시 어떤 요망되는 방식으로 구현가능하다.Here, the
상기 통화 채널 전환 프로세스동안, 데이터가 상기 기지국들(12-1 및 12-2) 양자에 의해 상기 이동국으로 전송되는 경우, 상기 섭동 선택기는 상기 기지국들 양자의 안테나 요소들의 안테나 가중치들을 섭동하기 위하여 라인들(72 및 74)상에 값들을 생성한다. 즉, 상기 통화 채널 전환 프로세스동안, 상기 섭동 벡터값들이 부가적인 수의 안테나 가중 요소들에 인가된다. 상기 결정적 섭동 기울기 알고리즘의 변경은 사용되는 섭동 벡터들의 길이들을 증가시킴으로써 행해지고, 상기 섭동 벡터들이 결정적으로 선택된 벡터 세트의 크기가 또한 증가된다. 상기 섭동 벡터들이 버퍼링되는 버퍼(84)는 여기에서 제1 세트(84-1) 및 제2 세트(84-2)를 포함하는 것으로 도시된다. 상기 제1 세트는 제1 크기를 가지며 제1 길이들의 벡터들을 가진다. 그리고, 상기 제2 세트는 제2 크기를 가지며 제2 길이들의 벡터들을 가진다. 상기 통화 채널 전환 프로세스동안, 상기 벡터들은 상기 제2 세트로부터 선택되고, 그것의 값들은 상기 기지국들 양자의 안테나 가중 요소들에 인가된다.During the call channel switching process, if data is transmitted to the mobile station by both the base stations 12-1 and 12-2, the perturbation selector is in line to perturb antenna weights of the antenna elements of both base stations. Generate values on
도 6은 비-통화 채널 전환 상태에서 통신 시스템의 동작 중, 상기 기지국(12-1)의 부분들을 도시한 것이다. 다시, 상기 장치(78)는 안테나 가중 요소들(66 및 68)에 인가되는 값들을 라인들(72 및 74)상에 생성한다. 여기에서, 상기 섭동 벡터들은 상기 제1 세트(84-1)로부터 선택된다.6 shows portions of the base station 12-1 during operation of the communication system in a non-call channel switching state. Again, the
도 7은 통화 채널 전환 상태동안 통신 시스템의 동작 중 상기 기지국(12-1 및 12-2)의 부분들을 도시한 것이다. 여기에서, 상기 장치(78)는 상기 개별 기지국들(12-1 및 12-2)의 안테나 가중 요소들까지 확장되는 라인들(72 및 74)상에 값들을 생성한다. 그리고, 여기에서, 상기 섭동 벡터들은 상기 제2 세트(84-2)로부터 선택된다.7 shows portions of the base stations 12-1 and 12-2 during operation of a communication system during a call channel switching state. Here, the
더 일반적으로, 소프트 통화 채널 전환 상태에 있는 경우, 각각 M 안테나들을 지닌, P 기지국들은 이동 노드로 데이터를 전송한다. M의 값은 상기 P 기지국들 각각에 대해 다를 수 있다. 하지만, 설명의 편의를 위하여, 여기에서 각 기지국은 동일한 수의 안테나들을 가지는 것으로 고려될 것이다. 그러면 전송에 사용되는 안테나들의 총수는 PM이다. 상기 결정적 섭동 기울기 알고리즘이 이용되는 경우, 사용되는 상기 섭동 벡터의 길이가 증가되기 때문에 피드백 율은 영향을 받지 않은 채 유지된다. 즉, 상기 벡터 세트(84-2)는 각각 길이가 PM인, 2PM 벡터들, WPM,q를 포함하는데, 상기에서 q=0,...,2PM-1이다. 상기 섭동 벡터들은 상기 세트 중에서 순환되고, 상기 피드백은 비-통화 채널 전환 상태동안 사용된 것과 동일하게 유지된다.More generally, when in soft talk channel switching, P base stations, each with M antennas, transmit data to the mobile node. The value of M may be different for each of the P base stations. However, for convenience of description, it will be considered here that each base station has the same number of antennas. The total number of antennas used for transmission is then PM. When the deterministic perturbation gradient algorithm is used, the feedback rate remains unaffected because the length of the perturbation vector used is increased. That is, the vector set 84-2 includes 2PM vectors, WPM, q , each of lengthPM, where q = 0, ..., 2 PM-1. The perturbation vectors are circulated among the set, and the feedback remains the same as used during the non-call channel switching state.
상기 소프트 통화 채널 전환 프로세스가 시작되는 경우, 상기 이동국의 활성 세트는 부가적인 기지국을 포함하도록 증가되고, 상기 섭동 벡터 세트의 리셋 및 확장이 시작된다. 상기 섭동 알고리즘은 새로운, 더 긴-가중치 벡터를 가지고 계속 된다. 일 구현에서, 상기 섭동은 상기 확장된 세트의 제1 벡터부터 시작된다. 그리고, 상기 확장된 가중치 벡터의 제1 (P-1)M 요소들은 이미 적응되었고 비-통화 채널 전환 상태중 동작들에 따라, 어떤 값으로 수렴되었다. 상기 소프트 통화 채널 전환 프로세스가 시작되는 경우, 상기 요소들은 새로운 최적값으로 다시 수렴되도록 적응을 시작하고, 부가적인 요소들은 적응을 시작한다.When the soft talk channel switching process begins, the active set of the mobile station is increased to include additional base stations, and the reset and extension of the perturbation vector set begins. The perturbation algorithm continues with the new, longer-weighted vector. In one implementation, the perturbation starts with the first vector of the extended set. And, the first (P-1) M elements of the extended weight vector have already been adapted and converged to some value, according to the operations during the non-call channel switching state. When the soft call channel switching process begins, the elements begin adaptation to converge again to a new optimal value, and additional elements begin adaptation.
예시적인 구현에 있어서, 상기 가중치들이 상기 안테나 가중 요소들에 인가되는 순서는 모호하다. 상기 정보는 예를 들어 각 기지국내의 안테나들의 수에 관한 지식과 함께, 상기 활성 세트 버퍼내의 상기 기지국들(12)의 순서로부터 획득된다. 이러한 정보는 상기 이동국 뿐만 아니라 상기 기지국들 모두에 이용가능하다.In an exemplary implementation, the order in which the weights are applied to the antenna weighting elements is ambiguous. The information is obtained from the order of the
그것에 의해 여기에서 도 5 내지 도 7에 관해 설명된 바와 같이, 소프트 통화 채널 전환에서 폐루프 전송 다이버시티와 관련된 기술이 설명된다. 결정적 섭동 알고리즘의 사용은 이러한 상태동안 통신들을 용이하게 하기 위하여 소프트 통화 채널 전환 상태까지 확장된다.Thereby a technique related to closed loop transmit diversity in soft talk channel switching is described, as described herein with respect to FIGS. The use of deterministic perturbation algorithms extends to soft talk channel switching to facilitate communications during this state.
이전의 설명들은 본 발명을 구현하기 위한 바람직한 예들에 관한 것이고, 본 발명의 범위는 상기 설명에 의해 제한되지 않아야 한다. 본 발명의 범위는 다음 청구항들에 의해 정의된다.The foregoing descriptions relate to preferred examples for implementing the present invention, and the scope of the present invention should not be limited by the above description. The scope of the invention is defined by the following claims.
| Application Number | Priority Date | Filing Date | Title | 
|---|---|---|---|
| US10/146,159US6745009B2 (en) | 2002-05-15 | 2002-05-15 | Apparatus, and associated method, for facilitating antenna weight selection utilizing deterministic perturbation gradient approximation | 
| US10/146,159 | 2002-05-15 | ||
| US10/334,045US6842632B2 (en) | 2002-12-30 | 2002-12-30 | Apparatus, and associated method, for facilitating antenna weight selection utilizing deterministic perturbation gradient approximation | 
| US10/334,045 | 2002-12-30 | ||
| PCT/US2003/015228WO2003098823A1 (en) | 2002-05-15 | 2003-05-15 | Apparatus, and associated method, for facilitating antenna weight selection utilizing deterministic perturbation gradient approximation | 
| Publication Number | Publication Date | 
|---|---|
| KR20040108803A KR20040108803A (en) | 2004-12-24 | 
| KR100890793B1true KR100890793B1 (en) | 2009-03-31 | 
| Application Number | Title | Priority Date | Filing Date | 
|---|---|---|---|
| KR1020047018202AExpired - Fee RelatedKR100890793B1 (en) | 2002-05-15 | 2003-05-15 | Apparatus and related method for facilitating antenna weight selection using deterministic perturbation slope approximation | 
| Country | Link | 
|---|---|
| EP (1) | EP1504535A4 (en) | 
| KR (1) | KR100890793B1 (en) | 
| CN (1) | CN100435489C (en) | 
| AU (1) | AU2003234571A1 (en) | 
| WO (1) | WO2003098823A1 (en) | 
| Publication number | Priority date | Publication date | Assignee | Title | 
|---|---|---|---|---|
| US7236540B2 (en) | 2003-06-10 | 2007-06-26 | Telefonaktiebolaget Lm Ericsson (Publ) | Channel estimation in a transmission diversity system | 
| US7319868B2 (en)* | 2004-09-27 | 2008-01-15 | Telefonktiebolaget Lm Ericsson (Publ) | Derivation of optimal antenna weights during soft handover | 
| ATE393498T1 (en)* | 2004-09-27 | 2008-05-15 | Ericsson Telefon Ab L M | DERIVATION OF THE OPTIMUM ANTENNA WEIGHTING DURING GENTLE REACH | 
| US8254482B2 (en) | 2008-05-13 | 2012-08-28 | Samsung Electronics Co., Ltd. | Perturbed decoder, perturbed decoding method and apparatus in communication system using the same | 
| US9997830B2 (en) | 2012-05-13 | 2018-06-12 | Amir Keyvan Khandani | Antenna system and method for full duplex wireless transmission with channel phase-based encryption | 
| WO2013173250A1 (en) | 2012-05-13 | 2013-11-21 | Invention Mine Llc | Full duplex wireless transmission with self-interference cancellation | 
| US10177896B2 (en) | 2013-05-13 | 2019-01-08 | Amir Keyvan Khandani | Methods for training of full-duplex wireless systems | 
| US9531483B2 (en)* | 2013-06-19 | 2016-12-27 | Qualcomm Incorporated | Devices and methods for facilitating signal-to-interference ratio estimates for closed-loop transmission diversity communications | 
| US9236996B2 (en) | 2013-11-30 | 2016-01-12 | Amir Keyvan Khandani | Wireless full-duplex system and method using sideband test signals | 
| US9413516B2 (en) | 2013-11-30 | 2016-08-09 | Amir Keyvan Khandani | Wireless full-duplex system and method with self-interference sampling | 
| US9820311B2 (en) | 2014-01-30 | 2017-11-14 | Amir Keyvan Khandani | Adapter and associated method for full-duplex wireless communication | 
| EP3437197B1 (en)* | 2016-04-01 | 2022-03-09 | Cohere Technologies, Inc. | Tomlinson-harashima precoding in an otfs communication system | 
| US10333593B2 (en) | 2016-05-02 | 2019-06-25 | Amir Keyvan Khandani | Systems and methods of antenna design for full-duplex line of sight transmission | 
| US10700766B2 (en) | 2017-04-19 | 2020-06-30 | Amir Keyvan Khandani | Noise cancelling amplify-and-forward (in-band) relay with self-interference cancellation | 
| US11057204B2 (en) | 2017-10-04 | 2021-07-06 | Amir Keyvan Khandani | Methods for encrypted data communications | 
| US11012144B2 (en) | 2018-01-16 | 2021-05-18 | Amir Keyvan Khandani | System and methods for in-band relaying | 
| Publication number | Priority date | Publication date | Assignee | Title | 
|---|---|---|---|---|
| US5642353A (en) | 1991-12-12 | 1997-06-24 | Arraycomm, Incorporated | Spatial division multiple access wireless communication systems | 
| Publication number | Priority date | Publication date | Assignee | Title | 
|---|---|---|---|---|
| IL120574A (en)* | 1996-05-17 | 2002-09-12 | Motorala Ltd | Method and devices for transmitter path weights | 
| US6492942B1 (en)* | 1999-11-09 | 2002-12-10 | Com Dev International, Inc. | Content-based adaptive parasitic array antenna system | 
| US6952455B1 (en)* | 2000-08-02 | 2005-10-04 | Via Telecom, Co., Ltd. | Adaptive antenna method and apparatus | 
| Publication number | Priority date | Publication date | Assignee | Title | 
|---|---|---|---|---|
| US5642353A (en) | 1991-12-12 | 1997-06-24 | Arraycomm, Incorporated | Spatial division multiple access wireless communication systems | 
| Publication number | Publication date | 
|---|---|
| WO2003098823A1 (en) | 2003-11-27 | 
| KR20040108803A (en) | 2004-12-24 | 
| EP1504535A1 (en) | 2005-02-09 | 
| CN100435489C (en) | 2008-11-19 | 
| AU2003234571A1 (en) | 2003-12-02 | 
| EP1504535A4 (en) | 2010-04-21 | 
| CN1653706A (en) | 2005-08-10 | 
| Publication | Publication Date | Title | 
|---|---|---|
| US6745009B2 (en) | Apparatus, and associated method, for facilitating antenna weight selection utilizing deterministic perturbation gradient approximation | |
| US6842632B2 (en) | Apparatus, and associated method, for facilitating antenna weight selection utilizing deterministic perturbation gradient approximation | |
| EP1366579B1 (en) | Method for controlling the weighting of a data signal in the at least two antenna elements of a radio connection unit, module and communications system | |
| CN100420166C (en) | Array receiver with subarray selection, method of use and receiver system incorporating same | |
| KR100890793B1 (en) | Apparatus and related method for facilitating antenna weight selection using deterministic perturbation slope approximation | |
| US7099630B2 (en) | Beam forming method | |
| KR100955795B1 (en) | Wireless communication using multi-transmit multi-receive antenna arrays | |
| KR100981554B1 (en) | In a mobile communication system having multiple transmit / receive antennas, a method of transmitting signals by grouping transmit antennas | |
| KR100493068B1 (en) | Method and apparatus for semi-blind transmit antenna array using feedback information in mobile communication system | |
| KR100830415B1 (en) | Multi transceiver antenna device in multi-user multi-cell environment and its method | |
| US20030144032A1 (en) | Beam forming method | |
| KR100910178B1 (en) | Multi-user multiple transmit / receive antenna device and method thereof | |
| EP1423926A1 (en) | A closed-loop signaling method for controlling multiple transmit beams and correspondingy adapted transceiver device | |
| US7231007B2 (en) | Measuring method, and receiver | |
| US7917101B2 (en) | Method and system for a greedy user group selection with range reduction in TDD multiuser MIMO downlink transmission | |
| KR100864260B1 (en) | Multiple transceiver antenna device and method thereof | |
| KR101274871B1 (en) | Method and apparatus for transceiving data in a multi antenna system of closed loop scheme | |
| US7039368B2 (en) | Method for controlling the formation of a downlink beam | |
| JP3999517B2 (en) | Method and apparatus for evaluating uplink radio signals | |
| KR20140088185A (en) | Method of transmitting frames, stations and computer program corresponding thereto | |
| JP5139331B2 (en) | Multi-antenna communication method with improved channel correlation utilization | |
| KR20240147522A (en) | System for Rate-splitting cell-free massive MIMO transmission and method therefor | |
| Novakovic et al. | Generalised full/partial closed loop transmit diversity | |
| Kaur et al. | Performance analysis of adaptive receive diversity technique | |
| Kim | A novel signal enhancement scheme for adaptive antenna arrays in multirate DS/CDMA systems | 
| Date | Code | Title | Description | 
|---|---|---|---|
| PA0105 | International application | St.27 status event code:A-0-1-A10-A15-nap-PA0105 | |
| PG1501 | Laying open of application | St.27 status event code:A-1-1-Q10-Q12-nap-PG1501 | |
| A201 | Request for examination | ||
| PA0201 | Request for examination | St.27 status event code:A-1-2-D10-D11-exm-PA0201 | |
| R17-X000 | Change to representative recorded | St.27 status event code:A-3-3-R10-R17-oth-X000 | |
| E902 | Notification of reason for refusal | ||
| PE0902 | Notice of grounds for rejection | St.27 status event code:A-1-2-D10-D21-exm-PE0902 | |
| T11-X000 | Administrative time limit extension requested | St.27 status event code:U-3-3-T10-T11-oth-X000 | |
| T11-X000 | Administrative time limit extension requested | St.27 status event code:U-3-3-T10-T11-oth-X000 | |
| T11-X000 | Administrative time limit extension requested | St.27 status event code:U-3-3-T10-T11-oth-X000 | |
| T11-X000 | Administrative time limit extension requested | St.27 status event code:U-3-3-T10-T11-oth-X000 | |
| T11-X000 | Administrative time limit extension requested | St.27 status event code:U-3-3-T10-T11-oth-X000 | |
| P11-X000 | Amendment of application requested | St.27 status event code:A-2-2-P10-P11-nap-X000 | |
| P13-X000 | Application amended | St.27 status event code:A-2-2-P10-P13-nap-X000 | |
| E902 | Notification of reason for refusal | ||
| PE0902 | Notice of grounds for rejection | St.27 status event code:A-1-2-D10-D21-exm-PE0902 | |
| T11-X000 | Administrative time limit extension requested | St.27 status event code:U-3-3-T10-T11-oth-X000 | |
| T11-X000 | Administrative time limit extension requested | St.27 status event code:U-3-3-T10-T11-oth-X000 | |
| T11-X000 | Administrative time limit extension requested | St.27 status event code:U-3-3-T10-T11-oth-X000 | |
| T11-X000 | Administrative time limit extension requested | St.27 status event code:U-3-3-T10-T11-oth-X000 | |
| P11-X000 | Amendment of application requested | St.27 status event code:A-2-2-P10-P11-nap-X000 | |
| P13-X000 | Application amended | St.27 status event code:A-2-2-P10-P13-nap-X000 | |
| E90F | Notification of reason for final refusal | ||
| PE0902 | Notice of grounds for rejection | St.27 status event code:A-1-2-D10-D21-exm-PE0902 | |
| T11-X000 | Administrative time limit extension requested | St.27 status event code:U-3-3-T10-T11-oth-X000 | |
| P11-X000 | Amendment of application requested | St.27 status event code:A-2-2-P10-P11-nap-X000 | |
| P13-X000 | Application amended | St.27 status event code:A-2-2-P10-P13-nap-X000 | |
| E701 | Decision to grant or registration of patent right | ||
| PE0701 | Decision of registration | St.27 status event code:A-1-2-D10-D22-exm-PE0701 | |
| GRNT | Written decision to grant | ||
| PR0701 | Registration of establishment | St.27 status event code:A-2-4-F10-F11-exm-PR0701 | |
| PR1002 | Payment of registration fee | St.27 status event code:A-2-2-U10-U12-oth-PR1002 Fee payment year number:1 | |
| PG1601 | Publication of registration | St.27 status event code:A-4-4-Q10-Q13-nap-PG1601 | |
| LAPS | Lapse due to unpaid annual fee | ||
| PC1903 | Unpaid annual fee | St.27 status event code:A-4-4-U10-U13-oth-PC1903 Not in force date:20120321 Payment event data comment text:Termination Category : DEFAULT_OF_REGISTRATION_FEE | |
| PC1903 | Unpaid annual fee | St.27 status event code:N-4-6-H10-H13-oth-PC1903 Ip right cessation event data comment text:Termination Category : DEFAULT_OF_REGISTRATION_FEE Not in force date:20120321 | |
| R18-X000 | Changes to party contact information recorded | St.27 status event code:A-5-5-R10-R18-oth-X000 | |
| R18-X000 | Changes to party contact information recorded | St.27 status event code:A-5-5-R10-R18-oth-X000 |