Movatterモバイル変換


[0]ホーム

URL:


KR100847160B1 - Pyrazolo pyrimidine derivatives - Google Patents

Pyrazolo pyrimidine derivatives
Download PDF

Info

Publication number
KR100847160B1
KR100847160B1KR1020067026849AKR20067026849AKR100847160B1KR 100847160 B1KR100847160 B1KR 100847160B1KR 1020067026849 AKR1020067026849 AKR 1020067026849AKR 20067026849 AKR20067026849 AKR 20067026849AKR 100847160 B1KR100847160 B1KR 100847160B1
Authority
KR
South Korea
Prior art keywords
phenyl
trifluoromethyl
pyrazolo
pyrimidine
carboxylic acid
Prior art date
Legal status (The legal status is an assumption and is not a legal conclusion. Google has not performed a legal analysis and makes no representation as to the accuracy of the status listed.)
Expired - Fee Related
Application number
KR1020067026849A
Other languages
Korean (ko)
Other versions
KR20070022774A (en
Inventor
어윈 고에츠쉬
주어겐 비츠만
토마스 요하네스 볼터링
Original Assignee
에프. 호프만-라 로슈 아게
Priority date (The priority date is an assumption and is not a legal conclusion. Google has not performed a legal analysis and makes no representation as to the accuracy of the date listed.)
Filing date
Publication date
Application filed by 에프. 호프만-라 로슈 아게filedCritical에프. 호프만-라 로슈 아게
Priority to KR1020067026849ApriorityCriticalpatent/KR100847160B1/en
Publication of KR20070022774ApublicationCriticalpatent/KR20070022774A/en
Application grantedgrantedCritical
Publication of KR100847160B1publicationCriticalpatent/KR100847160B1/en
Anticipated expirationlegal-statusCritical
Expired - Fee Relatedlegal-statusCriticalCurrent

Links

Classifications

Landscapes

Abstract

Translated fromKorean

본 발명은 그 자체 및 약학적으로 활성인 물질로서 하기 화학식 I의 화합물뿐만 아니라 그의 약학적으로 허용가능한 염, 그의 제조방법, 본 발명에 따른 화합물을 기본으로 하는 약제, 그의 제조방법, 및 상기 언급한 종류의 질병의 억제 또는 예방에 있어서 본 발명에 따른 화합물의 용도, 및 상응하는 약제의 제조를 위한 각각의 용도에 관한 것이다:The present invention is itself and a pharmaceutically active substance, as well as a compound of formula (I) as well as a pharmaceutically acceptable salt thereof, a process for its preparation, a medicament based on a compound according to the invention, a process for the preparation thereof, and the abovementioned It relates to the use of a compound according to the invention in the inhibition or prevention of one kind of disease, and to the respective use for the preparation of the corresponding medicament:

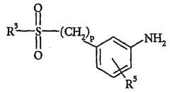
화학식 IFormula I

Figure 112006094490118-pct00014
Figure 112006094490118-pct00014

상기 식에서,Where

R1, R2, R3, R4, R5 및 p는 본 발명의 상세한 설명 및 청구의 범위에 정의된 바와 같다.R1 , R2 , R3 , R4 , R5 and p are as defined in the description and claims of the invention.

Description

Translated fromKorean
피라졸로 피리미딘 유도체{PYRRAZOLO-PYRIMIDINE DERIVATIVES}Pyrazolo pyrimidine derivatives {PYRRAZOLO-PYRIMIDINE DERIVATIVES}

본 발명은 피라졸로 피리미딘 유도체, 그의 제조방법, 대사조절성 글루타메이트 수용체 매개된 질환의 치료 또는 예방을 위한 그의 용도, 상기와 같은 질환의 치료를 위한 약제의 제조를 위한 그의 용도, 및 상기를 함유하는 약학 조성물에 관한 것이다.The present invention relates to pyrazolo pyrimidine derivatives, methods for their preparation, their use for the treatment or prevention of metabolic glutamate receptor mediated diseases, their use for the preparation of a medicament for the treatment of such diseases, and containing the above It relates to a pharmaceutical composition.

특히, 본 발명은 하기 화학식 I의 피라졸로 피리미딘 유도체뿐만 아니라 그의 약학적으로 허용가능한 염에 관한 것이다:In particular, the present invention relates to pyrazolo pyrimidine derivatives of formula (I) as well as pharmaceutically acceptable salts thereof:

Figure 112006094490118-pct00001
Figure 112006094490118-pct00001

상기 식에서,Where

p는 0 또는 1이고;p is 0 or 1;

R1 및 R2는 서로 독립적으로 H; 할로겐; 저급 알콕시에 의해 임의로 치환된 저급 알 킬; 하나 이상의 할로겐에 의해 임의로 치환된 저급 알콕시; 또는 CF3일 수 있고;R1 and R2 are independently of each other H; halogen; Lower alkyl optionally substituted by lower alkoxy; Lower alkoxy optionally substituted by one or more halogens; Or CF3 ;

R3은 저급 알킬; 하이드록시-저급 알킬; 또는 NRaRb이고; 이때R3 is lower alkyl; Hydroxy-lower alkyl; Or NRa Rb ; At this time

Ra 및 Rb는 독립적으로 H; 하나 이상의 하이드록시, 플루오로, 사이클로알킬, 아릴, 헤테로아릴 또는 NRcRd(여기에서 Rc 및 Rd는 H 및 저급 알킬 중에서 독립적으로 선택된다)에 의해 임의로 치환된 저급 알킬; 사이클로알킬; 아릴; 헤테로아릴로 이루어진 기 중에서 선택되거나; 또는Ra and Rb are independently H; Lower alkyl optionally substituted by one or more hydroxy, fluoro, cycloalkyl, aryl, heteroaryl or NRc Rd , wherein Rc and Rd are independently selected from H and lower alkyl; Cycloalkyl; Aryl; Selected from the group consisting of heteroaryl; or

Ra 및 Rb가 이들이 결합된 질소 원자와 함께 임의로 치환된 5 또는 6원 헤테로사이클릭 고리를 형성할 수 있고;Ra and Rb may form an optionally substituted 5 or 6 membered heterocyclic ring with the nitrogen atom to which they are attached;

R4는 H, Cl, 저급 알콕시, 사이클로알킬, 또는 하나 이상의 F에 의해 임의로 치환된 직쇄 저급 알킬이고;R4 is H, Cl, lower alkoxy, cycloalkyl, or straight chain lower alkyl optionally substituted by one or more F;

R5는 H; 할로겐 또는 저급 알킬이나, 단R5 is H; Halogen or lower alkyl, provided

피라졸로[1,5-a]피리미딘-3-카복스아미드, 7-(다이플루오로메틸)-5-(4-메틸페닐)-N-[3-(4-모폴리닐설포닐)페닐];Pyrazolo [1,5-a] pyrimidine-3-carboxamide, 7- (difluoromethyl) -5- (4-methylphenyl) -N- [3- (4-morpholinylsulfonyl) phenyl] ;

피라졸로[1,5-a]피리미딘-3-카복스아미드, 7-(다이플루오로메틸)-N-[3-(4-모폴리닐설포닐)페닐]-5-페닐; 및Pyrazolo [1,5-a] pyrimidine-3-carboxamide, 7- (difluoromethyl) -N- [3- (4-morpholinylsulfonyl) phenyl] -5-phenyl; And

피라졸로[1,5-a]피리미딘-3-카복스아미드, 7-(다이플루오로메틸)-5-(4-메톡시페닐)-N-[3-(4-모폴리닐설포닐)페닐]의 화합물은 제외한다.Pyrazolo [1,5-a] pyrimidine-3-carboxamide, 7- (difluoromethyl) -5- (4-methoxyphenyl) -N- [3- (4-morpholinylsulfonyl) Phenyl] compounds are excluded.

상기 화학식 I의 범위로부터 포기된 3 개의 화합물은 화합물 라이브러리로부터 공지되어 있다. 상기 3 개의 화합물은 대사조절성 글루타메이트 수용체와 관련하여 결코 개시되지 않았다.Three compounds abandoned from the scope of formula I above are known from the compound library. The three compounds have never been disclosed with respect to metabolic glutamate receptors.

놀랍게도, 화학식 I의 화합물은 대사조절성 글루타메이트 수용체 길항물질임이 밝혀졌다. 화학식 I의 화합물은 귀중한 치료 성질이 두드러진다.Surprisingly, compounds of formula I have been found to be metabolic glutamate receptor antagonists. Compounds of formula (I) stand out for their valuable therapeutic properties.

중추 신경계(CNS)에서, 자극의 전달은 신경세포에 의해 발송되는 신경전달물질과 신경수용체와의 상호작용에 의해 발생한다.In the central nervous system (CNS), the transmission of stimuli occurs by the interaction of neurotransmitters and neuroreceptors dispatched by neurons.

CNS에 가장 흔히 존재하는 신경전달물질인 L-글루탐산은 다수의 생리 과정에서 중요한 역할을 한다. 상기 글루타메이트 의존성 자극 수용체는 2 개의 주요 그룹으로 나뉜다. 첫 번째 주요 그룹은 리간드 조절된 이온 채널을 형성한다. 상기 대사조절성 글루타메이트 수용체(mGluR)는 두 번째 주요 그룹을 형성하며, 이는 더욱 또한 G 단백질 연결된 수용체 그룹에 속한다.L-glutamic acid, the neurotransmitter most commonly present in the CNS, plays an important role in many physiological processes. The glutamate dependent stimulatory receptors are divided into two main groups. The first major group forms ligand regulated ion channels. The metabolic glutamate receptor (mGluR) forms the second major group, which also belongs to the group of G protein linked receptors.

현재, 상기 mGluR의 8 개의 상이한 구성원이 공지되어 있으며 이들 중 일부는 심지어 아류형을 갖는다. 구조적 매개변수, 2 차 대사산물의 합성에 대한 상이한 영향 및 저 분자량 화학적 화합물에 대한 상이한 친화성을 근거로, 이들 8 개의 수용체는 3 개의 하위 그룹으로 하위 분류될 수 있다: mGluR1 및 mGluR5는 그룹 I에 속하고, mGluR2 및 mGluR3은 그룹 II에 속하며, mGluR4, mGluR6, mGluR7 및 mGluR8은 그룹 III에 속한다.Currently, eight different members of the mGluR are known and some of them even have a subtype. Based on structural parameters, different effects on the synthesis of secondary metabolites, and different affinity for low molecular weight chemical compounds, these eight receptors can be subdivided into three subgroups: mGluR1 and mGluR5 are group I MGluR2 and mGluR3 belong to group II, and mGluR4, mGluR6, mGluR7 and mGluR8 belong to group III.

그룹 II에 속하는 대사조절성 글루타메이트 수용체의 리간드를 급성 및/또는 만성 신경 질환, 예를 들어 정신병, 정신분열증, 알쯔하이머병, 인지 장애 및 기억력 결핍의 치료 또는 예방에 사용할 수 있다.Ligands of metabolic glutamate receptors belonging to Group II can be used for the treatment or prevention of acute and / or chronic neurological diseases such as psychosis, schizophrenia, Alzheimer's disease, cognitive impairment and memory deficiency.

이와 관련하여 치료될 수 있는 다른 적응증은 우회술 또는 이식에 의해 유발된 제한된 뇌 기능, 뇌로의 불충분한 혈액 공급, 척수 손상, 두부 손상, 임신에 의해 유발된 저산소증, 심장 정지 및 저혈당증이다. 추가로 치료 가능한 적응증은 만성 및 급성 통증, 헌팅톤 무도병, 근위축성 측삭 경화증(ALS), AIDS에 의해 유발된 치매, 눈 손상, 망막병증, 특발성 파킨슨증 또는 약물에 의해 유발된 파킨슨증뿐만 아니라 글루타메이트-결핍 작용을 도출시키는 병, 예를 들어 근육 연축, 경련, 편두통, 요실금, 니코틴 중독, 아편 중독, 불안증, 구토, 운동이상증, 우울증 및 신경아교종(GluR2 길항물질이 인간 신경아교종 세포에서 세포 증식을 감소시키는 것으로 밝혀졌으므로)(J. Neurochem. March 2003, 84(6):1288-95)이다.Other indications that can be treated in this regard are limited brain function caused by bypass surgery or transplantation, insufficient blood supply to the brain, spinal cord injury, head injury, hypoxia caused by pregnancy, cardiac arrest and hypoglycemia. Further treatable indications include glutamate-deficiency as well as chronic and acute pain, Huntington's chorea, Amyotrophic Lateral Sclerosis (ALS), AIDS-induced dementia, eye damage, retinopathy, idiopathic Parkinsonism or drug-induced Parkinsonism Diseases that elicit action, such as muscle spasms, cramps, migraine, incontinence, nicotine addiction, opioid addiction, anxiety, vomiting, dyskinesia, depression and glioma (GluR2 antagonists reduce cell proliferation in human glioma cells (J. Neurochem. March 2003, 84 (6): 1288-95).

본 발명의 목적은 그 자체 및 약학적으로 활성인 물질로서 화학식 I의 화합물 및 그의 약학적으로 허용가능한 염, 그의 제조방법, 본 발명에 따른 화합물을 기본으로 하는 약물 및 그의 제조방법, 및 상기 언급한 종류의 질병의 억제 또는 예방에서 본 발명에 따른 화합물의 용도 및 상응하는 약물의 제조를 위한 각각의 용도이다.The object of the present invention is itself and as a pharmaceutically active substance a compound of formula (I) and a pharmaceutically acceptable salt thereof, a process for its preparation, a drug based on the compound according to the invention and a process for the preparation thereof, and the abovementioned The use of the compounds according to the invention in the inhibition or prevention of one kind of disease and the respective use for the preparation of the corresponding drugs.

화학식 I의 화합물을 또한 그의 전구 약물의 형태로 사용할 수 있다. 예로서 에스터, N-옥사이드, 포스페이트 에스터, 글리코아미드 에스터, 글리세라이드 복합물 등이 있다. 상기 전구 약물은 본 발명 화합물의 가치에 흡수, 뇌로의 분배 및 수송에서의 약동학의 이점을 더할 수 있다.The compounds of formula (I) can also be used in the form of their prodrugs. Examples include esters, N-oxides, phosphate esters, glycoamide esters, glyceride complexes and the like. Such prodrugs can add to the value of the compounds of the invention the benefits of pharmacokinetics in absorption, distribution to the brain and transport.

본 발명은 또한 상기 언급한 종류의 질병의 치료 또는 예방을 위한, 하기의 화합물을 포함한 본 발명에 따른 화학식 I의 화합물 및 이들의 약학적으로 허용가능한 염의 용도뿐만 아니라 상응하는 약물의 제조를 위한 이들의 용도에 관한 것이다:The invention also relates to the use of the compounds of formula (I) and their pharmaceutically acceptable salts according to the invention for the treatment or prevention of diseases of the aforementioned kind, as well as for the preparation of the corresponding drugs. Relates to the use of:

피라졸로[1,5-a]피리미딘-3-카복스아미드, 7-(다이플루오로메틸)-5-(4-메틸페닐)-N-[3-(4-모폴리닐설포닐)페닐];Pyrazolo [1,5-a] pyrimidine-3-carboxamide, 7- (difluoromethyl) -5- (4-methylphenyl) -N- [3- (4-morpholinylsulfonyl) phenyl] ;

피라졸로[1,5-a]피리미딘-3-카복스아미드, 7-(다이플루오로메틸)-N-[3-(4-모폴리닐설포닐)페닐]-5-페닐; 및Pyrazolo [1,5-a] pyrimidine-3-carboxamide, 7- (difluoromethyl) -N- [3- (4-morpholinylsulfonyl) phenyl] -5-phenyl; And

피라졸로[1,5-a]피리미딘-3-카복스아미드, 7-(다이플루오로메틸)-5-(4-메톡시페닐)-N-[3-(4-모폴리닐설포닐)페닐].Pyrazolo [1,5-a] pyrimidine-3-carboxamide, 7- (difluoromethyl) -5- (4-methoxyphenyl) -N- [3- (4-morpholinylsulfonyl) Phenyl].

달리 나타내지 않는 한, 본 설명에 사용된 하기의 용어는 하기에 제공된 정의를 갖는다. "저급 알킬"이란 용어는 탄소수 1 내지 7, 바람직하게는 탄소수 1 내지 4의 직쇄 또는 분지된 포화된 탄화수소 잔기, 예를 들어 메틸, 에틸, n-프로필, i-프로필, i-부틸, t-부틸 등을 나타낸다.Unless otherwise indicated, the following terms used in this description have the definitions given below. The term "lower alkyl" refers to straight-chain or branched saturated hydrocarbon residues having 1 to 7 carbon atoms, preferably 1 to 4 carbon atoms, for example methyl, ethyl, n-propyl, i-propyl, i-butyl, t- Butyl and the like.

"하이드록시 저급 알킬"이란 용어는 상기 정의의 의미에서 1, 2, 3 또는 4 개의 하이드록실 기, 바람직하게는 하나의 하이드록실 기를 포함하는 저급 알킬 잔기를 나타낸다. "하이드록시 저급 알킬" 잔기의 예로는 메탄올, 에탄올, 1-프로판올, 2-프로판올, 3-프로판올, i-부탄올 등이 있다.The term "hydroxy lower alkyl" denotes a lower alkyl moiety comprising 1, 2, 3 or 4 hydroxyl groups, preferably one hydroxyl group in the sense of the above definition. Examples of “hydroxy lower alkyl” residues include methanol, ethanol, 1-propanol, 2-propanol, 3-propanol, i-butanol and the like.

"저급 알케닐"이란 용어는 탄소수 2 내지 7, 바람직하게는 탄소수 2 내지 4의 직쇄 또는 분지된 불포화된 탄화수소 잔기, 예를 들어 에테닐 또는 프로페닐을 나타낸다.The term "lower alkenyl" denotes straight chain or branched unsaturated hydrocarbon residues having 2 to 7 carbon atoms, preferably 2 to 4 carbon atoms, for example ethenyl or propenyl.

"저급 알콕시"란 용어는 상기 정의의 의미에서 산소 원자를 통해 결합된 저급 알킬 잔기를 나타낸다. "저급 알콕시" 잔기의 예로는 메톡시, 에톡시, 아이소프로폭시 등이 있다. 하나 이상의 할로겐에 의해 치환된 저급 알콕시의 예에는 2,2,2-트라이플루오로에톡시 기가 포함된다.The term "lower alkoxy" denotes a lower alkyl moiety bonded through an oxygen atom in the sense of the above definition. Examples of "lower alkoxy" residues are methoxy, ethoxy, isopropoxy and the like. Examples of lower alkoxy substituted by one or more halogens include 2,2,2-trifluoroethoxy groups.

"아릴"이라는 용어는 하나의 개별적인 고리, 및 하나 이상의 축합된 고리(여기에서 하나 이상의 고리는 사실상 방향족이다)로 이루어진 방향족 카보사이클릭 기를 나타낸다. 바람직한 아릴 기는 페닐이다.The term "aryl" refers to an aromatic carbocyclic group consisting of one individual ring and one or more condensed rings, wherein one or more rings are substantially aromatic. Preferred aryl groups are phenyl.

"헤테로아릴"이란 용어는 질소, 산소 및 황 중에서 선택된 하나 이상의 헤테로원자를 함유하는 방향족 5- 또는 6-원 고리를 지칭한다. 질소 중에서 선택된 헤테로아릴 기가 바람직하다. 상기와 같은 헤테로아릴 기의 예는 피리디닐, 피라지닐, 피리미디닐 또는 피리다지닐이다.The term "heteroaryl" refers to an aromatic 5- or 6-membered ring containing one or more heteroatoms selected from nitrogen, oxygen and sulfur. Preferred are heteroaryl groups selected from nitrogen. Examples of such heteroaryl groups are pyridinyl, pyrazinyl, pyrimidinyl or pyridazinyl.

"할로겐"이란 용어는 불소, 염소, 브롬 및 요오드를 포함한다.The term "halogen" includes fluorine, chlorine, bromine and iodine.

"사이클로알킬"이란 용어는 탄소수 3 내지 12, 바람직하게는 탄소수 3 내지 6의 사이클로알킬 기, 예를 들어 사이클로프로필, 사이클로부틸, 사이클로펜틸 또는 사이클로헥실을 의미한다.The term "cycloalkyl" means a cycloalkyl group having 3 to 12 carbon atoms, preferably 3 to 6 carbon atoms, for example cyclopropyl, cyclobutyl, cyclopentyl or cyclohexyl.

"5 또는 6원 헤테로사이클릭 고리"란 용어는 고리 구성원으로서 하나 이상의 탄소 원자 및 임의로 N, O 및 S 중에서 선택된 1, 2 또는 3 개의 추가의 헤테로원자 고리 구성원을 포함하고, 나머지 고리 구성원은 탄소 원자인 5 또는 6 개의 고리 구성원을 갖는 헤테로사이클릭 고리를 나타낸다. 5 또는 6 원 헤테로사이클릭 고리의 예로는 비 제한적으로 1H-테트라졸; 2H-테트라졸; 1,2,3- 및 1,2,4-트라이아졸; 이미다졸; 피롤; 1,2,3-, 1,3,4- 또는 1,2,5-티아다이아진; 1,4-옥사진; 1,2- 또는 1,4-티아진; 4-모폴리닐; 1-피롤리디닐; 1-피페라지닐, 바람직하게는 4-모폴리닐; 1-피롤리디닐 또는 1-피페라지닐이 있다. 상기와 같은 5 또는 6 원 헤테로사이클릭 고리의 치환체로는 비 제한적으로 할로, 아미노, 나이트로, 시아노, 하이드록시, 하이드록시-저급 알킬, 저급 알콕시, 저급 알케닐, 사이클로알킬, 저급 알킬; 또는 CF3, 및 바람직하게는 저급 알킬; 또는 CF3이 있다.The term "5- or 6-membered heterocyclic ring" includes as ring members one or more carbon atoms and optionally one, two or three additional heteroatomic ring members selected from N, O and S, with the remaining ring members being carbon Heterocyclic rings having 5 or 6 ring members which are atoms. Examples of 5 or 6 membered heterocyclic rings include, but are not limited to, 1H-tetrazole; 2H-tetrazole; 1,2,3- and 1,2,4-triazoles; Imidazole; Pyrrole; 1,2,3-, 1,3,4- or 1,2,5-thiadiazine; 1,4-oxazine; 1,2- or 1,4-thiazine; 4-morpholinyl; 1-pyrrolidinyl; 1-piperazinyl, preferably 4-morpholinyl; 1-pyrrolidinyl or 1-piperazinyl. Substituents of such 5 or 6 membered heterocyclic rings include, but are not limited to, halo, amino, nitro, cyano, hydroxy, hydroxy-lower alkyl, lower alkoxy, lower alkenyl, cycloalkyl, lower alkyl; Or CF3 , and preferably lower alkyl; Or CF3 .

"약학적으로 허용가능한 부가 염"이란 용어는 무기 또는 유기산 또는 염기로부터 유도된 임의의 염을 지칭한다.The term "pharmaceutically acceptable addition salt" refers to any salt derived from an inorganic or organic acid or base.

본 발명의 바람직한 화합물은Preferred compounds of the invention

p가 0 또는 1이고;p is 0 or 1;

R1 및 R2가 독립적으로 H; 할로겐; 저급 알콕시에 의해 임의로 치환된 저급 알킬; 하나 이상의 할로겐에 의해 임의로 치환된 저급 알콕시; 및 CF3로 이루어진 기 중에서 선택되고;R1 and R2 are independently H; halogen; Lower alkyl optionally substituted by lower alkoxy; Lower alkoxy optionally substituted by one or more halogens; And CF3 ;

R3이 저급 알킬; 하이드록시-저급 알킬; NRaRb로 이루어진 기 중에서 선택되고, 이때 Ra 및 Rb는 독립적으로 H; 하나 이상의 하이드록시, 플루오로, 사이클로알킬, 아릴, 헤테로아릴 또는 NRcRd(여기에서 Rc 및 Rd는 H 및 저급 알킬 중에서 독립적으로 선택된다)에 의해 임의로 치환된 저급 알킬; 사이클로알킬; 아릴; 헤테로아릴로 이루어진 기 중에서 선택되거나; 또는R3 is lower alkyl; Hydroxy-lower alkyl; NRa Rb , wherein Ra and Rb are independently H; Lower alkyl optionally substituted by one or more hydroxy, fluoro, cycloalkyl, aryl, heteroaryl or NRc Rd , wherein Rc and Rd are independently selected from H and lower alkyl; Cycloalkyl; Aryl; Selected from the group consisting of heteroaryl; or

Ra 및 Rb가 이들이 결합된 질소 원자와 함께 4-모폴리닐; 1-피롤리디닐 또는 1-피페라지닐 기를 형성하고;Ra and Rb together with the nitrogen atom to which they are attached are 4-morpholinyl; To form 1-pyrrolidinyl or 1-piperazinyl groups;

R4가 H, 사이클로프로필 또는 하나 이상의 F에 의해 임의로 치환된 직쇄 저급 알킬이고;R4 is H, cyclopropyl or straight chain lower alkyl optionally substituted by one or more F;

R5가 H; 할로겐 또는 저급 알킬인 화합물이다.R5 is H; Compound that is halogen or lower alkyl.

본 발명의 다른 바람직한 화합물은 R1 및 R2가 H, Cl, Me, CF3, MeO, EtO 및 CF3CH2O-로 이루어진 기 중에서 독립적으로 선택되고; R3, R4, R5 및 p가 상기 정의한 바와 같은 화합물이다.Other preferred compounds of the invention are those wherein R1 and R2 are independently selected from the group consisting of H, Cl, Me, CF3 , MeO, EtO and CF3 CH2 O—; R3 , R4 , R5 and p are the compounds as defined above.

본 발명의 다른 바람직한 화합물은 R3이 저급 알킬이고; R1, R2, R4, R5 및 p가 상기 정의한 바와 같은 화합물이며, 예를 들어 하기의 화합물이다:Other preferred compounds of the invention are those wherein R3 is lower alkyl; R1 , R2 , R4 , R5 and p are the compounds as defined above, for example the following compounds:

7-다이플루오로메틸-5-(4-트라이플루오로메틸-페닐)-피라졸로[1,5-a]피리미딘-3-카복실산(3-메탄설포닐-페닐)-아미드;7-difluoromethyl-5- (4-trifluoromethyl-phenyl) -pyrazolo [1,5-a] pyrimidine-3-carboxylic acid (3-methanesulfonyl-phenyl) -amide;

7-트라이플루오로메틸-5-(4-트라이플루오로메틸-페닐)-피라졸로[1,5-a]피리미딘-3-카복실산(3-메탄설포닐-페닐)-아미드;7-trifluoromethyl-5- (4-trifluoromethyl-phenyl) -pyrazolo [1,5-a] pyrimidine-3-carboxylic acid (3-methanesulfonyl-phenyl) -amide;

5-(4-클로로-페닐)-7-트라이플루오로메틸-피라졸로[1,5-a]피리미딘-3-카복실산(3-메탄설포닐-페닐)-아미드;5- (4-Chloro-phenyl) -7-trifluoromethyl-pyrazolo [1,5-a] pyrimidine-3-carboxylic acid (3-methanesulfonyl-phenyl) -amide;

5-(3,4-다이클로로-페닐)-7-다이플루오로메틸-피라졸로[1,5-a]피리미딘-3-카복실산(3-메탄설포닐-페닐)-아미드;5- (3,4-Dichloro-phenyl) -7-difluoromethyl-pyrazolo [1,5-a] pyrimidine-3-carboxylic acid (3-methanesulfonyl-phenyl) -amide;

5-(3,4-다이클로로-페닐)-7-트라이플루오로메틸-피라졸로[1,5-a]피리미딘-3-카복실산(3-메탄설포닐-페닐)-아미드;5- (3,4-Dichloro-phenyl) -7-trifluoromethyl-pyrazolo [1,5-a] pyrimidine-3-carboxylic acid (3-methanesulfonyl-phenyl) -amide;

7-다이플루오로메틸-5-(3-메틸-4-트라이플루오로메틸-페닐)-피라졸로[1,5-a]피리미딘-3-카복실산(3-메탄설포닐-페닐)-아미드;7-Difluoromethyl-5- (3-methyl-4-trifluoromethyl-phenyl) -pyrazolo [1,5-a] pyrimidine-3-carboxylic acid (3-methanesulfonyl-phenyl) -amide ;

5-(3-메틸-4-트라이플루오로메틸-페닐)-7-트라이플루오로메틸-피라졸로[1,5-a]피리미딘-3-카복실산(3-메탄설포닐-페닐)-아미드;5- (3-Methyl-4-trifluoromethyl-phenyl) -7-trifluoromethyl-pyrazolo [1,5-a] pyrimidine-3-carboxylic acid (3-methanesulfonyl-phenyl) -amide ;

5-(3-에톡시-4-트라이플루오로메틸-페닐)-7-트라이플루오로메틸-피라졸로[1,5-a]피리미딘-3-카복실산(3-메탄설포닐-페닐)-아미드;5- (3-Ethoxy-4-trifluoromethyl-phenyl) -7-trifluoromethyl-pyrazolo [1,5-a] pyrimidine-3-carboxylic acid (3-methanesulfonyl-phenyl)- amides;

7-다이플루오로메틸-5-(3-에톡시-4-트라이플루오로메틸-페닐)-피라졸로[1,5-a]피리미딘-3-카복실산(3-메탄설포닐-페닐)-아미드;7-Difluoromethyl-5- (3-ethoxy-4-trifluoromethyl-phenyl) -pyrazolo [1,5-a] pyrimidine-3-carboxylic acid (3-methanesulfonyl-phenyl)- amides;

5-[3-(2,2,2-트라이플루오로-에톡시)-4-트라이플루오로메틸-페닐]-7-트라이플루오로메틸-피라졸로[1,5-a]피리미딘-3-카복실산(3-메탄설포닐-페닐)-아미드;5- [3- (2,2,2-Trifluoro-ethoxy) -4-trifluoromethyl-phenyl] -7-trifluoromethyl-pyrazolo [1,5-a] pyrimidine-3 Carboxylic acid (3-methanesulfonyl-phenyl) -amide;

7-다이플루오로메틸-5-[3-(2,2,2-트라이플루오로-에톡시)-4-트라이플루오로메틸-페닐]-피라졸로[1,5-a]피리미딘-3-카복실산(3-메탄설포닐-페닐)-아미드;7-difluoromethyl-5- [3- (2,2,2-trifluoro-ethoxy) -4-trifluoromethyl-phenyl] -pyrazolo [1,5-a] pyrimidine-3 Carboxylic acid (3-methanesulfonyl-phenyl) -amide;

5-(4-클로로-3-메틸페닐)-7-다이플루오로메틸-피라졸로[1,5-a]피리미딘-3-카복실산(3-메탄설포닐-페닐)-아미드;5- (4-Chloro-3-methylphenyl) -7-difluoromethyl-pyrazolo [1,5-a] pyrimidine-3-carboxylic acid (3-methanesulfonyl-phenyl) -amide;

5-(3-플루오로-4-트라이플루오로메틸-페닐)-7-트라이플루오로메틸-피라졸로[1,5-a]피리미딘-3-카복실산(3-설파모일-페닐)-아미드;5- (3-Fluoro-4-trifluoromethyl-phenyl) -7-trifluoromethyl-pyrazolo [1,5-a] pyrimidine-3-carboxylic acid (3-sulfamoyl-phenyl) -amide ;

5-(3-클로로-4-트라이플루오로메틸-페닐)-7-다이플루오로메틸-피라졸로[1,5-a]피리미딘-3-카복실산(3-메탄설포닐-페닐)-아미드;5- (3-Chloro-4-trifluoromethyl-phenyl) -7-difluoromethyl-pyrazolo [1,5-a] pyrimidine-3-carboxylic acid (3-methanesulfonyl-phenyl) -amide ;

7-다이플루오로메틸-5-(3-플루오로-4-트라이플루오로메틸-페닐)-피라졸로[1,5-a]피리미딘-3-카복실산(3-메탄설포닐-페닐)-아미드;7-Difluoromethyl-5- (3-fluoro-4-trifluoromethyl-phenyl) -pyrazolo [1,5-a] pyrimidine-3-carboxylic acid (3-methanesulfonyl-phenyl)- amides;

5-(3-클로로-4-트라이플루오로메틸-페닐)-7-트라이플루오로메틸-피라졸로[1,5-a]피리미딘-3-카복실산(3-메탄설포닐-페닐)-아미드;5- (3-Chloro-4-trifluoromethyl-phenyl) -7-trifluoromethyl-pyrazolo [1,5-a] pyrimidine-3-carboxylic acid (3-methanesulfonyl-phenyl) -amide ;

5-(3-플루오로-4-트라이플루오로메틸-페닐)-7-트라이플루오로메틸-피라졸로[1,5-a]피리미딘-3-카복실산(3-메탄설포닐-페닐)-아미드;5- (3-Fluoro-4-trifluoromethyl-phenyl) -7-trifluoromethyl-pyrazolo [1,5-a] pyrimidine-3-carboxylic acid (3-methanesulfonyl-phenyl)- amides;

7-다이플루오로메틸-5-(4-트라이플루오로메톡시-페닐)-피라졸로[1,5-a]피리미딘-3-카복실산(3-메탄설포닐-페닐)-아미드;7-difluoromethyl-5- (4-trifluoromethoxy-phenyl) -pyrazolo [1,5-a] pyrimidine-3-carboxylic acid (3-methanesulfonyl-phenyl) -amide;

5-(4-트라이플루오로메톡시-페닐)-7-트라이플루오로메틸-피라졸로[1,5-a]피리미딘-3-카복실산(3-메탄설포닐-페닐)-아미드;5- (4-Trifluoromethoxy-phenyl) -7-trifluoromethyl-pyrazolo [1,5-a] pyrimidine-3-carboxylic acid (3-methanesulfonyl-phenyl) -amide;

5-(3,4-다이플루오로-페닐)-7-트라이플루오로메틸-피라졸로[1,5-a]피리미딘-3-카복실산(3-메탄설포닐-페닐)-아미드;5- (3,4-Difluoro-phenyl) -7-trifluoromethyl-pyrazolo [1,5-a] pyrimidine-3-carboxylic acid (3-methanesulfonyl-phenyl) -amide;

5-(4-클로로-페닐)-피라졸로[1,5-a]피리미딘-3-카복실산(3-메탄설포닐-페닐)-아미드;5- (4-Chloro-phenyl) -pyrazolo [1,5-a] pyrimidine-3-carboxylic acid (3-methanesulfonyl-phenyl) -amide;

5-(4-트라이플루오로메틸-페닐)-피라졸로[1,5-a]피리미딘-3-카복실산(3-메탄설포닐-페닐)-아미드;5- (4-Trifluoromethyl-phenyl) -pyrazolo [1,5-a] pyrimidine-3-carboxylic acid (3-methanesulfonyl-phenyl) -amide;

5-(4-클로로-페닐)-7-메틸-피라졸로[1,5-a]피리미딘-3-카복실산(3-메탄설포닐-페닐)-아미드;5- (4-Chloro-phenyl) -7-methyl-pyrazolo [1,5-a] pyrimidine-3-carboxylic acid (3-methanesulfonyl-phenyl) -amide;

7-메틸-5-(4-트라이플루오로메틸-페닐)-피라졸로[1,5-a]피리미딘-3-카복실산(3-메탄설포닐-페닐)-아미드;7-Methyl-5- (4-trifluoromethyl-phenyl) -pyrazolo [1,5-a] pyrimidine-3-carboxylic acid (3-methanesulfonyl-phenyl) -amide;

5-(4-클로로-페닐)-7-에틸-피라졸로[1,5-a]피리미딘-3-카복실산(3-메탄설포닐-페닐)-아미드;5- (4-Chloro-phenyl) -7-ethyl-pyrazolo [1,5-a] pyrimidine-3-carboxylic acid (3-methanesulfonyl-phenyl) -amide;

5-(4-클로로-페닐)-7-프로필-피라졸로[1,5-a]피리미딘-3-카복실산(3-메탄설포닐-페닐)-아미드;5- (4-Chloro-phenyl) -7-propyl-pyrazolo [1,5-a] pyrimidine-3-carboxylic acid (3-methanesulfonyl-phenyl) -amide;

5-(4-클로로-페닐)-7-사이클로프로필-피라졸로[1,5-a]피리미딘-3-카복실산(3-메탄설포닐-페닐)-아미드;5- (4-Chloro-phenyl) -7-cyclopropyl-pyrazolo [1,5-a] pyrimidine-3-carboxylic acid (3-methanesulfonyl-phenyl) -amide;

7-사이클로프로필-5-(4-트라이플루오로메틸-페닐)-피라졸로[1,5-a]피리미딘-3-카복실산(3-메탄설포닐-페닐)-아미드;7-cyclopropyl-5- (4-trifluoromethyl-phenyl) -pyrazolo [1,5-a] pyrimidine-3-carboxylic acid (3-methanesulfonyl-phenyl) -amide;

7-클로로-5-(4-클로로-페닐)-피라졸로[1,5-a]피리미딘-3-카복실산(3-메탄설포닐-페닐)-아미드; 및7-chloro-5- (4-chloro-phenyl) -pyrazolo [1,5-a] pyrimidine-3-carboxylic acid (3-methanesulfonyl-phenyl) -amide; And

5-(4-클로로-페닐)-7-메톡시-피라졸로[1,5-a]피리미딘-3-카복실산(3-메탄설포닐-페닐)-아미드.5- (4-Chloro-phenyl) -7-methoxy-pyrazolo [1,5-a] pyrimidine-3-carboxylic acid (3-methanesulfonyl-phenyl) -amide.

본 발명의 다른 바람직한 화합물은 R3이 하이드록시-저급 알킬이고; R1, R2, R4, R5 및 p가 상기 정의한 바와 같은 화합물이며, 예를 들어 하기의 화합물이다:Other preferred compounds of the invention are those wherein R3 is hydroxy-lower alkyl; R1 , R2 , R4 , R5 and p are the compounds as defined above, for example the following compounds:

7-트라이플루오로메틸-5-(4-트라이플루오로메틸-페닐)-피라졸로[1,5-a]피리미딘-3-카복실산(3-설파모일메틸-페닐)-아미드; 및7-Trifluoromethyl-5- (4-trifluoromethyl-phenyl) -pyrazolo [1,5-a] pyrimidine-3-carboxylic acid (3-sulfamoylmethyl-phenyl) -amide; And

7-다이플루오로메틸-5-(4-트라이플루오로메틸-페닐)-피라졸로[1,5-a]피리미딘-3-카복실산(3-설파모일메틸-페닐)-아미드.7-Difluoromethyl-5- (4-trifluoromethyl-phenyl) -pyrazolo [1,5-a] pyrimidine-3-carboxylic acid (3-sulfamoylmethyl-phenyl) -amide.

본 발명의 더욱 다른 바람직한 화합물은 R3이 NRaRb이고, 이때 Ra 및 Rb가 독립적으로 H; 하나 이상의 하이드록시, 플루오로, 사이클로알킬, 아릴, 헤테로아릴 또는 NRcRd(이때 Rc 및 Rd는 H 및 저급 알킬 중에서 독립적으로 선택된다)에 의해 임의로 치환된 저급 알킬; 사이클로알킬; 아릴; 헤테로아릴로 이루어진 기 중에서 선택되고, R1, R2, R4, R5 및 p가 상기 정의한 바와 같은 화합물이며, 예를 들어 하기의 화합물이다:Still other preferred compounds of the invention are those wherein R3 is NRa Rb, wherein Ra and Rb are independently H; Lower alkyl optionally substituted by one or more hydroxy, fluoro, cycloalkyl, aryl, heteroaryl or NRc Rd , wherein Rc and Rd are independently selected from H and lower alkyl; Cycloalkyl; Aryl; Selected from the group consisting of heteroaryl, R1 , R2 , R4 , R5 and p are the compounds as defined above, for example the following compounds:

7-트라이플루오로메틸-5-(4-트라이플루오로메틸-페닐)-피라졸로[1,5-a]피리미딘-3-카복실산(3-설파모일-페닐)-아미드;7-trifluoromethyl-5- (4-trifluoromethyl-phenyl) -pyrazolo [1,5-a] pyrimidine-3-carboxylic acid (3-sulfamoyl-phenyl) -amide;

5-(3-에톡시-4-트라이플루오로메틸-페닐)-7-트라이플루오로메틸-피라졸로[1,5-a]피리미딘-3-카복실산(3-설파모일-페닐)-아미드;5- (3-Ethoxy-4-trifluoromethyl-phenyl) -7-trifluoromethyl-pyrazolo [1,5-a] pyrimidine-3-carboxylic acid (3-sulfamoyl-phenyl) -amide ;

7-다이플루오로메틸-5-(3-에톡시-4-트라이플루오로메틸-페닐)-피라졸로[1,5-a]피리미딘-3-카복실산(3-설파모일-페닐)-아미드;7-Difluoromethyl-5- (3-ethoxy-4-trifluoromethyl-phenyl) -pyrazolo [1,5-a] pyrimidine-3-carboxylic acid (3-sulfamoyl-phenyl) -amide ;

7-다이플루오로메틸-5-(3-메틸-4-트라이플루오로메틸-페닐)-피라졸로[1,5-a]피리미딘-3-카복실산(3-설파모일-페닐)-아미드;7-Difluoromethyl-5- (3-methyl-4-trifluoromethyl-phenyl) -pyrazolo [1,5-a] pyrimidine-3-carboxylic acid (3-sulfamoyl-phenyl) -amide;

5-(3-메틸-4-트라이플루오로메틸-페닐)-7-트라이플루오로메틸-피라졸로[1,5-a]피리미딘-3-카복실산(3-설파모일-페닐)-아미드;5- (3-Methyl-4-trifluoromethyl-phenyl) -7-trifluoromethyl-pyrazolo [1,5-a] pyrimidine-3-carboxylic acid (3-sulfamoyl-phenyl) -amide;

5-(3,4-다이클로로-페닐)-7-다이플루오로메틸-피라졸로[1,5-a]피리미딘-3-카복실산(3-설파모일-페닐)-아미드;5- (3,4-Dichloro-phenyl) -7-difluoromethyl-pyrazolo [1,5-a] pyrimidine-3-carboxylic acid (3-sulfamoyl-phenyl) -amide;

5-(3,4-다이클로로-페닐)-7-트라이플루오로메틸-피라졸로[1,5-a]피리미딘-3-카복실산(3-설파모일-페닐)-아미드;5- (3,4-Dichloro-phenyl) -7-trifluoromethyl-pyrazolo [1,5-a] pyrimidine-3-carboxylic acid (3-sulfamoyl-phenyl) -amide;

5-(4-클로로-페닐)-7-다이플루오로메틸-피라졸로[1,5-a]피리미딘-3-카복실산(3-설파모일-페닐)-아미드;5- (4-Chloro-phenyl) -7-difluoromethyl-pyrazolo [1,5-a] pyrimidine-3-carboxylic acid (3-sulfamoyl-phenyl) -amide;

5-(4-클로로-3-메틸-페닐)-7-트라이플루오로메틸-피라졸로[1,5-a]피리미딘-3-카복실산(3-설파모일-페닐)-아미드;5- (4-Chloro-3-methyl-phenyl) -7-trifluoromethyl-pyrazolo [1,5-a] pyrimidine-3-carboxylic acid (3-sulfamoyl-phenyl) -amide;

7-다이플루오로메틸-5-(4-트라이플루오로메틸-페닐)-피라졸로[1,5-a]피리미딘-3-카복실산(3-설파모일-페닐)-아미드;7-difluoromethyl-5- (4-trifluoromethyl-phenyl) -pyrazolo [1,5-a] pyrimidine-3-carboxylic acid (3-sulfamoyl-phenyl) -amide;

5-(4-클로로-페닐)-7-트라이플루오로메틸-피라졸로[1,5-a]피리미딘-3-카복실산(3-설파모일-페닐)-아미드;5- (4-Chloro-phenyl) -7-trifluoromethyl-pyrazolo [1,5-a] pyrimidine-3-carboxylic acid (3-sulfamoyl-phenyl) -amide;

5-[3-(2,2,2-트라이플루오로-에톡시)-4-트라이플루오로메틸-페닐]-7-트라이플루오로메틸-피라졸로[1,5-a]피리미딘-3-카복실산(3-설파모일-페닐)-아미드;5- [3- (2,2,2-Trifluoro-ethoxy) -4-trifluoromethyl-phenyl] -7-trifluoromethyl-pyrazolo [1,5-a] pyrimidine-3 Carboxylic acid (3-sulfamoyl-phenyl) -amide;

7-다이플루오로메틸-5-[3-(2,2,2-트라이플루오로-에톡시)-4-트라이플루오로메틸-페닐]-피라졸로[1,5-a]피리미딘-3-카복실산(3-설파모일-페닐)-아미드;7-difluoromethyl-5- [3- (2,2,2-trifluoro-ethoxy) -4-trifluoromethyl-phenyl] -pyrazolo [1,5-a] pyrimidine-3 Carboxylic acid (3-sulfamoyl-phenyl) -amide;

5-(4-클로로-3-메틸-페닐)-7-다이플루오로메틸-피라졸로[1,5-a]피리미딘-3-카복실산(3-설파모일-페닐)-아미드;5- (4-Chloro-3-methyl-phenyl) -7-difluoromethyl-pyrazolo [1,5-a] pyrimidine-3-carboxylic acid (3-sulfamoyl-phenyl) -amide;

7-트라이플루오로메틸-5-(4-트라이플루오로메틸-페닐)-피라졸로[1,5-a]피리미딘-3-카복실산[3-(2-하이드록시-에탄설포닐)-페닐]-아미드;7-Trifluoromethyl-5- (4-trifluoromethyl-phenyl) -pyrazolo [1,5-a] pyrimidine-3-carboxylic acid [3- (2-hydroxy-ethanesulfonyl) -phenyl ]-amides;

7-다이플루오로메틸-5-(4-트라이플루오로메틸-페닐)-피라졸로[1,5-a]피리미딘-3-카복실산[3-(2-하이드록시-에탄설포닐)-페닐]-아미드;7-Difluoromethyl-5- (4-trifluoromethyl-phenyl) -pyrazolo [1,5-a] pyrimidine-3-carboxylic acid [3- (2-hydroxy-ethanesulfonyl) -phenyl ]-amides;

7-트라이플루오로메틸-5-(4-트라이플루오로메틸-페닐)-피라졸로[1,5-a]피리미딘-3-카복실산(3-에틸설파모일-페닐)-아미드;7-trifluoromethyl-5- (4-trifluoromethyl-phenyl) -pyrazolo [1,5-a] pyrimidine-3-carboxylic acid (3-ethylsulfamoyl-phenyl) -amide;

7-트라이플루오로메틸-5-(4-트라이플루오로메틸-페닐)-피라졸로[1,5-a]피리미딘-3-카복실산(3-다이메틸설파모일-페닐)-아미드;7-trifluoromethyl-5- (4-trifluoromethyl-phenyl) -pyrazolo [1,5-a] pyrimidine-3-carboxylic acid (3-dimethylsulfamoyl-phenyl) -amide;

5-(4-클로로-3-메틸-페닐)-7-트라이플루오로메틸-피라졸로[1,5-a]피리미딘-3-카복실산[3-(4-메틸-피페라진-1-설포닐)-페닐]-아미드;5- (4-Chloro-3-methyl-phenyl) -7-trifluoromethyl-pyrazolo [1,5-a] pyrimidine-3-carboxylic acid [3- (4-methyl-piperazin-1-sul Phonyl) -phenyl] -amide;

7-다이플루오로메틸-5-(4-트라이플루오로메틸-페닐)-피라졸로[1,5-a]피리미딘-3-카복실산(3-에틸설파모일-페닐)-아미드;7-difluoromethyl-5- (4-trifluoromethyl-phenyl) -pyrazolo [1,5-a] pyrimidine-3-carboxylic acid (3-ethylsulfamoyl-phenyl) -amide;

7-다이플루오로메틸-5-(4-트라이플루오로메틸-페닐)-피라졸로[1,5-a]피리미딘-3-카복실산(3-다이메틸설파모일-페닐)-아미드;7-Difluoromethyl-5- (4-trifluoromethyl-phenyl) -pyrazolo [1,5-a] pyrimidine-3-carboxylic acid (3-dimethylsulfamoyl-phenyl) -amide;

7-다이플루오로메틸-5-(4-트라이플루오로메틸-페닐)-피라졸로[1,5-a]피리미딘-3-카복실산(3-메틸설파모일-페닐)-아미드;7-difluoromethyl-5- (4-trifluoromethyl-phenyl) -pyrazolo [1,5-a] pyrimidine-3-carboxylic acid (3-methylsulfamoyl-phenyl) -amide;

7-다이플루오로메틸-5-(4-트라이플루오로메틸-페닐)-피라졸로[1,5-a]피리미딘-3-카복실산(3-사이클로프로필설파모일-페닐)-아미드;7-difluoromethyl-5- (4-trifluoromethyl-phenyl) -pyrazolo [1,5-a] pyrimidine-3-carboxylic acid (3-cyclopropylsulfamoyl-phenyl) -amide;

7-다이플루오로메틸-5-(4-트라이플루오로메틸-페닐)-피라졸로[1,5-a]피리미딘-3-카복실산(3-아이소프로필설파모일-페닐)-아미드;7-difluoromethyl-5- (4-trifluoromethyl-phenyl) -pyrazolo [1,5-a] pyrimidine-3-carboxylic acid (3-isopropylsulfamoyl-phenyl) -amide;

7-트라이플루오로메틸-5-(4-트라이플루오로메틸-페닐)-피라졸로[1,5-a]피리미딘-3-카복실산(3-메틸설파모일-페닐)-아미드;7-trifluoromethyl-5- (4-trifluoromethyl-phenyl) -pyrazolo [1,5-a] pyrimidine-3-carboxylic acid (3-methylsulfamoyl-phenyl) -amide;

7-트라이플루오로메틸-5-(4-트라이플루오로메틸-페닐)-피라졸로[1,5-a]피리미딘-3-카복실산(3-아이소프로필설파모일-페닐)-아미드;7-trifluoromethyl-5- (4-trifluoromethyl-phenyl) -pyrazolo [1,5-a] pyrimidine-3-carboxylic acid (3-isopropylsulfamoyl-phenyl) -amide;

7-다이플루오로메틸-5-(4-트라이플루오로메틸-페닐)-피라졸로[1,5-a]피리미딘-3-카복실산[3-(2,2,2-트라이플루오로-에틸설파모일)-페닐]-아미드;7-Difluoromethyl-5- (4-trifluoromethyl-phenyl) -pyrazolo [1,5-a] pyrimidine-3-carboxylic acid [3- (2,2,2-trifluoro-ethyl Sulfamoyl) -phenyl] -amide;

7-트라이플루오로메틸-5-(4-트라이플루오로메틸-페닐)-피라졸로[1,5-a]피리미딘-3-카복실산[3-(2,2,2-트라이플루오로-에틸설파모일)-페닐]-아미드;7-Trifluoromethyl-5- (4-trifluoromethyl-phenyl) -pyrazolo [1,5-a] pyrimidine-3-carboxylic acid [3- (2,2,2-trifluoro-ethyl Sulfamoyl) -phenyl] -amide;

5-(3-메틸-4-트라이플루오로메틸-페닐)-7-트라이플루오로메틸-피라졸로[1,5-a]피리미딘-3-카복실산(3-사이클로프로필설파모일-페닐)-아미드;5- (3-Methyl-4-trifluoromethyl-phenyl) -7-trifluoromethyl-pyrazolo [1,5-a] pyrimidine-3-carboxylic acid (3-cyclopropylsulfamoyl-phenyl)- amides;

5-(3,4-다이클로로-페닐)-7-트라이플루오로메틸-피라졸로[1,5-a]피리미딘-3-카복실산(3-사이클로프로필설파모일-페닐)-아미드;5- (3,4-Dichloro-phenyl) -7-trifluoromethyl-pyrazolo [1,5-a] pyrimidine-3-carboxylic acid (3-cyclopropylsulfamoyl-phenyl) -amide;

5-(4-클로로-페닐)-7-트라이플루오로메틸-피라졸로[1,5-a]피리미딘-3-카복실산(3-사이클로프로필설파모일-페닐)-아미드;5- (4-Chloro-phenyl) -7-trifluoromethyl-pyrazolo [1,5-a] pyrimidine-3-carboxylic acid (3-cyclopropylsulfamoyl-phenyl) -amide;

5-(4-클로로-3-메틸-페닐)-7-트라이플루오로메틸-피라졸로[1,5-a]피리미딘-3-카복실산(3-사이클로프로필설파모일-페닐)-아미드;5- (4-Chloro-3-methyl-phenyl) -7-trifluoromethyl-pyrazolo [1,5-a] pyrimidine-3-carboxylic acid (3-cyclopropylsulfamoyl-phenyl) -amide;

7-다이플루오로메틸-5-(3-메틸-4-트라이플루오로메틸-페닐)-피라졸로[1,5-a]피리미딘-3-카복실산(3-사이클로프로필설파모일-페닐)-아미드;7-Difluoromethyl-5- (3-methyl-4-trifluoromethyl-phenyl) -pyrazolo [1,5-a] pyrimidine-3-carboxylic acid (3-cyclopropylsulfamoyl-phenyl)- amides;

5-(3,4-다이클로로-페닐)-7-다이플루오로메틸-피라졸로[1,5-a]피리미딘-3-카복실산(3-사이클로프로필설파모일-페닐)-아미드;5- (3,4-Dichloro-phenyl) -7-difluoromethyl-pyrazolo [1,5-a] pyrimidine-3-carboxylic acid (3-cyclopropylsulfamoyl-phenyl) -amide;

5-(4-클로로-페닐)-7-다이플루오로메틸-피라졸로[1,5-a]피리미딘-3-카복실산(3-사이클로프로필설파모일-페닐)-아미드;5- (4-Chloro-phenyl) -7-difluoromethyl-pyrazolo [1,5-a] pyrimidine-3-carboxylic acid (3-cyclopropylsulfamoyl-phenyl) -amide;

7-트라이플루오로메틸-5-(4-트라이플루오로메틸-페닐)-피라졸로[1,5-a]피리미딘-3-카복실산(3-아이소부틸설파모일-페닐)-아미드;7-Trifluoromethyl-5- (4-trifluoromethyl-phenyl) -pyrazolo [1,5-a] pyrimidine-3-carboxylic acid (3-isobutylsulfamoyl-phenyl) -amide;

7-트라이플루오로메틸-5-(4-트라이플루오로메틸-페닐)-피라졸로[1,5-a]피리미딘-3-카복실산[3-(사이클로프로필메틸-설파모일)-페닐]-아미드;7-Trifluoromethyl-5- (4-trifluoromethyl-phenyl) -pyrazolo [1,5-a] pyrimidine-3-carboxylic acid [3- (cyclopropylmethyl-sulfamoyl) -phenyl]- amides;

7-다이플루오로메틸-5-(3-에톡시-4-트라이플루오로메틸-페닐)-피라졸로[1,5-a]피리미딘-3-카복실산(3-사이클로프로필설파모일-페닐)-아미드;7-Difluoromethyl-5- (3-ethoxy-4-trifluoromethyl-phenyl) -pyrazolo [1,5-a] pyrimidine-3-carboxylic acid (3-cyclopropylsulfamoyl-phenyl) -amides;

5-(3-에톡시-4-트라이플루오로메틸-페닐)-7-트라이플루오로메틸-피라졸로[1,5-a]피리미딘-3-카복실산(3-사이클로프로필설파모일-페닐)-아미드;5- (3-Ethoxy-4-trifluoromethyl-phenyl) -7-trifluoromethyl-pyrazolo [1,5-a] pyrimidine-3-carboxylic acid (3-cyclopropylsulfamoyl-phenyl) -amides;

7-다이플루오로메틸-5-(4-트라이플루오로메틸-페닐)-피라졸로[1,5-a]피리미딘-3-카복실산(3-아이소부틸설파모일-페닐)-아미드;7-difluoromethyl-5- (4-trifluoromethyl-phenyl) -pyrazolo [1,5-a] pyrimidine-3-carboxylic acid (3-isobutylsulfamoyl-phenyl) -amide;

7-다이플루오로메틸-5-(4-트라이플루오로메틸-페닐)-피라졸로[1,5-a]피리미딘-3-카복실산[3-(사이클로프로필메틸-설파모일)-페닐]-아미드;7-difluoromethyl-5- (4-trifluoromethyl-phenyl) -pyrazolo [1,5-a] pyrimidine-3-carboxylic acid [3- (cyclopropylmethyl-sulfamoyl) -phenyl]- amides;

7-다이플루오로메틸-5-(4-트라이플루오로메틸-페닐)-피라졸로[1,5-a]피리미딘-3-카복실산(3-벤질설파모일-페닐)-아미드;7-difluoromethyl-5- (4-trifluoromethyl-phenyl) -pyrazolo [1,5-a] pyrimidine-3-carboxylic acid (3-benzylsulfamoyl-phenyl) -amide;

7-트라이플루오로메틸-5-(4-트라이플루오로메틸-페닐)-피라졸로[1,5-a]피리미딘-3-카복실산(3-페닐설파모일-페닐)-아미드;7-trifluoromethyl-5- (4-trifluoromethyl-phenyl) -pyrazolo [1,5-a] pyrimidine-3-carboxylic acid (3-phenylsulfamoyl-phenyl) -amide;

7-트라이플루오로메틸-5-(4-트라이플루오로메틸-페닐)-피라졸로[1,5-a]피리미딘-3-카복실산(3-벤질설파모일-페닐)-아미드;7-trifluoromethyl-5- (4-trifluoromethyl-phenyl) -pyrazolo [1,5-a] pyrimidine-3-carboxylic acid (3-benzylsulfamoyl-phenyl) -amide;

7-트라이플루오로메틸-5-(4-트라이플루오로메틸-페닐)-피라졸로[1,5-a]피리미딘-3-카복실산[3-(2-하이드록시-에틸설파모일)-페닐]-아미드;7-Trifluoromethyl-5- (4-trifluoromethyl-phenyl) -pyrazolo [1,5-a] pyrimidine-3-carboxylic acid [3- (2-hydroxy-ethylsulfamoyl) -phenyl ]-amides;

7-다이플루오로메틸-5-(4-트라이플루오로메틸-페닐)-피라졸로[1,5-a]피리미딘-3-카복실산[3-(2-하이드록시-에틸설파모일)-페닐]-아미드;7-Difluoromethyl-5- (4-trifluoromethyl-phenyl) -pyrazolo [1,5-a] pyrimidine-3-carboxylic acid [3- (2-hydroxy-ethylsulfamoyl) -phenyl ]-amides;

7-트라이플루오로메틸-5-(4-트라이플루오로메틸-페닐)-피라졸로[1,5-a]피리미딘-3-카복실산(3-트라이플루오로메탄설포닐-페닐)-아미드;7-Trifluoromethyl-5- (4-trifluoromethyl-phenyl) -pyrazolo [1,5-a] pyrimidine-3-carboxylic acid (3-trifluoromethanesulfonyl-phenyl) -amide;

7-다이플루오로메틸-5-(4-트라이플루오로메틸-페닐)-피라졸로[1,5-a]피리미딘-3-카복실산(3-트라이플루오로메탄설포닐-페닐)-아미드;7-difluoromethyl-5- (4-trifluoromethyl-phenyl) -pyrazolo [1,5-a] pyrimidine-3-carboxylic acid (3-trifluoromethanesulfonyl-phenyl) -amide;

7-다이플루오로메틸-5-(4-트라이플루오로메틸-페닐)-피라졸로[1,5-a]피리미딘-3-카복실산[3-(2,2-다이메틸-프로필설파모일)-페닐]-아미드;7-Difluoromethyl-5- (4-trifluoromethyl-phenyl) -pyrazolo [1,5-a] pyrimidine-3-carboxylic acid [3- (2,2-dimethyl-propylsulfamoyl) -Phenyl] -amide;

7-다이플루오로메틸-5-(4-트라이플루오로메틸-페닐)-피라졸로[1,5-a]피리미딘-3-카복실산(3-3급-부틸설파모일-페닐)-아미드;7-difluoromethyl-5- (4-trifluoromethyl-phenyl) -pyrazolo [1,5-a] pyrimidine-3-carboxylic acid (3-tert-butylsulfamoyl-phenyl) -amide;

7-트라이플루오로메틸-5-(4-트라이플루오로메틸-페닐)-피라졸로[1,5-a]피리미딘-3-카복실산[3-(2,2-다이메틸-프로필설파모일)-페닐]-아미드;7-trifluoromethyl-5- (4-trifluoromethyl-phenyl) -pyrazolo [1,5-a] pyrimidine-3-carboxylic acid [3- (2,2-dimethyl-propylsulfamoyl) -Phenyl] -amide;

7-트라이플루오로메틸-5-(4-트라이플루오로메틸-페닐)-피라졸로[1,5-a]피리미딘-3-카복실산(3-3급-부틸설파모일-페닐)-아미드;7-Trifluoromethyl-5- (4-trifluoromethyl-phenyl) -pyrazolo [1,5-a] pyrimidine-3-carboxylic acid (3-tert-butylsulfamoyl-phenyl) -amide;

5-(3-클로로-4-트라이플루오로메틸-페닐)-7-다이플루오로메틸-피라졸로[1,5-a]피리미딘-3-카복실산(3-설파모일-페닐)-아미드;5- (3-Chloro-4-trifluoromethyl-phenyl) -7-difluoromethyl-pyrazolo [1,5-a] pyrimidine-3-carboxylic acid (3-sulfamoyl-phenyl) -amide;

7-다이플루오로메틸-5-(3-플루오로-4-트라이플루오로메틸-페닐)-피라졸로[1,5-a]피리미딘-3-카복실산(3-설파모일-페닐)-아미드;7-Difluoromethyl-5- (3-fluoro-4-trifluoromethyl-phenyl) -pyrazolo [1,5-a] pyrimidine-3-carboxylic acid (3-sulfamoyl-phenyl) -amide ;

5-(3-클로로-4-트라이플루오로메틸-페닐)-7-트라이플루오로메틸-피라졸로[1,5-a]피리미딘-3-카복실산(3-설파모일-페닐)-아미드;5- (3-Chloro-4-trifluoromethyl-phenyl) -7-trifluoromethyl-pyrazolo [1,5-a] pyrimidine-3-carboxylic acid (3-sulfamoyl-phenyl) -amide;

7-다이플루오로메틸-5-(4-트라이플루오로메틸-페닐)-피라졸로[1,5-a]피리미딘-3-카복실산{3-[(피리딘-3-일메틸)-설파모일]-페닐}-아미드;7-difluoromethyl-5- (4-trifluoromethyl-phenyl) -pyrazolo [1,5-a] pyrimidine-3-carboxylic acid {3-[(pyridin-3-ylmethyl) -sulfamoyl ] -Phenyl} -amide;

7-트라이플루오로메틸-5-(4-트라이플루오로메틸-페닐)-피라졸로[1,5-a]피리미딘-3-카복실산{3-[(피리딘-3-일메틸)-설파모일]-페닐}-아미드;7-Trifluoromethyl-5- (4-trifluoromethyl-phenyl) -pyrazolo [1,5-a] pyrimidine-3-carboxylic acid {3-[(pyridin-3-ylmethyl) -sulfamoyl ] -Phenyl} -amide;

7-다이플루오로메틸-5-(4-트라이플루오로메틸-페닐)-피라졸로[1,5-a]피리미딘-3-카복실산{3-[(피리딘-2-일메틸)-설파모일]-페닐}-아미드;7-difluoromethyl-5- (4-trifluoromethyl-phenyl) -pyrazolo [1,5-a] pyrimidine-3-carboxylic acid {3-[(pyridin-2-ylmethyl) -sulfamoyl ] -Phenyl} -amide;

7-트라이플루오로메틸-5-(4-트라이플루오로메틸-페닐)-피라졸로[1,5-a]피리미딘-3-카복실산{3-[(피리딘-2-일메틸)-설파모일]-페닐}-아미드;7-Trifluoromethyl-5- (4-trifluoromethyl-phenyl) -pyrazolo [1,5-a] pyrimidine-3-carboxylic acid {3-[(pyridin-2-ylmethyl) -sulfamoyl ] -Phenyl} -amide;

7-다이플루오로메틸-5-(4-트라이플루오로메틸-페닐)-피라졸로[1,5-a]피리미딘-3-카복실산[3-(2-피리딘-4-일-에틸설파모일)-페닐]-아미드;7-Difluoromethyl-5- (4-trifluoromethyl-phenyl) -pyrazolo [1,5-a] pyrimidine-3-carboxylic acid [3- (2-pyridin-4-yl-ethylsulfamoyl ) -Phenyl] -amide;

7-트라이플루오로메틸-5-(4-트라이플루오로메틸-페닐)-피라졸로[1,5-a]피리미딘-3-카복실산[3-(2-피리딘-4-일-에틸설파모일)-페닐]-아미드;7-Trifluoromethyl-5- (4-trifluoromethyl-phenyl) -pyrazolo [1,5-a] pyrimidine-3-carboxylic acid [3- (2-pyridin-4-yl-ethylsulfamoyl ) -Phenyl] -amide;

7-다이플루오로메틸-5-(4-트라이플루오로메틸-페닐)-피라졸로[1,5-a]피리미딘-3-카복실산[3-(2-하이드록시-1,1-다이메틸-에틸설파모일)-페닐]-아미드;7-Difluoromethyl-5- (4-trifluoromethyl-phenyl) -pyrazolo [1,5-a] pyrimidine-3-carboxylic acid [3- (2-hydroxy-1,1-dimethyl -Ethylsulfamoyl) -phenyl] -amide;

7-트라이플루오로메틸-5-(4-트라이플루오로메틸-페닐)-피라졸로[1,5-a]피리미딘-3-카복실산[3-(2-하이드록시-1,1-다이메틸-에틸설파모일)-페닐]-아미드;7-trifluoromethyl-5- (4-trifluoromethyl-phenyl) -pyrazolo [1,5-a] pyrimidine-3-carboxylic acid [3- (2-hydroxy-1,1-dimethyl -Ethylsulfamoyl) -phenyl] -amide;

7-다이플루오로메틸-5-(4-트라이플루오로메톡시-페닐)-피라졸로[1,5-a]피리미딘-3-카복실산(3-설파모일-페닐)-아미드;7-difluoromethyl-5- (4-trifluoromethoxy-phenyl) -pyrazolo [1,5-a] pyrimidine-3-carboxylic acid (3-sulfamoyl-phenyl) -amide;

5-(4-트라이플루오로메톡시-페닐)-7-트라이플루오로메틸-피라졸로[1,5-a]피리미딘-3-카복실산(3-설파모일-페닐)-아미드;5- (4-Trifluoromethoxy-phenyl) -7-trifluoromethyl-pyrazolo [1,5-a] pyrimidine-3-carboxylic acid (3-sulfamoyl-phenyl) -amide;

5-(3,4-다이플루오로-페닐)-7-트라이플루오로메틸-피라졸로[1,5-a]피리미딘-3-카복실산(3-설파모일-페닐)-아미드;5- (3,4-Difluoro-phenyl) -7-trifluoromethyl-pyrazolo [1,5-a] pyrimidine-3-carboxylic acid (3-sulfamoyl-phenyl) -amide;

5-(4-클로로-페닐)-7-트라이플루오로메틸-피라졸로[1,5-a]피리미딘-3-카복실산[3-(2-하이드록시-1,1-다이메틸-에틸설파모일)-페닐]-아미드;5- (4-Chloro-phenyl) -7-trifluoromethyl-pyrazolo [1,5-a] pyrimidine-3-carboxylic acid [3- (2-hydroxy-1,1-dimethyl-ethylsulfa Moyl) -phenyl] -amide;

5-(3-클로로-4-트라이플루오로메틸-페닐)-7-트라이플루오로메틸-피라졸로[1,5-a]피리미딘-3-카복실산[3-(2-하이드록시-1,1-다이메틸-에틸설파모일)-페닐]-아미드;5- (3-Chloro-4-trifluoromethyl-phenyl) -7-trifluoromethyl-pyrazolo [1,5-a] pyrimidine-3-carboxylic acid [3- (2-hydroxy-1, 1-dimethyl-ethylsulfamoyl) -phenyl] -amide;

5-[3-(2,2,2-트라이플루오로-에톡시)-4-트라이플루오로메틸-페닐]-7-트라이플루오로메틸-피라졸로[1,5-a]피리미딘-3-카복실산[3-(2-하이드록시-1,1-다이메틸-에틸설파모일)-페닐]-아미드;5- [3- (2,2,2-Trifluoro-ethoxy) -4-trifluoromethyl-phenyl] -7-trifluoromethyl-pyrazolo [1,5-a] pyrimidine-3 Carboxylic acid [3- (2-hydroxy-1,1-dimethyl-ethylsulfamoyl) -phenyl] -amide;

5-(3-메틸-4-트라이플루오로메틸-페닐)-7-트라이플루오로메틸-피라졸로[1,5-a]피리미딘-3-카복실산[3-(2-하이드록시-1,1-다이메틸-에틸설파모일)-페닐]-아미드;5- (3-Methyl-4-trifluoromethyl-phenyl) -7-trifluoromethyl-pyrazolo [1,5-a] pyrimidine-3-carboxylic acid [3- (2-hydroxy-1, 1-dimethyl-ethylsulfamoyl) -phenyl] -amide;

5-(3-에톡시-4-트라이플루오로메틸-페닐)-7-트라이플루오로메틸-피라졸로[1,5-a]피리미딘-3-카복실산[3-(2-하이드록시-1,1-다이메틸-에틸설파모일)-페닐]-아미드;5- (3-Ethoxy-4-trifluoromethyl-phenyl) -7-trifluoromethyl-pyrazolo [1,5-a] pyrimidine-3-carboxylic acid [3- (2-hydroxy-1 , 1-dimethyl-ethylsulfamoyl) -phenyl] -amide;

5-(3,4-다이클로로-페닐)-7-트라이플루오로메틸-피라졸로[1,5-a]피리미딘-3-카복실산[3-(2-하이드록시-1,1-다이메틸-에틸설파모일)-페닐]-아미드;5- (3,4-Dichloro-phenyl) -7-trifluoromethyl-pyrazolo [1,5-a] pyrimidine-3-carboxylic acid [3- (2-hydroxy-1,1-dimethyl -Ethylsulfamoyl) -phenyl] -amide;

5-(3-플루오로-4-트라이플루오로메틸-페닐)-7-트라이플루오로메틸-피라졸로[1,5-a]피리미딘-3-카복실산[3-(2-하이드록시-1,1-다이메틸-에틸설파모일)-페닐]-아미드;5- (3-Fluoro-4-trifluoromethyl-phenyl) -7-trifluoromethyl-pyrazolo [1,5-a] pyrimidine-3-carboxylic acid [3- (2-hydroxy-1 , 1-dimethyl-ethylsulfamoyl) -phenyl] -amide;

5-(4-트라이플루오로메톡시-페닐)-7-트라이플루오로메틸-피라졸로[1,5-a]피리미딘-3-카복실산[3-(2-하이드록시-1,1-다이메틸-에틸설파모일)-페닐]-아미드;5- (4-Trifluoromethoxy-phenyl) -7-trifluoromethyl-pyrazolo [1,5-a] pyrimidine-3-carboxylic acid [3- (2-hydroxy-1,1-dimethyl -Ethylsulfamoyl) -phenyl] -amide;

5-(4-클로로-페닐)-7-다이플루오로메틸-피라졸로[1,5-a]피리미딘-3-카복실산[3-(2-하이드록시-1,1-다이메틸-에틸설파모일)-페닐]-아미드;5- (4-Chloro-phenyl) -7-difluoromethyl-pyrazolo [1,5-a] pyrimidine-3-carboxylic acid [3- (2-hydroxy-1,1-dimethyl-ethylsulfa Moyl) -phenyl] -amide;

7-다이플루오로메틸-5-(3-에톡시-4-트라이플루오로메틸-페닐)-피라졸로[1,5-a]피리미딘-3-카복실산[3-(2-하이드록시-1,1-다이메틸-에틸설파모일)-페닐]-아미드;7-Difluoromethyl-5- (3-ethoxy-4-trifluoromethyl-phenyl) -pyrazolo [1,5-a] pyrimidine-3-carboxylic acid [3- (2-hydroxy-1 , 1-dimethyl-ethylsulfamoyl) -phenyl] -amide;

7-다이플루오로메틸-5-(4-트라이플루오로메틸-페닐)-피라졸로[1,5-a]피리미딘-3-카복실산(4-메틸-3-설파모일-페닐)-아미드;7-difluoromethyl-5- (4-trifluoromethyl-phenyl) -pyrazolo [1,5-a] pyrimidine-3-carboxylic acid (4-methyl-3-sulfamoyl-phenyl) -amide;

7-트라이플루오로메틸-5-(4-트라이플루오로메틸-페닐)-피라졸로[1,5-a]피리미딘-3-카복실산(4-메틸-3-설파모일-페닐)-아미드;7-trifluoromethyl-5- (4-trifluoromethyl-phenyl) -pyrazolo [1,5-a] pyrimidine-3-carboxylic acid (4-methyl-3-sulfamoyl-phenyl) -amide;

7-다이플루오로메틸-5-(4-트라이플루오로메틸-페닐)-피라졸로[1,5-a]피리미딘-3-카복실산{3-[비스-(2-하이드록시-에틸)-설파모일]-페닐}-아미드;7-Difluoromethyl-5- (4-trifluoromethyl-phenyl) -pyrazolo [1,5-a] pyrimidine-3-carboxylic acid {3- [bis- (2-hydroxy-ethyl)- Sulfamoyl] -phenyl} -amide;

7-트라이플루오로메틸-5-(4-트라이플루오로메틸-페닐)-피라졸로[1,5-a]피리미딘-3-카복실산{3-[비스-(2-하이드록시-에틸)-설파모일]-페닐}-아미드;7-Trifluoromethyl-5- (4-trifluoromethyl-phenyl) -pyrazolo [1,5-a] pyrimidine-3-carboxylic acid {3- [bis- (2-hydroxy-ethyl)- Sulfamoyl] -phenyl} -amide;

7-다이플루오로메틸-5-(4-트라이플루오로메틸-페닐)-피라졸로[1,5-a]피리미딘-3-카복실산[3-(2-하이드록시-1-하이드록시메틸-1-메틸-에틸설파모일)-페닐]-아미드;7-difluoromethyl-5- (4-trifluoromethyl-phenyl) -pyrazolo [1,5-a] pyrimidine-3-carboxylic acid [3- (2-hydroxy-1-hydroxymethyl- 1-methyl-ethylsulfamoyl) -phenyl] -amide;

7-트라이플루오로메틸-5-(4-트라이플루오로메틸-페닐)-피라졸로[1,5-a]피리미딘-3-카복실산[3-(2-하이드록시-1-하이드록시메틸-1-메틸-에틸설파모일)-페닐]-아미드;7-Trifluoromethyl-5- (4-trifluoromethyl-phenyl) -pyrazolo [1,5-a] pyrimidine-3-carboxylic acid [3- (2-hydroxy-1-hydroxymethyl- 1-methyl-ethylsulfamoyl) -phenyl] -amide;

7-트라이플루오로메틸-5-(4-트라이플루오로메틸-페닐)-피라졸로[1,5-a]피리미딘-3-카복실산(2-메틸-5-설파모일-페닐)-아미드;7-Trifluoromethyl-5- (4-trifluoromethyl-phenyl) -pyrazolo [1,5-a] pyrimidine-3-carboxylic acid (2-methyl-5-sulfamoyl-phenyl) -amide;

7-다이플루오로메틸-5-(4-트라이플루오로메틸-페닐)-피라졸로[1,5-a]피리미딘-3-카복실산(2-메틸-5-설파모일-페닐)-아미드;7-difluoromethyl-5- (4-trifluoromethyl-phenyl) -pyrazolo [1,5-a] pyrimidine-3-carboxylic acid (2-methyl-5-sulfamoyl-phenyl) -amide;

7-트라이플루오로메틸-5-(4-트라이플루오로메틸-페닐)-피라졸로[1,5-a]피리미딘-3-카복실산(2-클로로-5-설파모일-페닐)-아미드;7-Trifluoromethyl-5- (4-trifluoromethyl-phenyl) -pyrazolo [1,5-a] pyrimidine-3-carboxylic acid (2-chloro-5-sulfamoyl-phenyl) -amide;

7-다이플루오로메틸-5-(4-트라이플루오로메틸-페닐)-피라졸로[1,5-a]피리미딘-3-카복실산(2-클로로-5-설파모일-페닐)-아미드;7-difluoromethyl-5- (4-trifluoromethyl-phenyl) -pyrazolo [1,5-a] pyrimidine-3-carboxylic acid (2-chloro-5-sulfamoyl-phenyl) -amide;

7-트라이플루오로메틸-5-(4-트라이플루오로메틸-페닐)-피라졸로[1,5-a]피리미딘-3-카복실산[2-클로로-5-(2-하이드록시-1,1-다이메틸-에틸설파모일)-페닐]-아미드;7-trifluoromethyl-5- (4-trifluoromethyl-phenyl) -pyrazolo [1,5-a] pyrimidine-3-carboxylic acid [2-chloro-5- (2-hydroxy-1, 1-dimethyl-ethylsulfamoyl) -phenyl] -amide;

7-다이플루오로메틸-5-(4-트라이플루오로메틸-페닐)-피라졸로[1,5-a]피리미딘-3-카복실산[2-클로로-5-(2-하이드록시-1,1-다이메틸-에틸설파모일)-페닐]-아미드;7-difluoromethyl-5- (4-trifluoromethyl-phenyl) -pyrazolo [1,5-a] pyrimidine-3-carboxylic acid [2-chloro-5- (2-hydroxy-1, 1-dimethyl-ethylsulfamoyl) -phenyl] -amide;

7-트라이플루오로메틸-5-(4-트라이플루오로메틸-페닐)-피라졸로[1,5-a]피리미딘-3-카복실산[5-(2-하이드록시-1,1-다이메틸-에틸설파모일)-2-메틸-페닐]-아미드;7-Trifluoromethyl-5- (4-trifluoromethyl-phenyl) -pyrazolo [1,5-a] pyrimidine-3-carboxylic acid [5- (2-hydroxy-1,1-dimethyl -Ethylsulfamoyl) -2-methyl-phenyl] -amide;

7-다이플루오로메틸-5-(4-트라이플루오로메틸-페닐)-피라졸로[1,5-a]피리미딘-3-카복실산[5-(2-하이드록시-1,1-다이메틸-에틸설파모일)-2-메틸-페닐]-아미드;7-Difluoromethyl-5- (4-trifluoromethyl-phenyl) -pyrazolo [1,5-a] pyrimidine-3-carboxylic acid [5- (2-hydroxy-1,1-dimethyl -Ethylsulfamoyl) -2-methyl-phenyl] -amide;

7-다이플루오로메틸-5-(4-트라이플루오로메틸-페닐)-피라졸로[1,5-a]피리미딘-3-카복실산[3-(2-다이메틸아미노-에틸설파모일)-페닐]-아미드;7-Difluoromethyl-5- (4-trifluoromethyl-phenyl) -pyrazolo [1,5-a] pyrimidine-3-carboxylic acid [3- (2-dimethylamino-ethylsulfamoyl)- Phenyl] -amide;

7-트라이플루오로메틸-5-(4-트라이플루오로메틸-페닐)-피라졸로[1,5-a]피리미딘-3-카복실산[3-(2-다이메틸아미노-에틸설파모일)-페닐]-아미드;7-Trifluoromethyl-5- (4-trifluoromethyl-phenyl) -pyrazolo [1,5-a] pyrimidine-3-carboxylic acid [3- (2-dimethylamino-ethylsulfamoyl)- Phenyl] -amide;

5-(4-클로로-페닐)-7-트라이플루오로메틸-피라졸로[1,5-a]피리미딘-3-카복실산[3-(1-하이드록시메틸-사이클로펜틸설파모일)-페닐]-아미드;5- (4-Chloro-phenyl) -7-trifluoromethyl-pyrazolo [1,5-a] pyrimidine-3-carboxylic acid [3- (1-hydroxymethyl-cyclopentylsulfamoyl) -phenyl] -amides;

5-(4-클로로-페닐)-피라졸로[1,5-a]피리미딘-3-카복실산(3-설파모일-페닐)-아미드;5- (4-Chloro-phenyl) -pyrazolo [1,5-a] pyrimidine-3-carboxylic acid (3-sulfamoyl-phenyl) -amide;

5-(4-트라이플루오로메틸-페닐)-피라졸로[1,5-a]피리미딘-3-카복실산(3-설파모일-페닐)-아미드;5- (4-Trifluoromethyl-phenyl) -pyrazolo [1,5-a] pyrimidine-3-carboxylic acid (3-sulfamoyl-phenyl) -amide;

5-(4-클로로-페닐)-7-메틸-피라졸로[1,5-a]피리미딘-3-카복실산(3-설파모일-페닐)-아미드;5- (4-Chloro-phenyl) -7-methyl-pyrazolo [1,5-a] pyrimidine-3-carboxylic acid (3-sulfamoyl-phenyl) -amide;

5-(4-클로로-페닐)-7-메틸-피라졸로[1,5-a]피리미딘-3-카복실산[3-(2-하이드록시-1,1-다이메틸-에틸설파모일)-페닐]-아미드;5- (4-Chloro-phenyl) -7-methyl-pyrazolo [1,5-a] pyrimidine-3-carboxylic acid [3- (2-hydroxy-1,1-dimethyl-ethylsulfamoyl)- Phenyl] -amide;

7-메틸-5-(4-트라이플루오로메틸-페닐)-피라졸로[1,5-a]피리미딘-3-카복실산(3-설파모일-페닐)-아미드;7-Methyl-5- (4-trifluoromethyl-phenyl) -pyrazolo [1,5-a] pyrimidine-3-carboxylic acid (3-sulfamoyl-phenyl) -amide;

5-(4-클로로-페닐)-7-에틸-피라졸로[1,5-a]피리미딘-3-카복실산(3-설파모일)-페닐)-아미드;5- (4-Chloro-phenyl) -7-ethyl-pyrazolo [1,5-a] pyrimidine-3-carboxylic acid (3-sulfamoyl) -phenyl) -amide;

5-(4-클로로-페닐)-7-에틸-피라졸로[1,5-a]피리미딘-3-카복실산[3-(2-하이드록시-1,1-다이메틸-에틸설파모일)-페닐]-아미드;5- (4-Chloro-phenyl) -7-ethyl-pyrazolo [1,5-a] pyrimidine-3-carboxylic acid [3- (2-hydroxy-1,1-dimethyl-ethylsulfamoyl)- Phenyl] -amide;

5-(4-클로로-페닐)-7-프로필-피라졸로[1,5-a]피리미딘-3-카복실산(3-설파모일-페닐)-아미드;5- (4-Chloro-phenyl) -7-propyl-pyrazolo [1,5-a] pyrimidine-3-carboxylic acid (3-sulfamoyl-phenyl) -amide;

5-(4-클로로-페닐)-7-프로필-피라졸로[1,5-a]피리미딘-3-카복실산[3-(2-하이드록시-1,1-다이메틸-에틸설파모일)-페닐]-아미드;5- (4-Chloro-phenyl) -7-propyl-pyrazolo [1,5-a] pyrimidine-3-carboxylic acid [3- (2-hydroxy-1,1-dimethyl-ethylsulfamoyl)- Phenyl] -amide;

5-(4-클로로-페닐)-7-사이클로프로필-피라졸로[1,5-a]피리미딘-3-카복실산(3-설파모일-페닐)-아미드;5- (4-Chloro-phenyl) -7-cyclopropyl-pyrazolo [1,5-a] pyrimidine-3-carboxylic acid (3-sulfamoyl-phenyl) -amide;

5-(4-클로로-페닐)-7-사이클로프로필-피라졸로[1,5-a]피리미딘-3-카복실산[3-(2-하이드록시-1,1-다이메틸-에틸설파모일)-페닐]-아미드;5- (4-Chloro-phenyl) -7-cyclopropyl-pyrazolo [1,5-a] pyrimidine-3-carboxylic acid [3- (2-hydroxy-1,1-dimethyl-ethylsulfamoyl) -Phenyl] -amide;

5-(4-클로로-페닐)-7-사이클로프로필-피라졸로[1,5-a]피리미딘-3-카복실산(3-3급-부틸설파모일-페닐)-아미드;5- (4-Chloro-phenyl) -7-cyclopropyl-pyrazolo [1,5-a] pyrimidine-3-carboxylic acid (tert-butylsulfamoyl-phenyl) -amide;

5-(4-클로로-페닐)-7-사이클로프로필-피라졸로[1,5-a]피리미딘-3-카복실산[3-(1-하이드록시메틸-사이클로펜틸설파모일)-페닐]-아미드;5- (4-Chloro-phenyl) -7-cyclopropyl-pyrazolo [1,5-a] pyrimidine-3-carboxylic acid [3- (1-hydroxymethyl-cyclopentylsulfamoyl) -phenyl] -amide ;

5-(4-클로로-페닐)-7-사이클로프로필-피라졸로[1,5-a]피리미딘-3-카복실산[5-(2-하이드록시-1,1-다이메틸-에틸설파모일)-2-메틸-페닐]-아미드;5- (4-Chloro-phenyl) -7-cyclopropyl-pyrazolo [1,5-a] pyrimidine-3-carboxylic acid [5- (2-hydroxy-1,1-dimethyl-ethylsulfamoyl) -2-methyl-phenyl] -amide;

7-사이클로프로필-5-(4-트라이플루오로메틸-페닐)-피라졸로[1,5-a]피리미딘-3-카복실산(3-설파모일-페닐)-아미드;7-cyclopropyl-5- (4-trifluoromethyl-phenyl) -pyrazolo [1,5-a] pyrimidine-3-carboxylic acid (3-sulfamoyl-phenyl) -amide;

7-사이클로프로필-5-(4-트라이플루오로메틸-페닐)-피라졸로[1,5-a]피리미딘-3-카복실산[3-(2-하이드록시-1,1-다이메틸-에틸설파모일)-페닐]-아미드;7-cyclopropyl-5- (4-trifluoromethyl-phenyl) -pyrazolo [1,5-a] pyrimidine-3-carboxylic acid [3- (2-hydroxy-1,1-dimethyl-ethyl Sulfamoyl) -phenyl] -amide;

7-사이클로프로필-5-(4-트라이플루오로메틸-페닐)-피라졸로[1,5-a]피리미딘-3-카복실산(3-3급-부틸설파모일-페닐)-아미드; 및7-cyclopropyl-5- (4-trifluoromethyl-phenyl) -pyrazolo [1,5-a] pyrimidine-3-carboxylic acid (3-tert-butylsulfamoyl-phenyl) -amide; And

7-사이클로프로필-5-(4-트라이플루오로메틸-페닐)-피라졸로[1,5-a]피리미딘-3-카복실산[5-(2-하이드록시-1,1-다이메틸-에틸설파모일)-2-메틸-페닐]-아미드.7-cyclopropyl-5- (4-trifluoromethyl-phenyl) -pyrazolo [1,5-a] pyrimidine-3-carboxylic acid [5- (2-hydroxy-1,1-dimethyl-ethyl Sulfamoyl) -2-methyl-phenyl] -amide.

본 발명의 다른 바람직한 화합물은 R3이 4-모폴리닐이고; R1, R2, R4, R5 및 p가 상기 정의한 바와 같은 화합물이며, 예를 들어 하기의 화합물이다:Other preferred compounds of the invention are those wherein R3 is 4-morpholinyl; R1 , R2 , R4 , R5 and p are the compounds as defined above, for example the following compounds:

7-트라이플루오로메틸-5-(4-트라이플루오로메틸-페닐)-피라졸로[1,5-a]피리미딘-3-카복실산[3-(모폴린-4-설포닐)-페닐]-아미드;7-trifluoromethyl-5- (4-trifluoromethyl-phenyl) -pyrazolo [1,5-a] pyrimidine-3-carboxylic acid [3- (morpholine-4-sulfonyl) -phenyl] -amides;

7-다이플루오로메틸-5-(4-트라이플루오로메틸-페닐)-피라졸로[1,5-a]피리미딘-3-카복실산[3-(모폴린-4-설포닐)-페닐]-아미드;7-difluoromethyl-5- (4-trifluoromethyl-phenyl) -pyrazolo [1,5-a] pyrimidine-3-carboxylic acid [3- (morpholine-4-sulfonyl) -phenyl] -amides;

5-(4-클로로-페닐)-7-다이플루오로메틸-피라졸로[1,5-a]피리미딘-3-카복실산[3-(모폴린-4-설포닐)-페닐]-아미드;5- (4-Chloro-phenyl) -7-difluoromethyl-pyrazolo [1,5-a] pyrimidine-3-carboxylic acid [3- (morpholine-4-sulfonyl) -phenyl] -amide;

5-(4-클로로-페닐)-7-트라이플루오로메틸-피라졸로[1,5-a]피리미딘-3-카복실산[3-(모폴린-4-설포닐)-페닐]-아미드;5- (4-Chloro-phenyl) -7-trifluoromethyl-pyrazolo [1,5-a] pyrimidine-3-carboxylic acid [3- (morpholine-4-sulfonyl) -phenyl] -amide;

7-다이플루오로메틸-5-(3-메틸-4-트라이플루오로메틸-페닐)-피라졸로[1,5-a]피리미딘-3-카복실산[3-(모폴린-4-설포닐)-페닐]-아미드;7-difluoromethyl-5- (3-methyl-4-trifluoromethyl-phenyl) -pyrazolo [1,5-a] pyrimidine-3-carboxylic acid [3- (morpholine-4-sulfonyl ) -Phenyl] -amide;

5-(4-클로로-3-메틸-페닐)-7-트라이플루오로메틸-피라졸로[1,5-a]피리미딘-3-카복실산[3-(모폴린-4-설포닐)-페닐]-아미드;5- (4-Chloro-3-methyl-phenyl) -7-trifluoromethyl-pyrazolo [1,5-a] pyrimidine-3-carboxylic acid [3- (morpholine-4-sulfonyl) -phenyl ]-amides;

5-(3,4-다이클로로-페닐)-7-다이플루오로메틸-피라졸로[1,5-a]피리미딘-3-카복실산[3-(모폴린-4-설포닐)-페닐]-아미드;5- (3,4-Dichloro-phenyl) -7-difluoromethyl-pyrazolo [1,5-a] pyrimidine-3-carboxylic acid [3- (morpholine-4-sulfonyl) -phenyl] -amides;

5-(3,4-다이클로로-페닐)-7-트라이플루오로메틸-피라졸로[1,5-a]피리미딘-3-카복실산[3-(모폴린-4-설포닐)-페닐]-아미드;5- (3,4-Dichloro-phenyl) -7-trifluoromethyl-pyrazolo [1,5-a] pyrimidine-3-carboxylic acid [3- (morpholine-4-sulfonyl) -phenyl] -amides;

5-(3-메틸-4-트라이플루오로메틸-페닐)-7-트라이플루오로메틸-피라졸로[1,5-a]피리미딘-3-카복실산[3-(모폴린-4-설포닐)-페닐]-아미드; 및5- (3-Methyl-4-trifluoromethyl-phenyl) -7-trifluoromethyl-pyrazolo [1,5-a] pyrimidine-3-carboxylic acid [3- (morpholine-4-sulfonyl ) -Phenyl] -amide; And

5-(3-에톡시-4-트라이플루오로메틸-페닐)-7-트라이플루오로메틸-피라졸로[1,5-a]피리미딘-3-카복실산[3-(모폴린-4-설포닐)-페닐]-아미드.5- (3-Ethoxy-4-trifluoromethyl-phenyl) -7-trifluoromethyl-pyrazolo [1,5-a] pyrimidine-3-carboxylic acid [3- (morpholin-4-sulfur Phonyl) -phenyl] -amide.

본 발명의 더욱 다른 바람직한 화합물은 R3이 피롤리딘이고; R1, R2, R4, R5 및 p가 상기 정의한 바와 같은 화합물이며, 예를 들어 하기의 화합물이다:Still other preferred compounds of the invention are those wherein R3 is pyrrolidine; R1 , R2 , R4 , R5 and p are the compounds as defined above, for example the following compounds:

7-트라이플루오로메틸-5-(4-트라이플루오로메틸-페닐)-피라졸로[1,5-a]피리미딘-3-카복실산[3-(피롤리딘-1-설포닐)-페닐]-아미드;7-Trifluoromethyl-5- (4-trifluoromethyl-phenyl) -pyrazolo [1,5-a] pyrimidine-3-carboxylic acid [3- (pyrrolidine-1-sulfonyl) -phenyl ]-amides;

5-(4-클로로-페닐)-7-트라이플루오로메틸-피라졸로[1,5-a]피리미딘-3-카복실산[3-(피롤리딘-1-설포닐)-페닐]-아미드;5- (4-Chloro-phenyl) -7-trifluoromethyl-pyrazolo [1,5-a] pyrimidine-3-carboxylic acid [3- (pyrrolidine-1-sulfonyl) -phenyl] -amide ;

7-다이플루오로메틸-5-(3-메틸-4-트라이플루오로메틸-페닐)-피라졸로[1,5-a]피리미딘-3-카복실산[3-(피롤리딘-1-설포닐)-페닐]-아미드;7-Difluoromethyl-5- (3-methyl-4-trifluoromethyl-phenyl) -pyrazolo [1,5-a] pyrimidine-3-carboxylic acid [3- (pyrrolidine-1-sul Phonyl) -phenyl] -amide;

5-(4-클로로-3-메틸-페닐)-7-트라이플루오로메틸-피라졸로[1,5-a]피리미딘-3-카복실산[3-(피롤리딘-1-설포닐)-페닐]-아미드;5- (4-Chloro-3-methyl-phenyl) -7-trifluoromethyl-pyrazolo [1,5-a] pyrimidine-3-carboxylic acid [3- (pyrrolidine-1-sulfonyl)- Phenyl] -amide;

5-(4-클로로-페닐)-7-트라이플루오로메틸-피라졸로[1,5-a]피리미딘-3-카복실산[3-((S)-2-하이드록시메틸-피롤리딘-1-설포닐)-페닐]-아미드; 및5- (4-Chloro-phenyl) -7-trifluoromethyl-pyrazolo [1,5-a] pyrimidine-3-carboxylic acid [3-((S) -2-hydroxymethyl-pyrrolidine- 1-sulfonyl) -phenyl] -amide; And

5-(4-클로로-페닐)-7-사이클로프로필-피라졸로[1,5-a]피리미딘-3-카복실산[3-((S)-2-하이드록시메틸-피롤리딘-1-설포닐)-페닐]-아미드.5- (4-Chloro-phenyl) -7-cyclopropyl-pyrazolo [1,5-a] pyrimidine-3-carboxylic acid [3-((S) -2-hydroxymethyl-pyrrolidine-1- Sulfonyl) -phenyl] -amide.

본 발명의 화합물을, 하기 화학식 VI의 화합물을 하기 화학식 VII의 화합물과 반응시켜 화학식 I의 화합물을 수득하고, 필요에 따라 상기 화학식 I의 화합물을 그의 약학적으로 허용가능한 부가 염으로 전환시킴을 포함하는 방법에 따라 제조할 수 있다:Reacting a compound of formula (VI) with a compound of formula (VII) to yield a compound of formula (I), and converting the compound of formula (I) to its pharmaceutically acceptable addition salt, if necessary It can be prepared according to the method:

Figure 112006094490118-pct00002
Figure 112006094490118-pct00002

Figure 112006094490118-pct00003
Figure 112006094490118-pct00003

상기 식에서,Where

R1, R2, R3, R4, R5 및 p는 상기 화학식 I에서 정의한 바와 같다.R1 , R2 , R3 , R4 , R5 and p are as defined in formula (I) above.

상기 약학적으로 허용가능한 부가 염을 그 자체가 공지된 방법에 따라 염으로 전환시키려는 화합물의 성질을 고려하여 쉽게 제조할 수 있다. 무기 또는 유기산, 예를 들어 염산, 브롬화 수소산, 황산, 질산, 인산 또는 시트르산, 폼산, 푸마르산, 말레산, 아세트산, 숙신산, 타르타르산, 메탄설폰산, p-톨루엔설폰산 등이 화학식 I의 염기성 화합물의 약학적으로 허용가능한 염을 형성하는데 적합하다.The pharmaceutically acceptable addition salts can be readily prepared taking into account the nature of the compound to be converted to the salt according to methods known per se. Inorganic or organic acids, such as hydrochloric acid, hydrobromic acid, sulfuric acid, nitric acid, phosphoric acid or citric acid, formic acid, fumaric acid, maleic acid, acetic acid, succinic acid, tartaric acid, methanesulfonic acid, p-toluenesulfonic acid, and the like It is suitable for forming pharmaceutically acceptable salts.

상기 화학식 VI의 중간체 화합물의 합성을 하기 일반적인 과정 I 및/또는 Ia에 따라 수행할 수 있으며, 상기 과정을 반응식 1 및 반응식 1a로 하기에 개략한다. 반응식 1에 제공된 과정은 R4가 CF3 또는 CHF2인 중간체 화합물 VI에 편리한 반면, R4가 선형 C1-3 알킬 또는 사이클로프로필인 중간체 화합물 VI의 경우엔 반응 식 1a에 개략된 과정이 바람직하다.Synthesis of the intermediate compound of Formula VI may be carried out according to the following general procedures I and / or Ia, outlined below in Scheme 1 and Scheme 1a. Procedure provided in Scheme 1 is R4 is CF3 or CHF2, while convenient to the intermediate compound VI, R4 is a linear C1-3 preferable en schematically the process in the reaction formula 1a for the intermediate compound VI alkyl or cyclopropyl Do.

화학식 VII의 화합물과 화학식 VI의 화합물과의 반응에 대해서, 상기를 예를 들어 하기 반응식 2에 개략된 하기 일반적인 과정 II에 따라 수행할 수 있으며, 이들 반응식(I, Ia 및 II)에서, R1, R2, R3, R4, R5 및 p는 상기 정의한 바와 같다. 반응 과정 I/Ia 및 II를 화학식 I에 따른 모든 화합물의 제조에 적용할 수 있다.For the reaction of a compound of formula (VII) with a compound of formula (VI), this can be carried out according to, for example, the following general procedure II outlined in Scheme 2 below, in which R1 , Ia and II , R2 , R3 , R4 , R5 and p are as defined above. The reaction processes I / Ia and II can be applied for the preparation of all compounds according to formula (I).

일반적인 과정 IGeneral course I

Figure 112006094490118-pct00004
Figure 112006094490118-pct00004

단계 1.1:Step 1.1:

유기 용매(예를 들어 3급-부틸-메틸-에테르) 중의 화학식 III 화합물의 교반된 용액에 실온에서 메탄올 중의 나트륨 메톡사이드 용액을 가한 다음 유기 용매(예를 들어 3급-부틸-메틸-에테르) 중의 화학식 II 화합물의 용액을 가한다. 상기 반응 혼합물을 실온에서 약 19 시간 동안 교반하고, 냉각시키고, 산성화하고 추출 한다(예를 들어 다이에틸 에테르에 의해). 상기 합한 유기 층을 세척하고 건조시키고(예를 들어 MgSO4에 의해) 증발시켜 화학식 IV의 조 화합물을 수득하고 이를 추가의 정제 없이 사용할 수 있다.To a stirred solution of the compound of formula III in an organic solvent (eg tert-butyl-methyl-ether) is added a solution of sodium methoxide in methanol at room temperature followed by an organic solvent (eg tert-butyl-methyl-ether) A solution of the compound of formula II in was added. The reaction mixture is stirred at room temperature for about 19 hours, cooled, acidified and extracted (eg with diethyl ether). The combined organic layers can be washed, dried (eg by MgSO4 ) and evaporated to afford the crude compound of formula IV which can be used without further purification.

단계 1.2:Step 1.2:

유기산(예를 들어 아세트산) 중의 상업적으로 입수할 수 있는 3-아미노-4-에톡시카보닐-피라졸(화학식 V의 화합물) 및 화학식 IV의 화합물의 교반된 혼합물을 약 1.5 시간 동안 환류 조건 하에서 가열한다. 상기 반응 혼합물을 증발시키고 조 생성물을 농축된 염기(예를 들어 메탄올 및 수 중의 KOH)의 혼합물에 용해시킨다. 상기 반응 혼합물을 약 60 ℃에서 약 1.5 시간 동안 교반하고, 냉각시키고, 산성화하고 농축시킨다. 침전물을 여과에 의해 수거하고 추가로 정제시켜(예를 들어 다이에탈 에테르/메탄올로부터 재결정화에 의해) 화학식 VI의 화합물을 수득한다.A stirred mixture of commercially available 3-amino-4-ethoxycarbonyl-pyrazole (compound of formula V) and a compound of formula IV in an organic acid (e. G. Acetic acid) was subjected to reflux for about 1.5 hours. Heat. The reaction mixture is evaporated and the crude product is dissolved in a mixture of concentrated bases (eg methanol and KOH in water). The reaction mixture is stirred at about 60 ° C. for about 1.5 hours, cooled, acidified and concentrated. The precipitate is collected by filtration and further purified (for example by recrystallization from dietal ether / methanol) to afford the compound of formula VI.

일반적인 과정General processIaIa

Figure 112006094490118-pct00005
Figure 112006094490118-pct00005

단계 1a.1:Step 1a.1:

톨루엔 중의 수소화 나트륨의 현탁액에 다이에틸 카보네이트 및 화학식 II의 화합물을 계속해서 가한다. 상기 용액을 공정 수소 기체가 생성되는 동안 100 ℃ 이하로 서서히 가온한다. 상기 혼합물을 6 내지 15 시간 동안 환류 온도에서 교반한다. 상기 혼합물을 10 ℃로 냉각시킨 후에, 아세트산을 가한 다음 빙수 및 농 HCl을 가한다. 상기 혼합물을 추출한다(예를 들어 에틸 아세테이트에 의해). 유기 층을 수성 NaHCO3 용액, 물 및 염수로 연속적으로 세척하고, 건조시키고(예를 들어 Na2SO4에 의해) 증발시킨다. 나머지 화학식 IX의 조 생성물을 다음 단계에 직접 사용하거나, 또는 임의로 예를 들어 증류에 의해 정제시킨다.Diethyl carbonate and the compound of formula II are subsequently added to the suspension of sodium hydride in toluene. The solution is slowly warmed up to 100 ° C while producing process hydrogen gas. The mixture is stirred at reflux for 6-15 hours. After cooling the mixture to 10 ° C., acetic acid is added followed by ice water and concentrated HCl. The mixture is extracted (for example by ethyl acetate). The organic layer is washed successively with aqueous NaHCO3 solution, water and brine, dried (eg by Na2 SO4 ) and evaporated. The remaining crude product of formula (IX) is used directly in the next step or is optionally purified, for example by distillation.

단계 1a.2:Step 1a.2:

화학식 IX의 화합물 및 3-아미노-4-에톡시카보닐-피라졸(화학식 V의 화합물)의 혼합물을 순수하게 교반하면서 2 내지 6 시간 동안 약 150 ℃로 가열하거나, 또는 바람직하게는 용매 중에서 가열한다(예를 들어 아세트산 중에서 8 내지 20 시간 동안). 화학식 X의 생성물을 통상적인 후처리 과정, 예를 들어 물에 의한 생성물의 침전 또는 물과 유기 용매, 예를 들어 다이클로로메탄 사이의 반응 혼합물의 분배에 의해 단리시킬 수 있으며, 상기 조 생성물을 예를 들어 결정화에 의해 추가로 정제시킬 수 있다.The mixture of the compound of formula IX and 3-amino-4-ethoxycarbonyl-pyrazole (compound of formula V) is heated to about 150 ° C. for 2 to 6 hours with pure stirring, or preferably in a solvent (For 8 to 20 hours in acetic acid, for example). The product of formula X can be isolated by conventional work-up procedures, for example by precipitation of the product by water or by the distribution of the reaction mixture between water and an organic solvent, for example dichloromethane, the crude product being For example, it can be further purified by crystallization.

단계 1a.3:Step 1a.3:

화학식 X의 화합물을 바람직하게는 염기성 촉매(예를 들어 다이메틸 아닐린)의 존재 하에서 1 내지 15 시간 동안 80 내지 100 ℃로 POCl3과 함께 교반하면서 가열한다. 상기 혼합물을 냉각시키고 진공 하에서 증발시킨다. 잔사를 물과 유기 용매(예를 들어 다이클로로메탄 또는 에틸 아세테이트) 사이에 분배시키고, 유기 층을 물 및 염수로 세척하고, 건조시키고(예를 들어 Na2SO4에 의해), 증발시킨다. 화학식 XI의 나머지 조 생성물을 다음 단계에 직접 사용하거나, 또는 임의로 예를 들어 결정화에 의해 정제시킨다.The compound of formula X is preferably heated with stirring with POCl3 to 80-100 ° C. for 1 to 15 hours in the presence of a basic catalyst (eg dimethyl aniline). The mixture is cooled and evaporated under vacuum. The residue is partitioned between water and an organic solvent (eg dichloromethane or ethyl acetate) and the organic layer is washed with water and brine, dried (eg by Na2 SO4 ) and evaporated. The remaining crude product of formula (XI) is used directly in the next step or optionally purified, for example by crystallization.

단계 1a.4:Step 1a.4:

R4가 선형 C1-3-알킬 또는 사이클로프로필인 화합물 XIII의 제조를 위해서, THF 중의 화학식 XIII의 화합물, 시약 R4ZnCl(XII) 또는 Zn(R4)2(XIIb) 및 Pd(0) 촉 매(예를 들어 Pd(PPh3)4)의 용액을 0.5 내지 6 시간 동안 40 내지 70 ℃로 가열한다. 상기 냉각된 반응 혼합물에 포화된 수성 염화 암모늄을 가한다. 상기 혼합물을 에틸 아세테이트로 추출하고 유기 층을 물과 염수로 세척하고 건조시키고(예를 들어 Na2SO4에 의해) 증발시킨다. 조 생성물을 다음 단계에 직접 사용하거나, 또는 우선 크로마토그래피 및/또는 결정화에 의해 정제시킨다.R4 is a linear C1-3 - for alkyl or cyclopropyl manufacture of compound XIII, a compound of formula (XIII) in THF, a reagent R4 ZnCl (XII) orZn (R 4) 2 (XIIb ) , and Pd (0) The solution of catalyst (eg Pd (PPh3 )4 ) is heated to 40-70 ° C. for 0.5-6 hours. Saturated aqueous ammonium chloride is added to the cooled reaction mixture. The mixture is extracted with ethyl acetate and the organic layer is washed with water and brine, dried (eg by Na2 SO4 ) and evaporated. The crude product is used directly in the next step or first purified by chromatography and / or crystallization.

R4가 수소를 나타내는 화합물 XIII의 제조를 위해서, 용매(예를 들어 에탄올) 중의 화학식 XIII의 화합물 용액을 목탄 상 팔라듐 및 염기(예를 들어 트라이에틸아민)의 존재 하에 수소 분위기 하에서 0.1 내지 0.3 시간 동안 20 ℃에서 교반한다. 상기 혼합물을 여과하고 용매를 증발시켜 R4가 수소인 화학식 XIII의 화합물을 수득한다.For the preparation of compound XIII wherein R4 represents hydrogen, a solution of the compound of formula XIII in a solvent (e.g. ethanol) was subjected to 0.1 to 0.3 h under hydrogen atmosphere in the presence of palladium on charcoal and a base (e.g. triethylamine). While stirring at 20 ° C. The mixture is filtered and the solvent is evaporated to afford a compound of formula XIII wherein R4 is hydrogen.

단계 1a.5:Step 1a.5:

R4가 선형 C1-3-알킬 또는 사이클로프로필인 중간체 화합물 VI을, 중간체 화합물 XIII에 에틸 에스터의 가수분해에 사용되는 통상적인 과정을 가함으로써, 예를 들어 20 내지 70 ℃에서, 임의로 메탄올과 같은 공 용매의 존재 하에서, 수성 염기, 예를 들어 2N 수산화 나트륨 용액으로 처리함으로써 제조할 수 있다.R4 is a linear C1-3 - alkyl or cyclopropyl the intermediate compound VI, by applying a conventional process used for the hydrolysis of the ethyl ester intermediate compound XIII, for example, from 20 to 70 ℃, methanol and optionally In the presence of the same co-solvent, it can be prepared by treatment with an aqueous base such as 2N sodium hydroxide solution.

일반적인 과정General processIIII

Figure 112006094490118-pct00006
Figure 112006094490118-pct00006

단계 2.1:Step 2.1:

용매(예를 들어 THF) 중의 화학식 VI 화합물의 교반된 용액에 실온에서 DMF를 가하고, 상기 용액을 약 0 ℃로 냉각시키고 염화 옥살릴을 가한다. 상기 반응 혼합물을 실온에서 약 3 시간 동안 교반하고 증발 건조시킨다. 실온에서 교반하면서 침전물을 피리딘에 용해시키고, 4-다이메틸아미노-피리딘 및 화학식 VII의 화합물을 가한다. 반응 혼합물을 실온에서 약 16 시간 동안 교반하고, 증발 건조시키고, 조 생성물을 정제시켜(예를 들어 실리카겔 상에서 플래시 크로마토그래피에 의해) 생성물을 수득하고, 이를 추가로 정제시킬 수 있다(예를 들어 메탄올/헥산으로부터 결정화에 의해).To a stirred solution of the compound of formula VI in a solvent (eg THF) is added DMF at room temperature, the solution is cooled to about 0 ° C. and oxalyl chloride is added. The reaction mixture is stirred at room temperature for about 3 hours and evaporated to dryness. The precipitate is dissolved in pyridine with stirring at room temperature and 4-dimethylamino-pyridine and the compound of formula VII are added. The reaction mixture can be stirred at room temperature for about 16 hours, evaporated to dryness and the crude product purified (eg by flash chromatography on silica gel) to afford the product, which can be further purified (eg methanol). By crystallization from hexane).

화학식 I의 화합물 및 그의 약학적으로 허용가능한 염은 대사조절성 글루타 메이트 수용체 길항물질이며 급성 및/또는 만성 신경 질환, 예를 들어 정신병, 정신분열증, 알쯔하이머병, 인지 장애 및 기억력 결핍의 치료 또는 예방에 사용될 수 있다. 다른 치료될 수 있는 적응증은 우회술 또는 이식에 의해 유발된 제한된 뇌 기능, 뇌로의 불충분한 혈액 공급, 척수 손상, 두부 손상, 임신에 의해 유발된 저산소증, 심장 정지 및 저혈당증이다. 추가로 치료 가능한 적응증은 만성 및 급성 통증, 헌팅톤 무도병, 근위축성 측삭 경화증(ALS), AIDS에 의해 유발된 치매, 눈 손상, 망막병증, 특발성 파킨슨증 또는 약물에 의해 유발된 파킨슨증뿐만 아니라 글루타메이트-결핍 작용을 도출시키는 병, 예를 들어 근육 연축, 경련, 편두통, 요실금, 니코틴 중독, 아편 중독, 불안증, 구토, 운동이상증, 우울증 및 신경아교종(GluR2 길항물질이 인간 신경아교종 세포에서 세포 증식을 감소시키는 것으로 밝혀졌으므로)(J. Neurochem. March 2003, 84(6):1288-95)이다.Compounds of formula (I) and pharmaceutically acceptable salts thereof are metabolic glutamate receptor antagonists and the treatment of acute and / or chronic neurological diseases such as psychosis, schizophrenia, Alzheimer's disease, cognitive impairment and memory deficiency or Can be used for prevention. Other treatable indications are limited brain function caused by bypass surgery or transplantation, insufficient blood supply to the brain, spinal cord injury, head injury, hypoxia caused by pregnancy, cardiac arrest and hypoglycemia. Further treatable indications include glutamate-deficiency as well as chronic and acute pain, Huntington's chorea, Amyotrophic Lateral Sclerosis (ALS), AIDS-induced dementia, eye damage, retinopathy, idiopathic Parkinsonism or drug-induced Parkinsonism Diseases that elicit action, such as muscle spasms, cramps, migraine, incontinence, nicotine addiction, opioid addiction, anxiety, vomiting, dyskinesia, depression and glioma (GluR2 antagonists reduce cell proliferation in human glioma cells (J. Neurochem. March 2003, 84 (6): 1288-95).

화학식 I의 화합물 및 그의 약학적으로 허용가능한 염을 약제로서, 예를 들어 약학 제제의 형태로 사용할 수 있다. 상기 약학 제제를 경구로, 예를 들어 정제, 코팅정, 당의정, 경질 및 연질 젤라틴 캡슐, 용액, 유화액 또는 현탁액의 형태로 투여할 수 있다. 그러나, 상기 투여를 또한 직장에 의해, 예를 들어 좌약의 형태로, 또는 비 경구로, 예를 들어 주사액의 형태로 수행할 수 있다.The compounds of formula (I) and their pharmaceutically acceptable salts can be used as medicaments, for example in the form of pharmaceutical preparations. The pharmaceutical preparations can be administered orally, e.g. in the form of tablets, coated tablets, dragees, hard and soft gelatin capsules, solutions, emulsions or suspensions. However, the administration can also be carried out rectally, for example in the form of suppositories, or orally, for example in the form of injections.

화학식 I의 화합물 및 그의 약학적으로 허용가능한 염을 약학 제제의 제조를 위해 약학적으로 불활성인 무기 또는 유기 담체와 함께 가공할 수 있다. 락토오즈, 옥수수 전분 또는 그의 유도체, 활석, 스테아르산 또는 그의 염 등을 예를 들어 정제, 코팅정, 당의정 및 경질 젤라틴 캡슐용의 상기와 같은 담체로서 사용할 수 있다. 연질 젤라틴 캡슐에 적합한 담체는 예를 들어 식물성 오일, 왁스, 지방, 반-고체 및 액체 폴리올 등이나; 활성 물질의 성질에 따라, 대개는 연질 젤라틴 캡슐의 경우에 담체가 필요하지 않다. 용액 및 시럽의 제조에 적합한 담체는 예를 들어 물, 폴리올, 슈크로즈, 전화당, 글루코스 등이다. 보조제, 예를 들어 알콜, 폴리올, 글리세롤, 식물성 오일 등을 화학식 I의 화합물의 수용성 염의 수성 주사액에 사용할 수 있으나, 대체로 필요하지는 않다. 좌약에 적합한 담체는 예를 들어 천연 오일 또는 경화유, 왁스, 지방, 반-액체 또는 액체 폴리올 등이다.The compounds of formula (I) and their pharmaceutically acceptable salts can be processed with pharmaceutically inert, inorganic or organic carriers for the preparation of pharmaceutical preparations. Lactose, corn starch or derivatives thereof, talc, stearic acid or its salts and the like can be used as such carriers for tablets, coated tablets, dragees and hard gelatin capsules, for example. Suitable carriers for soft gelatin capsules are, for example, vegetable oils, waxes, fats, semi-solid and liquid polyols and the like; Depending on the nature of the active substance, no carrier is usually required in the case of soft gelatin capsules. Suitable carriers for the production of solutions and syrups are, for example, water, polyols, sucrose, invert sugar, glucose and the like. Adjuvants such as alcohols, polyols, glycerol, vegetable oils and the like can be used in aqueous injections of the water-soluble salts of the compounds of formula (I), but are generally not necessary. Suitable carriers for suppositories are, for example, natural or hardened oils, waxes, fats, semi-liquid or liquid polyols and the like.

또한, 상기 약학 제제는 보존제, 용해제, 안정제, 습윤제, 유화제, 감미제, 착색제, 풍미제, 삼투압 변화용 염, 완충제, 마스킹제 또는 산화방지제를 함유할 수 있다. 상기는 또한 더욱 다른 치료학적으로 귀중한 물질을 함유할 수도 있다.In addition, the pharmaceutical preparations may contain preservatives, solubilizers, stabilizers, wetting agents, emulsifiers, sweeteners, colorants, flavors, salts for varying the osmotic pressure, buffers, masking agents or antioxidants. It may also contain other therapeutically valuable substances.

앞서 언급한 바와 같이, 화학식 I의 화합물 또는 그의 약학적으로 허용가능한 염 및 치료학적으로 불활성인 부형제를 함유하는 약제가 또한, 하나 이상의 화학식 I의 화합물 또는 그의 약학적으로 허용가능한 염 및 경우에 따라 하나 이상의 다른 치료학적으로 귀중한 물질을 하나 이상의 치료학적으로 불활성인 담체와 함께 생약 투여형으로 만드는 것을 포함하는 상기와 같은 약제의 제조방법과 같이 본 발명의 목적이다.As mentioned above, a medicament containing a compound of formula (I) or a pharmaceutically acceptable salt thereof and a therapeutically inert excipient may also contain one or more compounds of formula (I) or a pharmaceutically acceptable salt thereof and optionally It is an object of the present invention as a method for the manufacture of a medicament as described above comprising making one or more other therapeutically valuable substances into a herbal dosage form with one or more therapeutically inert carriers.

상기 투여량은 광범위한 한계 내에서 변할 수 있으며, 이는 물론 각각의 특정한 경우에 개별적인 요건에 적합할 것이다. 일반적으로, 경구 또는 비 경구 투여에 유효한 투여량은 0.01 내지 20 ㎎/㎏/일이며, 개시된 모든 적응증에 대해 0.1 내지 10 ㎎/㎏/일의 투여량이 바람직하다. 체중 70 ㎏의 성인의 1일 투여량은 상 응하게 하루에 0.7 내지 1400 ㎎, 바람직하게는 7 내지 700 ㎎이다.The dosage may vary within wide limits and will, of course, be fitted to the individual requirements in each particular case. In general, effective dosages for oral or non-oral administration are 0.01 to 20 mg / kg / day, with a dosage of 0.1 to 10 mg / kg / day being preferred for all indications disclosed. The daily dose of an adult 70 kg body weight is correspondingly 0.7 to 1400 mg, preferably 7 to 700 mg per day.

본 발명은 또한 약제의 제조를 위한, 특히 상기 언급한 종류의 급성 및/또는 만성 신경 질환의 억제 또는 예방을 위한 화학식 I의 화합물 및 그의 약학적으로 허용가능한 염의 용도에 관한 것이다.The invention also relates to the use of the compounds of formula (I) and pharmaceutically acceptable salts thereof for the manufacture of a medicament, in particular for the inhibition or prevention of acute and / or chronic neurological diseases of the aforementioned kind.

본 발명의 화합물은 그룹 II mGlu 수용체 길항물질이다. 상기 화합물은 하기 개시한 분석에서 측정 시, 0.060 μM 이하, 전형적으로는 0.025 μM 이하, 및 이상적으로는 0.010 μM 이하의 활성을 나타낸다. 하기 표에 바람직한 화합물의 일부 특정한 Ki 값을 개시한다.Compounds of the invention are group II mGlu receptor antagonists. The compound exhibits activity of 0.060 μM or less, typically 0.025 μM or less, and ideally 0.010 μM or less, as measured in the assays described below. Some specific Ki values of the preferred compounds are set forth in the table below.

Figure 112006094490118-pct00007
Figure 112006094490118-pct00007

mGlu2mGlu2 형질감염된 TransfectedCHOCHO 세포막에의 [ To the cell membrane33H]-H]-LY354740LY354740 결합 Combination

형질감염 및 세포 배양Transfection and Cell Culture

pBluescript II 중의 래트 mGlu2 수용체 단백질을 암호화하는 cDNA를 진핵세포 발현 벡터 pcDNA I-amp(Invitrogen Ltd, Paisley, UK)에 서브 클로닝하였다. 상기 벡터 구조물(pcD1mGR2)을 네오마이신 내성 유전자를 암호화하는 psvNeo 플라스미드와 함께 문헌[Chen & Okayama(1988)]에 개시된 변형된 칼슘 포스페이트 방법에 의해 CHO 세포에 동시 형질감염시켰다. 상기 세포를 감소된 L-글루타민(2 mM 최종 농도) 및 10% 투석된 송아지 태아 혈청(Gibco-Invitrogen, Carlsbad, CA, USA)이 보충된 둘베코의 변형된 이글 배지에서 유지시켰다. G-418(1000 ug/㎖ 최종) 및 MCPG의 존재 하에서 선택을 수행하였다. 클론을 5 ㎍의 총 RNA의 역 전사 에 이어서 60 mM 트리스 HCl(pH 10), 15 mM (NH4)2SO4, 2 mM MgCl2, 25 단위/㎖ Taq 폴리머라제 중의 mGlu2 수용체 특이적 프라이머 5'-atcactgcttgggtttctggcactg-3' 및 5'-agcatcactgtgggtggcataggagc-3'을 사용하여 30 주기의 60 ℃에서 1 분의 어닐링, 72 ℃에서 30 초의 연장, 및 95 ℃에서 1 분 변성의 PCR에 의해 동정하였다.The cDNA encoding the rat mGlu2 receptor protein in pBluescript II was subcloned into the eukaryotic expression vector pcDNA I-amp (Invitrogen Ltd, Paisley, UK). The vector construct (pcD1mGR2) was co-transfected into CHO cells by the modified calcium phosphate method disclosed in Chen & Okayama (1988) along with the psvNeo plasmid encoding the neomycin resistance gene. The cells were maintained in Dulbecco's modified Eagle's medium supplemented with reduced L-glutamine (2 mM final concentration) and 10% dialysed calf fetal serum (Gibco-Invitrogen, Carlsbad, Calif., USA). Selection was performed in the presence of G-418 (1000 ug / ml final) and MCPG. The clones were reverse transcription of 5 μg total RNA followed by mGlu2 receptor specific primer 5 ′ in 60 mM Tris HCl (pH 10), 15 mM (NH 4)2 SO4 , 2 mM MgCl2 , 25 units / ml Taq polymerase. -atcactgcttgggtttctggcactg-3 'and 5'-agcatcactgtgggtggcataggagc-3' were identified by PCR with 30 cycles of 1 minute annealing at 60 ° C, extension of 30 seconds at 72 ° C, and 1 minute denaturation at 95 ° C.

세포막 제조Cell membrane manufacturing

상기와 같이 배양한 세포를 수확하고 저온 PBS로 3 회 세척하고 -80 ℃에서 동결시켰다. 펠릿을 10 mM EDTA(pH 7.4)를 함유하는 저온 20 mM HEPES-NaOH 완충액에 재 현탁시키고 폴리트론(Kinematica, AG, Littau, Switzerland)으로 10 000 rpm에서 10 초 동안 균질화시켰다. 4 ℃에서 30 분 동안 원심분리시킨 후에, 펠릿을 동일한 완충액으로 1 회 세척하고, 0.1 mM EDTA(pH 7.4)를 함유하는 저온 20 mM HEPES-NaOH 완충액으로 1 회 세척하였다. 단백질 함량을 표준물로서 소 혈청 알부민을 사용하여 마이크로 BCA 방법(Pierce-Perbio)(Rockford, IL, USA)으로 측정하였다.Cells incubated as above were harvested, washed three times with cold PBS and frozen at -80 ° C. The pellet was resuspended in cold 20 mM HEPES-NaOH buffer containing 10 mM EDTA (pH 7.4) and homogenized for 10 seconds at 10 000 rpm with polytron (Kinematica, AG, Littau, Switzerland). After centrifugation at 4 ° C. for 30 minutes, the pellet was washed once with the same buffer and once with cold 20 mM HEPES-NaOH buffer containing 0.1 mM EDTA, pH 7.4. Protein content was determined by micro BCA method (Pierce-Perbio) (Rockford, IL, USA) using bovine serum albumin as a standard.

[[33H]-H]-LY354740LY354740 결합 Combination

해동 후에, 상기 세포막을 2 mM MgCl2(pH 7)(결합 완충액)를 함유하는 저온 50 mM 트리스-HCl 완충액에 재 현탁시켰다. 상기 분석에서 세포막의 최종 농도는 25 ㎍ 단백질/㎖이었다. 억제 실험을 시험할 다양한 농도의 화합물의 존재 하에서 1 시간 동안 실온에서 10 nM [3H]-LY354740과 함께 배양한 세포막을 사용하여 수행 하였다. 상기 배양에 이어서, 멤브레인을 완트만 GF/B 유리 섬유 필터 상에서 여과하고 저온 결합 완충액으로 5 회 세척하였다. 비 특이적 결합을 10 μM DCG IV의 존재 하에서 측정하였다. 상기 필터를 울티마-금 섬광 유체(Perkin-Elmer, Boston, MA, USA) 10 ㎖을 함유하는 플라스틱 바이알로 옮긴 후에, 트라이-카브(Tri-Carb) 2500 TR 계수기(Packard, Zurich, Switzerland)에서 액체 섬광에 의해 측정하였다.After thawing, the cell membranes were resuspended in cold 50 mM Tris-HCl buffer containing 2 mM MgCl2 (pH 7) (binding buffer). The final concentration of cell membrane in this assay was 25 μg protein / ml. Inhibition experiments were performed using cell membranes incubated with 10 nM [3 H] -LY354740 at room temperature for 1 hour in the presence of various concentrations of compounds to be tested. Following the incubation, the membrane was filtered on a Watman GF / B glass fiber filter and washed five times with cold binding buffer. Non specific binding was measured in the presence of 10 μM DCG IV. The filter was transferred to a plastic vial containing 10 ml of Ultima-gold scintillation fluid (Perkin-Elmer, Boston, Mass., USA), followed by a liquid in a Tri-Carb 2500 TR counter (Packard, Zurich, Switzerland). Measured by flashing.

데이터 분석Data analysis

억제 곡선을 4 개의 매개변수 기호논리식에 대입하여 IC50 값 및 힐(Hill) 계수를 제공하였다.Inhibition curves were substituted into four parametric logarithmic equations to provide IC50 values and Hill coefficients.

출발 물질의 합성Synthesis of Starting Material

일반적인 과정 I 및 II에 사용된 출발 물질의 일부를 상업적으로 입수할 수 있다. 그러나, 상기 출발 물질의 일부를 달리 나타내지 않는 한 이후에 개략하는 바와 같은 과정에 따라 제조하였으며, 상기 중에 개시된 중간체 화합물은 신규의 화합물이다. 상기 일반적인 과정 I 및 II에 유용한 다른 출발 물질을 하기의 제조 실시예를 고려하고 공지된 방법을 사용하여 제조할 수 있다:Some of the starting materials used in the general procedures I and II are commercially available. However, unless otherwise indicated, some of the starting materials were prepared according to the procedures outlined below, wherein the intermediate compounds disclosed above are novel compounds. Other starting materials useful for the general procedures I and II can be prepared using the known methods, taking into account the following preparation examples:

아세토페논 유도체(화학식 II의 출발 물질)의 합성Synthesis of Acetophenone Derivatives (Starting Materials of Formula II)

실시예Example A.1 A.1

4-메틸-3-트라이플루오로메틸-아세토페논4-Methyl-3-trifluoromethyl-acetophenone

DMSO(3 ㎖) 중의 칼륨 3급-부탄올레이트(1.39 g, 12 밀리몰)의 교반 및 냉각된(0 ℃) 용액에 다이에틸 말로네이트(1.9 ㎖, 12 밀리몰)를 가하고 상기 반응 혼합물을 실온에서 20 분 동안 교반하였다. 상기 백색 현탁액에 실온에서 4-플루오로-3-트라이플루오로메틸-아세토페논(1 g, 5 밀리몰) 및 DMSO(2 ㎖)를 가하였다. 상기 반응 혼합물을 60 ℃에서 6 시간 및 실온에서 16 시간 동안 교반하였다. 상기 반응 혼합물을 냉각시키고(0 ℃), 수(2 ㎖) 중 수산화 칼륨(1.09 g, 19 밀리몰) 용액을 가하고 상기 혼합물을 100 ℃에서 23 시간 동안 교반하였다. 상기 혼합물을 빙/수(40 ㎖)에 붓고 다이에틸 에테르(2 x 40 ㎖)로 추출하였다. 합한 유기 층을 물(3 x 30 ㎖), 염수(30 ㎖)로 세척하고, 건조시키고(MgSO4), 증발시켰다. 조 생성물(0.92 g)을 실리카겔(헵탄/에틸 아세테이트 3:1) 상에서 컬럼 크로마토그래피에 의해 추가로 정제시켜 담황색 액체로서 표제 화합물(0.76 g, 77%)을 제공하였다. MS(EI) 202.0[M].To a stirred and cooled (0 ° C.) solution of potassium tert-butanolate (1.39 g, 12 mmol) in DMSO (3 mL) was added diethyl malonate (1.9 mL, 12 mmol) and the reaction mixture was added at room temperature 20 Stir for minutes. To this white suspension was added 4-fluoro-3-trifluoromethyl-acetophenone (1 g, 5 mmol) and DMSO (2 mL). The reaction mixture was stirred at 60 ° C. for 6 hours and at room temperature for 16 hours. The reaction mixture was cooled (0 ° C), a solution of potassium hydroxide (1.09 g, 19 mmol) in water (2 mL) was added and the mixture was stirred at 100 ° C for 23 h. The mixture was poured into ice / water (40 mL) and extracted with diethyl ether (2 × 40 mL). The combined organic layers were washed with water (3 x 30 mL), brine (30 mL), dried (MgSO4 ) and evaporated. The crude product (0.92 g) was further purified by column chromatography on silica gel (heptane / ethyl acetate 3: 1) to give the title compound (0.76 g, 77%) as a pale yellow liquid. MS (EI) 202.0 [M].

실시예Example A.2 A.2

4-에톡시-3-트라이플루오로메틸-아세토페논4-ethoxy-3-trifluoromethyl-acetophenone

에탄올(30 ㎖) 중의 칼륨 에탄올레이트(2.36 g, 27 밀리몰)의 교반된 현탁액에 실온에서 에탄올(10 ㎖) 중의 4-플루오로-3-트라이플루오로메틸-아세토페논(2.5 g, 12 밀리몰) 용액을 가하였다. 상기 반응 혼합물을 60 ℃에서 2 시간 동안 교반하고 증발시켰다. 빙/2N HCl(50 ㎖)을 가하고 수 층을 다이에틸에테르(2 x 100 ㎖)로 추출하였다. 합한 유기 층을 빙-수(50 ㎖), 염수(50 ㎖)로 세척하고, 건조시키고(MgSO4) 증발시켜 갈색 고체로서 표제 화합물(2.9 g, 98%)을 제공하고, 이를 추가의 정제 없이 사용하였다. MS(EI) 232.1[M].To a stirred suspension of potassium ethanolate (2.36 g, 27 mmol) in ethanol (30 mL) at room temperature 4-fluoro-3-trifluoromethyl-acetophenone (2.5 g, 12 mmol) in ethanol (10 mL). Solution was added. The reaction mixture was stirred at 60 ° C. for 2 hours and evaporated. Ice / 2N HCl (50 mL) was added and the aqueous layer was extracted with diethyl ether (2 × 100 mL). The combined organic layers were washed with ice-water (50 mL), brine (50 mL), dried (MgSO4 ) and evaporated to give the title compound (2.9 g, 98%) as a brown solid, which without further purification. Used. MS (EI) 232.1 [M].

실시예Example A.3 A.3

4-(2,2,2-트라이플루오로-에톡시)-3-트라이플루오로메틸-아세토페논4- (2,2,2-Trifluoro-ethoxy) -3-trifluoromethyl-acetophenone

DMSO(15 ㎖) 중의 4-플루오로-3-트라이플루오로메틸-아세토페논(2.5 g, 12 밀리몰)의 교반된 용액에 실온에서 2,2,2-트라이플루오로에탄올(1.7 g, 17 밀리몰) 및 수산화 칼륨(1.74 g, 27 밀리몰)을 가하였다. 상기 반응 혼합물을 40 ℃에서 30 분 동안 교반하고, 빙/2N HCl(50 ㎖)을 가하고 수 층을 다이에틸에테르(2 x 100 ㎖)로 추출하였다. 합한 유기 층을 빙-수(50 ㎖), 염수(50 ㎖)로 세척하고, 건조시키고(MgSO4) 증발시켜 갈색 고체로서 표제 화합물(3.6 g, 98%)을 제공하고, 이를 추가의 정제 없이 사용하였다. MS(EI) 286.1[M].To a stirred solution of 4-fluoro-3-trifluoromethyl-acetophenone (2.5 g, 12 mmol) in DMSO (15 mL) at room temperature 2,2,2-trifluoroethanol (1.7 g, 17 mmol) ) And potassium hydroxide (1.74 g, 27 mmol) were added. The reaction mixture was stirred at 40 ° C. for 30 minutes, ice / 2N HCl (50 mL) was added and the aqueous layer was extracted with diethyl ether (2 × 100 mL). The combined organic layers were washed with ice-water (50 mL), brine (50 mL), dried (MgSO4 ) and evaporated to give the title compound (3.6 g, 98%) as a brown solid, which was further purified. Used. MS (EI) 286.1 [M].

실시예Example A.4 A.4

3-메틸-4-트라이플루오로메틸-아세토페논3-methyl-4-trifluoromethyl-acetophenone

1-(3-메틸-4-트라이플루오로메틸-페닐)-에탄온을 하기의 시퀀스에 의해 제조하였다:1- (3-Methyl-4-trifluoromethyl-phenyl) -ethanone was prepared by the following sequence:

단계 1: 5-Step 1: 5-메틸methyl-2-나이트로-4--2-nitro-4-트라이플루오로메틸Trifluoromethyl--페닐아민Phenylamine

아르곤 분위기 하에서, DMSO(150 ㎖) 중의 칼륨 3급-부탄올레이트(71.6 g, 625 밀리몰)의 현탁액을 기계적 교반기가 장착된 1.5 L 플라스크에 넣었다. 이어 서 다이에틸 말로네이트(97.9 ㎖, 625 밀리몰)를 20 내지 30 ℃에서 빙 욕 냉각 하에 적가하였다. 상기 농후한 백색 현탁액에 상업적으로 입수할 수 있는 5-클로로-2-나이트로-4-트라이플루오로메틸-페닐아민[CAS-No. 35375-74-7](60.14 g, 250 밀리몰) 고체를 1 회 분취량으로 가하고, 상기 혼합물을 DMSO(100 ㎖)로 희석하고 적색 용액을 60 ℃까지 가온하고 60 ℃에서 20 시간 동안 교반하였다. 상기 혼합물을 23 ℃로 냉각시키고 수(100 ㎖) 중 수산화 칼륨(85%, 65.24 g, 1 몰) 용액을 적가하였다. 이어서 상기 혼합물을 100 ℃로 가열하고 추가로 4 시간 동안 교반하였다. 상기 혼합물을 23 ℃로 냉각시키고, 물(약 1000 ㎖)로 희석하고, 37% HCl3으로 pH 3으로 산성화하고 3급-부틸 메틸 에테르(TBME)로 3 회 추출하였다. 유기 층을 염수로 세척하고, MgSO4 상에서 건조시키고 증발시켜 갈색 고체를 제공하고, 이를 고온 헵탄으로 연마하고, 여과하고 헵탄으로 세척하여 갈색 고체(50.0 g, 91%)로서 표제 화합물을 제공하였으며, 이를 추가의 정제 없이 사용하였다. MS(ISN) 218.9[M-H].Under argon atmosphere, a suspension of potassium tert-butanolate (71.6 g, 625 mmol) in DMSO (150 mL) was placed in a 1.5 L flask equipped with a mechanical stirrer. Diethyl malonate (97.9 mL, 625 mmol) was then added dropwise at 20-30 ° C. under ice bath cooling. 5-Chloro-2-nitro-4-trifluoromethyl-phenylamine, commercially available in the thick white suspension [CAS-No. 35375-74-7] (60.14 g, 250 mmol) solid was added in one aliquot, the mixture was diluted with DMSO (100 mL) and the red solution was warmed to 60 ° C. and stirred at 60 ° C. for 20 hours. The mixture was cooled to 23 ° C. and a solution of potassium hydroxide (85%, 65.24 g, 1 mol) in water (100 mL) was added dropwise. The mixture was then heated to 100 ° C. and stirred for a further 4 hours. The mixture was cooled to 23 ° C., diluted with water (about 1000 mL), acidified to pH 3 with 37% HCl 3 and extracted three times with tert-butyl methyl ether (TBME). The organic layer was washed with brine, dried over MgSO4 and evaporated to give a brown solid which was triturated with hot heptane, filtered and washed with heptane to give the title compound as a brown solid (50.0 g, 91%), It was used without further purification. MS (ISN) 218.9 [M−H].

단계 2: 1-Step 2: 1-브로모Bromo-5--5-메틸methyl-2-나이트로-4--2-nitro-4-트라이플루오로메틸Trifluoromethyl-벤젠-benzene

아세토나이트릴(450 ㎖) 중의 3급-부틸 나이트라이트(45.33 ㎖, 382 밀리몰) 및 구리(II) 브로마이드(76.1 g, 341 밀리몰)의 급속하게 교반된 혼합물에 65 ℃에서 단계 1로부터의 고체 5-메틸-2-나이트로-4-트라이플루오로메틸-페닐아민(50.0 g, 227 밀리몰)을 조심스럽게 가하였다. 상기 첨가를 완료한 후에, 교반을 65 ℃에서 추가로 1 시간 동안 계속하였다. 상기 혼합물을 23 ℃로 냉각시키고 1N HCl(1000 ㎖)에 붓고, TBME로 2 회 추출하고, 유기층을 염수로 세척하고, MgSO4 상에서 건조시켰다. 진공 하에서 용매를 제거하여 갈색 오일이 남았으며, 이를 헵탄/에틸 아세테이트 9:1로 실리카겔 컬럼 크로마토그래피에 의해 정제시켜 황색 액체로서 표제 화합물(49.8 g, 77%)을 제공하였다. MS(EI) 283.0[M] 및 285.0[M+2].Solid 5 from step 1 at 65 ° C. in a rapidly stirred mixture of tert-butyl nitrite (45.33 ml, 382 mmol) and copper (II) bromide (76.1 g, 341 mmol) in acetonitrile (450 mL) -Methyl-2-nitro-4-trifluoromethyl-phenylamine (50.0 g, 227 mmol) was added carefully. After the addition was complete, stirring was continued at 65 ° C. for an additional hour. The mixture was cooled to 23 ° C. and poured into 1N HCl (1000 mL), extracted twice with TBME, the organic layer was washed with brine and dried over MgSO4 . Removal of solvent under vacuum left a brown oil, which was purified by silica gel column chromatography with heptane / ethyl acetate 9: 1 to give the title compound (49.8 g, 77%) as a yellow liquid. MS (EI) 283.0 [M] and 285.0 [M + 2].

단계 3: 5-Step 3: 5-메틸methyl-2-나이트로-4--2-nitro-4-트라이플루오로메틸Trifluoromethyl--벤조나이트릴Benzonitrile

1-메틸-2-피롤리돈(NMP)(180 ㎖) 중의 단계 2로부터의 1-브로모-5-메틸-2-나이트로-4-트라이플루오로메틸-벤젠(49.80 g, 175 밀리몰) 및 구리(I) 시아나이드(16.5 g, 184 밀리몰)의 혼합물을 150 ℃로 가열하고 질소 분위기 하에서 30 분 동안 교반하였다. 상기 혼합물을 23 ℃로 냉각시키고 1N HCl에 붓고, TBME로 추출하고, 염수로 세척하고, Na2SO4 상에서 건조시켰다. 진공 하에서 용매를 제거하여 갈색 오일이 남았으며, 이를 헵탄/에틸 아세테이트 4:1 - >2:1로 실리카겔 컬럼 크로마토그래피에 의해 정제시켜 담황색 고체로서 표제 화합물(35.48 g, 88%)을 제공하였다. MS(EI) 230.1[M].1-Bromo-5-methyl-2-nitro-4-trifluoromethyl-benzene (49.80 g, 175 mmol) from step 2 in 1-methyl-2-pyrrolidone (NMP) (180 mL) And a mixture of copper (I) cyanide (16.5 g, 184 mmol) was heated to 150 ° C. and stirred for 30 minutes under a nitrogen atmosphere. The mixture was cooled to 23 ° C. and poured into 1N HCl, extracted with TBME, washed with brine and dried over Na2 SO4 . The solvent was removed under vacuum to leave a brown oil which was purified by silica gel column chromatography with heptane / ethyl acetate 4: 1-> 2: 1 to give the title compound (35.48 g, 88%) as a pale yellow solid. MS (EI) 230.1 [M].

단계 4: 2-아미노-5-Step 4: 2-Amino-5-메틸methyl-4--4-트라이플루오로메틸Trifluoromethyl--벤조나이트릴Benzonitrile

철 분말(37.42 g, 670 밀리몰)을 메탄올(75 ㎖) 및 37% HCl(93 ㎖) 중의 단계 3으로부터의 미분된 5-메틸-2-나이트로-4-트라이플루오로메틸-벤조나이트릴(34.58 g, 150 밀리몰)의 교반된 현탁액에 조금씩 나누어 가하였다. 내부 온도를 외부 수욕 냉각에 의해 40 내지 60 ℃에서 유지시켰다. 생성된 갈색 용액을 50 ℃에서 1 시간 동안 교반하여 녹색 현탁액을 제공하였다. 상기 혼합물을 빙 냉 수(600 ㎖)에 붓고, 침전된 고체를 여과하고 물로 세척하여 녹색 고체를 제공하고, 이를 비등 에탄올(700 ㎖)에 용해시키고, 활성탄(약 10 g)을 가하고 상기 혼합물을 1 시간 동안 환류시켰다. 고온 용액을 여과하고 용매를 진공 하에서 증발시켜 갈색-황색 고체(23.55 g, 78%)로서 표제 화합물이 남았으며, 이를 추가의 정제 없이 사용하였다. MS(EI) 200.1[M].Iron powder (37.42 g, 670 mmol) was purified by finely divided 5-methyl-2-nitro-4-trifluoromethyl-benzonitrile from step 3 in methanol (75 mL) and 37% HCl (93 mL). 34.58 g, 150 mmol) were added in portions to the stirred suspension. The internal temperature was maintained at 40-60 ° C. by external water bath cooling. The resulting brown solution was stirred at 50 ° C. for 1 hour to give a green suspension. The mixture was poured into ice cold water (600 mL) and the precipitated solid was filtered and washed with water to give a green solid which was dissolved in boiling ethanol (700 mL) and activated carbon (about 10 g) was added and the mixture was It was refluxed for 1 hour. The hot solution was filtered and the solvent evaporated under vacuum to leave the title compound as a brown-yellow solid (23.55 g, 78%), which was used without further purification. MS (EI) 200.1 [M].

단계 5: 3-Step 5: 3-메틸methyl-4--4-트라이플루오로메틸Trifluoromethyl--벤조나이트릴Benzonitrile

무수 THF(350 ㎖) 중의 단계 4로부터의 2-아미노-5-메틸-4-트라이플루오로메틸-벤조나이트릴(23.34 g, 117 밀리몰)의 용액에 아이소아밀 나이트라이트(34.3 ㎖, 257 밀리몰)을 가하고 상기 혼합물을 20 시간 동안 환류시켰다. 추가의 아이소아밀 나이트라이트(16.6 ㎖, 129 밀리몰)를 가하고 상기 혼합물을 추가로 20 시간 동안 환류시켰다. 상기 혼합물을 23 ℃로 냉각시키고 TBME로 희석하고, 유기층을 1N HCl, 포화된 NaHCO3-용액 및 염수로 세척하고, Na2SO4 상에서 건조시켰다. 용매를 진공 하에서 제거하여 갈색 오일(25.82 g)이 남았으며, 이를 벌브 대 벌브(bulb to bulb) 증류에 의해 정제시켜 황색 액체(20.11 g)를 제공하고, 이를 증류에 의해 최종 정제시켜 황색 액체로서 표제 화합물(17.10 g, 79%; 0.8 mbar에서 bp 38-42 ℃)을 제공하였다. MS(EI) 185.1[M].Isoamyl nitrite (34.3 mL, 257 mmol) in a solution of 2-amino-5-methyl-4-trifluoromethyl-benzonitrile (23.34 g, 117 mmol) from step 4 in anhydrous THF (350 mL) Was added and the mixture was refluxed for 20 hours. Additional isoamyl nitrite (16.6 mL, 129 mmol) was added and the mixture was refluxed for an additional 20 hours. The mixture was cooled to 23 ° C. and diluted with TBME, and the organic layer was washed with 1N HCl, saturated NaHCO3 -solution and brine and dried over Na2 SO4 . The solvent was removed under vacuum to leave a brown oil (25.82 g) which was purified by bulb to bulb distillation to give a yellow liquid (20.11 g) which was finally purified by distillation to give a yellow liquid. The title compound (17.10 g, 79%; bp 38-42 ° C at 0.8 mbar) was provided. MS (EI) 185.1 [M].

단계 6: 3-Step 6: 3-메틸methyl-4--4-트라이플루오로메틸Trifluoromethyl-벤조산-Benzoic acid

다이옥산(90 ㎖) 중의 단계 5로부터의 3-메틸-4-트라이플루오로메틸-벤조나이트릴(16.25 g, 88 밀리몰) 및 3N NaOH(88 ㎖, 264 밀리몰)의 혼합물을 18 시간 동안 환류시켰다. 상기 혼합물을 23 ℃로 냉각시키고, TBME로 희석하고, 1N HCl로 pH 1로 산성화시키고 TBME로 2 회 추출하였다. 합한 유기층을 염수로 세척하고, MgSO4 상에서 건조시켰다. 진공 하에서 용매를 제거하여 회색 고체로서 표제 화합물(14.46 g, 81%)이 남았으며, 이를 추가의 정제 없이 사용하였다. MS(ISN) 203.1[M-H].A mixture of 3-methyl-4-trifluoromethyl-benzonitrile (16.25 g, 88 mmol) and 3N NaOH (88 mL, 264 mmol) from step 5 in dioxane (90 mL) was refluxed for 18 h. The mixture was cooled to 23 ° C., diluted with TBME, acidified to pH 1 with 1N HCl and extracted twice with TBME. The combined organic layers were washed with brine and dried over MgSO4 . Removal of the solvent under vacuum left the title compound (14.46 g, 81%) as a gray solid, which was used without further purification. MS (ISN) 203.1 [MH].

단계 7: N-Step 7: N-메톡시Methoxy-3,N--3, N-다이메틸Dimethyl-4--4-트라이플루오로메틸Trifluoromethyl--벤즈아미드Benzamide

0 ℃에서 DCM(230 ㎖) 중의 단계 6으로부터의 3-메틸-4-트라이플루오로메틸-벤조산(14.1 g, 69.1 밀리몰), N,O-다이메틸하이드록실아민 하이드로클로라이드(10.78 g, 111 밀리몰), N-메틸모폴린(12.14 ㎖, 111 밀리몰) 및 4-DMAP(844 ㎎, 691 밀리몰)의 현탁액에 1-(3-다이메틸아미노프로필)-3-에틸카보다이이미드 하이드로클로라이드(EDC)(15.98 g, 82.9 밀리몰) 및 DMF(85 ㎖)를 가하였다. 상기 혼합물을 23 ℃까지 가온하고 질소 분위기 하에서 18 시간 동안 교반하였다. 상기 혼합물을 TBME로 희석하고, 물 및 염수로 2 회 세척하고, Na2SO4 상에서 건조시켰다. 진공 하에서 용매를 제거하여 갈색 오일로서 표제 화합물(16.92 g, 99%)이 남았으며, 이를 추가의 정제 없이 사용하였다. MS(ISP) 248.0[M+H].3-Methyl-4-trifluoromethyl-benzoic acid (14.1 g, 69.1 mmol), N, O-dimethylhydroxylamine hydrochloride (10.78 g, 111 mmol) from step 6 in DCM (230 mL) at 0 ° C. ), 1- (3-dimethylaminopropyl) -3-ethylcarbodiimide hydrochloride (EDC) in a suspension of N-methylmorpholine (12.14 mL, 111 mmol) and 4-DMAP (844 mg, 691 mmol). (15.98 g, 82.9 mmol) and DMF (85 mL) were added. The mixture was warmed up to 23 ° C. and stirred for 18 h under a nitrogen atmosphere. The mixture was diluted with TBME, washed twice with water and brine and dried over Na2 SO4 . Removal of the solvent under vacuum left the title compound (16.92 g, 99%) as a brown oil, which was used without further purification. MS (ISP) 248.0 [M + H].

단계 8: 1-(3-Step 8: 1- (3-메틸methyl-4--4-트라이플루오로메틸Trifluoromethyl--페닐Phenyl)-)-에탄온Ethanon

-5 ℃에서 THF(280 ㎖) 중의 단계 7로부터의 N-메톡시-3,N-다이메틸-4-트라이플루오로메틸-벤즈아미드(16.90 g, 68.36 밀리몰)의 용액에 다이에틸 에테르(45.6 ㎖, 136.7 밀리몰) 중의 3M 메틸마그네슘 브로마이드 용액을 가하였다. 상기 혼합물을 0 ℃에서 1 시간 동안 교반하고, 이어서 이를 23 ℃로 가온하고, 23 ℃에서 질소 분위기 하에 추가로 1.5 시간 동안 교반을 계속하였다. 이어서 1N HCl(100 ㎖)을 상기 혼합물에 적가하고 30 분간 계속 교반하였다. 상기 혼합물을 EtOAc로 희석하고 수성 층을 분리시키고, 유기층을 염수로 세척하고, MgSO4 상에서 건조시켰다. 진공 하에서 용매를 제거하여 담갈색 액체로서 표제 화합물(12.87 g, 93.1%)이 남았으며, 이를 추가의 정제 없이 사용하였다. MS(EI) 202.1[M].Diethyl ether (45.6) in a solution of N-methoxy-3, N-dimethyl-4-trifluoromethyl-benzamide (16.90 g, 68.36 mmol) from Step 7 in THF (280 mL) at -5 ° C. Ml, 136.7 mmol) 3M methylmagnesium bromide solution was added. The mixture was stirred at 0 ° C. for 1 hour, then it was warmed to 23 ° C. and stirring was continued for additional 1.5 hours at 23 ° C. under nitrogen atmosphere. 1N HCl (100 mL) was then added dropwise to the mixture and stirring continued for 30 minutes. The mixture was diluted with EtOAc and the aqueous layer was separated and the organic layer was washed with brine and dried over MgSO4 . The solvent was removed under vacuum to leave the title compound (12.87 g, 93.1%) as a light brown liquid, which was used without further purification. MS (EI) 202.1 [M].

실시예Example A.5 A.5

3-에톡시-4-트라이플루오로메틸-아세토페논3-ethoxy-4-trifluoromethyl-acetophenone

1-(3-에톡시-4-트라이플루오로메틸-페닐)-에탄온을 하기 시퀀스에 의해 제조하였다:1- (3-Ethoxy-4-trifluoromethyl-phenyl) -ethanone was prepared by the following sequence:

단계 1: 5-Step 1: 5-에톡시Ethoxy-2-나이트로-4--2-nitro-4-트라이플루오로메틸Trifluoromethyl--페닐아민Phenylamine

EtOH(500 ㎖)에 칼륨 금속(약 21 g, 약 537 밀리몰)을 가하고 상기 격렬한 반응을 빙욕으로 냉각시켜야 했다. 모든 칼륨 금속이 용해될 때까지 교반을 계속하였다. 상업적으로 입수할 수 있는 5-클로로-2-나이트로-4-트라이플루오로메틸-페닐아민[CAS-No. 35375-74-7](57.74 g, 240 밀리몰) 고체를 한 번에 가하고 생성된 짙은 적색 혼합물을 55 내지 60 ℃에서 4일 동안 교반하였다. 상기 따뜻한 반응 혼합물을 H2O(약 2000 ㎖)에 서서히 붓고, pH를 농 HCl로 pH 2로 조절하고, 황색 침전물을 여과하였으며, 이를 H2O로 세척하고, 60 ℃에서 공기 건조시켜 황색 고체(57.81 g, 96%)를 제공하고, 이를 추가의 정제 없이 사용하였다. MS(ISN) 249[M-H].Potassium metal (about 21 g, about 537 mmol) was added to EtOH (500 mL) and the violent reaction had to be cooled in an ice bath. Stirring was continued until all potassium metal dissolved. Commercially available 5-chloro-2-nitro-4-trifluoromethyl-phenylamine [CAS-No. 35375-74-7] (57.74 g, 240 mmol) solid was added in one portion and the resulting dark red mixture was stirred at 55-60 ° C. for 4 days. The warm reaction mixture was poured slowly into H2 O (about 2000 mL), the pH was adjusted to pH 2 with concentrated HCl, the yellow precipitate was filtered off, washed with H2 O and air dried at 60 ° C. to give a yellow solid. (57.81 g, 96%) was provided and used without further purification. MS (ISN) 249 [MH].

단계 2: 1-Step 2: 1-브로모Bromo-5--5-에톡시Ethoxy-2-나이트로-4--2-nitro-4-트라이플루오로메틸Trifluoromethyl-벤젠-benzene

아세토나이트릴(462 ㎖) 중의 3급-부틸 나이트라이트(45.8 ㎖, 347 밀리몰) 및 무수 구리(II) 브로마이드(77.4 g, 347 밀리몰)의 급속하게 교반된 혼합물에 단계 1로부터의 고체 5-에톡시-2-나이트로-4-트라이플루오로메틸-페닐아민(57.81 g, 231 밀리몰)을 조심스럽게 가하고, 이를 오일 욕에서 65 ℃로 가열하였다. 교반을 65 ℃에서 30 분 동안 계속하고, 상기 반응 혼합물을 23 ℃로 냉각시키고 1N HCl에 붓고, 고체 NaCl로 포화시키고, TBME로 추출하고, MgSO4 상에서 건조시켰다. 진공 하에서 용매를 제거하여 짙은 갈색 오일(74.5 g)이 남았다. 이를 헵탄/EtOAc 4:1로 실리카겔 컬럼 크로마토그래피에 의해 정제시켜 황색 고체로서 표제 화합물(63.03 g, 87%)을 제공하였다. MS(EI) 313.0[M] 및 315.0[M+2].To a rapidly stirred mixture of tert-butyl nitrite (45.8 mL, 347 mmol) and anhydrous copper (II) bromide (77.4 g, 347 mmol) in acetonitrile (462 mL) was added to solid 5- from Toxy-2-nitro-4-trifluoromethyl-phenylamine (57.81 g, 231 mmol) was carefully added and heated to 65 ° C. in an oil bath. Stirring was continued for 30 minutes at 65 ° C., and the reaction mixture was cooled to 23 ° C. and poured into 1N HCl, saturated with solid NaCl, extracted with TBME, and dried over MgSO4 . The solvent was removed under vacuum leaving a dark brown oil (74.5 g). It was purified by silica gel column chromatography with heptane / EtOAc 4: 1 to give the title compound (63.03 g, 87%) as a yellow solid. MS (EI) 313.0 [M] and 315.0 [M + 2].

단계 3: 5-Step 3: 5-에톡시Ethoxy-2-나이트로-4--2-nitro-4-트라이플루오로메틸Trifluoromethyl--벤조나이트릴Benzonitrile

NMP(197 ㎖) 중의 단계 2로부터의 1-브로모-5-에톡시-2-나이트로-4-트라이플루오로메틸-벤젠(61.81 g, 197 밀리몰) 및 CuCN(18.51 g, 207 밀리몰)의 혼합물을 150 ℃로 30 분간 가열하였다. 상기 혼합물을 23 ℃로 냉각시키고 1N HCl에 붓고, TBME로 추출하고, 염수로 세척하고, Na2SO4 상에서 건조시켰다. 진공 하에서 용매를 제거하여 갈색 오일이 남았으며, 이를 헵탄/EtOAc 4:1로 실리카겔 컬럼 크로마토그래피에 의해 정제시켜 황색 고체로서 표제 화합물(46.73 g, 91%)을 제공하였다. MS(EI) 260.1[M].Of 1-bromo-5-ethoxy-2-nitro-4-trifluoromethyl-benzene (61.81 g, 197 mmol) and CuCN (18.51 g, 207 mmol) from NMP (197 mL) The mixture was heated to 150 ° C for 30 minutes. The mixture was cooled to 23 ° C. and poured into 1N HCl, extracted with TBME, washed with brine and dried over Na2 SO4 . Removal of solvent under vacuum left a brown oil which was purified by silica gel column chromatography with heptane / EtOAc 4: 1 to give the title compound (46.73 g, 91%) as a yellow solid. MS (EI) 260.1 [M].

단계 4: 2-아미노-5-Step 4: 2-Amino-5-에톡시Ethoxy-4--4-트라이플루오로메틸Trifluoromethyl--벤조나이트릴Benzonitrile

철 분말(40.96 g, 733 밀리몰)을 MeOH(85 ㎖) 및 농 HCl(102 ㎖) 중의 단계 3으로부터의 미분된 5-에톡시-2-나이트로-4-트라이플루오로메틸-벤조나이트릴(42.79 g, 164.5 밀리몰)의 교반된 현탁액에, 내부 온도를 수욕 냉각에 의해 40 내지 50 ℃에서 유지시키면서 5 분에 걸쳐 조금씩 나누어 가하였다. 생성된 혼합물을 약 50 ℃에서 추가로 1 시간 동안 교반하고, 이어서 빙 냉수(700 ㎖)에 부었다. 침전물을 여과하고 물로 세척하고, 건조시키고, 비등 EtOH(800 ㎖)에 용해시키고, 활성탄(약 10 g)을 가하고 상기 혼합물을 45 분 동안 환류시켰다. 고온 용액을 여과하고 증발건조시켜 황색 고체(31.81 g, 84%)가 남았으며, 이를 추가의 정제 없이 사용하였다. MS(EI) 230.1[M].Iron powder (40.96 g, 733 mmol) was finely divided 5-ethoxy-2-nitro-4-trifluoromethyl-benzonitrile from Step 3 in MeOH (85 mL) and concentrated HCl (102 mL). 42.79 g, 164.5 mmol) was added in small portions over 5 minutes while maintaining the internal temperature at 40-50 ° C. by water bath cooling. The resulting mixture was stirred for an additional hour at about 50 ° C. and then poured into ice cold water (700 mL). The precipitate was filtered off, washed with water, dried, dissolved in boiling EtOH (800 mL), activated carbon (about 10 g) was added and the mixture refluxed for 45 minutes. The hot solution was filtered and evaporated to dryness leaving a yellow solid (31.81 g, 84%) which was used without further purification. MS (EI) 230.1 [M].

단계 5: 3-Step 5: 3-에톡시Ethoxy-4--4-트라이플루오로메틸Trifluoromethyl--벤조나이트릴Benzonitrile

무수 THF(410 ㎖) 중의 단계 4로부터의 2-아미노-5-에톡시-4-트라이플루오로메틸-벤조나이트릴(31.62 g, 137.4 밀리몰)의 용액에 아이소아밀 나이트라이트(40.4 ㎖, 302 밀리몰)를 가하고 상기 혼합물을 16 시간 동안 환류시켰다. 용매를 진공 하에서 제거하여 오렌지색 오일을 제공하고, 이를 포화된 NaHCO3-용액에 용해시키고, 다이에틸 에테르로 3 회 추출하였다. 합한 유기층을 1N HCl 및 염수로 세척하고, Na2SO4 상에서 건조시켰다. 용매를 진공 하에서 제거하여 오렌지색 오일이 남았으며, 이를 이중 쿠겔로어(Kugelrohr) 증류에 의해 정제시켜(1.5 mbar에서 160 ℃ 이하의 욕 온도) 밝은 황색 고체로서 표제 화합물(25.06 g, 85%)을 제공하 였다. MS(EI) 185.1[M].Isoamyl nitrite (40.4 mL, 302 mmol) in a solution of 2-amino-5-ethoxy-4-trifluoromethyl-benzonitrile (31.62 g, 137.4 mmol) from step 4 in dry THF (410 mL) ) Was added and the mixture was refluxed for 16 h. The solvent was removed under vacuum to give an orange oil which was dissolved in saturated NaHCO3 -solution and extracted three times with diethyl ether. The combined organic layers were washed with 1N HCl and brine and dried over Na2 SO4 . The solvent was removed under vacuum to leave an orange oil which was purified by double Kugelrohr distillation (bath temperature below 160 ° C. at 1.5 mbar) to give the title compound (25.06 g, 85%) as a light yellow solid. It was. MS (EI) 185.1 [M].

단계 6: 1-(3-Step 6: 1- (3-에톡시Ethoxy-4--4-트라이플루오로메틸Trifluoromethyl--페닐Phenyl)-)-에탄온Ethanon

-70 ℃에서 무수 THF(30 ㎖) 중의 단계 5로부터의 3-에톡시-4-트라이플루오로메틸-벤조나이트릴(5.00 g, 23.2 밀리몰), 구리(I) 브로마이드(100 ㎎, 0.7 밀리몰), 3급-부틸다이메틸클로로실란(4.20 g, 27.9 밀리몰)의 용액에 다이에틸 에테르(13.2 ㎖, 39.6 밀리몰) 중의 3M 메틸마그네슘 브로마이드 용액을 적가하였다. 상기 혼합물을 -70 ℃에서 10 분간 교반하고, 이어서 0 ℃ 이하로 가온시키고, 0 ℃에서 질소 분위기 하에 추가로 2 시간 동안 교반을 계속하였다. 반응 혼합물을 얼음 및 포화된 NH4Cl-용액에 붓고, 다이에틸 에테르로 3 회 추출하고, 합한 유기층을 염수로 세척하고, MgSO4 상에서 건조시켰다. 진공 하에서 용매를 제거하여 갈색 오일이 남았으며, 이를 헵탄/EtOAc 4:1로 실리카겔 컬럼 크로마토그래피에 의해 정제시켜 황색 액체로서 표제 화합물(1.84 g, 34%)을 제공하였다. MS(EI) 232[M].3-ethoxy-4-trifluoromethyl-benzonitrile (5.00 g, 23.2 mmol) from step 5 in dry THF (30 mL) at -70 ° C, copper (I) bromide (100 mg, 0.7 mmol) To a solution of tert-butyldimethylchlorosilane (4.20 g, 27.9 mmol) was added dropwise a solution of 3M methylmagnesium bromide in diethyl ether (13.2 mL, 39.6 mmol). The mixture was stirred at −70 ° C. for 10 minutes, then warmed up to 0 ° C. and continued stirring for additional 2 hours at 0 ° C. under nitrogen atmosphere. The reaction mixture was poured into ice and saturated NH4 Cl-solution, extracted three times with diethyl ether, and the combined organic layers were washed with brine and dried over MgSO4 . The solvent was removed under vacuum to leave a brown oil which was purified by silica gel column chromatography with heptane / EtOAc 4: 1 to give the title compound (1.84 g, 34%) as a yellow liquid. MS (EI) 232 [M].

실시예Example A.6 A.6

3-(2,2,2-트라이플루오로-에톡시)-4-트라이플루오로메틸-아세토페논3- (2,2,2-Trifluoro-ethoxy) -4-trifluoromethyl-acetophenone

상기 1-[3-(2,2,2-트라이플루오로-에톡시)-4-트라이플루오로메틸-페닐]-에탄온을 하기 시퀀스에 의해 제조하였다:The 1- [3- (2,2,2-trifluoro-ethoxy) -4-trifluoromethyl-phenyl] -ethanone was prepared by the following sequence:

단계 1: 2-나이트로-5-(2,2,2-Step 1: 2-nitro-5- (2,2,2-트라이플루오로Trifluoro--에톡시Ethoxy)-4-)-4-트라이플루오로메틸Trifluoromethyl--페닐아민Phenylamine

상업적으로 입수할 수 있는 5-클로로-2-나이트로-4-트라이플루오로메틸 페닐 아민[CAS-No. 35375-74-7](72.2 g, 300 밀리몰)을 DMSO(600 ㎖)에 용해시키고 2,2,2-트라이플루오로에탄올(270 ㎖)을 23 ℃에서 가하고, 약간의 발열 반응을 빙욕으로 냉각시켰다. KOH(85%, 99.0 g, 1500 밀리몰)를 서서히 가하고 짙은 적색 반응 혼합물을 23 ℃에서 4일 동안 교반하였다. 3 L 플라스크로 옮기고 H2O 1500 ㎖을 빙욕 냉각 하에서 가하고, 3N HCl로 산성화하고 23 ℃에서 3 시간 동안 교반하고, 황색 침전물을 여과하고, 이를 H2O로 세척하고 60 ℃에서 공기 중에서 건조시켜 황색 고체로서 표제 화합물(89.47 g, 98%)을 제공하였다. MS(ISN) 303.1[M-H].Commercially available 5-chloro-2-nitro-4-trifluoromethyl phenyl amine [CAS-No. 35375-74-7] (72.2 g, 300 mmol) was dissolved in DMSO (600 mL) and 2,2,2-trifluoroethanol (270 mL) was added at 23 ° C, and a slight exothermic reaction was cooled in an ice bath. I was. KOH (85%, 99.0 g, 1500 mmol) was added slowly and the dark red reaction mixture was stirred at 23 ° C. for 4 days. Transfer to a 3 L flask and add 1500 ml of H2 O under ice bath cooling, acidify with 3N HCl and stir for 3 h at 23 ° C., filter the yellow precipitate, wash with H2 O and dry in air at 60 ° C. The title compound (89.47 g, 98%) was provided as a yellow solid. MS (ISN) 303.1 [MH].

단계 2: 1-Step 2: 1-브로모Bromo-2-나이트로-5-(2,2,2--2-nitro-5- (2,2,2-트라이플루오로Trifluoro--에톡시Ethoxy)-4-)-4-트라이플루오로메틸Trifluoromethyl-벤젠-benzene

아세토나이트릴(160 ㎖) 중의 3급-부틸 나이트라이트(14.23 ㎖, 120 밀리몰) 및 무수 구리(II) 브로마이드(26.75 g, 120 밀리몰)의 급속하게 교반된 혼합물에 단계 1로부터의 고체 2-나이트로-5-(2,2,2-트라이플루오로-에톡시)-4-트라이플루오로메틸-페닐아민(24.28 g, 80 밀리몰)을 15 분에 걸쳐 서서히 가하고, 이를 오일 욕에서 65 ℃로 가열하였다. 교반을 65 ℃에서 2 시간 동안 계속하고, 상기 반응 혼합물을 23 ℃로 냉각시키고 1N HCl에 붓고, 고체 NaCl로 포화시키고, TBME로 추출하고, MgSO4 상에서 건조시켰다. 진공 하에서 용매를 제거하여 짙은 갈색 오일(35.57 g)이 남았다. 이를 헵탄/EtOAc 4:1로 실리카겔 컬럼 크로마토그래피에 의해 정제시켜 오렌지색 고체로서 표제 화합물(30.54 g, 104%)을 제공하고, 이를 추가의 정제 없이 사용하였다. MS(EI) 367[M] 및 369[M+2].Solid 2-night from step 1 in a rapidly stirred mixture of tert-butyl nitrite (14.23 mL, 120 mmol) and anhydrous copper (II) bromide (26.75 g, 120 mmol) in acetonitrile (160 mL) Rho-5- (2,2,2-trifluoro-ethoxy) -4-trifluoromethyl-phenylamine (24.28 g, 80 mmol) was added slowly over 15 minutes and it was heated to 65 ° C. in an oil bath. Heated. Stirring was continued at 65 ° C. for 2 hours, and the reaction mixture was cooled to 23 ° C. and poured into 1N HCl, saturated with solid NaCl, extracted with TBME, and dried over MgSO4 . The solvent was removed under vacuum leaving a dark brown oil (35.57 g). It was purified by silica gel column chromatography with heptane / EtOAc 4: 1 to give the title compound (30.54 g, 104%) as an orange solid, which was used without further purification. MS (EI) 367 [M] and 369 [M + 2].

단계 3: 2-나이트로-5-(2,2,2-Step 3: 2-nitro-5- (2,2,2-트라이플루오로Trifluoro--에톡시Ethoxy)-4-)-4-트라이플루오로메틸Trifluoromethyl--벤조나이트릴Benzonitrile

NMP(83 ㎖) 중의 단계 2로부터의 1-브로모-2-나이트로-5-(2,2,2-트라이플루오로-에톡시)-4-트라이플루오로메틸-벤젠(30.54 g, 83.0 밀리몰) 및 CuCN(7.80 g, 87.1 밀리몰)의 혼합물을 150 ℃로 30 분간 가열하였다. 상기 혼합물을 23 ℃로 냉각시키고 1N HCl에 붓고, EtOAc로 추출하고, 염수로 세척하고, Na2SO4 상에서 건조시켰다. 진공 하에서 용매를 제거하여 짙은 갈색 오일(33.9 g)이 남았으며, 이를 헵탄/EtOAc 9:1 -> 4:1로 실리카겔 컬럼 크로마토그래피시켜 황색 고체로서 표제 화합물(22.05 g, 85%)을 제공하였다. MS(EI) 314[M].1-Bromo-2-nitro-5- (2,2,2-trifluoro-ethoxy) -4-trifluoromethyl-benzene (30.54 g, 83.0 from NMP (83 mL) Mmol) and CuCN (7.80 g, 87.1 mmol) were heated to 150 ° C for 30 min. The mixture was cooled to 23 ° C. and poured into 1N HCl, extracted with EtOAc, washed with brine and dried over Na2 SO4 . Removal of the solvent under vacuum left a dark brown oil (33.9 g) which was subjected to silica gel column chromatography with heptane / EtOAc 9: 1-> 4: 1 to give the title compound (22.05 g, 85%) as a yellow solid. . MS (EI) 314 [M].

단계 4: 2-아미노-5-(2,2,2-Step 4: 2-amino-5- (2,2,2-트라이플루오로Trifluoro--에톡시Ethoxy)-4-)-4-트라이플루오로메틸Trifluoromethyl--벤조나이트릴Benzonitrile

철 분말(15.80 g, 283.0 밀리몰)을 MeOH(32 ㎖) 및 농 HCl(40 ㎖) 중의 단계 3으로부터의 미분된 2-나이트로-5-(2,2,2-트라이플루오로-에톡시)-4-트라이플루오로메틸-벤조나이트릴(19.93 g, 63.4 밀리몰)의 교반된 현탁액에, 내부 온도를 수욕 냉각에 의해 25 내지 35 ℃에서 유지시키면서 5 분에 걸쳐 조금씩 나누어 가하였다. 생성된 혼합물을 약 30 ℃에서 추가로 1 시간 동안 교반하고, 이어서 빙 냉수(400 ㎖)에 부었다. 침전물을 여과하고 물로 세척하고, 건조시키고, 비등 EtOH(400 ㎖)에 용해시키고, 활성탄(약 10 g)을 가하고 상기 혼합물을 45 분 동안 환류시켰다. 고온 용액을 여과하고 증발건조시켜 짙은 녹색 고체(15.96 g, 84%)가 남았으며, 이를 헵탄/EtOAc 4:1로 실리카겔 컬럼 크로마토그래피에 의해 추가 정제시켜 황색 고체로서 표제 화합물(14.56 g, 81%)을 제공하였다. MS(ISN) 283[M-H].Iron powder (15.80 g, 283.0 mmol) was finely divided 2-nitro-5- (2,2,2-trifluoro-ethoxy) from Step 3 in MeOH (32 mL) and concentrated HCl (40 mL). To a stirred suspension of 4-trifluoromethyl-benzonitrile (19.93 g, 63.4 mmol) was added in portions over 5 minutes while maintaining the internal temperature at 25-35 ° C. by water bath cooling. The resulting mixture was stirred for an additional hour at about 30 ° C. and then poured into ice cold water (400 mL). The precipitate was filtered off, washed with water, dried, dissolved in boiling EtOH (400 mL), activated carbon (about 10 g) was added and the mixture refluxed for 45 minutes. The hot solution was filtered and evaporated to dryness to leave a dark green solid (15.96 g, 84%), which was further purified by silica gel column chromatography with heptane / EtOAc 4: 1 to give the title compound (14.56 g, 81%) as a yellow solid. ). MS (ISN) 283 [M-H].

단계 5: 3-(2,2,2-Step 5: 3- (2,2,2-트라이플루오로Trifluoro--에톡시Ethoxy)-4-)-4-트라이플루오로메틸Trifluoromethyl--벤조나이트릴Benzonitrile

무수 THF(153 ㎖) 중의 단계 4로부터의 2-아미노-5-(2,2,2-트라이플루오로-에톡시)-4-트라이플루오로메틸-벤조나이트릴(14.47 g, 50.9 밀리몰)의 용액에 아이소아밀 나이트라이트(15.0 ㎖, 112.0 밀리몰)를 가하고 상기 혼합물을 20 시간 동안 환류시켰다. 용매를 진공 하에서 제거하여 오렌지색 오일을 제공하고, 이를 TBME에 용해시키고, 1N HCl로 세척하고, 포화된 NaHCO3-용액 및 염수로 세척하고, Na2SO4 상에서 건조시켰다. 용매를 진공 하에서 제거하여 갈색 고체(15.05)가 남았으며, 이를 쿠겔로어 증류에 의해 정제시켜(1.2 mbar에서 155 ℃ 이하의 욕 온도) 밝은 황색 고체로서 표제 화합물(10.83 g, 79%)을 제공하였다. MS(EI) 269[M].Of 2-amino-5- (2,2,2-trifluoro-ethoxy) -4-trifluoromethyl-benzonitrile (14.47 g, 50.9 mmol) from step 4 in anhydrous THF (153 mL) Isoamyl nitrite (15.0 mL, 112.0 mmol) was added to the solution and the mixture was refluxed for 20 hours. The solvent was removed under vacuum to give an orange oil which was dissolved in TBME, washed with 1N HCl, washed with saturated NaHCO3 -solution and brine and dried over Na2 SO4 . The solvent was removed in vacuo to leave a brown solid (15.05) which was purified by Kugelroor distillation (bath temperature below 155 ° C. at 1.2 mbar) to give the title compound (10.83 g, 79%) as a light yellow solid. . MS (EI) 269 [M].

단계 6: 3-(2,2,2-Step 6: 3- (2,2,2-트라이플루오로Trifluoro--에톡시Ethoxy)-4-)-4-트라이플루오로메틸Trifluoromethyl-벤조산-Benzoic acid

다이옥산(33 ㎖) 중의 단계 5로부터의 3-(2,2,2-트라이플루오로-에톡시)-4-트라이플루오로메틸-벤조나이트릴(8.75 g, 33 밀리몰) 및 3M NaOH(3.9 g, H2O 33 ㎖ 중의 98 밀리몰)의 혼합물을 7.5 시간 동안 환류시켰다. 얼음에 붓고, 농 HCl로 pH 1로 산성화시키고 고체 NaCl로 포화시키고, TBME로 추출하고, MgSO4 상에서 건조시켰다. 용매를 진공 하에서 제거하여 회색 고체로서 표제 화합물(9.22 g, 98%)이 남았으며, 이를 추가의 정제 없이 사용하였다. MS(ISN) 286.9[M-H].3- (2,2,2-trifluoro-ethoxy) -4-trifluoromethyl-benzonitrile (8.75 g, 33 mmol) and 3M NaOH (3.9 g) from step 5 in dioxane (33 mL) , 98 mmol) in 33 mL H 2 O) was refluxed for 7.5 h. Poured into ice, acidified to pH 1 with concentrated HCl, saturated with solid NaCl, extracted with TBME, and dried over MgSO4 . The solvent was removed under vacuum to leave the title compound (9.22 g, 98%) as a gray solid, which was used without further purification. MS (ISN) 286.9 [MH].

단계 7: N-Step 7: N-메톡시Methoxy-N--N-메틸methyl-3-(2,2,2--3- (2,2,2-트라이플루오로Trifluoro--에톡시Ethoxy)-4-)-4-트라이플루오로메틸Trifluoromethyl- 벤즈아미드-Benzamide

DCM(100 ㎖) 및 DMF(20 ㎖) 중의 단계 6으로부터의 3-(2,2,2-트라이플루오로-에톡시)-4-트라이플루오로메틸-벤조산(9.22 g, 32 밀리몰), N,O-다이메틸하이드록실아민 하이드로클로라이드(5.00 g, 51 밀리몰), N-메틸모폴린(5.62 ㎖, 51 밀리몰) 및 4-DMAP(391 ㎎, 3.2 밀리몰)의 혼합물에 0 ℃에서 1-(3-다이메틸아미노프로필)-3-에틸카보다이이미드 하이드로클로라이드(EDC)(7.36 g, 38 밀리몰)를 가하고 상기 혼합물을 23 ℃에서 18 시간 동안 교반하였다. 빙냉 1N HCl에 붓고, TBME로 추출하고, 포화된 NaHCO3-용액 및 염수로 세척하고, Na2SO4 상에서 건조시켰다. 용매를 진공 하에서 제거하여 갈색 오일로서 표제 화합물(10.555 g, 100%)이 남았으며, 이를 추가의 정제 없이 사용하였다. MS(EI) 331.0[M].3- (2,2,2-trifluoro-ethoxy) -4-trifluoromethyl-benzoic acid (9.22 g, 32 mmol), N from step 6 in DCM (100 mL) and DMF (20 mL), N To a mixture of, O-dimethylhydroxylamine hydrochloride (5.00 g, 51 mmol), N-methylmorpholine (5.62 mL, 51 mmol) and 4-DMAP (391 mg, 3.2 mmol), 1- ( 3-dimethylaminopropyl) -3-ethylcarbodiimide hydrochloride (EDC) (7.36 g, 38 mmol) was added and the mixture was stirred at 23 ° C for 18 h. Poured into ice cold 1N HCl, extracted with TBME, washed with saturated NaHCO3 -solution and brine and dried over Na2 SO4 . The solvent was removed under vacuum to leave the title compound (10.555 g, 100%) as brown oil, which was used without further purification. MS (EI) 331.0 [M].

단계 8: 1-[3-(2,2,2-Step 8: 1- [3- (2,2,2-트라이플루오로Trifluoro--에톡시Ethoxy)-4-)-4-트라이플루오로메틸Trifluoromethyl--페닐Phenyl]-]-에탄온Ethanon

-5 ℃에서 THF(100 ㎖) 중의 단계 7로부터의 N-메톡시-N-메틸-3-(2,2,2-트라이플루오로-에톡시)-4-트라이플루오로메틸 벤즈아미드(10.467 g, 32 밀리몰)의 용액에 메틸마그네슘 브로마이드(Et2O 중의 3M, 21.1 ㎖, 64 밀리몰)를 가하였다. 상기 혼합물을 0 ℃에서 15 분간 교반하고, 이어서 23 ℃ 이하로 가온시키고, 23 ℃에서 추가로 1.5 시간 동안 교반을 계속하였다. 0 ℃로 냉각시키고 1N HCl(150 ㎖)을 적가하고, 23 ℃에서 15 분 동안 교반을 계속하고, 상기 혼합물을 TBME로 희석하고, 상을 분리시키고, 유기층을 물과 염수로 세척하고, MgSO4 상에서 건조시켰다. 진공 하에서 용매를 제거하여 황색 고체(9.021 g, 100%)가 남았으며, 이를 추 가의 정제 없이 사용하였다. MS(EI) 286.1[M].N-methoxy-N-methyl-3- (2,2,2-trifluoro-ethoxy) -4-trifluoromethyl benzamide (10.467 from Step 7 in THF (100 mL) at -5 ° C) g, 32 mmol) was added methylmagnesium bromide (3M in Et2 O, 21.1 mL, 64 mmol). The mixture was stirred at 0 ° C. for 15 minutes, then warmed up to 23 ° C. and continued stirring at 23 ° C. for an additional 1.5 hours. Cool to 0 ° C and add 1N HCl (150 mL) dropwise, continue stirring at 23 ° C for 15 min, dilute the mixture with TBME, separate phases, wash organic layer with water and brine, MgSO4 Dried over phase. Removal of solvent under vacuum left a yellow solid (9.021 g, 100%), which was used without further purification. MS (EI) 286.1 [M].

아닐린 유도체(화학식 VII의 출발 물질)의 합성Synthesis of Aniline Derivatives (Starting Materials of Formula VII)

실시예Example B.1 B.1

3-아미노-N-(2,2,2-트라이플루오로-에틸)-벤젠설폰아미드3-Amino-N- (2, 2, 2-trifluoro-ethyl) -benzenesulfonamide

a) 다이옥산(37 ㎖) 중의 2,2,2-트라이플루오로에틸아민(1.17 ㎖, 15 밀리몰)의 교반된 용액에 실온에서 3-나이트로벤젠설포닐 클로라이드(3.0 g, 14 밀리몰) 및 트라이에틸아민(2.06 ㎖, 15 밀리몰)을 가하였다. 상기 밝은 황색 현탁액을 실온에서 4 시간 동안 교반하고, 물(100 ㎖)에 붓고, 다이클로로메탄(3 x 75 ㎖)으로 추출하였다. 합한 유기층을 물(100 ㎖) 및 염수(70 ㎖)로 세척하고, 건조시키고(MgSO4) 증발시켰다. 조 생성물을 실리카겔(헵탄/에틸 아세테이트 1:1) 상에서 컬럼 크로마토그래피에 의해 추가로 정제시켜 밝은 황색 고체로서 3-나이트로-N-(2,2,2-트라이플루오로-에틸)-벤젠설폰아미드(3.18 g, 83%)를 수득하였다. MS(ISP) 283.9[(M-H)-].a) in a stirred solution of 2,2,2-trifluoroethylamine (1.17 mL, 15 mmol) in dioxane (37 mL) at room temperature with 3-nitrobenzenesulfonyl chloride (3.0 g, 14 mmol) and tri Ethylamine (2.06 mL, 15 mmol) was added. The light yellow suspension was stirred at rt for 4 h, poured into water (100 mL) and extracted with dichloromethane (3 x 75 mL). The combined organic layers were washed with water (100 mL) and brine (70 mL), dried (MgSO4 ) and evaporated. The crude product was further purified by column chromatography on silica gel (heptane / ethyl acetate 1: 1) to give 3-nitro-N- (2,2,2-trifluoro-ethyl) -benzenesulfon as light yellow solid. Amide (3.18 g, 83%) was obtained. MS (ISP) 283.9 [(M H) ].

b) 3-나이트로-N-(2,2,2-트라이플루오로-에틸)-벤젠설폰아미드(3.12 g, 11 밀리몰), 나트륨 다이티오나이트(8.09 g, 40 밀리몰), 물(21.5 ㎖) 및 2 메톡시에탄올(21.5 ㎖)의 혼합물을 100 ℃에서 2 시간 동안 교반하고, 추가의 물(18.5 ㎖)을 70 ℃에서 가하고 후속적으로 HCl(37%, 18.5 ㎖)을 10 분의 기간에 걸쳐 가하였다(SO2 방출). 상기 반응 혼합물을 70 ℃에서 20 분간 교반하고, 빙/수(50 ㎖)에 붓고 상기 용액이 염기성으로 증명될 때까지 탄산 나트륨을 가하였다. 상기 용액 을 에틸 아세테이트(3 x 75 ㎖)로 추출하고, 합한 유기층을 염수(80 ㎖)로 세척하고, 건조시키고(MgSO4), 증발시켰다. 조 생성물을 실리카겔(헵탄/에틸 아세테이트 1:1) 상에서 컬럼 크로마토그래피에 의해 추가로 정제시켜 백색 고체로서 표제 화합물(2.05 g, 73%)을 수득하였다. MS(ISP) 252.9[(M-H)-]; 융점 131 ℃.b) 3-nitro-N- (2,2,2-trifluoro-ethyl) -benzenesulfonamide (3.12 g, 11 mmol), sodium dithionite (8.09 g, 40 mmol), water (21.5 mL) ) And 2 methoxyethanol (21.5 mL) were stirred at 100 ° C. for 2 hours, additional water (18.5 mL) was added at 70 ° C. and subsequently HCl (37%, 18.5 mL) was added for 10 min. Over (SO2 emission). The reaction mixture was stirred at 70 ° C. for 20 min, poured into ice / water (50 mL) and sodium carbonate was added until the solution proved basic. The solution was extracted with ethyl acetate (3 x 75 mL) and the combined organic layers were washed with brine (80 mL), dried (MgSO4 ) and evaporated. The crude product was further purified by column chromatography on silica gel (heptane / ethyl acetate 1: 1) to give the title compound (2.05 g, 73%) as a white solid. MS (ISP) 252.9 [(MH)- ]; Melting point 131 ° C.

실시예Example B.2 B.2

3-아미노-N-사이클로프로필메틸-벤젠설폰아미드3-Amino-N-cyclopropylmethyl-benzenesulfonamide

a) 다이옥산(37 ㎖) 중의 사이클로프로필메틸아민(1.28 ㎖, 15 밀리몰)의 교반된 용액에 실온에서 3-나이트로벤젠설포닐 클로라이드(3.0 g, 14 밀리몰) 및 트라이에틸아민(2.06 ㎖, 15 밀리몰)을 가하였다. 상기 밝은 황색 현탁액을 실온에서 4 시간 동안 교반하고, 물(100 ㎖)에 붓고, 다이클로로메탄(3 x 75 ㎖)으로 추출하였다. 합한 유기층을 물(100 ㎖) 및 염수(70 ㎖)로 세척하고, 건조시키고(MgSO4) 증발시켰다. 조 생성물을 실리카겔(헵탄/에틸 아세테이트 1:1) 상에서 컬럼 크로마토그래피에 의해 추가로 정제시켜 회색 고체로서 3-나이트로-N-사이클로프로필메틸-벤젠설폰아미드(3.08 g, 89%)를 수득하였다. MS(ISP) 254.9[(M-H)-]; 융점 91 ℃.a) In a stirred solution of cyclopropylmethylamine (1.28 mL, 15 mmol) in dioxane (37 mL) at room temperature 3-nitrobenzenesulfonyl chloride (3.0 g, 14 mmol) and triethylamine (2.06 mL, 15 Mmol). The light yellow suspension was stirred at rt for 4 h, poured into water (100 mL) and extracted with dichloromethane (3 x 75 mL). The combined organic layers were washed with water (100 mL) and brine (70 mL), dried (MgSO4 ) and evaporated. The crude product was further purified by column chromatography on silica gel (heptane / ethyl acetate 1: 1) to give 3-nitro-N-cyclopropylmethyl-benzenesulfonamide (3.08 g, 89%) as a gray solid. . MS (ISP) 254.9 [(MH)- ]; Melting point 91 캜.

b) 실온에서 1 시간 동안 팔라듐/탄소(10%, 0.25 g) 상에서 메탄올(167 ㎖) 중의 3-나이트로-N-사이클로프로필메틸-벤젠설폰아미드(2.46 g, 10 밀리몰)의 교반된 용액을 수소화시켜 여과 및 증발에 의해 촉매를 제거한 후에 밝은 황색 액체로 서 표제 화합물을 수득하였다. MS(ISP) 225.1[(M-H)-].b) A stirred solution of 3-nitro-N-cyclopropylmethyl-benzenesulfonamide (2.46 g, 10 mmol) in methanol (167 mL) on palladium / carbon (10%, 0.25 g) for 1 hour at room temperature The title compound was obtained as a light yellow liquid after hydrogenation to remove the catalyst by filtration and evaporation. MS (ISP) 225.1 [(M H) ].

실시예Example B.3 B.3

3-아미노-N-피리딘-4-일메틸-벤젠설폰아미드3-Amino-N-pyridin-4-ylmethyl-benzenesulfonamide

3-나이트로-N-(피리딘-4-일메틸)-벤젠설폰아미드[CAS No. 332942-34-4, 상업적으로 입수할 수 있음](1.23 g, 4.2 밀리몰), 나트륨 다이티오나이트(3.09 g, 15.1 밀리몰), 물(10 ㎖) 및 2 메톡시에탄올(10 ㎖)의 혼합물을 100 ℃에서 2 시간 동안 교반하고, 추가의 물(7 ㎖)을 70 ℃에서 가하고 후속적으로 HCl(37%, 7 ㎖)을 10 분의 기간에 걸쳐 가하였다(SO2 방출). 상기 반응 혼합물을 70 ℃에서 20 분간 교반하고, 빙/수(50 ㎖)에 붓고 상기 용액이 염기성으로 증명될 때까지 탄산 나트륨을 가하였다. 상기 용액을 에틸 아세테이트/MeOH 9:1(3 x 75 ㎖)로 추출하고, 합한 유기층을 염수(80 ㎖)로 세척하고, 건조시키고(MgSO4), 증발시켰다. 조 생성물을 실리카겔(MeOH/에틸 아세테이트 1:9) 상에서 컬럼 크로마토그래피에 의해 추가로 정제시켜 밝은 황색 고체로서 표제 화합물(0.8 g, 72%)을 수득하였다. MS(ISP) 261.9[(M-H)-]; 융점 139 ℃.3-nitro-N- (pyridin-4-ylmethyl) -benzenesulfonamide [CAS No. 332942-34-4, commercially available] (1.23 g, 4.2 mmol), sodium dithionite (3.09 g, 15.1 mmol), water (10 mL) and 2 methoxyethanol (10 mL) Stir at 100 ° C. for 2 hours, additional water (7 mL) was added at 70 ° C. and subsequently HCl (37%, 7 mL) was added over a period of 10 minutes (SO2 release). The reaction mixture was stirred at 70 ° C. for 20 min, poured into ice / water (50 mL) and sodium carbonate was added until the solution proved basic. The solution was extracted with ethyl acetate / MeOH 9: 1 (3 × 75 mL) and the combined organic layers were washed with brine (80 mL), dried (MgSO4 ) and evaporated. The crude product was further purified by column chromatography on silica gel (MeOH / ethyl acetate 1: 9) to give the title compound (0.8 g, 72%) as a light yellow solid. MS (ISP) 261.9 [(MH)- ]; Melting point 139 ° C.

실시예Example B.4 B.4

3-아미노-N-(2,2-다이메틸-프로필)-벤젠설폰아미드3-Amino-N- (2,2-dimethyl-propyl) -benzenesulfonamide

a) 다이옥산(25 ㎖) 중의 네오펜틸아민(0.86 g ㎖, 9.93 밀리몰)의 교반된 용액에 실온에서 3-나이트로벤젠설포닐 클로라이드(2.0 g, 9.02 밀리몰) 및 트라이 에틸아민(1.38 ㎖, 9.93 밀리몰)을 가하였다. 상기 밝은 황색 현탁액을 실온에서 17 시간 동안 교반하고, 물(100 ㎖)에 붓고, 다이클로로메탄(3 x 75 ㎖)으로 추출하였다. 합한 유기층을 물(100 ㎖) 및 염수(70 ㎖)로 세척하고, 건조시키고(MgSO4) 증발시켰다. 조 생성물을 에틸 아세테이트/헥산으로부터 결정화에 의해 추가로 정제시켜 백색 고체로서 3-나이트로-N-(2,2-다이메틸-프로필)-벤젠설폰아미드(2.14 g, 87%)를 수득하였다. MS(ISP) 271.1[(M-H)-]; 융점 117 ℃.a) In a stirred solution of neopentylamine (0.86 g mL, 9.93 mmol) in dioxane (25 mL) at room temperature 3-nitrobenzenesulfonyl chloride (2.0 g, 9.02 mmol) and triethylamine (1.38 mL, 9.93 Mmol). The light yellow suspension was stirred at rt for 17 h, poured into water (100 mL) and extracted with dichloromethane (3 x 75 mL). The combined organic layers were washed with water (100 mL) and brine (70 mL), dried (MgSO4 ) and evaporated. The crude product was further purified by crystallization from ethyl acetate / hexanes to give 3-nitro-N- (2,2-dimethyl-propyl) -benzenesulfonamide (2.14 g, 87%) as a white solid. MS (ISP) 271.1 [(MH)- ]; Melting point 117 캜.

b) 실온에서 1 시간 동안 팔라듐/탄소(10%, 0.20 g) 상에서 메탄올(130 ㎖) 중의 3-나이트로-N-(2,2-다이메틸-프로필)-벤젠설폰아미드(2.04 g, 7.49 밀리몰)의 교반된 용액을 수소화시켜 여과, 증발 및 헥산으로부터의 결정화에 의해 촉매를 제거한 후에 백색 고체로서 표제 화합물을 수득하였다. MS(ISP) 243.2[(M+H)+]; 융점 99 ℃.b) 3-nitro-N- (2,2-dimethyl-propyl) -benzenesulfonamide (2.04 g, 7.49 in methanol (130 mL) over palladium / carbon (10%, 0.20 g) for 1 hour at room temperature. Mmol) of the stirred solution was hydrogenated to remove the catalyst by filtration, evaporation and crystallization from hexane to afford the title compound as a white solid. MS (ISP) 243.2 [(M + H)+ ]; Melting point 99 캜.

실시예Example B.5 B.5

3-아미노-N-피리딘-3-일메틸-벤젠설폰아미드3-Amino-N-pyridin-3-ylmethyl-benzenesulfonamide

a) 실온에서 2 시간 동안 팔라듐/탄소(10%, 0.14 g) 상에서 메탄올(90 ㎖) 및 THF(50 ㎖) 중의 3-나이트로-N-피리딘-3-일메틸-벤젠설폰아미드[CAS-No. 436095-43-1; 상업적으로 입수할 수 있음](1.42 g, 4.84 밀리몰)의 교반된 용액을 수소화시켜 여과, 증발, 및 에틸 아세테이트/헥산으로부터의 결정화에 의해 촉매를 제거한 후에 밝은 황색 고체로서 표제 화합물(1.15 g, 90%)을 수득하였다. MS(ISP) 264.1[(M+H)+]; 융점 129 ℃.a) 3-nitro-N-pyridin-3-ylmethyl-benzenesulfonamide in methanol (90 mL) and THF (50 mL) on palladium / carbon (10%, 0.14 g) for 2 hours at room temperature [CAS- No. 436095-43-1; Commercially available] (1.42 g, 4.84 mmol) of the title compound (1.15 g, 90) as a light yellow solid after hydrogenation to remove the catalyst by filtration, evaporation, and crystallization from ethyl acetate / hexanes. %) Was obtained. MS (ISP) 264.1 [(M + H)+ ]; Melting point 129 ° C.

실시예Example B.6 B.6

3-아미노-N-피리딘-2-일메틸-벤젠설폰아미드3-Amino-N-pyridin-2-ylmethyl-benzenesulfonamide

a) 실온에서 2 시간 동안 팔라듐/탄소(10%, 0.14 g) 상에서 메탄올(140 ㎖) 중의 3-나이트로-N-피리딘-2-일메틸-벤젠설폰아미드[CAS-No. 309726-30-5; 상업적으로 입수할 수 있음](1.37 g, 4.67 밀리몰)의 교반된 용액을 수소화시켜 여과, 증발, 및 에틸 아세테이트/헥산으로부터의 결정화에 의해 촉매를 제거한 후에 회색 고체로서 표제 화합물(1.16 g, 94%)을 수득하였다. MS(ISP) 262.0[(M-H)-]; 융점 124 ℃.a) 3-nitro-N-pyridin-2-ylmethyl-benzenesulfonamide in methanol (140 mL) on palladium / carbon (10%, 0.14 g) for 2 hours at room temperature [CAS-No. 309726-30-5; Commercially available] (1.37 g, 4.67 mmol) of the title compound (1.16 g, 94%) as a gray solid after hydrogenation to remove the catalyst by filtration, evaporation, and crystallization from ethyl acetate / hexanes. ) Was obtained. MS (ISP) 262.0 [(MH)- ]; Melting point 124 ° C.

실시예Example B.7 B.7

3-아미노-N-(2-피리딘-4-일-에틸)-벤젠설폰아미드3-Amino-N- (2-pyridin-4-yl-ethyl) -benzenesulfonamide

a) 다이옥산(25 ㎖) 중의 4-(2-아미노에틸)-피리딘(1.21 g, 9.93 밀리몰)의 교반된 용액에 실온에서 3-나이트로벤젠설포닐 클로라이드(2.0 g, 9.02 밀리몰) 및 트라이에틸아민(1.38 ㎖, 9.93 밀리몰)을 가하였다. 상기 담황색 현탁액을 실온에서 6 시간 동안 교반하고, 물(100 ㎖)에 붓고, 다이클로로메탄(6 x 75 ㎖)으로 추출하였다. 합한 유기층을 물(100 ㎖) 및 염수(70 ㎖)로 세척하고, 건조시키고(MgSO4) 증발시켰다. 조 생성물을 메탄올/헥산으로부터 결정화에 의해 추가로 정제시켜 3-나이트로-N-(2-피리딘-4-일-에틸)-벤젠설폰아미드(1.63 g, 59%)를 오렌지 색 고체로서 수득하였다. MS(ISP) 306.1[(M-H)-]; 융점 153 ℃.a) 3-nitrobenzenesulfonyl chloride (2.0 g, 9.02 mmol) and triethyl in a stirred solution of 4- (2-aminoethyl) -pyridine (1.21 g, 9.93 mmol) in dioxane (25 mL) at room temperature Amine (1.38 mL, 9.93 mmol) was added. The pale yellow suspension was stirred at rt for 6 h, poured into water (100 mL) and extracted with dichloromethane (6 x 75 mL). The combined organic layers were washed with water (100 mL) and brine (70 mL), dried (MgSO4 ) and evaporated. The crude product was further purified by crystallization from methanol / hexanes to give 3-nitro-N- (2-pyridin-4-yl-ethyl) -benzenesulfonamide (1.63 g, 59%) as an orange solid. . MS (ISP) 306.1 [(MH)- ]; Melting point 153 캜.

b) 실온에서 4 시간 동안 팔라듐/탄소(10%, 0.15 g) 상에서 메탄올(95 ㎖) 및 THF(55 ㎖) 중의 3-나이트로-N-(2-피리딘-4-일-에틸)-벤젠설폰아미드(1.52 g, 4.95 밀리몰)의 교반된 용액을 수소화시켜 여과, 증발, 및 에틸 아세테이트/헥산으로부터의 결정화에 의해 촉매를 제거한 후에 밝은 황색 고체로서 표제 화합물을 수득하였다. MS(ISP) 276.0[(M-H)-]; 융점 138 ℃.b) 3-nitro-N- (2-pyridin-4-yl-ethyl) -benzene in methanol (95 mL) and THF (55 mL) over palladium / carbon (10%, 0.15 g) at room temperature for 4 hours. A stirred solution of sulfonamide (1.52 g, 4.95 mmol) was hydrogenated to remove the catalyst by filtration, evaporation, and crystallization from ethyl acetate / hexanes to afford the title compound as a light yellow solid. MS (ISP) 276.0 [(MH)- ]; Melting point 138 ° C.

실시예Example B.8 B.8

3-아미노-N-(2-하이드록시-1,1-다이메틸-에틸)-벤젠설폰아미드3-Amino-N- (2-hydroxy-1,1-dimethyl-ethyl) -benzenesulfonamide

a) 다이옥산(25 ㎖) 중의 2-아미노-2-메틸-1-프로판올(0.95 ㎖, 9.93 밀리몰)의 교반된 용액에 실온에서 3-나이트로벤젠설포닐 클로라이드(2.0 g, 9.02 밀리몰) 및 트라이에틸아민(1.38 ㎖, 9.93 밀리몰)을 가하였다. 상기 담황색 현탁액을 실온에서 6 시간 동안 교반하고, 물(100 ㎖)에 붓고, 다이클로로메탄(3 x 75 ㎖)으로 추출하였다. 합한 유기층을 물(100 ㎖) 및 염수(70 ㎖)로 세척하고, 건조시키고(MgSO4) 증발시켰다. 조 생성물을 실리카겔(헵탄/에틸 아세테이트 1:1) 상에서 컬럼 크로마토그래피에 의해 추가로 정제시켜 밝은 황색 고체로서 3-나이트로-N-사이클로프로필메틸-벤젠설폰아미드(1.04 g, 42%)를 수득하였다. MS(ISP) 273.2[(M-H)-].a) To a stirred solution of 2-amino-2-methyl-1-propanol (0.95 mL, 9.93 mmol) in dioxane (25 mL) at room temperature 3-nitrobenzenesulfonyl chloride (2.0 g, 9.02 mmol) and tri Ethylamine (1.38 mL, 9.93 mmol) was added. The pale yellow suspension was stirred at room temperature for 6 hours, poured into water (100 mL) and extracted with dichloromethane (3 x 75 mL). The combined organic layers were washed with water (100 mL) and brine (70 mL), dried (MgSO4 ) and evaporated. The crude product was further purified by column chromatography on silica gel (heptane / ethyl acetate 1: 1) to give 3-nitro-N-cyclopropylmethyl-benzenesulfonamide (1.04 g, 42%) as a light yellow solid. It was. MS (ISP) 273.2 [(MH)- ].

b) 실온에서 2 시간 동안 팔라듐/탄소(10%, 0.44 g) 상에서 메탄올(300 ㎖) 중의 3-나이트로-N-사이클로프로필메틸-벤젠설폰아미드(4.37 g, 15.9 밀리몰)의 교반된 용액을 수소화시켜 여과, 증발, 및 에틸 아세테이트/헥산으로부터의 결정화에 의해 촉매를 제거한 후에 백색 고체로서 표제 화합물(3.79 g, 97%)을 수득하였다. MS(ISP) 243.2[(M-H)-]; 융점 96 ℃.b) A stirred solution of 3-nitro-N-cyclopropylmethyl-benzenesulfonamide (4.37 g, 15.9 mmol) in methanol (300 mL) over palladium / carbon (10%, 0.44 g) at room temperature for 2 hours. The title compound (3.79 g, 97%) was obtained as a white solid after hydrogenation removed the catalyst by filtration, evaporation and crystallization from ethyl acetate / hexanes. MS (ISP) 243.2 [(MH)- ]; Melting point 96 ° C.

실시예Example B.9 B.9

3-아미노-N-(2-하이드록시-1-하이드록시메틸-1-메틸-에틸)-벤젠설폰아미드3-Amino-N- (2-hydroxy-1-hydroxymethyl-1-methyl-ethyl) -benzenesulfonamide

a) 다이옥산(25 ㎖) 중의 2-아미노-2-메틸-1,3-프로판다이올(1.04 ㎖, 9.93 밀리몰)의 교반된 용액에 실온에서 3-나이트로벤젠설포닐 클로라이드(2.0 g, 9.02 밀리몰) 및 트라이에틸아민(1.38 ㎖, 9.93 밀리몰)을 가하였다. 상기 밝은 황색 현탁액을 실온에서 6 시간 동안 교반하고, 물(100 ㎖)에 붓고, 다이클로로메탄(3 x 75 ㎖)으로 추출하였다. 합한 유기층을 물(100 ㎖) 및 염수(70 ㎖)로 세척하고, 건조시키고(MgSO4) 증발시켰다. 조 생성물을 실리카겔(헵탄/에틸 아세테이트 1:1) 상에서 컬럼 크로마토그래피에 의해 추가로 정제시켜 백색 고체로서 N-(2-하이드록시-1-하이드록시메틸-1-메틸-에틸)-3-나이트로-벤젠설폰아미드(0.65 g, 25%)를 수득하였다. MS(ISP) 289.1[(M-H)-]; 융점 116 ℃.a) To a stirred solution of 2-amino-2-methyl-1,3-propanediol (1.04 mL, 9.93 mmol) in dioxane (25 mL) at room temperature 3-nitrobenzenesulfonyl chloride (2.0 g, 9.02 Mmol) and triethylamine (1.38 mL, 9.93 mmol) were added. The light yellow suspension was stirred at rt for 6 h, poured into water (100 mL) and extracted with dichloromethane (3 x 75 mL). The combined organic layers were washed with water (100 mL) and brine (70 mL), dried (MgSO4 ) and evaporated. The crude product was further purified by column chromatography on silica gel (heptane / ethyl acetate 1: 1) to give N- (2-hydroxy-1-hydroxymethyl-1-methyl-ethyl) -3-knight as a white solid. Rho-benzenesulfonamide was obtained (0.65 g, 25%). MS (ISP) 289.1 [(MH)- ]; Melting point 116 캜.

b) 실온에서 2.5 시간 동안 팔라듐/탄소(10%, 0.06 g) 상에서 메탄올(60 ㎖) 중의 N-(2-하이드록시-1-하이드록시메틸-1-메틸-에틸)-3-나이트로-벤젠설폰아미드(0.59 g, 2.03 밀리몰)의 교반된 용액을 수소화시켜 여과, 증발, 및 에틸 아세테이트/헥산으로부터의 결정화에 의해 촉매를 제거한 후에 오렌지색 고체로서 표제 화합물(0.22 g, 42%)을 수득하였다. MS(ISP) 259.3[(M-H)-]; 융점 129 ℃.b) N- (2-hydroxy-1-hydroxymethyl-1-methyl-ethyl) -3-nitro- in methanol (60 mL) on palladium / carbon (10%, 0.06 g) at room temperature for 2.5 hours. A stirred solution of benzenesulfonamide (0.59 g, 2.03 mmol) was hydrogenated to afford the title compound (0.22 g, 42%) as an orange solid after catalyst removal by filtration, evaporation, and crystallization from ethyl acetate / hexanes. . MS (ISP) 259.3 [(MH)- ]; Melting point 129 ° C.

실시예Example B.10 B.10

3-아미노-4-클로로-N-(2-하이드록시-1,1-다이메틸-에틸)-벤젠설폰아미드3-Amino-4-chloro-N- (2-hydroxy-1,1-dimethyl-ethyl) -benzenesulfonamide

a) 1N NaOH(25 ㎖) 중의 2-아미노-2-메틸-1-프로판올(3.48 g, 39 밀리몰)의 교반된 용액에 실온에서 4-클로로-3-나이트로벤젠설포닐 클로라이드(5.0 g, 19.5 밀리몰)를 가하였다. 상기 반응 혼합물을 실온에서 16 시간 동안 교반하고, 염수(50 ㎖)에 붓고, 에틸 아세테이트(3 x 70 ㎖)로 추출하였다. 합한 유기층을 염수(50 ㎖)로 세척하고, 건조시키고(MgSO4) 증발시켰다. 조 생성물을 실리카겔(헵탄/에틸 아세테이트 1:4) 상에서 컬럼 크로마토그래피에 의해 추가로 정제시키고 에틸 아세테이트/헵탄으로부터 후속적으로 결정화시켜 회색 고체로서 4-클로로-3-나이트로-(2-하이드록시-1,1-다이메틸-에틸)-벤젠설폰아미드(0.93 g, 15%)를 수득하였다. MS(ISP) 307.0[(M-H)-]; 융점 119 ℃.a) To a stirred solution of 2-amino-2-methyl-1-propanol (3.48 g, 39 mmol) in 1N NaOH (25 mL) at room temperature 4-chloro-3-nitrobenzenesulfonyl chloride (5.0 g, 19.5 mmol) was added. The reaction mixture was stirred at rt for 16 h, poured into brine (50 mL) and extracted with ethyl acetate (3 x 70 mL). The combined organic layers were washed with brine (50 mL), dried (MgSO4 ) and evaporated. The crude product was further purified by column chromatography on silica gel (heptane / ethyl acetate 1: 4) and subsequently crystallized from ethyl acetate / heptane to give 4-chloro-3-nitro- (2-hydroxy as gray solid. -1,1-dimethyl-ethyl) -benzenesulfonamide (0.93 g, 15%) was obtained. MS (ISP) 307.0 [(M H) ]; Melting point 119 캜.

b) 4-클로로-3-나이트로-(2-하이드록시-1,1-다이메틸-에틸)-벤젠설폰아미드(0.89 g, 2.89 밀리몰), 나트륨 다이티오나이트(2.13 g, 10 밀리몰), 물(9 ㎖) 및 2 메톡시에탄올(9 ㎖)의 혼합물을 100 ℃에서 2 시간 동안 교반하고, 추가의 물(6 ㎖)을 70 ℃에서 가하고 후속적으로 HCl(37%, 6 ㎖)을 5 분의 기간에 걸쳐 가하였다(SO2 방출). 상기 반응 혼합물을 70 ℃에서 20 분간 교반하고, 빙/수(50 ㎖)에 붓고 상기 용액이 염기성으로 증명될 때까지 탄산 나트륨을 가하였다. 상기 용 액을 에틸 아세테이트(3 x 70 ㎖)로 추출하고, 합한 유기층을 염수(50 ㎖)로 세척하고, 건조시키고(MgSO4), 증발시켰다. 조 생성물을 헥산/에틸 아세테이트로부터 결정화에 의해 추가로 정제시켜 회색 고체로서 표제 화합물(0.65 g, 81%)을 수득하였다. MS(ISP) 277.1[(M-H)-]; 융점 108 ℃.b) 4-chloro-3-nitro- (2-hydroxy-1,1-dimethyl-ethyl) -benzenesulfonamide (0.89 g, 2.89 mmol), sodium dithionite (2.13 g, 10 mmol), A mixture of water (9 mL) and 2 methoxyethanol (9 mL) was stirred at 100 ° C. for 2 hours, additional water (6 mL) was added at 70 ° C. and subsequently HCl (37%, 6 mL) was added. It was applied over a period of 5 minutes (SO2 release). The reaction mixture was stirred at 70 ° C. for 20 min, poured into ice / water (50 mL) and sodium carbonate was added until the solution proved basic. The solution was extracted with ethyl acetate (3 × 70 mL) and the combined organic layers were washed with brine (50 mL), dried (MgSO4 ) and evaporated. The crude product was further purified by crystallization from hexane / ethyl acetate to afford the title compound (0.65 g, 81%) as a gray solid. MS (ISP) 277.1 [(MH)- ]; Melting point 108 ° C.

실시예Example B.11 B.11

3-아미노-N-(2-하이드록시-1,1-다이메틸-에틸)-4-메틸-벤젠설폰아미드3-Amino-N- (2-hydroxy-1,1-dimethyl-ethyl) -4-methyl-benzenesulfonamide

a) 1N NaOH(25 ㎖) 중의 2-아미노-2-메틸-1-프로판올(3.78 g, 42 밀리몰)의 교반된 용액에 실온에서 4-메틸-3-나이트로벤젠설포닐 클로라이드(5.0 g, 21 밀리몰)를 가하였다. 상기 반응 혼합물을 실온에서 6 시간 동안 교반하고, 염수(50 ㎖)에 붓고, 에틸 아세테이트(3 x 70 ㎖)로 추출하였다. 합한 유기층을 염수(50 ㎖)로 세척하고, 건조시키고(MgSO4) 증발시켰다. 조 생성물을 실리카겔(헵탄/에틸 아세테이트 1:4) 상에서 컬럼 크로마토그래피 및 후속적으로 에틸 아세테이트/헵탄으로부터 결정화에 의해 추가로 정제시켜 회색 고체로서 (2-하이드록시-1,1-다이메틸-에틸)-4-메틸-3-나이트로-벤젠설폰아미드(1.5 g, 25%)를 수득하였다. MS(ISP) 287.0[(M-H)-]; 융점 109 ℃.a) In a stirred solution of 2-amino-2-methyl-1-propanol (3.78 g, 42 mmol) in 1N NaOH (25 mL) at room temperature 4-methyl-3-nitrobenzenesulfonyl chloride (5.0 g, 21 mmol) was added. The reaction mixture was stirred at rt for 6 h, poured into brine (50 mL) and extracted with ethyl acetate (3 x 70 mL). The combined organic layers were washed with brine (50 mL), dried (MgSO4 ) and evaporated. The crude product was further purified by column chromatography on silica gel (heptane / ethyl acetate 1: 4) and subsequently crystallization from ethyl acetate / heptane to give (2-hydroxy-1,1-dimethyl-ethyl as a gray solid. ) -4-methyl-3-nitro-benzenesulfonamide (1.5 g, 25%) was obtained. MS (ISP) 287.0 [(M H) ]; Melting point 109 ° C.

b) 실온에서 1.5 시간 동안 팔라듐/탄소(10%, 0.15 g) 상에서 메탄올(50 ㎖) 중의 (2-하이드록시-1,1-다이메틸-에틸)-4-메틸-3-나이트로-벤젠설폰아미드(1.46 g, 5.06 밀리몰)의 교반된 용액을 수소화시켜 여과, 증발, 및 MeOH/다이에틸 에테 르/헥산으로부터의 결정화에 의해 촉매를 제거한 후에 회색 고체로서 표제 화합물(1.15 g, 88%)을 수득하였다. MS(ISP) 257.2[(M-H)-]; 융점 133 ℃.b) (2-hydroxy-1,1-dimethyl-ethyl) -4-methyl-3-nitro-benzene in methanol (50 mL) on palladium / carbon (10%, 0.15 g) at room temperature for 1.5 hours. A stirred solution of sulfonamide (1.46 g, 5.06 mmol) was hydrogenated to remove the catalyst by filtration, evaporation, and crystallization from MeOH / diethyl ether / hexanes to give the title compound (1.15 g, 88%) as a gray solid. Obtained. MS (ISP) 257.2 [(M H) ]; Melting point 133 캜.

실시예Example B.12 B.12

3-아미노-N-(2-다이메틸아미노-에틸)-벤젠설폰아미드3-Amino-N- (2-dimethylamino-ethyl) -benzenesulfonamide

실온에서 2.5 시간 동안 팔라듐/탄소(10%, 0.14 g) 상에서 메탄올(145 ㎖) 중의 N-(2-다이메틸아미노-에틸)-3-나이트로-벤젠설폰아미드[CAS-No. 117082-97-0](1.44 g, 5.27 밀리몰)의 교반된 용액을 수소화시켜 여과 및 증발에 의해 촉매를 제거한 후에 밝은 황색 액체로서 표제 화합물(1.25 g, 98%)을 수득하고, 이를 추가의 정제 없이 사용하였다. MS(ISP) 242.2[(M-H)-].N- (2-dimethylamino-ethyl) -3-nitro-benzenesulfonamide [CAS-No. In methanol (145 mL) on palladium / carbon (10%, 0.14 g) for 2.5 h at rt. 117082-97-0] (1.44 g, 5.27 mmol) was hydrogenated to remove the catalyst by filtration and evaporation to afford the title compound (1.25 g, 98%) as a light yellow liquid which was further purified. Used without. MS (ISP) 242.2 [(M H) ].

실시예Example B.13 B.13

3-아미노-N-(1-하이드록시메틸-사이클로펜틸)-벤젠설폰아미드3-Amino-N- (1-hydroxymethyl-cyclopentyl) -benzenesulfonamide

다이클로로메탄(4 ㎖)/중탄산 나트륨 포화 용액(4 ㎖) 중의 3-나이트로-벤젠설포닐 클로라이드(0.89 g, 4 밀리몰) 및 (1-아미노-사이클로펜틸)-메탄올(0.46 g, 4 밀리몰)의 혼합물을 20 ℃에서 20 시간 동안 교반하였다. 상기 혼합물을 다이클로로메탄(20 ㎖)으로 희석하였다. 상기 층을 분리시키고 유기층을 물로 세척하고, 건조시키고(Na2SO4) 진공 하에서 증발시켰다. 고체 잔사를 에탄올(20 ㎖)에 용해시키고 5% 팔라듐-목탄(0.2 g)의 존재 하에서 수소화시켜 표제 화합물(0.64 g, 59%)을 제공하였다. 회색 고체. MS(ISP) 271.4[(M+H)+]; 융점 130-132 ℃.3-nitro-benzenesulfonyl chloride (0.89 g, 4 mmol) and (1-amino-cyclopentyl) -methanol (0.46 g, 4 mmol) in dichloromethane (4 mL) / saturated sodium bicarbonate solution (4 mL) ) Was stirred at 20 ° C for 20 h. The mixture was diluted with dichloromethane (20 mL). The layers were separated and the organic layer was washed with water, dried (Na2 SO4 ) and evaporated under vacuum. The solid residue was dissolved in ethanol (20 mL) and hydrogenated in the presence of 5% palladium-charcoal (0.2 g) to give the title compound (0.64 g, 59%). Gray solid. MS (ISP) 271.4 [(M + H)+ ]; Melting point 130-132 ° C.

실시예Example B.14 B.14

(S)-[1-(3-아미노-벤젠설포닐)-피롤리딘-2-일]-메탄올(S)-[1- (3-Amino-benzenesulfonyl) -pyrrolidin-2-yl] -methanol

3-나이트로-벤젠설포닐 클로라이드 및 L-프롤린에 대해 실시예 B.13에 개시된 과정과 유사한 과정을 수행함으로써 표제 화합물을 수득하였다. 담황색 오일. MS(ISP) 257.3[(M+H)+].The title compound was obtained by performing a procedure analogous to the procedure described in Example B.13 for 3-nitro-benzenesulfonyl chloride and L-proline. Pale yellow oil. MS (ISP) 257.3 [(M + H)+ ].

아세토페논으로부터 중간체 화합물:Intermediate Compounds from Acetophenone:피라졸로Pyrazolo-피리미딘Pyrimidine카복실산(화학식 VI의 중간Carboxylic Acid (Medium of Formula VI체)의 합성Synthesis of sieve)

중간체 화합물 중 일부, 예를 들어 일반적인 과정 I 및 II에 따라 사용될 수 있는 피라졸로-피리미딘 카복실산 유도체를 상업적으로 입수할 수 있다. 그러나, 상기 중간체 중 일부를 달리 나타내지 않는 한 이후에 개략하는 바와 같은 과정에 따라 제조하였으며, 이들 중간체 화합물은 신규의 화합물이다. 당해 분야의 숙련가는 상기 일반적인 과정 I 및 II에 유용한 다른 피라졸로-피리미딘 카복실산 유도체를 하기의 제조 실시예를 고려하여 제조할 수 있을 것이다:Some of the intermediate compounds are commercially available, for example pyrazolo-pyrimidine carboxylic acid derivatives which can be used according to general procedures I and II. However, unless some of these intermediates are indicated otherwise, they were prepared according to the procedures outlined below, and these intermediate compounds are novel compounds. One skilled in the art will be able to prepare other pyrazolo-pyrimidine carboxylic acid derivatives useful for the general procedures I and II described above in view of the following preparation examples:

실시예Example C.1 C.1

7-다이플루오로메틸-5-(4-트라이플루오로메틸-페닐)-피라졸로[1,5-a]피리미딘-3-카복실산7-Difluoromethyl-5- (4-trifluoromethyl-phenyl) -pyrazolo [1,5-a] pyrimidine-3-carboxylic acid

a) 3급-부틸-메틸-에테르(30 ㎖) 중의 에틸 다이플루오로아세테이트(5.0 ㎖, 21 밀리몰)의 교반된 용액에 실온에서 메탄올(4.65 ㎖, 25 밀리몰) 중의 나트륨 메탄올레이트 5.4M 용액에 이어서 3급-부틸-메틸-에테르(10 ㎖) 중의 상업적으로 입 수할 수 있는 4-트라이플루오로메틸-아세토페논(4.0 g, 21 밀리몰) 용액을 가하였다. 상기 반응 혼합물을 실온에서 19 시간 동안 교반하고, 빙/수(50 ㎖)에 붓고, 2N HCl(40 ㎖)로 산성화하고 다이에틸 에테르(2 x 100 ㎖)로 추출하였다. 합한 유기층을 염수(2 x 50 ㎖)로 세척하고, 건조(MgSO4)시키고, 증발시켜 황색 액체로서 조 4,4-다이플루오로-1-(4-트라이플루오로메틸-페닐)-부탄-1,3-다이온(5.87 g)을 제공하고, 이를 추가의 정제 없이 사용하였다.a) To a stirred solution of ethyl difluoroacetate (5.0 mL, 21 mmol) in tert-butyl-methyl-ether (30 mL) at room temperature in 5.4 M solution of sodium methanolate in methanol (4.65 mL, 25 mmol) Then a commercially available 4-trifluoromethyl-acetophenone (4.0 g, 21 mmol) solution in tert-butyl-methyl-ether (10 mL) was added. The reaction mixture was stirred at rt for 19 h, poured into ice / water (50 mL), acidified with 2N HCl (40 mL) and extracted with diethyl ether (2 × 100 mL). The combined organic layers were washed with brine (2 x 50 mL), dried (MgSO4 ) and evaporated to crude 4,4-difluoro-1- (4-trifluoromethyl-phenyl) -butane- as a yellow liquid. 1,3-dione (5.87 g) was provided and used without further purification.

b) 아세트산(45 ㎖) 중의 상업적으로 입수할 수 있는 3-아미노-4-에톡시카보닐-피라졸(3.38 g, 22 밀리몰) 및 4,4-다이플루오로-1-(4-트라이플루오로메틸-페닐)-부탄-1,3-다이온(5.8 g, 22 밀리몰)의 교반된 혼합물을 환류 조건 하에서 1.5 시간 동안 가열하였다. 상기 반응 혼합물을 증발시키고 조 생성물(황색 고체, 8.5 g, 22 밀리몰)을 메탄올(176.5 ㎖, 0.35 몰) 및 물(85 ㎖) 중의 2M KOH의 혼합물에 용해시켰다. 반응 혼합물을 60 ℃에서 1.5 시간 동안 교반하고, 얼음/물(200 ㎖)에 붓고, 3N 황산(pH = 4)으로 산성화시키고 실온에서 30 분 동안 교반하였다. 침전물을 여과에 의해 수거하고 다이에틸에테르/메탄올로부터 결정화에 의해 추가로 정제시켜 회색 고체로서 표제 화합물(4.51 g, 57%)을 제공하였다. MS(ISP) 356.1[(M-H)-]; 융점 261 ℃.b) commercially available 3-amino-4-ethoxycarbonyl-pyrazole (3.38 g, 22 mmol) and 4,4-difluoro-1- (4-trifluoro) in acetic acid (45 mL) A stirred mixture of chloromethyl-phenyl) -butane-1,3-dione (5.8 g, 22 mmol) was heated under reflux for 1.5 hours. The reaction mixture was evaporated and the crude product (yellow solid, 8.5 g, 22 mmol) was dissolved in a mixture of 2M KOH in methanol (176.5 mL, 0.35 mole) and water (85 mL). The reaction mixture was stirred at 60 ° C. for 1.5 h, poured into ice / water (200 mL), acidified with 3N sulfuric acid (pH = 4) and stirred at rt for 30 min. The precipitate was collected by filtration and further purified by crystallization from diethylether / methanol to give the title compound (4.51 g, 57%) as a gray solid. MS (ISP) 356.1 [(M H) ]; Melting point 261 ° C.

실시예Example C.2 C.2

7-트라이플루오로메틸-5-(4-트라이플루오로메틸-페닐)-피라졸[1,5-a]피리미딘-3-카복실산7-trifluoromethyl-5- (4-trifluoromethyl-phenyl) -pyrazole [1,5-a] pyrimidine-3-carboxylic acid

표제 화합물을 일반적인 과정 I에 따라 상업적으로 입수할 수 있는 에틸 트라이플루오로아세테이트, 상업적으로 입수할 수 있는 4-트라이플루오로메틸-아세토페논 및 상업적으로 입수할 수 있는 3-아미노-4-에톡시카보닐-피라졸로부터 제조하였다. 밝은 황색 고체. MS(EI) 374.9[M]; 융점 248 ℃.The title compound can be obtained commercially according to general procedure I, ethyl trifluoroacetate, commercially available 4-trifluoromethyl-acetophenone, and commercially available 3-amino-4-ethoxy. Prepared from carbonyl-pyrazole. Light yellow solid. MS (EI) 374.9 [M]; Melting point 248 ° C.

실시예Example C.3 C.3

5-(4-클로로-페닐)-7-다이플루오로메틸-피라졸로[1,5-a]피리미딘-3-카복실산5- (4-Chloro-phenyl) -7-difluoromethyl-pyrazolo [1,5-a] pyrimidine-3-carboxylic acid

표제 화합물을 일반적인 과정 I에 따라 상업적으로 입수할 수 있는 에틸 다이플루오로아세테이트, 상업적으로 입수할 수 있는 4-클로로-아세토페논 및 상업적으로 입수할 수 있는 3-아미노-4-에톡시카보닐-피라졸로부터 제조하였다. 회색 고체. MS(ISP) 322.2[(M-H)-]; 융점 232 ℃.The title compound can be obtained commercially according to general procedure I, ethyl difluoroacetate, commercially available 4-chloro-acetophenone and commercially available 3-amino-4-ethoxycarbonyl- Prepared from pyrazole. Gray solid. MS (ISP) 322.2 [(MH)- ]; Melting point 232 캜.

실시예Example C.4 C.4

5-(4-클로로-페닐)-7-트라이플루오로메틸-피라졸로[1,5-a]피리미딘-3-카복실산5- (4-Chloro-phenyl) -7-trifluoromethyl-pyrazolo [1,5-a] pyrimidine-3-carboxylic acid

표제 화합물을 일반적인 과정 I에 따라 상업적으로 입수할 수 있는 에틸 트라이플루오로아세테이트, 상업적으로 입수할 수 있는 4-클로로-아세토페논 및 상업적으로 입수할 수 있는 3-아미노-4-에톡시카보닐-피라졸로부터 제조하였다. 회색 고체. MS(ISP) 340.0[(M-H)-]; 융점 238 ℃.The title compound can be obtained commercially according to general procedure I, ethyl trifluoroacetate, commercially available 4-chloro-acetophenone and commercially available 3-amino-4-ethoxycarbonyl- Prepared from pyrazole. Gray solid. MS (ISP) 340.0 [(M H) ]; Melting point 238 ° C.

실시예Example C.5 C.5

7-다이플루오로메틸-5-(3-메틸-4-트라이플루오로메틸-페닐)-피라졸로[1,5-a]피리미딘-3-카복실산7-Difluoromethyl-5- (3-methyl-4-trifluoromethyl-phenyl) -pyrazolo [1,5-a] pyrimidine-3-carboxylic acid

표제 화합물을 일반적인 과정 I에 따라 상업적으로 입수할 수 있는 에틸 트라이플루오로아세테이트, 3-메틸-4-트라이플루오로-아세토페논(실시예 A.4) 및 상업적으로 입수할 수 있는 3-아미노-4-에톡시카보닐-피라졸로부터 제조하였다. 회색 고체. MS(ISP) 370.1[(M-H)-]; 융점 217 ℃.The title compound can be obtained commercially according to general procedure I, ethyl trifluoroacetate, 3-methyl-4-trifluoro-acetophenone (Example A.4) and commercially available 3-amino- Prepared from 4-ethoxycarbonyl-pyrazole. Gray solid. MS (ISP) 370.1 [(M H) ]; Melting point 217 ° C.

실시예Example C.6 C.6

5-(4-클로로-3-메틸-페닐)-7-트라이플루오로메틸-피라졸로[1,5-a]피리미딘-3-카복실산5- (4-Chloro-3-methyl-phenyl) -7-trifluoromethyl-pyrazolo [1,5-a] pyrimidine-3-carboxylic acid

표제 화합물을 일반적인 과정 I에 따라 상업적으로 입수할 수 있는 에틸 트라이플루오로아세테이트, 상업적으로 입수할 수 있는 4-클로로-3-메틸-아세토페논 및 상업적으로 입수할 수 있는 3-아미노-4-에톡시카보닐-피라졸로부터 제조하였다. 회색 고체. MS(ISP) 354.0[(M-H)-]; 융점 243 ℃.The title compound is prepared in commercially available ethyl trifluoroacetate, commercially available 4-chloro-3-methyl-acetophenone and commercially available 3-amino-4- according to General Procedure I. Prepared from oxycarbonyl-pyrazole. Gray solid. MS (ISP) 354.0 [(M H) ]; Melting point 243 ° C.

실시예Example C.7 C.7

5-(3,4-다이클로로-페닐)-7-다이플루오로메틸-피라졸로[1,5-a]피리미딘-3-카복실산5- (3,4-Dichloro-phenyl) -7-difluoromethyl-pyrazolo [1,5-a] pyrimidine-3-carboxylic acid

표제 화합물을 일반적인 과정 I에 따라 상업적으로 입수할 수 있는 에틸 트라이플루오로아세테이트, 상업적으로 입수할 수 있는 3,4-다이클로로-아세토페논 및 상업적으로 입수할 수 있는 3-아미노-4-에톡시카보닐-피라졸로부터 제조하였다. 회색 고체. MS(ISP) 356.0[(M-H)-]; 융점 263 ℃.The title compound can be obtained commercially according to general procedure I, ethyl trifluoroacetate, commercially available 3,4-dichloro-acetophenone, and commercially available 3-amino-4-ethoxy Prepared from carbonyl-pyrazole. Gray solid. MS (ISP) 356.0 [(M H) ]; Melting point 263 캜.

실시예Example C.8 C.8

5-(3-메틸-4-트라이플루오로메틸-페닐)-7-트라이플루오로메틸-피라졸로[1,5-a]피리 미딘-3-카복실산5- (3-Methyl-4-trifluoromethyl-phenyl) -7-trifluoromethyl-pyrazolo [1,5-a] pyrimidine-3-carboxylic acid

표제 화합물을 일반적인 과정 I에 따라 상업적으로 입수할 수 있는 에틸 트라이플루오로아세테이트, 3-메틸-4-트라이플루오로-아세토페논(실시예 A.4) 및 상업적으로 입수할 수 있는 3-아미노-4-에톡시카보닐-피라졸로부터 제조하였다. 회색 고체. MS(ISP) 388.1[(M-H)-]; 융점 250 ℃.The title compound can be obtained commercially according to general procedure I, ethyl trifluoroacetate, 3-methyl-4-trifluoro-acetophenone (Example A.4) and commercially available 3-amino- Prepared from 4-ethoxycarbonyl-pyrazole. Gray solid. MS (ISP) 388.1 [(MH)- ]; Melting point 250 ° C.

실시예Example C.9 C.9

5-(3,4-다이클로로-페닐)-7-트라이플루오로메틸-피라졸로[1,5-a]피리미딘-3-카복실산5- (3,4-Dichloro-phenyl) -7-trifluoromethyl-pyrazolo [1,5-a] pyrimidine-3-carboxylic acid

표제 화합물을 일반적인 과정 I에 따라 상업적으로 입수할 수 있는 에틸 트라이플루오로아세테이트, 상업적으로 입수할 수 있는 3,4-다이클로로-아세토페논 및 상업적으로 입수할 수 있는 3-아미노-4-에톡시카보닐-피라졸로부터 제조하였다. 밝은 황색 고체. MS(ISP) 374.1[(M-H)-]; 융점 264 ℃.The title compound can be obtained commercially according to general procedure I, ethyl trifluoroacetate, commercially available 3,4-dichloro-acetophenone, and commercially available 3-amino-4-ethoxy Prepared from carbonyl-pyrazole. Light yellow solid. MS (ISP) 374.1 [(M H) ]; Melting point 264 캜.

실시예Example C.10 C.10

5-[3-(2,2,2-트라이플루오로-에톡시)-4-트라이플루오로메틸-페닐]-7-트라이플루오로메틸-피라졸로[1,5-a]피리미딘-3-카복실산5- [3- (2,2,2-Trifluoro-ethoxy) -4-trifluoromethyl-phenyl] -7-trifluoromethyl-pyrazolo [1,5-a] pyrimidine-3 Carboxylic acid

표제 화합물을 일반적인 과정 I에 따라 상업적으로 입수할 수 있는 에틸 트라이플루오로아세테이트, 3-(2,2,2-트라이플루오로에톡시-4-트라이플루오로-아세토페논(실시예 A.6) 및 상업적으로 입수할 수 있는 3-아미노-4-에톡시카보닐-피라졸로부터 제조하였다. 회색 고체. MS(ISP) 471.9[(M-H)-]; 융점 264 ℃.The title compound is commercially available according to General Procedure I, ethyl trifluoroacetate, 3- (2,2,2-trifluoroethoxy-4-trifluoro-acetophenone (Example A.6) And 3-amino-4-ethoxycarbonyl-pyrazole which is commercially available Gray solid MS (ISP) 471.9 [(MH) ];

실시예Example C.11 C.11

5-(3-에톡시-4-트라이플루오로메틸-페닐)-7-트라이플루오로메틸-피라졸로[1,5-a]피리미딘-3-카복실산5- (3-Ethoxy-4-trifluoromethyl-phenyl) -7-trifluoromethyl-pyrazolo [1,5-a] pyrimidine-3-carboxylic acid

표제 화합물을 일반적인 과정 I에 따라 상업적으로 입수할 수 있는 에틸 트라이플루오로아세테이트, 3-에톡시-4-트라이플루오로-아세토페논(실시예 A.5) 및 상업적으로 입수할 수 있는 3-아미노-4-에톡시카보닐-피라졸로부터 제조하였다. 회색 고체. MS(ISP) 418.0[(M-H)-]; 융점 264 ℃.The title compound is commercially available according to general procedure I, ethyl trifluoroacetate, 3-ethoxy-4-trifluoro-acetophenone (Example A.5) and commercially available 3-amino Prepared from 4-ethoxycarbonyl-pyrazole. Gray solid. MS (ISP) 418.0 [(M H) ]; Melting point 264 캜.

실시예Example C.12 C.12

7-다이플루오로메틸-5-(3-에톡시-4-트라이플루오로메틸-페닐)-피라졸로[1,5-a]피리미딘-3-카복실산7-Difluoromethyl-5- (3-ethoxy-4-trifluoromethyl-phenyl) -pyrazolo [1,5-a] pyrimidine-3-carboxylic acid

표제 화합물을 일반적인 과정 I에 따라 상업적으로 입수할 수 있는 에틸 다이플루오로아세테이트, 3-에톡시-4-트라이플루오로-아세토페논(실시예 A.5) 및 상업적으로 입수할 수 있는 3-아미노-4-에톡시카보닐-피라졸로부터 제조하였다. 황색 고체. MS(ISP) 400.2[(M-H)-]; 융점 247 ℃.The title compound can be obtained commercially according to General Procedure I, ethyl difluoroacetate, 3-ethoxy-4-trifluoro-acetophenone (Example A.5) and commercially available 3-amino Prepared from 4-ethoxycarbonyl-pyrazole. Yellow solid. MS (ISP) 400.2 [(M H) ]; Melting point 247 ° C.

실시예Example C.13 C.13

5-(4-클로로-3-메틸-페닐)-7-다이플루오로메틸-피라졸로[1,5-a]피리미딘-3-카복실산5- (4-Chloro-3-methyl-phenyl) -7-difluoromethyl-pyrazolo [1,5-a] pyrimidine-3-carboxylic acid

표제 화합물을 일반적인 과정 I에 따라 상업적으로 입수할 수 있는 에틸 다이플루오로아세테이트, 상업적으로 입수할 수 있는 4-클로로-3-메틸-아세토페논 및 상업적으로 입수할 수 있는 3-아미노-4-에톡시카보닐-피라졸로부터 제조하였다. 밝은 황색 고체. MS(ISP) 336.0[(M-H)-]; 융점 238 ℃.The title compound is prepared in commercially available ethyl difluoroacetate, commercially available 4-chloro-3-methyl-acetophenone and commercially available 3-amino-4- according to General Procedure I. Prepared from oxycarbonyl-pyrazole. Light yellow solid. MS (ISP) 336.0 [(MH)- ]; Melting point 238 ° C.

실시예Example C.14 C.14

7-다이플루오로메틸-5-[3-(2,2,2-트라이플루오로-에톡시)-4-트라이플루오로메틸-페닐]-피라졸로[1,5-a]피리미딘-3-카복실산7-difluoromethyl-5- [3- (2,2,2-trifluoro-ethoxy) -4-trifluoromethyl-phenyl] -pyrazolo [1,5-a] pyrimidine-3 Carboxylic acid

표제 화합물을 일반적인 과정 I에 따라 상업적으로 입수할 수 있는 에틸 다이플루오로아세테이트, 3-(2,2,2-트라이플루오로에톡시-4-트라이플루오로-아세토페논(실시예 A.6) 및 상업적으로 입수할 수 있는 3-아미노-4-에톡시카보닐-피라졸로부터 제조하였다. 회색 고체. MS(ISP) 454.2[(M-H)-]; 융점 261 ℃.The title compound is commercially available according to general procedure I, ethyl difluoroacetate, 3- (2,2,2-trifluoroethoxy-4-trifluoro-acetophenone (Example A.6) And commercially available 3-amino-4-ethoxycarbonyl-pyrazole Gray solid MS (ISP) 454.2 [(MH) ];

실시예Example C.15 C.15

5-(3-클로로-4-트라이플루오로메틸-페닐)-7-다이플루오로메틸-피라졸로[1,5-a]피리미딘-3-카복실산5- (3-Chloro-4-trifluoromethyl-phenyl) -7-difluoromethyl-pyrazolo [1,5-a] pyrimidine-3-carboxylic acid

표제 화합물을 일반적인 과정 I에 따라 상업적으로 입수할 수 있는 에틸 다이플루오로아세테이트, 3-클로로-4-트라이플루오로메틸-아세토페논[CAS-No. 129322-80-1] 및 상업적으로 입수할 수 있는 3-아미노-4-에톡시카보닐-피라졸로부터 제조하였다. 밝은 적색 고체. MS(ISP) 390.2[(M-H)-]; 융점 216 ℃.The title compound was obtained commercially according to general procedure I, ethyl difluoroacetate, 3-chloro-4-trifluoromethyl-acetophenone [CAS-No. 129322-80-1] and commercially available 3-amino-4-ethoxycarbonyl-pyrazole. Bright red solid. MS (ISP) 390.2 [(M H) ]; Melting point 216 캜.

실시예Example C.16 C.16

7-다이플루오로메틸-5-(3-플루오로-4-트라이플루오로메틸-페닐)-피라졸로[1,5-a]피리미딘-3-카복실산7-Difluoromethyl-5- (3-fluoro-4-trifluoromethyl-phenyl) -pyrazolo [1,5-a] pyrimidine-3-carboxylic acid

표제 화합물을 일반적인 과정 I에 따라 상업적으로 입수할 수 있는 에틸 다이플루오로아세테이트, 상업적으로 입수할 수 있는 3-플루우로-4-트라이플루오로메틸-아세토페논 및 상업적으로 입수할 수 있는 3-아미노-4-에톡시카보닐-피라졸로부터 제조하였다. 밝은 갈색 고체. MS(ISP) 374.1[(M-H)-]; 융점 233 ℃.The title compound can be obtained commercially according to general procedure I, ethyl difluoroacetate, commercially available 3-fluuro-4-trifluoromethyl-acetophenone, and commercially available 3-amino Prepared from 4-ethoxycarbonyl-pyrazole. Light brown solid. MS (ISP) 374.1 [(M H) ]; Melting point 233 ° C.

실시예Example C.17 C.17

5-(3-클로로-4-트라이플루오로메틸-페닐)-7-트라이플루오로메틸-피라졸로[1,5-a]피리미딘-3-카복실산5- (3-Chloro-4-trifluoromethyl-phenyl) -7-trifluoromethyl-pyrazolo [1,5-a] pyrimidine-3-carboxylic acid

표제 화합물을 일반적인 과정 I에 따라 상업적으로 입수할 수 있는 에틸 트라이플루오로아세테이트, 3-클로로-4-트라이플루오로메틸-아세토페논[CAS-No. 129322-80-1] 및 상업적으로 입수할 수 있는 3-아미노-4-에톡시카보닐-피라졸로부터 제조하였다. 밝은 황색 고체. MS(ISP) 408.0[(M-H)-]; 융점 244 ℃.The title compound was obtained commercially according to general procedure I, ethyl trifluoroacetate, 3-chloro-4-trifluoromethyl-acetophenone [CAS-No. 129322-80-1] and commercially available 3-amino-4-ethoxycarbonyl-pyrazole. Light yellow solid. MS (ISP) 408.0 [(M H) ]; Melting point 244 ° C.

실시예Example C.18 C.18

5-(3-플루오로-4-트라이플루오로메틸-페닐)-7-트라이플루오로메틸-피라졸로[1,5-a]피리미딘-3-카복실산5- (3-Fluoro-4-trifluoromethyl-phenyl) -7-trifluoromethyl-pyrazolo [1,5-a] pyrimidine-3-carboxylic acid

표제 화합물을 일반적인 과정 I에 따라 상업적으로 입수할 수 있는 에틸 트라이플루오로아세테이트, 상업적으로 입수할 수 있는 3-플루오로-4-트라이플루오로메틸-아세토페논 및 상업적으로 입수할 수 있는 3-아미노-4-에톡시카보닐-피라졸로부터 제조하였다. 밝은 황색 고체. MS(ISP) 392.0[(M-H)-]; 융점 212 ℃.The title compound can be obtained commercially according to general procedure I, ethyl trifluoroacetate, commercially available 3-fluoro-4-trifluoromethyl-acetophenone, and commercially available 3-amino Prepared from 4-ethoxycarbonyl-pyrazole. Light yellow solid. MS (ISP) 392.0 [(MH)- ]; Melting point 212 ° C.

실시예Example C.19 C.19

5-(4-트라이플루오로메톡시-페닐)-7-트라이플루오로메틸-피라졸로[1,5-a]피리미딘-3-카복실산5- (4-Trifluoromethoxy-phenyl) -7-trifluoromethyl-pyrazolo [1,5-a] pyrimidine-3-carboxylic acid

표제 화합물을 일반적인 과정 I에 따라 상업적으로 입수할 수 있는 에틸 트라이플루오로아세테이트, 상업적으로 입수할 수 있는 4-트라이플루오로메톡시-아세토페논 및 상업적으로 입수할 수 있는 3-아미노-4-에톡시카보닐-피라졸로부터 제조하였다. 백색 고체. MS(ISP) 390.0[(M-H)-]; 융점 225 ℃.The title compound can be obtained commercially according to general procedure I, ethyl trifluoroacetate, commercially available 4-trifluoromethoxy-acetophenone and commercially available 3-amino-4-ethoxy Prepared from carbonyl-pyrazole. White solid. MS (ISP) 390.0 [(M H) ]; Melting point 225 ° C.

실시예Example C.20 C.20

7-다이플루오로메틸-5-(4-트라이플루오로메톡시-페닐)-피라졸로[1,5-a]피리미딘-3-카복실산7-Difluoromethyl-5- (4-trifluoromethoxy-phenyl) -pyrazolo [1,5-a] pyrimidine-3-carboxylic acid

표제 화합물을 일반적인 과정 I에 따라 상업적으로 입수할 수 있는 에틸 다이플루오로아세테이트, 상업적으로 입수할 수 있는 4-트라이플루오로메톡시-아세토페논 및 상업적으로 입수할 수 있는 3-아미노-4-에톡시카보닐-피라졸로부터 제조하였다. 회색 고체. MS(ISP) 372.1[(M-H)-]; 융점 231 ℃.The title compound can be obtained commercially according to general procedure I, ethyl difluoroacetate, commercially available 4-trifluoromethoxy-acetophenone, and commercially available 3-amino-4-ethoxy Prepared from carbonyl-pyrazole. Gray solid. MS (ISP) 372.1 [(MH)- ]; Melting point 231 ° C.

실시예Example C.21 C.21

5-(3,4-다이플루오로-페닐)-7-트라이플루오로메틸-피라졸로[1,5-a]피리미딘-3-카복실산5- (3,4-Difluoro-phenyl) -7-trifluoromethyl-pyrazolo [1,5-a] pyrimidine-3-carboxylic acid

표제 화합물을 일반적인 과정 I에 따라 상업적으로 입수할 수 있는 에틸 트라이플루오로아세테이트, 상업적으로 입수할 수 있는 3,4-다이플루오로-아세토페논 및 상업적으로 입수할 수 있는 3-아미노-4-에톡시카보닐-피라졸로부터 제조하였다. 밝은 황색 고체. MS(ISP) 342.0[(M-H)-]; 융점 274 ℃.The title compound is prepared in commercially available ethyl trifluoroacetate, commercially available 3,4-difluoro-acetophenone and commercially available 3-amino-4- according to General Procedure I. Prepared from oxycarbonyl-pyrazole. Light yellow solid. MS (ISP) 342.0 [(MH)- ]; Melting point 274 ° C.

실시예Example C.22 C.22

5-(4-클로로-페닐)-피라졸로[1,5-a]피리미딘-3-카복실산5- (4-Chloro-phenyl) -pyrazolo [1,5-a] pyrimidine-3-carboxylic acid

a. 에틸 3-(4-클로로-페닐)-3-옥소-프로피오네이트(18.1 g, 0.080 몰) 및 에틸 5-아미노-1H-피라졸-4-카복실레이트(13.7 g, 0.088 몰)의 혼합물을 160 ℃에서 3 시간 동안 교반하였다. 에틸 아세테이트(40 ㎖) 및 헥산(40 ㎖)을 연속적으로 냉각된 혼합물에 가하고 0 ℃에서 0.5 시간 동안 교반을 계속하였다. 상기 결정을 여과에 의해 단리하고 0.2N HCl(80 ㎖)로 1.2 시간 동안 연마하였다. 고체를 여과하고, 물로 세척하고 건조시켜 에틸 5-(4-클로로-페닐)-7-하이드록시-피라졸로[1,5-a]피리미딘-3-카복실레이트(13.3 g, 52%)를 제공하였다. 백색 고체. MS(ISN) 316.3[(M-H)]; 융점 190-192 ℃.a. A mixture of ethyl 3- (4-chloro-phenyl) -3-oxo-propionate (18.1 g, 0.080 mol) and ethyl 5-amino-1 H-pyrazole-4-carboxylate (13.7 g, 0.088 mol) Stir at 160 ° C. for 3 hours. Ethyl acetate (40 mL) and hexane (40 mL) were added to the continuously cooled mixture and stirring continued at 0 ° C. for 0.5 h. The crystals were isolated by filtration and ground with 0.2 N HCl (80 mL) for 1.2 h. The solid was filtered off, washed with water and dried to afford ethyl 5- (4-chloro-phenyl) -7-hydroxy-pyrazolo [1,5-a] pyrimidine-3-carboxylate (13.3 g, 52%). Provided. White solid. MS (ISN) 316.3 [(M-H)]; Melting point 190-192 ° C.

b. 5-(4-클로로-페닐)-7-하이드록시-피라졸로[1,5-a]피리미딘-3-카복실레이트(9.53 g, 0.03 몰), 옥시염화 인(11.0 ㎖, 0.12 몰) 및 N,N-다이메틸아닐린(1.3 ㎖, 0.01 몰)의 혼합물을 100 ℃에서 2 시간 동안 교반하였다. 상기 혼합물을 진공 하에서 증발시키고 잔사를 물과 다이클로로메탄 사이에 분배시켰다. 유기 상을 물로 세척하고, 건조(Na2SO4)시키고, 진공 하에서 증발시켰다. 나머지 고체를 에틸 아세테이트/헥산으로부터 결정화시켜 7-클로로-5-(4-클로로-페닐)-피라졸로[1,5-a]피리미딘(6.80 g, 67%)을 제공하였다. 담-황색 고체, MS(ISP) 336.0[(M+H)+]; 융점 133-135 ℃.b. 5- (4-chloro-phenyl) -7-hydroxy-pyrazolo [1,5-a] pyrimidine-3-carboxylate (9.53 g, 0.03 mol), phosphorus oxychloride (11.0 ml, 0.12 mol) and A mixture of N, N-dimethylaniline (1.3 mL, 0.01 mol) was stirred at 100 ° C for 2 hours. The mixture was evaporated under vacuum and the residue was partitioned between water and dichloromethane. The organic phase was washed with water, dried (Na2 SO4 ) and evaporated in vacuo. The remaining solid was crystallized from ethyl acetate / hexanes to give 7-chloro-5- (4-chloro-phenyl) -pyrazolo [1,5-a] pyrimidine (6.80 g, 67%). Pale-yellow solid, MS (ISP) 336.0 [(M + H)+ ]; Melting point 133-135 ° C.

c. 에탄올(60 ㎖) 중의 7-클로로-5-(4-클로로-페닐)-피라졸로[1,5-a]피리미딘(0.34 g, 1.0 밀리몰), 트라이에틸아민(0.28 ㎖, 2.0 밀리몰) 및 5% 팔라듐-목탄(0.03 g)의 혼합물을 수소 분위기 하에 20 ℃에서 12 분간 교반하였다. 촉매를 여과에 의해 제거하고 용액을 증발시켰다. 잔사를 에틸 아세테이트와 물 사이에 분배시키고 유기층을 건조시키고(Na2SO4) 진공 하에서 증발시켰다. 잔사를 에틸 아세테이트/사이클로헥산으로부터 결정화시켜 에틸 5-(4-클로로-페닐)-피라졸로[1,5-a]피리미딘-3-카복실레이트(0.18 g, 59%)를 제공하였다. 회색 고체; MS(ISP) 301.9[(M+H)+].c. 7-chloro-5- (4-chloro-phenyl) -pyrazolo [1,5-a] pyrimidine (0.34 g, 1.0 mmol), triethylamine (0.28 mL, 2.0 mmol) in ethanol (60 mL) and A mixture of 5% palladium-charcoal (0.03 g) was stirred for 12 minutes at 20 ° C. under hydrogen atmosphere. The catalyst was removed by filtration and the solution was evaporated. The residue was partitioned between ethyl acetate and water and the organic layer was dried (Na2 SO4 ) and evaporated under vacuum. The residue was crystallized from ethyl acetate / cyclohexane to give ethyl 5- (4-chloro-phenyl) -pyrazolo [1,5-a] pyrimidine-3-carboxylate (0.18 g, 59%). Gray solid; MS (ISP) 301.9 [(M + H)+ ].

d. 메탄올(4 ㎖) 중의 에틸 5-(4-클로로-페닐)-피라졸로[1,5-a]피리미딘-3-카복실레이트(0.12 g, 0.4 밀리몰) 및 0.5N 수산화 나트륨 용액(4 ㎖)의 혼합물을 70 ℃로 2 시간 동안 가열하였다. 상기 혼합물을 냉각시키고, 물(8 ㎖)로 희석하고 진공 하에서 농축시켰다. 상기 수용액을 3N HCl의 첨가에 의해 pH 2로 산성화시켰다. 침전물을 여과에 의해 단리하고, 물로 세척하고 건조시켜 5-(4-클로로-페닐)-피라졸로[1,5-a]피리미딘-3-카복실산(0.11 g, 100%)을 제공하였다. 회색 고체. MS(ISN) 272.3[(M-H)-]; 융점 309-311 ℃.d. Ethyl 5- (4-chloro-phenyl) -pyrazolo [1,5-a] pyrimidine-3-carboxylate (0.12 g, 0.4 mmol) and 0.5N sodium hydroxide solution (4 mL) in methanol (4 mL) The mixture of was heated to 70 ° C for 2 h. The mixture was cooled, diluted with water (8 mL) and concentrated in vacuo. The aqueous solution was acidified to pH 2 by addition of 3N HCl. The precipitate was isolated by filtration, washed with water and dried to give 5- (4-chloro-phenyl) -pyrazolo [1,5-a] pyrimidine-3-carboxylic acid (0.11 g, 100%). Gray solid. MS (ISN) 272.3 [(M H) ]; Melting point 309-311 ° C.

실시예Example C.23 C.23

5-(4-트라이플루오로메틸-페닐)-피라졸로[1,5-a]피리미딘-3-카복실산5- (4-Trifluoromethyl-phenyl) -pyrazolo [1,5-a] pyrimidine-3-carboxylic acid

에틸 3-(4-트라이플루오로-페닐)-3-옥소-프로피오네이트에 대해 실시예 C.22, 단계 a-d에 개시된 과정과 유사한 방식을 수행하여 표제 화합물을 수득하였 다. 백색 고체. NMR(DMSO-d6): d 7.97/8.52(2d, 2 x 2H), 7.98/9.41(2d, 2 x 1H), 8.63(s, 1H), 12.46(s, 1H) ppm.The title compound was obtained in a similar manner to the procedure described in Example C.22, steps a-d on ethyl 3- (4-trifluoro-phenyl) -3-oxo-propionate. White solid. NMR (DMSO-d6): d 7.97 / 8.52 (2d, 2 x 2H), 7.98 / 9.41 (2d, 2 x 1H), 8.63 (s, 1H), 12.46 (s, 1H) ppm.

실시예Example C.24 C.24

5-(4-클로로-페닐)-7-메틸-피라졸로[1,5-a]피리미딘-3-카복실산5- (4-Chloro-phenyl) -7-methyl-pyrazolo [1,5-a] pyrimidine-3-carboxylic acid

THF(15 ㎖) 중의 7-클로로-5-(4-클로로-페닐)-피라졸로[1,5-a]피리미딘(0.34 g, 1.0 밀리몰) 및 테트라키스(트라이페닐포스핀)팔라듐(0.35 g, 0.3 밀리몰)의 용액에 20 ℃에서 2M 다이메틸아연/톨루엔 용액(1.3 ㎖, 3.6 밀리몰)을 가하고 상기 혼합물을 아르곤 분위기 하에서 2 시간 동안 환류시켰다. 0 ℃에서 염화 암모늄 포화 수용액(10 ㎖)을 서서히 첨가한 후에, 상기 혼합물을 에틸 아세테이트와 물 사이에 분배시켰다. 유기층을 진공 하에서 증발시키고 잔사를 용출제로서 에틸 아세테이트/헥산(1:2 v/v)을 사용하여 실리카겔 상에서 크로마토그래피시켜 백색 고체로서 에틸 5-(4-클로로-페닐)-7-메틸-피라졸로[1,5-a]피리미딘-3-카복실레이트(0.15 g)를 제공하였다. 상기 물질을 실시예 C.22, 단계 d)에 개시된 과정과 유사한 방식을 사용하여 비누화시켜 표제 화합물을 제공하였다. 백색 고체; MS(ISN) 286.0[(M-H)-]; 융점 233-235 ℃.7-chloro-5- (4-chloro-phenyl) -pyrazolo [1,5-a] pyrimidine (0.34 g, 1.0 mmol) and tetrakis (triphenylphosphine) palladium (0.35) in THF (15 mL) g, 0.3 mmol) was added a 2M dimethylzinc / toluene solution (1.3 mL, 3.6 mmol) at 20 ° C. and the mixture was refluxed under an argon atmosphere for 2 hours. After slowly adding saturated aqueous ammonium chloride solution (10 mL) at 0 ° C., the mixture was partitioned between ethyl acetate and water. The organic layer was evaporated under vacuum and the residue was chromatographed on silica gel using ethyl acetate / hexane (1: 2 v / v) as eluent to yield ethyl 5- (4-chloro-phenyl) -7-methyl-pyra as a white solid. Jolo [1,5-a] pyrimidine-3-carboxylate (0.15 g) was provided. The material was saponified in a manner similar to the procedure described in Example C.22, step d) to provide the title compound. White solid; MS (ISN) 286.0 [(M H) ]; Melting point 233-235 ° C.

실시예Example C.25 C.25

7-메틸-5-(4-트라이플루오로메틸-페닐)-피라졸로[1,5-a]피리미딘-3-카복실산7-Methyl-5- (4-trifluoromethyl-phenyl) -pyrazolo [1,5-a] pyrimidine-3-carboxylic acid

에틸 3-(4-트라이플루오로-페닐)-3-옥소-프로피오네이트에 대해 실시예 C.22, 단계 a-d에 개시된 과정과 유사한 방식을 수행하고 생성물에 실시예 C.24에 개시된 과정을 적용하여 표제 화합물을 수득하였다. 백색 고체. MS(ISP) 320.3[(M-H)-]; 융점 244-245 ℃.A procedure similar to that described in Example C.22, step ad was carried out on ethyl 3- (4-trifluoro-phenyl) -3-oxo-propionate and the product was subjected to the process described in Example C.24. Application yielded the title compound. White solid. MS (ISP) 320.3 [(MH)- ]; Melting point 244-245 ° C.

실시예Example C.26 C.26

5-(4-클로로-페닐)-7-에틸-피라졸로[1,5-a]피리미딘-3-카복실산5- (4-Chloro-phenyl) -7-ethyl-pyrazolo [1,5-a] pyrimidine-3-carboxylic acid

THF(5 ㎖) 중의 7-클로로-5-(4-클로로-페닐)-피라졸로[1,5-a]피리미딘(1.0 g, 3.0 밀리몰) 및 테트라키스(트라이페닐포스핀)팔라듐(0.35 g, 0.3 밀리몰)의 용액에 20 ℃에서 0.4M 염화 에틸아연/THF 용액(30 ㎖, 12 밀리몰; 2M 염화 에틸마그네슘/THF 6 ㎖ 및 0.5M 염화 아연/THF 24 ㎖의 혼합물을 0 ℃에서 1 시간, 이어서 20 ℃에서 1 시간 교반하여 새롭게 제조한 것)을 가하고 상기 혼합물을 아르곤 분위기 하에서 2 시간 동안 환류시켰다. 0 ℃에서 염화 암모늄 포화 수용액(8 ㎖)을 서서히 첨가한 후에, 상기 혼합물을 에틸 아세테이트와 10% 염화 나트륨 용액 사이에 분배시켰다. 유기층을 진공 하에서 증발시키고 잔사를 용출제로서 에틸 아세테이트/사이클로-헥산(1:4 v/v)을 사용하여 실리카겔 상에서 크로마토그래피시켜 에틸 5-(4-클로로-페닐)-7-에틸-피라졸로[1,5-a]피리미딘-3-카복실산(0.53 g, 54%)을 제공하였다. 상기 물질을 실시예 C.22, 단계 d)에 개시된 과정과 유사한 방식을 사용하여 비누화시켜 표제 화합물을 제공하였다. 백색 고체; MS(ISN) 330.1[(M-H)-]; 융점 227 ℃.7-chloro-5- (4-chloro-phenyl) -pyrazolo [1,5-a] pyrimidine (1.0 g, 3.0 mmol) and tetrakis (triphenylphosphine) palladium (0.35) in THF (5 mL) g, 0.3 mmol) of a 0.4 M ethyl zinc chloride / THF solution (30 mL, 12 mmol; 2 mL ethyl magnesium chloride / THF 6 mL and 0.5 M zinc chloride / THF 24 mL at 20 ° C. Time, then freshly prepared by stirring at 20 ° C. for 1 hour), and the mixture was refluxed under an argon atmosphere for 2 hours. After slowly adding saturated aqueous ammonium chloride solution (8 mL) at 0 ° C., the mixture was partitioned between ethyl acetate and 10% sodium chloride solution. The organic layer was evaporated under vacuum and the residue was chromatographed on silica gel using ethyl acetate / cyclo-hexane (1: 4 v / v) as eluent to ethyl 5- (4-chloro-phenyl) -7-ethyl-pyrazole. [1,5-a] pyrimidine-3-carboxylic acid (0.53 g, 54%) was provided. The material was saponified in a manner similar to the procedure described in Example C.22, step d) to provide the title compound. White solid; MS (ISN) 330.1 [(M H) ]; Melting point 227 ° C.

실시예Example C.27 C.27

5-(4-클로로-페닐)-7-프로필-피라졸로[1,5-a]피리미딘-3-카복실산5- (4-Chloro-phenyl) -7-propyl-pyrazolo [1,5-a] pyrimidine-3-carboxylic acid

에틸 7-클로로-5-(4-클로로-페닐)-피라졸로[1,5-a]피리미딘에 대해 실시예 C.26에 개시된 과정과 유사한 방식을 수행하여, 그러나 염화 에틸아연/THF 용액 대신에 0.4M 염화 프로필아연/THF 용액(염화 에틸마그네슘 및 염화 아연으로부터 새롭게 제조한 것)을 사용하여 표제 화합물을 수득하였다. 백색 고체. MS(ISN) 314.1[(M-H)-]; 융점 208 ℃.Ethyl 7-chloro-5- (4-chloro-phenyl) -pyrazolo [1,5-a] pyrimidine was carried out in a similar manner to the procedure described in Example C.26, but with ethyl zinc chloride / THF solution Instead, 0.4M propylzinc chloride / THF solution (freshly prepared from magnesium magnesium chloride and zinc chloride) was used to obtain the title compound. White solid. MS (ISN) 314.1 [(M H) ]; Melting point 208 캜.

실시예Example C.28 C.28

5-(4-클로로-페닐)-7-사이클로프로필-피라졸로[1,5-a]피리미딘-3-카복실산5- (4-Chloro-phenyl) -7-cyclopropyl-pyrazolo [1,5-a] pyrimidine-3-carboxylic acid

THF(20 ㎖) 중의 7-클로로-5-(4-클로로-페닐)-피라졸로[1,5-a]피리미딘(4.0 g, 12.0 밀리몰) 및 테트라키스(트라이페닐포스핀)팔라듐(1.15 g, 1.0 밀리몰)의 용액에 20 ℃에서 0.25M 염화 사이클로프로필아연/THF 현탁액(약 192 ㎖, 48 몰; 0.5M 브롬화 사이클로프로필마그네슘/THF 96 ㎖ 및 0.5M 염화 아연/THF 96 ㎖의 혼합물을 0 ℃에서 1 시간, 이어서 20 ℃에서 1 시간 교반하여 새롭게 제조한 것)을 가하고 상기 혼합물을 아르곤 분위기 하에서 2.5 시간 동안 환류시켰다. 0 ℃에서 염화 암모늄 포화 수용액(30 ㎖)을 서서히 첨가한 후에, 상기 혼합물을 에틸 아세테이트와 10% 염화 나트륨 용액 사이에 분배시켰다. 유기층을 진공 하에서 증발시키고 잔사를 용출제로서 에틸 아세테이트/사이클로헥산(1:4 v/v)을 사용하여 실리카겔 상에서 크로마토그래피시켜 에틸 아세테이트로부터 결정화시킨 후에 회색 고체(융점 141-143 ℃)로서 에틸 5-(4-클로로-페닐)-7-사이클로프로필-피라졸로[1,5-a]피리미딘-3-카복실산(2.54 g, 62%)을 제공하였다. 상기 물질을 실시예 C.22, 단 계 d)에 개시된 과정과 유사한 방식을 사용하여 비누화시켜 표제 화합물을 제공하였다. 회색 고체; MS(ISN) 312.3[(M-H)-]; 융점 242-243 ℃.7-chloro-5- (4-chloro-phenyl) -pyrazolo [1,5-a] pyrimidine (4.0 g, 12.0 mmol) and tetrakis (triphenylphosphine) palladium (1.15) in THF (20 mL) g, 1.0 mmol) was mixed with a mixture of 0.25M cyclopropylzinc chloride / THF suspension (about 192 ml, 48 mol; 0.5 ml cyclopropylmagnesium / THF 96 ml and 0.5 ml zinc chloride / THF 96 ml at 20 ° C). Freshly prepared by stirring at 0 ° C. for 1 hour and then at 20 ° C. for 1 hour), and the mixture was refluxed under an argon atmosphere for 2.5 hours. After slowly adding saturated aqueous ammonium chloride solution (30 mL) at 0 ° C., the mixture was partitioned between ethyl acetate and 10% sodium chloride solution. The organic layer was evaporated under vacuum and the residue was chromatographed on silica gel using ethyl acetate / cyclohexane (1: 4 v / v) as eluent to crystallize from ethyl acetate followed by ethyl 5 as a gray solid (melting point 141-143 ° C.). -(4-chloro-phenyl) -7-cyclopropyl-pyrazolo [1,5-a] pyrimidine-3-carboxylic acid (2.54 g, 62%) was provided. The material was saponified in a manner similar to the procedure described in Example C.22, step d) to provide the title compound. Gray solid; MS (ISN) 312.3 [(M H) ]; Melting point 242-243 ° C.

실시예Example C.29 C.29

7-사이클로프로필-5-(4-트라이플루오로메틸-페닐)-피라졸로[1,5-a]피리미딘-3-카복실산7-cyclopropyl-5- (4-trifluoromethyl-phenyl) -pyrazolo [1,5-a] pyrimidine-3-carboxylic acid

에틸 3-(4-트라이플루오로-페닐)-3-옥소-프로피오네이트에 대해 실시예 C.22, 단계 a-d에 개시된 과정과 유사한 방식을 수행하고 생성물에 실시예 C.28에 개시된 과정을 적용시켜 표제 화합물을 수득하였다. 회색 고체. MS(ISP) 346.3[(M-H)-]; 융점 233-235 ℃.A process similar to that described in Example C.22, step ad was carried out on ethyl 3- (4-trifluoro-phenyl) -3-oxo-propionate and the product was subjected to the process described in Example C.28. Application yielded the title compound. Gray solid. MS (ISP) 346.3 [(M H) ]; Melting point 233-235 ° C.

본 발명에 따른 화합물의 합성Synthesis of Compounds According to the Invention

하기의 실시예는 본 발명의 범위를 이들 실시예로만 제한하지 않으면서 본 발명을 예시한다.The following examples illustrate the invention without limiting its scope to these examples only.

실시예Example 1 One

7-트라이플루오로메틸-5-(4-트라이플루오로메틸-페닐)-피라졸로[1,5-a]피리미딘-3-카복실산[3-(모폴린-4-설포닐)-페닐]-아미드7-trifluoromethyl-5- (4-trifluoromethyl-phenyl) -pyrazolo [1,5-a] pyrimidine-3-carboxylic acid [3- (morpholine-4-sulfonyl) -phenyl] -amides

표제 화합물을 일반적인 과정 II에 따라 7-트라이플루오로메틸-5-(4-트라이플루오로메틸-페닐)-피라졸로[1,5-a]피리미딘-3-카복실산(실시예 C.1) 및 3-(모폴린-4-설포닐)-페닐아민[CAS 22184-97-0; 상업적으로 입수할 수 있다]으로부터 제조하였다. 황색 고체. MS(ISP) 600.3[(M+H)+]; 융점 233 ℃.The title compound was converted to 7-trifluoromethyl-5- (4-trifluoromethyl-phenyl) -pyrazolo [1,5-a] pyrimidine-3-carboxylic acid (Example C.1) according to General Procedure II. And 3- (morpholine-4-sulfonyl) -phenylamine [CAS 22184-97-0; Commercially available. Yellow solid. MS (ISP) 600.3 [(M + H)+ ]; Melting point 233 ° C.

실시예Example 2 2

5-(4-메톡시-페닐)-7-트라이플루오로메틸-피라졸로[1,5-a]피리미딘-3-카복실산[3-(모폴린-4-설포닐)-페닐]-아미드5- (4-Methoxy-phenyl) -7-trifluoromethyl-pyrazolo [1,5-a] pyrimidine-3-carboxylic acid [3- (morpholine-4-sulfonyl) -phenyl] -amide

표제 화합물을 일반적인 과정 II에 따라 5-(4-메톡시-페닐)-7-트라이플루오로메틸-피라졸로[1,5-a]피리미딘-3-카복실산[CAS 333761-72-1; 상업적으로 입수할 수 있음] 및 3-(모폴린-4-설포닐)-페닐아민[CAS 22184-97-0; 상업적으로 입수할 수 있다]으로부터 제조하였다. 황색 고체. MS(ISP) 562.4[(M+H)+]; 융점 203 ℃.The title compound was purified by 5- (4-methoxy-phenyl) -7-trifluoromethyl-pyrazolo [1,5-a] pyrimidine-3-carboxylic acid [CAS 333761-72-1; Commercially available] and 3- (morpholine-4-sulfonyl) -phenylamine [CAS 22184-97-0; Commercially available. Yellow solid. MS (ISP) 562.4 [(M + H)+ ]; Melting point 203 캜.

실시예Example 3 3

7-다이플루오로메틸-5-(4-트라이플루오로메틸-페닐)-피라졸로[1,5-a]피리미딘-3-카복실산[3-(모폴린-4-설포닐)-페닐]-아미드7-difluoromethyl-5- (4-trifluoromethyl-phenyl) -pyrazolo [1,5-a] pyrimidine-3-carboxylic acid [3- (morpholine-4-sulfonyl) -phenyl] -amides

표제 화합물을 일반적인 과정 II에 따라 하기와 같이 7-다이플루오로메틸-5-(4-트라이플루오로메틸-페닐)-피라졸로[1,5-a]피리미딘-3-카복실산(실시예 C.1) 및 3-(모폴린-4-설포닐)-페닐아민[CAS 22184-97-0; 상업적으로 입수할 수 있다]으로부터 제조하였다: THF(4 ㎖) 중의 피라졸로[1,5-a]피리미딘-3-카복실산(1.0 밀리몰)의 교반된 용액에 실온에서 DMF(2 방울)를 가하고, 상기 용액을 0 ℃로 냉각시키고 염화 옥살릴(1.5 밀리몰)을 가하였다. 반응 혼합물을 실온에서 3 시간 동안 교반하고 증발 건조시켰다. 침전물을 피리딘(6 ㎖)에 용해시키고, 실온에서 교반하면서, 4-다이메틸아미노피리딘(1 밀리몰) 및 아닐린 유도체(1 밀리몰)를 가하였다. 반응 혼합물을 실온에서 16 시간 동안 교반하고, 증발 건조시키고, 조 생성물을 실 리카겔(20 g, 다이클로로메탄/메탄올) 상에서 플래시 크로마토그래피에 의해 정제시켜 밝은 황색 고체로서 생성물을 수득하였으며, 이를 메탄올/헥산으로부터 결정화에 의해 추가로 정제시켰다. MS(ISP) 580.1[(M-H)]; 융점 221 ℃.The title compound was prepared according to general procedure II as follows: 7-difluoromethyl-5- (4-trifluoromethyl-phenyl) -pyrazolo [1,5-a] pyrimidine-3-carboxylic acid (Example C) .1) and 3- (morpholin-4-sulfonyl) -phenylamine [CAS 22184-97-0; Commercially available] was added DMF (2 drops) at room temperature to a stirred solution of pyrazolo [1,5-a] pyrimidine-3-carboxylic acid (1.0 mmol) in THF (4 mL) and The solution was cooled to 0 ° C. and oxalyl chloride (1.5 mmol) was added. The reaction mixture was stirred at rt for 3 h and evaporated to dryness. The precipitate was dissolved in pyridine (6 mL) and 4-dimethylaminopyridine (1 mmol) and aniline derivative (1 mmol) were added while stirring at room temperature. The reaction mixture was stirred at rt for 16 h, evaporated to dryness and the crude product was purified by flash chromatography on silica gel (20 g, dichloromethane / methanol) to give the product as a light yellow solid, which was methanol Further purification by crystallization from / hexane. MS (ISP) 580.1 [(M-H)]; Melting point 221 캜.

실시예Example 4 4

7-트라이플루오로메틸-5-(4-트라이플루오로메틸-페닐)-피라졸로[1,5-a]피리미딘-3-카복실산[3-(피롤리딘-1-설포닐)-페닐]-아미드7-Trifluoromethyl-5- (4-trifluoromethyl-phenyl) -pyrazolo [1,5-a] pyrimidine-3-carboxylic acid [3- (pyrrolidine-1-sulfonyl) -phenyl ]-amides

표제 화합물을 일반적인 과정 II에 따라 7-트라이플루오로메틸-5-(4-트라이플루오로메틸-페닐)-피라졸로[1,5-a]피리미딘-3-카복실산(실시예 C.2) 및 3-(피롤리딘-4-설포닐)-페닐아민[CAS 91619-38-4; 상업적으로 입수할 수 있다]으로부터 제조하였다. 황색 고체. MS(ISP) 584.2[(M+H)+]; 융점 241 ℃.The title compound was converted to 7-trifluoromethyl-5- (4-trifluoromethyl-phenyl) -pyrazolo [1,5-a] pyrimidine-3-carboxylic acid (Example C.2) according to General Procedure II. And 3- (pyrrolidine-4-sulfonyl) -phenylamine [CAS 91619-38-4; Commercially available. Yellow solid. MS (ISP) 584.2 [(M + H)+ ]; Melting point 241 캜.

실시예Example 5 5

5-(4-클로로-페닐)-7-트라이플루오로메틸-피라졸로[1,5-a]피리미딘-3-카복실산[3-(피롤리딘-1-설포닐)-페닐]-아미드5- (4-Chloro-phenyl) -7-trifluoromethyl-pyrazolo [1,5-a] pyrimidine-3-carboxylic acid [3- (pyrrolidine-1-sulfonyl) -phenyl] -amide

표제 화합물을 일반적인 과정 II에 따라 5-(4-클로로-페닐)-7-트라이플루오로메틸-피라졸로[1,5-a]피리미딘-3-카복실산(실시예 C.3) 및 3-(피롤리딘-4-설포닐)-페닐아민[CAS 91619-38-4; 상업적으로 입수할 수 있다]으로부터 제조하였다. 황색 고체. MS(ISP) 550.2[(M+H)+]; 융점 252 ℃.The title compound was purified using 5- (4-chloro-phenyl) -7-trifluoromethyl-pyrazolo [1,5-a] pyrimidine-3-carboxylic acid (Example C.3) and 3- (Pyrrolidine-4-sulfonyl) -phenylamine [CAS 91619-38-4; Commercially available. Yellow solid. MS (ISP) 550.2 [(M + H)+ ]; Melting point 252 ° C.

실시예Example 6 6

5-(4-클로로-페닐)-7-다이플루오로메틸-피라졸로[1,5-a]피리미딘-3-카복실산[3-(피 롤리딘-1-설포닐)-페닐]-아미드5- (4-Chloro-phenyl) -7-difluoromethyl-pyrazolo [1,5-a] pyrimidine-3-carboxylic acid [3- (pyrrolidine-1-sulfonyl) -phenyl] -amide

표제 화합물을 일반적인 과정 II에 따라 5-(4-클로로-페닐)-7-다이플루오로메틸-피라졸로[1,5-a]피리미딘-3-카복실산(실시예 C.3) 및 3-(피롤리딘-4-설포닐)-페닐아민[CAS 91619-38-4; 상업적으로 입수할 수 있다]으로부터 제조하였다. 황색 고체. MS(ISP) 532.2[(M+H)+]; 융점 227 ℃.The title compound was prepared according to the general procedure II in 5- (4-chloro-phenyl) -7-difluoromethyl-pyrazolo [1,5-a] pyrimidine-3-carboxylic acid (Example C.3) and 3- (Pyrrolidine-4-sulfonyl) -phenylamine [CAS 91619-38-4; Commercially available. Yellow solid. MS (ISP) 532.2 [(M + H)+ ]; Melting point 227 ° C.

실시예Example 7 7

5-(4-클로로-페닐)-7-다이플루오로메틸-피라졸로[1,5-a]피리미딘-3-카복실산[3-(4-메틸-피페라진-1-설포닐)-페닐]-아미드5- (4-Chloro-phenyl) -7-difluoromethyl-pyrazolo [1,5-a] pyrimidine-3-carboxylic acid [3- (4-methyl-piperazin-1-sulfonyl) -phenyl ]-amides

표제 화합물을 일반적인 과정 II에 따라 5-(4-클로로-페닐)-7-다이플루오로메틸-피라졸로[1,5-a]피리미딘-3-카복실산(실시예 C.3) 및 3-(4-메틸-피페라진-1-설포닐)-페닐아민[CAS 436095-35-1]으로부터 제조하였다. 황색 고체. MS(ISP) 561.5[(M+H)+]; 융점 147 ℃.The title compound was prepared according to the general procedure II in 5- (4-chloro-phenyl) -7-difluoromethyl-pyrazolo [1,5-a] pyrimidine-3-carboxylic acid (Example C.3) and 3- Prepared from (4-methyl-piperazin-1-sulfonyl) -phenylamine [CAS 436095-35-1]. Yellow solid. MS (ISP) 561.5 [(M + H)+ ]; Melting point 147 ° C.

실시예Example 8 8

5-(4-클로로-페닐)-7-다이플루오로메틸-피라졸로[1,5-a]피리미딘-3-카복실산[3-(모폴린-4-설포닐)-페닐]-아미드5- (4-Chloro-phenyl) -7-difluoromethyl-pyrazolo [1,5-a] pyrimidine-3-carboxylic acid [3- (morpholine-4-sulfonyl) -phenyl] -amide

표제 화합물을 일반적인 과정 II에 따라 5-(4-클로로-페닐)-7-다이플루오로메틸-피라졸로[1,5-a]피리미딘-3-카복실산(실시예 C.3) 및 3-(모폴린-4-설포닐)-페닐아민[CAS 22184-97-0; 상업적으로 입수할 수 있다]으로부터 제조하였다. 황색 고체. MS(ISP) 548.3[(M+H)+]; 융점 253 ℃.The title compound was prepared according to the general procedure II in 5- (4-chloro-phenyl) -7-difluoromethyl-pyrazolo [1,5-a] pyrimidine-3-carboxylic acid (Example C.3) and 3- (Morpholine-4-sulfonyl) -phenylamine [CAS 22184-97-0; Commercially available. Yellow solid. MS (ISP) 548.3 [(M + H)+ ]; Melting point 253 ° C.

실시예Example 9 9

5-(4-클로로-페닐)-7-트라이플루오로메틸-피라졸로[1,5-a]피리미딘-3-카복실산[3-(4-메틸-피페라진-1-설포닐)-페닐]-아미드5- (4-Chloro-phenyl) -7-trifluoromethyl-pyrazolo [1,5-a] pyrimidine-3-carboxylic acid [3- (4-methyl-piperazin-1-sulfonyl) -phenyl ]-amides

표제 화합물을 일반적인 과정 II에 따라 5-(4-클로로-페닐)-7-트라이플루오로메틸-피라졸로[1,5-a]피리미딘-3-카복실산(실시예 C.4) 및 3-(4-메틸-피페라진-1-설포닐)-페닐아민[CAS 436095-35-1]으로부터 제조하였다. 황색 고체. MS(ISP) 579.2[(M+H)+]; 융점 195 ℃.The title compound was prepared according to the general procedure II in 5- (4-chloro-phenyl) -7-trifluoromethyl-pyrazolo [1,5-a] pyrimidine-3-carboxylic acid (Example C.4) and 3- Prepared from (4-methyl-piperazin-1-sulfonyl) -phenylamine [CAS 436095-35-1]. Yellow solid. MS (ISP) 579.2 [(M + H)+ ]; Melting point 195 ° C.

실시예Example 10 10

5-(4-클로로-페닐)-7-트라이플루오로메틸-피라졸로[1,5-a]피리미딘-3-카복실산[3-(모폴린-4-설포닐)-페닐]-아미드5- (4-Chloro-phenyl) -7-trifluoromethyl-pyrazolo [1,5-a] pyrimidine-3-carboxylic acid [3- (morpholine-4-sulfonyl) -phenyl] -amide

표제 화합물을 일반적인 과정 II에 따라 5-(4-클로로-페닐)-7-트라이플루오로메틸-피라졸로[1,5-a]피리미딘-3-카복실산(실시예 C.4) 및 3-(모폴린-4-설포닐)-페닐아민[CAS 22184-97-0; 상업적으로 입수할 수 있다]으로부터 제조하였다. 황색 고체. MS(ISP) 566.1[(M+H)+]; 융점 144 ℃.The title compound was prepared according to the general procedure II in 5- (4-chloro-phenyl) -7-trifluoromethyl-pyrazolo [1,5-a] pyrimidine-3-carboxylic acid (Example C.4) and 3- (Morpholine-4-sulfonyl) -phenylamine [CAS 22184-97-0; Commercially available. Yellow solid. MS (ISP) 566.1 [(M + H)+ ]; Melting point 144 캜.

실시예Example 11 11

7-다이플루오로메틸-5-(3-메틸-4-트라이플루오로메틸-페닐)-피라졸로[1,5-a]피리미딘-3-카복실산[3-(피롤리딘-1-설포닐)-페닐]-아미드7-Difluoromethyl-5- (3-methyl-4-trifluoromethyl-phenyl) -pyrazolo [1,5-a] pyrimidine-3-carboxylic acid [3- (pyrrolidine-1-sul Ponyl) -phenyl] -amide

표제 화합물을 일반적인 과정 II에 따라 7-다이플루오로메틸-5-(3-메틸-4-트라이플루오로메틸-페닐)-피라졸로[1,5-a]피리미딘-3-카복실산(실시예 C.5) 및 3- (피롤리딘-4-설포닐)-페닐아민[CAS 91619-38-4; 상업적으로 입수할 수 있다]으로부터 제조하였다. 황색 고체. MS(ISP) 580.0[(M+H)+]; 융점 226 ℃.The title compound was prepared in accordance with General Procedure II with 7-difluoromethyl-5- (3-methyl-4-trifluoromethyl-phenyl) -pyrazolo [1,5-a] pyrimidine-3-carboxylic acid (Example C.5) and 3- (pyrrolidine-4-sulfonyl) -phenylamine [CAS 91619-38-4; Commercially available. Yellow solid. MS (ISP) 580.0 [(M + H)+ ]; Melting point 226 ° C.

실시예Example 12 12

7-다이플루오로메틸-5-(3-메틸-4-트라이플루오로메틸-페닐)-피라졸로[1,5-a]피리미딘-3-카복실산[3-(모폴린-4-설포닐)-페닐]-아미드7-difluoromethyl-5- (3-methyl-4-trifluoromethyl-phenyl) -pyrazolo [1,5-a] pyrimidine-3-carboxylic acid [3- (morpholine-4-sulfonyl ) -Phenyl] -amide

표제 화합물을 일반적인 과정 II에 따라 7-다이플루오로메틸-5-(3-메틸-4-트라이플루오로메틸-페닐)-피라졸로[1,5-a]피리미딘-3-카복실산(실시예 C.5) 및 3-(모폴린-4-설포닐)-페닐아민[CAS 22184-97-0; 상업적으로 입수할 수 있다]으로부터 제조하였다. 황색 고체. MS(ISP) 595.2[(M+H)+]; 융점 261 ℃.The title compound was prepared in accordance with General Procedure II with 7-difluoromethyl-5- (3-methyl-4-trifluoromethyl-phenyl) -pyrazolo [1,5-a] pyrimidine-3-carboxylic acid (Example C.5) and 3- (morpholin-4-sulfonyl) -phenylamine [CAS 22184-97-0; Commercially available. Yellow solid. MS (ISP) 595.2 [(M + H)+ ]; Melting point 261 ° C.

실시예Example 13 13

7-트라이플루오로메틸-5-(4-트라이플루오로메틸-페닐)-피라졸로[1,5-a]피리미딘-3-카복실산(3-설파모일-페닐)-아미드7-Trifluoromethyl-5- (4-trifluoromethyl-phenyl) -pyrazolo [1,5-a] pyrimidine-3-carboxylic acid (3-sulfamoyl-phenyl) -amide

표제 화합물을 일반적인 과정 II에 따라 7-트라이플루오로메틸-5-(4-트라이플루오로메틸-페닐)-피라졸로[1,5-a]피리미딘-3-카복실산(실시예 C.2) 및 3-설파모일-페닐아민[상업적으로 입수할 수 있다]으로부터 제조하였다. 황색 고체. MS(ISP) 529.0[(M+H)+]; 융점 155 ℃.The title compound was converted to 7-trifluoromethyl-5- (4-trifluoromethyl-phenyl) -pyrazolo [1,5-a] pyrimidine-3-carboxylic acid (Example C.2) according to General Procedure II. And 3-sulfamoyl-phenylamine (commercially available). Yellow solid. MS (ISP) 529.0 [(M + H)+ ]; Melting point 155 캜.

실시예Example 14 14

5-(4-클로로-3-메틸-페닐)-7-트라이플루오로메틸-피라졸로[1,5-a]피리미딘-3-카복실산[3-(피롤리딘-1-설포닐)-페닐]-아미드5- (4-Chloro-3-methyl-phenyl) -7-trifluoromethyl-pyrazolo [1,5-a] pyrimidine-3-carboxylic acid [3- (pyrrolidine-1-sulfonyl)- Phenyl] -amide

표제 화합물을 일반적인 과정 II에 따라 5-(4-클로로-3-메틸-페닐)-7-트라이플루오로메틸-피라졸로[1,5-a]피리미딘-3-카복실산(실시예 C.4) 및 3-(피롤리딘-4-설포닐)-페닐아민[CAS 91619-38-4; 상업적으로 입수할 수 있다]으로부터 제조하였다. 황색 고체. MS(ISP) 564.3[(M+H)+]; 융점 230 ℃.The title compound was prepared in 5- (4-chloro-3-methyl-phenyl) -7-trifluoromethyl-pyrazolo [1,5-a] pyrimidine-3-carboxylic acid (Example C.4). ) And 3- (pyrrolidine-4-sulfonyl) -phenylamine [CAS 91619-38-4; Commercially available. Yellow solid. MS (ISP) 564.3 [(M + H)+ ]; Melting point 230 deg.

실시예Example 15 15

5-(4-클로로-3-메틸-페닐)-7-트라이플루오로메틸-피라졸로[1,5-a]피리미딘-3-카복실산[3-(모폴린-4-설포닐)-페닐]-아미드5- (4-Chloro-3-methyl-phenyl) -7-trifluoromethyl-pyrazolo [1,5-a] pyrimidine-3-carboxylic acid [3- (morpholine-4-sulfonyl) -phenyl ]-amides

표제 화합물을 일반적인 과정 II에 따라 5-(4-클로로-3-메틸-페닐)-7-트라이플루오로메틸-피라졸로[1,5-a]피리미딘-3-카복실산(실시예 C.6) 및 3-(모폴린-4-설포닐)-페닐아민[CAS 22184-97-0; 상업적으로 입수할 수 있다]으로부터 제조하였다. 황색 고체. MS(ISP) 580.2[(M+H)+]; 융점 251 ℃.The title compound was prepared in 5- (4-chloro-3-methyl-phenyl) -7-trifluoromethyl-pyrazolo [1,5-a] pyrimidine-3-carboxylic acid (Example C.6). ) And 3- (morpholine-4-sulfonyl) -phenylamine [CAS 22184-97-0; Commercially available. Yellow solid. MS (ISP) 580.2 [(M + H)+ ]; Melting point 251 ° C.

실시예Example 16 16

5-(3,4-다이클로로-페닐)-7-다이플루오로메틸-피라졸로[1,5-a]피리미딘-3-카복실산[3-(피롤리딘-1-설포닐)-페닐]-아미드5- (3,4-Dichloro-phenyl) -7-difluoromethyl-pyrazolo [1,5-a] pyrimidine-3-carboxylic acid [3- (pyrrolidine-1-sulfonyl) -phenyl ]-amides

표제 화합물을 일반적인 과정 II에 따라 5-(3,4-다이클로로-페닐)-7-다이플루오로메틸-피라졸로[1,5-a]피리미딘-3-카복실산(실시예 C.7) 및 3-(피롤리딘-4-설포닐)-페닐아민[CAS 91619-38-4; 상업적으로 입수할 수 있다]으로부터 제조하였다. 황색 고체. MS(ISP) 567.2[(M+H)+]; 융점 245 ℃.The title compound was purified by 5- (3,4-dichloro-phenyl) -7-difluoromethyl-pyrazolo [1,5-a] pyrimidine-3-carboxylic acid (Example C.7). And 3- (pyrrolidine-4-sulfonyl) -phenylamine [CAS 91619-38-4; Commercially available. Yellow solid. MS (ISP) 567.2 [(M + H)+ ]; Melting point 245 ° C.

실시예Example 17 17

5-(3,4-다이클로로-페닐)-7-다이플루오로메틸-피라졸로[1,5-a]피리미딘-3-카복실산[3-(모폴린-4-설포닐)-페닐]-아미드5- (3,4-Dichloro-phenyl) -7-difluoromethyl-pyrazolo [1,5-a] pyrimidine-3-carboxylic acid [3- (morpholine-4-sulfonyl) -phenyl] -amides

표제 화합물을 일반적인 과정 II에 따라 5-(3,4-다이클로로-페닐)-7-다이플루오로메틸-피라졸로[1,5-a]피리미딘-3-카복실산(실시예 C.7) 및 3-(모폴린-4-설포닐)-페닐아민[CAS 22184-97-0; 상업적으로 입수할 수 있다]으로부터 제조하였다. 황색 고체. MS(ISP) 582.1[(M+H)+]; 융점 231 ℃.The title compound was purified by 5- (3,4-dichloro-phenyl) -7-difluoromethyl-pyrazolo [1,5-a] pyrimidine-3-carboxylic acid (Example C.7). And 3- (morpholine-4-sulfonyl) -phenylamine [CAS 22184-97-0; Commercially available. Yellow solid. MS (ISP) 582.1 [(M + H)+ ]; Melting point 231 ° C.

실시예Example 18 18

7-트라이플루오로메틸-5-(4-트라이플루오로메틸-페닐)-피라졸로[1,5-a]피리미딘-3-카복실산(3-에틸설파모일-페닐)-아미드7-Trifluoromethyl-5- (4-trifluoromethyl-phenyl) -pyrazolo [1,5-a] pyrimidine-3-carboxylic acid (3-ethylsulfamoyl-phenyl) -amide

표제 화합물을 일반적인 과정 II에 따라 7-트라이플루오로메틸-5-(4-트라이플루오로메틸-페닐)-피라졸로[1,5-a]피리미딘-3-카복실산(실시예 C.2) 및 3-아미노-N-에틸-벤젠설폰아미드[CAS 56445-08-0]로부터 제조하였다. 황색 고체. MS(ISP) 556.0[(M+H)+]; 융점 207 ℃.The title compound was converted to 7-trifluoromethyl-5- (4-trifluoromethyl-phenyl) -pyrazolo [1,5-a] pyrimidine-3-carboxylic acid (Example C.2) according to General Procedure II. And 3-amino-N-ethyl-benzenesulfonamide [CAS 56445-08-0]. Yellow solid. MS (ISP) 556.0 [(M + H)+ ]; Melting point 207 deg.

실시예Example 19 19

5-(3,4-다이클로로-페닐)-7-트라이플루오로메틸-피라졸로[1,5-a]피리미딘-3-카복실산[3-(피롤리딘-1-설포닐)-페닐]-아미드5- (3,4-Dichloro-phenyl) -7-trifluoromethyl-pyrazolo [1,5-a] pyrimidine-3-carboxylic acid [3- (pyrrolidine-1-sulfonyl) -phenyl ]-amides

표제 화합물을 일반적인 과정 II에 따라 5-(3,4-다이클로로-페닐)-7-트라이플루오로메틸-피라졸로[1,5-a]피리미딘-3-카복실산(실시예 C.9) 및 3-(피롤리딘-4-설포닐)-페닐아민[CAS 91619-38-4; 상업적으로 입수할 수 있다]으로부터 제조하였 다. 황색 고체. MS(ISP) 584.1[(M+H)+]; 융점 280 ℃.The title compound was purified by 5- (3,4-dichloro-phenyl) -7-trifluoromethyl-pyrazolo [1,5-a] pyrimidine-3-carboxylic acid (Example C.9). And 3- (pyrrolidine-4-sulfonyl) -phenylamine [CAS 91619-38-4; Commercially available. Yellow solid. MS (ISP) 584.1 [(M + H)+ ]; Melting point 280 캜.

실시예Example 20 20

5-(3,4-다이클로로-페닐)-7-트라이플루오로메틸-피라졸로[1,5-a]피리미딘-3-카복실산[3-(모폴린-4-설포닐)-페닐]-아미드5- (3,4-Dichloro-phenyl) -7-trifluoromethyl-pyrazolo [1,5-a] pyrimidine-3-carboxylic acid [3- (morpholine-4-sulfonyl) -phenyl] -amides

표제 화합물을 일반적인 과정 II에 따라 5-(3,4-다이클로로-페닐)-7-트라이플루오로메틸-피라졸로[1,5-a]피리미딘-3-카복실산(실시예 C.9) 및 3-(모폴린-4-설포닐)-페닐아민[CAS 22184-97-0; 상업적으로 입수할 수 있다]으로부터 제조하였다. 황색 고체. MS(ISP) 601.3[(M+H)+]; 융점 239 ℃.The title compound was purified by 5- (3,4-dichloro-phenyl) -7-trifluoromethyl-pyrazolo [1,5-a] pyrimidine-3-carboxylic acid (Example C.9). And 3- (morpholine-4-sulfonyl) -phenylamine [CAS 22184-97-0; Commercially available. Yellow solid. MS (ISP) 601.3 [(M + H)+ ]; Melting point 239 ° C.

실시예Example 21 21

7-트라이플루오로메틸-5-(4-트라이플루오로메틸-페닐)-피라졸로[1,5-a]피리미딘-3-카복실산(3-다이메틸설파모일-페닐)-아미드7-Trifluoromethyl-5- (4-trifluoromethyl-phenyl) -pyrazolo [1,5-a] pyrimidine-3-carboxylic acid (3-dimethylsulfamoyl-phenyl) -amide

표제 화합물을 일반적인 과정 II에 따라 7-트라이플루오로메틸-5-(4-트라이플루오로메틸-페닐)-피라졸로[1,5-a]피리미딘-3-카복실산(실시예 C.2) 및 3-아미노-N,N-다이메틸-벤젠설폰아미드[CAS 6274-18-6; 상업적으로 입수할 수 있다]으로부터 제조하였다. 황색 고체. MS(ISP) 558.3[(M+H)+]; 융점 210 ℃.The title compound was converted to 7-trifluoromethyl-5- (4-trifluoromethyl-phenyl) -pyrazolo [1,5-a] pyrimidine-3-carboxylic acid (Example C.2) according to General Procedure II. And 3-amino-N, N-dimethyl-benzenesulfonamide [CAS 6274-18-6; Commercially available. Yellow solid. MS (ISP) 558.3 [(M + H)+ ]; Melting point 210 캜.

실시예Example 22 22

5-(4-클로로-3-메틸-페닐)-7-트라이플루오로메틸-피라졸로[1,5-a]피리미딘-3-카복실산[3-(4-메틸-피페라진-1-설포닐)-페닐]-아미드5- (4-Chloro-3-methyl-phenyl) -7-trifluoromethyl-pyrazolo [1,5-a] pyrimidine-3-carboxylic acid [3- (4-methyl-piperazin-1-sul Ponyl) -phenyl] -amide

표제 화합물을 일반적인 과정 II에 따라 5-(4-클로로-3-메틸-페닐)-7-트라이 플루오로메틸-피라졸로[1,5-a]피리미딘-3-카복실산(실시예 C.6) 및 3-(4-메틸-피페라진-1-설포닐)-페닐아민[CAS 436095-35-1]으로부터 제조하였다. 황색 고체. MS(ISP) 593.3[(M+H)+]; 융점 143 ℃.The title compound was prepared in 5- (4-chloro-3-methyl-phenyl) -7-trifluoromethyl-pyrazolo [1,5-a] pyrimidine-3-carboxylic acid according to General Procedure II (Example C.6). ) And 3- (4-methyl-piperazin-1-sulfonyl) -phenylamine [CAS 436095-35-1]. Yellow solid. MS (ISP) 593.3 [(M + H)+ ]; Melting point 143 캜.

실시예Example 23 23

5-(3,4-다이클로로-페닐)-7-다이플루오로메틸-피라졸로[1,5-a]피리미딘-3-카복실산[3-(4-메틸-피페라진-1-설포닐)-페닐]-아미드5- (3,4-Dichloro-phenyl) -7-difluoromethyl-pyrazolo [1,5-a] pyrimidine-3-carboxylic acid [3- (4-methyl-piperazin-1-sulfonyl ) -Phenyl] -amide

표제 화합물을 일반적인 과정 II에 따라 5-(3,4-다이클로로-페닐)-7-다이플루오로메틸-피라졸로[1,5-a]피리미딘-3-카복실산(실시예 C.7) 및 3-(4-메틸-피페라진-1-설포닐)-페닐아민[CAS 436095-35-1]으로부터 제조하였다. 황색 고체. MS(ISP) 595.3[(M+H)+]; 융점 229 ℃.The title compound was purified by 5- (3,4-dichloro-phenyl) -7-difluoromethyl-pyrazolo [1,5-a] pyrimidine-3-carboxylic acid (Example C.7). And 3- (4-methyl-piperazin-1-sulfonyl) -phenylamine [CAS 436095-35-1]. Yellow solid. MS (ISP) 595.3 [(M + H)+ ]; Melting point 229 ° C.

실시예Example 24 24

5-(3,4-다이클로로-페닐)-7-트라이플루오로메틸-피라졸로[1,5-a]피리미딘-3-카복실산[3-(4-메틸-피페라진-1-설포닐)-페닐]-아미드5- (3,4-Dichloro-phenyl) -7-trifluoromethyl-pyrazolo [1,5-a] pyrimidine-3-carboxylic acid [3- (4-methyl-piperazin-1-sulfonyl ) -Phenyl] -amide

표제 화합물을 일반적인 과정 II에 따라 5-(3,4-다이클로로-페닐)-7-트라이플루오로메틸-피라졸로[1,5-a]피리미딘-3-카복실산(실시예 C.9) 및 3-(4-메틸-피페라진-1-설포닐)-페닐아민[CAS 436095-35-1]으로부터 제조하였다. 황색 고체. MS(ISP) 613.3[(M+H)+]; 융점 181 ℃.The title compound was purified by 5- (3,4-dichloro-phenyl) -7-trifluoromethyl-pyrazolo [1,5-a] pyrimidine-3-carboxylic acid (Example C.9). And 3- (4-methyl-piperazin-1-sulfonyl) -phenylamine [CAS 436095-35-1]. Yellow solid. MS (ISP) 613.3 [(M + H)+ ]; Melting point 181 ° C.

실시예Example 25 25

7-다이플루오로메틸-5-(4-트라이플루오로메틸-페닐)-피라졸로[1,5-a]피리미딘-3-카 복실산(3-에틸설파모일-페닐)-아미드7-Difluoromethyl-5- (4-trifluoromethyl-phenyl) -pyrazolo [1,5-a] pyrimidine-3-carboxylic acid (3-ethylsulfamoyl-phenyl) -amide

표제 화합물을 일반적인 과정 II에 따라 7-다이플루오로메틸-5-(4-트라이플루오로메틸-페닐)-피라졸로[1,5-a]피리미딘-3-카복실산(실시예 C.1) 및 3-아미노-N-에틸-벤젠설폰아미드[CAS 56445-08-0]으로부터 제조하였다. 밝은 황색 고체. MS(ISP) 538.1[(M-H)-]; 융점 259 ℃.The title compound was converted to 7-difluoromethyl-5- (4-trifluoromethyl-phenyl) -pyrazolo [1,5-a] pyrimidine-3-carboxylic acid (Example C.1) according to General Procedure II. And 3-amino-N-ethyl-benzenesulfonamide [CAS 56445-08-0]. Light yellow solid. MS (ISP) 538.1 [(M H) ]; Melting point 259 ° C.

실시예Example 26 26

7-다이플루오로메틸-5-(4-트라이플루오로메틸-페닐)-피라졸로[1,5-a]피리미딘-3-카복실산(3-다이메틸설파모일-페닐)-아미드7-Difluoromethyl-5- (4-trifluoromethyl-phenyl) -pyrazolo [1,5-a] pyrimidine-3-carboxylic acid (3-dimethylsulfamoyl-phenyl) -amide

표제 화합물을 일반적인 과정 II에 따라 7-다이플루오로메틸-5-(4-트라이플루오로메틸-페닐)-피라졸로[1,5-a]피리미딘-3-카복실산(실시예 C.1) 및 3-아미노-N,N-다이메틸-벤젠설폰아미드[CAS 6274-18-6; 상업적으로 입수할 수 있다]으로부터 제조하였다. 밝은 황색 고체. MS(ISP) 540.4[(M+H)+]; 융점 197 ℃.The title compound was converted to 7-difluoromethyl-5- (4-trifluoromethyl-phenyl) -pyrazolo [1,5-a] pyrimidine-3-carboxylic acid (Example C.1) according to General Procedure II. And 3-amino-N, N-dimethyl-benzenesulfonamide [CAS 6274-18-6; Commercially available. Light yellow solid. MS (ISP) 540.4 [(M + H)+ ]; Melting point 197 ° C.

실시예Example 27 27

5-(3-메틸-4-트라이플루오로메틸-페닐)-7-트라이플루오로메틸-피라졸로[1,5-a]피리미딘-3-카복실산[3-(모폴린-4-설포닐)-페닐]-아미드5- (3-Methyl-4-trifluoromethyl-phenyl) -7-trifluoromethyl-pyrazolo [1,5-a] pyrimidine-3-carboxylic acid [3- (morpholine-4-sulfonyl ) -Phenyl] -amide

표제 화합물을 일반적인 과정 II에 따라 5-(3-메틸-4-트라이플루오로메틸-페닐)-7-트라이플루오로메틸-피라졸로[1,5-a]피리미딘-3-카복실산(실시예 C.8) 및 3-(모폴린-4-설포닐)-페닐아민[CAS 22184-97-0; 상업적으로 입수할 수 있음]으로부터 제조하였다. 황색 고체. MS(ISP) 614.4[(M+H)+]; 융점 272 ℃.The title compound was prepared according to the general procedure II of 5- (3-methyl-4-trifluoromethyl-phenyl) -7-trifluoromethyl-pyrazolo [1,5-a] pyrimidine-3-carboxylic acid (Example C.8) and 3- (morpholin-4-sulfonyl) -phenylamine [CAS 22184-97-0; Commercially available. Yellow solid. MS (ISP) 614.4 [(M + H)+ ]; Melting point 272 ° C.

실시예Example 28 28

5-(3-메틸-4-트라이플루오로메틸-페닐)-7-트라이플루오로메틸-피라졸로[1,5-a]피리미딘-3-카복실산[3-(4-메틸-피페라진-1-설포닐)-페닐]-아미드5- (3-Methyl-4-trifluoromethyl-phenyl) -7-trifluoromethyl-pyrazolo [1,5-a] pyrimidine-3-carboxylic acid [3- (4-methyl-piperazine- 1-sulfonyl) -phenyl] -amide

표제 화합물을 일반적인 과정 II에 따라 5-(3-메틸-4-트라이플루오로메틸-페닐)-7-트라이플루오로메틸-피라졸로[1,5-a]피리미딘-3-카복실산(실시예 C.8) 및 3-(4-메틸-피페라진-1-설포닐)-페닐아민[CAS 436095-35-1]으로부터 제조하였다. 황색 고체. MS(ISP) 627.4[(M+H)+]; 융점 199 ℃.The title compound was prepared according to the general procedure II of 5- (3-methyl-4-trifluoromethyl-phenyl) -7-trifluoromethyl-pyrazolo [1,5-a] pyrimidine-3-carboxylic acid (Example C.8) and 3- (4-methyl-piperazine-1-sulfonyl) -phenylamine [CAS 436095-35-1]. Yellow solid. MS (ISP) 627.4 [(MH-H)+ ]; Melting point 199 ° C.

실시예Example 29 29

7-다이플루오로메틸-5-(3-메틸-4-트라이플루오로메틸-페닐)-피라졸로[1,5-a]피리미딘-3-카복실산[3-(4-메틸-피페라진-1-설포닐)-페닐]-아미드7-Difluoromethyl-5- (3-methyl-4-trifluoromethyl-phenyl) -pyrazolo [1,5-a] pyrimidine-3-carboxylic acid [3- (4-methyl-piperazine- 1-sulfonyl) -phenyl] -amide

표제 화합물을 일반적인 과정 II에 따라 7-다이플루오로메틸-5-(3-메틸-4-트라이플루오로메틸-페닐)-피라졸로[1,5-a]피리미딘-3-카복실산(실시예 C.5) 및 3-(4-메틸-피페라진-1-설포닐)-페닐아민[CAS 436095-35-1]으로부터 제조하였다. 황색 고체. MS(ISP) 609.3[(M+H)+]; 융점 198 ℃.The title compound was prepared in accordance with General Procedure II with 7-difluoromethyl-5- (3-methyl-4-trifluoromethyl-phenyl) -pyrazolo [1,5-a] pyrimidine-3-carboxylic acid (Example C.5) and 3- (4-methyl-piperazine-1-sulfonyl) -phenylamine [CAS 436095-35-1]. Yellow solid. MS (ISP) 609.3 [(M + H)+ ]; Melting point 198 ° C.

실시예Example 30 30

5-(3-에톡시-4-트라이플루오로메틸-페닐)-7-트라이플루오로메틸-피라졸로[1,5-a]피리미딘-3-카복실산[3-(모폴린-4-설포닐)-페닐]-아미드5- (3-Ethoxy-4-trifluoromethyl-phenyl) -7-trifluoromethyl-pyrazolo [1,5-a] pyrimidine-3-carboxylic acid [3- (morpholin-4-sulfur Ponyl) -phenyl] -amide

표제 화합물을 일반적인 과정 II에 따라 5-(3-에톡시-4-트라이플루오로메틸-페닐)-7-트라이플루오로메틸-피라졸로[1,5-a]피리미딘-3-카복실산(실시예 C.10) 및 3-(모폴린-4-설포닐)-페닐아민[CAS 22184-97-0; 상업적으로 입수할 수 있음]으로부터 제조하였다. 황색 고체. MS(ISP) 642.2[(M-H)-]; 융점 235 ℃.The title compound was subjected to 5- (3-ethoxy-4-trifluoromethyl-phenyl) -7-trifluoromethyl-pyrazolo [1,5-a] pyrimidine-3-carboxylic acid according to the general procedure II. Example C.10) and 3- (morpholin-4-sulfonyl) -phenylamine [CAS 22184-97-0; Commercially available. Yellow solid. MS (ISP) 642.2 [(M H) ]; Melting point 235 ° C.

실시예Example 31 31

7-다이플루오로메틸-5-(3-에톡시-4-트라이플루오로메틸-페닐)-피라졸로[1,5-a]피리미딘-3-카복실산[3-(모폴린-4-설포닐)-페닐]-아미드7-Difluoromethyl-5- (3-ethoxy-4-trifluoromethyl-phenyl) -pyrazolo [1,5-a] pyrimidine-3-carboxylic acid [3- (morpholin-4-sulfur Ponyl) -phenyl] -amide

표제 화합물을 일반적인 과정 II에 따라 7-다이플루오로메틸-5-(3-에톡시-4-트라이플루오로메틸-페닐)-피라졸로[1,5-a]피리미딘-3-카복실산(실시예 C.12) 및 3-(모폴린-4-설포닐)-페닐아민[CAS 22184-97-0]으로부터 제조하였다. 밝은 황색 고체. MS(ISP) 624.3[(M-H)-]; 융점 231 ℃.The title compound was subjected to 7-difluoromethyl-5- (3-ethoxy-4-trifluoromethyl-phenyl) -pyrazolo [1,5-a] pyrimidine-3-carboxylic acid according to the general procedure II. Example C.12) and 3- (morpholine-4-sulfonyl) -phenylamine [CAS 22184-97-0]. Light yellow solid. MS (ISP) 624.3 [(M H) ]; Melting point 231 ° C.

실시예Example 32 32

5-(3-에톡시-4-트라이플루오로메틸-페닐)-7-트라이플루오로메틸-피라졸로[1,5-a]피리미딘-3-카복실산(3-설파모일-페닐)-아미드5- (3-Ethoxy-4-trifluoromethyl-phenyl) -7-trifluoromethyl-pyrazolo [1,5-a] pyrimidine-3-carboxylic acid (3-sulfamoyl-phenyl) -amide

표제 화합물을 일반적인 과정 II에 따라 5-(3-에톡시-4-트라이플루오로메틸-페닐)-7-트라이플루오로메틸-피라졸로[1,5-a]피리미딘-3-카복실산(실시예 C.11) 및 3-설파모일-페닐아민[상업적으로 입수할 수 있음]으로부터 제조하였다. 황색 고체. MS(ISP) 572.1[(M-H)-]; 융점 253 ℃.The title compound was subjected to 5- (3-ethoxy-4-trifluoromethyl-phenyl) -7-trifluoromethyl-pyrazolo [1,5-a] pyrimidine-3-carboxylic acid according to the general procedure II. Example C.11) and 3-Sulfamoyl-phenylamine [commercially available]. Yellow solid. MS (ISP) 572.1 [(MH)- ]; Melting point 253 ° C.

실시예Example 33 33

7-다이플루오로메틸-5-(3-에톡시-4-트라이플루오로메틸-페닐)-피라졸로[1,5-a]피리미딘-3-카복실산(3-설파모일-페닐)-아미드7-Difluoromethyl-5- (3-ethoxy-4-trifluoromethyl-phenyl) -pyrazolo [1,5-a] pyrimidine-3-carboxylic acid (3-sulfamoyl-phenyl) -amide

표제 화합물을 일반적인 과정 II에 따라 7-다이플루오로메틸-5-(3-에톡시-4-트라이플루오로메틸-페닐)-피라졸로[1,5-a]피리미딘-3-카복실산(실시예 C.12) 및 3-설파모일-페닐아민[상업적으로 입수할 수 있음]으로부터 제조하였다. 밝은 황색 고체. MS(ISP) 554.0[(M-H)-]; 융점 254 ℃.The title compound was subjected to 7-difluoromethyl-5- (3-ethoxy-4-trifluoromethyl-phenyl) -pyrazolo [1,5-a] pyrimidine-3-carboxylic acid according to the general procedure II. Example C.12) and 3-sulfamoyl-phenylamine (commercially available). Light yellow solid. MS (ISP) 554.0 [(M H) ]; Melting point 254 ° C.

실시예Example 34 34

5-(3-에톡시-4-트라이플루오로메틸-페닐)-7-트라이플루오로메틸-피라졸로[1,5-a]피리미딘-3-카복실산(3-에틸설파모일-페닐)-아미드5- (3-Ethoxy-4-trifluoromethyl-phenyl) -7-trifluoromethyl-pyrazolo [1,5-a] pyrimidine-3-carboxylic acid (3-ethylsulfamoyl-phenyl)- amides

표제 화합물을 일반적인 과정 II에 따라 5-(3-에톡시-4-트라이플루오로메틸-페닐)-7-트라이플루오로메틸-피라졸로[1,5-a]피리미딘-3-카복실산(실시예 C.11) 및 3-아미노-N-에틸-벤젠설폰아미드[CAS 56445-08-0]로부터 제조하였다. 황색 고체. MS(ISP) 600.0[(M-H)-]; 융점 226 ℃.The title compound was subjected to 5- (3-ethoxy-4-trifluoromethyl-phenyl) -7-trifluoromethyl-pyrazolo [1,5-a] pyrimidine-3-carboxylic acid according to the general procedure II. Example C.11) and 3-amino-N-ethyl-benzenesulfonamide [CAS 56445-08-0]. Yellow solid. MS (ISP) 600.0 [(M H) ]; Melting point 226 ° C.

실시예Example 35 35

7-다이플루오로메틸-5-(3-에톡시-4-트라이플루오로메틸-페닐)-피라졸로[1,5-a]피리미딘-3-카복실산(3-에틸설파모일-페닐)-아미드7-Difluoromethyl-5- (3-ethoxy-4-trifluoromethyl-phenyl) -pyrazolo [1,5-a] pyrimidine-3-carboxylic acid (3-ethylsulfamoyl-phenyl)- amides

표제 화합물을 일반적인 과정 II에 따라 7-다이플루오로메틸-5-(3-에톡시-4-트라이플루오로메틸-페닐)-피라졸로[1,5-a]피리미딘-3-카복실산(실시예 C.12) 및 3-아미노-N-에틸-벤젠설폰아미드[CAS 56445-08-0]로부터 제조하였다. 황색 고체. MS(ISP) 582.0[(M-H)-]; 융점 222 ℃.The title compound was subjected to 7-difluoromethyl-5- (3-ethoxy-4-trifluoromethyl-phenyl) -pyrazolo [1,5-a] pyrimidine-3-carboxylic acid according to the general procedure II. Example C.12) and 3-amino-N-ethyl-benzenesulfonamide [CAS 56445-08-0]. Yellow solid. MS (ISP) 582.0 [(M H) ]; Melting point 222 ° C.

실시예Example 36 36

7-다이플루오로메틸-5-(3-메틸-4-트라이플루오로메틸-페닐)-피라졸로[1,5-a]피리미딘-3-카복실산(3-설파모일-페닐)-아미드7-Difluoromethyl-5- (3-methyl-4-trifluoromethyl-phenyl) -pyrazolo [1,5-a] pyrimidine-3-carboxylic acid (3-sulfamoyl-phenyl) -amide

표제 화합물을 일반적인 과정 II에 따라 7-다이플루오로메틸-5-(3-메틸-4-트라이플루오로메틸-페닐)-피라졸로[1,5-a]피리미딘-3-카복실산(실시예 C.5) 및 3-설파모일-페닐아민[상업적으로 입수할 수 있음]으로부터 제조하였다. 황색 고체. MS(ISP) 524.0[(M-H)-]; 융점 252 ℃.The title compound was prepared in accordance with General Procedure II with 7-difluoromethyl-5- (3-methyl-4-trifluoromethyl-phenyl) -pyrazolo [1,5-a] pyrimidine-3-carboxylic acid (Example C.5) and 3-sulfamoyl-phenylamine (commercially available). Yellow solid. MS (ISP) 524.0 [(M H) ]; Melting point 252 ° C.

실시예Example 37 37

5-(3-메틸-4-트라이플루오로메틸-페닐)-7-트라이플루오로메틸-피라졸로[1,5-a]피리미딘-3-카복실산(3-설파모일-페닐)-아미드5- (3-Methyl-4-trifluoromethyl-phenyl) -7-trifluoromethyl-pyrazolo [1,5-a] pyrimidine-3-carboxylic acid (3-sulfamoyl-phenyl) -amide

표제 화합물을 일반적인 과정 II에 따라 5-(3-메틸-4-트라이플루오로메틸-페닐)-7-트라이플루오로메틸-피라졸로[1,5-a]피리미딘-3-카복실산(실시예 C.8) 및 3-설파모일-페닐아민[상업적으로 입수할 수 있음]으로부터 제조하였다. 황색 고체. MS(ISP) 542.1[(M-H)-]; 융점 245 ℃.The title compound was prepared according to the general procedure II of 5- (3-methyl-4-trifluoromethyl-phenyl) -7-trifluoromethyl-pyrazolo [1,5-a] pyrimidine-3-carboxylic acid (Example C.8) and 3-sulfamoyl-phenylamine (commercially available). Yellow solid. MS (ISP) 542.1 [(MH)- ]; Melting point 245 ° C.

실시예Example 38 38

5-(3,4-다이클로로-페닐)-7-다이플루오로메틸-피라졸로[1,5-a]피리미딘-3-카복실산(3-설파모일-페닐)-아미드5- (3,4-Dichloro-phenyl) -7-difluoromethyl-pyrazolo [1,5-a] pyrimidine-3-carboxylic acid (3-sulfamoyl-phenyl) -amide

표제 화합물을 일반적인 과정 II에 따라 5-(3,4-다이클로로-페닐)-7-다이플루오로메틸-피라졸로[1,5-a]피리미딘-3-카복실산(실시예 C.7) 및 3-설파모일-페닐아민[상업적으로 입수할 수 있다]으로부터 제조하였다. 황색 고체. MS(ISP) 410.1[(M-H)-]; 융점 306 ℃.The title compound was purified by 5- (3,4-dichloro-phenyl) -7-difluoromethyl-pyrazolo [1,5-a] pyrimidine-3-carboxylic acid (Example C.7). And 3-sulfamoyl-phenylamine (commercially available). Yellow solid. MS (ISP) 410.1 [(M H) ]; Melting point 306 ° C.

실시예Example 39 39

5-(3,4-다이클로로-페닐)-7-트라이플루오로메틸-피라졸로[1,5-a]피리미딘-3-카복실산(3-설파모일-페닐)-아미드5- (3,4-Dichloro-phenyl) -7-trifluoromethyl-pyrazolo [1,5-a] pyrimidine-3-carboxylic acid (3-sulfamoyl-phenyl) -amide

표제 화합물을 일반적인 과정 II에 따라 5-(3,4-다이클로로-페닐)-7-트라이플루오로메틸-피라졸로[1,5-a]피리미딘-3-카복실산(실시예 C.9) 및 3-설파모일-페닐아민[상업적으로 입수할 수 있다]으로부터 제조하였다. 황색 고체. MS(ISP) 528.0[(M-H)-]; 융점 302 ℃.The title compound was purified by 5- (3,4-dichloro-phenyl) -7-trifluoromethyl-pyrazolo [1,5-a] pyrimidine-3-carboxylic acid (Example C.9). And 3-sulfamoyl-phenylamine (commercially available). Yellow solid. MS (ISP) 528.0 [(MH)- ]; Melting point 302 ° C.

실시예Example 40 40

5-(4-클로로-페닐)-7-다이플루오로메틸-피라졸로[1,5-a]피리미딘-3-카복실산(3-설파모일-페닐)-아미드5- (4-Chloro-phenyl) -7-difluoromethyl-pyrazolo [1,5-a] pyrimidine-3-carboxylic acid (3-sulfamoyl-phenyl) -amide

표제 화합물을 일반적인 과정 II에 따라 5-(4-클로로-페닐)-7-다이플루오로메틸-피라졸로[1,5-a]피리미딘-3-카복실산(실시예 C.4) 및 3-설파모일-페닐아민[상업적으로 입수할 수 있다]으로부터 제조하였다. 밝은 황색 고체. MS(ISP) 476.0[(M-H)-]; 융점 278 ℃.The title compound was purified using 5- (4-chloro-phenyl) -7-difluoromethyl-pyrazolo [1,5-a] pyrimidine-3-carboxylic acid (Example C.4) and 3- Prepared from sulfamoyl-phenylamine [commercially available]. Light yellow solid. MS (ISP) 476.0 [(MH)- ]; Melting point 278 ° C.

실시예Example 41 41

5-(4-클로로-3-메틸-페닐)-7-트라이플루오로메틸-피라졸로[1,5-a]피리미딘-3-카복실산(3-설파모일-페닐)-아미드5- (4-Chloro-3-methyl-phenyl) -7-trifluoromethyl-pyrazolo [1,5-a] pyrimidine-3-carboxylic acid (3-sulfamoyl-phenyl) -amide

표제 화합물을 일반적인 과정 II에 따라 5-(4-클로로-3-메틸-페닐)-7-트라이 플루오로메틸-피라졸로[1,5-a]피리미딘-3-카복실산(실시예 C.6) 및 3-설파모일-페닐아민[상업적으로 입수할 수 있다]으로부터 제조하였다. 황색 고체. MS(ISP) 510.2[(M+H)+]; 융점 275 ℃.The title compound was prepared in 5- (4-chloro-3-methyl-phenyl) -7-trifluoromethyl-pyrazolo [1,5-a] pyrimidine-3-carboxylic acid according to General Procedure II (Example C.6). ) And 3-sulfamoyl-phenylamine (commercially available). Yellow solid. MS (ISP) 510.2 [(M + H)+ ]; Melting point 275 ° C.

실시예Example 42 42

7-다이플루오로메틸-5-(4-트라이플루오로메틸-페닐)-피라졸로[1,5-a]피리미딘-3-카복실산(3-메틸설파모일-페닐)-아미드7-Difluoromethyl-5- (4-trifluoromethyl-phenyl) -pyrazolo [1,5-a] pyrimidine-3-carboxylic acid (3-methylsulfamoyl-phenyl) -amide

표제 화합물을 일반적인 과정 II에 따라 7-다이플루오로메틸-5-(4-트라이플루오로메틸-페닐)-피라졸로[1,5-a]피리미딘-3-카복실산(실시예 C.1) 및 3-아미노-N-메틸-벤젠설폰아미드[CAS 459434-40-3]로부터 제조하였다. 황색 고체. MS(ISP) 524.1[(M-H)-]; 융점 255 ℃.The title compound was converted to 7-difluoromethyl-5- (4-trifluoromethyl-phenyl) -pyrazolo [1,5-a] pyrimidine-3-carboxylic acid (Example C.1) according to General Procedure II. And 3-amino-N-methyl-benzenesulfonamide [CAS 459434-40-3]. Yellow solid. MS (ISP) 524.1 [(MH)- ]; Melting point 255 ° C.

실시예Example 43 43

7-다이플루오로메틸-5-(4-트라이플루오로메틸-페닐)-피라졸로[1,5-a]피리미딘-3-카복실산(3-사이클로프로필설파모일-페닐)-아미드7-Difluoromethyl-5- (4-trifluoromethyl-phenyl) -pyrazolo [1,5-a] pyrimidine-3-carboxylic acid (3-cyclopropylsulfamoyl-phenyl) -amide

표제 화합물을 일반적인 과정 II에 따라 7-다이플루오로메틸-5-(4-트라이플루오로메틸-페닐)-피라졸로[1,5-a]피리미딘-3-카복실산(실시예 C.1) 및 3-아미노-N-사이클로프로필-벤젠설폰아미드[CAS 459434-39-0]로부터 제조하였다. 황색 고체. MS(ISP) 550.1[(M-H)-]; 융점 252 ℃.The title compound was converted to 7-difluoromethyl-5- (4-trifluoromethyl-phenyl) -pyrazolo [1,5-a] pyrimidine-3-carboxylic acid (Example C.1) according to General Procedure II. And 3-amino-N-cyclopropyl-benzenesulfonamide [CAS 459434-39-0]. Yellow solid. MS (ISP) 550.1 [(M H) ]; Melting point 252 ° C.

실시예Example 44 44

7-다이플루오로메틸-5-(4-트라이플루오로메틸-페닐)-피라졸로[1,5-a]피리미딘-3-카 복실산(3-아이소프로필설파모일-페닐)-아미드7-Difluoromethyl-5- (4-trifluoromethyl-phenyl) -pyrazolo [1,5-a] pyrimidine-3-carboxylic acid (3-isopropylsulfamoyl-phenyl) -amide

표제 화합물을 일반적인 과정 II에 따라 7-다이플루오로메틸-5-(4-트라이플루오로메틸-페닐)-피라졸로[1,5-a]피리미딘-3-카복실산(실시예 C.1) 및 3-아미노-N-아이소프로필-벤젠설폰아미드[CAS 118837-66-4]로부터 제조하였다. 밝은 황색 고체. MS(ISP) 552.0[(M-H)-]; 융점 229 ℃.The title compound was converted to 7-difluoromethyl-5- (4-trifluoromethyl-phenyl) -pyrazolo [1,5-a] pyrimidine-3-carboxylic acid (Example C.1) according to General Procedure II. And 3-amino-N-isopropyl-benzenesulfonamide [CAS 118837-66-4]. Light yellow solid. MS (ISP) 552.0 [(MH)- ]; Melting point 229 ° C.

실시예Example 45 45

7-다이플루오로메틸-5-(4-트라이플루오로메틸-페닐)-피라졸로[1,5-a]피리미딘-3-카복실산(3-설파모일-페닐)-아미드7-Difluoromethyl-5- (4-trifluoromethyl-phenyl) -pyrazolo [1,5-a] pyrimidine-3-carboxylic acid (3-sulfamoyl-phenyl) -amide

표제 화합물을 일반적인 과정 II에 따라 7-다이플루오로메틸-5-(4-트라이플루오로메틸-페닐)-피라졸로[1,5-a]피리미딘-3-카복실산(실시예 C.1) 및 3-설파모일-페닐아민[상업적으로 입수할 수 있다]로부터 제조하였다. 황색 고체. MS(ISP) 510.2[(M-H)-]; 융점 258 ℃.The title compound was converted to 7-difluoromethyl-5- (4-trifluoromethyl-phenyl) -pyrazolo [1,5-a] pyrimidine-3-carboxylic acid (Example C.1) according to General Procedure II. And 3-sulfamoyl-phenylamine (commercially available). Yellow solid. MS (ISP) 510.2 [(M H) ]; Melting point 258 ° C.

실시예Example 46 46

7-트라이플루오로메틸-5-(4-트라이플루오로메틸-페닐)-피라졸로[1,5-a]피리미딘-3-카복실산(3-사이클로프로필설파모일-페닐)-아미드7-Trifluoromethyl-5- (4-trifluoromethyl-phenyl) -pyrazolo [1,5-a] pyrimidine-3-carboxylic acid (3-cyclopropylsulfamoyl-phenyl) -amide

표제 화합물을 일반적인 과정 II에 따라 7-트라이플루오로메틸-5-(4-트라이플루오로메틸-페닐)-피라졸로[1,5-a]피리미딘-3-카복실산(실시예 C.2) 및 3-아미노-N-사이클로프로필-벤젠설폰아미드[CAS 459434-39-0]로부터 제조하였다. 황색 고체. MS(ISP) 568.0[(M-H)-]; 융점 232 ℃.The title compound was converted to 7-trifluoromethyl-5- (4-trifluoromethyl-phenyl) -pyrazolo [1,5-a] pyrimidine-3-carboxylic acid (Example C.2) according to General Procedure II. And 3-amino-N-cyclopropyl-benzenesulfonamide [CAS 459434-39-0]. Yellow solid. MS (ISP) 568.0 [(M H) ]; Melting point 232 캜.

실시예Example 47 47

7-트라이플루오로메틸-5-(4-트라이플루오로메틸-페닐)-피라졸로[1,5-a]피리미딘-3-카복실산(3-메틸설파모일-페닐)-아미드7-Trifluoromethyl-5- (4-trifluoromethyl-phenyl) -pyrazolo [1,5-a] pyrimidine-3-carboxylic acid (3-methylsulfamoyl-phenyl) -amide

표제 화합물을 일반적인 과정 II에 따라 7-트라이플루오로메틸-5-(4-트라이플루오로메틸-페닐)-피라졸로[1,5-a]피리미딘-3-카복실산(실시예 C.2) 및 3-아미노-N-메틸-벤젠설폰아미드[CAS 459434-40-3]로부터 제조하였다. 황색 고체. MS(ISP) 542.0[(M-H)-]; 융점 232 ℃.The title compound was converted to 7-trifluoromethyl-5- (4-trifluoromethyl-phenyl) -pyrazolo [1,5-a] pyrimidine-3-carboxylic acid (Example C.2) according to General Procedure II. And 3-amino-N-methyl-benzenesulfonamide [CAS 459434-40-3]. Yellow solid. MS (ISP) 542.0 [(M H) ]; Melting point 232 캜.

실시예Example 48 48

7-다이플루오로메틸-5-(4-트라이플루오로메틸-페닐)-피라졸로[1,5-a]피리미딘-3-카복실산(3-메탄설포닐-페닐)-아미드7-Difluoromethyl-5- (4-trifluoromethyl-phenyl) -pyrazolo [1,5-a] pyrimidine-3-carboxylic acid (3-methanesulfonyl-phenyl) -amide

표제 화합물을 일반적인 과정 II에 따라 7-다이플루오로메틸-5-(4-트라이플루오로메틸-페닐)-피라졸로[1,5-a]피리미딘-3-카복실산(실시예 C.1) 및 3-메탄설포닐-페닐아민[하이드로클로라이드로서 상업적으로 입수할 수 있다]으로부터 제조하였다. 황색 고체. MS(ISP) 511.4[(M+H)+]; 융점 251 ℃.The title compound was converted to 7-difluoromethyl-5- (4-trifluoromethyl-phenyl) -pyrazolo [1,5-a] pyrimidine-3-carboxylic acid (Example C.1) according to General Procedure II. And 3-methanesulfonyl-phenylamine [commercially available as hydrochloride]. Yellow solid. MS (ISP) 511.4 [(M + H)+ ]; Melting point 251 ° C.

실시예Example 49 49

7-트라이플루오로메틸-5-(4-트라이플루오로메틸-페닐)-피라졸로[1,5-a]피리미딘-3-카복실산(3-아이소프로필설파모일-페닐)-아미드7-Trifluoromethyl-5- (4-trifluoromethyl-phenyl) -pyrazolo [1,5-a] pyrimidine-3-carboxylic acid (3-isopropylsulfamoyl-phenyl) -amide

표제 화합물을 일반적인 과정 II에 따라 7-트라이플루오로메틸-5-(4-트라이플루오로메틸-페닐)-피라졸로[1,5-a]피리미딘-3-카복실산(실시예 C.2) 및 3-아미노 -N-아이소프로필-벤젠설폰아미드[CAS 118837-66-4]로부터 제조하였다. 황색 고체. MS(ISP) 570.2[(M-H)-]; 융점 222 ℃.The title compound was converted to 7-trifluoromethyl-5- (4-trifluoromethyl-phenyl) -pyrazolo [1,5-a] pyrimidine-3-carboxylic acid (Example C.2) according to General Procedure II. And 3-amino-N-isopropyl-benzenesulfonamide [CAS 118837-66-4]. Yellow solid. MS (ISP) 570.2 [(M H) ]; Melting point 222 ° C.

실시예Example 50 50

7-트라이플루오로메틸-5-(4-트라이플루오로메틸-페닐)-피라졸로[1,5-a]피리미딘-3-카복실산(3-메탄설포닐-페닐)-아미드7-Trifluoromethyl-5- (4-trifluoromethyl-phenyl) -pyrazolo [1,5-a] pyrimidine-3-carboxylic acid (3-methanesulfonyl-phenyl) -amide

표제 화합물을 일반적인 과정 II에 따라 7-트라이플루오로메틸-5-(4-트라이플루오로메틸-페닐)-피라졸로[1,5-a]피리미딘-3-카복실산(실시예 C.2) 및 3-메탄설포닐-페닐아민[하이드로클로라이드로서 상업적으로 입수할 수 있음]으로부터 제조하였다. 황색 고체. MS(ISP) 529.3[(M+H)+]; 융점 259 ℃.The title compound was converted to 7-trifluoromethyl-5- (4-trifluoromethyl-phenyl) -pyrazolo [1,5-a] pyrimidine-3-carboxylic acid (Example C.2) according to General Procedure II. And 3-methanesulfonyl-phenylamine (commercially available as hydrochloride). Yellow solid. MS (ISP) 529.3 [(M + H)+ ]; Melting point 259 ° C.

실시예Example 51 51

5-(4-클로로-페닐)-7-트라이플루오로메틸-피라졸로[1,5-a]피리미딘-3-카복실산(3-설파모일-페닐)-아미드5- (4-Chloro-phenyl) -7-trifluoromethyl-pyrazolo [1,5-a] pyrimidine-3-carboxylic acid (3-sulfamoyl-phenyl) -amide

표제 화합물을 일반적인 과정 II에 따라 5-(4-클로로-페닐)-7-트라이플루오로메틸-피라졸로[1,5-a]피리미딘-3-카복실산(실시예 C.4) 및 3-설파모일-페닐아민[상업적으로 입수할 수 있다]으로부터 제조하였다. 황색 고체. MS(ISP) 494.0[(M-H)-]; 융점 260 ℃.The title compound was prepared according to the general procedure II in 5- (4-chloro-phenyl) -7-trifluoromethyl-pyrazolo [1,5-a] pyrimidine-3-carboxylic acid (Example C.4) and 3- Prepared from sulfamoyl-phenylamine [commercially available]. Yellow solid. MS (ISP) 494.0 [(M H) ]; Melting point 260 deg.

실시예Example 52 52

7-다이플루오로메틸-5-(4-트라이플루오로메틸-페닐)-피라졸로[1,5-a]피리미딘-3-카복실산[3-(2,2,2-트라이플루오로-에틸설파모일)-페닐]-아미드7-Difluoromethyl-5- (4-trifluoromethyl-phenyl) -pyrazolo [1,5-a] pyrimidine-3-carboxylic acid [3- (2,2,2-trifluoro-ethyl Sulfamoyl) -phenyl] -amide

표제 화합물을 일반적인 과정 II에 따라 7-다이플루오로메틸-5-(4-트라이플루오로메틸-페닐)-피라졸로[1,5-a]피리미딘-3-카복실산(실시예 C.1) 및 3-아미노-N-(2,2,2-트라이플루오로에틸)-벤젠설폰아미드[합성: 아닐린 유도체 부분 참조]로부터 제조하였다. 황색 고체. MS(ISP) 592.0[(M-H)-]; 융점 257 ℃.The title compound was converted to 7-difluoromethyl-5- (4-trifluoromethyl-phenyl) -pyrazolo [1,5-a] pyrimidine-3-carboxylic acid (Example C.1) according to General Procedure II. And 3-amino-N- (2,2,2-trifluoroethyl) -benzenesulfonamide (see Synthesis: Aniline Derivatives section). Yellow solid. MS (ISP) 592.0 [(M H) ]; Melting point 257 ° C.

실시예Example 53 53

5-(4-클로로-페닐)-7-트라이플루오로메틸-피라졸로[1,5-a]피리미딘-3-카복실산(3-메탄설포닐-페닐)-아미드5- (4-Chloro-phenyl) -7-trifluoromethyl-pyrazolo [1,5-a] pyrimidine-3-carboxylic acid (3-methanesulfonyl-phenyl) -amide

표제 화합물을 일반적인 과정 II에 따라 5-(4-클로로-페닐)-7-트라이플루오로메틸-피라졸로[1,5-a]피리미딘-3-카복실산(실시예 C.4) 및 3-메탄설포닐-페닐아민[하이드로클로라이드로서 상업적으로 입수할 수 있다]로부터 제조하였다. 황색 고체. MS(ISP) 495.3[(M+H)+]; 융점 305 ℃.The title compound was prepared according to the general procedure II in 5- (4-chloro-phenyl) -7-trifluoromethyl-pyrazolo [1,5-a] pyrimidine-3-carboxylic acid (Example C.4) and 3- From methanesulfonyl-phenylamine [commercially available as hydrochloride]. Yellow solid. MS (ISP) 495.3 [(M + H)+ ]; Melting point 305 ° C.

실시예Example 54 54

7-트라이플루오로메틸-5-(4-트라이플루오로메틸-페닐)-피라졸로[1,5-a]피리미딘-3-카복실산[3-(2,2,2-트라이플루오로-에틸설파모일)-페닐]-아미드7-Trifluoromethyl-5- (4-trifluoromethyl-phenyl) -pyrazolo [1,5-a] pyrimidine-3-carboxylic acid [3- (2,2,2-trifluoro-ethyl Sulfamoyl) -phenyl] -amide

표제 화합물을 일반적인 과정 II에 따라 7-트라이플루오로메틸-5-(4-트라이플루오로메틸-페닐)-피라졸로[1,5-a]피리미딘-3-카복실산(실시예 C.2) 및 3-아미노-N-(2,2,2-트라이플루오로에틸)-벤젠설폰아미드(실시예 B.1)로부터 제조하였다. 황색 고체. MS(ISP) 610.0[(M-H)-]; 융점 259 ℃.The title compound was converted to 7-trifluoromethyl-5- (4-trifluoromethyl-phenyl) -pyrazolo [1,5-a] pyrimidine-3-carboxylic acid (Example C.2) according to General Procedure II. And 3-amino-N- (2,2,2-trifluoroethyl) -benzenesulfonamide (Example B.1). Yellow solid. MS (ISP) 610.0 [(M H) ]; Melting point 259 ° C.

실시예Example 55 55

5-(3,4-다이클로로-페닐)-7-다이플루오로메틸-피라졸로[1,5-a]피리미딘-3-카복실산(3-메탄설포닐-페닐)-아미드5- (3,4-Dichloro-phenyl) -7-difluoromethyl-pyrazolo [1,5-a] pyrimidine-3-carboxylic acid (3-methanesulfonyl-phenyl) -amide

표제 화합물을 일반적인 과정 II에 따라 5-(3,4-다이클로로-페닐)-7-다이플루오로메틸-피라졸로[1,5-a]피리미딘-3-카복실산(실시예 C.9) 및 3-메탄설포닐-페닐아민[하이드로클로라이드로서 상업적으로 입수할 수 있다]으로부터 제조하였다. 황색 고체. MS(ISP) 511.3[(M+H)+]; 융점 262 ℃.The title compound was purified by 5- (3,4-dichloro-phenyl) -7-difluoromethyl-pyrazolo [1,5-a] pyrimidine-3-carboxylic acid (Example C.9). And 3-methanesulfonyl-phenylamine [commercially available as hydrochloride]. Yellow solid. MS (ISP) 511.3 [(M + H)+ ]; Melting point 262 ° C.

실시예Example 56 56

5-(3,4-다이클로로-페닐)-7-트라이플루오로메틸-피라졸로[1,5-a]피리미딘-3-카복실산(3-메탄설포닐-페닐)-아미드5- (3,4-Dichloro-phenyl) -7-trifluoromethyl-pyrazolo [1,5-a] pyrimidine-3-carboxylic acid (3-methanesulfonyl-phenyl) -amide

표제 화합물을 일반적인 과정 II에 따라 5-(3,4-다이클로로-페닐)-7-다이플루오로메틸-피라졸로[1,5-a]피리미딘-3-카복실산(실시예 C.7) 및 3-메탄설포닐-페닐아민[하이드로클로라이드로서 상업적으로 입수할 수 있다]으로부터 제조하였다. 황색 고체. MS(ISP) 529.2[(M+H)+]; 융점 263 ℃.The title compound was purified by 5- (3,4-dichloro-phenyl) -7-difluoromethyl-pyrazolo [1,5-a] pyrimidine-3-carboxylic acid (Example C.7). And 3-methanesulfonyl-phenylamine [commercially available as hydrochloride]. Yellow solid. MS (ISP) 529.2 [(M + H)+ ]; Melting point 263 캜.

실시예Example 57 57

7-다이플루오로메틸-5-(3-메틸-4-트라이플루오로메틸-페닐)-피라졸로[1,5-a]피리미딘-3-카복실산(3-메탄설포닐-페닐)-아미드7-Difluoromethyl-5- (3-methyl-4-trifluoromethyl-phenyl) -pyrazolo [1,5-a] pyrimidine-3-carboxylic acid (3-methanesulfonyl-phenyl) -amide

표제 화합물을 일반적인 과정 II에 따라 7-다이플루오로메틸-5-(3-메틸-4-트라이플루오로메틸-페닐)-피라졸로[1,5-a]피리미딘-3-카복실산(실시예 C.5) 및 3-메탄설포닐-페닐아민[하이드로클로라이드로서 상업적으로 입수할 수 있다]으로부터 제조하였다. 밝은 갈색 고체. MS(ISP) 525.2[(M+H)+]; 융점 261 ℃.The title compound was prepared in accordance with General Procedure II with 7-difluoromethyl-5- (3-methyl-4-trifluoromethyl-phenyl) -pyrazolo [1,5-a] pyrimidine-3-carboxylic acid (Example C.5) and 3-methanesulfonyl-phenylamine (commercially available as hydrochloride). Light brown solid. MS (ISP) 525.2 [(M + H)+ ]; Melting point 261 ° C.

실시예Example 58 58

5-(3-메틸-4-트라이플루오로메틸-페닐)-7-트라이플루오로메틸-피라졸로[1,5-a]피리미딘-3-카복실산(3-메탄설포닐-페닐)-아미드5- (3-Methyl-4-trifluoromethyl-phenyl) -7-trifluoromethyl-pyrazolo [1,5-a] pyrimidine-3-carboxylic acid (3-methanesulfonyl-phenyl) -amide

표제 화합물을 일반적인 과정 II에 따라 5-(3-메틸-4-트라이플루오로메틸-페닐)-7-트라이플루오로메틸-피라졸로[1,5-a]피리미딘-3-카복실산(실시예 C.8) 및 3-메탄설포닐-페닐아민[하이드로클로라이드로서 상업적으로 입수할 수 있다]로부터 제조하였다. 황색 고체. MS(ISP) 543.3[(M+H)+]; 융점 233 ℃.The title compound was prepared according to the general procedure II of 5- (3-methyl-4-trifluoromethyl-phenyl) -7-trifluoromethyl-pyrazolo [1,5-a] pyrimidine-3-carboxylic acid (Example C.8) and 3-methanesulfonyl-phenylamine (commercially available as hydrochloride). Yellow solid. MS (ISP) 543.3 [(M + H)+ ]; Melting point 233 ° C.

실시예Example 59 59

5-(3-메틸-4-트라이플루오로메틸-페닐)-7-트라이플루오로메틸-피라졸로[1,5-a]피리미딘-3-카복실산(3-사이클로프로필설파모일-페닐)-아미드5- (3-Methyl-4-trifluoromethyl-phenyl) -7-trifluoromethyl-pyrazolo [1,5-a] pyrimidine-3-carboxylic acid (3-cyclopropylsulfamoyl-phenyl)- amides

표제 화합물을 일반적인 과정 II에 따라 5-(3-메틸-4-트라이플루오로메틸-페닐)-7-트라이플루오로메틸-피라졸로[1,5-a]피리미딘-3-카복실산(실시예 C.8) 및 3-아미노-N-사이클로프로필-벤젠설폰아미드[CAS 459434-39-0]로부터 제조하였다. 황색 고체. MS(ISP) 582.0[(M-H)-]; 융점 201 ℃.The title compound was prepared according to the general procedure II of 5- (3-methyl-4-trifluoromethyl-phenyl) -7-trifluoromethyl-pyrazolo [1,5-a] pyrimidine-3-carboxylic acid (Example C.8) and 3-amino-N-cyclopropyl-benzenesulfonamide [CAS 459434-39-0]. Yellow solid. MS (ISP) 582.0 [(M H) ]; Melting point 201 캜.

실시예Example 60 60

5-(3,4-다이클로로-페닐)-7-트라이플루오로메틸-피라졸로[1,5-a]피리미딘-3-카복실산(3-사이클로프로필설파모일-페닐)-아미드5- (3,4-Dichloro-phenyl) -7-trifluoromethyl-pyrazolo [1,5-a] pyrimidine-3-carboxylic acid (3-cyclopropylsulfamoyl-phenyl) -amide

표제 화합물을 일반적인 과정 II에 따라 5-(3,4-다이클로로-페닐)-7-트라이 플루오로메틸-피라졸로[1,5-a]피리미딘-3-카복실산(실시예 C.9) 및 3-아미노-N-사이클로프로필-벤젠설폰아미드[CAS 459434-39-0]로부터 제조하였다. 황색 고체. MS(ISP) 567.9[(M-H)-]; 융점 248 ℃.The title compound was prepared in 5- (3,4-dichloro-phenyl) -7-trifluoromethyl-pyrazolo [1,5-a] pyrimidine-3-carboxylic acid according to General Procedure II (Example C.9). And 3-amino-N-cyclopropyl-benzenesulfonamide [CAS 459434-39-0]. Yellow solid. MS (ISP) 567.9 [(M H) ]; Melting point 248 ° C.

실시예Example 61 61

5-(4-클로로-페닐)-7-트라이플루오로메틸-피라졸로[1,5-a]피리미딘-3-카복실산(3-사이클로프로필설파모일-페닐)-아미드5- (4-Chloro-phenyl) -7-trifluoromethyl-pyrazolo [1,5-a] pyrimidine-3-carboxylic acid (3-cyclopropylsulfamoyl-phenyl) -amide

표제 화합물을 일반적인 과정 II에 따라 5-(4-클로로-페닐)-7-트라이플루오로메틸-피라졸로[1,5-a]피리미딘-3-카복실산(실시예 C.4) 및 3-아미노-N-사이클로프로필-벤젠설폰아미드[CAS 459434-39-0]로부터 제조하였다. 황색 고체. MS(ISP) 534.1[(M-H)-]; 융점 257 ℃.The title compound was prepared according to the general procedure II in 5- (4-chloro-phenyl) -7-trifluoromethyl-pyrazolo [1,5-a] pyrimidine-3-carboxylic acid (Example C.4) and 3- Prepared from amino-N-cyclopropyl-benzenesulfonamide [CAS 459434-39-0]. Yellow solid. MS (ISP) 534.1 [(M H) ]; Melting point 257 ° C.

실시예Example 62 62

5-(4-클로로-3-메틸-페닐)-7-트라이플루오로메틸-피라졸로[1,5-a]피리미딘-3-카복실산(3-사이클로프로필설파모일-페닐)-아미드5- (4-Chloro-3-methyl-phenyl) -7-trifluoromethyl-pyrazolo [1,5-a] pyrimidine-3-carboxylic acid (3-cyclopropylsulfamoyl-phenyl) -amide

표제 화합물을 일반적인 과정 II에 따라 5-(4-클로로-3-메틸-페닐)-7-트라이플루오로메틸-피라졸로[1,5-a]피리미딘-3-카복실산(실시예 C.6) 및 3-아미노-N-사이클로프로필-벤젠설폰아미드[CAS 459434-39-0]로부터 제조하였다. 황색 고체. MS(ISP) 548.1[(M-H)-]; 융점 244 ℃.The title compound was prepared in 5- (4-chloro-3-methyl-phenyl) -7-trifluoromethyl-pyrazolo [1,5-a] pyrimidine-3-carboxylic acid (Example C.6). ) And 3-amino-N-cyclopropyl-benzenesulfonamide [CAS 459434-39-0]. Yellow solid. MS (ISP) 548.1 [(M H) ]; Melting point 244 ° C.

실시예Example 63 63

7-다이플루오로메틸-5-(3-메틸-4-트라이플루오로메틸-페닐)-피라졸로[1,5-a]피리미 딘-3-카복실산(3-사이클로프로필설파모일-페닐)-아미드7-Difluoromethyl-5- (3-methyl-4-trifluoromethyl-phenyl) -pyrazolo [1,5-a] pyrimidine-3-carboxylic acid (3-cyclopropylsulfamoyl-phenyl) -amides

표제 화합물을 일반적인 과정 II에 따라 7-다이플루오로메틸-5-(3-메틸-4-트라이플루오로메틸-페닐)-피라졸로[1,5-a]피리미딘-3-카복실산(실시예 C.5) 및 3-아미노-N-사이클로프로필-벤젠설폰아미드[CAS 459434-39-0]로부터 제조하였다. 밝은 황색 고체. MS(ISP) 564.2[(M-H)-]; 융점 199 ℃.The title compound was prepared in accordance with General Procedure II with 7-difluoromethyl-5- (3-methyl-4-trifluoromethyl-phenyl) -pyrazolo [1,5-a] pyrimidine-3-carboxylic acid (Example C.5) and 3-amino-N-cyclopropyl-benzenesulfonamide [CAS 459434-39-0]. Light yellow solid. MS (ISP) 564.2 [(M H) ]; Melting point 199 ° C.

실시예Example 64 64

5-(3,4-다이클로로-페닐)-7-다이플루오로메틸-피라졸로[1,5-a]피리미딘-3-카복실산(3-사이클로프로필설파모일-페닐)-아미드5- (3,4-Dichloro-phenyl) -7-difluoromethyl-pyrazolo [1,5-a] pyrimidine-3-carboxylic acid (3-cyclopropylsulfamoyl-phenyl) -amide

표제 화합물을 일반적인 과정 II에 따라 5-(3,4-다이클로로-페닐)-7-다이플루오로메틸-피라졸로[1,5-a]피리미딘-3-카복실산(실시예 C.7) 및 3-아미노-N-사이클로프로필-벤젠설폰아미드[CAS 459434-39-0]로부터 제조하였다. 밝은 황색 고체. MS(ISP) 550.0[(M-H)-]; 융점 254 ℃.The title compound was purified by 5- (3,4-dichloro-phenyl) -7-difluoromethyl-pyrazolo [1,5-a] pyrimidine-3-carboxylic acid (Example C.7). And 3-amino-N-cyclopropyl-benzenesulfonamide [CAS 459434-39-0]. Light yellow solid. MS (ISP) 550.0 [(M H) ]; Melting point 254 ° C.

실시예Example 65 65

5-(4-클로로-페닐)-7-다이플루오로메틸-피라졸로[1,5-a]피리미딘-3-카복실산(3-사이클로프로필설파모일-페닐)-아미드5- (4-Chloro-phenyl) -7-difluoromethyl-pyrazolo [1,5-a] pyrimidine-3-carboxylic acid (3-cyclopropylsulfamoyl-phenyl) -amide

표제 화합물을 일반적인 과정 II에 따라 5-(4-다이클로로-페닐)-7-다이플루오로메틸-피라졸로[1,5-a]피리미딘-3-카복실산(실시예 C.3) 및 3-아미노-N-사이클로프로필-벤젠설폰아미드[CAS 459434-39-0]로부터 제조하였다. 밝은 황색 고체. MS(ISP) 516.1[(M-H)-]; 융점 262 ℃.The title compound was prepared in 5- (4-dichloro-phenyl) -7-difluoromethyl-pyrazolo [1,5-a] pyrimidine-3-carboxylic acid (Example C.3) and 3 according to General Procedure II. -Amino-N-cyclopropyl-benzenesulfonamide [CAS 459434-39-0]. Light yellow solid. MS (ISP) 516.1 [(MH)- ]; Melting point 262 ° C.

실시예Example 66 66

7-트라이플루오로메틸-5-(4-트라이플루오로메틸-페닐)-피라졸로[1,5-a]피리미딘-3-카복실산(3-아이소부틸설파모일-페닐)-아미드7-Trifluoromethyl-5- (4-trifluoromethyl-phenyl) -pyrazolo [1,5-a] pyrimidine-3-carboxylic acid (3-isobutylsulfamoyl-phenyl) -amide

표제 화합물을 일반적인 과정 II에 따라 7-트라이플루오로메틸-5-(4-트라이플루오로메틸-페닐)-피라졸로[1,5-a]피리미딘-3-카복실산(실시예 C.2) 및 3-아미노-N-아이소부틸-벤젠설폰아미드[CAS 608523-95-1]로부터 제조하였다. 황색 고체. MS(ISP) 584.1[(M-H)-]; 융점 205 ℃.The title compound was converted to 7-trifluoromethyl-5- (4-trifluoromethyl-phenyl) -pyrazolo [1,5-a] pyrimidine-3-carboxylic acid (Example C.2) according to General Procedure II. And 3-amino-N-isobutyl-benzenesulfonamide [CAS 608523-95-1]. Yellow solid. MS (ISP) 584.1 [(M H) ]; Melting point 205 캜.

실시예Example 67 67

7-트라이플루오로메틸-5-(4-트라이플루오로메틸-페닐)-피라졸로[1,5-a]피리미딘-3-카복실산[3-(사이클로프로필메틸-설파모일)-페닐]-아미드7-Trifluoromethyl-5- (4-trifluoromethyl-phenyl) -pyrazolo [1,5-a] pyrimidine-3-carboxylic acid [3- (cyclopropylmethyl-sulfamoyl) -phenyl]- amides

표제 화합물을 일반적인 과정 II에 따라 7-트라이플루오로메틸-5-(4-트라이플루오로메틸-페닐)-피라졸로[1,5-a]피리미딘-3-카복실산(실시예 C.2) 및 3-아미노-N-사이클로프로필메틸-벤젠설폰아미드(실시예 B.2)로부터 제조하였다. 황색 고체. MS(ISP) 582.1[(M-H)-]; 융점 234 ℃.The title compound was converted to 7-trifluoromethyl-5- (4-trifluoromethyl-phenyl) -pyrazolo [1,5-a] pyrimidine-3-carboxylic acid (Example C.2) according to General Procedure II. And 3-amino-N-cyclopropylmethyl-benzenesulfonamide (Example B.2). Yellow solid. MS (ISP) 582.1 [(MH)- ]; Melting point 234 ° C.

실시예Example 68 68

5-(3-에톡시-4-트라이플루오로메틸-페닐)-7-트라이플루오로메틸-피라졸로[1,5-a]피리미딘-3-카복실산(3-메탄설포닐-페닐)-아미드5- (3-Ethoxy-4-trifluoromethyl-phenyl) -7-trifluoromethyl-pyrazolo [1,5-a] pyrimidine-3-carboxylic acid (3-methanesulfonyl-phenyl)- amides

표제 화합물을 일반적인 과정 II에 따라 5-(3-에톡시-4-트라이플루오로메틸-페닐)-7-트라이플루오로메틸-피라졸로[1,5-a]피리미딘-3-카복실산(실시예 C.11) 및 3-메탄설포닐-페닐아민[하이드로클로라이드로서 상업적으로 입수할 수 있다]으로부터 제조하였다. 황색 고체. MS(ISP) 573.2[(M+H)+]; 융점 215 ℃.The title compound was subjected to 5- (3-ethoxy-4-trifluoromethyl-phenyl) -7-trifluoromethyl-pyrazolo [1,5-a] pyrimidine-3-carboxylic acid according to the general procedure II. Example C.11) and 3-methanesulfonyl-phenylamine (commercially available as hydrochloride). Yellow solid. MS (ISP) 573.2 [(M + H)+ ]; Melting point 215 ° C.

실시예Example 69 69

7-다이플루오로메틸-5-(3-에톡시-4-트라이플루오로메틸-페닐)-피라졸로[1,5-a]피리미딘-3-카복실산(3-메탄설포닐-페닐)-아미드7-Difluoromethyl-5- (3-ethoxy-4-trifluoromethyl-phenyl) -pyrazolo [1,5-a] pyrimidine-3-carboxylic acid (3-methanesulfonyl-phenyl)- amides

표제 화합물을 일반적인 과정 II에 따라 7-다이플루오로메틸-5-(3-에톡시-4-트라이플루오로메틸-페닐)-피라졸로[1,5-a]피리미딘-3-카복실산(실시예 C.12) 및 3-메탄설포닐-페닐아민[하이드로클로라이드로서 상업적으로 입수할 수 있다]으로부터 제조하였다. 황색 고체. MS(ISP) 555.3[(M+H)+]; 융점 211 ℃.The title compound was subjected to 7-difluoromethyl-5- (3-ethoxy-4-trifluoromethyl-phenyl) -pyrazolo [1,5-a] pyrimidine-3-carboxylic acid according to the general procedure II. Example C.12) and 3-methanesulfonyl-phenylamine (commercially available as hydrochloride). Yellow solid. MS (ISP) 555.3 [(M + H)+ ]; Melting point 211 ° C.

실시예Example 70 70

7-다이플루오로메틸-5-(3-에톡시-4-트라이플루오로메틸-페닐)-피라졸로[1,5-a]피리미딘-3-카복실산(3-사이클로프로필설파모일-페닐)-아미드7-Difluoromethyl-5- (3-ethoxy-4-trifluoromethyl-phenyl) -pyrazolo [1,5-a] pyrimidine-3-carboxylic acid (3-cyclopropylsulfamoyl-phenyl) -amides

표제 화합물을 일반적인 과정 II에 따라 7-다이플루오로메틸-5-(3-에톡시-4-트라이플루오로메틸-페닐)-피라졸로[1,5-a]피리미딘-3-카복실산(실시예 C.12) 및 3-아미노-N-사이클로프로필-벤젠설폰아미드[CAS 459434-39-0]로부터 제조하였다. 황색 고체. MS(ISP) 594.1[(M-H)-]; 융점 213 ℃.The title compound was subjected to 7-difluoromethyl-5- (3-ethoxy-4-trifluoromethyl-phenyl) -pyrazolo [1,5-a] pyrimidine-3-carboxylic acid according to the general procedure II. Example C.12) and 3-amino-N-cyclopropyl-benzenesulfonamide [CAS 459434-39-0]. Yellow solid. MS (ISP) 594.1 [(M H) ]; Melting point 213 ° C.

실시예Example 71 71

5-(3-에톡시-4-트라이플루오로메틸-페닐)-7-트라이플루오로메틸-피라졸로[1,5-a]피리미딘-3-카복실산(3-사이클로프로필설파모일페닐)-아미드5- (3-Ethoxy-4-trifluoromethyl-phenyl) -7-trifluoromethyl-pyrazolo [1,5-a] pyrimidine-3-carboxylic acid (3-cyclopropylsulfamoylphenyl)- amides

표제 화합물을 일반적인 과정 II에 따라 5-(3-에톡시-4-트라이플루오로메틸-페닐)-7-트라이플루오로메틸-피라졸로[1,5-a]피리미딘-3-카복실산(실시예 C.11) 및 3-아미노-N-사이클로프로필-벤젠설폰아미드[CAS 459434-39-0]로부터 제조하였다. 황색 고체. MS(ISP) 612.2[(M-H)-]; 융점 225 ℃.The title compound was subjected to 5- (3-ethoxy-4-trifluoromethyl-phenyl) -7-trifluoromethyl-pyrazolo [1,5-a] pyrimidine-3-carboxylic acid according to the general procedure II. Example C.11) and 3-amino-N-cyclopropyl-benzenesulfonamide [CAS 459434-39-0]. Yellow solid. MS (ISP) 612.2 [(M H) ]; Melting point 225 ° C.

실시예Example 72 72

7-다이플루오로메틸-5-(4-트라이플루오로메틸-페닐)-피라졸로[1,5-a]피리미딘-3-카복실산(3-아이소부틸설파모일-페닐)-아미드7-Difluoromethyl-5- (4-trifluoromethyl-phenyl) -pyrazolo [1,5-a] pyrimidine-3-carboxylic acid (3-isobutylsulfamoyl-phenyl) -amide

표제 화합물을 일반적인 과정 II에 따라 7-다이플루오로메틸-5-(4-트라이플루오로메틸-페닐)-피라졸로[1,5-a]피리미딘-3-카복실산(실시예 C.1) 및 3-아미노-N-아이소부틸-벤젠설폰아미드[CAS 608523-95-1]로부터 제조하였다. 황색 고체. MS(ISP) 566.2[(M-H)-]; 융점 186 ℃.The title compound was converted to 7-difluoromethyl-5- (4-trifluoromethyl-phenyl) -pyrazolo [1,5-a] pyrimidine-3-carboxylic acid (Example C.1) according to General Procedure II. And 3-amino-N-isobutyl-benzenesulfonamide [CAS 608523-95-1]. Yellow solid. MS (ISP) 566.2 [(MH)- ]; Melting point 186 ° C.

실시예Example 73 73

7-다이플루오로메틸-5-(4-트라이플루오로메틸-페닐)-피라졸로[1,5-a]피리미딘-3-카복실산[(3-사이클로프로필메틸-설파모일)-페닐]-아미드7-Difluoromethyl-5- (4-trifluoromethyl-phenyl) -pyrazolo [1,5-a] pyrimidine-3-carboxylic acid [(3-cyclopropylmethyl-sulfamoyl) -phenyl]- amides

표제 화합물을 일반적인 과정 II에 따라 7-다이플루오로메틸-5-(4-트라이플루오로메틸-페닐)-피라졸로[1,5-a]피리미딘-3-카복실산(실시예 C.1) 및 3-아미노-N-사이클로프로필메틸-벤젠설폰아미드(실시예 B.2)로부터 제조하였다. 황색 고체. MS(ISP) 564.2[(M-H)-]; 융점 238 ℃.The title compound was converted to 7-difluoromethyl-5- (4-trifluoromethyl-phenyl) -pyrazolo [1,5-a] pyrimidine-3-carboxylic acid (Example C.1) according to General Procedure II. And 3-amino-N-cyclopropylmethyl-benzenesulfonamide (Example B.2). Yellow solid. MS (ISP) 564.2 [(M H) ]; Melting point 238 ° C.

실시예Example 74 74

7-다이플루오로메틸-5-(4-트라이플루오로메틸-페닐)-피라졸로[1,5-a]피리미딘-3-카복실산(3-페닐설파모일-페닐)-아미드7-Difluoromethyl-5- (4-trifluoromethyl-phenyl) -pyrazolo [1,5-a] pyrimidine-3-carboxylic acid (3-phenylsulfamoyl-phenyl) -amide

표제 화합물을 일반적인 과정 II에 따라 7-다이플루오로메틸-5-(4-트라이플루오로메틸-페닐)-피라졸로[1,5-a]피리미딘-3-카복실산(실시예 C.1) 및 3-아미노-N-페닐-벤젠설폰아미드[상업적으로 입수할 수 있음]로부터 제조하였다. 황색 고체. MS(ISP) 586.2[(M-H)-]; 융점 228 ℃.The title compound was converted to 7-difluoromethyl-5- (4-trifluoromethyl-phenyl) -pyrazolo [1,5-a] pyrimidine-3-carboxylic acid (Example C.1) according to General Procedure II. And 3-amino-N-phenyl-benzenesulfonamide (commercially available). Yellow solid. MS (ISP) 586.2 [(M- H)- ]; Melting point 228 ° C.

실시예Example 75 75

7-다이플루오로메틸-5-(4-트라이플루오로메틸-페닐)-피라졸로[1,5-a]피리미딘-3-카복실산(3-벤질설파모일-페닐)-아미드7-Difluoromethyl-5- (4-trifluoromethyl-phenyl) -pyrazolo [1,5-a] pyrimidine-3-carboxylic acid (3-benzylsulfamoyl-phenyl) -amide

표제 화합물을 일반적인 과정 II에 따라 7-다이플루오로메틸-5-(4-트라이플루오로메틸-페닐)-피라졸로[1,5-a]피리미딘-3-카복실산(실시예 C.1) 및 3-아미노-N-벤질-벤젠설폰아미드[CAS No. 303780-52-1]로부터 제조하였다. 밝은 황색 고체. MS(ISP) 600.1[(M-H)-]; 융점 230 ℃.The title compound was converted to 7-difluoromethyl-5- (4-trifluoromethyl-phenyl) -pyrazolo [1,5-a] pyrimidine-3-carboxylic acid (Example C.1) according to General Procedure II. And 3-amino-N-benzyl-benzenesulfonamide [CAS No. 303780-52-1. Light yellow solid. MS (ISP) 600.1 [(M H) ]; Melting point 230 deg.

실시예Example 76 76

7-트라이플루오로메틸-5-(4-트라이플루오로메틸-페닐)-피라졸로[1,5-a]피리미딘-3-카복실산(3-페닐설파모일-페닐)-아미드7-Trifluoromethyl-5- (4-trifluoromethyl-phenyl) -pyrazolo [1,5-a] pyrimidine-3-carboxylic acid (3-phenylsulfamoyl-phenyl) -amide

표제 화합물을 일반적인 과정 II에 따라 7-트라이플루오로메틸-5-(4-트라이플루오로메틸-페닐)-피라졸로[1,5-a]피리미딘-3-카복실산(실시예 C.2) 및 3-아미노-N-페닐-벤젠설폰아미드[상업적으로 입수할 수 있음]로부터 제조하였다. 황색 고 체. MS(ISP) 604.0[(M-H)-]; 융점 258 ℃.The title compound was converted to 7-trifluoromethyl-5- (4-trifluoromethyl-phenyl) -pyrazolo [1,5-a] pyrimidine-3-carboxylic acid (Example C.2) according to General Procedure II. And 3-amino-N-phenyl-benzenesulfonamide (commercially available). Yellow and body. MS (ISP) 604.0 [(M H) ]; Melting point 258 ° C.

실시예Example 77 77

7-트라이플루오로메틸-5-(4-트라이플루오로메틸-페닐)-피라졸로[1,5-a]피리미딘-3-카복실산(3-벤질설파모일-페닐)-아미드7-Trifluoromethyl-5- (4-trifluoromethyl-phenyl) -pyrazolo [1,5-a] pyrimidine-3-carboxylic acid (3-benzylsulfamoyl-phenyl) -amide

표제 화합물을 일반적인 과정 II에 따라 7-트라이플루오로메틸-5-(4-트라이플루오로메틸-페닐)-피라졸로[1,5-a]피리미딘-3-카복실산(실시예 C.2) 및 3-아미노-N-벤질-벤젠설폰아미드[CAS No. 303780-52-1]로부터 제조하였다. 황색 고체. MS(ISP) 618.1[(M-H)-]; 융점 227 ℃.The title compound was converted to 7-trifluoromethyl-5- (4-trifluoromethyl-phenyl) -pyrazolo [1,5-a] pyrimidine-3-carboxylic acid (Example C.2) according to General Procedure II. And 3-amino-N-benzyl-benzenesulfonamide [CAS No. 303780-52-1. Yellow solid. MS (ISP) 618.1 [(M H) ]; Melting point 227 ° C.

실시예Example 78 78

5-[3-(2,2,2-트라이플루오로-에톡시)-4-트라이플루오로메틸-페닐]-7-트라이플루오로메틸-피라졸로[1,5-a]피리미딘-3-카복실산(3-설파모일-페닐)-아미드5- [3- (2,2,2-Trifluoro-ethoxy) -4-trifluoromethyl-phenyl] -7-trifluoromethyl-pyrazolo [1,5-a] pyrimidine-3 -Carboxylic acid (3-sulfamoyl-phenyl) -amide

표제 화합물을 일반적인 과정 II에 따라 5-[3-(2,2,2-트라이플루오로에톡시)-4-트라이플루오로메틸-페닐]-7-트라이플루오로메틸-피라졸로[1,5-a]피리미딘-3-카복실산(실시예 C.10) 및 3-설파모일-페닐아민[상업적으로 입수할 수 있음]으로부터 제조하였다. 황색 고체. MS(ISP) 626.1[(M-H)-]; 융점 233 ℃.The title compound was prepared according to the general procedure II 5- [3- (2,2,2-trifluoroethoxy) -4-trifluoromethyl-phenyl] -7-trifluoromethyl-pyrazolo [1,5 -a] pyrimidine-3-carboxylic acid (Example C.10) and 3-sulfamoyl-phenylamine [commercially available]. Yellow solid. MS (ISP) 626.1 [(M- H)- ]; Melting point 233 ° C.

실시예Example 79 79

7-다이플루오로메틸-5-[3-(2,2,2-트라이플루오로-에톡시)-4-트라이플루오로메틸-페닐]-피라졸로[1,5-a]피리미딘-3-카복실산(3-설파모일-페닐)-아미드7-difluoromethyl-5- [3- (2,2,2-trifluoro-ethoxy) -4-trifluoromethyl-phenyl] -pyrazolo [1,5-a] pyrimidine-3 -Carboxylic acid (3-sulfamoyl-phenyl) -amide

표제 화합물을 일반적인 과정 II에 따라 7-다이플루오로메틸-5-[3-(2,2,2-트 라이플루오로에톡시)-4-트라이플루오로메틸-페닐]-피라졸로[1,5-a]피리미딘-3-카복실산(실시예 C.13) 및 3-설파모일-페닐아민[상업적으로 입수할 수 있음]으로부터 제조하였다. 밝은 황색 고체. MS(ISP) 607.9[(M-H)-]; 융점 241 ℃.The title compound was prepared according to the general procedure II 7-difluoromethyl-5- [3- (2,2,2-trifluoroethoxy) -4-trifluoromethyl-phenyl] -pyrazolo [1, 5-a] pyrimidine-3-carboxylic acid (Example C.13) and 3-sulfamoyl-phenylamine [commercially available]. Light yellow solid. MS (ISP) 607.9 [(M H) ]; Melting point 241 캜.

실시예Example 80 80

5-[3-(2,2,2-트라이플루오로-에톡시)-4-트라이플루오로메틸-페닐]-7-트라이플루오로메틸-피라졸로[1,5-a]피리미딘-3-카복실산(3-메탄설포닐-페닐)-아미드5- [3- (2,2,2-Trifluoro-ethoxy) -4-trifluoromethyl-phenyl] -7-trifluoromethyl-pyrazolo [1,5-a] pyrimidine-3 -Carboxylic acid (3-methanesulfonyl-phenyl) -amide

표제 화합물을 일반적인 과정 II에 따라 5-[3-(2,2,2-트라이플루오로에톡시)-4-트라이플루오로메틸-페닐]-7-트라이플루오로메틸-피라졸로[1,5-a]피리미딘-3-카복실산(실시예 C.10) 및 3-메탄설포닐-페닐아민[하이드로클로라이드로서 상업적으로 입수할 수 있음]으로부터 제조하였다. 황색 고체. MS(ISP) 626.3[M]; 융점 227 ℃.The title compound was prepared according to the general procedure II 5- [3- (2,2,2-trifluoroethoxy) -4-trifluoromethyl-phenyl] -7-trifluoromethyl-pyrazolo [1,5 -a] pyrimidine-3-carboxylic acid (Example C.10) and 3-methanesulfonyl-phenylamine [commercially available as hydrochloride]. Yellow solid. MS (ISP) 626.3 [M]; Melting point 227 ° C.

실시예Example 81 81

7-다이플루오로메틸-5-[3-(2,2,2-트라이플루오로-에톡시)-4-트라이플루오로메틸-페닐]-피라졸로[1,5-a]피리미딘-3-카복실산(3-메탄설포닐-페닐)-아미드7-difluoromethyl-5- [3- (2,2,2-trifluoro-ethoxy) -4-trifluoromethyl-phenyl] -pyrazolo [1,5-a] pyrimidine-3 -Carboxylic acid (3-methanesulfonyl-phenyl) -amide

표제 화합물을 일반적인 과정 II에 따라 7-다이플루오로메틸-5-[3-(2,2,2-트라이플루오로에톡시)-4-트라이플루오로메틸-페닐]-피라졸로[1,5-a]피리미딘-3-카복실산(실시예 C.13) 및 3-메탄설포닐-페닐아민[하이드로클로라이드로서 상업적으로 입수할 수 있음]으로부터 제조하였다. 황색 고체. MS(ISP) 608.3[M]; 융점 207 ℃.The title compound was purified by 7-difluoromethyl-5- [3- (2,2,2-trifluoroethoxy) -4-trifluoromethyl-phenyl] -pyrazolo [1,5 according to General Procedure II. -a] pyrimidine-3-carboxylic acid (Example C.13) and 3-methanesulfonyl-phenylamine [commercially available as hydrochloride]. Yellow solid. MS (ISP) 608.3 [M]; Melting point 207 deg.

실시예Example 82 82

7-트라이플루오로메틸-5-(4-트라이플루오로메틸-페닐)-피라졸로[1,5-a]피리미딘-3-카복실산[3-(2-하이드록시-에틸설파모일)-페닐]-아미드7-Trifluoromethyl-5- (4-trifluoromethyl-phenyl) -pyrazolo [1,5-a] pyrimidine-3-carboxylic acid [3- (2-hydroxy-ethylsulfamoyl) -phenyl ]-amides

표제 화합물을 일반적인 과정 II에 따라 7-트라이플루오로메틸-5-(4-트라이플루오로메틸-페닐)-피라졸로[1,5-a]피리미딘-3-카복실산(실시예 C.2) 및 3-아미노-N-(2-하이드록시-에틸)-벤젠설폰아미드[CAS 436095-41-9]로부터 제조하였다. 황색 고체. MS(ISP) 572.0[(M-H)-]; 융점 227 ℃.The title compound was converted to 7-trifluoromethyl-5- (4-trifluoromethyl-phenyl) -pyrazolo [1,5-a] pyrimidine-3-carboxylic acid (Example C.2) according to General Procedure II. And 3-amino-N- (2-hydroxy-ethyl) -benzenesulfonamide [CAS 436095-41-9]. Yellow solid. MS (ISP) 572.0 [(MH)- ]; Melting point 227 ° C.

실시예Example 83 83

7-다이플루오로메틸-5-(4-트라이플루오로메틸-페닐)-피라졸로[1,5-a]피리미딘-3-카복실산[3-(2-하이드록시-에틸설파모일)-페닐]-아미드7-Difluoromethyl-5- (4-trifluoromethyl-phenyl) -pyrazolo [1,5-a] pyrimidine-3-carboxylic acid [3- (2-hydroxy-ethylsulfamoyl) -phenyl ]-amides

표제 화합물을 일반적인 과정 II에 따라 7-다이플루오로메틸-5-(4-트라이플루오로메틸-페닐)-피라졸로[1,5-a]피리미딘-3-카복실산(실시예 C.1) 및 3-아미노-N-(2-하이드록시-에틸)-벤젠설폰아미드[CAS 436095-41-9]로부터 제조하였다. 밝은 황색 고체. MS(ISP) 554.0[(M-H)-]; 융점 231 ℃.The title compound was converted to 7-difluoromethyl-5- (4-trifluoromethyl-phenyl) -pyrazolo [1,5-a] pyrimidine-3-carboxylic acid (Example C.1) according to General Procedure II. And 3-amino-N- (2-hydroxy-ethyl) -benzenesulfonamide [CAS 436095-41-9]. Light yellow solid. MS (ISP) 554.0 [(M H) ]; Melting point 231 ° C.

실시예Example 84 84

5-(4-클로로-3-메틸-페닐)-7-다이플루오로메틸-피라졸로[1,5-a]피리미딘-3-카복실산(3-설파모일-페닐)-아미드5- (4-Chloro-3-methyl-phenyl) -7-difluoromethyl-pyrazolo [1,5-a] pyrimidine-3-carboxylic acid (3-sulfamoyl-phenyl) -amide

표제 화합물을 일반적인 과정 II에 따라 5-(4-클로로-3-메틸-페닐)-7-다이플루오로메틸-피라졸로[1,5-a]피리미딘-3-카복실산(실시예 C.14) 및 3-설파모일-페닐 아민[상업적으로 입수할 수 있음]으로부터 제조하였다. 황색 고체. MS(EI) 491.1[M]; 융점 264 ℃.The title compound was prepared in 5- (4-chloro-3-methyl-phenyl) -7-difluoromethyl-pyrazolo [1,5-a] pyrimidine-3-carboxylic acid (Example C.14). ) And 3-sulfamoyl-phenyl amine (commercially available). Yellow solid. MS (EI) 491.1 [M]; Melting point 264 캜.

실시예Example 85 85

5-(4-클로로-3-메틸-페닐)-7-다이플루오로메틸-피라졸로[1,5-a]피리미딘-3-카복실산(3-메탄설포닐-페닐)-아미드5- (4-Chloro-3-methyl-phenyl) -7-difluoromethyl-pyrazolo [1,5-a] pyrimidine-3-carboxylic acid (3-methanesulfonyl-phenyl) -amide

표제 화합물을 일반적인 과정 II에 따라 7-다이플루오로메틸-5-(3-메틸-4-클로로-페닐)-피라졸로[1,5-a]피리미딘-3-카복실산(실시예 C.14) 및 3-메탄설포닐-페닐아민[하이드로클로라이드로서 상업적으로 입수할 수 있음]으로부터 제조하였다. 황색 고체. MS(ISP) 488.9[(M-H)-]; 융점 270 ℃.The title compound was converted to 7-difluoromethyl-5- (3-methyl-4-chloro-phenyl) -pyrazolo [1,5-a] pyrimidine-3-carboxylic acid (Example C.14). ) And 3-methanesulfonyl-phenylamine (commercially available as hydrochloride). Yellow solid. MS (ISP) 488.9 [(M H) ]; Melting point 270 캜.

실시예Example 86 86

7-다이플루오로메틸-5-(4-트라이플루오로메틸-페닐)-피라졸로[1,5-a]피리미딘-3-카복실산(3-트라이플루오로메탄설포닐-페닐)-아미드7-Difluoromethyl-5- (4-trifluoromethyl-phenyl) -pyrazolo [1,5-a] pyrimidine-3-carboxylic acid (3-trifluoromethanesulfonyl-phenyl) -amide

표제 화합물을 일반적인 과정 II에 따라 7-다이플루오로메틸-5-(4-트라이플루오로메틸-페닐)-피라졸로[1,5-a]피리미딘-3-카복실산(실시예 C.1) 및 3-트라이플루오로메탄설포닐-페닐아민[상업적으로 입수할 수 있음]으로부터 제조하였다. 황색 고체. MS(ISP) 565.3[(M+H)+]; 융점 207 ℃.The title compound was converted to 7-difluoromethyl-5- (4-trifluoromethyl-phenyl) -pyrazolo [1,5-a] pyrimidine-3-carboxylic acid (Example C.1) according to General Procedure II. And 3-trifluoromethanesulfonyl-phenylamine (commercially available). Yellow solid. MS (ISP) 565.3 [(M + H)+ ]; Melting point 207 deg.

실시예Example 87 87

7-트라이플루오로메틸-5-(4-트라이플루오로메틸-페닐)-피라졸로[1,5-a]피리미딘-3-카복실산(3-트라이플루오로메탄설포닐-페닐)-아미드7-Trifluoromethyl-5- (4-trifluoromethyl-phenyl) -pyrazolo [1,5-a] pyrimidine-3-carboxylic acid (3-trifluoromethanesulfonyl-phenyl) -amide

표제 화합물을 일반적인 과정 II에 따라 7-트라이플루오로메틸-5-(4-트라이플루오로메틸-페닐)-피라졸로[1,5-a]피리미딘-3-카복실산(실시예 C.2) 및 3-트라이플루오로메탄설포닐-페닐아민[상업적으로 입수할 수 있음]으로부터 제조하였다. 황색 고체. MS(ISP) 583.3[(M+H)+]; 융점 207 ℃.The title compound was converted to 7-trifluoromethyl-5- (4-trifluoromethyl-phenyl) -pyrazolo [1,5-a] pyrimidine-3-carboxylic acid (Example C.2) according to General Procedure II. And 3-trifluoromethanesulfonyl-phenylamine (commercially available). Yellow solid. MS (ISP) 583.3 [(M + H)+ ]; Melting point 207 deg.

실시예Example 88 88

7-다이플루오로메틸-5-(4-트라이플루오로메틸-페닐)-피라졸로[1,5-a]피리미딘-3-카복실산 {3-[(피리딘-4-일메틸)-설파모일]-페닐}-아미드7-Difluoromethyl-5- (4-trifluoromethyl-phenyl) -pyrazolo [1,5-a] pyrimidine-3-carboxylic acid {3-[(pyridin-4-ylmethyl) -sulfamoyl ] -Phenyl} -amide

표제 화합물을 일반적인 과정 II에 따라 7-다이플루오로메틸-5-(4-트라이플루오로메틸-페닐)-피라졸로[1,5-a]피리미딘-3-카복실산(실시예 C.1) 및 3-아미노-N-피리딘-4-일메틸-벤젠설폰아미드(실시예 B.3)로부터 제조하였다. 황색 고체. MS(ISP) 601.2[(M-H)-]; 융점 221 ℃.The title compound was converted to 7-difluoromethyl-5- (4-trifluoromethyl-phenyl) -pyrazolo [1,5-a] pyrimidine-3-carboxylic acid (Example C.1) according to General Procedure II. And 3-amino-N-pyridin-4-ylmethyl-benzenesulfonamide (Example B.3). Yellow solid. MS (ISP) 601.2 [(M H) ]; Melting point 221 캜.

실시예Example 89 89

7-트라이플루오로메틸-5-(4-트라이플루오로메틸-페닐)-피라졸로[1,5-a]피리미딘-3-카복실산 {3-[(피리딘-4-일메틸)-설파모일]-페닐}-아미드7-Trifluoromethyl-5- (4-trifluoromethyl-phenyl) -pyrazolo [1,5-a] pyrimidine-3-carboxylic acid {3-[(pyridin-4-ylmethyl) -sulfamoyl ] -Phenyl} -amide

표제 화합물을 일반적인 과정 II에 따라 7-트라이플루오로메틸-5-(4-트라이플루오로메틸-페닐)-피라졸로[1,5-a]피리미딘-3-카복실산(실시예 C.2) 및 3-아미노-N-피리딘-4-일메틸-벤젠설폰아미드(실시예 B.3)로부터 제조하였다. 황색 고체. MS(ISP) 619.2[(M-H)-]; 융점 251 ℃.The title compound was converted to 7-trifluoromethyl-5- (4-trifluoromethyl-phenyl) -pyrazolo [1,5-a] pyrimidine-3-carboxylic acid (Example C.2) according to General Procedure II. And 3-amino-N-pyridin-4-ylmethyl-benzenesulfonamide (Example B.3). Yellow solid. MS (ISP) 619.2 [(M- H)- ]; Melting point 251 ° C.

실시예Example 90 90

7-다이플루오로메틸-5-(4-트라이플루오로메틸-페닐)-피라졸로[1,5-a]피리미딘-3-카복실산 [3-(2-하이드록시-에탄설포닐)-페닐]-아미드7-Difluoromethyl-5- (4-trifluoromethyl-phenyl) -pyrazolo [1,5-a] pyrimidine-3-carboxylic acid [3- (2-hydroxy-ethanesulfonyl) -phenyl ]-amides

표제 화합물을 일반적인 과정 II에 따라 7-다이플루오로메틸-5-(4-트라이플루오로메틸-페닐)-피라졸로[1,5-a]피리미딘-3-카복실산(실시예 C.1) 및 3-(2-하이드록시-에탄설포닐)-아닐린[상업적으로 입수할 수 있음]으로부터 제조하였다. 황색 고체. MS(ISP) 541.4[(M+H)+]; 융점 205 ℃.The title compound was converted to 7-difluoromethyl-5- (4-trifluoromethyl-phenyl) -pyrazolo [1,5-a] pyrimidine-3-carboxylic acid (Example C.1) according to General Procedure II. And 3- (2-hydroxy-ethanesulfonyl) -aniline (commercially available). Yellow solid. MS (ISP) 541.4 [(M + H)+ ]; Melting point 205 캜.

실시예Example 91 91

7-트라이플루오로메틸-5-(4-트라이플루오로메틸-페닐)-피라졸로[1,5-a]피리미딘-3-카복실산 [3-(2-하이드록시-에탄설포닐)-페닐]-아미드7-Trifluoromethyl-5- (4-trifluoromethyl-phenyl) -pyrazolo [1,5-a] pyrimidine-3-carboxylic acid [3- (2-hydroxy-ethanesulfonyl) -phenyl ]-amides

표제 화합물을 일반적인 과정 II에 따라 7-트라이플루오로메틸-5-(4-트라이플루오로메틸-페닐)-피라졸로[1,5-a]피리미딘-3-카복실산(실시예 C.1) 및 3-(2-하이드록시-에탄설포닐)-아닐린[상업적으로 입수할 수 있음]으로부터 제조하였다. 황색 고체. MS(ISP) 559.4[(M+H)+]; 융점 237 ℃.The title compound was converted to 7-trifluoromethyl-5- (4-trifluoromethyl-phenyl) -pyrazolo [1,5-a] pyrimidine-3-carboxylic acid (Example C.1) according to General Procedure II. And 3- (2-hydroxy-ethanesulfonyl) -aniline (commercially available). Yellow solid. MS (ISP) 559.4 [(M + H)+ ]; Melting point 237 ° C.

실시예Example 92 92

7-다이플루오로메틸-5-(4-트라이플루오로메틸-페닐)-피라졸로[1,5-a]피리미딘-3-카복실산 (3-설파모일메틸-페닐)-아미드7-Difluoromethyl-5- (4-trifluoromethyl-phenyl) -pyrazolo [1,5-a] pyrimidine-3-carboxylic acid (3-sulfamoylmethyl-phenyl) -amide

표제 화합물을 일반적인 과정 II에 따라 7-다이플루오로메틸-5-(4-트라이플루오로메틸-페닐)-피라졸로[1,5-a]피리미딘-3-카복실산(실시예 C.1) 및 3-(2-하이드록시-에탄설포닐)-아닐린[CAS-Nr. 344750-15-8; 상업적으로 입수할 수 있는 3-나 이트로-페닐메탄-염화 설포닐로부터 제조]으로부터 제조하였다. 황색 고체. MS(ISP) 524.0[(M-H)-]; 융점 280 ℃.The title compound was converted to 7-difluoromethyl-5- (4-trifluoromethyl-phenyl) -pyrazolo [1,5-a] pyrimidine-3-carboxylic acid (Example C.1) according to General Procedure II. And 3- (2-hydroxy-ethanesulfonyl) -aniline [CAS-Nr. 344750-15-8; Prepared from commercially available 3-nitro-phenylmethane-sulfonyl chloride. Yellow solid. MS (ISP) 524.0 [(M H) ]; Melting point 280 캜.

실시예Example 93 93

7-트라이플루오로메틸-5-(4-트라이플루오로메틸-페닐)-피라졸로[1,5-a]피리미딘-3-카복실산 (3-설파모일메틸-페닐)-아미드7-Trifluoromethyl-5- (4-trifluoromethyl-phenyl) -pyrazolo [1,5-a] pyrimidine-3-carboxylic acid (3-sulfamoylmethyl-phenyl) -amide

표제 화합물을 일반적인 과정 II에 따라 7-트라이플루오로메틸-5-(4-트라이플루오로메틸-페닐)-피라졸로[1,5-a]피리미딘-3-카복실산(실시예 C.2) 및 3-(2-하이드록시-에탄설포닐)-아닐린[CAS-Nr. 344750-15-8; 상업적으로 입수할 수 있는 3-나이트로-페닐메탄-염화 설포닐로부터 제조]으로부터 제조하였다. 황색 고체. MS(ISP) 542.0[(M-H)-]; 융점 298 ℃.The title compound was converted to 7-trifluoromethyl-5- (4-trifluoromethyl-phenyl) -pyrazolo [1,5-a] pyrimidine-3-carboxylic acid (Example C.2) according to General Procedure II. And 3- (2-hydroxy-ethanesulfonyl) -aniline [CAS-Nr. 344750-15-8; Prepared from commercially available 3-nitro-phenylmethane-sulfonyl chloride. Yellow solid. MS (ISP) 542.0 [(M H) ]; Melting point 298 ° C.

실시예Example 94 94

7-다이플루오로메틸-5-(4-트라이플루오로메틸-페닐)-피라졸로[1,5-a]피리미딘-3-카복실산 [3-(2,2-다이메틸-프로필설파모일)-페닐]-아미드7-Difluoromethyl-5- (4-trifluoromethyl-phenyl) -pyrazolo [1,5-a] pyrimidine-3-carboxylic acid [3- (2,2-dimethyl-propylsulfamoyl) -Phenyl] -amide

표제 화합물을 일반적인 과정 II에 따라 7-다이플루오로메틸-5-(4-트라이플루오로메틸-페닐)-피라졸로[1,5-a]피리미딘-3-카복실산(실시예 C.1) 및 3-아미노-N-(2,2-다이메틸-프로필)-벤젠설폰아미드(실시예 B.4)로부터 제조하였다. 밝은 황색 고체. MS(ISP) 580.3[(M-H)-]; 융점 208 ℃.The title compound was converted to 7-difluoromethyl-5- (4-trifluoromethyl-phenyl) -pyrazolo [1,5-a] pyrimidine-3-carboxylic acid (Example C.1) according to General Procedure II. And 3-amino-N- (2,2-dimethyl-propyl) -benzenesulfonamide (Example B.4). Light yellow solid. MS (ISP) 580.3 [(M H) ]; Melting point 208 캜.

실시예Example 95 95

7-다이플루오로메틸-5-(4-트라이플루오로메틸-페닐)-피라졸로[1,5-a]피리미딘-3-카 복실산 (3-3급-부틸설파모일-페닐)-아미드7-Difluoromethyl-5- (4-trifluoromethyl-phenyl) -pyrazolo [1,5-a] pyrimidine-3-carboxylic acid (3-tert-butylsulfamoyl-phenyl)- amides

표제 화합물을 일반적인 과정 II에 따라 7-다이플루오로메틸-5-(4-트라이플루오로메틸-페닐)-피라졸로[1,5-a]피리미딘-3-카복실산(실시예 C.1) 및 3-아미노-N-3급-부틸-벤젠설폰아미드[CAS 608523-94-0]로부터 제조하였다. 밝은 황색 고체. MS(ISP) 566.2[(M-H)-]; 융점 228 ℃.The title compound was converted to 7-difluoromethyl-5- (4-trifluoromethyl-phenyl) -pyrazolo [1,5-a] pyrimidine-3-carboxylic acid (Example C.1) according to General Procedure II. And 3-amino-N-tert-butyl-benzenesulfonamide [CAS 608523-94-0]. Light yellow solid. MS (ISP) 566.2 [(MH)- ]; Melting point 228 ° C.

실시예Example 96 96

7-트라이플루오로메틸-5-(4-트라이플루오로메틸-페닐)-피라졸로[1,5-a]피리미딘-3-카복실산 [3-(2,2-다이메틸-프로필설파모일)-페닐]-아미드7-Trifluoromethyl-5- (4-trifluoromethyl-phenyl) -pyrazolo [1,5-a] pyrimidine-3-carboxylic acid [3- (2,2-dimethyl-propylsulfamoyl) -Phenyl] -amide

표제 화합물을 일반적인 과정 II에 따라 7-트라이플루오로메틸-5-(4-트라이플루오로메틸-페닐)-피라졸로[1,5-a]피리미딘-3-카복실산(실시예 C.2) 및 3-아미노-N-(2,2-다이메틸-프로필)-벤젠설폰아미드(실시예 B.4)로부터 제조하였다. 밝은 황색 고체. MS(ISP) 598.1[(M-H)-]; 융점 231 ℃.The title compound was converted to 7-trifluoromethyl-5- (4-trifluoromethyl-phenyl) -pyrazolo [1,5-a] pyrimidine-3-carboxylic acid (Example C.2) according to General Procedure II. And 3-amino-N- (2,2-dimethyl-propyl) -benzenesulfonamide (Example B.4). Light yellow solid. MS (ISP) 598.1 [(MH)- ]; Melting point 231 ° C.

실시예Example 97 97

7-트라이플루오로메틸-5-(4-트라이플루오로메틸-페닐)-피라졸로[1,5-a]피리미딘-3-카복실산 (3-3급-부틸설파모일-페닐)-아미드7-Trifluoromethyl-5- (4-trifluoromethyl-phenyl) -pyrazolo [1,5-a] pyrimidine-3-carboxylic acid (3-tert-butylsulfamoyl-phenyl) -amide

표제 화합물을 일반적인 과정 II에 따라 7-트라이플루오로메틸-5-(4-트라이플루오로메틸-페닐)-피라졸로[1,5-a]피리미딘-3-카복실산(실시예 C.2) 및 3-아미노-N-3급-부틸-벤젠설폰아미드[CAS 608523-94-0]로부터 제조하였다. 밝은 황색 고체. MS(ISP) 584.1[(M-H)-]; 융점 232 ℃.The title compound was converted to 7-trifluoromethyl-5- (4-trifluoromethyl-phenyl) -pyrazolo [1,5-a] pyrimidine-3-carboxylic acid (Example C.2) according to General Procedure II. And 3-amino-N-tert-butyl-benzenesulfonamide [CAS 608523-94-0]. Light yellow solid. MS (ISP) 584.1 [(M H) ]; Melting point 232 캜.

실시예Example 98 98

5-(3-클로로-4-트라이플루오로메틸-페닐)-7-다이플루오로메틸-피라졸로[1,5-a]피리미딘-3-카복실산 (3-설파모일-페닐)-아미드5- (3-Chloro-4-trifluoromethyl-phenyl) -7-difluoromethyl-pyrazolo [1,5-a] pyrimidine-3-carboxylic acid (3-sulfamoyl-phenyl) -amide

표제 화합물을 일반적인 과정 II에 따라 5-(3-클로로-4-트라이플루오로메틸-페닐)-7-다이플루오로메틸-피라졸로[1,5-a]피리미딘-3-카복실산(실시예 C.15) 및 3-설파모일-페닐아민[상업적으로 입수할 수 있음]으로부터 제조하였다. 갈색 고체. MS(ISP) 543.9[(M-H)-]; 융점 272 ℃.The title compound was prepared in 5- (3-chloro-4-trifluoromethyl-phenyl) -7-difluoromethyl-pyrazolo [1,5-a] pyrimidine-3-carboxylic acid according to the general procedure II (Example C.15) and 3-sulfamoyl-phenylamine (commercially available). Brown solid. MS (ISP) 543.9 [(M H) ]; Melting point 272 ° C.

실시예Example 99 99

7-다이플루오로메틸-5-(3-플루오로-4-트라이플루오로메틸-페닐)-피라졸로[1,5-a]피리미딘-3-카복실산 (2-설파모일-페닐)-아미드7-Difluoromethyl-5- (3-fluoro-4-trifluoromethyl-phenyl) -pyrazolo [1,5-a] pyrimidine-3-carboxylic acid (2-sulfamoyl-phenyl) -amide

표제 화합물을 일반적인 과정 II에 따라 7-다이플루오로메틸-5-(3-플루오로-4-트라이플루오로메틸-페닐)-피라졸로[1,5-a]피리미딘-3-카복실산(실시예 C.16) 및 3-설파모일-페닐아민[상업적으로 입수할 수 있음]으로부터 제조하였다. 황색 고체. MS(ISP) 528.0[(M-H)-]; 융점 262 ℃.The title compound was subjected to 7-difluoromethyl-5- (3-fluoro-4-trifluoromethyl-phenyl) -pyrazolo [1,5-a] pyrimidine-3-carboxylic acid according to the general procedure II. Example C.16) and 3-sulfamoyl-phenylamine (commercially available). Yellow solid. MS (ISP) 528.0 [(MH)- ]; Melting point 262 ° C.

실시예Example 100 100

5-(3-클로로-4-트라이플루오로메틸-페닐)-7-트라이플루오로메틸-피라졸로[1,5-a]피리미딘-3-카복실산 (3-설파모일-페닐)-아미드5- (3-Chloro-4-trifluoromethyl-phenyl) -7-trifluoromethyl-pyrazolo [1,5-a] pyrimidine-3-carboxylic acid (3-sulfamoyl-phenyl) -amide

표제 화합물을 일반적인 과정 II에 따라 5-(3-클로로-4-트라이플루오로메틸-페닐)-7-트라이플루오로메틸-피라졸로[1,5-a]피리미딘-3-카복실산(실시예 C.17) 및 3-설파모일-페닐아민[상업적으로 입수할 수 있음]으로부터 제조하였다. 황색 고체. MS(ISP) 562.1[(M+H)+]; 융점 287 ℃.The title compound was prepared according to the general procedure II in 5- (3-chloro-4-trifluoromethyl-phenyl) -7-trifluoromethyl-pyrazolo [1,5-a] pyrimidine-3-carboxylic acid (Example C.17) and 3-sulfamoyl-phenylamine (commercially available). Yellow solid. MS (ISP) 562.1 [(M + H)+ ]; Melting point 287 ° C.

실시예Example 101 101

5-(3-플루오로-4-트라이플루오로메틸-페닐)-7-트라이플루오로메틸-피라졸로[1,5-a]피리미딘-3-카복실산 (3-설파모일-페닐)-아미드5- (3-Fluoro-4-trifluoromethyl-phenyl) -7-trifluoromethyl-pyrazolo [1,5-a] pyrimidine-3-carboxylic acid (3-sulfamoyl-phenyl) -amide

표제 화합물을 일반적인 과정 II에 따라 5-(3-풀루오로로-4-트라이플루오로메틸-페닐)-7-트라이플루오로메틸-피라졸로[1,5-a]피리미딘-3-카복실산(실시예 C.18) 및 3-설파모일-페닐아민[상업적으로 입수할 수 있음]으로부터 제조하였다. 황색 고체. MS(ISP) 546.1[(M+H)+]; 융점 259 ℃.The title compound was prepared according to the general procedure II. 5- (3-Pluorouro-4-trifluoromethyl-phenyl) -7-trifluoromethyl-pyrazolo [1,5-a] pyrimidine-3-carboxylic acid (Example C.18) and 3-sulfamoyl-phenylamine (commercially available). Yellow solid. MS (ISP) 546.1 [(M + H)+ ]; Melting point 259 ° C.

실시예Example 102 102

5-(3-클로로-4-트라이플루오로메틸-페닐)-7-다이플루오로메틸-피라졸로[1,5-a]피리미딘-3-카복실산 (3-메탄설포닐-페닐)-아미드5- (3-Chloro-4-trifluoromethyl-phenyl) -7-difluoromethyl-pyrazolo [1,5-a] pyrimidine-3-carboxylic acid (3-methanesulfonyl-phenyl) -amide

표제 화합물을 일반적인 과정 II에 따라 5-(3-클로로-4-트라이플루오로메틸-페닐)-7-다이플루오로메틸-피라졸로[1,5-a]피리미딘-3-카복실산(실시예 C.15) 및 3-메탄설포닐-페닐아민[하이드로클로라이드로서 상업적으로 입수할 수 있음]으로부터 제조하였다. 밝은 갈색 고체. MS(ISP) 543.0[(M+H)+]; 융점 228 ℃.The title compound was prepared in 5- (3-chloro-4-trifluoromethyl-phenyl) -7-difluoromethyl-pyrazolo [1,5-a] pyrimidine-3-carboxylic acid according to the general procedure II (Example C.15) and 3-methanesulfonyl-phenylamine (commercially available as hydrochloride). Light brown solid. MS (ISP) 543.0 [(M + H)+ ]; Melting point 228 ° C.

실시예Example 103 103

7-다이플루오로메틸-5-(3-플루오로-4-트라이플루오로메틸-페닐)-피라졸로[1,5-a]피리미딘-3-카복실산 (3-메탄설포닐-페닐)-아미드7-Difluoromethyl-5- (3-fluoro-4-trifluoromethyl-phenyl) -pyrazolo [1,5-a] pyrimidine-3-carboxylic acid (3-methanesulfonyl-phenyl)- amides

표제 화합물을 일반적인 과정 II에 따라 7-다이플루오로메틸-5-(3-플루오로-4-트라이플루오로메틸-페닐)-피라졸로[1,5-a]피리미딘-3-카복실산(실시예 C.16) 및 3-메탄설포닐-페닐아민[하이드로클로라이드로서 상업적으로 입수할 수 있음]으로부터 제조하였다. 밝은 갈색 고체. MS(ISP) 527.0[(M+H)+]; 융점 238 ℃.The title compound was subjected to 7-difluoromethyl-5- (3-fluoro-4-trifluoromethyl-phenyl) -pyrazolo [1,5-a] pyrimidine-3-carboxylic acid according to the general procedure II. Example C.16) and 3-methanesulfonyl-phenylamine (commercially available as hydrochloride). Light brown solid. MS (ISP) 527.0 [(M + H)+ ]; Melting point 238 ° C.

실시예Example 104 104

5-(3-클로로-4-트라이플루오로메틸-페닐)-7-트라이플루오로메틸-피라졸로[1,5-a]피리미딘-3-카복실산 (3-메탄설포닐-페닐)-아미드5- (3-Chloro-4-trifluoromethyl-phenyl) -7-trifluoromethyl-pyrazolo [1,5-a] pyrimidine-3-carboxylic acid (3-methanesulfonyl-phenyl) -amide

표제 화합물을 일반적인 과정 II에 따라 5-(3-클로로-4-트라이플루오로메틸-페닐)-7-트라이플루오로메틸-피라졸로[1,5-a]피리미딘-3-카복실산(실시예 C.17) 및 3-메탄설포닐-페닐아민[하이드로클로라이드로서 상업적으로 입수할 수 있음]으로부터 제조하였다. 황색 고체. MS(ISP) 561.1[(M+H)+]; 융점 268 ℃.The title compound was prepared according to the general procedure II in 5- (3-chloro-4-trifluoromethyl-phenyl) -7-trifluoromethyl-pyrazolo [1,5-a] pyrimidine-3-carboxylic acid (Example C.17) and 3-methanesulfonyl-phenylamine (commercially available as hydrochloride). Yellow solid. MS (ISP) 561.1 [(M + H)+ ]; Melting point 268 ° C.

실시예Example 105 105

5-(3-플루오로-4-트라이플루오로메틸-페닐)-7-트라이플루오로메틸-피라졸로[1,5-a]피리미딘-3-카복실산 (3-메탄설포닐-페닐)-아미드5- (3-Fluoro-4-trifluoromethyl-phenyl) -7-trifluoromethyl-pyrazolo [1,5-a] pyrimidine-3-carboxylic acid (3-methanesulfonyl-phenyl)- amides

표제 화합물을 일반적인 과정 II에 따라 5-(3-플루오로로-4-트라이플루오로메틸-페닐)-7-트라이플루오로메틸-피라졸로[1,5-a]피리미딘-3-카복실산(실시예 C.18) 및 3-메탄설포닐-페닐아민[하이드로클로라이드로서 상업적으로 입수할 수 있음]으로부터 제조하였다. 황색 고체. MS(ISP) 545.1[(M+H)+]; 융점 246 ℃.The title compound was prepared according to the general procedure II in 5- (3-fluoro-4-trifluoromethyl-phenyl) -7-trifluoromethyl-pyrazolo [1,5-a] pyrimidine-3-carboxylic acid ( Example C.18) and 3-methanesulfonyl-phenylamine (commercially available as hydrochloride). Yellow solid. MS (ISP) 545.1 [(M + H)+ ]; Melting point 246 ° C.

실시예Example 106 106

7-다이플루오로메틸-5-(4-트라이플루오로메틸-페닐)-피라졸로[1,5-a]피리미딘-3-카복실산 {3-[(피리딘-3-일메틸)-설파모일]-페닐}-아미드7-Difluoromethyl-5- (4-trifluoromethyl-phenyl) -pyrazolo [1,5-a] pyrimidine-3-carboxylic acid {3-[(pyridin-3-ylmethyl) -sulfamoyl ] -Phenyl} -amide

표제 화합물을 일반적인 과정 II에 따라 7-다이플루오로메틸-5-(4-트라이플루오로메틸-페닐)-피라졸로[1,5-a]피리미딘-3-카복실산(실시예 C.1) 및 3-아미노-N-피리딘-3-일메틸-벤젠설폰아미드(실시예 B.5)로부터 제조하였다. 황색 고체. MS(ISP) 603.2[(M+H)+]; 융점 256 ℃.The title compound was converted to 7-difluoromethyl-5- (4-trifluoromethyl-phenyl) -pyrazolo [1,5-a] pyrimidine-3-carboxylic acid (Example C.1) according to General Procedure II. And 3-amino-N-pyridin-3-ylmethyl-benzenesulfonamide (Example B.5). Yellow solid. MS (ISP) 603.2 [(M + H)+ ]; Melting point 256 ° C.

실시예Example 107 107

7-트라이플루오로메틸-5-(4-트라이플루오로메틸-페닐)-피라졸로[1,5-a]피리미딘-3-카복실산 {3-[(피리딘-3-일메틸)-설파모일]-페닐}-아미드7-Trifluoromethyl-5- (4-trifluoromethyl-phenyl) -pyrazolo [1,5-a] pyrimidine-3-carboxylic acid {3-[(pyridin-3-ylmethyl) -sulfamoyl ] -Phenyl} -amide

표제 화합물을 일반적인 과정 II에 따라 7-트라이플루오로메틸-5-(4-트라이플루오로메틸-페닐)-피라졸로[1,5-a]피리미딘-3-카복실산(실시예 C.2) 및 3-아미노-N-피리딘-3-일메틸-벤젠설폰아미드(실시예 B.5)로부터 제조하였다. 황색 고체. MS(ISP) 619.2[(M-H)-]; 융점 257 ℃.The title compound was converted to 7-trifluoromethyl-5- (4-trifluoromethyl-phenyl) -pyrazolo [1,5-a] pyrimidine-3-carboxylic acid (Example C.2) according to General Procedure II. And 3-amino-N-pyridin-3-ylmethyl-benzenesulfonamide (Example B.5). Yellow solid. MS (ISP) 619.2 [(M- H)- ]; Melting point 257 ° C.

실시예Example 108 108

7-다이플루오로메틸-5-(4-트라이플루오로메틸-페닐)-피라졸로[1,5-a]피리미딘-3-카복실산 {3-[(피리딘-2-일메틸)-설파모일]-페닐}-아미드7-Difluoromethyl-5- (4-trifluoromethyl-phenyl) -pyrazolo [1,5-a] pyrimidine-3-carboxylic acid {3-[(pyridin-2-ylmethyl) -sulfamoyl ] -Phenyl} -amide

표제 화합물을 일반적인 과정 II에 따라 7-다이플루오로메틸-5-(4-트라이플루오로메틸-페닐)-피라졸로[1,5-a]피리미딘-3-카복실산(실시예 C.1) 및 3-아미노-N-피리딘-2-일메틸-벤젠설폰아미드(실시예 B.6)로부터 제조하였다. 황색 고체. MS(ISP) 601.1[(M-H)-]; 융점 208 ℃.The title compound was converted to 7-difluoromethyl-5- (4-trifluoromethyl-phenyl) -pyrazolo [1,5-a] pyrimidine-3-carboxylic acid (Example C.1) according to General Procedure II. And 3-amino-N-pyridin-2-ylmethyl-benzenesulfonamide (Example B.6). Yellow solid. MS (ISP) 601.1 [(M H) ]; Melting point 208 캜.

실시예Example 109 109

7-트라이플루오로메틸-5-(4-트라이플루오로메틸-페닐)-피라졸로[1,5-a]피리미딘-3-카복실산 {3-[(피리딘-2-일메틸)-설파모일]-페닐}-아미드7-Trifluoromethyl-5- (4-trifluoromethyl-phenyl) -pyrazolo [1,5-a] pyrimidine-3-carboxylic acid {3-[(pyridin-2-ylmethyl) -sulfamoyl ] -Phenyl} -amide

표제 화합물을 일반적인 과정 II에 따라 7-트라이플루오로메틸-5-(4-트라이플루오로메틸-페닐)-피라졸로[1,5-a]피리미딘-3-카복실산(실시예 C.2) 및 3-아미노-N-피리딘-2-일메틸-벤젠설폰아미드(실시예 B.6)로부터 제조하였다. 황색 고체. MS(ISP) 619.3[(M-H)-]; 융점 229 ℃.The title compound was converted to 7-trifluoromethyl-5- (4-trifluoromethyl-phenyl) -pyrazolo [1,5-a] pyrimidine-3-carboxylic acid (Example C.2) according to General Procedure II. And 3-amino-N-pyridin-2-ylmethyl-benzenesulfonamide (Example B.6). Yellow solid. MS (ISP) 619.3 [(M H) ]; Melting point 229 ° C.

실시예Example 110 110

7-다이플루오로메틸-5-(4-트라이플루오로메틸-페닐)-피라졸로[1,5-a]피리미딘-3-카복실산 [3-(2-피리딘-4-일-에틸설파모일)-페닐]-아미드7-Difluoromethyl-5- (4-trifluoromethyl-phenyl) -pyrazolo [1,5-a] pyrimidine-3-carboxylic acid [3- (2-pyridin-4-yl-ethylsulfamoyl ) -Phenyl] -amide

표제 화합물을 일반적인 과정 II에 따라 7-다이플루오로메틸-5-(4-트라이플루오로메틸-페닐)-피라졸로[1,5-a]피리미딘-3-카복실산(실시예 C.1) 및 3-아미노-N-(2-피리딘-4-일-에틸)-벤젠설폰아미드(실시예 B.7)로부터 제조하였다. 황색 고체. MS(ISP) 615.3[(M-H)-]; 융점 238 ℃.The title compound was converted to 7-difluoromethyl-5- (4-trifluoromethyl-phenyl) -pyrazolo [1,5-a] pyrimidine-3-carboxylic acid (Example C.1) according to General Procedure II. And 3-amino-N- (2-pyridin-4-yl-ethyl) -benzenesulfonamide (Example B.7). Yellow solid. MS (ISP) 615.3 [(M H) ]; Melting point 238 ° C.

실시예Example 111 111

7-트라이플루오로메틸-5-(4-트라이플루오로메틸-페닐)-피라졸로[1,5-a]피리미딘-3-카복실산 [3-(2-피리딘-4-일-에틸설파모일)-페닐]-아미드7-Trifluoromethyl-5- (4-trifluoromethyl-phenyl) -pyrazolo [1,5-a] pyrimidine-3-carboxylic acid [3- (2-pyridin-4-yl-ethylsulfamoyl ) -Phenyl] -amide

표제 화합물을 일반적인 과정 II에 따라 7-트라이플루오로메틸-5-(4-트라이 플루오로메틸-페닐)-피라졸로[1,5-a]피리미딘-3-카복실산(실시예 C.2) 및 3-아미노-N-(2-피리딘-4-일-에틸)-벤젠설폰아미드(실시예 B.7)로부터 제조하였다. 황색 고체. MS(ISP) 633.0[(M-H)-]; 융점 236 ℃.The title compound was converted to 7-trifluoromethyl-5- (4-trifluoromethyl-phenyl) -pyrazolo [1,5-a] pyrimidine-3-carboxylic acid according to General Procedure II (Example C.2). And 3-amino-N- (2-pyridin-4-yl-ethyl) -benzenesulfonamide (Example B.7). Yellow solid. MS (ISP) 633.0 [(M H) ]; Melting point 236 ° C.

실시예Example 112 112

7-다이플루오로메틸-5-(4-트라이플루오로메틸-페닐)-피라졸로[1,5-a]피리미딘-3-카복실산 [3-(2-하이드록시-1,1-다이메틸-에틸설파모일)-페닐]-아미드7-Difluoromethyl-5- (4-trifluoromethyl-phenyl) -pyrazolo [1,5-a] pyrimidine-3-carboxylic acid [3- (2-hydroxy-1,1-dimethyl -Ethylsulfamoyl) -phenyl] -amide

표제 화합물을 일반적인 과정 II에 따라 7-다이플루오로메틸-5-(4-트라이플루오로메틸-페닐)-피라졸로[1,5-a]피리미딘-3-카복실산(실시예 C.1) 및 3-아미노-N-(2-하이드록시-1,1-다이메틸-에틸)-벤젠설폰아미드(실시예 B.8)로부터 제조하였다. 오렌지색 고체. MS(ISP) 582.0[(M-H)-]; 융점 232 ℃.The title compound was converted to 7-difluoromethyl-5- (4-trifluoromethyl-phenyl) -pyrazolo [1,5-a] pyrimidine-3-carboxylic acid (Example C.1) according to General Procedure II. And 3-amino-N- (2-hydroxy-1,1-dimethyl-ethyl) -benzenesulfonamide (Example B.8). Orange solid. MS (ISP) 582.0 [(M H) ]; Melting point 232 캜.

실시예Example 113 113

7-트라이플루오로메틸-5-(4-트라이플루오로메틸-페닐)-피라졸로[1,5-a]피리미딘-3-카복실산 [3-(2-하이드록시-1,1-다이메틸-에틸설파모일)-페닐]-아미드7-Trifluoromethyl-5- (4-trifluoromethyl-phenyl) -pyrazolo [1,5-a] pyrimidine-3-carboxylic acid [3- (2-hydroxy-1,1-dimethyl -Ethylsulfamoyl) -phenyl] -amide

표제 화합물을 일반적인 과정 II에 따라 7-트라이플루오로메틸-5-(4-트라이플루오로메틸-페닐)-피라졸로[1,5-a]피리미딘-3-카복실산(실시예 C.2) 및 3-아미노-N-(2-하이드록시-1,1-다이메틸-에틸)-벤젠설폰아미드(실시예 B.8)로부터 제조하였다. 황색 고체. MS(ISP) 600.1[(M-H)-]; 융점 227 ℃.The title compound was converted to 7-trifluoromethyl-5- (4-trifluoromethyl-phenyl) -pyrazolo [1,5-a] pyrimidine-3-carboxylic acid (Example C.2) according to General Procedure II. And 3-amino-N- (2-hydroxy-1,1-dimethyl-ethyl) -benzenesulfonamide (Example B.8). Yellow solid. MS (ISP) 600.1 [(M H) ]; Melting point 227 ° C.

실시예Example 114 114

7-다이플루오로메틸-5-(4-트라이플루오로메톡시-페닐)-피라졸로[1,5-a]피리미딘-3- 카복실산 (3-설파모일-페닐)-아미드7-Difluoromethyl-5- (4-trifluoromethoxy-phenyl) -pyrazolo [1,5-a] pyrimidine-3-carboxylic acid (3-sulfamoyl-phenyl) -amide

표제 화합물을 일반적인 과정 II에 따라 7-다이플루오로메틸-5-(4-트라이플루오로메톡시-페닐)-피라졸로[1,5-a]피리미딘-3-카복실산(실시예 C.20) 및 3-설파모일-페닐아민[상업적으로 입수할 수 있음]으로부터 제조하였다. 황색 고체. MS(ISP) 526.2[(M-H)-]; 융점 231 ℃.The title compound was converted to 7-difluoromethyl-5- (4-trifluoromethoxy-phenyl) -pyrazolo [1,5-a] pyrimidine-3-carboxylic acid according to General Procedure II (Example C.20). And 3-sulfamoyl-phenylamine (commercially available). Yellow solid. MS (ISP) 526.2 [(MH)- ]; Melting point 231 ° C.

실시예Example 115 115

5-(4-트라이플루오로메톡시-페닐)-7-트라이플루오로메틸-피라졸로[1,5-a]피리미딘-3-카복실산 (3-설파모일-페닐)-아미드5- (4-Trifluoromethoxy-phenyl) -7-trifluoromethyl-pyrazolo [1,5-a] pyrimidine-3-carboxylic acid (3-sulfamoyl-phenyl) -amide

표제 화합물을 일반적인 과정 II에 따라 5-(4-트라이플루오로메톡시-페닐)-7-트라이플루오로메틸-피라졸로[1,5-a]피리미딘-3-카복실산(실시예 C.19) 및 3-설파모일-페닐아민[상업적으로 입수할 수 있음]으로부터 제조하였다. 황색 고체. MS(ISP) 544.2[(M-H)-]; 융점 257 ℃.The title compound was purified by 5- (4-trifluoromethoxy-phenyl) -7-trifluoromethyl-pyrazolo [1,5-a] pyrimidine-3-carboxylic acid (Example C.19). And 3-sulfamoyl-phenylamine (commercially available). Yellow solid. MS (ISP) 544.2 [(MH)- ]; Melting point 257 ° C.

실시예Example 116 116

7-다이플루오로메틸-5-(4-트라이플루오로메톡시-페닐)-피라졸로[1,5-a]피리미딘-3-카복실산 (3-메탄설포닐-페닐)-아미드7-Difluoromethyl-5- (4-trifluoromethoxy-phenyl) -pyrazolo [1,5-a] pyrimidine-3-carboxylic acid (3-methanesulfonyl-phenyl) -amide

표제 화합물을 일반적인 과정 II에 따라 7-다이플루오로메틸-5-(4-트라이플루오로메톡시-페닐)-피라졸로[1,5-a]피리미딘-3-카복실산(실시예 C.20) 및 3-메탄설포닐-페닐아민[하이드로클로라이드로서 상업적으로 입수할 수 있음]으로부터 제조하였다. 황색 고체. MS(ISP) 527.2[(M+H)+]; 융점 223 ℃.The title compound was converted to 7-difluoromethyl-5- (4-trifluoromethoxy-phenyl) -pyrazolo [1,5-a] pyrimidine-3-carboxylic acid according to General Procedure II (Example C.20). And 3-methanesulfonyl-phenylamine (commercially available as hydrochloride). Yellow solid. MS (ISP) 527.2 [(M + H)+ ]; Melting point 223 캜.

실시예Example 117 117

5-(4-트라이플루오로메톡시-페닐)-7-트라이플루오로메틸-피라졸로[1,5-a]피리미딘-3-카복실산 (3-메탄설포닐-페닐)-아미드5- (4-Trifluoromethoxy-phenyl) -7-trifluoromethyl-pyrazolo [1,5-a] pyrimidine-3-carboxylic acid (3-methanesulfonyl-phenyl) -amide

표제 화합물을 일반적인 과정 II에 따라 5-(4-트라이플루오로메톡시-페닐)-7-트라이플루오로메틸-피라졸로[1,5-a]피리미딘-3-카복실산(실시예 C.19) 및 3-메탄설포닐-페닐아민[하이드로클로라이드로서 상업적으로 입수할 수 있음]으로부터 제조하였다. 황색 고체. MS(ISP) 545.3[(M+H)+]; 융점 245 ℃.The title compound was purified by 5- (4-trifluoromethoxy-phenyl) -7-trifluoromethyl-pyrazolo [1,5-a] pyrimidine-3-carboxylic acid (Example C.19). And 3-methanesulfonyl-phenylamine (commercially available as hydrochloride). Yellow solid. MS (ISP) 545.3 [(M + H)+ ]; Melting point 245 ° C.

실시예Example 118 118

5-(3,4-다이플루오로-페닐)-7-트라이플루오로메틸-피라졸로[1,5-a]피리미딘-3-카복실산 (3-설파모일-페닐)-아미드5- (3,4-Difluoro-phenyl) -7-trifluoromethyl-pyrazolo [1,5-a] pyrimidine-3-carboxylic acid (3-sulfamoyl-phenyl) -amide

표제 화합물을 일반적인 과정 II에 따라 5-(3,4-다이플루오로-페닐)-7-트라이플루오로메틸-피라졸로[1,5-a]피리미딘-3-카복실산(실시예 C.21) 및 3-설파모일-페닐아민[상업적으로 입수할 수 있음]으로부터 제조하였다. 황색 고체. MS(ISP) 498.2[(M+H)+]; 융점 275 ℃.The title compound was prepared in 5- (3,4-difluoro-phenyl) -7-trifluoromethyl-pyrazolo [1,5-a] pyrimidine-3-carboxylic acid according to General Procedure II (Example C.21 ) And 3-sulfamoyl-phenylamine (commercially available). Yellow solid. MS (ISP) 498.2 [(M + H)+ ]; Melting point 275 ° C.

실시예Example 119 119

5-(3,4-다이플루오로-페닐)-7-트라이플루오로메틸-피라졸로[1,5-a]피리미딘-3-카복실산 (3-메탄설포닐-페닐)-아미드5- (3,4-Difluoro-phenyl) -7-trifluoromethyl-pyrazolo [1,5-a] pyrimidine-3-carboxylic acid (3-methanesulfonyl-phenyl) -amide

표제 화합물을 일반적인 과정 II에 따라 5-(3,4-다이플루오로-페닐)-7-트라이플루오로메틸-피라졸로[1,5-a]피리미딘-3-카복실산(실시예 C.21) 및 3-메탄설포 닐-페닐아민[하이드로클로라이드로서 상업적으로 입수할 수 있음]으로부터 제조하였다. 황색 고체. MS(ISP) 497.1[(M+H)+]; 융점 256 ℃.The title compound was prepared in 5- (3,4-difluoro-phenyl) -7-trifluoromethyl-pyrazolo [1,5-a] pyrimidine-3-carboxylic acid according to General Procedure II (Example C.21 ) And 3-methanesulfonyl-phenylamine (commercially available as hydrochloride). Yellow solid. MS (ISP) 497.1 [(M + H)+ ]; Melting point 256 ° C.

실시예Example 120 120

5-(4-클로로-페닐)-7-트라이플루오로메틸-피라졸로[1,5-a]피리미딘-3-카복실산 [3-(2-하이드록시-1,1-다이메틸-에틸설파모일)-페닐]-아미드5- (4-Chloro-phenyl) -7-trifluoromethyl-pyrazolo [1,5-a] pyrimidine-3-carboxylic acid [3- (2-hydroxy-1,1-dimethyl-ethylsulfa Moyl) -phenyl] -amide

표제 화합물을 일반적인 과정 II에 따라 5-(4-클로로-페닐)-7-트라이플루오로메틸-피라졸로[1,5-a]피리미딘-3-카복실산(실시예 C.4) 및 3-아미노-N-(2-하이드록시-1,1-다이메틸-에틸)-벤젠설폰아미드(실시예 B.8)로부터 제조하였다. 황색 고체. MS(ISP) 566.2[(M-H)-]; 융점 271 ℃.The title compound was prepared according to the general procedure II in 5- (4-chloro-phenyl) -7-trifluoromethyl-pyrazolo [1,5-a] pyrimidine-3-carboxylic acid (Example C.4) and 3- Prepared from amino-N- (2-hydroxy-1,1-dimethyl-ethyl) -benzenesulfonamide (Example B.8). Yellow solid. MS (ISP) 566.2 [(MH)- ]; Melting point 271 ° C.

실시예Example 121 121

5-(3-클로로-4-트라이플루오로메틸-페닐)-7-트라이플루오로메틸-피라졸로[1,5-a]피리미딘-3-카복실산 [3-(2-하이드록시-1,1-다이메틸-에틸설파모일)-페닐]-아미드5- (3-Chloro-4-trifluoromethyl-phenyl) -7-trifluoromethyl-pyrazolo [1,5-a] pyrimidine-3-carboxylic acid [3- (2-hydroxy-1, 1-Dimethyl-ethylsulfamoyl) -phenyl] -amide

표제 화합물을 일반적인 과정 II에 따라 5-(3-클로로-4-트라이플루오로메틸-페닐)-7-트라이플루오로메틸-피라졸로[1,5-a]피리미딘-3-카복실산(실시예 C.17) 및 3-아미노-N-(2-하이드록시-1,1-다이메틸-에틸)-벤젠설폰아미드(실시예 B.8)로부터 제조하였다. 황색 고체. MS(ISP) 634.0[(M-H)-]; 융점 251 ℃.The title compound was prepared according to the general procedure II in 5- (3-chloro-4-trifluoromethyl-phenyl) -7-trifluoromethyl-pyrazolo [1,5-a] pyrimidine-3-carboxylic acid (Example C.17) and 3-amino-N- (2-hydroxy-1,1-dimethyl-ethyl) -benzenesulfonamide (Example B.8). Yellow solid. MS (ISP) 634.0 [(M H) ]; Melting point 251 ° C.

실시예Example 122 122

5-[3-(2,2,2-트라이플루오로-에톡시)-4-트라이플루오로메틸-페닐]-7-트라이플루오로메틸-피라졸로[1,5-a]피리미딘-3-카복실산 [3-(2-하이드록시-1,1-다이메틸-에틸 설파모일)-페닐]-아미드5- [3- (2,2,2-Trifluoro-ethoxy) -4-trifluoromethyl-phenyl] -7-trifluoromethyl-pyrazolo [1,5-a] pyrimidine-3 -Carboxylic acid [3- (2-hydroxy-1,1-dimethyl-ethyl sulfamoyl) -phenyl] -amide

표제 화합물을 일반적인 과정 II에 따라 5-[3-(2,2,2-트라이플루오로-에톡시)-4-트라이플루오로메틸-페닐]-7-트라이플루오로메틸-피라졸로[1,5-a]피리미딘-3-카복실산(실시예 C.10) 및 3-아미노-N-(2-하이드록시-1,1-다이메틸-에틸)-벤젠설폰아미드(실시예 B.8)로부터 제조하였다. 황색 고체. MS(ISP) 698.3[(M-H)-]; 융점 251 ℃.The title compound was prepared according to the general procedure II in 5- [3- (2,2,2-trifluoro-ethoxy) -4-trifluoromethyl-phenyl] -7-trifluoromethyl-pyrazolo [1, 5-a] pyrimidine-3-carboxylic acid (Example C.10) and 3-amino-N- (2-hydroxy-1,1-dimethyl-ethyl) -benzenesulfonamide (Example B.8) Prepared from. Yellow solid. MS (ISP) 698.3 [(MH)- ]; Melting point 251 ° C.

실시예Example 123 123

5-(3-메틸-4-트라이플루오로메틸-페닐)-7-트라이플루오로메틸-피라졸로[1,5-a]피리미딘-3-카복실산 [3-(2-하이드록시-1,1-다이메틸-에틸설파모일)-페닐]-아미드5- (3-Methyl-4-trifluoromethyl-phenyl) -7-trifluoromethyl-pyrazolo [1,5-a] pyrimidine-3-carboxylic acid [3- (2-hydroxy-1, 1-Dimethyl-ethylsulfamoyl) -phenyl] -amide

표제 화합물을 일반적인 과정 II에 따라 5-(3-메틸-4-트라이플루오로메틸-페닐)-7-트라이플루오로메틸-피라졸로[1,5-a]피리미딘-3-카복실산(실시예 C.8) 및 3-아미노-N-(2-하이드록시-1,1-다이메틸-에틸)-벤젠설폰아미드(실시예 B.8)로부터 제조하였다. 황색 고체. MS(ISP) 614.2[(M-H)-]; 융점 230 ℃.The title compound was prepared according to the general procedure II of 5- (3-methyl-4-trifluoromethyl-phenyl) -7-trifluoromethyl-pyrazolo [1,5-a] pyrimidine-3-carboxylic acid (Example C.8) and 3-amino-N- (2-hydroxy-1,1-dimethyl-ethyl) -benzenesulfonamide (Example B.8). Yellow solid. MS (ISP) 614.2 [(MH)- ]; Melting point 230 deg.

실시예Example 124 124

5-(3-에톡시-4-트라이플루오로메틸-페닐)-7-트라이플루오로메틸-피라졸로[1,5-a]피리미딘-3-카복실산 [3-(2-하이드록시-1,1-다이메틸-에틸설파모일)-페닐]-아미드5- (3-Ethoxy-4-trifluoromethyl-phenyl) -7-trifluoromethyl-pyrazolo [1,5-a] pyrimidine-3-carboxylic acid [3- (2-hydroxy-1 , 1-dimethyl-ethylsulfamoyl) -phenyl] -amide

표제 화합물을 일반적인 과정 II에 따라 5-(3-에톡시-4-트라이플루오로메틸-페닐)-7-트라이플루오로메틸-피라졸로[1,5-a]피리미딘-3-카복실산(실시예 C.11) 및 3-아미노-N-(2-하이드록시-1,1-다이메틸-에틸)-벤젠설폰아미드(실시예 B.8)로부터 제조하였다. 황색 고체. MS(ISP) 646.4[(M+H)+]; 융점 268 ℃.The title compound was subjected to 5- (3-ethoxy-4-trifluoromethyl-phenyl) -7-trifluoromethyl-pyrazolo [1,5-a] pyrimidine-3-carboxylic acid according to the general procedure II. Example C.11) and 3-amino-N- (2-hydroxy-1,1-dimethyl-ethyl) -benzenesulfonamide (Example B.8). Yellow solid. MS (ISP) 646.4 [(M + H)+ ]; Melting point 268 ° C.

실시예Example 125 125

5-(3,4-다이클로로-페닐)-7-트라이플루오로메틸-피라졸로[1,5-a]피리미딘-3-카복실산 [3-(2-하이드록시-1,1-다이메틸-에틸설파모일)-페닐]-아미드5- (3,4-Dichloro-phenyl) -7-trifluoromethyl-pyrazolo [1,5-a] pyrimidine-3-carboxylic acid [3- (2-hydroxy-1,1-dimethyl -Ethylsulfamoyl) -phenyl] -amide

표제 화합물을 일반적인 과정 II에 따라 5-(3,4-다이클로로-페닐)-7-트라이플루오로메틸-피라졸로[1,5-a]피리미딘-3-카복실산(실시예 C.9) 및 3-아미노-N-(2-하이드록시-1,1-다이메틸-에틸)-벤젠설폰아미드(실시예 B.8)로부터 제조하였다. 밝은 황색 고체. MS(ISP) 599.8[(M-H)-]; 융점 269 ℃.The title compound was purified by 5- (3,4-dichloro-phenyl) -7-trifluoromethyl-pyrazolo [1,5-a] pyrimidine-3-carboxylic acid (Example C.9). And 3-amino-N- (2-hydroxy-1,1-dimethyl-ethyl) -benzenesulfonamide (Example B.8). Light yellow solid. MS (ISP) 599.8 [(MH)- ]; Melting point 269 ° C.

실시예Example 126 126

5-(3-플루오로-4-트라이플루오로메틸-페닐)-7-트라이플루오로메틸-피라졸로[1,5-a]피리미딘-3-카복실산 [3-(2-하이드록시-1,1-다이메틸-에틸설파모일)-페닐]-아미드5- (3-Fluoro-4-trifluoromethyl-phenyl) -7-trifluoromethyl-pyrazolo [1,5-a] pyrimidine-3-carboxylic acid [3- (2-hydroxy-1 , 1-dimethyl-ethylsulfamoyl) -phenyl] -amide

표제 화합물을 일반적인 과정 II에 따라 5-(3-플루오로-4-트라이플루오로메틸-페닐)-7-트라이플루오로메틸-피라졸로[1,5-a]피리미딘-3-카복실산(실시예 C.18) 및 3-아미노-N-(2-하이드록시-1,1-다이메틸-에틸)-벤젠설폰아미드(실시예 B.8)로부터 제조하였다. 밝은 황색 고체. MS(ISP) 620.3[(M+H)+]; 융점 221 ℃.The title compound was subjected to 5- (3-fluoro-4-trifluoromethyl-phenyl) -7-trifluoromethyl-pyrazolo [1,5-a] pyrimidine-3-carboxylic acid according to the general procedure II. Example C.18) and 3-amino-N- (2-hydroxy-1,1-dimethyl-ethyl) -benzenesulfonamide (Example B.8). Light yellow solid. MS (ISP) 620.3 [(M + H)+ ]; Melting point 221 캜.

실시예Example 127 127

5-(4-트라이플루오로메톡시-페닐)-7-트라이플루오로메틸-피라졸로[1,5-a]피리미딘-3-카복실산 [3-(2-하이드록시-1,1-다이메틸-에틸설파모일)-페닐]-아미드5- (4-Trifluoromethoxy-phenyl) -7-trifluoromethyl-pyrazolo [1,5-a] pyrimidine-3-carboxylic acid [3- (2-hydroxy-1,1-dimethyl -Ethylsulfamoyl) -phenyl] -amide

표제 화합물을 일반적인 과정 II에 따라 5-(4-트라이플루오로메톡시-페닐)- 7-트라이플루오로메틸-피라졸로[1,5-a]피리미딘-3-카복실산(실시예 C.19) 및 3-아미노-N-(2-하이드록시-1,1-다이메틸-에틸)-벤젠설폰아미드(실시예 B.8)로부터 제조하였다. 황색 고체. MS(ISP) 618.3[(M+H)+]; 융점 212 ℃.The title compound was prepared according to general procedure II 5- (4-trifluoromethoxy-phenyl) -7-trifluoromethyl-pyrazolo [1,5-a] pyrimidine-3-carboxylic acid (Example C.19) And 3-amino-N- (2-hydroxy-1,1-dimethyl-ethyl) -benzenesulfonamide (Example B.8). Yellow solid. MS (ISP) 618.3 [(M + H)+ ]; Melting point 212 ° C.

실시예Example 128 128

5-(4-클로로-페닐)-7-다이플루오로메틸-피라졸로[1,5-a]피리미딘-3-카복실산 [3-(2-하이드록시-1,1-다이메틸-에틸설파모일)-페닐]-아미드5- (4-Chloro-phenyl) -7-difluoromethyl-pyrazolo [1,5-a] pyrimidine-3-carboxylic acid [3- (2-hydroxy-1,1-dimethyl-ethylsulfa Moyl) -phenyl] -amide

표제 화합물을 일반적인 과정 II에 따라 5-(4-클로로-페닐)-7-다이플루오로메틸-피라졸로[1,5-a]피리미딘-3-카복실산(실시예 C.3) 및 3-아미노-N-(2-하이드록시-1,1-다이메틸-에틸)-벤젠설폰아미드(실시예 B.8)로부터 제조하였다. 밝은 황색 고체. MS(ISP) 550.1[(M+H)+]; 융점 229 ℃.The title compound was prepared according to the general procedure II in 5- (4-chloro-phenyl) -7-difluoromethyl-pyrazolo [1,5-a] pyrimidine-3-carboxylic acid (Example C.3) and 3- Prepared from amino-N- (2-hydroxy-1,1-dimethyl-ethyl) -benzenesulfonamide (Example B.8). Light yellow solid. MS (ISP) 550.1 [(M + H)+ ]; Melting point 229 ° C.

실시예Example 129 129

7-다이플루오로메틸-5-(3-에톡시-4-트라이플루오로메틸-페닐)-피라졸로[1,5-a]피리미딘-3-카복실산 [3-(2-하이드록시-1,1-다이메틸-에틸설파모일)-페닐]-아미드7-Difluoromethyl-5- (3-ethoxy-4-trifluoromethyl-phenyl) -pyrazolo [1,5-a] pyrimidine-3-carboxylic acid [3- (2-hydroxy-1 , 1-dimethyl-ethylsulfamoyl) -phenyl] -amide

표제 화합물을 일반적인 과정 II에 따라 7-다이플루오로메틸-5-(3-에톡시-4-트라이플루오로메틸-페닐)-피라졸로[1,5-a]피리미딘-3-카복실산(실시예 C.12) 및 3-아미노-N-(2-하이드록시-1,1-다이메틸-에틸)-벤젠설폰아미드(실시예 B.8)로부터 제조하였다. 밝은 황색 고체. MS(ISP) 626.6[(M-H)-]; 융점 250 ℃.The title compound was subjected to 7-difluoromethyl-5- (3-ethoxy-4-trifluoromethyl-phenyl) -pyrazolo [1,5-a] pyrimidine-3-carboxylic acid according to the general procedure II. Example C.12) and 3-amino-N- (2-hydroxy-1,1-dimethyl-ethyl) -benzenesulfonamide (Example B.8). Light yellow solid. MS (ISP) 626.6 [(MH)- ]; Melting point 250 ° C.

실시예Example 130 130

7-다이플루오로메틸-5-(4-트라이플루오로메틸-페닐)-피라졸로[1,5-a]피리미딘-3-카 복실산 (4-메틸-3-설파모일-페닐)-아미드7-Difluoromethyl-5- (4-trifluoromethyl-phenyl) -pyrazolo [1,5-a] pyrimidine-3-carboxylic acid (4-methyl-3-sulfamoyl-phenyl)- amides

표제 화합물을 일반적인 과정 II에 따라 7-다이플루오로메틸-5-(4-트라이플루오로메틸-페닐)-피라졸로[1,5-a]피리미딘-3-카복실산(실시예 C.1) 및 3-아미노-6-메틸-벤젠설폰아미드[CAS-No. 6973-09-7]로부터 제조하였다. 황색 고체. MS(ISP) 526.2[(M+H)+]; 융점 249 ℃.The title compound was converted to 7-difluoromethyl-5- (4-trifluoromethyl-phenyl) -pyrazolo [1,5-a] pyrimidine-3-carboxylic acid (Example C.1) according to General Procedure II. And 3-amino-6-methyl-benzenesulfonamide [CAS-No. 6973-09-7. Yellow solid. MS (ISP) 526.2 [(M + H)+ ]; Melting point 249 ° C.

실시예Example 131 131

7-트라이플루오로메틸-5-(4-트라이플루오로메틸-페닐)-피라졸로[1,5-a]피리미딘-3-카복실산 (4-메틸-3-설파모일-페닐)-아미드7-Trifluoromethyl-5- (4-trifluoromethyl-phenyl) -pyrazolo [1,5-a] pyrimidine-3-carboxylic acid (4-methyl-3-sulfamoyl-phenyl) -amide

표제 화합물을 일반적인 과정 II에 따라 7-트라이플루오로메틸-5-(4-트라이플루오로메틸-페닐)-피라졸로[1,5-a]피리미딘-3-카복실산(실시예 C.2) 및 3-아미노-6-메틸-벤젠설폰아미드[CAS-No. 6973-09-7]로부터 제조하였다. 황색 고체. MS(ISP) 544.0[(M+H)+]; 융점 297 ℃.The title compound was converted to 7-trifluoromethyl-5- (4-trifluoromethyl-phenyl) -pyrazolo [1,5-a] pyrimidine-3-carboxylic acid (Example C.2) according to General Procedure II. And 3-amino-6-methyl-benzenesulfonamide [CAS-No. 6973-09-7. Yellow solid. MS (ISP) 544.0 [(M + H)+ ]; Melting point 297 ° C.

실시예Example 132 132

7-다이플루오로메틸-5-(4-트라이플루오로메틸-페닐)-피라졸로[1,5-a]피리미딘-3-카복실산 {3-[비스-(2-하이드록시-에틸)-설파모일]-페닐}-아미드7-Difluoromethyl-5- (4-trifluoromethyl-phenyl) -pyrazolo [1,5-a] pyrimidine-3-carboxylic acid {3- [bis- (2-hydroxy-ethyl)- Sulfamoyl] -phenyl} -amide

표제 화합물을 일반적인 과정 II에 따라 7-다이플루오로메틸-5-(4-트라이플루오로메틸-페닐)-피라졸로[1,5-a]피리미딘-3-카복실산(실시예 C.1) 및 N-(2-하이드록시-1-하이드록시메틸-1-메틸-에틸)-3-나이트로-벤젠설폰아미드[CAS-No. 6374-97-6; 상업적으로 입수할 수 있음]로부터 제조하였다. 황색 고체. MS(ISP) 600.4[(M+H)+]; 융점 208 ℃.The title compound was converted to 7-difluoromethyl-5- (4-trifluoromethyl-phenyl) -pyrazolo [1,5-a] pyrimidine-3-carboxylic acid (Example C.1) according to General Procedure II. And N- (2-hydroxy-1-hydroxymethyl-1-methyl-ethyl) -3-nitro-benzenesulfonamide [CAS-No. 6374-97-6; Commercially available]. Yellow solid. MS (ISP) 600.4 [(M + H)+ ]; Melting point 208 캜.

실시예Example 133 133

7-트라이플루오로메틸-5-(4-트라이플루오로메틸-페닐)-피라졸로[1,5-a]피리미딘-3-카복실산 {3-[비스-(2-하이드록시-에틸)-설파모일]-페닐}-아미드7-Trifluoromethyl-5- (4-trifluoromethyl-phenyl) -pyrazolo [1,5-a] pyrimidine-3-carboxylic acid {3- [bis- (2-hydroxy-ethyl)- Sulfamoyl] -phenyl} -amide

표제 화합물을 일반적인 과정 II에 따라 7-트라이플루오로메틸-5-(4-트라이플루오로메틸-페닐)-피라졸로[1,5-a]피리미딘-3-카복실산(실시예 C.2) 및 N-(2-하이드록시-1-하이드록시메틸-1-메틸-에틸)-3-나이트로-벤젠설폰아미드[CAS-No. 6374-97-6; 상업적으로 입수할 수 있음]로부터 제조하였다. 황색 고체. MS(ISP) 618.4[(M+H)+]; 융점 209 ℃.The title compound was converted to 7-trifluoromethyl-5- (4-trifluoromethyl-phenyl) -pyrazolo [1,5-a] pyrimidine-3-carboxylic acid (Example C.2) according to General Procedure II. And N- (2-hydroxy-1-hydroxymethyl-1-methyl-ethyl) -3-nitro-benzenesulfonamide [CAS-No. 6374-97-6; Commercially available]. Yellow solid. MS (ISP) 618.4 [(M + H)+ ]; Melting point 209 캜.

실시예Example 134 134

7-다이플루오로메틸-5-(4-트라이플루오로메틸-페닐)-피라졸로[1,5-a]피리미딘-3-카복실산 [3-(2-하이드록시-1-하이드록시메틸-1-메틸-에틸설파모일)-페닐]-아미드7-Difluoromethyl-5- (4-trifluoromethyl-phenyl) -pyrazolo [1,5-a] pyrimidine-3-carboxylic acid [3- (2-hydroxy-1-hydroxymethyl- 1-Methyl-ethylsulfamoyl) -phenyl] -amide

표제 화합물을 일반적인 과정 II에 따라 7-다이플루오로메틸-5-(4-트라이플루오로메틸-페닐)-피라졸로[1,5-a]피리미딘-3-카복실산(실시예 C.1) 및 3-아미노-N-(2-하이드록시-1-하이드록시메틸-1-메틸-에틸)-벤젠설폰아미드(실시예 B.9)로부터 제조하였다. 황색 고체. MS(ISP) 600.4[(M+H)+]; 융점 246 ℃.The title compound was converted to 7-difluoromethyl-5- (4-trifluoromethyl-phenyl) -pyrazolo [1,5-a] pyrimidine-3-carboxylic acid (Example C.1) according to General Procedure II. And 3-amino-N- (2-hydroxy-1-hydroxymethyl-1-methyl-ethyl) -benzenesulfonamide (Example B.9). Yellow solid. MS (ISP) 600.4 [(M + H)+ ]; Melting point 246 ° C.

실시예Example 135 135

7-트라이플루오로메틸-5-(4-트라이플루오로메틸-페닐)-피라졸로[1,5-a]피리미딘-3-카복실산 [3-(2-하이드록시-1-하이드록시메틸-1-메틸-에틸설파모일)-페닐]-아미드7-Trifluoromethyl-5- (4-trifluoromethyl-phenyl) -pyrazolo [1,5-a] pyrimidine-3-carboxylic acid [3- (2-hydroxy-1-hydroxymethyl- 1-Methyl-ethylsulfamoyl) -phenyl] -amide

표제 화합물을 일반적인 과정 II에 따라 7-트라이플루오로메틸-5-(4-트라이플루오로메틸-페닐)-피라졸로[1,5-a]피리미딘-3-카복실산(실시예 C.2) 및 3-아미노-N-(2-하이드록시-1-하이드록시메틸-1-메틸-에틸)-벤젠설폰아미드(실시예 B.9)로부터 제조하였다. 황색 고체. MS(ISP) 616.2[(M-H)-]; 융점 248 ℃.The title compound was converted to 7-trifluoromethyl-5- (4-trifluoromethyl-phenyl) -pyrazolo [1,5-a] pyrimidine-3-carboxylic acid (Example C.2) according to General Procedure II. And 3-amino-N- (2-hydroxy-1-hydroxymethyl-1-methyl-ethyl) -benzenesulfonamide (Example B.9). Yellow solid. MS (ISP) 616.2 [(M H) ]; Melting point 248 ° C.

실시예Example 136 136

7-트라이플루오로메틸-5-(4-트라이플루오로메틸-페닐)-피라졸로[1,5-a]피리미딘-3-카복실산 (2-메틸-5-설파모일-페닐)-아미드7-Trifluoromethyl-5- (4-trifluoromethyl-phenyl) -pyrazolo [1,5-a] pyrimidine-3-carboxylic acid (2-methyl-5-sulfamoyl-phenyl) -amide

표제 화합물을 일반적인 과정 II에 따라 7-트라이플루오로메틸-5-(4-트라이플루오로메틸-페닐)-피라졸로[1,5-a]피리미딘-3-카복실산(실시예 C.2) 및 3-아미노-4-메틸-벤젠설폰아미드[CAS-No. 6274-28-8; 상업적으로 입수할 수 있음]로부터 제조하였다. 황색 고체. MS(ISP) 542.1[(M-H)-]; 융점 310 ℃.The title compound was converted to 7-trifluoromethyl-5- (4-trifluoromethyl-phenyl) -pyrazolo [1,5-a] pyrimidine-3-carboxylic acid (Example C.2) according to General Procedure II. And 3-amino-4-methyl-benzenesulfonamide [CAS-No. 6274-28-8; Commercially available]. Yellow solid. MS (ISP) 542.1 [(MH)- ]; Melting point 310 ° C.

실시예Example 137 137

7-다이플루오로메틸-5-(4-트라이플루오로메틸-페닐)-피라졸로[1,5-a]피리미딘-3-카복실산 (2-메틸-5-설파모일-페닐)-아미드7-Difluoromethyl-5- (4-trifluoromethyl-phenyl) -pyrazolo [1,5-a] pyrimidine-3-carboxylic acid (2-methyl-5-sulfamoyl-phenyl) -amide

표제 화합물을 일반적인 과정 II에 따라 7-다이플루오로메틸-5-(4-트라이플루오로메틸-페닐)-피라졸로[1,5-a]피리미딘-3-카복실산(실시예 C.1) 및 3-아미노-4-메틸-벤젠설폰아미드[CAS-No. 6274-28-8; 상업적으로 입수할 수 있음]로부터 제조하였다. 밝은 갈색 고체. MS(ISP) 524.0[(M-H)-]; 융점 293 ℃.The title compound was converted to 7-difluoromethyl-5- (4-trifluoromethyl-phenyl) -pyrazolo [1,5-a] pyrimidine-3-carboxylic acid (Example C.1) according to General Procedure II. And 3-amino-4-methyl-benzenesulfonamide [CAS-No. 6274-28-8; Commercially available]. Light brown solid. MS (ISP) 524.0 [(M H) ]; Melting point 293 ° C.

실시예Example 138 138

7-트라이플루오로메틸-5-(4-트라이플루오로메틸-페닐)-피라졸로[1,5-a]피리미딘-3-카복실산 (2-클로로-5-설파모일-페닐)-아미드7-Trifluoromethyl-5- (4-trifluoromethyl-phenyl) -pyrazolo [1,5-a] pyrimidine-3-carboxylic acid (2-chloro-5-sulfamoyl-phenyl) -amide

표제 화합물을 일반적인 과정 II에 따라 7-트라이플루오로메틸-5-(4-트라이플루오로메틸-페닐)-피라졸로[1,5-a]피리미딘-3-카복실산(실시예 C.2) 및 3-아미노-4-클로로-벤젠설폰아미드[CAS-No. 29092-34-0; 상업적으로 입수할 수 있음]로부터 제조하였다. 밝은 황색 고체. MS(ISP) 563.1[(M-H)-]; 융점 300 ℃.The title compound was converted to 7-trifluoromethyl-5- (4-trifluoromethyl-phenyl) -pyrazolo [1,5-a] pyrimidine-3-carboxylic acid (Example C.2) according to General Procedure II. And 3-amino-4-chloro-benzenesulfonamide [CAS-No. 29092-34-0; Commercially available]. Light yellow solid. MS (ISP) 563.1 [(MH)- ]; Melting point 300 deg.

실시예Example 139 139

7-다이플루오로메틸-5-(4-트라이플루오로메틸-페닐)-피라졸로[1,5-a]피리미딘-3-카복실산 (2-클로로-5-설파모일-페닐)-아미드7-Difluoromethyl-5- (4-trifluoromethyl-phenyl) -pyrazolo [1,5-a] pyrimidine-3-carboxylic acid (2-chloro-5-sulfamoyl-phenyl) -amide

표제 화합물을 일반적인 과정 II에 따라 7-다이플루오로메틸-5-(4-트라이플루오로메틸-페닐)-피라졸로[1,5-a]피리미딘-3-카복실산(실시예 C.1) 및 3-아미노-4-클로로-벤젠설폰아미드[CAS-No. 29092-34-0; 상업적으로 입수할 수 있음]로부터 제조하였다. 밝은 황색 고체. MS(ISP) 545.1[(M-H)-]; 융점 286 ℃.The title compound was converted to 7-difluoromethyl-5- (4-trifluoromethyl-phenyl) -pyrazolo [1,5-a] pyrimidine-3-carboxylic acid (Example C.1) according to General Procedure II. And 3-amino-4-chloro-benzenesulfonamide [CAS-No. 29092-34-0; Commercially available]. Light yellow solid. MS (ISP) 545.1 [(M- H)- ]; Melting point 286 ° C.

실시예Example 140 140

7-트라이플루오로메틸-5-(4-트라이플루오로메틸-페닐)-피라졸로[1,5-a]피리미딘-3-카복실산 [2-클로로-5-(2-하이드록시-1,1-다이메틸-에틸설파모일)-페닐]-아미드7-trifluoromethyl-5- (4-trifluoromethyl-phenyl) -pyrazolo [1,5-a] pyrimidine-3-carboxylic acid [2-chloro-5- (2-hydroxy-1, 1-Dimethyl-ethylsulfamoyl) -phenyl] -amide

표제 화합물을 일반적인 과정 II에 따라 7-트라이플루오로메틸-5-(4-트라이플루오로메틸-페닐)-피라졸로[1,5-a]피리미딘-3-카복실산(실시예 C.2) 및 3-아미노-4-클로로-N-(2-하이드록시-1,1-다이메틸-에틸)-벤젠설폰아미드(실시예 B.10)로부 터 제조하였다. 황색 고체. MS(ISP) 634.0[(M-H)-]; 융점 246 ℃.The title compound was converted to 7-trifluoromethyl-5- (4-trifluoromethyl-phenyl) -pyrazolo [1,5-a] pyrimidine-3-carboxylic acid (Example C.2) according to General Procedure II. And 3-amino-4-chloro-N- (2-hydroxy-1,1-dimethyl-ethyl) -benzenesulfonamide (Example B.10). Yellow solid. MS (ISP) 634.0 [(M H) ]; Melting point 246 ° C.

실시예Example 141 141

7-다이플루오로메틸-5-(4-트라이플루오로메틸-페닐)-피라졸로[1,5-a]피리미딘-3-카복실산 [2-클로로-5-(2-하이드록시-1,1-다이메틸-에틸설파모일)-페닐]-아미드7-difluoromethyl-5- (4-trifluoromethyl-phenyl) -pyrazolo [1,5-a] pyrimidine-3-carboxylic acid [2-chloro-5- (2-hydroxy-1, 1-Dimethyl-ethylsulfamoyl) -phenyl] -amide

표제 화합물을 일반적인 과정 II에 따라 7-다이플루오로메틸-5-(4-트라이플루오로메틸-페닐)-피라졸로[1,5-a]피리미딘-3-카복실산(실시예 C.1) 및 3-아미노-4-클로로-N-(2-하이드록시-1,1-다이메틸-에틸)-벤젠설폰아미드(실시예 B.10)로부터 제조하였다. 밝은 황색 고체. MS(ISP) 616.2[(M-H)-]; 융점 234 ℃.The title compound was converted to 7-difluoromethyl-5- (4-trifluoromethyl-phenyl) -pyrazolo [1,5-a] pyrimidine-3-carboxylic acid (Example C.1) according to General Procedure II. And 3-amino-4-chloro-N- (2-hydroxy-1,1-dimethyl-ethyl) -benzenesulfonamide (Example B.10). Light yellow solid. MS (ISP) 616.2 [(M H) ]; Melting point 234 ° C.

실시예Example 142 142

7-트라이플루오로메틸-5-(4-트라이플루오로메틸-페닐)-피라졸로[1,5-a]피리미딘-3-카복실산 [5-(2-하이드록시-1,1-다이메틸-에틸설파모일)-2-메틸-페닐]-아미드7-Trifluoromethyl-5- (4-trifluoromethyl-phenyl) -pyrazolo [1,5-a] pyrimidine-3-carboxylic acid [5- (2-hydroxy-1,1-dimethyl -Ethylsulfamoyl) -2-methyl-phenyl] -amide

표제 화합물을 일반적인 과정 II에 따라 7-트라이플루오로메틸-5-(4-트라이플루오로메틸-페닐)-피라졸로[1,5-a]피리미딘-3-카복실산(실시예 C.2) 및 3-아미노-N-(2-하이드록시-1,1-다이메틸-에틸)-4-메틸-벤젠설폰아미드(실시예 B.11)로부터 제조하였다. 황색 고체. MS(ISP) 614.2[(M-H)-]; 융점 240 ℃.The title compound was converted to 7-trifluoromethyl-5- (4-trifluoromethyl-phenyl) -pyrazolo [1,5-a] pyrimidine-3-carboxylic acid (Example C.2) according to General Procedure II. And 3-amino-N- (2-hydroxy-1,1-dimethyl-ethyl) -4-methyl-benzenesulfonamide (Example B.11). Yellow solid. MS (ISP) 614.2 [(MH)- ]; Melting point 240 ° C.

실시예Example 143 143

7-다이플루오로메틸-5-(4-트라이플루오로메틸-페닐)-피라졸로[1,5-a]피리미딘-3-카복실산 [5-(2-하이드록시-1,1-다이메틸-에틸설파모일)-2-메틸-페닐]-아미드7-Difluoromethyl-5- (4-trifluoromethyl-phenyl) -pyrazolo [1,5-a] pyrimidine-3-carboxylic acid [5- (2-hydroxy-1,1-dimethyl -Ethylsulfamoyl) -2-methyl-phenyl] -amide

표제 화합물을 일반적인 과정 II에 따라 7-다이플루오로메틸-5-(4-트라이플 루오로메틸-페닐)-피라졸로[1,5-a]피리미딘-3-카복실산(실시예 C.1) 및 3-아미노-N-(2-하이드록시-1,1-다이메틸-에틸)-4-메틸-벤젠설폰아미드(실시예 B.11)로부터 제조하였다. 밝은 황색 고체. MS(ISP) 596.1[(M-H)-]; 융점 214 ℃.The title compound was prepared according to the general procedure II 7-difluoromethyl-5- (4-trifluoromethyl-phenyl) -pyrazolo [1,5-a] pyrimidine-3-carboxylic acid (Example C.1 ) And 3-amino-N- (2-hydroxy-1,1-dimethyl-ethyl) -4-methyl-benzenesulfonamide (Example B.11). Light yellow solid. MS (ISP) 596.1 [(M- H)- ]; Melting point 214 캜.

실시예Example 144 144

7-다이플루오로메틸-5-(4-트라이플루오로메틸-페닐)-피라졸로[1,5-a]피리미딘-3-카복실산 [3-(2-다이메틸아미노-에틸설파모일)-페닐]-아미드7-Difluoromethyl-5- (4-trifluoromethyl-phenyl) -pyrazolo [1,5-a] pyrimidine-3-carboxylic acid [3- (2-dimethylamino-ethylsulfamoyl)- Phenyl] -amide

표제 화합물을 일반적인 과정 II에 따라 7-다이플루오로메틸-5-(4-트라이플루오로메틸-페닐)-피라졸로[1,5-a]피리미딘-3-카복실산(실시예 C.1) 및 3-아미노-N-(2-다이메틸아미노-에틸)-벤젠설폰아미드(실시예 B.12)로부터 제조하였다. 황색 고체. MS(ISP) 583.4[(M+H)+]; 융점 184 ℃.The title compound was converted to 7-difluoromethyl-5- (4-trifluoromethyl-phenyl) -pyrazolo [1,5-a] pyrimidine-3-carboxylic acid (Example C.1) according to General Procedure II. And 3-amino-N- (2-dimethylamino-ethyl) -benzenesulfonamide (Example B.12). Yellow solid. MS (ISP) 583.4 [(M + H)+ ]; Melting point 184 ° C.

실시예Example 145 145

7-트라이플루오로메틸-5-(4-트라이플루오로메틸-페닐)-피라졸로[1,5-a]피리미딘-3-카복실산 [3-(2-다이메틸아미노-에틸설파모일)-페닐]-아미드7-Trifluoromethyl-5- (4-trifluoromethyl-phenyl) -pyrazolo [1,5-a] pyrimidine-3-carboxylic acid [3- (2-dimethylamino-ethylsulfamoyl)- Phenyl] -amide

표제 화합물을 일반적인 과정 II에 따라 7-트라이플루오로메틸-5-(4-트라이플루오로메틸-페닐)-피라졸로[1,5-a]피리미딘-3-카복실산(실시예 C.2) 및 3-아미노-N-(2-다이메틸아미노-에틸)-벤젠설폰아미드(실시예 B.12)로부터 제조하였다. 황색 고체. MS(ISP) 601.3[(M+H)+]; 융점 224 ℃.The title compound was converted to 7-trifluoromethyl-5- (4-trifluoromethyl-phenyl) -pyrazolo [1,5-a] pyrimidine-3-carboxylic acid (Example C.2) according to General Procedure II. And 3-amino-N- (2-dimethylamino-ethyl) -benzenesulfonamide (Example B.12). Yellow solid. MS (ISP) 601.3 [(M + H)+ ]; Melting point 224 ° C.

실시예Example 146 146

5-(4-클로로-페닐)-7-트라이플루오로메틸-피라졸로[1,5-a]피리미딘-3-카복실산 [3- (1-하이드록시메틸-사이클로펜틸설파모일)-페닐]-아미드5- (4-Chloro-phenyl) -7-trifluoromethyl-pyrazolo [1,5-a] pyrimidine-3-carboxylic acid [3- (1-hydroxymethyl-cyclopentylsulfamoyl) -phenyl] -amides

표제 화합물을 일반적인 과정 II에 따라 5-(4-클로로-페닐)-7-트라이플루오로메틸-피라졸로[1,5-a]피리미딘-3-카복실산(실시예 C.4) 및 3-아미노-N-(1-하이드록시메틸-사이클로펜틸)-벤젠설폰아미드(실시예 B.13)로부터 제조하였다. 황색 고체. MS(ISP) 594.0[(M+H)+]; 융점 253-255 ℃.The title compound was prepared according to the general procedure II in 5- (4-chloro-phenyl) -7-trifluoromethyl-pyrazolo [1,5-a] pyrimidine-3-carboxylic acid (Example C.4) and 3- Prepared from amino-N- (1-hydroxymethyl-cyclopentyl) -benzenesulfonamide (Example B.13). Yellow solid. MS (ISP) 594.0 [(M + H)+ ]; Melting point 253-255 ° C.

실시예Example 147 147

5-(4-클로로-페닐)-7-트라이플루오로메틸-피라졸로[1,5-a]피리미딘-3-카복실산 [3-((S)-2-하이드록시메틸-피롤리딘-1-설포닐)-페닐]-아미드5- (4-Chloro-phenyl) -7-trifluoromethyl-pyrazolo [1,5-a] pyrimidine-3-carboxylic acid [3-((S) -2-hydroxymethyl-pyrrolidine- 1-sulfonyl) -phenyl] -amide

표제 화합물을 일반적인 과정 II에 따라 5-(4-클로로-페닐)-7-트라이플루오로메틸-피라졸로[1,5-a]피리미딘-3-카복실산(실시예 C.4) 및 (S)-[1-(3-아미노-벤젠설포닐)-피롤리딘-2-일]-메탄올(실시예 B.14)로부터 제조하였다. 담황색 고체. MS(ISP) 580.3[(M+H)+]; 융점 227-229 ℃.The title compound was prepared according to the general procedure II in 5- (4-chloro-phenyl) -7-trifluoromethyl-pyrazolo [1,5-a] pyrimidine-3-carboxylic acid (Example C.4) and (S )-[1- (3-amino-benzenesulfonyl) -pyrrolidin-2-yl] -methanol (Example B.14). Pale yellow solid. MS (ISP) 580.3 [(M + H)+ ]; Melting point 227-229 ° C.

실시예Example 148 148

5-(4-클로로-페닐)-피라졸로[1,5-a]피리미딘-3-카복실산 (3-설파모일-페닐)-아미드5- (4-Chloro-phenyl) -pyrazolo [1,5-a] pyrimidine-3-carboxylic acid (3-sulfamoyl-phenyl) -amide

표제 화합물을 일반적인 과정 II에 따라 5-(4-클로로-페닐)-피라졸로[1,5-a]피리미딘-3-카복실산(실시예 C.22) 및 3-아미노-벤젠설폰아미드로부터 제조하였다. 담황색 고체. MS(ISP) 428.3[(M+H)+]; 융점 345 ℃.The title compound is prepared from 5- (4-chloro-phenyl) -pyrazolo [1,5-a] pyrimidine-3-carboxylic acid (Example C.22) and 3-amino-benzenesulfonamide according to General Procedure II. It was. Pale yellow solid. MS (ISP) 428.3 [(M + H)+ ]; Melting point 345 ° C.

실시예Example 149 149

5-(4-클로로-페닐)-피라졸로[1,5-a]피리미딘-3-카복실산 (3-메탄설포닐-페닐)-아미 드5- (4-Chloro-phenyl) -pyrazolo [1,5-a] pyrimidine-3-carboxylic acid (3-methanesulfonyl-phenyl) -amide

표제 화합물을 일반적인 과정 II에 따라 5-(4-클로로-페닐)-피라졸로[1,5-a]피리미딘-3-카복실산(실시예 C.22) 및 3-메탄설포닐-페닐아민으로부터 제조하였다. 담황색 고체. MS(ISP) 427.4[(M+H)+]; 융점 258-260 ℃.The title compound was prepared from 5- (4-chloro-phenyl) -pyrazolo [1,5-a] pyrimidine-3-carboxylic acid (Example C.22) and 3-methanesulfonyl-phenylamine according to General Procedure II. Prepared. Pale yellow solid. MS (ISP) 427.4 [(M + H)+ ]; Melting point 258-260 ° C.

실시예Example 150 150

5-(4-트라이플루오로메틸-페닐)-피라졸로[1,5-a]피리미딘-3-카복실산 (3-설파모일-페닐)-아미드5- (4-Trifluoromethyl-phenyl) -pyrazolo [1,5-a] pyrimidine-3-carboxylic acid (3-sulfamoyl-phenyl) -amide

표제 화합물을 일반적인 과정 II에 따라 5-(4-클로로-페닐)-7-트라이플루오로메틸-피라졸로[1,5-a]피리미딘-3-카복실산(실시예 C.23) 및 3-아미노-벤젠설폰아미드로부터 제조하였다. 담황색 고체. MS(ISN) 460.1[(M-H)-]; 융점 318-320 ℃.The title compound was prepared according to the general procedure II of 5- (4-chloro-phenyl) -7-trifluoromethyl-pyrazolo [1,5-a] pyrimidine-3-carboxylic acid (Example C.23) and 3- Prepared from amino-benzenesulfonamide. Pale yellow solid. MS (ISN) 460.1 [(M H) ]; Melting point 318-320 ° C.

실시예Example 151 151

5-(4-트라이플루오로메틸-페닐)-피라졸로[1,5-a]피리미딘-3-카복실산 (3-메탄설포닐-페닐)-아미드5- (4-Trifluoromethyl-phenyl) -pyrazolo [1,5-a] pyrimidine-3-carboxylic acid (3-methanesulfonyl-phenyl) -amide

표제 화합물을 일반적인 과정 II에 따라 5-(4-트라이플루오로메틸-페닐)-피라졸로[1,5-a]피리미딘-3-카복실산(실시예 C.23) 및 3-메탄설포닐-페닐아민으로부터 제조하였다. 담황색 고체. MS(ISP) 461.3[(M+H)+]; 융점 254-255 ℃.The title compound was prepared according to the general procedure II in 5- (4-trifluoromethyl-phenyl) -pyrazolo [1,5-a] pyrimidine-3-carboxylic acid (Example C.23) and 3-methanesulfonyl- Prepared from phenylamine. Pale yellow solid. MS (ISP) 461.3 [(M + H)+ ]; Melting point 254-255 ° C.

실시예Example 152 152

5-(4-클로로-페닐)-7-메틸-피라졸로[1,5-a]피리미딘-3-카복실산 (3-설파모일-페닐)-아미드5- (4-Chloro-phenyl) -7-methyl-pyrazolo [1,5-a] pyrimidine-3-carboxylic acid (3-sulfamoyl-phenyl) -amide

표제 화합물을 일반적인 과정 II에 따라 5-(4-클로로-페닐)-7-메틸-피라졸로[1,5-a]피리미딘-3-카복실산(실시예 C.24) 및 3-아미노-벤젠설폰아미드로부터 제조하였다. 담황색 고체. MS(ISP) 442.4[(M+H)+]; 융점 308-310 ℃.The title compound was purified by 5- (4-chloro-phenyl) -7-methyl-pyrazolo [1,5-a] pyrimidine-3-carboxylic acid (Example C.24) and 3-amino-benzene Prepared from sulfonamides. Pale yellow solid. MS (ISP) 442.4 [(M + H)+ ]; Melting point 308-310 ° C.

실시예Example 153 153

5-(4-클로로-페닐)-7-메틸-피라졸로[1,5-a]피리미딘-3-카복실산 (3-메탄설포닐-페닐)-아미드5- (4-Chloro-phenyl) -7-methyl-pyrazolo [1,5-a] pyrimidine-3-carboxylic acid (3-methanesulfonyl-phenyl) -amide

표제 화합물을 일반적인 과정 II에 따라 5-(4-클로로-페닐)-7-메틸-피라졸로[1,5-a]피리미딘-3-카복실산(실시예 C.24) 및 3-메탄설포닐-페닐아민으로부터 제조하였다. 담황색 고체. MS(ISP) 441.3[(M+H)+]; 융점 250-251 ℃.The title compound was purified by 5- (4-chloro-phenyl) -7-methyl-pyrazolo [1,5-a] pyrimidine-3-carboxylic acid (Example C.24) and 3-methanesulfonyl Prepared from -phenylamine. Pale yellow solid. MS (ISP) 441.3 [(M + H)+ ]; Melting point 250-251 ° C.

실시예Example 154 154

5-(4-클로로-페닐)-7-메틸-피라졸로[1,5-a]피리미딘-3-카복실산 [3-(2-하이드록시-1,1-다이메틸-에틸설파모일)-페닐]-아미드5- (4-Chloro-phenyl) -7-methyl-pyrazolo [1,5-a] pyrimidine-3-carboxylic acid [3- (2-hydroxy-1,1-dimethyl-ethylsulfamoyl)- Phenyl] -amide

표제 화합물을 일반적인 과정 II에 따라 5-(4-클로로-페닐)-7-메틸-피라졸로[1,5-a]피리미딘-3-카복실산(실시예 C.24) 및 3-아미노-N-(2-하이드록시-1,1-다이메틸-에틸)-벤젠설폰아미드(실시예 B.8)로부터 제조하였다. 담황색 고체. MS(ISP) 514.5[(M+H)+].The title compound was purified by 5- (4-chloro-phenyl) -7-methyl-pyrazolo [1,5-a] pyrimidine-3-carboxylic acid (Example C.24) and 3-amino-N. Prepared from-(2-hydroxy-1,1-dimethyl-ethyl) -benzenesulfonamide (Example B.8). Pale yellow solid. MS (ISP) 514.5 [(M + H)+ ].

실시예Example 155 155

7-메틸-5-(4-트라이플루오로메틸-페닐)-피라졸로[1,5-a]피리미딘-3-카복실산 (3-설파모일-페닐)-아미드7-Methyl-5- (4-trifluoromethyl-phenyl) -pyrazolo [1,5-a] pyrimidine-3-carboxylic acid (3-sulfamoyl-phenyl) -amide

표제 화합물을 일반적인 과정 II에 따라 7-메틸-5-(4-트라이플루오로메틸-페닐)-피라졸로[1,5-a]피리미딘-3-카복실산(실시예 C.25) 및 3-아미노-벤젠설폰아미드로부터 제조하였다. 담황색 고체. MS(ISP) 476.5[(M+H)+]; 융점 270-272 ℃.The title compound was prepared according to the general procedure II of 7-methyl-5- (4-trifluoromethyl-phenyl) -pyrazolo [1,5-a] pyrimidine-3-carboxylic acid (Example C.25) and 3- Prepared from amino-benzenesulfonamide. Pale yellow solid. MS (ISP) 476.5 [(M + H)+ ]; Melting point 270-272 ° C.

실시예Example 156 156

7-메틸-5-(4-트라이플루오로메틸-페닐)-피라졸로[1,5-a]피리미딘-3-카복실산 (3-메탄설포닐-페닐)-아미드7-Methyl-5- (4-trifluoromethyl-phenyl) -pyrazolo [1,5-a] pyrimidine-3-carboxylic acid (3-methanesulfonyl-phenyl) -amide

표제 화합물을 일반적인 과정 II에 따라 7-메틸-5-(4-트라이플루오로메틸-페닐)-피라졸로[1,5-a]피리미딘-3-카복실산(실시예 C.25) 및 3-메탄설포닐-페닐아민으로부터 제조하였다. 담황색 고체. MS(ISP) 475.1[(M+H)+]; 융점 198-200 ℃.The title compound was prepared according to the general procedure II of 7-methyl-5- (4-trifluoromethyl-phenyl) -pyrazolo [1,5-a] pyrimidine-3-carboxylic acid (Example C.25) and 3- Prepared from methanesulfonyl-phenylamine. Pale yellow solid. MS (ISP) 475.1 [(M + H)+ ]; Melting point 198-200 ° C.

실시예Example 157 157

5-(4-클로로-페닐)-7-에틸-피라졸로[1,5-a]피리미딘-3-카복실산 (3-설파모일-페닐)-아미드5- (4-Chloro-phenyl) -7-ethyl-pyrazolo [1,5-a] pyrimidine-3-carboxylic acid (3-sulfamoyl-phenyl) -amide

표제 화합물을 일반적인 과정 II에 따라 5-(4-클로로-페닐)-7-에틸-피라졸로[1,5-a]피리미딘-3-카복실산(실시예 C.26) 및 3-아미노-벤젠설폰아미드로부터 제조하였다. 담황색 고체. MS(ISP) 454.3[(M-H)-]; 융점 252-253 ℃.The title compound was purified by 5- (4-chloro-phenyl) -7-ethyl-pyrazolo [1,5-a] pyrimidine-3-carboxylic acid (Example C.26) and 3-amino-benzene Prepared from sulfonamides. Pale yellow solid. MS (ISP) 454.3 [(M H) ]; Melting point 252-253 ° C.

실시예Example 158 158

5-(4-클로로-페닐)-7-에틸-피라졸로[1,5-a]피리미딘-3-카복실산 (3-메탄설포닐-페닐)-아미드5- (4-Chloro-phenyl) -7-ethyl-pyrazolo [1,5-a] pyrimidine-3-carboxylic acid (3-methanesulfonyl-phenyl) -amide

표제 화합물을 일반적인 과정 II에 따라 5-(4-클로로-페닐)-7-에틸-피라졸 로[1,5-a]피리미딘-3-카복실산(실시예 C.26) 및 3-메탄설포닐-페닐아민으로부터 제조하였다. 담황색 고체. MS(ISP) 455.92[(M+H)+]; 융점 230-232 ℃.The title compound was purified by 5- (4-chloro-phenyl) -7-ethyl-pyrazolo [1,5-a] pyrimidine-3-carboxylic acid (Example C.26) and 3-methanesulfur Prepared from ponyl-phenylamine. Pale yellow solid. MS (ISP) 455.92 [(MH-H)+ ]; Melting point 230-232 ° C.

실시예Example 159 159

5-(4-클로로-페닐)-7-에틸-피라졸로[1,5-a]피리미딘-3-카복실산 [3-(2-하이드록시-1,1-다이메틸-에틸설파모일)-페닐]-아미드5- (4-Chloro-phenyl) -7-ethyl-pyrazolo [1,5-a] pyrimidine-3-carboxylic acid [3- (2-hydroxy-1,1-dimethyl-ethylsulfamoyl)- Phenyl] -amide

표제 화합물을 일반적인 과정 II에 따라 5-(4-클로로-페닐)-7-에틸-피라졸로[1,5-a]피리미딘-3-카복실산(실시예 C.26) 및 3-아미노-N-(2-하이드록시-1,1-다이메틸-에틸)-벤젠설폰아미드(실시예 B.8)로부터 제조하였다. 담황색 고체. MS(ISP) 528.0[(M+H)+]; 융점 239-240 ℃.The title compound was purified by 5- (4-chloro-phenyl) -7-ethyl-pyrazolo [1,5-a] pyrimidine-3-carboxylic acid (Example C.26) and 3-amino-N. Prepared from-(2-hydroxy-1,1-dimethyl-ethyl) -benzenesulfonamide (Example B.8). Pale yellow solid. MS (ISP) 528.0 [(M + H)+ ]; Melting point 239-240 ° C.

실시예Example 160 160

5-(4-클로로-페닐)-7-프로필-피라졸로[1,5-a]피리미딘-3-카복실산 (3-설파모일-페닐)-아미드5- (4-Chloro-phenyl) -7-propyl-pyrazolo [1,5-a] pyrimidine-3-carboxylic acid (3-sulfamoyl-phenyl) -amide

표제 화합물을 일반적인 과정 II에 따라 5-(4-클로로-페닐)-7-프로필-피라졸로[1,5-a]피리미딘-3-카복실산(실시예 C.27) 및 3-아미노-벤젠설폰아미드로부터 제조하였다. 담황색 고체. MS(ISP) 470.5[(M+H)+]; 융점 252-254 ℃.The title compound was purified according to General Procedure II with 5- (4-chloro-phenyl) -7-propyl-pyrazolo [1,5-a] pyrimidine-3-carboxylic acid (Example C.27) and 3-amino-benzene Prepared from sulfonamides. Pale yellow solid. MS (ISP) 470.5 [(M + H)+ ]; Melting point 252-254 ° C.

실시예Example 161 161

5-(4-클로로-페닐)-7-프로필-피라졸로[1,5-a]피리미딘-3-카복실산 (3-메탄설포닐-페닐)-아미드5- (4-Chloro-phenyl) -7-propyl-pyrazolo [1,5-a] pyrimidine-3-carboxylic acid (3-methanesulfonyl-phenyl) -amide

표제 화합물을 일반적인 과정 II에 따라 5-(4-클로로-페닐)-7-프로필-피라졸 로[1,5-a]피리미딘-3-카복실산(실시예 C.27) 및 3-메탄설포닐-페닐아민으로부터 제조하였다. 담황색 고체. MS(ISP) 469.5[(M+H)+]; 융점 214-217 ℃.The title compound was purified by 5- (4-chloro-phenyl) -7-propyl-pyrazolo [1,5-a] pyrimidine-3-carboxylic acid (Example C.27) and 3-methanesulfur Prepared from ponyl-phenylamine. Pale yellow solid. MS (ISP) 469.5 [(M + H)+ ]; Melting point 214-217 ° C.

실시예Example 162 162

5-(4-클로로-페닐)-7-프로필-피라졸로[1,5-a]피리미딘-3-카복실산 [3-(2-하이드록시-1,1-다이메틸-에틸설파모일)-페닐]-아미드5- (4-Chloro-phenyl) -7-propyl-pyrazolo [1,5-a] pyrimidine-3-carboxylic acid [3- (2-hydroxy-1,1-dimethyl-ethylsulfamoyl)- Phenyl] -amide

표제 화합물을 일반적인 과정 II에 따라 5-(4-클로로-페닐)-7-프로필-피라졸로[1,5-a]피리미딘-3-카복실산(실시예 C.27) 및 3-아미노-N-(2-하이드록시-1,1-다이메틸-에틸)-벤젠설폰아미드(실시예 B.8)로부터 제조하였다. 담황색 고체. MS(ISP) 542.3[(M+H)+]; 융점 207-208 ℃.The title compound was purified by 5- (4-chloro-phenyl) -7-propyl-pyrazolo [1,5-a] pyrimidine-3-carboxylic acid (Example C.27) and 3-amino-N. Prepared from-(2-hydroxy-1,1-dimethyl-ethyl) -benzenesulfonamide (Example B.8). Pale yellow solid. MS (ISP) 542.3 [(M + H)+ ]; Melting point 207-208 ° C.

실시예Example 163 163

5-(4-클로로-페닐)-7-사이클로프로필-피라졸로[1,5-a]피리미딘-3-카복실산 (3-설파모일-페닐)-아미드5- (4-Chloro-phenyl) -7-cyclopropyl-pyrazolo [1,5-a] pyrimidine-3-carboxylic acid (3-sulfamoyl-phenyl) -amide

표제 화합물을 일반적인 과정 II에 따라 5-(4-클로로-페닐)-7-사이클로프로필-피라졸로[1,5-a]피리미딘-3-카복실산(실시예 C.28) 및 3-아미노-벤젠설폰아미드로부터 제조하였다. 담황색 고체. MS(ISP) 468.5[(M+H)+].The title compound was prepared according to the general procedure II in 5- (4-chloro-phenyl) -7-cyclopropyl-pyrazolo [1,5-a] pyrimidine-3-carboxylic acid (Example C.28) and 3-amino- Prepared from benzenesulfonamide. Pale yellow solid. MS (ISP) 468.5 [(M + H)+ ].

실시예Example 164 164

5-(4-클로로-페닐)-7-사이클로프로필-피라졸로[1,5-a]피리미딘-3-카복실산 (3-메탄설포닐-페닐)-아미드5- (4-Chloro-phenyl) -7-cyclopropyl-pyrazolo [1,5-a] pyrimidine-3-carboxylic acid (3-methanesulfonyl-phenyl) -amide

표제 화합물을 일반적인 과정 II에 따라 5-(4-클로로-페닐)-7-사이클로프로 필-피라졸로[1,5-a]피리미딘-3-카복실산(실시예 C.28) 및 3-메탄설포닐-페닐아민으로부터 제조하였다. 담황색 고체. MS(ISP) 467.4[(M+H)+]; 융점 235-236 ℃.The title compound was purified using 5- (4-chloro-phenyl) -7-cycloprop-pyrazolo [1,5-a] pyrimidine-3-carboxylic acid (Example C.28) and 3-methane according to General Procedure II. Prepared from sulfonyl-phenylamine. Pale yellow solid. MS (ISP) 467.4 [(M + H)+ ]; Melting point 235-236 ° C.

실시예Example 165 165

5-(4-클로로-페닐)-7-사이클로프로필-피라졸로[1,5-a]피리미딘-3-카복실산 [3-(2-하이드록시-1,1-다이메틸-에틸설파모일)-페닐]-아미드5- (4-Chloro-phenyl) -7-cyclopropyl-pyrazolo [1,5-a] pyrimidine-3-carboxylic acid [3- (2-hydroxy-1,1-dimethyl-ethylsulfamoyl) -Phenyl] -amide

표제 화합물을 일반적인 과정 II에 따라 5-(4-클로로-페닐)-7-사이클로프로필-피라졸로[1,5-a]피리미딘-3-카복실산(실시예 C.28) 및 3-아미노-N-(2-하이드록시-1,1-다이메틸-에틸)-벤젠설폰아미드(실시예 B.8)로부터 제조하였다. 담황색 고체. MS(ISP) 540.5[(M+H)+].The title compound was prepared according to the general procedure II in 5- (4-chloro-phenyl) -7-cyclopropyl-pyrazolo [1,5-a] pyrimidine-3-carboxylic acid (Example C.28) and 3-amino- Prepared from N- (2-hydroxy-1,1-dimethyl-ethyl) -benzenesulfonamide (Example B.8). Pale yellow solid. MS (ISP) 540.5 [(M + H)+ ].

실시예Example 166 166

5-(4-클로로-페닐)-7-사이클로프로필-피라졸로[1,5-a]피리미딘-3-카복실산 (3-3급-부틸설파모일-페닐)-아미드5- (4-Chloro-phenyl) -7-cyclopropyl-pyrazolo [1,5-a] pyrimidine-3-carboxylic acid (3-tert-butylsulfamoyl-phenyl) -amide

표제 화합물을 일반적인 과정 II에 따라 5-(4-클로로-페닐)-7-사이클로프로필-피라졸로[1,5-a]피리미딘-3-카복실산(실시예 C.28) 및 3-아미노-N-3급-부틸-벤젠설폰아미드로부터 제조하였다. 담황색 고체. MS(ISP) 524.5[(M+H)+]; 융점 238-239 ℃.The title compound was prepared according to the general procedure II in 5- (4-chloro-phenyl) -7-cyclopropyl-pyrazolo [1,5-a] pyrimidine-3-carboxylic acid (Example C.28) and 3-amino- Prepared from N-tert-butyl-benzenesulfonamide. Pale yellow solid. MS (ISP) 524.5 [(M + H)+ ]; Melting point 238-239 ° C.

실시예Example 167 167

5-(4-클로로-페닐)-7-사이클로프로필-피라졸로[1,5-a]피리미딘-3-카복실산 [3-((S)-2-하이드록시메틸-피롤리딘-1-설포닐)-페닐]-아미드5- (4-Chloro-phenyl) -7-cyclopropyl-pyrazolo [1,5-a] pyrimidine-3-carboxylic acid [3-((S) -2-hydroxymethyl-pyrrolidine-1- Sulfonyl) -phenyl] -amide

표제 화합물을 일반적인 과정 II에 따라 5-(4-클로로-페닐)-7-사이클로프로필-피라졸로[1,5-a]피리미딘-3-카복실산(실시예 C.28) 및 (S)-[1-(3-아미노-벤젠설포닐)-피롤리딘-2-일]-메탄올(실시예 B.13)로부터 제조하였다. 담황색 고체. 융점 180-182 ℃.The title compound was prepared according to the general procedure II in 5- (4-chloro-phenyl) -7-cyclopropyl-pyrazolo [1,5-a] pyrimidine-3-carboxylic acid (Example C.28) and (S)- Prepared from [1- (3-Amino-benzenesulfonyl) -pyrrolidin-2-yl] -methanol (Example B.13). Pale yellow solid. Melting point 180-182 ° C.

실시예Example 168 168

5-(4-클로로-페닐)-7-사이클로프로필-피라졸로[1,5-a]피리미딘-3-카복실산 [3-(1-하이드록시메틸-사이클로펜틸설파모일)-페닐]-아미드5- (4-Chloro-phenyl) -7-cyclopropyl-pyrazolo [1,5-a] pyrimidine-3-carboxylic acid [3- (1-hydroxymethyl-cyclopentylsulfamoyl) -phenyl] -amide

표제 화합물을 일반적인 과정 II에 따라 5-(4-클로로-페닐)-7-사이클로프로필-피라졸로[1,5-a]피리미딘-3-카복실산(실시예 C.28) 및 3-아미노-N-(1-하이드록시메틸-사이클로펜틸)-벤젠설폰아미드(실시예 B.13)로부터 제조하였다. 담황색 고체. MS(ISP) 566.3[(M+H)+]; 융점 255-257 ℃.The title compound was prepared according to the general procedure II in 5- (4-chloro-phenyl) -7-cyclopropyl-pyrazolo [1,5-a] pyrimidine-3-carboxylic acid (Example C.28) and 3-amino- Prepared from N- (1-hydroxymethyl-cyclopentyl) -benzenesulfonamide (Example B.13). Pale yellow solid. MS (ISP) 566.3 [(M + H)+ ]; Melting point 255-257 ° C.

실시예Example 169 169

5-(4-클로로-페닐)-7-사이클로프로필-피라졸로[1,5-a]피리미딘-3-카복실산 [5-(2-하이드록시-1,1-다이메틸-에틸설파모일)-2-메틸-페닐]-아미드5- (4-Chloro-phenyl) -7-cyclopropyl-pyrazolo [1,5-a] pyrimidine-3-carboxylic acid [5- (2-hydroxy-1,1-dimethyl-ethylsulfamoyl) -2-methyl-phenyl] -amide

표제 화합물을 일반적인 과정 II에 따라 5-(4-클로로-페닐)-7-사이클로프로필-피라졸로[1,5-a]피리미딘-3-카복실산(실시예 C.28) 및 3-아미노-N-(2-하이드록시-1,1-다이메틸에틸)-4-메틸-벤젠설폰아미드(실시예 B.11)로부터 제조하였다. 담황색 고체. MS(ISP) 554.3[(M+H)+].The title compound was prepared according to the general procedure II in 5- (4-chloro-phenyl) -7-cyclopropyl-pyrazolo [1,5-a] pyrimidine-3-carboxylic acid (Example C.28) and 3-amino- Prepared from N- (2-hydroxy-1,1-dimethylethyl) -4-methyl-benzenesulfonamide (Example B.11). Pale yellow solid. MS (ISP) 554.3 [(M + H)+ ].

실시예Example 170 170

7-사이클로프로필-5-(4-트라이플루오로메틸-페닐)-피라졸로[1,5-a]피리미딘-3-카복실산 (3-설파모일-페닐)-아미드7-Cyclopropyl-5- (4-trifluoromethyl-phenyl) -pyrazolo [1,5-a] pyrimidine-3-carboxylic acid (3-sulfamoyl-phenyl) -amide

표제 화합물을 일반적인 과정 II에 따라 7-사이클로프로필-5-(4-트라이플루오로메틸-페닐)-피라졸로[1,5-a]피리미딘-3-카복실산(실시예 C.29) 및 3-아미노-N-벤젠설폰아미드로부터 제조하였다. 담황색 고체. MS(ISP) 502.3[(M+H)+]; 융점 249-250 ℃.The title compound was converted to 7-cyclopropyl-5- (4-trifluoromethyl-phenyl) -pyrazolo [1,5-a] pyrimidine-3-carboxylic acid (Example C.29) and 3 Prepared from -amino-N-benzenesulfonamide. Pale yellow solid. MS (ISP) 502.3 [(M + H)+ ]; Melting point 249-250 ° C.

실시예Example 171 171

7-사이클로프로필-5-(4-트라이플루오로메틸-페닐)-피라졸로[1,5-a]피리미딘-3-카복실산 (3-메탄설포닐-페닐)-아미드7-cyclopropyl-5- (4-trifluoromethyl-phenyl) -pyrazolo [1,5-a] pyrimidine-3-carboxylic acid (3-methanesulfonyl-phenyl) -amide

표제 화합물을 일반적인 과정 II에 따라 7-사이클로프로필-5-(4-트라이플루오로메틸-페닐)-피라졸로[1,5-a]피리미딘-3-카복실산(실시예 C.29) 및 3-메탄설포닐-페닐아민으로부터 제조하였다. 담황색 고체. MS(ISP) 501.3[(M+H)+]; 융점 231-234 ℃.The title compound was converted to 7-cyclopropyl-5- (4-trifluoromethyl-phenyl) -pyrazolo [1,5-a] pyrimidine-3-carboxylic acid (Example C.29) and 3 Prepared from methanesulfonyl-phenylamine. Pale yellow solid. MS (ISP) 501.3 [(M + H)+ ]; Melting point 231-234 ° C.

실시예Example 172 172

7-사이클로프로필-5-(4-트라이플루오로메틸-페닐)-피라졸로[1,5-a]피리미딘-3-카복실산 [3-(2-하이드록시-1,1-다이메틸-에틸설파모일)-페닐]-아미드7-cyclopropyl-5- (4-trifluoromethyl-phenyl) -pyrazolo [1,5-a] pyrimidine-3-carboxylic acid [3- (2-hydroxy-1,1-dimethyl-ethyl Sulfamoyl) -phenyl] -amide

표제 화합물을 일반적인 과정 II에 따라 7-사이클로프로필-5-(4-트라이플루오로메틸-페닐)-피라졸로[1,5-a]피리미딘-3-카복실산(실시예 C.29) 및 3-아미노-N-(2-하이드록시-1,1-다이메틸-에틸)-벤젠설폰아미드(실시예 B.8)로부터 제조하였다. 담황색 고체. MS(ISP) 574.5[(M+H)+]; 융점 228-230 ℃.The title compound was converted to 7-cyclopropyl-5- (4-trifluoromethyl-phenyl) -pyrazolo [1,5-a] pyrimidine-3-carboxylic acid (Example C.29) and 3 Prepared from -amino-N- (2-hydroxy-1,1-dimethyl-ethyl) -benzenesulfonamide (Example B.8). Pale yellow solid. MS (ISP) 574.5 [(M + H)+ ]; Melting point 228-230 ° C.

실시예Example 173 173

7-사이클로프로필-5-(4-트라이플루오로메틸-페닐)-피라졸로[1,5-a]피리미딘-3-카복실산 (3-3급-부틸설파모일-페닐)-아미드7-Cyclopropyl-5- (4-trifluoromethyl-phenyl) -pyrazolo [1,5-a] pyrimidine-3-carboxylic acid (3-tert-butylsulfamoyl-phenyl) -amide

표제 화합물을 일반적인 과정 II에 따라 7-사이클로프로필-5-(4-트라이플루오로메틸-페닐)-피라졸로[1,5-a]피리미딘-3-카복실산(실시예 C.29) 및 3-아미노-N-3급-부틸-벤젠설폰아미드로부터 제조하였다. 담황색 고체. MS(ISP) 558.2[(M+H)+]; 융점 258-259 ℃.The title compound was converted to 7-cyclopropyl-5- (4-trifluoromethyl-phenyl) -pyrazolo [1,5-a] pyrimidine-3-carboxylic acid (Example C.29) and 3 Prepared from -amino-N-tert-butyl-benzenesulfonamide. Pale yellow solid. MS (ISP) 558.2 [(M + H)+ ]; Melting point 258-259 ° C.

실시예Example 174 174

7-사이클로프로필-5-(4-트라이플루오로메틸-페닐)-피라졸로[1,5-a]피리미딘-3-카복실산 [5-(2-하이드록시-1,1-다이메틸-에틸설파모일)-2-메틸-페닐]-아미드7-cyclopropyl-5- (4-trifluoromethyl-phenyl) -pyrazolo [1,5-a] pyrimidine-3-carboxylic acid [5- (2-hydroxy-1,1-dimethyl-ethyl Sulfamoyl) -2-methyl-phenyl] -amide

표제 화합물을 일반적인 과정 II에 따라 7-사이클로프로필-5-(4-트라이플루오로메틸-페닐)-피라졸로[1,5-a]피리미딘-3-카복실산(실시예 C.29) 및 3-아미노-N-(2-하이드록시-1,1-다이메틸-에틸)-4-메틸-벤젠설폰아미드(실시예 B. 11)로부터 제조하였다. 담황색 고체. 융점 232-233 ℃.The title compound was converted to 7-cyclopropyl-5- (4-trifluoromethyl-phenyl) -pyrazolo [1,5-a] pyrimidine-3-carboxylic acid (Example C.29) and 3 Prepared from -amino-N- (2-hydroxy-1,1-dimethyl-ethyl) -4-methyl-benzenesulfonamide (Example B. 11). Pale yellow solid. Melting point 232-233 ° C.

실시예Example 175 175

7-클로로-5-(4-클로로-페닐)-피라졸로[1,5-a]피리미딘-3-카복실산 (3-메탄설포닐-페닐)-아미드7-Chloro-5- (4-chloro-phenyl) -pyrazolo [1,5-a] pyrimidine-3-carboxylic acid (3-methanesulfonyl-phenyl) -amide

표제 화합물을 일반적인 과정 II에 따라 7-클로로-5-(4-클로로-페닐)-피라졸 로[1,5-a]피리미딘-3-카보닐 클로라이드 및 3-메탄설포닐-페닐아민으로부터 제조하였다. 담황색 고체. MS(ISP) 461.3[(M+H)+]; 융점 253-255 ℃.The title compound was prepared from 7-chloro-5- (4-chloro-phenyl) -pyrazolo [1,5-a] pyrimidine-3-carbonyl chloride and 3-methanesulfonyl-phenylamine according to General Procedure II. Prepared. Pale yellow solid. MS (ISP) 461.3 [(M + H)+ ]; Melting point 253-255 ° C.

출발 물질을 하기의 방식으로 제조하였다:Starting materials were prepared in the following manner:

7-7-클로로Chloro-5-(4--5- (4-클로로Chloro--페닐Phenyl)-)-피라졸로[1,5-a]피리미딘Pyrazolo [1,5-a] pyrimidine-3--3-카보닐Carbonyl 클로라이드 Chloride

다이메틸 설폭사이드(30 ㎖)/2N NaOH(10 ㎖) 중의 에틸 5-(4-클로로-페닐)-7-하이드록시-피라졸로[1,5-a]피리미딘-3-카복실레이트(1.59 g, 5.0 밀리몰)(실시예 C.22, 단계 a)의 혼합물을 1 시간 동안 80 ℃로 가열하고, 백색 침전물이 형성되었다. 물(100 ㎖)을 상기 냉각된 혼합물에 첨가했을 때, 등명한 용액이 형성되었으며, 이를 먼저 다이에틸 에테르로 세척하고 후속적으로 3N HCl을 가하여 pH 2로 산성화시켰다. 백색 침전물을 여과에 의해 단리하고 건조시켜 5-(4-클로로-페닐)-7-하이드록시-피라졸로[1,5-a]피리미딘-3-카보닐산(1.44 g, 99%)을 제공하였다. 백색 고체. MS(ISN) 288.0[(M-H)-]; 융점 258 ℃.Ethyl 5- (4-chloro-phenyl) -7-hydroxy-pyrazolo [1,5-a] pyrimidine-3-carboxylate (1.59 in dimethyl sulfoxide (30 mL) / 2N NaOH (10 mL) g, 5.0 mmol) (Example C.22, step a) were heated to 80 ° C. for 1 hour and a white precipitate formed. When water (100 mL) was added to the cooled mixture, a clear solution formed which was first washed with diethyl ether and subsequently acidified to pH 2 by addition of 3N HCl. The white precipitate was isolated by filtration and dried to give 5- (4-chloro-phenyl) -7-hydroxy-pyrazolo [1,5-a] pyrimidine-3-carbonyl acid (1.44 g, 99%) It was. White solid. MS (ISN) 288.0 [(M H) ]; Melting point 258 ° C.

상기 물질을 옥시 염화 인(4.0 ㎖, 0.15 몰) 및 N,N-다이메틸아닐린(0.19 ㎖, 2 밀리몰)과 함께 100 ℃로 2 시간 동안 가열하였다. 상기 혼합물을 진공 하에서 증발시키고 잔사를 물과 다이클로로메탄 사이에 분배시켰다. 유기 상을 건조시키고(Na2SO4) 진공 하에서 증발시켜 담황색 고체로서 조 표제 화합물(1.6 g)을 제공하였다.The material was heated to 100 ° C. for 2 hours with phosphorus oxychloride (4.0 mL, 0.15 mole) and N, N-dimethylaniline (0.19 mL, 2 mmol). The mixture was evaporated under vacuum and the residue was partitioned between water and dichloromethane. The organic phase was dried (Na2 SO4 ) and evaporated in vacuo to give the crude title compound (1.6 g) as a pale yellow solid.

실시예Example 176 176

5-(4-클로로-페닐)-7-메톡시-피라졸로[1,5-a]피리미딘-3-카복실산(3-메탄설포닐-페 닐)-아미드5- (4-Chloro-phenyl) -7-methoxy-pyrazolo [1,5-a] pyrimidine-3-carboxylic acid (3-methanesulfonyl-phenyl) -amide

표제 화합물을, 7-클로로-5-(4-클로로-페닐)-피라졸로[1,5-a]피리미딘-3-카복실산(3-메탄설포닐-페닐)-아미드(실시예 175)(46 ㎎)를 메탄올(1.5 ㎖) 중의 나트륨 메톡사이드(11 ㎎) 용액과 함께 50 ℃에서 2 시간 동안 교반하고, 이어서 생성물을 물(10 ㎖)의 첨가에 의해 침전시켜 제조하였다. 담황색 고체. MS(ISP)457.5[(M+H)+]; 융점 265 ℃.The title compound was converted to 7-chloro-5- (4-chloro-phenyl) -pyrazolo [1,5-a] pyrimidine-3-carboxylic acid (3-methanesulfonyl-phenyl) -amide (Example 175) ( 46 mg) was prepared by stirring with a solution of sodium methoxide (11 mg) in methanol (1.5 mL) at 50 ° C. for 2 hours, and then the product was precipitated by addition of water (10 mL). Pale yellow solid. MS (ISP) 457.5 [(M + H)+ ]; Melting point 265 ° C.

본 발명의 화합물을 포함하는 약학 조성물의 제조Preparation of a pharmaceutical composition comprising a compound of the present invention

실시예Example I I

하기 조성의 정제를 통상적인 방식으로 제조하였다.Tablets of the following composition were prepared in a conventional manner.

Figure 112006094490118-pct00008
Figure 112006094490118-pct00008

실시예Example II II

하기 조성의 정제를 통상적인 방식으로 제조하였다.Tablets of the following composition were prepared in a conventional manner.

Figure 112006094490118-pct00009
Figure 112006094490118-pct00009

실시예Example III III

하기 조성의 캡슐을 통상적인 방식으로 제조하였다.Capsules of the following composition were prepared in a conventional manner.

Figure 112006094490118-pct00010
Figure 112006094490118-pct00010

적합한 입자 크기, 결정성 락토오즈 및 미정질 셀룰로즈를 갖는 활성 성분을 서로 균질하게 혼합하고, 체질하고, 그 후에 활석 및 마그네슘 스테아레이트를 혼합한다. 최종 혼합물을 적합한 크기의 경질 젤라틴 캡슐에 충전시킨다.The active ingredients with suitable particle size, crystalline lactose and microcrystalline cellulose are homogeneously mixed with each other, sieved and then talc and magnesium stearate are mixed. The final mixture is filled into hard gelatine capsules of suitable size.

Claims (22)

Translated fromKorean
하기 화학식 I의 화합물 또는 그의 약학적으로 허용가능한 염:A compound of formula (I) or a pharmaceutically acceptable salt thereof:화학식 IFormula I
Figure 112007092567145-pct00015
Figure 112007092567145-pct00015
상기 식에서,Wherep는 0 또는 1이고;p is 0 or 1;R1 및 R2는 서로 독립적으로 H; 할로겐; C1~C7 알콕시에 의해 치환되거나 비치환된 C1~C7 알킬; 하나 이상의 할로겐에 의해 치환되거나 비치환된 C1~C7 알콕시; 또는 CF3일 수 있고;R1 and R2 are independently of each other H; halogen; C1 -C7 alkyl unsubstituted or substituted by C1 -C7 alkoxy; C1 -C7 alkoxy unsubstituted or substituted by one or more halogens; Or CF3 ;R3은 C1~C7 알킬; 하이드록시-C1~C7 알킬; 또는 NRaRb이고;R3 is C1 -C7 alkyl; Hydroxy-C1 -C7 alkyl; Or NRa Rb ;이때 Ra 및 Rb는 독립적으로 H; 하나 이상의 하이드록시, 플루오로, C3~C12사이클로알킬, 아릴, 헤테로아릴 또는 NRcRd(여기에서 Rc 및 Rd는 H 및 C1~C7 알킬 중에서 독립적으로 선택된다)에 의해 치환되거나 비치환된 C1~C7 알킬; C3~C12사이클로알킬; 아릴; 및 헤테로아릴로 이루어진 군에서 선택되거나; 또는Wherein Ra and Rb are independently H; By one or more hydroxy, fluoro, C3 -C12 cycloalkyl, aryl, heteroaryl or NRc Rd (where Rc and Rd are independently selected from H and C1 -C7 alkyl) Substituted or unsubstituted C1 -C7 alkyl; C3 -C12 cycloalkyl; Aryl; And heteroaryl; orRa 및 Rb가 이들이 결합된 질소 원자와 함께 치환되거나 비치환된 5- 또는 6-원 헤테로사이클릭 고리를 형성할 수 있고;Ra and Rb together with the nitrogen atom to which they are attached may form a substituted or unsubstituted 5- or 6-membered heterocyclic ring;R4는 H, Cl, C1~C7 알콕시,C3~C12사이클로알킬, 또는 하나 이상의 F에 의해 치환되거나 비치환된 직쇄 C1~C7 알킬이고;R4 is H, Cl, C1 -C7 alkoxy, C3 -C12 cycloalkyl, or straight chain C1 -C7 alkyl unsubstituted or substituted by one or more F;R5는 H; 할로겐 또는 C1~C7 알킬이나, 단R5 is H; Halogen or C1 to C7 alkyl, provided피라졸로[1,5-a]피리미딘-3-카복스아미드, 7-(다이플루오로메틸)-5-(4-메틸페닐)-N-[3-(4-모폴리닐설포닐)페닐];Pyrazolo [1,5-a] pyrimidine-3-carboxamide, 7- (difluoromethyl) -5- (4-methylphenyl) -N- [3- (4-morpholinylsulfonyl) phenyl] ;피라졸로[1,5-a]피리미딘-3-카복스아미드, 7-(다이플루오로메틸)-N-[3-(4-모폴리닐설포닐)페닐]-5-페닐; 및Pyrazolo [1,5-a] pyrimidine-3-carboxamide, 7- (difluoromethyl) -N- [3- (4-morpholinylsulfonyl) phenyl] -5-phenyl; And피라졸로[1,5-a]피리미딘-3-카복스아미드, 7-(다이플루오로메틸)-5-(4-메톡시페닐)-N-[3-(4-모폴리닐설포닐)페닐]의 화합물은 제외하고,Pyrazolo [1,5-a] pyrimidine-3-carboxamide, 7- (difluoromethyl) -5- (4-methoxyphenyl) -N- [3- (4-morpholinylsulfonyl) Phenyl], except이때, 5- 또는 6-원 헤테로사이클릭 고리는 5 또는 6 개의 고리 구성원을 갖고 고리 구성원으로서 하나 이상의 탄소 원자 및 선택적으로 N, O 및 S 중에서 선택된 1, 2 또는 3 개의 추가의 헤테로원자 고리 구성원을 포함하고, 나머지 고리 구성원은 탄소 원자인 헤테로사이클릭 고리를 나타내고;Wherein the 5- or 6-membered heterocyclic ring has 5 or 6 ring members and as ring member one or more carbon atoms and optionally 1, 2 or 3 additional heteroatomic ring members selected from N, O and S Wherein the remaining ring members represent heterocyclic rings that are carbon atoms;헤테로아릴은 N, O 및 S 중에서 선택된 하나 이상의 헤테로원자를 함유하는 방향족 5- 또는 6-원 고리를 나타내며;Heteroaryl represents an aromatic 5- or 6-membered ring containing one or more heteroatoms selected from N, O and S;아릴은 하나의 개별 고리, 또는 하나 이상의 고리가 본질적으로 방향족인 하나 이상의 축합된 고리로 이루어진 방향족 카보사이클릭 기를 나타낸다.Aryl represents an aromatic carbocyclic group consisting of one individual ring or one or more condensed rings in which one or more rings are essentially aromatic.제 1 항에 있어서,The method of claim 1,R1 및 R2가 H, Cl, Me, CF3, MeO, EtO 및 CF3CH2O-로 이루어진 군에서 독립적으로 선택되고;R1 and R2 are independently selected from the group consisting of H, Cl, Me, CF3 , MeO, EtO and CF3 CH2 O—;R3, R4, R5 및 p가 제 1 항에서 정의한 바와 같은 화학식 I의 화합물.A compound of formula I, wherein R3 , R4 , R5 and p are as defined in claim 1.제 1 항에 있어서,The method of claim 1,p가 0 또는 1이고;p is 0 or 1;R1 및 R2가 독립적으로 H; 할로겐; C1~C7 알콕시에 의해 치환되거나 비치환된 C1~C7 알킬; 하나 이상의 할로겐에 의해 치환되거나 비치환된 C1~C7 알콕시; 및 CF3로 이루어진 군에서 선택되고;R1 and R2 are independently H; halogen; C1 -C7 alkyl unsubstituted or substituted by C1 -C7 alkoxy; C1 -C7 alkoxy unsubstituted or substituted by one or more halogens; And CF3 ;R3이 C1~C7 알킬; 하이드록시-C1~C7 알킬; 및 NRaRb로 이루어진 군에서 선택되고, 이때 Ra 및 Rb가 독립적으로 H; 하나 이상의 플루오로, 하이드록시, C3~C12사이클로알킬, 아릴, 헤테로아릴 또는 NRcRd(여기에서 Rc 및 Rd는 H 및 C1~C7 알킬 중에서 독립적으로 선택된다)에 의해 치환되거나 비치환된 C1~C7 알킬; C3~C12사이클로알킬; 아릴; 및 헤테로아릴로 이루어진 군에서 선택되거나; 또는R3 is C1 -C7 alkyl; Hydroxy-C1 -C7 alkyl; And NRa Rb , wherein Ra and Rb are independently H; By one or more fluoro, hydroxy, C3 -C12 cycloalkyl, aryl, heteroaryl or NRc Rd , wherein Rc and Rd are independently selected from H and C1 -C7 alkyl Substituted or unsubstituted C1 -C7 alkyl; C3 -C12 cycloalkyl; Aryl; And heteroaryl; orRa 및 Rb가 이들이 결합된 질소 원자와 함께 4-모폴리닐; 1-피롤리디닐 또는 1-피페라지닐 기를 형성하고;Ra and Rb together with the nitrogen atom to which they are attached are 4-morpholinyl; To form 1-pyrrolidinyl or 1-piperazinyl groups;R4가 H, 사이클로프로필 또는 하나 이상의 F에 의해 치환되거나 비치환된 직쇄 C1~C7 알킬이고;R4 is H, cyclopropyl or straight chain C1 -C7 alkyl unsubstituted or substituted by one or more F;R5가 H; 할로겐 또는 C1~C7 알킬이고,R5 is H; Halogen or C1 -C7 alkyl,이때, 헤테로아릴은 N, O 및 S 중에서 선택된 하나 이상의 헤테로원자를 함유하는 방향족 5- 또는 6-원 고리를 나타내며;Wherein heteroaryl represents an aromatic 5- or 6-membered ring containing at least one heteroatom selected from N, O and S;아릴은 하나의 개별 고리, 또는 하나 이상의 고리가 본질적으로 방향족인 하나 이상의 축합된 고리로 이루어진 방향족 카보사이클릭 기인Aryl is an aromatic carbocyclic group consisting of one individual ring or one or more condensed rings in which one or more rings are essentially aromatic화학식 I의 화합물.Compound of formula (I).제 3 항에 있어서,The method of claim 3, whereinR3이 C1~C7 알킬이고; R1, R2, R4, R5 및 p가 제 3 항에서 정의한 바와 같은 화학식 I의 화합물.R3 is C1 -C7 alkyl; A compound of formula I, wherein R1 , R2 , R4 , R5 and p are as defined in claim 3.제 4 항에 있어서,The method of claim 4, wherein하기로 이루어진 군에서 선택되는 화학식 I의 화합물:A compound of formula I selected from the group consisting of:7-다이플루오로메틸-5-(4-트라이플루오로메틸-페닐)-피라졸로[1,5-a]피리미딘-3-카복실산(3-메탄설포닐-페닐)-아미드;7-difluoromethyl-5- (4-trifluoromethyl-phenyl) -pyrazolo [1,5-a] pyrimidine-3-carboxylic acid (3-methanesulfonyl-phenyl) -amide;7-트라이플루오로메틸-5-(4-트라이플루오로메틸-페닐)-피라졸로[1,5-a]피리미딘-3-카복실산(3-메탄설포닐-페닐)-아미드;7-trifluoromethyl-5- (4-trifluoromethyl-phenyl) -pyrazolo [1,5-a] pyrimidine-3-carboxylic acid (3-methanesulfonyl-phenyl) -amide;5-(4-클로로-페닐)-7-트라이플루오로메틸-피라졸로[1,5-a]피리미딘-3-카복실산(3-메탄설포닐-페닐)-아미드;5- (4-Chloro-phenyl) -7-trifluoromethyl-pyrazolo [1,5-a] pyrimidine-3-carboxylic acid (3-methanesulfonyl-phenyl) -amide;5-(3,4-다이클로로-페닐)-7-다이플루오로메틸-피라졸로[1,5-a]피리미딘-3-카복실산(3-메탄설포닐-페닐)-아미드;5- (3,4-Dichloro-phenyl) -7-difluoromethyl-pyrazolo [1,5-a] pyrimidine-3-carboxylic acid (3-methanesulfonyl-phenyl) -amide;5-(3,4-다이클로로-페닐)-7-트라이플루오로메틸-피라졸로[1,5-a]피리미딘-3-카복실산(3-메탄설포닐-페닐)-아미드;5- (3,4-Dichloro-phenyl) -7-trifluoromethyl-pyrazolo [1,5-a] pyrimidine-3-carboxylic acid (3-methanesulfonyl-phenyl) -amide;7-다이플루오로메틸-5-(3-메틸-4-트라이플루오로메틸-페닐)-피라졸로[1,5-a]피리미딘-3-카복실산(3-메탄설포닐-페닐)-아미드;7-Difluoromethyl-5- (3-methyl-4-trifluoromethyl-phenyl) -pyrazolo [1,5-a] pyrimidine-3-carboxylic acid (3-methanesulfonyl-phenyl) -amide ;5-(3-메틸-4-트라이플루오로메틸-페닐)-7-트라이플루오로메틸-피라졸로[1,5-a]피리미딘-3-카복실산(3-메탄설포닐-페닐)-아미드;5- (3-Methyl-4-trifluoromethyl-phenyl) -7-trifluoromethyl-pyrazolo [1,5-a] pyrimidine-3-carboxylic acid (3-methanesulfonyl-phenyl) -amide ;5-(3-에톡시-4-트라이플루오로메틸-페닐)-7-트라이플루오로메틸-피라졸로[1,5-a]피리미딘-3-카복실산(3-메탄설포닐-페닐)-아미드;5- (3-Ethoxy-4-trifluoromethyl-phenyl) -7-trifluoromethyl-pyrazolo [1,5-a] pyrimidine-3-carboxylic acid (3-methanesulfonyl-phenyl)- amides;7-다이플루오로메틸-5-(3-에톡시-4-트라이플루오로메틸-페닐)-피라졸로[1,5-a]피리미딘-3-카복실산(3-메탄설포닐-페닐)-아미드;7-Difluoromethyl-5- (3-ethoxy-4-trifluoromethyl-phenyl) -pyrazolo [1,5-a] pyrimidine-3-carboxylic acid (3-methanesulfonyl-phenyl)- amides;5-[3-(2,2,2-트라이플루오로-에톡시)-4-트라이플루오로메틸-페닐]-7-트라이플루오로메틸-피라졸로[1,5-a]피리미딘-3-카복실산(3-메탄설포닐-페닐)-아미드;5- [3- (2,2,2-Trifluoro-ethoxy) -4-trifluoromethyl-phenyl] -7-trifluoromethyl-pyrazolo [1,5-a] pyrimidine-3 Carboxylic acid (3-methanesulfonyl-phenyl) -amide;7-다이플루오로메틸-5-[3-(2,2,2-트라이플루오로-에톡시)-4-트라이플루오로메틸-페닐]-피라졸로[1,5-a]피리미딘-3-카복실산(3-메탄설포닐-페닐)-아미드;7-difluoromethyl-5- [3- (2,2,2-trifluoro-ethoxy) -4-trifluoromethyl-phenyl] -pyrazolo [1,5-a] pyrimidine-3 Carboxylic acid (3-methanesulfonyl-phenyl) -amide;5-(4-클로로-3-메틸-페닐)-7-다이플루오로메틸-피라졸로[1,5-a]피리미딘-3-카복실산(3-메탄설포닐-페닐)-아미드;5- (4-Chloro-3-methyl-phenyl) -7-difluoromethyl-pyrazolo [1,5-a] pyrimidine-3-carboxylic acid (3-methanesulfonyl-phenyl) -amide;5-(3-플루오로-4-트라이플루오로메틸-페닐)-7-트라이플루오로메틸-피라졸로[1,5-a]피리미딘-3-카복실산(3-설파모일-페닐)-아미드;5- (3-Fluoro-4-trifluoromethyl-phenyl) -7-trifluoromethyl-pyrazolo [1,5-a] pyrimidine-3-carboxylic acid (3-sulfamoyl-phenyl) -amide ;5-(3-클로로-4-트라이플루오로메틸-페닐)-7-다이플루오로메틸-피라졸로[1,5-a]피리미딘-3-카복실산(3-메탄설포닐-페닐)-아미드;5- (3-Chloro-4-trifluoromethyl-phenyl) -7-difluoromethyl-pyrazolo [1,5-a] pyrimidine-3-carboxylic acid (3-methanesulfonyl-phenyl) -amide ;7-다이플루오로메틸-5-(3-플루오로-4-트라이플루오로메틸-페닐)-피라졸로[1,5-a]피리미딘-3-카복실산(3-메탄설포닐-페닐)-아미드;7-Difluoromethyl-5- (3-fluoro-4-trifluoromethyl-phenyl) -pyrazolo [1,5-a] pyrimidine-3-carboxylic acid (3-methanesulfonyl-phenyl)- amides;5-(3-클로로-4-트라이플루오로메틸-페닐)-7-트라이플루오로메틸-피라졸로[1,5-a]피리미딘-3-카복실산(3-메탄설포닐-페닐)-아미드;5- (3-Chloro-4-trifluoromethyl-phenyl) -7-trifluoromethyl-pyrazolo [1,5-a] pyrimidine-3-carboxylic acid (3-methanesulfonyl-phenyl) -amide ;5-(3-플루오로-4-트라이플루오로메틸-페닐)-7-트라이플루오로메틸-피라졸로[1,5-a]피리미딘-3-카복실산(3-메탄설포닐-페닐)-아미드;5- (3-Fluoro-4-trifluoromethyl-phenyl) -7-trifluoromethyl-pyrazolo [1,5-a] pyrimidine-3-carboxylic acid (3-methanesulfonyl-phenyl)- amides;7-다이플루오로메틸-5-(4-트라이플루오로메톡시-페닐)-피라졸로[1,5-a]피리미딘-3-카복실산(3-메탄설포닐-페닐)-아미드;7-difluoromethyl-5- (4-trifluoromethoxy-phenyl) -pyrazolo [1,5-a] pyrimidine-3-carboxylic acid (3-methanesulfonyl-phenyl) -amide;5-(4-트라이플루오로메톡시-페닐)-7-트라이플루오로메틸-피라졸로[1,5-a]피리미딘-3-카복실산(3-메탄설포닐-페닐)-아미드;5- (4-Trifluoromethoxy-phenyl) -7-trifluoromethyl-pyrazolo [1,5-a] pyrimidine-3-carboxylic acid (3-methanesulfonyl-phenyl) -amide;5-(3,4-다이플루오로-페닐)-7-트라이플루오로메틸-피라졸로[1,5-a]피리미딘-3-카복실산(3-메탄설포닐-페닐)-아미드;5- (3,4-Difluoro-phenyl) -7-trifluoromethyl-pyrazolo [1,5-a] pyrimidine-3-carboxylic acid (3-methanesulfonyl-phenyl) -amide;5-(4-클로로-페닐)-피라졸로[1,5-a]피리미딘-3-카복실산(3-메탄설포닐-페닐)-아미드;5- (4-Chloro-phenyl) -pyrazolo [1,5-a] pyrimidine-3-carboxylic acid (3-methanesulfonyl-phenyl) -amide;5-(4-트라이플루오로메틸-페닐)-피라졸로[1,5-a]피리미딘-3-카복실산(3-메탄설포닐-페닐)-아미드;5- (4-Trifluoromethyl-phenyl) -pyrazolo [1,5-a] pyrimidine-3-carboxylic acid (3-methanesulfonyl-phenyl) -amide;5-(4-클로로-페닐)-7-메틸-피라졸로[1,5-a]피리미딘-3-카복실산(3-메탄설포닐-페닐)-아미드;5- (4-Chloro-phenyl) -7-methyl-pyrazolo [1,5-a] pyrimidine-3-carboxylic acid (3-methanesulfonyl-phenyl) -amide;7-메틸-5-(4-트라이플루오로메틸-페닐)-피라졸로[1,5-a]피리미딘-3-카복실산(3-메탄설포닐-페닐)-아미드;7-Methyl-5- (4-trifluoromethyl-phenyl) -pyrazolo [1,5-a] pyrimidine-3-carboxylic acid (3-methanesulfonyl-phenyl) -amide;5-(4-클로로-페닐)-7-에틸-피라졸로[1,5-a]피리미딘-3-카복실산(3-메탄설포닐-페닐)-아미드;5- (4-Chloro-phenyl) -7-ethyl-pyrazolo [1,5-a] pyrimidine-3-carboxylic acid (3-methanesulfonyl-phenyl) -amide;5-(4-클로로-페닐)-7-프로필-피라졸로[1,5-a]피리미딘-3-카복실산(3-메탄설포닐-페닐)-아미드;5- (4-Chloro-phenyl) -7-propyl-pyrazolo [1,5-a] pyrimidine-3-carboxylic acid (3-methanesulfonyl-phenyl) -amide;5-(4-클로로-페닐)-7-사이클로프로필-피라졸로[1,5-a]피리미딘-3-카복실산(3-메탄설포닐-페닐)-아미드;5- (4-Chloro-phenyl) -7-cyclopropyl-pyrazolo [1,5-a] pyrimidine-3-carboxylic acid (3-methanesulfonyl-phenyl) -amide;7-사이클로프로필-5-(4-트라이플루오로메틸-페닐)-피라졸로[1,5-a]피리미딘-3-카복실산(3-메탄설포닐-페닐)-아미드;7-cyclopropyl-5- (4-trifluoromethyl-phenyl) -pyrazolo [1,5-a] pyrimidine-3-carboxylic acid (3-methanesulfonyl-phenyl) -amide;7-클로로-5-(4-클로로-페닐)-피라졸로[1,5-a]피리미딘-3-카복실산(3-메탄설포닐-페닐)-아미드; 및7-chloro-5- (4-chloro-phenyl) -pyrazolo [1,5-a] pyrimidine-3-carboxylic acid (3-methanesulfonyl-phenyl) -amide; And5-(4-클로로-페닐)-7-메톡시-피라졸로[1,5-a]피리미딘-3-카복실산(3-메탄설포닐-페닐)-아미드.5- (4-Chloro-phenyl) -7-methoxy-pyrazolo [1,5-a] pyrimidine-3-carboxylic acid (3-methanesulfonyl-phenyl) -amide.제 3 항에 있어서,The method of claim 3, whereinR3이 하이드록시-C1~C7 알킬이고; R1, R2, R4, R5 및 p가 제 3 항에서 정의한 바와 같은 화학식 I의 화합물.R3 is hydroxy-C1 -C7 alkyl; A compound of formula I, wherein R1 , R2 , R4 , R5 and p are as defined in claim 3.제 6 항에 있어서,The method of claim 6,7-트라이플루오로메틸-5-(4-트라이플루오로메틸-페닐)-피라졸로[1,5-a]피리미딘-3-카복실산(3-설파모일메틸-페닐)-아미드; 및7-Trifluoromethyl-5- (4-trifluoromethyl-phenyl) -pyrazolo [1,5-a] pyrimidine-3-carboxylic acid (3-sulfamoylmethyl-phenyl) -amide; And7-다이플루오로메틸-5-(4-트라이플루오로메틸-페닐)-피라졸로[1,5-a]피리미딘-3-카복실산(3-설파모일메틸-페닐)-아미드7-Difluoromethyl-5- (4-trifluoromethyl-phenyl) -pyrazolo [1,5-a] pyrimidine-3-carboxylic acid (3-sulfamoylmethyl-phenyl) -amide로 이루어진 군에서 선택되는 화학식 I의 화합물.A compound of formula I selected from the group consisting of.제 3 항에 있어서,The method of claim 3, whereinR3이 NRaRb이고, 이때 Ra 및 Rb가 독립적으로 H; 하나 이상의 하이드록시, 플루오로, C3~C12사이클로알킬, 아릴, 헤테로아릴 또는 NRcRd(이때 Rc 및 Rd는 H 및 C1~C7 알킬 중에서 독립적으로 선택된다)에 의해 치환되거나 비치환된 C1~C7 알킬; C3~C12사이클로알킬; 아릴; 및 헤테로아릴로 이루어진 기 중에서 선택되고(단, 이때, 헤테로아릴은 N, O 및 S 중에서 선택된 하나 이상의 헤테로원자를 함유하는 방향족 5- 또는 6-원 고리를 나타내고; 아릴은 하나의 개별 고리, 또는 하나 이상의 고리가 본질적으로 방향족인 하나 이상의 축합된 고리로 이루어진 방향족 카보사이클릭 기이다), R1, R2, R4, R5 및 p가 제 3 항에서 정의한 바와 같은 화학식 I의 화합물.R3 is NRa Rb, wherein Ra and Rb are independently H; Substituted by one or more hydroxy, fluoro, C3 -C12 cycloalkyl, aryl, heteroaryl or NRc Rd , wherein Rc and Rd are independently selected from H and C1 -C7 alkyl Or unsubstituted C1 -C7 alkyl; C3 -C12 cycloalkyl; Aryl; And heteroaryl, provided that heteroaryl represents an aromatic 5- or 6-membered ring containing one or more heteroatoms selected from N, O and S; aryl represents one individual ring, or At least one ring is an aromatic carbocyclic group consisting of at least one condensed ring which is essentially aromatic), wherein R1 , R2 , R4 , R5 and p are as defined in claim 3.제 8 항에 있어서,The method of claim 8,7-트라이플루오로메틸-5-(4-트라이플루오로메틸-페닐)-피라졸로[1,5-a]피리미딘-3-카복실산(3-설파모일-페닐)-아미드;7-trifluoromethyl-5- (4-trifluoromethyl-phenyl) -pyrazolo [1,5-a] pyrimidine-3-carboxylic acid (3-sulfamoyl-phenyl) -amide;5-(3-에톡시-4-트라이플루오로메틸-페닐)-7-트라이플루오로메틸-피라졸로[1,5-a]피리미딘-3-카복실산(3-설파모일-페닐)-아미드;5- (3-Ethoxy-4-trifluoromethyl-phenyl) -7-trifluoromethyl-pyrazolo [1,5-a] pyrimidine-3-carboxylic acid (3-sulfamoyl-phenyl) -amide ;7-다이플루오로메틸-5-(3-에톡시-4-트라이플루오로메틸-페닐)-피라졸로[1,5-a]피리미딘-3-카복실산(3-설파모일-페닐)-아미드;7-Difluoromethyl-5- (3-ethoxy-4-trifluoromethyl-phenyl) -pyrazolo [1,5-a] pyrimidine-3-carboxylic acid (3-sulfamoyl-phenyl) -amide ;7-다이플루오로메틸-5-(3-메틸-4-트라이플루오로메틸-페닐)-피라졸로[1,5-a]피리미딘-3-카복실산(3-설파모일-페닐)-아미드;7-Difluoromethyl-5- (3-methyl-4-trifluoromethyl-phenyl) -pyrazolo [1,5-a] pyrimidine-3-carboxylic acid (3-sulfamoyl-phenyl) -amide;5-(3-메틸-4-트라이플루오로메틸-페닐)-7-트라이플루오로메틸-피라졸로[1,5-a]피리미딘-3-카복실산(3-설파모일-페닐)-아미드;5- (3-Methyl-4-trifluoromethyl-phenyl) -7-trifluoromethyl-pyrazolo [1,5-a] pyrimidine-3-carboxylic acid (3-sulfamoyl-phenyl) -amide;5-(3,4-다이클로로-페닐)-7-다이플루오로메틸-피라졸로[1,5-a]피리미딘-3-카복실산(3-설파모일-페닐)-아미드;5- (3,4-Dichloro-phenyl) -7-difluoromethyl-pyrazolo [1,5-a] pyrimidine-3-carboxylic acid (3-sulfamoyl-phenyl) -amide;5-(3,4-다이클로로-페닐)-7-트라이플루오로메틸-피라졸로[1,5-a]피리미딘-3-카복실산(3-설파모일-페닐)-아미드;5- (3,4-Dichloro-phenyl) -7-trifluoromethyl-pyrazolo [1,5-a] pyrimidine-3-carboxylic acid (3-sulfamoyl-phenyl) -amide;5-(4-클로로-페닐)-7-다이플루오로메틸-피라졸로[1,5-a]피리미딘-3-카복실산(3-설파모일-페닐)-아미드;5- (4-Chloro-phenyl) -7-difluoromethyl-pyrazolo [1,5-a] pyrimidine-3-carboxylic acid (3-sulfamoyl-phenyl) -amide;5-(4-클로로-3-메틸-페닐)-7-트라이플루오로메틸-피라졸로[1,5-a]피리미딘-3-카복실산(3-설파모일-페닐)-아미드;5- (4-Chloro-3-methyl-phenyl) -7-trifluoromethyl-pyrazolo [1,5-a] pyrimidine-3-carboxylic acid (3-sulfamoyl-phenyl) -amide;7-다이플루오로메틸-5-(4-트라이플루오로메틸-페닐)-피라졸로[1,5-a]피리미딘-3-카복실산(3-설파모일-페닐)-아미드;7-difluoromethyl-5- (4-trifluoromethyl-phenyl) -pyrazolo [1,5-a] pyrimidine-3-carboxylic acid (3-sulfamoyl-phenyl) -amide;5-(4-클로로-페닐)-7-트라이플루오로메틸-피라졸로[1,5-a]피리미딘-3-카복실산(3-설파모일-페닐)-아미드;5- (4-Chloro-phenyl) -7-trifluoromethyl-pyrazolo [1,5-a] pyrimidine-3-carboxylic acid (3-sulfamoyl-phenyl) -amide;5-[3-(2,2,2-트라이플루오로-에톡시)-4-트라이플루오로메틸-페닐]-7-트라이플루오로메틸-피라졸로[1,5-a]피리미딘-3-카복실산(3-설파모일-페닐)-아미드;5- [3- (2,2,2-Trifluoro-ethoxy) -4-trifluoromethyl-phenyl] -7-trifluoromethyl-pyrazolo [1,5-a] pyrimidine-3 Carboxylic acid (3-sulfamoyl-phenyl) -amide;7-다이플루오로메틸-5-[3-(2,2,2-트라이플루오로-에톡시)-4-트라이플루오로메틸-페닐]-피라졸로[1,5-a]피리미딘-3-카복실산(3-설파모일-페닐)-아미드;7-difluoromethyl-5- [3- (2,2,2-trifluoro-ethoxy) -4-trifluoromethyl-phenyl] -pyrazolo [1,5-a] pyrimidine-3 Carboxylic acid (3-sulfamoyl-phenyl) -amide;5-(4-클로로-3-메틸-페닐)-7-다이플루오로메틸-피라졸로[1,5-a]피리미딘-3-카복실산(3-설파모일-페닐)-아미드;5- (4-Chloro-3-methyl-phenyl) -7-difluoromethyl-pyrazolo [1,5-a] pyrimidine-3-carboxylic acid (3-sulfamoyl-phenyl) -amide;7-트라이플루오로메틸-5-(4-트라이플루오로메틸-페닐)-피라졸로[1,5-a]피리미딘-3-카복실산[3-(2-하이드록시-에탄설포닐)-페닐]-아미드;7-Trifluoromethyl-5- (4-trifluoromethyl-phenyl) -pyrazolo [1,5-a] pyrimidine-3-carboxylic acid [3- (2-hydroxy-ethanesulfonyl) -phenyl ]-amides;7-다이플루오로메틸-5-(4-트라이플루오로메틸-페닐)-피라졸로[1,5-a]피리미딘-3-카복실산[3-(2-하이드록시-에탄설포닐)-페닐]-아미드;7-Difluoromethyl-5- (4-trifluoromethyl-phenyl) -pyrazolo [1,5-a] pyrimidine-3-carboxylic acid [3- (2-hydroxy-ethanesulfonyl) -phenyl ]-amides;7-트라이플루오로메틸-5-(4-트라이플루오로메틸-페닐)-피라졸로[1,5-a]피리미딘-3-카복실산(3-에틸설파모일-페닐)-아미드;7-trifluoromethyl-5- (4-trifluoromethyl-phenyl) -pyrazolo [1,5-a] pyrimidine-3-carboxylic acid (3-ethylsulfamoyl-phenyl) -amide;7-트라이플루오로메틸-5-(4-트라이플루오로메틸-페닐)-피라졸로[1,5-a]피리미딘-3-카복실산(3-다이메틸설파모일-페닐)-아미드;7-trifluoromethyl-5- (4-trifluoromethyl-phenyl) -pyrazolo [1,5-a] pyrimidine-3-carboxylic acid (3-dimethylsulfamoyl-phenyl) -amide;5-(4-클로로-3-메틸-페닐)-7-트라이플루오로메틸-피라졸로[1,5-a]피리미딘-3-카복실산[3-(4-메틸-피페라진-1-설포닐)-페닐]-아미드;5- (4-Chloro-3-methyl-phenyl) -7-trifluoromethyl-pyrazolo [1,5-a] pyrimidine-3-carboxylic acid [3- (4-methyl-piperazin-1-sul Phonyl) -phenyl] -amide;7-다이플루오로메틸-5-(4-트라이플루오로메틸-페닐)-피라졸로[1,5-a]피리미딘-3-카복실산(3-에틸설파모일-페닐)-아미드;7-difluoromethyl-5- (4-trifluoromethyl-phenyl) -pyrazolo [1,5-a] pyrimidine-3-carboxylic acid (3-ethylsulfamoyl-phenyl) -amide;7-다이플루오로메틸-5-(4-트라이플루오로메틸-페닐)-피라졸로[1,5-a]피리미딘-3-카복실산(3-다이메틸설파모일-페닐)-아미드;7-Difluoromethyl-5- (4-trifluoromethyl-phenyl) -pyrazolo [1,5-a] pyrimidine-3-carboxylic acid (3-dimethylsulfamoyl-phenyl) -amide;7-다이플루오로메틸-5-(4-트라이플루오로메틸-페닐)-피라졸로[1,5-a]피리미딘-3-카복실산(3-메틸설파모일-페닐)-아미드;7-difluoromethyl-5- (4-trifluoromethyl-phenyl) -pyrazolo [1,5-a] pyrimidine-3-carboxylic acid (3-methylsulfamoyl-phenyl) -amide;7-다이플루오로메틸-5-(4-트라이플루오로메틸-페닐)-피라졸로[1,5-a]피리미딘-3-카복실산(3-사이클로프로필설파모일-페닐)-아미드;7-difluoromethyl-5- (4-trifluoromethyl-phenyl) -pyrazolo [1,5-a] pyrimidine-3-carboxylic acid (3-cyclopropylsulfamoyl-phenyl) -amide;7-다이플루오로메틸-5-(4-트라이플루오로메틸-페닐)-피라졸로[1,5-a]피리미딘-3-카복실산(3-아이소프로필설파모일-페닐)-아미드;7-difluoromethyl-5- (4-trifluoromethyl-phenyl) -pyrazolo [1,5-a] pyrimidine-3-carboxylic acid (3-isopropylsulfamoyl-phenyl) -amide;7-트라이플루오로메틸-5-(4-트라이플루오로메틸-페닐)-피라졸로[1,5-a]피리미딘-3-카복실산(3-메틸설파모일-페닐)-아미드;7-trifluoromethyl-5- (4-trifluoromethyl-phenyl) -pyrazolo [1,5-a] pyrimidine-3-carboxylic acid (3-methylsulfamoyl-phenyl) -amide;7-트라이플루오로메틸-5-(4-트라이플루오로메틸-페닐)-피라졸로[1,5-a]피리미딘-3-카복실산(3-아이소프로필설파모일-페닐)-아미드;7-trifluoromethyl-5- (4-trifluoromethyl-phenyl) -pyrazolo [1,5-a] pyrimidine-3-carboxylic acid (3-isopropylsulfamoyl-phenyl) -amide;7-다이플루오로메틸-5-(4-트라이플루오로메틸-페닐)-피라졸로[1,5-a]피리미딘-3-카복실산[3-(2,2,2-트라이플루오로-에틸설파모일)-페닐]-아미드;7-Difluoromethyl-5- (4-trifluoromethyl-phenyl) -pyrazolo [1,5-a] pyrimidine-3-carboxylic acid [3- (2,2,2-trifluoro-ethyl Sulfamoyl) -phenyl] -amide;7-트라이플루오로메틸-5-(4-트라이플루오로메틸-페닐)-피라졸로[1,5-a]피리미딘-3-카복실산[3-(2,2,2-트라이플루오로-에틸설파모일)-페닐]-아미드;7-Trifluoromethyl-5- (4-trifluoromethyl-phenyl) -pyrazolo [1,5-a] pyrimidine-3-carboxylic acid [3- (2,2,2-trifluoro-ethyl Sulfamoyl) -phenyl] -amide;5-(3-메틸-4-트라이플루오로메틸-페닐)-7-트라이플루오로메틸-피라졸로[1,5-a]피리미딘-3-카복실산(3-사이클로프로필설파모일-페닐)-아미드;5- (3-Methyl-4-trifluoromethyl-phenyl) -7-trifluoromethyl-pyrazolo [1,5-a] pyrimidine-3-carboxylic acid (3-cyclopropylsulfamoyl-phenyl)- amides;5-(3,4-다이클로로-페닐)-7-트라이플루오로메틸-피라졸로[1,5-a]피리미딘-3-카복실산(3-사이클로프로필설파모일-페닐)-아미드;5- (3,4-Dichloro-phenyl) -7-trifluoromethyl-pyrazolo [1,5-a] pyrimidine-3-carboxylic acid (3-cyclopropylsulfamoyl-phenyl) -amide;5-(4-클로로-페닐)-7-트라이플루오로메틸-피라졸로[1,5-a]피리미딘-3-카복실산(3-사이클로프로필설파모일-페닐)-아미드;5- (4-Chloro-phenyl) -7-trifluoromethyl-pyrazolo [1,5-a] pyrimidine-3-carboxylic acid (3-cyclopropylsulfamoyl-phenyl) -amide;5-(4-클로로-3-메틸-페닐)-7-트라이플루오로메틸-피라졸로[1,5-a]피리미딘-3-카복실산(3-사이클로프로필설파모일-페닐)-아미드;5- (4-Chloro-3-methyl-phenyl) -7-trifluoromethyl-pyrazolo [1,5-a] pyrimidine-3-carboxylic acid (3-cyclopropylsulfamoyl-phenyl) -amide;7-다이플루오로메틸-5-(3-메틸-4-트라이플루오로메틸-페닐)-피라졸로[1,5-a]피리미딘-3-카복실산(3-사이클로프로필설파모일-페닐)-아미드;7-Difluoromethyl-5- (3-methyl-4-trifluoromethyl-phenyl) -pyrazolo [1,5-a] pyrimidine-3-carboxylic acid (3-cyclopropylsulfamoyl-phenyl)- amides;5-(3,4-다이클로로-페닐)-7-다이플루오로메틸-피라졸로[1,5-a]피리미딘-3-카복실산(3-사이클로프로필설파모일-페닐)-아미드;5- (3,4-Dichloro-phenyl) -7-difluoromethyl-pyrazolo [1,5-a] pyrimidine-3-carboxylic acid (3-cyclopropylsulfamoyl-phenyl) -amide;5-(4-클로로-페닐)-7-다이플루오로메틸-피라졸로[1,5-a]피리미딘-3-카복실산(3-사이클로프로필설파모일-페닐)-아미드;5- (4-Chloro-phenyl) -7-difluoromethyl-pyrazolo [1,5-a] pyrimidine-3-carboxylic acid (3-cyclopropylsulfamoyl-phenyl) -amide;7-트라이플루오로메틸-5-(4-트라이플루오로메틸-페닐)-피라졸로[1,5-a]피리미딘-3-카복실산(3-아이소부틸설파모일-페닐)-아미드;7-Trifluoromethyl-5- (4-trifluoromethyl-phenyl) -pyrazolo [1,5-a] pyrimidine-3-carboxylic acid (3-isobutylsulfamoyl-phenyl) -amide;7-트라이플루오로메틸-5-(4-트라이플루오로메틸-페닐)-피라졸로[1,5-a]피리미딘-3-카복실산[3-(사이클로프로필메틸-설파모일)-페닐]-아미드;7-Trifluoromethyl-5- (4-trifluoromethyl-phenyl) -pyrazolo [1,5-a] pyrimidine-3-carboxylic acid [3- (cyclopropylmethyl-sulfamoyl) -phenyl]- amides;7-다이플루오로메틸-5-(3-에톡시-4-트라이플루오로메틸-페닐)-피라졸로[1,5-a]피리미딘-3-카복실산(3-사이클로프로필설파모일-페닐)-아미드;7-Difluoromethyl-5- (3-ethoxy-4-trifluoromethyl-phenyl) -pyrazolo [1,5-a] pyrimidine-3-carboxylic acid (3-cyclopropylsulfamoyl-phenyl) -amides;5-(3-에톡시-4-트라이플루오로메틸-페닐)-7-트라이플루오로메틸-피라졸로[1,5-a]피리미딘-3-카복실산(3-사이클로프로필설파모일-페닐)-아미드;5- (3-Ethoxy-4-trifluoromethyl-phenyl) -7-trifluoromethyl-pyrazolo [1,5-a] pyrimidine-3-carboxylic acid (3-cyclopropylsulfamoyl-phenyl) -amides;7-다이플루오로메틸-5-(4-트라이플루오로메틸-페닐)-피라졸로[1,5-a]피리미딘-3-카복실산(3-아이소부틸설파모일-페닐)-아미드;7-difluoromethyl-5- (4-trifluoromethyl-phenyl) -pyrazolo [1,5-a] pyrimidine-3-carboxylic acid (3-isobutylsulfamoyl-phenyl) -amide;7-다이플루오로메틸-5-(4-트라이플루오로메틸-페닐)-피라졸로[1,5-a]피리미딘-3-카복실산[3-(사이클로프로필메틸-설파모일)-페닐]-아미드;7-difluoromethyl-5- (4-trifluoromethyl-phenyl) -pyrazolo [1,5-a] pyrimidine-3-carboxylic acid [3- (cyclopropylmethyl-sulfamoyl) -phenyl]- amides;7-다이플루오로메틸-5-(4-트라이플루오로메틸-페닐)-피라졸로[1,5-a]피리미딘-3-카복실산(3-벤질설파모일-페닐)-아미드;7-difluoromethyl-5- (4-trifluoromethyl-phenyl) -pyrazolo [1,5-a] pyrimidine-3-carboxylic acid (3-benzylsulfamoyl-phenyl) -amide;7-트라이플루오로메틸-5-(4-트라이플루오로메틸-페닐)-피라졸로[1,5-a]피리미딘-3-카복실산(3-페닐설파모일-페닐)-아미드;7-trifluoromethyl-5- (4-trifluoromethyl-phenyl) -pyrazolo [1,5-a] pyrimidine-3-carboxylic acid (3-phenylsulfamoyl-phenyl) -amide;7-트라이플루오로메틸-5-(4-트라이플루오로메틸-페닐)-피라졸로[1,5-a]피리미딘-3-카복실산(3-벤질설파모일-페닐)-아미드;7-trifluoromethyl-5- (4-trifluoromethyl-phenyl) -pyrazolo [1,5-a] pyrimidine-3-carboxylic acid (3-benzylsulfamoyl-phenyl) -amide;7-트라이플루오로메틸-5-(4-트라이플루오로메틸-페닐)-피라졸로[1,5-a]피리미딘-3-카복실산[3-(2-하이드록시-에틸설파모일)-페닐]-아미드;7-Trifluoromethyl-5- (4-trifluoromethyl-phenyl) -pyrazolo [1,5-a] pyrimidine-3-carboxylic acid [3- (2-hydroxy-ethylsulfamoyl) -phenyl ]-amides;7-다이플루오로메틸-5-(4-트라이플루오로메틸-페닐)-피라졸로[1,5-a]피리미딘-3-카복실산[3-(2-하이드록시-에틸설파모일)-페닐]-아미드;7-Difluoromethyl-5- (4-trifluoromethyl-phenyl) -pyrazolo [1,5-a] pyrimidine-3-carboxylic acid [3- (2-hydroxy-ethylsulfamoyl) -phenyl ]-amides;7-트라이플루오로메틸-5-(4-트라이플루오로메틸-페닐)-피라졸로[1,5-a]피리미딘-3-카복실산(3-트라이플루오로메탄설포닐-페닐)-아미드;7-Trifluoromethyl-5- (4-trifluoromethyl-phenyl) -pyrazolo [1,5-a] pyrimidine-3-carboxylic acid (3-trifluoromethanesulfonyl-phenyl) -amide;7-다이플루오로메틸-5-(4-트라이플루오로메틸-페닐)-피라졸로[1,5-a]피리미딘-3-카복실산(3-트라이플루오로메탄설포닐-페닐)-아미드;7-difluoromethyl-5- (4-trifluoromethyl-phenyl) -pyrazolo [1,5-a] pyrimidine-3-carboxylic acid (3-trifluoromethanesulfonyl-phenyl) -amide;7-다이플루오로메틸-5-(4-트라이플루오로메틸-페닐)-피라졸로[1,5-a]피리미딘-3-카복실산[3-(2,2-다이메틸-프로필설파모일)-페닐]-아미드;7-Difluoromethyl-5- (4-trifluoromethyl-phenyl) -pyrazolo [1,5-a] pyrimidine-3-carboxylic acid [3- (2,2-dimethyl-propylsulfamoyl) -Phenyl] -amide;7-다이플루오로메틸-5-(4-트라이플루오로메틸-페닐)-피라졸로[1,5-a]피리미딘-3-카복실산(3-3급-부틸설파모일-페닐)-아미드;7-difluoromethyl-5- (4-trifluoromethyl-phenyl) -pyrazolo [1,5-a] pyrimidine-3-carboxylic acid (3-tert-butylsulfamoyl-phenyl) -amide;7-트라이플루오로메틸-5-(4-트라이플루오로메틸-페닐)-피라졸로[1,5-a]피리미딘-3-카복실산[3-(2,2-다이메틸-프로필설파모일)-페닐]-아미드;7-trifluoromethyl-5- (4-trifluoromethyl-phenyl) -pyrazolo [1,5-a] pyrimidine-3-carboxylic acid [3- (2,2-dimethyl-propylsulfamoyl) -Phenyl] -amide;7-트라이플루오로메틸-5-(4-트라이플루오로메틸-페닐)-피라졸로[1,5-a]피리미딘-3-카복실산(3-3급-부틸설파모일-페닐)-아미드;7-Trifluoromethyl-5- (4-trifluoromethyl-phenyl) -pyrazolo [1,5-a] pyrimidine-3-carboxylic acid (3-tert-butylsulfamoyl-phenyl) -amide;5-(3-클로로-4-트라이플루오로메틸-페닐)-7-다이플루오로메틸-피라졸로[1,5-a]피리미딘-3-카복실산(3-설파모일-페닐)-아미드;5- (3-Chloro-4-trifluoromethyl-phenyl) -7-difluoromethyl-pyrazolo [1,5-a] pyrimidine-3-carboxylic acid (3-sulfamoyl-phenyl) -amide;7-다이플루오로메틸-5-(3-플루오로-4-트라이플루오로메틸-페닐)-피라졸로[1,5-a]피리미딘-3-카복실산(3-설파모일-페닐)-아미드;7-Difluoromethyl-5- (3-fluoro-4-trifluoromethyl-phenyl) -pyrazolo [1,5-a] pyrimidine-3-carboxylic acid (3-sulfamoyl-phenyl) -amide ;5-(3-클로로-4-트라이플루오로메틸-페닐)-7-트라이플루오로메틸-피라졸로[1,5-a]피리미딘-3-카복실산(3-설파모일-페닐)-아미드;5- (3-Chloro-4-trifluoromethyl-phenyl) -7-trifluoromethyl-pyrazolo [1,5-a] pyrimidine-3-carboxylic acid (3-sulfamoyl-phenyl) -amide;7-다이플루오로메틸-5-(4-트라이플루오로메틸-페닐)-피라졸로[1,5-a]피리미딘-3-카복실산{3-[(피리딘-3-일메틸)-설파모일]-페닐}-아미드;7-difluoromethyl-5- (4-trifluoromethyl-phenyl) -pyrazolo [1,5-a] pyrimidine-3-carboxylic acid {3-[(pyridin-3-ylmethyl) -sulfamoyl ] -Phenyl} -amide;7-트라이플루오로메틸-5-(4-트라이플루오로메틸-페닐)-피라졸로[1,5-a]피리미딘-3-카복실산{3-[(피리딘-3-일메틸)-설파모일]-페닐}-아미드;7-Trifluoromethyl-5- (4-trifluoromethyl-phenyl) -pyrazolo [1,5-a] pyrimidine-3-carboxylic acid {3-[(pyridin-3-ylmethyl) -sulfamoyl ] -Phenyl} -amide;7-다이플루오로메틸-5-(4-트라이플루오로메틸-페닐)-피라졸로[1,5-a]피리미딘-3-카복실산{3-[(피리딘-2-일메틸)-설파모일]-페닐}-아미드;7-difluoromethyl-5- (4-trifluoromethyl-phenyl) -pyrazolo [1,5-a] pyrimidine-3-carboxylic acid {3-[(pyridin-2-ylmethyl) -sulfamoyl ] -Phenyl} -amide;7-트라이플루오로메틸-5-(4-트라이플루오로메틸-페닐)-피라졸로[1,5-a]피리미딘-3-카복실산{3-[(피리딘-2-일메틸)-설파모일]-페닐}-아미드;7-Trifluoromethyl-5- (4-trifluoromethyl-phenyl) -pyrazolo [1,5-a] pyrimidine-3-carboxylic acid {3-[(pyridin-2-ylmethyl) -sulfamoyl ] -Phenyl} -amide;7-다이플루오로메틸-5-(4-트라이플루오로메틸-페닐)-피라졸로[1,5-a]피리미딘-3-카복실산[3-(2-피리딘-4-일-에틸설파모일)-페닐]-아미드;7-Difluoromethyl-5- (4-trifluoromethyl-phenyl) -pyrazolo [1,5-a] pyrimidine-3-carboxylic acid [3- (2-pyridin-4-yl-ethylsulfamoyl ) -Phenyl] -amide;7-트라이플루오로메틸-5-(4-트라이플루오로메틸-페닐)-피라졸로[1,5-a]피리미딘-3-카복실산[3-(2-피리딘-4-일-에틸설파모일)-페닐]-아미드;7-Trifluoromethyl-5- (4-trifluoromethyl-phenyl) -pyrazolo [1,5-a] pyrimidine-3-carboxylic acid [3- (2-pyridin-4-yl-ethylsulfamoyl ) -Phenyl] -amide;7-다이플루오로메틸-5-(4-트라이플루오로메틸-페닐)-피라졸로[1,5-a]피리미딘-3-카복실산[3-(2-하이드록시-1,1-다이메틸-에틸설파모일)-페닐]-아미드;7-Difluoromethyl-5- (4-trifluoromethyl-phenyl) -pyrazolo [1,5-a] pyrimidine-3-carboxylic acid [3- (2-hydroxy-1,1-dimethyl -Ethylsulfamoyl) -phenyl] -amide;7-트라이플루오로메틸-5-(4-트라이플루오로메틸-페닐)-피라졸로[1,5-a]피리미딘-3-카복실산[3-(2-하이드록시-1,1-다이메틸-에틸설파모일)-페닐]-아미드;7-trifluoromethyl-5- (4-trifluoromethyl-phenyl) -pyrazolo [1,5-a] pyrimidine-3-carboxylic acid [3- (2-hydroxy-1,1-dimethyl -Ethylsulfamoyl) -phenyl] -amide;7-다이플루오로메틸-5-(4-트라이플루오로메톡시-페닐)-피라졸로[1,5-a]피리미딘-3-카복실산(3-설파모일-페닐)-아미드;7-difluoromethyl-5- (4-trifluoromethoxy-phenyl) -pyrazolo [1,5-a] pyrimidine-3-carboxylic acid (3-sulfamoyl-phenyl) -amide;5-(4-트라이플루오로메톡시-페닐)-7-트라이플루오로메틸-피라졸로[1,5-a]피리미딘-3-카복실산(3-설파모일-페닐)-아미드;5- (4-Trifluoromethoxy-phenyl) -7-trifluoromethyl-pyrazolo [1,5-a] pyrimidine-3-carboxylic acid (3-sulfamoyl-phenyl) -amide;5-(3,4-다이플루오로-페닐)-7-트라이플루오로메틸-피라졸로[1,5-a]피리미딘-3-카복실산(3-설파모일-페닐)-아미드;5- (3,4-Difluoro-phenyl) -7-trifluoromethyl-pyrazolo [1,5-a] pyrimidine-3-carboxylic acid (3-sulfamoyl-phenyl) -amide;5-(4-클로로-페닐)-7-트라이플루오로메틸-피라졸로[1,5-a]피리미딘-3-카복실산[3-(2-하이드록시-1,1-다이메틸-에틸설파모일)-페닐]-아미드;5- (4-Chloro-phenyl) -7-trifluoromethyl-pyrazolo [1,5-a] pyrimidine-3-carboxylic acid [3- (2-hydroxy-1,1-dimethyl-ethylsulfa Moyl) -phenyl] -amide;5-(3-클로로-4-트라이플루오로메틸-페닐)-7-트라이플루오로메틸-피라졸로[1,5-a]피리미딘-3-카복실산[3-(2-하이드록시-1,1-다이메틸-에틸설파모일)-페닐]-아미드;5- (3-Chloro-4-trifluoromethyl-phenyl) -7-trifluoromethyl-pyrazolo [1,5-a] pyrimidine-3-carboxylic acid [3- (2-hydroxy-1, 1-dimethyl-ethylsulfamoyl) -phenyl] -amide;5-[3-(2,2,2-트라이플루오로-에톡시)-4-트라이플루오로메틸-페닐]-7-트라이플루오로메틸-피라졸로[1,5-a]피리미딘-3-카복실산[3-(2-하이드록시-1,1-다이메틸-에틸설파모일)-페닐]-아미드;5- [3- (2,2,2-Trifluoro-ethoxy) -4-trifluoromethyl-phenyl] -7-trifluoromethyl-pyrazolo [1,5-a] pyrimidine-3 Carboxylic acid [3- (2-hydroxy-1,1-dimethyl-ethylsulfamoyl) -phenyl] -amide;5-(3-메틸-4-트라이플루오로메틸-페닐)-7-트라이플루오로메틸-피라졸로[1,5-a]피리미딘-3-카복실산[3-(2-하이드록시-1,1-다이메틸-에틸설파모일)-페닐]-아미드;5- (3-Methyl-4-trifluoromethyl-phenyl) -7-trifluoromethyl-pyrazolo [1,5-a] pyrimidine-3-carboxylic acid [3- (2-hydroxy-1, 1-dimethyl-ethylsulfamoyl) -phenyl] -amide;5-(3-에톡시-4-트라이플루오로메틸-페닐)-7-트라이플루오로메틸-피라졸로[1,5-a]피리미딘-3-카복실산[3-(2-하이드록시-1,1-다이메틸-에틸설파모일)-페닐]-아미드;5- (3-Ethoxy-4-trifluoromethyl-phenyl) -7-trifluoromethyl-pyrazolo [1,5-a] pyrimidine-3-carboxylic acid [3- (2-hydroxy-1 , 1-dimethyl-ethylsulfamoyl) -phenyl] -amide;5-(3,4-다이클로로-페닐)-7-트라이플루오로메틸-피라졸로[1,5-a]피리미딘-3-카복실산[3-(2-하이드록시-1,1-다이메틸-에틸설파모일)-페닐]-아미드;5- (3,4-Dichloro-phenyl) -7-trifluoromethyl-pyrazolo [1,5-a] pyrimidine-3-carboxylic acid [3- (2-hydroxy-1,1-dimethyl -Ethylsulfamoyl) -phenyl] -amide;5-(3-플루오로-4-트라이플루오로메틸-페닐)-7-트라이플루오로메틸-피라졸로[1,5-a]피리미딘-3-카복실산[3-(2-하이드록시-1,1-다이메틸-에틸설파모일)-페닐]-아미드;5- (3-Fluoro-4-trifluoromethyl-phenyl) -7-trifluoromethyl-pyrazolo [1,5-a] pyrimidine-3-carboxylic acid [3- (2-hydroxy-1 , 1-dimethyl-ethylsulfamoyl) -phenyl] -amide;5-(4-트라이플루오로메톡시-페닐)-7-트라이플루오로메틸-피라졸로[1,5-a]피리미딘-3-카복실산[3-(2-하이드록시-1,1-다이메틸-에틸설파모일)-페닐]-아미드;5- (4-Trifluoromethoxy-phenyl) -7-trifluoromethyl-pyrazolo [1,5-a] pyrimidine-3-carboxylic acid [3- (2-hydroxy-1,1-dimethyl -Ethylsulfamoyl) -phenyl] -amide;5-(4-클로로-페닐)-7-다이플루오로메틸-피라졸로[1,5-a]피리미딘-3-카복실산[3-(2-하이드록시-1,1-다이메틸-에틸설파모일)-페닐]-아미드;5- (4-Chloro-phenyl) -7-difluoromethyl-pyrazolo [1,5-a] pyrimidine-3-carboxylic acid [3- (2-hydroxy-1,1-dimethyl-ethylsulfa Moyl) -phenyl] -amide;7-다이플루오로메틸-5-(3-에톡시-4-트라이플루오로메틸-페닐)-피라졸로[1,5-a]피리미딘-3-카복실산[3-(2-하이드록시-1,1-다이메틸-에틸설파모일)-페닐]-아미드;7-Difluoromethyl-5- (3-ethoxy-4-trifluoromethyl-phenyl) -pyrazolo [1,5-a] pyrimidine-3-carboxylic acid [3- (2-hydroxy-1 , 1-dimethyl-ethylsulfamoyl) -phenyl] -amide;7-다이플루오로메틸-5-(4-트라이플루오로메틸-페닐)-피라졸로[1,5-a]피리미딘-3-카복실산(4-메틸-3-설파모일-페닐)-아미드;7-difluoromethyl-5- (4-trifluoromethyl-phenyl) -pyrazolo [1,5-a] pyrimidine-3-carboxylic acid (4-methyl-3-sulfamoyl-phenyl) -amide;7-트라이플루오로메틸-5-(4-트라이플루오로메틸-페닐)-피라졸로[1,5-a]피리미딘-3-카복실산(4-메틸-3-설파모일-페닐)-아미드;7-trifluoromethyl-5- (4-trifluoromethyl-phenyl) -pyrazolo [1,5-a] pyrimidine-3-carboxylic acid (4-methyl-3-sulfamoyl-phenyl) -amide;7-다이플루오로메틸-5-(4-트라이플루오로메틸-페닐)-피라졸로[1,5-a]피리미딘-3-카복실산{3-[비스-(2-하이드록시-에틸)-설파모일]-페닐}-아미드;7-Difluoromethyl-5- (4-trifluoromethyl-phenyl) -pyrazolo [1,5-a] pyrimidine-3-carboxylic acid {3- [bis- (2-hydroxy-ethyl)- Sulfamoyl] -phenyl} -amide;7-트라이플루오로메틸-5-(4-트라이플루오로메틸-페닐)-피라졸로[1,5-a]피리미딘-3-카복실산{3-[비스-(2-하이드록시-에틸)-설파모일]-페닐}-아미드;7-Trifluoromethyl-5- (4-trifluoromethyl-phenyl) -pyrazolo [1,5-a] pyrimidine-3-carboxylic acid {3- [bis- (2-hydroxy-ethyl)- Sulfamoyl] -phenyl} -amide;7-다이플루오로메틸-5-(4-트라이플루오로메틸-페닐)-피라졸로[1,5-a]피리미딘-3-카복실산[3-(2-하이드록시-1-하이드록시메틸-1-메틸-에틸설파모일)-페닐]-아미드;7-difluoromethyl-5- (4-trifluoromethyl-phenyl) -pyrazolo [1,5-a] pyrimidine-3-carboxylic acid [3- (2-hydroxy-1-hydroxymethyl- 1-methyl-ethylsulfamoyl) -phenyl] -amide;7-트라이플루오로메틸-5-(4-트라이플루오로메틸-페닐)-피라졸로[1,5-a]피리미딘-3-카복실산[3-(2-하이드록시-1-하이드록시메틸-1-메틸-에틸설파모일)-페닐]-아미드;7-Trifluoromethyl-5- (4-trifluoromethyl-phenyl) -pyrazolo [1,5-a] pyrimidine-3-carboxylic acid [3- (2-hydroxy-1-hydroxymethyl- 1-methyl-ethylsulfamoyl) -phenyl] -amide;7-트라이플루오로메틸-5-(4-트라이플루오로메틸-페닐)-피라졸로[1,5-a]피리미딘-3-카복실산(2-메틸-5-설파모일-페닐)-아미드;7-Trifluoromethyl-5- (4-trifluoromethyl-phenyl) -pyrazolo [1,5-a] pyrimidine-3-carboxylic acid (2-methyl-5-sulfamoyl-phenyl) -amide;7-다이플루오로메틸-5-(4-트라이플루오로메틸-페닐)-피라졸로[1,5-a]피리미딘-3-카복실산(2-메틸-5-설파모일-페닐)-아미드;7-difluoromethyl-5- (4-trifluoromethyl-phenyl) -pyrazolo [1,5-a] pyrimidine-3-carboxylic acid (2-methyl-5-sulfamoyl-phenyl) -amide;7-트라이플루오로메틸-5-(4-트라이플루오로메틸-페닐)-피라졸로[1,5-a]피리미딘-3-카복실산(2-클로로-5-설파모일-페닐)-아미드;7-Trifluoromethyl-5- (4-trifluoromethyl-phenyl) -pyrazolo [1,5-a] pyrimidine-3-carboxylic acid (2-chloro-5-sulfamoyl-phenyl) -amide;7-다이플루오로메틸-5-(4-트라이플루오로메틸-페닐)-피라졸로[1,5-a]피리미딘-3-카복실산(2-클로로-5-설파모일-페닐)-아미드;7-difluoromethyl-5- (4-trifluoromethyl-phenyl) -pyrazolo [1,5-a] pyrimidine-3-carboxylic acid (2-chloro-5-sulfamoyl-phenyl) -amide;7-트라이플루오로메틸-5-(4-트라이플루오로메틸-페닐)-피라졸로[1,5-a]피리미딘-3-카복실산[2-클로로-5-(2-하이드록시-1,1-다이메틸-에틸설파모일)-페닐]-아미드;7-trifluoromethyl-5- (4-trifluoromethyl-phenyl) -pyrazolo [1,5-a] pyrimidine-3-carboxylic acid [2-chloro-5- (2-hydroxy-1, 1-dimethyl-ethylsulfamoyl) -phenyl] -amide;7-다이플루오로메틸-5-(4-트라이플루오로메틸-페닐)-피라졸로[1,5-a]피리미딘-3-카복실산[2-클로로-5-(2-하이드록시-1,1-다이메틸-에틸설파모일)-페닐]-아미드;7-difluoromethyl-5- (4-trifluoromethyl-phenyl) -pyrazolo [1,5-a] pyrimidine-3-carboxylic acid [2-chloro-5- (2-hydroxy-1, 1-dimethyl-ethylsulfamoyl) -phenyl] -amide;7-트라이플루오로메틸-5-(4-트라이플루오로메틸-페닐)-피라졸로[1,5-a]피리미딘-3-카복실산[5-(2-하이드록시-1,1-다이메틸-에틸설파모일)-2-메틸-페닐]-아미드;7-Trifluoromethyl-5- (4-trifluoromethyl-phenyl) -pyrazolo [1,5-a] pyrimidine-3-carboxylic acid [5- (2-hydroxy-1,1-dimethyl -Ethylsulfamoyl) -2-methyl-phenyl] -amide;7-다이플루오로메틸-5-(4-트라이플루오로메틸-페닐)-피라졸로[1,5-a]피리미딘-3-카복실산[5-(2-하이드록시-1,1-다이메틸-에틸설파모일)-2-메틸-페닐]-아미드;7-Difluoromethyl-5- (4-trifluoromethyl-phenyl) -pyrazolo [1,5-a] pyrimidine-3-carboxylic acid [5- (2-hydroxy-1,1-dimethyl -Ethylsulfamoyl) -2-methyl-phenyl] -amide;7-다이플루오로메틸-5-(4-트라이플루오로메틸-페닐)-피라졸로[1,5-a]피리미딘-3-카복실산[3-(2-다이메틸아미노-에틸설파모일)-페닐]-아미드;7-Difluoromethyl-5- (4-trifluoromethyl-phenyl) -pyrazolo [1,5-a] pyrimidine-3-carboxylic acid [3- (2-dimethylamino-ethylsulfamoyl)- Phenyl] -amide;7-트라이플루오로메틸-5-(4-트라이플루오로메틸-페닐)-피라졸로[1,5-a]피리미딘-3-카복실산[3-(2-다이메틸아미노-에틸설파모일)-페닐]-아미드;7-Trifluoromethyl-5- (4-trifluoromethyl-phenyl) -pyrazolo [1,5-a] pyrimidine-3-carboxylic acid [3- (2-dimethylamino-ethylsulfamoyl)- Phenyl] -amide;5-(4-클로로-페닐)-7-트라이플루오로메틸-피라졸로[1,5-a]피리미딘-3-카복실산[3-(1-하이드록시메틸-사이클로펜틸설파모일)-페닐]-아미드;5- (4-Chloro-phenyl) -7-trifluoromethyl-pyrazolo [1,5-a] pyrimidine-3-carboxylic acid [3- (1-hydroxymethyl-cyclopentylsulfamoyl) -phenyl] -amides;5-(4-클로로-페닐)-피라졸로[1,5-a]피리미딘-3-카복실산(3-설파모일-페닐)-아미드;5- (4-Chloro-phenyl) -pyrazolo [1,5-a] pyrimidine-3-carboxylic acid (3-sulfamoyl-phenyl) -amide;5-(4-트라이플루오로메틸-페닐)-피라졸로[1,5-a]피리미딘-3-카복실산(3-설파모일-페닐)-아미드;5- (4-Trifluoromethyl-phenyl) -pyrazolo [1,5-a] pyrimidine-3-carboxylic acid (3-sulfamoyl-phenyl) -amide;5-(4-클로로-페닐)-7-메틸-피라졸로[1,5-a]피리미딘-3-카복실산(3-설파모일-페닐)-아미드;5- (4-Chloro-phenyl) -7-methyl-pyrazolo [1,5-a] pyrimidine-3-carboxylic acid (3-sulfamoyl-phenyl) -amide;5-(4-클로로-페닐)-7-메틸-피라졸로[1,5-a]피리미딘-3-카복실산[3-(2-하이드록시-1,1-다이메틸-에틸설파모일)-페닐]-아미드;5- (4-Chloro-phenyl) -7-methyl-pyrazolo [1,5-a] pyrimidine-3-carboxylic acid [3- (2-hydroxy-1,1-dimethyl-ethylsulfamoyl)- Phenyl] -amide;7-메틸-5-(4-트라이플루오로메틸-페닐)-피라졸로[1,5-a]피리미딘-3-카복실산(3-설파모일-페닐)-아미드;7-Methyl-5- (4-trifluoromethyl-phenyl) -pyrazolo [1,5-a] pyrimidine-3-carboxylic acid (3-sulfamoyl-phenyl) -amide;5-(4-클로로-페닐)-7-에틸-피라졸로[1,5-a]피리미딘-3-카복실산(3-설파모일-페닐)-아미드;5- (4-Chloro-phenyl) -7-ethyl-pyrazolo [1,5-a] pyrimidine-3-carboxylic acid (3-sulfamoyl-phenyl) -amide;5-(4-클로로-페닐)-7-에틸-피라졸로[1,5-a]피리미딘-3-카복실산[3-(2-하이드록시-1,1-다이메틸-에틸설파모일)-페닐]-아미드;5- (4-Chloro-phenyl) -7-ethyl-pyrazolo [1,5-a] pyrimidine-3-carboxylic acid [3- (2-hydroxy-1,1-dimethyl-ethylsulfamoyl)- Phenyl] -amide;5-(4-클로로-페닐)-7-프로필-피라졸로[1,5-a]피리미딘-3-카복실산(3-설파모일-페닐)-아미드;5- (4-Chloro-phenyl) -7-propyl-pyrazolo [1,5-a] pyrimidine-3-carboxylic acid (3-sulfamoyl-phenyl) -amide;5-(4-클로로-페닐)-7-프로필-피라졸로[1,5-a]피리미딘-3-카복실산[3-(2-하이드록시-1,1-다이메틸-에틸설파모일)-페닐]-아미드;5- (4-Chloro-phenyl) -7-propyl-pyrazolo [1,5-a] pyrimidine-3-carboxylic acid [3- (2-hydroxy-1,1-dimethyl-ethylsulfamoyl)- Phenyl] -amide;5-(4-클로로-페닐)-7-사이클로프로필-피라졸로[1,5-a]피리미딘-3-카복실산(3-설파모일-페닐)-아미드;5- (4-Chloro-phenyl) -7-cyclopropyl-pyrazolo [1,5-a] pyrimidine-3-carboxylic acid (3-sulfamoyl-phenyl) -amide;5-(4-클로로-페닐)-7-사이클로프로필-피라졸로[1,5-a]피리미딘-3-카복실산[3-(2-하이드록시-1,1-다이메틸-에틸설파모일)-페닐]-아미드;5- (4-Chloro-phenyl) -7-cyclopropyl-pyrazolo [1,5-a] pyrimidine-3-carboxylic acid [3- (2-hydroxy-1,1-dimethyl-ethylsulfamoyl) -Phenyl] -amide;5-(4-클로로-페닐)-7-사이클로프로필-피라졸로[1,5-a]피리미딘-3-카복실산(3-3급-부틸설파모일-페닐)-아미드;5- (4-Chloro-phenyl) -7-cyclopropyl-pyrazolo [1,5-a] pyrimidine-3-carboxylic acid (tert-butylsulfamoyl-phenyl) -amide;5-(4-클로로-페닐)-7-사이클로프로필-피라졸로[1,5-a]피리미딘-3-카복실산[3-(1-하이드록시메틸-사이클로펜틸설파모일)-페닐]-아미드;5- (4-Chloro-phenyl) -7-cyclopropyl-pyrazolo [1,5-a] pyrimidine-3-carboxylic acid [3- (1-hydroxymethyl-cyclopentylsulfamoyl) -phenyl] -amide ;5-(4-클로로-페닐)-7-사이클로프로필-피라졸로[1,5-a]피리미딘-3-카복실산[5-(2-하이드록시-1,1-다이메틸-에틸설파모일)-2-메틸-페닐]-아미드;5- (4-Chloro-phenyl) -7-cyclopropyl-pyrazolo [1,5-a] pyrimidine-3-carboxylic acid [5- (2-hydroxy-1,1-dimethyl-ethylsulfamoyl) -2-methyl-phenyl] -amide;7-사이클로프로필-5-(4-트라이플루오로메틸-페닐)-피라졸로[1,5-a]피리미딘-3-카복실산(3-설파모일-페닐)-아미드;7-cyclopropyl-5- (4-trifluoromethyl-phenyl) -pyrazolo [1,5-a] pyrimidine-3-carboxylic acid (3-sulfamoyl-phenyl) -amide;7-사이클로프로필-5-(4-트라이플루오로메틸-페닐)-피라졸로[1,5-a]피리미딘-3-카복실산[3-(2-하이드록시-1,1-다이메틸-에틸설파모일)-페닐]-아미드;7-cyclopropyl-5- (4-trifluoromethyl-phenyl) -pyrazolo [1,5-a] pyrimidine-3-carboxylic acid [3- (2-hydroxy-1,1-dimethyl-ethyl Sulfamoyl) -phenyl] -amide;7-사이클로프로필-5-(4-트라이플루오로메틸-페닐)-피라졸로[1,5-a]피리미딘-3-카복실산(3-3급-부틸설파모일-페닐)-아미드; 및7-cyclopropyl-5- (4-trifluoromethyl-phenyl) -pyrazolo [1,5-a] pyrimidine-3-carboxylic acid (3-tert-butylsulfamoyl-phenyl) -amide; And7-사이클로프로필-5-(4-트라이플루오로메틸-페닐)-피라졸로[1,5-a]피리미딘-3-카복실산[5-(2-하이드록시-1,1-다이메틸-에틸설파모일)-2-메틸-페닐]-아미드7-cyclopropyl-5- (4-trifluoromethyl-phenyl) -pyrazolo [1,5-a] pyrimidine-3-carboxylic acid [5- (2-hydroxy-1,1-dimethyl-ethyl Sulfamoyl) -2-methyl-phenyl] -amide로 이루어진 군에서 선택되는 화학식 I의 화합물.A compound of formula I selected from the group consisting of.제 3 항에 있어서,The method of claim 3, whereinR3이 4-모폴리닐이고, R1, R2, R4, R5 및 p가 제 3 항에서 정의한 바와 같은 화학식 I의 화합물.A compound of formula I, wherein R3 is 4-morpholinyl and R1 , R2 , R4 , R5 and p are as defined in claim 3.제 10 항에 있어서,The method of claim 10,7-트라이플루오로메틸-5-(4-트라이플루오로메틸-페닐)-피라졸로[1,5-a]피리미딘-3-카복실산[3-(모폴린-4-설포닐)-페닐]-아미드;7-trifluoromethyl-5- (4-trifluoromethyl-phenyl) -pyrazolo [1,5-a] pyrimidine-3-carboxylic acid [3- (morpholine-4-sulfonyl) -phenyl] -amides;7-다이플루오로메틸-5-(4-트라이플루오로메틸-페닐)-피라졸로[1,5-a]피리미딘-3-카복실산[3-(모폴린-4-설포닐)-페닐]-아미드;7-difluoromethyl-5- (4-trifluoromethyl-phenyl) -pyrazolo [1,5-a] pyrimidine-3-carboxylic acid [3- (morpholine-4-sulfonyl) -phenyl] -amides;5-(4-클로로-페닐)-7-다이플루오로메틸-피라졸로[1,5-a]피리미딘-3-카복실산[3-(모폴린-4-설포닐)-페닐]-아미드;5- (4-Chloro-phenyl) -7-difluoromethyl-pyrazolo [1,5-a] pyrimidine-3-carboxylic acid [3- (morpholine-4-sulfonyl) -phenyl] -amide;5-(4-클로로-페닐)-7-트라이플루오로메틸-피라졸로[1,5-a]피리미딘-3-카복실산[3-(모폴린-4-설포닐)-페닐]-아미드;5- (4-Chloro-phenyl) -7-trifluoromethyl-pyrazolo [1,5-a] pyrimidine-3-carboxylic acid [3- (morpholine-4-sulfonyl) -phenyl] -amide;7-다이플루오로메틸-5-(3-메틸-4-트라이플루오로메틸-페닐)-피라졸로[1,5-a]피리미딘-3-카복실산[3-(모폴린-4-설포닐)-페닐]-아미드;7-difluoromethyl-5- (3-methyl-4-trifluoromethyl-phenyl) -pyrazolo [1,5-a] pyrimidine-3-carboxylic acid [3- (morpholine-4-sulfonyl ) -Phenyl] -amide;5-(4-클로로-3-메틸-페닐)-7-트라이플루오로메틸-피라졸로[1,5-a]피리미딘-3-카복실산[3-(모폴린-4-설포닐)-페닐]-아미드;5- (4-Chloro-3-methyl-phenyl) -7-trifluoromethyl-pyrazolo [1,5-a] pyrimidine-3-carboxylic acid [3- (morpholine-4-sulfonyl) -phenyl ]-amides;5-(3,4-다이클로로-페닐)-7-다이플루오로메틸-피라졸로[1,5-a]피리미딘-3-카복실산[3-(모폴린-4-설포닐)-페닐]-아미드;5- (3,4-Dichloro-phenyl) -7-difluoromethyl-pyrazolo [1,5-a] pyrimidine-3-carboxylic acid [3- (morpholine-4-sulfonyl) -phenyl] -amides;5-(3,4-다이클로로-페닐)-7-트라이플루오로메틸-피라졸로[1,5-a]피리미딘-3-카복실산[3-(모폴린-4-설포닐)-페닐]-아미드;5- (3,4-Dichloro-phenyl) -7-trifluoromethyl-pyrazolo [1,5-a] pyrimidine-3-carboxylic acid [3- (morpholine-4-sulfonyl) -phenyl] -amides;5-(3-메틸-4-트라이플루오로메틸-페닐)-7-트라이플루오로메틸-피라졸로[1,5-a]피리미딘-3-카복실산[3-(모폴린-4-설포닐)-페닐]-아미드; 및5- (3-Methyl-4-trifluoromethyl-phenyl) -7-trifluoromethyl-pyrazolo [1,5-a] pyrimidine-3-carboxylic acid [3- (morpholine-4-sulfonyl ) -Phenyl] -amide; And5-(3-에톡시-4-트라이플루오로메틸-페닐)-7-트라이플루오로메틸-피라졸로[1,5-a]피리미딘-3-카복실산[3-(모폴린-4-설포닐)-페닐]-아미드5- (3-Ethoxy-4-trifluoromethyl-phenyl) -7-trifluoromethyl-pyrazolo [1,5-a] pyrimidine-3-carboxylic acid [3- (morpholin-4-sulfur Ponyl) -phenyl] -amide로 이루어진 군에서 선택되는 화학식 I의 화합물.A compound of formula I selected from the group consisting of.제 3 항에 있어서,The method of claim 3, whereinR3이 피롤리딘이고; R1, R2, R4, R5 및 p가 제 3 항에서 정의한 바와 같은 화학식 I의 화합물.R3 is pyrrolidine; A compound of formula I, wherein R1 , R2 , R4 , R5 and p are as defined in claim 3.제 12 항에 있어서,The method of claim 12,7-트라이플루오로메틸-5-(4-트라이플루오로메틸-페닐)-피라졸로[1,5-a]피리미딘-3-카복실산[3-(피롤리딘-1-설포닐)-페닐]-아미드;7-Trifluoromethyl-5- (4-trifluoromethyl-phenyl) -pyrazolo [1,5-a] pyrimidine-3-carboxylic acid [3- (pyrrolidine-1-sulfonyl) -phenyl ]-amides;5-(4-클로로-페닐)-7-트라이플루오로메틸-피라졸로[1,5-a]피리미딘-3-카복실산[3-(피롤리딘-1-설포닐)-페닐]-아미드;5- (4-Chloro-phenyl) -7-trifluoromethyl-pyrazolo [1,5-a] pyrimidine-3-carboxylic acid [3- (pyrrolidine-1-sulfonyl) -phenyl] -amide ;7-다이플루오로메틸-5-(3-메틸-4-트라이플루오로메틸-페닐)-피라졸로[1,5-a]피리미딘-3-카복실산[3-(피롤리딘-1-설포닐)-페닐]-아미드;7-Difluoromethyl-5- (3-methyl-4-trifluoromethyl-phenyl) -pyrazolo [1,5-a] pyrimidine-3-carboxylic acid [3- (pyrrolidine-1-sul Phonyl) -phenyl] -amide;5-(4-클로로-3-메틸-페닐)-7-트라이플루오로메틸-피라졸로[1,5-a]피리미딘-3-카복실산[3-(피롤리딘-1-설포닐)-페닐]-아미드;5- (4-Chloro-3-methyl-phenyl) -7-trifluoromethyl-pyrazolo [1,5-a] pyrimidine-3-carboxylic acid [3- (pyrrolidine-1-sulfonyl)- Phenyl] -amide;5-(4-클로로-페닐)-7-트라이플루오로메틸-피라졸로[1,5-a]피리미딘-3-카복실산[3-((S)-2-하이드록시메틸-피롤리딘-1-설포닐)-페닐]-아미드; 및5- (4-Chloro-phenyl) -7-trifluoromethyl-pyrazolo [1,5-a] pyrimidine-3-carboxylic acid [3-((S) -2-hydroxymethyl-pyrrolidine- 1-sulfonyl) -phenyl] -amide; And5-(4-클로로-페닐)-7-사이클로프로필-피라졸로[1,5-a]피리미딘-3-카복실산[3-((S)-2-하이드록시메틸-피롤리딘-1-설포닐)-페닐]-아미드5- (4-Chloro-phenyl) -7-cyclopropyl-pyrazolo [1,5-a] pyrimidine-3-carboxylic acid [3-((S) -2-hydroxymethyl-pyrrolidine-1- Sulfonyl) -phenyl] -amide로 이루어진 군에서 선택되는 화학식 I의 화합물.A compound of formula I selected from the group consisting of.하기 화학식 VI의 화합물을 하기 화학식 VII의 화합물과 반응시켜 화학식 I의 화합물을 수득하고, 필요에 따라 상기 화학식 I의 화합물을 그의 약학적으로 허용가능한 부가 염으로 전환시킴을 포함하는, 제 1 항에 정의된 바와 같은 화학식 I의 화합물의 제조방법:The process of claim 1 comprising reacting a compound of formula VI with a compound of formula VII to yield a compound of formula I, and if necessary, converting the compound of formula I to its pharmaceutically acceptable addition salt Process for the preparation of compounds of formula (I) as defined:화학식 VIFormula VI
Figure 112007092567145-pct00016
Figure 112007092567145-pct00016
화학식 VIIFormula VII
Figure 112007092567145-pct00017
Figure 112007092567145-pct00017
상기 식에서,WhereR1, R2, R3, R4, R5 및 p는 제 1 항에서 정의한 바와 같다.R1 , R2 , R3 , R4 , R5 and p are as defined in claim 1.
제 14 항의 제조방법에 따라 제조된 화합물.Compound prepared according to the method of claim 14.정신병, 정신분열증, 알쯔하이머병, 인지 장애, 기억력 결핍, 우회술 또는 이식에 의해 유발된 제한된 뇌 기능, 뇌로의 불충분한 혈액 공급, 척수 손상, 두부 손상, 임신에 의해 유발된 저산소증, 심장 정지, 저혈당증, 급성 및 만성 통증, 헌팅톤 무도병, 근위축성 측삭 경화증(ALS), AIDS에 의해 유발된 치매, 눈 손상, 망막병증, 특발성 파킨슨증, 약물에 의해 유발된 파킨슨증, 및 근육 연축, 경련, 편두통, 요실금, 니코틴 중독, 아편 중독, 불안증, 구토, 운동이상증, 우울증 및 신경아교종으로부터 선택된 글루타메이트-결핍 작용으로 이르게 하는 질병으로 이루어진 군으로부터 선택된 질병 또는 질환의 예방 또는 치료를 위한 제 1 항 내지 제 13 항 중 어느 한 항에 따른 화합물을 함유하는 약학 조성물.Psychosis, schizophrenia, Alzheimer's disease, cognitive impairment, memory deficiency, limited brain function caused by bypass or transplantation, insufficient blood supply to the brain, spinal cord injury, head injury, hypoxia caused by pregnancy, cardiac arrest, hypoglycemia, Acute and chronic pain, Huntington's chorea, atrophic lateral sclerosis (ALS), dementia caused by AIDS, eye damage, retinopathy, idiopathic Parkinsonism, drug-induced parkinsonism, and muscle spasms, cramps, migraine, incontinence, Any one of claims 1 to 13 for the prevention or treatment of a disease or disorder selected from the group consisting of nicotine poisoning, opioid poisoning, anxiety, vomiting, dyskinesia, depression and a disease leading to a glutamate-deficient action selected from glioma. A pharmaceutical composition containing a compound according to claim 1.제 16 항에 있어서,The method of claim 16,정신병, 정신분열증, 알쯔하이머병, 인지 장애, 기억력 결핍 및 신경아교종으로부터 선택된 급성 또는 만성 신경 질환의 치료 또는 예방을 위한 약학 조성물.Pharmaceutical composition for the treatment or prevention of acute or chronic neurological diseases selected from psychosis, schizophrenia, Alzheimer's disease, cognitive impairment, memory deficiency and glioma.제 16 항에 있어서,The method of claim 16,화합물이Compound피라졸로[1,5-a]피리미딘-3-카복스아미드, 7-(다이플루오로메틸)-5-(4-메틸페닐)-N-[3-(4-모폴리닐설포닐)페닐];Pyrazolo [1,5-a] pyrimidine-3-carboxamide, 7- (difluoromethyl) -5- (4-methylphenyl) -N- [3- (4-morpholinylsulfonyl) phenyl] ;피라졸로[1,5-a]피리미딘-3-카복스아미드, 7-(다이플루오로메틸)-N-[3-(4-모폴리닐설포닐)페닐]-5-페닐; 및Pyrazolo [1,5-a] pyrimidine-3-carboxamide, 7- (difluoromethyl) -N- [3- (4-morpholinylsulfonyl) phenyl] -5-phenyl; And피라졸로[1,5-a]피리미딘-3-카복스아미드, 7-(다이플루오로메틸)-5-(4-메톡시페닐)-N-[3-(4-모폴리닐설포닐)페닐]Pyrazolo [1,5-a] pyrimidine-3-carboxamide, 7- (difluoromethyl) -5- (4-methoxyphenyl) -N- [3- (4-morpholinylsulfonyl) Phenyl]로 이루어진 군에서 선택되는 약학 조성물.Pharmaceutical composition selected from the group consisting of.삭제delete삭제delete삭제delete삭제delete
KR1020067026849A2004-06-212005-06-13 Pyrazolo pyrimidine derivativesExpired - Fee RelatedKR100847160B1 (en)

Priority Applications (1)

Application NumberPriority DateFiling DateTitle
KR1020067026849AKR100847160B1 (en)2004-06-212005-06-13 Pyrazolo pyrimidine derivatives

Applications Claiming Priority (2)

Application NumberPriority DateFiling DateTitle
EP04102837.42004-06-21
KR1020067026849AKR100847160B1 (en)2004-06-212005-06-13 Pyrazolo pyrimidine derivatives

Publications (2)

Publication NumberPublication Date
KR20070022774A KR20070022774A (en)2007-02-27
KR100847160B1true KR100847160B1 (en)2008-07-17

Family

ID=41640208

Family Applications (1)

Application NumberTitlePriority DateFiling Date
KR1020067026849AExpired - Fee RelatedKR100847160B1 (en)2004-06-212005-06-13 Pyrazolo pyrimidine derivatives

Country Status (1)

CountryLink
KR (1)KR100847160B1 (en)

Citations (1)

* Cited by examiner, † Cited by third party
Publication numberPriority datePublication dateAssigneeTitle
EP0891978A2 (en)*1997-07-181999-01-20F. Hoffmann-La Roche Ag5H-Thiazolo (3,2-a) pyrimidine derivatives

Patent Citations (1)

* Cited by examiner, † Cited by third party
Publication numberPriority datePublication dateAssigneeTitle
EP0891978A2 (en)*1997-07-181999-01-20F. Hoffmann-La Roche Ag5H-Thiazolo (3,2-a) pyrimidine derivatives

Also Published As

Publication numberPublication date
KR20070022774A (en)2007-02-27

Similar Documents

PublicationPublication DateTitle
RU2378277C2 (en)Pyrazolpyrimidine derivatives
KR100968291B1 (en) Pyrazolo-Pyrimidine Derivatives as MLBL2 Antagonists
US8093263B2 (en)Substituted pyrazolo [1,5-a] pyrimidines as metabotropic glutamate antagonists
KR20140082765A (en)Cyclohexyl-4h,6h-5-oxa-2,3,10b-triaza-benzo[e]azulenes as v1a antagonists
KR100847160B1 (en) Pyrazolo pyrimidine derivatives

Legal Events

DateCodeTitleDescription
A201Request for examination
E13-X000Pre-grant limitation requested

St.27 status event code:A-2-3-E10-E13-lim-X000

P11-X000Amendment of application requested

St.27 status event code:A-2-2-P10-P11-nap-X000

P13-X000Application amended

St.27 status event code:A-2-2-P10-P13-nap-X000

PA0105International application

St.27 status event code:A-0-1-A10-A15-nap-PA0105

PA0201Request for examination

St.27 status event code:A-1-2-D10-D11-exm-PA0201

P11-X000Amendment of application requested

St.27 status event code:A-2-2-P10-P11-nap-X000

P13-X000Application amended

St.27 status event code:A-2-2-P10-P13-nap-X000

R15-X000Change to inventor requested

St.27 status event code:A-3-3-R10-R15-oth-X000

R16-X000Change to inventor recorded

St.27 status event code:A-3-3-R10-R16-oth-X000

PG1501Laying open of application

St.27 status event code:A-1-1-Q10-Q12-nap-PG1501

E902Notification of reason for refusal
PE0902Notice of grounds for rejection

St.27 status event code:A-1-2-D10-D21-exm-PE0902

P11-X000Amendment of application requested

St.27 status event code:A-2-2-P10-P11-nap-X000

P13-X000Application amended

St.27 status event code:A-2-2-P10-P13-nap-X000

E701Decision to grant or registration of patent right
PE0701Decision of registration

St.27 status event code:A-1-2-D10-D22-exm-PE0701

GRNTWritten decision to grant
PR0701Registration of establishment

St.27 status event code:A-2-4-F10-F11-exm-PR0701

PR1002Payment of registration fee

St.27 status event code:A-2-2-U10-U12-oth-PR1002

Fee payment year number:1

PG1601Publication of registration

St.27 status event code:A-4-4-Q10-Q13-nap-PG1601

PR1001Payment of annual fee

St.27 status event code:A-4-4-U10-U11-oth-PR1001

Fee payment year number:4

PR1001Payment of annual fee

St.27 status event code:A-4-4-U10-U11-oth-PR1001

Fee payment year number:5

FPAYAnnual fee payment

Payment date:20130628

Year of fee payment:6

PR1001Payment of annual fee

St.27 status event code:A-4-4-U10-U11-oth-PR1001

Fee payment year number:6

FPAYAnnual fee payment

Payment date:20140627

Year of fee payment:7

PR1001Payment of annual fee

St.27 status event code:A-4-4-U10-U11-oth-PR1001

Fee payment year number:7

LAPSLapse due to unpaid annual fee
PC1903Unpaid annual fee

St.27 status event code:A-4-4-U10-U13-oth-PC1903

Not in force date:20150712

Payment event data comment text:Termination Category : DEFAULT_OF_REGISTRATION_FEE

PC1903Unpaid annual fee

St.27 status event code:N-4-6-H10-H13-oth-PC1903

Ip right cessation event data comment text:Termination Category : DEFAULT_OF_REGISTRATION_FEE

Not in force date:20150712

P22-X000Classification modified

St.27 status event code:A-4-4-P10-P22-nap-X000

R18-X000Changes to party contact information recorded

St.27 status event code:A-5-5-R10-R18-oth-X000


[8]ページ先頭

©2009-2025 Movatter.jp