




도 1은 수율 최대화 자원할당 방법에 따라 동작하는 OFDM/SDMA 기지국의 일실시예 구성도,1 is a block diagram of an embodiment of an OFDM / SDMA base station operating according to a yield maximization resource allocation method;
도 2는 도 1의 기지국에서 수행되는 수율 최대화 자원할당 방법을 설명하는 일실시예 흐름도,FIG. 2 is a flowchart illustrating a method for maximizing yield allocation in the base station of FIG. 1;
도 3은 본 발명에 따른 자원할당 방법에 따라 동작하는 OFDM/SDMA 기지국의 일실시예 구성도,3 is a diagram illustrating an embodiment of an OFDM / SDMA base station operating according to a resource allocation method according to the present invention;
도 4는 도 2의 기지국에서 수행되는 인접셀 간섭정보 및 QoS 정보가 고려된 수율 최대화 자원할당 방법을 설명하는 일실시예 흐름도,4 is a flowchart illustrating a method of maximizing yield allocation in consideration of neighbor cell interference information and QoS information performed in the base station of FIG.
도 5는 본 발명에 따른 혼합 메트릭을 생성하는 방법을 설명하기 위한 일실시예 상세 흐름도이다.5 is a detailed flowchart of an embodiment for describing a method of generating a mixing metric according to the present invention.
* 도면의 주요 부분에 대한 부호의 설명* Explanation of symbols for the main parts of the drawings
320: 서브밴드 할당부340: 빔형성/공간구분부320: subband allocation unit 340: beamforming / spatial division unit
370: 채널상태정보/인접셀간섭정보 획득부370: channel state information / neighbor cell interference information acquisition unit
380: QoS 정보 획득부380: QoS information acquisition unit
본 발명은 OFDM/SDMA 기반 셀룰러 시스템의 하향링크 자원할당 장치 및 방법에 관한 것으로, 더욱 상세하게는 OFDM/SDMA 기반 셀룰러 시스템에서 다양한 트래픽의 개별 QoS를 보장하는 하향링크 자원할당 장치 및 방법에 관한 것이다.The present invention relates to an apparatus and method for downlink resource allocation in an OFDM / SDMA-based cellular system, and more particularly, to an apparatus and method for downlink resource allocation for guaranteeing individual QoS of various traffics in an OFDM / SDMA-based cellular system. .
국내외적으로 4세대 이동통신에 대한 관심이 높아지면서 상기 4 세대 이동통신의 요구 사항을 만족시키기 위한 시스템에 대한 연구가 활발하게 진행되고 있다. 특히, 직교주파수분할다중화(OFDM; Orthogonal Frequency Division Multiplexing) 방식은 높은 전송 효율과 간단한 채널 등화 방식을 지원하는 등의 장점을 가지는 이유로, 4세대 이동통신 시스템에 적용하기에 적절한 방식 가운데 하나로 주목받고 있다. 상기 OFDM 방식은 이미 IEEE 820.11a와 ETSI HIPERLAN/2와 같은 WRAN 시스템, 유럽의 DAB(Digital Audio Broadcasting) 및 DVB(Digital Broadcasting) 시스템, 고정 무선 접속 시스템 IEEE 802.16의 무선 전송 규격 표준으로 채택되어 있다.As the interest in 4G mobile communication increases domestically and internationally, research on a system for satisfying the requirements of the 4G mobile communication has been actively conducted. In particular, Orthogonal Frequency Division Multiplexing (OFDM) is attracting attention as one of the most suitable methods to be applied to the 4th generation mobile communication system because of its advantages such as high transmission efficiency and simple channel equalization. . The OFDM scheme has already been adopted as a wireless transmission standard standard of WRAN systems such as IEEE 820.11a and ETSI HIPERLAN / 2, European Digital Audio Broadcasting (DAB) and Digital Broadcasting (DVB) systems, and fixed wireless access system IEEE 802.16.
이러한 OFDM을 기반으로 하는 다중 접속 방식인 OFDMA(OFDM-FDMA) 방식은 각 사용자에게 서로 다른 서브 캐리어를 할당하는 방식으로서, 사용자의 요구에 맞추어 서브 채널을 할당함으로써 다양한 QoS(Quality of Service)를 제공할 수 있다. 또한, 상기 OFDMA 방식은 사용자의 채널 상황에 따라 서브 캐리어의 변조 및 코딩 레벨을 변화시키는 적응 변조 및 코딩(AMC; Adaptive Modulation and Coding) 방식, 사용자에게 동적으로 서브 캐리어를 할당하는 동적 채널 할당(Dynamic Channel Allocation) 방식 및 워터 필링(Water filling)과 같은 송신단 전력 제어(Transmit Power Control) 방식을 접목함으로써 시스템의 수율을 최대화할 수 있는 장점을 갖는다. 상기와 같은 OFDMA 시스템에서 전송 전력의 제한이 있는 조건에서의 수율 최대화(Throoughput Maximization)을 위한 서브 캐리어 및 비트 할당 알고리즘, 및 전송 데이터율의 제한이 있는 조건에서의 전송 전력을 최소화하는 서브 캐리어 및 비트 할당 알고리즘에 대한 연구는 많이 진행된 상황이다.OFDMA (OFDM-FDMA), which is a multiple access scheme based on OFDM, is a method of allocating different subcarriers to each user, and provides various QoS (Quality of Service) by allocating subchannels according to user needs. can do. In addition, the OFDMA scheme is an adaptive modulation and coding (AMC) scheme that changes the modulation and coding level of a subcarrier according to a channel condition of a user, and a dynamic channel allocation that dynamically allocates a subcarrier to a user. By combining a transmission power control method such as a channel allocation method and a water filling method, the yield of the system can be maximized. Subcarrier and Bit Allocation Algorithm for Throughput Maximization in the Constraints of Transmission Power in the OFDMA System, and Subcarriers and Bits for Minimizing the Transmitting Power in the Constraints of Transmission Data Rate There is a lot of research on the allocation algorithm.
최근에는 OFDMA 시스템의 수율을 더욱 향상시키기 위하여 공간분할다중접속(SDMA; Spatial Division Multiple Access) 방식을 기존의 OFDMA 시스템에 접목시키려는 연구가 진행되고 있다. SDMA 방식은 사용자들의 공간 정보를 이용하여 하나의 섹터 내에서 다수의 사용자들이 동일한 주파수 자원을 동일섹터간섭 없이 사용할 수 있도록 하는 다중 접속 방식이다. 적응형 안테나(Adaptive Antenna) 기술을 이용하는 SDMA 방식을 기지국에 적용할 경우 상기 기지국은 공간적으로 구분 가능한 사용자를 동일 채널에 할당할 수 있으며, 이는 인트라-셀 재사용(Intra-Cell Reuse)을 가능토록 하므로 시스템 수율(Throughput)을 극대화할 수 있다.Recently, in order to further improve the yield of an OFDMA system, a study is being conducted to incorporate a Spatial Division Multiple Access (SDMA) scheme into an existing OFDMA system. The SDMA scheme is a multiple access scheme in which multiple users can use the same frequency resource without interference from the same sector in one sector by using spatial information of the users. When the SDMA method using the adaptive antenna technology is applied to the base station, the base station can assign a spatially distinguishable user to the same channel, which enables intra-cell reuse. Maximize system throughput.
이러한 SDMA 방식을 적용하기 위해서는 사용자 간의 공간적 구분도(Spatial Separability)의 확인이 필수적이다. 여기서 공간적 구분도의 확인이란 동일 섹터 내에 있는 사용자들을 공간적 위치에 따라 구분하는 것을 의미한다. 상향 링크의 경우 동일한 채널(Co-Channel)을 사용하는 동일 채널 사용자 간의 공간 구분을 위해 각각의 사용자에게 적절한 가중 벡터(Weight Vector)를 개별적으로 구하여 적용할 수 있으므로, 사용자의 공간적 구분이 비교적 용이하다. 그러나, 하향 링크의 경우에는 동일 채널 사용자 간의 공간 구분을 위한 빔형성 가중 벡터(Beamforming Weight Vector)를 결정하기가 쉽지 않다. 이는 하향 링크의 경우 상향 링크와 달리 송신단에서 동일 채널 사용자의 데이터를 빔형성하여 함께 보내게 되므로, 한 사용자의 전송 파라미터의 변경이 다른 사용자의 간섭 레벨(Interference Level)에 영향을 주게 되어 QoS를 유지하기가 어려워지기 때문이다. 따라서, 동일 채널의 공간 구분을 위한 빔형성 가중 벡터는 각각의 동일 채널의 QoS를 유지할 수 있도록 선정되어야 한다.In order to apply the SDMA scheme, it is necessary to confirm spatial separation between users. In this case, the identification of the spatial classification means that the users in the same sector are classified according to the spatial location. In the case of the uplink, a weight vector appropriate to each user can be obtained and applied separately for space separation between users on the same channel using the same channel (Co-Channel). . However, in the case of downlink, it is difficult to determine a beamforming weight vector for spatial separation between users of the same channel. Unlike the uplink, since the downlink transmits data of the same channel user at the transmitting end and transmits the data, the transmission parameter of one user affects the interference level of the other user to maintain QoS. Because it is difficult to do. Therefore, the beamforming weight vector for spatial division of the same channel should be selected to maintain QoS of each same channel.
지금까지 SDMA 방식에 대한 대부분의 연구는 PHY(Physical Layer Protocol) 계층에서 주어진 사용자가 있을 때 각각의 사용자 요구 SINR(Signal to Interference and Noise Ratio)을 유지하면서 최적의 가중 벡터(Weight Vector)를 산출하고 전송 전력을 최소화하는 방식에 대한 연구가 주류를 이루어왔다. 그리고, 수율 최적화를 위하여 하나의 채널에 가능한 많은 사용자를 할당하는 MAC(Media Access Control) 계층에 대한 연구가 일부 진행되었다. 하지만 이들을 상호 연관(Joint)시키기 위한 연구는 극히 드문 실정이다.Until now, most researches on the SDMA scheme have produced an optimal weight vector while maintaining each user's required Signal to Interference and Noise Ratio (SINR) for a given user in the Physical Layer Protocol (PHY) layer. Research into how to minimize the transmission power has been mainstream. In addition, some researches have been conducted on the MAC (Media Access Control) layer which allocates as many users as possible to one channel for yield optimization. However, very little research is needed to join them.
또한, 전체 시스템의 성능을 향상시키기 위해서는 PHY 계층 및 MAC 계층 간의 연계 디자인(cross layer design)에 대한 연구가 필요할 뿐만 아니라, 그보다 상위 계층에서 요구하는 QoS를 만족시키기 위한 자원할당 방법도 제안될 필요가 있다. 즉, 현재까지 제안된 대부분의 SDMA 기반의 자원할당 방법은 시스템의 수율 최대화에 초점이 맞추어져 있어 사용자의 QoS 요구 조건이나 요구 트래픽 특성들을 반영할 수 없다는 문제점이 있으며, 이는 전체 시스템의 성능 열화를 가져오게 된다. 예를 들어, 화상 회의와 같은 실시간 서비스는 도달하는 패킷들의 지연 제한(Delay Bound)가 엄격하게 정해져 있으며, 기지국에서 큐 길이(Queue Length)를 적절하게 조절하여 패킷 손실율(Packet Dropping Ratio)을 유지해야만 한다. 또한, VOD(Video On Demand)와 같은 비실시간 서비스는 비록 실시간 서비스와 같이 요구 사항이 엄격하지는 않지만 각 사용자에 대하여 최소 전송율(Minimum Transmission Rate)를 보장하여야만 서비스가 가능하다. 하지만, 기존의 시스템 수율 최대화 자원할당 방법만으로는 이러한 서비스 요구 사항을 만족시키는데 한계가 있으며, MAC 계층 이상의 상위 계층(High Layer)에서의 QoS 파라미터인 지연 제한과 최소 전송율 및 큐 길이 등을 반영할 수 있는 SDMA 기반의 자원할당 방법이 제안될 필요가 있다.In addition, in order to improve the performance of the entire system, not only the study of the cross layer design between the PHY layer and the MAC layer is required, but also a resource allocation method for satisfying the QoS required by the higher layer needs to be proposed. have. In other words, most SDMA-based resource allocation methods proposed to date are focused on maximizing the yield of the system and thus cannot reflect the user's QoS requirements or required traffic characteristics. Will be imported. For example, real-time services such as video conferencing have strict delay bounds for arriving packets, and the base station must maintain the packet dropping ratio by adjusting the queue length appropriately. do. In addition, non-real-time services such as VOD (Video On Demand) can be serviced only by guaranteeing a minimum transmission rate for each user, although the requirements are not as strict as real-time services. However, the existing system yield maximization resource allocation method is limited in satisfying such service requirements, and may reflect delay limit, minimum transmission rate, and queue length, which are QoS parameters in the high layer above the MAC layer. SDMA-based resource allocation method needs to be proposed.
또한, 기존의 SDMA 기반 자원할당 방법은 대부분 단일 셀(Single Cell) 환경에서 설계되었기 때문에, 이를 직접적으로 다중 셀(Multi-Cell) 환경으로 확장할 경우 인접 셀 간섭으로 인한 급격한 성능 열화를 가져온다는 문제점이 있다. 따라서, 다중 셀 환경에서 기인하는 인접 셀 간섭에 대처할 수 있는 SDMA 자원 할당 방법이 필요한 상황이다.In addition, since most SDMA-based resource allocation methods are designed in a single cell environment, if they are directly extended to a multi-cell environment, a sudden performance degradation due to neighboring cell interference will occur. There is this. Accordingly, there is a need for an SDMA resource allocation method that can cope with neighbor cell interference caused in a multi-cell environment.
본 발명은 상기 문제점을 해결하기 위하여 제안된 것으로, OFDM/SDMA 기반 셀룰러 시스템에서 MAC 계층 이상의 상위 계층에서의 QoS 파라미터(High Layer QoS parameter)를 고려함으로써 시스템 수율 손실을 최소화하면서 상위 계층에서의 QoS(High Layer QoS) 요구 조건을 반영할 수 있는 하향링크 자원할당 장치 및 방법을 제공하는데 그 목적이 있다.The present invention has been proposed to solve the above-mentioned problem. In the OFDM / SDMA-based cellular system, the QoS at the higher layer is minimized while minimizing the system yield loss by considering the QoS parameter at the upper layer above the MAC layer. It is an object of the present invention to provide an apparatus and method for allocating a downlink resource that can reflect a high layer QoS requirement.
또한, 본 발명은 다중 셀(Multi-Cell) 환경에서 기인하는 인접 셀 간섭 정보를 자원 할당에 고려할 수 있도록 함으로써 다중 셀(Multi-Cell) 환경에서도 적용 가능한 하향링크 자원할당 장치 및 방법을 제공하는데 그 목적이 있다.In addition, the present invention provides a downlink resource allocation apparatus and method applicable to a multi-cell environment by allowing neighbor cell interference information resulting from a multi-cell environment to be considered in resource allocation. There is a purpose.
본 발명의 다른 목적 및 장점들은 하기의 설명에 의해서 이해될 수 있으며, 본 발명의 실시예에 의해 보다 분명하게 알게 될 것이다. 또한, 본 발명의 목적 및 장점들은 특허 청구 범위에 나타낸 수단 및 그 조합에 의해 실현될 수 있음을 쉽게 알 수 있을 것이다.Other objects and advantages of the present invention can be understood by the following description, and will be more clearly understood by the embodiments of the present invention. Also, it will be readily appreciated that the objects and advantages of the present invention may be realized by the means and combinations thereof indicated in the claims.
상기 목적을 달성하기 위한 본 발명은 직교주파수분할다중화방식을 사용하는 이동통신시스템에서 사용자 단말로 무선자원을 할당하는 하향링크 자원할당 장치로서, 복수의 서브 밴드에 대하여 상기 단말에 대한 수율 최대화 메트릭을 생성하는 수율최대화 메트릭 생성부, 상기 단말이 요구하는 상위계층 QoS 정보를 획득하는 QoS 정보 획득부, 상기 QoS 정보를 이용하여 QoS 메트릭을 생성하는 QoS 메트릭 생성부, 및 상기 수율 최대화 메트릭 및 상기 QoS 메트릭을 이용하여 상기 복수의 서브 밴드 가운데 상기 단말로 할당할 서브 밴드를 선택하는 무선자원 할당부를 포함한다. 상기 QoS 메트릭은 상기 실시간 서비스가 상기 비실시간 서비스보다 더 높은 우선 순위를 가지도록 설정되며, Best Effort는 가장 낮은 우선 순위를 가지도록 설정된다. 또한, 상기 QoS 정보는 실시간 서비스가 요구하는 패킷 손실율 정보와 패킷 지연 제한 정보 및 비실시간 서비스가 요구하는 최소 데이터 전송율을 포함한다. 상기 무선자원 할당부는 상기 최대수율 메트릭 및 상기 QoS 메트릭의 가중치를 결정하는 수단, 상기 최대수율 메트릭과 상기 QoS 메트릭 및 상기 가중치를 이용하여 혼합 메트릭을 생성하는 수단, 및 상기 복수의 서브 밴드 가운데 상기 혼합 메트릭이 가장 큰 서브 밴드를 상기 단말로 할당할 서브 밴드로 선택하는 수단을 포함한다.In order to achieve the above object, the present invention provides a downlink resource allocation apparatus for allocating radio resources to a user terminal in a mobile communication system using an orthogonal frequency division multiplexing scheme. A yield maximization metric generator for generating, a QoS information obtainer for acquiring upper layer QoS information required by the terminal, a QoS metric generator for generating a QoS metric using the QoS information, and the yield maximization metric and the QoS metric A radio resource allocator for selecting a subband to be allocated to the terminal from among the plurality of subbands is included. The QoS metric is set such that the real-time service has a higher priority than the non-real-time service, and Best Effort is set to have the lowest priority. In addition, the QoS information includes packet loss rate information required by a real time service, packet delay limit information, and a minimum data rate required by a non real time service. Means for determining a weight of the maximum yield metric and the QoS metric, means for generating a mixed metric using the maximum yield metric and the QoS metric and the weight, and the mixing among the plurality of subbands And means for selecting a subband having the largest metric as a subband to be allocated to the terminal.
또한, 상기 자원할당 장치는 상기 단말의 채널상태정보 및 인접 셀에 의한 간섭정보를 획득하는 채널상태정보/간섭정보 획득부, 및 상기 단말 및 상기 단말과 동일 채널을 사용하는 단말의 공간 구분을 위한 빔형성 가중 벡터를 결정하는 공간 구분부를 더 포함할 수 있다. 이 경우, 상기 수율최대화 메트릭 생성부는 상기 채널상태정보, 상기 간섭정보 및 상기 빔형성 가중 벡터로부터 산출된 간섭량 증가 요소(IPF)를 상기 수율최대화 메트릭에 반영한다. 더 구체적으로 상기 수율최대화 메트릭은 상기 단말을 할당할 경우의 서브 밴드 수율의 증가값 및 상기 단말의 할당에 따른 상기 서브 밴드에 기할당된 다른 단말의 수율의 감소값에 의해 결정되는 수율 증가 요소(RIF)가 상기 IPF보다 우선적으로 고려되도록 설정된다.The apparatus for allocating resources may further include a channel state information / interference information acquisition unit for acquiring channel state information of the terminal and interference information by an adjacent cell, and for space separation between the terminal and a terminal using the same channel as the terminal. The apparatus may further include a spatial divider configured to determine the beamforming weight vector. In this case, the yield maximization metric generator reflects the interference increase factor (IPF) calculated from the channel state information, the interference information, and the beamforming weight vector, to the yield maximization metric. More specifically, the yield maximization metric is a yield increase factor determined by an increase value of the subband yield when the terminal is allocated and a decrease value of the yield of another terminal pre-allocated to the subband according to the terminal allocation. RIF) is set to take priority over the IPF.
또한, 본 발명은 직교주파수분할다중화(OFDM) 및 공간분할다중접속(SDMA)을 이동통신시스템에서 사용자 단말로 무선자원을 할당하는 하향링크 자원할당 장치로서, 복수의 서브 밴드에 대한 상기 단말이 할당되는 경우의 수율 증가 요소(RIF)를 획득하는 RIF 획득부, 상기 단말의 채널상태정보 및 인접 셀에 의한 간섭정보를 획득하는 채널상태/간섭정보 획득부, 상기 단말 및 상기 단말과 동일 채널을 사용하는 단말의 빔형성 가중 벡터를 결정하는 공간 구분부, 상기 채널상태정보, 상기 간섭정보 및 상기 빔형성 가중 벡터를 이용하여 상기 복수의 서브 밴드에 대한 상기 단말이 할당되는 경우의 간섭량 증가 요소(IPF)를 획득하는 IPF 획득부, 및 상기 RIF 및 상기 IPF를 이용하여 상기 복수의 서브 밴드 가운데 상기 단말로 할당할 서브 밴드를 선택하는 무선자원 할당부를 포함한다. 상기 RIF 획득부는 상기 단말을 할당할 경우의 서브 밴드 수율의 증가값 및 상기 단말의 할당에 따른 상기 서브 밴드에 기할당된 다른 단말의 수율의 감소값을 이용하여 상기 RIF를 획득한다. 또한, 상기 무선자원 할당부는 상기 RIF를 이용하여 상기 단말로 할당할 서브 밴드를 선택하는 수단, 및 상기 단말과 동일한 RIF를 가지는 단말이 있는 경우, 상기 IPF가 큰 단말에 우선적으로 서브밴드를 할당하는 수단을 포함한다.In addition, the present invention is a downlink resource allocation apparatus for allocating radio resources to orthogonal frequency division multiplexing (OFDM) and spatial division multiple access (SDMA) from a mobile communication system to a user terminal, wherein the terminal is allocated to a plurality of subbands. A RIF obtaining unit for obtaining a yield increase factor (RIF), a channel state / interference information obtaining unit for obtaining channel state information of the terminal and interference information by an adjacent cell, and the same channel as the terminal and the terminal An interference increase factor (IPF) when the terminal is allocated to the plurality of subbands using a spatial partitioner for determining a beamforming weight vector of the terminal, the channel state information, the interference information, and the beamforming weight vector. IPF acquisition unit for acquiring a) and a radio resource for selecting a subband to be allocated to the terminal from the plurality of subbands using the RIF and the IPF It includes an allocation unit. The RIF obtaining unit obtains the RIF by using an increase value of the subband yield when the terminal is allocated and a decrease value of the yield of another terminal previously allocated to the subband according to the allocation of the terminal. The radio resource allocator may be configured to select a subband to be allocated to the terminal using the RIF, and if the terminal has the same RIF as the terminal, the subband is preferentially allocated to the terminal having the large IPF. Means;
한편, 본 발명은 직교주파수분할다중화(OFDM) 및 공간분할다중접속(SDMA)을 사용하는 이동통신시스템에서 사용자 단말로 무선자원을 할당하는 하향링크 자원할당 방법으로서, 복수의 서브 밴드에 대하여 상기 단말에 대한 수율 최대화 메트릭을 생성하는 단계, 상기 단말이 요구하는 상위계층 QoS 정보를 획득하는 QoS 정보 획득 단계, 상기 QoS 정보를 이용하여 QoS 메트릭을 생성하는 QoS 메트릭 생성 단계, 및 상기 수율 최대화 메트릭 및 상기 QoS 메트릭을 이용하여 상기 복수의 서브 밴드 가운데 상기 단말로 할당할 서브 밴드를 선택하는 무선자원 할당 단계를 포함한다. 상기 수율 최대화 메트릭을 생성하는 단계는 상기 단말을 할당할 경우의 서브 밴드 수율의 증가값 및 상기 단말의 할당에 따른 상기 서브 밴드에 기할당된 다른 단말의 수율의 감소값을 이용하여 상기 수율 최대화 메트릭을 생성하는 것을 특징으로 한다. 또한, 상기 QoS 메트릭 생성 단계는 실시간 서비스의 QoS 메트릭이 비실시간 서비스의 QoS 메트릭보다 높은 우선 순위를 갖도록 설정한다.Meanwhile, the present invention is a downlink resource allocation method for allocating radio resources to a user terminal in a mobile communication system using orthogonal frequency division multiplexing (OFDM) and spatial division multiple access (SDMA), wherein the terminal is assigned to a plurality of subbands. Generating a yield maximization metric for the UE, obtaining QoS information for acquiring upper layer QoS information required by the terminal, generating a QoS metric using the QoS information, and generating the yield metric and the yield maximization metric And selecting a subband to be allocated to the terminal from among the plurality of subbands using a QoS metric. The generating of the yield maximization metric may be performed using the increase value of the subband yield when the terminal is allocated and the decrease value of the yield of another terminal pre-allocated to the subband according to the terminal allocation. It characterized in that to generate. In addition, the QoS metric generation step sets the QoS metric of the real-time service to have a higher priority than the QoS metric of the non-real-time service.
상술한 본 발명의 내용은 첨부된 도면과 관련한 다음의 상세한 설명을 통하여 보다 분명해 질 것이며, 그에 따라 본 발명이 속하는 기술분야에서 통상의 지식을 가진 자가 본 발명의 기술적 사상을 용이하게 실시할 수 있을 것이다. 또한, 본 발명을 설명함에 있어서 본 발명과 관련된 공지 기술에 대한 구체적인 설명이 본 발명의 요지를 불필요하게 흐릴 수 있다고 판단되는 경우에 그 상세한 설명을 생략하기로 한다. 이하, 첨부된 도면을 참조하여 본 발명에 따른 바람직한 일실시예를 상세히 설명하기로 한다.The above-described contents of the present invention will become more apparent through the following detailed description with reference to the accompanying drawings, and thus, those skilled in the art to which the present invention pertains may easily implement the technical idea of the present invention. will be. In addition, in describing the present invention, when it is determined that the detailed description of the known technology related to the present invention may unnecessarily obscure the gist of the present invention, the detailed description thereof will be omitted. Hereinafter, exemplary embodiments of the present invention will be described in detail with reference to the accompanying drawings.
OFDM/SDMA 기반의 하향링크 자원할당 방법은 셀룰러 시스템의 셀 환경에 따라 단일 셀(Single-Cell) 환경을 위한 자원할당 방법과 다중 셀(Multi-Cell) 환경을 위한 자원할당 방법으로 나뉘어진다. 또한, OFDM/SDMA 기반의 하향링크 자원할당 방법은 성능 메트릭(Metric)을 기준으로 시스템 수율(Troughput, 사용자가 시간당 할당받는 데이터량 [kbps]) 최대화를 위한 자원할당 방법과 MAC 계층 이상의 상위 계층에서의 QoS(High Layer QoS)를 보장하기 위한 자원할당 방법으로 나뉘어진다. 본 발명에 따른 OFDM/SDMA 하향링크 자원할당 방법은 다중 셀(Multi-Cell) 환경을 지원하며 시스템 수율(Troughput)을 최대화하면서 상위 계층에서의 QoS(High Layer QoS)를 보장한다.The OFDM / SDMA based downlink resource allocation method is divided into a resource allocation method for a single-cell environment and a resource allocation method for a multi-cell environment according to a cell environment of a cellular system. In addition, the OFDM / SDMA-based downlink resource allocation method is a resource allocation method for maximizing the system throughput (Troughput, the amount of data allocated by the user [kbps]) based on the performance metric (Metric) and the upper layer above the MAC layer It is divided into a resource allocation method to guarantee the high layer QoS (QoS). The OFDM / SDMA downlink resource allocation method according to the present invention supports a multi-cell environment and ensures high layer QoS (QoS) at an upper layer while maximizing system throughput.
도 1은 수율 최대화 자원할당 방법에 따라 동작하는 OFDM/SDMA 기반 기지국의 일실시예 구성도이다.1 is a diagram illustrating an embodiment of an OFDM / SDMA based base station operating according to a yield maximization resource allocation method.
도 1에 도시된 기지국은 M 개의 안테나 어레이를 가지고 K 명의 사용자에게 서비스를 제공한다. 상기 사용자는 오직 1 개의 수신 안테나를 가진다고 가정한다. 상기 기지국은 SDMA를 이용하여 하나의 채널을 사용하여 최대 M 명의 사용자에게 서비스를 제공할 수 있다.The base station shown in FIG. 1 has M antenna arrays to provide service to K users. It is assumed that the user has only one receive antenna. The base station may provide a service to up to M users using one channel using SDMA.
상기 기지국은 도 1에 도시된 바와 같이, 서브밴드 할당부(120), 적응형 변조기(131~139), 빔형성/공간 구분부(140), 채널상태정보 획득부(170), IFFT 수행부(151~159), 싸이클릭 확장부(161~169) 및 배열 안테나(Antenna 1~M)를 포함한다.As shown in FIG. 1, the base station includes a
상기 채널상태정보 획득부(170)는 서비스를 제공받는 사용자 단말(MS; Mobile Station)들로부터 각 서브 밴드의 채널 상태정보를 획득한다.The channel state
상기 서브밴드 할당부(120)는 각각의 사용자 데이터(User Data 1~k, 111~119)에 대하여 사용할 서브 밴드(서브 캐리어) 및 각각의 서브 밴드에 실릴 비트 수를 결정한다. 또한, 상기 서브밴드 할당부(120)는 상기 채널상태정보 획득부(170)로부터 전달되는 채널상태정보를 바탕으로 각 서브 밴드에 대하여 공유 가능한 사용자 군의 변조 및 코딩(MCS; Modulation and Coding Selection) 레벨을 결정한다.The
상기 적응형 변조기(131~139)는 상기 서브밴드 할당부(120)에서 할당된 각각의 서브 밴드별로 상기 결정된 MCS 레벨에 근거하여 동일 채널(Co-Channel) 사용자에 할당된 비트에 맞는 적응 변조를 수행한다.The
상기 빔형성/공간 구분부(140)는 상기 채널상태정보 획득부(170)로부터 전달되는 채널상태정보를 바탕으로 각 서브 밴드에 대하여 공유 가능한 사용자 군을 선정한다. 그리고 선정된 사용자 군에 대한 정보를 상기 서브밴드 할당부(120)로 전달한다. 한편, 상기 빔형성/공간 구분부(140)는 상기 적응형 변조기(131~139)의 출력 신호를 입력받아, 동일 채널 사용자의 공간 구분을 위한 빔형성 가중 벡터(Beamforming Weight Vector)를 결정한다.The beamforming /
상기 IFFT 수행부(151~159)는 상기 적응변조기(131~130)의 출력 신호 및 상기 빔형성 가중 벡터 정보를 입력받아 IFFT 변환을 수행하며, 상기 싸이클릭 확장부(161~169)는 상기 IFFT 수행부(151~159)의 출력 신호에 대하여 보호 구간(Guard  Interval)을 삽입하는 등의 순환 확장(Cylic Extention)을 수행하여 안테나를 통해 사용자 단말(MS; Mobile Station)로 송신한다.The
이하, 상기 빔형성/공간 구분부(140)가 상기 채널상태정보 획득부(170)로부터 전달된 채널상태정보를 이용하여 간섭량증가측정요소(IPF; Interference Preference Factor)를 계산하는 과정을 설명한다.Hereinafter, a process of calculating the interference increase factor (IPF) by the beamforming /
사용자 k의 n번째 서브 밴드의 주파수 영역 신호대간섭 잡음비(SINR; Signal to Interference and Noise Ratio)는 아래의 [수학식 1]과 같다.The signal-to-interference and noise ratio (SINR) of the n-th subband of user k is expressed by
상기 [수학식 1]에서 SINR의 분자는 원하는 신호 성분을 나타내며, Hn,k 는 상기 채널상태정보획득부(170)에서 획득된 각 사용자 k의 공간적 공분산(SC; Spatial Covariance) 매트릭스에 해당하는 채널상태정보다. 또한, SINR의 분모에서 첫 번째 요소는 동일한 서브 밴드를 사용하는 동일 채널 사용자들에 의한 간섭을 의미하며, 두 번째 요소는 사용자 k의 부가적 백색 가우시안 잡음(AWGN; Additive Gaussian Noise)를 의미한다. wn,k는 사용자 k가 서브 밴드 n을 사용할 경우 이용하게 될 빔형성 벡터 [w1n,k, ... ,wMn,k]T를 의미한다. wHn,k는 상기 빔형성 벡터의 전 치 켤레(Transpose Conjugate, Hermitian)를 의미한다.In
시스템 수율 최적화를 위한 SDMA 기반 자원할당 방법은 간섭량증가측정요소(IPF; Interference Preference Factor) 및 수율증가측정요소(RIF; Rate Increment Factor)의 2가지 성능 메트릭(Metric)을 고려하여 최적 자원 할당을 수행한다.SDMA-based resource allocation method for system yield optimization performs optimal resource allocation by considering two performance metrics (Interference Preference Factor (IPF) and Rate Increment Factor (RIF). do.
우선, 상기 간섭량증가측정요소(IPF)는 '기지국 스케쥴러가 사용자 k에게 서브 밴드 n을 할당하는 경우 자신의 신호와 동일 채널 사용자에 의한 간섭의 비' 및 '기지국 스케쥴러가 사용자 k에게 서브 밴드 n을 할당할 경우 서브 밴드 n을 할당받은 기존의 사용자가 겪는 간섭량의 증가분'을 이용하여 계산된다.First, when the base station scheduler allocates the subband n to the user k, the interference increase measuring factor (IPF) indicates that the ratio of interference by the same channel user as its own signal and the base station scheduler assigns the subband n to the user k. In case of allocation, it is calculated using the increase of the amount of interference experienced by the existing user assigned the subband n.
상기 '기지국 스케쥴러가 사용자 k에게 서브 밴드 n을 할당하는 경우 자신의 신호와 동일 채널 사용자에 의한 간섭의 비'는 아래의 [수학식 2]와 같이 표현된다. 아래의 [수학식 2]에서, c는 상수이며, Gn은 이미 서브 밴드 n을 점유하고 있는 사용자들의 집합이다.When the base station scheduler allocates the subband n to the user k, the ratio of the interference between the signal and the same channel user is expressed by
한편, '사용자 k가 서브 밴드 n을 공유하기 전에 사용자 i가 서브 밴드 n으 로부터 겪게 되는 간섭량'은 아래의 [수학식 3]으로 표현되며, '사용자 k가 서브 밴드 n을 공유할 경우의 사용자 i가 서브 밴드 n으로부터 겪게 되는 간섭량'은 아래의 [수학식 4]와 같이 표현된다.Meanwhile, 'the amount of interference that user i experiences from subband n before user k shares subband n' is expressed by Equation 3 below, and 'user when user k shares subband n' The amount of interference i suffers from subband n 'is expressed as in Equation 4 below.
상기 간섭량증가측정요소(IPF)는 상기 [수학식 2] 내지 [수학식 4]를 토대로 아래의 [수학식 5]와 같이 표현된다.The interference increase measuring element (IPF) is expressed as Equation 5 below based on
상기 [수학식 5]를 참조하면 상기 간섭량증가측정요소(IPF)는 자신의 SIR값이 클수록 그리고 자신이 다른 사용자에게 미치는 간섭량의 증가분이 작을수록 메트릭 값이 증가함을 알 수 있다. 채널의 할당은 상기 IPF 값이 큰 사용자 순서로 이루어지게 된다.Referring to [Equation 5], it can be seen that the IPF increases the metric value as the SIR value increases and the increase amount of the interference amount applied to other users is small. The channel assignment is made in order of the users having the high IPF value.
다음으로, 수율증가측정요소(RIF; Rate Increment Factor)는 아래의 [수학식 6]과 같이 표현된다.Next, the rate increase factor (RIF) is expressed by Equation 6 below.
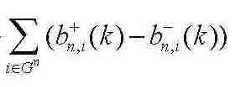
상기 [수학식 6]에서 첫 번째 요소 bn,k는 k번째 사용자가 서브 밴드 n을 할당받게 될 때 서브 밴드 n이 전송할 수 있는 데이터 양(수율)의 증가분을 의미한다. 또한, b-n,k는 사용자 k가 서브 밴드 n을 공유하기 전에 사용자 i가 획득한 데이터양이며, b+n,k는 사용자 k가 서브 밴드 n을 공유할 경우 사용자 i가 획득한 데이터양이다. 따라서, 두 번째 요소는 k번째 사용자로 인하여 증가된 간섭량의 증가로 인하여 감소된 사용자 i의 수율의 감소분을 의미한다. 상기 RIF 값이 0보다 커야 채널의 할당이 이루어질 수 있다.In Equation 6, the first elements bnand k mean an increase in the amount of data (yield) that the sub band n can transmit when the k-th user is allocated the sub band n. Also, b-n, k is the amount of data acquired by user i before user k shares subbandn, and b+n, k is the amount of data obtained by user i when user k shares subband n. to be. Thus, the second element Denotes a decrease in the yield of user i, which is reduced due to the increase in the amount of interference due to the k-th user. The channel may be allocated only when the RIF value is greater than zero.
시스템 수율 최적화를 위한 OFDM/SDMA 기반 자원할당 방법을 메트릭(APF)는 상기 간섭량증가측정요소(IPF) 및 수율증가측정요소(RIF)를 고려하여 아래의 [수학식 7]과 같이 설계될 수 있다.The OFDM / SDMA based resource allocation method for system yield optimization may be designed as shown in Equation 7 below by considering the interference increase measurement factor (IPF) and the yield increase measurement factor (RIF). .
도 2는 도 1의 기지국에서 수행되는 수율 최대화 자원할당 방법을 설명하는 일실시예 흐름도이다.FIG. 2 is a flowchart illustrating a method of maximizing yield allocation in the base station of FIG. 1.
우선, 채널상태정보 획득부(170)에서 각각의 사용자 단말(MS; Mobile Station)에 대한 채널상태정보인 서브 밴드 SC(Spatial Covariance) 매트릭스들을 획득한다(S210). 초기에는 모든 서브 밴드가 각 사용자들에게 할당 가능하다.First, the channel state
이어서, 빔형성/공간 구분부(140)에서는 상기 SC 매트릭스를 이용하여 [수학식 7]로 표현되는 APF를 계산하며, 상기 서브밴드 할당부(120)는 각각의 서브 밴드에 대하여 상기 APF가 가장 큰 사용자들을 각 서브 밴드에 할당한다(S220).Subsequently, the beamforming /
상기 빔형성/공간 구분부(140)는 상기 채널 할당으로 인하여 변경된 동일 채널 사용자들의 APF를 업데이트한다(S230).The beamforming /
이후, 각 서브 밴드에 대하여 전송 안테나 수만큼 사용자를 할당했거나 더 이상 SDMA로 인한 이득이 없는 경우, 상기 서브밴드 할당부(120)는 할당 가능 리스트에서 해당 서브 밴드를 제거한다(S240). SDMA로 인한 이득이 없는 경우라 함은  각 서브 밴드에 대하여 할당된 모든 사용자들의 RIF가 0이하인 경우를 의미한다.Subsequently, when a user is allocated to each subband by the number of transmit antennas or there is no more gain due to SDMA, the
이어서, 할당 가능 리스트가 남아있는 경우에는 상기 단계 S220으로 리턴하며, 할당 가능 리스트가 남아있지 않는 경우에는 각각의 사용자에게 할당된 자원을 통하여 다음 프레임 구간 전까지 패킷을 전송한다(S250, S260).Subsequently, if the assignable list remains, the process returns to the step S220. If the assignable list does not remain, the packet is transmitted until the next frame period through the resources allocated to each user (S250, S260).
이하, 상위 계층(High Layer) QoS 보장을 위한 SDMA 기반 자원할당 방법을 살펴본다.Hereinafter, an SDMA-based resource allocation method for guaranteeing high layer QoS will be described.
서비스를 제공받는 사용자는 각각 서로 다른 종류의 트래픽을 요구할 수 있으며, 각각의 트래픽에 따라 고려하여야 할 다양한 QoS 파라미터들이 존재한다. 하지만 수율 향상만을 고려하여 자원을 할당하는 경우 MAC 계층 이상의 상위 계층에서의 QoS를 대변하는 각 사용자에 대한 기지국 버퍼 점유(Buffer Occupancy) 및 사용자의 요구 트래픽 특성이 무시된 자원 할당을 초래하여 전체 시스템의 성능을 열화시키게 된다.Each user who receives the service may request different types of traffic, and there are various QoS parameters to consider according to each traffic. However, when allocating resources in consideration of yield improvement, the base station buffer occupancy for each user representing QoS in the upper layer of the MAC layer and the required traffic characteristics of the user are ignored, resulting in resource allocation of the entire system. It will degrade performance.
사용자에게 제공되는 서비스는 High Layer QoS 파라미터를 기준으로 아래와 같이 분류될 수 있다. 우선, 화상 회의와 같은 실시간 서비스는 도달하는 패킷들의 지연 제한(Delay Bound)가 엄격하게 정해져 있으며, 기지국에서 큐 길이(Queue Length)를 적절하게 조절하여 패킷 드롭 비율을 일정하게 유지해야 하는 엄격한 QoS 요구 사항을 가진 서비스이다. 또한, VOD(Video On Demand)와 같은 비실시간 서비스는 비록 실시간 서비스와 같은 엄격한 QoS 요건을 요하지는 않지만, 각 사용자에게 최소 전송율(Minimum Transmission Rate)을 보장하여야만 서비스가 가능하다. 마지막으로, FTP와 같은 Best Effort 서비스는 특별한 상위 계층 QoS 파라미터를 고려할 필요가 없는 서비스이다.The services provided to the user may be classified as follows based on the High Layer QoS parameter. First of all, real-time services such as video conferencing have strict delay bounds for arriving packets. Strict QoS requirements require the base station to adjust the queue length appropriately to maintain a constant packet drop rate. It is a service with details. In addition, non-real-time services such as video on demand (VOD) do not require stringent QoS requirements, such as real-time services, but can be serviced only by guaranteeing a minimum transmission rate to each user. Finally, Best Effort services, such as FTP, are services that do not need to take into account special upper layer QoS parameters.
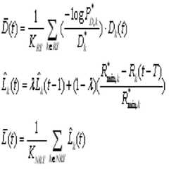
이러한 상위계층(High Layer) QoS를 보장하기 위한 자원할당 방법을 위한 메트릭은 상위 계층 QoS 파라미터를 고려하여 아래의 [수학식 8] 내지 [수학식 9]와 같이 설계할 수 있다.The metric for the resource allocation method for guaranteeing the high layer QoS may be designed as shown in Equations 8 to 9 in consideration of the higher layer QoS parameters.
상기 [수학식 8] 내지 [수학식 9]에서, P*D,k는 사용자 k가 실시간 서비스를 요청하는 경우 요구되는 패킷 손실율을 나타낸다. 또한, DK(t)는 k번째 사용자의 시간 t에서의 전송 지연을 의미하며,는 웨이티드(Weighted) 평균 지연을 의미한다. RK(t)는 사용자 k가 시간 t 동안 서비스받은 데이터율을 의미하며, R*min,k는 사용자 k가 요구하는 최소 데이터율을 의미한다. 또한,는 서비스받은 전송율의 이동 평균(Moving Averaging)에 해당하며,는의 평균값이다. KRT와 KNRT는 실시간(RT) 서비스 및 비실시간(NRT) 서비스를 요청한 사용자의 수를 의미한 다.In Equations 8 to 9, P*D, k represents a packet loss rate required when a user k requests a real time service. In addition, DK (t) means the transmission delay at time t of the k-th user, Denotes the weighted average delay. RK (t) denotes the data rate at which user k was serviced for time t, and R*min, k denotes the minimum data rate required by user k. Also, Is the moving average of the serviced transmission rate, Is Is the average value. KRT And KNRT Means the number of users who requested real-time (RT) service and non-real-time (NRT) service.
한편, 실시간 서비스(Real Time Service)가 비실시간 서비스에 비해 높은 우선 순위를 유지할 수 있도록 아래의 [수학식 10]과 같은 메트릭이 추가적으로 제시될 수 있다. 아래의 [수학식 10]에서 ρRT는 ρNRT보다 크게 설정된다.Meanwhile, a metric such as Equation 10 below may be additionally provided so that a real time service maintains a higher priority than a non real time service. In Equation 10 below, ρRT is ρNRT It is set larger.
상기 [수학식 8] 내지 [수학식 10]과 같이 High Layer QoS 파라미터를 사용하여 설계된 메트릭을 자원 할당시에 고려하는 경우, 각각의 사용자가 요구하는 서로 다른 트래픽에 대한 QoS를 맞추어 자원을 할당할 수 있게 된다.When considering the metric designed using the High Layer QoS parameter as shown in Equation 8 to Equation 10 when allocating resources, resource allocation may be performed by adjusting QoS for different traffic required by each user. It becomes possible.
이하, 인접 셀 간 간섭을 고려하기 위한 SDMA 기반 자원 할당 방법에 대하여 살펴본다.Hereinafter, an SDMA-based resource allocation method for considering interference between adjacent cells will be described.
SDMA를 구현하기 위해서는 각각의 사용자에 대한 빔형성 벡터를 형성하여 하며, 상기 빔 형성 벡터를 형성하기 위하여는 기지국에서 사용자 채널 특성을 알아야 한다. 다중 셀 환경에서는 각 사용자로부터 들어오는 간섭이 존재하므로, 각각의 사용자는 자신의 채널 값뿐만이 아니라 인접 셀에 의한 간섭량 정보를 기지국으로 전송한다. 각각의 섹터는 프레임 단위로 자원할당이 이루어지므로, 인접 셀로부터 들어오는 간섭은 프레임 단위로 랜덤하게 들어오게 된다. 따라서, 각 사용자 단말은 인접 셀에 의한 간섭량의 평균 및 표준 편차를 측정하여 기지국으로 전송한 다. 사용자 k의 서브 밴드 n에 대한 인접 셀에 의한 간섭량의 평균 및 표준 편차는 아래의 [수학식 11] 및 [수학식 12]와 같이 표현된다.In order to implement SDMA, a beamforming vector for each user is formed. In order to form the beamforming vector, a base station needs to know user channel characteristics. Since there is interference from each user in a multi-cell environment, each user transmits not only his channel value but also interference amount information by neighboring cells to the base station. Since each sector has resource allocation on a frame basis, interference from adjacent cells is randomly input on a frame basis. Therefore, each user terminal measures the average and standard deviation of the amount of interference by the adjacent cell and transmits it to the base station. The mean and standard deviation of the amount of interference by the neighboring cell with respect to subband n of user k are expressed by Equations 11 and 12 below.
상기 [수학식 11] 및 [수학식 12]에서는 사용자 k의 이동 평균(Moving Average) 가중치로서 0에서 1사이의 값을 가진다. 또한,는 사용자 k의 서브 밴드 n에서의 순시 인접 셀 간섭을 의미한다.In [Equation 11] and [Equation 12] Is a moving average weight of user k and has a value between 0 and 1. Also, Denotes instantaneous neighbor cell interference in subband n of user k.
기지국의 상기와 같이 사용자 단말로부터 제공되는 인접 셀 간섭량의 평균 및 표준 편차를 토대로 빔형성 벡터를 구하고 자원 할당을 수행하는 경우, 시스템의 타겟 패킷 오류율(PER; Packet Error Rate) 성능의 열화 없는 데이터 전송이 가능하다.When the beamforming vector is obtained and resource allocation is performed based on the average and standard deviation of the neighbor cell interference amount provided from the user terminal of the base station as described above, data transmission without degradation of the target packet error rate (PER) performance of the system is performed. This is possible.
도 3은 본 발명에 따른 자원할당 방법에 따라 동작하는 OFDM/SDMA 기지국의 일실시예 구성도이다.3 is a diagram illustrating an embodiment of an OFDM / SDMA base station operating according to a resource allocation method according to the present invention.
상기 본 발명에 따른 OFDM/SDMA 하향링크 자원할당 방법은 다중 셀(Multi-Cell) 환경을 지원하며 시스템 수율(Troughput)을 최대화함과 동시에 상위 계층에 서의 QoS(High Layer QoS)를 보장한다.The OFDM / SDMA downlink resource allocation method according to the present invention supports a multi-cell environment, maximizes system throughput, and ensures high layer QoS (QoS) in an upper layer.
도 3에 도시된 기지국은 도 1의 기지국과 마찬가지로 M 개의 안테나 어레이를 가지고 K 명의 사용자에게 서비스를 제공한다. 상기 사용자는 오직 1 개의 수신 안테나를 가진다고 가정한다. 상기 기지국은 SDMA를 이용하여 하나의 채널을 사용하여 최대 M 명의 사용자에게 서비스를 제공할 수 있다.As shown in FIG. 1, the base station shown in FIG. 3 provides services to K users with M antenna arrays. It is assumed that the user has only one receive antenna. The base station may provide a service to up to M users using one channel using SDMA.
상기 기지국은 도 3에 도시된 바와 같이, 서브밴드 할당부(311~319), 적응형 변조기(331~339), 빔형성/공간 구분부(340), IFFT 수행부(351~359), 싸이클릭 확장부(361~369), 배열 안테나(Antenna 1~M), 채널상태정보/인접셀간섭정보 획득부(370) 및 QoS 정보 획득부(380)를 포함한다.As shown in FIG. 3, the base station includes a
상기 채널상태정보/인접셀간섭정보 획득부(370)는 서비스를 제공받는 사용자 단말(MS; Mobile Station)들로부터 각 서브 밴드의 채널 상태정보 및 인접셀 간섭정보를 획득한다. 상기 채널 상태정보는 해당 서브 밴드(n)에서 기지국 안테나와 사용자(k) 간의 공간 및 시간 특성을 나타내는 공분산 매트릭스(Spatial Covariance Matrix) 정보를 포함한다. 상기 인접셀 간섭정보는 각 사용자 단말의 인접 셀에 의한 간섭량의 평균 및 표준 편차 정보를 포함한다.The channel state information / adjacent cell interference information acquisition unit 370 obtains channel state information and neighbor cell interference information of each subband from mobile stations (MSs) provided with services. The channel state information includes spatial covariance matrix information representing spatial and temporal characteristics between the base station antenna and the user k in the corresponding subband n. The neighbor cell interference information includes average and standard deviation information of the amount of interference by the neighbor cell of each user terminal.
상기 QoS 정보 획득부(380)는 사용자 단말이 요구하는 QoS 파라미터를 획득한다. 상기 QoS 파라미터는 실시간 서비스의 QoS 파라미터인 패킷 손실율 및 패킷 지연 제한(Delay Bound) 파라미터, 및 비실시간 서비스의 QoS 파라미터인 최소 데이터 전송율(Minimum Transmission Rate)를 포함한다. 또한, 상기 QoS 정보 획득 부(380)는 상기 QoS 파라미터를 이용하여 QoS 메트릭(QoS_Metric)을 생성한다. 상기 QoS 메트릭은 서브 밴드 할당부(320)에서 자원 할당시 사용자 단말이 요구하는 트래픽 특성을 고려하도록 하기 위한 메트릭이다.The QoS
상기 빔형성/공간 구분부(340)는 상기 채널상태정보/인접셀간섭정보 획득부(370)로부터 전달되는 채널 상태정보와 인접셀 간섭정보를 바탕으로 각 서브 밴드에 대하여 공유 가능한 사용자 군을 선정하고 공간 구분을 위한 빔형성 가중 벡터를 결정한다. 상기 빙형성/공간 구분부(340)는 상기 채널 상태정보와 인접셀 간섭정보를 이용하여 멀티 셀 환경에서의 인접 셀 간섭정보가 고려된 간섭량증가측정요소(IPF)를 계산한다. 또한, [수힉식 6]을 이요하여 수율증가측정요소(RIF)를 계산한다. 그리고 상기 간섭량증가측정요소(IPF) 및 수율증가측정요소(RIF)를 이용하여 인접 셀 간섭이 고려된 수율최대화메트릭(TM_Metric)을 생성한다.The beamforming /
상기 서브밴드 할당부(320)는 각각의 사용자 데이터(User Data 1~k, 311~319)에 대하여 사용할 서브 밴드(서브 캐리어) 및 각각의 서브 밴드에 실릴 비트 수를 결정하며, 상기 각각의 서브 밴드에 대하여 공유 가능한 사용자 군의 변조 및 코딩(MCS; Modulation and Coding Selection) 레벨을 결정한다. 상기 서브밴드 할당부(320)는 상기 QoS 정보 획득부(380)에서 생성된 QoS 메트릭(QoS_Metric) 및 상기 빔형성/공간 구분부(340)에서 생성된 수율최대화메트릭(TM_Metric)으로부터 혼합 메트릭(Unified Metric)을 생성하며, 생성된 혼합 메트릭을 이용하여 사용자 데이터에 대한 자원(서브 밴드)을 할당한다.The
상기 적응형 변조기(331~339)는 상기 서브밴드 할당부(320)에서 할당된 각각 의 서브 밴드에 대하여 상기 결정된 MCS 레벨에 근거하여 동일 채널(Co-Channel) 사용자에 할당된 비트에 맞는 적응 변조를 수행한다.The
상기 IFFT 수행부(351~359)는 상기 빔형성/공간 구분부(340)에서 결정된 빔형성 가중 벡터 정보를 입력받아 상기 적응변조기(331~330)의 출력 신호에 대하여 IFFT 변환을 수행하며, 상기 싸이클릭 확장부(361~369)는 상기 IFFT 수행부(351~359)의 출력 신호에 대하여 보호 구간(Guard Interval)을 삽입하는 등의 순환 확장(Cylic Extention)을 수행하여 안테나를 통해 사용자 단말(MS; Mobile Station)로 송신한다.The
이하, 빔 형성/공간 구분부(340)가 상기 채널상태정보/인접셀간섭정보 획득부(370)로부터 전달된 채널 상태정보 및 인접셀 간섭정보를 이용하여 인접셀 간섭이 고려된 수율최대화메트릭(TM_Metric)을 생성하는 방법을 설명한다.Hereinafter, the beam forming /
우선, 상기 채널 상태정보 및 인접셀 간섭정보를 이용한 간섭량증가측정요소(IPF; Interference Preference Factor)의 산출 방법을 설명한다.First, a method of calculating an interference preference factor (IPF) using the channel state information and neighbor cell interference information will be described.
상기 간섭량증가측정요소(IPF)는 '기지국 스케쥴러가 사용자 k에게 서브 밴드 n을 할당하는 경우 자신의 신호와 동일 채널 사용자에 의한 간섭의 비' 및 '기지국 스케쥴러가 사용자 k에게 서브 밴드 n을 할당할 경우 서브 밴드 n을 할당받은 기존의 사용자가 겪는 간섭량의 증가분'을 이용하여 계산되는데, 이때 '사용자 k의 n번째 서브 채널이 겪는 인접 셀 간섭 예측량'이 고려된다.When the base station scheduler allocates the subband n to the user k, the interference increase measuring factor (IPF) is used to assign the subband n to the user k and the base station scheduler assigns the subband n to the user k. In this case, it is calculated using an increase in the amount of interference experienced by an existing user assigned subband n. In this case, the 'neighbor cell interference prediction amount experienced by the nth subchannel of user k' is considered.
'사용자 k의 n번째 서브 채널이 겪는 인접 셀 간섭 예측량'은 채널상태정보/인접셀간섭정보 획득부(370)에서 전달된 인접 셀 간섭의 평균 및 표준 편차를 이용하여 아래의 [수학식 13]과 같이 계산된다. 여기서,는 사용자 k의 서버 밴드 n의 인접셀 간섭의 표준 편차를 고려하기 위한 변수이다.The neighbor cell interference prediction amount experienced by the n th subchannel of user k is expressed by Equation 13 below using the average and standard deviation of the neighbor cell interference transmitted from the channel state information / adjacent cell interference information acquisition unit 370. Is calculated as here, Is a variable for considering a standard deviation of neighbor cell interference of server band n of user k.
상기 '기지국 스케쥴러가 사용자 k에게 서브 밴드 n을 할당하는 경우 자신의 신호와 동일 채널 사용자에 의한 간섭의 비'는 아래의 [수학식 14]과 같이 표현된다. When the base station scheduler allocates the subband n to the user k, the ratio of the interference between the signal and the same channel user is expressed by Equation 14 below.
상기 [수학식 14]에서 분자는 원하는 신호 성분을 나타내며, Hn,k 는 상기 채널상태정보/인접셀간섭정보 획득부(370)에서 획득된 각 사용자 k의 공간적 공분산(SC; Spatial Covariance) 매트릭스에 해당하는 채널상태정보다. 또한, 분모에서 첫 번째 요소는 동일한 서브 밴드를 사용하는 동일 채널 사용자들에 의한 간섭을 의미하며, 두 번째 요소는 사용자 k의 부가적 백색 가우시안 잡음(AWGN; Additive Gaussian Noise)를 의미한다.는 사용자 k의 n번째 서브 채널이 겪는 인접 셀 간섭 예측량'이다.In Equation 14, a molecule represents a desired signal component, and Hn, k denotes a spatial covariance (SC) matrix of each user k obtained by the channel state information / adjacent cell interference information acquisition unit 370. Channel status information corresponding to In addition, the first element in the denominator means interference by co-channel users using the same subband, and the second element means Additive Gaussian Noise (AWGN) of user k. Is the neighbor cell interference prediction amount experienced by the nth subchannel of user k.
wn,k는 사용자 k가 서브 밴드 n을 사용할 경우 이용하게 될 빔형성 벡터 [w1n,k, ... ,wMn,k]T를 의미한다. wHn,k는 상기 빔형성 벡터의 전치 켤레(Transpose Conjugate, Hermitian)를 의미한다. c는 상수이며, Gn은 이미 서브 밴드 n을 점유하고 있는 사용자들의 집합이다.wn, k denotes a beamforming vector [w1n, k ,..., wMn, k ]T to be used when the user k uses the subband n. wHn, k means a transpose conjugate (Hermitian) of the beamforming vector. c is a constant, Gn Is the set of users already occupying subband n.
한편, '사용자 k가 서브 밴드 n을 공유하기 전에 사용자 i가 서브 밴드 n으로부터 겪게 되는 간섭량'은 아래의 [수학식 15]으로 표현되며, '사용자 k가 서브 밴드 n을 공유할 경우의 사용자 i가 서브 밴드 n으로부터 겪게 되는 간섭량'은 아래의 [수학식 16]과 같이 표현된다.Meanwhile, 'the amount of interference experienced by user i from subband n before user k shares subband n' is expressed by Equation 15 below, and 'user i when user k shares subband n' Is an amount of interference experienced from subband n 'as expressed by Equation 16 below.
간섭량증가측정요소(IPF)는 상기 [수학식 13] 내지 [수학식 16]를 토대로 아 래의 [수학식 17]와 같이 표현되며, 단일 셀 환경에서의 간섭량증가측정요소(IPF)와는 달리 '사용자 k의 n번째 서브 채널이 겪은 인접 셀 간섭의 예측량'이 고려됨을 알 수 있다.The interference increase measuring element (IPF) is expressed as shown in [Equation 17] below based on [Equation 13] to [Equation 16], and unlike the interference increase measuring element (IPF) in a single cell environment, It can be seen that the prediction amount of neighbor cell interference experienced by the nth subchannel of user k is considered.
다음으로, 수율증가측정요소(RIF; Rate Increment Factor)는 아래의 [수학식 18]과 같이 표현되며, 상기 [수학식 6]에서 설명한 바와 동일하다.Next, the rate increment factor (RIF) is expressed as in Equation 18 below, and is the same as described in Equation 6 above.
따라서, 빔형성/공간 구분부(340)에서 계산되는 인접셀 간섭이 고려된 수율최대화메트릭(TM_Metric)은 아래의 [수학식 19]와 같다.Therefore, the yield maximization metric TM_Metric considering the neighbor cell interference calculated by the beamforming /
상기 수율최대화메트릭(TM_Metric)은 자원할당에 있어 우선적으로 수율증가측정요소(RIF)가 고려되도록 하며, 만약 같은 수율증가측정요소(RIF)를 가지는 사 용자들이 있는 경우에는 간섭량증가측정요소(IPF)가 가장 큰 사용자에게 우선적으로 채널 자원이 할당되도록 한다.The yield maximization metric (TM_Metric) allows the yield increase measurement factor (RIF) to be considered first in resource allocation, and if there are users with the same yield increase measurement element (RIF), the interference increase measurement element (IPF) Ensures that channel resources are allocated to the largest users first.
이하, QoS정보 획득부(380)가 획득된 QoS 파라미터를 이용하여 QoS 메트릭(QoS_Metric)를 생성하는 방법을 설명한다. 상기 QoS 메트릭(QoS_Metric)은 서브 밴드 할당부(320)에서 자원 할당시 사용자 단말이 요구하는 트래픽 특성을 고려하도록 함으로써 MAC 계층 이상의 상위계층(High Layer) QoS가 보장될 수 있도록 한다.Hereinafter, a method of generating a QoS metric (QoS_Metric) by using the QoS parameter obtained by the QoS
우선, 상위계층 QoS 파라미터를 고려하기 위한 메트릭(Q)은 아래의 [수학식 20]과 같이 설계할 수 있다.First, the metric Q for considering the upper layer QoS parameter may be designed as shown in Equation 20 below.
여기서, P*D,k는 사용자 k가 실시간 서비스를 요청하는 경우 요구되는 패킷 손실율을 나타낸다. 또한, DK(t)는 k번째 사용자의 시간 t에서의 전송 지연을 의미하며,는 웨이티드(Weighted) 평균 지연을 의미한다. RK(t)는 사용자 k가 시간 t 동안 서비스받은 데이터율을 의미하며, R*min,k는 사용자 k가 요구하는 최소 데이터율을 의미한다.Here, P*D, k represents the packet loss rate required when the user k requests the real-time service. In addition, DK (t) means the transmission delay at time t of the k-th user, Denotes the weighted average delay. RK (t) denotes the data rate at which user k was serviced for time t, and R*min, k denotes the minimum data rate required by user k.
상기 [수학식 20]에서 보듯이, 상위계층 QoS 파라미터를 고려하기 위한 메트릭(Q)은 사용자가 실시간 서비스를 요구하는 경우 기지국 버퍼에서의 지연 시간 이외에도 목표(Target) 패킷 손실율과 지연 제한을 고려하도록 설계되었다. 또한, 사용자가 비실시간 서비스를 요구하는 경우에는 최소 전송율(Minimum Transmission Rate)를 고려하도록 설계되었다. 최소 전송율이란 서비스 사용자가 요구하는 최소한의 수율을 의미한다. 한편, 사용자가 Best Effort 서비스를 요구한 경우에는 별다른 상위계층 QoS 요구 조건이 없으므로 상기 실시간 서비스나 비실시시간 서비스에 비하여 우선 순위가 낮게 설정('-1'로 설정)되도록 하였다.As shown in [Equation 20], the metric (Q) for considering the upper layer QoS parameter is to consider the target packet loss rate and delay limit in addition to the delay time in the base station buffer when the user requests the real-time service. Designed. In addition, it is designed to consider the minimum transmission rate when a user requests a non-real time service. The minimum transfer rate means the minimum yield required by the service user. On the other hand, when the user requests the Best Effort service, since there is no special upper layer QoS requirement, the priority is set lower than the real time service or the non-real time service (set to '-1').
한편, 실시간 서비스(Real Time Service)가 비실시간 서비스에 비해 높은 우선 순위를 유지할 수 있도록 아래의 [수학식 21]과 같은 메트릭(P)이 추가적으로 필요하다. 아래의 [수학식 21]에서 ρRT는 ρNRT보다 크게 설정된다.Meanwhile, a metric P as shown in Equation 21 below is additionally required so that a real time service can maintain a higher priority than a non real time service. In Equation 21 below, ρRT is ρNRT It is set larger.
QoS 메트릭(QoS_Metric)은 상기 상위계층 QoS 파라미터를 고려하기 위한 메트릭(Q)과 실시간 서비스가 비실시간 서비스에 비해 높은 우선 순위를 유지할 수 있도록 하기 위한 메트릭(P)를 합한 값으로서 아래의 [수학식 22]와 같이 표현된다.QoS metric (QoS_Metric) is a sum of a metric (Q) for considering the upper layer QoS parameters and a metric (P) for real-time service to maintain a higher priority than the non-real-time service. 22].
마지막으로, 상기 서브밴드 할당부(320)는 상기 QoS 정보 획득부(380)에서 생성된 QoS 메트릭(QoS_Metric) 및 상기 빔형성/공간 구분부(340)에서 생성된 수율최대화메트릭(TM_Metric)으로부터 아래의 [수학식 23]로 표현되는 혼합 메트릭(Unified Metric)을 생성한다. 상기 서브밴드 할당부(320)은 각 서브 밴드에 대하여 상기 혼합 메트릭 값이 가장 큰 사용자에게 자원을 할당한다.Finally, the
여기서, β는 QoS 메트릭(QoS_Metric)과 수율최대화메트릭(TM_Metric)의 가중치를 결정하기 위한 변수다. QoS 메트릭(QoS_Metric)과 수율최대화메트릭(TM_Metric)은 트레이드-오프(Trade-Off) 특성을 나타낸다. 따라서 높은 QoS를 요구하는 사용자의 밀도에 따라 상기 두 가지 메트릭의 가중치를 적절하게 변경하여 적용함으로써 사용자가 요구하는 QoS를 보장하면서 시스템 수율 손실을 최소화 할 수 있다.Here, β is a variable for determining the weight of the QoS metric (QoS_Metric) and the yield maximization metric (TM_Metric). The QoS metric (QoS_Metric) and the yield maximization metric (TM_Metric) indicate trade-off characteristics. Accordingly, by appropriately changing and applying the weights of the two metrics according to the density of the user requiring high QoS, the system yield loss can be minimized while ensuring the QoS required by the user.
도 4는 도 2의 기지국에서 수행되는 인접셀 간섭정보 및 QoS 정보가 고려된 수율 최대화 자원할당 방법을 설명하는 일실시예 흐름도이다. 도 5는 본 발명에 따른 혼합 메트릭을 생성하는 방법을 설명하기 위한 일실시예 상세 흐름도이다.FIG. 4 is a flowchart illustrating a method for maximizing yield allocation in consideration of neighbor cell interference information and QoS information performed in the base station of FIG. 2. 5 is a detailed flowchart of an embodiment for describing a method of generating a mixing metric according to the present invention.
우선, 각각의 사용자 단말(MS; Mobile Station)에 대하여 채널상태정보(SC 매트릭스), 인접셀 간섭정보, QoS 정보를 획득한다(S410).First, channel state information (SC matrix), neighbor cell interference information, and QoS information are obtained for each mobile station (S410).
이어서, 상기 획득된 정보들을 이용하여 계산된 혼합 메트릭(Unified Metric)이 가장 큰 사용자들을 각 서브 밴드에 할당한다(S420). 초기에는 모든 서브 밴드가 사용자들에게 할당 가능하다.Subsequently, the users having the largest unified metric calculated using the obtained information are allocated to each subband (S420). Initially all subbands are assignable to users.
상기 혼합 메트릭(Unified Metric)을 구하기 위하여, 우선 QoS 정보 획득부(380)가 각 사용자의 상위계층 QoS 파라미터를 이용하여 QoS 메트릭(QoS_Metric)을 생성한다(S510). 그리고 빔형성/공간구분부(340)는 채널상태정보/인접셀간섭정보획득부(370)에서 획득된 SC 메트릭스와 인접셀간섭정보를 이용하여 수율최대화메트릭(TM_Metric)을 생성한다(S520). 마지막으로, 서브밴드할당부(320)는 상기 QoS 메트릭(QoS_Metric) 및 상기 수율최대화메트릭(TM_Metric)를 이용하여 각각의 사용자의 서브 밴드별 혼합 메트릭(Unified Metric)을 계산한다(S530).In order to obtain the unified metric, the QoS
한편, 상기 빔형성/공간 구분부(340)는 상기 채널 할당으로 인하여 변경된  동일 채널 사용자들의 IPF 및 RIF를 업데이트한다(S430).Meanwhile, the beamforming /
이후, 각 서브 밴드에 대하여 전송 안테나 수만큼 사용자를 할당했거나 더 이상 SDMA로 인한 이득이 없는 경우, 상기 서브밴드 할당부(320)는 할당 가능 리스트에서 해당 서브 밴드를 제거한다(S440). SDMA로 인한 이득이 없는 경우라 함은  각 서브 밴드에 대하여 할당된 모든 사용자들의 RIF가 0이하인 경우를 의미한다.Subsequently, when a user is allocated for each subband by the number of transmit antennas or there is no more gain due to SDMA, the
이어서, 할당 가능 리스트가 남아있는 경우에는 상기 단계 S420으로 리턴하며, 할당 가능 리스트가 남아있지 않는 경우에는 각각의 사용자에게 할당된 자원을 통하여 다음 프레임 구간 전까지 패킷을 전송한다(S450, S460).Subsequently, if the assignable list remains, the process returns to the step S420. If the assignable list does not remain, the packet is transmitted until the next frame period through the resources allocated to each user (S450, S460).
상술한 바와 같은 본 발명의 방법은 프로그램으로 구현되어 컴퓨터로 읽을 수 있는 형태로 기록매체(씨디롬, 램, 롬, 플로피 디스크, 하드 디스크, 광자기 디스크 등)에 저장될 수 있다. 이러한 과정은 본 발명이 속하는 기술 분야에서 통상의 지식을 가진 자가 용이하게 실시할 수 있으므로 더 이상 상세히 설명하지 않기로 한다.As described above, the method of the present invention may be implemented as a program and stored in a recording medium (CD-ROM, RAM, ROM, floppy disk, hard disk, magneto-optical disk, etc.) in a computer-readable form. Since this process can be easily implemented by those skilled in the art will not be described in more detail.
이상에서 설명한 본 발명은, 본 발명이 속하는 기술분야에서 통상의 지식을 가진 자에게 있어 본 발명의 기술적 사상을 벗어나지 않는 범위 내에서 여러 가지 치환, 변형 및 변경이 가능하므로 전술한 실시예 및 첨부된 도면에 의해 한정되는 것이 아니다.The present invention described above is capable of various substitutions, modifications, and changes without departing from the technical spirit of the present invention for those skilled in the art to which the present invention pertains. It is not limited by the drawings.
상기와 같은 본 발명은, OFDM/SDMA 기반 셀룰러 시스템에서 하향링크로 자원을 할당함에 있어 MAC 계층 이상의 상위 계층에서의 QoS 파라미터(High Layer QoS parameter)를 고려함으로써, 시스템 수율 손실을 최소화하면서 상위 계층에서의 QoS(High Layer QoS) 를 보장할 수 있는 효과가 있다.As described above, the present invention considers QoS parameters in the upper layer of the MAC layer or higher in downlink allocation in an OFDM / SDMA-based cellular system, thereby minimizing system yield loss while There is an effect that can guarantee the High Layer QoS (QoS).
또한, 본 발명은 다중 셀(Multi-Cell) 환경에서 기인하는 인접 셀 간섭 정보를 자원 할당에 고려할 수 있도록 함으로써, 다중 셀(Multi-Cell) 환경에서도 인접 셀 간섭으로 인한 시스템의 성능 열화를 방지할 수 있는 효과가 있다.In addition, the present invention allows the neighbor cell interference information resulting from the multi-cell environment to be considered in resource allocation, thereby preventing performance degradation of the system due to neighboring cell interference even in the multi-cell environment. It can be effective.
| Application Number | Priority Date | Filing Date | Title | 
|---|---|---|---|
| KR1020060096165AKR100826541B1 (en) | 2006-09-29 | 2006-09-29 | Apparatus and Method for Downlink Resource Allocation for Guaranteeing Individual Traffic of Various Traffic in ODF / SDMA-based Cellular System | 
| Application Number | Priority Date | Filing Date | Title | 
|---|---|---|---|
| KR1020060096165AKR100826541B1 (en) | 2006-09-29 | 2006-09-29 | Apparatus and Method for Downlink Resource Allocation for Guaranteeing Individual Traffic of Various Traffic in ODF / SDMA-based Cellular System | 
| Publication Number | Publication Date | 
|---|---|
| KR20080030281A KR20080030281A (en) | 2008-04-04 | 
| KR100826541B1true KR100826541B1 (en) | 2008-04-30 | 
| Application Number | Title | Priority Date | Filing Date | 
|---|---|---|---|
| KR1020060096165AExpired - Fee RelatedKR100826541B1 (en) | 2006-09-29 | 2006-09-29 | Apparatus and Method for Downlink Resource Allocation for Guaranteeing Individual Traffic of Various Traffic in ODF / SDMA-based Cellular System | 
| Country | Link | 
|---|---|
| KR (1) | KR100826541B1 (en) | 
| Publication number | Priority date | Publication date | Assignee | Title | 
|---|---|---|---|---|
| WO2010079917A3 (en)* | 2009-01-07 | 2010-09-02 | Lg Electronics Inc. | Method and apparatus of reserving resource in wireless communication system | 
| KR101144454B1 (en) | 2010-09-03 | 2012-05-10 | 인하대학교 산학협력단 | Two-step radio resource management method for downlink of multiuser ofdma system with heterogeneous quality of service requirements | 
| KR20200072213A (en)* | 2018-12-12 | 2020-06-22 | 고려대학교 산학협력단 | Noma system and its method for scheduling multi-user | 
| Publication number | Priority date | Publication date | Assignee | Title | 
|---|---|---|---|---|
| US20110053627A1 (en)* | 2009-08-28 | 2011-03-03 | Samsung Electronics Co., Ltd. | System and method for efficient indication of distributed sub-band resources | 
| KR101714503B1 (en)* | 2010-10-22 | 2017-03-09 | 삼성전자주식회사 | Apparatus and method for scheduling in wireless communication system | 
| CN114980336B (en)* | 2022-05-23 | 2025-03-18 | 同济大学 | A dynamic video transmission scheduling method based on reinforcement learning | 
| Publication number | Priority date | Publication date | Assignee | Title | 
|---|---|---|---|---|
| JPH1127231A (en) | 1997-06-30 | 1999-01-29 | Toshiba Corp | Wireless communication system | 
| US5933421A (en) | 1997-02-06 | 1999-08-03 | At&T Wireless Services Inc. | Method for frequency division duplex communications | 
| KR20040055517A (en)* | 2002-12-21 | 2004-06-26 | 한국전자통신연구원 | Method for Adaptive Resource Allocation for Communication System | 
| KR20040067623A (en)* | 2003-01-24 | 2004-07-30 | 서두인칩 주식회사 | Method for transmission in wireless cellular network system and transmission system | 
| KR20070079985A (en)* | 2006-02-06 | 2007-08-09 | 삼성전자주식회사 | Transmission apparatus and method in orthogonal frequency division multiplexing system | 
| Publication number | Priority date | Publication date | Assignee | Title | 
|---|---|---|---|---|
| US5933421A (en) | 1997-02-06 | 1999-08-03 | At&T Wireless Services Inc. | Method for frequency division duplex communications | 
| JPH1127231A (en) | 1997-06-30 | 1999-01-29 | Toshiba Corp | Wireless communication system | 
| KR20040055517A (en)* | 2002-12-21 | 2004-06-26 | 한국전자통신연구원 | Method for Adaptive Resource Allocation for Communication System | 
| KR20040067623A (en)* | 2003-01-24 | 2004-07-30 | 서두인칩 주식회사 | Method for transmission in wireless cellular network system and transmission system | 
| KR20070079985A (en)* | 2006-02-06 | 2007-08-09 | 삼성전자주식회사 | Transmission apparatus and method in orthogonal frequency division multiplexing system | 
| Publication number | Priority date | Publication date | Assignee | Title | 
|---|---|---|---|---|
| WO2010079917A3 (en)* | 2009-01-07 | 2010-09-02 | Lg Electronics Inc. | Method and apparatus of reserving resource in wireless communication system | 
| US8675596B2 (en) | 2009-01-07 | 2014-03-18 | Lg Electronics Inc. | Method and apparatus of reserving resource in wireless communication system | 
| KR101507175B1 (en) | 2009-01-07 | 2015-03-31 | 엘지전자 주식회사 | Method of reserving resource in wireless communication system | 
| KR101144454B1 (en) | 2010-09-03 | 2012-05-10 | 인하대학교 산학협력단 | Two-step radio resource management method for downlink of multiuser ofdma system with heterogeneous quality of service requirements | 
| KR20200072213A (en)* | 2018-12-12 | 2020-06-22 | 고려대학교 산학협력단 | Noma system and its method for scheduling multi-user | 
| KR102152922B1 (en) | 2018-12-12 | 2020-09-07 | 고려대학교 산학협력단 | Noma system and its method for scheduling multi-user | 
| Publication number | Publication date | 
|---|---|
| KR20080030281A (en) | 2008-04-04 | 
| Publication | Publication Date | Title | 
|---|---|---|
| CN101073206B (en) | Method and system for switching antenna and channel allocation in broadband wireless network | |
| CN101835161B (en) | Dynamic resource allocation method and equipment of multi-cell wireless communication system | |
| US8078185B2 (en) | User group-based adaptive soft frequency reuse method to mitigate downlink interference for wireless cellular networks | |
| US7440437B2 (en) | Method and apparatus for scheduling downlink channels in an orthogonal frequency division multiple access system and a system using the same | |
| US7835323B2 (en) | System and method for transmitting/receiving data in a multicarrier communication system | |
| US20050111429A1 (en) | System and method for dynamically allocating resources in a mobile communication system employing orthogonal frequency division multiple access | |
| US20090296574A1 (en) | Traffic load dependent power allocation in multi user wireless communication network with proportional fair scheduling in time and frequency domain | |
| KR101020044B1 (en) | Band Allocation Scheduling Apparatus and Method for Communication Systems Using Multiple Frequency Bands | |
| JP2008547282A (en) | OFDMA reverse link scheduling | |
| KR100826541B1 (en) | Apparatus and Method for Downlink Resource Allocation for Guaranteeing Individual Traffic of Various Traffic in ODF / SDMA-based Cellular System | |
| Liang et al. | A cross-layer framework for overhead reduction, traffic scheduling, and burst allocation in IEEE 802.16 OFDMA networks | |
| Uyan et al. | QoS‐aware LTE‐A downlink scheduling algorithm: A case study on edge users | |
| Deniz et al. | On the performance of LTE downlink scheduling algorithms: A case study on edge throughput | |
| Yildiz et al. | A novel mobility aware downlink scheduling algorithm for LTE-A networks | |
| Assaad et al. | New frequency-time scheduling algorithms for 3GPP/LTE-like OFDMA air interface in the downlink | |
| Tran et al. | Optimized scheduling algorithm for LTE downlink system | |
| WO2006104371A1 (en) | Method and system for allocating adaptive modulation and coding subchannel for use in portable internet network | |
| CN101237691B (en) | A Method of Realizing Resource Allocation in OFDMA Networks | |
| Tsai et al. | Downlink radio resource allocation with Carrier Aggregation in MIMO LTE-advanced systems | |
| KR20060038786A (en) | System and method for allocating resources between physical layer and media access control layer in radio access protocol | |
| KR101378701B1 (en) | Method scheduling to allocate sub-carrier in a orthogonal frequency divisiong multiplexing access system | |
| Yang et al. | A dynamic strategy for packet scheduling and bandwidth allocation based on channel quality in IEEE 802.16 e OFDMA system | |
| Shukry et al. | Adaptive Fractional Frequency Reuse (AFFR) scheme for multi-cell IEEE 802.16 e systems | |
| KR100837080B1 (en) | Resource Allocation Method for Packet Scheduling and System Using the Same | |
| CN116318289B (en) | Space-time-frequency three-dimensional resource allocation method for MU-MIMO system | 
| Date | Code | Title | Description | 
|---|---|---|---|
| A201 | Request for examination | ||
| PA0109 | Patent application | St.27 status event code:A-0-1-A10-A12-nap-PA0109 | |
| PA0201 | Request for examination | St.27 status event code:A-1-2-D10-D11-exm-PA0201 | |
| D13-X000 | Search requested | St.27 status event code:A-1-2-D10-D13-srh-X000 | |
| D14-X000 | Search report completed | St.27 status event code:A-1-2-D10-D14-srh-X000 | |
| E902 | Notification of reason for refusal | ||
| PE0902 | Notice of grounds for rejection | St.27 status event code:A-1-2-D10-D21-exm-PE0902 | |
| T11-X000 | Administrative time limit extension requested | St.27 status event code:U-3-3-T10-T11-oth-X000 | |
| E13-X000 | Pre-grant limitation requested | St.27 status event code:A-2-3-E10-E13-lim-X000 | |
| P11-X000 | Amendment of application requested | St.27 status event code:A-2-2-P10-P11-nap-X000 | |
| P13-X000 | Application amended | St.27 status event code:A-2-2-P10-P13-nap-X000 | |
| PN2301 | Change of applicant | St.27 status event code:A-3-3-R10-R11-asn-PN2301 St.27 status event code:A-3-3-R10-R13-asn-PN2301 | |
| PG1501 | Laying open of application | St.27 status event code:A-1-1-Q10-Q12-nap-PG1501 | |
| E701 | Decision to grant or registration of patent right | ||
| PE0701 | Decision of registration | St.27 status event code:A-1-2-D10-D22-exm-PE0701 | |
| GRNT | Written decision to grant | ||
| PR0701 | Registration of establishment | St.27 status event code:A-2-4-F10-F11-exm-PR0701 | |
| PR1002 | Payment of registration fee | Fee payment year number:1 St.27 status event code:A-2-2-U10-U11-oth-PR1002 | |
| PG1601 | Publication of registration | St.27 status event code:A-4-4-Q10-Q13-nap-PG1601 | |
| R18-X000 | Changes to party contact information recorded | St.27 status event code:A-5-5-R10-R18-oth-X000 | |
| PN2301 | Change of applicant | St.27 status event code:A-5-5-R10-R11-asn-PN2301 St.27 status event code:A-5-5-R10-R13-asn-PN2301 | |
| R18-X000 | Changes to party contact information recorded | St.27 status event code:A-5-5-R10-R18-oth-X000 | |
| PR1001 | Payment of annual fee | Fee payment year number:4 St.27 status event code:A-4-4-U10-U11-oth-PR1001 | |
| PR1001 | Payment of annual fee | Fee payment year number:5 St.27 status event code:A-4-4-U10-U11-oth-PR1001 | |
| FPAY | Annual fee payment | Payment date:20130325 Year of fee payment:6 | |
| PR1001 | Payment of annual fee | Fee payment year number:6 St.27 status event code:A-4-4-U10-U11-oth-PR1001 | |
| FPAY | Annual fee payment | Payment date:20140303 Year of fee payment:7 | |
| PR1001 | Payment of annual fee | Fee payment year number:7 St.27 status event code:A-4-4-U10-U11-oth-PR1001 | |
| PN2301 | Change of applicant | St.27 status event code:A-5-5-R10-R11-asn-PN2301 St.27 status event code:A-5-5-R10-R13-asn-PN2301 | |
| FPAY | Annual fee payment | Payment date:20150216 Year of fee payment:8 | |
| PR1001 | Payment of annual fee | Fee payment year number:8 St.27 status event code:A-4-4-U10-U11-oth-PR1001 | |
| PN2301 | Change of applicant | St.27 status event code:A-5-5-R10-R11-asn-PN2301 St.27 status event code:A-5-5-R10-R13-asn-PN2301 | |
| FPAY | Annual fee payment | Payment date:20160404 Year of fee payment:9 | |
| PR1001 | Payment of annual fee | Fee payment year number:9 St.27 status event code:A-4-4-U10-U11-oth-PR1001 | |
| PN2301 | Change of applicant | St.27 status event code:A-5-5-R10-R11-asn-PN2301 St.27 status event code:A-5-5-R10-R13-asn-PN2301 | |
| LAPS | Lapse due to unpaid annual fee | ||
| PC1903 | Unpaid annual fee | Not in force date:20170425 Payment event data comment text:Termination Category : DEFAULT_OF_REGISTRATION_FEE St.27 status event code:A-4-4-U10-U13-oth-PC1903 | |
| PC1903 | Unpaid annual fee | Ip right cessation event data comment text:Termination Category : DEFAULT_OF_REGISTRATION_FEE Not in force date:20170425 St.27 status event code:N-4-6-H10-H13-oth-PC1903 | |
| R18-X000 | Changes to party contact information recorded | St.27 status event code:A-5-5-R10-R18-oth-X000 | |
| R18-X000 | Changes to party contact information recorded | St.27 status event code:A-5-5-R10-R18-oth-X000 | |
| P22-X000 | Classification modified | St.27 status event code:A-4-4-P10-P22-nap-X000 | |
| P22-X000 | Classification modified | St.27 status event code:A-4-4-P10-P22-nap-X000 | |
| P22-X000 | Classification modified | St.27 status event code:A-4-4-P10-P22-nap-X000 | |
| R18-X000 | Changes to party contact information recorded | St.27 status event code:A-5-5-R10-R18-oth-X000 |