



























































도 1은 통합된 수동 입력 장치의 블록 다이어그램.1 is a block diagram of an integrated passive input device.
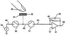
도 2는 전압 증폭기를 가진 근접 센서의 개략도.2 is a schematic diagram of a proximity sensor with a voltage amplifier.
도 3은 통합 전류 증폭기를 가진 근접 센서의 개략도.3 is a schematic diagram of a proximity sensor with an integrated current amplifier.
도 4는 전계 효과 트랜지스터로 실시된 근접 센서의 개략도.4 is a schematic diagram of a proximity sensor implemented with a field effect transistor.
도 5는 근접 센서의 2D 어레이를 실시하는데 사용될 때의 근접 센서의 개략도.5 is a schematic diagram of a proximity sensor as used to implement a 2D array of proximity sensors.
도 6은 모든 센서가 동일한 증폭기를 공유하는 경우 근접 센서의 2D 어레이에 대한 통상적인 아키텍쳐를 도시한 블록 다이어그램.FIG. 6 is a block diagram illustrating a typical architecture for a 2D array of proximity sensors when all sensors share the same amplifier.
도 7은 근접 센서 출력을 디지털 코드로 변환하는데 사용되는 회로의 블록도.7 is a block diagram of a circuit used to convert a proximity sensor output into a digital code.
도 8은 하나의 횡렬(row)내의 센서들이 동일한 증폭기를 공유하는 경우에 근접 센서의 2D 어레이에 대한 통상적인 아키텍쳐를 도시한 블록 다이어그램.FIG. 8 is a block diagram illustrating a typical architecture for a 2D array of proximity sensors where sensors in one row share the same amplifier. FIG.
도 9는 그룹(종렬로 배치된) 내의 모든 근접 센서의 출력 게이트를 작동시킬 수 있는데 유용한 회로의 개략도.9 is a schematic diagram of circuitry useful for actuating the output gates of all proximity sensors in a group (arranged).
도 10은 비전도성 터치 물제에 의해 가해진 압력에 민감한 2D 근접 센서 어 레이의 측면도.10 is a side view of a pressure sensitive 2D proximity sensor array applied by a nonconductive touch object.
도 11은 공간적 감도의 손실이 없이 적합성(compliant) 표면을 제공하는 2D 근접 센서 어레이의 측면도.11 is a side view of a 2D proximity sensor array providing a compliant surface without loss of spatial sensitivity.
도 12는 행동하는 터치 물체의 근접과 행동하지 않는 터치 물체에 의해 발휘된 압력의 근접에 모두 민감한 2D 근접 센서의 측면도.12 is a side view of a 2D proximity sensor that is sensitive to both the proximity of the acting touch object and the proximity of pressure exerted by the non-acting touch object.
도 13은 손가락을 편 채 표면상으로 붙인 손의 근접 영상의 일예의 도면.FIG. 13 is an illustration of an example of a close-up image of a hand stuck on a surface with the fingers apart.
도 14는 손가락 끝을 표면에 수직으로 한 채 부분적으로 움켜쥔 손의 근접 영상의 일예의 도면.14 is an illustration of an example of a close-up image of a partially grasped hand with a fingertip perpendicular to the surface;
도 15는 엄지와 집게 손가락을 쥔 펜 그립 형상인 손의 근접 영상의 일예의 도면.15 is an illustration of one example of a close-up image of a hand that is in the shape of a pen grip holding a thumb and forefinger.
도 16은 손 추적 및 접촉 식별 시스템의 데이터 플로우 다이어그램.16 is a data flow diagram of a hand tracking and contact identification system.
도 17은 손 위치 평가의 플로우 차트.17 is a flowchart of hand position evaluation.
도 18은 근접 영상 분할의 데이터 플로우 다이어그램.18 is a data flow diagram of proximity image segmentation.
도 19는 전극 그룹의 구성중 경계 서치 패턴의 다이어그램.19 is a diagram of a boundary search pattern in the configuration of electrode groups.
도 20a는 표면상에서 양 손이 중립 디폴트 위치에 있는 분할 제한 영역의 다이어그램.20A is a diagram of a segmentation restriction area with both hands in a neutral default position on the surface.
도 20b는 손이 표면상에서 대칭 위치에 있을 때 분할 제한 영역의 다이어그램.20B is a diagram of a segmentation restriction area when the hand is in a symmetrical position on the surface.
도 20c는 오른손이 남은 표면의 반쪽에 가로놓여 있고 왼손이 표면에서 벗어났을 때 분할 제한 영역의 다이어그램.20C is a diagram of a segmentation restriction area when the right hand is crossed on half of the remaining surface and the left hand is off the surface.
도 21은 분할 에지 검사의 플로우 차트.21 is a flowchart of split edge inspection.
도 22는 불변의 통로 추적의 플로우 차트.22 is a flow chart of constant passage tracking.
도 23은 손 부분 식별 알고리즘의 플로우 차트.23 is a flow chart of a hand part identification algorithm.
도 24는 손 부분 유인점 주위에 구성된 보로노이 셀 다이어그램.FIG. 24 is a Voronoi cell diagram constructed around a hand part attraction point. FIG.
도 25a는 오른손 엄지, 오른손 내부 손바닥, 및 외손손등 대 접촉 배향을 위한 배향 중량 팩터의 플롯을 도시하는 도면.FIG. 25A shows a plot of the orientation weight factor for right hand thumb, right hand inner palm, and external hand back to contact orientation.
도 25b는 엄지 크기 인지 대 접촉 크기의 플롯을 도시하는 도면.25B shows a plot of thumb size perception versus contact size.
도 25c는 손바닥 크기 팩터 대 접촉 편심에 대한 전체 접촉 인접의 비의 플롯을 도시하는 도면.FIG. 25C shows a plot of the ratio of full contact adjacency to palm size factor to contact eccentricity. FIG.
도 25d는 손바닥 분할 팩터 대 접촉부 및 인접한 접촉부 사이의 거리의 플롯을 도시하는 도면.FIG. 25D shows a plot of palm split factor versus distance between contacts and adjacent contacts. FIG.
도 26은 엄지 존재 검증 알고리즘의 플로우 차트.26 is a flow chart of a thumb presence verification algorithm.
도 27은 다른 손 부분 식별 알고리즘의 플로우 차트.27 is a flow chart of another hand part identification algorithm.
도 28은 펜 그립 검출 공정의 플로우 차트.28 is a flowchart of a pen grip detection process.
도 29는 손 식별 알고리즘의 플로우 차트.29 is a flow chart of a hand identification algorithm.
도 30a 내지 30c는 표면 접촉부의 고정 배열을 위한 세개의 다른 손 분할 가설을 도시하는 도면.30A-30C illustrate three different hand segmentation hypotheses for a fixed arrangement of surface contacts.
도 31a는 손 클러칭 방향 팩터 대 수평 손 속도의 플롯을 도시하는 도면.FIG. 31A shows a plot of hand clutching direction factor versus horizontal hand velocity. FIG.
도 31b는 잘 쓰는 손 팩터 대 인접한 최외부 손가락에 대한 최외부 손가락 의 수직 위치의 플롯을 도시하는 도면.FIG. 31B shows a plot of the well-written hand factor versus the vertical position of the outermost finger relative to the adjacent outermost finger. FIG.
도 31c는 손바닥 점착(cohesion) 팩터 대 손의 손바닥 접촉부들 사이의 최대 수평 분할의 플롯을 도시하는 도면.FIG. 31C shows a plot of the maximum horizontal division between palm cohesion factor versus palm contacts of the hand. FIG.
도 32는 내부 손가락 각도 팩터 대 최내부와 다음 최내부 손가락 접촉부 사이의 각도의 플롯을 도시하는 도면.FIG. 32 shows a plot of the inner finger angle factor versus the angle between the innermost and next innermost finger contact. FIG.
도 33은 중간 손 분할 팩터 대 오른손 엄지와 왼손 엄지 사이의 추정 거리의 플롯을 도시하는 도면.FIG. 33 shows a plot of estimated distance between middle hand split factor versus right hand thumb and left hand thumb.
도 34는 손 손 움직임 성분 추출의 플로우 차트.34 is a flow chart of hand hand movement component extraction.
도 35는 손이 축소될 때 일반적인 손가락 궤도의 다이어그램.35 is a diagram of a typical finger trajectory when the hand is collapsed.
도 36은 반경방향 및 각방향 손 속도 적출의 플로우 차트.36 is a flow chart of radial and angular hand speed extraction.
도 37은 병진 손 속도 콤포넌트의 적출을 도시하는 플로우 차트.37 is a flow chart illustrating extraction of a translational hand speed component.
도 38은 다른 손 압력 적출의 플로우 차트.38 is a flowchart of another hand pressure extraction.
도 39a는 손가락 동기 검출 루프의 플로우 차트.39A is a flow chart of a finger sync detection loop.
도 39b는 인대 탭 검출의 플로우 차트.39B is a flow chart of ligament tap detection.
도 40a는 인대 이동 인식 루프의 플로우 차트.40A is a flow chart of a ligament movement recognition loop.
도 40b는 인대 이동 이벤트 발생의 플로우 차트.40B is a flow chart of ligament movement event occurrence.
*도 41은 키이 레이아웃 모핑의 플로우 차트.41 is a flowchart of key layout morphing.
도 42는 키이프레스 검출 루프의 플로우 차트.42 is a flow chart of a key press detection loop.
도 43a는 키이프레스 수납 및 전송 루프의 플로우 차트.Fig. 43A is a flow chart of a keypress storage and transmission loop.
도 43b는 활자 에물레이션의 플로우 차트.43B is a flowchart of letter emulation.
* 도면의 주요 부분에 대한 부호의 설명 *Explanation of symbols on the main parts of the drawings
2: 멀티터치 표면4: 손2: multi-touch surface 4: hand
6: 전자 스캐닝 하드웨어8: 교정 모듈6: electronic scanning hardware 8: calibration module
10: 접촉부 추적 및 식별 모듈12: 타이핑 인식 모듈10: contact tracking and identification module 12: typing recognition module
본 출원은 1998년 1월 26일자로 출원된 미국 가출원 시리얼 번호 제 60/072,509호 및 1999년 1월 25일자로 출원된 미국 실용 출원 시리얼 번호 제 09/236,513호에 기초한 것이다.This application is based on US Provisional Serial No. 60 / 072,509, filed Jan. 26, 1998, and US Utility Application Serial No. 09 / 236,513, filed Jan. 25, 1999.
본 발명의 분야FIELD OF THE INVENTION
본 발명은 일반적으로 데이터 입력 방법 및 장치에 관한 것이며, 특히 수동 입력 통합 방법 및 장치에 관한 것이다.The present invention relates generally to data input methods and devices, and more particularly to manual input integration methods and devices.
관련 기술의 설명Description of the related technology
오늘날에는 컴퓨터에 대해서 데이터 및 커맨드를 수동 입력하는 많은 방법들이 사용되고 있으나, 각각은 특정 타입의 데이터 입력에 대해서는 매우 효율적이며 사용하기 용이하다. 예를 들어, 펜이나 또는 퍽(puck)을 이용한 드로잉 타블렛(drawing tablet)은 드래프팅, 스케칭, 및 신속한 커맨드 제스쳐에 있어서 우수하다. 스타일러스를 이용한 필적(handwriting)은 서명, 특수 기호 또는 소량의 텍스트를 요구하는 폼을 채우는데 편리하나, 필적은 타이핑 및 음성 입력에 비해 긴 문 서에 대해서는 느리다. 마우스, 핑거 스틱(finger-stick) 및 터치패드는 커서 위치 지정 및 드래그 및 드롭과 같은 그래픽 물체 조작에 있어서 우수하다. 롤러, 썸휠(thumbwheel), 및 트랙볼(trackball)은 패닝(panning) 및 스크롤링에 있어서 우수하다. 많은 컴퓨터 사용자가 하루에 겪게 되는 다양한 업무는 이 기술들 모두를 요구하나, 소수의 사용자들만이 다수의 입력 장치에 대가를 지불할 것이며, 개별 장치들은 종종 편리성과 인체 공학적인 의미에서 호환할 수 없다. 예를 들어, 드로잉 타블렛은 그래픽 전문가들에게는 꼭 필요한 것이나, 타이핑 동안 펜을 내려 놓아야 하거나 손가락 사이에 어색하게 걸쳐 놓아야 하기 때문에 드로잉과 타이핑의 전환은 불편하다. 따라서, 값이 싸며 통상적인 수동 입력 기술의 편리한 통합을 제공하는 수동 입력 장치의 기술에 대한 필요성이 오랫동안 존재해 왔다.Many methods are used today for manually entering data and commands into a computer, but each is very efficient and easy to use for certain types of data entry. For example, a drawing tablet using a pen or puck is excellent for drafting, sketching, and quick command gestures. Handwriting with a stylus is convenient for filling forms that require signatures, special symbols, or small amounts of text, but handwriting is slower for long documents than for typing and voice input. Mice, finger-sticks, and touchpads are excellent for cursor positioning and graphical object manipulation, such as dragging and dropping. Rollers, thumbwheels, and trackballs are excellent for panning and scrolling. The many tasks that many computer users experience in a day require all of these technologies, but only a few users will pay for many input devices, and individual devices are often incompatible in terms of convenience and ergonomics. . For example, drawing tablets are a must for graphic professionals, but switching between drawing and typing is inconvenient, as you have to put the pen down or type it awkwardly between your fingers. Thus, there has long been a need for a technique of passive input devices that is inexpensive and provides convenient integration of conventional manual input techniques.
음성 인식은 사용자 손의 입력 부담을 약간 경감시킬 수 있는 흥미있는 새로운 기술이다. 그러나, 음성은 모든 타입의 데이터를 입력하는데 적합하지 않다. 현재, 음성 입력은 긴 텍스트 문서의 받아쓰기에 가장 적합하다. 자연어 인식이 충분히 성숙되어 매우 높은 레벨의 음성 커맨드가 컴퓨터에 의해 이해될 수 있을 때까지, 음성은 커맨드 및 제어에 대해서 키보드 단축키(hot key)와 마우스 메뉴를 넘는 이점을 거의 갖지 못할 것이다. 또한, 비록 어떻게 음성을 잘 이해한다 하더라도, 그래픽 물체의 정확한 위치 지정, 드로잉, 및 조작은 음성 커맨드으로는 어렵다. 따라서, 음성 입력을 보충하는 다기능 수동 입력 장치의 기술에 대한 필요성이 항상 존재할 것이다.Speech recognition is an interesting new technology that can slightly reduce the input burden on the user's hands. However, voice is not suitable for entering all types of data. Currently, voice input is best suited for dictation of long text documents. Until natural language recognition is mature enough that very high levels of voice commands can be understood by the computer, voice will have little advantage over keyboard hot keys and mouse menus for commands and controls. Also, no matter how well understood speech, accurate positioning, drawing, and manipulation of graphical objects is difficult with voice commands. Therefore, there will always be a need for a technique of a multifunctional manual input device that supplements voice input.
표준 입력 장치의 집합의 타이핑, 위치 지정, 스크롤링, 및 필적 능력을 조 합한 일반적인 수동 입력 장치는 장치 전문성을 포기하는 불가피한 희생보다 중요한 인체 공학적, 경제적, 및 생산적인 면에서 장점을 가져야 한다. 일반적인 장치는 확고히 통합되어야 하며, 다른 타입의 입력을 명확히 구별해야 한다. 따라서, 사용자가 한 입력 행위에서 다른 입력 행위로 전환하기 전에, 버튼 누름, 팔 이동, 또는 스타일러스 픽업과 같은 명료한 모드 전환 신호를 제공할 필요가 없어야 한다는 의미에서 사용자에게 모덜리스(modeless)인 것으로 여겨져야 한다. 역학적 연구는 반복 및 힘이 반복적인 피로 손상을 증가시킴을 시사한다. 인체 공학을 개선시키기 위해 불편한 자세, 장치 기동력, 소모성 움직임, 및 반복은 최소화되어야 한다. 또한, 작업 부하는 반복적인 피로를 피하기 위해 모든 이용 가능한 근육에 퍼져야 한다.General manual input devices that combine typing, positioning, scrolling, and handwriting capabilities of a set of standard input devices should have advantages in ergonomics, economics, and productivity that are important over the inevitable sacrifice of device expertise. Typical devices must be tightly integrated and clearly distinguish different types of input. Thus, it is modeless to the user in the sense that it must not have to provide a clear mode change signal such as a button press, arm movement, or stylus pickup before the user switches from one input action to another. Should be considered. Epidemiologic studies suggest that repetition and force increase repetitive fatigue damage. Inconvenient posture, device maneuverability, wasting motion, and repetition should be minimized to improve ergonomics. In addition, the workload should be spread over all available muscles to avoid repeated fatigue.
반복은 복잡한 마우스 포인터 움직임 시퀀스를 필요로 하는 업무를 몇몇 그래픽 조작 채널에 할당함으로써 최소화될 수 있다. 스크롤 바나 슬라이더 제어를 인식해 조작하는 것과 같은 통상적인 그래픽 사용자 인터페이스 동작은 온-스크린 제어상에 커서를 재위치시키는 단계 없이, 직접 스크롤을 야기시키는 특수 핑거 움직임보다 훨씬 덜 효과적이다. 적합하게, 그래픽 조작 채널은 작업 부하를 퍼뜨리기 위해 많은 손가락과 손의 움직임 배합에 분배되어야 한다. 에지 스크롤링을 이용한 Cirqueⓡ Smartcat 터치 패드, 매립된 위치 지정 스틱을 이용한 IBMⓡ ScrollPointTM 마우스, 및 길릭 등에 의한 미국 특허 번호 제 5,530,455호에 기재된 롤러 마우스와 같은 보조 스크롤링 제어를 이용한 터치 패드 및 마우스는 이 분야 에서의 작은 개선을 나타내지만, 빈번히 사용되는 커서 움직임 시퀀스를 제거하는데 충분한 직접 조작 채널을 여전히 제공하지 못한다. 또한, Proceedings of CHI '97 Extended Abstracts(1997)에 기재된, 에스. 자이(S. Zhai) 등에 의한, "위치 지정 및 스크롤링을 위한 이중 스트림 입력(Dual Stream Input for Pointing and Scrolling)"에서는, 동시 패닝, 주밍 및 회전을 방지하는 2이상의 자유도를 한번에 조작하는 것이 이 장치로는 매우 어렵다.Repetition can be minimized by assigning tasks requiring complex mouse pointer movement sequences to some graphical manipulation channels. Conventional graphical user interface operations, such as recognizing and manipulating scroll bars or slider controls, are far less effective than special finger movements that cause direct scrolling, without the need to reposition the cursor on the on-screen controls. Suitably, the graphical manipulation channel should be distributed to many finger and hand movement combinations to spread the workload. Touch pads and mice using secondary scrolling controls such as the Cirque® Smartcat touch pad with edge scrolling, the IBM® ScrollPointTM mouse with embedded positioning sticks, and the roller mouse described in US Pat. No. 5,530,455 to Gilrick et al. It represents a small improvement in the field, but still does not provide enough direct manipulation channels to eliminate frequently used cursor movement sequences. See, also, Proceedings of CHI '97 Extended Abstracts (1997). In "Dual Stream Input for Pointing and Scrolling" by S. Zhai et al., This device is capable of manipulating two or more degrees of freedom at once to prevent simultaneous panning, zooming and rotation. It is very difficult.
과도한 운동 및 반복을 줄이기 위한 다른 일반적인 방법은 일단 사용자가 움직임을 멈추거나 손가락을 들어올리면 포인팅 및 스크롤링 움직임 신호가 자동적으로 계속되는 것이다. 관련 기술 방법은 이러한 동작 계속이 이루어지는 조건하에서 의해 두드러질 수 있다. 미국 특허 번호 제 4,734,685호에서, 와타나베는 포인팅 장치의 이동 거리 및 속도가 임계값을 초과할 때 영상 패닝을 계속하도록 한다. 자동 패닝은 포인팅 장치를 반대 방향으로 되돌림으로써 정지되므로 정지에는 부가적인 정확한 이동이 필요하다. 길레스피(Gillespie) 등에 의한 미국 특허 번호 제 5,543,591호에서, 손가락이 소형 터치패드 주위의 에지 경계 영역에 들어갈 때 동작 계속이 발생한다. 계속되는 이동 속도는 일정하고, 방향은 터치패드의 중앙에서 에지의 손가락을 향하는 방향에 대응한다. 계속 모드는 손가락이 경계 영역을 떠나거나 패드에서 들어올려질 때 종료한다. 불리하게, 사용자는 종종 커서 이동을 계속하려는 의도 없이 패드의 에지에서 정지되거나, 예기치 않은 이동 계속으로 화가 나게 된다. 로건(Logan) 등에 의한 미국 특허 번호 제 5,327,161호도 손가락이 경계 영역에 들어갈 때 이동 계속을 기재하고 있으나, 대안적인 트랙볼 에뮬레이션 모드에서, 이동 계속은 오직 리프트오프시의 측면의 손가락 속도 및 방향의 함수일 수 있다. 이동 계속은 마찰 인자로 인해 감퇴되거나 또는 표면상의 다음 터치다운으로 인해 정지될 수 있다. 불리하게, 고속으로 디스플레이상에 대형 타겟을 접근시킬 때, 사용자가 리프트오프 전에 포인터를 완전히 정지시킬 수 없으므로, 리프트오프시의 터치 속도는 이동 계속에 대한 사용자 요구의 신뢰가능한 지표는 아니다. 따라서, 사용자가 실제로 타켓에서 포인트 동작을 정지시키고자 할 때 갑자기 작동되지 않지만, 경계상에서 일어나거나 또는 리프트오프 동안 충분한 속도로 이동하는데 일어나는 이동 계속 방법을 제공하는 것이 상기 기술을 진보시킬 것이다.Another common way to reduce excessive movement and repetition is that the pointing and scrolling movement signals automatically continue once the user stops moving or raises his finger. The related technical method can be accentuated by the conditions under which such continuation of operation takes place. In US Pat. No. 4,734,685, Watanabe allows image panning to continue when the moving distance and speed of the pointing device exceed a threshold. Automatic panning is stopped by returning the pointing device in the opposite direction, so stopping requires additional precise movement. In US Pat. No. 5,543,591 to Gillespie et al., Continuation of operation occurs when a finger enters an edge boundary region around a small touchpad. The continued movement speed is constant and the direction corresponds to the direction from the center of the touchpad towards the finger of the edge. Continue mode ends when the finger leaves the boundary area or is lifted off the pad. Disadvantageously, the user often stops at the edge of the pad without the intention of continuing the cursor movement, or becomes angry with unexpected movement continuation. U. S. Patent No. 5,327, 161 to Logan et al. Also describes continued movement when a finger enters the boundary region, but in an alternative trackball emulation mode, the movement duration can only be a function of lateral finger speed and direction at lift off. have. The continuation of movement can be reduced due to the friction factor or stopped due to the next touchdown on the surface. Disadvantageously, when approaching a large target on the display at high speed, the touch speed at liftoff is not a reliable indicator of user demand for continued movement since the user cannot fully stop the pointer before liftoff. Thus, it would advance the technique to provide a method of continued movement that does not operate suddenly when the user actually wants to stop the point movement on the target, but occurs on the boundary or moves at a sufficient speed during liftoff.
포인팅 장치를 액세스하기 위해 타이핑 위치에서 손을 이탈시킬 필요가 없도록 키보드에 포인팅 장치를 내장하려는 많은 시도가 있었다. 이는 프랜즈(Franz) 등에 의한 미국 특허 번호 제 5,189,403호에 기재된 통합 포인팅 키와, 제이. 러트리지(J. Rutledge) 및 티. 셀커(T. Selker)에 의한 "Human-Computer Interaction-INTERACT '90, pp. 701-06(1990), "포인팅을 위한 Force-to-Motion 기능(Force-to-Motion Functions for Pointing)"에 기재된 통합 포인팅 스틱, 및 샌틸리(Santilli)에 의한 미국 특허 번호 제 5,675,361호에 기재된 위치 감지 키를 포함한다. 그럼에도 불구하고, 이 장치의 제한된 이동 범위 및 해상도는 마우스보다 열악한 포인팅 속도와 정확도에 이르게하며, 그들은 키보드 구조에 기계적 복잡성을 부가한다. 따라서, 상기 종래 기술에서는 고해상도, 큰 이동 범위, 및 타이핑 손 위치로부터 용이하게 접근 가능한 큰 자유도를 갖는 포인팅 방법에 대한 기술이 필요하다.Many attempts have been made to embed the pointing device in the keyboard so that the hand does not need to be released from the typing position to access the pointing device. This includes the integrated pointing key described in US Pat. No. 5,189,403 to Franz et al. J. Rutledge and T. ``Human-Computer Interaction-INTERACT '90 , pp. 701-06 (1990), "Force-to-Motion Functions for Pointing," by T. Selker. Integrated pointing stick, and position sensing keys described in US Pat. No. 5,675,361 by Santanti. Nevertheless, the limited range and resolution of the device leads to poor pointing speed and accuracy than the mouse. They add mechanical complexity to the keyboard structure, therefore, the prior art requires techniques for pointing methods with high resolution, large range of motion, and large degrees of freedom that are easily accessible from typing hand position.
터치 스크린과 터치 패드는 종종 클릭으로서 의도되는 터치 표면상의 탭 동안 매우 작은 측면의 손가락끝 이동이 발생할 것임을 가정함으로써 포인팅 동작을 에뮬레이션된 버튼 클릭 또는 키프레스와 구별한다. 태핑이 일반적으로 표면에 대해 접선 방향의 손가락 이동 요소를 최소화해 정지된 손가락 위치로부터 곧게 아래로 내려간다는 가정은 이 방법에서 고유한 것이다. 이것은 표면이 별개의 키 영역으로 세분화되지 않거나, 사용자가 키보드를 치기 전에 각 키를 천천히 "치고 보는(hunt and peek)" 시각 검색을 행하는 경우 유효한 가정이다. 예를 들어, 길레스피(Gillespie) 등에 의한 미국 특허 번호 제 5,543,591호에서, 터치패드는 모든 측면 이동을 커서 이동으로서 호스트 컴퓨터에 전송한다. 그러나, 손가락이 터치다운 후탭으로 간주하기에 충분하게 들어올려진 경우, 그리고 축적된 측면 동작이 초과되지 않는 경우, 임의의 전송된 이동은 수행되지 않으며, 대신 마우스 버튼 클릭이 전송된다. 이 방법은 포인팅과 같은 마우스 커맨드에 대해서만 행해지며, 드래깅이나 다른 조작에 대해서는 안전하게 전혀 행해지지 않는다. 로건(Logan)에 의한 미국 특허 번호 제 5,666,113호에서, 약 1/16"보다 작은 측면 이동을 갖는 탭이 소형 키패드상의 키를 작동시키는 반면, 1/16"를 초과하는 측면 이동이 커서 제어 모드를 작동시킨다. 두 특허에서 커서 모드는 손가락이 장시간 표면상에 머물 때 디폴트로 인해 호출된다.Touch screens and touch pads distinguish pointing actions from emulated button clicks or key presses by assuming that very small side fingertip movements will occur during taps on the touch surface that are often intended as clicks. The assumption that tapping generally descends straight down from a stationary finger position with minimal finger tangential to the surface tangential is inherent in this method. This is a valid assumption if the surface is not subdivided into separate key areas, or if the user does a visual search to "hunt and peek" each key slowly before hitting the keyboard. For example, in US Pat. No. 5,543,591 to Gillespie et al., The touchpad sends all side movements as cursor movements to the host computer. However, if the finger is raised enough to be considered a touchdown post-tap, and if the accumulated lateral motion is not exceeded, no transferred movement is performed, instead a mouse button click is sent. This method only works for mouse commands such as pointing, but not safely for dragging or other operations. In US Pat. No. 5,666,113 to Logan, tabs with side movements less than about 1/16 "operate keys on the small keypad, while side movements greater than 1/16" cause the cursor control mode to fail. It works. In both patents, cursor mode is invoked by default when the finger stays on the surface for a long time.
그러나, 큰 어레이의 키 영역으로 분할된 표면상의 빠른 터치 타이핑은 관련 기술분야의 필터링 기술이 허용할 수 있는 것보다 더 많이 표면을 따른 접선 운동을 생성하는 경향이 있다. 이러한 어레이는 손가락 바로 아래에 있을 수 없는 다수 의 행 및 열의 키들을 포함하며, 그래서 사용자는 많은 키 영역을 접촉하기 위해 손을 뻗거나 또는 손가락을 구부리거나 손가락을 뻗어야 한다. 손가락이 공중에 있을 때 민첩한 뻗는 동작은 손가락이 표면에 닿을 때 여전히 존재할 수 있는 큰 측면 손가락 운동을 제공한다. 표면에서 측정된 1/4" 측면 이동만큼 큰 그랜징 탭(glancing tap)이 용이하게 생성될 수 있다. 이 큰 이동을 필터링하거나 억제하려는 시도는 커서를 둔하게 하거나 반응이 늦게 한다. 또한 손가락이 표면상의 한 위치에 유지될 때, 포인팅 모드 대신 타이프메틱 또는 자동 키 반복 모드에 들어가는 것이 바람직할 수 있다. 연장된 손가락 가압 동안 손가락끝의 임의의 측면 시프팅은 강력한 필터링 없이 커서 지터(jitter)로서 픽업될 것이다. 따라서, 1개의 손가락의 측면 이동보다 더 강인한 손 형상 큐를 통해 동일 표면상에서 키잉과 포인팅을 구별하는 방법에 대한 기술이 필요하다.However, fast touch typing on a surface divided into a large array of key regions tends to produce more tangential motion along the surface than the filtering techniques of the art would allow. This array includes a number of rows and columns of keys that cannot be directly under the finger, so the user must reach or bend or extend the finger to touch many key areas. The agile stretching motion when the finger is in the air provides a large lateral finger movement that may still exist when the finger touches the surface. Glancing taps can be easily created as large as 1/4 "lateral movements measured on the surface. Attempts to filter or suppress these large movements can cause the cursor to dull or slow down. When held in one position on the surface, it may be desirable to enter the typematic or auto key repeat mode instead of the pointing mode Any side shifting of the fingertips during extended finger presses is a cursor jitter without powerful filtering. Therefore, there is a need for a technique for distinguishing between keying and pointing on the same surface through a hand shaped cue that is stronger than the lateral movement of one finger.
인체 공학적 타이핑 시스템은 키 태핑력을 최소화하고, 핑거 탭과 휴식중인 손을 용이하게 구별하고, 손가락을 표면 충격력으로부터 보호하는 것을 필요로 할 것이다. 기계적 및 멤브레인 키보드는 손이 키 위에서 쉬고 있을 때 작동을 방지하기 위해 키스위치의 스프링력에 의존한다. 이것은 키 동작 힘에 의한 피로를 경감시키고 휴식 기간 동안 키 위의 손 전체 중량을 릴렉스하는 인체 공학적 욕구들 사이에서 양립할 수 없는 트레이드 오프를 초래한다. 터치 표면에서의 힘 최소화는 멤브레인 저항성이나 표면 탄성파 감지 기술보다 오히려 손가락 압력에 의존하지 않는 용량성 또는 액티브 옵티걸 감지로 가능하다. 하기에 기술된 관련 기술 분야의 터치 장치는 4개의 손가락끝, 엄지 및 아마도 손바닥 후부를 포함하는 손 전체 가 표면상에 휴지하는 경우, 혼동하게 될 것이다. 따라서, 휴지하는 손 및 표면 완충을 허용할 수 있는 제로-힘 용량성 감지에 기초하여 다중 접촉 표면 타이핑 시스템에 대한 기술의 필요성이 오랫동안 존재해 왔다.Ergonomic typing systems will require minimizing key tapping forces, easily distinguishing finger tabs from resting hands, and protecting fingers from surface impact forces. Mechanical and membrane keyboards rely on the spring force of the keyswitch to prevent operation when the hand is resting on the keys. This alleviates fatigue due to key operating force and results in incompatible trade offs between ergonomic desires to relax the overall weight of the hand on the key during rest periods. Force minimization at the touch surface is possible with capacitive or active optical sensing, which does not depend on finger pressure, rather than membrane resistivity or surface acoustic wave sensing technology. Touch devices of the related art described below will be confused when the entire hand, including the four fingertips, thumb and possibly the palm back rests on the surface. Accordingly, there has long been a need for a technique for a multi-contact surface typing system based on zero-force capacitive sensing that can allow resting hands and surface cushioning.
인체 공학적 타이핑 시스템은 또한 개개의 손 크기에 적합하고, 타이핑 스타일의 변화를 허용하고, 건강한 손 자세의 범위를 유지하도록 할 것이다. 비록 많은 인체 공학적 키보드가 제안되었다 할지라도, 기계적 키스위치만이 고비용으로 위치 변경될 수 있다. 예를 들어, 하그리브스(Hargreaves)에 의한 미국 특허 번호 제 5,689,253호에 기재된 오목한 키웰(keywell)을 갖는 키보드는 가장 손에 적합하나, 단일 위치에 팔을 고정시키는 경향이 있다. 접촉 표면의 키 레이아웃은 변경이 사용자를 혼동시키지 않는 한 용이하게 모핑되고, 이동되고 또는 임의로 재구성될 수 있다. 그러나, 접촉 표면은 기계적 키스위치의 에지만큼 많은 측면 방향의 촉각 피드백을 제공할 수 없다. 따라서, 상기 기술에 있어서는 키 레이아웃이 개개의 손 자세에 적합하도록 키 레이아웃을 개조할 수 있고, 제한된 촉각 피드백에 의해 손이 들어올려지는 경우 타이핑 정확도를 유지할 수 있는 표면 타이핑 인식기에 대한 기술이 필요하다.The ergonomic typing system will also be suitable for individual hand size, allow for changes in typing style, and maintain a range of healthy hand postures. Although many ergonomic keyboards have been proposed, only mechanical keyswitches can be repositioned at high cost. For example, keyboards with concave keywells described in US Pat. No. 5,689,253 to Hargreaves are most suitable for hands, but tend to hold the arm in a single position. The key layout of the contact surface can be easily morphed, moved or arbitrarily reconfigured so long as the change does not confuse the user. However, the contact surface cannot provide as much lateral tactile feedback as the edge of the mechanical keyswitch. Accordingly, the above technique requires a technique for a surface typing recognizer that can adapt the key layout so that the key layout is adapted to an individual hand posture, and can maintain typing accuracy when the hand is lifted by limited tactile feedback. .
스타일러스를 사용하는 매끄러운 접촉 표면상의 필적은 해당 기술분야에서 잘 공지되어 있으나, 다른 입력 작업 동안 스타일러스가 어딘가에 놓여져야하거나 불편하게 보유되어야 하므로, 이는 일반적으로 타이핑 및 포인팅과 잘 통합되지 않는다. 또한 스타일러스의 필적 작업을 손가락끝의 포인팅 이동과 구별하는 것이 어려울 수 있다. 따라서, 스타일러스 없이 그리고 그들을 포인팅 이동과 혼동하는 일 없이 조악한 필적 제스처를 포착하기 위한 방법에 대한 기술이 필요하다.Handwriting on a smooth contact surface using a stylus is well known in the art, but it is generally not well integrated with typing and pointing as the stylus must be placed somewhere or inconveniently held during other input operations. It may also be difficult to distinguish the handwriting of the stylus from the pointing movement of the fingertip. Thus, there is a need for a method for capturing coarse handwriting gestures without a stylus and without confusing them with pointing movements.
상기에 인용한 입력 구별에 대한 필요성의 대다수는 슬라이딩하는 손가락 코드나 그립(sliding finger chords and grip)과 같은 다양한 손의 설정과 이동을 구별하는 터치 감지 기술(touch sensing technology)로 충족될 수 있다. 많은 기계적 코드 키보드(mechanical chord keyboard)는 다수의 손가락으로부터의 동시의 하부 활동을 검출하도록 설계되었지만, 이들은 넓은 범위에 걸쳐 측면 손가락 이동을 검출하지 않는다. 관련 기술은 한 손가락을 추적(tracking)하여 마우스나 또는 키보드를 에뮬레이트하는 용량성 터치패드의 몇몇 예를 나타낸다. 이들은 전형적으로 열 및 행으로 배치된 기다란 와이어 간의 용량을 측정한다. 얇은 유전체가 열 및 행 층사이에 개재되어 있다. 손가락의 존재는 전극 근처의 자기 또는 상호 용량을 교란시킨다. 이 기술 대부분은 특정 열 또는 행의 모든 물체 부근의 한 전극 상에 통합되는 투사형 열 및 행 센서를 사용하므로, 에스. 리(S. Lee)에 의한 University of Toronto masters Thesis(1984), "고속 다중 터치 감지 입력 장치(A Fast Multiple-Touch-Sensitive Input Device)"에 기재된 바와 같이, 이들은 둘 이상의 물체의 위치를 유일하게 결정할 수 없다. 이들이 최대한 할 수 있는 것은 일렬로 놓인 손가락끝을 세는 것이 최상이며, 엄지나 손바닥이 손가락끝과 동일한 열에 들어오면 이것도 실패할 것이다.The majority of the need for distinguishing inputs cited above may be satisfied with touch sensing technology that distinguishes the setting and movement of various hands, such as sliding finger chords and grips. Many mechanical chord keyboards are designed to detect simultaneous subactivity from multiple fingers, but they do not detect lateral finger movement over a wide range. The related art represents some examples of capacitive touchpads that track one finger to emulate a mouse or keyboard. They typically measure the capacity between elongated wires arranged in columns and rows. A thin dielectric is interposed between the column and row layers. The presence of the finger disturbs the magnetic or mutual capacitance near the electrode. Most of this technology uses a projected column and row sensor that is integrated on one electrode near all objects in a particular column or row. As described by the University of Toronto masters Thesis (1984), "A Fast Multiple-Touch-Sensitive Input Device" by S. Lee, they uniquely locate the positions of two or more objects. Can't decide What they can do best is to count their fingertips in a row, and this will fail if the thumb or palm are in the same row as the fingertips.
거파이드(Gerpheide) 등에 의한, 미국 특허 번호 제 5,565,658호 및 제 5,305,017호에서는, 한 세트의 전극을 어떤 클럭 주파수로 구동하고 얼마나 많은 주파수가 제 2 전극 세트에 연결되는지를 감지하여 열 및 행 전극 사이의 상호 용 량을 측정한다. 이러한 동기 측정은 구동 주파수의 노이즈에 매우 민감하여 신호 대 노이즈 비를 증가시키며, 이들은 단일 행 및 열 대신 다수의 행 또는 다수의 열로 이루어지는 가상 전극을 형성하고, 여러 상호 용량이 0으로 되거나 안정될 때까지 전극 배합을 통해 스캐닝한다. 결합된 신호는 각각의 가상 전극의 행 및 열의 적(product)에 따라 증가하지만, 노이즈는 그 합에 따라 증가되므로, 둘보다 많은 열 및 둘보다 많은 행으로 구성되는 가상 전극에 대한 신호 대 노이즈 비에는 순이득이 주어진다. 그러나, 다수의 물체를 유일하게 구별하기 위해서는, 가상 전극 사이즈는 이 행 및 열 가상 전극의 교차점이 손가락끝, 즉 두 열 및 두 행 둘레보다 크지 않도록 감소되어야 하며, 이는 신호 대 노이즈 비를 떨어뜨릴 것이다. 또한, 신호 대 노이즈 비는 넓은 영역을 커버하기 위해 열 및 행 길이를 증가시킴에 따라 떨어진다.In U.S. Pat.Nos. 5,565,658 and 5,305,017 by Gerpheide et al., One set of electrodes is driven at a clock frequency and how many frequencies are connected to a second set of electrodes to detect between column and row electrodes. Measure the mutual capacity of These synchronous measurements are very sensitive to noise at the driving frequency, which increases the signal-to-noise ratio, which forms a virtual electrode consisting of multiple rows or columns instead of a single row and column, and when multiple mutual capacitances are zero or stable. Scan through the electrode formulation. The combined signal increases with the product of the row and column of each virtual electrode, but the noise increases with the sum, so the signal-to-noise ratio for the virtual electrode consisting of more than two columns and more than two rows Is given net gain. However, to uniquely distinguish multiple objects, the virtual electrode size should be reduced such that the intersection of this row and column virtual electrodes is no greater than the fingertips, ie around two columns and two rows, which would degrade the signal-to-noise ratio. will be. In addition, the signal-to-noise ratio drops with increasing column and row lengths to cover large areas.
질레스피(Gillespie) 등에 의한, 미국 특허 번호 제 5,543,591호, 제 5,543,590호, 제 5,495,077호에서는 독립적으로 열 및 행 전극에 대한 전극-손가락 자기-용량을 측정한다. 공지된 시간에 공지된 전하량을 주입 또는 제거하여 발생하는 전극 전압 변화를 측정하여 전체 전극 용량이 추정된다. 각 전극이 그 자신의 구동/감지 회로를 갖는 경우 모든 전극이 동시에 측정될 수 있다. 모든 열 및 행 전극 신호로부터 계산된 중심(centroid)은 단일 물체에 대해 보간된 수직 및 수평 위치를 확립한다. 이 방법은 일반적으로 동기 방법보다 높은 신호 대 노이즈 비를 가질 수 있지만, 열 및 행 길이가 증가함에 따라 신호 대 노이즈 비가 여전히 감소된다. 신호 대 노이즈 비는 특히 패드 위 수 밀리미터에 떠있는 물체를 정밀하게 위치시키는데 중요하다. 이 방법은 이러한 물체를 검출할 수 있지만, 그 위치를 패드의 중심 근처에 있다고 보고하거나 단순히 에지 근처에 떠있는 물체를 검출하지 못하는 경향이 있다.US Pat. Nos. 5,543,591, 5,543,590, and 5,495,077 by Gillespie et al. Independently measure electrode-finger self-capacitance for column and row electrodes. The total electrode capacity is estimated by measuring the change in electrode voltage caused by injecting or removing a known amount of charge at a known time. If each electrode has its own drive / sense circuit all the electrodes can be measured simultaneously. The centroid calculated from all column and row electrode signals establishes the interpolated vertical and horizontal positions for a single object. This method can generally have a higher signal-to-noise ratio than the synchronous method, but as the column and row lengths increase, the signal-to-noise ratio still decreases. The signal-to-noise ratio is especially important for precise positioning of objects floating a few millimeters above the pad. This method can detect such an object, but tends to report its location as near the center of the pad or simply not to detect an object floating near the edge.
그러므로, 긴 열 및 행 전극을 갖는 터치 패드의 열악한 신호 대 노이즈 비와 다수의 손가락을 인식못하는 문제를 갖지 않는 용량 감지 장치에 대한 기술이 필요하다.Therefore, there is a need for a description of a capacitive sensing device that does not have the poor signal-to-noise ratio of touch pads with long column and row electrodes and the problem of not recognizing multiple fingers.
브와(Boie) 등에 의한 미국 특허 번호 제 5,463,388호는 키보드 또는 마우스 입력 중의 어느 한 쪽에 적용가능한 용량성 감지 시스템을 개시하지만, 두 가지 형태의 입력을 동시에 통합시키는 문제는 고려하지 않았다. 이들이 배열된 단위셀(unit-cell) 전극의 독립적인 검출을 언급하고 있지만, 이 용량 변환 회로는 각 전극으로 경제적으로 복제되기에는 너무 복잡해보인다. 그러므로 전극을 원격 신호 조절 회로로 접속시키는 긴 리드 와이어(lead wire)는 노이즈를 픽업할 수 있고 손가락-전극 자기 용량에 비해 큰 용량을 가질 것이며 다시 신호 대 노이즈 비를 제한한다. 또한, 이들은 다수의 손가락을 추적하기 위한 독립적인 전극의 중요성을 인식하지 못하거나, 또는 독립적인 전극 배열 상에서 다수의 손가락을 어떻게 추적하는지를 언급하지 않고 있다.U.S. Pat.No. 5,463,388 to Boie et al. Discloses a capacitive sensing system applicable to either keyboard or mouse input, but does not consider the problem of integrating both types of input simultaneously. Although they refer to the independent detection of arrayed unit-cell electrodes, this capacitive conversion circuit seems too complex to be economically replicated to each electrode. Therefore, long lead wires that connect the electrodes to the remote signal conditioning circuit can pick up noise and have a larger capacitance than the finger-electrode capacitance and again limit the signal to noise ratio. In addition, they do not recognize the importance of independent electrodes for tracking multiple fingers or do not mention how to track multiple fingers on an independent electrode array.
리(Lee)는 32행 64열로 배열된 7mm X 4mm 금속 전극을 갖는 초기의 멀티터치 전극 배열을 만들었다. 이 "고속 다중 터치 감지 입력 장치(FMTSID)"의 전체 작동 면적은 12″X 16″로 측정되며, 전극으로부터 손가락을 절연시키기 위해 0.075mm 마일러(Mylar)의 유전체를 갖는다. 각 전극은 행 충전 선(row charging line)에 연 결된 제 1 다이오드와 열 방전 선에 연결된 제 2 다이오드를 갖는다. 전극 용량 변화는 단독으로 측정되거나 또는 직사각형 그룹에서 하나 이상의 행 선으로 전압을 올려, 그 행의 전극을 선택적으로 충전시킨 다음 방전 저항을 통해 그라운드에 선택된 열의 방전을 타이밍하여 측정된다. 리(Lee)의 설계는 전극당 2개의 다이오드만을 필요로 하지만, 리의 설계의 주요 단점은 열 다이오드 역 바이어스 용량이 동일한 열의 전극간의 간섭을 허용한다는 것이다.Lee made an initial multitouch electrode array with 7mm x 4mm metal electrodes arranged in 32 rows and 64 columns. The overall operating area of this "High Speed Multiple Touch Sensing Input Device (FMTSID)" is measured 12 "x 16" and has a dielectric of 0.075 mm Mylar to isolate the finger from the electrode. Each electrode has a first diode connected to a row charging line and a second diode connected to a thermal discharge line. Electrode capacitance change is measured either alone or by raising the voltage to one or more row lines in a rectangular group to selectively charge the electrodes in that row and then timing the discharge of the selected column to ground through the discharge resistor. Lee's design requires only two diodes per electrode, but the major drawback of Lee's design is that the thermal diode reverse bias capacitance allows interference between electrodes in the same row.
상기에 인용한 관련된 모든 용량 감지 기술은 경제적인 전극 밀도와 함께 높은 포인팅 해상도를 얻기 위해 전극간의 보간을 사용한다. 브와(Boie) 등과 길레스피(Gillespie) 등은 모두 모든 열 및 행 전극 판독 값에서 중심을 계산하는 것을 논의한다. 그러나, 여러 개의 손가락 검출에 대하여, 중심의 계산은 한 번에 하나의 손가락만을 포함하기 위해 국지적인 최대값들 주위로 주의깊게 제한되어야 한다. 리(Lee)는 국지적 최대값들을 구한 다음 개개의 국지적 최대값 전극의 8개의 가장 인접한 극만을 보간하는 양분 조사(bisective search) 기술을 사용한다. 이는 작은 손가락끝에 대해서는 잘 작동할 수 있지만, 엄지 손가락이나 손바닥 접촉은 9개 이상의 전극을 덮을 수 있다. 그러므로, 개개의 구별가능한 손 접촉에 의해 덮힌 전극을 정확히 그룹화하고 이러한 잠재적으로 불규칙적인 그룹으로부터 도심을 계산하기 위한 개선된 수단이 당업계에는 요구된다.All relevant capacitive sensing techniques cited above use interelectrode interpolation to obtain high pointing resolution with economical electrode density. Boie et Gillespie et al. Both discuss calculating the centroid in all column and row electrode readings. However, for multiple finger detection, the calculation of the center must be carefully limited around local maximums to include only one finger at a time. Lee finds local maximums and then uses a bisective search technique that interpolates only the eight nearest poles of the individual local maximum electrodes. This works well for small fingertips, but thumb or palm contact can cover more than nine electrodes. Therefore, there is a need in the art for improved means for accurately grouping electrodes covered by individual distinguishable hand contacts and for calculating centroids from these potentially irregular groups.
손이 접촉하는 표면을 항상 추적 및 인식하기 위해서는 다중 터치 표면 감지, 복합 인접 영상 처리의 최대 장점을 취할 필요가 있다. 수동적인 광 영상에 비교하여, 인접 영상은 신체가 표면을 접촉하는 곳을 명확히 지시하며, 배경의 이질 적인 물체와 광도 편차에 의해 혼란되지 않는다. 그러므로, 인접 영상 필터링 및 분할 단계(segmentation stage)는 에스. 아마드의 IEEE,신호 시스템 및 컴퓨터에 관한 28회 아실로마르 회의록-2권의 "사용가능한 실시간 3D 손 트래커" 또는 와이. 취와 제이. 왕의컴퓨터 비젼 및 패턴 인식에 대한 1996 IEEE 컴퓨터 학회 회의록, 페이지 88-93(1996), "학습 기반 예측을 사용한 손의 구분화 및 손에 의한 서명 인식에 대한 검증"과 같은 자유공간 손 추적에 대한 컴퓨터 비젼 접근방법보다 간단하고 더 신뢰성이 있을 수 있다. 그러나, 손가락 중간 마디와 같은 손의 부분과 손바닥의 중심은 손이 그 표면에 펼쳐지지 않으면 전혀 그 용량성 인접 영상을 나타내지 않는다. 그러므로, 에프. 크베크의IEEE 멀티미디어, 3권, 페이지 366-47(1996)의 "방해받지 않는 동작 상호관계"에서와 같은 자유공간 손으로 쓴 언어의 인식에 적용된 광학적인 유동 및 외형 추적 기술은 인접 영상 추적에 대한 특별한 요청을 처리하지 못한다.In order to always track and recognize the touched surface, it is necessary to take full advantage of multi-touch surface sensing and complex adjacent image processing. Compared to passive optical images, adjacent images clearly indicate where the body contacts the surface and are not confused by heterogeneous objects and luminance variations in the background. Therefore, the adjacent image filtering and segmentation stage is S. "Available Real-Time 3D Hand Tracker" or Wye, of the 28th Acilomar Minutes on Ahmad's IEEE,Signal Systems and Computers . Booze and jay. Inthe 1996 IEEE Computer Society Minutes on King'sComputer Vision and Pattern Recognition , pages 88-93 (1996), "Segmentation of Hands Using Learning-Based Prediction and Verification of Signature Recognition by Hands" It may be simpler and more reliable than the computer vision approach. However, the portion of the hand and the center of the palm, such as the middle segment of the finger, show no capacitive adjacent image at all unless the hand is spread out on its surface. Therefore, f. Optical flow and contour tracking techniques applied to the recognition of free-space handwritten language, such as in "Uninterrupted Motion Correlation" by Keck'sIEEE Multimedia , Vol. 3, pages 366-47 (1996), are used for tracking adjacent images. Cannot handle special requests for
시냅틱스 코포레이션(Synaptics Corp.)은 강성 회로기판이 아닌 가요성 마일러 막 상에 상기 전극 배열을 제조하는데 성공하였다. 이 전극 배열은 특수한 제품의 형상에 순응하는데 적합하지만, 넓은 표면에 대해 상당한 손가락 완충작용(finger cushioning)을 제공하지는 않는다. 필름 아래에 쿠션이 위치된다하더라도 막, 도선, 전극에 신축성이 없기 때문에 압축가능한 재료에 의해 제공되는 순응성을 제한한다. 브와 등은 전극 배열 쿠션 핑거 임팩트(electrode array cushion finger impact)의 위에 압축성 절연체를 위치시키는 것을 제안한다. 그러나 약 1 밀리미터 두께 이상의 절연체는 측정된 손가락 대 전극 용량을 상당히 감쇠시킨다. 그러므로, 당업계에는 임의의 두께의 쿠션을 통해 손가락 용량의 영향을 전달하는 방법에 대한 요구가 있다.Synaptics Corp. has succeeded in fabricating the electrode arrays on flexible mylar membranes rather than rigid circuit boards. This electrode arrangement is suitable for adapting to the shape of a particular product, but does not provide significant finger cushioning over a large surface. Even if a cushion is placed under the film, the film, conductors, and electrodes are not stretchable, limiting the compliance provided by the compressible material. Bwa et al. Suggest placing a compressible insulator on top of an electrode array cushion finger impact. However, insulators greater than about 1 millimeter thick significantly attenuate the measured finger-to-electrode capacity. Therefore, there is a need in the art for a method of transferring the effect of finger dose through a cushion of any thickness.
본 발명의 주요 목적은 멀티터치면 상에서의 타이핑, 다중 자유도의 조작, 손으로 쓰는 것과 같은 상이한 형태의 손에 의한 입력을 통합하는 방법 및 시스템을 제공하는 것이다.It is a primary object of the present invention to provide a method and system for integrating input by different types of hands, such as typing on multi-touch surfaces, manipulating multiple degrees of freedom, and writing by hand.
본 발명의 다른 목적은 사용자가 배우기 쉽고 시스템이 인식하기 쉬운 상이한 손의 설정을 통해, 멀티터치면 상에서의 타이핑, 다중 자유도의 조작, 손으로 쓰는 것과 같은 상이한 형태의 손에 의한 입력을 구분하는 방법 및 시스템을 제공하는 것이다.Another object of the present invention is a method of distinguishing input by different types of hands, such as typing on a multi-touch surface, manipulating multiple degrees of freedom, and writing by means of different hand settings that are easy for the user to learn and the system recognizes. And to provide a system.
본 발명의 또 다른 목적은 신호 대 노이즈 비가 열화되지 않고 임의의 사이즈 및 분해능의 2차원 센서 배열이 구성될 수 있도록 각각의 전극 근처에 저렴하게 실시된 개선된 용량 변환 장치를 제공하는 것이다.It is a further object of the present invention to provide an improved capacitive conversion device which is inexpensively implemented near each electrode so that the signal-to-noise ratio is not degraded and a two-dimensional sensor arrangement of any size and resolution can be configured.
본 발명의 또 다른 목적은 손의 다양한 설정을 구분할 수 있는 분해능으로 인접 영상을 얻기 위해 필요한 감지 전극의 수를 최소화시키는 전자 시스템을 제공하는 것이다.It is still another object of the present invention to provide an electronic system that minimizes the number of sensing electrodes required to obtain an adjacent image with a resolution capable of distinguishing various settings of the hand.
본 발명의 또 다른 목적은 광범위한 용도에 적용가능하고 편안하고 인체공학적인 형상을 갖는 멀티터치면 장치를 제공하는 것이다.It is yet another object of the present invention to provide a multi-touch face device which is applicable to a wide range of applications and has a comfortable and ergonomic shape.
본 발명의 또 다른 목적은 그 표면에 안착하고 있는 손을 방해함 없이 손의 위치의 피드백 또는 접촉식 키의 피드백을 제공하는 것 또는 표면에 걸쳐 유연하고 정확한 슬라이딩을 제공하는 것이다.It is a further object of the present invention to provide feedback of the position of the hand or feedback of the contact key without disturbing the hand seated on the surface or to provide flexible and accurate sliding across the surface.
본 발명의 또 다른 목적은 손의 다양한 설정을 구분할 수 있는 분해능으로 센서의 배열 부근의 살(flesh)의 영상을 제공할 수 있는 전자 시스템을 제공하는 것이다.It is still another object of the present invention to provide an electronic system capable of providing an image of flesh near the array of sensors with a resolution capable of distinguishing various settings of the hand.
본 발명의 또 다른 목적은 상당한 감속이 검출되었을 때 사용자가 원할 때만 이 감속도를 커서 이동에 반영하지 않는 개선된 커서 이동 연속성 실시(cursor motion continuation invoking) 방법을 제공하는 것이다.It is a further object of the present invention to provide an improved method of cursor motion continuation invoking that does not reflect this deceleration in cursor movement only when the user desires when significant deceleration is detected.
본 발명의 또 다른 목적은 손의 다양한 설정이 상이한 종류의 입력 활동을 구분하기 위해 인식될 수 있고 사용될 수 있도록 이 손의 부분들이 표면을 접촉할 때 상이한 손의 부분을 인식하는 것이다.It is another object of the present invention to recognize different hand parts when the parts of the hand touch the surface so that various settings of the hand can be recognized and used to distinguish different kinds of input activity.
본 발명의 또 다른 목적은 2차원 전자 문서를 탐색 및 조작하는 것을 보조하기 위해 둘 이상의 손의 접점의 이동으로부터 자유도의 이행 정도 및 회전과 치수(scaling)를 신뢰성있게 추출하는 것이다.It is another object of the present invention to reliably extract the degree of freedom and the degree of rotation and scaling from the movement of the contacts of two or more hands to assist in the navigation and manipulation of two-dimensional electronic documents.
본 발명의 또 다른 목적은 2차원 전자 문서를 탐색 및 조작하는 것을 보조하기 위해 손의 압력차로부터 기울임 및 좌우 회전 자유도를 신뢰성있게 검출하는 것이다.It is yet another object of the present invention to reliably detect tilt and left and right rotational degrees of freedom from a hand pressure difference to assist in searching and manipulating two-dimensional electronic documents.
본 발명의 부가적인 목적 및 장점은 하기의 설명에 제시되며 이로부터 명백해지며 또는 본 발명의 실시예로부터 습득할 수 있다. 본 발명의 목적 및 장점은 첨부된 청구범위에 특히 지적된 요소 및 조합을 사용하여 실현 및 얻어진다.Additional objects and advantages of the invention are set forth in the following description, and are apparent from or can be learned from the embodiments of the invention. The objects and advantages of the invention are realized and attained using the elements and combinations particularly pointed out in the appended claims.
상기 목적을 달성하기 위해서, 본 발명에 따라 이 명세서에서 구체화 되고 넓게 기술한 바와 같이, 본 발명은 감지 장치에 대한 터치 장치의 근접치의 변화에 의해 야기되는 자가-캐패시턴스의 변화에 반응하는 감지 장치를 포함하고, 상기 감지 장치는 입력 노드, 출력 노드, 및 공통 노드를 가지는 직렬로 연결된 2개의 전기 스위칭 수단과, 상기 2개의 스위칭 수단 사이의 공통 노드에 연결된 유전체로 덮힌 감지 전극과; 직렬 연결된 스위칭 수단의 입력 노드에 연결되며, 거의 일정한 전압을 제공하는 전원과; 직렬 연결된 스위칭 수단의 복수의 연속 스위칭 동안 이동되는 전하를 축적하는 적분 커패시터와; 적분 커패시터와 병렬로 연결되며, 상기 적분 커패시터의 잔여 전하를 제거하는 다른 스위칭 수단과; 직렬로 연결된 스위칭 수단의 상기 출력 노드에 연결되며, 상기 감지 장치에 대한 자기-캐패시턴스의 크기를 나타내는 전압을 생성하는 전압-전압 변환 장치를 포함한다. 다른 대안으로서, 상기 감지 장치는 입력 노드, 출력 노드, 및 공통 노드를 가지는 직렬로 연결된 2개의 전기 스위칭 수단과; 상기 2개의 스위칭 수단 사이의 공통 노드에 연결된 유전체로 덮힌 감지 전극과; 직렬 연결된 스위칭 수단의 입력 노드에 연결되며, 거의 일정한 전압을 제공하는 전원과; 직렬 연결된 스위칭 수단의 출력 노드에 연결되며, 감지 장치에 대한 자기-캐패시턴스의 크기를 나타내는 전류-전압 변환 장치를 포함한다.In order to achieve the above object, as embodied and broadly described herein in accordance with the present invention, the present invention provides a sensing device in response to a change in self-capacitance caused by a change in proximity of the touch device to the sensing device. The sensing device comprising: two electrical switching means in series having an input node, an output node, and a common node, and a sensing electrode covered with a dielectric connected to the common node between the two switching means; A power supply connected to an input node of the serially connected switching means and providing a substantially constant voltage; An integrating capacitor for accumulating charge moved during a plurality of successive switching of series connected switching means; Another switching means connected in parallel with an integral capacitor, for removing residual charge of said integrated capacitor; And a voltage-to-voltage converter connected to the output node of the switching means connected in series and generating a voltage representing the magnitude of the self-capacitance for the sensing device. As another alternative, the sensing device comprises two electrical switching means connected in series having an input node, an output node and a common node; A sensing electrode covered with a dielectric connected to a common node between the two switching means; A power supply connected to an input node of the serially connected switching means and providing a substantially constant voltage; It is connected to an output node of a serially connected switching means and comprises a current-voltage converter which represents the magnitude of the self-capacitance for the sensing device.
또한 상기 목적을 달성하기 위해, 본 발명은 멀티터치 장치의 표면상이나 부근에서 복수의 터치 장치들의 공간 배열을 검출하기 위한 멀티터치 표면 장치를 포함하고, 상기 장치는, 1개의 강성 또는 연성 표면과; 그룹들의 상기 표면상에 배열된 상기 감지 장치(앞의 단락에서 언급됨)들의 복수의 2차원 어레이들로서, 상기 한 그룹내의 감지 장치들은 대응하는 감지 장치에 연결된 출력 노드를 가지며, 동일한 적분 커패시터, 전하 제거 스위치 및 전압-전압 변환 회로를 공유하는, 상기 복수의 2차원 어레이와; 각 2차원 어레이의 단일 감지 장치를 인에이블하는 제어 회로와; 각 2차원 어레이의 센서 전압 데이터를 선택하는 수단과; 센서 전압 데이터를 디지털 코드로 변환하는 전압 측정 회로와; 상기 디지털 코드를 다른 전자 장치에 전달하는 회로를 포함한다. 상기 센서 전압 데이터 선택 수단은 1개의 멀티플렉싱 회로 및 다수의 전압 측정 회로를 포함한다. 또한, 멀티터치 표면 장치는 입방체(cube), 구체(sphere), 또는 임의의 다른 3차원 형상 중 하나의 형상으로 배열된다.To achieve the above object, the present invention also includes a multi-touch surface device for detecting a spatial arrangement of a plurality of touch devices on or near the surface of the multi-touch device, the device comprising: one rigid or soft surface; A plurality of two-dimensional arrays of the sensing devices (discussed in the preceding paragraph) arranged on the surface of the groups, wherein the sensing devices in one group have an output node connected to the corresponding sensing device, the same integrating capacitor, charge The plurality of two-dimensional arrays sharing a cancellation switch and a voltage-to-voltage conversion circuit; Control circuitry enabling a single sensing device in each two-dimensional array; Means for selecting sensor voltage data of each two-dimensional array; A voltage measuring circuit for converting sensor voltage data into a digital code; Circuitry for transferring the digital code to other electronic devices. The sensor voltage data selecting means includes one multiplexing circuit and a plurality of voltage measuring circuits. In addition, the multi-touch surface device is arranged in the shape of one of a cube, sphere, or any other three-dimensional shape.
또한 상기 목적을 달성하기 위해서, 본 발명은 터치 장치의 여러 형상 및 행동을 감지하여 전자 또는 전자 기계 장치 중 하나로의 통합된 수동 입력을 생성하는 멀티터치 표면 장치를 포함하며, 상기 장치는, 상술한 근접치 감지 장치의 어레이와; 터치 장치와 결합될 때 취해질 동작을 나타내는 심볼들이 그 위에 프린트된 유전체 커버와; 감지 장치의 어레이로부터 디지털 근접 영상을 형성하는 주사 수단과; 근접 영상으로부터 배경 오프셋을 제거하는 교정 수단과; 근접 영상을 만드는 터치 장치의 형상 및 행동을 해석하는 인식 수단과; 특정 터치 장치의 형상 및 움직임에 응답하여 입력 신호를 생성하는 처리 수단과; 상기 입력 신호를 전자 또는 전자 기계 장치로 보내는 통신 수단을 포함한다.In order to achieve the above object, the present invention also includes a multi-touch surface device for sensing the various shapes and behaviors of the touch device to generate an integrated manual input to one of the electronic or electromechanical devices, the device described above, An array of proximity sensing devices; A dielectric cover printed thereon representing symbols to be taken when coupled with the touch device; Scanning means for forming a digital proximity image from the array of sensing devices; Correction means for removing the background offset from the proximity image; Recognition means for interpreting the shape and behavior of the touch device for making a proximity image; Processing means for generating an input signal in response to the shape and movement of the specific touch device; Communication means for sending said input signal to an electronic or electromechanical device.
또한, 상기 목적을 달성하기 위해, 본 발명은 표면 근처에서 하나 이상의 손의 손가락과 손바닥의 여러 형상 및 행동을 감지하여 전자 또는 전자 기계 장치 중 하나로의 통합된 수동 입력을 생성하는 멀티터치 표면 장치를 포함하고, 상기 장치는, 표면에 매립된 근접치 감지 수단의 어레이와; 상기 감지 수단에 의해 측정된 근접치로부터 디지털 근접 영상을 형성하는 주사 수단과; 손의 동일한 식별 가능한 부분의 접촉에 의해 강해된 근접 영상 픽셀을 그룹으로 모으는 영상 분할(segmentation) 수단과; 접촉부들이 연속적인 근접 영상을 따라 이동할 때 손의 접촉부의 특징 및 궤적을 파라미터화하는 접촉부 추적 수단과; 어는 손 및 손의 어느 부분이 각 표면에 접촉하는지를 결정하는 접촉부 식별 수단과; 거의 동시에 표면을 터치다운하거나 리프트오프(liftoff)하는 식별된 접촉부의 서브세트를 식별하며 표면상의 복수의 손가락의 동기 탭(syncronous tap)에 응답하여 명령 신호를 생성하는 동시성 검출 수단과; 비동시적인 손가락 탭으로부터 의도한 키 심볼을 생성하는 타이핑 인식 수단과; 복수의 손가락의 복수의 자유도를 2차원 및 3차원 그래픽 조작으로 공통의 자유도로 압축하는 움직임 성분 추출 수단과; 손가락의 선택된 조합에 의해 추출된 하나 이상의 자유도의 움직임에 응답하여 명령 및 커서 조작 신호 중 하나를 생성하는 코드 모션 인식 수단과; 펜을 쥐었을 때의 손의 형상과 유사한 접촉부 배열을 인식하고, 내측 손가락의 움직임으로부터 잉킹 신호를 생성하며, 내측 손가락이 들어올려지는 동안 손바닥의 움직임으로부터 커서 조작 신호를 생성하는 펜 그립 검출 수단과; 손가락 및 손바닥의 감지된 형상 및 행동을 전자 및 전자 기계 장치 중 하나로 보내는 통신 수단을 포함한다.In addition, to achieve the above object, the present invention provides a multi-touch surface device that detects various shapes and behaviors of the fingers and palms of one or more hands near the surface to generate an integrated manual input to one of the electronic or electromechanical devices. And the apparatus comprises: an array of proximity sensing means embedded in a surface; Scanning means for forming a digital proximity image from the proximity measured by said sensing means; Image segmentation means for grouping adjacent image pixels enhanced by contact of the same identifiable portion of the hand with a group; Contact tracking means for parameterizing a feature and trajectory of the contact of the hand as the contacts move along a continuous proximity image; Contact identification means for determining which hand and which portion of the hand is in contact with each surface; Concurrency detection means for identifying a subset of the identified contacts that touch down or lift off the surface at about the same time and generating a command signal in response to a syncronous tap of a plurality of fingers on the surface; Typing recognition means for generating an intended key symbol from asynchronous finger taps; Motion component extraction means for compressing a plurality of degrees of freedom of the plurality of fingers with a common degree of freedom by two-dimensional and three-dimensional graphic manipulation; Code motion recognition means for generating one of a command and a cursor manipulation signal in response to the movement of one or more degrees of freedom extracted by the selected combination of fingers; Pen grip detection means for recognizing a contact arrangement similar to the shape of the hand when the pen is held, generating an inking signal from the movement of the inner finger, and generating a cursor manipulation signal from the movement of the palm while the inner finger is raised; ; Communication means for sending the sensed shape and behavior of the finger and palm to one of the electronic and electromechanical devices.
또한 상기 목적을 달성하기 위해, 본 발명은 타이핑, 복수의 자유도의 코드(chord)를 통한 조작, 필적(handwriting)과 관련된 손 형상 및 행동의 해석을 지원 하기 위해 일련의 근접 영상의 손 접촉부를 추적 및 식별하는 방법을 포함하고, 이 방법은 각 근접 영상을 큰 근접치를 나타내는 전극의 그룹들로 분할하는 단계로서, 각 그룹은 식별 가능한 손 부분이나 다른 터치 장치의 근접치를 나타내는, 상기 분할 단계와; 각 전극 그룹으로부터 전체 근접치, 위치, 형상, 크기 및 방향 파라미터를 추출하는 단계와; 접촉부 터치다운 및 리프트오프시 경로 종점의 검출을 포함하는, 연속적인 근접 영상을 통한 그룹 경로를 추적하는 단계와; 각 경로를 다라 속도 및 필터링된 위치 벡터를 계산하는 단계와; 상대 경로 위치 및 속도들, 개별 접촉부 특징, 손과 손가락 위치의 이전 추정치들을 통합하여 손 및 손가락 아이덴터티를 각 접촉부 경로에 할당하는 단계와; 손가락에 현재 할당된 경로의 궤적들로부터 손과 손가락 위치의 추정치들을 유지하는 단계를 포함하고, 여기서 상기 추정치는 장래의 영상에서 분할 및 식별을 바이어스하기 위해 높은 레벨의 피드백을 제공한다.In order to achieve the above object, the present invention also tracks a series of close-up hand contacts to support interpretation of typing, manipulation through a plurality of degrees of freedom chords, hand shape and behavior related to handwriting. And a method of identifying, the method comprising dividing each proximity image into groups of electrodes representing large proximity values, each group representing proximity of an identifiable hand portion or another touch device; Extracting an overall proximity, position, shape, size, and direction parameter from each electrode group; Tracking group paths through successive proximity images, including detection of path endpoints upon contact touchdown and liftoff; Calculating a velocity and filtered position vector along each path; Assigning hand and finger identities to each contact path by integrating relative path positions and velocities, individual contact features, and previous estimates of hand and finger position; Maintaining estimates of hand and finger position from trajectories of the path currently assigned to the finger, wherein the estimate provides a high level of feedback to bias segmentation and identification in future images.
또한 상기 목적을 달성하기 위해, 본 발명은 멀티터피 표면을 가로지는 한 손의 2개 이상의 손가락 중 하나의 손가락이 대향한 엄지 손가락일 때 이들 손가락의 슬라이딩 운동으로부터 손 운동의 다수의 자유도를 일체로 주출하는 방법을 포함하고, 이 방법은, 표면에서 개별 손 부분의 궤적을 근접 센서 어레이의 연속 스캔을 거치며 추적하는 단계와; 주어진 손에서 손가락으로 인식된 접촉으로부터 최내측 및 최외측 손가락 접촉을 탐색하는 단계와; 최내측 손가락 접촉과 최외측 손가락 접촉 사이의 거리에서의 변화로부터 스케일링 속도성분을 계산하는 단계와; 최내측 손가락 접촉과 최외측 손가락 접촉 사이의 벡터 각에서의 변화로부터 회전 속도성분을 계산하는 단계와; 접촉하는 손가락 각각에 대해 이동 무게(translation weighting)를 재는 단계와; 표면에 대해 접선 방향의 손가락 속도의 이동 무게 평균으로부터 2차원으로 이동 속도성분을 계산하는 단계와; 가장 빠른 성분 보다 일정하게 작은 속도를 가진 성분을 강제 여과하는 단계와; 필터링된 속도 성분을 전자 또는 전자 기계 장치로 제어 신호로서 전달하는 단계를 포함한다.In order to achieve the above object, the present invention also provides a plurality of degrees of freedom of hand movement from the sliding movement of these fingers when one of the two or more fingers of one hand across the multi-tuffy surface is the opposite thumb. A method of evacuating, the method comprising: tracking the trajectory of an individual hand portion at a surface through a continuous scan of a proximity sensor array; Searching for the innermost and outermost finger contacts from the contacts recognized as fingers in a given hand; Calculating a scaling velocity component from the change in distance between the innermost finger contact and the outermost finger contact; Calculating a rotational speed component from a change in vector angle between the innermost finger contact and the outermost finger contact; Weighing translation weighting for each finger in contact; Calculating a moving speed component in two dimensions from a moving weight average of finger speed in a tangential direction with respect to the surface; Forced filtration of components with a constant velocity that is less than the fastest component; Delivering the filtered velocity component to the electronic or electromechanical device as a control signal.
또한 상기 목적을 달성하기 위해서, 본 발명은 멀티터치 표면에서 손을 놓기, 타이핑, 복수의 자유도 조정, 명령 제스추어 및 핸드라이팅과 같은 다양한 손 입력 활동을 지원하기 위한 수동 입력 통합 방법을 포함하고, 이 방법은 사용자가 연속하는 표면 근접 영상을 가로질러 상대적인 손 접촉 타이밍, 근접도, 형상, 치수, 운동 및/또는 동일성의 식별 가능한 조합을 포함하는 다른 형태로 사용자의 손을 배치함으로서 입력 활동 사이를 즉시 전환할 수 있게 하고, 이 방법은, 연속하는 근접 영상을 가로질러 접촉하는 각각의 손 부분을 추적하는 단계와; 각각의 손 부분이 표면에 터치다운하여 리프트오프할 때의 시간을 측정하는 단계와; 손 부분이 동시에 터치다운하거나 리프트오프할 때를 검출하는 단계와; 표면에 정해진 키영역에서 사용자가 비동기적으로 손가락을 두드리거나 움켜쥐거나 미끄러뜨릴 때 개별 키 심벌을 생성하는 단계와; 사용자가 표면에서 동일한 손에서 2개 이상의 손가락으로 동시에 두드릴 때 개별 마우스 버턴 클릭 명령, 키 명령을 생성하거나 손호를 생성하지 않는 단계와; 사용자가 표면을 가로질러 2개 이상의 손가락을 미끄러뜨릴 때 제수추어 명령 또는 복수의 자유도 조작 신호를 생성하는 단계와; 생성된 심벌, 명령 및 조작 신호를 전자 또는 전자 기계 장치에 입력으로서 보내는 단 계를 포함한다.In order to achieve the above object, the present invention also includes a manual input integration method for supporting various hand input activities, such as releasing hands, typing, adjusting a plurality of degrees of freedom, command gesture and handwriting on a multi-touch surface, This method allows the user to alternate between input activities by placing the user's hand in another form, including an identifiable combination of relative hand contact timing, proximity, shape, dimensions, motion and / or identity across successive surface proximity images. Enabling instant switching, the method comprising: tracking each hand portion that contacts across a continuous proximity image; Measuring the time when each hand portion touches the surface and lifts off; Detecting when the hand portion simultaneously touches down or lifts off; Generating an individual key symbol when a user taps, grabs, or slides a finger asynchronously in a key region defined on a surface; Not generating individual mouse button click commands, key commands or generating hand arcs when the user taps simultaneously with two or more fingers on the same hand on the surface; Generating a command or a plurality of degrees of freedom manipulation signal as the user slides two or more fingers across the surface; Sending the generated symbols, commands and operating signals as inputs to the electronic or electromechanical apparatus.
더욱더 나아가서 상기 목적을 달성하기 위해, 본 발명은 멀티터치 표면에서의 손가락의 두드림 또는 미끄러짐에 반응하여 어떤 종류의 입력 신호를 발생시켜 전자 또는 전자 기계 장치로 보낼 것인지를 선택하는 방법을 포함하고, 이 방법은, 엄지 손가락, 손톱 또는 손바닥으로서 표면을 접촉하는지 각각 식별하는 단계와; 각 손 부분이 표면을 터치다운하여 리프트오프할 때의 시간을 측정하는 단계와; 모든 손가락이 떠있는 상태에서 터치다운하여 어떤 하나의 손가락이 표면에서 떠오르기 전에 그런 손가락들의 세트를 형성하는 단계와; 이 세트에서 손가락 동일성의 조합으로부터 손가락의 다른 구별된 운동으로 인하여 발생되는 입력 신호의 종류를 선택하는 단계와; 손가락의 다른 구별된 운동이 일어날 때의 그 종류의 입력 신호를 발생하는 단계와; 적어도 하나의 손가락이 표면에서 리프트오프한 후에 동시에 터치다운하는 2개 이상의 손가락의 서브세트를 형성하는 단계와; 이 서브세트에서 손가락 동일성의 조합으로부터 손가락의 다른 구별된 운동으로 인하여 발생되는 입력 신호의 새로운 종류를 선택하는 단계와; 손가락의 다른 구별된 운동이 일어날 때의 그 새로운 종류의 입력 신호를 발생하는 단계와; 새로운 서브세트를 형성하며 모든 손가락이 표면에서 리프트오프할 때까지 리프트오프 및 동시 터치다운에 반응하여 새로운 종류의 입력 신호를 선택하여 발생하기를 계속하는 단계를 포함한다.Furthermore, to achieve the above object, the present invention includes a method of selecting what kind of input signal is generated and sent to an electronic or electromechanical device in response to a tapping or sliding of a finger on a multi-touch surface, The method includes identifying each of the surfaces in contact with the thumb, nail or palm; Measuring the time when each hand portion touches down the surface to lift off; Touching down with all fingers floating to form a set of such fingers before any one finger rises from the surface; Selecting a type of input signal generated from the combination of finger identity in this set due to different distinguished movements of the finger; Generating an input signal of that kind when another distinctive movement of the finger occurs; Forming a subset of two or more fingers that simultaneously touch down after at least one finger lifts off the surface; Selecting a new kind of input signal from the combination of finger identity in this subset resulting from another distinct movement of the finger; Generating a new kind of input signal when another distinct movement of the finger occurs; Forming a new subset and continuing to generate a new kind of input signal in response to liftoff and simultaneous touchdown until all fingers lift off the surface.
또한, 상기 목적을 달성하기 위해, 본 발명은 터치 장치 조작자가 터치 장치가 상승되기 전에 터치 장치의 접선방향 운동을 가속하거나 감속할 수 없게 되어 커서 운동 계속이 요구된다는 것을 가리킨다면 터치 장치가 표면에서 리프트오트한 후 터치 민감성 입력 디바이스 표면에 걸쳐 터치 장치의 접선방향 운동으로부터 신호를 스크롤하거나 커서 운동의 발생을 계속 진행하는 방법을 포함하고, 이 방법은 터치 장치 조정 중에 2개 이상의 대표적인 접선방향 속도를 측정하며 저장하여 계산 디바이스로 전달하는 단계와; 터치 장치가 리프트오프하기 직전에 터치 장치 위치로부터 리프트오프 속도를 계산하여 저장하는 단계와; 접선 리프트오프 방향이 대략 대표적인 접선방향과 동일하고 접선 리프트오프 속도가 다수의 대표적인 접선 속도의 예정된 부분 보다 크다면 커서를 연속 이동하기 위한 모드로 들어가는 단계와, 커서 운동 속도가 하나의 대표적인 접선속도와 일치하도록 리프트오프 후의 커서 운동신호를 계산 디바이스로 연속 전달하는 단계와; 비교수단이 리프트오프하기 전에 중대한 감속을 검출하거나 또는 계산 디바이스가 커서가 더이상 이동할 수 없거나, 윈도가 더이상 스크롤할 수 없다고 반응하면 터치 장치가 다시 표면에 접촉할 때 커서 운동신호의 전달을 중지하는 단계를 포함한다.Further, in order to achieve the above object, the present invention indicates that if the touch device operator cannot accelerate or decelerate the tangential movement of the touch device before the touch device is raised, indicating that the movement of the touch device is required so that the touch device is continued on the surface. A method of scrolling a signal from the tangential movement of the touch device over the surface of the touch sensitive input device or continuing the generation of a cursor movement after liftoff, wherein the method is capable of maintaining at least two representative tangential velocities during touch device adjustment. Measuring, storing and transferring to a computing device; Calculating and storing a liftoff speed from the touch device position immediately before the touch device lifts off; If the tangential liftoff direction is approximately the same as the representative tangential direction and the tangential liftoff speed is greater than the predetermined portion of the plural representative tangential speeds, then entering the mode for continuously moving the cursor, and the cursor movement speed is equal to one representative tangential speed. Continuously transmitting a cursor movement signal after the lift-off to the calculation device to coincide; Stopping the transmission of the cursor motion signal when the touch device again contacts the surface if the comparator detects a significant deceleration before the liftoff or if the computing device responds that the cursor can no longer move or the window can no longer scroll It includes.
상기 설명은 예를 든 것에 불과하고 본 발명을 제한하지 않는다.The above description is merely an example and does not limit the present invention.
첨부 도면은 이 명세서의 일부에 합체되어 구성되며 본 발명의 여러 가지 실시예를 도시하고 상기 설명과 함께 본 발명의 원리를 설명하는데 사용된다.The accompanying drawings are incorporated in and constitute a part of this specification, and illustrate various embodiments of the invention and together with the foregoing description serve to explain the principles of the invention.
본 발명의 바람직한 실시예는 첨부도면에 도시된 일예를 참조하여 상세히 설명될 것이다. 동일 참조 번호는 도면 전체에 걸쳐서 동일 또는 유사 부품에 적용되도록 사용될 것이다.Preferred embodiments of the present invention will be described in detail with reference to the example shown in the accompanying drawings. The same reference numerals will be used to apply the same or similar parts throughout the drawings.
도 1은 전체 통합 수동 입력 장치의 시스템 블록 다이어그램이다. 멀티터치 표면(2)내에 융기된 센서는 전체 평평한 손(4), 손가락 끝, 엄지, 손바닥, 및 표면에 대한 다른 전도성 터치 장치의 근접을 검출한다. 바람직한 실시예에 있어서, 상기 표면은 양 손(4)을 용이하게 수용하는데 충분한 크기이며 팔뚝의 내전을 감소시키도록 아치형으로 되어 있다.1 is a system block diagram of a total integrated manual input device. The raised sensor in the
다른 실시예에 있어서, 멀티터치 표면(2)은 한 손의 이동을 수용하기에 충분히 큰 크기이지만, 아암레스트 또는 의복에 고정되도록 가요성일 수 있다. 또한, 멀티터치 표면은 극소 치수의 표면(micro-dimensional surface)을 포함할 수 있다.In other embodiments, the
전자 스캐닝 하드웨어(6)는 센서 어레이의 각 근접 센서를 제어하고 판독한다. 교정 모듈(8)은 센서 어레이의 완벽한 스캔으로부터 열 인접 영상을 구성하고 소정의 배경 센서 오프셋을 공제한다. 배경 센서 오프셋은 표면에 아무것도 터치되지 않을 때 취해진 간단한 근접 영상일 수 있다.
그 다음에, 오프셋 정정된 근접 영상은 접촉부 추적 및 식별 모듈(10)로 패스되는데, 구별가능한 손 표면 접촉부내로 영상을 분할하고 접촉부가 연속적인 영상을 통해 이동할 때 추적하고 식별한다.The offset corrected proximity image is then passed to the contact tracking and
식별된 접촉부의 경로는 타이핑 인식 모듈(12), 손가락 동기 검출 모듈(14), 손 움직임 성분 추출 모듈(16), 및 펜 그립 검출 모듈(17)으로 통과되고, 손 형상을 구별하고 검출된 손 이동에 반응하도록 소프트웨어 알고리즘을 포함한다.The path of the identified contact is passed to the typing
타이핑 인식 모듈(12)은 동일한 손상의 다른 손가락의 행동과 관련하여 크게 동조하는 손가락의 신속 프레스 및 해제에 반응한다. 각 손가락 탭의 위치에 가장 근접한 키이 영역을 찾고 키이 심볼을 전송하거나 소통 인터페이스 모듈(20)에 대 해 가장 근접한 키이 영역과 관련된 명령을 내린다.The typing
손가락 동기 검출기(14)는 손가락의 서브셋의 동시 프레스 또는 해제를 위해 손의 손가락 행동을 체크한다. 동시 서브셋내에 포함된 손가락용 키이스트로크 공정을 무시하거나 정지시키도록 타이핑 인식기를 신호로 알린다. 또한 손가락 조합의 통과는 코드 모션 인식기(chord motion recognizer)(18)에 대한 동조 서브셋을 식별한다.
손 병진, 손목을 중심으로 한 손 운동, 손가락으로 움켜쥐는 스케일링, 및 상이한 손 기울기와 같은 표면상의 손 멀티풀레이션을 용이하게 수행하는 동안 손 움직임 성분 추출 모듈(16)은 개별 손가락 이동으로부터 다중의 제어 자유도를 게산한다.The hand movement
코드 운동 인식기는 동시화 검출기(14)에 의하여 인식되는 동시 핑거 서브세트와, 16에서 추출되는 운동의 방향 및 속도에 따른 코드 탭 또는 운동 이벤트를 발생시킨다. 그 다음, 이러한 이벤트들은 호스트 커뮤니케이션 인터페이스(20)에 포스트된다.The code motion recognizer generates concurrent finger subsets recognized by the
상기 펜 그립 검출 모듈(17)은 펜을 그립하는 것으로 형성되는 핸드를 지시하는 인식된 손 접촉의 특별한 정렬을 위하여 체크한다. 이러한 장치가 검출된다면, 호스트 커뮤니케이션 인터페이스(20)에 이벤트를 잉크할 때에 핑거를 그립하는 운동을 향하게 한다. 이러한 잉크 이벤트는 드로잉 또는 신호 캡처 목적을 위하여 호스트 컴퓨터 디스플레이에 디지탈 잉크를 놓거나, 또는 본 기술에 잘 공지된 핸드라이팅 인식 소프트웨어에 의하여 부가로 해석된다. 상기 모듈의 각각내에서의 상세한 스텝은 이후에 부가로 설명된다.The pen
상기 호스트 커뮤니케이션 인퍼페이스는 단일의 일시적으로 오더된 퀴크에서 타이핑 인식기(12) 및 코드 모션 인식기(18)로부터 이벤트를 유지시키며, 이들을 호스트 컴퓨터 시스템(22)으로 급파한다. 상기 인터페이스(20)와 호스트 컴퓨터 시스템(22)사이의 통신 방법은 호스트 컴퓨터의 성능과 처리 파워에 따라서 넓게 변할 수 있다. 양호한 실시예에서, 상기 통신은 애플 데스크탑 버스, PS/2 키보드 및 PC용 마우스 프로토콜, 또는 유니버설 버스(USB)와 같은 산업 표준 프로토콜을 통하여 컴퓨터 베이블에 발생할 수 있다. 다른 실시예에서, 상기 모듈(10-18)의 소프트웨어 처리는 호스트 컴퓨터(22)내에서 수행될 수 있다. 멀티터치 표면 장치는 근접 영상(8)로부터 근접 센서 어레이(6)를 스캔하고, 압축되어서 이들을 무선 네트워크를 통하여 호스트 컴퓨터에 보내기 위한 충분한 하드웨어만을 포함할 수 있다. 상기 호스트 커뮤니케이션 인터페이스(20)는 호스트 컴퓨터의 장치 구동기의 역활을 하며, 호스트 컴퓨터 시스템(22)에 잔류하는 다른 적용에 대한 입력으로서 근접 영상 인식 처리의 결과를 운반한다.The host communication interface maintains events from typing
양호한 실시예에서, 상기 호스트 컴퓨터 시스템은 시각적인 디스플레이 장치(24)로 출력함으로써, 핸드와 핑거(4)는 디스플레이 스크린에서 그래픽 목적물을 조정할 수 있다. 그러나, 다른 실시예에서, 상기 호스트 컴퓨터는 로봇과 같은 기계를 디스플레이 또는 제어하기 위하여 출력할 수 있다.In a preferred embodiment, the host computer system outputs to the
"근접" 이라는 용어는 인접된 핑거사이의 거리를 기준으로 하는 것이 아니라, 핑거 및 표면(2)과 같은 터치 장치사이에의 거리 또는 압력을 기준하여서만 사 용될 것이다. "수평" 및 "수직"이라는 것은 표면 평면내에서의 x 및y 방향 축을 말한다. 그 다음, 근접 측정은 표면에 수직인 z축에서 압력으로서 해석된다. 상기 "내부" 방향이라는 것은 주어진 핸드의 엄지를 향하는 것을 의미하고, "외부"라는 방향은 주어진 핸드의 연분홍색 핑거를 의미한다. 이러한 설명을 위하여, 상기 엄지라는 것은 다르게 공지되지 않았다면, 핑거롤 고려될 것이지만, 손가락끝으로서는 고려되지 않는다. "접촉"이라는 것은 이것이 표면이 접촉될 때 손 부분을 위한 일반적인 용어로서 사용되고, 현재의 근접 영상에서 나타나며, 이것을 표현하는 그룹 및 경로 데이터 구조를 위한 것이다.The term "proximity" will not be based on the distance between adjacent fingers, but only on the basis of the distance or pressure between the finger and the touch device such as the
도 2는 도전 감지 전극(33)에 대한 터치 장치(38)의 근접치에 의존하여 전압(58)을 출력하는 장치의 개략도이다. 근접치 감지 장치는 입력 노드(46), 출력 노드(45) 및 공통 노드(48)를 가지는 직렬로 연결된 2개의 전극 스위칭 수단(30 및 31)을 포함한다. 얇은 유전체 재료(32)는 공통 노드(48)에 전기적으로 연결된 감지 전극(33)을 덮고 있다. 대략 일정한 전압을 제공하는 전원(34)은 기준 그라운드와 입력 노드(46) 사이에 연결된다. 2개의 전기 스위치(30 및 31)는 전원(34)으로부터의 전하의 흐름을 적분 커패시터(37)로 연결한다. 상기 적분 커패시터(37)의 양단 전압은 높은 임피던스의 전압 증폭기(35)에 의하여 다른 전압(58)으로 전달된다. 상기 인터그레이팅 캐패티시터(37)의 판은 상기 적분 커패시터(37)의 양단 전압이 0으로 될 때까지 전기 스위치(36)를 폐쇄시킴으로써 충전될 수 있다. 상기 전기 스위치(30 및 31)는 일련으로 개방 및 페쇄되지만, 이들이 도 2에 도시된 바와 같이 동시에 개방될 수 있을지라도 동시에 거의 폐쇄되지는 않는다. 전기 스위치 (30)는 입력 스위치로 언급되고, 전기 스위치(31)는 출력 스위치로 언급되며, 전기 스위치 36은 쇼팅(shorting) 스위치로 언급된다.2 is a schematic diagram of a device for outputting a
도 2에 도시된 근접 감지 장치는 전기 스위치(30,31,36)를 폐쇄 및 개방시킴으로써 작동되고, 특히 상기 접촉 장치(38)의 근접에 따른 증폭기(58)로부터의 전압 출력이 후의 특히 일련으로 기록된다. 센서 작동은 도 2에 도시된 바와 같이 개방 상태에서 모든 스위치로 시동된다. 그 다음, 쇼팅 스위치(36)는 적분 커패시터(36)에 있는 충전을 낮은 레벨으로 감소시키는 충분히 긴 시간동안 폐쇄된다. 그 다음, 쇼팅 스위치(37)는 개방된다. 그 다음, 입력 스위치(30)가 폐쇄되고, 입력 스위치(30)의 양단 전압이 0으로 될 때까지 공통 노드(48)와 파워 서플라이사이에서 충전이 흐르도록 한다. 충전은 다음의 수식(1)에 따라서 감지 전극(33)에 축적될 것이다.The proximity sensing device shown in FIG. 2 is operated by closing and opening the
여기에서, V는 파워 서플라이(34)의 전압이고, e는 유전체 감지 전극 커버(32)와 상기 커버와 접촉 장치(38)사이의 공기갭의 유전율이며, D는 유전 영역의 두께이고, A는 접촉 장치(38)와 감지 전극(33)의 오버랩 영역이다. 따라서, 상기 감지 전극(33)에 축적되는 충전량은 다른 것들사이에서 상기 접촉 장치(38)와 감지 전극(33)의 오버랩 영역과, 접촉 장치(38)와 감지 전극(33)사이의 거리에 의존하게 된다. 입력 스위치(30)는 양단 전압이 0으로 된 후, 또는 거의 0으로 된 후에 개방된다. 곧 입력 스위치(30)가 개방된 후, 출력 스위치(31)는 양단 전압이 거의 0 으로 될 때까지 폐쇄된다. 상기 출력 스위치(31)를 폐쇄시키는 것은 다음의 수식(2)에 따라서 감지 전극(33)과 적분 커패시터(37)를 양단 전압 변화에서 발생되는 적분 커패시터(37)사이의 흐름에 대한 변화를 허용한다.Where V is the voltage of the
여기에서, Vc는 출력 스위치(31)가 폐쇄되기 이전에 적분 커패시터(37)를 가로지는 전압이고, C는 적분 커패시터(37)의 용량이며, A및 D는 입력 스위치(30)가 수식(1)에 도시된 바와 같이 폐쇄될 때 이들의 값과 동일한 것이다. 상술한 바와 같이 기재된 입력(30) 및 출력(31) 스위치의 다중 스위칭은 감지 전극(33)에 대하여 접촉 장치(38)의 근접을 반사시키는 적분 커패시터(37)에 전압을 발생시킨다.Where Vc is the voltage across the integrating
도 3a는 쇼팅 트랜지스터(36)와 전압-대-전압 전환 장치(35)가 각각, 레지스터(40)와 전류-대-전압 전환 장치(41)에 의하여 대체되는 근접 센서의 개략적인 다이아그램이다. 도 2에 도시된 캐패시터(37)의 인터그레이팅 작용은 도 3a에 도시된 캐패시터(39)에 의하여 실행되는 상기 근접 센서의 변경예이다. 당업자는 이러한 근접 센서의 변경이 상기 레지스터(40)의 상대값에 의존하면서 입력 및 출력 센서의 다중의 스위칭으로부터 하나의 이상의 선형 출력을 발생시킨다. 또한, 상기 레지스터(40)는 선형성을 향상시키기 위하여 쇼팅 스위치(69)(도 3b)에 의하여 대체될 수 있다. 도 3에 도시된 회로가 도 2에 도시된 회로보다 더 많은 선형 출력을 공급할지라도, 도 3의 회로는 일반적으로 2중의 파워 서플라이를 요구하지만, 도 2의 회로는 단지 하나만을 요구한다.3A is a schematic diagram of a proximity sensor in which the shorting
도 2에 도시된 전기 스위치는 다양한 트랜지스터 기술로 될 수 있는 것이다: 즉, 분리, 통합, 박막, 두꺼운 막, 중합체, 광학 등이 될 수 있다. 필드 영향 트랜지스터(FET)가 입력(30), 출력(31) 및 쇼팅(36) 스위칭으로서 사용되는 것중의 하나가 도 4a에 도시되어 있다.The electrical switch shown in FIG. 2 can be of various transistor technologies: separate, integrated, thin film, thick film, polymer, optical, and the like. One of which field effect transistors (FETs) are used as switching
FETs는 게이트 단자(43, 44, 55)에 인가된 전압에 의해 스위치 온및 오프된다. 상기 설명을 위해, FET는 게이트 전압이 논리 1일 때 스위치 온되며, 게이트 전압이 논리 0일 때 스위치 오프된다고 가정한다. 제어기(42)는 도4B에 도시한 바와 같이 시간 함수로서 게이트 전압을 인가하는데 사용된다. 본 예에서 3개의 펄스쌍(43, 44)의 순차는 입력 및 출력 트랜지스터 게이트에 인가된다. 각 펄스쌍(43, 44)은 식2로 나타낸 바와 같이 적분 커패시터(37)를 거쳐서 전압 변화를 발생한다. 입력부(43) 및 출력부(44)에 인가된 펄스쌍의 수는 적분 커패시터(37)를 거쳐서 소정 전압에 의존한다. 전형적인 적용에 있어서 그 수는 1및 수백 펄스쌍 사이이다.FETs are switched on and off by voltages applied to
도 5는 멀티터치 표면 시스템에서와 같은 근접 센서(47)의 배열을 구비하는 시스템에 사용하기에 적합한 근접 센서 회로를 나타낸다. 근접 센서(47)는 입력 트랜지스터(30), 출력 트랜지스터(31), 감지 전극(33), 감지 전극을 위한 절연 커버(32), 및 도전성 트레이스(43, 44, 45, 46)로 구성된다. 도전성 트레이스는 동일한 도전성 트레이스를 나누고 밀접 팩킹할 2D 배열을 구비하는 근접 센서를 허용하도록 배치된다. 도6은 모든 근접 센서의 노드(46)가 전원(34)에 함께 접속되고 연결되는 그와 같은 시스템의 예를 나타낸다. 모든 근접 센서의 출력 노드(45)는 단일 적분 커패시터(37), 단일 단락 트랜지스터(36)및 단일 전압대 전압 증폭기(35)에 함께 접속되고 연결된다. 상기 수행에 있어서, 단일 근접 센서(47)는 논리 1 신호를 먼저 입력 게이트(43)에 인가하고 그후 출력 게이트에 인가함으로서 동시에 가능하게 된다. 단일 근접 센서(47)의 게이팅은 한번에 하나씩 입력 게이트 제어기(50) 및 출력 게이트 제어기(51)에 의해 행해진다. 예를 들어 하부 우측 코너에서 근접 센서(47)를 가능하게 하기 위하여 입력 게이트 제어기(50)는 전도성 트래이스(43a)상에 논리 1 펄스를 출력한다. 그 후 출력 게이트 제어기(51)에 의해 발생된 전도성 트레이스(44h)상에 논리 1 펄스가 이어진다. 도4B에 도시된 바와 같은 펄스의 반복으로 적분 커패시터(37)상에 축적되는 전하와 증폭기(58)의 출력에서 나타나는 대응 전압의 원인이 된다. 근접 센서(47)의 전체 배열은 동시에 단일 센서를 가능하게 하고 그 출력을 기록함으로서 스캔된다.5 shows a proximity sensor circuit suitable for use in a system having an arrangement of
도7A는 근접 센서 출력을 컴퓨터에 의해 처리하는데 적합한 디지털 코드로 변환하기에 유용한 전형적인 회로이다. 근접 센서 출력(58)은 가까이에 터치 장치(예를 들어 도2에서 부호38)가 없을지라도 0은 아니다. 이러한 0이 아닌 신호는 근접 센서의 공통 노드(48)에 존재하는 기생 또는 스트레이 용량에 기인하며 상대적으로 일정값을 갖는다. 센서 출력(58)을 디지털 코드로 변환하기 전에 0이 아닌 배경신호를 제거하는 것이 바람직하다. 배경 신호(68)의 저장된 기록을 센서 출력(58)으로부터 공제하도록 차동 증폭기(64)를 사용함으로서 수행된다.이러한 차동신호(65)는 K비트 코드(66)를 발생하는 ADC(아날로그대 디지탈 변환기,60)에 의해 디지털 코드로 변환된다. 저장된 배경 신호는 먼저 근처의 터치 장치를 가지지 않는 근접 센서(47)(도6)의 배열을 샘플링하고 메모리 장치(63)에서 각 근접 센서(47)를 위해 특정된 디지털 코드를 저장함으로서 기록된다.각 근접 센서의 배경신호에 대응하는 특정 코드는 M비트 어드레스 출력(70)에 의해 메모리 장치(63)로 선택되며 DAC(디지털 대 아날로그 변환기,61)에 인가된다.7A is a typical circuit useful for converting proximity sensor output into digital code suitable for processing by a computer.
도6에 도시한 근접 센서(47)의 2D 배열은 전체 배열이 스캔되는 속도를 향상시키기 위해 그룹으로 접속된다. 이는 그룹이 근접 센서의 컬럼으로 배치된 도8에 나타나 있다. 이러한 접근에서 근접 센서의 입력 노드는 도6에서와 같이 전원(34)에 함께 접속및 연결된다. 출력 게이트(44)도 동일 방식으로 접속된다.그러나 입력 게이트(43)는 모두 함께 접속되며 출력 노드(45)는 단지 열내의 근접 센서(47)에 그리고 전용 전압 증폭기(35)에 접속된다. 이러한 접속법으로 컬럼내의 모든 근접 센서는 동시에 가능하게 되어 팩터 N에 의해 어레이를 스캔하게되는 시간을 감축하게 된다. 여기서 N은 그룹내의 근접 센서의 수이다. 출력(58a-h)은 도7A에 도시된 바와같이 전용 컨버터 회로에 접속되거나 대안으로 각 출력(58a-h)은 도7B에 도시된 회로를 사용하여 동시에 하나씩 변환된다. 도면에서 각 그룹(58a-h)으로부터 출력 신호는 멀티플렉서(62)에 의해 한번에 하나씩 선택되며 차동 증폭기(64)의 양의 입력부에 인가된다. 이러한 접근으로 ADC(60)변환 시간이 센서 가능 시간보다 훨씬 빠르다고 가정하면 센서 배열 스캐닝에서 제시된 속도 상승을 제공한다.The 2D array of
도9는 근접 센서의 출력 게이트(44)의 제어에 유용한 전형적인 회로이다. 이는 3개의 입력 신호(75, 76, 78)와 2개의 출력 신호(44, 77)로 구성된다. 출력 게이트 신호(44)는 AND 게이트(79)에 대한 양쪽 입력이 논리 1 일 때 논리1이다. AND 입력 신호(77)는 입력 신호(78)가 논리0으로부터 논리1로 전이될 때 입력 신호(76)가 논리 1이라면 논리 1이되며 그렇지 않다면 논리 0으로 남는다. 이 회로(81)의 선형 배열은 도8에 도시된 바와 같이 동시에 근접 센서의 단일 그룹의 출력 게이트를 가능하게 하도록 엔드 대 엔드(end-to-end) 접속된다.9 is a typical circuit useful for controlling the
도10은 멀티터치 표면을 접촉하는 비 전도성 터치 물체(예를 들어 글로브 핑거)에 의해 가압 여기되어 시스템이 감지되는 멀티터치 표면(89)을 위한 커버를 나타낸다. 커버는 절연 가능한 절연체 터치층(85), 변형 가능한 전도성 층(86) 및 가요성 절연체층(87)을 구비한다. 터치 표면(85)은 특정 적용에 적합하게 인쇄된 심볼 세트를 가질 수 있으며 이는 제거될 수 있으며 다른 심볼 세트를 가지는 것으로 서로 대체될 수 있다. 전도성 층(86)은 근접 센서의 전원(34)의 기준 접지에 전기 접속된다. 터치 물체가 상부 표면(85)에 가압될 때 터치 장치하에서의 전도성 표면(86)으로 인해 근접 센서의 감지 전극(33)에 인접 이동된다. 이로 인해 감지전극(33)상에 저장된 전하량이 변화되며 터치 물체의 존재가 검출된다. 저장된 전하량은 터치 물체에 의해 여기된 압력에 의존한다. 압력이 클수록 수식1에 지시된 것과 같이 저장된 전하가 많아진다.10 shows a cover for a
멀티터치 장치상에 연성 터치 표면을 얻기 위해 두껍고 보다 유연한 유전체 커버가 사용될 수 있다. 그러나 유전체 두께가 커지면 감지 전극(33)상의 터치 장치의 효과가 퍼져 공간 해상도가 낮아진다. 연성의 이방성의 도전 재료는 이러한 부정적인 효과에 대항하는데 사용될 수 있으며 또한 연성의 터치 표면을 제공한다. 도 11은 연성의 이방성 도전 재료(90)가 얇은 유전체 커버(85)와 감지 전극(33) 사이에 놓이는 커버를 도시한다. 연성 재료(90)의 도전성이 대부분 수직 방향으로 배향되면, 표면(85)상의 터치 장치에 의해 형성된 영상은 큰 확산 없이 감지 전극(33)으로 이동될 것이며, 이리하여 공간 해상도가 보전되며 연성 터치 표면이 제공된다.Thick, more flexible dielectric covers can be used to obtain flexible touch surfaces on multi-touch devices. However, when the dielectric thickness is increased, the effect of the touch device on the
도 12는 터치 장치(33)의 압력 및 근접치를 감지하는 멀티터치 표면의 단면을 나타낸다. 터치층(85)은 터치 장치를 감지 전극(33)에서 분리시키는 얇은 유전체이다. 근접치 감지는 이 표면에 대한 것이다. 전극(33) 및 연관된 스위치 및 도전체는 강성의 금속 베이스(92)에 부착된 연성 재료(89)상에 제조된다. 금속 베이스(92)는 근접 센서의 전원(34)의 기준 접지에 전기적으로 접속된다. 터치 장치가 터치 표면(85)을 누르면, 감지 전극(33)이 즉시 아래로 이동해 강성의 금속 베이스(92)에 더 가까워진다. 이동된 거리는 가해진 압력에 의존하며 그리하여 터치 장치에 의해 발휘된 압력은 상술된 바와 같이 검출될 수 있다.12 shows a cross section of a multi-touch surface that senses the pressure and proximity of
근접 영상에 나타낼 때 손 접촉점의 통상적인 특징을 설명하기 위해, 도 13 내지 도 15는 평행사변형 형상 전극의 표준 어레이에 의해 포착된 샘플 영상을 포함한다. 플레시(flesh)가 표면에 근접함에 따라 각각의 전극의 차광은 강화된 근접 신호를 나타내지 위해 어두워지며, 손의 압력에 기인하여 표면에 대해 가압되며, 평행사변형을 더욱 완전하게 중첩시킨다. 자필 인식과 같은 소정의 적용이 상기 샘플 영상 내의 전극 크기에 의해 지시되는 것보다 미세한 전극을 요구하기 때문에, 이러한 영상의 분석은 본 발명의 범위를 제한하기 위한 것은 아니라는 것을 주목해야 한다. 하기에는 특정 스캔 사이클 동안 하나의 전극에서 측정된 근접 데이터가 상기 스캔 사이클에서 포착된 근접 영상의 하나의 "픽셀"을 포함하는 것에 대해 설명한다.To illustrate the typical features of hand contact points when presented in close-up images, FIGS. 13-15 include sample images captured by a standard array of parallelogram-shaped electrodes. As the flash approaches the surface, the shading of each electrode darkens to show an enhanced proximity signal, is pressed against the surface due to the pressure of the hand, and more completely overlaps the parallelogram. It should be noted that the analysis of such images is not intended to limit the scope of the present invention, since certain applications, such as holographic recognition, require finer electrodes than indicated by the electrode size in the sample image. The following describes that proximity data measured at one electrode during a particular scan cycle includes one "pixel" of the proximity image captured at that scan cycle.
도 13은 손가락을 펼친 표면에 대해 펼쳐진 오른손을 도시한다. 최좌측에는 장원형 엄지 손가락(201)이 약 120°를 지시하고 있다. 영상의 상부를 가로지르는 원호 형상으로 배치된 원주형의 희미한 윤곽(blob)은 검지 손가락(202), 중지 손가락(203), 약지 손가락(204) 및 새끼 손가락(205)이다. 근접 손가락 조인트 또는 근접 지골(phalange)(209)로부터의 플레시는 손가락이 완전히 펼쳐지면 각각의 손가락 끝의 하부에 나타난다. 내부 및 외부 손바닥 말단부(207,206)는 영상의 저부를 가로지르는 한 쌍의 매우 큰 접촉점을 형성한다. 전방 손바닥 피부 경결(213)은 손바닥이 완전히 펼쳐지면 손의 중심에서 나타난다. 상기 영상은 모든 손 접촉점이 대략 타원형이지만, 압력, 크기, 배향, 편심률 및 서로에 대한 간격은 상이하다는 것을 나타낸다. 상기 영상은 모든 손의 부분이 하나의 손의 바닥으로부터 표면에 접촉될 수 있지만, 다수의 경우 상기 부분의 몇몇만이 표면에 접촉할 수도 있으며, 손가락 끝은 손가락이 접혀지며 펼쳐짐에 따라 손바닥에 대해 광범위하게 배회할 수도 있다는 것을 나타낸다.13 shows the right hand extended against the surface with the fingers extended. The
도 14는 손이 부분적으로 오므려진 다른 극단을 도시한다. 엄지 손가락(201)은 손가락 끝(202 내지 208)을 향해 내전되며(adducted), 손가락은 접혀지므로, 손가락 끝은 표면에 접선 방향인 대신에 수직 방향으로 하강된다. 손가락 끝 접촉점의 높이 및 강도는 플레시 펄프 패드 보다는 골격 팁이 실제로 표면에 접촉 하기 때문에 다소 감소되지만, 손가락 끝의 폭은 변하지 않는다. 인접한 손가락 끝(202 내지 205)과 엄지 손가락(201)은 서로 매우 근접하여 그들 사이의 약간의 근접 골(valley)(210)에 의해서만 구별될 수 있다. 근접 지골 손가락 조인트는 표면의 상부에 양호하게 매달리며 영상에 나타나지는 않으며, 전방 손바닥 피부 경결도 또한 영상에 나타나지는 않는다. 손바닥 말단부(206,207)는 손가락이 접혀질 때 손바닥의 후방만이 표면에 접촉하기 때문에 다소 짧아지지만, 그들 사이의 분리는 변하지 않는다. 근접 영상은 배경 물체에 의해 간섭되지 않는다는 것을 주목해야 한다. 광학 영상와는 달리, 수 밀리미터 내의 도전성 물체만이 나타난다.14 shows another extreme with the hands partially retracted.
도 15는 펜을 파지한 상태의 오른손의 근접 영상을 도시한다. 엄지 손가락 끝(201)과 검지 손가락 끝(202)은 펜을 파지한 것처럼 함께 집혀 있지만, 이 경우 대신에 표면에 접촉되어 있다. 본 경우의 엄지 및 검지 손가락은 도 14에 도시한 것과 실제로 동일하다. 그러나, 중지(203), 약지(204) 및 새끼 손가락(205)은 주먹을 쥐도록 오므려지므로, 손가락의 상부로부터의 손가락 관절이 손가락 끝 대신에 표면에 실제로 접촉된다. 손가락 관절의 오므려짐은 집혀진 엄지(201) 및 집게 손가락 끝의 후방으로 손바닥 말단부(206,207)와 매우 근접하게 관절을 위치시킨다. 손가락 관절은 또한 도 14의 오므려진 손가락 끝 보다 크게 나타나지만, 도 13의 펼쳐진 손가락 끝과 동일한 크기이다. 이러한 크기 및 배치의 차이는 오므려진 손 및 펼쳐진 손의 상태로부터 상기 펜 파지 상태를 구별하도록 펜 파지 검출기(17)에 의해 측정될 수 있다.15 shows a close-up image of the right hand with the pen held.
도 16은 접촉점 추적 및 식별 모듈(10) 내의 데이터 흐름을 나타낸다. 영상 분할 단계(241)는 가장 최근의 스캔된 근접 영상 데이터(240)를 취하며 이를 도 13의 구별 가능한 손의 부분에 대응하여 전극(242)의 그룹으로 분할한다. 영상의 특정 영역에 적용되는 필터링 및 분할 규칙은 추정된 손의 오프셋 데이터(252)의 피드백에 의해 부분적으로 결정된다. 영상 분할 단계(241)는 위치에 대해 타원을 적합시키며 각각의 그룹 내의 전극의 근접 측정에 의해 특성화되는 한 세트의 전극 그룹 데이터 구조(242)를 출력한다.16 illustrates a data flow within the contact point tracking and
경로 추적 단계(245)는 특성화된 전극 그룹(242)을 이전의 영상로부터 추출된 예상되는 연속의 접촉점 경로 데이터 구조(243)와 결합시킨다. 이러한 경로 추적은 근접 영상을 가로지르는 접촉점 표시의 연속성을 보장한다. 이는 개별의 손 접촉점의 속도를 측정하며 손의 부분이 표면으로부터 리프트오프되어 다음의 영상로부터 사라질 때를 결정한다. 경로 추적 단계(245)는 현재 그룹(242)으로부터의 파라미터로부터의 접촉점의 경로 위치, 속도 및, 기하학적 특징을 업데이트시키며, 접촉점 식별 단계(247,248)로 이송시킨다. 표시를 위해, 그룹 및 식별되지 않은 경로는 각각 Gi 및 Pi의 형태로 칭하는 데이터 구조에 의해 언급되며, 여기서 지수 i는 널(null) 그룹(G0) 및 널 경로(P0)을 제외한 임의의 값이다. 특정 그룹 및 경로 파라미터는 상기 구조명에 첨자를 붙여 나타내며, 영상 스캔 사이클은 대괄호 내의 지수로 나타내는데, 예를 들면 P2x[n]은 현재 근접 영상의 경로(P2)의 수평 위치를 나타내며, P2x[n-1]은 이전의 근접 영상의 위치를 나타낸다. 접촉점 식별 수단은 손 식별 단계(247), 손 내부의(within-hand) 손가락 및 손바닥 식별 단계 (248)로 단계적으로 분리된다. 각각의 접촉점을 위한 손의 식별에서, 손가락 및 손바닥 식별 단계(248)는 각각의 표면 접촉을 발생시키는 손의 부분을 식별하기 위해 조합의 최적화 및 퍼지 패턴 인식 기술을 사용한다. 추정 손의 오프셋의 피드백은 전체의 손의 구조가 명백하지 않은 영상에서 접점이 거의 나타나지 않을 때 손의 접촉점의 식별을 보조한다.
손 식별 단계(247)는 손 내부의 손 식별과 가장 생화학적으로 일치하는 결과를 초래하는 표면 접촉점에 대한 왼손 또는 오른손 식별의 할당을 찾아내기 위해 개별의 조합의 최적화 알고리즘을 사용한다. 이는 또한 주로 손 내부의 손가락이 표면으로부터 리프트오프된 후 최후 측정된 손 위치를 일시적으로 저장하기 위해, 추정 손 및 손가락 오프셋(252)의 피드백을 수용한다. 다음, 손가락이 동일한 영역으로 곧 후퇴되어 접촉하면, 손가락은 그의 이전의 손 식별을 수용할 것이다.
식별 단계(247,248)의 출력은 0이 아닌 손 및 손가락 지수가 부착된 한 세트의 접촉 경로이다. 표시를 위해, 식별된 경로는 식별되지 않거나 널 손가락에 대해 F0로, 엄지 손가락(201)에 대해 F1으로, 검지 손가락(202)에 대해 F2로, 중지 손가락(203)에 대해 F3로, 약지 손가락(204)에 대해 F4로, 새끼 손가락(205)에 대해 F5로, 외부 손바닥 말단부(206)에 대해 F6로, 내부 손바닥 말단부(207)에 대해 F7으로, 전방 손바닥 피부 경결(208)에 대해 F8으로서 언급될 것이다. 특정 손 식별을 나타내기 위해, 상기 표시는 왼손에 대해 L을 오른손에 대해 R을 접미사로 붙일 수 있는데, 예를 들면 RF2는 오른손 검지 손가락 경로를 나타낸다. 특정 손을 전체적으로 언급할 때, LH는 왼손을, RH는 오른손을 나타낸다. 실제 알고리즘에 서, 왼손 식별은 -1로, 오른손 식별은 +1로 나타내므로, 대칭의 수직축을 가로지르는 손의 측정을 반전시키는데 용이하다.The output of identification steps 247 and 248 is a set of contact paths with non-zero hand and finger exponents attached. For indication, the identified path is not identified or is F0 for the null finger, F1 for the
각각의 비트가 특정 손가락의 터치다운, 연속 접촉, 또는 리프트오프를 나타내기 위한 한 세트의 비트 필드 데이터 레지스터가 각각의 손을 위해 유지되는 것이 또한 적합하다. 각각의 비트 필드 내의 비트 위치는 상술한 손의 부분 지수에 대응한다. 이러한 레지스터는 특정 손가락의 집합이 터치다운되었는지를 결정하기 위해 비트 마스크로 즉시 시험될 수 있다. 선택적으로, 이는 특정 손가락 코드(손가락의 조합)에 관련되는 입력 행위를 찾기 위해 조사 테이블로 이송될 수 있다. 이러한 손가락 식별 비트 필드는 동기 검출기(14) 및 코드 모션 인식기(18)에 의해 주로 요구된다.It is also suitable that a set of bit field data registers are maintained for each hand so that each bit represents a touchdown, continuous contact, or liftoff of a particular finger. The bit position in each bit field corresponds to the partial exponent of the hand described above. This register can be tested immediately with a bit mask to determine if a particular set of fingers has been touched down. Optionally, it can be transferred to a lookup table to look for input actions related to a particular finger code (combination of fingers). This finger identification bit field is mainly required by the
추적 및 식별 종속 시스템 내의 최종 단계는 손 위치 추정기(251)이며, 이는 상술한 바와 같이 식별 및 분할 단계에 바이어싱 피드백을 제공한다. 손 위치 추정기는 손이 접촉 없이 표면의 상부에 떠 있을 때를 포함하는 모든 조건 하에 측방향 손의 위치의 추측(252)을 제공한다. 이 경우, 추정은 손이 재차 터치다운되는 상태의 최상의 추측을 나타낸다. 손의 부분이 표면에 접촉될 때, 다소 신뢰 있는 식별로부터 형성된 과거의 추정으로 현재 식별된 손의 부분의 현재 위치 측정을 조합한다.The final step in the tracking and identification dependent system is the
손의 위치 측정을 얻기 위한 가장 단순하지만 열악한 방법은 식별 없이 모든 손의 접촉점의 위치를 평균화하는 것이다. 손의 부분(201 내지 207)이 도 13에서와 같이 표면에 모두 접촉하면, 최종 무게 중심은 손가락 및 손바닥 말단부가 통상 손바닥의 중심 주위에 링을 형성하기 때문에 손바닥의 중심 하부의 소정의 위치에 위치된 일정한 추정을 형성한다. 그러나, 하나의 손 접촉점만이 평균을 위해 사용될 때도 있음을 주목하라. 상기 추정은 손의 중심이 상기 하나의 접촉점의 위치에 있다고 가정하지만, 접촉점이 우측 엄지 손가락으로부터이면, 손의 중심은 실제로 우측으로 4 내지 8cm이며, 접촉점이 손바닥 말단부로부터이면, 손의 중심은 실제로 4 내지 6cm 높으며, 하나의 접촉점이 중지 손가락으로부터이면, 손의 중심은 실제로 4 내지 6cm 낮다.The simplest but poorest way to obtain hand position measurements is to average the position of all hand contact points without identification. When the
도 17은 손의 위치 추정기(251) 내의 상세한 단계를 도시한다. 상기 단계는 각각의 손에 개별적으로 반복되어야 한다. 적합한 실시예에서, 상기 단계는 손의 부분 식별(i)을 사용하여, 각각의 접촉점에 대해 측정된 접촉 위치(Fix[n],Fiy[n])와 특정 손가락 또는 손바닥 말단부(Fidefx,Fidefy) 사이의 오프셋을 계산하기 위해(단계 254) 손의 내부 접촉 식별(250)을 사용한다. 적합하게는, 키보드의 홈 열 상에 놓여짐에 따라, 손이 손가락이 부분적으로 오므려진 중립 자세에 있을 때, 디폴트 위치는 손가락 및 손의 위치에 대응한다. 단계 255는 측정된 손의 오프셋(Hmox[n], Hmoy[n])을 얻기 위해 개별의 접촉점 오프셋을 평균한다.17 shows the detailed steps in
적합하게는, 각각의 손가락 및 손바닥 말단부의 가중치 Fimow[n]은 그의 측정된 총 근접치에 대략 일치한다, 즉 Fimow[n]≒ Fi[n]. 이는 근접치가 0인 리프트된 핑거가 평균에 영향을 미치지 않으며, 측정된 위치 및 식별이 거의 정확하지 않은 통상의 근접치 보다 낮은 접촉점이 낮은 영향을 미치는 것을 보장한다. 더욱이, 손바닥 말단부가 접촉되면, 그의 큰 총 근접치는 평균 보다 높다. 이는 매우 오므려진 손가락에 비교되는 손의 중심에 대해 고정되는 손바닥 말단부가 전체 손의 위치의 보다 신뢰 있는 표시를 제공하기 때문에 장점이 있다. 핸드가 표면과 접촉하지 않는 경우, 즉 모든 근접부가 영인 경우에, 측정된 오프셋은 영으로 설정된다. 이는 필터 처리된 핸드의 위치 추정치가 기본 설정치의 손 위치를 향해서 감소하게 된다.Suitably, the weights Fimow [n] of each finger and palm end approximately correspond to their measured total proximity, ie Fimow [n] ≒ Fi [n]. This ensures that a lifted finger with zero proximity does not affect the average and that the point of contact has a lower impact than the usual proximity where the measured position and identification are hardly accurate. Moreover, when the palm end is contacted, its large total proximity is higher than average. This is advantageous because the palm distal end, which is fixed relative to the center of the hand compared to a very pinched finger, provides a more reliable indication of the position of the entire hand. If the hand is not in contact with the surface, i.e. all the proximity is zero, the measured offset is set to zero. This results in a reduced position estimate of the filtered hand towards the hand position of the base set point.
접촉부의 확인이 정확한 이상, 상기 손 위치 측정 방법은 핸드의 중심으로부터 기인하는 독립적인 접촉부를 상정함으로써 초래되는 대규모의 오차를 제거할 수 있게 된다. 기본 설정 위치로부터의 핑거를 굽히는 것은 몇 센티미터 이상으로 측정된 중심을 교란시키지 않게 된다. 그러나, 이와 같은 설계는 접촉부의 오확인에 대해서 영향을 받기 쉬우며, 상기 오확인은 하나의 손 부분만이 접촉하고 있는 경 우에 중심의 측정 오차가 8 cm까지 초래될 수도 있게 된다. 따라서, 현재 측정된 오프셋을 직접적으로 사용하지 않고, 단순 일차 자동 회귀 필터를 사용하여 이전의 오프셋 추정치(Hcox[n-1],Heoy[n-1])와 함께 평균하여, 현재의 오프셋 추정치(Heax[n],Heoy[n])를 형성한다.As long as the contact is correctly identified, the hand position measuring method can eliminate a large amount of error caused by assuming an independent contact originating from the center of the hand. Bending a finger from the default setting position will not disturb the center measured more than a few centimeters. However, such a design is susceptible to the false confirmation of the contact, which may cause a center measurement error of up to 8 cm when only one hand part is in contact. Thus, without directly using the current measured offsets, simple primary autoregressive using a filter by averaging with previous offset estimates(H cox [n-1] , H eoy [n-1]), the current offset estimates(H eax [n], H eoy [n]) to form.
단계(256)는 현재의 접촉부의 확인을 확신함에 의거하여 필터 폴(Hoa[n])을 조정한다. 핸드의 더 많은 부분이 표면과 접촉하게 됨에 따라서 핑거의 확인이 신뢰도를 누적하게 되므로, 하나의 단순한 확인의 확신은 핸드가 표면을 최후에 이탈하게 되므로 핸드로부터 접촉하게 되는 핑거의 숫자가 된다. 많은 전체 근접부와의 접촉 또한 확인의 신뢰도를 향상시키게 되는데, 이들이 크기와 방향과 같은 강력하게 명확하게 한다는 특징을 가지고 있기 때문이다. 따라서,Hoa[n]은 최대 핑거 숫자에 핸드에 대한 접촉 근접부의 합계와 합한 것에 대략 비례적으로 설정된다.Hoa[n]은 0과 1 사이로 정규화되거나 필터가 불안정해지거나 하게 된다. 그러므로, 접촉 확인에서의 확신의 값이 높은, 즉 핸드의 많은 부분이 표면과 확실하게 접촉하는 경우에, 자동 회귀 필터는 현재의 오프셋 측정치에 유리하게 된다. 그러나, 핸드가 들어 올려졌기 때문에, 단지 하나 또는 두 개의 접촉부가 다시 나타난 경우에, 필터는 더욱 신뢰도가 높은 확인에 기초하였을 것이라는 기대로 이전의 오프셋 추정치를 강조하게 된다.Step 256 adjusts the filter pole(oaH [n]) on the basis of confidence as a confirmation of the current contacts. As more parts of the hand come into contact with the surface, the confirmation of the finger accumulates reliability, so one simple confirmation of confidence is the number of fingers that come in contact with the hand as the hand will eventually leave the surface. Contact with many of the entire proximity also improves the reliability of the confirmation, as they are strongly characterized by their size and orientation.Hoa [n] is therefore set approximately proportional to the maximum finger number plus the sum of the proximity of the contact to the hand.OaH [n] is normalized between 0 and 1, or is to filter or unstable. Therefore, when the value of the confidence in the contact confirmation is high, that is, a large part of the hand makes sure contact with the surface, the automatic regression filter is advantageous for the current offset measurement. However, since the hand was lifted, if only one or two contacts appeared again, the filter would emphasize the previous offset estimate with the expectation that it would be based on a more reliable confirmation.
또한, 필터 처리된 오프셋은 핸드의 위치에 대해서 보수적인 추정치를 유지 해야만 하며, 한편으로 핸드는 핸드가 다시 아래로 접촉하게 됨에 따라서 최적의 분할 및 확인에 대해서 표면 위로 부유하게 된다. 핸드가 복잡한 행동을 계속하는 도중에 표면에서 들어올려지고, 다시 한번 더 아래로 신속하게 접촉해야 하는 경우에는, 들어 올려진 곳에서 근접하여 접촉하게 될 것이다. 그러나, 계속되는 행동이 종료되는 경우에, 핸드는 궁극적으로 중립적인 자세, 또는 기본 설정 위치로 되돌아가서 휴식하게 될 것이다. 따라서, 핸드가 표면과 접촉하지 않는 경우에,Hoa[n]은 충분히 작게 되어 추정된 오프셋은 점차적으로, 핸드가 천천히 그 기본 설정 위치로 되돌아가는 것과 마찬가지로 동일한 비율 정도로 0으로 감소하게 된다.In addition, the filtered offset must maintain a conservative estimate of the hand's position, while the hand floats over the surface for optimal segmentation and confirmation as the hand comes back down again. If the hand is lifted off the surface while continuing a complex action and must be quickly contacted again and again, it will come in close contact with the lift. However, if the continuing action ends, the hand will ultimately return to a neutral position, or default position, to rest. Accordingly, it is the hand in the case which is not in contact with the surface,oaH [n] is the estimated offset is sufficiently small gradually, the hand is slowly reduced to zero, so, just as the same rate back to its default location.
Hoa[n]이 낮은 확인의 확신에 따라서 작아지는 경우에, 필터의 추적 지연은 충분히 커져서 신속하게 이동하는 한 쌍의 핑거가 몇 센터미터 만큼 지연시키게 된다. 필터의 용도는 접촉 이동을 유연하게 하는 것이 아니라, 접촉 확인에 있어서 의심스러운 변화에 대해서 천천히 반응하기 위한 것이다. 이 이동 추적 지연은 종전의 오프셋 추정치에 대한 영상 사이에 측정된 접촉 이동을 합함으로써 안전하게 제거할 수 있다. 단계(257)는 현재의 접촉 속도의 평균값(Hmvx[n],Hmvy[n])으로부터 이동을 얻게 된다.IfHo a [n] decreases with the assurance of low confirmation, the tracking delay of the filter is large enough to cause a pair of fast moving fingers to be delayed by a few centimeters. The purpose of the filter is not to smooth contact movement, but to react slowly to suspicious changes in contact confirmation. This movement tracking delay can be safely eliminated by summing the measured contact movements between the images for the previous offset estimates. Step 257 obtains the shift from the average value of the current contact velocity (Hmvx [n],Hmvy [n]).
현재의 접촉 속도(Fivx[n],Fivy「n])는, 핑거 확인과는 무관하게 측정되는 경로 추적 단계(245)로부터 읽혀진다. 단계(258)는 완전한 필터 수식을 사용하여 추정된 손 오프셋(Hcox[n],Hcoy[n])을 갱신하게 된다.The current contact speedFivx [n],Fivy “n] is read from the
마지막으로, 특정한 핑거의 위치에 대한 유사하게 보수적인 추정값을 제공하게 위해서, 단계(259)는 확인된 접촉 및 이에 대응하는 추정된 핸드의 오프셋 보다는 적은 기본 설청치의 핑거 위치 사이의 거리로부터 개별적인 핑거 오프셋(Fieax[n],Fieoy[n])을 계산하게 된다. 각각의 확인 가능한 접촉(i)에 대해서, 오프셋은 다음과 같이 계산된다.Finally, in order to provide a similarly conservative estimate of the position of a particular finger,
상술한 핑거 오프셋은 핑거의 중립 자세로부터의 휘어짐과 신장의 편차를 반영하고 있다. 사용자가 핑거를 극단적인 구성, 예를 들면 손을 평평한 구조로 하는 경우에, 이들 핑거의 오프셋의 전체적인 강도는 표준적인 어른과 비교하였을 때의 사용자의 핸드의 크기 및 핑거 길이에 대한 표시로 사용할 수 있게 된다.The above-described finger offset reflects the deflection and extension of the finger from the neutral posture. If the user has an extreme configuration of the fingers, for example a flat structure of the hands, the overall strength of the offset of these fingers can be used as an indication of the size and finger length of the user's hand as compared to a standard adult. Will be.
각각의 손 및 손가락에 대한 파라미터(Heax[n],Heoy[n],Fieax[n],Fieoy[n])는 손 및 핑거의 오프셋 데이터(252)에 대한 추정값을 구성하게 되며, 이는 다음의 근접한 영상을 분석하는 중에 분할 및 확인 단계로 공급된다. 다른 단계에서 절대 좌표값에 대한 추정치가 필요한 경우에는, 단순히 공급된 오프셋을 기본 설정치의 핑거 위치에 더하기만 하면 되지만(단계(260)), 많은 경우에 상대적인 오프셋 표기법이 실제적으로는 더 편리하다.Each of the hand, and parameters for the finger(H eax [n], H eoy [n], Fi eax [n], Fi eoy [n]) are configured to estimate for the offset
본 기술 본야에서 통상의 지식을 가진 자에게는, 본원 발명의 범위 내로 충분하게 유지되는 상술한 손 위치 추정 단계, 특히 (들어) 올려진 핸드의 위치를 추정하는 방법에 대해서 다양한 개선을 가할 수 있는 것은 명백하다. 하나의 개선으로는 핸드가 들어 올려졌을 때, 지수적으로 감소시키는 것이 아니라, 일정한 속도로 영을 향해서 추정된 손 오프셋을 감소시키는 것이다. 또한, 각각의 핸드에 대한 오프셋 계산은 지금까지 설명한 바와 같이 독립적이다. 추정된 왼손의 위치와 추정된 오른손의 위치 사이에서의 수평 방향으로의 최소 분리를 형성하는 것이 실제적으로 유리하므로, 오른손와 같은 하나의 핸드가 보드의 다른쪽 측면으로 미끄러지면서 다른쪽 핸드가 들어 올려진 경우에, 다른쪽 핸드의 추정된 위치가 변위되게 된다. 이와 같은 경우에, 들어 올려진 왼손의 추정된 위치는 표면의 기본 설정 위치로부터 멀리 왼쪽으로 밀려나게 되며, 어쩌면 완전하게 표면을 벗어날 수도 있다. 오른손이 들어 올려지고, 왼쪽이 그렇지 않은 경우라면, 다음과 같은 수식을 사용하여 오른손의 추정된 위치를 이탈시키도록 할 수도 있다.To those skilled in the art, various improvements can be made to the above-described hand position estimating step, in particular the method of estimating the position of a raised hand, which is sufficiently maintained within the scope of the present invention. It is obvious. One improvement is not to decrease exponentially when the hand is raised, but to reduce the estimated hand offset towards zero at a constant rate. In addition, the offset calculation for each hand is independent as described so far. Since it is practically advantageous to form a minimum separation in the horizontal direction between the estimated left hand position and the estimated right hand position, one hand, such as the right hand, slides to the other side of the board and the other hand is lifted. In that case, the estimated position of the other hand will be displaced. In such a case, the estimated left hand lifted position is pushed to the left away from the default set position of the surface, and maybe completely off the surface. If the right hand is lifted up and the left hand is not, the following equation can be used to deviate the estimated position of the right hand.
여기에서,LF1defx-RF1defx는 왼쪽과 오른쪽의 엄지 손가락 사이의 기본 설정치의 분리이고, min_hand_sep은 형성되는 수평 방향으로의 최소 분리이며,LHeox[n]은 왼손의 현재 추정된 오프셋을 가리킨다.WhereLF 1defx -
도 18은 근접부 영상 분할 단계(241)에서의 데이터 흐름을 도시하고 있다. 단계(262)는 이차원 확산 연산자 또는 가우시안 커널과 겹쳐서 통과시켜서 현재의 근접부 영상(240)의 공간적으로 매끈한 복사본(263)을 형성하게 된다. 단계(264)는 필터 처리된 근접부가 의미있는 한계값을 초과하고, 가장 가까운 이웃의 픽셀에 대한 필터 처리된 근접부를 초과하는 국소 최대 픽셀(265)에 대해서 매끈한 영상(263)를 검색하게 된다. 매끈하게 하기(smoothing)는 단일 전극 상의 개별적인 잡음의 첨두값이 상기 의미있는 한계값을 초과하는 국소 최대값으로 귀착되는 기회를 감소시키며, 분리 가능한 육체적인 접촉에 대해서 국소 최대값들을 대략 1 정도로 유지하게 된다.18 shows the data flow in the proximity
이후 프로세스(268)는 에지와의 접촉을 위해 각각의 로컬 최대한도로부터 외향 서치함으로써 일군의 전극 또는 픽셀을 구성한다. 접촉 경계에 도달하기 전에 만나게 되는 각각의 전극이 로컬 최대 그룹에 추가된다. 도 19 는 예시 접촉 경계(274)에 대한 기본 경계 전극 서치 패턴을 도시한다. 이 도면에서는 각 화살표의 선단에 전극 또는 영상 픽셀이 위치한다. 상기 서치는 로컬 최대 픽셀(276)에서 시작되고, 경계(274)가 검출될 때까지 좌측 픽셀(277)로 나아간다. 경계(278) 이전의 마지막 픽셀이 에지 픽셀로서 마킹되고, 서치는 로컬 최대 픽셀(276)의 우측 (279)으로 위치한다. 일단 로컬 최대 로우의 좌측 및 우측 에지가 발견되면, 서치는 상기 로우로 위 아래로 순환하여, 항상 최대 근접성을 갖는 이전 로우에서의 픽셀 칼럼내에서 시작(281)한다. 예에 나타나 있듯이, 얻어지는 픽셀 또는 전극 세트들은 수학적 센스로 연결되지만, 장방형일 필요는 없다. 이로 인해 그룹은 전극을 아웃시키지 않고 또한 이들을 인접하는 접점으로부터 포함하지 않고서 통상적인 타원형의 플레쉬 접점과 밀착하여 끼워질 수 있다.
접점들이 작고 항상 양호하게 분리된다면, 에지들은 근접 판독이 배경 레벨에 떨어지는 곳이면 어디든지 간단하게 생성될 수 있다. 그러나 때로는 약간의 밸리 또는 얕은 새들 포인트(210)에 의해 손가락끝이 분리된다. 인접하는 손가락끝을 세그먼트화 시키기 위해 이들 밸리의 부분적 최소한도를 검출하여 그룹 경계로 사용하여야 한다. 한편, 커다란 팜 힐 콘택트들은 접점을 가로질러 플레쉬 근접성에서의 마이너한 불균일성으로 인해 부분적인 최소한도를 나타낼수도 있다. 접촉하의 모든 전극들이 단일 그룹으로 제어되어야 한다면, 그러한 부분적 최소한도는 무시되어야 한다. 손 포지션이 측정된다면 분할 시스템은, 손가락끝과 엄지손가락이 나타날 것으로 기대되는 영상 영역에서 엄격한 에지 검출 규칙을 적용할 수 있지만 손바닥이 나타날 것으로 기대되는 영상 영역에서는 부주의한 에지 검출 규칙을 적용할 수 있다. 이로 인해 인접하는 손가락끝은 확실히 단일 그룹으로 조인되지 않고 각각의 손바닥 힐은 여러 그룹으로 파괴된다.If the contacts are small and always well separated, the edges can simply be created wherever the proximity reading falls to the background level. However, sometimes the fingertips are separated by some valley or shallow saddle points 210. In order to segment adjacent fingertips, partial minimums of these valleys should be detected and used as group boundaries. Large palm hill contacts, on the other hand, may exhibit partial minimums due to minor non-uniformities in flash proximity across the contacts. If all electrodes under contact should be controlled in a single group, such partial minimums should be ignored. If the hand position is measured, the segmentation system can apply strict edge detection rules in the image areas where fingertips and thumbs are expected, but inadvertently edge detection rules in the image areas where palms are expected to appear. . This ensures that the adjacent fingertips are not joined in a single group, and each palm heel is destroyed in multiple groups.
도 18 의 단계 266 은 이전 영상의 분석으로부터 유도되는 손 위치 평가(252)를 이용하여 이들 분할 영역의 위치를 형성한다. 도 20a 는 손이 그 디폴트 우ㅟ치에 있는 동안 엄격하고 느슨한 분할 영역의 정도를 도시하며, 양 손에 대해 측정된 오프셋을 영으로 만든다. 도면(252)에서의 플러스 사인은 각 손에서의 각 핑거와 팜 힐의 측정 위치를 나타낸다. 하부 코너에서의 장방형 아웃 라인은 좌측(284)및 우측(286)의 느슨한 분할 영역을 나타내며, 여기서 부분적 최소한도는 대체로 무시된다. 나머지 T 형상 영역은 엄격한 분할 영역(282)이며, 여기서 근접 새들 포인트는 접촉 경계로서 작용해야 한다. 양호한 실시예로서 느슨한 영역은 장방형이며, 그 내부 경계(285)는 인덱스 핑거(202)가 놓일 것으로 기대되는 칼럼의 바로 안에 배치되고, 상부 경계(287)는 그 각각의 엄지 손가락(201)의 측정 수직 레벨에 배치된다. 느슨한 영역의 외부 및 하부 경계는 표면의 외부 에지에 의해 결정된다. 손이 표면을 떠난 후 측정된 손 오프셋에서의 붕괴로 인해, 느슨한 분할 영역은 리프트오프시의 손 위치와 무관하게 손이 수초간 표면을 떠난 후에 도시된 위치로 복귀된다. 도 20b 는 오른손이 상부 좌측으로 이동하고 왼손이 하부 좌측으로 이동함에 따라 느슨한 영역이 측정된 손 위치(252)를 어떻게 추종하는 지를 도시한다. 이로 인해 손 위치 측정이 정확하다면 손바닥이 느슨한 영역에 위치하는 것을 보장한다.Step 266 of FIG. 18 uses the
도 20c 는 왼손이 표면을 떠나 들어올려지고 오른손이 표면의 좌측으로 미끄러질때 표면을 완전히 떠나도록 이동한다. 이로 인해 한손의 손가락들이 반대쪽 손의 느슨한 분할 영역으로 들어가는 것이 방지된다. 이 효과는 느슨한 영역이 서로 너무 밀접해진다면 이들 영역 사이에서의 최소 수평 분리를 부과하고, 최대 표면 접촉을 갖는 손을 보다 적은 접촉을 갖는 손의 측정 위치 위에 배치하므로써 수 행된다. 도 21 은 전극이 엄격한 또는 느슨한 분할 영역에 있는지에 따라 각각의 서치된 전극에 가해지는 에지 테스트의 플로우 차트를 도시한다. 결정 다이아몬드(290)는 전극의 스무스하지 않은 근접성이 배경 근접성 레벨보다 큰지를 체크한다. 그렇지 않다면 전극은 분할 영역이나 서치 방향과 무관하게 단계(304)에서의 에지 전극의 라벨이 부착되고 단계(305)에서 서치는 다른 방향으로 순환하도록 로우 max로 return한다. 스무스하지 않은 근접성이 중요하다면 결정 다이아몬드(292)가 서치 전극이 느슨한 영역 또는 엄격한 영역에 있는지 결정하는 것에 따라 이웃하는 전극의 스무스한 근접성에 적용된다.20C moves so that the left hand lifts off the surface and lifts off the surface completely when the right hand slides to the left side of the surface. This prevents the fingers of one hand from entering the loose division of the opposite hand. This effect is achieved by imposing a minimum horizontal separation between these areas if the loose areas become too close to each other and placing the hand with the maximum surface contact over the measurement position of the hand with the less contact. FIG. 21 shows a flow chart of an edge test applied to each searched electrode depending on whether the electrode is in a tight or loose partition.
엄격한 영역 서치가 로우내에서 수평으로 전진되면, 결정 다이아몬드(306)는 전극이 그 최근 이웃 전극에 대해 수평 또는 대각선 부분 최소한도에 놓여있는지를 테스트하는 결정 다이아몬드(308)로 통과한다. 그렇다면, 인접하는 손가락 사이에서의 근접 밸리가 아마도 검출될 것이며 전극은 에지(314)가 라벨링되고, 서치는 다른 방향(305)으로 이루어진다. 그렇지 않다면, 서치는 로우(302)에서 다음 전극에 대해 계속되어진다. 엄격한 영역 서치가 다음 로우로 수직 전진되면, 결정 다이아몬드(306)는 전극이 그 최근 이웃 전극의 스무스한 근접성에 대해 수직 부분 최소한도에 놓여있는지를 테스트하는 결정 다이아몬드(310)로 통과한다. 그렇다면, 손가락과 엄지 사이의 근접 밸리가 아마도 측정될 것이고, 전극은 에지(312)로 라벨링되며 서치는 다른 방향(305)으로 이루어진다. 그렇지 않다면, 서치는 다음 로우(302)로 계속되어진다. 결정 다이아몬드(294)가 느슨한 영역 서치가 로우냉서 수평으로 전진되는 것을 결정하면, 내부 및 외부 손바닥 힐 사이에서의 주금 또는 근접 밸리를 체크하기 위해 가장 엄격한 수평 최소 테스트가 이루어진다. 자격을 부여하기 위해, 전극은 결정 다이아몬드(296)에 의해 체크되었듯이, 본래의 로컬 최대한도로부터 대략 2 ㎝ 수평 거리 이상 이격되어 있어야 한다. 또한, 전극은 결정 다이아몬드(298)에 의해 체크되었듯이, 로우에 대해 위 아래로 연장되는 키큰 밸리 또는 부분 수평 최소한도의 부분 및 로우내에서의 다음 최근 이웃이어야 한다. 그러하다면, 전극은 에지(300) 라벨을 부여받고, 서치는 다른 방향(305)으로 순환된다. 느슨한 영역에서의 다른 모든 부분 최소한도는 무시되며, 따라서 배경 레벨 에지가 다가오는 전극에 도달할 때까지 계속된다(302).As the stringent area search is advanced horizontally within the row,
느슨한 분할 영역에서는 로컬 최대한도 사이에서의 부분적 최소한도가 경계로서 작용하지 못하므로 그룹들이 현저하게 중복될 수 있다. 통상적으로 이것이 일어날때마다 중복 그룹은 스무스화 이후라도 다중 로컬 최대한도를 갖는 손바닥과 같은 넓고 통통한 접촉 부분이다. 두 그룹은 한 그룹의 서치 근본 로컬 최대한도 전극이 역시 다른 그룹의 요소이면 중복되는 것으로 정의된다. 시스템의 나머지에 대해 식별할수 있는 통통한 접점마다 단 하나의 그룹을 제공하기 위하여, 도 18의 단계 270 은 중복되는 그룹들을 파라미터 추출 이전에 단일의 수퍼 그룹으로 조합한다. 당업자라면 이전 영상의 하이 레벨 분석으로부터의 피드백이 분할 공정을 개선시키기 위한 다양한 대체 방안으로서 적용될 수 있고 본 발명의 범주에 포함될 수 있음을 이해 할 것이다. 예를 들어, 느슨한 분할 영역에서의 추가적인 영상 스무스화는 각각의 손바닥 힐 접점을 엄격한 분할 영역 경계 테스트를 통과하게 될 하나의 로컬 최대한도로 통합할 수 있다. 그러나 이러한 접근에는 주의가 요망되 는데 그 이유는 너무 많은 스무스화가 복수의 핑거 쌍을 초래하여 이것이 하나의 그룹으로 통합될 느슨한 손바닥 영역들로 진입하기 때문이다. 일단 손가락 쌍이 통합되면, 핑거 확인 공정(248)은 핑거 팁이 실제로 단일의 손바닥 힐인지를 확인할 필요가 없고, 따라서 핑거 확인 공정은 손 위치 측정을 수정할 수 없고, 또한 추가 영상의 적절한 분할을 위해 느슨한 영역을 조절할 수 없을 것이다.In loose partitions, the groups can be significantly overlapped since partial minimums between local maximums do not serve as boundaries. Typically, whenever this happens, the redundant group is a wide, plump contact area, such as a palm with multiple local maxima even after smoothing. Two groups are defined as overlapping if the search root local maximal electrode of one group is also an element of the other group. To provide only one group per chubby contact that can be identified for the rest of the system, step 270 of FIG. 18 combines the overlapping groups into a single super group prior to parameter extraction. Those skilled in the art will appreciate that feedback from high level analysis of previous images may be applied as various alternatives to improve the segmentation process and may be included within the scope of the present invention. For example, additional imaging smoothing in loose slices can integrate each palm heel contact to one local maximum that will pass rigorous slice boundary testing. However, care is needed for this approach because too much smoothing results in multiple finger pairs, which enter into loose palm areas that will merge into one group. Once the finger pairs are integrated, the
핸드 포지션 평가보다 상세한 피트백 형태가 이용될 수도 있다. 예를 들어, 근접 지골(209; 도 13에 도시: proximal phalanges)은 실질적으로 손가락의 일부이지만, 버티컬 미니멈 테스트(310)에 의해 손가락 끝보다 개별 그룹으로 체절화되는 경향이 있다. 버티컬 미니멈 테스트는 도 14에 부분적으로 도시되는 집게손가락 그룹과 도 15의 펜 그립 손 구성으로부터 엄지손가락을 구분할 필요가 있다. 그러나, 펼쳐진 손가락의 근접 지골은 다른 긴 손가락을 펼치지 않고 하나의 긴 손가락을 펼치는 것이 어렵다는 사실에 의해 구부려진 손가락 끝 뒤의 엄지손가락으로부터 구별될 수 있다. 이러한 곤란함에 의한 이점을 취하기 위해, 펼쳐진 손가락 플래그(267)는 집게손가락에서 새끼손가락까지의 두 개 이상의 접촉부가 손가락 끝이 펼쳐진 것을 신뢰도 있게 지시하는 정상보다 클 때마다 설정된다. 결정 다이아몬드(310)는 개시 국부 미니멈(276) 아래의 열을 조사하는 중에 만나게 되는 제 1 버티컬 미니멈을 무시하도록 현재의 영상을 처리하는 중에 변형된다. 이는 근접 지골이 손가락 끝 그룹에 포함되도록 하지만 손가락 끝 그룹이 엄지손가락 또는 손바닥과 만나는 것을 방지한다. 체절구성 공정의 마지막 단계(272)는 각각의 전극 그룹으로부터 형상, 크기, 및 위치 팩터를 추출한다. 그룹 위치는 손의 접촉 위치를 반영하 고, 손가락 속도를 결정하는데 필요하다. 전체 그룹의 근접도, 편심율, 및 방위는 손가락, 손바닥, 및 엄지손가락 접촉부를 구별하도록 보다 높은 레벨의 모듈에 의해 사용된다.A more detailed fitback form may be used than hand position assessment. For example, the proximal phalanges 209 (proximal phalanges, shown in FIG. 13) are substantially part of the finger, but tend to segment into individual groups rather than the fingertips by the vertical
제안된 GE는 G그룹에서의 전극 세트이고, ez는 전극 또는 픽셀(e)의 매끄럽지 않은 근접도이고, ex 및 ey는 그룹 위치의 기본 지시부를 제공하기 위해 센티미터로 표시되는 전극 중심 표면상의 좌표이고, 근접도 무게중심 즉, 도심은 상기 그룹의 전극의 위치 및 근접도로부터 계산된다:The proposed GE is the set of electrodes in the G group, ez is the unsmooth proximity of the electrode or pixel e, and ex and ey are the electrode centers expressed in centimeters to provide a basic indication of the group position. Coordinates on the surface, the proximity center of gravity, ie, the centroid, is calculated from the position and proximity of the electrodes of the group:
전체 그룹 근접도(Gz)는 그룹 내의 각각의 픽셀에 걸쳐 근접도를 합치기 때문에, 보다 큰 손은 보다 많은 픽셀을 구비하는 그룹을 야기하는 경향을 가지므로, 손의 크기와 손의 표면에 대한 근접도 또는 표면상의 압력에 의존한다는 점에 주의해야 한다.Since the overall group proximity Gz combines the proximity across each pixel in the group, larger hands tend to result in groups with more pixels, thus increasing the size of the hand and the surface of the hand. Note that it depends on the proximity or the pressure on the surface.
대부분의 그룹은 볼록하기 때문에, 그들의 형상은 타원형에 가까워진다. 타원형 맞춤 절차는 2차 모멘트(Gxx, Gxy, Gyy)의 그룹 공분산 행렬(Gcov)의 일회 변형을 필요로 한다:Since most groups are convex, their shape is close to elliptical. The elliptic fit procedure requires a one-time transformation of the group covariance matrix (Gcov ) of the second moments (Gxx , Gxy , Gyy ):
공분산 행렬(Gcov)의 고유치(λ0 및 λ1)는 타원축 길이와 방위(Gθ)를 결정한다:The eigenvalues λ0 and λ1 of the covariance matrix Gcov determine the ellipse axis length and orientation Gθ :
여기서, Gθ는 유일하게 범위(0, 180˚) 내로 포장된다.Here, Gθ is uniquely packed within the range (0, 180 °).
편의상, 보다 높은 시스템 레벨에서 손바닥으로부터 손가락 끝을 구별하는 동안, 최대 및 최소 축선 길이는 그 비율에 의해 편심율(GE)로 변환된다:For convenience, while distinguishing the fingertip from the palm at the higher system level, the maximum and minimum axis lengths are converted to the eccentricity ratio GE by that ratio:
최대 축선 길이는 최소 축선 길이보다 항상 크거나 같기 때문에, 편심율은 항상 1보다 크거나 같다는 점에 주의해야 한다. 마지막으로, 전체 그룹 근접도는 통상적으로 구부려진 손가락 끝이 1 주변의 전체 근접도를 가지도록 경험적으로 치환된다:Note that the eccentricity is always greater than or equal to 1 because the maximum axis length is always greater than or equal to the minimum axis length. Finally, global group proximity is typically empirically substituted such that the bent fingertip has an overall proximity of around 1:
낮은 분해능 전극 어레이에서, 전체 그룹 근접도(Gz)는 맞춰진 타원형 파라미터보다 손가락 압력과 접촉 크기를 신뢰도 있게 지시한다. 그러므로, 근접도 영상은 낮은 분해능을 가지고, 작은 접촉부의 방위 및 편심율은 측정된 값보다는 기본 값으로 설정되고, 전체 그룹 근접도(Gz)는 최대 및 최소 축선 길이 대신 접촉 크기의 주 측정으로서 사용된다.In low resolution electrode arrays, the overall group proximity Gz reliably dictates finger pressure and contact size rather than fitted elliptical parameters. Therefore, proximity images have low resolution, the azimuth and eccentricity of small contacts are set to base values rather than measured values, and the overall group proximity Gz is used as the primary measurement of contact size instead of the maximum and minimum axis lengths. Used.
도 22는 경로 추적 공정의 단계를 도시하고, 상기 공정은 동일한 물리적인 손 접촉부에 대응하는 연속적인 근접도 영상로부터 상기 그룹과 함께 연결된다. 각각의 손 부분이 최종 근접도 영상에 따라 이동되는 위치를 결정하기 위해, 상기 추적 공정은 현재의 그룹이 현재의 접촉 경로와 일치하는지를 결정해야만 한다. 일반적으로, 동일한 접촉부로부터 발생하는 그룹과 경로는 다른 그룹과 경로보다 서로에 근접될 것이다. 또한, 측면 손가락 속도 및 가속도상의 생화학적인 제한은 손가락이 영상들 사이에서 어느정도 이동될 수 있는가를 제한한다. 그러므로, 그룹과 경로는 그들이 서로의 추적 반경으로 공지된 거리 내에 있지 않으면 일치되지 않는 다. 손가락들 사이의 통상적인 측면 분리는 적당한 영상 스캔 속도에 대한 추적 반경보다 크고, 터치다운과 리프트오프는 터치다운이 통상적으로 새로운 그룹이 현재의 경로의 추적 반경 외측에 나타나도록 하고 리프트오프가 그룹을 추적 반경 내에 남기지 않고 동작 경로를 나간다는 사실에 의해 용이하게 검출될 수 있다. 높은 손가락 속도에서 경로의 부적절한 훼손을 방지하기 위해, 각각의 경로의 추적 반경(Ptrack)은 현재의 속도의 근접도에 따라 이루어질 수 있다.Figure 22 illustrates a step of a path tracking process, which process is connected with the group from successive proximity images corresponding to the same physical hand contact. In order to determine where each hand portion is moved according to the final proximity image, the tracking process must determine if the current group matches the current contact path. In general, groups and paths resulting from the same contact will be closer to each other than other groups and paths. In addition, biochemical limitations on lateral finger velocity and acceleration limit how far the finger can be moved between images. Therefore, the groups and paths do not match unless they are within a distance known from each other's tracking radius. Typical lateral separation between the fingers is greater than the tracking radius for the proper image scan rate, touchdown and liftoff typically cause the touchdown to typically appear outside the tracking radius of the current path and liftoff to It can be easily detected by the fact that it leaves the motion path without leaving within the tracking radius. To prevent improper tampering of the path at high finger speeds, the tracking radius Ptrack of each path can be made according to the proximity of the current speed.
제 1 단계(320)는 이전 영상로부터 측정되는 경로 위치와 속도를 사용하여 현재의 궤도를 따라 표면 접촉부의 현재 위치를 예견한다. 이전 속도를 상기 위치에 적용함으로써, 예견은 손가락이 갑자기 움직이거나 멈추거나 또는 방향을 바꿀 때를 제외하고는 상기 예견을 향상시킨다. 상기 높은 가속 결과는 0 가속 결과보다 낮은 빈도로 발생하기 때문에, 속도 기본 예견의 이점은 손가락 가속 중의 잠재적으로 나쁜 예견을 능가한다. 레팅(letting: Px[n-1], Py[n-1])은 시간 단계 n-1로부터 경로(P)의 위치이고, Pvx[n-1], Pvy[n-1]은 최종 공지 속도이고, 속도-예견 경로 존속은 다음과 같다:The
이전 영상내의 활성화 경로 세트를 PA로 하고, 현 영상내에 구성된 전극 그룹을 G로 하고, 단계 322에서는 각 그룹(Gk)에 대하여 가장 가까운 활성화 경로를 찾고 그에 대한 거리를 기록한다.The set of activation paths in the previous image is PA, the electrode group configured in the current image is G, and in
여기서, 계산된 유클리드 기하학적 거리는 미터 단위로 계산된다.Here, the calculated Euclidean geometric distance is calculated in meters.
그후, 단계 324에서 각 활성화 경로(Pl)와 가장 가까운 활성 그룹을 찾고, 그에 대한 거리를 기록한다Thereafter, in
단계 326에서, 활성 그룹(Gk)와 경로(Pl)는 그들이 서로에 대해, 즉, GkclosestP와 PlclosestG가 서로에 대하여 가장 가까운 것일 때 서로 쌍을 이루게되고, 그들 사이의 거리는 추적 반경보다 작다. 모든 하기의 조건은 반드시 유지되어야 한다.In
동일 손가락의 반복적 중첩을 검출하는 것을 돕기 위해, 동일 위치 위의 탭들 사이의 경로 할당의 연속성을 지키는 것이 바람직하다. 이는 단계 334에서, 쌍을 이루지 못하고 남아있는 그룹들과 손가락이 떨어져서 최종 세컨드내에 활성화되지 않은 상태인 경로들 만을 사용하여 단계322-326을 반복함으로써 달성된다.In order to help detect repetitive overlap of the same finger, it is desirable to ensure the continuity of the path assignment between taps over the same location. This is accomplished in
단계 336에서, 아직 활성화 또는 최근 비활성화된 경로와 쌍을 이루지 않은 그룹은 새로운 경로로 할당되고, 표면상의 새로운 손가락의 접촉을 나타낸다. 단계 344에서, 그룹과 쌍을 이루지 못한 활성 경로는 비활성화되고, 상기 표면으로부터 손 부분이 리프트오프된 것을 나타낸다.In
단계 346은 표준 필터링 기술을 사용하여 각 그룹의 추출된 파라미터를 그 할당된 경로에 결합한다. 하기의 방정식은 단순한 필터를 경로 위치(Px[n], Py[n], Pz[n]), 속도(Px[n], Py[n]) 및 형상(Pθ[n], Pε[n]) 파라미터를 대응 그룹 파라미터로부터 업데이트시키는 것을 예시하고 있다. 그러나, 칼만 또는 파이나이트 임펄스 응답 필터를 사용할 수도 있다.Step 346 combines each group's extracted parameters into its assigned path using standard filtering techniques. The equation below shows a simple filter for path positions (Px [n], Py [n], Pz [n]), velocity (Px [n], Py [n]), and shape (Pθ [n]. ], Updating the Pε [n]) parameter from the corresponding group parameter. However, it is also possible to use Kalman or Pinite impulse response filters.
경로(P)가 단계(n)의 시기에 그룹(G)에 의해 시작되었다면, 즉, 손의 일부가 접촉하기 시작하였다면, 그 파라미터는 하기와같이 초기화된다.If the path P was started by the group G at the time of step n, ie if a part of the hand began to touch, the parameter is initialized as follows.
그룹(G)이 타임 단계(n)에 대한 활성 경로P[n-1]의 연속이 아닌경우에는 하기와 같다.If group G is not a continuation of the active path P [n-1] for time step n, then:
속도 벡터(Pvx, Pvx)로부터 크기(Pspeed) 및 각도(Pdir)를 계산하는 것이 유용하다. 위치 측정의 신뢰성이 전체 프록시미티(Pg)와 함께 현저히 증가되기 때문에, 로우 패스 필터 폴(Gα)은 전체 프록시미티를 가진 그룹에 대하여 정상보다 낮게 감소된다. 따라서, 신호가 약한 경우에, 상기 시스템은 이전에 형성된 경로 속도에 크게 의존하며, 상기 손가락이 표면에 견고하게 접촉하여 강하고, 신뢰성있는 신호를 발생시키는 경우에, 상기 시스템은 현 그룹 센트로이드 측정에 전적으로 의존한다.It is useful to calculate the magnitude Pspeed and angle Pdir from the velocity vectors Pvx , Pvx . Since the reliability of the position measurement is significantly increased with the overall proximity Pg , the low pass filter pole Gα is reduced below normal for the group with full proximity. Thus, in the case of weak signals, the system relies heavily on previously formed path velocities, and in the event that the finger is firmly in contact with the surface to generate a strong, reliable signal, the system is subject to current group centroid measurements. Depends entirely on
추적 모듈내의 다음 프로세스는 접촉 식별이다. 다수의 손에 대해서도 충분히 큰 표면상에서 각 손의 접점은 원형 클러스터를 형성하고, 상기 클러스터는 분리된 상태로 남아있게 되며, 그 이유는 사용자들이 다른 손의 손가락을 얽히게 하는 것을 피하기 때문이다. 손 클러스터내의 손가락의 배열이 다른 손 클러스터내의 배열의 위치에 무관하기 때문에, 접촉 식별 시스템은 계층 분할된다. 손 식별 프로세스(247)는 먼저 각 접점이 속하는 클러스터를 결정한다. 그후, 클러스터내 식별 프로세스(248)는 다른 손의 클러스터에 무관하게 상기 손 클러스터내의 접점의 배열을 각 손에 대하여 분석한다. 손가락 식별 또는 클러스터내 식별은 표면상에 얼마나 많은 손이 닿았는지에 무관하게 각 손에 대하여 동일하게 기능하기 때문에, 이것에 관하여 먼저 설명한다. 하기의 설명은 우측손내의 식별에 대한 것이다. 좌측손 접촉을 식별하기 전에 일부 파라미터에 대하여 거울적 대칭이 적용되어야 한다.The next process in the tracking module is contact identification. On a sufficiently large surface even for a large number of hands, the contacts of each hand form a circular cluster, which remains separate, since the user avoids tangling the fingers of the other hand. Since the arrangement of fingers in the hand cluster is independent of the position of the arrangement in another hand cluster, the contact identification system is hierarchically divided. The
도 23은 손가락 식별 프로세스(248)의 양호한 실시예를 도시하고 있다. 각 손에 할당된 손가락에 대하여, 본 실시예에서는 접점을 손 부분 어트랙터 지점의 형판에 정합시키고, 각 어트랙터는 손바닥 뒷꿈치 또는 특정 손가락에 대응하는 아이덴티티를 가지고 있다. 이 접점 경로와 어트랙터 사이의 정합은 기본적으로 일대일이어야만 하지만, 소정의 손 부분이 표면에 접촉하지 않는 경우에는 일부 어트렉터가 채워지지 않은 상태로, 즉, 0 경로 또는 더미(dummy) 경로가 할당된 상태로 남겨지게 된다.23 illustrates a preferred embodiment of a
단계 350은 손이 손가락이 부분적으로 굴곡된 상태로중립 자세에 있을 때 손가락과 손바닥에 대응하는 위치에 대한 어트랙터 지점의 위치를 초기화한다. 이들이 손 오프셋 추정에 적용되는 것과 동일한 디폴트 핑거 위치(Fidefx,Fidefy)를 갖는 것이 바람직하다. 반쯤 닫혀진 손 자세로부터 어트렉터 지점들 사이의 각도 및 거리를 설정하는 것은 손가락 굽힘 및 신장의 광범위한 변화에 대하여 상기 매칭 알고리듬이 양호하게 수행되도록 해준다.Step 350 initializes the position of the attractor point relative to the position corresponding to the finger and palm when the hand is in a neutral position with the finger partially curved. It is desirable that they have the same default finger positions Fidefx and Fidefy as applied to hand offset estimation. Setting the angle and distance between the attractor points from the half-closed hand posture allows the matching algorithm to perform well for a wide range of changes in finger bending and extension.
결과적인 어트랙터 지점은 도 24의 십자 표시로 도시된 바와 같이 하나의 링내에 놓이게 된다. 상기 어트랙터 지점(371-377)의 아이덴티티는 손 부분(201-207)의 아이덴티티에 대응한다. 주어진 손이 좌측손인 경우에, 상기 어트랙터 링은 각 어트랙터 지점 둘레의 보로노이 셀을 형성하는 라인 구획(380)을 포함하는 도 24에 도시된바로부터 수직축에 대하여 거울 대칭되어야만 한다. 어트렉터의 보로노이 셀내의 모든 지점은 다른 어트랙터보다 어트랙터에 근접한다. 클러스터내에 단 하나의 접점만 존재하고, 그 형상이 명확하지 않은 경우에, 상기 할당 알고리듬은 상기 접점을 접점들이 내부에 위치된 보로노이 셀의 어트랙터 지점에 상기 접점을 효과적으로 할당한다. 손 클러스터내에 다수의 표면이 있는 경우에, 그들은 모두 동일한 보로노이 셀내에 놓이게 되며, 그래서, 할당 알고리듬은 반드시 모든 접점 위치를 동시에 헤아릴 수 있는 글로벌 최적화를 수행하여야만 한다.The resulting attractor points lie in one ring as shown by the cross marks in FIG. The identity of the attractor points 371-377 corresponds to the identity of the hand portions 201-207. In the case where the given hand is the left hand, the attractor ring must be mirror symmetric about the vertical axis from that shown in FIG. All points in the attractor's Voronoi cell are closer to the attractor than the other attractors. If there is only one contact in the cluster and its shape is not clear, the assignment algorithm effectively assigns the contact to the attractor point of the Voronoi cell where the contacts are located. If there are multiple surfaces in the hand cluster, they all lie in the same Voronoi cell, so the allocation algorithm must perform global optimization that can count all the contact positions simultaneously.
선택적인 실시예에서는 다른 손 부분에 대하여 부가적인 어트랙터를 포함하거나, 불규칙적 손 형태에 대한 선택적인 어트랙터 배열을 포함할 수 있다. 예로 서, 전방 손바닥 접점을 위한 어트랙터는 링의 중앙에 위치시킬 수 있다. 그러나, 전방 손바닥은 일반적으로 손이 펴진상태로 표면 등에 놓여지지 않는한 표면과 접촉하지 않기 때문에, 전방 손바닥 어트랙터는 접점이 모든 정규 어트랙터도 할당된 상태에서만 그들에 할당되도록 설정되어야 한다.Optional embodiments may include additional attractors for other hand portions, or may include optional attractor arrangements for irregular hand shapes. As an example, the attractor for the front palm contact can be located in the center of the ring. However, since the anterior palm generally does not contact the surface unless it is placed on the surface or the like with the hands open, the anterior palm attractor should be set such that the contact is assigned to them only with all regular attractors also assigned.
최적의 정합 정밀도를 위하여, 링은 손 클러스터상의 대략적 중앙 위치를 유지하여야만 한다. 따라서, 단계 352는 손의 추정 위치 오프셋에 의해 주어진 손에 대하여 모든 어트랙터 지점을 트랜슬레이팅 한다. 상기 최종 어트랙터 위치(Ajx[n], Ajy[n])는 하기와 같이 주어진다.For optimum matching accuracy, the ring must maintain an approximate center position on the hand cluster. Accordingly,
또한, 어트랙터 링의 선택적인 실시예에서는 추정 손가락 오프셋 등의 크기 및 손 회전의 추정치에 의해 크기 설정 또는 회전될 수 있다. 그러나, 잘못된 핑거 오프셋 추정과 식별 오류가 어트랙터 링의 심한 왜곡에 의해 서로 보강되지 않도록 주의하여야만 한다.Further, in alternative embodiments of the attractor ring, the size may be set or rotated by an estimate of hand rotation and the size of the estimated finger offset or the like. However, care must be taken to ensure that incorrect finger offset estimation and identification errors are not augmented with each other by severe distortion of the attracting ring.
일단 어트랙터 형판이 적소에 위치되고나면, 단계 354는 각 활성 접점 경로(Pi)로부터 각 어트랙터 지점(Aj)으로의 표면판에의 거리의 스퀘어 매트릭스[Dij]를 구성한다. 어트랙터보다 표면 접점이 작은 경우에는 각 어트랙터에 대해 거리가 0인 0경로(P0)가 접점에 위치되게 된다. 소정의 거리 매트릭스가 사용될 수 있지만, 하기의 스퀘어드 유클리디언 디스턴스가 적합하며, 그 이유는 소정의 접점 쌍 사이의 각도가 이들 접점에 할당된 어트랙터쌍 사이의 각도에 근접한 양호한 할당을 가질 수 있기 때문이다. 이는 특히 표면에 접촉하는 동안 손가락끝이 서로 교차하지 않는 다는 생물역학적 속박에 대응한다.Once the attracter template is in place,
스텝(356)에 있어서, 각각의 접촉에서 선택된 어트랙터(attractor)들까지의 거리는 주어진 접촉의 기하학적 특성이 어트랙터를 나타내는 핸드부로부터 예측된 것들과 정합하는지의 여부에 따라 가중된다. 엄지손가락 및 손바닥 힐(thumb and palm heels)은 대부분 구별되는 기하학적 특성을 나타내기 때문에, 가중 함수는 엄지손가락 및 손바닥 힐 어트랙터에 대해 계산되고, 손가락팁 어트랙터까지의 거리는 변경되지 않는다. 본 실시예에 있어서, 각각의 가중 함수는 도25에서 대략 구성된 것들과 같은 특성 관계에 대한 여러 요소로 구성된다. 각각의 요소는 그 특성 측정이 구별되는 정보를 제공하지 않을 때 1의 디폴트값을 취하고, 측정된 접촉 특성이 주어진 엄지손가락 또는 손바닥 핸드부와 유일하게 같게 되는 경우에 큰 값을 취하고, 주어진 어트랙터의 핸드부와 일치하지 않는 경우에 작은 값을 취하도록 설계되어 있다. 요소 관계는 선형 함수, 다항식, 직각 삼각 함수, 유리 함수 또는 그들 임의 조합과 같은 조사표로서 다양하게 저장 및 계산될 수 있다. 특성 매치가 양호하게 되는 어트랙터와 접촉 사이의 할당이 가중(승산)된 거리로서 작게 되기 때문에, 거리는 도시된 요소 관계의 역수로 실제 가중된다.In
도25a는 접촉의 꼭 맞는 타원의 방위에 대한 우측 엄지손가락 및 우측 손바 닥 힐 방위 요소를 도시한다. 그들 핸드부의 방위는 약 120。로 경사지고, 손가락팁 및 외부 손바닥 힐 접촉은 통상적으로 수직(90。)에 매우 가깝고, 좌측 엄지손가락 및 좌측 내부 손바닥 힐의 방위는 평균 60。가 된다. 따라서, 우측 방위 요소는 최대 120。에 접근한다. 방위가 항등식이 아닌 0。, 90。 및 180。의 디폴트 값에 접근하고, 반대의 엄지손가락 또는 손바닥 힐의 양호한 방위인 최소 60。에 도달한다. 좌측 엄지손가락 및 내부 손바닥 힐 방위 요소에 대응하는 관계는 약 90。로 된다.25A shows the right thumb and right hand heel heel orientation elements for the orientation of a tight ellipse of contact. The orientation of those hand portions is inclined at about 120 degrees, the fingertip and outer palm heel contact is typically very close to vertical (90 degrees), and the orientation of the left thumb and left inner palm heel is on average 60 degrees. Thus, the right azimuth element approaches a maximum of 120 °. The orientation approaches the default values of 0 °, 90 ° and 180 °, not the identity, and reaches a minimum of 60 ° which is a good orientation of the opposite thumb or palm heel. The relationship corresponding to the left thumb and the inner palm heel orientation element is about 90 °.
도25b는 엄지손가락 사이즈 요소를 도시한 개략도이다. 전체로 표시된 엄지손가락 사이즈가 전형적인 컬 형태의 핑커팁(curled fingertip)의 사이즈의 두 배 또는 3배로 피크되는 경향이 있기 때문에, 엄지손가락 사이즈 요소는 그들 사이즈로 피크된다. 손바닥 힐과는 다르게, 엄지손가락 점점은 디폴트 손가락팁 사이즈의 두 배 또는 3배 보다 훨씬 크게 될 수 없고, 그래서, 엄지손가락 요소는 보다 큰 사이즈에 대해 역으로 하강한다. 임의 핸드부가 매우 미세하게 표면을 터치하거나 터치다운을 바로 시작할 때 작게 나타날 수 있기 때문에, 작은 사이즈는 구별할 수 없고, 그로 인해 사이즈 요소는 매우 작은 접촉에 대해 1로 디폴트된다.25B is a schematic diagram illustrating a thumb size element. The thumb size elements peak at their size, as the thumb size as shown in total tends to peak twice or three times the size of a typical curled fingertip. Unlike the palm heel, the thumb getting cannot be much larger than twice or three times the default fingertip size, so that the thumb element descends against the larger size. Since any hand portion may appear very small when touching the surface or immediately starting the touchdown, the small size is indistinguishable, whereby the size element defaults to 1 for very small contacts.
도25c는 손바닥 힐 사이즈 요소를 개략적으로 도시한 도면이다. 손바닥에 큰 압력이 인가될 때, 손바닥 힐 접촉은 매우 크게 될 수 있고, 나머지는 실행했던 것 처럼 완전히 구형으로 된다. 따라서, 손바닥 힐 사이즈 요소는 손바닥 요소가 무한적으로 증가하는 것에 무관하게 되는 것을 제외하고 엄지손가락 사이즈 요소와 거의 비슷하게 되어 있다. 그러나, 손가락핀 접촉은 손가락이 평탄하게 되는 것만큼 크게 되게 함으로써 증가될 수 있다. 그러나, 손가락 폭이 일정하기 때문에, 증가하는 손가락팁 접촉에 적당한 타원의 편심은 높이에 비례하여 증가한다. 큰 손바닥 요소를 갖는 평면 손가락을 방지하기 위하여, 사이즈 측정은 접촉 편심에 근접한 전체 접촉에 되도록 변경된다. 이는 손바닥에 대해서, 편심이 1 근처에 있게 하는 거이 효과를 일키지 않지만, 평면 손가락팁의 높은 근사치를 제거한다. 비록, 적당한 원심 폭을 직접 이용하여 낮은 해상도 전극 어레이에 대해 보다 덜 정밀하게 되지만, 상술한 비율은 기본적으로 접촉 폭을 포착한다.25C is a schematic illustration of a palm heel size element. When a large pressure is applied to the palm, the palm heel contact can be very large, and the rest is completely spherical as did. Thus, the palm heel size element is about the same as the thumb size element except that the palm element is irrelevant to an infinite increase in palm elements. However, finger pin contact can be increased by making the finger as large as being flat. However, because the finger width is constant, the eccentricity of the ellipse suitable for increasing fingertip contact increases in proportion to the height. In order to prevent flat fingers with large palm elements, the size measurement is changed to be in full contact close to the contact eccentricity. This does not have the effect of keeping the eccentric around 1 for the palm, but removes the high approximation of the flat fingertip. Although the use of a suitable centrifugal width directly results in less precision for low resolution electrode arrays, the ratios described above essentially capture the contact width.
손바닥 힐의 다른 중요한 구별되는 특성은 손목 분석이 서로 분리된 그들 접촉과 수 센티미터로 손가락이 분리된 접촉의 중심을 유지한다는 점이다. 이는 엄지손가락 및 손가락팁의 이어지고, 이는 탄력적인 접촉을 통해 서로 센티미터이내에 이동될 수 있다. 인터-손바닥 분리 특성은 주어진 접촉의 가장 인접한 접촉에 대해 검색하고, 그 이웃의 거리를 측정함으로써 측정된다. 도25d에 개략적으로 도시된 것 처럼, 손바닥 분리 요소는 접촉과 가장 이웃한 부분 사이의 분리가 수 센티미터 아래로 떨어질 때 감소하고, 주어진 접촉( 및 그 가장 이웃한 부분)이 손바닥 힐이 아님을 나타낸다. 사이즈 및 방위 요소와는 달리, 손바닥을 완전히 누르는 핸든의 무게로서 단지 확실시 되고, 손바닥 분리 요소는 작은 접촉이 빛에 대해 아주 동일하게 적용되기 때문에, 인접한 손가락팁의 쌍으로부터 손바닥 힐을 구별하는데 특히 도움이 된다.Another important distinguishing feature of the palm heel is that the wrist analysis maintains the center of the contact separated from each other and the fingers separated by a few centimeters. This is followed by the thumb and fingertip, which can be moved within centimeters of each other through elastic contact. Inter-palm separation properties are measured by searching for the nearest contact of a given contact and measuring the distance of its neighbors. As schematically shown in Fig. 25D, the palm separation element decreases when the separation between the contact and the neighboring portion drops below a few centimeters, indicating that the given contact (and its neighboring portion) is not the palm heel. . Unlike the size and orientation elements, it is only assured as the weight of the hand pressing the palm fully, and the palm separation element is particularly helpful in distinguishing the palm heel from a pair of adjacent fingertips, since the small contact applies exactly the same for light. Becomes
엄지손가락 및 손바닥 무게가 거리 매트릭스에 적용되면, 스텝(358)에서는 각각의 어트랙터와 그 할당된 접촉 사이의 가중된 거리의 합을 최소화하는 접촉과 어트랙터 사이의 1-1 할당을 찾는다. 표기를 위하여, 새로운 매트릭스[cij]는 가중된 거리를 유지한다.If the thumb and palm weights are applied to the distance matrix,
그로 인해, 정수 핸드부 항등식{1,...,7}의 순열을 찾을 때와 같은 산술적으로 최적화되는 상태로 될 수 있다.As a result, it may be in a state that is arithmetically optimized, such as when searching for a permutation of the integer hand portion identity {1, ..., 7}.
여기서, cij는 접촉(i)에서 어트랙터(j)까지의 가중된 거리이고, 접촉(i) 및 어트랙터(j)는 πi=j가 될 때 서로에 할당되는 것이 교려되었다. 할당 문제와 같은 수학적으로 보다 특히 공지된 이러한 조합적인 최적화 문제는 브랜치 및 바운드, 국부 조합적인 검색, Hungarian 방법 또는 네트워크 흐름 분석기와 같은 이미 공지된 여러 수학적인 기술로 효과적으로 해결될 수 있다. 본 기술 분야에 숙련된 사람들은 이러한 형태의 조합적인 최적화 문제가 수학적으로 동등한 이중 표현, 즉 최적오하가 이중 파라미터의 합계의 최대화와 같은 재공식화되는 표현을 갖는다는 점을 알 수 있다. 이중의 어트랙터-접촉 거리 최소화와 같은 상술한 해드부 식별 방법의 재공식화는 본 발명의 범위 내에서 잘 유지되고 있다.Here, cij is a weighted distance from contact i to attractor j, and it is considered that contact i and attractor j are assigned to each other when π i = j. Such combinatorial optimization problems, more particularly known mathematically as allocation problems, can be effectively solved with several well-known mathematical techniques such as branch and bound, local combinatorial search, Hungarian method or network flow analyzer. Those skilled in the art will appreciate that this type of combinatorial optimization problem has a mathematically equivalent double representation, that is, the best error is a reformulated representation such as maximizing the sum of the double parameters. The reformulation of the above-mentioned head identification method, such as minimizing the double attractor-contact distance, is well maintained within the scope of the present invention.
불필요한 계한을 피하기 위하여, 결정 다이아몬드(360)는 주어진 접촉 클러 스터의 손 할당이 손 식별 모듈(247)에 의해 평가되는 임시의 하이포티스만이 존재하는 경우에 스테이지에서 손가락 식별 처리를 종료한다. 그러나, 주어진 손 할당이 최종 양호한 하이포티스가 되는 경우에, 다른 처리는 손가락 식별을 검증하고, 핑커 카운트와 같은 식별 통계치(identity statistics)를 수집한다.To avoid unnecessary limitations, the
상술한 어트랙터 할당 방법에 의해 생성된 식별은 모든 5개의 손가락이 표면을 처치할 때 또는 엄지손가락 및 손바닥 특성이 명백하게 될 때 높게 신뢰할 수 있다. 식별된 핑커팁 접촉에 대한 수평 좌표를 증가하는 상태로 검사하는 것은, 손가락팁 식별이 잘못으로 스왑되는 것을 용이하게 검증한다, 그러나, 단지 2개 내지 4개의 손가락이 터치될 때, 손가락은 엄지손가락 사이즈 및 방위 특성을 나타내지 않고, 최내부 손가락 접촉의 할당은 접촉이 엄지손가락이 되는지의 여부를 잘못 나타낼 수 있다. 이 경우에, 결정 다이아몬드(362)는 엄지손가락 검정 처리(368)를 이용하여, 최내부 손가락 접촉과 다른 손가락들 사이의 다른 측정을 취한다. 이들 다른 측정이 최내부 접촉 식별이 잘못된 것으로 강하게 제시된다면, 엄지손가락 검증 처리는 최내부 손가락 접촉의 할당을 변경시킨다. 손가락 할당이 검증되면, 스텝(364)는 터치되는 손가락팁의 수와 같은 각각의 핸드내의 할당에 대한 통계를 수집하고, 터치되는 손가락 식별을 비트필드한다. 이들 통계는 다른 모듈에 대한 식별 결과의 편리한 개요를 제공한다.The identification generated by the above-mentioned attractor assignment method is highly reliable when all five fingers treat the surface or when the thumb and palm characteristics become apparent. Increasing the horizontal coordinate for the identified pinker tip contact easily verifies that fingertip identification is incorrectly swapped, however, when only two to four fingers are touched, the finger is the size of the thumb. And without indicating azimuth characteristics, the assignment of the innermost finger contact may incorrectly indicate whether the contact is a thumb. In this case, the
도 26에는 엄지손가락 확인 모듈 내에서의 스텝이 도시되어 있다. 제 1 스텝(400)에서는 손가락으로 식별된 다른 접촉에 대해 한 손가락으로 식별된 최내측 접촉에 대한 여러 가지 속도, 분리 및 각도 인수를 계산한다. 이들 경로간 측정은 접촉 식별 순서를 미리 가정하므로, 어트랙터 거리 최소화가 완료될 때까지 접촉 아이덴터티가 알려지지 않기 때문에 어트랙터 거리 가중치로서 쉽게 포함될 수 업다. 아래의 인수 설명을 위해 FI는 최내측 손가락 접촉이고, FN은 다음의 최내측 손가락 접속이며, FO는 최외측 손가락 접촉이다.26 illustrates the steps within the thumb identification module. The
엄지손가락과 집게 손가락의 분리는 종종 손가락 끝간의 분리보다 크지만, 손가락이 펴짐에 따라 모든 분리가 커지는 경향이 있다. 그러므로, 내부 분리 인수(inner_separation_fact)는 다른 인접 손가락 끝 접촉들간의 거리의 평균(avg_separation)에 대한 최내측 및 다음의 최내측 접촉간의 거리의 비로서 정의된다.The separation of the thumb and forefinger is often greater than the separation between the fingertips, but as the fingers spread, all separations tend to grow. Therefore, the inner separation factor inner_separation_fact is defined as the ratio of the distance between the innermost and next innermost contact to the average (avg_separation) of the distances between other adjacent fingertip contacts.
상기 인수는 엄지손가락 또는 집게 손가락이 최내측 터치 손가락인지에 관계없이 평균 이하의 최내측 분리가 발생할 수 있으므로 1 이상이 되도록 클리핑된다. 2 개 이상의 손가락 접촉만이 존재하는 경우에는, 2 - 3 cm의 디폴트 평균 분리가 사용된다. 상기 인수는 최내측 접촉이 실제로 엄지손가락이면 1 이상이 되는 경향이 있지만, 최내측 접속이 손가락 끝인 경우에는 거의 1로 유지된다.The factor is clipped to be greater than or equal to 1 since sub-average innermost separation may occur regardless of whether the thumb or index finger is the innermost touch finger. If only two or more finger contacts are present, a default mean separation of 2-3 cm is used. The factor tends to be one or more if the innermost contact is actually a thumb, but remains nearly one if the innermost contact is a fingertip.
상기 손가락이 주먹진 때를 제외하고 상기 엄지손가락은 손가락 끝보다 더욱 앞쪽으로 이동하지 않게 되므로, 최내측 손가락 접촉과 최외측 손가락 접촉간의 각도는 상기 최내측 손가락 접촉이 엄지손가락인지를 지시하는데 도움이 될 수 있다. 오른손의 경우에, 엄지손가락이 손바닥 아래에 있을 때와 같이 엄지손가락이 앞쪽 으로 120°이동하더라도 엄지손가락으로부터 집게 손가락으로의 벡터의 각도는 거의 60°이다. 이것은 60°에서 피크이고 0°와 120°쪽으로 0에 접근하는 도 32의 내각 인수의 대략적인 플롯에 반영된다. 상기 최내측 손가락 접촉이 실제로 집게 손가락 끝이면, 최내측 접촉과 다음 최내측 접촉 사이에서 측정된 각도는 30°와 -60°사이로 되게 되며, 이에 따라 매우 작은 각도 인수가 생성된다.Since the thumb does not move further forward than the tip of the finger except when the finger is punched, the angle between the innermost finger contact and the outermost finger contact helps indicate whether the innermost finger contact is the thumb. Can be. In the case of the right hand, the angle of the vector from the thumb to the forefinger is almost 60 ° even if the thumb moves forward 120 °, such as when the thumb is under the palm of the hand. This is reflected in the approximate plot of the Cabinet factor of FIG. 32 peaking at 60 ° and approaching 0 towards 0 ° and 120 °. If the innermost finger contact is actually the tip of the index finger, the angle measured between the innermost contact and the next innermost contact is between 30 ° and -60 °, resulting in a very small angle factor.
내부 분할 및 각도 인수는 엄지손가락 자세를 정확하게 구별하지만, 사용자는 손 스케일링이나 회전 제스쳐를 수행할 때 종종 위에서 언급한 분할 및 각도 범위를 초과하게 된다. 예컨대, 안티 핀치 제스쳐 동안에, 엄지손가락은 집게 손가락 끝 또는 가운데 손가락 끝에 대해 핀치되기 시작할 수 있지만, 엄지손가락 및 손가락 끝은 서로 슬라이딩하여 멀어지게 된다. 이는 내부 분할 인수가 제스처의 시작시 상대적으로 작아지게 한다. 유사하게, 엄지손가락-집게 손가락 각도는 손의 회전 동작의 시작 또는 끝에서 내부 각도 인수에 의해 기대된 범위를 초과할 수도 있고, 여기서 손가락은 나사의 돌림처럼 회전한다. 보상을 위해, 내부 분리 및 각도 인수는 엄지손가락과 손가락 끝 사이의 지점에 중심을 둔 대칭 손가락 스케일링 또는 회전에 대해 선택적인 확장 및 회전 인수와 퍼지 OR된다.Internal segmentation and angle factors accurately distinguish thumb posture, but users often exceed the segmentation and angular ranges mentioned above when performing hand scaling or rotation gestures. For example, during an anti-pinch gesture, the thumb may begin to pinch against the tip of the index finger or the middle finger, but the thumb and finger tip slide away from each other. This causes the internal splitting factor to be relatively small at the start of the gesture. Similarly, the thumb-forefinger angle may exceed the range expected by the internal angle factor at the beginning or end of the hand's rotational motion, where the finger rotates like a screw's turning. For compensation, the internal separation and angle factors are fuzzy ORed with the optional expansion and rotation factors for symmetric finger scaling or rotation centered at the point between the thumb and finger tip.
다음의 근사 방정식에 의해 정의될 때, 확장 인수는 최내측 손가락 접촉과 최외측 손가락 접촉이 대략 동일한 속도로 그리고 이들 사이의 벡터에 평행한 반대 방향으로 슬라이드함에 따라 피크로 된다.When defined by the following approximation equation, the expansion factor peaks as the innermost and outermost finger contacts slide at approximately the same speed and in opposite directions parallel to the vectors between them.
여기서 ∠(FI[n], FO[n])은 손들 사이의 각도이다.Where FI (n [n], FO [n]) is the angle between the hands.
동일 방향으로의 두 손가락의 병진 운동은 최대 동작에 의해 제로로 클리핑된 음의 인수 값을 생성한다. 최내측 및 최외측 속도의 산술 평균 이외의 기하학의 계산은 두 접촉의 속도가 높을 때만 큰 확장 인수를 생성함으로써 선택성에 도움을 준다.Translation of two fingers in the same direction produces a negative argument value clipped to zero by the maximum motion. The calculation of geometry other than the arithmetic mean of the innermost and outermost velocities helps selectivity by generating large expansion factors only when the velocity of the two contacts is high.
회전 인수도 매우 선택적이어야 한다. 회전 인수가 상기 최내측 손가락과 최외측 손가락 사이의 각도의 변화에 비례하면, 최외측 손가락이 정지된 동안에 최내측 손가락이 아래로 병진운동하기 시작할 때와 같이 손가락 운동의 비대칭성에 응답하여 회전 인수가 잘못하여 커지게 된다. 보다 선택적이 되도록, 상기 회전 인수는 엄지손가락과 손가락 끝 사이의 가상 피봇을 중심으로 대칭 회전해야 한다. 하기의 근사 회전 인수 방정식은 상기 최내측 및 최외측 손가락이 반대 방향으로 이동함에 따라 피크로 되지만, 이 경우에 상기 접촉은 이들 간의 벡터에 수직으로 이동해야 한다:The rotation factor should also be very optional. If the rotation factor is proportional to the change in angle between the innermost finger and the outermost finger, then the rotation factor is responsive to the asymmetry of the finger motion, such as when the innermost finger starts to translate downward while the outermost finger is stationary. It gets bigger by mistake. To be more selective, the rotation factor should rotate symmetrically about the virtual pivot between thumb and fingertip. The following approximate rotation factor equation peaks as the innermost and outermost fingers move in opposite directions, but in this case the contact must move perpendicular to the vector between them:
이 회전 인수를 최대화하는 이동은 엄지손가락과 다른 손가락 사이에서 수행되기는 싶지만, 두 손가락 끝 사이에서 수행되기는 어렵기 때문에, 상기 회전 인수는 엄지손가락의 존재의 강력한 지시기이다.The rotation factor is a powerful indicator of the presence of the thumb, since the movement that maximizes this rotation factor may be performed between the thumb and the other finger, but difficult to perform between the two fingertips.
마지막으로, 퍼지 논리식(스텝 402)은 최내측 손가락 접촉과 다음의 최내측 손가락 접촉에 대해 이들 접촉간 인수와 엄지손가락 특징을 조합한다. 바람직한 실시예에서, combined_thumb_fact에 대한 이 퍼지 논리식은 다음의 형태를 취한다:Finally, fuzzy logic (step 402) combines these inter-contact factors and thumb features for the innermost finger contact and the next innermost finger contact. In a preferred embodiment, this fuzzy logic for combined_thumb_fact takes the following form:
이 식의 특징 인수비는 최내측 접촉의 특징을 손가락 끝인 것으로 이미 알려진 다음의 최내측 접촉의 현재 특징을 비교하는 시도를 한다. 상기 최내측 접촉이 또한 손가락 끝이면, 그 특징은 다음의 최내측 손가락과 유사해야 하며, 이에 따라 상기 비는 거의 1로 유지된다. 하지만, 최내측 접촉에 대한 엄지손가락형 특징에 의해 상기 비가 커진다. 그러므로, 조합된 엄지손가락 인수가 높은 임계치를 초과하면, 판단부(404)는 최내측 손가락 접촉이 엄지손가락인 것으로 결정한다. 판단부(412)에서 상기 접촉이 엄지손가락 어트랙터(412)에 이미 할당되지 않은 것으로 결정하면, 스텝(414)은 어트랙터 링 상에서 안쪽의 접촉 할당을 엄지손가락 어트랙터로 시프트시킨다. 판단부(406)에서 조합된 엄지손가락 인수가 낮은 임계치 이하 인 것으로 결정하면, 최내측 접촉은 엄지손가락이 아닌 것으로 된다. 그러므로, 판단부(408)가 엄지손가락 어트랙터에 할당된 접촉을 발견하면, 스텝(410)은 엄지손가락 어트랙터를 언필하기 위하여 최내측 접촉 배열 및 인접 손가락 접촉을 어트랙터 링 상에서 바깥쪽으로 시프트시킨다. combined_thumb_fact가 하이 임계치와 로우 임계치 사이에 있거나 기존의 할당이 임계치 판단부와 일치하면, 스텝 413은 할당 변화를 만들지 않는다.The feature factor ratio of this equation attempts to compare the feature of the innermost contact to the current feature of the next innermost contact that is already known to be a fingertip. If the innermost contact is also the fingertip, the feature should be similar to the next innermost finger, so the ratio is maintained at about one. However, the ratio is large due to the thumb features for the innermost contact. Therefore, if the combined thumb factor exceeds the high threshold, the
식별을 보조하기 위하여 여기에 도입된 손 접촉 특징 및 상호 관계는 본 발명의 범위에 속하는 여러 가지 다른 방법으로 측정 및 조합될 수 있다. 상승된 터치 둔감형 손바닥 판, 손바닥 인식 및 그 필수적 어트랙터를 포함하고 있는 멀티터치 표면 장치의 다른 실시예에서, 인수는 제거될 수 있다. 기하학적 파라미터는 손이 펴진 동안에 개별적인 사용자 손 크기의 측정에 최적으로 적응될 수 있다. 하지만, 어트랙터 기초 식별 방법은 성인의 손 크기의 변화보다 큰 손가락 만곡 및 폄으로 인한 한 사람의 손가락 위치의 변화를 허용한다. 그러므로, 사람의 평균 손가락 및 손바닥 끝에의 엄지손가락 및 손바닥 크기 인수의 적응은 개별적인 손가락 길이에의 어트랙터 위치의 적응보다 중요하며, 이는 마진 성능 개선을 추가할 뿐이다.The hand contact features and interrelationships introduced herein to aid identification can be measured and combined in various other ways that fall within the scope of the present invention. In other embodiments of a multi-touch surface device that includes an elevated touch insensitive palm plate, palm recognition, and its essential attractors, the factor may be eliminated. Geometrical parameters can be optimally adapted to the measurement of the individual user's hand size while the hand is stretched. However, the attractor-based identification method allows for a change in the position of one person's finger due to finger curvature and pinching greater than a change in the size of an adult's hand. Therefore, adaptation of the thumb and palm size factors to the average finger and palm tip of a person is more important than adaptation of attractor position to individual finger lengths, which only adds margin performance improvement.
이러한 특성 및 관련을 손 접촉 식별자로 통합하기 위한 대안적인 방법의 다른 실시예로서, 도 27은 어트렉터 템플레이트(attractor template)를 포함하지 않는 대안적인 손까락 식별 실시예를 다이어그램한다. 소정의 손(430) 내의 손바닥 및 손까락 접촉으로부터의 경로를 지시하기 위해, 단계(432)는 각각의 접촉으로부 터 다른 접촉까지의 거리의 2차원 매트릭스를 구성한다. 단계(434)에서, 네트워크 흐름 최적화의 이론 으로부터 널리 공지된 최단 경로 알고리즘은 모든 접촉 경로를 연결하고 434단계를 각각 한번씩 통과하는 최단 그래프 싸이클을 찾는다. 손 접촉이 링에 놓여있는 경향이 있으므로, 이 최단 그래프 싸이클은 인접 접촉을 연결하는 경향이 있어, 이들을 위해 센스가능한 명령을 개설한다.As another embodiment of an alternative method for incorporating these features and associations into a hand contact identifier, FIG. 27 diagrams an alternative finger identification embodiment that does not include an attractor template. To indicate a path from palm and fore finger contact within a given
다음 단계(438)는 가장 안 또는 가장 바깥과 같은 링안의 극단 위치에서 접촉을 잡아내고, 이것이 엄지[결정 다이아몬드(440)] 또는 손바닥[결정 다이아몬드(442)]인지의 여부를 테스트한다. 이것은 엄지 확인 처리와 어트렉터 무게측정에서 활용되는 것과 유사한 퍼지 논리 표현과 접촉 특성을 사용하여 이루어질 수 있다. 만약 최안쪽의 경로가 엄지이면, 단계(444)는 위의 접촉은 그의 손까락 끝과 유사하다고 결정하고, 엄지 아래의 링 안의 접촉은 그의 손바닥과 같다고 결정한다. 만약(442) 최안 경로가 손바닥 휠이면, 단계(446)는 최안보다 상당히 위인 경로는 틀림없이 손까락이고 같은 수직 레벨의 경로는 손바닥임을 결정한다. 엄지 및 손바닥 테스트는 링에서 최안(innermost)에 인접한 접촉을 위해 다른 엄지 또는 손바닥 접촉이 발견될 때 까지 반복된다. 어떤 엄지 및 손바닥 접촉이 확인되면, 단계(448)는 링에서의 그들의 각각의 명령과 그들의 상대적으로 높은 수직 위치로 남아있는 손까락 끝 접촉을 확인한다.The
이 대안적인 알고리즘이 관련된 위치에 압박을 부가하기 위해 어트렉터 템플레이트를 포함하지 않기 때문에, 각각의 접촉에 대한 퍼지 식별 기능은 링의 다른 접촉 및 평가된 손 오프셋에 관련된 접촉의 수직 위치의 측정을 포함하는 것이 필 요할 수 있다. 어트렉터 템플레이트 구현은 이 대안적인 구현에서 양호한데, 이것은 어트렉터 구현이 접촉과 평가된 손 오프셋 사이의 예상된 각도를 손까락 식별 프로세스로 더욱 우수하게 통합하기 때문이다.Since this alternative algorithm does not include an attractor template to apply pressure to the associated position, the fuzzy identification function for each contact includes the measurement of the vertical position of the contact relative to the other contact of the ring and the estimated hand offset. It may be necessary. The attractor template implementation is good in this alternative implementation, since the attractor implementation better integrates the expected angle between contact and estimated hand offset into the finger identification process.
손 식별은 양손을 동시에 수용할 수 있을 정도로 크고 결합된 표면의 왼쪽 및 오른쪽 반을 갖는 멀티터치 표면이 필요하며, 그래서 손은 중앙을 가로질러 양 표면의 반을 자유로이 방랑할 수 있다. 이 간단한 손 식별 방법은 접촉이 표면의 왼쪽 또는 오른쪽 반에 최초로 터치 다운되었는지에 따라 각각의 접촉에 손 식별을 할당할 수 있다. 그러나, 손이 중앙, 왼쪽과 오른쪽 양쪽에 터치 다운되면, 일부 손의 접촉은 왼쪽 손로 할당된 끝(end up)일 것이고 다른 것은 오른쪽 손일 것이다. 그러므로 손 접촉의 특성을 모으는 것을 고려하는 더욱 정교한 방법은 같은 식별을 갖는 같은 손으로부터의 모든 접촉을 보장하기 위해 적용되어야한다. 모든 표면 접촉이 초기적으로 확인되면, 모듈을 갖는 경로는 표면의 한 면으로부터 다른 면으로의 손 미끄러짐으로서의 존재하는 동일성을 믿을만하게 보유할 수 있다.Hand identification requires a multi-touch surface that is large enough to accommodate both hands simultaneously and has a left and right half of the combined surface, so that the hand can freely wander half of both surfaces across the center. This simple hand identification method can assign hand identification to each contact depending on whether the contact was first touched down on the left or right half of the surface. However, if the hand is touched down both in the middle, left and right, the contact of some hands will be end up assigned to the left hand and the other will be the right hand. Therefore, a more sophisticated method of considering collecting the characteristics of hand contact should be applied to ensure all contacts from the same hand with the same identification. Once all surface contacts have been identified initially, the path with the module can reliably retain the existing identity as hand sliding from one side of the surface to the other.
엄지 및 내부 손바닥 접촉 방향 및 관련된 엄지 위치는 왼쪽 손 접촉의 클러스터로부터 오른 손 접촉의 단일 클러스터를 구별하는 클러스터의 위치와 독립적인 유일한 접촉 특성이다. 엄지가 표면을 떠나면, 오른 손 접촉 클러스터가 왼손 클러스터로부터 그의 구별되지 않게 나타난다. 이경우에 클러스터 식별은 클러스터가 어떤 보드의 면에서 출발하였는지에 상당히 여전히 의존해야 하지만, 최근에 근처를 떠난 접촉의 식별은 유용하다. 예를 들어, 오른 손이 왼쪽에서 표면의 중앙으로 이동하고 떠나버린다면, 중앙에 나타나는 다음의 접촉은 다시 터치 다운하는 오른 손으로부터일 것이며, 중앙으로 움직이고 오른손을 떠나게하는 왼손으로부터가 아닐 것이다. 그러므로, 표면의 왼쪽과 오른쪽의 반 사이의 분할은 어떤 손이 가장 최근에 중앙 근처에 있었는지에 따라 오른쪽 또는 왼쪽으로 이동하면서 동적이어야 한다. 손 오프셋 평가는 떠난 후의 마지막 알려진 손 위치를 일시적으로 보유하기 때문에, 그러한 동적 분할은 왼손 및 오른손 어트렉터 템플레이트의 위치를 평가된 손 위치로 구속하여 구현된다.The thumb and inner palm contact direction and associated thumb position is the only contact characteristic independent of the position of the cluster that distinguishes a single cluster of right hand contact from the cluster of left hand contact. When the thumb leaves the surface, the right hand contact cluster appears indistinguishable from the left hand cluster. In this case, cluster identification should still be quite dependent on which board side the cluster originated from, but identification of recently departed contacts is useful. For example, if the right hand moves from the left to the center of the surface and leaves, the next contact that appears at the center will be from the right hand touching again, not from the left hand moving to the center and leaving the right hand. Therefore, the split between the left and right halves of the surface must be dynamic, moving to the right or left depending on which hand was most recently near the center. Since the hand offset assessment temporarily retains the last known hand position after leaving, such dynamic segmentation is implemented by constraining the positions of the left and right hand attractor templates to the evaluated hand positions.
비록 사용자가 예상못한 위치에 손을 갑자기 위치시켜 손 식별 시스템을 망칠수 있는 경우가 존재하지만, 사용자는 실제적으로 이런 경우에 시스템을 이 시스템을 망치고자 할 것이다. 예를 들어, 표면을 사용하기에 단지 한손만이 자유로운 사용자가 반대 손의 코드(chord) 입력 동작을 엑세스하기 위해 표면의 반대의 반 위에 멀리 손을 의도적으로 위치시킬수 있을 것이다. 그러므로, 갑자기 손 클러스터가 표면의 반대의 반에 잘 터치 다운될 때, 이것은 반대의 반의 동일성을 그것의 진실한 동일성과 무관하게 안전하게 받을 수 있다. 중앙을 가로질러 표면을 아치형으로 하는 것은 사용자가 그렇게 해야할 무딘 팔 뚝 내전(forearm pronation)을 발생시키며 사용자가 손을 반대 면으로 슬라이딩하지 못하도록 할 수 있다.Although there are cases where the user can ruin the hand identification system by suddenly placing the hand in an unexpected position, the user will actually try to ruin the system in this case. For example, a user who is only free to use the surface may intentionally place the hand away on the opposite half of the surface to access the chord input operation of the opposite hand. Therefore, when the hand cluster suddenly touches down well to the opposite half of the surface, it can safely receive the opposite half's identity irrespective of its true identity. Arching the surface across the center creates a dull forearm pronation that the user must do so and prevents the user from sliding his hand to the opposite side.
도 29는 손 식별 모듈(247) 내의 상세한 프로세서를 도시한다. 결정 다이아몬드(450)는 먼저 실제로 손 식별 알고리즘이 모든 경로 근처가 안정되었는지를 체킹하여 실행되어야할 필요성이 있는지를 결정한다. 식별의 안정성을 최소화하기 위해, 손 및 손까락 동일성은 새로운 손 부분이 터치 다운되거나 현존하는 접촉의 모호하지 않은 특성이 강해지면, 단지 다시 평가되는 것이 필요하다. 접촉 크기 및 방향 특성은 초기 표면 접촉후에 몇 다스 밀리 초에 표면에 대해 플레쉬(flesh)가 완전히 압축할 때까지 신뢰할 수 없다. 그러므로, 결정 다이아몬드(450)는 새로운 접촉이 나타나는 각각의 인접 영상와 어떤 새로운 접촉의 종합 근처가 증가를 계속하는 후속 근처 영상에 대해 손 식별 알고리즘을 수행한다. 현존 접촉의 근처가 안정되고 새로운 접촉이 없는 영상에 대해, 경로 추적 프로세스(245)에 의해 수행된 경로 연속이 이전의 영상로부터 계산된 접촉 식별을 보유하고 확장(단계 452)하기에 충분하다.29 shows a detailed processor within
손 식별 알고리즘이 현재 영상에 대해 야기되어야 하는가에 대해, 제 1 단계(453)은 왼 및 오른 손 어트렉터 템플레이트를 위치하고 정의 한다. 이것은 현재 동시에 사용되어야하는 두 왼 및 오른 링을 제외하고, 손-안의 식별에 사용된 어트렉터 템플레이트(도 24의 단계 352)와 근본적으로 같아야한다. 서로서로에 관하여 링의 디폴트 위치는 도 20a에 도시된 디폴트 왼 및 오른 손 접촉 위치에 대응해야 한다. 각각의 링은 도 20b의 손을 따르는 슬로피(sloppy) 세크먼테이션 영역과 같은 그것의 손의 평가된 위치를 따르도록 해석된다. 개별적인 어트렉터 포인트는 그들의 대응하는 평가된 손까락 오프셋에 의해 안전하게 해석될 수 있다. 그로므로, 왼손(L) 및 오른손(R) 어트렉터 링에 대한 최종 어트렉터 위치(Ajx[n], Ajy[n])는 아래와 같다.As to whether a hand identification algorithm should be caused for the current image, the
근본적으로 손 식별 알고리즘은 할당 접촉의 비용을 다른 하나 대 하나의 링에서의 어트렉터에 비교할 것이며, 위의 비용은 각각의 접촉과 그것의 할당된 어트렉터 사이의 가중된 거리의 합에 의존한다. 평가된 손 및 손까락 옵션으로 어트렉터 링을 조정하는 것은 손이 일시적으로 떠난 때도 연속적인 근처 영상을 가로질러 식별을 안정하게 돕고, 최근의 손 할당과 닮은 할당 가설을 위한 관련된 비용을 낮춘다.Fundamentally, the hand identification algorithm will compare the cost of an assignment contact to an attractor in one to one ring, the cost of which depends on the sum of the weighted distances between each contact and its assigned attractor. Adjusting the attractor ring with the assessed hand and fore finger options helps to identify identification across successive nearby images even when the hand temporarily leaves, and lowers the associated costs for an assignment hypothesis resembling recent hand assignments.
다음으로 할당 가설의 세트는 반드시 생성되고 비교되어야한다. 센스 가능한 가설을 생성하기 위한 가장 효과적인 방법은 각각의 수평적으로 인접한 접촉 사이의 거친 수직 윤각 라인의 세트를 정의하는 것이다. 단계(454)는 그들 수평 좌표에 의해 모든 표면 접촉을 순서화하고, 인접한 수평 좌표의 각각의 쌍 사이의 중간의 수직 외형을 설정하는 것에 의해 실행된다. 도30a 내지 도30c는 접촉의 고정된 세트에 대한 그들 관현된 할당 하이포시스와 3개의 상이한 외형(475)의 예를 도시한 도면이다. 각각의 외형은 구획으로서 이미 공지된 분리 하이포시스에 대응하는데, 여기서, 외형의 좌측(476)에 대한 모든 접촉은 외손으로부터 이루어지고, 외형의 우측(477)에 대한 모든 접촉은 오른손으로부터 이루어진다. 외형은 동일한 손으로부터 표면상의 모든 접촉이 이루어지는 하이포시스를 다루기 위한 표면의 좌우측 단부에서 필요하게 된다. 단일 손에 의해 야기될 수 있는 주어진 손 이외의 모든 접촉의 하이포시스화하는 외형은 바로 제거될 수 있다.Next, a set of assignment hypotheses must be generated and compared. The most effective way to generate a senseable hypothesis is to define a set of coarse vertical wheel angle lines between each horizontally adjacent contact. Step 454 is performed by ordering all surface contacts by their horizontal coordinates, and setting the intermediate vertical appearance between each pair of adjacent horizontal coordinates. 30A-30C show examples of their observed assigned hypotheses and three
수직 외형을 통한 구획의 생성은 모든 하이포시스를 회피하는데, 여기서, 하나의 손의 접촉은 반대 손의 접촉을 수평으로 오버랩하거나 횡단하게 된다. 각각의 손이 7개 이상의 유일한 접촉을 일으킬 수 있는 것을 고려하면, 이는 천개에서 모든 다즈로 심사하기 위하여 손 식별 변경의 수를 감소한다. 심사를 위한 하이포시스을 적게하면, 각각의 구획의 평가는 훨씬 더 정교하게 될 수 있고, 필요하다면 계산적으로 저렴하게 될 수 있다.The creation of the compartments through the vertical contours avoids all hypopsis, where the contact of one hand horizontally overlaps or traverses the contact of the opposite hand. Given that each hand can cause seven or more unique contacts, this reduces the number of hand identification changes to screen from canopy to every dods. With fewer hypotheses for the audit, the evaluation of each compartment can be much more sophisticated and computationally inexpensive if necessary.
최적화 검색 루프는 다음과 같다. 본 목적은 각각의 클러스터내의 접촉들의 배열과 클러스터 위치들이 이미 공지된 해부학상 및 생물학적 제한을 최적으로 만족하도록 두 개의 접촉 클러스터로 접촉들을 분할하는 외형을 결정하는 것이다. 최적화는 최좌측과 같은 제 1 외형 분할기를 픽업[단계(456)]하고, 오른손에 대한 여분과 왼손에 대한 외형의 좌측에 대한 어떠한 접촉을 임시로 할당[단계(458)]하여 시작한다. 단계(460)는 각각의 손내의 접촉에 대한 손가락 및 손바닥 식별에 대해 시도하는 도23의 손가락 식별 알고리즘을 포함한다, 결정 다이어몬드(360)은 임시 할당 하이포시스에 대한 통계 수집(364) 및 엄지손가락 검증(368)의 계산적 비용을 회피한다.The optimization search loop is as follows. The object is to determine the appearance of dividing the contacts into two contact clusters such that the arrangement of the contacts within each cluster and the cluster positions optimally meet known anatomical and biological limitations. The optimization begins by picking up a first contour divider, such as the leftmost (step 456), and temporarily assigning some contact to the left of the contour for the left hand and the left for the left hand (step 458). Step 460 includes the finger identification algorithm of FIG. 23 that attempts to identify finger and palm identification for contact within each hand. The computational cost of
도 29로 돌아가서, 스텝(462)은 부분의 값을 계산한다. 이 값은 얼마나 잘 시험적으로 인식된 접촉이 할당된 어트렉터 링과 얼마나 잘 맞는지, 부분이 얼마나 잘 손바닥에서 분리되어있는 제약들 사이에서 잘 만나는 지를 평가한다. 이것은 엄 지손가락과 손바닥의 어트렉터의 크기 및 원래의 모양 팩터를 포함하는 손가락 인식 식(54)으로서, 할당된 어트렉트 포인트로 각각 시험적으로 인식된 접촉으로 붙어 거리의 조정한 합을 캐치 핸드(cach hand)로 계산함으로서 수행된다. 이 합은 손의 값과 맞는 기초적인 주형이다. 각각의 손의 값은 그러므로 클러칭한 속도, 손, 및 손바닥 유대 팩터와의 반비례에 의해 가중된다. 이러한 팩터는 아래에서 설명된 것처럼 가중된 어트렉터 거리에 의해 강조되지 않은 제약의 추가를 의미한다. 마지막으로 가중된 왼쪽과 오른쪽 손의 값은 같이 첨가되고, 부분의 총 값을 구하기 위해서 손의 분리 팩터의 반비례에 의해 스케일 된다.Returning to FIG. 29,
만약 결정 다이아몬드(decision diamond)가 여태까지 계산된(464) 부분의 총 값 보다 낮다면, 단계(466)는 가장 낮은 부분의 값을 기록하고, 분리된 윤곽을 기록한다. 결정 다이아몬드(472)는 모든 부분의 값이 계산될 때까지 각각의 윤곽(470)마다 이 프로세스를 반복 할 것이다. 스텝(473)은 실제의 손의 부분(473)으로서 전체의 가장 낮은 값을 갖은 부분을 선택하고, 모든 접촉 경로를 통한 손의 인식은 따라서 업데이트된다. 그러므로 스텝(474)은 손안에서 손가락 접촉 인식 프로세스를 reinvokes 하고, 그러므로 손바닥의 불일치와 통계적인 모음 프로세스는 실제의 손의 할당을 이용하여 수행된다.If the decision diamond is lower than the total value of the portion calculated so far (464), step 466 records the value of the lowest portion and records the separated contour.
예를 들면 표면의 오른쪽의 슬라이드로부터 들어올리거나, 중심의 가운데에서 뒤쪽을 끌어내리고, 오른쪽 앞쪽으로 슬라이딩을 다시 시작하는 것처럼 ,사용자는 자주 오른손으로 클러칭 모션(clutching motion)을 취한다. 그러므로, 손이 표면의 가운데를 집거나, 한 쪽 면의 앞쪽으로 민다면, 이것은 그 면으로부터 온 것 이다. 손의 속도 팩터는 도 3에서 적절히 좌표로 나타내어지고, 손의 클러스터 상수가 보드의 클러스터의 할당된 면의 앞쪽으로 움직일 때 미세하게 증가되는 값에 의해 이 현상은 증가되고, 그러므로 손의 기본 값은 감소한다. 팩터는 수평속도와 접촉하는 평균 함수이고 표면의 한 면은 할당된 클러스터가 주어진다. 높은 스피드는 더 강한 인식을 하는데 필수적이지 않으므로, 팩터는 적당한 스피드에서 충분히 획득된다. 표면의 중앙의 모호한 부분의 손바닥이 놓여있을 때로부터 손바닥의 오리엔테이션 팩터가 손바닥을 인식하게 도와줬음에도 불구하고, 손바닥의 수직 위치 또한 손의 정확한 인식을 주는 같은 손안에 다른 손가락과의 관련 있다. 손바닥은 손가락 끝보다 훨씬 아래에 위치하는 경향이지만, 핑키(pinky)는 다른 손가락 끝보다 겨우 조금 아래에 있는 경향이 있다. 도 31b에 대략적으로 구상된, 손 팩터는 가장 바깥쪽의 손가락 끝이 그 다음 바깥쪽에 있는 손가락 끝의 접촉보다 2 센티미터 정도 낮게 접촉하게 인식되었을 때 손 값의 부스팅(boosting)에 의해 이 제약의 이점을 갖는다. 클러스터 안에서 모든 접촉에 대응하는 시험적인 손의 경우에는 거의 틀리다. 이유가 손안에서 틀린 어트렉터 링에 대한 접촉이 맞는 인식 알고리즘이기 때문에, 필경 낮춰진 핑키는 진실로 맞은편 손의 낮춰진 손바닥이라는 것과 같은 손가락 인식은 반전된다. 유감스럽게도, 제한된 신뢰가 잘 쓰는 손 팩터에 배속될 수 있다. 핑키는 손바닥만큼 낮춰져서 나타나야 한다고 생각되고, 맞은편 손의 손가락과 바깥쪽 손바닥에 의해, 같은 접촉 배열을 가진 바깥쪽의 손바닥의 언덕은 손의 손바닥과 손가락 끝의 모호함을 만든다. 이 모호함은 손 팩터가 정확히 인식된 손 클러스터에 대하여 부정적으로 낮은 이유가 되고, 손 팩터는 오직 손 위치가 모호할 때 표면의 중간에서만 이용된다. The user often takes clutching motions with his right hand, for example by lifting from a slide on the right side of the surface, pulling back in the middle of the center, and resuming sliding forward to the right. Therefore, if the hand picks up the middle of the surface or pushes forward on one side, it is from that side. The speed factor of the hand is properly coordinated in FIG. 3, and this phenomenon is increased by a value that is slightly increased as the cluster constant of the hand moves forward of the assigned face of the cluster of the board, so the basic value of the hand is Decreases. The factor is the average function of contact with the horizontal velocity and one side of the surface is given the assigned cluster. Higher speeds are not essential for stronger perception, so the factor is sufficiently obtained at moderate speeds. The vertical position of the palm is also related to the other finger in the same hand, giving the correct recognition of the hand, even though the orientation factor of the palm helped to recognize the palm from when the palm of the middle ambiguity of the surface was placed. Palms tend to be far below the tip of the finger, but pinky tends to be just a little below the tip of the other. Roughly envisioned in FIG. 31B, the hand factor benefits from this constraint by boosting the hand value when the outermost fingertip is recognized to be about 2 centimeters lower than the touch of the next outer fingertip. Has The test hand corresponding to all contacts in the cluster is almost wrong. Because the reason is that the contact with the wrong attractor ring in the hand is the correct recognition algorithm, then finger recognition, like lowered pinky is truly the lowered palm of the opposite hand, is reversed. Unfortunately, limited trust can be attributed to a good hand factor. Pinky is thought to appear as low as the palm, and by the fingers of the opposite hand and the outer palm, the hills of the outer palm with the same contact arrangement create the ambiguity of the palm of the hand and the tip of the finger. This ambiguity is the reason that the hand factor is negatively low for the correctly recognized hand cluster, and the hand factor is only used in the middle of the surface when the hand position is ambiguous.
손가락이 바깥으로 뻗었을 때, 같은 손의 핑키와 손바닥이 20 cm 정도 스페닝 했을 때 , 클러스터는 상당히 드물고 크다는 것 때문에 , 구분 접촉 클러스터는 시도된다. 어떻든, 손바닥은 비교적으로 작게 확장되고, 같은 손안에서 얼마나 멀리 손바닥 언덕과 앞쪽 손바닥이 접촉에서 떨어졌는지 유용한 정보를 담고있다. 바깥으로 뻗은 성인의 손바닥의 중앙은 약 10cm의 사각형이고, 그러므로 손바닥 접촉 중심은 8cm 보다 큰 영역에서 스케터 되어서는 안 된다. 부분이 부당하게 클러스터 안에 반대쪽의 손이 포함되었다면, 클러스터 안의 인식 알고리즘은 손바닥 언덕 및 앞쪽 손바닥 어트렉터의 반대 손으로부터 여분이 손을 할당하는 경향이 있다. 이것은 일반적으로 더 넓은 표면을 지나 스케터되기 위해 접촉이 클러스터 어트렉터를 할당하는 이유고, 그리고 한쪽 손으로부터 진짜 손바닥의 접촉이 그럴듯해진다. 이러한 부분을 처리하고, 손바닥 상수는 8cm 이상의 영역에서 스케터 된다는 가정 하에서, 손바닥 제약 상수는 실험적이 손 클러스터 아래로 급속히 떨어진다. 그러므로, 이것의 반비례는 급격하게 증가된다. 도 31c 는 손바닥 상수 사이의 수평 분할에 대조하여 손바닥 유대 팩터의 값을 보여준다. 수평분산은 손바닥의 언덕과 앞쪽 손바닥으로서 인식된 최대 및 최소 수평적 대등함 및 최대와 최소치 사이의 차이를 찾음으로서 효과적으로 측정된다. 측정과 팩터 값은 수직 분산에 의해 반복되고, 수직 및 수평 팩터는 마지막 손바닥 유대 팩터를 획득하기 위해서 증대하게 조합된다.When the fingers extend out, when the pinky and palm of the same hand span about 20 cm, the cluster contact cluster is attempted because the cluster is quite rare and large. In any case, the palm expands relatively small and contains useful information about how far the palm hill and front palm fell from contact in the same hand. The center of the palm of an adult extending out is about 10 cm square, and therefore the palm contact center should not be scattered in an area larger than 8 cm. If the part is wrongly contained in the cluster by the opposite hand, the recognition algorithm in the cluster tends to allocate extra hands from the opposite hand of the palm hill and the front palm attractor. This is generally why contact assigns cluster attractors to be scattered across a wider surface, and true palm contact from one hand becomes plausible. With this part handled, and under the assumption that palm constants are scattered over an area of 8 cm, palm constraint constants drop off rapidly under experimental hand clusters. Therefore, the inverse of this is sharply increased. 31C shows the value of the palmar bond factor in contrast to the horizontal division between palmar constants. Horizontal dispersion is effectively measured by finding the difference between the maximum and minimum horizontal equivalence and the maximum and minimum values perceived as the hill of the palm and the front palm. The measurements and factor values are repeated by vertical dispersion, and the vertical and horizontal factors are combined to increase in order to obtain the last palm bond factor.
도 33은 손안의 분산 팩터의 대략적인 플롯이다. 이 팩터는 각각의 손의 접 근 혹은 겹침으로부터 손바닥의 실제 수평 위치 또는 측정된 부분의 총 값을 증가시킨다. 이것은 고정된 손가락 위치에 대응에 관하여서 오른쪽 손의 접촉의 수평적인 오프 셋의 최소값을 찾는 것에 의해 측정되었다. 유사하게, 고정된 손가락 위치에 대응에 관하여 왼쪽 손의 접촉의 수평적인 오프 셋의 최대 값은 발견됐다. 손 오프셋의 말단 사이의 차이가, 표면을 건드리거나 그 위에 뜨는 동안 손바닥이 같은 원주의 표면 영역을 겹치게 하는 것을 할 정도로 충분히 작다면, 분리 팩터는 더욱 작아질 것이다. 이러한 겹침은 계획안에서 네거티브 손바닥의 분리에 대응한다. 이 분리된 팩터는 다른 것으로부터 같은 클러스터까지 2 센티미터 안의 접촉의 할당을 촉진하기 위해서, 분리된 팩터는 몇 센티미터 이내의 포지티브 분리를 시작하기 위해 점차적으로 떨어지기 시작할 것이다. 손안에서 분리 팩터는 모든 표면의 접촉이 같은 손을 할당하는 부분에 적용되지 않고, 이러한 경우에 하나의 정해진 값을 갖는다.33 is a rough plot of the dispersion factor in the hand. This factor increases the actual horizontal position of the palm or the total value of the measured part from the approach or overlap of each hand. This was measured by finding the minimum value of the horizontal offset of the contact of the right hand in relation to the fixed finger position. Similarly, the maximum value of the horizontal offset of the contact of the left hand with respect to the corresponding finger position was found. If the difference between the ends of the hand offset is small enough to allow the palms to overlap the surface area of the same circumference while touching or floating on the surface, the separation factor will be smaller. This overlap corresponds to the separation of the negative palm in the plan. This separated factor will begin to fall off gradually to start a positive separation within a few centimeters in order to facilitate the allocation of contacts within two centimeters from the other to the same cluster. In the hand, the separation factor does not apply to the part where all the surface contacts assign the same hand, in this case having one fixed value.
본 손 인식 프로세스의 대안적인 실시예는 부가적인 제약 팩터를 포함하고, 본 발명의 영역 안에 남는다. 예를 들면, 속도 유대 팩터는 각각의 모든 클러스터가 다른 평균 속도와 방향을 갖음에도 불구하고, 대략적으로 같은 스피드와 방향으로 이동하는 클러스타 안의 모든 손가락 안에서 선호하는 부분에 의해 계산된다.Alternative embodiments of the present hand recognition process include additional constraint factors and remain within the scope of the present invention. For example, the velocity bond factor is calculated by the preferred portion of all fingers in the cluster that travel at approximately the same speed and direction, even though each cluster has a different average speed and direction.
때때로 변경할 수 없는 결정이 새로운 유사한 영상 정보가 존재 인식이 틀렸다고 제안됐을 때조차 손 접촉의 인식의 마지막 변경을 보존함으로서 손 인식을 기본으로 하여 코드 방법 인식기 또는 타이핑 인식기에 의해 만들어진다. 이것은 수행하지 못한 입력 이벤트를 생성하는 코드슬라이드의 경우이고, 코드가 갖는 맞 은편 손의 결과 안에서 어떤 손가락을 가리키는 새로운 영상 정보에 이동한다. 이러한 경우에 사용자는 가능한 입력 에러의 이동과 체크를 멈추는 것을 경고할 수 있지만, 다수의 입력 이벤트를 첨가할 때 비록 틀리고 게다가 예상할 수 없는 효과를 가지는 정확한 할당의 변경일지라도, 지금 상황에서 존재하는 인식을 유지하는 것이 최상이다. 그러므로, 일단 코드 슬라이드(chord slide)가 입력 이벤트를 생성하면, 그것들의 존재 패스의 인식은 고정되고, 그러므로 손 인식 알고리즘은 오직 연속적인 새로운 접촉인식을 교환할 수 있다. Sometimes immutable decisions are made by code method recognizers or typing recognizers on the basis of hand recognition by preserving the last change in recognition of hand contact even when new similar image information is suggested that presence recognition is wrong. This is the case of a code slide that generates an input event that has not been performed and moves to new image information that points a finger within the result of the opposite hand of the code. In this case the user can warn of possible movements and stops checking for possible input errors, but when adding multiple input events the perceptions that exist in the present situation, even if the correct assignment changes are wrong and also have unexpected effects. It is best to keep it. Therefore, once a chord slide generates an input event, the recognition of their presence paths is fixed, and therefore the hand recognition algorithm can only exchange consecutive new contact recognitions.
본 손 인식 프로세스를 멀티터치 표면의 다른 배열로 변형 될 수 있고 본 발명의 영역 안에 남을 수 있다. 너무 작아서 다른 영역을 침범하거나 너무 길어서 다른 손이 위에 놓일 수 있는 표면에서, 윤곽은 정확한 수직의 라인일 필요가 없다. 부가적인 윤곽은 겹쳐질 만한 손가락 주변을 휘어지고 또는 그것은 또한 측정된 손위치 사이의 벡터로의 수직일 수 있다. 만약 표면이 한 사용자가 사용하기 보다 충분히 넓다면, 부가적인 어트렉터 링은 각각의 첨가되는 손마다 공급되고 다중 부분 윤곽은 두 부분 이상이 들어간 표면의 가설마다 필수 적이다. 표면이 오직 한 손이 들어가기에 충분하다면 아직도 어떤 손이 표면을 건드렸는지 결정하는 것이 필요하다. 그러므로 다른 윤곽의 가설 대신, 표면의 중심에 있는 손 인식 모듈은 오른쪽 손의 어트렉티브 링인지 왼쪽 손의 어트렉티브 링인지 가설을 평가해야만 한다.The present hand recognition process can be modified to other arrangements of the multi-touch surface and remain within the scope of the present invention. On surfaces that are too small to invade other areas or too long to place other hands on, the contour need not be an exact vertical line. The additional contour may be bent around the overlapping fingers or it may also be perpendicular to the vector between the measured hand positions. If the surface is wider than one user can use, additional attractor rings are supplied for each added hand, and a multipart contour is essential for a hypothesis of a surface containing more than two parts. If the surface is enough to hold only one hand, it is still necessary to determine which hand touched the surface. Therefore, instead of the hypothesis of other contours, the hand recognition module at the center of the surface must evaluate the hypothesis whether it is an active ring of the right hand or an active ring of the left hand.
상기 표면은 모든 측면으로부터 액세스하도록 받침대에 장착되며, 손 식별 모듈은 역시 각 유도기의 링의 여러 회전을 가정한다.The surface is mounted to the pedestal for access from all sides, and the hand identification module also assumes several rotations of the ring of each inductor.
기부의 유도기 핑거 식별 시스템(248)은 펜을 쥔 손의 형상(도 15)을 포함하는 개별 손 접촉부를 성공적으로 식별한다(도 15). 그러나, 펜 그립내의 유일한 핑거 배열을 쥐고 있는 형상(도 14)내의 전형적인 배열과 구별하기 위해 부가적인 단계가 필요하게 된다. 상기 펜 그립 배열에 있어서, 외부의 핑거는 그들의 손가락 마디가 표면을 접촉하도록 손바닥 아래쪽으로 둥글게 구부리고, 집게 손가락은 그들의 앞쪽으로 내민다. 펜 그립 검출 모듈(17)은 상기 유일한 배열을 검출하도록 엄지 손가락의 확인 과정과 유사한 퍼지 패턴 인식 과정을 사용한다.The base inducer
펜 그립 손 형상에 의해 필적 인식에 관한 부수적인 문제는 안쪽 그립핑 핑거와 때로는 전체 손이 타법간에서 픽업된다는 점이며, 그 이유는 구별되는 핑거 배열을 임시로 안 보이게 하기 때문이다. 그러므로, 펜 그립 인식 과정은 그립핑 핑거 리프트간의 필적 모드로 한 체로 이력 현상을 가져야만 한다. 양호한 실시예에 있어서, 이력 현상은 조합된 퍼지 결정 계수의 임시 필터링하고, 핑거 배열의 측정시의 견적된 핑거 위치를 사용함으로써 얻어지며, 실제 핑거들은 표면쪽으로 이동된다. 견적된 핑거 위치는 수초 동안 이동 후 가장 긴 손가락 끝의 위치 쪽으로 쇠퇴하기 전에 유일한 튀어나오는 배열을 임시로 계속 유지한 채로 있으므로 효과적인 이력 현상을 제공한다.A secondary problem with handwriting recognition by pen grip hand shape is that the inner gripping finger and sometimes the entire hand are picked up between alternatives, because they temporarily hide the distinct finger arrangement. Therefore, the pen grip recognition process must have a hysteresis phenomenon in one sieve in comparable mode between gripping finger lifts. In a preferred embodiment, the hysteresis is obtained by using temporal filtering of the combined fuzzy decision coefficients and using estimated finger positions in the measurement of the finger arrangement, and the actual fingers are moved towards the surface. The estimated finger position provides an effective hysteresis because it temporarily retains the only protruding arrangement after moving for a few seconds before decaying to the position of the longest fingertip.
도 28은 펜 그립 검출 모듈(17)내의 단계를 도시하며, 결정 다이아몬드 모양(485)는 모든 펜 그립 손 부분이 표면을 접촉하는 지의 여부를 결정한다. 만약 그렇지 않다면, 결정 다이아몬드 모양(486)은 견적된 핑거와 손바닥 위치가 펜 그립 또는 필적 모드가 이미 활동적일 때에만 단계(487)에서 임의의 이동부분 동안 회복 되도록 한다. 만약 그렇지 않다면, 상기 과정은 표면이 접촉하는데 충분하지 않기 때문에 종료된다. 따라서, 견적된 핑거 위치는 필적 모드를 개시하는데 사용될 수 없으나, 계속할 수 있다. 단계(488)은 측정된 위치와, 표면에 접촉하는 손바닥 힐과 핑거들의 크기를 회복한다.28 shows the steps within the pen
단계(489)는 외부의 핑거 접촉으로서 정상의 손가락 끝 보다 길게 되도록 하고, 손바닥 힐에 밀접하도록 올리는 손바닥 힐로부터의 수직 거리와 외부 핑거 크기로부터의 손가락 마디 계수를 계산한다. 단계(490)은 인지 손가락 끝으로서 손가락 마디의 앞쪽으로 올라오는 안쪽 및 바깥쪽의 핑거의 수직 좌표간의 차로부터 저팅 팩터(jutting factor)를 계산한다. 단계(491)는 퍼지 논리 표현법으로 너클 및 저팅 팩터를 조합하고 자기 조절 또는 무빙 평균 필터에 의해 이전의 결과와 함께 그 결과를 평균한다. 결정 다이아몬드 모양(492)는 필터된 표현 결과가 부수적인 히스테리를 제공하도록 자체 가변할 수 있는 임계값 이상인 경우 펜 그립 모드를 계속하거나 착수한다. 펜 그립 모드 동안, 타이핑(12) 및 현 모션 인지(18)는 펜 그립핑 손 동안 디스에이블된다.Step 489 is made longer than the normal fingertip as an external finger contact, and calculates the vertical distance from the palm heel raised close to the palm heel and the finger node coefficient from the outer finger size. Step 490 calculates a jutting factor from the difference between the vertical coordinates of the inner and outer fingers coming forward of the fingertip as the perceived fingertips. Step 491 combines the knuckle and the justifying factor with fuzzy logic representation and averages the result along with the previous result by a self-adjusting or moving average filter. The
펜 그립 모드에서, 결정 다이아몬드 모양(493)은 안쪽 그립핑 핑거가 실제로 표면을 접촉하는지의 여부를 결정한다. 그렇다면, 단계(495)는 안쪽 핑거의 부분 파라미터로부터 잉크 이벤트를 발생하고 그들을 호스트 통신 인터페이스의 출발의 이벤트 대기행렬에 붙인다. 이들의 잉크 이벤트는 그림을 그리거나 캡처 목적을 서명하기 위해 "디지털 잉크"를 디스플레이(24)상에 놓게 되거나 또는 필적 인식 시스템에 의해서 차단하고, 제스처 또는 언어 심볼로서 설명된다. 필적 인식 시스템 은 기술적으로 잘 공지되어 있다.In pen grip mode, the
안쪽 핑거를 들게 되면, 단계(494)에서는 필적 인식 시스템에 심볼들간의 파손을 지시하기 위해서 스타일러스가 세워진 이벤트를 호스트 통신 인터페이스에 보낸다. 몇몇 응용에서, 사용자는 "디지털 잉크" 또는 해석된 심볼들이 커서를 위치시킴으로써 디스플레이상에 삽입되는지를 표시하는데 필요로 한다. 다중 터치 표면일지라도, 사용자는 펜 그립 형상을 남기고 핑거 인대를 이동함으로써 커서를 움직일 수 있으며, 펜 그립 형상을 남겨 둠이 없이 커서를 위치시키는 것이 바람직하다. 이는 손바닥 힐 및 외부의 손가락 마디의 활주로부터 커서 위치 이벤트를 발생함으로써 지지될 수 있다. 표준 기입 모드가 역시 손바닥 힐 및 외부의 손가락 마디의 활주를 포함하므로, 손바닥 모션은 안쪽 핑거들이 수백(msec) 동안 올려질 때 까지 무시된다.When the inner finger is lifted,
사용자는 실제로 전도성 스타일러스를 픽업하고 기입하는 것을 시도하도록 해야 하며, 손 형상은 안쪽 그립핑 핑거가 타법 동안 표면을 터치하기 보다는 오히려 표면상으로부터 스타일러스를 향하기 때문에 경미하게 변한다. 팔뚝이 실제로 스타일러스를 홀딩하는 경우 보다 손바닥이 위로 향하는 경향이 있으므로, 안쪽 손바닥 힐은 손이 핑키, 링 핑거 및 외부의 손바닥 힐의 측면상에 걸쳐있는 동안 역시 표면상에 놓여 있는 않는다. 외부의 손바닥 힐이 핑키에 대해서 정상 보다도 바깥쪽으로 놓여 있을 지라도, 링 및 핑키 핑거는 여전히 큰 손가락 마디의 접촉이 외부의 손바닥에 가깝게 구부러져 있는 것 같이 보인다. 본질적으로 스타일러스의 팁은 손가락 마디의 수직 레벨에 또는 위에 남아있는 채, 식별 목적을 위해 인지 손가락 끝에 놓여지게 된다. 따라서, 펜 그립 검출기는 호스트 통신 인터페이스에 보내진 인지 손가락 끝의 패스가 스타일러스에 의해 실제로 야기되는 것을 제외하고, 사용자가 스타일러스로 기입하는 경우, 본질적으로 같은 방법으로 기능할 수 있다.The user should actually attempt to pick up and fill in the conductive stylus, and the hand shape changes slightly because the inner gripping fingers point away from the surface rather than touching the surface during the stroke. The inner palm heel does not lie on the surface while the hand spans the sides of the pinky, ring finger and outer palm heel as the forearm tends to be more upward than if it actually holds the stylus. Even though the outer palm heel lies outwards with respect to the pinky, the ring and pinky finger still appear to be bent close to the outer palm of the contact of the large knuckles. In essence, the tip of the stylus is placed at the tip of the cognitive finger for identification purposes, remaining at or above the vertical level of the knuckle. Thus, the pen grip detector can function in essentially the same way when the user writes with the stylus, except that the path of the cognitive fingertip sent to the host communication interface is actually caused by the stylus.
기술적으로, 각 손은 조합된 모든 핑거의 관절의 24도의 이동 각도를 가지며, 특정 물질로서, 건 결합 한계는 개별적으로 모든 관절의 이동하는 것을 어렵게 한다. 표면상의 핑거 접촉의 측정은 표면의 측면으로 10도, 개별 손가락 끝의 압력 또는 표면의 부근으로 5도, 엄지손가락 방위로 1도의 이동 각도를 가져온다. 그러나, 대다수의 이동도는 한정된 범위를 갖고, 개별적으로 액세스하도록 평균 사용자로부터 바람직하지 않게 튀위스트되고 오른손 잡이를 요구한다.Technically, each hand has a 24 degree angle of movement of the joints of all the fingers combined, and as with certain materials, the key engagement limit makes it difficult to move all the joints individually. The measurement of finger contact on the surface results in a movement angle of 10 degrees to the side of the surface, pressure of the individual fingertip or 5 degrees to the vicinity of the surface, and 1 degree in the thumb orientation. However, the majority of mobility has a limited range and is undesirably twisted from the average user and requires right handedness to access individually.
모션 구성요소의 추출 모듈(16)의 목적은 1 및 2차원으로 공통 그래픽 조종용으로 16도의 주목할만한 정도로 추출해야 한다. 2차원에 있어서, 최대 공통 태스크는 수평 및 수직 플레이닝, 회전 및 줌밍 또는 상승이다. 3차원에서, 자유도의 2차 부가 회전 각도는 수평 및 수직 축을 이용할 수 있다. 모션 구성요소 추출기는 쉽게 수행될 수 있는 베이직 손 모션으로부터 4-6도의 자유도와 또 다른 간섭없이 동일시간에서 추출하는 것을 착수한다. 자유도의 다중 각도가 동시에 액세스 될 수 있을 때 그들은 분리할 수 있기보다는 일반적으로 되며, 일반적인 입력 장치는 보통 한번에 단일 축 또는 자유도을 따라서 이동되기 때문에 고정된다.The purpose of the
일단 4도의 자유도만이 필요하게 되면, 베이직 모션은 전체 손 번역, 핑거를 균일게게 플렉싱 또는 연장함으로써 손 스케일링, 및 손 회전일 수 있다. 마주볼 수 있는 엄지손가락을 직각적으로 포함하는 모션을 이용하기 때문에 쉽게 할 수 없고, 목적 회전 및 크기의 그래픽 조종 태스크에 인식적으로 대응한다.Once only four degrees of freedom are needed, the basic motion can be full hand translation, hand scaling by flexing or extending the fingers evenly, and hand rotation. It is not easy to do this because it uses a motion that includes an opposing thumb at right angles, and responds cognitively to the graphic manipulation task of the desired rotation and size.
그것의 결점은 이 손 회전 및 스케일링 동안 모든 손가락들의 병진 운동 모션이 완전히 취소되지 않고 원하는 회전 또는 스케일링외에 또 몇몇 방향으로 네트 병진에 대신 추가될 수 있다는 점이다. 동시에 수행될 모든 모션들을 허용하기 위해 자유도가 의도하지 않은 병진들을 불완전하게 수행된 스케일링 및 회전으로부터 얼마동안 막기 위해, 모션 추출기는 바람직하게도 손가락들에 가중치를 주며, 손가락들의 병진은 가장 많이 취소되고 서로 관련된 속도에 따라 비선형적으로 속도 성분들을 스케일한다.Its drawback is that during this hand rotation and scaling, the translational motion of all fingers is not completely canceled and can instead be added to the net translation in several directions in addition to the desired rotation or scaling. In order to prevent unintended translations for some time from incompletely performed scaling and rotation to allow all the motions to be performed simultaneously, the motion extractor preferably weights the fingers, the translations of the fingers being most canceled and mutually Scale the speed components non-linearly with the speed involved.
움직임 성분 추출기(16)내의 처리들은 도 34에 도시된다. 단계(500)는 먼저 소정 손에 대해 식별된 접촉 경로(250)를 인출한다. 이 경로는 모션 계산에 사용될 측면 속도와 근사치를 포함하며, 식별자들은 특정 모션 성분 계산을 낮추는 임의의 손가락들 또는 손바닥 밑부분의 모션이 덜 강조되도록하기 위해 필요하다.The processes in the
다음 단계(502)는 핑거 근사치가 급속하게 변화하는 경우에 횡방향 접촉 속도에 대해 추가적인 필터링을 행한다. 이것은 핑거 이륙 및 표면상의 착지 동안에 손가락끝의 전면부는 종종 이전에 접지하고 있고 손가락끝의 등 뒤에 이륙하고 있어 핑거 중심에서의 순수한 하방향 또는 상향 횡해석을 초래하기 때문에 필요한 것이다. 이러한 근사치 의존 해석은 정밀 위치 결정 제어를 위해 손가락끝을 천천히 롤링하는 경우 잘 사용될 수 있지만, 핑거 이륙 동안에 선택된 위치에서 커서로 하여금 멀리 점프하도록 하는 경우 사용자에게 불편을 초래할 수 있다. 이것은 핑 거 근사치에서의 커다란 변화에 비레하여 핑거의 횡방향 속도를 일시적으로 다운스케일링함으로써 방지된다. 손 내의 다른 핑거들은 하나의 핑거가 리프트오프할 때 약간 이동하는 경향이 있기 때문에, 각 핑거 속도의 추가적인 다은스케일링이 접촉 핑거들중의 최대 백분율에 응답하여 행해진다. 대안적으로는, 핑거 접촉 높이의 동시적인 변화에 비례하는 양을 횡방향 핑거 속도로부터 감산함으로서 보다 정밀한 억제가 달성될 수 있다. 이것은 핑거 이륙에 의해 야기된 횡핑거 속도의 변동이 선 손가락끝 등의 이륙 또는 후 접지로 인한 접촉 높이의 변화에 비례한다.The
도 36에 도시된 프로세스(504)의 세부 단계들은 방사(스케일링) 및 회전 모션으로부터 폴라 속도 성분을 측정한다. 엄지 배향 변화로부터 회전을 추줄하지 못하는 경우, 적어도 2개의 접촉 핑거들이 손의 방사 속도 또는 각속도를 계산하는데 필요하다. 엄지 모션이 다른 손가락들끼리보다 더 무관하기 때문에, 스케일링 및 회전은 사용자들이 핑거들중 하나가 대향할 수 있는 엄지인 경우 행하기가 보다 용이하지만, 측정 방법은 엄지 없이도 가능하다. 결정 다이아몬드(522)가 2개 이하의 핑거들이 표면에 닿는 지를 결정하는 경우, 단계(524)는 손의 방사 및 회전 속도를 0으로 설정한다. 도 35는 수축성 손 스케일링 동안에 각 핑거의 궤도를 도시한다. 엄지(201) 및 핑키(205)는 거의 동일한 속도로 거의 반대 방향으로 이동하므로, 그들의 모션의 합계는 제로 넷 해석에 대해 삭제되지만, 그들 모션의 차는 커다란 넷 스케일링에 대해 최대화된다. 중앙 핑거(202-204)는 또한 중심점을 향해 이동하지만 팜 힐이 고정되게 유지되어, 중앙 핑거들의 플렉싱을 보상하지 못한다. 그러므로, 중앙 핑거의 모션 및 다른 핑거의 모션 간의 차는 핑키 및 엄지 모 션 간의 차보다 대개 적게 되고, 핸든 스케일링 동안의 중앙 핑거 속도들의 합계는 넷 수직 해석까지 부가시킨다. 이와 유사한 현상은, 포팜에서 중심화되는 것보다는 차라리 고정된 포암의 손목에서 중심화되는 경우 넷 수평 해석이 핑거의 다른 조합으로부터의 모션의 합에서 발생하는 것을 제외하면, 손 회전중에 일어날 수 있다.The detailed steps of
핑거 모션의 차가 엄지 및 핑키 간에 대개 최대가 되므로, 단계(526)만은 손 스케일링 및 회전 측정을 위해 내외측 접지 핑거들의 현재 및 이전 위치를 추출해낸다.Since the difference in finger motion is usually maximum between thumb and pinky, step 526 alone extracts the current and previous positions of the inner and outer ground fingers for hand scaling and rotation measurements.
단계(528)는 대략 다음과 같은 식으로 최내 핑거 FI 및 최외 핑거 FO 간의 거리의 변화로부터 손 스케일링 속도 HVS를 산출한다.Step 528 calculates the hand scaling speed HVS from the change in distance between the innermost finger FI and the outermost finger FO in the following manner.
여기서, d(FI[n], FO[n])은 핑거들 간의 유클리디언 간격의 제곱근이다.Where d (FI [n], FO [n]) is the square root of the Euclidean spacing between the fingers.
최내 또는 최외 핑거중 하나가 이전 근사치 영상 동안에 접지하지 않았던 경우, 간격의 변화는 0인 것으로 가정된다. 이와 유사하게, 단계(530)는 대략 다음의 식으로 최내 및 최외 핑거 간의 각도의 변화로부터 손 회전 속도 Hvr을 산출한다.If either the innermost or outermost finger was not grounded during the previous approximation image, the change in spacing is assumed to be zero. Similarly,
**
각도 변화는 해석 및 스케일링 성분과 동일한 단위로 변환시키도록 현재의 간격에 의해 승산된다. 이들 식들은 핸드가 전체로서 해석하는 경우라 할지라도 손 모션의 회전 및 스케일링 성분을 획득하므로, 자유도의 회전 및 스케일링 등급을 해석과 일체화시키게 된다.The angular change is multiplied by the current interval to convert to the same units as the analysis and scaling components. These equations acquire the rotation and scaling components of the hand motion even when the hand interprets them as a whole, thus integrating the degree of freedom rotation and scaling with the analysis.
상기 연산들이 엄지 및 핑키 또는 최내 및 최외 핑거들에 대해 제한되는 또다른 이유는, 사용자들이 엄지 및 핑키가 정지 상태로 있는 동안 중앙 핑거들, 즉 인덱스, 미들, 링 핑거들에 따라 정밀한 해석 처리를 하기 원한다는 것이다. 중앙 핑거들 및 엄지 사이의 거리 및 각도의 변화가 상기 식 66-68에 의해 평균화된 경우, 이것은 불가능하다. 왜냐하면 중앙 핑거 해석들로 인해 고정 상태의 엄지 또는 핑키에 대한 회전 또는 스케일링이 일어나기 때문이다. 그러나, 엄지 검증 처리에 제공된 상기 식들 56-60은 단지, 핑거들 간의 고정 점에 대한 대칭적 회전 및 스케일링에 대해서만 민감하다. 이것은 소정의 유효 전체 손 해석이 발생하거나 핑거 모션이 보상성이 아닌 경우 0에 근접한다. 사용자가 회전 또는 스케일링 제스처 동안에 최외 핑거를 적당히 이동시키지 못하는 경우, 단계(531)는 최외 이외의 모든 접지 핑거들 및 엄지 사이의 회전 및 스케일링 속도를 산출하도록 식 56-60의 개략적인 형태의 식을 이용한다. 최종 결과 속도는 바람직하게는 해석 모션으로 인해서 고정점 회전이나 스케일링이 0이 되게 하는 경우에 평균치라기 보다는 최대 동작을 통해 식 66-68의 결과와 조합된다. 마지막으로, 결정 다이아몬드 (532)는 핑거 리프트오프 이전의 모션 동안에 방사상이나 회전 감속(534)에 대한 체크를 명령한다. 방사상 또는 회전 감속을 검출하는 방법은 해석 추출의 상세한 설명에서와 동일하다.Another reason that the operations are limited for thumb and pinky or the innermost and outermost fingers is that users can perform precise interpretation processing according to the center fingers, i.e. index, middle, ring fingers while the thumb and pinky is stationary. I want to. This is not possible if the change in distance and angle between the center fingers and the thumb is averaged by Eqs. 66-68. This is because the center finger analyzes result in rotation or scaling of the stationary thumb or pinky. However, the equations 56-60 provided in the thumb verification process are only sensitive to symmetrical rotation and scaling about the fixed point between the fingers. This is close to zero if some valid full hand interpretation occurs or the finger motion is not compensatory. If the user fails to properly move the outermost finger during the rotation or scaling gesture, step 531 may be expressed in the form of a schematic form of equations 56-60 to yield a rotational and scaling speed between all the non-outermost ground fingers and thumb. I use it. The final resulting velocity is preferably combined with the results of Equations 66-68 through maximum motion rather than average when the fixed point rotation or scaling is zero due to the analytical motion. Finally,
도 37은 도 34의 처리(506)로 언급된 손 해석 속도 측정에 대해 상세히 도시한다. 손 해석 속도를 산출하기 위한 최단의 방법은 각각의 핑거의 횡속도를 간단하게 평균화하는 것이다. 그러나, 사용자는 몇몇 핑거가 정지 상태로 있을 지라도, 얼마나 많은 핑거가 이동되느냐와는 상관없이 일정하게 되는 이득을 모션이나 제어가 표시할 것을 원한다. 또한, 사용자가 동시에 핸드를 스케일링 또는 회전하는 경우, 간단한 평균은 비삭제된 중앙 핑거 모션에 의해 야기된 의사 넷 해석에 대해 민감하다.FIG. 37 details the hand analysis speed measurement referred to as
그러므로, 양호한 실시예에 있어서, 해석 성분 추출기는 평균 해석을 산출하기 전에 각 핑거에 대해 가중을 주의하여 할당한다. 단계(540)는 각 핑거의 해석 가중 Fivw을 그것의 총 접촉 근사치, 즉 Fivw[n] = FiN[n]으로 초기화한다. 이것은 표면에 닿지 않는 핑거들이 그들의 제로 속도와는 희석되지 아니하고 약간 닿는 핑거들만은 보다 적은 영향을 미칠 수 있게 한다. 왜냐하면, 그들의 위치 및 속도 측정치들은 보다 덜 신뢰하기 때문이다. 다음 단계(544)는 비교적 고정된 상태로 있는 핑거들의 가중을 경감시키므로, 의도적으로 이동시키는 핑거들의 이득을 표시하기 위한 제어는 희석되지 않는다. 이것은 다음의 식으로 대략 나타내어지는 바와 같이, 가장 빠르게 이동하는 핑거를 발견하고, 그것의 속도를 최대 핑거 속도로 서 기록하고, 핑거 속도들의 최대치에 의해 분할된 속도에 비례하여 각 핑거의 해석 가중을 스케일링 함으로써 행해질 수 있다.Therefore, in the preferred embodiment, the analysis component extractor carefully assigns weights to each finger before calculating the average analysis. Step 540 initializes each finger's analytic weighting Fivw to its total contact approximation, ie Fivw [n] = FiN [n]. This allows fingers that do not touch the surface to be undiluted with their zero velocity and only slightly touched fingers can have less effect. Because their position and velocity measurements are less reliable. The
여기서, 곱 ptw는 속도 의존도의 강도를 조절한다. 유의할 점으로는, 단계(544)는 사용자가 정상적 커서 모션 이득 및 저이득 모드를 둘 다 원하는 컴퓨터 보조 설계 등과 같은 응용을 위해 생략될 수 있다는 점이다. 보다 낮은 커서 모션 이득은 정밀하고 짧은 범위의 위치 결정에 유효하고, 하나 또는 두 개의 핑거만을 이동시키고 나머지를 정지 상태로 있게 함으로써 액세스될 수도 있다.Here, the product ptw adjusts the strength of the velocity dependency. It should be noted that
단계(546)는 엄지 및 핑키가 정지 상태에 있는 동안 정밀한 해석 처리를 중앙 핑거들이 행하는 것을 막지 못하는 경우에도 손 스케일링 및 회전 동안에 중앙 핑거들에 대한 해석 가중을 감소시킨다. 하기의 식은 회전 및 스케일링 속도의 크기가 Kpolarthresh와 비교할 때 유효하게 될 때 중앙 해석 가중을 다운스케일링함으로써 상기를 은은 곳 없게 할 수 있다.Step 546 reduces the analysis weight for the center fingers during hand scaling and rotation even if the thumb and pinky do not prevent the central fingers from performing precise analysis processing while at rest. The following equations can eliminate this by downscaling the central analysis weights when the magnitude of the rotational and scaling speeds becomes valid when compared to Kpolarthresh .
여기서 이들 식들은 최내 및 최외 간에 식별자 i가 있는 중앙 핑거들에만 적 용된다. 손 스케일링은 많은 수평 해석 바이어스를 야기하지 않기 때문에 수평 해석 가중 Fivws[n]은 상기 식(70)에서 손 스케일링 항의 부족하게 나타내어진 것과 같이, 손 스케일링 속도 Hvs[n]에 의해 영향 받을 필요는 없다. 최내 및 최외 핑거들의 해석 가중은 폴라 성분 속도, 즉 FIvws[n] = FIvwx[n] = FIvw[n] 및 FOvws[n] = FOvwx[n] = FOvw[n]에 의해 변화되지 않는다.Where these equations apply only to the center fingers with the identifier i between the innermost and outermost. Since hand scaling does not cause much horizontal analysis bias, the horizontal analysis weighting fivws [n] need to be affected by the hand scaling rate Hvs [n], as indicated by the lack of the hand scaling term in equation (70) above. none. The analysis weight of the innermost and outermost fingers is determined by the polar component velocity, ie FIvws [n] = FIvwx [n] = FIvw [n] and FOvws [n] = FOvwx [n] = FOvw [n] It does not change.
해석 계산의 마지막 부분은 리프트오프 이전에 핑거들의 횡감속에 대해 시험하는 것으로서, 이는 사용자가 커서 모션을 리프트오프시에 정지시키고자 하는 지의 여부를 신뢰적으로 나타낸다. 감속이 리프트오프 이전에 검출되지 않은 경우, 사용자는 리프트오프 이후에 커서 모션을 계속하여 행하게 하거나, 사용자가 특수 "원샷" 명령을 출력시키고자 할 수도 있다. 판정 다이아몬드(550)만은 감속 측정을 방해하는 것으로부터 핑거 리프트오프를 수반할 수 있는 핑거 중심에서의 변동을 방지하는데는 너무 빨라서 핑거 근사치가 떨어지지 않는 동안에 감속 테스트를 행한다. 단계(551)는 바람직하게는 윈도우 평균 또는 오토레그레시브 필터에 의해 계산된 과거 평균 해석 속도에 대한 현재 해석 속도의 비 l(Hvx[n],H표[n])l 또는 퍼센트 가속을 계산한다. 결정 다이아몬드(552)에 의해서 해석 감속 플래그는 가속비가 임계치 미만인 경우 556으로 설정되도록 한다. 이 임계치가 1보다 크게 설정되면, 사용자는 커서 모션의 지속을 위해 리프트오프 이전에 핑거들을 가속시켜야 할 것이다. 임계치가 1이하로 설정되면, 커서 모션은 리프트오프 이전에 일정한 횡속도를 사용자가 유지하는 한 신뢰할 수 있게 계속될 것이지만, 사용자가 커서를 느리게 움직이거나 표시 타겟 영역으로 가까이 가면, 감속 플래그가 설정된다. 결정 다이아몬드(554)는 또한 현재 해석 방향이 과거 방향의 평균과 실질적으로 다른 경우 감속 플래그가 설정되게 할 수 있다. 이러한 방향의 변화는 손 모션 궤도가 곡선으로 되는 것을 나타내고, 그 경우에 커서 모션은 사용자의 의도된 타겟으로의 방향을 정확하게 결정하는 것이 매우 곤란하기 때문에 리프트오프 이후에 지속되지 않아야 된다. 감속 및 궤도가 검출되지 않는 경우에, 단계(558)는 해석 감속 플래그를 삭제한다. 이것은 핑거들이 이어서 리프트오프를 개시한다면 커서 모션을 지속할 수 있게 한다. 결정 다이아몬드(550)는 해석 감속 플래그의 상태가 리프트오프 도중에 변화되는 것을 방지하므로, 커서 모션을 계속하도록 리프트오프 이후의 결정은 리프트오프가 개시되기 전에 감속 플래그의 상태에 의존한다. 최종 단계(560)는 계속된 커서 모션의 속도를 리프트오프 이후로 되게 할 수 있는 손 해석 속도 벡터의 오토레그레시브 또는 이동 윈도우 평균을 갱신한다. 도 40에서 논의 되겠지만, 계속된 커서 모션 신호들의 실제 발생은 코드 모션 인식기(18)에서 일어난다.The last part of the analytical calculation is to test for lateral deceleration of the fingers prior to the liftoff, which reliably indicates whether the user wishes to stop the cursor motion upon liftoff. If a deceleration is not detected prior to the liftoff, the user may wish to continue the cursor motion after the liftoff, or the user may wish to output a special "one shot" command. Only the
이 커서 모션 지속 방법은 종래 기술의 모션 재개 방법에 비해 다수의 이점을 갖는다는 것에 유의한다. 모션 지속에 대한 결정은 소정의 속도 범위로 원래부터 정규화하는 백분율 가속에 의존하기 때문에, 사용자는 매우 느린 속도를 포함하는 광범위한 속도 범위로부터 모션 지속을 의도적으로 부추긴다. 따라서, 사용자는 판독가능한 속도에서 문서를 자동 스크롤하도록 느린 모션 지속을 직접적으로 기동할 수 있다. 이것은 사용자의 모션이 고속 임계치를 초과하는 경우에 모션을 지속하는 미국특허공보 제4734685호에서의 와타나베의 방법에서는 성립하지 않으며, 낮은 핑거 속도에 대해 구동되는 경우 사용자가 커다란 타겟에 대한 접근시에 감속하지만 리프트오프 이전에 완전히 중지시키지 못할 때 모션을 지속시키지 못하는 미국 특허 공보 제 5327161호에서의 로간 등의 방법에서도 성립하지 않는다. 백분율 감속 역시 경계 영역내의 핑거의 위치보다는 더 명확하게 사용자 의도를 포착한다. Gillespic 등에 의한 미국 특허 공보 제 5543591호에서 이용되는 경계 영역에서의 핑거의 위치는 모호하다. 왜냐하면, 커서는 핑거가 경계에 들어갈 때 표시부상의 원하는 타겟에 다다를 수 있기 때문이다. 또한 터치패드 장치는 핑거가 이동 공간에서 밖으로 나간다고 생각하기 때문에 타겟을 지나쳐 커서 모션을 게속할 것이다. 한편 본 발명에서는, 가속비는 핑거가 물리적인 배리어를 치지 않고 감지 어레이의 단부를 슬라이드 오프할 수 있는 경우 거의 1로 유지하여, 모션 지속을 감지적으로 행하게 한다. 그러나, 핑거가 감지 어레이의 단부 상에서 횡단 또는 정지 이전에 감속하는 경우 커서는 원하는 대로 정지한다.Note that this cursor motion persistence method has a number of advantages over prior art motion resume methods. Since the decision on motion duration relies on a percentage acceleration that normally normalizes to a certain speed range, the user intentionally encourages motion duration from a wide range of speeds, including very slow speeds. Thus, the user can directly invoke slow motion duration to automatically scroll the document at a readable rate. This is not true of Watanabe's method in US Pat. No. 4734685, which continues the motion when the user's motion exceeds the high speed threshold, and decelerates when the user approaches a large target when driven for low finger speeds. However, this is not true of Logan et al. In US Pat. No. 5327161, which does not continue motion when it is not completely stopped before liftoff. Percentage deceleration also captures user intention more clearly than the position of the finger in the boundary region. The position of the finger at the boundary region used in US Pat. No. 5543591 to Gillespic et al. Is ambiguous. This is because the cursor may reach the desired target on the display when the finger enters the boundary. The touchpad device will also continue cursor motion past the target because it thinks the finger is out of the moving space. On the other hand, in the present invention, the acceleration ratio is maintained at almost 1 when the finger can slide off the end of the sensing array without hitting a physical barrier, thereby making the motion sustain sensitively. However, the cursor stops as desired if the finger decelerates before crossing or stopping on the end of the sense array.
차동 손 압력 추출 처리(508)의 상세는 도 38에 도시된다. 압력이 일반적으로 골질(bony)의 손가락끝을 통해 단단한 표면에 가해질 때 손가락끝 근접이 빨리 충족된다. 만약 표면 자체가 아주 유연하지 않으면, 손가락끝 아래의 압축할 수 있는 소프트 펄프가 표면상에 정지하도록 손가락끝 압력의 최대 동적 범위는 확장된 손가락들과 거의 평평하게 된 손에서 획득된다. 결정 마름모(562)는 그러므로 기울기 및 회전 손 압력 성분들이 단계(564)에서 0으로 설정되게 하며 손이 거의 평평하지 않으면 압력 추출이 억제되게 한다. 고유의 테스트에서, 손을 평평하게 하는(562) 단계는 5개의 손가락 대부분과 양쪽 손바닥 밑부분들이 3각과 같이 기술적으로 단지 3개의 비공통선형 손 접촉들이 기울기와 회전 압력들을 확립하는데 필요하다 하더라도, 손 압력 측정의 정밀을 최대화하기 위해 표면을 터치하는 것을 보장하는 손가락 카운트이다. 판단 마름모(562)는 사용자가 표면상에 5개의 모든 손가락들 놓여있고, 표면상에 손바닥 밑부분을 간단히 탭핑하고 표면상에 손바닥 밑부분을 최종 정지시키는 것과 같은 직관적인 몸짓으로 명쾌하게 3차원 조종을 할 수 있도록 또한 요청할 수 있다. 판단 마름모(566)는 단계(568)가 모든 접촉들의 근접도가 이 개시순서의 끝에서 안정화될 때 각 접촉 경로에 대한 기준 근접도들을 포착하고 저장하도록 한다. 기울기 및 회전 압력 성분들은 이 측정이 수행되는 동안 센서 어레이 스캔 사이클에 대해 다시 0(564)으로 된다.Details of the differential hand
그러나, 연속적인 스캔 사이클 동안 사용자는 손가락 끝으로 보다 강하게 누르기 위해 손을 앞으로 기울일 수 있거나 또는 손바닥 밑부분으로 보다 강하게 누 르기 위해 손을 아래로 기울일 수 있으며 또는, 사용자는 연분홍 및 바깥 손바닥 밑부분상으로 손을 밖으로 향하게 할 수 있고 또는 엄지, 집게 손가락 및 안쪽 손바닥 밑부분으로 보다 강하게 누르기 위해 손을 안쪽으로 향하게 할 수 있다. 단계(570)는 현재 접촉 위치들의 가중된 평균을 계산하기 위해 계속될 것이다. 단계(572)는 아직도 표면에 대고 있는 각각의 손 부분에 대한 이전에 저장된 기준 근접도에 대한 현재 근접도의 비를 계산한다. 우연히 손 일부를 들어올리는데 덜 민감한 비율을 얻기 위해, 단계(574)는 근접도내에서만 증가하는 것과 같거나 보다 크게 잘려지고 기울기 및 회전 측정들내의 레지스터를 누른다. 다른 평균 접촉 경로 위치는 단계(576)에서 계산되며, 이는 각 경로에 대한 상기 계산된 근접 비율에 의해 가중된다. 단계(578)에서 취해진 이 가중되고 가중되지 않은 접촉 위치 평균들 사이의 차는 벡터를 산출하며 벡터의 방향은 회전 또는 기울기 방향을 나타낼 수 있고 벡터의 크기는 x 와 y 축에 대한 회전 또는 기울기 비를 제어할 수 있다.However, during successive scan cycles, the user can tilt the hand forward to push harder with the tip of the finger or tilt the hand down to push harder to the base of the palm, or the user can press on the pink and outer palm The hand may be directed outward or the hand may be directed inward to push harder with the thumb, forefinger and the underside of the inner palm. Step 570 will continue to calculate the weighted average of current contact positions. Step 572 calculates the ratio of the current proximity to the previously stored reference proximity for each hand portion still facing the surface. To obtain a less sensitive ratio by chance to lift some of the hands,
가중 및 비가중 위치 평균들이 현재 접촉 손가락들의 위치들에만 영향을 미치고 접촉 압력 또는 근접도에서 증가하므로, 방법은 손가락 흔들림에 덜 민감한 것이다. 근접도에서 절대적인 변화보다도 단계(572)에서 정규화된 기준 근사치비율들의 산출은 큰 손바닥 밑부분 접촉이 가중 평균 위치에 과도한 영향을 미치는 것으로부터 막는다.The method is less sensitive to finger shake because the weighted and unweighted position averages only affect the positions of current contact fingers and increase in contact pressure or proximity. The calculation of the standardized approximate ratios normalized at
현재 접촉 위치들만이 평균 위치 계산에 사용되므로, 회전 및 기울기 벡터는 측면 모션이 손가락 누르기를 방해하지 않는 한, 즉 완전하게 달성되는 손 병진 또는 회전과 같은 측면 모션들에 독립적이다. 그러나, 손 스케일링 및 차동 손 압력 은 같은 시간에 사용하는 것이 어려운데 일반적으로 유연한 손가락들은 손가락 끝 접촉 영역에서 현저히 감소하기 때문이며 손가락 끝 압력 변화의 결과를 방해한다. 이것이 심각한 문제일 때, 총 손 압력 성분은 손 스케일링 성분을 대신하여 제 6 자유도로 사용될 수 있다. 이 총 압력 성분은 z축을 따라 커서 속도를 접촉 근접도의 평균 편차에 비례하게 한다. 대안적인 실시예들은 정지한 손 압력의 느린 변화에 대해 기준 근접도를 적응시키는 단계와 작은 크기들의 압력 차 벡터들을 무시하는 데드 존 필터를 적용하는 단계 등에 대한 향상을 포함할 수도 있다.Since only the current contact positions are used in the average position calculation, the rotation and tilt vectors are independent of the side motions, such as hand translation or rotation, which are fully achieved as long as the side motion does not interfere with finger presses. However, hand scaling and differential hand pressure are difficult to use at the same time, because generally flexible fingers are significantly reduced in the fingertip contact area and interfere with the consequences of fingertip pressure changes. When this is a serious problem, the total hand pressure component can be used in the sixth degree of freedom in place of the hand scaling component. This total pressure component is cursory along the z-axis, making the speed proportional to the average deviation of contact proximity. Alternative embodiments may include improvements to adapting reference proximity to slow changes in stationary hand pressure, applying dead zone filters that ignore pressure difference vectors of small magnitudes, and the like.
극 속도, 병진 속도, 및 합성 벡터들이 서로 독립적인 손 압력 성분을 측정하기 위해 주의함에도 불구하고, 손 스케일링, 회전 또는 병진 동안 고르지 않는 손가락 모션은 또 다른 것을 움직이기 위한 첫 시도동안 하나의 자유도의 측정시 여전히 중요하지 않은 혼란을 야기할 수 있다. 도 34의 단계들(510 및 512)에 적용된 비 선형 필터링은 최대의 영향력을 가진 성분들과 거의 정지한 성분들 사이의 남아있는 모션 누출양을 제거한다. 단계(510)에서 각 성분 속도는 최대의 모든 성분 속도들에 대한 평균 속도의 비율에 의해 다운스케일되며 최대의 영향력을 가진 성분 속도는Although pole speed, translation speed, and composite vectors are careful to measure hand pressure components that are independent of each other, uneven finger motion during hand scaling, rotation, or translation results in one degree of freedom during the first attempt to move another. Measurements can still cause minor confusion. The non-linear filtering applied to
여기서 Hsyspeed[n], Hsspeed[n] 및 Hrspeed[n]은 병진 속도, 스케일링 속도 및 회전 속도의 시간상의 자기 회귀 평균들이며, 여기서Where Hsyspeed [n], Hsspeed [n], and Hrspeed [n] are theautonomic regression averages of translational speed, scaling speed, and rotational speed, where
여기서 pds 는 필터의 세기를 제어한다. pds가 무한대를 향하여 조정될 때 최대의 영향력을 가진 성분은 선택되며 최대의 영향을 가진 것 보다 작은 모든 성분들은 이미 공지된 출원에 결과로 직교 커서를 산출하는, 0으로 향하는 경향이 있다. pds가 0으로 향하게 조정될 때, 필터들은 영향을 받지 않는다. 바람직하게도, pds는 최대의 영향력을 가진 것보다 현저히 느린 성분들이 보다 느리게 되는 사이에 놓여지며, 속도에 있어 최대의 영향력을 가진 것과 근접한 성분들은 거의 영향을 미치지 않으며, 즉시 다수의 자유도에서 대각선 모션의 가능도를 보존한다.Where pds controls the strength of the filter. When pds is adjusted toward infinity, the component with the greatest influence is selected and all components smaller than the one with the largest influence tend to go to zero, resulting in an orthogonal cursor as a result in already known applications. When pds is adjusted to zero, the filters are not affected. Preferably, pds lies between slower components that are significantly slower than those with maximum influence, and components closest to the one with maximum influence on speed have little effect, and instantaneous Preserving the likelihood
자기 회귀 평균은 장기간의 최대의 영향력을 가진 성분 또는 성분들을 고르는 것을 도우며 최대의 영향력을 가진 성분들이 천천히 멈추는 동안 다른것들도 심 지어 멈춰진다.The autoregressive mean helps to pick out the components or components with the longest maximum impact, and even others while the components with the maximum impact slowly stop.
단계(512)는 데드존 필터로 공지된 관련된 필터를 제 2 패스로 취한다. 데드존 필터는 속도 임계보다 작은 입력 속도에 대해 0 출력 속도를 산출하지만 입력 속도와 임계를 초과하는 입력 속도들의 임계 사이의 차와 비례하여 출력 속도를 산출한다. 바람직하게도, 속도 임계 또는 데드 존 폭은 현재 성분 속도들의 최대 마찰로 설정된다. 모든 속도 성분들은 동일한 데드 존 폭을 사용하여 필터링된다. 최종 추출된 성분 속도들은 임의의 입력 이벤트들이 모션들로부터 발생되어야만 하는지를 결정하는 감정 모션 인식기 모듈(18)로 향하게 된다.Step 512 takes the associated filter, known as the dead zone filter, in a second pass. The dead zone filter yields zero output speed for input speeds less than the speed threshold but calculates the output speed in proportion to the difference between the input speed and the threshold of input speeds above the threshold. Preferably, the velocity threshold or dead zone width is set to the maximum friction of the current component velocities. All velocity components are filtered using the same dead zone width. The final extracted component velocities are directed to the emotional
도 39a는 손가락 동기 검출 모듈(14)의 상세를 도시한다. 하기에서 기술된 동기 검출 처리는 각 손에 대해 독립적으로 반복된다. 단계(600)는 근사치기록 기구와 손의 현재 경로에 대한 식별자를 인출한다. 식별자들은 손바닥 경로를 무시하고 동기화된 손가락들의 조합들을 식별하기 위해 필요하며 근사치기록 기구는 각 접촉 경로가 먼저 근사치임계를 넘을 때의 시간을 기록하며, 근사치기록 기구는 각 접촉 경로가 먼저 압력 근사치임계를 넘을 때의 시간과 각 접촉 경로가 총 들어올려지기 전의 투하 근사치임계하에서 떨어지는 시간을 기록한다. 분할 검색 처리(264)에 의해 중요하게 고려된 최소 근접도보다 이 근사치임계들을 다소 높게 설정하는 것은 손가락 압력과 해제 시간들을 보다 정밀하게 산출한다.39A shows details of the finger
단계(603)는 대략 같은 시간에 아래로 누르는 손가락들의 부분집합과 대략 같은 시간에 들어올리는 손가락들의 부분집합을 검색한다. 이는 압력 근사치임계를 교차할 대 임의의 순서로 된 리스트에서 그 압력 시간을 따라 각 손가락 경로를 기록함으로써 행해질 수 있다. 손바닥의 첫 기능은 손 아크 정지동안 팔뚝을 지탱할 것이며 손바닥 활동은 타이핑(12) 및 차동 손 압력 추출 동안 손바닥 밑부분 압력들이 이 리스트와 대부분의 다른 동기 테스트들로부터 배제될 수 있음을 제외하고 감정 모션 인식기들(18)에 의해 무시된다. 2개의 가장 최근의 손가락 압력들 사이의 동기를 검사하기 위해, 리스트에 기입하는 2개의 가장 최근의 압력 시간들이 비교된다. 압력 시간들 사이의 차가 일시적인 임계보다 작은 경우, 2개의 손가락 압력들은 동기화된 것으로 간주된다. 아닌 경우, 가장 최근의 손가락 압력이 비동기화된 것으로 간주된다. 5개에서 3개 또는 그 이상의 손가락들 사이의 동기는 3개, 4개, 또는 5개 이상의 최근 리스트 기입의 압력 시간들을 비교함으로써 발견된다. 가장 최근의 압력 시간의 기입은 일시적인 임계의 n 번째 최근 기입내에 있는 경우, n 개의 가장 최근의 손가락 압력들 사이의 동기는 표시된다. 손 양단의 터치다운내의 부정확성을 수용하기 위해, 일시적인 임계의 크기는 동기를 위해 테스트되는 손가락들의 수에 비례하여 다소 증가되어야 한다. 동기화된 것이 발견된 최근의 손가락 압력들의 가장 큰 집합은 동기화된 부분집합으로 기록되며 이 부분집합을 포함하는 손가락 식별자들의 조합은 통상적으로 손가락 식별자 비트필드에 저장된다. 용어 부분집합은 동기화된 압력 부분집합이 현재 표면을 터치하는 모든 손가락들을 포함하지 않기 때문에 손가락이 다른 손가락이 그들과 동시에 터치다운하는 것과 같이 터치하는 것이 아직 남아있는 것보다 더 일찍 터치다운할 때 발생하는 것과 같이, 사용된다. 손가락 해제 시간들의 순서화된 리스트는 유사하게 유지보수되며 개별적으로 검색된다. 대안적인 실시예는 동기화된 압력 부분집 합내에 포함될 표면을 아직도 터치하는 손가락을 요청할 수도 있다.Step 603 retrieves a subset of fingers that are lifted at about the same time as a subset of fingers that press down at about the same time. This can be done by recording each finger path along its pressure time in a random ordered list when crossing the pressure approximation threshold. The first function of the palm will support the forearm during hand arc stop and palm activity is emotional motion except during
판단 마름모(602)는 동기 기록 기구가 이전 영상 스캔 사이클에 계류중인지 여부를 검사한다. 그렇지 않은 경우, 판단 마름모(604)는 검색(603)이 현재 근사치영상에서 최근에 동기화된 압력 부분집합을 발견했는지 여부를 검사한다. 그런 경우, 단계(606)는 새로운 동기화된 부분집합내의 가장 나중에 눌려진 것에 대해 일시적인 동기 기록 기구를 설정한다. 부가적인 손가락 압력이 이 일시적인 동기 기록 기구의 값에 영향을 미치지 않는 나중의 스캔 사이클들 동안 부분집합에 부가될 수도 있다. 현재 손가락 압력 동기가 없는 경우, 판단 마름모(605)는 3개 또는 그 이상의 손가락들이 동시에 해제되었는지 여부를 결정한다. 3개 또는 그 이상의 손가락들의 동시 해제는 한 세트의 손가락들로 타이핑하는 동안 발생하지 않지만 휴지로부터 손가락을 표면으로 들어올릴 때 발생한다. 그러므로 3개 또는 그 이상의 손가락들의 동시 해제는 해제된 손가락들이 키프레스로 의도되지 않으며 같은 손가락들이 동기적으로 터치다운되는지 여부와는 상관없이 키프레스 큐(605)로부터 삭제되어야 함을 확실하게 나타낸다. 2개의 손가락의 해제 동기는 그 자체로 의향을 타이핑하는 믿을 만한 표시기는 아니며 키프레스 큐에 영향을 미치지 않는다. 키프레스 큐는 도 42-43b에 나중에 기술된다.The
손에 대한 누르는 동기 기록 기구가 계류 중일 때, 추가의 처리 단계는 동기화된 눌려진 손가락 수를 검사하며 동기화된 손가락들의 해제를 기다린다. 판단 마름모(608)는 동기화된 압력 부분집합에서 3개 또는 그 이상의 손가락들을 찾으며, 사용자는 가능한한 이 손가락들로 타이핑할 수 없다. 그러므로 단계(612)는 키프레스 큐에서부터 3개 또는 그 이상의 동기화된 압력들을 즉시 삭제한다. 이 방법은 키 심벌 전송을 호스트로 하게 하며, 이후의 비동기 압력들에서 키 심벌들의 전송은 해제될 동기화된 손가락들을 기다리게 블록화되지 않는다.When the pressing sync recording mechanism for the hand is pending, an additional processing step checks the number of synchronized pressed fingers and waits for the release of the synchronized fingers. The
그러나, 동기가 2개의 손가락 압력들(608)을 포함할 때만, 사용자가 손가락 쌍 줄을 가볍게 두드릴지 또는 2개의 인접한 키들을 타이프할지 여부를 아는 것은 어려우며 잘못하여 동시에 키를 누르는 것이 발생할 수 있다.However, only when the sync includes two
이와 같은 임시 동시 프레스는 통상 2개의 핑거들의 비동기 릴리스에 의해 추종되지만 핑거 쌍 코드들은 동기적으로 릴리스되므로, 프레스가 비동기 키 탭들 또는 코드 탭들인가의 여부의 판정은 핑거 릴리스가 동기화를 위해 검사될 수 있을 때까지 지연되어야 한다. 한편, 단계 610은 키프레스 큐 상에 홀드를 놓아 키 가능한 핑거 코드 또는 임의의 후속 핑거 프레스로부터 심볼이 전송되는 것을 방지한다. 키 전송시 긴 백업을 방지하기 위해, 판정 다이어몬드(614)는 양 핑거들이 장시간 터치를 유지하면 키프레스 큐로부터 동기된 프레스를 삭제하는 단계 615를 가짐으로써 큐 홀드를 실제로 릴리스한다. 이것은 프레스가 키 탭으로서 의도된 가설을 쓸모 없게 하지만, 프레스는 또한 핑거가 터치다운 후 곧바로 상승되면 키 탭이 되는 경향이 덜하다.This temporary simultaneous press is usually followed by an asynchronous release of two fingers but the finger pair codes are released synchronously, so the determination of whether the press is asynchronous key taps or code taps can be checked for synchronization. There must be a delay until there is.
동기화된 핑거가 상승되지 않으면, 판정 다이어몬드(616)는 동기화 마커 펜딩을 벗어나 동기화가 검사한 다음 스캔 사이클후 갱신된 경로 패러미터(600)로 계속될 수 있다. 동기화된 핑거들이 상승되고, 그러나 판정 다이어몬드(618)가 동기화 릴리스 서치(603)의 도움으로 이들이 그러한 비동기(618)를 행하고 있다는 것 을 발견하면, 단계 622는 임의의 동기화된 핑거 쌍이 2개의 키프레스가 되도록 의도된 것으로 가정하면 키프레스 큐 대에 임의의 홀드를 릴리스한다. 동기화된 핑거 플레스가 이 때에 키프레스 큐로부터 삭제되지 않지만, 눌린 서브세트가 2이상을 포함하면 이들은 이미 단계 612에서 삭제되었다. 또한, 단계 624는 임시 동기화 마커를 클리어하며, 더 이상의 동기화 실험은 이 서브세트를 위해 행해질 필요가 없다는 것을 나타낸다. 도 39B에 계속하여, 핑거들이 터치다운 중 동기화되고 또한 상승되면, 단계 618은 포지티브 릴리스 동기화 시험인 경우에 키프레스 B로부터 임의의 홀드 및 이들을 제거한다. 추가의 테스트는 동기화된 핑거가 추가의 코드 탭 조건과 일치하는지의 여부의 판정이 이어서 행해진다. 단일 핑거 탭에 있어서, 동기화된 핑거들은 이들이 코드 탭으로서 한정되는 것이면 약 절반 이상의 표면 상에 유지될 수 없다. 판정 다이어몬드(626)는 이것을 최후의 나머지 동기화 핑거와 임시 프레스 동기화 마커의 릴리스 사이의 시간을 넘음으로써 시험한다. 코드 탭은 또한 제한된 양의 측방향 핑거 운동을 나타내고, 피크 핑거 속도 또는 판정 다이어몬드(628)의 터치다운 이래로 이동된 거리의 평균으로서 측정된다. 퀵 릴리스 및 한정된 측향 움직임 조건과 부합하지 않는다면, 단계 624는 동기화 마커를 동기화된 핑거가 단지 정지 핑거 또는 코드 슬라이드의 부분 중 어느 하나이다라는 결론을 클리어한다.If the synchronized finger is not raised,
코드 탭 조건이 일치하면, 단계 630는 동기화된 서브세트 비트필드를 사용하여, 코드 잽에 핑거의 조합으로 할당된 마우스 클릭 또는 키보드 명령 등의 어떤 입력 이벤트를 탬색한다. 모두 4개의 손가락끝을 구비하는 이와 같은 것들의 몇 몇 코드는 레스팅 코드(634)로서 예약되어도 되며, 이 경우 판정 다이어몬드(632)는 이들이 입력 이벤트와 관련이 없다는 것을 발견할 것이다. 코드가 탭 입력 이벤트를 가지면, 단계 636는 이들을 호스트 통신 인터페이스(20)의 메인 유출 이벤트 큐에 첨부한다. 끝으로 단계 624는 주어진 손의 미래의 핑거 동기화 준비에 동기 마커를 클리어한다.If the code tap condition matches, step 630 uses the synchronized subset bitfield to search for any input event, such as a mouse click or keyboard command, assigned with a combination of fingers at code 잽. Some of the codes, such as those with all four fingertips, may be reserved as the resting
타이핑 중 코드 탭이 임의로 발생하는 것에 대한 추가의 예방 조치로서, 판정 다이어몬드(632)가 사이의 코드 슬라이드 없이 유효 키프레스 직후 오는 제 1 코드 탭을 단계 634를 통해 무시하는 것이 유용하다. 통상적으로 타이핑후 사용자는 클릭, 인터브닝 코드 슬라이드를 요구하기 전에 마우스 커서를 재위치시킬 필요가 있다, 마우스 커서가 타이핑 후 제 이치에 이미 있으면, 사용자는 보내질 클릭을 위한 제 2 시간 핑거 코드를 두드려도 되지만, 이것은 타이핑 세션의 중간에 의도되지 않은 마우스 버튼 클릭을 일으키는 우연한 코드 탭을 가지는 것보다 위험성이 적다.As a further precaution against randomly occurring code taps during typing, it is useful to override via
도 40A는 코드 모션 인식기 모듈(18)의 상세한 단계를 나타낸다. 이하에 상세히 기술되는 코드 모션 인식 처리는 각 손에 대해 독립적으로 반복된다. 단계 650은 움직임 추출 모듈(16)로부터의 손의 식별 경로(250)와 추출된 손 움직임 성분의 패러미터를 검색한다. 핑거 코드의 슬라이드가 아직 시작되지 않았으면, 판정 다이어몬드(652)는 슬라이드 개시 시험(654, 656)을 명령한다. 타이핑 중 핑거 잽을 글랜싱하는 것을 슬라이드가 구분하기 위해, 판정 다이어몬드(654)는 손으로부터의 적어도 2개의 핑거가 개시를 위해 슬라이드 모드를 위한 표면을 터치할 필 요가 있다. 이러한 규칙 이외에도 몇 가지가 있다. 예를 들면 단일 핑거가 1초내에 이전 슬라이드를 재점유하도록 하는 것 또는 이전 슬라이드 코드가 표면을 떠나는 것을 들 수 있다.40A shows the detailed steps of the code
바람직한 실시예에 있어서, 사용자는 슬라이드를 개시할 수 있고 그 코드를 2개의 방법 중 하나로 지정할 수 있다. 첫 번째 방법에 있어서, 사용자는 표면 위에서 손 플로팅(hand floating)을 개시하고, 몇몇 손가락을 표면 위에 가능한 한 비동기적으로 놓고, 이들 모든 손가락을 옆으로 이동시키기 시작한다. 판정 다이어몬드(656)는 중요한 모션이 터칭 핑거 모두에 검출될 때에만 슬라이드 모드를 개시한다. 단계 658는 터치다운 동기화에도 불구하고, 중요한 모션이 검출될 때 터치하는 핑거의 조합으로부터 코드를 선택한다. 이 경우 터칭 핑거의 모두에서 모션의 간섭성의 초기화는 정지 핑거로부터 슬라이드를 구별하기에 충분하므로, 터치다운의 동기화가 불필요하다. 또한, 무경험 사용자는 다수의 핑거가 필요하다는 것을 망각하고, 단지 하나의 손가락을 표면 위에 놓고 슬라이드 시킴으로써 슬라이드를 개시하고자 하는 잘못을 저질을 수 있다. 비동기 터치다운의 허용은 코드에 대한 요구되는 나머지 핑거를 연속하여 놓고 슬라이딩함으로써 이들이 이것을 이음매 없이 정정할 수 있게 한다. 슬라이드 코드는 이 후 사용자가 모든 손가락을 강제로 픽업하지 않고 초기화하고 동기화된 손가락 터치다운으로 개시할 수 있다.In the preferred embodiment, the user can initiate the slide and specify the code in one of two ways. In the first method, the user initiates hand floating on the surface, places some fingers on the surface as asynchronously as possible, and starts moving all these fingers sideways.
두 번째 방법에 있어서, 사용자는 표면 위에 정지하고 있는 다수의 손가락으로 개시하고, 이들 손가락들의 서브세트를 상승시키고, 서브세트를 동기적으로 표면상에서 다시 터치하여 코드를 선택하고, 슬라이드를 개시하기 위해 서브세트를 옆으로 이동시키기 시작한다. 판정 다이어몬드(656)는 실제적으로 동기화된 서브세트의 핑거 모두의 중요한 모션을 검출했을 경우 슬라이드 모드를 개시한다. 이러한 과정 중 표면 위에 정지하고 있는 핑거가 움직이기 시작하는지의 여부는 중요한 것이 아니다. 왜냐하면 이 경우 선택된 코드가 모든 터칭 핑거의 세트로부터가 아닌 동기화된 프레스 서브세트의 손가락의 조합에 의해 단계 658에서 결정된다. 이러한 제 2 방법은 사용자가 슬라이드 개시전 표면으로부터 전체 손을 상승시키지 않아도 되는 이점을 가지지만, 대신에 표면에 정지하고 있는 대부분의 손의 중량을 벗어나야 하고 가장 공통의 핑거 코드를 식별하기 위해 필요한 2개 또는 3개의 손가락을 들고 눌러야 한다.In the second method, the user starts with a number of fingers stationary on the surface, raises a subset of these fingers, touches the subset synchronously again on the surface to select a code, and initiates a slide. Start moving the subset to the side.
놓여있는 손가락 위치에서의 임의의 시프트를 위한 보다 허용 오차를 제공하기 위해, 판정 다이어몬드(656)는 모든 관련 핑거가 큰 속도로 이동하고 이들이 동일 속도로 이동하는 것 모두를 요구한다. 이것은 핑거 속도의 기하학적 수단을 스레스홀딩하거나 가장 빠른 핑거 속도를 스레스홀딩하고 가장 빠른 핑거 속도의 최소 분수를 변화시킴으로써 검사되고 가장 느린 핑거 속도를 변경시키는 것은 적어도 가장 빠른 손가락 속도의 최소 플랙션이다. 코드 슬라이드가 초기화되면, 단계 660은 적어도 터칭 손가락 또는 동기화 서브세트가 상승될 때까지 키 또는 코드 탭의 인식을 디스에이블한다.In order to provide more tolerance for any shift in the position of the finger that is in place, the
일단 슬라이드가 개시하면, 코드 움직임 인식기는 단순하게 호스트로의 핑거 식별자의 선택된 조합과 쌍을 이루는 원래의 성분 속도를 보내기 시작한다. 그러나, 종래의 입력 장치의 마우스와 키 이벤트 포맷과의 백워드 호환성의 관심에 있 어서, 도 40B의 움직임 이벤트 발생 단계는 선택된 코드의 식별자에 의존하는 표준 마우스와 키 명령 이벤트에 추출된 자유도로 움직임을 변환한다. 이와 같은 움직임 변환을 지원하기 위해, 단계 658는 룩업 테이블에서 동기화된 서브세트의 터칭 핑거 또는 핑거 중 어느 하나의 식별자의 비트필드를 사용하여 코드 액티버티 구조를 찾는다. 상이한 핑거 식별자 조합은 동일한 코드 액티버티 구조와 관련이 있다. 바람직한 실시예에 있어서, 동일한 수의 엄지 손가락이외의 핑거 팁과의 모든 손가락 조합은 동일한 코드 액티버티 구조와 관련이 있으므로, 슬라이드 코드 액티버티는 엄지가 터치되는지의 여부와 얼마나 많은 엄지가 아닌 손가락이 터치되고 있는가를 구별한다. 이들 조합보다는 다수의 핑거 팁의 코드 작용에 기초하는 것은 손 당 7개의 코드까지 제공한다. 사용자는 핑거 팁이 단지 하나, 둘 또는 3개의 핑거 팁을 필요로 하는 코드에 사용되는 선택 및 변경하기 위한 자유도를 가진다. 모든 터칭 핑거 팁은 사용자가 기억하여 수행하기 쉬운 코드를 만든다. 이러한 자유도가 주어지면, 사용자는 약지 등의 손가락이 상승되지만 가운데 및 핑키 등의 주위의 손가락이 터치되는 조합보다는 자연적으로 모든 터칭 핑거 팁이 인접하는 조합을 꺼내려고 하는 경향이 있다. 하나의 코드 타이핑 연구는 모든 눌린 손가락이 가능한 한 2배로 빠른 다른 코드가 인접하는 이들 손가락 코드를 사용자가 두드릴 수 있다는 것을 발견하였다.Once the slide starts, the code motion recognizer simply starts sending the original component velocity paired with the selected combination of finger identifiers to the host. However, in the interest of backward compatibility with the mouse and key event formats of a conventional input device, the motion event generation step of FIG. 40B moves in degrees of freedom extracted to standard mouse and key command events depending on the identifier of the selected code. Convert To support such motion transformation,
각 코드 액티버티 구조의 이벤트는 슬라이스로 조직된다. 각 슬라이스는 추출된 자유도 내에서의 속도 및 방향의 특정 범위의 움직임에 응답하여 발생될 이벤트를 포함한다. 예를 들면, 마우스 커서 슬라이스는 임의의 병진 속도 및 방향이 할당된다. 그러나, 텍스트 커서 조종은 4개의 슬라이스, 즉 각 화살표 키에 대해 하나를 필요로 하고 각 화살표의 슬라이스는 병진의 좁은 방향 범위에서 움직임을 통합한다. 각 슬라이스는 또한 가가 자유도에 대해 움직임 감도 및 소위 커서 가속 패러미터를 구비한다. 이들은 호스트 컴퓨터 시스템의 존재에 의해 예측되는 화살표 키 클릭 또는 마우스 클릭 등의 유닛으로의 움직임을 분리하는 데 사용된다.The events of each code activity structure are organized into slices. Each slice contains an event to be generated in response to a specific range of movement of velocity and direction within the extracted degrees of freedom. For example, mouse cursor slices are assigned any translation speed and direction. However, text cursor steering requires four slices, one for each arrow key and each slice of arrow incorporates movement in a narrow range of translations. Each slice also has motion sensitivity and so-called cursor acceleration parameters for pseudo-freedom. They are used to isolate movement to units such as arrow key clicks or mouse clicks that are predicted by the presence of a host computer system.
코드 움직임 변환의 단계 675는 처리하기 위해 주어진 코드 액티버티 구조의 제 1 슬라이스를 취한다. 단계 676는 슬라이스 움직임 감도 및 가속 패러미터에 의해 추출된 속도 성분의 현재 값을 스케일링한다. 단계 677는 정해진 속도 성분을 슬라이스 스케일링 속도 및 방향 범위로 투영 또는 클립한다. 예로 든 마우스 커서 슬라이스에 있어서, 이것은 단지 회전을 클립핑하는 것 및 성분을 0으로 스케일링하는 것을 포함한다. 그러나 화살표 키 슬라이스에 있어서, 병진 속도 벡터는 화살표로서 동일 방향을 가리키는 유닛 벡터에 투영된다. 단계 678는 판정 다이어몬드 680이 움직임의 적어도 하나의 유닛이 누산되었는지의 여부를 판정할 때까지 슬라이스 누산기에서 시간에 대해 각각 스케일링되고 투영된 성분 속도를 적분한다. 단계 682는 슬라이스 우선 마우스, 키, 또는 3차원 입력 이벤트 포맷을 찾고, 누산된 움직임 유닛의 수를 이벤트에 첨부하고, 단계 684는 이 이벤트를 호스트 통신 인터페이스(20)의 유출 큐에 보낸다. 단계 686은 보내진 움직임 이벤트를 누산기로부터 감산하고, 단계 688은 다른 슬라이스의 누산기를 선택적으로 클리어한다. 슬라이스가 손 움직임 당 단일 키 명령을 발생하고자 하면, 판정 다이어몬드(689)는 단계 690는 상이한 방향의 인터븐스와 함께 슬라이스까지 그것으로부터 추가의 이 벤트 발생을 불가능하게 하기 위해 이 판정 다이어몬드가 원-삿 슬라이스인 것을 판정한다. 주어진 슬라이스가 최종 슬라이스이면, 판정 다이어몬드(692)는 단계 650으로 복귀하여 센서 어레이의 다음 스캔을 대기한다. 한편, 단계 694는 다른 슬라이스에 대한 현 움직임을 통합하여 변환한다.Step 675 of code motion transform takes a first slice of a given code activity structure to process. Step 676 scales the current value of the velocity component extracted by the slice motion sensitivity and acceleration parameters. Step 677 projects or clips the defined velocity component into the slice scaling velocity and direction range. For the example mouse cursor slice, this only includes clipping the rotation and scaling the component to zero. However, for arrow key slices, the translational velocity vector is projected onto the unit vector pointing in the same direction as the arrow. Step 678 integrates each scaled and projected component velocity over time in the slice accumulator until the
도 40A를 다시 참조하면, 몇몇 응용에 있어서, 추가의 핑거가 터치 다운하고 코드의 손가락 중 하나가 상승될 때는 언제라도 선택된 코드를 변경하는 것이 바람직하다. 그러나, 바람직한 실시예에 있어서, 선택된 코드는 비동기 핑거 터치 액티버티에 의한 슬라이드 개시후 변경될 수 없다. 이것은 원하는 자유도에서 가장 양호한 정밀도를 얻는 필요한 추가의 손가락을 놓거나 들어올릴 수 있는 자유도를 사용자에게 제공한다. 예를 들면, 손가락 쌍 코드가 엄지를 포함하지 않지만, 엄지가 회전의 전 다이나믹 레인지를 액세스하고 자유도를 스케일링하기 위한 슬라이드 개시직후 설정될 수 있다. 실제로, 모든 나머지 상승된 손가락은 항상 전 손에 의해 조종을 허용하기 위해 임의의 코드의 개시 후 설정될 수 있다. 마찬가지로, 모든 손가락 그러나 하나의 손가락이 상승될 수 있고, 병진운동은 계속될 것이다.Referring again to FIG. 40A, for some applications, it is desirable to change the selected code at any time when an additional finger touches down and one of the fingers of the code is raised. However, in the preferred embodiment, the selected code cannot be changed after the slide initiation by the asynchronous finger touch activity. This gives the user the freedom to release or lift the necessary additional fingers to obtain the best precision at the desired degree of freedom. For example, the finger pair code does not include a thumb, but the thumb may be set just after the start of the slide to access the full dynamic range of rotation and scale the degrees of freedom. In fact, all remaining raised fingers can be set after the start of any code to always allow for steering by the former hand. Likewise, all fingers but one finger can be raised and the translation will continue.
비동기 핑거 터치 동작이 무시되더라도, 슬라이드 초기화에 후속되는 다중 핑거의 동기화된 리프팅 및 프레싱은 새로운 동기화된 서브세트를 발생시키고 선택된 코드를 변경시킬 수 있다. 양호하게, 이것은 핸드는 멈췄지만 그 핑거는 아직 표면상에 놓여 있는 동안에만 허용된다. 결정 다이어몬드(decision diamond)는 새로운 서브세트를 검출하고, 결정 다이어몬드(656)와 유사한 결정 다이어몬드(673)내의 운동 테스팅을 시작할 것이다. 새로이 동기화된 서브세트의 모든 핑거에서 중 요한 운동이 발견되면, 단계(674)는 슬라이드 코드로서 새로운 서브세트를 선택하고, 단계(658)와 유사하게 새로운 코드 동작 구조를 조사할 것이다. 따라서, 핑거 동기화가 다시 사용자로 하여금 표면으로부터 손 전체를 들어올리도록 강요하지 않고 사용자로 하여금 다른 동작으로 스위칭하도록 허용한다. 속도 성분의 통합이 재개되지만, 새로운 코드 동작 구조로부터 발생된 이벤트는 아마도 다를 것이다.Even if the asynchronous finger touch operation is ignored, synchronized lifting and pressing of multiple fingers following slide initialization can generate a new synchronized subset and change the selected code. Preferably this is only allowed while the hand is stopped but the finger is still lying on the surface. Decision diamond will detect a new subset and begin kinetic testing in
코드 동작 구조가 선택된 가시적 또는 가청적 피드백을 사용자에게 제공하는 것이 이롭다. 이것은 표면상에 사용될 핸드당 하나의 로우씩 멀티터치 표면의 상부를 가로질러 5개의 광방출 다이오드의 한 로우를 위치시키므로써 가시적으로 달성될 수 있다. 슬라이드 모드에 들어갈 때에, 단계(658)는 선택된 코드내의 핑거들의 조합에 대응되는 이러한 광의 조합을 턴온할 것이다. 단계(674)는 사용자가 새로운 코드를 선택하면 새로운 코드 동작에 맞추도록 액티브 광의 조합을 변경할 것이고, 단계(668)는 액티브 광들의 조합을 턴오프할 것이다. 유사한 광이 호스트 컴퓨터 디스플레이(24)상에 에뮬레이트될 수 있다. 광은 또한 단계(636)에서 코드 탭 동안에 검출된 핑거 조합을 나타내도록 플래시될 수 있다. 가청적 피드백을 위한 실시는 광의 조합이 톤 또는 톤 버스트 조합으로 대치될 것이라는 것을 제외하고는 유사할 것이다. 누적 및 이벤트 발생 프로세스는 결정 다이어몬드(664)가 초기화 조합으로부터 모든 핑거에 의한 리프트오프를 검출할 때까지 모든 어레이 스캔 사이클에 대하여 반복한다. 결정 다이어몬드(666)는 다음에는 지배적인 운동 성분의 프리-리프트오프 감속 플랙을 체크한다. 이 플랙의 상태는 병진운동이 지배적이면 병진운동 추출(도37)의 단계(556 또는 558)에 의해, 또는 극성(polar) 추출의 단계 (534)에서 대응 플랙에 의해 결정된다. 상당한 감속이 존재하면, 단계(668)는 단순히 코드 슬라이드 모드를 벗어나고, 선택된 코드를 널(null)(영)로 셋팅한다. 플랙이 리프트오프 전에 상당한 핑거 감속을 나타내지 않으면, 결정 다이어몬드(666)는 선택된 코드를 위한 운동 계속 모드를 가능하게 한다. 이 모드에 있는 동안에, 단계(667)는 핑거가 표면을 터치하지 않기 때문에 아마도 영일 수 있는 현재 속도 대신에 지배적 성분 속도의 프리-리프트오프 가중된 평균(560)을 운동 누산기(678)에 인가한다. 운동 계속 모드는 동기화된 서브세트내에 있지 않는 나머지 핑거의 어느 하나라도 들어올려지거나 또는 더욱 많은 핑거가 새로이 터치 다운할 때까지 정지하지 않는다. 이것은 결정 다이어몬드(664)로 하여금 거짓이 되게 하고, 현재 선택된 코드에 의한 정상적 슬라이드 동작이 재개되게 한다. 커서 또는 스크롤링 속도가 운동 계속 모드 동안에 감소되지 않더라도, 호스트 컴퓨터는 커서가 스크린의 에지 또는 문서의 끝에 도달하면 운동 계속 모드를 중지하라는 신호를 보낼 수 있다. 유사하게, 어떠한 핑거라도 운동 계속 모드 동안에 표면상에 남아 있으면, 그들의 병진 운동은 커서 또는 스크롤링 속도를 조정할 수 있다.It is advantageous for the code behavior structure to provide the user with selected visual or audible feedback. This can be achieved visually by placing one row of five light emitting diodes across the top of the multi-touch surface, one row per hand to be used on the surface. When entering the slide mode,
양호한 실시예에서, 코드 운동은 독립적으로 각각의 손 기능을 인식하고, 각각의 코드를 위한 입력 이벤트는 독립적으로 구성될 수 있다. 이것은 시스템으로 하여금 타스크를 핸드들 사이에서 여러 가지 방법으로 할당하고, 여러 가지 바이매뉴얼(bimanual) 조작을 지지하도록 허용한다. 예로서, 마우스 커서 운동은 양쪽 핸드상의 손가락끝 쌍 코드에 할당되고, 마우스 버튼 드랙은 양쪽 핸드상의 트리플 손가락끝 코드에 할당될 수 있다. 이 방법으로, 마우스 포인터는 표면의 어느 반부 에서 어느 핸드에 의해 이동되고 드래깅될 수 있다. 주 마우스 클릭은 표면의 어느 반부상에서 손가락끝 쌍의 탭에 의해 발생될 것이고, 더블 클릭은 표면상의 3개의 손가락끝의 단일 탭에 의해 인간공학적으로 발생될 수 있다. 윈도우 스크롤링은 어느 핸드상의 4개의 핑거의 슬라이드에 할당될 수 있다.In the preferred embodiment, the code movements independently recognize each hand function, and the input event for each code can be configured independently. This allows the system to assign tasks in different ways among the hands and to support various bimanual operations. By way of example, a mouse cursor movement can be assigned to a fingertip pair code on both hands, and a mouse button drag can be assigned to a triple fingertip code on both hands. In this way, the mouse pointer can be moved and dragged by any hand on any half of the surface. The primary mouse click will be generated by the tap of the fingertip pair on any half of the surface, and the double click can be ergonomically generated by a single tap of three fingertips on the surface. Window scrolling can be assigned to slides of four fingers on any hand.
또는, 마우스 커서 조작은 상기와 같이 오른손에 또한 표면의 오른쪽 반부에 할당될 수 있으며, 대응 텍스트 커서 조작은 왼손상의 코드에 할당된다. 예로서, 왼쪽 손가락끝 쌍 운동은 운동의 방향에 대응되는 화살표 키 명령을 발생할 것이고, 3개의 손가락끝은 텍스트의 선택을 위한 시프트 화살표 조합을 발생할 것이다.Alternatively, the mouse cursor operation can be assigned to the right hand and to the right half of the surface as above, and the corresponding text cursor operation is assigned to the code on the left hand. As an example, the left fingertip pair movement will generate an arrow key command corresponding to the direction of the movement, and the three fingertips will generate a shift arrow combination for selection of text.
3 또는 4 자유도에서 조작을 지지하는 호스트 컴퓨터 시스템을 위해서, 왼손 코드는 디스플레이 배경을 팬, 줌 및 회전하기 위해서 선택될 수 있고, 오른손내의 대응 코드는 전경 대상을 병진, 재포착 및 회전시킬 수 있다. 이 코드는 선택된 코드를 변경하지 않고 코드 운동을 초기화한 후에 엄지가 하시라도 터치 다운할 수 있기 때문에 엄지를 포함할 필요는 없을 것이다. 그러면, 사용자는 회전 또는 스케일링을 시도할 때에 엄지를 표면상에 첨가할 필요가 있다.For host computer systems that support manipulation in 3 or 4 degrees of freedom, the left hand code can be selected to pan, zoom and rotate the display background, and the corresponding code in the right hand can translate, recapture, and rotate the foreground object. . This code does not need to include a thumb because it can be touched down even after the thumb has been initiated without changing the selected code. The user then needs to add a thumb on the surface when attempting to rotate or scale.
초기에 엄지를 포함하는 핑거 코드는 원-쇼트 명령 제스쳐를 위해 유보될 수 있으며, 원-쇼트 명령 제스쳐는 단지 운동의 추가적 유닛트가 검출될 때마다 전송을 반복하기 보다 오히려 코드의 각각의 슬라이드에 대해 입력 이벤트를 한번 발생시킨다. 예로서, 공통 편집 명령인 컷트, 복사 및 페이스트는 엄지 및 대향 손가락끝의 핀치 손 스케일링, 코드 탭 및 앤티-핀치 손 스케일링에 직관적으로 할당될 수 있다.Initially, a finger code including a thumb may be reserved for a one-short command gesture, where the one-short command gesture is for each slide of the code rather than repeating the transmission each time additional units of motion are detected. Fire an input event once. For example, the common edit commands cut, copy, and paste can be intuitively assigned to pinch hand scaling, chord taps, and anti-pinch hand scaling of the thumb and opposite fingertips.
도 41은 키 레이아웃 정의 및 모핑(morphing) 프로세스내의 단계를 도시하는데, 그거은 타이핑 인식 모듈(12)의 일부이다. 단계(700)는 사용자 또는 제조자에 의해 사전 규정된 키 레이아웃을 시스템 시동시에 검색한다. 키 레이아웃은 한 셋트의 키 영역 데이터 구조로 구성된다. 각각의 영역은 영역이 프레스될 때 호스트 컴퓨터에 보내어져야 할 심볼 또는 명령과 관련되며, 표면상의 영역의 중심의 위치를 나타내는 것을 조정(coordinate)한다. 양호한 실시예에서, 영문숫자 및 구두점 심볼을 포함하는 그러한 키 영역의 배치는 대체로 기계적 키보드에 공통적인 쿼티 또는 드보락 키 레이아웃에 대응한다. 멀티터치 표면 장치의 어떤 실시예에서, 핸드가 놓여 있는 위치에 키 레이아웃을 스냅하거나 모프할 수 있는 것이 이롭다. 이것은 특히 전체 데스크를 덮는 것과 같이 표준 키보드 또는 키 레이아웃보다 여러 배 큰 멀티터치 표면에 대해 도움을 준다. 그러한 표면의 하나의 적은 고정된 영역내에 키 레이아웃을 고정시키는 것은 편리하지 못할 것이며, 전체 이용가능한 표면 영역을 사용하지 못하게 할 것이다. 키 레이아웃의 위치의 변경에 대한 피드백을 사용자에게 제공하기 위해서, 멀티터치 표면의 이러한 실시예내의 키 심볼의 위치는 표면상에 영구적으로 프린트되지 않을 것이다. 그 대신에, 키 심볼의 위치는 인접 센서 어레이와 함께 멀티터치 표면내에 임베드된 광 방출 중합체, 액정 또는 다른 동적 가시적 디스플레이 수단에 의해 표면상에 재프로그램 가능하게 디스플레이될 것이다.41 shows the steps within the key layout definition and morphing process, which is part of the typing
그러한 장치가 주어지면, 단계(702)는 양쪽 핸드로부터 현재의 경로를 검색하고, 어떤 것이 레이아웃 호밍 제스쳐로서 알려질 것인지를 기다린다. 결정 다이 어몬드(704)가 핸드의 핑거의 다섯 개 모두가 표면상에 방금 동시에 위치되었다는 것을 핸드의 동기화 검출기의 도움을 받아 결정하면, 단계(706)는 핸드가 표면상에 있는 곳이면 어디든지 핸드의 홈 로우 키가 동기화된 손가락끝 아래에 놓이도록 키 레이아웃을 핸드에 스냅하려고 시도할 것이다. 단계(706)는 해드 위치 추정기로부터의 측정된 손 오프셋을 검색하고, 주어진 핸드에 의해 정상적으로 타이핑된 모든 키 영역을 측정된 손 오프셋에 비례하여 병진운동시킨다. 오프셋의 필터링된 추정치보다 오히려 현재 측정된 값이 사용될 수 있는데, 왜냐하면, 다섯 핑거가 모두 다운되었을 때에 측정된 오프셋을 붕괴시키는 핑거 오인식의 위험이 없기 때문이다. 이 과정은 홈 로우 키의 병진되지 않은 위치는 핸드에 대한 디폴트 핑거 위치와 같다고 가정한다.Given such a device, step 702 retrieves the current path from both hands and waits for what will be known as the layout homing gesture. If the
결정 다이어몬드(708)는 핑거가 중립적, 부분적으로 폐쇄된 포스쳐, 아웃스트레치되거나 또는 함께 핀치 되기 보다 오히려 폐쇄된 포스쳐내에 나타났는지를 체크한다. 포스쳐가 중립에 가까우면, 단계(710)는 각각의 핑거에 의해 정상적으로 타이핑된 키를 더욱 오프셋시킬 것이며, 그 키들은 대체로 측정된 핑거 오프셋에 의해 핑거의 동일한 컬럼내에 있는 키들이다. 여러 레이아웃 호밍 제스쳐에 걸친 이러한 핑거 오프셋의 시간적 필터링은 키의 컬럼들 사이의 간격을 사용자의 손 크기에 맞게 시케일링 하려고 시도할 것이다. 로우들 사이의 간격은 컬럼들 사이의 스켈링에 비례하여 축소된다.
핸드의 키를 위한 키 레이아웃이 놓여 있는 핸드의 크기 및 현재의 위치에 맞춰 오프되면, 단계(712)는 표면상의 심볼의 디스플레이된 위치를 업데이트하여, 사용자는 키 레이아웃이 그의 핸드의 위치에 스냅되었음을 알 수 있을 것이다. 이 단계로부터, 사용자는 타이핑할 수 있으며, 타이핑 식별기(718)는 어느 키 영역이 프레스 되었는지를 결정하기 위해서 모핑된 키 영역 위치를 사용할 것이다. 사용자가 레이아웃을 표면상의 다른 곳으로 이동시키고자 또다른 호밍 제스쳐를 수행하거나 또는 사용자가 잠시동안 양쪽 핸드를 표면으로부터 뗄 때까지, 레이아웃은 이러한 방식으로 모프된 상태로 남아 있을 것이다. 결정 다이어몬드(714)는 결국 타임아웃되어, 단계(716)는 다른 사용자 또는 사용 세션을 위한 준비를 위해서 레이아웃을 디폴트 위치에 리셋 할 수 있을 것이다.If the key layout for the hand's keys is off in accordance with the size and current position of the hand that is being placed,
키 레이아웃이 표면상에 영구적으로 프린트되는 작은 멀티터치 표면에 대해서, 키 영역의 위치에 대한 촉감의 피드백을 사용자에게 주는 것이 이롭다. 그러나, 표면상에 위치된 어떠한 촉감 지시자도 표면을 가로지르는 유연한 슬라이딩을 방해하지 않도록 주의해서 설계되어야만 한다. 예로서, 기계적 키보드 키캡스상에 일반적인 약간 우묵한 곳(shallow depression)과 유사한 각각의 키의 중심 부근의 표면내에 발생된 약간 우묵한 곳은 핸드가 표면을 가로질러 슬라이드할 때에 진동 워시보드(washboard) 효과를 야기할 것이다. 그러한 워시보드 효과를 최소화하기 위해서, 양호한 실시예에서, 멀티터치 표면은 디폴트 인덱스 손가락끝 위치로부터 디폴트 핑키(pinky) 손가락끝 위치로 연장되는 단일 연속적 우묵한 곳을 각각의 핸드의 손가락끝에 대해서 제공한다. 이것은 쿼티 키 레이아웃상에서 오른손에 대해서는 "J" 키로부터 ";" 키까지, 또한, 왼손에 대해서는 "A" 키로부터 "F" 키까지 홈 로우(home row)를 따른 낮은 약간 아치형의 채널에 대응된다. 유사하게, 엄지 각각에는 디폴트 엄지 방향에 맞도로 수직으로부터 약간 경사진 디폴트 위치에서 단일 타원형(oval-shaped) 우묵한 곳이 제공된다. 이러한 것은 양호하게 오른쪽 및 왼쪽 엄지 각각에 대하여 "Space" 및 "BackSpace" 키 영역에 대응될 것이다. 그러한 최소의 우묵한 곳은 사용자가 표면에 내려다 볼 필요 없이 또한 표면상에서의 핑거 코드의 슬라이딩 및 조작을 현저히 붕괴시키지 않고 사용자의 핸드를 키 레이아웃의 홈 로우로 촉감에 의해 되돌려 안내할 수 있다.For small multi-touch surfaces where the key layout is permanently printed on the surface, it is advantageous to give the user a tactile feedback about the location of the key area. However, any tactile indicator located on the surface must be carefully designed so as not to interfere with the flexible sliding across the surface. For example, the slightly recessed areas that occur within the surface near the center of each key, similar to the typical shallow depression on the mechanical keyboard keycaps, are vibrating washboard effects as the hand slides across the surface. Will cause. To minimize such washboard effects, in a preferred embodiment, the multitouch surface provides a single continuous recess for each fingertip that extends from the default index fingertip position to the default pinky fingertip position. This is equivalent to a ";" from the "J" key for the right hand on a qwerty key layout. Up to the key, also for the left hand, corresponds to the lower slightly arcuate channel along the home row from the "A" key to the "F" key. Similarly, each thumb is provided with a single oval-shaped recess in the default position that is slightly inclined from vertical to fit the default thumb direction. This would preferably correspond to the "Space" and "BackSpace" key areas for the right and left thumb respectively. Such minimal recesses can be tactilely guided the user's hand back into the home row of the key layout without the user having to look down at the surface and without significantly disrupting sliding and manipulation of the finger cord on the surface.
홈 로우를 벗어난 키 영역의 위치는 다른 형태의 촉감 지시에 의해 마킹될 수 있다. 키 영역에서 표면을 단순히 거칠게 하는 것은 효과가 없을 것이다. 인간이 핑거를 직물상에서 슬라이딩시킬 때에 쉽게 직물을 구별하지만, 대부분의 직물은 직조된 영역상에서 빠른 탭 동안에 알아차릴 수 없다. 비교적 급격한 에지 또는 돌출부만이 타이핑 상태하에서 사용자의 핑거에 의해 감지될 수 있다. 따라서, 브레일 도트와 같은 약간 상승된 도트가 각각의 키 영역의 중심에서 표면의 상부에 형성된다. 사용자는 손가락끝상에서 도트가 느껴지는 곳으로부터 그들의 타이핑 스트로크의 정확성에 대한 피드백을 수신한다. 이 피드백은 미래의 키프레스 동안에 핑거의 목표를 교정하기 위해서 사용될 수 있다. 단일 핑거 슬라이드는 코드 운동 식별기에 의해 무시되므로, 사용자 역시 특정한 키 영역의 도트의 촉감 탐색에서 표면의 주위에서 핑거를 슬라이드시킬 수 있으며, 다음에는 도트가 발견되었을 때에 표면을 모두 볼 필요 없이 키 영역을 탭할 수 있다. 각각의 도트는 탭핑 동안에 느낄 수 있을 만큼만 크면 되며, 표면을 가로지르는 코드 슬라이드를 방해하도록 커서는 않 된다. 도트가 슬라이딩을 방해하도로 크지 않더라도, 그것은 표면을 벗 어난 도트의 부근의 손가락끝의 살을 상승시키므로써 여전히 말단부 및 손가락끝 중심 측정을 붕괴시킬 수 있고, 따라서, 아래의 말단부 감지 전극으로부터 살을 국부적으로 분리시킨다. 따라서, 양호한 실시예에서, 표면 유전체 위의 각각의 도트의 부분은 도체 물질로 만들어 졌다. 이것은 상승된 손가락끝 살과 아래의 전극 사이의 용량성 커플링을 개량한다.The location of the key area outside the home row can be marked by other types of tactile indications. Simply roughening the surface in the key area will have no effect. Humans easily distinguish fabrics when sliding their fingers on the fabric, but most fabrics are not noticeable during quick taps on the woven area. Only relatively sharp edges or protrusions can be sensed by the user's fingers under typing. Thus, slightly raised dots, such as braille dots, are formed on top of the surface at the center of each key region. The user receives feedback on the accuracy of their typing stroke from where the dot is felt on the fingertip. This feedback can be used to calibrate the target of the finger during future key presses. Since a single finger slide is ignored by the code motion identifier, the user can also slide the finger around the surface in the tactile search of the dot in a particular key area, and then move the key area without having to see all of the surface when the dot is found. You can tap. Each dot needs to be large enough to be felt during tapping and should not be cursory to interfere with code slides across the surface. Even if the dot is not large enough to interfere with sliding, it can still disrupt the distal and fingertip center measurements by raising the fingertip's flesh near the off-surface dot, thus removing the flesh from the lower distal sensing electrode. Local separation. Thus, in a preferred embodiment, the portion of each dot on the surface dielectric is made of conductor material. This improves the capacitive coupling between the raised fingertips and the underlying electrode.
도 42는 상기 키프레스 삭제 루프 내의 단계들을 나타낸다. 단계(750)는 상기 현재 식별된 경로 데이터(25)으로부터 손 부분의 터치다운 또는 상기 표면으로 인해 최근에 생성된 임의의 경로들을 검색한다. 결정 마름모꼴(752)은 키프레스 근접에 도달된 상기 경로 근접이 상기 현재 센서 배열을 스캔하는 동안 상기 제 1 시간에 대해 검토하는지 여부를 검사한다. 만일 상기 근접이 상기 임계치에 아직 도달되지 않았거나 그 이전에 이미 한계를 초과했다면, 제어는 상기 다음의 최신 경로 상의 키프레스 검출을 시도하기 위해서 단계(750)으로 되돌아 온다. 만일 상기 경로가 상기 키프레스 접근 임계치에 단지 교차되었다면, 결정 마름모꼴(754)은 상기 접촉 경로가 손바닥보다는 핑거로서 식별되었는지 여부를 검사한다. 상기 사용자들에게 상기 표면 상의 어디든 상기 손바닥들에 대한 자유로운 휴식을 주는 것은, 손바닥은 일반적으로 키프레스들로 인한 압력들이 없기 때문에 무시된다. 상기 경로가 핑거라고 가정하면, 결정 마름모꼴(756)은 상기 손의 상기 식별된 핑거가 감정 슬라이드 제스쳐(chord slide gesture)의 수행 또는 상기 펜을 잡은 손의 구성을 통해 쓰여진 것으로 생긴것인지 여부를 검사한다. 비동기적인 핑거 누르기들은 이들 동작들이 시작될 때 무시되며, 도 40A의 단계(660)에 나타나있다. 그러 한 손 동작들이 진행중이지 않는다고 가정하면, 결정 마름모꼴(757)은 상기 핑거가 적어도 2 개의 센서 배열 스캔 사이클들 동안 상기 표면에 대고, 터치다운 이전에 여러 스캔 사이클들 동안 상기 표면에서 들어올려졌는지 검사하는 디바운스 테스트들(debounce tests)을 계속 진행한다. 상기 경로 추적 모듈(도 22)은 단계(334)에서 만일 상기 핑거를 떼었다가 다시 빠르게 동일한 지점에 핑거를 대었다면, 핑거의 구 경로 리액티베이팅(reactivating)에 의해 디바운싱하는 그러한 리프트오프를 용이하게 한다. 상기 리액티베이션에서, 상기 구 경로에 의한 마지막 리프트오프의 시간 스탬프는 상기 새로운 터치다운의 시간 스탬프와의 비교에 대해 보호되어야 한다.42 illustrates steps within the keypress erase loop. Step 750 retrieves any paths recently generated from the currently identified path data 25 due to the touchdown of the hand portion or the surface.
만일 이들의 모든 테스트들이 통과되면, 단계(758)는 상기 현재 경로 위치(Px[n], Py[n])를 찾고, 단계(760)는 참조 위치가 상기 핑거 끝 중심에 가장 가까운 상기 키 영역을 찾는다. 결정 마름모꼴(762)은 상기 가장 가까운 영역이 상기 핑거의 타당한 거리 내에 있는지 및 상기 핑거 누르기가 무시되지 않아야 하는지 여부를 검사한다. 키 영역이 상기 핑거에 근접하다고 가정하면, 단계(764)는 상기 경로 인덱스 식별자와 핑거 동일성, 상기 가장 가까운 키 영역 및 상기 키프레스 근접 임계치에 교차될 때를 나타내는 시간 스탬프를 포함하는 키프레스 요소 데이터 구조를 생성한다. 그 후, 단계(766)는 이 요소 데이터 구조를 FIFO 키프레스의 큐 테일에 추가한다. 이것이 이루어지면, 단계(750)으로 되돌아가는 처리는 다른 핑거들에 의해 터치다운되는 것을 기다리거나 처리한다.If all of these tests pass, step 758 finds the current path location (Px [n], Py [n]), and step 760 indicates that the reference location is closest to the center of the fingertip. Find the key area.
그것들이 상기 키프레스 근접 임계치를 통과할 때 상기 키프레스 큐는 핑거 터치다운들을 효과적으로 정렬한다. 따라서, 각 핑거 탭으로부터 상기 호스트로 전송될 키 심볼들의 순서가 고정된다. 그러나, 요소의 키 심볼은 상기 키프레스 큐에서 한번 상기 호스트의 전송이 보증되지 않는다. 누르는 핑거들의 동기화된 서브세트의 부분과 같은 임의의 수의 조건들은 상기 호스트로 전송되기 전에 상기 큐로부터 제거되는 원인이 될 수 있다. 이러한 경우에 있어서, 상기 키프레스 큐는 키프레스 후보자 큐를 고려하여야 한다. 상기 동기화 검출기에서 각 손에 대해 개별적으로 유지되는 상기 핑거 터치다운들 및 해제의 정렬된 리스트들과는 달리, 상기 키프레스 큐는 양손 모두의 상기 핑거 터치다운들을 정렬하고 포함한다.The keypress cue effectively aligns finger touchdowns as they pass the keypress proximity threshold. Thus, the order of key symbols to be transmitted from each finger tap to the host is fixed. However, the key symbol of the element is not guaranteed to be transmitted by the host once in the keypress queue. Any number of conditions, such as part of a synchronized subset of pressing fingers, can cause removal from the queue before being sent to the host. In this case, the keypress queue should consider the keypress candidate queue. Unlike the sorted lists of finger touchdowns and releases that are maintained separately for each hand in the synchronization detector, the keypress cue aligns and includes the finger touchdowns of both hands.
도 43A는 상기 키프레스 승인 및 전송 루프 내의 단계들을 나타낸다. 단계(770)는 상기 키프레스 큐의 헤드에서 상기 요소를 선택하며, 그것은 유효하지 않은 키프레스 후보자로서의 상기 큐로부터 제거되지도 않고 그 연관된 키 심볼들이 전송되지 않는 가장 오래된 핑거 터치다운을 나타낸다. 결정 마름모꼴(772)는 상기 경로가 여전히 핑거로서 식별되는지 여부를 검사한다. 상기 큐 경로 대기 동안의 근접은 상기 식별 시스템은 상기 경로가 실질적으로 손바닥 뒤쪽으로부터 임을 결정하고, 단계(778)의 경우에 있어서는 상기 키프레스 요소를 상기 호스트로 정송하지 않고 제거하며, 단계(770)은 다음 요소에 처리되도록 진행된다. 결정 마름모꼴(774)은 또한, 그 프레스가 같은 손의 다른 핑거들과 함께 동기적으로 발생한다면, 상기 요소를 무효로 한다. 따라서 결정 마름모꼴(774)은 상기 동기화 검출 처리(도 39)의 결정 명령 단계들(601, 612, 615, 620)을 계속 수행한다. 측면 핑거 움직임은 시작하기 위한 감정 슬라이드가 아직 야기되지 않더라도, 터치다운 이후로 너무 많은 측면 핑거 모션이 발생된다면 결정 마름모꼴(776)은 상기 키프레스를 무효로 한다. 사용자들이 상기 표면 상의 타이핑에 손댈 수 있기 때문에, 측면 움직임의 여러 밀리미터들은 키들에 대해 빠르게 도달할 때 종종 발생하는 빗나간 손가락끝 모션들을 조정하기위해 허가된다. 이것은 마우스 커서 조작과 키에 대한 단일 핑거 탭 또는 마우스 버튼 클릭 에뮬레이션을 사용하는 터치패드들에 의해 허용되는 것보다 많은 빗나간 탭 움직임이다.43A illustrates steps within the keypress grant and transmit loop. Step 770 selects the element at the head of the keypress cue, which represents the oldest finger touchdown that is not removed from the queue as an invalid keypress candidate and its associated key symbols are not sent.
결정 마름모꼴(780)은 상기 핑거의 생성된 터치다운의 상기 키프레스 요소가 상기 표면으로부터 들어올려졌는지 여부를 검사한다. 만일 그렇다면, 결정 마름모꼴(782)은 보통의 키 탭으로 한정하기에 충분하도록 들어올려졌는지 여부를 검사한다. 만일 그렇다면, 단계(784)는 상기 호스트로 상기 연관된 키 심볼을 전송하고, 단계(778)는 상기 큐의 헤드에서 제거한다. 키프레스는 리프트오프로 상기 큐포부터 항상 제거되지만, 상기 탭을 초과하는 타임아웃에 대한 상기 표면 상에 남아있다 하더라도, 아래에 설명되는 것과 같이, 그것은 변경자 키, 손이 활동하지 않는 순간적인 누르기 또는 타이프메틱(typematic) 누리기로서 전송을 여전히 일으킨다.
키프레스가 상기 호스트로 전송될 때, 상기 멀티터치 표면 장치, 알아들을 수 있는 클릭을 발생하기 위한 호스트 컴퓨터 또는 상기 사용자로 피드백되는 경고음(beep)의 소리 발생 장치에 대해 편리하다. 키프레스들에 응답하는 경고음 피드백과 알아들을 수 있는 클릭의 발생은 상업용의 터치스크린들, 키오스크들(kiosks), 장치 제어 패널들 및 기계적 키보드들에서 잘 알려져 있으며, 상기 키스 위치 동작은 거의 조용하고 상기 사용자에 개별적으로 느껴지는 힘 임계치를 만들지 않는다. 피드백은 또한 각 키프레스가 전송되는 플레시들의 상기 멀티터치 표면 장치 상의 빛으로서 제공될 수 있다. 변경자 키프레스들에 의해 첨부된 키프레스들은 더 긴 플레시들 또는 상기 키 심볼이 변경자들을 포함하는 것에 응답하기 위한 톤들에 기인할 수 있다.When a key press is sent to the host, it is convenient for the multi-touch surface device, a host computer for generating audible clicks, or a beep generating device fed back to the user. The occurrence of beep feedback and audible clicks in response to key presses are well known in commercial touchscreens, kiosks, device control panels and mechanical keyboards, and the kiss position operation is nearly silent and the It does not create force thresholds that are felt individually by the user. Feedback may also be provided as light on the multi-touch surface device of the flashes to which each key press is transmitted. Key presses appended by modifier key presses may be due to longer flashes or tones for responding that the key symbol contains modifiers.
만일 상기 핑거가 아직 들어올려지지 않았다면, 결정 마름모꼴(786)은 그 연관된 키 영역이 <shift>, <ctrl> 또는 <alt>와 같은 변경자인지 여부를 검사한다. 만일 그렇다면, 단계(788)는 상기 해드를 제거하지 않은 상기 큐에서 다음 요소로 전진한다. 만일 상기 다음 요소가 유효한 키 탭이라면 처리는 단계(722)에서 보기위해서 계속될 것이다. 만일 상기 다음 요소가 상기 전송 단에 성공적으로 도달하면, 단계(784)는 여전히 눌려져 있는 임의의 변경자 영역들에 대한 상기 큐의 해드 쪽으로 스캔될 것이다. 그 후, 단계(784)는 임의의 앞선 변경자 영역들의 심볼들을 수정하는 것을 따라 상기 다음 요소의 키 심볼을 전송할 수 있다.If the finger has not yet been lifted,
결정 마름모꼴(782)은 상기 사용자들이 상기 표면 상에 핑거를 대는 것과 전송되는 키에 대한 수백 밀리세컨드 내에서 들어지는 것을 요구한다. 이 들어올리는 시간 요구는 상기 기계적인 키스위치들의 상기 힘 동작 임계치로 대체된다. 기계적 스위치들의 힘 임계치와 같은, 상기 타이밍 제약조건은 상기 사용자가 키프레스를 발생시키지 않고 상기 키 표면 상에 상기 핑거를 놓는 방법을 제공한다. 상기 동기 검출기(14)는 키 심볼들을 발생시키지 않고 상기 표면 상에 핑거들을 놓는 다른 방법을 제공하며, 그것은 적어도 하나의 다른 핑거로서 동일한 시간에 터치다 운되야 한다. 그러나, 때때로 사용자들은 상기 표면상에 상기 중심 손가락끝들을 동시에 위치시킴으로써 놓여지는 것을 시작할 것이지만, 그 후 그것들은 동기적으로 더 늦은 제 2 핑키(pinky) 및 그 뒤에 있는 제 2 의 엄지손가락을 뒤따른다. 이들 후자의 처리들은 기본적으로 비동기적이고 상기 동기 검출기에 의해 유효하지 않게 될 것이지만, 수백 밀리세컨드 내에서 가능한한 길게 들어올려지지 않고 결정 마름모꼴(782)은 그것들을 전송하지 않고 제거할 것이다. 그러나 결정 마름모꼴(782)은 비동기 핑거 허용한계와 핑거들을 빠르게 들어올리는 요구 즉, 크리스플리 탭(crisply tap)을 제공하며, 키 발생을 야기시키기 위한 상기 표면은 심볼들의 긴 시퀀스들을 탭핑(tapping)하는 동안 상기 손들을 받치기 위해 상기 표면 상에 대부분의 핑거들을 위치시키는 것을 어렵게 만든다. 이것은 사용자들이 그들의 손을 상기 표면에서 떼고 빠른 타이핑 시퀀스들 동안 상기 표면 위에 그것들을 떼는 것을 야기킨다. 이것은, 만일 상기 사용자가 시퀀스들 사이에서 상기 표면 상에 상기 손들을 다시 놓는 것에 실패한다면, 상기 사용자의 팔이 결국은 피곤하게 될 것을 제외하고 타이핑 자세를 수용할 수 있다.
상기 표면 위의 상기 손들의 정지를 촉진하는 다른 타이핑 자세를 제공하기 위해, 결정 마름모꼴(790)은 각 누르기 후에 빠르게 핑거를 들어올리는 것을 요구하지 않는 제 2 키 승인 모드를 허가한다. 대신에, 상기 사용자는 상기 표면 상에 손을 놓는 모든 다섯 개의 핑거들과 함께 시작되어야 한다. 그 후 각 시간 핑거는 상기 표면에서 동기적으로 들어올려지고 키 영역 상에 눌러져야하며, 상기 키 영역은 뒤이은 리프트오프 타이밍에 관계하지 않고 전송될 것이다. 만일 표면이 단단 하여 힘이 가해질 때 손가락끝 근접이 빨리 충족된다면, 결정 마름모(792)는 얼마나 빨리 핑거 근접이 정점에 도달하는지에 대한 근접 프로파일의 임펄스비티(impulsivity)를 체크한다. 만일 근접 프로파일이 아주 느리게 그 정점까지 증가한다면, 키는 생성되지 않을 것이다. 이는 사용자가 키를 생성할 목적으로 핑거를 들어올렸다가 사용자의 마음이 바뀐 경우에 키를 생성시키지 않고 들어올려진 핑거를 부드럽게 내려놓도록 허용한다. 만일 터치 표면을 압착할 수 있다면, 결정 마름모(792)는 측정된 손가락끝 근접 대 타원 축 길이의 비율로부터 핑거힘을 즉시 추측할 수 있다. 그러므로, 추측된 힘의 임계치는 부드럽게 핑거를 내려놓은 것으로부터 의도적인 키 프레스들을 구별할 수 있다. 키를 생성시키고자 할 때, 사용자는 통상 구 키 영역을 떠난 후 빨리 신 키 영역을 누르기 때문에, 임펄스비티 및 힘 임계치들은 핑거가 표면을 떠난 시간과 함께 증가해야 한다.In order to provide another typing posture that facilitates the stopping of the hands on the surface, the
만일 힘이 주어지는 핑거가 키 영역 상에서 유지되는 홀딩 힘드로부터 확실히 구별될 수 없다면, 멀티터치 표면 상에 타이프메틱을 에뮬레이팅은 특정한 문제들을 나타낸다. 이 경우에 있어서, 도 43B의 단계들에 의해 검출되는 상기 특정한 터치 타이밍 시퀀스는 신뢰할 수 있는 타이프메틱 에뮬레이션을 지원한다. 결정 마름모꼴(798)이 아직 시작되지 않은 타이프메틱을 찾는다고 가정하면, 결정 마름모꼴(794)은 처리되는 상기 키프레스 큐 요소가 상기 표면 상에 가장 최신의 핑거 터치다운을 나타내는지 여부를 검사한다. 만일 임의의 핑거 터치다운들이 이 요소들에 의해 나타나는 상기 터치다운들을 뒤따른다면, 타이프메틱은 이 큐 요소로부터 절대 시작할 수 없다. 대신에, 결정 마름모꼴(796)은 상기 요소의 핑거가 상기 일반적인 탭 타임아웃보다 길게 터치하는지 여부를 검사한다. 만일 상기 핑거가 너무 길게 터치한다면, 결정 마름모꼴(786)은 그것이 변경자가 아님을 결정하고, 단계(794)는 그것이 타이프메틱을 절대 시작할 수 없음을 결정하기 때문에, 단계(778)는 그 키프레스 요소를 제거한다. 만일 결정 마름모꼴(794)이 상기 키프레스 요소가 상기 가장 최신의 터치다운을 나타내지 않는다는 것을 결정한다면, 아직까지는 결정 마름모꼴(796)이 상기 요소가 상기 탭 타임아웃을 초과하지 않는다는 것을 나타내며, 차후 센서 배열 스캔에서 리프트오프 또는 타임아웃 중 하나를 기다리는 단계(770)로 되돌아가도록 처리된다. 이것은, 다른 핑거가 상기 이전 키 영역에서 들어올려지기 전에 새로운 키 영역이 핑거에 의해 눌려질 수 있는 경우에 핑거 탭들이 겹쳐지는 것을 허가한다. 그러나, 겹쳐지는 핑거 탭들의 쌍과 같은 상기 누르기 시간들이나 해제 시간들 중 하나는 고려된 감정 탭으로부터 상기 쌍을 막기위해서 비동기적이어야 한다.If the force-fed finger cannot be reliably distinguished from the holding force held on the key area, emulating typematic on the multi-touch surface presents particular problems. In this case, the specific touch timing sequence detected by the steps of FIG. 43B supports reliable typematic emulation. Assuming
상기 핑거 터치다운이 가장 최신의 것이라고 가정하면, 결정 마름모꼴(800)은 상기 핑거가 약 제 2 절반과 제 2 절반 사이의 타이프메틱 홀드 셋업 간격에 대해 터치되는지 여부를 결정한다. 만일 그렇지 않다면, 핑거 리프트오프 또는 상기 홀드 셋업 조건 중 하나가 상기 센서 배열의 차후 스캔들 동안 만나도록 기다리기 위한 단계(770)로 되돌아가도록 처리한다. 상기 홀드 셋업 조건을 만났을 때, 결정 마름모꼴(802)은 상기 표면에서 들어올려진 주어진 핑거 키프레스의 손 위의 모든 다른 핑거들이 제 2 절반 전보다 더 많은지 여부를 결정한다. 만일 그렇다면, 단계(804)는 상기 주어진 키프레스 요소에 대한 타이프메틱이 초기화될 것이다.Assuming that the finger touchdown is the most recent,
판단 다이아몬드들(800과 802)의 조합은 사용자가 표면에 머물 손의 다른 핑거들을, 타이프매틱을 위한 핑거가 터치다운할때, 가지도록 허용한다. 그러나, 타이프 매틱은 원하는 타이프매틱 핑거의 터치다운의 반 초내에 다른 핑거들이 표면을 떠나지 않으면 시작하지 않을 것이고, 타이프매틱 핑거가 다른 것들이 표면을 떠난 후에 적어도 반 초 동안 표면을 터치하기 위해 연속된 상태를 가질 때까지 타이프매틱도 시작하지 않을 것이다. 이런 엄격한 조건들이 충족되지 않으면, 상기 키프레스 엘리먼트는 타이프매틱을 시작하지 않고, 핑거가 탭 타임 아웃(796)을 떠날 때 탭 타임 아웃(782)을 통하거나, 다른 것이 그후에 터치다운 한다면 탭 타임 아웃(796)을 통해서 결국 삭제될 것이다.The combination of
단계(804)는 타이프매틱이 이미 상기 엘리먼트에 대해 출발한 미래 스캔 사이클동안 판단 다이아몬드(798)로 지시할 플랙을 설정한다. 타이프매틱 초기설정뒤에, 단계(810)는 키 심볼을 반대쪽 손에 의해 억제된 어떤 모디화이어 심볼들을 따라 처음으로 호스트 인터페이스 통신 큐로 보낸다. 단계(812)는 상기 키심볼이 판단 다이아몬드(808)에 의해 미래 참조를 위해 보내지는 시간을 기록한다. 그다음에 처리는 다음의 근접 영상 스캔을 기다리기 위해 단계(770)로 되돌아 간다.Step 804 sets the flag to indicate to
핑거가 떠나거나 다른 탭들이 비동기적일 때까지, 처리는 상기 키심볼이 다시 보내져야 하는가를 체크하기 위해 판단 다이아몬드(798)를 통과할 것이다. 단계(806)는 핑거 근접에 반비례할 심볼 반복 간격을 다이내믹하게 계산한다. 그래서, 키는 핑거가 더 단단한 표면에 눌려지거나 손가락끝의 더 큰 부분이 표면을 접촉함에 따라 더 빨리 반복할 것이다. 이것은 사용자가 의도된 것보다 더 많은 반복을 일으킬 기회도 감소시키는데, 핑거 근접이 리프트 오프동안 떨어지기 시작함에 따라 반복간격이 더 길어지기 때문이다. 판단 다이아몬드(808)는 다이내믹 반복 간격이 마지막 타이프매틱 심볼이 신호를 보낸 이래 시간이 경과했는지를 체크하고, 필요하다면, (810)에 다시 심볼을 보내고 타이프매틱 센드 타임 스탬프(812)를 갱신한다.Until the finger leaves or other taps are asynchronous, processing will pass through
타이프매틱이 시작되고(804) 타이프매틱이 계속되는 동안 사용자가 다른 핑거들을 표면으로 되돌리게 하는 것이 바람직하지만, 사용자는 탭핑없이 그렇게 해야한다. 판단 다이아몬드(805)는 타이프매틱이 취소되게 하고 사용자가 다른 키를 치려는 것처럼 표면에 다른 핑거를 비동기적으로 탭하면 상기 타이프매틱 엘리먼트는 삭제된다(778). 이것이 발생하지 않는다면, 판단 다이아몬드(798)는 결국 그 핑거가 떠날 때 타이프매틱 엘리먼트의 소거를 하게된다.It is desirable for the user to return other fingers to the surface while the typematic is initiated and the typematic continues, but the user must do so without tapping. The
상기 타이핑 인식 프로세스는 그래서 멀티터치 표면이 인간환경공학적으로 표준 기계식 키보드의 타이핑과 손 레스팅 능력을 모방하는 것을 허용한다. 표면에서의 크리스프 탭들이나 충격 프레스들은 핑거가 풀어지거나 판단 다이아몬드(792)가 충격이 최고에 달했음을 증명하자마자 키심볼들을 발생시키고, 사용자로의 즉각적인 피드백을 보장한다. 표면에서 머무르도록 의도된 핑거들은 그것들이 동기화된 핑거 프레스의 멤버들이거나 서브세트를 풀어주거나 표면에 조용히 위치하거나 1 이나 2초동안 다른 핑거들을 따라 거기서 머무르기만 하는 한 키들을 발생시키지 않는다. 놓여지게 되면, 핑거들은 리프트되고 탭될수 있거나 다른 놓여있는 핑거들을 리프트할 필요없이 키 심볼들을 발생시키기 위해 표면에서 충격을 가하여 눌려 질 수있다. 타이프매틱은 충격을 가해 누루고 키에 구별가능한 힘을 유지하거나 손의 다른 핑거들이 리프트되어 있는 동안 키위에 핑거를 유지하여 시작된다. 단일 핑거들의 운동을 그것들이 키지역들을 탭함에 따라 대충 보는것은 쉽게 묵인되는데 대부분의 커서 조작이 2 이상의 핑거들의 동기화된 슬라이드들에 의해 시작되어야 하기 때문이다.The typing recognition process thus allows the multitouch surface to ergonomically mimic the typing and hand restoring capabilities of a standard mechanical keyboard. Crisp taps or impact presses on the surface generate keysyms as soon as the finger is released or the
본 발명의 다른 실시예들은 여기서 밝혀진 본 발명의 상술부분과 실시를 고려하면 그 기술분야의 당업자에게 분명할 것이다. 상기 상술부분과 예들은 예시로서만 고려되는 것으로 의도되고, 본 발명의 진실한 범위와 정신은 다음 청구항들에서 표시된다.Other embodiments of the present invention will be apparent to those skilled in the art in view of the foregoing description and practice of the invention. It is intended that the foregoing description and examples be considered as exemplary only, with a true scope and spirit of the invention being indicated in the following claims.
| Application Number | Priority Date | Filing Date | Title |
|---|---|---|---|
| US7250998P | 1998-01-26 | 1998-01-26 | |
| US60/072,509 | 1998-01-26 | ||
| US09/236,513US6323846B1 (en) | 1998-01-26 | 1999-01-25 | Method and apparatus for integrating manual input |
| KR1020007008121AKR100766627B1 (en) | 1998-01-26 | 1999-01-25 | Manual input integration method and device |
| US09/236,513 | 1999-01-25 |
| Application Number | Title | Priority Date | Filing Date |
|---|---|---|---|
| KR1020007008121ADivisionKR100766627B1 (en) | 1998-01-26 | 1999-01-25 | Manual input integration method and device |
| Publication Number | Publication Date |
|---|---|
| KR20060053012A KR20060053012A (en) | 2006-05-19 |
| KR100595924B1true KR100595924B1 (en) | 2006-07-05 |
| Application Number | Title | Priority Date | Filing Date |
|---|---|---|---|
| KR1020067006418AExpired - LifetimeKR100595922B1 (en) | 1998-01-26 | 1999-01-25 | Method and apparatus for integrating manual input |
| KR1020067006415AExpired - LifetimeKR100595915B1 (en) | 1998-01-26 | 1999-01-25 | Method and apparatus for integrating manual input |
| KR1020067006416AExpired - LifetimeKR100595917B1 (en) | 1998-01-26 | 1999-01-25 | Method and apparatus for integrating manual input |
| KR1020067006413AExpired - LifetimeKR100595912B1 (en) | 1998-01-26 | 1999-01-25 | Method and apparatus for integrating manual input |
| KR1020007008121AExpired - LifetimeKR100766627B1 (en) | 1998-01-26 | 1999-01-25 | Manual input integration method and device |
| KR1020067006421AExpired - LifetimeKR100595926B1 (en) | 1998-01-26 | 1999-01-25 | Method and apparatus for integrating manual input |
| KR1020067006412AExpired - LifetimeKR100595911B1 (en) | 1998-01-26 | 1999-01-25 | Method and apparatus for integrating manual input |
| KR1020067006417AExpired - LifetimeKR100595920B1 (en) | 1998-01-26 | 1999-01-25 | Method and apparatus for integrating manual input |
| KR1020067006420AExpired - LifetimeKR100595925B1 (en) | 1998-01-26 | 1999-01-25 | Method and apparatus for integrating manual input |
| KR1020067006419AExpired - LifetimeKR100595924B1 (en) | 1998-01-26 | 1999-01-25 | Method and apparatus for integrating manual input |
| Application Number | Title | Priority Date | Filing Date |
|---|---|---|---|
| KR1020067006418AExpired - LifetimeKR100595922B1 (en) | 1998-01-26 | 1999-01-25 | Method and apparatus for integrating manual input |
| KR1020067006415AExpired - LifetimeKR100595915B1 (en) | 1998-01-26 | 1999-01-25 | Method and apparatus for integrating manual input |
| KR1020067006416AExpired - LifetimeKR100595917B1 (en) | 1998-01-26 | 1999-01-25 | Method and apparatus for integrating manual input |
| KR1020067006413AExpired - LifetimeKR100595912B1 (en) | 1998-01-26 | 1999-01-25 | Method and apparatus for integrating manual input |
| KR1020007008121AExpired - LifetimeKR100766627B1 (en) | 1998-01-26 | 1999-01-25 | Manual input integration method and device |
| KR1020067006421AExpired - LifetimeKR100595926B1 (en) | 1998-01-26 | 1999-01-25 | Method and apparatus for integrating manual input |
| KR1020067006412AExpired - LifetimeKR100595911B1 (en) | 1998-01-26 | 1999-01-25 | Method and apparatus for integrating manual input |
| KR1020067006417AExpired - LifetimeKR100595920B1 (en) | 1998-01-26 | 1999-01-25 | Method and apparatus for integrating manual input |
| KR1020067006420AExpired - LifetimeKR100595925B1 (en) | 1998-01-26 | 1999-01-25 | Method and apparatus for integrating manual input |
| Country | Link |
|---|---|
| US (42) | US6323846B1 (en) |
| EP (10) | EP1717684A3 (en) |
| JP (12) | JP2002501271A (en) |
| KR (10) | KR100595922B1 (en) |
| AU (1) | AU759440B2 (en) |
| CA (1) | CA2318815C (en) |
| IL (1) | IL137478A (en) |
| WO (1) | WO1999038149A1 (en) |
| Publication number | Priority date | Publication date | Assignee | Title |
|---|---|---|---|---|
| AUPQ582900A0 (en)* | 2000-02-24 | 2000-03-16 | Silverbrook Research Pty Ltd | Printed media production |
| US8352400B2 (en) | 1991-12-23 | 2013-01-08 | Hoffberg Steven M | Adaptive pattern recognition based controller apparatus and method and human-factored interface therefore |
| US9513744B2 (en)* | 1994-08-15 | 2016-12-06 | Apple Inc. | Control systems employing novel physical controls and touch screens |
| US8228305B2 (en) | 1995-06-29 | 2012-07-24 | Apple Inc. | Method for providing human input to a computer |
| US20090273574A1 (en)* | 1995-06-29 | 2009-11-05 | Pryor Timothy R | Programmable tactile touch screen displays and man-machine interfaces for improved vehicle instrumentation and telematics |
| GB9722766D0 (en) | 1997-10-28 | 1997-12-24 | British Telecomm | Portable computers |
| US7808479B1 (en) | 2003-09-02 | 2010-10-05 | Apple Inc. | Ambidextrous mouse |
| US7844914B2 (en) | 2004-07-30 | 2010-11-30 | Apple Inc. | Activating virtual keys of a touch-screen virtual keyboard |
| US7663607B2 (en) | 2004-05-06 | 2010-02-16 | Apple Inc. | Multipoint touchscreen |
| US7760187B2 (en) | 2004-07-30 | 2010-07-20 | Apple Inc. | Visual expander |
| US7840912B2 (en)* | 2006-01-30 | 2010-11-23 | Apple Inc. | Multi-touch gesture dictionary |
| KR100595922B1 (en)* | 1998-01-26 | 2006-07-05 | 웨인 웨스터만 | Method and apparatus for integrating manual input |
| US7614008B2 (en) | 2004-07-30 | 2009-11-03 | Apple Inc. | Operation of a computer with touch screen interface |
| US7683888B1 (en)* | 2004-02-27 | 2010-03-23 | Apple Inc. | Shape detecting input device |
| US9292111B2 (en)* | 1998-01-26 | 2016-03-22 | Apple Inc. | Gesturing with a multipoint sensing device |
| US7834855B2 (en)* | 2004-08-25 | 2010-11-16 | Apple Inc. | Wide touchpad on a portable computer |
| US9239673B2 (en) | 1998-01-26 | 2016-01-19 | Apple Inc. | Gesturing with a multipoint sensing device |
| US20070177804A1 (en)* | 2006-01-30 | 2007-08-02 | Apple Computer, Inc. | Multi-touch gesture dictionary |
| US7800592B2 (en)* | 2005-03-04 | 2010-09-21 | Apple Inc. | Hand held electronic device with multiple touch sensing devices |
| US8479122B2 (en) | 2004-07-30 | 2013-07-02 | Apple Inc. | Gestures for touch sensitive input devices |
| US20060033724A1 (en)* | 2004-07-30 | 2006-02-16 | Apple Computer, Inc. | Virtual input device placement on a touch screen user interface |
| US6219034B1 (en)* | 1998-02-23 | 2001-04-17 | Kristofer E. Elbing | Tactile computer interface |
| US6610917B2 (en)* | 1998-05-15 | 2003-08-26 | Lester F. Ludwig | Activity indication, external source, and processing loop provisions for driven vibrating-element environments |
| US6429846B2 (en) | 1998-06-23 | 2002-08-06 | Immersion Corporation | Haptic feedback for touchpads and other touch controls |
| US7256770B2 (en)* | 1998-09-14 | 2007-08-14 | Microsoft Corporation | Method for displaying information responsive to sensing a physical presence proximate to a computer input device |
| US7265494B2 (en)* | 1998-10-09 | 2007-09-04 | Azoteq Pty Ltd. | Intelligent user interface with touch sensor technology |
| US7528508B2 (en) | 1998-10-09 | 2009-05-05 | Azoteq Pty Ltd. | Touch sensor user interface with compressible material construction |
| US7469381B2 (en) | 2007-01-07 | 2008-12-23 | Apple Inc. | List scrolling and document translation, scaling, and rotation on a touch-screen display |
| US7904187B2 (en) | 1999-02-01 | 2011-03-08 | Hoffberg Steven M | Internet appliance system and method |
| US10216259B2 (en)* | 2000-02-14 | 2019-02-26 | Pierre Bonnat | Method and system for processing signals that control a device using human breath |
| US20110178613A9 (en)* | 2000-02-14 | 2011-07-21 | Pierre Bonnat | Method And System For Processing Signals For A MEMS Detector That Enables Control Of A Device Using Human Breath |
| US8701015B2 (en)* | 2008-03-26 | 2014-04-15 | Pierre Bonnat | Method and system for providing a user interface that enables control of a device via respiratory and/or tactual input |
| CN1248090C (en)* | 1999-02-12 | 2006-03-29 | 皮埃尔·博纳 | Method and device for monitoring an electronic or computer system by means of a fluid flow |
| US9116544B2 (en)* | 2008-03-26 | 2015-08-25 | Pierre Bonnat | Method and system for interfacing with an electronic device via respiratory and/or tactual input |
| US8976046B2 (en)* | 2008-03-26 | 2015-03-10 | Pierre Bonnat | Method and system for a MEMS detector that enables control of a device using human breath |
| US7739061B2 (en)* | 1999-02-12 | 2010-06-15 | Pierre Bonnat | Method and system for controlling a user interface of a device using human breath |
| US7190251B2 (en)* | 1999-05-25 | 2007-03-13 | Varatouch Technology Incorporated | Variable resistance devices and methods |
| US7456820B1 (en)* | 1999-05-25 | 2008-11-25 | Silverbrook Research Pty Ltd | Hand drawing capture via interface surface |
| US7079712B1 (en)* | 1999-05-25 | 2006-07-18 | Silverbrook Research Pty Ltd | Method and system for providing information in a document |
| US6730863B1 (en)* | 1999-06-22 | 2004-05-04 | Cirque Corporation | Touchpad having increased noise rejection, decreased moisture sensitivity, and improved tracking |
| US6337678B1 (en) | 1999-07-21 | 2002-01-08 | Tactiva Incorporated | Force feedback computer input and output device with coordinated haptic elements |
| US7212201B1 (en) | 1999-09-23 | 2007-05-01 | New York University | Method and apparatus for segmenting an image in order to locate a part thereof |
| KR20120006569A (en)* | 1999-10-27 | 2012-01-18 | 피루쯔 가사비안 | Integrated keypad system |
| JP4052498B2 (en) | 1999-10-29 | 2008-02-27 | 株式会社リコー | Coordinate input apparatus and method |
| US6587093B1 (en)* | 1999-11-04 | 2003-07-01 | Synaptics Incorporated | Capacitive mouse |
| US8482535B2 (en) | 1999-11-08 | 2013-07-09 | Apple Inc. | Programmable tactile touch screen displays and man-machine interfaces for improved vehicle instrumentation and telematics |
| US7054470B2 (en)* | 1999-12-02 | 2006-05-30 | International Business Machines Corporation | System and method for distortion characterization in fingerprint and palm-print image sequences and using this distortion as a behavioral biometrics |
| US6501463B1 (en)* | 1999-12-10 | 2002-12-31 | Siemens Technology -To-Business Center Llc | Electronic whiteboard system using a tactile foam sensor |
| JP2001184161A (en) | 1999-12-27 | 2001-07-06 | Ricoh Co Ltd | Information input method, information input device, writing input device, writing data management method, display control method, portable electronic writing device, and recording medium |
| US7239227B1 (en)* | 1999-12-30 | 2007-07-03 | Upek, Inc. | Command interface using fingerprint sensor input system |
| US6822635B2 (en) | 2000-01-19 | 2004-11-23 | Immersion Corporation | Haptic interface for laptop computers and other portable devices |
| US7138983B2 (en) | 2000-01-31 | 2006-11-21 | Canon Kabushiki Kaisha | Method and apparatus for detecting and interpreting path of designated position |
| JP4803883B2 (en)* | 2000-01-31 | 2011-10-26 | キヤノン株式会社 | Position information processing apparatus and method and program thereof. |
| US20130060355A9 (en)* | 2000-02-14 | 2013-03-07 | Pierre Bonnat | Method And System For Processing Signals For A MEMS Detector That Enables Control Of A Device Using Human Breath |
| JP2001306254A (en)* | 2000-02-17 | 2001-11-02 | Seiko Epson Corp | Input function by hit detection |
| US8576199B1 (en) | 2000-02-22 | 2013-11-05 | Apple Inc. | Computer control systems |
| US20080122799A1 (en)* | 2001-02-22 | 2008-05-29 | Pryor Timothy R | Human interfaces for vehicles, homes, and other applications |
| US6833825B1 (en)* | 2000-03-10 | 2004-12-21 | Apple Computer, Inc. | Apparatus for remotely controlling a digital processing system |
| US8645137B2 (en) | 2000-03-16 | 2014-02-04 | Apple Inc. | Fast, language-independent method for user authentication by voice |
| US6559105B2 (en)* | 2000-04-03 | 2003-05-06 | The Lubrizol Corporation | Lubricant compositions containing ester-substituted hindered phenol antioxidants |
| US7450114B2 (en)* | 2000-04-14 | 2008-11-11 | Picsel (Research) Limited | User interface systems and methods for manipulating and viewing digital documents |
| US7576730B2 (en) | 2000-04-14 | 2009-08-18 | Picsel (Research) Limited | User interface systems and methods for viewing and manipulating digital documents |
| US6981229B1 (en)* | 2000-04-28 | 2005-12-27 | Alias Systems Corp. | System for dynamically mapping input device movement as a user's viewpoint changes |
| US6703570B1 (en)* | 2000-05-10 | 2004-03-09 | International Business Machines Corporation | Digital pen using ultrasonic tracking |
| US8060389B2 (en) | 2000-06-07 | 2011-11-15 | Apple Inc. | System and method for anonymous location based services |
| US6456234B1 (en) | 2000-06-07 | 2002-09-24 | William J. Johnson | System and method for proactive content delivery by situation location |
| US8073565B2 (en) | 2000-06-07 | 2011-12-06 | Apple Inc. | System and method for alerting a first mobile data processing system nearby a second mobile data processing system |
| US6741235B1 (en)* | 2000-06-13 | 2004-05-25 | Michael Goren | Rapid entry of data and information on a reduced size input area |
| US6803906B1 (en) | 2000-07-05 | 2004-10-12 | Smart Technologies, Inc. | Passive touch system and method of detecting user input |
| US7692625B2 (en) | 2000-07-05 | 2010-04-06 | Smart Technologies Ulc | Camera-based touch system |
| US7227526B2 (en) | 2000-07-24 | 2007-06-05 | Gesturetek, Inc. | Video-based image control system |
| US7058204B2 (en)* | 2000-10-03 | 2006-06-06 | Gesturetek, Inc. | Multiple camera control system |
| US8176296B2 (en) | 2000-10-26 | 2012-05-08 | Cypress Semiconductor Corporation | Programmable microcontroller architecture |
| US8103496B1 (en) | 2000-10-26 | 2012-01-24 | Cypress Semicondutor Corporation | Breakpoint control in an in-circuit emulation system |
| US8149048B1 (en) | 2000-10-26 | 2012-04-03 | Cypress Semiconductor Corporation | Apparatus and method for programmable power management in a programmable analog circuit block |
| US8160864B1 (en) | 2000-10-26 | 2012-04-17 | Cypress Semiconductor Corporation | In-circuit emulator and pod synchronized boot |
| US7765095B1 (en) | 2000-10-26 | 2010-07-27 | Cypress Semiconductor Corporation | Conditional branching in an in-circuit emulation system |
| US6724220B1 (en) | 2000-10-26 | 2004-04-20 | Cyress Semiconductor Corporation | Programmable microcontroller architecture (mixed analog/digital) |
| US7151525B2 (en)* | 2000-11-14 | 2006-12-19 | Keybowl, Inc. | Apparatus and method for generating data signals |
| US7262762B2 (en)* | 2000-11-14 | 2007-08-28 | Keybowl, Inc. | Apparatus and method for generating data signals |
| US8487872B2 (en) | 2000-11-14 | 2013-07-16 | Blue Orb, Inc. | Apparatus and method for generating data signals |
| US7190348B2 (en)* | 2000-12-26 | 2007-03-13 | International Business Machines Corporation | Method for touchscreen data input |
| US6677932B1 (en)* | 2001-01-28 | 2004-01-13 | Finger Works, Inc. | System and method for recognizing touch typing under limited tactile feedback conditions |
| US6670894B2 (en) | 2001-02-05 | 2003-12-30 | Carsten Mehring | System and method for keyboard independent touch typing |
| US6570557B1 (en)* | 2001-02-10 | 2003-05-27 | Finger Works, Inc. | Multi-touch system and method for emulating modifier keys via fingertip chords |
| US7030861B1 (en) | 2001-02-10 | 2006-04-18 | Wayne Carl Westerman | System and method for packing multi-touch gestures onto a hand |
| US20080024463A1 (en)* | 2001-02-22 | 2008-01-31 | Timothy Pryor | Reconfigurable tactile control display applications |
| US20020158846A1 (en)* | 2001-04-30 | 2002-10-31 | Clapper Edward O. | Controlling cursor of a pointing device |
| MXPA03010264A (en)* | 2001-05-11 | 2005-03-07 | Shoot The Moon Products Ii Llc | Interactive book reading system using rf scanning circuit. |
| US7730401B2 (en) | 2001-05-16 | 2010-06-01 | Synaptics Incorporated | Touch screen with user interface enhancement |
| CN1320424C (en)* | 2001-05-21 | 2007-06-06 | 索尼公司 | User input apparatus, computer connected to user input apparatus, method of controlling computer connected to user input apparatus, and storage medium |
| GB2378776A (en)* | 2001-05-22 | 2003-02-19 | Canon Kk | Apparatus and method for managing a multi-modal interface in which the inputs feedback on each other |
| US7034814B2 (en) | 2001-07-13 | 2006-04-25 | Apple Computer, Inc. | Methods and apparatuses using control indicators for data processing systems |
| JP2003173237A (en) | 2001-09-28 | 2003-06-20 | Ricoh Co Ltd | Information input / output system, program and storage medium |
| US7254775B2 (en)* | 2001-10-03 | 2007-08-07 | 3M Innovative Properties Company | Touch panel system and method for distinguishing multiple touch inputs |
| US7345671B2 (en)* | 2001-10-22 | 2008-03-18 | Apple Inc. | Method and apparatus for use of rotational user inputs |
| US7312785B2 (en) | 2001-10-22 | 2007-12-25 | Apple Inc. | Method and apparatus for accelerated scrolling |
| US7406674B1 (en) | 2001-10-24 | 2008-07-29 | Cypress Semiconductor Corporation | Method and apparatus for generating microcontroller configuration information |
| US8339379B2 (en)* | 2004-04-29 | 2012-12-25 | Neonode Inc. | Light-based touch screen |
| US9164654B2 (en)* | 2002-12-10 | 2015-10-20 | Neonode Inc. | User interface for mobile computer unit |
| US9052771B2 (en)* | 2002-11-04 | 2015-06-09 | Neonode Inc. | Touch screen calibration and update methods |
| US8674966B2 (en) | 2001-11-02 | 2014-03-18 | Neonode Inc. | ASIC controller for light-based touch screen |
| US9052777B2 (en) | 2001-11-02 | 2015-06-09 | Neonode Inc. | Optical elements with alternating reflective lens facets |
| US9471170B2 (en)* | 2002-11-04 | 2016-10-18 | Neonode Inc. | Light-based touch screen with shift-aligned emitter and receiver lenses |
| WO2009008786A1 (en)* | 2007-07-06 | 2009-01-15 | Neonode Inc. | Scanning of a touch screen |
| US9213443B2 (en)* | 2009-02-15 | 2015-12-15 | Neonode Inc. | Optical touch screen systems using reflected light |
| US20100238139A1 (en)* | 2009-02-15 | 2010-09-23 | Neonode Inc. | Optical touch screen systems using wide light beams |
| US9778794B2 (en) | 2001-11-02 | 2017-10-03 | Neonode Inc. | Light-based touch screen |
| US8095879B2 (en) | 2002-12-10 | 2012-01-10 | Neonode Inc. | User interface for mobile handheld computer unit |
| US8078970B1 (en) | 2001-11-09 | 2011-12-13 | Cypress Semiconductor Corporation | Graphical user interface with user-selectable list-box |
| US7196691B1 (en)* | 2001-11-14 | 2007-03-27 | Bruce Martin Zweig | Multi-key macros to speed data input |
| US8042093B1 (en) | 2001-11-15 | 2011-10-18 | Cypress Semiconductor Corporation | System providing automatic source code generation for personalization and parameterization of user modules |
| US7770113B1 (en) | 2001-11-19 | 2010-08-03 | Cypress Semiconductor Corporation | System and method for dynamically generating a configuration datasheet |
| US7774190B1 (en) | 2001-11-19 | 2010-08-10 | Cypress Semiconductor Corporation | Sleep and stall in an in-circuit emulation system |
| US6971004B1 (en) | 2001-11-19 | 2005-11-29 | Cypress Semiconductor Corp. | System and method of dynamically reconfiguring a programmable integrated circuit |
| US8069405B1 (en) | 2001-11-19 | 2011-11-29 | Cypress Semiconductor Corporation | User interface for efficiently browsing an electronic document using data-driven tabs |
| US7844437B1 (en) | 2001-11-19 | 2010-11-30 | Cypress Semiconductor Corporation | System and method for performing next placements and pruning of disallowed placements for programming an integrated circuit |
| GB0200343D0 (en)* | 2002-01-08 | 2002-02-20 | Royal College Of Art | Illuminating surface |
| EP2267582B1 (en) | 2002-02-06 | 2012-05-09 | Soundtouch Limited | Touch pad |
| US20030184574A1 (en)* | 2002-02-12 | 2003-10-02 | Phillips James V. | Touch screen interface with haptic feedback device |
| US6888537B2 (en) | 2002-02-13 | 2005-05-03 | Siemens Technology-To-Business Center, Llc | Configurable industrial input devices that use electrically conductive elastomer |
| AU2002336341A1 (en) | 2002-02-20 | 2003-09-09 | Planar Systems, Inc. | Light sensitive display |
| US7333092B2 (en) | 2002-02-25 | 2008-02-19 | Apple Computer, Inc. | Touch pad for handheld device |
| US7221287B2 (en) | 2002-03-05 | 2007-05-22 | Triangle Software Llc | Three-dimensional traffic report |
| US7487444B2 (en) | 2002-03-19 | 2009-02-03 | Aol Llc | Reformatting columns of content for display |
| JP4456806B2 (en)* | 2002-03-19 | 2010-04-28 | セイコーエプソン株式会社 | Liquid crystal display device, electro-optical device and manufacturing method thereof, electronic apparatus |
| US8103497B1 (en) | 2002-03-28 | 2012-01-24 | Cypress Semiconductor Corporation | External interface for event architecture |
| US7038659B2 (en)* | 2002-04-06 | 2006-05-02 | Janusz Wiktor Rajkowski | Symbol encoding apparatus and method |
| US7308608B1 (en) | 2002-05-01 | 2007-12-11 | Cypress Semiconductor Corporation | Reconfigurable testing system and method |
| US7190351B1 (en) | 2002-05-10 | 2007-03-13 | Michael Goren | System and method for data input |
| US7203911B2 (en)* | 2002-05-13 | 2007-04-10 | Microsoft Corporation | Altering a display on a viewing device based upon a user proximity to the viewing device |
| EP1505484B1 (en)* | 2002-05-16 | 2012-08-15 | Sony Corporation | Inputting method and inputting apparatus |
| US7176897B2 (en)* | 2002-05-17 | 2007-02-13 | 3M Innovative Properties Company | Correction of memory effect errors in force-based touch panel systems |
| US7519918B2 (en)* | 2002-05-30 | 2009-04-14 | Intel Corporation | Mobile virtual desktop |
| JP3972359B2 (en) | 2002-06-07 | 2007-09-05 | カシオ計算機株式会社 | Display device |
| CN1630879A (en) | 2002-06-27 | 2005-06-22 | 诺基亚有限公司 | Housings for electronic equipment and electronic equipment with housings |
| US20040001144A1 (en) | 2002-06-27 | 2004-01-01 | Mccharles Randy | Synchronization of camera images in camera-based touch system to enhance position determination of fast moving objects |
| US7023427B2 (en)* | 2002-06-28 | 2006-04-04 | Microsoft Corporation | Method and system for detecting multiple touches on a touch-sensitive screen |
| US7656393B2 (en) | 2005-03-04 | 2010-02-02 | Apple Inc. | Electronic device having display and surrounding touch sensitive bezel for user interface and control |
| US11275405B2 (en) | 2005-03-04 | 2022-03-15 | Apple Inc. | Multi-functional hand-held device |
| US7343566B1 (en) | 2002-07-10 | 2008-03-11 | Apple Inc. | Method and apparatus for displaying a window for a user interface |
| US8313380B2 (en) | 2002-07-27 | 2012-11-20 | Sony Computer Entertainment America Llc | Scheme for translating movements of a hand-held controller into inputs for a system |
| US9393487B2 (en) | 2002-07-27 | 2016-07-19 | Sony Interactive Entertainment Inc. | Method for mapping movements of a hand-held controller to game commands |
| US8570378B2 (en)* | 2002-07-27 | 2013-10-29 | Sony Computer Entertainment Inc. | Method and apparatus for tracking three-dimensional movements of an object using a depth sensing camera |
| KR100470106B1 (en)* | 2002-08-02 | 2005-02-05 | 주식회사 아인텍정보 | Potable Digital Language Study Device |
| AU2003258027A1 (en)* | 2002-08-02 | 2004-02-23 | Cirque Corporation | Single-layer touchpad having touch zones |
| EP3547599A1 (en) | 2002-08-06 | 2019-10-02 | Apple Inc. | Methods for secure enrollment and backup of personal identity credentials into electronic devices |
| US8125459B2 (en) | 2007-10-01 | 2012-02-28 | Igt | Multi-user input systems and processing techniques for serving multiple users |
| US6784017B2 (en)* | 2002-08-12 | 2004-08-31 | Precision Dynamics Corporation | Method of creating a high performance organic semiconductor device |
| US7358963B2 (en) | 2002-09-09 | 2008-04-15 | Apple Inc. | Mouse having an optically-based scrolling feature |
| US7761845B1 (en) | 2002-09-09 | 2010-07-20 | Cypress Semiconductor Corporation | Method for parameterizing a user module |
| US20080313282A1 (en) | 2002-09-10 | 2008-12-18 | Warila Bruce W | User interface, operating system and architecture |
| US9557809B2 (en) | 2002-10-09 | 2017-01-31 | Pierre Bonnat | Method of controlling an electronic or computer system |
| US8896575B2 (en)* | 2002-11-04 | 2014-11-25 | Neonode Inc. | Pressure-sensitive touch screen |
| US8587562B2 (en)* | 2002-11-04 | 2013-11-19 | Neonode Inc. | Light-based touch screen using elliptical and parabolic reflectors |
| US8416217B1 (en) | 2002-11-04 | 2013-04-09 | Neonode Inc. | Light-based finger gesture user interface |
| US6954197B2 (en) | 2002-11-15 | 2005-10-11 | Smart Technologies Inc. | Size/scale and orientation determination of a pointer in a camera-based touch system |
| US20040104891A1 (en)* | 2002-11-25 | 2004-06-03 | Frank Sacca | Intertial pointer for electronic displays |
| US8059088B2 (en) | 2002-12-08 | 2011-11-15 | Immersion Corporation | Methods and systems for providing haptic messaging to handheld communication devices |
| US8830161B2 (en) | 2002-12-08 | 2014-09-09 | Immersion Corporation | Methods and systems for providing a virtual touch haptic effect to handheld communication devices |
| AU2003298038A1 (en) | 2002-12-08 | 2004-06-30 | Immersion Corporation | Using haptic effects to enhance information content in communications |
| US9195344B2 (en)* | 2002-12-10 | 2015-11-24 | Neonode Inc. | Optical surface using a reflected image for determining three-dimensional position information |
| US8902196B2 (en)* | 2002-12-10 | 2014-12-02 | Neonode Inc. | Methods for determining a touch location on a touch screen |
| US8403203B2 (en)* | 2002-12-10 | 2013-03-26 | Neonoda Inc. | Component bonding using a capillary effect |
| US9389730B2 (en)* | 2002-12-10 | 2016-07-12 | Neonode Inc. | Light-based touch screen using elongated light guides |
| US7689914B2 (en) | 2002-12-12 | 2010-03-30 | Apple Inc. | Sticky functionality |
| US7991920B2 (en)* | 2002-12-18 | 2011-08-02 | Xerox Corporation | System and method for controlling information output devices |
| US20040125086A1 (en)* | 2002-12-30 | 2004-07-01 | Hagermoser Edward S. | Touch input device having removable overlay |
| US8456447B2 (en) | 2003-02-14 | 2013-06-04 | Next Holdings Limited | Touch screen signal processing |
| US7629967B2 (en) | 2003-02-14 | 2009-12-08 | Next Holdings Limited | Touch screen signal processing |
| US8508508B2 (en) | 2003-02-14 | 2013-08-13 | Next Holdings Limited | Touch screen signal processing with single-point calibration |
| US20080084374A1 (en) | 2003-02-20 | 2008-04-10 | Planar Systems, Inc. | Light sensitive display |
| US7618323B2 (en)* | 2003-02-26 | 2009-11-17 | Wms Gaming Inc. | Gaming machine system having a gesture-sensing mechanism |
| US7532206B2 (en) | 2003-03-11 | 2009-05-12 | Smart Technologies Ulc | System and method for differentiating between pointers used to contact touch surface |
| US20040252103A1 (en)* | 2003-03-28 | 2004-12-16 | Pierre Bonnat | Apparatus to support a device to control an electronic or computer system by means of a fluid flow and a method of manufacturing the same |
| TWM240050U (en)* | 2003-04-02 | 2004-08-01 | Elan Microelectronics Corp | Capacitor touch panel with integrated keyboard and handwriting function |
| US7256772B2 (en) | 2003-04-08 | 2007-08-14 | Smart Technologies, Inc. | Auto-aligning touch system and method |
| CN100499450C (en)* | 2003-04-22 | 2009-06-10 | 国际商业机器公司 | Layered encryption key generating method and device for digital resources |
| US20120081315A1 (en)* | 2010-10-01 | 2012-04-05 | Imerj LLC | Keyboard spanning multiple screens |
| US20040239622A1 (en)* | 2003-05-30 | 2004-12-02 | Proctor David W. | Apparatus, systems and methods relating to improved user interaction with a computing device |
| JP4680918B2 (en) | 2003-05-30 | 2011-05-11 | プリヴァリス・インコーポレーテッド | System and method for assignment and use of media content subscription service privileges |
| US20040250218A1 (en)* | 2003-06-06 | 2004-12-09 | Microsoft Corporation | Empathetic human-machine interfaces |
| US7474772B2 (en) | 2003-06-25 | 2009-01-06 | Atrua Technologies, Inc. | System and method for a miniature user input device |
| US8036458B2 (en)* | 2007-11-08 | 2011-10-11 | DigitalOptics Corporation Europe Limited | Detecting redeye defects in digital images |
| US20060291939A1 (en)* | 2003-06-27 | 2006-12-28 | Mcalindon Peter J | Apparatus And Method For Generating Data Signals |
| WO2005013063A2 (en) | 2003-07-25 | 2005-02-10 | Landsonar, Inc. | System and method for determining recommended departure time |
| US8217896B2 (en)* | 2003-07-31 | 2012-07-10 | Kye Systems Corporation | Computer input device for automatically scrolling |
| US7859517B2 (en)* | 2003-07-31 | 2010-12-28 | Kye Systems Corporation | Computer input device for automatically scrolling |
| US7568161B2 (en)* | 2003-08-13 | 2009-07-28 | Melia Technologies, Ltd | Overcoming double-click constraints in a mark-up language environment |
| US20070152977A1 (en)* | 2005-12-30 | 2007-07-05 | Apple Computer, Inc. | Illuminated touchpad |
| US7499040B2 (en) | 2003-08-18 | 2009-03-03 | Apple Inc. | Movable touch pad with added functionality |
| GB2405247B (en)* | 2003-08-21 | 2007-07-25 | Hewlett Packard Development Co | Position sensing method and position sensing apparatus and its construction |
| US7587072B2 (en)* | 2003-08-22 | 2009-09-08 | Authentec, Inc. | System for and method of generating rotational inputs |
| JP4295280B2 (en)* | 2003-08-29 | 2009-07-15 | ノキア コーポレイション | Method and apparatus for recognizing two-point user input with a touch-based user input device |
| US9024884B2 (en) | 2003-09-02 | 2015-05-05 | Apple Inc. | Touch-sensitive electronic apparatus for media applications, and methods therefor |
| US20050052427A1 (en)* | 2003-09-10 | 2005-03-10 | Wu Michael Chi Hung | Hand gesture interaction with touch surface |
| US7411575B2 (en)* | 2003-09-16 | 2008-08-12 | Smart Technologies Ulc | Gesture recognition method and touch system incorporating the same |
| US7274356B2 (en) | 2003-10-09 | 2007-09-25 | Smart Technologies Inc. | Apparatus for determining the location of a pointer within a region of interest |
| US7460109B2 (en)* | 2003-10-20 | 2008-12-02 | Avago Technologies Ecbu Ip (Singapore) Pte. Ltd. | Navigation and fingerprint sensor |
| NZ529518A (en)* | 2003-11-13 | 2005-03-24 | Andy Zheng Song | Input method, system and device |
| US7495659B2 (en) | 2003-11-25 | 2009-02-24 | Apple Inc. | Touch pad for handheld device |
| US8059099B2 (en) | 2006-06-02 | 2011-11-15 | Apple Inc. | Techniques for interactive input to portable electronic devices |
| US7167162B2 (en)* | 2003-12-12 | 2007-01-23 | Avago Technologies Ecbu Ip (Singapore) Pte. Ltd. | Apparatus and method for controlling a screen pointer |
| US7355593B2 (en) | 2004-01-02 | 2008-04-08 | Smart Technologies, Inc. | Pointer tracking across multiple overlapping coordinate input sub-regions defining a generally contiguous input region |
| US7690395B2 (en) | 2004-01-12 | 2010-04-06 | Masco Corporation Of Indiana | Multi-mode hands free automatic faucet |
| US7707039B2 (en) | 2004-02-15 | 2010-04-27 | Exbiblio B.V. | Automatic modification of web pages |
| US8442331B2 (en) | 2004-02-15 | 2013-05-14 | Google Inc. | Capturing text from rendered documents using supplemental information |
| US20050168443A1 (en)* | 2004-01-29 | 2005-08-04 | Ausbeck Paul J.Jr. | Method and apparatus for producing one-dimensional signals with a two-dimensional pointing device |
| US7697729B2 (en) | 2004-01-29 | 2010-04-13 | Authentec, Inc. | System for and method of finger initiated actions |
| CN101390034B (en)* | 2004-01-29 | 2012-03-14 | 辛纳普蒂克斯有限公司 | Method and device for generating one-dimensional signal using two-dimensional positioning equipment |
| US8639819B2 (en) | 2004-02-05 | 2014-01-28 | Nokia Corporation | Ad-hoc connection between electronic devices |
| US7620915B2 (en)* | 2004-02-13 | 2009-11-17 | Ludwig Lester F | Electronic document editing employing multiple cursors |
| US7812860B2 (en) | 2004-04-01 | 2010-10-12 | Exbiblio B.V. | Handheld device for capturing text from both a document printed on paper and a document displayed on a dynamic display device |
| US10635723B2 (en) | 2004-02-15 | 2020-04-28 | Google Llc | Search engines and systems with handheld document data capture devices |
| US7232986B2 (en)* | 2004-02-17 | 2007-06-19 | Smart Technologies Inc. | Apparatus for detecting a pointer within a region of interest |
| FR2866726B1 (en)* | 2004-02-23 | 2006-05-26 | Jazzmutant | CONTROLLER BY HANDLING VIRTUAL OBJECTS ON A MULTI-CONTACT TOUCH SCREEN |
| US20050212760A1 (en) | 2004-03-23 | 2005-09-29 | Marvit David L | Gesture based user interface supporting preexisting symbols |
| US7903084B2 (en) | 2004-03-23 | 2011-03-08 | Fujitsu Limited | Selective engagement of motion input modes |
| US20050212753A1 (en) | 2004-03-23 | 2005-09-29 | Marvit David L | Motion controlled remote controller |
| WO2005103863A2 (en)* | 2004-03-23 | 2005-11-03 | Fujitsu Limited | Distinguishing tilt and translation motion components in handheld devices |
| US7295049B1 (en) | 2004-03-25 | 2007-11-13 | Cypress Semiconductor Corporation | Method and circuit for rapid alignment of signals |
| US8146156B2 (en) | 2004-04-01 | 2012-03-27 | Google Inc. | Archive of text captures from rendered documents |
| US7990556B2 (en) | 2004-12-03 | 2011-08-02 | Google Inc. | Association of a portable scanner with input/output and storage devices |
| US9008447B2 (en) | 2004-04-01 | 2015-04-14 | Google Inc. | Method and system for character recognition |
| US8081849B2 (en) | 2004-12-03 | 2011-12-20 | Google Inc. | Portable scanning and memory device |
| US20050219229A1 (en)* | 2004-04-01 | 2005-10-06 | Sony Corporation | Image display device and method of driving image display device |
| US20060098900A1 (en) | 2004-09-27 | 2006-05-11 | King Martin T | Secure data gathering from rendered documents |
| US7894670B2 (en) | 2004-04-01 | 2011-02-22 | Exbiblio B.V. | Triggering actions in response to optically or acoustically capturing keywords from a rendered document |
| US9143638B2 (en) | 2004-04-01 | 2015-09-22 | Google Inc. | Data capture from rendered documents using handheld device |
| US20060081714A1 (en) | 2004-08-23 | 2006-04-20 | King Martin T | Portable scanning device |
| US9116890B2 (en) | 2004-04-01 | 2015-08-25 | Google Inc. | Triggering actions in response to optically or acoustically capturing keywords from a rendered document |
| US8713418B2 (en) | 2004-04-12 | 2014-04-29 | Google Inc. | Adding value to a rendered document |
| US8874504B2 (en) | 2004-12-03 | 2014-10-28 | Google Inc. | Processing techniques for visual capture data from a rendered document |
| US8489624B2 (en) | 2004-05-17 | 2013-07-16 | Google, Inc. | Processing techniques for text capture from a rendered document |
| US8620083B2 (en) | 2004-12-03 | 2013-12-31 | Google Inc. | Method and system for character recognition |
| DE102004020824A1 (en) | 2004-04-28 | 2005-12-01 | BSH Bosch und Siemens Hausgeräte GmbH | Adjusting device with an at least two-dimensional Sen-sorbereich |
| US7460110B2 (en) | 2004-04-29 | 2008-12-02 | Smart Technologies Ulc | Dual mode touch system |
| US7492357B2 (en) | 2004-05-05 | 2009-02-17 | Smart Technologies Ulc | Apparatus and method for detecting a pointer relative to a touch surface |
| US7538759B2 (en) | 2004-05-07 | 2009-05-26 | Next Holdings Limited | Touch panel display system with illumination and detection provided from a single edge |
| US8120596B2 (en) | 2004-05-21 | 2012-02-21 | Smart Technologies Ulc | Tiled touch system |
| US9286457B2 (en) | 2004-06-14 | 2016-03-15 | Rodney Beatson | Method and system for providing password-free, hardware-rooted, ASIC-based authentication of a human to a mobile device using biometrics with a protected, local template to release trusted credentials to relying parties |
| US7254665B2 (en)* | 2004-06-16 | 2007-08-07 | Microsoft Corporation | Method and system for reducing latency in transferring captured image data by utilizing burst transfer after threshold is reached |
| US8466893B2 (en)* | 2004-06-17 | 2013-06-18 | Adrea, LLC | Use of a two finger input on touch screens |
| US7864161B2 (en)* | 2004-06-17 | 2011-01-04 | Adrea, LLC | Use of a two finger input on touch screens |
| TWI248576B (en)* | 2004-07-05 | 2006-02-01 | Elan Microelectronics Corp | Method for controlling rolling of scroll bar on a touch panel |
| US8643606B2 (en)* | 2004-07-05 | 2014-02-04 | Elan Microelectronics Corporation | Method for scroll bar control on a touchpad and touchpad with scroll bar control function |
| US20060007175A1 (en)* | 2004-07-06 | 2006-01-12 | Chung-Yi Shen | Touch control method of single tap and control module thereof |
| WO2006006173A2 (en)* | 2004-07-15 | 2006-01-19 | N-Trig Ltd. | Automatic switching for a dual mode digitizer |
| US8346620B2 (en) | 2004-07-19 | 2013-01-01 | Google Inc. | Automatic modification of web pages |
| JP4405335B2 (en)* | 2004-07-27 | 2010-01-27 | 株式会社ワコム | POSITION DETECTION DEVICE AND INPUT SYSTEM |
| US8381135B2 (en) | 2004-07-30 | 2013-02-19 | Apple Inc. | Proximity detector in handheld device |
| US7653883B2 (en)* | 2004-07-30 | 2010-01-26 | Apple Inc. | Proximity detector in handheld device |
| EP2296078A3 (en)* | 2004-07-30 | 2014-12-10 | Apple Inc. | Touch-sensitive electronic apparatus for media applications, and methods therefor |
| KR101128572B1 (en)* | 2004-07-30 | 2012-04-23 | 애플 인크. | Gestures for touch sensitive input devices |
| US20070046643A1 (en)* | 2004-08-06 | 2007-03-01 | Hillis W Daniel | State-Based Approach to Gesture Identification |
| US7728821B2 (en) | 2004-08-06 | 2010-06-01 | Touchtable, Inc. | Touch detecting interactive display |
| US7724242B2 (en) | 2004-08-06 | 2010-05-25 | Touchtable, Inc. | Touch driven method and apparatus to integrate and display multiple image layers forming alternate depictions of same subject matter |
| US7719523B2 (en) | 2004-08-06 | 2010-05-18 | Touchtable, Inc. | Bounding box gesture recognition on a touch detecting interactive display |
| US8286125B2 (en) | 2004-08-13 | 2012-10-09 | Cypress Semiconductor Corporation | Model for a hardware device-independent method of defining embedded firmware for programmable systems |
| US8069436B2 (en) | 2004-08-13 | 2011-11-29 | Cypress Semiconductor Corporation | Providing hardware independence to automate code generation of processing device firmware |
| WO2006023569A1 (en) | 2004-08-16 | 2006-03-02 | Fingerworks, Inc. | A method of increasing the spatial resolution of touch sensitive devices |
| US20060038774A1 (en)* | 2004-08-20 | 2006-02-23 | Mese John C | System and method for automatically establishing handedness settings of embedded input device |
| US20060038780A1 (en)* | 2004-08-20 | 2006-02-23 | Mese John C | System and method for automatically establishing handedness settings of mouse-like input device |
| US7561146B1 (en)* | 2004-08-25 | 2009-07-14 | Apple Inc. | Method and apparatus to reject accidental contact on a touchpad |
| US7434173B2 (en)* | 2004-08-30 | 2008-10-07 | Microsoft Corporation | Scrolling web pages using direct interaction |
| US20100231506A1 (en)* | 2004-09-07 | 2010-09-16 | Timothy Pryor | Control of appliances, kitchen and home |
| US7761814B2 (en)* | 2004-09-13 | 2010-07-20 | Microsoft Corporation | Flick gesture |
| US7719522B2 (en)* | 2004-09-24 | 2010-05-18 | Apple Inc. | Raw data track pad device and system |
| US7728823B2 (en)* | 2004-09-24 | 2010-06-01 | Apple Inc. | System and method for processing raw data of track pad device |
| KR100984630B1 (en) | 2004-09-24 | 2010-09-30 | 애플 인크. | System and method for processing raw data of track pad device |
| US20060073893A1 (en)* | 2004-10-01 | 2006-04-06 | Dahl John M | Touchscreen audio feedback in a wagering game system |
| US7280679B2 (en)* | 2004-10-08 | 2007-10-09 | Atrua Technologies, Inc. | System for and method of determining pressure on a finger sensor |
| US20060077179A1 (en)* | 2004-10-08 | 2006-04-13 | Inventec Corporation | Keyboard having automatic adjusting key intervals and a method thereof |
| US20060092177A1 (en)* | 2004-10-30 | 2006-05-04 | Gabor Blasko | Input method and apparatus using tactile guidance and bi-directional segmented stroke |
| US7711681B2 (en) | 2004-11-05 | 2010-05-04 | Accenture Global Services Gmbh | System for distributed information presentation and interaction |
| KR101160826B1 (en)* | 2004-11-08 | 2012-06-29 | 삼성전자주식회사 | Liquid crystal display including sensing element |
| US8402384B2 (en) | 2004-11-09 | 2013-03-19 | Research In Motion Limited | Dynamic bar oriented user interface |
| FR2878344B1 (en)* | 2004-11-22 | 2012-12-21 | Sionnest Laurent Guyot | DATA CONTROLLER AND INPUT DEVICE |
| US7847789B2 (en)* | 2004-11-23 | 2010-12-07 | Microsoft Corporation | Reducing accidental touch-sensitive device activation |
| US7180401B2 (en)* | 2004-12-03 | 2007-02-20 | Kulite Semiconductor Products, Ic. | Personal identification apparatus using measured tactile pressure |
| US7536565B2 (en) | 2005-01-07 | 2009-05-19 | Apple Inc. | Techniques for improved playlist processing on media devices |
| DE202005001032U1 (en)* | 2005-01-22 | 2005-05-12 | Wessling, Herbert | Gaming or gambling machine, has an operating unit in the form of a dielectric operating plate that has operating fields and matching capacitive sensors on its reverse side |
| US20090125383A1 (en)* | 2005-02-04 | 2009-05-14 | Searete Llc, A Limited Liability Corporation Of The State Of Delaware | Participation profiles of virtual world players |
| US7332976B1 (en) | 2005-02-04 | 2008-02-19 | Cypress Semiconductor Corporation | Poly-phase frequency synthesis oscillator |
| US7958047B2 (en)* | 2005-02-04 | 2011-06-07 | The Invention Science Fund I | Virtual credit in simulated environments |
| US20060176279A1 (en)* | 2005-02-08 | 2006-08-10 | Research In Motion | Handheld electronic device having keyboard that provides two-dimensional navigation, and associated method |
| JP4717461B2 (en)* | 2005-02-14 | 2011-07-06 | キヤノン株式会社 | Information input device, information input method, and information input program |
| US7952564B2 (en)* | 2005-02-17 | 2011-05-31 | Hurst G Samuel | Multiple-touch sensor |
| US7831070B1 (en) | 2005-02-18 | 2010-11-09 | Authentec, Inc. | Dynamic finger detection mechanism for a fingerprint sensor |
| US8081159B2 (en)* | 2005-02-24 | 2011-12-20 | Avago Technologies Ecbu Ip (Singapore) Pte. Ltd. | Programmable lift response for an optical navigation device |
| US7715037B2 (en)* | 2005-03-01 | 2010-05-11 | Xerox Corporation | Bi-directional remote visualization for supporting collaborative machine troubleshooting |
| AU2013204606A1 (en)* | 2005-03-04 | 2013-05-09 | Apple Inc. | Multi-functional hand-held device |
| GB2423808B (en)* | 2005-03-04 | 2010-02-17 | Ford Global Tech Llc | Motor vehicle control system for controlling one or more vehicle devices |
| KR101354316B1 (en)* | 2005-03-04 | 2014-01-22 | 애플 인크. | Multi-functional hand-held device |
| KR100687737B1 (en)* | 2005-03-19 | 2007-02-27 | 한국전자통신연구원 | Virtual Mouse Device and Method Based on Two-Hand Gesture |
| US7810050B2 (en)* | 2005-03-28 | 2010-10-05 | Panasonic Corporation | User interface system |
| US20060227115A1 (en)* | 2005-03-31 | 2006-10-12 | Tyco Electronic Corporation | Method and apparatus for touch sensor with interference rejection |
| US20060221061A1 (en)* | 2005-03-31 | 2006-10-05 | Tyco Electronic Corporation | Touch sensor and control with random pulse spacing |
| US7504833B1 (en) | 2005-04-01 | 2009-03-17 | Cypress Semiconductor Corporation | Automatically balanced sensing device and method for multiple capacitive sensors |
| US7353034B2 (en) | 2005-04-04 | 2008-04-01 | X One, Inc. | Location sharing and tracking using mobile phones or other wireless devices |
| US8231056B2 (en)* | 2005-04-08 | 2012-07-31 | Authentec, Inc. | System for and method of protecting an integrated circuit from over currents |
| TWI283364B (en)* | 2005-04-19 | 2007-07-01 | Elan Microelectronics Corp | Touch-sensing device capable of supporting one-dimensional and two-dimensional modes and control method thereof |
| US20060241864A1 (en)* | 2005-04-22 | 2006-10-26 | Outland Research, Llc | Method and apparatus for point-and-send data transfer within an ubiquitous computing environment |
| US9727082B2 (en)* | 2005-04-26 | 2017-08-08 | Apple Inc. | Back-side interface for hand-held devices |
| US7692637B2 (en)* | 2005-04-26 | 2010-04-06 | Nokia Corporation | User input device for electronic device |
| US7400183B1 (en) | 2005-05-05 | 2008-07-15 | Cypress Semiconductor Corporation | Voltage controlled oscillator delay cell and method |
| US7609178B2 (en)* | 2006-04-20 | 2009-10-27 | Pressure Profile Systems, Inc. | Reconfigurable tactile sensor input device |
| US8610675B2 (en) | 2007-03-14 | 2013-12-17 | Power2B, Inc. | Interactive devices |
| US9317170B2 (en)* | 2005-05-18 | 2016-04-19 | Power2B, Inc. | Interactive devices |
| US10452207B2 (en) | 2005-05-18 | 2019-10-22 | Power2B, Inc. | Displays and information input devices |
| US20060270394A1 (en)* | 2005-05-24 | 2006-11-30 | Microsoft Corporation | Multi- stage hardware button for mobile devices |
| US7710397B2 (en) | 2005-06-03 | 2010-05-04 | Apple Inc. | Mouse with improved input mechanisms using touch sensors |
| US7777501B2 (en)* | 2005-06-03 | 2010-08-17 | Synaptics Incorporated | Methods and systems for sigma delta capacitance measuring using shared component |
| US7449895B2 (en)* | 2005-06-03 | 2008-11-11 | Synaptics Incorporated | Methods and systems for detecting a capacitance using switched charge transfer techniques |
| US7902842B2 (en)* | 2005-06-03 | 2011-03-08 | Synaptics Incorporated | Methods and systems for switched charge transfer capacitance measuring using shared components |
| JP5395429B2 (en)* | 2005-06-03 | 2014-01-22 | シナプティクス インコーポレイテッド | Method and system for detecting capacitance using sigma delta measurement |
| US7301350B2 (en)* | 2005-06-03 | 2007-11-27 | Synaptics Incorporated | Methods and systems for detecting a capacitance using sigma-delta measurement techniques |
| US7288946B2 (en)* | 2005-06-03 | 2007-10-30 | Synaptics Incorporated | Methods and systems for detecting a capacitance using sigma-delta measurement techniques |
| US7337085B2 (en)* | 2005-06-10 | 2008-02-26 | Qsi Corporation | Sensor baseline compensation in a force-based touch device |
| US7903090B2 (en) | 2005-06-10 | 2011-03-08 | Qsi Corporation | Force-based input device |
| US20080170043A1 (en)* | 2005-06-10 | 2008-07-17 | Soss David A | Force-based input device |
| US20060284856A1 (en)* | 2005-06-10 | 2006-12-21 | Soss David A | Sensor signal conditioning in a force-based touch device |
| US8089461B2 (en) | 2005-06-23 | 2012-01-03 | Cypress Semiconductor Corporation | Touch wake for electronic devices |
| US9298311B2 (en) | 2005-06-23 | 2016-03-29 | Apple Inc. | Trackpad sensitivity compensation |
| TW200703079A (en)* | 2005-07-08 | 2007-01-16 | Elan Microelectronics Corp | Hand gestures detection method for touch panel |
| US7505613B2 (en)* | 2005-07-12 | 2009-03-17 | Atrua Technologies, Inc. | System for and method of securing fingerprint biometric systems against fake-finger spoofing |
| US20070024591A1 (en)* | 2005-07-27 | 2007-02-01 | Tyco Electronics Corporation | Retrofit touch sensor controls |
| US7355385B2 (en)* | 2005-07-28 | 2008-04-08 | Varian Medical Systems Technologies, Inc. | Voltage injector and detector using pixel array for printed circuit board testing |
| US20070033539A1 (en)* | 2005-08-04 | 2007-02-08 | Thielman Jeffrey L | Displaying information |
| US7294089B2 (en)* | 2005-08-15 | 2007-11-13 | Ford Global Technologies, Llc | Multiple-speed automatic transmission |
| US20070040810A1 (en)* | 2005-08-18 | 2007-02-22 | Eastman Kodak Company | Touch controlled display device |
| US20080147350A1 (en)* | 2005-08-29 | 2008-06-19 | Les Atelier Numeriques Inc. | Apparatus, system and methods for collecting position information over a large surface using electrical field sensing devices |
| US20100026652A1 (en)* | 2005-09-01 | 2010-02-04 | David Hirshberg | System and method for user interface |
| US7671837B2 (en)* | 2005-09-06 | 2010-03-02 | Apple Inc. | Scrolling input arrangements using capacitive sensors on a flexible membrane |
| US8677377B2 (en) | 2005-09-08 | 2014-03-18 | Apple Inc. | Method and apparatus for building an intelligent automated assistant |
| US8350823B2 (en)* | 2005-09-14 | 2013-01-08 | Sharp Kabushiki Kaisha | Coordinate position detecting device |
| CN102841713A (en)* | 2005-09-15 | 2012-12-26 | 苹果公司 | System and method for processing raw data of track pad device |
| US20080098331A1 (en)* | 2005-09-16 | 2008-04-24 | Gregory Novick | Portable Multifunction Device with Soft Keyboards |
| US7694231B2 (en)* | 2006-01-05 | 2010-04-06 | Apple Inc. | Keyboards for portable electronic devices |
| US7633076B2 (en) | 2005-09-30 | 2009-12-15 | Apple Inc. | Automated response to and sensing of user activity in portable devices |
| TWI284827B (en)* | 2005-10-04 | 2007-08-01 | Elan Microelectronics Corp | Multi-functional touch panel and control method thereof |
| US7966577B2 (en) | 2005-10-11 | 2011-06-21 | Apple Inc. | Multimedia control center |
| KR20080068052A (en)* | 2005-10-10 | 2008-07-22 | 씨아이피엘에이 엘티디. | A new crystalline form |
| US7880729B2 (en) | 2005-10-11 | 2011-02-01 | Apple Inc. | Center button isolation ring |
| KR101152136B1 (en) | 2005-10-26 | 2012-06-15 | 삼성전자주식회사 | Touch sensible display device |
| KR101244300B1 (en)* | 2005-10-31 | 2013-03-18 | 삼성전자주식회사 | Apparatus and method for send recognition handwriting data in mobile communication terminal |
| US7307485B1 (en) | 2005-11-14 | 2007-12-11 | Cypress Semiconductor Corporation | Capacitance sensor using relaxation oscillators |
| US7868874B2 (en) | 2005-11-15 | 2011-01-11 | Synaptics Incorporated | Methods and systems for detecting a position-based attribute of an object using digital codes |
| US7599520B2 (en)* | 2005-11-18 | 2009-10-06 | Accenture Global Services Gmbh | Detection of multiple targets on a plane of interest |
| US8209620B2 (en) | 2006-01-31 | 2012-06-26 | Accenture Global Services Limited | System for storage and navigation of application states and interactions |
| US20070132789A1 (en) | 2005-12-08 | 2007-06-14 | Bas Ording | List scrolling in response to moving contact over list of index symbols |
| US7958456B2 (en)* | 2005-12-23 | 2011-06-07 | Apple Inc. | Scrolling list with floating adjacent index symbols |
| TW200723077A (en)* | 2005-12-14 | 2007-06-16 | Elan Microelectronics Corp | Movement detection method for multiple objects on a capacitive touchpad |
| US20080237402A1 (en)* | 2005-12-19 | 2008-10-02 | Marc Ausman | Aircraft trim safety system and backup controls |
| JP4408431B2 (en)* | 2005-12-19 | 2010-02-03 | アルプス電気株式会社 | Input device |
| US8085067B1 (en) | 2005-12-21 | 2011-12-27 | Cypress Semiconductor Corporation | Differential-to-single ended signal converter circuit and method |
| US7657849B2 (en) | 2005-12-23 | 2010-02-02 | Apple Inc. | Unlocking a device by performing gestures on an unlock image |
| US7480870B2 (en) | 2005-12-23 | 2009-01-20 | Apple Inc. | Indication of progress towards satisfaction of a user input condition |
| US7649526B2 (en)* | 2005-12-23 | 2010-01-19 | Apple Inc. | Soft key interaction indicator |
| US7786975B2 (en)* | 2005-12-23 | 2010-08-31 | Apple Inc. | Continuous scrolling list with acceleration |
| US7650137B2 (en)* | 2005-12-23 | 2010-01-19 | Apple Inc. | Account information display for portable communication device |
| AU2006101096B4 (en)* | 2005-12-30 | 2010-07-08 | Apple Inc. | Portable electronic device with multi-touch input |
| US8077147B2 (en) | 2005-12-30 | 2011-12-13 | Apple Inc. | Mouse with optical sensing surface |
| US8018440B2 (en) | 2005-12-30 | 2011-09-13 | Microsoft Corporation | Unintentional touch rejection |
| US20070152983A1 (en) | 2005-12-30 | 2007-07-05 | Apple Computer, Inc. | Touch pad with symbols based on mode |
| US7509588B2 (en) | 2005-12-30 | 2009-03-24 | Apple Inc. | Portable electronic device with interface reconfiguration mode |
| US7860536B2 (en)* | 2006-01-05 | 2010-12-28 | Apple Inc. | Telephone interface for a portable communication device |
| US8918736B2 (en)* | 2006-01-05 | 2014-12-23 | Apple Inc. | Replay recommendations in a text entry interface |
| US7574672B2 (en)* | 2006-01-05 | 2009-08-11 | Apple Inc. | Text entry interface for a portable communication device |
| US20070162857A1 (en)* | 2006-01-06 | 2007-07-12 | Ralf Weber | Automated multimedia authoring |
| USD541801S1 (en) | 2006-01-09 | 2007-05-01 | Qsi Corporation | Touch pad terminal |
| US7312616B2 (en) | 2006-01-20 | 2007-12-25 | Cypress Semiconductor Corporation | Successive approximate capacitance measurement circuit |
| US9411428B2 (en)* | 2006-01-31 | 2016-08-09 | Hillcrest Laboratories, Inc. | 3D pointing devices with keyboards |
| US7684953B2 (en)* | 2006-02-10 | 2010-03-23 | Authentec, Inc. | Systems using variable resistance zones and stops for generating inputs to an electronic device |
| KR100828017B1 (en)* | 2006-02-10 | 2008-05-08 | 한국과학기술연구원 | Graphic user interface device and method of displaying graphic objects |
| US20070188474A1 (en)* | 2006-02-16 | 2007-08-16 | Zaborowski Philippe S | Touch-sensitive motion device |
| JP2009527765A (en)* | 2006-02-21 | 2009-07-30 | サーク・コーポレーション | A system that allows the robot gripping mechanism to get a touch sensation using capacitive touchpad technology |
| US8144115B2 (en)* | 2006-03-17 | 2012-03-27 | Konicek Jeffrey C | Flat panel display screen operable for touch position determination system and methods |
| US20070222764A1 (en)* | 2006-03-22 | 2007-09-27 | Centrality Communications, Inc. | Glide touch sensor based interface for navigation infotainment systems |
| US20070222767A1 (en)* | 2006-03-22 | 2007-09-27 | David Wang | Glide touch sensor based interface for navigation infotainment systems |
| JP4720568B2 (en)* | 2006-03-24 | 2011-07-13 | ソニー株式会社 | User input device and user input method |
| US20070097096A1 (en)* | 2006-03-25 | 2007-05-03 | Outland Research, Llc | Bimodal user interface paradigm for touch screen devices |
| US8067948B2 (en) | 2006-03-27 | 2011-11-29 | Cypress Semiconductor Corporation | Input/output multiplexer bus |
| US7591165B2 (en)* | 2006-03-29 | 2009-09-22 | Tekscan Incorporated | Control circuit for sensor array and related methods |
| US20070235231A1 (en)* | 2006-03-29 | 2007-10-11 | Tekscan, Inc. | Control circuit for sensor array and related methods |
| US7511702B2 (en) | 2006-03-30 | 2009-03-31 | Apple Inc. | Force and location sensitive display |
| US8111243B2 (en)* | 2006-03-30 | 2012-02-07 | Cypress Semiconductor Corporation | Apparatus and method for recognizing a tap gesture on a touch sensing device |
| US8144125B2 (en) | 2006-03-30 | 2012-03-27 | Cypress Semiconductor Corporation | Apparatus and method for reducing average scan rate to detect a conductive object on a sensing device |
| US7538760B2 (en)* | 2006-03-30 | 2009-05-26 | Apple Inc. | Force imaging input device and system |
| US8040142B1 (en) | 2006-03-31 | 2011-10-18 | Cypress Semiconductor Corporation | Touch detection techniques for capacitive touch sense systems |
| US7721609B2 (en) | 2006-03-31 | 2010-05-25 | Cypress Semiconductor Corporation | Method and apparatus for sensing the force with which a button is pressed |
| US20070097151A1 (en)* | 2006-04-07 | 2007-05-03 | Outland Research, Llc | Behind-screen zoom for handheld computing devices |
| US8077153B2 (en) | 2006-04-19 | 2011-12-13 | Microsoft Corporation | Precise selection techniques for multi-touch screens |
| US9243756B2 (en) | 2006-04-20 | 2016-01-26 | Delta Faucet Company | Capacitive user interface for a faucet and method of forming |
| US8162236B2 (en)* | 2006-04-20 | 2012-04-24 | Masco Corporation Of Indiana | Electronic user interface for electronic mixing of water for residential faucets |
| US8365767B2 (en) | 2006-04-20 | 2013-02-05 | Masco Corporation Of Indiana | User interface for a faucet |
| US20090278806A1 (en)* | 2008-05-06 | 2009-11-12 | Matias Gonzalo Duarte | Extended touch-sensitive control area for electronic device |
| US8296684B2 (en) | 2008-05-23 | 2012-10-23 | Hewlett-Packard Development Company, L.P. | Navigating among activities in a computing device |
| US8683362B2 (en) | 2008-05-23 | 2014-03-25 | Qualcomm Incorporated | Card metaphor for activities in a computing device |
| US8118240B2 (en) | 2006-04-20 | 2012-02-21 | Masco Corporation Of Indiana | Pull-out wand |
| US8089473B2 (en) | 2006-04-20 | 2012-01-03 | Masco Corporation Of Indiana | Touch sensor |
| US9274807B2 (en) | 2006-04-20 | 2016-03-01 | Qualcomm Incorporated | Selective hibernation of activities in an electronic device |
| US7978181B2 (en) | 2006-04-25 | 2011-07-12 | Apple Inc. | Keystroke tactility arrangement on a smooth touch surface |
| US8062115B2 (en)* | 2006-04-27 | 2011-11-22 | Wms Gaming Inc. | Wagering game with multi-point gesture sensing device |
| US8279180B2 (en) | 2006-05-02 | 2012-10-02 | Apple Inc. | Multipoint touch surface controller |
| TW200743007A (en)* | 2006-05-09 | 2007-11-16 | Behavior Tech Computer Corp | Improved USB keyboard and human-machine input device with the keyboard |
| US9063647B2 (en) | 2006-05-12 | 2015-06-23 | Microsoft Technology Licensing, Llc | Multi-touch uses, gestures, and implementation |
| KR100866484B1 (en)* | 2006-05-17 | 2008-11-03 | 삼성전자주식회사 | Finger movement detection device and method using multi-contact touch sensor |
| US8004497B2 (en) | 2006-05-18 | 2011-08-23 | Cypress Semiconductor Corporation | Two-pin buttons |
| US8089472B2 (en) | 2006-05-26 | 2012-01-03 | Cypress Semiconductor Corporation | Bidirectional slider with delete function |
| US8537121B2 (en) | 2006-05-26 | 2013-09-17 | Cypress Semiconductor Corporation | Multi-function slider in touchpad |
| WO2007140594A1 (en)* | 2006-06-06 | 2007-12-13 | Marshall Joseph T | Typing tutoring system and method for indicating finger placement on a keyboard |
| CN101467120B (en) | 2006-06-09 | 2012-12-12 | 苹果公司 | Touch screen liquid crystal display |
| CN102981678B (en) | 2006-06-09 | 2015-07-22 | 苹果公司 | Touch screen liquid crystal display |
| KR101246830B1 (en)* | 2006-06-09 | 2013-03-28 | 삼성디스플레이 주식회사 | Display device and method of driving the same |
| GB2451210B8 (en) | 2006-06-09 | 2011-03-02 | Apple Inc | Touch screen liquid crystal display. |
| CN104965621B (en) | 2006-06-09 | 2018-06-12 | 苹果公司 | Touch screen LCD and its operating method |
| US20070283832A1 (en)* | 2006-06-09 | 2007-12-13 | Apple Computer, Inc. | Imprint circuit patterning |
| US8259078B2 (en)* | 2006-06-09 | 2012-09-04 | Apple Inc. | Touch screen liquid crystal display |
| US8059102B2 (en)* | 2006-06-13 | 2011-11-15 | N-Trig Ltd. | Fingertip touch recognition for a digitizer |
| US20070291008A1 (en)* | 2006-06-16 | 2007-12-20 | Daniel Wigdor | Inverted direct touch sensitive input devices |
| US8269725B2 (en)* | 2006-06-28 | 2012-09-18 | Microsoft Corporation | Input simulation system for touch based devices |
| FR2903207B1 (en)* | 2006-06-28 | 2008-11-07 | Jazzmutant Soc Par Actions Sim | MULTIPOINT TOUCH SENSOR WITH ACTIVE MATRIX |
| US8022935B2 (en) | 2006-07-06 | 2011-09-20 | Apple Inc. | Capacitance sensing electrode with integrated I/O mechanism |
| US9360967B2 (en) | 2006-07-06 | 2016-06-07 | Apple Inc. | Mutual capacitance touch sensing device |
| US8743060B2 (en) | 2006-07-06 | 2014-06-03 | Apple Inc. | Mutual capacitance touch sensing device |
| US8040321B2 (en) | 2006-07-10 | 2011-10-18 | Cypress Semiconductor Corporation | Touch-sensor with shared capacitive sensors |
| JP4764274B2 (en)* | 2006-07-11 | 2011-08-31 | 京セラミタ株式会社 | Electronic device and program |
| WO2008007372A2 (en) | 2006-07-12 | 2008-01-17 | N-Trig Ltd. | Hover and touch detection for a digitizer |
| US20080012832A1 (en)* | 2006-07-13 | 2008-01-17 | Guanghai Li | Multi-function touchpad |
| US8686964B2 (en)* | 2006-07-13 | 2014-04-01 | N-Trig Ltd. | User specific recognition of intended user interaction with a digitizer |
| EP2041640B1 (en)* | 2006-07-16 | 2012-01-25 | I. Cherradi | Free fingers typing technology |
| US7253643B1 (en) | 2006-07-19 | 2007-08-07 | Cypress Semiconductor Corporation | Uninterrupted radial capacitive sense interface |
| US9235274B1 (en) | 2006-07-25 | 2016-01-12 | Apple Inc. | Low-profile or ultra-thin navigation pointing or haptic feedback device |
| US9507465B2 (en) | 2006-07-25 | 2016-11-29 | Cypress Semiconductor Corporation | Technique for increasing the sensitivity of capacitive sensor arrays |
| EP1882902A1 (en)* | 2006-07-27 | 2008-01-30 | Aisin AW Co., Ltd. | Navigation apparatus and method for providing guidance to a vehicle user using a touch screen |
| US20080030482A1 (en)* | 2006-07-31 | 2008-02-07 | Elwell James K | Force-based input device having an elevated contacting surface |
| US8441467B2 (en)* | 2006-08-03 | 2013-05-14 | Perceptive Pixel Inc. | Multi-touch sensing display through frustrated total internal reflection |
| US8144271B2 (en) | 2006-08-03 | 2012-03-27 | Perceptive Pixel Inc. | Multi-touch sensing through frustrated total internal reflection |
| US8065601B2 (en) | 2006-08-03 | 2011-11-22 | Apple Inc. | System and method for tagging data |
| US7870508B1 (en) | 2006-08-17 | 2011-01-11 | Cypress Semiconductor Corporation | Method and apparatus for controlling display of data on a display screen |
| KR100866485B1 (en)* | 2006-08-22 | 2008-11-03 | 삼성전자주식회사 | Multi-contact position change detection device, method, and mobile device using same |
| US9766738B1 (en) | 2006-08-23 | 2017-09-19 | Cypress Semiconductor Corporation | Position and usage based prioritization for capacitance sense interface |
| US8610670B2 (en)* | 2006-08-31 | 2013-12-17 | Japan Display West Inc. | Imaging and display apparatus, information input apparatus, object detection medium, and object detection method |
| US7934156B2 (en) | 2006-09-06 | 2011-04-26 | Apple Inc. | Deletion gestures on a portable multifunction device |
| US8842074B2 (en) | 2006-09-06 | 2014-09-23 | Apple Inc. | Portable electronic device performing similar operations for different gestures |
| US7996792B2 (en) | 2006-09-06 | 2011-08-09 | Apple Inc. | Voicemail manager for portable multifunction device |
| US9304675B2 (en) | 2006-09-06 | 2016-04-05 | Apple Inc. | Portable electronic device for instant messaging |
| US8564544B2 (en) | 2006-09-06 | 2013-10-22 | Apple Inc. | Touch screen device, method, and graphical user interface for customizing display of content category icons |
| US7864163B2 (en) | 2006-09-06 | 2011-01-04 | Apple Inc. | Portable electronic device, method, and graphical user interface for displaying structured electronic documents |
| US7843427B2 (en) | 2006-09-06 | 2010-11-30 | Apple Inc. | Methods for determining a cursor position from a finger contact with a touch screen display |
| US10313505B2 (en) | 2006-09-06 | 2019-06-04 | Apple Inc. | Portable multifunction device, method, and graphical user interface for configuring and displaying widgets |
| US8014760B2 (en) | 2006-09-06 | 2011-09-06 | Apple Inc. | Missed telephone call management for a portable multifunction device |
| US8106856B2 (en) | 2006-09-06 | 2012-01-31 | Apple Inc. | Portable electronic device for photo management |
| US7940250B2 (en)* | 2006-09-06 | 2011-05-10 | Apple Inc. | Web-clip widgets on a portable multifunction device |
| US8471822B2 (en) | 2006-09-06 | 2013-06-25 | Apple Inc. | Dual-sided track pad |
| US20080055263A1 (en)* | 2006-09-06 | 2008-03-06 | Lemay Stephen O | Incoming Telephone Call Management for a Portable Multifunction Device |
| WO2008029285A2 (en)* | 2006-09-07 | 2008-03-13 | Palm Inc. | Device and method |
| EP2067119A2 (en) | 2006-09-08 | 2009-06-10 | Exbiblio B.V. | Optical scanners, such as hand-held optical scanners |
| US9318108B2 (en) | 2010-01-18 | 2016-04-19 | Apple Inc. | Intelligent automated assistant |
| US7795553B2 (en) | 2006-09-11 | 2010-09-14 | Apple Inc. | Hybrid button |
| US7930650B2 (en) | 2006-09-11 | 2011-04-19 | Apple Inc. | User interface with menu abstractions and content abstractions |
| US7874923B2 (en)* | 2006-09-27 | 2011-01-25 | Igt | Multiple touchscreen sensors on a monolithic structure |
| US7599712B2 (en)* | 2006-09-27 | 2009-10-06 | Palm, Inc. | Apparatus and methods for providing directional commands for a mobile computing device |
| US8781151B2 (en) | 2006-09-28 | 2014-07-15 | Sony Computer Entertainment Inc. | Object detection using video input combined with tilt angle information |
| USRE48417E1 (en) | 2006-09-28 | 2021-02-02 | Sony Interactive Entertainment Inc. | Object direction using video input combined with tilt angle information |
| WO2008045464A2 (en)* | 2006-10-10 | 2008-04-17 | Wms Gaming Inc. | Multi-player, multi-touch table for use in wagering game systems |
| GB2456247B (en)* | 2006-10-10 | 2009-12-09 | Promethean Ltd | Interactive display system with master/slave pointing devices |
| US8274479B2 (en) | 2006-10-11 | 2012-09-25 | Apple Inc. | Gimballed scroll wheel |
| US20080088600A1 (en)* | 2006-10-11 | 2008-04-17 | Apple Inc. | Method and apparatus for implementing multiple push buttons in a user input device |
| US20080088595A1 (en)* | 2006-10-12 | 2008-04-17 | Hua Liu | Interconnected two-substrate layer touchpad capacitive sensing device |
| US7667148B2 (en)* | 2006-10-13 | 2010-02-23 | Apple Inc. | Method, device, and graphical user interface for dialing with a click wheel |
| DE202006015740U1 (en)* | 2006-10-13 | 2008-02-21 | Brose Fahrzeugteile Gmbh & Co. Kommanditgesellschaft, Coburg | anti-pinch |
| KR101299682B1 (en)* | 2006-10-16 | 2013-08-22 | 삼성전자주식회사 | Universal input device |
| US7817020B2 (en)* | 2006-10-17 | 2010-10-19 | Gentex Corporation | Optical user interface system for automotive modules |
| EP2095214B1 (en) | 2006-10-26 | 2019-07-10 | Apple Inc. | Portable multifunction device, method, and graphical user interface for adjusting an insertion point marker |
| US7856605B2 (en) | 2006-10-26 | 2010-12-21 | Apple Inc. | Method, system, and graphical user interface for positioning an insertion marker in a touch screen display |
| US8570278B2 (en) | 2006-10-26 | 2013-10-29 | Apple Inc. | Portable multifunction device, method, and graphical user interface for adjusting an insertion point marker |
| US8090087B2 (en) | 2006-10-26 | 2012-01-03 | Apple Inc. | Method, system, and graphical user interface for making conference calls |
| KR101297387B1 (en) | 2006-11-09 | 2013-08-19 | 삼성디스플레이 주식회사 | Liquid crystal display associated with touch panel |
| US8482530B2 (en) | 2006-11-13 | 2013-07-09 | Apple Inc. | Method of capacitively sensing finger position |
| US8547114B2 (en)* | 2006-11-14 | 2013-10-01 | Cypress Semiconductor Corporation | Capacitance to code converter with sigma-delta modulator |
| US8089288B1 (en) | 2006-11-16 | 2012-01-03 | Cypress Semiconductor Corporation | Charge accumulation capacitance sensor with linear transfer characteristic |
| US8094129B2 (en)* | 2006-11-27 | 2012-01-10 | Microsoft Corporation | Touch sensing using shadow and reflective modes |
| US8269746B2 (en) | 2006-11-27 | 2012-09-18 | Microsoft Corporation | Communication with a touch screen |
| US7924272B2 (en)* | 2006-11-27 | 2011-04-12 | Microsoft Corporation | Infrared sensor integrated in a touch panel |
| US9442607B2 (en) | 2006-12-04 | 2016-09-13 | Smart Technologies Inc. | Interactive input system and method |
| US20080136679A1 (en)* | 2006-12-06 | 2008-06-12 | Newman Mark W | Using sequential taps to enter text |
| US8902172B2 (en)* | 2006-12-07 | 2014-12-02 | Cypress Semiconductor Corporation | Preventing unintentional activation of a touch-sensor button caused by a presence of conductive liquid on the touch-sensor button |
| WO2008076393A1 (en)* | 2006-12-14 | 2008-06-26 | Qsi Corporation | Force-based input device having a modular sensing component |
| KR101155259B1 (en)* | 2006-12-15 | 2012-06-13 | 엘지전자 주식회사 | Wireless communication terminal and method for selecting an operation mode thereof |
| US7948477B2 (en)* | 2006-12-15 | 2011-05-24 | Apple Inc. | PET-based touchpad |
| US9243392B2 (en) | 2006-12-19 | 2016-01-26 | Delta Faucet Company | Resistive coupling for an automatic faucet |
| TWI399670B (en)* | 2006-12-21 | 2013-06-21 | Elan Microelectronics Corp | Operation control methods and systems, and machine readable medium thereof |
| US7986313B2 (en)* | 2007-01-03 | 2011-07-26 | Apple Inc. | Analog boundary scanning based on stray capacitance |
| US8068125B2 (en) | 2007-01-05 | 2011-11-29 | Apple Inc. | Luminescence shock avoidance in display devices |
| US7719367B2 (en)* | 2007-01-03 | 2010-05-18 | Apple Inc. | Automatic frequency calibration |
| US7812827B2 (en) | 2007-01-03 | 2010-10-12 | Apple Inc. | Simultaneous sensing arrangement |
| US9311528B2 (en)* | 2007-01-03 | 2016-04-12 | Apple Inc. | Gesture learning |
| US7848825B2 (en) | 2007-01-03 | 2010-12-07 | Apple Inc. | Master/slave mode for sensor processing devices |
| US8405617B2 (en) | 2007-01-03 | 2013-03-26 | Apple Inc. | Gated power management over a system bus |
| US8085247B2 (en)* | 2007-01-03 | 2011-12-27 | Apple Inc. | Advanced frequency calibration |
| US8130203B2 (en) | 2007-01-03 | 2012-03-06 | Apple Inc. | Multi-touch input discrimination |
| US7692638B2 (en) | 2007-01-03 | 2010-04-06 | Apple Inc. | Error compensation for multi-touch surfaces |
| US7920129B2 (en) | 2007-01-03 | 2011-04-05 | Apple Inc. | Double-sided touch-sensitive panel with shield and drive combined layer |
| US7986193B2 (en)* | 2007-01-03 | 2011-07-26 | Apple Inc. | Noise reduction within an electronic device using automatic frequency modulation |
| US8510481B2 (en)* | 2007-01-03 | 2013-08-13 | Apple Inc. | Memory access without internal microprocessor intervention |
| US7861073B2 (en)* | 2007-01-03 | 2010-12-28 | Apple Inc. | On-chip decompression engine |
| US8054296B2 (en)* | 2007-01-03 | 2011-11-08 | Apple Inc. | Storing baseline information in EEPROM |
| US8970501B2 (en) | 2007-01-03 | 2015-03-03 | Apple Inc. | Proximity and multi-touch sensor detection and demodulation |
| US8026903B2 (en) | 2007-01-03 | 2011-09-27 | Apple Inc. | Double-sided touch sensitive panel and flex circuit bonding |
| US8049732B2 (en) | 2007-01-03 | 2011-11-01 | Apple Inc. | Front-end signal compensation |
| US8125455B2 (en)* | 2007-01-03 | 2012-02-28 | Apple Inc. | Full scale calibration measurement for multi-touch surfaces |
| US7643010B2 (en)* | 2007-01-03 | 2010-01-05 | Apple Inc. | Peripheral pixel noise reduction |
| US20080297487A1 (en)* | 2007-01-03 | 2008-12-04 | Apple Inc. | Display integrated photodiode matrix |
| US8489783B2 (en)* | 2007-01-03 | 2013-07-16 | Apple Inc. | Multi buffer asynchronous scheme for processing incoming information |
| US8031174B2 (en)* | 2007-01-03 | 2011-10-04 | Apple Inc. | Multi-touch surface stackup arrangement |
| US8232970B2 (en) | 2007-01-03 | 2012-07-31 | Apple Inc. | Scan sequence generator |
| US8026904B2 (en)* | 2007-01-03 | 2011-09-27 | Apple Inc. | Periodic sensor panel baseline adjustment |
| US8542211B2 (en)* | 2007-01-03 | 2013-09-24 | Apple Inc. | Projection scan multi-touch sensor array |
| US8711129B2 (en)* | 2007-01-03 | 2014-04-29 | Apple Inc. | Minimizing mismatch during compensation |
| US8094128B2 (en) | 2007-01-03 | 2012-01-10 | Apple Inc. | Channel scan logic |
| US7855718B2 (en)* | 2007-01-03 | 2010-12-21 | Apple Inc. | Multi-touch input discrimination |
| US7876310B2 (en)* | 2007-01-03 | 2011-01-25 | Apple Inc. | Far-field input identification |
| US7777732B2 (en)* | 2007-01-03 | 2010-08-17 | Apple Inc. | Multi-event input system |
| US8493330B2 (en) | 2007-01-03 | 2013-07-23 | Apple Inc. | Individual channel phase delay scheme |
| US8125456B2 (en)* | 2007-01-03 | 2012-02-28 | Apple Inc. | Multi-touch auto scanning |
| US8269727B2 (en) | 2007-01-03 | 2012-09-18 | Apple Inc. | Irregular input identification |
| US8074172B2 (en) | 2007-01-05 | 2011-12-06 | Apple Inc. | Method, system, and graphical user interface for providing word recommendations |
| US9710095B2 (en) | 2007-01-05 | 2017-07-18 | Apple Inc. | Touch screen stack-ups |
| US7924271B2 (en)* | 2007-01-05 | 2011-04-12 | Apple Inc. | Detecting gestures on multi-event sensitive devices |
| US7852325B2 (en)* | 2007-01-05 | 2010-12-14 | Apple Inc. | RF pulse synchronization for data acquisition operations |
| US8144129B2 (en)* | 2007-01-05 | 2012-03-27 | Apple Inc. | Flexible touch sensing circuits |
| US8656295B2 (en)* | 2007-01-05 | 2014-02-18 | Apple Inc. | Selecting and manipulating web content |
| US20080165139A1 (en) | 2007-01-05 | 2008-07-10 | Apple Inc. | Touch screen stack-up processing |
| US8970503B2 (en)* | 2007-01-05 | 2015-03-03 | Apple Inc. | Gestures for devices having one or more touch sensitive surfaces |
| US8373655B2 (en)* | 2007-01-05 | 2013-02-12 | Apple Inc. | Adaptive acceleration of mouse cursor |
| US7956847B2 (en)* | 2007-01-05 | 2011-06-07 | Apple Inc. | Gestures for controlling, manipulating, and editing of media files using touch sensitive devices |
| US8214768B2 (en) | 2007-01-05 | 2012-07-03 | Apple Inc. | Method, system, and graphical user interface for viewing multiple application windows |
| US7907125B2 (en)* | 2007-01-05 | 2011-03-15 | Microsoft Corporation | Recognizing multiple input point gestures |
| US7877707B2 (en)* | 2007-01-06 | 2011-01-25 | Apple Inc. | Detecting and interpreting real-world and security gestures on touch and hover sensitive devices |
| US7978176B2 (en) | 2007-01-07 | 2011-07-12 | Apple Inc. | Portrait-landscape rotation heuristics for a portable multifunction device |
| US8519963B2 (en) | 2007-01-07 | 2013-08-27 | Apple Inc. | Portable multifunction device, method, and graphical user interface for interpreting a finger gesture on a touch screen display |
| US8788954B2 (en) | 2007-01-07 | 2014-07-22 | Apple Inc. | Web-clip widgets on a portable multifunction device |
| US8849278B2 (en)* | 2007-01-07 | 2014-09-30 | Jeffrey Bush | Mobile device activation |
| US20080168478A1 (en) | 2007-01-07 | 2008-07-10 | Andrew Platzer | Application Programming Interfaces for Scrolling |
| US7975242B2 (en) | 2007-01-07 | 2011-07-05 | Apple Inc. | Portable multifunction device, method, and graphical user interface for conference calling |
| US7844915B2 (en) | 2007-01-07 | 2010-11-30 | Apple Inc. | Application programming interfaces for scrolling operations |
| US8519964B2 (en) | 2007-01-07 | 2013-08-27 | Apple Inc. | Portable multifunction device, method, and graphical user interface supporting user navigations of graphical objects on a touch screen display |
| US8082523B2 (en) | 2007-01-07 | 2011-12-20 | Apple Inc. | Portable electronic device with graphical user interface supporting application switching |
| US8966383B2 (en) | 2007-01-07 | 2015-02-24 | Patrice Gautier | Graphical user interface and method for mobile device activation |
| US10437459B2 (en) | 2007-01-07 | 2019-10-08 | Apple Inc. | Multitouch data fusion |
| US8451232B2 (en) | 2007-01-07 | 2013-05-28 | Apple Inc. | Portable multifunction device, method, and graphical user interface for interacting with user input elements in displayed content |
| US20080168402A1 (en) | 2007-01-07 | 2008-07-10 | Christopher Blumenberg | Application Programming Interfaces for Gesture Operations |
| US7966578B2 (en) | 2007-01-07 | 2011-06-21 | Apple Inc. | Portable multifunction device, method, and graphical user interface for translating displayed content |
| US8666366B2 (en)* | 2007-06-22 | 2014-03-04 | Apple Inc. | Device activation and access |
| US20080168395A1 (en) | 2007-01-07 | 2008-07-10 | Bas Ording | Positioning a Slider Icon on a Portable Multifunction Device |
| US8054299B2 (en) | 2007-01-08 | 2011-11-08 | Apple Inc. | Digital controller for a true multi-point touch surface useable in a computer system |
| US20080165135A1 (en)* | 2007-01-10 | 2008-07-10 | Jao-Ching Lin | Functional expansion system for a touch pad |
| KR20080067885A (en)* | 2007-01-17 | 2008-07-22 | 삼성전자주식회사 | Touch signal recognition device and method |
| US8058937B2 (en) | 2007-01-30 | 2011-11-15 | Cypress Semiconductor Corporation | Setting a discharge rate and a charge rate of a relaxation oscillator circuit |
| US7806141B2 (en)* | 2007-01-31 | 2010-10-05 | Masco Corporation Of Indiana | Mixing valve including a molded waterway assembly |
| US8944105B2 (en) | 2007-01-31 | 2015-02-03 | Masco Corporation Of Indiana | Capacitive sensing apparatus and method for faucets |
| WO2008095139A2 (en)* | 2007-01-31 | 2008-08-07 | Perceptive Pixel, Inc. | Methods of interfacing with multi-point input devices and multi-point input systems employing interfacing techniques |
| JP2008197934A (en)* | 2007-02-14 | 2008-08-28 | Calsonic Kansei Corp | Operator determining method |
| US20080196945A1 (en)* | 2007-02-21 | 2008-08-21 | Jason Konstas | Preventing unintentional activation of a sensor element of a sensing device |
| US8376313B2 (en)* | 2007-03-28 | 2013-02-19 | Masco Corporation Of Indiana | Capacitive touch sensor |
| US8977255B2 (en) | 2007-04-03 | 2015-03-10 | Apple Inc. | Method and system for operating a multi-function portable electronic device using voice-activation |
| US8115753B2 (en) | 2007-04-11 | 2012-02-14 | Next Holdings Limited | Touch screen system with hover and click input methods |
| TWI340911B (en)* | 2007-04-13 | 2011-04-21 | Generalplus Technology Inc | Capacitance touch sensor |
| US8130025B2 (en) | 2007-04-17 | 2012-03-06 | Cypress Semiconductor Corporation | Numerical band gap |
| US8516025B2 (en) | 2007-04-17 | 2013-08-20 | Cypress Semiconductor Corporation | Clock driven dynamic datapath chaining |
| US8040266B2 (en) | 2007-04-17 | 2011-10-18 | Cypress Semiconductor Corporation | Programmable sigma-delta analog-to-digital converter |
| US8092083B2 (en) | 2007-04-17 | 2012-01-10 | Cypress Semiconductor Corporation | Temperature sensor with digital bandgap |
| US9564902B2 (en) | 2007-04-17 | 2017-02-07 | Cypress Semiconductor Corporation | Dynamically configurable and re-configurable data path |
| US8026739B2 (en) | 2007-04-17 | 2011-09-27 | Cypress Semiconductor Corporation | System level interconnect with programmable switching |
| US7737724B2 (en) | 2007-04-17 | 2010-06-15 | Cypress Semiconductor Corporation | Universal digital block interconnection and channel routing |
| EP2137894B1 (en) | 2007-04-19 | 2019-05-22 | Apple Inc. | Personal area network systems and devices and methods for use thereof |
| US8065653B1 (en) | 2007-04-25 | 2011-11-22 | Cypress Semiconductor Corporation | Configuration of programmable IC design elements |
| US9720805B1 (en) | 2007-04-25 | 2017-08-01 | Cypress Semiconductor Corporation | System and method for controlling a target device |
| US8266575B1 (en) | 2007-04-25 | 2012-09-11 | Cypress Semiconductor Corporation | Systems and methods for dynamically reconfiguring a programmable system on a chip |
| DE102007021402A1 (en)* | 2007-05-04 | 2008-11-06 | Atmel Germany Gmbh | Integrated amplifier circuit |
| US8605008B1 (en) | 2007-05-04 | 2013-12-10 | Apple Inc. | Head-mounted display |
| US8024692B2 (en)* | 2007-05-04 | 2011-09-20 | Mentor Graphics Corporation | Modeling the skin effect using efficient conduction mode techniques |
| US8549415B2 (en) | 2007-05-04 | 2013-10-01 | Apple Inc. | Automatically adjusting media display in a personal display system |
| US8144126B2 (en) | 2007-05-07 | 2012-03-27 | Cypress Semiconductor Corporation | Reducing sleep current in a capacitance sensing system |
| US9285930B2 (en)* | 2007-05-09 | 2016-03-15 | Wacom Co., Ltd. | Electret stylus for touch-sensor device |
| US20080303800A1 (en)* | 2007-05-22 | 2008-12-11 | Elwell James K | Touch-based input device providing a reconfigurable user interface |
| JP2010528561A (en)* | 2007-05-29 | 2010-08-19 | トリニティ ビデオ コミュニケーションズ、インコーポレイテッド | CODEC driven touch screen video conference control system |
| US7936341B2 (en)* | 2007-05-30 | 2011-05-03 | Microsoft Corporation | Recognizing selection regions from multiple simultaneous inputs |
| KR20080105724A (en)* | 2007-06-01 | 2008-12-04 | 삼성전자주식회사 | Communication terminal having a touch panel and a touch coordinate value calculation method thereof |
| US8127239B2 (en) | 2007-06-08 | 2012-02-28 | Apple Inc. | Object transitions |
| US8839142B2 (en)* | 2007-06-08 | 2014-09-16 | Apple Inc. | Desktop system object removal |
| US8432396B2 (en)* | 2007-06-08 | 2013-04-30 | Apple Inc. | Reflections in a multidimensional user interface environment |
| US9791994B2 (en)* | 2007-06-08 | 2017-10-17 | Apple Inc. | User interface for application interface manipulation |
| US8205081B2 (en) | 2007-06-09 | 2012-06-19 | Apple Inc. | Systems and methods for verifying the authenticity of a remote device |
| US9052817B2 (en)* | 2007-06-13 | 2015-06-09 | Apple Inc. | Mode sensitive processing of touch data |
| US9772667B2 (en) | 2007-06-13 | 2017-09-26 | Apple Inc. | Integrated multi-touch surface having varying sensor granularity |
| US8400408B2 (en)* | 2007-06-13 | 2013-03-19 | Apple Inc. | Touch screens with transparent conductive material resistors |
| US9740386B2 (en)* | 2007-06-13 | 2017-08-22 | Apple Inc. | Speed/positional mode translations |
| US8493331B2 (en)* | 2007-06-13 | 2013-07-23 | Apple Inc. | Touch detection using multiple simultaneous frequencies |
| US7916126B2 (en)* | 2007-06-13 | 2011-03-29 | Apple Inc. | Bottom-up watershed dataflow method and region-specific segmentation based on historic data to identify patches on a touch sensor panel |
| US7876311B2 (en)* | 2007-06-13 | 2011-01-25 | Apple Inc. | Detection of low noise frequencies for multiple frequency sensor panel stimulation |
| US20080309633A1 (en)* | 2007-06-13 | 2008-12-18 | Apple Inc. | Touch-sensitive display |
| US20090009483A1 (en)* | 2007-06-13 | 2009-01-08 | Apple Inc. | Single-chip touch controller with integrated drive system |
| US8040326B2 (en) | 2007-06-13 | 2011-10-18 | Apple Inc. | Integrated in-plane switching display and touch sensor |
| US7932896B2 (en)* | 2007-06-13 | 2011-04-26 | Apple Inc. | Techniques for reducing jitter for taps |
| US7920134B2 (en)* | 2007-06-13 | 2011-04-05 | Apple Inc. | Periodic sensor autocalibration and emulation by varying stimulus level |
| US8681104B2 (en)* | 2007-06-13 | 2014-03-25 | Apple Inc. | Pinch-throw and translation gestures |
| US9933937B2 (en) | 2007-06-20 | 2018-04-03 | Apple Inc. | Portable multifunction device, method, and graphical user interface for playing online videos |
| US8059101B2 (en) | 2007-06-22 | 2011-11-15 | Apple Inc. | Swipe gestures for touch screen keyboards |
| US8302033B2 (en) | 2007-06-22 | 2012-10-30 | Apple Inc. | Touch screen device, method, and graphical user interface for providing maps, directions, and location-based information |
| US20090006846A1 (en) | 2007-06-27 | 2009-01-01 | Apple Inc. | Bluetooth device as security access key |
| US8774825B2 (en) | 2007-06-28 | 2014-07-08 | Apple Inc. | Integration of map services with user applications in a mobile device |
| US8290513B2 (en) | 2007-06-28 | 2012-10-16 | Apple Inc. | Location-based services |
| US8463238B2 (en) | 2007-06-28 | 2013-06-11 | Apple Inc. | Mobile device base station |
| US8429286B2 (en) | 2007-06-28 | 2013-04-23 | Apple Inc. | Methods and systems for rapid data acquisition over the internet |
| US9066199B2 (en) | 2007-06-28 | 2015-06-23 | Apple Inc. | Location-aware mobile device |
| US8762056B2 (en) | 2007-06-28 | 2014-06-24 | Apple Inc. | Route reference |
| US8180379B2 (en) | 2007-06-28 | 2012-05-15 | Apple Inc. | Synchronizing mobile and vehicle devices |
| US9109904B2 (en) | 2007-06-28 | 2015-08-18 | Apple Inc. | Integration of map services and user applications in a mobile device |
| US8311526B2 (en) | 2007-06-28 | 2012-11-13 | Apple Inc. | Location-based categorical information services |
| US8456450B2 (en) | 2007-06-28 | 2013-06-04 | Apple Inc. | Systems and methods for impedance stabilization |
| US8175802B2 (en) | 2007-06-28 | 2012-05-08 | Apple Inc. | Adaptive route guidance based on preferences |
| US7874021B2 (en)* | 2007-06-28 | 2011-01-25 | Apple Inc. | High tactility glove system |
| US8275352B2 (en) | 2007-06-28 | 2012-09-25 | Apple Inc. | Location-based emergency information |
| US8204684B2 (en) | 2007-06-28 | 2012-06-19 | Apple Inc. | Adaptive mobile device navigation |
| US8108144B2 (en) | 2007-06-28 | 2012-01-31 | Apple Inc. | Location based tracking |
| US8332402B2 (en) | 2007-06-28 | 2012-12-11 | Apple Inc. | Location based media items |
| US8385946B2 (en) | 2007-06-28 | 2013-02-26 | Apple Inc. | Disfavored route progressions or locations |
| US7804307B1 (en) | 2007-06-29 | 2010-09-28 | Cypress Semiconductor Corporation | Capacitance measurement systems and methods |
| US7750895B2 (en)* | 2007-06-29 | 2010-07-06 | Microsoft Corporation | Navigating lists using input motions |
| US9500686B1 (en) | 2007-06-29 | 2016-11-22 | Cypress Semiconductor Corporation | Capacitance measurement system and methods |
| US20090002386A1 (en)* | 2007-06-29 | 2009-01-01 | Apple Inc. | Graphical Representation Creation Mechanism |
| US9772751B2 (en) | 2007-06-29 | 2017-09-26 | Apple Inc. | Using gestures to slide between user interfaces |
| WO2009006556A1 (en) | 2007-07-03 | 2009-01-08 | Cypress Semiconductor Corporation | Normalizing capacitive sensor array signals |
| WO2009006557A1 (en)* | 2007-07-03 | 2009-01-08 | Cypress Semiconductor Corporation | Method for improving scan time and sensitivity in touch sensitive user interface device |
| US8089289B1 (en) | 2007-07-03 | 2012-01-03 | Cypress Semiconductor Corporation | Capacitive field sensor with sigma-delta modulator |
| US8570053B1 (en) | 2007-07-03 | 2013-10-29 | Cypress Semiconductor Corporation | Capacitive field sensor with sigma-delta modulator |
| US8169238B1 (en) | 2007-07-03 | 2012-05-01 | Cypress Semiconductor Corporation | Capacitance to frequency converter |
| US8766910B2 (en)* | 2007-07-04 | 2014-07-01 | Cypress Semiconductor Corporation | Capacitive sensing control knob |
| WO2009007704A1 (en)* | 2007-07-12 | 2009-01-15 | Qrg Limited | Two-dimensional touch panel |
| US8692767B2 (en)* | 2007-07-13 | 2014-04-08 | Synaptics Incorporated | Input device and method for virtual trackball operation |
| US9654104B2 (en)* | 2007-07-17 | 2017-05-16 | Apple Inc. | Resistive force sensor with capacitive discrimination |
| US8094137B2 (en) | 2007-07-23 | 2012-01-10 | Smart Technologies Ulc | System and method of detecting contact on a display |
| KR101395780B1 (en)* | 2007-07-27 | 2014-05-16 | 삼성전자주식회사 | Pressure sensor arrary apparatus and method for tactility |
| US8125468B2 (en)* | 2007-07-30 | 2012-02-28 | Perceptive Pixel Inc. | Liquid multi-touch sensor and display device |
| WO2009016382A2 (en)* | 2007-07-31 | 2009-02-05 | Qrg Limited | Sensor and method of sensing |
| US9305027B2 (en) | 2007-08-03 | 2016-04-05 | Apple Inc. | User configurable quick groups |
| CN101821703A (en)* | 2007-08-03 | 2010-09-01 | 感知像素股份有限公司 | Multi-touch sensing through frustrated total internal reflection |
| US8422385B2 (en)* | 2007-08-10 | 2013-04-16 | Lg Electronics Inc. | Control method for uplink connecting of idle terminal |
| US20090048711A1 (en)* | 2007-08-15 | 2009-02-19 | Deline Jonathan E | Fuel dispenser |
| US8947364B2 (en)* | 2007-08-20 | 2015-02-03 | Synaptics Incorporated | Proximity sensor device and method with activation confirmation |
| AT506111A2 (en)* | 2007-08-21 | 2009-06-15 | Plastic Electronic Gmbh | PRESS-SENSITIVE COORDINATE MEASURING DEVICE |
| JP4753918B2 (en)* | 2007-08-22 | 2011-08-24 | 日本写真印刷株式会社 | Protection panel with analog resistive touch input function |
| US8219936B2 (en) | 2007-08-30 | 2012-07-10 | Lg Electronics Inc. | User interface for a mobile device using a user's gesture in the proximity of an electronic device |
| US8384693B2 (en) | 2007-08-30 | 2013-02-26 | Next Holdings Limited | Low profile touch panel systems |
| WO2009029767A1 (en) | 2007-08-30 | 2009-03-05 | Next Holdings, Inc. | Optical touchscreen with improved illumination |
| JP5091591B2 (en)* | 2007-08-30 | 2012-12-05 | 株式会社東芝 | Information processing apparatus, program, and information processing method |
| US8432365B2 (en)* | 2007-08-30 | 2013-04-30 | Lg Electronics Inc. | Apparatus and method for providing feedback for three-dimensional touchscreen |
| US8510485B2 (en)* | 2007-08-31 | 2013-08-13 | Apple Inc. | Low power digital interface |
| US7907020B2 (en)* | 2007-08-31 | 2011-03-15 | Apple Inc. | Constant calibration |
| US9451450B2 (en) | 2007-09-01 | 2016-09-20 | Apple Inc. | Postponed carrier configuration |
| US7929959B2 (en)* | 2007-09-01 | 2011-04-19 | Apple Inc. | Service provider activation |
| US8032181B2 (en) | 2007-09-01 | 2011-10-04 | Apple Inc. | Service provider activation with subscriber identity module policy |
| US8218306B2 (en) | 2007-09-04 | 2012-07-10 | Apple Inc. | Assembly of a handheld electronic device |
| US8619038B2 (en) | 2007-09-04 | 2013-12-31 | Apple Inc. | Editing interface |
| US11126321B2 (en) | 2007-09-04 | 2021-09-21 | Apple Inc. | Application menu user interface |
| WO2009032898A2 (en) | 2007-09-04 | 2009-03-12 | Apple Inc. | Compact input device |
| US9619143B2 (en) | 2008-01-06 | 2017-04-11 | Apple Inc. | Device, method, and graphical user interface for viewing application launch icons |
| US20090058842A1 (en)* | 2007-09-04 | 2009-03-05 | Apple Inc. | Devices and methods for controlling a display to conserve power |
| US9477395B2 (en) | 2007-09-04 | 2016-10-25 | Apple Inc. | Audio file interface |
| US10091345B2 (en)* | 2007-09-04 | 2018-10-02 | Apple Inc. | Media out interface |
| US20090062944A1 (en)* | 2007-09-04 | 2009-03-05 | Apple Inc. | Modifying media files |
| US20090058850A1 (en)* | 2007-09-04 | 2009-03-05 | Wey Fun | System and method for intuitive interactive navigational control in virtual environments |
| US20090058823A1 (en)* | 2007-09-04 | 2009-03-05 | Apple Inc. | Virtual Keyboards in Multi-Language Environment |
| US8683378B2 (en) | 2007-09-04 | 2014-03-25 | Apple Inc. | Scrolling techniques for user interfaces |
| US9602757B2 (en) | 2007-09-04 | 2017-03-21 | Apple Inc. | Display of video subtitles |
| US8442521B2 (en)* | 2007-09-04 | 2013-05-14 | Apple Inc. | Carrier configuration at activation |
| US8049569B1 (en) | 2007-09-05 | 2011-11-01 | Cypress Semiconductor Corporation | Circuit and method for improving the accuracy of a crystal-less oscillator having dual-frequency modes |
| EP2187291A4 (en)* | 2007-09-05 | 2012-06-13 | Panasonic Corp | PORTABLE TERMINAL DEVICE AND DISPLAY CONTROL TECHNIQUE |
| US8674950B2 (en)* | 2007-09-06 | 2014-03-18 | Cypress Semiconductor Corporation | Dual-sensing-mode touch-sensor device |
| US8248081B2 (en) | 2007-09-06 | 2012-08-21 | Cypress Semiconductor Corporation | Calibration of single-layer touch-sensor device |
| KR101442105B1 (en)* | 2007-09-07 | 2014-09-19 | 삼성전자주식회사 | Touch screen panel capable of multi-dimensional input and its multidimensional input method |
| US8661340B2 (en) | 2007-09-13 | 2014-02-25 | Apple Inc. | Input methods for device having multi-language environment |
| US20090073112A1 (en)* | 2007-09-14 | 2009-03-19 | International Business Machines Corporation | Method and system for dynamically configurable tactile feedback for navigational support |
| US20120075193A1 (en)* | 2007-09-19 | 2012-03-29 | Cleankeys Inc. | Multiplexed numeric keypad and touchpad |
| US9110590B2 (en)* | 2007-09-19 | 2015-08-18 | Typesoft Technologies, Inc. | Dynamically located onscreen keyboard |
| KR101578870B1 (en)* | 2007-09-19 | 2015-12-30 | 애플 인크. | Cleanable touch and tap-sensitive surface |
| US10126942B2 (en)* | 2007-09-19 | 2018-11-13 | Apple Inc. | Systems and methods for detecting a press on a touch-sensitive surface |
| US9454270B2 (en) | 2008-09-19 | 2016-09-27 | Apple Inc. | Systems and methods for detecting a press on a touch-sensitive surface |
| US10203873B2 (en) | 2007-09-19 | 2019-02-12 | Apple Inc. | Systems and methods for adaptively presenting a keyboard on a touch-sensitive display |
| US9489086B1 (en)* | 2013-04-29 | 2016-11-08 | Apple Inc. | Finger hover detection for improved typing |
| US20090079745A1 (en)* | 2007-09-24 | 2009-03-26 | Wey Fun | System and method for intuitive interactive navigational control in virtual environments |
| KR20200090943A (en) | 2007-09-24 | 2020-07-29 | 애플 인크. | Embedded authentication systems in an electronic device |
| US8130211B2 (en)* | 2007-09-24 | 2012-03-06 | Microsoft Corporation | One-touch rotation of virtual objects in virtual workspace |
| US10504285B2 (en)* | 2007-09-26 | 2019-12-10 | Autodesk, Inc. | Navigation system for a 3D virtual scene |
| US11441919B2 (en)* | 2007-09-26 | 2022-09-13 | Apple Inc. | Intelligent restriction of device operations |
| US9021400B2 (en)* | 2007-09-26 | 2015-04-28 | Autodesk, Inc | Navigation system for a 3D virtual scene |
| US8009147B2 (en) | 2007-09-27 | 2011-08-30 | At&T Intellectual Property I, Lp | Multi-touch interfaces for user authentication, partitioning, and external device control |
| US7825820B2 (en)* | 2007-09-28 | 2010-11-02 | Apple Inc. | Security using electronic devices |
| US8125458B2 (en)* | 2007-09-28 | 2012-02-28 | Microsoft Corporation | Detecting finger orientation on a touch-sensitive device |
| US8098235B2 (en)* | 2007-09-28 | 2012-01-17 | Immersion Corporation | Multi-touch device having dynamic haptic effects |
| US9335869B2 (en)* | 2007-10-01 | 2016-05-10 | Igt | Method and apparatus for detecting lift off on a touchscreen |
| US8127246B2 (en) | 2007-10-01 | 2012-02-28 | Apple Inc. | Varying user interface element based on movement |
| US8942764B2 (en)* | 2007-10-01 | 2015-01-27 | Apple Inc. | Personal media device controlled via user initiated movements utilizing movement based interfaces |
| US8153016B2 (en)* | 2007-10-03 | 2012-04-10 | Apple Inc. | Shaping a cover glass |
| US8165886B1 (en) | 2007-10-04 | 2012-04-24 | Great Northern Research LLC | Speech interface system and method for control and interaction with applications on a computing system |
| JP2009093291A (en)* | 2007-10-04 | 2009-04-30 | Toshiba Corp | Gesture determination device and method |
| US8595642B1 (en) | 2007-10-04 | 2013-11-26 | Great Northern Research, LLC | Multiple shell multi faceted graphical user interface |
| US8633915B2 (en)* | 2007-10-04 | 2014-01-21 | Apple Inc. | Single-layer touch-sensitive display |
| US20090091536A1 (en)* | 2007-10-05 | 2009-04-09 | Microsoft Corporation | Dial Pad Data Entry |
| US8171431B2 (en)* | 2007-10-05 | 2012-05-01 | Microsoft Corporation | Handle flags |
| US8977294B2 (en) | 2007-10-10 | 2015-03-10 | Apple Inc. | Securely locating a device |
| WO2009047759A2 (en)* | 2007-10-11 | 2009-04-16 | N-Trig Ltd. | Method for palm touch identification in multi-touch digitizing systems |
| US8087983B2 (en)* | 2007-10-13 | 2012-01-03 | Douglas Ronald Longway | Apparatus and methodology for electronic table game system |
| US8031175B2 (en)* | 2008-04-21 | 2011-10-04 | Panasonic Corporation | Touch sensitive remote control system that detects hand size characteristics of user and adapts mapping to screen display |
| US20100073318A1 (en)* | 2008-09-24 | 2010-03-25 | Matsushita Electric Industrial Co., Ltd. | Multi-touch surface providing detection and tracking of multiple touch points |
| KR100942720B1 (en)* | 2007-10-24 | 2010-02-16 | 한국표준과학연구원 | Thin touch screen using contact resistance type tactile sensor and manufacturing method and realization method of the touch screen |
| US8719920B2 (en) | 2007-10-25 | 2014-05-06 | International Business Machines Corporation | Arrangements for identifying users in a multi-touch surface environment |
| US8004500B2 (en) | 2007-10-26 | 2011-08-23 | Apple Inc. | Switched capacitor projection scan multi-touch sensor array |
| WO2009058745A2 (en) | 2007-10-28 | 2009-05-07 | Synaptics Incorporated | Determining actuation of multi-sensor electrode capacitive buttons |
| US20090113005A1 (en)* | 2007-10-31 | 2009-04-30 | Justin Gregg | Systems and methods for controlling pre-communications interactions |
| US20090115735A1 (en)* | 2007-11-06 | 2009-05-07 | Himax Technologies Limited | Sensor with pressure-induced varied capacitance |
| US7976372B2 (en) | 2007-11-09 | 2011-07-12 | Igt | Gaming system having multiple player simultaneous display/input device |
| CN101868775B (en)* | 2007-11-09 | 2013-04-03 | 瑟克公司 | A method for tracking multiple objects on a touchpad based on external edge detection |
| US7996045B1 (en) | 2007-11-09 | 2011-08-09 | Google Inc. | Providing interactive alert information |
| US8545321B2 (en) | 2007-11-09 | 2013-10-01 | Igt | Gaming system having user interface with uploading and downloading capability |
| US8439756B2 (en) | 2007-11-09 | 2013-05-14 | Igt | Gaming system having a display/input device configured to interactively operate with external device |
| US20090125824A1 (en)* | 2007-11-12 | 2009-05-14 | Microsoft Corporation | User interface with physics engine for natural gestural control |
| US20090125848A1 (en)* | 2007-11-14 | 2009-05-14 | Susann Marie Keohane | Touch surface-sensitive edit system |
| JP4922901B2 (en)* | 2007-11-19 | 2012-04-25 | アルプス電気株式会社 | Input device |
| US10282701B2 (en)* | 2007-11-20 | 2019-05-07 | Red Hat, Inc. | Web-based technical issue assignments based on technical support groups having handled a highest number of technical requests |
| US8059103B2 (en)* | 2007-11-21 | 2011-11-15 | 3M Innovative Properties Company | System and method for determining touch positions based on position-dependent electrical charges |
| TWI407336B (en)* | 2007-11-22 | 2013-09-01 | Htc Corp | Electronic devices and input modules thereof |
| US8253686B2 (en)* | 2007-11-26 | 2012-08-28 | Electronics And Telecommunications Research Institute | Pointing apparatus capable of providing haptic feedback, and haptic interaction system and method using the same |
| WO2009070814A2 (en)* | 2007-11-27 | 2009-06-04 | Frederick Johannes Bruwer | Capacitive sensing circuit with noise rejection |
| US20090138673A1 (en)* | 2007-11-28 | 2009-05-28 | Apple Inc. | Internal memory mapped external memory interface |
| US8254828B2 (en)* | 2007-11-30 | 2012-08-28 | Apple Inc. | Methods and systems for mixing media with communications |
| US8416198B2 (en) | 2007-12-03 | 2013-04-09 | Apple Inc. | Multi-dimensional scroll wheel |
| US8184096B2 (en) | 2007-12-04 | 2012-05-22 | Apple Inc. | Cursor transitions |
| WO2009075858A1 (en) | 2007-12-11 | 2009-06-18 | Masco Corporation Of Indiana | Capacitive coupling arrangement for a faucet |
| US8341544B2 (en) | 2007-12-14 | 2012-12-25 | Apple Inc. | Scroll bar with video region in a media system |
| AR064377A1 (en) | 2007-12-17 | 2009-04-01 | Rovere Victor Manuel Suarez | DEVICE FOR SENSING MULTIPLE CONTACT AREAS AGAINST OBJECTS SIMULTANEOUSLY |
| EP2225628B1 (en)* | 2007-12-20 | 2018-05-30 | Myriad France | Method and system for moving a cursor and selecting objects on a touchscreen using a finger pointer |
| TWI368161B (en)* | 2007-12-21 | 2012-07-11 | Htc Corp | Electronic apparatus and input interface thereof |
| US8358276B2 (en)* | 2007-12-21 | 2013-01-22 | Apple Inc. | Touch pad electrode design |
| US9075483B2 (en) | 2007-12-21 | 2015-07-07 | Apple Inc. | Negative pixel compensation |
| US8219407B1 (en) | 2007-12-27 | 2012-07-10 | Great Northern Research, LLC | Method for processing the output of a speech recognizer |
| US8610671B2 (en) | 2007-12-27 | 2013-12-17 | Apple Inc. | Insertion marker placement on touch sensitive display |
| US7928965B2 (en) | 2007-12-27 | 2011-04-19 | Apple Inc. | Touch screen RFID tag reader |
| US20090170492A1 (en)* | 2007-12-28 | 2009-07-02 | Apple Inc. | User-programmed automated communications |
| US9509829B2 (en)* | 2007-12-28 | 2016-11-29 | Apple, Inc. | Urgent communications |
| US8373549B2 (en) | 2007-12-31 | 2013-02-12 | Apple Inc. | Tactile feedback in an electronic device |
| US20090172606A1 (en)* | 2007-12-31 | 2009-07-02 | Motorola, Inc. | Method and apparatus for two-handed computer user interface with gesture recognition |
| US20090166098A1 (en)* | 2007-12-31 | 2009-07-02 | Apple Inc. | Non-visual control of multi-touch device |
| US8229160B2 (en) | 2008-01-03 | 2012-07-24 | Apple Inc. | Systems and methods for identifying objects and providing information related to identified objects |
| US8600120B2 (en) | 2008-01-03 | 2013-12-03 | Apple Inc. | Personal computing device control using face detection and recognition |
| US9330720B2 (en) | 2008-01-03 | 2016-05-03 | Apple Inc. | Methods and apparatus for altering audio output signals |
| US8547339B2 (en) | 2008-01-04 | 2013-10-01 | Tactus Technology, Inc. | System and methods for raised touch screens |
| US8922510B2 (en) | 2008-01-04 | 2014-12-30 | Tactus Technology, Inc. | User interface system |
| US9720501B2 (en) | 2008-01-04 | 2017-08-01 | Tactus Technology, Inc. | Dynamic tactile interface |
| US8947383B2 (en) | 2008-01-04 | 2015-02-03 | Tactus Technology, Inc. | User interface system and method |
| US8570295B2 (en) | 2008-01-04 | 2013-10-29 | Tactus Technology, Inc. | User interface system |
| US9430074B2 (en) | 2008-01-04 | 2016-08-30 | Tactus Technology, Inc. | Dynamic tactile interface |
| US9612659B2 (en) | 2008-01-04 | 2017-04-04 | Tactus Technology, Inc. | User interface system |
| US8154527B2 (en) | 2008-01-04 | 2012-04-10 | Tactus Technology | User interface system |
| US20160187981A1 (en) | 2008-01-04 | 2016-06-30 | Tactus Technology, Inc. | Manual fluid actuator |
| US8704790B2 (en) | 2010-10-20 | 2014-04-22 | Tactus Technology, Inc. | User interface system |
| US8413075B2 (en)* | 2008-01-04 | 2013-04-02 | Apple Inc. | Gesture movies |
| US9274612B2 (en) | 2008-01-04 | 2016-03-01 | Tactus Technology, Inc. | User interface system |
| US20090174676A1 (en) | 2008-01-04 | 2009-07-09 | Apple Inc. | Motion component dominance factors for motion locking of touch sensor data |
| US8179377B2 (en) | 2009-01-05 | 2012-05-15 | Tactus Technology | User interface system |
| US8243038B2 (en) | 2009-07-03 | 2012-08-14 | Tactus Technologies | Method for adjusting the user interface of a device |
| US20090174679A1 (en)* | 2008-01-04 | 2009-07-09 | Wayne Carl Westerman | Selective Rejection of Touch Contacts in an Edge Region of a Touch Surface |
| US9298261B2 (en) | 2008-01-04 | 2016-03-29 | Tactus Technology, Inc. | Method for actuating a tactile interface layer |
| US9588683B2 (en) | 2008-01-04 | 2017-03-07 | Tactus Technology, Inc. | Dynamic tactile interface |
| US8456438B2 (en) | 2008-01-04 | 2013-06-04 | Tactus Technology, Inc. | User interface system |
| US9052790B2 (en) | 2008-01-04 | 2015-06-09 | Tactus Technology, Inc. | User interface and methods |
| US9557915B2 (en) | 2008-01-04 | 2017-01-31 | Tactus Technology, Inc. | Dynamic tactile interface |
| US9552065B2 (en) | 2008-01-04 | 2017-01-24 | Tactus Technology, Inc. | Dynamic tactile interface |
| US8553005B2 (en) | 2008-01-04 | 2013-10-08 | Tactus Technology, Inc. | User interface system |
| US8179375B2 (en) | 2008-01-04 | 2012-05-15 | Tactus Technology | User interface system and method |
| US9423875B2 (en) | 2008-01-04 | 2016-08-23 | Tactus Technology, Inc. | Dynamic tactile interface with exhibiting optical dispersion characteristics |
| US9128525B2 (en) | 2008-01-04 | 2015-09-08 | Tactus Technology, Inc. | Dynamic tactile interface |
| US9063627B2 (en) | 2008-01-04 | 2015-06-23 | Tactus Technology, Inc. | User interface and methods |
| US9372576B2 (en) | 2008-01-04 | 2016-06-21 | Apple Inc. | Image jaggedness filter for determining whether to perform baseline calculations |
| US20090174682A1 (en)* | 2008-01-05 | 2009-07-09 | Visteon Global Technologies, Inc. | Instrumentation Module For A Vehicle |
| US10102300B2 (en)* | 2008-01-06 | 2018-10-16 | Apple Inc. | Icon creation on mobile device |
| US8355862B2 (en) | 2008-01-06 | 2013-01-15 | Apple Inc. | Graphical user interface for presenting location information |
| US8327272B2 (en) | 2008-01-06 | 2012-12-04 | Apple Inc. | Portable multifunction device, method, and graphical user interface for viewing and managing electronic calendars |
| US8405621B2 (en) | 2008-01-06 | 2013-03-26 | Apple Inc. | Variable rate media playback methods for electronic devices with touch interfaces |
| KR101469034B1 (en)* | 2008-01-07 | 2014-12-05 | 삼성디스플레이 주식회사 | Display device and control method thereof |
| US8405636B2 (en) | 2008-01-07 | 2013-03-26 | Next Holdings Limited | Optical position sensing system and optical position sensor assembly |
| US8232973B2 (en) | 2008-01-09 | 2012-07-31 | Apple Inc. | Method, device, and graphical user interface providing word recommendations for text input |
| US20090174675A1 (en)* | 2008-01-09 | 2009-07-09 | Dave Gillespie | Locating multiple objects on a capacitive touch pad |
| US8228170B2 (en)* | 2008-01-10 | 2012-07-24 | International Business Machines Corporation | Using sensors to identify objects placed on a surface |
| US8452529B2 (en) | 2008-01-10 | 2013-05-28 | Apple Inc. | Adaptive navigation system for estimating travel times |
| US8125461B2 (en) | 2008-01-11 | 2012-02-28 | Apple Inc. | Dynamic input graphic display |
| RU2519392C2 (en)* | 2008-01-11 | 2014-06-10 | О-Нэт Вэйв Тач Лимитед | Sensor device |
| US20090183098A1 (en)* | 2008-01-14 | 2009-07-16 | Dell Products, Lp | Configurable Keyboard |
| US8525798B2 (en) | 2008-01-28 | 2013-09-03 | Cypress Semiconductor Corporation | Touch sensing |
| US10969917B2 (en) | 2008-01-30 | 2021-04-06 | Apple Inc. | Auto scanning for multiple frequency stimulation multi-touch sensor panels |
| US8820133B2 (en) | 2008-02-01 | 2014-09-02 | Apple Inc. | Co-extruded materials and methods |
| US8487912B1 (en) | 2008-02-01 | 2013-07-16 | Cypress Semiconductor Corporation | Capacitive sense touch device with hysteresis threshold |
| US8692777B2 (en)* | 2008-02-08 | 2014-04-08 | Apple Inc. | Method for rapidly testing capacitance sensing array fault conditions using a floating conductor |
| JP2009194041A (en)* | 2008-02-12 | 2009-08-27 | Canon Inc | Evaluation method, adjustment method, exposure apparatus, and computer program |
| JP5098042B2 (en)* | 2008-02-13 | 2012-12-12 | 株式会社ワコム | Position detection apparatus and position detection method |
| US8418046B2 (en)* | 2008-02-13 | 2013-04-09 | Apple Inc. | Data signal handling circuitry and methods with error analysis capabilities |
| JP5429918B2 (en)* | 2008-02-15 | 2014-02-26 | 任天堂株式会社 | Information processing program and information processing apparatus |
| US8412150B2 (en)* | 2008-02-21 | 2013-04-02 | Apple Inc. | Transitional data sets |
| US8432364B2 (en)* | 2008-02-25 | 2013-04-30 | Apple Inc. | Charge recycling for multi-touch controllers |
| US20090213083A1 (en)* | 2008-02-26 | 2009-08-27 | Apple Inc. | Simulation of multi-point gestures with a single pointing device |
| US8797271B2 (en)* | 2008-02-27 | 2014-08-05 | Microsoft Corporation | Input aggregation for a multi-touch device |
| US8319505B1 (en) | 2008-10-24 | 2012-11-27 | Cypress Semiconductor Corporation | Methods and circuits for measuring mutual and self capacitance |
| US8358142B2 (en) | 2008-02-27 | 2013-01-22 | Cypress Semiconductor Corporation | Methods and circuits for measuring mutual and self capacitance |
| US9104273B1 (en) | 2008-02-29 | 2015-08-11 | Cypress Semiconductor Corporation | Multi-touch sensing method |
| US8803737B2 (en)* | 2008-02-29 | 2014-08-12 | Apple Inc. | Location determination |
| CN102006828B (en)* | 2008-03-03 | 2014-08-27 | 柯尼卡美能达株式会社 | Ultrasonic diagnostic device |
| US8908973B2 (en)* | 2008-03-04 | 2014-12-09 | Apple Inc. | Handwritten character recognition interface |
| US8477143B2 (en) | 2008-03-04 | 2013-07-02 | Apple Inc. | Buffers for display acceleration |
| US8416196B2 (en) | 2008-03-04 | 2013-04-09 | Apple Inc. | Touch event model programming interface |
| US8289283B2 (en) | 2008-03-04 | 2012-10-16 | Apple Inc. | Language input interface on a device |
| AU2009222082A1 (en) | 2008-03-04 | 2009-09-11 | Apple Inc. | Managing code entitlements for software developers in secure operating environments |
| US8205157B2 (en) | 2008-03-04 | 2012-06-19 | Apple Inc. | Methods and graphical user interfaces for conducting searches on a portable multifunction device |
| US8289333B2 (en)* | 2008-03-04 | 2012-10-16 | Apple Inc. | Multi-context graphics processing |
| US9418171B2 (en)* | 2008-03-04 | 2016-08-16 | Apple Inc. | Acceleration of rendering of web-based content |
| US8174502B2 (en) | 2008-03-04 | 2012-05-08 | Apple Inc. | Touch event processing for web pages |
| US8717305B2 (en) | 2008-03-04 | 2014-05-06 | Apple Inc. | Touch event model for web pages |
| US8650507B2 (en) | 2008-03-04 | 2014-02-11 | Apple Inc. | Selecting of text using gestures |
| US8645827B2 (en) | 2008-03-04 | 2014-02-04 | Apple Inc. | Touch event model |
| EP2250604B1 (en) | 2008-03-04 | 2017-12-27 | Apple Inc. | System and method of authorizing execution of software code based on at least one installed profile |
| US8201109B2 (en) | 2008-03-04 | 2012-06-12 | Apple Inc. | Methods and graphical user interfaces for editing on a portable multifunction device |
| US20090225026A1 (en)* | 2008-03-06 | 2009-09-10 | Yaron Sheba | Electronic device for selecting an application based on sensed orientation and methods for use therewith |
| JP4650699B2 (en)* | 2008-03-06 | 2011-03-16 | Necインフロンティア株式会社 | Input device, input method, and program |
| US20090227369A1 (en)* | 2008-03-10 | 2009-09-10 | Merit Entertainment | Amusement Device Having a Configurable Display for Presenting Games Having Different Aspect Ratios |
| JP4968121B2 (en)* | 2008-03-10 | 2012-07-04 | 富士通セミコンダクター株式会社 | Capacitance sensor |
| KR101007045B1 (en)* | 2008-03-12 | 2011-01-12 | 주식회사 애트랩 | Contact sensor device and method of determining the pointing coordinates of the device |
| US9454256B2 (en) | 2008-03-14 | 2016-09-27 | Apple Inc. | Sensor configurations of an input device that are switchable based on mode |
| US20090231282A1 (en)* | 2008-03-14 | 2009-09-17 | Steven Fyke | Character selection on a device using offset contact-zone |
| US8185843B2 (en) | 2008-03-17 | 2012-05-22 | Apple Inc. | Managing user interface control panels |
| US20090237374A1 (en)* | 2008-03-20 | 2009-09-24 | Motorola, Inc. | Transparent pressure sensor and method for using |
| US9018030B2 (en)* | 2008-03-20 | 2015-04-28 | Symbol Technologies, Inc. | Transparent force sensor and method of fabrication |
| US9753533B2 (en)* | 2008-03-26 | 2017-09-05 | Pierre Bonnat | Method and system for controlling a user interface of a device using human breath |
| US8035622B2 (en)* | 2008-03-27 | 2011-10-11 | Apple Inc. | SAR ADC with dynamic input scaling and offset adjustment |
| KR101460127B1 (en)* | 2008-03-27 | 2014-11-10 | 삼성전자주식회사 | Multi-touch recognition method of resistive touch screen and portable terminal using the same |
| CN102172419A (en)* | 2008-04-01 | 2011-09-07 | 史密斯医疗Asd公司 | Security features for a medical infusion pump |
| US8624844B2 (en) | 2008-04-01 | 2014-01-07 | Litl Llc | Portable computer with multiple display configurations |
| US9003315B2 (en)* | 2008-04-01 | 2015-04-07 | Litl Llc | System and method for streamlining user interaction with electronic content |
| US20090243897A1 (en)* | 2008-04-01 | 2009-10-01 | Davidson Wayne A | Method and apparatus for entering alphanumeric data via keypads or display screens |
| US20090322790A1 (en)* | 2008-04-01 | 2009-12-31 | Yves Behar | System and method for streamlining user interaction with electronic content |
| US8577957B2 (en)* | 2008-04-01 | 2013-11-05 | Litl Llc | System and method for streamlining user interaction with electronic content |
| KR101469280B1 (en)* | 2008-04-01 | 2014-12-04 | 엘지전자 주식회사 | A portable terminal having a proximity touch detection function and a method for providing a graphical user interface using the same |
| US8612888B2 (en) | 2008-04-01 | 2013-12-17 | Litl, Llc | Method and apparatus for managing digital media content |
| US20110012848A1 (en)* | 2008-04-03 | 2011-01-20 | Dong Li | Methods and apparatus for operating a multi-object touch handheld device with touch sensitive display |
| US8996376B2 (en) | 2008-04-05 | 2015-03-31 | Apple Inc. | Intelligent text-to-speech conversion |
| US9019237B2 (en)* | 2008-04-06 | 2015-04-28 | Lester F. Ludwig | Multitouch parameter and gesture user interface employing an LED-array tactile sensor that can also operate as a display |
| TW200942459A (en)* | 2008-04-07 | 2009-10-16 | rui-yang Zhang | Auto-inflatable capsule |
| TWI496060B (en)* | 2008-04-07 | 2015-08-11 | Elan Microelectronics Corp | Capacitive touch panel and its positioning method for two - dimensional application with single layer sensor |
| DE102008017716A1 (en)* | 2008-04-07 | 2009-10-08 | Volkswagen Ag | Displaying and operating device for vehicle, has display device, touch-sensitive position detection unit coupled with display device, and controller which is coupled with display device and position detection unit |
| KR101365776B1 (en)* | 2008-04-08 | 2014-02-20 | 엘지디스플레이 주식회사 | Multi-touch system and driving method thereof |
| US8335996B2 (en)* | 2008-04-10 | 2012-12-18 | Perceptive Pixel Inc. | Methods of interfacing with multi-input devices and multi-input display systems employing interfacing techniques |
| WO2009128064A2 (en)* | 2008-04-14 | 2009-10-22 | Pointgrab Ltd. | Vision based pointing device emulation |
| US8213389B2 (en) | 2008-04-15 | 2012-07-03 | Apple Inc. | Location determination using formula |
| US8949743B2 (en)* | 2008-04-22 | 2015-02-03 | Apple Inc. | Language input interface on a device |
| US8799821B1 (en) | 2008-04-24 | 2014-08-05 | Pixar | Method and apparatus for user inputs for three-dimensional animation |
| US10180714B1 (en)* | 2008-04-24 | 2019-01-15 | Pixar | Two-handed multi-stroke marking menus for multi-touch devices |
| JP4626671B2 (en)* | 2008-04-24 | 2011-02-09 | ソニー株式会社 | Input device and control system |
| US8970504B2 (en)* | 2008-04-25 | 2015-03-03 | Apple Inc. | Reliability metal traces |
| US8487898B2 (en)* | 2008-04-25 | 2013-07-16 | Apple Inc. | Ground guard for capacitive sensing |
| US8576193B2 (en)* | 2008-04-25 | 2013-11-05 | Apple Inc. | Brick layout and stackup for a touch screen |
| US20090295746A1 (en)* | 2008-04-29 | 2009-12-03 | Davidson Philip L | Event registration and dispatch system and method for multi-point controls |
| US8629841B2 (en)* | 2008-04-30 | 2014-01-14 | Apple Inc. | Multi-touch sensor patterns and stack-ups |
| US20090273577A1 (en)* | 2008-04-30 | 2009-11-05 | Apple Inc. | Moire-Free Touch Screen with Tilted or Curved ITO Pattern |
| US8514203B2 (en)* | 2008-04-30 | 2013-08-20 | Apple Inc. | Flexible calibration device for touch sensor panel calibration |
| DE102009019910B4 (en) | 2008-05-01 | 2021-09-16 | Solas Oled Ltd. | Gesture recognition |
| US8526767B2 (en)* | 2008-05-01 | 2013-09-03 | Atmel Corporation | Gesture recognition |
| US8159469B2 (en)* | 2008-05-06 | 2012-04-17 | Hewlett-Packard Development Company, L.P. | User interface for initiating activities in an electronic device |
| US8123894B2 (en)* | 2008-05-07 | 2012-02-28 | Apple Inc. | 3-dimensional curved substrate lamination |
| US20100177053A2 (en)* | 2008-05-09 | 2010-07-15 | Taizo Yasutake | Method and apparatus for control of multiple degrees of freedom of a display |
| US8902193B2 (en) | 2008-05-09 | 2014-12-02 | Smart Technologies Ulc | Interactive input system and bezel therefor |
| US9250092B2 (en) | 2008-05-12 | 2016-02-02 | Apple Inc. | Map service with network-based query for search |
| US10496753B2 (en) | 2010-01-18 | 2019-12-03 | Apple Inc. | Automatically adapting user interfaces for hands-free interaction |
| CN102084326A (en) | 2008-05-14 | 2011-06-01 | 3M创新有限公司 | Systems and methods for assessing locations of multiple touch inputs |
| US20090284478A1 (en)* | 2008-05-15 | 2009-11-19 | Microsoft Corporation | Multi-Contact and Single-Contact Input |
| US9268483B2 (en)* | 2008-05-16 | 2016-02-23 | Microsoft Technology Licensing, Llc | Multi-touch input platform |
| US9035891B2 (en)* | 2008-05-16 | 2015-05-19 | International Business Machines Corporation | Multi-point touch-sensitive sensor user interface using distinct digit identification |
| US9035886B2 (en)* | 2008-05-16 | 2015-05-19 | International Business Machines Corporation | System and apparatus for a multi-point touch-sensitive sensor user interface using distinct digit identification |
| US8644843B2 (en) | 2008-05-16 | 2014-02-04 | Apple Inc. | Location determination |
| TWI358029B (en)* | 2008-05-16 | 2012-02-11 | Htc Corp | Method for filtering out signals from touch device |
| US8456851B2 (en)* | 2008-05-16 | 2013-06-04 | Apple Inc. | Flex circuit with single sided routing and double sided attach |
| US8174503B2 (en) | 2008-05-17 | 2012-05-08 | David H. Cain | Touch-based authentication of a mobile device through user generated pattern creation |
| US8378981B2 (en)* | 2008-05-19 | 2013-02-19 | Atmel Corporation | Capacitive sensing with high-frequency noise reduction |
| JP5448370B2 (en)* | 2008-05-20 | 2014-03-19 | キヤノン株式会社 | Information processing apparatus, control method therefor, program, and storage medium |
| US9355090B2 (en) | 2008-05-30 | 2016-05-31 | Apple Inc. | Identification of candidate characters for text input |
| TWI421731B (en)* | 2008-06-02 | 2014-01-01 | Asustek Comp Inc | Method for executing mouse function of electronic device and electronic device thereof |
| JP5164675B2 (en)* | 2008-06-04 | 2013-03-21 | キヤノン株式会社 | User interface control method, information processing apparatus, and program |
| WO2009147755A1 (en)* | 2008-06-04 | 2009-12-10 | 富士通株式会社 | Information processor and input control method |
| GB0810179D0 (en)* | 2008-06-04 | 2008-07-09 | Elliptic Laboratories As | Object location |
| US20090307633A1 (en)* | 2008-06-06 | 2009-12-10 | Apple Inc. | Acceleration navigation of media device displays |
| US9069418B2 (en) | 2008-06-06 | 2015-06-30 | Apple Inc. | High resistivity metal fan out |
| US9092053B2 (en)* | 2008-06-17 | 2015-07-28 | Apple Inc. | Systems and methods for adjusting a display based on the user's position |
| US8054300B2 (en) | 2008-06-17 | 2011-11-08 | Apple Inc. | Capacitive sensor panel having dynamically reconfigurable sensor size and shape |
| US8217908B2 (en)* | 2008-06-19 | 2012-07-10 | Tactile Displays, Llc | Apparatus and method for interactive display with tactile feedback |
| US8115745B2 (en) | 2008-06-19 | 2012-02-14 | Tactile Displays, Llc | Apparatus and method for interactive display with tactile feedback |
| US9513705B2 (en) | 2008-06-19 | 2016-12-06 | Tactile Displays, Llc | Interactive display with tactile feedback |
| US8665228B2 (en) | 2008-06-19 | 2014-03-04 | Tactile Displays, Llc | Energy efficient interactive display with energy regenerative keyboard |
| CN101609326B (en)* | 2008-06-20 | 2012-09-19 | 鸿富锦精密工业(深圳)有限公司 | Acceleration and deceleration control device and acceleration and deceleration control method |
| DE112009001503T5 (en) | 2008-06-20 | 2011-04-28 | Mattel, Inc., El Segundo | Capacitive touchpad and toy containing it |
| TWI460622B (en)* | 2008-06-20 | 2014-11-11 | Elan Microelectronics | Touch pad module capable of interpreting multi-object gestures and operating method thereof |
| US8154524B2 (en) | 2008-06-24 | 2012-04-10 | Microsoft Corporation | Physics simulation-based interaction for surface computing |
| US8241912B2 (en)* | 2008-06-26 | 2012-08-14 | Wms Gaming Inc. | Gaming machine having multi-touch sensing device |
| US8570279B2 (en) | 2008-06-27 | 2013-10-29 | Apple Inc. | Touch screen device, method, and graphical user interface for inserting a character from an alternate keyboard |
| US20090327886A1 (en)* | 2008-06-27 | 2009-12-31 | Microsoft Corporation | Use of secondary factors to analyze user intention in gui element activation |
| US8673163B2 (en)* | 2008-06-27 | 2014-03-18 | Apple Inc. | Method for fabricating thin sheets of glass |
| US7810355B2 (en)* | 2008-06-30 | 2010-10-12 | Apple Inc. | Full perimeter chemical strengthening of substrates |
| US8369867B2 (en) | 2008-06-30 | 2013-02-05 | Apple Inc. | Location sharing |
| EP3258361B1 (en)* | 2008-07-01 | 2020-08-12 | LG Electronics Inc. -1- | Mobile terminal using pressure sensor and method of controlling the mobile terminal |
| US20100001978A1 (en)* | 2008-07-02 | 2010-01-07 | Stephen Brian Lynch | Ambient light interference reduction for optical input devices |
| US8508495B2 (en) | 2008-07-03 | 2013-08-13 | Apple Inc. | Display with dual-function capacitive elements |
| JPWO2010004867A1 (en)* | 2008-07-08 | 2012-01-05 | セイコーインスツル株式会社 | Electrostatic detection device, information device, and electrostatic detection method |
| US20110115702A1 (en)* | 2008-07-08 | 2011-05-19 | David Seaberg | Process for Providing and Editing Instructions, Data, Data Structures, and Algorithms in a Computer System |
| US10095375B2 (en) | 2008-07-09 | 2018-10-09 | Apple Inc. | Adding a contact to a home screen |
| KR101606834B1 (en)* | 2008-07-10 | 2016-03-29 | 삼성전자주식회사 | An input apparatus using motions and operations of a user, and an input method applied to such an input apparatus |
| DE102008032451C5 (en)* | 2008-07-10 | 2017-10-19 | Rational Ag | Display method and cooking appliance therefor |
| US10031549B2 (en) | 2008-07-10 | 2018-07-24 | Apple Inc. | Transitioning between modes of input |
| US20100011388A1 (en)* | 2008-07-10 | 2010-01-14 | William Bull | System and method for creating playlists based on mood |
| US20100006350A1 (en)* | 2008-07-11 | 2010-01-14 | Elias John G | Stylus Adapted For Low Resolution Touch Sensor Panels |
| US8169414B2 (en) | 2008-07-12 | 2012-05-01 | Lim Seung E | Control of electronic games via finger angle using a high dimensional touchpad (HDTP) touch user interface |
| US8345014B2 (en) | 2008-07-12 | 2013-01-01 | Lester F. Ludwig | Control of the operating system on a computing device via finger angle using a high dimensional touchpad (HDTP) touch user interface |
| US8300019B2 (en) | 2008-07-15 | 2012-10-30 | Apple Inc. | Capacitive sensor coupling correction |
| KR20100009023A (en)* | 2008-07-17 | 2010-01-27 | (주)마이크로인피니티 | Apparatus and method for recognizing movement |
| US8274484B2 (en)* | 2008-07-18 | 2012-09-25 | Microsoft Corporation | Tracking input in a screen-reflective interface environment |
| US8159455B2 (en)* | 2008-07-18 | 2012-04-17 | Apple Inc. | Methods and apparatus for processing combinations of kinematical inputs |
| EP2146490A1 (en)* | 2008-07-18 | 2010-01-20 | Alcatel, Lucent | User device for gesture based exchange of information, methods for gesture based exchange of information between a plurality of user devices, and related devices and systems |
| US8022571B2 (en)* | 2008-07-18 | 2011-09-20 | Apple Inc. | Power management circuitry and solar cells |
| KR100975868B1 (en)* | 2008-07-23 | 2010-08-13 | 삼성모바일디스플레이주식회사 | Flat panel display |
| KR101496844B1 (en)* | 2008-07-28 | 2015-02-27 | 삼성디스플레이 주식회사 | Touch screen display device and driving method of the same |
| JP5100556B2 (en)* | 2008-07-30 | 2012-12-19 | キヤノン株式会社 | Information processing method and apparatus |
| US8743091B2 (en)* | 2008-07-31 | 2014-06-03 | Apple Inc. | Acoustic multi-touch sensor panel |
| US20100030549A1 (en) | 2008-07-31 | 2010-02-04 | Lee Michael M | Mobile device having human language translation capability with positional feedback |
| US9335868B2 (en)* | 2008-07-31 | 2016-05-10 | Apple Inc. | Capacitive sensor behind black mask |
| US8049862B2 (en)* | 2008-08-08 | 2011-11-01 | Apple Inc. | Indium tin oxide (ITO) layer forming |
| US20100042564A1 (en)* | 2008-08-15 | 2010-02-18 | Beverly Harrison | Techniques for automatically distingusihing between users of a handheld device |
| US8604364B2 (en)* | 2008-08-15 | 2013-12-10 | Lester F. Ludwig | Sensors, algorithms and applications for a high dimensional touchpad |
| US20100039404A1 (en)* | 2008-08-18 | 2010-02-18 | Sentelic Corporation | Integrated input system |
| US8930817B2 (en)* | 2008-08-18 | 2015-01-06 | Apple Inc. | Theme-based slideshows |
| WO2010022386A2 (en)* | 2008-08-22 | 2010-02-25 | Google Inc. | Navigation in a three dimensional environment on a mobile device |
| US8924892B2 (en) | 2008-08-22 | 2014-12-30 | Fuji Xerox Co., Ltd. | Multiple selection on devices with many gestures |
| CN100594475C (en)* | 2008-08-26 | 2010-03-17 | 友达光电股份有限公司 | Projection type capacitive touch device and method for identifying different contact positions |
| US20100053087A1 (en)* | 2008-08-26 | 2010-03-04 | Motorola, Inc. | Touch sensors with tactile feedback |
| JP5309793B2 (en)* | 2008-08-27 | 2013-10-09 | 日本電気株式会社 | Touch panel vibration method and touch panel device |
| US8519820B2 (en) | 2008-09-02 | 2013-08-27 | Apple Inc. | Systems and methods for saving and restoring scenes in a multimedia system |
| US20100060568A1 (en)* | 2008-09-05 | 2010-03-11 | Apple Inc. | Curved surface input device with normalized capacitive sensing |
| US8512211B2 (en) | 2008-09-05 | 2013-08-20 | Apple Inc. | Method for quickstart workout generation and calibration |
| US8023261B2 (en) | 2008-09-05 | 2011-09-20 | Apple Inc. | Electronic device assembly |
| US20100064061A1 (en)* | 2008-09-05 | 2010-03-11 | Apple Inc. | Providing substantially immediate action in response to input event |
| US8766915B2 (en)* | 2008-09-09 | 2014-07-01 | Apple Inc. | Methods and apparatus for incremental prediction of input device motion |
| US20100060588A1 (en)* | 2008-09-09 | 2010-03-11 | Microsoft Corporation | Temporally separate touch input |
| US8810542B2 (en)* | 2008-09-10 | 2014-08-19 | Apple Inc. | Correction of parasitic capacitance effect in touch sensor panels |
| US9606663B2 (en)* | 2008-09-10 | 2017-03-28 | Apple Inc. | Multiple stimulation phase determination |
| US8592697B2 (en) | 2008-09-10 | 2013-11-26 | Apple Inc. | Single-chip multi-stimulus sensor controller |
| US9348451B2 (en)* | 2008-09-10 | 2016-05-24 | Apple Inc. | Channel scan architecture for multiple stimulus multi-touch sensor panels |
| US8237667B2 (en)* | 2008-09-10 | 2012-08-07 | Apple Inc. | Phase compensation for multi-stimulus controller |
| US9189048B2 (en)* | 2008-09-10 | 2015-11-17 | Apple Inc. | Circuit having a low power mode |
| US8659556B2 (en)* | 2008-09-10 | 2014-02-25 | Apple Inc. | Advanced receive channel architecture |
| US20100060592A1 (en)* | 2008-09-10 | 2010-03-11 | Jeffrey Traer Bernstein | Data Transmission and Reception Using Optical In-LCD Sensing |
| US9867020B2 (en) | 2008-09-15 | 2018-01-09 | Microsoft Technology Licensing, Llc | Pre-determined responses for wireless devices |
| US20100066683A1 (en)* | 2008-09-17 | 2010-03-18 | Shih-Chang Chang | Method for Transferring Thin Film to Substrate |
| US8359643B2 (en) | 2008-09-18 | 2013-01-22 | Apple Inc. | Group formation using anonymous broadcast information |
| US8763762B2 (en)* | 2008-09-19 | 2014-07-01 | Inventio Ag | Call input device and associated method for operating an elevator system |
| US8692776B2 (en)* | 2008-09-19 | 2014-04-08 | Apple Inc. | Correction of parasitic capacitance effect in touch sensor panels |
| US8421756B2 (en)* | 2008-09-23 | 2013-04-16 | Sony Ericsson Mobile Communications Ab | Two-thumb qwerty keyboard |
| US20100071965A1 (en)* | 2008-09-23 | 2010-03-25 | Panasonic Corporation | System and method for grab and drop gesture recognition |
| US9003326B2 (en)* | 2008-09-23 | 2015-04-07 | Apple Inc. | Indicating input focus by showing focus transitions |
| US20110175839A1 (en)* | 2008-09-24 | 2011-07-21 | Koninklijke Philips Electronics N.V. | User interface for a multi-point touch sensitive device |
| WO2010036545A2 (en)* | 2008-09-24 | 2010-04-01 | 3M Innovative Properties Company | Mutual capacitance measuring circuits and methods |
| US8816967B2 (en)* | 2008-09-25 | 2014-08-26 | Apple Inc. | Capacitive sensor having electrodes arranged on the substrate and the flex circuit |
| US8614690B2 (en) | 2008-09-26 | 2013-12-24 | Apple Inc. | Touch sensor panel using dummy ground conductors |
| US20100079382A1 (en)* | 2008-09-26 | 2010-04-01 | Suggs Bradley N | Touch-screen monitoring |
| US8321174B1 (en) | 2008-09-26 | 2012-11-27 | Cypress Semiconductor Corporation | System and method to measure capacitance of capacitive sensor array |
| US9927924B2 (en)* | 2008-09-26 | 2018-03-27 | Apple Inc. | Differential sensing for a touch panel |
| US10289199B2 (en)* | 2008-09-29 | 2019-05-14 | Apple Inc. | Haptic feedback system |
| US8957835B2 (en) | 2008-09-30 | 2015-02-17 | Apple Inc. | Head-mounted display apparatus for retaining a portable electronic device with display |
| US8368654B2 (en)* | 2008-09-30 | 2013-02-05 | Apple Inc. | Integrated touch sensor and solar assembly |
| US8730179B2 (en)* | 2008-09-30 | 2014-05-20 | Apple Inc. | Integrated touch sensor and solar assembly |
| US8441450B2 (en)* | 2008-09-30 | 2013-05-14 | Apple Inc. | Movable track pad with added functionality |
| US8284170B2 (en) | 2008-09-30 | 2012-10-09 | Apple Inc. | Touch screen device, method, and graphical user interface for moving on-screen objects without using a cursor |
| TWI397846B (en)* | 2008-09-30 | 2013-06-01 | Au Optronics Corp | Detecting method for a touch panel |
| US8683390B2 (en)* | 2008-10-01 | 2014-03-25 | Microsoft Corporation | Manipulation of objects on multi-touch user interface |
| US8529345B2 (en) | 2008-10-02 | 2013-09-10 | Igt | Gaming system including a gaming table with mobile user input devices |
| US8462107B2 (en)* | 2008-10-03 | 2013-06-11 | International Business Machines Corporation | Pointing device and method with error prevention features |
| JP4770904B2 (en)* | 2008-10-03 | 2011-09-14 | ソニー株式会社 | Electronic device, control method and program in electronic device |
| JP5324297B2 (en)* | 2009-04-15 | 2013-10-23 | 株式会社ジャパンディスプレイ | Coordinate input device and display device including the same |
| US9395867B2 (en) | 2008-10-08 | 2016-07-19 | Blackberry Limited | Method and system for displaying an image on an electronic device |
| US8711109B2 (en)* | 2008-10-10 | 2014-04-29 | Cherif Algreatly | Touch sensing technology |
| KR20100041006A (en)* | 2008-10-13 | 2010-04-22 | 엘지전자 주식회사 | A user interface controlling method using three dimension multi-touch |
| US8330474B2 (en)* | 2008-10-15 | 2012-12-11 | Synaptics Incorporated | Sensor device and method with at surface object sensing and away from surface object sensing |
| WO2010045427A1 (en)* | 2008-10-15 | 2010-04-22 | Inputive Corporation | System and method for seamlessly integrated navigation of applications |
| WO2010045662A2 (en)* | 2008-10-15 | 2010-04-22 | Azoteq (Pty) Ltd | Parasitic capacitance cancellation in capacitive measurement applications |
| US20100100854A1 (en)* | 2008-10-16 | 2010-04-22 | Dell Products L.P. | Gesture operation input system |
| US20100097324A1 (en)* | 2008-10-20 | 2010-04-22 | Dell Products L.P. | Parental Controls Based on Touchscreen Input |
| US8659557B2 (en)* | 2008-10-21 | 2014-02-25 | Atmel Corporation | Touch finding method and apparatus |
| US8866790B2 (en)* | 2008-10-21 | 2014-10-21 | Atmel Corporation | Multi-touch tracking |
| US20100097329A1 (en) | 2008-10-21 | 2010-04-22 | Martin Simmons | Touch Position Finding Method and Apparatus |
| US8610009B2 (en) | 2008-10-22 | 2013-12-17 | Atmel Corporation | Capacitive touch sensors |
| WO2010048433A1 (en)* | 2008-10-22 | 2010-04-29 | Atmel Corporation | Sensor and method of sensing |
| US8508475B2 (en)* | 2008-10-24 | 2013-08-13 | Microsoft Corporation | User interface elements positioned for display |
| EP2180599B1 (en)* | 2008-10-24 | 2014-12-17 | Advanced Silicon SA | X-ray imaging readout and system |
| US11449168B2 (en) | 2008-10-24 | 2022-09-20 | Cypress Semiconductor Corporation | Touch surface scanning method and device |
| US8193466B2 (en)* | 2008-10-24 | 2012-06-05 | Dell Products, Lp | Capacitive input device with removable cover |
| US8466879B2 (en)* | 2008-10-26 | 2013-06-18 | Microsoft Corporation | Multi-touch manipulation of application objects |
| US8477103B2 (en)* | 2008-10-26 | 2013-07-02 | Microsoft Corporation | Multi-touch object inertia simulation |
| US8339378B2 (en) | 2008-11-05 | 2012-12-25 | Smart Technologies Ulc | Interactive input system with multi-angle reflector |
| US8436859B2 (en) | 2008-11-11 | 2013-05-07 | Oracle International Corporation | Graphical representations for aggregated paths |
| US8502785B2 (en) | 2008-11-12 | 2013-08-06 | Apple Inc. | Generating gestures tailored to a hand resting on a surface |
| US8446374B2 (en)* | 2008-11-12 | 2013-05-21 | Apple Inc. | Detecting a palm touch on a surface |
| US9058066B2 (en) | 2008-11-12 | 2015-06-16 | Apple Inc. | Suppressing errant motion using integrated mouse and touch information |
| US8144295B2 (en) | 2008-11-18 | 2012-03-27 | Apple Inc. | Common bus design for a TFT-LCD display |
| DE102008057823A1 (en)* | 2008-11-18 | 2010-08-19 | Ident Technology Ag | Capacitive sensor system |
| US8493408B2 (en) | 2008-11-19 | 2013-07-23 | Apple Inc. | Techniques for manipulating panoramas |
| US8584031B2 (en) | 2008-11-19 | 2013-11-12 | Apple Inc. | Portable touch screen device, method, and graphical user interface for using emoji characters |
| US8487639B1 (en) | 2008-11-21 | 2013-07-16 | Cypress Semiconductor Corporation | Receive demodulator for capacitive sensing |
| US9477396B2 (en) | 2008-11-25 | 2016-10-25 | Samsung Electronics Co., Ltd. | Device and method for providing a user interface |
| EP3232315B1 (en)* | 2008-11-25 | 2021-08-25 | Samsung Electronics Co., Ltd. | Device and method for providing a user interface |
| CA2744788A1 (en)* | 2008-11-28 | 2010-06-03 | Research In Motion Limited | Portable electronic device with touch-sensitive display and method of controlling same |
| US20100134424A1 (en)* | 2008-12-02 | 2010-06-03 | At&T Mobility Ii Llc | Edge hand and finger presence and motion sensor |
| US8368658B2 (en) | 2008-12-02 | 2013-02-05 | At&T Mobility Ii Llc | Automatic soft key adaptation with left-right hand edge sensing |
| US20100138680A1 (en)* | 2008-12-02 | 2010-06-03 | At&T Mobility Ii Llc | Automatic display and voice command activation with hand edge sensing |
| US8610673B2 (en)* | 2008-12-03 | 2013-12-17 | Microsoft Corporation | Manipulation of list on a multi-touch display |
| US8749496B2 (en) | 2008-12-05 | 2014-06-10 | Apple Inc. | Integrated touch panel for a TFT display |
| SE533704C2 (en) | 2008-12-05 | 2010-12-07 | Flatfrog Lab Ab | Touch sensitive apparatus and method for operating the same |
| US8294047B2 (en)* | 2008-12-08 | 2012-10-23 | Apple Inc. | Selective input signal rejection and modification |
| US8977974B2 (en) | 2008-12-08 | 2015-03-10 | Apple Inc. | Ambient noise based augmentation of media playback |
| US8836645B2 (en)* | 2008-12-09 | 2014-09-16 | Microsoft Corporation | Touch input interpretation |
| KR101531363B1 (en)* | 2008-12-10 | 2015-07-06 | 삼성전자주식회사 | Method of controlling virtual object or view point on two dimensional interactive display |
| US8319747B2 (en)* | 2008-12-11 | 2012-11-27 | Apple Inc. | Single layer touch panel with segmented drive and sense electrodes |
| US20100149099A1 (en)* | 2008-12-12 | 2010-06-17 | John Greer Elias | Motion sensitive mechanical keyboard |
| US9684375B2 (en)* | 2008-12-12 | 2017-06-20 | Immersion Corporation | Systems and methods for stabilizing a haptic touch panel or touch surface |
| US8749497B2 (en)* | 2008-12-12 | 2014-06-10 | Apple Inc. | Multi-touch shape drawing |
| US8660300B2 (en) | 2008-12-12 | 2014-02-25 | Silicon Laboratories Inc. | Apparatus and method for optical gesture recognition |
| US10585493B2 (en)* | 2008-12-12 | 2020-03-10 | Apple Inc. | Touch sensitive mechanical keyboard |
| US8706143B1 (en) | 2008-12-12 | 2014-04-22 | Apple Inc. | Driver handheld computing device lock-out |
| WO2010071630A1 (en)* | 2008-12-15 | 2010-06-24 | Hewlett-Packard Development Company, L.P. | Gesture based edit mode |
| KR101577953B1 (en)* | 2008-12-16 | 2015-12-17 | 삼성디스플레이 주식회사 | Display device with contact detection function and contact determination method |
| KR20100069842A (en)* | 2008-12-17 | 2010-06-25 | 삼성전자주식회사 | Electronic apparatus implementing user interface and method thereof |
| US8395590B2 (en) | 2008-12-17 | 2013-03-12 | Apple Inc. | Integrated contact switch and touch sensor elements |
| US8250001B2 (en)* | 2008-12-18 | 2012-08-21 | Motorola Mobility Llc | Increasing user input accuracy on a multifunctional electronic device |
| US20100162165A1 (en)* | 2008-12-22 | 2010-06-24 | Apple Inc. | User Interface Tools |
| US8451236B2 (en)* | 2008-12-22 | 2013-05-28 | Hewlett-Packard Development Company L.P. | Touch-sensitive display screen with absolute and relative input modes |
| US9409383B2 (en)* | 2008-12-22 | 2016-08-09 | Apple Inc. | Layer-specific energy distribution delamination |
| US8453057B2 (en)* | 2008-12-22 | 2013-05-28 | Verizon Patent And Licensing Inc. | Stage interaction for mobile device |
| US8547244B2 (en)* | 2008-12-22 | 2013-10-01 | Palm, Inc. | Enhanced visual feedback for touch-sensitive input device |
| US20100162181A1 (en)* | 2008-12-22 | 2010-06-24 | Palm, Inc. | Interpreting Gesture Input Including Introduction Or Removal Of A Point Of Contact While A Gesture Is In Progress |
| US9600070B2 (en) | 2008-12-22 | 2017-03-21 | Apple Inc. | User interface having changeable topography |
| US8686952B2 (en) | 2008-12-23 | 2014-04-01 | Apple Inc. | Multi touch with multi haptics |
| US8407606B1 (en) | 2009-01-02 | 2013-03-26 | Perceptive Pixel Inc. | Allocating control among inputs concurrently engaging an object displayed on a multi-touch device |
| WO2010078596A1 (en)* | 2009-01-05 | 2010-07-08 | Tactus Technology, Inc. | User interface system |
| US8941466B2 (en)* | 2009-01-05 | 2015-01-27 | Polytechnic Institute Of New York University | User authentication for devices with touch sensitive elements, such as touch sensitive display screens |
| US9588684B2 (en) | 2009-01-05 | 2017-03-07 | Tactus Technology, Inc. | Tactile interface for a computing device |
| US8365091B2 (en)* | 2009-01-06 | 2013-01-29 | Microsoft Corporation | Non-uniform scrolling |
| US7918019B2 (en)* | 2009-01-09 | 2011-04-05 | Apple Inc. | Method for fabricating thin touch sensor panels |
| US9063605B2 (en) | 2009-01-09 | 2015-06-23 | Apple Inc. | Thin glass processing using a carrier |
| US20100177057A1 (en)* | 2009-01-13 | 2010-07-15 | Qsi Corporation | System and method for detecting shocks to a force-based touch panel |
| KR101596499B1 (en)* | 2009-01-14 | 2016-02-23 | 삼성전자주식회사 | Method and apparatus for inputting key of mobile device |
| EP2387745B1 (en)* | 2009-01-14 | 2016-03-30 | Perceptive Pixel, Inc. | Touch-sensitive display |
| DE102009004898A1 (en)* | 2009-01-16 | 2010-08-19 | Siemens Aktiengesellschaft | Method for displaying two different images of a fusion image and device therefor |
| EP2389622A1 (en) | 2009-01-26 | 2011-11-30 | Zrro Technologies (2009) Ltd. | Device and method for monitoring an object's behavior |
| US8487975B2 (en) | 2009-01-27 | 2013-07-16 | Lifesize Communications, Inc. | Conferencing system utilizing a mobile communication device as an interface |
| US8552957B2 (en)* | 2009-02-02 | 2013-10-08 | Apple Inc. | Liquid crystal display reordered inversion |
| US8922521B2 (en) | 2009-02-02 | 2014-12-30 | Apple Inc. | Switching circuitry for touch sensitive display |
| US9261997B2 (en)* | 2009-02-02 | 2016-02-16 | Apple Inc. | Touch regions in diamond configuration |
| US8507811B2 (en) | 2009-02-02 | 2013-08-13 | Apple Inc. | Touch sensor panels with reduced static capacitance |
| US8217913B2 (en) | 2009-02-02 | 2012-07-10 | Apple Inc. | Integrated touch screen |
| US8760412B2 (en) | 2009-02-02 | 2014-06-24 | Apple Inc. | Dual configuration for display data lines |
| US7995041B2 (en)* | 2009-02-02 | 2011-08-09 | Apple Inc. | Integrated touch screen |
| US20100201647A1 (en)* | 2009-02-11 | 2010-08-12 | Tpo Displays Corp. | Capacitive touch sensor |
| US20100201615A1 (en)* | 2009-02-12 | 2010-08-12 | David John Tupman | Touch and Bump Input Control |
| US9063614B2 (en) | 2009-02-15 | 2015-06-23 | Neonode Inc. | Optical touch screens |
| US8775023B2 (en) | 2009-02-15 | 2014-07-08 | Neanode Inc. | Light-based touch controls on a steering wheel and dashboard |
| JP5200985B2 (en)* | 2009-02-17 | 2013-06-05 | 株式会社Jvcケンウッド | Operation control method using electronic device and touch panel |
| DE202010018601U1 (en) | 2009-02-18 | 2018-04-30 | Google LLC (n.d.Ges.d. Staates Delaware) | Automatically collecting information, such as gathering information using a document recognizing device |
| TWM361674U (en)* | 2009-02-19 | 2009-07-21 | Sentelic Corp | Touch control module |
| US20100218249A1 (en)* | 2009-02-25 | 2010-08-26 | Microsoft Corporation | Authentication via a device |
| US10180746B1 (en) | 2009-02-26 | 2019-01-15 | Amazon Technologies, Inc. | Hardware enabled interpolating sensor and display |
| TW201032101A (en)* | 2009-02-26 | 2010-09-01 | Qisda Corp | Electronic device controlling method |
| US9740341B1 (en) | 2009-02-26 | 2017-08-22 | Amazon Technologies, Inc. | Capacitive sensing with interpolating force-sensitive resistor array |
| US20100220063A1 (en)* | 2009-02-27 | 2010-09-02 | Panasonic Corporation | System and methods for calibratable translation of position |
| CN102388003B (en) | 2009-03-02 | 2014-11-19 | 苹果公司 | Technology for Strengthening Glass Covers for Portable Electronic Devices |
| KR100993064B1 (en)* | 2009-03-02 | 2010-11-08 | 주식회사 팬택 | Sound source selection playback method on touch screen applied sound source playback device |
| US9046924B2 (en) | 2009-03-04 | 2015-06-02 | Pelmorex Canada Inc. | Gesture based interaction with traffic data |
| US8982116B2 (en)* | 2009-03-04 | 2015-03-17 | Pelmorex Canada Inc. | Touch screen based interaction with traffic data |
| US8619072B2 (en) | 2009-03-04 | 2013-12-31 | Triangle Software Llc | Controlling a three-dimensional virtual broadcast presentation |
| US8583421B2 (en)* | 2009-03-06 | 2013-11-12 | Motorola Mobility Llc | Method and apparatus for psychomotor and psycholinguistic prediction on touch based device |
| US10564721B2 (en) | 2009-03-12 | 2020-02-18 | Immersion Corporation | Systems and methods for using multiple actuators to realize textures |
| US9874935B2 (en) | 2009-03-12 | 2018-01-23 | Immersion Corporation | Systems and methods for a texture engine |
| US9746923B2 (en) | 2009-03-12 | 2017-08-29 | Immersion Corporation | Systems and methods for providing features in a friction display wherein a haptic effect is configured to vary the coefficient of friction |
| US10007340B2 (en) | 2009-03-12 | 2018-06-26 | Immersion Corporation | Systems and methods for interfaces featuring surface-based haptic effects |
| US9696803B2 (en) | 2009-03-12 | 2017-07-04 | Immersion Corporation | Systems and methods for friction displays and additional haptic effects |
| US9927873B2 (en) | 2009-03-12 | 2018-03-27 | Immersion Corporation | Systems and methods for using textures in graphical user interface widgets |
| CN102349087B (en) | 2009-03-12 | 2015-05-06 | 谷歌公司 | Automatically provide content associated with captured information, such as information captured in real time |
| EP3410262A1 (en)* | 2009-03-12 | 2018-12-05 | Immersion Corporation | System and method for providing features in a friction display |
| US8447066B2 (en) | 2009-03-12 | 2013-05-21 | Google Inc. | Performing actions based on capturing information from rendered documents, such as documents under copyright |
| US8170346B2 (en) | 2009-03-14 | 2012-05-01 | Ludwig Lester F | High-performance closed-form single-scan calculation of oblong-shape rotation angles from binary images of arbitrary size using running sums |
| US8566045B2 (en) | 2009-03-16 | 2013-10-22 | Apple Inc. | Event recognition |
| US10705701B2 (en) | 2009-03-16 | 2020-07-07 | Apple Inc. | Device, method, and graphical user interface for moving a current position in content at a variable scrubbing rate |
| US8285499B2 (en) | 2009-03-16 | 2012-10-09 | Apple Inc. | Event recognition |
| US8839155B2 (en) | 2009-03-16 | 2014-09-16 | Apple Inc. | Accelerated scrolling for a multifunction device |
| US9311112B2 (en) | 2009-03-16 | 2016-04-12 | Apple Inc. | Event recognition |
| US9875013B2 (en) | 2009-03-16 | 2018-01-23 | Apple Inc. | Methods and graphical user interfaces for editing on a multifunction device with a touch screen display |
| US8564541B2 (en)* | 2009-03-16 | 2013-10-22 | Apple Inc. | Zhuyin input interface on a device |
| US8566044B2 (en)* | 2009-03-16 | 2013-10-22 | Apple Inc. | Event recognition |
| US8589374B2 (en) | 2009-03-16 | 2013-11-19 | Apple Inc. | Multifunction device with integrated search and application selection |
| US9684521B2 (en) | 2010-01-26 | 2017-06-20 | Apple Inc. | Systems having discrete and continuous gesture recognizers |
| US8686951B2 (en) | 2009-03-18 | 2014-04-01 | HJ Laboratories, LLC | Providing an elevated and texturized display in an electronic device |
| US8866500B2 (en) | 2009-03-26 | 2014-10-21 | Cypress Semiconductor Corporation | Multi-functional capacitance sensing circuit with a current conveyor |
| US8497786B2 (en)* | 2009-03-26 | 2013-07-30 | Freescale Semiconductor, Inc. | Capacitive keyboard with enhanced electrode areas |
| US8172675B2 (en)* | 2009-03-27 | 2012-05-08 | Microsoft Corporation | Personalization using a hand-pressure signature |
| JP2010231480A (en)* | 2009-03-27 | 2010-10-14 | Toshiba Corp | Handwriting processing apparatus, program, and method |
| DE202009004487U1 (en) | 2009-03-31 | 2009-08-06 | Apple Inc., Cupertino | Selective input signal rejection and modification |
| US8456466B1 (en) | 2009-04-01 | 2013-06-04 | Perceptive Pixel Inc. | Resolving ambiguous rotations in 3D manipulation |
| US8537126B2 (en) | 2009-04-06 | 2013-09-17 | Apple Inc. | Integrated touch sensitive display gate driver |
| KR20100112764A (en)* | 2009-04-10 | 2010-10-20 | 엘지이노텍 주식회사 | Apparatus and method for motion correcting and management system for motion correcting apparatus |
| US8593410B2 (en) | 2009-04-10 | 2013-11-26 | Apple Inc. | Touch sensor panel design |
| KR101138622B1 (en)* | 2009-04-14 | 2012-05-16 | 파나소닉 액정 디스플레이 주식회사 | Touch panel device |
| JP2010267251A (en)* | 2009-04-15 | 2010-11-25 | Rohm Co Ltd | Touch-type input device and method for controlling the same |
| US20100265186A1 (en)* | 2009-04-17 | 2010-10-21 | Nokia Corporation | Method and Apparatus for Performing Selection Based on a Touch Input |
| US20100265187A1 (en)* | 2009-04-20 | 2010-10-21 | Shih Chang Chang | Signal routing in an oled structure that includes a touch actuated sensor configuration |
| US8624849B2 (en)* | 2009-04-20 | 2014-01-07 | Apple Inc. | Touch actuated sensor configuration integrated with an OLED structure |
| JP5100738B2 (en)* | 2009-04-22 | 2012-12-19 | 株式会社ジャパンディスプレイイースト | Input device and display device including the same |
| JP5256109B2 (en)* | 2009-04-23 | 2013-08-07 | 株式会社日立製作所 | Display device |
| TW201039184A (en)* | 2009-04-24 | 2010-11-01 | Asustek Comp Inc | Method of determining mouse command according to triggered points |
| US8633904B2 (en)* | 2009-04-24 | 2014-01-21 | Cypress Semiconductor Corporation | Touch identification for multi-touch technology |
| US9703411B2 (en) | 2009-04-30 | 2017-07-11 | Synaptics Incorporated | Reduction in latency between user input and visual feedback |
| US8666367B2 (en) | 2009-05-01 | 2014-03-04 | Apple Inc. | Remotely locating and commanding a mobile device |
| US8660530B2 (en) | 2009-05-01 | 2014-02-25 | Apple Inc. | Remotely receiving and communicating commands to a mobile device for execution by the mobile device |
| US8670748B2 (en) | 2009-05-01 | 2014-03-11 | Apple Inc. | Remotely locating and commanding a mobile device |
| TWI402737B (en)* | 2009-05-04 | 2013-07-21 | Mitac Int Corp | Multi - touch device and its method |
| US9448964B2 (en) | 2009-05-04 | 2016-09-20 | Cypress Semiconductor Corporation | Autonomous control in a programmable system |
| US8427440B2 (en)* | 2009-05-05 | 2013-04-23 | Microsoft Corporation | Contact grouping and gesture recognition for surface computing |
| CN101883173B (en)* | 2009-05-07 | 2014-04-16 | 义隆电子股份有限公司 | Control method of mobile phone |
| JP2010262557A (en)* | 2009-05-11 | 2010-11-18 | Sony Corp | Information processing apparatus and method |
| CN101887333A (en)* | 2009-05-11 | 2010-11-17 | 智点科技(深圳)有限公司 | Digital capacitive touch screen |
| US8677282B2 (en)* | 2009-05-13 | 2014-03-18 | International Business Machines Corporation | Multi-finger touch adaptations for medical imaging systems |
| US8154529B2 (en)* | 2009-05-14 | 2012-04-10 | Atmel Corporation | Two-dimensional touch sensors |
| US9354751B2 (en) | 2009-05-15 | 2016-05-31 | Apple Inc. | Input device with optimized capacitive sensing |
| JP5519349B2 (en)* | 2009-05-19 | 2014-06-11 | 株式会社ジャパンディスプレイ | Display device and contact detection device |
| CN101644983B (en)* | 2009-05-20 | 2012-09-26 | 无锡中星微电子有限公司 | Detection method of touch screen and device thereof |
| CN101644984B (en)* | 2009-05-20 | 2012-09-26 | 无锡中星微电子有限公司 | Method and device for detecting touch screen |
| US10705692B2 (en) | 2009-05-21 | 2020-07-07 | Sony Interactive Entertainment Inc. | Continuous and dynamic scene decomposition for user interface |
| US8542186B2 (en) | 2009-05-22 | 2013-09-24 | Motorola Mobility Llc | Mobile device with user interaction capability and method of operating same |
| US8619029B2 (en)* | 2009-05-22 | 2013-12-31 | Motorola Mobility Llc | Electronic device with sensing assembly and method for interpreting consecutive gestures |
| US8115499B2 (en)* | 2009-05-22 | 2012-02-14 | Freescale Semiconductor, Inc. | Device with proximity detection capability |
| US8344325B2 (en)* | 2009-05-22 | 2013-01-01 | Motorola Mobility Llc | Electronic device with sensing assembly and method for detecting basic gestures |
| US8391719B2 (en)* | 2009-05-22 | 2013-03-05 | Motorola Mobility Llc | Method and system for conducting communication between mobile devices |
| US8788676B2 (en) | 2009-05-22 | 2014-07-22 | Motorola Mobility Llc | Method and system for controlling data transmission to or from a mobile device |
| JP5451181B2 (en)* | 2009-05-25 | 2014-03-26 | 株式会社ジャパンディスプレイ | Sensor device for detecting contact or proximity of an object |
| KR100929306B1 (en)* | 2009-05-27 | 2009-11-27 | 박창규 | Input device and input method |
| US8581856B2 (en)* | 2009-05-27 | 2013-11-12 | Microsoft Corporation | Touch sensitive display apparatus using sensor input |
| US8836648B2 (en) | 2009-05-27 | 2014-09-16 | Microsoft Corporation | Touch pull-in gesture |
| US9207806B2 (en)* | 2009-05-28 | 2015-12-08 | Microsoft Technology Licensing, Llc | Creating a virtual mouse input device |
| US9141284B2 (en)* | 2009-05-28 | 2015-09-22 | Microsoft Technology Licensing, Llc | Virtual input devices created by touch input |
| CN102460357B (en)* | 2009-05-29 | 2016-04-27 | 3M创新有限公司 | High-speed multi-touch touch device and its controller |
| US8624853B2 (en)* | 2009-06-01 | 2014-01-07 | Perceptive Pixel Inc. | Structure-augmented touch sensing with frustated total internal reflection |
| WO2010141453A2 (en)* | 2009-06-01 | 2010-12-09 | Han Jefferson Y | Touch sensing |
| US8736581B2 (en)* | 2009-06-01 | 2014-05-27 | Perceptive Pixel Inc. | Touch sensing with frustrated total internal reflection |
| US9134848B2 (en)* | 2009-06-03 | 2015-09-15 | Stmicroelectronics Asia Pacific Pte Ltd | Touch tracking on a touch sensitive interface |
| US9858925B2 (en) | 2009-06-05 | 2018-01-02 | Apple Inc. | Using context information to facilitate processing of commands in a virtual assistant |
| US10241752B2 (en) | 2011-09-30 | 2019-03-26 | Apple Inc. | Interface for a virtual digital assistant |
| US10241644B2 (en) | 2011-06-03 | 2019-03-26 | Apple Inc. | Actionable reminder entries |
| US20120309363A1 (en) | 2011-06-03 | 2012-12-06 | Apple Inc. | Triggering notifications associated with tasks items that represent tasks to perform |
| US20100309140A1 (en)* | 2009-06-05 | 2010-12-09 | Microsoft Corporation | Controlling touch input modes |
| US8493344B2 (en) | 2009-06-07 | 2013-07-23 | Apple Inc. | Devices, methods, and graphical user interfaces for accessibility using a touch-sensitive surface |
| US8823749B2 (en) | 2009-06-10 | 2014-09-02 | Qualcomm Incorporated | User interface methods providing continuous zoom functionality |
| US9183534B2 (en) | 2009-06-12 | 2015-11-10 | Apple Inc. | Devices with profile-based operating mode controls |
| US20100315413A1 (en)* | 2009-06-16 | 2010-12-16 | Microsoft Corporation | Surface Computer User Interaction |
| US9703398B2 (en)* | 2009-06-16 | 2017-07-11 | Microsoft Technology Licensing, Llc | Pointing device using proximity sensing |
| US8930438B2 (en) | 2009-06-17 | 2015-01-06 | Apple Inc. | Push-based location update |
| US8576161B2 (en)* | 2009-06-18 | 2013-11-05 | Apple Inc. | Driving an OLED display structure integrated with a touch sensor configuration |
| US8956718B2 (en) | 2009-06-19 | 2015-02-17 | Apple Inc. | Transparent conductor thin film formation |
| US8711108B2 (en)* | 2009-06-19 | 2014-04-29 | Apple Inc. | Direct connect single layer touch panel |
| US8970475B2 (en)* | 2009-06-19 | 2015-03-03 | Apple Inc. | Motion sensitive input control |
| US8436822B2 (en)* | 2009-06-24 | 2013-05-07 | Himax Technologies Limited | Touch panel |
| US8384689B2 (en)* | 2009-06-25 | 2013-02-26 | Himax Technologies Limited | Switched-capacitor tracking apparatus of touch panel and operating method thereof |
| US8407623B2 (en)* | 2009-06-25 | 2013-03-26 | Apple Inc. | Playback control using a touch interface |
| US8707200B2 (en)* | 2009-06-25 | 2014-04-22 | Autodesk, Inc. | Object browser with proximity sorting |
| US8957874B2 (en) | 2009-06-29 | 2015-02-17 | Apple Inc. | Touch sensor panel design |
| US9431006B2 (en) | 2009-07-02 | 2016-08-30 | Apple Inc. | Methods and apparatuses for automatic speech recognition |
| WO2011003113A1 (en) | 2009-07-03 | 2011-01-06 | Tactus Technology | User interface enhancement system |
| US8570305B2 (en)* | 2009-07-07 | 2013-10-29 | Microsoft Corporation | Smoothing of touch input |
| US8872771B2 (en) | 2009-07-07 | 2014-10-28 | Apple Inc. | Touch sensing device having conductive nodes |
| US8860693B2 (en)* | 2009-07-08 | 2014-10-14 | Apple Inc. | Image processing for camera based motion tracking |
| US20110010759A1 (en)* | 2009-07-09 | 2011-01-13 | Apple Inc. | Providing a customized interface for an application store |
| US9323398B2 (en)* | 2009-07-10 | 2016-04-26 | Apple Inc. | Touch and hover sensing |
| US8692768B2 (en) | 2009-07-10 | 2014-04-08 | Smart Technologies Ulc | Interactive input system |
| US20110006998A1 (en)* | 2009-07-10 | 2011-01-13 | Sunggu Kang | Patterning of thin film conductive and passivation layers |
| US8482544B2 (en) | 2009-07-10 | 2013-07-09 | Apple Inc. | Negative pixel compensation |
| US8368661B2 (en)* | 2009-07-13 | 2013-02-05 | Apple Inc. | Method for fabricating touch sensor panels |
| US9632622B2 (en)* | 2009-07-16 | 2017-04-25 | Apple Inc. | Ground detection for touch sensitive device |
| US8432322B2 (en) | 2009-07-17 | 2013-04-30 | Apple Inc. | Electronic devices with capacitive proximity sensors for proximity-based radio-frequency power control |
| US20110015983A1 (en)* | 2009-07-17 | 2011-01-20 | Pierre Bonnat | Method and System for Reliable and Fast Mobile Marketing |
| TWI501121B (en)* | 2009-07-21 | 2015-09-21 | Pixart Imaging Inc | Gesture recognition method and touch system incorporating the same |
| US8723827B2 (en) | 2009-07-28 | 2014-05-13 | Cypress Semiconductor Corporation | Predictive touch surface scanning |
| US9069405B2 (en)* | 2009-07-28 | 2015-06-30 | Cypress Semiconductor Corporation | Dynamic mode switching for fast touch response |
| US8723825B2 (en) | 2009-07-28 | 2014-05-13 | Cypress Semiconductor Corporation | Predictive touch surface scanning |
| US9740340B1 (en) | 2009-07-31 | 2017-08-22 | Amazon Technologies, Inc. | Visually consistent arrays including conductive mesh |
| US9785272B1 (en)* | 2009-07-31 | 2017-10-10 | Amazon Technologies, Inc. | Touch distinction |
| US20110032192A1 (en)* | 2009-08-04 | 2011-02-10 | General Electric Company | Touch screen control system and method |
| TWI407339B (en)* | 2009-08-06 | 2013-09-01 | Htc Corp | Method for tracing touch input on touch-sensitive panel and related computer program product and electronic apparatus using the same |
| GB0913734D0 (en)* | 2009-08-06 | 2009-09-16 | Binstead Ronald P | Masked touch sensors |
| US8440920B2 (en)* | 2009-08-07 | 2013-05-14 | Synaptics Incorporated | Circular single-layer touch sensors |
| FR2949007B1 (en) | 2009-08-07 | 2012-06-08 | Nanotec Solution | DEVICE AND METHOD FOR CONTROL INTERFACE SENSITIVE TO A MOVEMENT OF A BODY OR OBJECT AND CONTROL EQUIPMENT INCORPORATING THIS DEVICE. |
| FR2949008B1 (en)* | 2009-08-07 | 2011-09-16 | Nanotec Solution | CAPACITIVE DETECTION DEVICE WITH FUNCTION INTEGRATION. |
| US8312387B2 (en) | 2009-08-10 | 2012-11-13 | Microsoft Corporation | Target element zoom |
| WO2011017891A1 (en)* | 2009-08-12 | 2011-02-17 | 智点科技有限公司 | Active touch control system |
| US8654524B2 (en) | 2009-08-17 | 2014-02-18 | Apple Inc. | Housing as an I/O device |
| US8441790B2 (en) | 2009-08-17 | 2013-05-14 | Apple Inc. | Electronic device housing as acoustic input device |
| US9535599B2 (en) | 2009-08-18 | 2017-01-03 | Adobe Systems Incorporated | Methods and apparatus for image editing using multitouch gestures |
| US8475872B2 (en)* | 2009-08-19 | 2013-07-02 | Apple Inc. | Patterning of thin film layers |
| US8638939B1 (en) | 2009-08-20 | 2014-01-28 | Apple Inc. | User authentication on an electronic device |
| JP5548270B2 (en) | 2009-08-21 | 2014-07-16 | アップル インコーポレイテッド | Capacitive sensing method and apparatus |
| US20110043462A1 (en)* | 2009-08-24 | 2011-02-24 | Ayman Shabra | Touchscreen apparatus, integrated circuit device, electronic device and method therefor |
| EP2472374B1 (en)* | 2009-08-24 | 2019-03-20 | Samsung Electronics Co., Ltd. | Method for providing a ui using motions |
| US8390582B2 (en) | 2009-08-25 | 2013-03-05 | Apple Inc. | Integrated touch screen |
| US8363020B2 (en)* | 2009-08-27 | 2013-01-29 | Symbol Technologies, Inc. | Methods and apparatus for pressure-based manipulation of content on a touch screen |
| US8988191B2 (en)* | 2009-08-27 | 2015-03-24 | Symbol Technologies, Inc. | Systems and methods for pressure-based authentication of an input on a touch screen |
| US20110050575A1 (en)* | 2009-08-31 | 2011-03-03 | Motorola, Inc. | Method and apparatus for an adaptive touch screen display |
| US9141193B2 (en)* | 2009-08-31 | 2015-09-22 | Microsoft Technology Licensing, Llc | Techniques for using human gestures to control gesture unaware programs |
| US20110055753A1 (en) | 2009-08-31 | 2011-03-03 | Horodezky Samuel J | User interface methods providing searching functionality |
| US20110055722A1 (en)* | 2009-09-02 | 2011-03-03 | Ludwig Lester F | Data Visualization Environment with DataFlow Processing, Web, Collaboration, Advanced User Interfaces, and Spreadsheet Visualization |
| US20110066933A1 (en) | 2009-09-02 | 2011-03-17 | Ludwig Lester F | Value-driven visualization primitives for spreadsheets, tabular data, and advanced spreadsheet visualization |
| WO2011026186A1 (en)* | 2009-09-04 | 2011-03-10 | Rpo Pty Limited | Methods for mapping gestures to graphical user interface commands |
| CN101655771B (en)* | 2009-09-07 | 2011-07-20 | 上海合合信息科技发展有限公司 | Method and system for inputting multi-contact characters |
| US8413065B2 (en) | 2009-09-07 | 2013-04-02 | Qualcomm Incorporated | User interface methods for ending an application |
| US20110066973A1 (en)* | 2009-09-11 | 2011-03-17 | Apple Inc. | Rendering System Log Data |
| US8970506B2 (en) | 2009-09-11 | 2015-03-03 | Apple Inc. | Power management for touch controller |
| US9444453B2 (en) | 2009-09-11 | 2016-09-13 | Apple Inc. | Measuring body capacitance effect in touch sensitive device |
| US8664548B2 (en)* | 2009-09-11 | 2014-03-04 | Apple Inc. | Touch controller with improved diagnostics calibration and communications support |
| US8363021B2 (en)* | 2009-09-11 | 2013-01-29 | Apple Inc. | Method to compensate for the frequency dependence of sense signal preprocessing |
| US8031094B2 (en) | 2009-09-11 | 2011-10-04 | Apple Inc. | Touch controller with improved analog front end |
| US9036650B2 (en) | 2009-09-11 | 2015-05-19 | Apple Inc. | Automatic low noise frequency selection |
| US8325160B2 (en)* | 2009-09-11 | 2012-12-04 | 3M Innovative Properties Company | Contact sensitive device for detecting temporally overlapping traces |
| WO2011037558A1 (en) | 2009-09-22 | 2011-03-31 | Apple Inc. | Device, method, and graphical user interface for manipulating user interface objects |
| US9310907B2 (en) | 2009-09-25 | 2016-04-12 | Apple Inc. | Device, method, and graphical user interface for manipulating user interface objects |
| US8766928B2 (en) | 2009-09-25 | 2014-07-01 | Apple Inc. | Device, method, and graphical user interface for manipulating user interface objects |
| US8799826B2 (en) | 2009-09-25 | 2014-08-05 | Apple Inc. | Device, method, and graphical user interface for moving a calendar entry in a calendar application |
| US8438500B2 (en) | 2009-09-25 | 2013-05-07 | Apple Inc. | Device, method, and graphical user interface for manipulation of user interface objects with activation regions |
| US8619100B2 (en) | 2009-09-25 | 2013-12-31 | Apple Inc. | Device, method, and graphical user interface for touch-based gestural input on an electronic canvas |
| WO2011037733A1 (en) | 2009-09-25 | 2011-03-31 | Apple Inc. | Device, method, and graphical user interface using mid-drag gestures |
| US8832585B2 (en) | 2009-09-25 | 2014-09-09 | Apple Inc. | Device, method, and graphical user interface for manipulating workspace views |
| US8624933B2 (en)* | 2009-09-25 | 2014-01-07 | Apple Inc. | Device, method, and graphical user interface for scrolling a multi-section document |
| CN102549526B (en)* | 2009-09-28 | 2014-10-15 | 丰田自动车株式会社 | Tactile display and CAD system |
| TWI380800B (en)* | 2009-09-29 | 2013-01-01 | Univ Chaoyang Technology | A device for shoulder flexibility rotation test |
| US8749512B2 (en) | 2009-09-30 | 2014-06-10 | Apple Inc. | Negative pixel compensation |
| US8982058B2 (en)* | 2009-09-30 | 2015-03-17 | Apple Inc. | Touch screen border regions |
| KR101115467B1 (en)* | 2009-09-30 | 2012-02-24 | 주식회사 팬택 | Terminal and method for providing virtual keyboard |
| CN102033668A (en)* | 2009-09-30 | 2011-04-27 | 智点科技(深圳)有限公司 | Capacitive touch screen |
| WO2011040864A1 (en) | 2009-10-01 | 2011-04-07 | Scalado Ab | Method relating to digital images |
| US8261211B2 (en)* | 2009-10-01 | 2012-09-04 | Microsoft Corporation | Monitoring pointer trajectory and modifying display interface |
| US8457651B2 (en) | 2009-10-02 | 2013-06-04 | Qualcomm Incorporated | Device movement user interface gestures for file sharing functionality |
| US9753586B2 (en)* | 2009-10-08 | 2017-09-05 | 3M Innovative Properties Company | Multi-touch touch device with multiple drive frequencies and maximum likelihood estimation |
| TWI446232B (en) | 2009-10-09 | 2014-07-21 | Egalax Empia Technology Inc | Method and device for analyzing two dimension sensing information |
| US9864471B2 (en) | 2009-10-09 | 2018-01-09 | Egalax_Empia Technology Inc. | Method and processor for analyzing two-dimension information |
| US8400422B2 (en) | 2009-10-09 | 2013-03-19 | Egalax—Empia Technology Inc. | Method and device for analyzing positions |
| EP2521015A4 (en)* | 2009-10-09 | 2014-06-18 | Egalax Empia Technology Inc | METHOD AND DEVICE FOR DETECTING POSITION |
| US8842079B2 (en) | 2009-10-09 | 2014-09-23 | Egalax—Empia Technology Inc. | Method and device for determining a touch or touches |
| US8570289B2 (en) | 2009-10-09 | 2013-10-29 | Egalax—Empia Technology Inc. | Method and device for position detection |
| WO2011041944A1 (en) | 2009-10-09 | 2011-04-14 | 禾瑞亚科技股份有限公司 | Method and device for dual-differential sensing |
| EP2500799A4 (en)* | 2009-10-09 | 2014-07-23 | Egalax Empia Technology Inc | METHOD AND APPARATUS FOR CONVERTING DETECTION INFORMATION |
| CN102043552B (en) | 2009-10-09 | 2016-04-20 | 禾瑞亚科技股份有限公司 | Method and device for capacitive position detection |
| JP5424475B2 (en)* | 2009-10-13 | 2014-02-26 | 株式会社ジャパンディスプレイ | Information input device, information input method, information input / output device, information input program, and electronic device |
| GB2474536B (en) | 2009-10-13 | 2011-11-02 | Pointgrab Ltd | Computer vision gesture based control of a device |
| TW201113793A (en)* | 2009-10-14 | 2011-04-16 | Novatek Microelectronics Corp | Capacitive touch sensing apparatus and detection method thereof |
| US20110096036A1 (en)* | 2009-10-23 | 2011-04-28 | Mcintosh Jason | Method and device for an acoustic sensor switch |
| US9372579B2 (en) | 2009-10-27 | 2016-06-21 | Atmel Corporation | Touchscreen electrode arrangement |
| US8730187B2 (en)* | 2009-10-29 | 2014-05-20 | Cypress Semiconductor Corporation | Techniques for sorting data that represents touch positions on a sensing device |
| TW201115419A (en)* | 2009-10-29 | 2011-05-01 | Sentelic Corp | Touch-sensing method and electronic device |
| US20110102333A1 (en)* | 2009-10-30 | 2011-05-05 | Wayne Carl Westerman | Detection of Gesture Orientation on Repositionable Touch Surface |
| KR101660842B1 (en)* | 2009-11-05 | 2016-09-29 | 삼성전자주식회사 | Touch input method and apparatus |
| JP5341719B2 (en)* | 2009-11-12 | 2013-11-13 | 京セラ株式会社 | Mobile communication terminal and input control program |
| US8535133B2 (en)* | 2009-11-16 | 2013-09-17 | Broadcom Corporation | Video game with controller sensing player inappropriate activity |
| US9589414B2 (en)* | 2009-11-16 | 2017-03-07 | Bally Gaming, Inc. | Dynamic palpable controls for a gaming device |
| US8773366B2 (en)* | 2009-11-16 | 2014-07-08 | 3M Innovative Properties Company | Touch sensitive device using threshold voltage signal |
| US8432367B2 (en)* | 2009-11-19 | 2013-04-30 | Google Inc. | Translating user interaction with a touch screen into input commands |
| US8810524B1 (en) | 2009-11-20 | 2014-08-19 | Amazon Technologies, Inc. | Two-sided touch sensor |
| US9575580B2 (en)* | 2009-11-30 | 2017-02-21 | Nokia Technologies Oy | Matrix sensor network and method for selecting a group of rows and reading columns of the matrix sensor network |
| US20110128237A1 (en)* | 2009-12-02 | 2011-06-02 | Rothkopf Fletcher R | Thinned-Portion Substrates |
| US9081799B2 (en) | 2009-12-04 | 2015-07-14 | Google Inc. | Using gestalt information to identify locations in printed information |
| US20100085323A1 (en)* | 2009-12-04 | 2010-04-08 | Adam Bogue | Segmenting a Multi-Touch Input Region by User |
| US8564424B2 (en)* | 2009-12-07 | 2013-10-22 | Inventioneers Etc., Llc | Steering wheel hand position sensing device |
| US20110134050A1 (en)* | 2009-12-07 | 2011-06-09 | Harley Jonah A | Fabrication of touch sensor panel using laser ablation |
| US9323784B2 (en) | 2009-12-09 | 2016-04-26 | Google Inc. | Image search using text-based elements within the contents of images |
| TWI410835B (en)* | 2009-12-09 | 2013-10-01 | Au Optronics Corp | Touch display panel, pixel structure and multi-sensing structure |
| US8633916B2 (en) | 2009-12-10 | 2014-01-21 | Apple, Inc. | Touch pad with force sensors and actuator feedback |
| EP2333651B1 (en)* | 2009-12-11 | 2016-07-20 | Dassault Systèmes | Method and system for duplicating an object using a touch-sensitive display |
| US9030305B2 (en)* | 2009-12-11 | 2015-05-12 | Gwangju Institute Of Science And Technology | Method for expressing haptic information using control information, and system for transmitting haptic information |
| US8570297B2 (en)* | 2009-12-14 | 2013-10-29 | Synaptics Incorporated | System and method for measuring individual force in multi-object sensing |
| US8358281B2 (en) | 2009-12-15 | 2013-01-22 | Apple Inc. | Device, method, and graphical user interface for management and manipulation of user interface elements |
| US8347238B2 (en)* | 2009-12-16 | 2013-01-01 | Apple Inc. | Device, method, and graphical user interface for managing user interface content and user interface elements by dynamic snapping of user interface elements to alignment guides |
| US8381125B2 (en)* | 2009-12-16 | 2013-02-19 | Apple Inc. | Device and method for resizing user interface content while maintaining an aspect ratio via snapping a perimeter to a gridline |
| US8621391B2 (en)* | 2009-12-16 | 2013-12-31 | Apple Inc. | Device, method, and computer readable medium for maintaining a selection order in a displayed thumbnail stack of user interface elements acted upon via gestured operations |
| US20110145739A1 (en) | 2009-12-16 | 2011-06-16 | Peter Glen Berger | Device, Method, and Graphical User Interface for Location-Based Data Collection |
| KR101144724B1 (en)* | 2009-12-17 | 2012-05-24 | 이성호 | Touch cell structure of touch panel |
| US20110147973A1 (en)* | 2009-12-17 | 2011-06-23 | Kuo-Hua Sung | Injection Molding of Touch Surface |
| US9465532B2 (en)* | 2009-12-18 | 2016-10-11 | Synaptics Incorporated | Method and apparatus for operating in pointing and enhanced gesturing modes |
| US20110148436A1 (en)* | 2009-12-18 | 2011-06-23 | Synaptics Incorporated | System and method for determining a number of objects in a capacitive sensing region using signal grouping |
| US8698015B2 (en)* | 2009-12-18 | 2014-04-15 | Intel Corporation | Compensating for multi-touch signal bias drift in touch panels |
| US20110148786A1 (en)* | 2009-12-18 | 2011-06-23 | Synaptics Incorporated | Method and apparatus for changing operating modes |
| US20110151202A1 (en)* | 2009-12-18 | 2011-06-23 | Feinstein Casey J | Controllable Placement of Liquid Adhesive on Substrate |
| US20110148438A1 (en)* | 2009-12-18 | 2011-06-23 | Synaptics Incorporated | System and method for determining a number of objects in a capacitive sensing region using a shape factor |
| US8587532B2 (en)* | 2009-12-18 | 2013-11-19 | Intel Corporation | Multi-feature interactive touch user interface |
| WO2011087816A1 (en) | 2009-12-21 | 2011-07-21 | Tactus Technology | User interface system |
| CN102782617B (en) | 2009-12-21 | 2015-10-07 | 泰克图斯科技公司 | User interface system |
| JP5532300B2 (en)* | 2009-12-24 | 2014-06-25 | ソニー株式会社 | Touch panel device, touch panel control method, program, and recording medium |
| KR20110074333A (en)* | 2009-12-24 | 2011-06-30 | 삼성전자주식회사 | Method and apparatus for generating vibration of a mobile terminal |
| JP5506375B2 (en)* | 2009-12-25 | 2014-05-28 | キヤノン株式会社 | Information processing apparatus and control method thereof |
| US8493346B2 (en)* | 2009-12-31 | 2013-07-23 | International Business Machines Corporation | Morphing touchscreen keyboard interface |
| US20110163768A1 (en)* | 2010-01-05 | 2011-07-07 | Sain Infocom | Touch screen device, capacitance measuring circuit thereof, and method of measuring capacitance |
| US8411066B2 (en)* | 2010-01-05 | 2013-04-02 | 3M Innovative Properties Company | High speed noise tolerant multi-touch touch device and controller therefor |
| US8232990B2 (en) | 2010-01-05 | 2012-07-31 | Apple Inc. | Working with 3D objects |
| US9298262B2 (en) | 2010-01-05 | 2016-03-29 | Tactus Technology, Inc. | Dynamic tactile interface |
| US8698762B2 (en) | 2010-01-06 | 2014-04-15 | Apple Inc. | Device, method, and graphical user interface for navigating and displaying content in context |
| WO2011084157A1 (en) | 2010-01-06 | 2011-07-14 | Apple Inc. | Apparatus and method for conditionally enabling or disabling soft buttons |
| US8692780B2 (en) | 2010-01-06 | 2014-04-08 | Apple Inc. | Device, method, and graphical user interface for manipulating information items in folders |
| US20110163966A1 (en) | 2010-01-06 | 2011-07-07 | Imran Chaudhri | Apparatus and Method Having Multiple Application Display Modes Including Mode with Display Resolution of Another Apparatus |
| US8698845B2 (en) | 2010-01-06 | 2014-04-15 | Apple Inc. | Device, method, and graphical user interface with interactive popup views |
| US8438504B2 (en) | 2010-01-06 | 2013-05-07 | Apple Inc. | Device, method, and graphical user interface for navigating through multiple viewing areas |
| KR101579345B1 (en) | 2010-01-06 | 2015-12-21 | 애플 인크. | Device, method, and graphical user interface for mapping directions between search results |
| US9778685B2 (en) | 2011-05-04 | 2017-10-03 | Apple Inc. | Housing for portable electronic device with reduced border region |
| US20110163967A1 (en) | 2010-01-06 | 2011-07-07 | Imran Chaudhri | Device, Method, and Graphical User Interface for Changing Pages in an Electronic Document |
| US8786559B2 (en) | 2010-01-06 | 2014-07-22 | Apple Inc. | Device, method, and graphical user interface for manipulating tables using multi-contact gestures |
| US20110167339A1 (en) | 2010-01-06 | 2011-07-07 | Lemay Stephen O | Device, Method, and Graphical User Interface for Attachment Viewing and Editing |
| US8806362B2 (en) | 2010-01-06 | 2014-08-12 | Apple Inc. | Device, method, and graphical user interface for accessing alternate keys |
| US8736561B2 (en) | 2010-01-06 | 2014-05-27 | Apple Inc. | Device, method, and graphical user interface with content display modes and display rotation heuristics |
| US8510677B2 (en) | 2010-01-06 | 2013-08-13 | Apple Inc. | Device, method, and graphical user interface for navigating through a range of values |
| US20110173533A1 (en)* | 2010-01-09 | 2011-07-14 | Au Optronics Corp. | Touch Operation Method and Operation Method of Electronic Device |
| AU2011203833B2 (en) | 2010-01-11 | 2014-07-10 | Apple Inc. | Electronic text manipulation and display |
| US9405408B2 (en) | 2010-01-15 | 2016-08-02 | Creator Technology B.V. | Trace pattern for touch-sensing application |
| US8866347B2 (en) | 2010-01-15 | 2014-10-21 | Idex Asa | Biometric image sensing |
| US8803908B2 (en) | 2010-01-15 | 2014-08-12 | Apple Inc. | Digital image transitions |
| US9052894B2 (en) | 2010-01-15 | 2015-06-09 | Apple Inc. | API to replace a keyboard with custom controls |
| US9705495B2 (en) | 2010-01-15 | 2017-07-11 | Creator Technology B.V. | Asymmetric sensor pattern |
| US8901944B2 (en) | 2010-01-15 | 2014-12-02 | Cypress Semiconductor Corporation | Lattice structure for capacitance sensing electrodes |
| US20110179372A1 (en) | 2010-01-15 | 2011-07-21 | Bradford Allen Moore | Automatic Keyboard Layout Determination |
| US8421890B2 (en) | 2010-01-15 | 2013-04-16 | Picofield Technologies, Inc. | Electronic imager using an impedance sensor grid array and method of making |
| US20110175826A1 (en) | 2010-01-15 | 2011-07-21 | Bradford Allen Moore | Automatically Displaying and Hiding an On-screen Keyboard |
| US8791792B2 (en) | 2010-01-15 | 2014-07-29 | Idex Asa | Electronic imager using an impedance sensor grid array mounted on or about a switch and method of making |
| US10679605B2 (en) | 2010-01-18 | 2020-06-09 | Apple Inc. | Hands-free list-reading by intelligent automated assistant |
| US10705794B2 (en) | 2010-01-18 | 2020-07-07 | Apple Inc. | Automatically adapting user interfaces for hands-free interaction |
| US10553209B2 (en) | 2010-01-18 | 2020-02-04 | Apple Inc. | Systems and methods for hands-free notification summaries |
| US10276170B2 (en) | 2010-01-18 | 2019-04-30 | Apple Inc. | Intelligent automated assistant |
| US10007393B2 (en) | 2010-01-19 | 2018-06-26 | Apple Inc. | 3D view of file structure |
| US8624878B2 (en) | 2010-01-20 | 2014-01-07 | Apple Inc. | Piezo-based acoustic and capacitive detection |
| US8581879B2 (en) | 2010-01-21 | 2013-11-12 | Apple Inc. | Negative pixel compensation |
| US20110179381A1 (en)* | 2010-01-21 | 2011-07-21 | Research In Motion Limited | Portable electronic device and method of controlling same |
| DE112011100329T5 (en) | 2010-01-25 | 2012-10-31 | Andrew Peter Nelson Jerram | Apparatus, methods and systems for a digital conversation management platform |
| US8539386B2 (en) | 2010-01-26 | 2013-09-17 | Apple Inc. | Device, method, and graphical user interface for selecting and moving objects |
| US8683363B2 (en)* | 2010-01-26 | 2014-03-25 | Apple Inc. | Device, method, and graphical user interface for managing user interface content and user interface elements |
| US8539385B2 (en) | 2010-01-26 | 2013-09-17 | Apple Inc. | Device, method, and graphical user interface for precise positioning of objects |
| US8612884B2 (en) | 2010-01-26 | 2013-12-17 | Apple Inc. | Device, method, and graphical user interface for resizing objects |
| US8209630B2 (en)* | 2010-01-26 | 2012-06-26 | Apple Inc. | Device, method, and graphical user interface for resizing user interface content |
| US8239785B2 (en) | 2010-01-27 | 2012-08-07 | Microsoft Corporation | Edge gestures |
| TWI420359B (en)* | 2010-01-27 | 2013-12-21 | Chunghwa Picture Tubes Ltd | Touch device and driving method of touch panel thereof |
| US9411504B2 (en) | 2010-01-28 | 2016-08-09 | Microsoft Technology Licensing, Llc | Copy and staple gestures |
| US8261213B2 (en) | 2010-01-28 | 2012-09-04 | Microsoft Corporation | Brush, carbon-copy, and fill gestures |
| DE102010001377A1 (en)* | 2010-01-29 | 2011-08-04 | E.G.O. Elektro-Gerätebau GmbH, 75038 | Circuit arrangement for determining a capacitance of a number of capacitive sensor elements |
| US8797721B2 (en) | 2010-02-02 | 2014-08-05 | Apple Inc. | Portable electronic device housing with outer glass surfaces |
| US8913009B2 (en) | 2010-02-03 | 2014-12-16 | Nintendo Co., Ltd. | Spatially-correlated multi-display human-machine interface |
| US8814686B2 (en) | 2010-02-03 | 2014-08-26 | Nintendo Co., Ltd. | Display device, game system, and game method |
| KR101154636B1 (en) | 2010-02-03 | 2012-06-08 | 닌텐도가부시키가이샤 | Display device, game system, and game method |
| US8339364B2 (en) | 2010-02-03 | 2012-12-25 | Nintendo Co., Ltd. | Spatially-correlated multi-display human-machine interface |
| US9519356B2 (en) | 2010-02-04 | 2016-12-13 | Microsoft Technology Licensing, Llc | Link gestures |
| JP5442479B2 (en)* | 2010-02-05 | 2014-03-12 | 株式会社ワコム | Indicator, position detection device and position detection method |
| US8830182B1 (en) | 2010-02-09 | 2014-09-09 | Google Inc. | Keystroke resolution |
| US8179370B1 (en) | 2010-02-09 | 2012-05-15 | Google Inc. | Proximity based keystroke resolution |
| US8619035B2 (en) | 2010-02-10 | 2013-12-31 | Tactus Technology, Inc. | Method for assisting user input to a device |
| ES2655729T3 (en)* | 2010-02-10 | 2018-02-21 | Microchip Technology Germany Gmbh | System and procedure for generating a correlated signal with a manual input operation |
| US20110193787A1 (en)* | 2010-02-10 | 2011-08-11 | Kevin Morishige | Input mechanism for providing dynamically protruding surfaces for user interaction |
| KR101749956B1 (en) | 2010-02-10 | 2017-06-22 | 마이크로칩 테크놀로지 저머니 게엠베하 | Computer keyboard with integrated an electrode arrangement |
| DE102010007455B4 (en)* | 2010-02-10 | 2024-06-27 | Microchip Technology Germany Gmbh | System and method for contactless detection and recognition of gestures in a three-dimensional space |
| US20110202934A1 (en)* | 2010-02-12 | 2011-08-18 | Ludwig Lester F | Window manger input focus control for high dimensional touchpad (htpd), advanced mice, and other multidimensional user interfaces |
| SE534551C2 (en) | 2010-02-15 | 2011-10-04 | Scalado Ab | Digital image manipulation including identification of a target area in a target image and seamless replacement of image information from a source image |
| US20110199342A1 (en) | 2010-02-16 | 2011-08-18 | Harry Vartanian | Apparatus and method for providing elevated, indented or texturized sensations to an object near a display device or input detection using ultrasound |
| US20110231796A1 (en)* | 2010-02-16 | 2011-09-22 | Jose Manuel Vigil | Methods for navigating a touch screen device in conjunction with gestures |
| US9965165B2 (en) | 2010-02-19 | 2018-05-08 | Microsoft Technology Licensing, Llc | Multi-finger gestures |
| US9310994B2 (en)* | 2010-02-19 | 2016-04-12 | Microsoft Technology Licensing, Llc | Use of bezel as an input mechanism |
| US8799827B2 (en) | 2010-02-19 | 2014-08-05 | Microsoft Corporation | Page manipulations using on and off-screen gestures |
| KR101136153B1 (en)* | 2010-02-19 | 2012-04-16 | 성균관대학교산학협력단 | User input device, method for recognizing user finger prints, and method for recognizing user touches using a transparent sensor grid panel which is able to recognize finger prints or mult-touch |
| US9367205B2 (en) | 2010-02-19 | 2016-06-14 | Microsoft Technolgoy Licensing, Llc | Radial menus with bezel gestures |
| US9274682B2 (en) | 2010-02-19 | 2016-03-01 | Microsoft Technology Licensing, Llc | Off-screen gestures to create on-screen input |
| US9454304B2 (en) | 2010-02-25 | 2016-09-27 | Microsoft Technology Licensing, Llc | Multi-screen dual tap gesture |
| US8682667B2 (en) | 2010-02-25 | 2014-03-25 | Apple Inc. | User profiling for selecting user specific voice input processing information |
| US9075522B2 (en) | 2010-02-25 | 2015-07-07 | Microsoft Technology Licensing, Llc | Multi-screen bookmark hold gesture |
| US8707174B2 (en) | 2010-02-25 | 2014-04-22 | Microsoft Corporation | Multi-screen hold and page-flip gesture |
| US8473870B2 (en)* | 2010-02-25 | 2013-06-25 | Microsoft Corporation | Multi-screen hold and drag gesture |
| US8539384B2 (en) | 2010-02-25 | 2013-09-17 | Microsoft Corporation | Multi-screen pinch and expand gestures |
| US20110209101A1 (en)* | 2010-02-25 | 2011-08-25 | Hinckley Kenneth P | Multi-screen pinch-to-pocket gesture |
| US8751970B2 (en) | 2010-02-25 | 2014-06-10 | Microsoft Corporation | Multi-screen synchronous slide gesture |
| US20110214055A1 (en)* | 2010-02-26 | 2011-09-01 | General Electric Company | Systems and Methods for Using Structured Libraries of Gestures on Multi-Touch Clinical Systems |
| US10146427B2 (en) | 2010-03-01 | 2018-12-04 | Nri R&D Patent Licensing, Llc | Curve-fitting approach to high definition touch pad (HDTP) parameter extraction |
| US8941600B2 (en)* | 2010-03-05 | 2015-01-27 | Mckesson Financial Holdings | Apparatus for providing touch feedback for user input to a touch sensitive surface |
| US20110216015A1 (en)* | 2010-03-05 | 2011-09-08 | Mckesson Financial Holdings Limited | Apparatus and method for directing operation of a software application via a touch-sensitive surface divided into regions associated with respective functions |
| JP2011186880A (en)* | 2010-03-10 | 2011-09-22 | Panasonic Corp | Coordinate input device and coordinate input method |
| JP5434700B2 (en)* | 2010-03-10 | 2014-03-05 | 富士通モバイルコミュニケーションズ株式会社 | Information processing device |
| US20110225524A1 (en)* | 2010-03-10 | 2011-09-15 | Cifra Christopher G | Multi-Touch Editing in a Graphical Programming Language |
| US8140570B2 (en) | 2010-03-11 | 2012-03-20 | Apple Inc. | Automatic discovery of metadata |
| WO2011112984A1 (en) | 2010-03-11 | 2011-09-15 | Tactus Technology | User interface system |
| EP2547077A4 (en)* | 2010-03-11 | 2013-11-13 | Song Hak Ji | Portable terminal for inputting three signals via one input key, and text input method using same |
| US10191609B1 (en) | 2010-03-26 | 2019-01-29 | Open Invention Network Llc | Method and apparatus of providing a customized user interface |
| US9405404B2 (en)* | 2010-03-26 | 2016-08-02 | Autodesk, Inc. | Multi-touch marking menus and directional chording gestures |
| US11429272B2 (en)* | 2010-03-26 | 2022-08-30 | Microsoft Technology Licensing, Llc | Multi-factor probabilistic model for evaluating user input |
| US9223529B1 (en) | 2010-03-26 | 2015-12-29 | Open Invention Network, Llc | Method and apparatus of processing information in an environment with multiple devices and limited resources |
| US9798518B1 (en)* | 2010-03-26 | 2017-10-24 | Open Invention Network Llc | Method and apparatus for processing data based on touch events on a touch sensitive device |
| JP2011210188A (en)* | 2010-03-30 | 2011-10-20 | Sony Corp | Image processing apparatus, method of displaying image, image display program, and recording medium having image display program recorded thereon |
| US20110242138A1 (en) | 2010-03-31 | 2011-10-06 | Tribble Guy L | Device, Method, and Graphical User Interface with Concurrent Virtual Keyboards |
| US10719131B2 (en) | 2010-04-05 | 2020-07-21 | Tactile Displays, Llc | Interactive display with tactile feedback |
| US9052926B2 (en) | 2010-04-07 | 2015-06-09 | Apple Inc. | Device, method, and graphical user interface for managing concurrently open software applications |
| US10788976B2 (en) | 2010-04-07 | 2020-09-29 | Apple Inc. | Device, method, and graphical user interface for managing folders with multiple pages |
| US8881060B2 (en) | 2010-04-07 | 2014-11-04 | Apple Inc. | Device, method, and graphical user interface for managing folders |
| US9823831B2 (en) | 2010-04-07 | 2017-11-21 | Apple Inc. | Device, method, and graphical user interface for managing concurrently open software applications |
| US9542038B2 (en) | 2010-04-07 | 2017-01-10 | Apple Inc. | Personalizing colors of user interfaces |
| TWI439960B (en) | 2010-04-07 | 2014-06-01 | Apple Inc | Avatar editing environment |
| US9513801B2 (en) | 2010-04-07 | 2016-12-06 | Apple Inc. | Accessing electronic notifications and settings icons with gestures |
| US8734255B2 (en) | 2010-04-07 | 2014-05-27 | Apple Inc. | Methods and systems for providing a game center having player specific options and statistics |
| DE102010003719B4 (en)* | 2010-04-08 | 2019-01-24 | Vodafone Holding Gmbh | Method and apparatus for actuating a key of a keyboard with a robot tactile finger |
| US9285909B2 (en) | 2010-04-09 | 2016-03-15 | Apple Inc. | Equalizing parasitic capacitance effects in touch screens |
| US20200393907A1 (en) | 2010-04-13 | 2020-12-17 | Tactile Displays, Llc | Interactive display with tactile feedback |
| US8154680B2 (en) | 2010-04-15 | 2012-04-10 | Apple Inc. | Electronic device display structures with controlled chassis reflections |
| WO2011133605A1 (en) | 2010-04-19 | 2011-10-27 | Tactus Technology | Method of actuating a tactile interface layer |
| WO2011133604A1 (en) | 2010-04-19 | 2011-10-27 | Tactus Technology | User interface system |
| EP2378403A1 (en)* | 2010-04-19 | 2011-10-19 | Tyco Electronics Services GmbH | Method and device for determining a user's touch gesture |
| US8776817B2 (en) | 2010-04-20 | 2014-07-15 | Masco Corporation Of Indiana | Electronic faucet with a capacitive sensing system and a method therefor |
| US8561626B2 (en) | 2010-04-20 | 2013-10-22 | Masco Corporation Of Indiana | Capacitive sensing system and method for operating a faucet |
| EP2381351B1 (en)* | 2010-04-20 | 2017-12-06 | BlackBerry Limited | Portable electronic device having touch-sensitive display with a variable repeat control mode. |
| US8626921B2 (en)* | 2010-04-22 | 2014-01-07 | Cisco Technology, Inc. | Device and service management based on layer 2 through layer 7 device attributes |
| US9891821B2 (en)* | 2010-04-23 | 2018-02-13 | Handscape Inc. | Method for controlling a control region of a computerized device from a touchpad |
| US20150363038A1 (en)* | 2010-04-23 | 2015-12-17 | Handscape Inc. | Method for orienting a hand on a touchpad of a computerized system |
| CN102236483B (en)* | 2010-05-04 | 2016-03-30 | 宸鸿科技(厦门)有限公司 | A kind of contact panel, manufacture method and scan method thereof |
| US8963845B2 (en) | 2010-05-05 | 2015-02-24 | Google Technology Holdings LLC | Mobile device with temperature sensing capability and method of operating same |
| KR101678812B1 (en)* | 2010-05-06 | 2016-11-23 | 엘지전자 주식회사 | Mobile terminal and operation control method thereof |
| TWI464622B (en)* | 2010-05-10 | 2014-12-11 | Egalax Empia Technology Inc | Method and device for gesture determination |
| US8938753B2 (en) | 2010-05-12 | 2015-01-20 | Litl Llc | Configurable computer system |
| US9436219B2 (en) | 2010-05-12 | 2016-09-06 | Litl Llc | Remote control to operate computer system |
| US8810543B1 (en)* | 2010-05-14 | 2014-08-19 | Cypress Semiconductor Corporation | All points addressable touch sensing surface |
| US8457353B2 (en) | 2010-05-18 | 2013-06-04 | Microsoft Corporation | Gestures and gesture modifiers for manipulating a user-interface |
| US8384566B2 (en) | 2010-05-19 | 2013-02-26 | Mckesson Financial Holdings | Pressure-sensitive keyboard and associated method of operation |
| US9103732B2 (en) | 2010-05-25 | 2015-08-11 | Google Technology Holdings LLC | User computer device with temperature sensing capabilities and method of operating same |
| EP2577434A2 (en)* | 2010-05-25 | 2013-04-10 | 3M Innovative Properties Company | High speed low power multi-touch touch device and controller therefor |
| US8692830B2 (en) | 2010-06-01 | 2014-04-08 | Apple Inc. | Automatic avatar creation |
| USRE49044E1 (en) | 2010-06-01 | 2022-04-19 | Apple Inc. | Automatic avatar creation |
| US9542091B2 (en) | 2010-06-04 | 2017-01-10 | Apple Inc. | Device, method, and graphical user interface for navigating through a user interface using a dynamic object selection indicator |
| US9213451B2 (en) | 2010-06-04 | 2015-12-15 | Apple Inc. | Thin glass for touch panel sensors and methods therefor |
| US8924304B2 (en) | 2010-06-04 | 2014-12-30 | Apple Inc. | Methods for using unique identifiers to identify systems in collaborative interaction in a mesh network |
| US9164620B2 (en) | 2010-06-07 | 2015-10-20 | Apple Inc. | Touch sensing error compensation |
| US9335870B2 (en)* | 2010-06-07 | 2016-05-10 | Apple Inc. | Touch-display crosstalk |
| US8635555B2 (en)* | 2010-06-08 | 2014-01-21 | Adobe Systems Incorporated | Jump, checkmark, and strikethrough gestures |
| US8749499B2 (en) | 2010-06-08 | 2014-06-10 | Sap Ag | Touch screen for bridging multi and/or single touch points to applications |
| US20110307831A1 (en)* | 2010-06-10 | 2011-12-15 | Microsoft Corporation | User-Controlled Application Access to Resources |
| US10216408B2 (en) | 2010-06-14 | 2019-02-26 | Apple Inc. | Devices and methods for identifying user interface objects based on view hierarchy |
| WO2011158475A1 (en) | 2010-06-16 | 2011-12-22 | パナソニック株式会社 | Information input device, information input method and programme |
| KR101741465B1 (en)* | 2010-06-18 | 2017-05-31 | 삼성전자주식회사 | pixel circuit and display device including the same |
| KR20110138095A (en)* | 2010-06-18 | 2011-12-26 | 삼성전자주식회사 | Coordinate correction method and device in touch system |
| US8913018B2 (en) | 2010-06-21 | 2014-12-16 | N-Trig Ltd. | System and method for finger resolution in touch screens |
| US8599152B1 (en)* | 2010-06-25 | 2013-12-03 | Sprint Communications Company L.P. | Intelligent touch screen keyboard |
| WO2011161864A1 (en)* | 2010-06-25 | 2011-12-29 | パナソニック株式会社 | Contact input position correction device, input device, method of correcting contact input position, program, and integrated circuit |
| US20110316791A1 (en)* | 2010-06-27 | 2011-12-29 | Peigen Jiang | Touch pad character entering system and method |
| US8892594B1 (en) | 2010-06-28 | 2014-11-18 | Open Invention Network, Llc | System and method for search with the aid of images associated with product categories |
| US8482546B2 (en) | 2010-06-30 | 2013-07-09 | Cypress Semiconductor Corporation | Self shielding capacitance sensing panel |
| TWI472994B (en)* | 2010-07-01 | 2015-02-11 | Tpk Touch Solutions Xiamen Inc | Touch panel, touch panel manufacturing method and scanning method |
| US8284748B2 (en) | 2010-07-07 | 2012-10-09 | Apple Inc. | Ad hoc formation and tracking of location-sharing groups |
| TW201203017A (en)* | 2010-07-08 | 2012-01-16 | Acer Inc | Input controlling method for a software keyboard and a device implementing the method |
| US8972903B2 (en) | 2010-07-08 | 2015-03-03 | Apple Inc. | Using gesture to navigate hierarchically ordered user interface screens |
| US9626023B2 (en) | 2010-07-09 | 2017-04-18 | Lester F. Ludwig | LED/OLED array approach to integrated display, lensless-camera, and touch-screen user interface devices and associated processors |
| US9632344B2 (en) | 2010-07-09 | 2017-04-25 | Lester F. Ludwig | Use of LED or OLED array to implement integrated combinations of touch screen tactile, touch gesture sensor, color image display, hand-image gesture sensor, document scanner, secure optical data exchange, and fingerprint processing capabilities |
| US8754862B2 (en) | 2010-07-11 | 2014-06-17 | Lester F. Ludwig | Sequential classification recognition of gesture primitives and window-based parameter smoothing for high dimensional touchpad (HDTP) user interfaces |
| KR101615973B1 (en) | 2010-07-20 | 2016-05-02 | 엘지전자 주식회사 | Apparatus for displaying image and method for operating the same |
| US8528072B2 (en) | 2010-07-23 | 2013-09-03 | Apple Inc. | Method, apparatus and system for access mode control of a device |
| US8922499B2 (en)* | 2010-07-26 | 2014-12-30 | Apple Inc. | Touch input transitions |
| US10601457B2 (en) | 2010-07-27 | 2020-03-24 | Comcast Cable Communications, Llc | Configuring remote control behavior to limit a maximum amount of transmissions for continuous press of a button |
| US8621362B2 (en) | 2011-01-21 | 2013-12-31 | Xerox Corporation | Mobile screen methods and systems for collaborative troubleshooting of a device |
| US8388852B2 (en) | 2010-07-30 | 2013-03-05 | Apple Inc. | Method for fabricating touch sensor panels |
| US8972879B2 (en) | 2010-07-30 | 2015-03-03 | Apple Inc. | Device, method, and graphical user interface for reordering the front-to-back positions of objects |
| US8875054B2 (en) | 2010-07-30 | 2014-10-28 | Apple Inc. | Hybrid knob/slider control |
| US9081494B2 (en) | 2010-07-30 | 2015-07-14 | Apple Inc. | Device, method, and graphical user interface for copying formatting attributes |
| US9098182B2 (en) | 2010-07-30 | 2015-08-04 | Apple Inc. | Device, method, and graphical user interface for copying user interface objects between content regions |
| US9652088B2 (en) | 2010-07-30 | 2017-05-16 | Apple Inc. | Fabrication of touch sensor panel using laser ablation |
| US8963874B2 (en) | 2010-07-31 | 2015-02-24 | Symbol Technologies, Inc. | Touch screen rendering system and method of operation thereof |
| US9950256B2 (en) | 2010-08-05 | 2018-04-24 | Nri R&D Patent Licensing, Llc | High-dimensional touchpad game controller with multiple usage and networking modalities |
| US9357024B2 (en) | 2010-08-05 | 2016-05-31 | Qualcomm Incorporated | Communication management utilizing destination device user presence probability |
| JP6243586B2 (en) | 2010-08-06 | 2017-12-06 | 任天堂株式会社 | GAME SYSTEM, GAME DEVICE, GAME PROGRAM, AND GAME PROCESSING METHOD |
| US20120032894A1 (en) | 2010-08-06 | 2012-02-09 | Nima Parivar | Intelligent management for an electronic device |
| US10268320B2 (en) | 2010-08-06 | 2019-04-23 | Apple Inc. | Method for disambiguating multiple touches on a projection-scan touch sensor panel |
| US8432301B2 (en) | 2010-08-10 | 2013-04-30 | Mckesson Financial Holdings | Gesture-enabled keyboard and associated apparatus and computer-readable storage medium |
| US9041661B2 (en)* | 2010-08-13 | 2015-05-26 | Nokia Corporation | Cover for an electronic device |
| US8543942B1 (en)* | 2010-08-13 | 2013-09-24 | Adobe Systems Incorporated | Method and system for touch-friendly user interfaces |
| US10189743B2 (en) | 2010-08-18 | 2019-01-29 | Apple Inc. | Enhanced strengthening of glass |
| US9626099B2 (en)* | 2010-08-20 | 2017-04-18 | Avaya Inc. | Multi-finger sliding detection using fingerprints to generate different events |
| US10150033B2 (en) | 2010-08-20 | 2018-12-11 | Nintendo Co., Ltd. | Position calculation system, position calculation device, storage medium storing position calculation program, and position calculation method |
| US9013430B2 (en)* | 2010-08-20 | 2015-04-21 | University Of Massachusetts | Hand and finger registration for control applications |
| US9851829B2 (en) | 2010-08-27 | 2017-12-26 | Apple Inc. | Signal processing for touch and hover sensing display device |
| US8890854B2 (en) | 2010-08-27 | 2014-11-18 | Apple Inc. | Touch sensor panel calibration |
| JP5840385B2 (en) | 2010-08-30 | 2016-01-06 | 任天堂株式会社 | GAME SYSTEM, GAME DEVICE, GAME PROGRAM, AND GAME PROCESSING METHOD |
| JP5840386B2 (en) | 2010-08-30 | 2016-01-06 | 任天堂株式会社 | GAME SYSTEM, GAME DEVICE, GAME PROGRAM, AND GAME PROCESSING METHOD |
| US10140301B2 (en) | 2010-09-01 | 2018-11-27 | Apple Inc. | Device, method, and graphical user interface for selecting and using sets of media player controls |
| WO2012030183A2 (en)* | 2010-09-01 | 2012-03-08 | Lee Sung Ho | Capacitive touch detection apparatus using level shift, detection method using level shift, and display device having the detection apparatus built therein |
| US20120060127A1 (en)* | 2010-09-06 | 2012-03-08 | Multitouch Oy | Automatic orientation of items on a touch screen display utilizing hand direction |
| WO2012032515A1 (en)* | 2010-09-07 | 2012-03-15 | Zrro Technologies (2009) Ltd. | Device and method for controlling the behavior of virtual objects on a display |
| US8823657B2 (en) | 2010-09-07 | 2014-09-02 | Apple Inc. | Master/slave control of touch sensing |
| US8890817B2 (en) | 2010-09-07 | 2014-11-18 | Apple Inc. | Centralized processing of touch information |
| EP2614426A2 (en) | 2010-09-08 | 2013-07-17 | Telefonaktiebolaget L M Ericsson (publ) | Gesture-based control of iptv system |
| US8842084B2 (en) | 2010-09-08 | 2014-09-23 | Telefonaktiebolaget L M Ericsson (Publ) | Gesture-based object manipulation methods and devices |
| KR101761580B1 (en)* | 2010-09-08 | 2017-07-27 | 엘지디스플레이 주식회사 | Display device having touch sensor |
| US10019119B2 (en) | 2010-09-09 | 2018-07-10 | 3M Innovative Properties Company | Touch sensitive device with stylus support |
| US9389724B2 (en) | 2010-09-09 | 2016-07-12 | 3M Innovative Properties Company | Touch sensitive device with stylus support |
| US9823785B2 (en) | 2010-09-09 | 2017-11-21 | 3M Innovative Properties Company | Touch sensitive device with stylus support |
| CN107669295B (en) | 2010-09-10 | 2021-04-20 | 阿西斯特医疗系统有限公司 | Apparatus and method for medical image search |
| JP5563722B2 (en) | 2010-09-14 | 2014-07-30 | アドヴァンスト・シリコン・ソシエテ・アノニム | Circuits for capacitive touch applications |
| KR20140008292A (en)* | 2010-09-15 | 2014-01-21 | 어드밴스드 실리콘 에스아 | Method for detecting an arbitrary number of touches from a multi-touch device |
| US9092089B2 (en)* | 2010-09-15 | 2015-07-28 | Advanced Silicon Sa | Method for detecting an arbitrary number of touches from a multi-touch device |
| US8824140B2 (en) | 2010-09-17 | 2014-09-02 | Apple Inc. | Glass enclosure |
| CN102411504A (en)* | 2010-09-20 | 2012-04-11 | 神基科技股份有限公司 | Computer system and method for quickly starting navigation function through touch interface |
| CN102411505A (en)* | 2010-09-20 | 2012-04-11 | 神基科技股份有限公司 | Computer system and method for performing computer network connection function |
| JP5732218B2 (en)* | 2010-09-21 | 2015-06-10 | 任天堂株式会社 | Display control program, display control device, display control system, and display control method |
| US9747270B2 (en) | 2011-01-07 | 2017-08-29 | Microsoft Technology Licensing, Llc | Natural input for spreadsheet actions |
| JP5606242B2 (en) | 2010-09-24 | 2014-10-15 | 株式会社ジャパンディスプレイ | Display device |
| US8924883B2 (en)* | 2010-09-28 | 2014-12-30 | Lenovo Enterprise Solutions (Singapore) Pte. Ltd. | Content presentation utilizing moveable fly-over on-demand user interfaces |
| US9483167B2 (en) | 2010-09-29 | 2016-11-01 | Adobe Systems Incorporated | User interface for a touch enabled device |
| US9323442B2 (en) | 2010-09-30 | 2016-04-26 | Apple Inc. | Managing items in a user interface |
| US8950215B2 (en) | 2010-10-06 | 2015-02-10 | Apple Inc. | Non-contact polishing techniques for reducing roughness on glass surfaces |
| FR2965962B1 (en)* | 2010-10-07 | 2014-11-21 | Compagnie Ind Et Financiere Dingenierie Ingenico | BRAILLE DATA ENTRY DEVICE, CORRESPONDING COMPUTER PROGRAM PRODUCT AND METHOD. |
| TWI524239B (en)* | 2010-10-08 | 2016-03-01 | 友達光電股份有限公司 | Method for locating touch position |
| WO2012050606A2 (en) | 2010-10-12 | 2012-04-19 | New York University | Apparatus for sensing utilizing tiles, sensor having a set of plates, object identification for multi-touch surfaces, and method |
| WO2012048380A1 (en)* | 2010-10-14 | 2012-04-19 | University Of Technology, Sydney | Virtual keyboard |
| US9491852B2 (en) | 2010-10-15 | 2016-11-08 | Apple Inc. | Trace border routing |
| US10185446B2 (en) | 2010-10-15 | 2019-01-22 | Apple Inc. | Touch sensor arrays with integrated inter-layer contacts |
| US20120096374A1 (en)* | 2010-10-18 | 2012-04-19 | Nokia Corporation | Computer modeling |
| US8797282B2 (en) | 2010-10-18 | 2014-08-05 | Apple Inc. | Touch sensor with secondary sensor and ground shield |
| TW201218049A (en)* | 2010-10-19 | 2012-05-01 | xiang-yu Li | employing measurement of electric field variation to identify touch control input |
| US9542202B2 (en) | 2010-10-19 | 2017-01-10 | Apple Inc. | Displaying and updating workspaces in a user interface |
| US9658732B2 (en) | 2010-10-19 | 2017-05-23 | Apple Inc. | Changing a virtual workspace based on user interaction with an application window in a user interface |
| US10740117B2 (en) | 2010-10-19 | 2020-08-11 | Apple Inc. | Grouping windows into clusters in one or more workspaces in a user interface |
| US9292196B2 (en) | 2010-10-19 | 2016-03-22 | Apple Inc. | Modifying the presentation of clustered application windows in a user interface |
| US9013488B2 (en) | 2010-10-19 | 2015-04-21 | Apple Inc. | Grouping items in a folder |
| CN103124946B (en) | 2010-10-20 | 2016-06-29 | 泰克图斯科技公司 | User interface system and method |
| US9229636B2 (en) | 2010-10-22 | 2016-01-05 | Adobe Systems Incorporated | Drawing support tool |
| JP5815932B2 (en)* | 2010-10-27 | 2015-11-17 | 京セラ株式会社 | Electronics |
| US8555067B2 (en) | 2010-10-28 | 2013-10-08 | Apple Inc. | Methods and apparatus for delivering electronic identification components over a wireless network |
| US9019230B2 (en)* | 2010-10-31 | 2015-04-28 | Pixart Imaging Inc. | Capacitive touchscreen system with reduced power consumption using modal focused scanning |
| KR101364826B1 (en) | 2010-11-01 | 2014-02-20 | 닌텐도가부시키가이샤 | Operating apparatus and operating system |
| US8913040B2 (en) | 2010-11-05 | 2014-12-16 | Apple Inc. | Downsampling data for crosstalk compensation |
| US8808483B2 (en) | 2010-11-05 | 2014-08-19 | Apple Inc. | Method of making a curved touch panel |
| US8769444B2 (en) | 2010-11-05 | 2014-07-01 | Sap Ag | Multi-input gesture control for a display screen |
| US8587547B2 (en) | 2010-11-05 | 2013-11-19 | Apple Inc. | Device, method, and graphical user interface for manipulating soft keyboards |
| US9146673B2 (en) | 2010-11-05 | 2015-09-29 | Apple Inc. | Device, method, and graphical user interface for manipulating soft keyboards |
| US8603574B2 (en) | 2010-11-05 | 2013-12-10 | Apple Inc. | Curved touch sensor |
| US9122341B2 (en)* | 2010-11-08 | 2015-09-01 | Microsoft Technology Licensing, Llc | Resolving merged touch contacts |
| KR101680256B1 (en)* | 2010-11-08 | 2016-12-13 | 삼성디스플레이 주식회사 | Touch Screen Panel in Resistive Type |
| US8462106B2 (en) | 2010-11-09 | 2013-06-11 | Research In Motion Limited | Image magnification based on display flexing |
| US9652089B2 (en)* | 2010-11-09 | 2017-05-16 | Tpk Touch Solutions Inc. | Touch panel stackup |
| US9235240B2 (en) | 2010-11-11 | 2016-01-12 | Apple Inc. | Insert molding around glass members for portable electronic devices |
| KR101522345B1 (en) | 2010-11-12 | 2015-05-21 | 주식회사 케이티 | Method for displaying background pictures in mobile communication apparatus and apparatus the same |
| US8718910B2 (en) | 2010-11-14 | 2014-05-06 | Pelmorex Canada Inc. | Crowd sourced traffic reporting |
| US8694981B2 (en) | 2010-11-17 | 2014-04-08 | Apple Inc. | Shared resource dependencies |
| US9870141B2 (en)* | 2010-11-19 | 2018-01-16 | Microsoft Technology Licensing, Llc | Gesture recognition |
| US20120127120A1 (en)* | 2010-11-22 | 2012-05-24 | Himax Technologies Limited | Touch device and touch position locating method thereof |
| US8797283B2 (en) | 2010-11-22 | 2014-08-05 | Sony Computer Entertainment America Llc | Method and apparatus for performing user-defined macros |
| US9870093B2 (en)* | 2010-11-23 | 2018-01-16 | Ge Aviation Systems Llc | System and method for improving touch screen display use under vibration and turbulence |
| US8816964B2 (en) | 2010-11-26 | 2014-08-26 | Mckesson Financial Holdings | Sensor-augmented, gesture-enabled keyboard and associated apparatus and computer-readable storage medium |
| US8773473B2 (en) | 2010-11-29 | 2014-07-08 | Microsoft Corporation | Instantaneous panning using a groove metaphor |
| GB2485999A (en)* | 2010-11-30 | 2012-06-06 | St Microelectronics Res & Dev | Optical keyboard each key recognising multiple different inputs |
| EP2646894A2 (en)* | 2010-11-30 | 2013-10-09 | Cleankeys Inc. | Dynamically located onscreen keyboard |
| KR101729026B1 (en)* | 2010-12-01 | 2017-04-21 | 엘지전자 주식회사 | Mobile terminal and operation control method thereof |
| US9069452B2 (en) | 2010-12-01 | 2015-06-30 | Apple Inc. | Morphing a user-interface control object |
| US8743062B2 (en) | 2010-12-03 | 2014-06-03 | Apple Inc. | Noise reduction for touch controller |
| US9851849B2 (en) | 2010-12-03 | 2017-12-26 | Apple Inc. | Touch device communication |
| US9310923B2 (en) | 2010-12-03 | 2016-04-12 | Apple Inc. | Input device for touch sensitive devices |
| TWI423093B (en)* | 2010-12-03 | 2014-01-11 | Au Optronics Corp | Method of a touch panel determining multi-touch |
| US8884916B2 (en)* | 2010-12-09 | 2014-11-11 | Synaptics Incorporated | System and method for determining user input using polygons |
| TW201224899A (en)* | 2010-12-14 | 2012-06-16 | xiang-yu Li | Synchronization device for detecting induced electric field as capacitive touch position detection |
| US9268390B2 (en) | 2010-12-14 | 2016-02-23 | Microsoft Technology Licensing, Llc | Human presence detection |
| US20130279756A1 (en)* | 2010-12-16 | 2013-10-24 | Ovadya Menadeva | Computer vision based hand identification |
| US9213405B2 (en) | 2010-12-16 | 2015-12-15 | Microsoft Technology Licensing, Llc | Comprehension and intent-based content for augmented reality displays |
| US8982045B2 (en) | 2010-12-17 | 2015-03-17 | Microsoft Corporation | Using movement of a computing device to enhance interpretation of input events produced when interacting with the computing device |
| US9201539B2 (en) | 2010-12-17 | 2015-12-01 | Microsoft Technology Licensing, Llc | Supplementing a touch input mechanism with fingerprint detection |
| US9244545B2 (en) | 2010-12-17 | 2016-01-26 | Microsoft Technology Licensing, Llc | Touch and stylus discrimination and rejection for contact sensitive computing devices |
| US9104308B2 (en) | 2010-12-17 | 2015-08-11 | The Hong Kong University Of Science And Technology | Multi-touch finger registration and its applications |
| US8988398B2 (en) | 2011-02-11 | 2015-03-24 | Microsoft Corporation | Multi-touch input device with orientation sensing |
| US8994646B2 (en) | 2010-12-17 | 2015-03-31 | Microsoft Corporation | Detecting gestures involving intentional movement of a computing device |
| US8660978B2 (en) | 2010-12-17 | 2014-02-25 | Microsoft Corporation | Detecting and responding to unintentional contact with a computing device |
| US9244606B2 (en) | 2010-12-20 | 2016-01-26 | Apple Inc. | Device, method, and graphical user interface for navigation of concurrently open software applications |
| US20120159395A1 (en) | 2010-12-20 | 2012-06-21 | Microsoft Corporation | Application-launching interface for multiple modes |
| US8804056B2 (en) | 2010-12-22 | 2014-08-12 | Apple Inc. | Integrated touch screens |
| US8593450B2 (en) | 2010-12-22 | 2013-11-26 | Apple Inc. | Relay driving of conductive segments in displays |
| US20120162121A1 (en) | 2010-12-22 | 2012-06-28 | Shih Chang Chang | Slew rate and shunting control separation |
| US8689123B2 (en) | 2010-12-23 | 2014-04-01 | Microsoft Corporation | Application reporting in an application-selectable user interface |
| US8612874B2 (en) | 2010-12-23 | 2013-12-17 | Microsoft Corporation | Presenting an application change through a tile |
| US20120161791A1 (en)* | 2010-12-28 | 2012-06-28 | Synaptics Incorporated | Methods and apparatus for determining input objects associated with proximity events |
| KR101768052B1 (en)* | 2010-12-29 | 2017-08-16 | 삼성디스플레이 주식회사 | Touch Screen Panel and Drinving Method thereof |
| US9354804B2 (en) | 2010-12-29 | 2016-05-31 | Microsoft Technology Licensing, Llc | Touch event anticipation in a computing device |
| US8543833B2 (en) | 2010-12-29 | 2013-09-24 | Microsoft Corporation | User identification with biokinematic input |
| US9052758B2 (en)* | 2010-12-31 | 2015-06-09 | Blackberry Limited | System and method for detecting accidental peripheral device disconnection |
| TWI443560B (en)* | 2011-01-04 | 2014-07-01 | Raydium Semiconductor Corp | Touch sensing apparatus |
| US9015641B2 (en) | 2011-01-06 | 2015-04-21 | Blackberry Limited | Electronic device and method of providing visual notification of a received communication |
| US9471145B2 (en) | 2011-01-06 | 2016-10-18 | Blackberry Limited | Electronic device and method of displaying information in response to a gesture |
| US9465440B2 (en) | 2011-01-06 | 2016-10-11 | Blackberry Limited | Electronic device and method of displaying information in response to a gesture |
| US9766718B2 (en) | 2011-02-28 | 2017-09-19 | Blackberry Limited | Electronic device and method of displaying information in response to input |
| US9423878B2 (en) | 2011-01-06 | 2016-08-23 | Blackberry Limited | Electronic device and method of displaying information in response to a gesture |
| US9477311B2 (en) | 2011-01-06 | 2016-10-25 | Blackberry Limited | Electronic device and method of displaying information in response to a gesture |
| US20120176341A1 (en)* | 2011-01-11 | 2012-07-12 | Texas Instruments Incorporated | Method and apparatus for camera projector system for enabling an interactive surface |
| US8717381B2 (en) | 2011-01-11 | 2014-05-06 | Apple Inc. | Gesture mapping for image filter input parameters |
| US8907903B2 (en) | 2011-01-13 | 2014-12-09 | Sony Computer Entertainment America Llc | Handing control of an object from one touch input to another touch input |
| US9501217B2 (en) | 2011-01-14 | 2016-11-22 | Apple Inc. | Target region for removing icons from dock |
| US9310916B2 (en) | 2011-01-14 | 2016-04-12 | Apple Inc. | Display to touch crosstalk compensation |
| US20120185805A1 (en) | 2011-01-14 | 2012-07-19 | Apple Inc. | Presenting Visual Indicators of Hidden Objects |
| WO2012098469A2 (en) | 2011-01-20 | 2012-07-26 | Cleankeys Inc. | Systems and methods for monitoring surface sanitation |
| US8788978B2 (en) | 2011-01-21 | 2014-07-22 | Dell Products, Lp | Pinch zoom velocity detent |
| US9092132B2 (en) | 2011-01-24 | 2015-07-28 | Apple Inc. | Device, method, and graphical user interface with a dynamic gesture disambiguation threshold |
| US8988087B2 (en) | 2011-01-24 | 2015-03-24 | Microsoft Technology Licensing, Llc | Touchscreen testing |
| US9965094B2 (en) | 2011-01-24 | 2018-05-08 | Microsoft Technology Licensing, Llc | Contact geometry tests |
| FR2971066B1 (en) | 2011-01-31 | 2013-08-23 | Nanotec Solution | THREE-DIMENSIONAL MAN-MACHINE INTERFACE. |
| TW201234242A (en)* | 2011-02-01 | 2012-08-16 | Weltrend Semiconductor Inc | Method for detecting a touch point on a touch sensing device and device thereof |
| US8847919B2 (en) | 2011-02-02 | 2014-09-30 | Apple Inc. | Interactive holographic display device |
| FR2971346A1 (en)* | 2011-02-03 | 2012-08-10 | Stantum | METHOD AND DEVICE FOR ACQUIRING DATA OF A MULTICONTACT MATRIX TOUCH SENSOR |
| US9201185B2 (en) | 2011-02-04 | 2015-12-01 | Microsoft Technology Licensing, Llc | Directional backlighting for display panels |
| KR101873787B1 (en) | 2011-02-10 | 2018-07-03 | 삼성전자주식회사 | Method for processing multi-touch input in touch screen terminal and device thereof |
| TWI433451B (en)* | 2011-02-10 | 2014-04-01 | Raydium Semiconductor Corp | Touch sensing apparatus |
| US9201520B2 (en) | 2011-02-11 | 2015-12-01 | Microsoft Technology Licensing, Llc | Motion and context sharing for pen-based computing inputs |
| US9542092B2 (en)* | 2011-02-12 | 2017-01-10 | Microsoft Technology Licensing, Llc | Prediction-based touch contact tracking |
| US8982061B2 (en) | 2011-02-12 | 2015-03-17 | Microsoft Technology Licensing, Llc | Angular contact geometry |
| EP2676182B1 (en) | 2011-02-15 | 2018-03-28 | Microsoft Technology Licensing, LLC | Tracking input to a multi-touch digitizer system |
| US20120204577A1 (en) | 2011-02-16 | 2012-08-16 | Ludwig Lester F | Flexible modular hierarchical adaptively controlled electronic-system cooling and energy harvesting for IC chip packaging, printed circuit boards, subsystems, cages, racks, IT rooms, and data centers using quantum and classical thermoelectric materials |
| JP5599741B2 (en)* | 2011-02-21 | 2014-10-01 | シャープ株式会社 | Electronic device, content display method, and content display program |
| US10152192B2 (en) | 2011-02-21 | 2018-12-11 | Apple Inc. | Scaling application windows in one or more workspaces in a user interface |
| US8716932B2 (en) | 2011-02-28 | 2014-05-06 | Apple Inc. | Displays with minimized borders |
| US9547428B2 (en) | 2011-03-01 | 2017-01-17 | Apple Inc. | System and method for touchscreen knob control |
| US9182789B2 (en) | 2011-03-01 | 2015-11-10 | Apple Inc. | Transparent electronic device components with opaque edge coverings |
| US8842120B2 (en) | 2011-03-02 | 2014-09-23 | Adobe Systems Incorporated | Physics rules based animation engine |
| CN102654818B (en)* | 2011-03-03 | 2016-03-30 | 汉王科技股份有限公司 | A kind of keyboard display method of touch-screen electronic equipment and device |
| US10761358B2 (en) | 2011-03-03 | 2020-09-01 | Apple Inc. | Display screen shield line system |
| US8773377B2 (en)* | 2011-03-04 | 2014-07-08 | Microsoft Corporation | Multi-pass touch contact tracking |
| US9442652B2 (en) | 2011-03-07 | 2016-09-13 | Lester F. Ludwig | General user interface gesture lexicon and grammar frameworks for multi-touch, high dimensional touch pad (HDTP), free-space camera, and other user interfaces |
| US9317158B2 (en) | 2011-03-08 | 2016-04-19 | Synaptics Incorporated | Baseline management for input devices |
| KR101348696B1 (en)* | 2011-03-09 | 2014-01-08 | 채상우 | Touch Screen Apparatus based Touch Pattern and Control Method thereof |
| US10007402B2 (en) | 2011-03-09 | 2018-06-26 | Apple Inc. | System and method for displaying content |
| US8638316B2 (en)* | 2011-03-11 | 2014-01-28 | Cypress Semiconductor Corporation | Two prong capacitive sensor pattern |
| US9134899B2 (en) | 2011-03-14 | 2015-09-15 | Microsoft Technology Licensing, Llc | Touch gesture indicating a scroll on a touch-sensitive display in a single direction |
| US9725359B2 (en) | 2011-03-16 | 2017-08-08 | Apple Inc. | Electronic device having selectively strengthened glass |
| US10781135B2 (en) | 2011-03-16 | 2020-09-22 | Apple Inc. | Strengthening variable thickness glass |
| US8982069B2 (en) | 2011-03-17 | 2015-03-17 | Intellitact Llc | Keyboard with integrated touch surface |
| US9857868B2 (en) | 2011-03-19 | 2018-01-02 | The Board Of Trustees Of The Leland Stanford Junior University | Method and system for ergonomic touch-free interface |
| US8479110B2 (en) | 2011-03-20 | 2013-07-02 | William J. Johnson | System and method for summoning user interface objects |
| US9178970B2 (en) | 2011-03-21 | 2015-11-03 | Apple Inc. | Electronic devices with convex displays |
| US8816977B2 (en) | 2011-03-21 | 2014-08-26 | Apple Inc. | Electronic devices with flexible displays |
| US9866660B2 (en) | 2011-03-21 | 2018-01-09 | Apple Inc. | Electronic devices with concave displays |
| US9262612B2 (en) | 2011-03-21 | 2016-02-16 | Apple Inc. | Device access using voice authentication |
| US20140173717A1 (en)* | 2011-03-21 | 2014-06-19 | Assa Abloy Ab | System and method of secure data entry |
| US8593421B2 (en)* | 2011-03-22 | 2013-11-26 | Adobe Systems Incorporated | Local coordinate frame user interface for multitouch-enabled devices |
| US8553001B2 (en)* | 2011-03-22 | 2013-10-08 | Adobe Systems Incorporated | Methods and apparatus for determining local coordinate frames for a human hand |
| WO2012128916A2 (en) | 2011-03-24 | 2012-09-27 | AYaH, LLC | Method for generating a human likeness score |
| US8766936B2 (en) | 2011-03-25 | 2014-07-01 | Honeywell International Inc. | Touch screen and method for providing stable touches |
| CN102156575B (en)* | 2011-03-28 | 2012-11-28 | 华映视讯(吴江)有限公司 | Three-dimensional touch display device and touch input method thereof |
| US20120249430A1 (en)* | 2011-03-31 | 2012-10-04 | Oster David Phillip | Multi-Touch Screen Recognition of Interactive Objects, and Application Thereof |
| CN102736820A (en)* | 2011-04-01 | 2012-10-17 | 国基电子(上海)有限公司 | Ebook |
| US9268441B2 (en) | 2011-04-05 | 2016-02-23 | Parade Technologies, Ltd. | Active integrator for a capacitive sense array |
| US9450759B2 (en) | 2011-04-05 | 2016-09-20 | Apple Inc. | Apparatus and methods for controlling distribution of electronic access clients |
| US20120256860A1 (en)* | 2011-04-05 | 2012-10-11 | James Robert Justice | Directional Finger Recognition Authoring |
| US9430145B2 (en)* | 2011-04-06 | 2016-08-30 | Samsung Electronics Co., Ltd. | Dynamic text input using on and above surface sensing of hands and fingers |
| JP5716502B2 (en)* | 2011-04-06 | 2015-05-13 | ソニー株式会社 | Information processing apparatus, information processing method, and computer program |
| JP5689014B2 (en) | 2011-04-07 | 2015-03-25 | 任天堂株式会社 | Input system, information processing apparatus, information processing program, and three-dimensional position calculation method |
| US9298363B2 (en) | 2011-04-11 | 2016-03-29 | Apple Inc. | Region activation for touch sensitive surface |
| US9116583B1 (en)* | 2011-04-13 | 2015-08-25 | Google Inc. | Dampening thumb movement on a touch-sensitive input device |
| CA2832974C (en)* | 2011-04-13 | 2018-01-23 | Google Inc. | Click disambiguation on a touch-sensitive input device |
| US20150253874A1 (en)* | 2011-04-14 | 2015-09-10 | Google Inc. | Touch pad palm detection |
| US9448713B2 (en)* | 2011-04-22 | 2016-09-20 | Immersion Corporation | Electro-vibrotactile display |
| US8840466B2 (en) | 2011-04-25 | 2014-09-23 | Aquifi, Inc. | Method and system to create three-dimensional mapping in a two-dimensional game |
| US9128666B2 (en) | 2011-05-04 | 2015-09-08 | Apple Inc. | Housing for portable electronic device with reduced border region |
| US9063704B2 (en)* | 2011-05-05 | 2015-06-23 | Net Power And Light, Inc. | Identifying gestures using multiple sensors |
| WO2012154600A1 (en) | 2011-05-06 | 2012-11-15 | Apple Inc. | Methods and apparatus for providing management capabilities for access control clients |
| RU2611977C2 (en) | 2011-05-09 | 2017-03-01 | Конинклейке Филипс Н.В. | Rotating object on screen |
| KR101199618B1 (en) | 2011-05-11 | 2012-11-08 | 주식회사 케이티테크 | Apparatus and Method for Screen Split Displaying |
| JP5485220B2 (en)* | 2011-05-13 | 2014-05-07 | 株式会社Nttドコモ | Display device, user interface method and program |
| TWI478041B (en)* | 2011-05-17 | 2015-03-21 | Elan Microelectronics Corp | Method of identifying palm area of a touch panel and a updating method thereof |
| US8725396B2 (en) | 2011-05-18 | 2014-05-13 | Pelmorex Canada Inc. | System for providing traffic data and driving efficiency data |
| US8786561B2 (en) | 2011-05-18 | 2014-07-22 | Microsoft Corporation | Disambiguating intentional and incidental contact and motion in multi-touch pointing devices |
| US9319036B2 (en) | 2011-05-20 | 2016-04-19 | Apple Inc. | Gate signal adjustment circuit |
| US8971924B2 (en) | 2011-05-23 | 2015-03-03 | Apple Inc. | Identifying and locating users on a mobile network |
| US10715380B2 (en) | 2011-05-23 | 2020-07-14 | Apple Inc. | Setting a reminder that is triggered by a target user device |
| US20120299837A1 (en)* | 2011-05-24 | 2012-11-29 | Microsoft Corporation | Identifying contacts and contact attributes in touch sensor data using spatial and temporal features |
| WO2012161700A1 (en) | 2011-05-24 | 2012-11-29 | Apple Inc. | Offsetting multiple coupling effects in display screens |
| US8593491B2 (en) | 2011-05-24 | 2013-11-26 | Apple Inc. | Application of voltage to data lines during Vcom toggling |
| US9183799B2 (en) | 2011-05-24 | 2015-11-10 | Apple Inc. | Additional application of voltage during a write sequence |
| WO2012161698A1 (en) | 2011-05-24 | 2012-11-29 | Apple Inc. | Changing display artifacts across frames |
| WO2012161704A1 (en) | 2011-05-24 | 2012-11-29 | Apple Inc. | Scanning orders in inversion schemes of displays |
| US8717345B2 (en) | 2011-05-24 | 2014-05-06 | Apple Inc. | Pre-charging of sub-pixels |
| US8648845B2 (en) | 2011-05-24 | 2014-02-11 | Apple Inc. | Writing data to sub-pixels using different write sequences |
| US10078755B2 (en) | 2011-05-27 | 2018-09-18 | Apple Inc. | Private and public applications |
| US9104440B2 (en) | 2011-05-27 | 2015-08-11 | Microsoft Technology Licensing, Llc | Multi-application environment |
| US8893033B2 (en) | 2011-05-27 | 2014-11-18 | Microsoft Corporation | Application notifications |
| US9158445B2 (en) | 2011-05-27 | 2015-10-13 | Microsoft Technology Licensing, Llc | Managing an immersive interface in a multi-application immersive environment |
| US9658766B2 (en) | 2011-05-27 | 2017-05-23 | Microsoft Technology Licensing, Llc | Edge gesture |
| US9104307B2 (en) | 2011-05-27 | 2015-08-11 | Microsoft Technology Licensing, Llc | Multi-application environment |
| US9032338B2 (en) | 2011-05-30 | 2015-05-12 | Apple Inc. | Devices, methods, and graphical user interfaces for navigating and editing text |
| SE1150505A1 (en) | 2011-05-31 | 2012-12-01 | Mobile Imaging In Sweden Ab | Method and apparatus for taking pictures |
| US8677232B2 (en) | 2011-05-31 | 2014-03-18 | Apple Inc. | Devices, methods, and graphical user interfaces for document manipulation |
| US20120311476A1 (en)* | 2011-06-02 | 2012-12-06 | Alan Stirling Campbell | System and method for providing an adaptive touch screen keyboard |
| JP5772242B2 (en)* | 2011-06-03 | 2015-09-02 | ソニー株式会社 | Measuring apparatus, measuring method, program, and information processing apparatus |
| US10057736B2 (en) | 2011-06-03 | 2018-08-21 | Apple Inc. | Active transport based notifications |
| JP2014520283A (en) | 2011-06-03 | 2014-08-21 | アップル インコーポレイテッド | System and method for printing maps and instructions |
| EP3770558A1 (en) | 2011-06-03 | 2021-01-27 | Apple Inc. | Devices and methods for comparing and selecting alternative navigation routes |
| US20120311504A1 (en) | 2011-06-03 | 2012-12-06 | Van Os Marcel | Extensible architecture for navigating a hierarchy |
| US20120309510A1 (en) | 2011-06-03 | 2012-12-06 | Taylor Nathan D | Personalized information for a non-acquired asset |
| US8854491B2 (en) | 2011-06-05 | 2014-10-07 | Apple Inc. | Metadata-assisted image filters |
| JP5802830B2 (en) | 2011-06-05 | 2015-11-04 | アップル インコーポレイテッド | System and method for displaying notifications received from multiple applications |
| US8638385B2 (en) | 2011-06-05 | 2014-01-28 | Apple Inc. | Device, method, and graphical user interface for accessing an application in a locked device |
| US9077343B2 (en)* | 2011-06-06 | 2015-07-07 | Microsoft Corporation | Sensing floor for locating people and devices |
| WO2012170410A1 (en)* | 2011-06-06 | 2012-12-13 | Intellitact Llc | Keyboard with integrated touch surface |
| US8928336B2 (en) | 2011-06-09 | 2015-01-06 | Ford Global Technologies, Llc | Proximity switch having sensitivity control and method therefor |
| US8975903B2 (en)* | 2011-06-09 | 2015-03-10 | Ford Global Technologies, Llc | Proximity switch having learned sensitivity and method therefor |
| KR101824388B1 (en)* | 2011-06-10 | 2018-02-01 | 삼성전자주식회사 | Apparatus and method for providing dynamic user interface in consideration of physical characteristics of user |
| KR20120136900A (en)* | 2011-06-10 | 2012-12-20 | 삼성전자주식회사 | Apparatus and method for inputting braille in device with touch screen |
| US8959459B2 (en) | 2011-06-15 | 2015-02-17 | Wms Gaming Inc. | Gesture sensing enhancement system for a wagering game |
| FR2976688B1 (en) | 2011-06-16 | 2021-04-23 | Nanotec Solution | DEVICE AND METHOD FOR GENERATING AN ELECTRICAL POWER SUPPLY IN AN ELECTRONIC SYSTEM WITH A VARIABLE REFERENCE POTENTIAL. |
| JP5857465B2 (en)* | 2011-06-16 | 2016-02-10 | ソニー株式会社 | Information processing apparatus, information processing method, and program |
| US8958028B2 (en) | 2011-06-17 | 2015-02-17 | Apple Inc. | Protective film patterning |
| US8711570B2 (en) | 2011-06-21 | 2014-04-29 | Apple Inc. | Flexible circuit routing |
| JP2014515147A (en)* | 2011-06-21 | 2014-06-26 | エンパイア テクノロジー ディベロップメント エルエルシー | Gesture-based user interface for augmented reality |
| US9329703B2 (en) | 2011-06-22 | 2016-05-03 | Apple Inc. | Intelligent stylus |
| US8902192B2 (en) | 2011-06-22 | 2014-12-02 | Sharp Kabushiki Kaisha | Touch panel system and electronic device |
| US8638320B2 (en) | 2011-06-22 | 2014-01-28 | Apple Inc. | Stylus orientation detection |
| EP2724214B1 (en) | 2011-06-22 | 2018-09-19 | Sharp Kabushiki Kaisha | Touch panel system and electronic device |
| US9465492B2 (en) | 2011-06-22 | 2016-10-11 | Sharp Kabushiki Kaisha | Touch panel system and electronic device |
| US9013448B2 (en) | 2011-06-22 | 2015-04-21 | Sharp Kabushiki Kaisha | Touch panel system and electronic device |
| US8928635B2 (en) | 2011-06-22 | 2015-01-06 | Apple Inc. | Active stylus |
| JP5384598B2 (en) | 2011-09-09 | 2014-01-08 | シャープ株式会社 | Capacitive touch sensor panel, capacitive touch sensor system using the same, and information input / output device |
| JP5350437B2 (en) | 2011-06-27 | 2013-11-27 | シャープ株式会社 | Touch sensor system |
| JP5539269B2 (en) | 2011-06-27 | 2014-07-02 | シャープ株式会社 | Capacitance value distribution detection method, capacitance value distribution detection circuit, touch sensor system, and information input / output device |
| US8988628B2 (en) | 2011-06-23 | 2015-03-24 | Apple Inc. | Coated chassis for liquid crystal display |
| US8206047B1 (en) | 2011-06-24 | 2012-06-26 | TouchFire, Inc. | Keyboard overlay for optimal touch typing on a proximity-based touch screen |
| KR101304195B1 (en)* | 2011-06-24 | 2013-09-05 | 주식회사 하이딥 | Capacitance sensor with improved noise filtering chracteristics, method and computer-readable recording medium for noise filtering of capacitance sensor |
| US20130002602A1 (en)* | 2011-06-28 | 2013-01-03 | Suzana Apelbaum | Systems And Methods For Touch Screen Image Capture And Display |
| US8605873B2 (en) | 2011-06-28 | 2013-12-10 | Lifesize Communications, Inc. | Accessing settings of a videoconference using touch-based gestures |
| US9204094B2 (en) | 2011-06-28 | 2015-12-01 | Lifesize Communications, Inc. | Adjusting volume of a videoconference using touch-based gestures |
| US8605872B2 (en) | 2011-06-28 | 2013-12-10 | Lifesize Communications, Inc. | Muting a videoconference using touch-based gestures |
| US9411442B2 (en) | 2011-06-29 | 2016-08-09 | Google Technology Holdings LLC | Electronic device having managed input components |
| WO2013001920A1 (en) | 2011-06-29 | 2013-01-03 | Sharp Kabushiki Kaisha | Touch sensor system and electronic device |
| US8890823B2 (en) | 2012-01-09 | 2014-11-18 | Motorola Mobility Llc | System and method for reducing occurrences of unintended operations in an electronic device |
| US8194036B1 (en) | 2011-06-29 | 2012-06-05 | Google Inc. | Systems and methods for controlling a cursor on a display using a trackpad input device |
| US8630963B2 (en) | 2011-07-01 | 2014-01-14 | Intel Corporation | Automatic user identification from button presses recorded in a feature vector |
| RU2455676C2 (en)* | 2011-07-04 | 2012-07-10 | Общество с ограниченной ответственностью "ТРИДИВИ" | Method of controlling device using gestures and 3d sensor for realising said method |
| US8754861B2 (en)* | 2011-07-06 | 2014-06-17 | Google Inc. | Touch-screen keyboard facilitating touch typing with minimal finger movement |
| US8787016B2 (en) | 2011-07-06 | 2014-07-22 | Apple Inc. | Flexible display devices |
| US8547360B2 (en) | 2011-07-08 | 2013-10-01 | National Semiconductor Corporation | Capacitive touch screen sensing and electric field sensing for mobile devices and other devices |
| US9158455B2 (en) | 2011-07-12 | 2015-10-13 | Apple Inc. | Multifunctional environment for image cropping |
| US8913019B2 (en) | 2011-07-14 | 2014-12-16 | Microsoft Corporation | Multi-finger detection and component resolution |
| US8854064B2 (en) | 2011-07-15 | 2014-10-07 | Texas Instruments Incorporated | Touch sensing method and apparatus |
| US9432583B2 (en) | 2011-07-15 | 2016-08-30 | Mobile Imaging In Sweden Ab | Method of providing an adjusted digital image representation of a view, and an apparatus |
| US8199126B1 (en) | 2011-07-18 | 2012-06-12 | Google Inc. | Use of potential-touch detection to improve responsiveness of devices |
| US9400576B2 (en) | 2011-07-19 | 2016-07-26 | Apple Inc. | Touch sensor arrangements for organic light-emitting diode displays |
| EP2549366B1 (en)* | 2011-07-21 | 2017-05-10 | BlackBerry Limited | Touch-sensitive electronic device and method of controlling same |
| US8994670B2 (en) | 2011-07-21 | 2015-03-31 | Blackberry Limited | Electronic device having touch-sensitive display and method of controlling same to identify touches on the touch-sensitive display |
| CN102902385B (en)* | 2011-07-25 | 2016-03-09 | 联咏科技股份有限公司 | Convergent-divergent gesture judging method and touch-control sensing control chip |
| US8337216B1 (en) | 2011-07-26 | 2012-12-25 | Apple Inc. | Touch sensor back plane ground connection |
| US8782525B2 (en) | 2011-07-28 | 2014-07-15 | National Insturments Corporation | Displaying physical signal routing in a diagram of a system |
| US9047007B2 (en) | 2011-07-28 | 2015-06-02 | National Instruments Corporation | Semantic zoom within a diagram of a system |
| US8869073B2 (en)* | 2011-07-28 | 2014-10-21 | Hewlett-Packard Development Company, L.P. | Hand pose interaction |
| CN102902394A (en)* | 2011-07-28 | 2013-01-30 | 宸鸿科技(厦门)有限公司 | Touch panel and detecting method thereof |
| US8713482B2 (en) | 2011-07-28 | 2014-04-29 | National Instruments Corporation | Gestures for presentation of different views of a system diagram |
| US9417754B2 (en)* | 2011-08-05 | 2016-08-16 | P4tents1, LLC | User interface system, method, and computer program product |
| US10004286B2 (en) | 2011-08-08 | 2018-06-26 | Ford Global Technologies, Llc | Glove having conductive ink and method of interacting with proximity sensor |
| US9086769B2 (en)* | 2011-08-09 | 2015-07-21 | Cirque Corporation | High resolution non-ghosted gestures |
| AU2011205223C1 (en) | 2011-08-09 | 2013-03-28 | Microsoft Technology Licensing, Llc | Physical interaction with virtual objects for DRM |
| US9052772B2 (en) | 2011-08-10 | 2015-06-09 | Lester F. Ludwig | Heuristics for 3D and 6D touch gesture touch parameter calculations for high-dimensional touch parameter (HDTP) user interfaces |
| FR2979025A1 (en) | 2011-08-12 | 2013-02-15 | Stantum | METHOD OF CHARACTERIZING TOUCH ON A TOUCH SCREEN |
| US8971572B1 (en) | 2011-08-12 | 2015-03-03 | The Research Foundation For The State University Of New York | Hand pointing estimation for human computer interaction |
| US10019962B2 (en) | 2011-08-17 | 2018-07-10 | Microsoft Technology Licensing, Llc | Context adaptive user interface for augmented reality display |
| US9153195B2 (en) | 2011-08-17 | 2015-10-06 | Microsoft Technology Licensing, Llc | Providing contextual personal information by a mixed reality device |
| WO2013028908A1 (en) | 2011-08-24 | 2013-02-28 | Microsoft Corporation | Touch and social cues as inputs into a computer |
| JP5516535B2 (en) | 2011-08-25 | 2014-06-11 | コニカミノルタ株式会社 | Electronic information terminal and area setting control program |
| US8806369B2 (en) | 2011-08-26 | 2014-08-12 | Apple Inc. | Device, method, and graphical user interface for managing and interacting with concurrently open software applications |
| US8994660B2 (en) | 2011-08-29 | 2015-03-31 | Apple Inc. | Text correction processing |
| TWI456448B (en)* | 2011-08-30 | 2014-10-11 | Pixart Imaging Inc | Touch system with track detecting function and method thereof |
| CN102654948B (en)* | 2011-08-30 | 2014-04-16 | 京东方科技集团股份有限公司 | Display panel for blind and manufacturing method of display panel, blind display device |
| US20130057587A1 (en) | 2011-09-01 | 2013-03-07 | Microsoft Corporation | Arranging tiles |
| US8804347B2 (en) | 2011-09-09 | 2014-08-12 | Apple Inc. | Reducing the border area of a device |
| US9244215B2 (en) | 2011-09-09 | 2016-01-26 | Apple Inc. | Chassis for display backlight |
| US9378389B2 (en) | 2011-09-09 | 2016-06-28 | Microsoft Technology Licensing, Llc | Shared item account selection |
| US9146670B2 (en) | 2011-09-10 | 2015-09-29 | Microsoft Technology Licensing, Llc | Progressively indicating new content in an application-selectable user interface |
| US9158143B2 (en) | 2011-09-12 | 2015-10-13 | Apple Inc. | Dual purpose touch sensor panel and optical retarder |
| US8608896B2 (en) | 2011-09-13 | 2013-12-17 | Apple Inc. | Liquid adhesive lamination for precision adhesive control |
| US9454239B2 (en) | 2011-09-14 | 2016-09-27 | Apple Inc. | Enabling touch events on a touch sensitive mechanical keyboard |
| US9785251B2 (en) | 2011-09-14 | 2017-10-10 | Apple Inc. | Actuation lock for a touch sensitive mechanical keyboard |
| US9041652B2 (en) | 2011-09-14 | 2015-05-26 | Apple Inc. | Fusion keyboard |
| US8875652B2 (en) | 2011-09-14 | 2014-11-04 | Apple Inc. | Liquid adhesive boundary control |
| US9746967B2 (en) | 2011-09-15 | 2017-08-29 | Apple Inc. | Concurrent touch and negative pixel scan |
| US9436315B2 (en) | 2011-09-15 | 2016-09-06 | Apple Inc. | Noise rejection circuit for touch sensitive display |
| US9944554B2 (en) | 2011-09-15 | 2018-04-17 | Apple Inc. | Perforated mother sheet for partial edge chemical strengthening and method therefor |
| CN102541381B (en)* | 2011-09-16 | 2014-08-27 | 骏升科技(中国)有限公司 | Processing method for implementation of capacitive touchpad high-resolution output on low-end single-chip microcomputer |
| US9507454B1 (en)* | 2011-09-19 | 2016-11-29 | Parade Technologies, Ltd. | Enhanced linearity of gestures on a touch-sensitive surface |
| US9164648B2 (en) | 2011-09-21 | 2015-10-20 | Sony Corporation | Method and apparatus for establishing user-specific windows on a multi-user interactive table |
| US9143126B2 (en) | 2011-09-22 | 2015-09-22 | Ford Global Technologies, Llc | Proximity switch having lockout control for controlling movable panel |
| US9360961B2 (en)* | 2011-09-22 | 2016-06-07 | Parade Technologies, Ltd. | Methods and apparatus to associate a detected presence of a conductive object |
| US8629849B2 (en)* | 2011-09-23 | 2014-01-14 | Ebay Inc. | Spurious input detection system |
| US9268427B2 (en) | 2011-09-23 | 2016-02-23 | Apple Inc. | Multi-mode voltages for touchscreens |
| US8988384B2 (en) | 2011-09-23 | 2015-03-24 | Apple Inc. | Force sensor interface for touch controller |
| US9760195B2 (en) | 2011-09-23 | 2017-09-12 | Apple Inc. | Power management for integrated touch screens |
| US8723824B2 (en) | 2011-09-27 | 2014-05-13 | Apple Inc. | Electronic devices with sidewall displays |
| US10031641B2 (en) | 2011-09-27 | 2018-07-24 | Adobe Systems Incorporated | Ordering of objects displayed by a computing device |
| WO2013048394A1 (en)* | 2011-09-28 | 2013-04-04 | Empire Technology Development Llc | Differentiating inputs of a display device |
| US9516149B2 (en) | 2011-09-29 | 2016-12-06 | Apple Inc. | Multi-layer transparent structures for electronic device housings |
| US9002322B2 (en) | 2011-09-29 | 2015-04-07 | Apple Inc. | Authentication with secondary approver |
| US20130082974A1 (en) | 2011-09-30 | 2013-04-04 | Apple Inc. | Quick Access User Interface |
| US9098242B2 (en) | 2011-09-30 | 2015-08-04 | Apple Inc. | Electronic devices with cover layers mounted to displays |
| US8929085B2 (en) | 2011-09-30 | 2015-01-06 | Apple Inc. | Flexible electronic devices |
| US10088863B2 (en) | 2011-09-30 | 2018-10-02 | Apple Inc. | Electronic devices with cover layers mounted to displays |
| JP5898447B2 (en)* | 2011-10-03 | 2016-04-06 | ローム株式会社 | Touch-type input device, its controller, and electronic device |
| US10261370B2 (en) | 2011-10-05 | 2019-04-16 | Apple Inc. | Displays with minimized border regions having an apertured TFT layer for signal conductors |
| KR101239880B1 (en)* | 2011-10-05 | 2013-03-06 | (주)멜파스 | Touch sensing apparatus and method |
| US20130088434A1 (en)* | 2011-10-06 | 2013-04-11 | Sony Ericsson Mobile Communications Ab | Accessory to improve user experience with an electronic display |
| TW201333787A (en)* | 2011-10-11 | 2013-08-16 | Flatfrog Lab Ab | Improved multi-touch detection in a touch system |
| JP6028320B2 (en)* | 2011-10-12 | 2016-11-16 | 富士ゼロックス株式会社 | Contact detection device, recording display device, and program |
| US8810544B2 (en) | 2011-10-13 | 2014-08-19 | Himax Technologies Limited | Touch sensing method and electronic apparatus using the same |
| US9099010B2 (en) | 2011-10-14 | 2015-08-04 | Apple Inc. | Content authoring application |
| US8810535B2 (en) | 2011-10-18 | 2014-08-19 | Blackberry Limited | Electronic device and method of controlling same |
| EP2584441A1 (en)* | 2011-10-18 | 2013-04-24 | Research In Motion Limited | Electronic device and method of controlling same |
| KR102027601B1 (en) | 2011-10-18 | 2019-10-01 | 카네기 멜론 유니버시티 | Method and apparatus for classifying touch events on a touch sensitive surface |
| US9658715B2 (en) | 2011-10-20 | 2017-05-23 | Microsoft Technology Licensing, Llc | Display mapping modes for multi-pointer indirect input devices |
| US9274642B2 (en) | 2011-10-20 | 2016-03-01 | Microsoft Technology Licensing, Llc | Acceleration-based interaction for multi-pointer indirect input devices |
| US9259904B2 (en) | 2011-10-20 | 2016-02-16 | Apple Inc. | Opaque thin film passivation |
| EP2587347A3 (en)* | 2011-10-25 | 2016-01-20 | Broadcom Corporation | Portable computing device including a three-dimensional touch screen |
| JP5389888B2 (en) | 2011-10-25 | 2014-01-15 | シャープ株式会社 | Touch panel system and electronic device |
| US9042132B2 (en) | 2011-10-25 | 2015-05-26 | Apple Inc. | Noise suppression circuit for power adapter |
| US8933896B2 (en) | 2011-10-25 | 2015-01-13 | Microsoft Corporation | Pressure-based interaction for indirect touch input devices |
| US8750852B2 (en)* | 2011-10-27 | 2014-06-10 | Qualcomm Incorporated | Controlling access to a mobile device |
| US9286826B2 (en) | 2011-10-28 | 2016-03-15 | Apple Inc. | Display with vias for concealed printed circuit and component attachment |
| US9116563B2 (en)* | 2011-10-28 | 2015-08-25 | Honda Motor Co., Ltd. | Connecting touch screen phones in a vehicle |
| TWI463365B (en)* | 2011-11-01 | 2014-12-01 | Himax Tech Ltd | Touch sensing method and electronic apparatus using the same |
| JP5204286B2 (en)* | 2011-11-02 | 2013-06-05 | 株式会社東芝 | Electronic device and input method |
| US8963561B2 (en)* | 2011-11-03 | 2015-02-24 | Atmel Corporation | Randomizing one or more micro-features of a touch sensor |
| US8994228B2 (en) | 2011-11-03 | 2015-03-31 | Ford Global Technologies, Llc | Proximity switch having wrong touch feedback |
| US10112556B2 (en) | 2011-11-03 | 2018-10-30 | Ford Global Technologies, Llc | Proximity switch having wrong touch adaptive learning and method |
| US8878438B2 (en) | 2011-11-04 | 2014-11-04 | Ford Global Technologies, Llc | Lamp and proximity switch assembly and method |
| TW201319921A (en)* | 2011-11-07 | 2013-05-16 | Benq Corp | Method for screen control and method for screen display on a touch screen |
| US9785281B2 (en) | 2011-11-09 | 2017-10-10 | Microsoft Technology Licensing, Llc. | Acoustic touch sensitive testing |
| US9079384B2 (en) | 2011-11-11 | 2015-07-14 | Apple Inc. | Touch sensor panel having an index matching passivation layer |
| JP2013105461A (en)* | 2011-11-16 | 2013-05-30 | Canon Inc | Information processing apparatus and method of controlling the same |
| CN103116424A (en)* | 2011-11-16 | 2013-05-22 | 飞思卡尔半导体公司 | Touch tablet capacitance-type sensor circuit |
| US10144669B2 (en) | 2011-11-21 | 2018-12-04 | Apple Inc. | Self-optimizing chemical strengthening bath for glass |
| US9372593B2 (en) | 2011-11-29 | 2016-06-21 | Apple Inc. | Using a three-dimensional model to render a cursor |
| US9524050B2 (en) | 2011-11-29 | 2016-12-20 | Google Inc. | Disambiguating touch-input based on variation in pressure along a touch-trail |
| US9324183B2 (en) | 2011-11-29 | 2016-04-26 | Apple Inc. | Dynamic graphical interface shadows |
| US8436827B1 (en)* | 2011-11-29 | 2013-05-07 | Google Inc. | Disambiguating touch-input based on variation in characteristic such as speed or pressure along a touch-trail |
| US9389679B2 (en) | 2011-11-30 | 2016-07-12 | Microsoft Technology Licensing, Llc | Application programming interface for a multi-pointer indirect touch input device |
| US9823781B2 (en) | 2011-12-06 | 2017-11-21 | Nri R&D Patent Licensing, Llc | Heterogeneous tactile sensing via multiple sensor types |
| US10430066B2 (en) | 2011-12-06 | 2019-10-01 | Nri R&D Patent Licensing, Llc | Gesteme (gesture primitive) recognition for advanced touch user interfaces |
| US9363441B2 (en) | 2011-12-06 | 2016-06-07 | Musco Corporation | Apparatus, system and method for tracking subject with still or video camera |
| US9195331B2 (en) | 2011-12-06 | 2015-11-24 | Apple Inc. | Common electrode connections in integrated touch screens |
| US8581870B2 (en) | 2011-12-06 | 2013-11-12 | Apple Inc. | Touch-sensitive button with two levels |
| US9462033B2 (en) | 2011-12-07 | 2016-10-04 | Apple Inc. | Proofing electronic publications on portable devices |
| JP5798903B2 (en)* | 2011-12-13 | 2015-10-21 | 日本電信電話株式会社 | Information input system and its program |
| WO2013088555A1 (en)* | 2011-12-15 | 2013-06-20 | 富士通株式会社 | Biometric information processing apparatus, biometric information processing method, and computer program for processing biometric information |
| CH705918A2 (en)* | 2011-12-19 | 2013-06-28 | Ralf Trachte | Field analyzes for flexible computer input. |
| US20130154999A1 (en)* | 2011-12-19 | 2013-06-20 | David Brent GUARD | Multi-Surface Touch Sensor Device With User Action Detection |
| US9230356B2 (en) | 2011-12-20 | 2016-01-05 | Apple Inc. | Document collaboration effects |
| US20130159849A1 (en) | 2011-12-20 | 2013-06-20 | Keng Fai Lee | Jump to Collaborator Cursor |
| US9542366B2 (en) | 2011-12-20 | 2017-01-10 | Apple Inc. | Smart text in document chat |
| JP5296185B2 (en) | 2011-12-21 | 2013-09-25 | シャープ株式会社 | Touch sensor system |
| FR2985048B1 (en) | 2011-12-21 | 2014-08-15 | Nanotec Solution | PRESSURE-SENSITIVE CAPACITIVE MEASUREMENT DEVICE AND METHOD FOR TOUCH-FREE CONTACT INTERFACES |
| KR102145639B1 (en) | 2011-12-22 | 2020-08-19 | 아이씨유 메디칼 인코퍼레이티드 | Fluid transfer devices and methods of use |
| US9298333B2 (en) | 2011-12-22 | 2016-03-29 | Smsc Holdings S.A.R.L. | Gesturing architecture using proximity sensing |
| FR2985049B1 (en) | 2011-12-22 | 2014-01-31 | Nanotec Solution | CAPACITIVE MEASURING DEVICE WITH SWITCHED ELECTRODES FOR TOUCHLESS CONTACTLESS INTERFACES |
| KR101524449B1 (en) | 2011-12-22 | 2015-06-02 | 엘지디스플레이 주식회사 | Liquid crystal display device and Method for manufacturing the same |
| US9361942B2 (en) | 2011-12-22 | 2016-06-07 | Apple Inc. | Playlist configuration and preview |
| KR101940759B1 (en)* | 2011-12-23 | 2019-01-21 | 엘지디스플레이 주식회사 | Driving method of touch screen and liquid crystal display device including the touch screen |
| KR101885216B1 (en)* | 2011-12-30 | 2018-08-30 | 삼성전자주식회사 | Multi touch segmentation method in a touch sensing system |
| TWI457810B (en)* | 2012-01-06 | 2014-10-21 | Elan Microelectronics Corp | Method of detecting floating mode of a touch panel |
| US20130176270A1 (en)* | 2012-01-09 | 2013-07-11 | Broadcom Corporation | Object classification for touch panels |
| US10133156B2 (en) | 2012-01-10 | 2018-11-20 | Apple Inc. | Fused opaque and clear glass for camera or display window |
| US20130176218A1 (en)* | 2012-01-10 | 2013-07-11 | Cywee Group Limited | Pointing Device, Operating Method Thereof and Relative Multimedia Interactive System |
| US10452188B2 (en)* | 2012-01-13 | 2019-10-22 | Microsoft Technology Licensing, Llc | Predictive compensation for a latency of an input device |
| US9213822B2 (en) | 2012-01-20 | 2015-12-15 | Apple Inc. | Device, method, and graphical user interface for accessing an application in a locked device |
| US8631327B2 (en) | 2012-01-25 | 2014-01-14 | Sony Corporation | Balancing loudspeakers for multiple display users |
| US8773848B2 (en) | 2012-01-25 | 2014-07-08 | Apple Inc. | Fused glass device housings |
| WO2013113029A1 (en) | 2012-01-27 | 2013-08-01 | Triangle Software, Llc | Estimating time travel distributions on signalized arterials |
| US8436828B1 (en)* | 2012-01-27 | 2013-05-07 | Google Inc. | Smart touchscreen key activation detection |
| US8914254B2 (en) | 2012-01-31 | 2014-12-16 | Microsoft Corporation | Latency measurement |
| US9083344B2 (en) | 2012-02-01 | 2015-07-14 | Apple Inc. | Touch sensor with integrated signal bus extensions |
| US9395869B2 (en) | 2012-02-02 | 2016-07-19 | Apple Inc. | Global z-order for windows |
| JP5950597B2 (en)* | 2012-02-03 | 2016-07-13 | キヤノン株式会社 | Information processing apparatus and control method thereof |
| US8854433B1 (en) | 2012-02-03 | 2014-10-07 | Aquifi, Inc. | Method and system enabling natural user interface gestures with an electronic system |
| US9477642B2 (en) | 2012-02-05 | 2016-10-25 | Apple Inc. | Gesture-based navigation among content items |
| US8902181B2 (en) | 2012-02-07 | 2014-12-02 | Microsoft Corporation | Multi-touch-movement gestures for tablet computing devices |
| US20130207913A1 (en) | 2012-02-09 | 2013-08-15 | Sony Mobile Communications Inc. | Touch panel device, portable terminal, position detecting method, and recording medium |
| WO2013120851A1 (en) | 2012-02-13 | 2013-08-22 | Mach-3D Sàrl | Method for sharing emotions through the creation of three-dimensional avatars and their interaction through a cloud-based platform |
| US9354748B2 (en) | 2012-02-13 | 2016-05-31 | Microsoft Technology Licensing, Llc | Optical stylus interaction |
| WO2013121649A1 (en) | 2012-02-14 | 2013-08-22 | Necカシオモバイルコミュニケーションズ株式会社 | Information processing device |
| US20130207926A1 (en)* | 2012-02-15 | 2013-08-15 | Viktor Kremin | Stylus to host synchronization |
| US8493354B1 (en) | 2012-08-23 | 2013-07-23 | Immersion Corporation | Interactivity model for shared feedback on mobile devices |
| US8810537B2 (en) | 2012-02-15 | 2014-08-19 | Apple Inc. | Quadrature demodulation for touch sensitive devices |
| US20120223880A1 (en)* | 2012-02-15 | 2012-09-06 | Immersion Corporation | Method and apparatus for producing a dynamic haptic effect |
| US8711118B2 (en) | 2012-02-15 | 2014-04-29 | Immersion Corporation | Interactivity model for shared feedback on mobile devices |
| US9008633B2 (en) | 2012-02-17 | 2015-04-14 | Apple Inc. | Methods to determine availability of user based on mobile phone status |
| US9632612B2 (en) | 2012-02-23 | 2017-04-25 | Parade Technologies, Ltd. | Circuits, systems, and methods for processing the proximity of large objects, including large objects on touch screens |
| CN104641399B (en) | 2012-02-23 | 2018-11-23 | 查尔斯·D·休斯顿 | System and method for creating an environment and for sharing location-based experiences in an environment |
| US10600235B2 (en) | 2012-02-23 | 2020-03-24 | Charles D. Huston | System and method for capturing and sharing a location based experience |
| US10937239B2 (en) | 2012-02-23 | 2021-03-02 | Charles D. Huston | System and method for creating an environment and for sharing an event |
| US8823664B2 (en) | 2012-02-24 | 2014-09-02 | Cypress Semiconductor Corporation | Close touch detection and tracking |
| KR101907463B1 (en) | 2012-02-24 | 2018-10-12 | 삼성전자주식회사 | Composite touch screen and operating method thereof |
| US9081442B2 (en) | 2012-02-27 | 2015-07-14 | Apple Inc. | Split sense lines for negative pixel compensation |
| US8796566B2 (en) | 2012-02-28 | 2014-08-05 | Grayhill, Inc. | Rotary pushbutton and touchpad device and system and method for detecting rotary movement, axial displacement and touchpad gestures |
| US20130222247A1 (en)* | 2012-02-29 | 2013-08-29 | Eric Liu | Virtual keyboard adjustment based on user input offset |
| US9316677B2 (en) | 2012-02-29 | 2016-04-19 | Apple Inc. | Devices and methods for testing flex cable shielding |
| TWI598773B (en)* | 2012-03-01 | 2017-09-11 | A touch input device and method capable of changing cursor moving speed | |
| USRE48963E1 (en) | 2012-03-02 | 2022-03-08 | Microsoft Technology Licensing, Llc | Connection device for computing devices |
| US8873227B2 (en) | 2012-03-02 | 2014-10-28 | Microsoft Corporation | Flexible hinge support layer |
| US9706089B2 (en) | 2012-03-02 | 2017-07-11 | Microsoft Technology Licensing, Llc | Shifted lens camera for mobile computing devices |
| US9426905B2 (en) | 2012-03-02 | 2016-08-23 | Microsoft Technology Licensing, Llc | Connection device for computing devices |
| US9360893B2 (en) | 2012-03-02 | 2016-06-07 | Microsoft Technology Licensing, Llc | Input device writing surface |
| US9075566B2 (en) | 2012-03-02 | 2015-07-07 | Microsoft Technoogy Licensing, LLC | Flexible hinge spine |
| US9298236B2 (en) | 2012-03-02 | 2016-03-29 | Microsoft Technology Licensing, Llc | Multi-stage power adapter configured to provide a first power level upon initial connection of the power adapter to the host device and a second power level thereafter upon notification from the host device to the power adapter |
| US9460029B2 (en) | 2012-03-02 | 2016-10-04 | Microsoft Technology Licensing, Llc | Pressure sensitive keys |
| US9064654B2 (en) | 2012-03-02 | 2015-06-23 | Microsoft Technology Licensing, Llc | Method of manufacturing an input device |
| US9870066B2 (en) | 2012-03-02 | 2018-01-16 | Microsoft Technology Licensing, Llc | Method of manufacturing an input device |
| TWI452511B (en)* | 2012-03-03 | 2014-09-11 | Orise Technology Co Ltd | Low power switching mode driving and sensing method for capacitive touch system |
| US9911550B2 (en) | 2012-03-05 | 2018-03-06 | Apple Inc. | Touch sensitive device with multiple ablation fluence values |
| US9459738B2 (en) | 2012-03-06 | 2016-10-04 | Apple Inc. | Calibration for pressure effects on touch sensor panels |
| US9483461B2 (en) | 2012-03-06 | 2016-11-01 | Apple Inc. | Handling speech synthesis of content for multiple languages |
| TWI447632B (en)* | 2012-03-09 | 2014-08-01 | Orise Technology Co Ltd | Driving frequency selection method for capacitive multi-touch system |
| CN103309469B (en)* | 2012-03-13 | 2016-04-27 | 原相科技股份有限公司 | Displacement detection device and method of operation thereof |
| FR2988175B1 (en) | 2012-03-13 | 2014-04-11 | Nanotec Solution | METHOD FOR CAPACITIVE MEASUREMENT BY NON-REGULAR ELECTRODES, AND APPARATUS IMPLEMENTING SAID METHOD |
| FR2988176B1 (en) | 2012-03-13 | 2014-11-21 | Nanotec Solution | CAPACITIVE MEASUREMENT METHOD BETWEEN AN OBJECT AND AN ELECTRODE PLAN BY PARTIAL SYNCHRONOUS DEMODULATION |
| US8432170B1 (en)* | 2012-03-14 | 2013-04-30 | Cypress Semiconductor Corporation | Integrated capacitance model circuit |
| US8867991B2 (en)* | 2012-03-16 | 2014-10-21 | Qualcomm Incorporated | Use of proximity sensors with near-field communication |
| US9733707B2 (en) | 2012-03-22 | 2017-08-15 | Honeywell International Inc. | Touch screen display user interface and method for improving touch interface utility on the same employing a rules-based masking system |
| US8803831B1 (en) | 2012-03-23 | 2014-08-12 | Google Inc. | Chording sheath for computing device |
| US8760426B1 (en)* | 2012-03-26 | 2014-06-24 | Amazon Technologies, Inc. | Dominant hand detection for computing devices |
| JP6225164B2 (en)* | 2012-03-28 | 2017-11-01 | サーク・コーポレーション | Extraction and position calculation of single and multiple fingers using weighted mask |
| US9274643B2 (en) | 2012-03-30 | 2016-03-01 | Synaptics Incorporated | Capacitive charge measurement |
| US9292197B2 (en)* | 2012-03-30 | 2016-03-22 | Mckesson Financial Holdings | Method, apparatus and computer program product for facilitating the manipulation of medical images |
| CN103365499B (en)* | 2012-04-01 | 2016-06-08 | 联咏科技股份有限公司 | Capacitive touch device and sensing method thereof |
| DE102012103031A1 (en)* | 2012-04-05 | 2013-10-10 | Reis Group Holding Gmbh & Co. Kg | Method for operating an industrial robot |
| US9104260B2 (en) | 2012-04-10 | 2015-08-11 | Typesoft Technologies, Inc. | Systems and methods for detecting a press on a touch-sensitive surface |
| US20130265235A1 (en)* | 2012-04-10 | 2013-10-10 | Google Inc. | Floating navigational controls in a tablet computer |
| JP5663519B2 (en)* | 2012-04-10 | 2015-02-04 | 京セラドキュメントソリューションズ株式会社 | Display input device and image forming apparatus |
| USD730370S1 (en) | 2012-04-10 | 2015-05-26 | Google Inc. | Display screen of a communication terminal with a graphical user interface |
| US20130279769A1 (en) | 2012-04-10 | 2013-10-24 | Picofield Technologies Inc. | Biometric Sensing |
| US9065447B2 (en) | 2012-04-11 | 2015-06-23 | Ford Global Technologies, Llc | Proximity switch assembly and method having adaptive time delay |
| US9520875B2 (en) | 2012-04-11 | 2016-12-13 | Ford Global Technologies, Llc | Pliable proximity switch assembly and activation method |
| US9568527B2 (en) | 2012-04-11 | 2017-02-14 | Ford Global Technologies, Llc | Proximity switch assembly and activation method having virtual button mode |
| US9944237B2 (en) | 2012-04-11 | 2018-04-17 | Ford Global Technologies, Llc | Proximity switch assembly with signal drift rejection and method |
| US20130271487A1 (en)* | 2012-04-11 | 2013-10-17 | Research In Motion Limited | Position lag reduction for computer drawing |
| US9531379B2 (en) | 2012-04-11 | 2016-12-27 | Ford Global Technologies, Llc | Proximity switch assembly having groove between adjacent proximity sensors |
| US9219472B2 (en) | 2012-04-11 | 2015-12-22 | Ford Global Technologies, Llc | Proximity switch assembly and activation method using rate monitoring |
| US9831870B2 (en) | 2012-04-11 | 2017-11-28 | Ford Global Technologies, Llc | Proximity switch assembly and method of tuning same |
| US9287864B2 (en) | 2012-04-11 | 2016-03-15 | Ford Global Technologies, Llc | Proximity switch assembly and calibration method therefor |
| US9660644B2 (en) | 2012-04-11 | 2017-05-23 | Ford Global Technologies, Llc | Proximity switch assembly and activation method |
| US9184745B2 (en) | 2012-04-11 | 2015-11-10 | Ford Global Technologies, Llc | Proximity switch assembly and method of sensing user input based on signal rate of change |
| US9197206B2 (en) | 2012-04-11 | 2015-11-24 | Ford Global Technologies, Llc | Proximity switch having differential contact surface |
| US9559688B2 (en) | 2012-04-11 | 2017-01-31 | Ford Global Technologies, Llc | Proximity switch assembly having pliable surface and depression |
| US8933708B2 (en) | 2012-04-11 | 2015-01-13 | Ford Global Technologies, Llc | Proximity switch assembly and activation method with exploration mode |
| GB2511668A (en) | 2012-04-12 | 2014-09-10 | Supercell Oy | System and method for controlling technical processes |
| US8954890B2 (en) | 2012-04-12 | 2015-02-10 | Supercell Oy | System, method and graphical user interface for controlling a game |
| US8814674B2 (en) | 2012-05-24 | 2014-08-26 | Supercell Oy | Graphical user interface for a gaming system |
| JP5645869B2 (en)* | 2012-04-13 | 2014-12-24 | 京セラドキュメントソリューションズ株式会社 | Display input device and image forming apparatus |
| US9329723B2 (en) | 2012-04-16 | 2016-05-03 | Apple Inc. | Reconstruction of original touch image from differential touch image |
| US9372582B2 (en)* | 2012-04-19 | 2016-06-21 | Atmel Corporation | Self-capacitance measurement |
| WO2013159000A1 (en) | 2012-04-20 | 2013-10-24 | Masco Corporation Of Indiana | Faucet including a pullout wand with capacitive sensing |
| JP5904440B2 (en)* | 2012-04-20 | 2016-04-13 | シャープ株式会社 | Operation input device, operation input method and program |
| US8724304B2 (en) | 2012-04-20 | 2014-05-13 | Apple Inc. | Electronic devices with flexible displays having fastened bent edges |
| US8913021B2 (en) | 2012-04-30 | 2014-12-16 | Apple Inc. | Capacitance touch near-field—far field switching |
| US9201547B2 (en) | 2012-04-30 | 2015-12-01 | Apple Inc. | Wide dynamic range capacitive sensing |
| US9086768B2 (en) | 2012-04-30 | 2015-07-21 | Apple Inc. | Mitigation of parasitic capacitance |
| US9086732B2 (en) | 2012-05-03 | 2015-07-21 | Wms Gaming Inc. | Gesture fusion |
| US9298967B2 (en) | 2012-05-04 | 2016-03-29 | Apple Inc. | Finger biometric sensing device including drive signal nulling circuitry and related methods |
| US9581628B2 (en) | 2012-05-04 | 2017-02-28 | Apple Inc. | Electronic device including device ground coupled finger coupling electrode and array shielding electrode and related methods |
| WO2013169875A2 (en) | 2012-05-09 | 2013-11-14 | Yknots Industries Llc | Device, method, and graphical user interface for displaying content associated with a corresponding affordance |
| CN108241465B (en) | 2012-05-09 | 2021-03-09 | 苹果公司 | Method and apparatus for providing haptic feedback for operations performed in a user interface |
| WO2013169845A1 (en) | 2012-05-09 | 2013-11-14 | Yknots Industries Llc | Device, method, and graphical user interface for scrolling nested regions |
| HK1208275A1 (en) | 2012-05-09 | 2016-02-26 | 苹果公司 | Device, method, and graphical user interface for moving and dropping a user interface object |
| WO2013169849A2 (en) | 2012-05-09 | 2013-11-14 | Industries Llc Yknots | Device, method, and graphical user interface for displaying user interface objects corresponding to an application |
| AU2013259630B2 (en) | 2012-05-09 | 2016-07-07 | Apple Inc. | Device, method, and graphical user interface for transitioning between display states in response to gesture |
| WO2013169851A2 (en) | 2012-05-09 | 2013-11-14 | Yknots Industries Llc | Device, method, and graphical user interface for facilitating user interaction with controls in a user interface |
| WO2013169865A2 (en) | 2012-05-09 | 2013-11-14 | Yknots Industries Llc | Device, method, and graphical user interface for moving a user interface object based on an intensity of a press input |
| WO2013169842A2 (en) | 2012-05-09 | 2013-11-14 | Yknots Industries Llc | Device, method, and graphical user interface for selecting object within a group of objects |
| EP3410287B1 (en) | 2012-05-09 | 2022-08-17 | Apple Inc. | Device, method, and graphical user interface for selecting user interface objects |
| WO2013169843A1 (en) | 2012-05-09 | 2013-11-14 | Yknots Industries Llc | Device, method, and graphical user interface for manipulating framed graphical objects |
| EP2847662B1 (en) | 2012-05-09 | 2020-02-19 | Apple Inc. | Device, method, and graphical user interface for providing feedback for changing activation states of a user interface object |
| CN108958550B (en) | 2012-05-09 | 2021-11-12 | 苹果公司 | Device, method and graphical user interface for displaying additional information in response to user contact |
| US8938124B2 (en) | 2012-05-10 | 2015-01-20 | Pointgrab Ltd. | Computer vision based tracking of a hand |
| US10051104B2 (en) | 2012-05-14 | 2018-08-14 | Apple Inc. | Delivery/read receipts for electronic messaging |
| US20130300590A1 (en) | 2012-05-14 | 2013-11-14 | Paul Henry Dietz | Audio Feedback |
| US9280610B2 (en) | 2012-05-14 | 2016-03-08 | Apple Inc. | Crowd sourcing information to fulfill user requests |
| US20130307810A1 (en)* | 2012-05-15 | 2013-11-21 | Chimei Innolux Corporation | Capacitive touch panel device |
| US8570296B2 (en) | 2012-05-16 | 2013-10-29 | Immersion Corporation | System and method for display of multiple data channels on a single haptic display |
| US9136840B2 (en) | 2012-05-17 | 2015-09-15 | Ford Global Technologies, Llc | Proximity switch assembly having dynamic tuned threshold |
| US9846799B2 (en) | 2012-05-18 | 2017-12-19 | Apple Inc. | Efficient texture comparison |
| US9135496B2 (en) | 2012-05-18 | 2015-09-15 | Apple Inc. | Efficient texture comparison |
| EP2853989A1 (en)* | 2012-05-21 | 2015-04-01 | Huawei Technologies Co., Ltd. | Contactless gesture-based control method and apparatus |
| US10168835B2 (en) | 2012-05-23 | 2019-01-01 | Flatfrog Laboratories Ab | Spatial resolution in touch displays |
| US8981602B2 (en) | 2012-05-29 | 2015-03-17 | Ford Global Technologies, Llc | Proximity switch assembly having non-switch contact and method |
| JP5886139B2 (en) | 2012-05-30 | 2016-03-16 | シャープ株式会社 | Touch sensor system |
| US9046942B2 (en)* | 2012-06-01 | 2015-06-02 | Atmel Corporation | Combined accumulator and maximum/minimum comparator |
| WO2013184528A2 (en) | 2012-06-05 | 2013-12-12 | Apple Inc. | Interactive map |
| US9395583B2 (en) | 2012-06-06 | 2016-07-19 | Apple Inc. | Column spacer design for a display incorporating a third metal layer |
| US9337832B2 (en) | 2012-06-06 | 2016-05-10 | Ford Global Technologies, Llc | Proximity switch and method of adjusting sensitivity therefor |
| US10296581B2 (en) | 2012-06-06 | 2019-05-21 | Apple Inc. | Multi-word autocorrection |
| US20130328821A1 (en)* | 2012-06-06 | 2013-12-12 | Synaptics Incorporated | System and method for gradient imaging sensors |
| US9348607B2 (en) | 2012-06-07 | 2016-05-24 | Apple Inc. | Quiet hours for notifications |
| US10354004B2 (en) | 2012-06-07 | 2019-07-16 | Apple Inc. | Intelligent presentation of documents |
| US9721563B2 (en) | 2012-06-08 | 2017-08-01 | Apple Inc. | Name recognition system |
| US10031556B2 (en) | 2012-06-08 | 2018-07-24 | Microsoft Technology Licensing, Llc | User experience adaptation |
| US9164606B2 (en) | 2012-06-08 | 2015-10-20 | Apple Inc. | Dynamic voltage generation for touch-enabled displays |
| US11073959B2 (en) | 2012-06-08 | 2021-07-27 | Apple Inc. | Simulating physical materials and light interaction in a user interface of a resource-constrained device |
| US9330606B2 (en) | 2012-06-08 | 2016-05-03 | Apple Inc. | Electronic device with display brightness control |
| US8947353B2 (en) | 2012-06-12 | 2015-02-03 | Microsoft Corporation | Photosensor array gesture detection |
| US9684382B2 (en) | 2012-06-13 | 2017-06-20 | Microsoft Technology Licensing, Llc | Input device configuration having capacitive and pressure sensors |
| US9073123B2 (en) | 2012-06-13 | 2015-07-07 | Microsoft Technology Licensing, Llc | Housing vents |
| US9459160B2 (en) | 2012-06-13 | 2016-10-04 | Microsoft Technology Licensing, Llc | Input device sensor configuration |
| US9256089B2 (en) | 2012-06-15 | 2016-02-09 | Microsoft Technology Licensing, Llc | Object-detecting backlight unit |
| US9389105B2 (en)* | 2012-06-21 | 2016-07-12 | The University Of North Carolina At Charlotte | Distributed sensor grid, surface, and skin systems and methods |
| US20130346892A1 (en)* | 2012-06-25 | 2013-12-26 | Google Inc. | Graphical user interface element expansion and contraction using a rotating gesture |
| US9111135B2 (en) | 2012-06-25 | 2015-08-18 | Aquifi, Inc. | Systems and methods for tracking human hands using parts based template matching using corresponding pixels in bounded regions of a sequence of frames that are a specified distance interval from a reference camera |
| US9098739B2 (en) | 2012-06-25 | 2015-08-04 | Aquifi, Inc. | Systems and methods for tracking human hands using parts based template matching |
| US9226347B2 (en) | 2012-06-25 | 2015-12-29 | Apple Inc. | Displays with vias |
| US9026691B2 (en) | 2012-06-26 | 2015-05-05 | Apple Inc. | Semi-autonomous touch I/O device controller operation under control of host |
| US9641172B2 (en) | 2012-06-27 | 2017-05-02 | Ford Global Technologies, Llc | Proximity switch assembly having varying size electrode fingers |
| US8872781B1 (en) | 2012-06-27 | 2014-10-28 | Google Inc. | Method and system for filtering movements on a trackpad |
| US8970525B1 (en) | 2012-06-27 | 2015-03-03 | Google Inc. | Method and system for trackpad input error mitigation |
| US10754477B2 (en) | 2012-06-28 | 2020-08-25 | Texas Instruments Incorporated | Capacitive proximity detection system and method |
| US9715616B2 (en) | 2012-06-29 | 2017-07-25 | Apple Inc. | Fingerprint sensing and enrollment |
| US8913801B2 (en) | 2012-06-29 | 2014-12-16 | Apple Inc. | Enrollment using synthetic fingerprint image and fingerprint sensing systems |
| US9152842B2 (en) | 2012-06-29 | 2015-10-06 | Apple Inc. | Navigation assisted fingerprint enrollment |
| US10372962B2 (en) | 2012-06-29 | 2019-08-06 | Apple Inc. | Zero fingerprint enrollment system for an electronic device |
| US9202099B2 (en) | 2012-06-29 | 2015-12-01 | Apple Inc. | Fingerprint sensing and enrollment |
| US9965607B2 (en) | 2012-06-29 | 2018-05-08 | Apple Inc. | Expedited biometric validation |
| US9710092B2 (en) | 2012-06-29 | 2017-07-18 | Apple Inc. | Biometric initiated communication |
| US9965090B2 (en) | 2012-06-29 | 2018-05-08 | Parade Technologies, Ltd. | Determination of touch orientation in a touch event |
| US9304622B2 (en)* | 2012-06-29 | 2016-04-05 | Parade Technologies, Ltd. | Touch orientation calculation |
| US9495129B2 (en) | 2012-06-29 | 2016-11-15 | Apple Inc. | Device, method, and user interface for voice-activated navigation and browsing of a document |
| US9092652B2 (en) | 2012-06-29 | 2015-07-28 | Apple Inc. | Zero reference based ridge flow map |
| US20140003681A1 (en) | 2012-06-29 | 2014-01-02 | Apple Inc. | Zero Enrollment |
| US20140003683A1 (en) | 2012-06-29 | 2014-01-02 | Apple Inc. | Far-Field Sensing for Rotation of Finger |
| US9342725B2 (en) | 2012-06-29 | 2016-05-17 | Apple Inc. | Image manipulation utilizing edge detection and stitching for fingerprint recognition |
| US9236861B2 (en)* | 2012-07-02 | 2016-01-12 | Stmicroelectronics Asia Pacific Pte Ltd | Capacitive proximity sensor with enabled touch detection |
| US9785338B2 (en)* | 2012-07-02 | 2017-10-10 | Mosaiqq, Inc. | System and method for providing a user interaction interface using a multi-touch gesture recognition engine |
| US9176597B2 (en) | 2012-07-02 | 2015-11-03 | Stmicroelectronics Asia Pacific Pte Ltd | Directional capacitive proximity sensor with bootstrapping |
| US9632179B2 (en) | 2012-07-04 | 2017-04-25 | Blackberry Limited | Estimating a baseline of a proximity sensor |
| US9495065B2 (en) | 2012-07-06 | 2016-11-15 | Navico Holding As | Cursor assist mode |
| US9361693B2 (en) | 2012-07-06 | 2016-06-07 | Navico Holding As | Adjusting parameters of marine electronics data |
| US9443672B2 (en) | 2012-07-09 | 2016-09-13 | Apple Inc. | Patterned conductive traces in molded elastomere substrate |
| US9035895B2 (en) | 2012-07-13 | 2015-05-19 | Apple Inc. | Redundant sensing element sampling |
| WO2014014806A1 (en) | 2012-07-15 | 2014-01-23 | Apple Inc. | Disambiguation of multitouch gesture recognition for 3d interaction |
| US9098516B2 (en)* | 2012-07-18 | 2015-08-04 | DS Zodiac, Inc. | Multi-dimensional file system |
| WO2014018119A1 (en) | 2012-07-26 | 2014-01-30 | Changello Enterprise Llc | Ultrasound-based force and touch sensing |
| WO2014018086A1 (en) | 2012-07-26 | 2014-01-30 | Changello Enterprise Llc | Force correction on multiple sense elements |
| WO2014018115A1 (en) | 2012-07-26 | 2014-01-30 | Changello Enterprise Llc | Ultrasound-based force sensing of inputs |
| US20140028605A1 (en)* | 2012-07-26 | 2014-01-30 | Texas Instruments Incorporated | Touch Profiling on Capacitive-Touch Screens |
| DE112013003674T5 (en) | 2012-07-26 | 2015-04-30 | Apple Inc. | Force detection by an ultrasonic sensor |
| WO2014018121A1 (en) | 2012-07-26 | 2014-01-30 | Changello Enterprise Llc | Fingerprint-assisted force estimation |
| WO2014018116A1 (en) | 2012-07-26 | 2014-01-30 | Changello Enterprise Llc | Ultrasound-based force sensing and touch sensing |
| US9557845B2 (en) | 2012-07-27 | 2017-01-31 | Apple Inc. | Input device for and method of communication with capacitive devices through frequency variation |
| US8842088B2 (en) | 2012-07-27 | 2014-09-23 | Apple Inc. | Touch gesture with visible point of interaction on a touch screen |
| US9223494B1 (en)* | 2012-07-27 | 2015-12-29 | Rockwell Collins, Inc. | User interfaces for wearable computers |
| US9239824B2 (en) | 2012-07-27 | 2016-01-19 | Semantic Compaction Systems, Inc. | Apparatus, method and computer readable medium for a multifunctional interactive dictionary database for referencing polysemous symbol sequences |
| US9155460B2 (en)* | 2012-07-27 | 2015-10-13 | Barcoding, Inc. | Activity regulation based on biometric data |
| US9652090B2 (en) | 2012-07-27 | 2017-05-16 | Apple Inc. | Device for digital communication through capacitive coupling |
| US9176604B2 (en) | 2012-07-27 | 2015-11-03 | Apple Inc. | Stylus device |
| US10062334B2 (en) | 2012-07-31 | 2018-08-28 | Apple Inc. | Backlight dimming control for a display utilizing quantum dots |
| SE537754C2 (en)* | 2012-08-03 | 2015-10-13 | Crunchfish Ab | Computer device for tracking objects in image stream |
| SE537553C2 (en)* | 2012-08-03 | 2015-06-09 | Crunchfish Ab | Improved identification of a gesture |
| US9164629B2 (en)* | 2012-08-06 | 2015-10-20 | Stmicroelectronics Asia Pacific Pte Ltd | Touch screen panel with slide feature |
| US9423871B2 (en) | 2012-08-07 | 2016-08-23 | Honeywell International Inc. | System and method for reducing the effects of inadvertent touch on a touch screen controller |
| US8994906B2 (en) | 2012-08-13 | 2015-03-31 | Apple Inc. | Display with multilayer and embedded signal lines |
| KR20140021899A (en) | 2012-08-13 | 2014-02-21 | 삼성전자주식회사 | Method for moving contents and an electronic device thereof |
| TWI476654B (en)* | 2012-08-14 | 2015-03-11 | Innocom Tech Shenzhen Co Ltd | Contact sensing unit and a liquid display panel with the contact sensing units |
| CN103593077B (en)* | 2012-08-14 | 2017-03-08 | 群康科技(深圳)有限公司 | Touch-control sensing unit and the panel with this touch-control sensing unit |
| US9110320B2 (en) | 2012-08-14 | 2015-08-18 | Apple Inc. | Display with bent inactive edge regions |
| US9214507B2 (en) | 2012-08-17 | 2015-12-15 | Apple Inc. | Narrow border organic light-emitting diode display |
| US8964379B2 (en) | 2012-08-20 | 2015-02-24 | Microsoft Corporation | Switchable magnetic lock |
| US9250783B2 (en) | 2012-08-21 | 2016-02-02 | Apple Inc. | Toggle gesture during drag gesture |
| US9195108B2 (en) | 2012-08-21 | 2015-11-24 | Apple Inc. | Displays with bent signal lines |
| US9483168B2 (en) | 2012-08-22 | 2016-11-01 | Google Inc. | Correcting scrolling gesture |
| US9047008B2 (en)* | 2012-08-24 | 2015-06-02 | Nokia Technologies Oy | Methods, apparatuses, and computer program products for determination of the digit being used by a user to provide input |
| US10222975B2 (en) | 2012-08-27 | 2019-03-05 | Apple Inc. | Single contact scaling gesture |
| KR101404960B1 (en) | 2012-08-30 | 2014-06-12 | 엘지디스플레이 주식회사 | Display device with integrated touch screen and method for driving the same |
| WO2014035479A2 (en) | 2012-08-30 | 2014-03-06 | Changello Enterprise Llc | Auto-baseline determination for force sensing |
| US9035932B2 (en) | 2012-08-31 | 2015-05-19 | Apple Inc. | Thermally compensated pixels for liquid crystal displays (LCDS) |
| US9454025B2 (en) | 2012-08-31 | 2016-09-27 | Apple Inc. | Displays with reduced driver circuit ledges |
| US8836768B1 (en) | 2012-09-04 | 2014-09-16 | Aquifi, Inc. | Method and system enabling natural user interface gestures with user wearable glasses |
| US9189064B2 (en) | 2012-09-05 | 2015-11-17 | Apple Inc. | Delay of display event based on user gaze |
| US20140062952A1 (en) | 2012-09-05 | 2014-03-06 | Cypress Semiconductor Corporation | Reducing common mode noise in touch applications |
| US9128674B2 (en) | 2012-09-07 | 2015-09-08 | Apple Inc. | Thermal press and ultraviolet curing for display assemblies |
| US9683841B2 (en) | 2012-09-07 | 2017-06-20 | Apple Inc. | Imaging range finder fabrication |
| US9236202B2 (en) | 2012-09-10 | 2016-01-12 | Apple Inc. | Corrosion mitigation for metal traces |
| US9733331B2 (en) | 2012-09-10 | 2017-08-15 | Apple Inc. | Method of manufacturing touch sensors |
| US9075481B2 (en) | 2012-09-10 | 2015-07-07 | Apple Inc. | ESD detection on a touch input device |
| US8922340B2 (en) | 2012-09-11 | 2014-12-30 | Ford Global Technologies, Llc | Proximity switch based door latch release |
| WO2014043275A1 (en)* | 2012-09-11 | 2014-03-20 | Apple Inc. | Gesturing with a multipoint sensing device |
| US8487897B1 (en) | 2012-09-12 | 2013-07-16 | Google Inc. | Multi-directional calibration of touch screens |
| US9547647B2 (en) | 2012-09-19 | 2017-01-17 | Apple Inc. | Voice-based media searching |
| US9946302B2 (en) | 2012-09-19 | 2018-04-17 | Apple Inc. | Exposed glass article with inner recessed area for portable electronic device housing |
| US9323310B2 (en) | 2012-09-19 | 2016-04-26 | Sony Corporation | Mobile client device, operation method, and recording medium |
| JP5984259B2 (en)* | 2012-09-20 | 2016-09-06 | 株式会社ワコム | Position detection device |
| US9377907B2 (en) | 2012-09-21 | 2016-06-28 | Apple Inc. | Self capacitance implementation method |
| WO2014047656A2 (en) | 2012-09-24 | 2014-03-27 | Tactus Technology, Inc. | Dynamic tactile interface and methods |
| US9405417B2 (en) | 2012-09-24 | 2016-08-02 | Tactus Technology, Inc. | Dynamic tactile interface and methods |
| JP2014067289A (en)* | 2012-09-26 | 2014-04-17 | Toshiba Corp | Information processing apparatus and display control method |
| US9671943B2 (en) | 2012-09-28 | 2017-06-06 | Dassault Systemes Simulia Corp. | Touch-enabled complex data entry |
| ITTO20120864A1 (en)* | 2012-10-04 | 2014-04-05 | St Microelectronics Srl | PROCEDURE AND SYSTEM FOR RECOGNITION OF FORMS OF THE TOUCH, SCREEN EQUIPMENT AND ITS RELATED PRODUCT |
| US9007191B2 (en) | 2012-10-04 | 2015-04-14 | Google Inc. | Sensor pattern for a tactile input device |
| US9557846B2 (en) | 2012-10-04 | 2017-01-31 | Corning Incorporated | Pressure-sensing touch system utilizing optical and capacitive systems |
| US9164622B2 (en)* | 2012-10-09 | 2015-10-20 | Facebook, Inc. | Denoising touch gesture input |
| US9207800B1 (en) | 2014-09-23 | 2015-12-08 | Neonode Inc. | Integrated light guide and touch screen frame and multi-touch determination method |
| US9164625B2 (en) | 2012-10-14 | 2015-10-20 | Neonode Inc. | Proximity sensor for determining two-dimensional coordinates of a proximal object |
| US9921661B2 (en) | 2012-10-14 | 2018-03-20 | Neonode Inc. | Optical proximity sensor and associated user interface |
| US10282034B2 (en) | 2012-10-14 | 2019-05-07 | Neonode Inc. | Touch sensitive curved and flexible displays |
| US8654030B1 (en) | 2012-10-16 | 2014-02-18 | Microsoft Corporation | Antenna placement |
| WO2014059618A1 (en) | 2012-10-17 | 2014-04-24 | Microsoft Corporation | Graphic formation via material ablation |
| US9430066B2 (en) | 2012-10-17 | 2016-08-30 | Perceptive Pixel, Inc. | Input classification for multi-touch systems |
| US9589538B2 (en)* | 2012-10-17 | 2017-03-07 | Perceptive Pixel, Inc. | Controlling virtual objects |
| WO2014059625A1 (en) | 2012-10-17 | 2014-04-24 | Microsoft Corporation | Metal alloy injection molding overflows |
| EP2908970B1 (en) | 2012-10-17 | 2018-01-03 | Microsoft Technology Licensing, LLC | Metal alloy injection molding protrusions |
| US10223909B2 (en) | 2012-10-18 | 2019-03-05 | Uber Technologies, Inc. | Estimating time travel distributions on signalized arterials |
| US9304595B2 (en) | 2012-10-19 | 2016-04-05 | Google Inc. | Gesture-keyboard decoding using gesture path deviation |
| US9442597B2 (en) | 2012-10-19 | 2016-09-13 | Apple Inc. | Sensor-based ESD detection |
| US8704792B1 (en) | 2012-10-19 | 2014-04-22 | Google Inc. | Density-based filtering of gesture events associated with a user interface of a computing device |
| US9772722B2 (en) | 2012-10-22 | 2017-09-26 | Parade Technologies, Ltd. | Position sensing methods and devices with dynamic gain for edge positioning |
| US9317147B2 (en) | 2012-10-24 | 2016-04-19 | Microsoft Technology Licensing, Llc. | Input testing tool |
| US8796575B2 (en) | 2012-10-31 | 2014-08-05 | Ford Global Technologies, Llc | Proximity switch assembly having ground layer |
| US8952892B2 (en) | 2012-11-01 | 2015-02-10 | Microsoft Corporation | Input location correction tables for input panels |
| US8949735B2 (en) | 2012-11-02 | 2015-02-03 | Google Inc. | Determining scroll direction intent |
| US8793062B2 (en) | 2012-11-06 | 2014-07-29 | Apple Inc. | Routing based on detected stops |
| US20140136987A1 (en) | 2012-11-09 | 2014-05-15 | Apple Inc. | Generation of a user interface based on contacts |
| US9582122B2 (en) | 2012-11-12 | 2017-02-28 | Microsoft Technology Licensing, Llc | Touch-sensitive bezel techniques |
| US10071485B2 (en)* | 2012-11-14 | 2018-09-11 | European Space Agency | Hand controller device |
| US10352975B1 (en) | 2012-11-15 | 2019-07-16 | Parade Technologies, Ltd. | System level filtering and confidence calculation |
| US9601557B2 (en) | 2012-11-16 | 2017-03-21 | Apple Inc. | Flexible display |
| JP5910468B2 (en)* | 2012-11-19 | 2016-04-27 | アイシン・エィ・ダブリュ株式会社 | Operation support system, operation support method, and computer program |
| WO2014081104A1 (en)* | 2012-11-21 | 2014-05-30 | Lg Electronics Inc. | Multimedia device for having touch sensor and method for controlling the same |
| US12032817B2 (en) | 2012-11-27 | 2024-07-09 | Neonode Inc. | Vehicle user interface |
| US9092093B2 (en) | 2012-11-27 | 2015-07-28 | Neonode Inc. | Steering wheel user interface |
| US9591339B1 (en) | 2012-11-27 | 2017-03-07 | Apple Inc. | Agnostic media delivery system |
| US10642376B2 (en) | 2012-11-28 | 2020-05-05 | Intel Corporation | Multi-function stylus with sensor controller |
| CN103853472A (en)* | 2012-11-30 | 2014-06-11 | 英业达科技有限公司 | System and method for providing drawing operation in touch screen |
| US10067575B2 (en) | 2012-11-30 | 2018-09-04 | Apple Inc. | Noise correction for stylus applications on tablets and other touch devices |
| US9128580B2 (en) | 2012-12-07 | 2015-09-08 | Honeywell International Inc. | System and method for interacting with a touch screen interface utilizing an intelligent stencil mask |
| US9411510B2 (en) | 2012-12-07 | 2016-08-09 | Apple Inc. | Techniques for preventing typographical errors on soft keyboards |
| US9774917B1 (en) | 2012-12-10 | 2017-09-26 | Apple Inc. | Channel bar user interface |
| US10735106B2 (en) | 2012-12-10 | 2020-08-04 | Apple Inc. | Mobile device with ultrasound ranging |
| US10707971B2 (en) | 2012-12-10 | 2020-07-07 | Apple Inc. | Ultrasound ranging for mobile devices |
| US9457379B2 (en) | 2012-12-10 | 2016-10-04 | Apple Inc. | Ultrasonic MEMS transmitter |
| US20140173746A1 (en) | 2012-12-13 | 2014-06-19 | Apple Inc. | Application repository |
| CN103869939A (en)* | 2012-12-13 | 2014-06-18 | 富泰华工业(深圳)有限公司 | Touch feedback system and touch feedback providing method thereof |
| US10200761B1 (en) | 2012-12-13 | 2019-02-05 | Apple Inc. | TV side bar user interface |
| KR102069862B1 (en) | 2012-12-14 | 2020-01-23 | 삼성전자주식회사 | Method for controlling virtual keypad and an electronic device thereof |
| CN103870105B (en)* | 2012-12-14 | 2017-06-27 | 联想(北京)有限公司 | The method and electronic equipment of information processing |
| US10817096B2 (en) | 2014-02-06 | 2020-10-27 | Apple Inc. | Force sensor incorporated into display |
| DE112013005988B4 (en) | 2012-12-14 | 2023-09-21 | Apple Inc. | Force detection through changes in capacity |
| US9046926B2 (en) | 2012-12-17 | 2015-06-02 | International Business Machines Corporation | System and method of dynamically generating a frequency pattern to realize the sense of touch in a computing device |
| WO2014098946A1 (en) | 2012-12-17 | 2014-06-26 | Changello Enterprise Llc | Force detection in touch devices using piezoelectric sensors |
| US20140168141A1 (en) | 2012-12-18 | 2014-06-19 | Logitech Europe S.A. | Method and system for discriminating stylus and touch interactions |
| KR102043370B1 (en) | 2012-12-18 | 2019-11-13 | 삼성디스플레이 주식회사 | controlling method of user input using pressure sensor unit for flexible display device |
| US9532111B1 (en) | 2012-12-18 | 2016-12-27 | Apple Inc. | Devices and method for providing remote control hints on a display |
| US9158393B2 (en) | 2012-12-18 | 2015-10-13 | Logitech Europe S.A. | Active stylus for touch sensing applications |
| JP2014139776A (en)* | 2012-12-19 | 2014-07-31 | Canon Inc | Display controller, display control method, and program |
| US8866796B2 (en) | 2012-12-20 | 2014-10-21 | Synaptics Incorporated | Compensation for air gap in an input device |
| US9239422B2 (en) | 2012-12-20 | 2016-01-19 | Apple Inc. | Light guide plate with blunt edges |
| US9063575B2 (en) | 2012-12-20 | 2015-06-23 | Synaptics Incorporated | Detecting a gesture |
| KR102007651B1 (en)* | 2012-12-21 | 2019-08-07 | 삼성전자주식회사 | Touchscreen keyboard configuration method, apparatus, and computer-readable medium storing program |
| US10330713B2 (en) | 2012-12-21 | 2019-06-25 | Electro Industries/Gauge Tech | Intelligent electronic device having a touch sensitive user interface |
| TWI511055B (en)* | 2012-12-28 | 2015-12-01 | Egalax Empia Technology Inc | Method and device for detecting touch screen |
| EP2749996B1 (en)* | 2012-12-28 | 2018-05-30 | Sony Mobile Communications Inc. | Electronic device and method for improving accuracy of location determination of a user input on a touch panel |
| US10275117B2 (en) | 2012-12-29 | 2019-04-30 | Apple Inc. | User interface object manipulations in a user interface |
| CN105144057B (en) | 2012-12-29 | 2019-05-17 | 苹果公司 | For moving the equipment, method and graphic user interface of cursor according to the cosmetic variation of the control icon with simulation three-dimensional feature |
| WO2014105279A1 (en) | 2012-12-29 | 2014-07-03 | Yknots Industries Llc | Device, method, and graphical user interface for switching between user interfaces |
| CN105264479B (en) | 2012-12-29 | 2018-12-25 | 苹果公司 | Apparatus, method and graphical user interface for navigating a user interface hierarchy |
| KR102001332B1 (en) | 2012-12-29 | 2019-07-17 | 애플 인크. | Device, method, and graphical user interface for determining whether to scroll or select contents |
| WO2014105276A1 (en) | 2012-12-29 | 2014-07-03 | Yknots Industries Llc | Device, method, and graphical user interface for transitioning between touch input to display output relationships |
| US10691230B2 (en) | 2012-12-29 | 2020-06-23 | Apple Inc. | Crown input for a wearable electronic device |
| KR101755029B1 (en) | 2012-12-29 | 2017-07-06 | 애플 인크. | Device, method, and graphical user interface for forgoing generation of tactile output for a multi-contact gesture |
| US10521188B1 (en) | 2012-12-31 | 2019-12-31 | Apple Inc. | Multi-user TV user interface |
| WO2014113462A1 (en) | 2013-01-15 | 2014-07-24 | Cirque Corporation | Multi-dimensional multi-finger search using oversampling hill climbing and descent with range |
| US20140208333A1 (en) | 2013-01-22 | 2014-07-24 | Motorola Mobility Llc | Initialize a Computing Device to Perform an Action |
| US9792013B2 (en) | 2013-01-25 | 2017-10-17 | Apple Inc. | Interface scanning for disabled users |
| US9146617B2 (en) | 2013-01-25 | 2015-09-29 | Apple Inc. | Activation of a screen reading program |
| US9298360B2 (en) | 2013-01-25 | 2016-03-29 | Apple Inc. | Accessibility techinques for presentation of symbolic expressions |
| CN103135861B (en)* | 2013-01-25 | 2016-04-13 | 京东方科技集团股份有限公司 | A kind of photoelectric sensor and photoelectric touch-screen |
| CA3111631C (en) | 2013-01-28 | 2022-12-13 | Smiths Medical Asd, Inc. | Medication safety devices and methods |
| US8989773B2 (en) | 2013-01-29 | 2015-03-24 | Apple Inc. | Sharing location information among devices |
| US9092665B2 (en) | 2013-01-30 | 2015-07-28 | Aquifi, Inc | Systems and methods for initializing motion tracking of human hands |
| US9129155B2 (en) | 2013-01-30 | 2015-09-08 | Aquifi, Inc. | Systems and methods for initializing motion tracking of human hands using template matching within bounded regions determined using a depth map |
| GB2510333A (en)* | 2013-01-30 | 2014-08-06 | Ibm | Emulating pressure sensitivity on multi-touch devices |
| CN103970260B (en)* | 2013-01-31 | 2017-06-06 | 华为技术有限公司 | A kind of non-contact gesture control method and electric terminal equipment |
| WO2014119258A1 (en)* | 2013-01-31 | 2014-08-07 | パナソニック株式会社 | Information processing method and information processing device |
| US9218544B2 (en) | 2013-02-01 | 2015-12-22 | Apple Inc. | Intelligent matcher based on situational or spatial orientation |
| KR20140100761A (en)* | 2013-02-07 | 2014-08-18 | 한국전자통신연구원 | Gesture-based user input method and system with touch devices |
| KR20150113169A (en) | 2013-02-08 | 2015-10-07 | 애플 인크. | Force determination based on capacitive sensing |
| US9111125B2 (en) | 2013-02-08 | 2015-08-18 | Apple Inc. | Fingerprint imaging and quality characterization |
| US9336723B2 (en) | 2013-02-13 | 2016-05-10 | Apple Inc. | In-cell touch for LED |
| FR3002052B1 (en) | 2013-02-14 | 2016-12-09 | Fogale Nanotech | METHOD AND DEVICE FOR NAVIGATING A DISPLAY SCREEN AND APPARATUS COMPRISING SUCH A NAVIGATION |
| US10578499B2 (en) | 2013-02-17 | 2020-03-03 | Microsoft Technology Licensing, Llc | Piezo-actuated virtual buttons for touch surfaces |
| KR102043148B1 (en)* | 2013-02-19 | 2019-11-11 | 엘지전자 주식회사 | Mobile terminal and touch coordinate predicting method thereof |
| JP6121517B2 (en) | 2013-02-21 | 2017-04-26 | 京セラ株式会社 | apparatus |
| US9158381B2 (en) | 2013-02-25 | 2015-10-13 | Honda Motor Co., Ltd. | Multi-resolution gesture recognition |
| US9235270B2 (en)* | 2013-02-26 | 2016-01-12 | Synerdyne Corporation | Multi-touch mechanical-capacitive hybrid keyboard |
| US9128566B2 (en)* | 2013-02-28 | 2015-09-08 | Acs Co., Ltd. | Acoustic pulse recognition with increased accuracy by localizing contact area of plate |
| US9203835B2 (en)* | 2013-03-01 | 2015-12-01 | Paypal, Inc. | Systems and methods for authenticating a user based on a biometric model associated with the user |
| US9494178B2 (en) | 2013-03-01 | 2016-11-15 | Apple Inc. | Methods for bonding substrates using liquid adhesive |
| US9530089B2 (en) | 2013-03-04 | 2016-12-27 | Hello Inc. | Wearable device with overlapping ends coupled by magnets of a selected width, length and depth |
| US9532716B2 (en) | 2013-03-04 | 2017-01-03 | Hello Inc. | Systems using lifestyle database analysis to provide feedback |
| US20140246502A1 (en) | 2013-03-04 | 2014-09-04 | Hello Inc. | Wearable devices with magnets encased by a material that redistributes their magnetic fields |
| US9445651B2 (en) | 2013-03-04 | 2016-09-20 | Hello Inc. | Wearable device with overlapping ends coupled by magnets |
| US9424508B2 (en) | 2013-03-04 | 2016-08-23 | Hello Inc. | Wearable device with magnets having first and second polarities |
| US10259938B2 (en) | 2013-03-04 | 2019-04-16 | Sabic Global Technologies B.V. | Device with protective cover |
| US9345403B2 (en) | 2013-03-04 | 2016-05-24 | Hello Inc. | Wireless monitoring system with activity manager for monitoring user activity |
| US9339188B2 (en) | 2013-03-04 | 2016-05-17 | James Proud | Methods from monitoring health, wellness and fitness with feedback |
| US9361572B2 (en) | 2013-03-04 | 2016-06-07 | Hello Inc. | Wearable device with magnets positioned at opposing ends and overlapped from one side to another |
| US9420856B2 (en) | 2013-03-04 | 2016-08-23 | Hello Inc. | Wearable device with adjacent magnets magnetized in different directions |
| US9662015B2 (en) | 2013-03-04 | 2017-05-30 | Hello Inc. | System or device with wearable devices having one or more sensors with assignment of a wearable device user identifier to a wearable device user |
| US9553486B2 (en) | 2013-03-04 | 2017-01-24 | Hello Inc. | Monitoring system and device with sensors that is remotely powered |
| US9427189B2 (en) | 2013-03-04 | 2016-08-30 | Hello Inc. | Monitoring system and device with sensors that are responsive to skin pigmentation |
| US9526422B2 (en) | 2013-03-04 | 2016-12-27 | Hello Inc. | System for monitoring individuals with a monitoring device, telemetry system, activity manager and a feedback system |
| US9427160B2 (en) | 2013-03-04 | 2016-08-30 | Hello Inc. | Wearable device with overlapping ends coupled by magnets positioned in the wearable device by an undercut |
| US9330561B2 (en) | 2013-03-04 | 2016-05-03 | Hello Inc. | Remote communication systems and methods for communicating with a building gateway control to control building systems and elements |
| US9634921B2 (en) | 2013-03-04 | 2017-04-25 | Hello Inc. | Wearable device coupled by magnets positioned in a frame in an interior of the wearable device with at least one electronic circuit |
| US9392939B2 (en) | 2013-03-04 | 2016-07-19 | Hello Inc. | Methods using a monitoring device to monitor individual activities, behaviors or habit information and communicate with a database with corresponding individual base information for comparison |
| US9345404B2 (en) | 2013-03-04 | 2016-05-24 | Hello Inc. | Mobile device that monitors an individuals activities, behaviors, habits or health parameters |
| US9367793B2 (en) | 2013-03-04 | 2016-06-14 | Hello Inc. | Wearable device with magnets distanced from exterior surfaces of the wearable device |
| US9430938B2 (en) | 2013-03-04 | 2016-08-30 | Hello Inc. | Monitoring device with selectable wireless communication |
| US9704209B2 (en) | 2013-03-04 | 2017-07-11 | Hello Inc. | Monitoring system and device with sensors and user profiles based on biometric user information |
| US9436903B2 (en) | 2013-03-04 | 2016-09-06 | Hello Inc. | Wearable device with magnets with a defined distance between adjacent magnets |
| US20130290427A1 (en) | 2013-03-04 | 2013-10-31 | Hello Inc. | Wearable device with unique user ID and telemetry system in communication with one or more social networks |
| US9737214B2 (en) | 2013-03-04 | 2017-08-22 | Hello Inc. | Wireless monitoring of patient exercise and lifestyle |
| US9427053B2 (en) | 2013-03-04 | 2016-08-30 | Hello Inc. | Wearable device with magnets magnetized through their widths or thickness |
| US9420857B2 (en) | 2013-03-04 | 2016-08-23 | Hello Inc. | Wearable device with interior frame |
| US9320434B2 (en) | 2013-03-04 | 2016-04-26 | Hello Inc. | Patient monitoring systems and messages that send alerts to patients only when the patient is awake |
| US9848776B2 (en) | 2013-03-04 | 2017-12-26 | Hello Inc. | Methods using activity manager for monitoring user activity |
| US9406220B2 (en) | 2013-03-04 | 2016-08-02 | Hello Inc. | Telemetry system with tracking receiver devices |
| US9159223B2 (en) | 2013-03-04 | 2015-10-13 | Hello, Inc. | User monitoring device configured to be in communication with an emergency response system or team |
| US9398854B2 (en) | 2013-03-04 | 2016-07-26 | Hello Inc. | System with a monitoring device that monitors individual activities, behaviors or habit information and communicates with a database with corresponding individual base information for comparison |
| US9357922B2 (en) | 2013-03-04 | 2016-06-07 | Hello Inc. | User or patient monitoring systems with one or more analysis tools |
| US9204798B2 (en) | 2013-03-04 | 2015-12-08 | Hello, Inc. | System for monitoring health, wellness and fitness with feedback |
| US10402000B2 (en) | 2013-03-04 | 2019-09-03 | Apple Inc. | Display with integrated pressure sensing utilizing capacitive coupling to circuit elements |
| US9432091B2 (en) | 2013-03-04 | 2016-08-30 | Hello Inc. | Telemetry system with wireless power receiver and monitoring devices |
| US9298882B2 (en) | 2013-03-04 | 2016-03-29 | Hello Inc. | Methods using patient monitoring devices with unique patient IDs and a telemetry system |
| US9149189B2 (en) | 2013-03-04 | 2015-10-06 | Hello, Inc. | User or patient monitoring methods using one or more analysis tools |
| US9507425B2 (en) | 2013-03-06 | 2016-11-29 | Sony Corporation | Apparatus and method for operating a user interface of a device |
| US8773396B1 (en) | 2013-03-07 | 2014-07-08 | Cypress Semiconductor Corporation | Detecting touchdowns and liftoffs of touch objects |
| KR102117086B1 (en)* | 2013-03-08 | 2020-06-01 | 삼성디스플레이 주식회사 | Terminal and method for controlling thereof |
| US9110552B2 (en) | 2013-03-11 | 2015-08-18 | Cypress Semiconductor Corporation | Eliminating common mode noise in otuch applications |
| AU2014249969B2 (en)* | 2013-03-11 | 2018-02-15 | Lockheed Martin Corporation | Biometric template protection using error correction coding |
| US8674958B1 (en)* | 2013-03-12 | 2014-03-18 | Cypress Semiconductor Corporation | Method and apparatus for accurate coordinate calculation of objects in touch applications |
| US8890841B2 (en) | 2013-03-13 | 2014-11-18 | 3M Innovative Properties Company | Capacitive-based touch apparatus and method therefor, with reduced interference |
| US9311204B2 (en) | 2013-03-13 | 2016-04-12 | Ford Global Technologies, Llc | Proximity interface development system having replicator and method |
| US10048775B2 (en) | 2013-03-14 | 2018-08-14 | Apple Inc. | Stylus detection and demodulation |
| US9811178B2 (en) | 2013-03-14 | 2017-11-07 | Apple Inc. | Stylus signal detection and demodulation architecture |
| US10203815B2 (en) | 2013-03-14 | 2019-02-12 | Apple Inc. | Application-based touch sensitivity |
| US10459546B2 (en) | 2013-03-14 | 2019-10-29 | Apple Inc. | Channel aggregation for optimal stylus detection |
| US10209148B2 (en) | 2013-03-15 | 2019-02-19 | Apple Inc. | Force-sensitive fingerprint sensing input |
| US9922481B2 (en) | 2014-03-12 | 2018-03-20 | August Home, Inc. | Intelligent door lock system with third party secured access to a dwelling |
| US9695616B2 (en) | 2013-03-15 | 2017-07-04 | August Home, Inc. | Intelligent door lock system and vibration/tapping sensing device to lock or unlock a door |
| US11527121B2 (en) | 2013-03-15 | 2022-12-13 | August Home, Inc. | Door lock system with contact sensor |
| US11421445B2 (en) | 2013-03-15 | 2022-08-23 | August Home, Inc. | Smart lock device with near field communication |
| US20140282224A1 (en)* | 2013-03-15 | 2014-09-18 | Qualcomm Incorporated | Detection of a scrolling gesture |
| US9382739B1 (en) | 2013-03-15 | 2016-07-05 | August Home, Inc. | Determining right or left hand side door installation |
| US9706365B2 (en) | 2013-03-15 | 2017-07-11 | August Home, Inc. | BLE/WiFi bridge that detects signal strength of bluetooth LE devices at an interior of a dwelling |
| US10443266B2 (en) | 2013-03-15 | 2019-10-15 | August Home, Inc. | Intelligent door lock system with manual operation and push notification |
| US11043055B2 (en) | 2013-03-15 | 2021-06-22 | August Home, Inc. | Door lock system with contact sensor |
| WO2014143776A2 (en) | 2013-03-15 | 2014-09-18 | Bodhi Technology Ventures Llc | Providing remote interactions with host device using a wireless device |
| US9725927B1 (en) | 2014-03-12 | 2017-08-08 | August Home, Inc. | System for intelligent door knob (handle) |
| US9818247B2 (en) | 2015-06-05 | 2017-11-14 | August Home, Inc. | Intelligent door lock system with keypad |
| US9357250B1 (en) | 2013-03-15 | 2016-05-31 | Apple Inc. | Multi-screen video user interface |
| US12149779B2 (en) | 2013-03-15 | 2024-11-19 | Apple Inc. | Advertisement user interface |
| US10388094B2 (en) | 2013-03-15 | 2019-08-20 | August Home Inc. | Intelligent door lock system with notification to user regarding battery status |
| US10181232B2 (en) | 2013-03-15 | 2019-01-15 | August Home, Inc. | Wireless access control system and methods for intelligent door lock system |
| US9704314B2 (en) | 2014-08-13 | 2017-07-11 | August Home, Inc. | BLE/WiFi bridge that detects signal strength of Bluetooth LE devices at an exterior of a dwelling |
| US9719797B2 (en) | 2013-03-15 | 2017-08-01 | Apple Inc. | Voice and touch user interface |
| US9528296B1 (en) | 2013-03-15 | 2016-12-27 | August Home, Inc. | Off center drive mechanism for thumb turning lock system for intelligent door system |
| US9359794B2 (en) | 2014-03-12 | 2016-06-07 | August Home, Inc. | Method for operating an intelligent door knob |
| US9574372B2 (en) | 2013-03-15 | 2017-02-21 | August Home, Inc. | Intelligent door lock system that minimizes inertia applied to components |
| US9952703B2 (en) | 2013-03-15 | 2018-04-24 | Apple Inc. | Force sensing of inputs through strain analysis |
| US11802422B2 (en) | 2013-03-15 | 2023-10-31 | August Home, Inc. | Video recording triggered by a smart lock device |
| FR3003364A1 (en)* | 2013-03-15 | 2014-09-19 | France Telecom | METHOD FOR PROCESSING A COMPOUND GESTURE, ASSOCIATED DEVICE AND USER TERMINAL |
| US9477404B2 (en) | 2013-03-15 | 2016-10-25 | Apple Inc. | Device, method, and graphical user interface for managing concurrently open software applications |
| US10068120B2 (en) | 2013-03-15 | 2018-09-04 | Apple Inc. | High dynamic range fingerprint sensing |
| US9916746B2 (en) | 2013-03-15 | 2018-03-13 | August Home, Inc. | Security system coupled to a door lock system |
| US10140828B2 (en) | 2015-06-04 | 2018-11-27 | August Home, Inc. | Intelligent door lock system with camera and motion detector |
| US9310931B2 (en) | 2013-03-15 | 2016-04-12 | Apple Inc. | Dynamic cross-talk mitigation for integrated touch screens |
| US9542040B2 (en)* | 2013-03-15 | 2017-01-10 | Smart Technologies Ulc | Method for detection and rejection of pointer contacts in interactive input systems |
| KR20230108345A (en) | 2013-03-15 | 2023-07-18 | 애플 인크. | Device, method, and graphical user interface for managing concurrently open software applications |
| US9447609B2 (en) | 2013-03-15 | 2016-09-20 | August Home, Inc. | Mobile device that detects tappings/vibrations which are used to lock or unlock a door |
| US9851828B2 (en) | 2013-03-15 | 2017-12-26 | Apple Inc. | Touch force deflection sensor |
| US11352812B2 (en) | 2013-03-15 | 2022-06-07 | August Home, Inc. | Door lock system coupled to an image capture device |
| US11441332B2 (en) | 2013-03-15 | 2022-09-13 | August Home, Inc. | Mesh of cameras communicating with each other to follow a delivery agent within a dwelling |
| US9310917B2 (en) | 2013-03-15 | 2016-04-12 | Apple Inc. | Dynamic cross-talk mitigation for integrated touch screens |
| US9528294B2 (en) | 2013-03-15 | 2016-12-27 | August Home, Inc. | Intelligent door lock system with a torque limitor |
| US10691953B2 (en) | 2013-03-15 | 2020-06-23 | August Home, Inc. | Door lock system with one or more virtual fences |
| US9326094B2 (en) | 2013-03-15 | 2016-04-26 | August Home, Inc. | BLE/WiFi bridge with audio sensor |
| US9799316B1 (en) | 2013-03-15 | 2017-10-24 | Duane G. Owens | Gesture pad and integrated transducer-processor unit for use with stringed instrument |
| US11072945B2 (en) | 2013-03-15 | 2021-07-27 | August Home, Inc. | Video recording triggered by a smart lock device |
| US20140267104A1 (en)* | 2013-03-18 | 2014-09-18 | Qualcomm Incorporated | Optimized adaptive thresholding for touch sensing |
| KR20140114766A (en) | 2013-03-19 | 2014-09-29 | 퀵소 코 | Method and device for sensing touch inputs |
| US9612689B2 (en) | 2015-02-02 | 2017-04-04 | Qeexo, Co. | Method and apparatus for classifying a touch event on a touchscreen as related to one of multiple function generating interaction layers and activating a function in the selected interaction layer |
| US9013452B2 (en) | 2013-03-25 | 2015-04-21 | Qeexo, Co. | Method and system for activating different interactive functions using different types of finger contacts |
| US9304549B2 (en) | 2013-03-28 | 2016-04-05 | Microsoft Technology Licensing, Llc | Hinge mechanism for rotatable component attachment |
| JP5856995B2 (en)* | 2013-03-29 | 2016-02-10 | 株式会社ジャパンディスプレイ | Electronic device and control method of electronic device |
| US9298266B2 (en) | 2013-04-02 | 2016-03-29 | Aquifi, Inc. | Systems and methods for implementing three-dimensional (3D) gesture based graphical user interfaces (GUI) that incorporate gesture reactive interface objects |
| FR3003964B1 (en) | 2013-04-02 | 2016-08-26 | Fogale Nanotech | DEVICE FOR INTERACTING, WITHOUT CONTACT, AN ELECTRONIC AND / OR COMPUTER APPARATUS, AND APPARATUS PROVIDED WITH SUCH A DEVICE |
| US9146664B2 (en) | 2013-04-09 | 2015-09-29 | Microsoft Technology Licensing, Llc | Providing content rotation during scroll action |
| US9209207B2 (en) | 2013-04-09 | 2015-12-08 | Apple Inc. | Flexible display with bent edge regions |
| US10019113B2 (en) | 2013-04-11 | 2018-07-10 | Flatfrog Laboratories Ab | Tomographic processing for touch detection |
| US9323338B2 (en) | 2013-04-12 | 2016-04-26 | Usens, Inc. | Interactive input system and method |
| US20140354602A1 (en)* | 2013-04-12 | 2014-12-04 | Impression.Pi, Inc. | Interactive input system and method |
| US9910579B2 (en) | 2013-04-15 | 2018-03-06 | Microsoft Technology Licensing, Llc | Detection of pan and scaling during multi-finger touch interactions |
| US9116572B2 (en) | 2013-04-15 | 2015-08-25 | Apple Inc. | Disambiguation of touch input events on a touch sensor panel |
| FR3004551A1 (en) | 2013-04-15 | 2014-10-17 | Fogale Nanotech | MULTIZONE CAPACITIVE DETECTION METHOD, DEVICE AND APPARATUS USING THE METHOD |
| US20140306910A1 (en)* | 2013-04-15 | 2014-10-16 | Qualcomm Incorporated | Id tracking of gesture touch geometry |
| US9576422B2 (en) | 2013-04-18 | 2017-02-21 | Bally Gaming, Inc. | Systems, methods, and devices for operating wagering game machines with enhanced user interfaces |
| US10574551B2 (en) | 2013-04-29 | 2020-02-25 | Moogsoft, Inc. | System for decomposing events from managed infrastructures |
| US9535973B2 (en) | 2013-04-29 | 2017-01-03 | Moogsoft, Inc. | Methods for decomposing events from managed infrastructures |
| US10013476B2 (en) | 2014-04-28 | 2018-07-03 | Moogsoft, Inc. | System for decomposing clustering events from managed infrastructures |
| US11010220B2 (en) | 2013-04-29 | 2021-05-18 | Moogsoft, Inc. | System and methods for decomposing events from managed infrastructures that includes a feedback signalizer functor |
| US10379932B2 (en) | 2013-04-29 | 2019-08-13 | Moogsoft, Inc. | System for decomposing events from managed infrastructures |
| US10803133B2 (en) | 2013-04-29 | 2020-10-13 | Moogsoft Inc. | System for decomposing events from managed infrastructures that includes a reference tool signalizer |
| US10243779B2 (en) | 2013-04-29 | 2019-03-26 | Moogsoft, Inc. | System for decomposing events from managed infrastructures with situation room |
| US10700920B2 (en) | 2013-04-29 | 2020-06-30 | Moogsoft, Inc. | System and methods for decomposing events from managed infrastructures that includes a floating point unit |
| US11080116B2 (en) | 2013-04-29 | 2021-08-03 | Moogsoft Inc. | Methods for decomposing events from managed infrastructures |
| US12047340B2 (en) | 2013-04-29 | 2024-07-23 | Dell Products L.P. | System for managing an instructure with security |
| US10007716B2 (en) | 2014-04-28 | 2018-06-26 | Moogsoft, Inc. | System for decomposing clustering events from managed infrastructures coupled to a data extraction device |
| US9448637B2 (en) | 2013-05-01 | 2016-09-20 | Intel Corporation | Detection of and response to extra-device touch events |
| US9871898B2 (en) | 2013-05-08 | 2018-01-16 | Apple Inc. | Ceramic cover for electronic device housing |
| FR3005763B1 (en) | 2013-05-17 | 2016-10-14 | Fogale Nanotech | DEVICE AND METHOD FOR A CAPACITIVE CONTROL INTERFACE ADAPTED TO THE IMPLEMENTATION OF ELECTRODES OF HIGHLY RESISTIVE MEASUREMENTS |
| JP5852050B2 (en)* | 2013-05-27 | 2016-02-03 | 株式会社ジャパンディスプレイ | Touch detection device, display device with touch detection function, and electronic device |
| US9535544B2 (en) | 2013-05-31 | 2017-01-03 | Apple Inc. | Reducing touch pixel coupling |
| US9946366B2 (en) | 2013-06-03 | 2018-04-17 | Apple Inc. | Display, touch, and stylus synchronization |
| WO2014197336A1 (en) | 2013-06-07 | 2014-12-11 | Apple Inc. | System and method for detecting errors in interactions with a voice-based digital assistant |
| US9477331B2 (en) | 2013-06-07 | 2016-10-25 | Apple Inc. | Touch detection at bezel edge |
| US9582608B2 (en) | 2013-06-07 | 2017-02-28 | Apple Inc. | Unified ranking with entropy-weighted information for phrase-based semantic auto-completion |
| WO2014197334A2 (en) | 2013-06-07 | 2014-12-11 | Apple Inc. | System and method for user-specified pronunciation of words for speech synthesis and recognition |
| WO2014197335A1 (en) | 2013-06-08 | 2014-12-11 | Apple Inc. | Interpreting and acting upon commands that involve sharing information with remote devices |
| US9733716B2 (en) | 2013-06-09 | 2017-08-15 | Apple Inc. | Proxy gesture recognizer |
| EP2909707A1 (en) | 2013-06-09 | 2015-08-26 | Apple Inc. | Device, method, and graphical user interface for managing folders with multiple pages |
| DE112014002747T5 (en) | 2013-06-09 | 2016-03-03 | Apple Inc. | Apparatus, method and graphical user interface for enabling conversation persistence over two or more instances of a digital assistant |
| US10176167B2 (en) | 2013-06-09 | 2019-01-08 | Apple Inc. | System and method for inferring user intent from speech inputs |
| US20140368470A1 (en)* | 2013-06-13 | 2014-12-18 | Samsung Display Co., Ltd. | Adaptive light source driving optical system for integrated touch and hover |
| US20140372856A1 (en)* | 2013-06-14 | 2014-12-18 | Microsoft Corporation | Natural Quick Functions Gestures |
| CN103268169B (en)* | 2013-06-14 | 2015-10-28 | 深圳市爱点多媒体科技有限公司 | Touch control device touch point tracking and system |
| US10664652B2 (en) | 2013-06-15 | 2020-05-26 | Microsoft Technology Licensing, Llc | Seamless grid and canvas integration in a spreadsheet application |
| TW201500976A (en)* | 2013-06-17 | 2015-01-01 | Pixart Imaging Inc | Electronic apparatus and electronic system that can select signal smoothing apparatus, and computer readable that can perform signal smoothing method that can select signal smoothing operation |
| US20160077597A1 (en)* | 2013-06-18 | 2016-03-17 | Panasonic Intellectual Property Corporation Of America | Input device and method for inputting operational request |
| US9459661B2 (en) | 2013-06-19 | 2016-10-04 | Apple Inc. | Camouflaged openings in electronic device housings |
| US9610030B2 (en) | 2015-01-23 | 2017-04-04 | Hello Inc. | Room monitoring device and sleep analysis methods |
| US10009581B2 (en) | 2015-01-02 | 2018-06-26 | Fitbit, Inc. | Room monitoring device |
| US10058290B1 (en) | 2013-06-21 | 2018-08-28 | Fitbit, Inc. | Monitoring device with voice interaction |
| US10004451B1 (en) | 2013-06-21 | 2018-06-26 | Fitbit, Inc. | User monitoring system |
| US9993166B1 (en) | 2013-06-21 | 2018-06-12 | Fitbit, Inc. | Monitoring device using radar and measuring motion with a non-contact device |
| US20160220198A1 (en) | 2013-06-21 | 2016-08-04 | Hello Inc. | Mobile device that monitors an individuals activities, behaviors, habits or health parameters |
| JP6608576B2 (en) | 2013-06-26 | 2019-11-20 | 京セラ株式会社 | Electronic device and display control method |
| US9411445B2 (en) | 2013-06-27 | 2016-08-09 | Synaptics Incorporated | Input object classification |
| US9557813B2 (en) | 2013-06-28 | 2017-01-31 | Tactus Technology, Inc. | Method for reducing perceived optical distortion |
| ITTO20130549A1 (en)* | 2013-07-01 | 2015-01-02 | St Microelectronics Srl | PROCEDURE AND SYSTEM TO DETECT THE PRESENCE OF A FINGER AND / OR A HAND IN PROXIMITY OF A TOUCHLESS SCREEN, RELATIVE SCREEN DEVICE AND CORRESPONDENT COMPUTER PRODUCT |
| US8988390B1 (en) | 2013-07-03 | 2015-03-24 | Apple Inc. | Frequency agile touch processing |
| TWI528253B (en)* | 2013-07-03 | 2016-04-01 | 原相科技股份有限公司 | Touch position detecting method for touch panel |
| CN104281339B (en)* | 2013-07-11 | 2018-04-10 | 原相科技股份有限公司 | Target positioning method for touch panel |
| WO2015005847A1 (en) | 2013-07-12 | 2015-01-15 | Flatfrog Laboratories Ab | Partial detect mode |
| FR3008809B1 (en) | 2013-07-18 | 2017-07-07 | Fogale Nanotech | CUSTOM ACCESSORY DEVICE FOR AN ELECTRONIC AND / OR COMPUTER APPARATUS, AND APPARATUS EQUIPPED WITH SUCH AN ACCESSORY DEVICE |
| US9189114B2 (en) | 2013-07-24 | 2015-11-17 | Synaptics Incorporated | Face detection with transcapacitive sensing |
| US9671889B1 (en) | 2013-07-25 | 2017-06-06 | Apple Inc. | Input member with capacitive sensor |
| KR101438636B1 (en)* | 2013-07-25 | 2014-09-05 | 현대자동차 주식회사 | Touch point recognition method of touch screen and the system performing this |
| KR20150014084A (en)* | 2013-07-29 | 2015-02-06 | 삼성전자주식회사 | Device based on touch screen and method for controlling object thereof |
| US9870104B2 (en)* | 2013-07-31 | 2018-01-16 | Atmel Corporation | Dynamic clustering of touch sensor electrodes |
| US10067580B2 (en) | 2013-07-31 | 2018-09-04 | Apple Inc. | Active stylus for use with touch controller architecture |
| US9798388B1 (en) | 2013-07-31 | 2017-10-24 | Aquifi, Inc. | Vibrotactile system to augment 3D input systems |
| US10061444B2 (en) | 2013-07-31 | 2018-08-28 | Apple Inc. | Self capacitance touch sensing |
| US9874980B2 (en) | 2013-07-31 | 2018-01-23 | Atmel Corporation | Dynamic configuration of touch sensor electrode clusters |
| US10445417B2 (en) | 2013-08-01 | 2019-10-15 | Oracle International Corporation | Entry of values into multiple fields of a form using touch screens |
| JP2015053034A (en)* | 2013-08-07 | 2015-03-19 | 船井電機株式会社 | Input device |
| KR20150019352A (en) | 2013-08-13 | 2015-02-25 | 삼성전자주식회사 | Method and apparatus for grip recognition in electronic device |
| US10042446B2 (en) | 2013-08-13 | 2018-08-07 | Samsung Electronics Company, Ltd. | Interaction modes for object-device interactions |
| US10042504B2 (en) | 2013-08-13 | 2018-08-07 | Samsung Electronics Company, Ltd. | Interaction sensing |
| US9772704B2 (en) | 2013-08-15 | 2017-09-26 | Apple Inc. | Display/touch temporal separation |
| US10126850B2 (en) | 2013-08-16 | 2018-11-13 | Apple Inc. | Active integrated touch/display |
| US9886141B2 (en) | 2013-08-16 | 2018-02-06 | Apple Inc. | Mutual and self capacitance touch measurements in touch panel |
| WO2015030712A1 (en) | 2013-08-26 | 2015-03-05 | Bodhi Technology Ventures Llc | Method of detecting the wearing limb of a wearable electronic device |
| WO2015030870A1 (en) | 2013-08-28 | 2015-03-05 | Bodhi Technology Ventures Llc | Capacitive touch panel for sensing mechanical inputs to a device |
| WO2015030869A1 (en) | 2013-08-28 | 2015-03-05 | Bodhi Technology Ventures Llc | Sensor for detecting presence of material |
| CN105493479B (en) | 2013-08-29 | 2019-03-26 | 苹果公司 | More equipment wirelessly disable and enable |
| US10001817B2 (en) | 2013-09-03 | 2018-06-19 | Apple Inc. | User interface for manipulating user interface objects with magnetic properties |
| US11068128B2 (en) | 2013-09-03 | 2021-07-20 | Apple Inc. | User interface object manipulations in a user interface |
| US10503388B2 (en) | 2013-09-03 | 2019-12-10 | Apple Inc. | Crown input for a wearable electronic device |
| CN110795005A (en) | 2013-09-03 | 2020-02-14 | 苹果公司 | User interface for manipulating user interface objects using magnetic properties |
| US20150067603A1 (en)* | 2013-09-05 | 2015-03-05 | Kabushiki Kaisha Toshiba | Display control device |
| US9436863B2 (en) | 2013-09-09 | 2016-09-06 | Apple Inc. | Reconstructing a biometric image |
| US9928355B2 (en) | 2013-09-09 | 2018-03-27 | Apple Inc. | Background enrollment and authentication of a user |
| US10289302B1 (en) | 2013-09-09 | 2019-05-14 | Apple Inc. | Virtual keyboard animation |
| US9898642B2 (en) | 2013-09-09 | 2018-02-20 | Apple Inc. | Device, method, and graphical user interface for manipulating user interfaces based on fingerprint sensor inputs |
| US20150071507A1 (en)* | 2013-09-09 | 2015-03-12 | Apple Inc. | Reconstructing a Biometric Image |
| US9329750B2 (en) | 2013-09-10 | 2016-05-03 | Google Inc. | Three-dimensional tilt and pan navigation using a single gesture |
| US9317202B2 (en) | 2013-09-12 | 2016-04-19 | TouchFire, Inc. | Keyboard overlay that improves touch typing on small touch screen devices |
| JP2016529640A (en)* | 2013-09-13 | 2016-09-23 | インテル・コーポレーション | Multi-touch virtual mouse |
| US9304641B2 (en) | 2013-09-18 | 2016-04-05 | Apple Inc. | Multiple bridges single sided touch sensor |
| US9665206B1 (en) | 2013-09-18 | 2017-05-30 | Apple Inc. | Dynamic user interface adaptable to multiple input tools |
| USD730993S1 (en) | 2013-09-20 | 2015-06-02 | Wms Gaming Inc. | Inclined input interface for a gaming terminal |
| US9349240B2 (en) | 2013-09-20 | 2016-05-24 | Bally Gaming, Inc. | Gaming terminal with an inclined input interface |
| WO2015047225A1 (en) | 2013-09-24 | 2015-04-02 | Hewlett-Packard Development Company, L.P. | Determining a segmentation boundary based on images representing an object |
| EP3049899A4 (en) | 2013-09-24 | 2017-07-05 | Hewlett-Packard Development Company, L.P. | Identifying a target touch region of a touch-sensitive surface based on an image |
| US9619044B2 (en)* | 2013-09-25 | 2017-04-11 | Google Inc. | Capacitive and resistive-pressure touch-sensitive touchpad |
| US10013092B2 (en) | 2013-09-27 | 2018-07-03 | Sensel, Inc. | Tactile touch sensor system and method |
| US11221706B2 (en) | 2013-09-27 | 2022-01-11 | Sensel, Inc. | Tactile touch sensor system and method |
| US9001082B1 (en) | 2013-09-27 | 2015-04-07 | Sensel, Inc. | Touch sensor detector system and method |
| KR102271637B1 (en)* | 2013-09-27 | 2021-07-02 | 센셀, 인크. | Resistive touch sensor system and method |
| US9537935B2 (en) | 2013-09-30 | 2017-01-03 | Eric Trent Dryden | Consumer PC in the cloud |
| KR102203810B1 (en)* | 2013-10-01 | 2021-01-15 | 삼성전자주식회사 | User interfacing apparatus and method using an event corresponding a user input |
| WO2015050544A1 (en) | 2013-10-02 | 2015-04-09 | Bodhi Technology Ventures Llc | Cloud phone notifications |
| DE202013008906U1 (en)* | 2013-10-07 | 2013-10-16 | Siemens Enterprise Communications Gmbh & Co. Kg | Portable device |
| US10042486B1 (en)* | 2013-10-18 | 2018-08-07 | Apple Inc. | Dynamic demodulation waveform adjustment for tonal noise mitigation |
| US9690432B2 (en) | 2013-10-21 | 2017-06-27 | Apple Inc. | Touch receiving channel re-use scheme with receiver signal coding |
| US9678609B2 (en) | 2013-10-21 | 2017-06-13 | Apple Inc. | Orthogonal frequency scan scheme in touch system |
| TWI515621B (en)* | 2013-10-23 | 2016-01-01 | 緯創資通股份有限公司 | Input apparatus and inputing mode siwthcing method thereof and computer apparatus |
| US9292141B2 (en) | 2013-10-30 | 2016-03-22 | Apple Inc. | Double sided touch sensor on transparent substrate |
| KR102405189B1 (en) | 2013-10-30 | 2022-06-07 | 애플 인크. | Displaying relevant user interface objects |
| KR20150051278A (en) | 2013-11-01 | 2015-05-12 | 삼성전자주식회사 | Object moving method and electronic device implementing the same |
| US10043485B2 (en) | 2013-11-01 | 2018-08-07 | Apple Inc. | Ambient light sensing through the human body |
| KR102206053B1 (en)* | 2013-11-18 | 2021-01-21 | 삼성전자주식회사 | Apparatas and method for changing a input mode according to input method in an electronic device |
| US9305210B2 (en)* | 2013-11-19 | 2016-04-05 | Kabushiki Kaisha Toshiba | Electronic apparatus and method for processing document |
| FR3013472B1 (en) | 2013-11-19 | 2016-07-08 | Fogale Nanotech | COVERING ACCESSORY DEVICE FOR AN ELECTRONIC AND / OR COMPUTER PORTABLE APPARATUS, AND APPARATUS EQUIPPED WITH SUCH AN ACCESSORY DEVICE |
| US9933879B2 (en) | 2013-11-25 | 2018-04-03 | Apple Inc. | Reconfigurable circuit topology for both self-capacitance and mutual capacitance sensing |
| US9304575B2 (en) | 2013-11-26 | 2016-04-05 | Apple Inc. | Reducing touch sensor panel power consumption |
| US9639158B2 (en) | 2013-11-26 | 2017-05-02 | Immersion Corporation | Systems and methods for generating friction and vibrotactile effects |
| KR20250002802A (en)* | 2013-11-29 | 2025-01-07 | 가부시키가이샤 한도오따이 에네루기 켄큐쇼 | Data processing device and driving method thereof |
| US12080421B2 (en) | 2013-12-04 | 2024-09-03 | Apple Inc. | Wellness aggregator |
| US20160019360A1 (en) | 2013-12-04 | 2016-01-21 | Apple Inc. | Wellness aggregator |
| US20160296174A1 (en) | 2013-12-05 | 2016-10-13 | Apple Inc. | Method of reducing motion artifacts on wearable optical sensor devices |
| WO2015084376A1 (en) | 2013-12-05 | 2015-06-11 | Apple Inc. | Wearable multi-modal physiological sensing sysem |
| CN116560524B (en) | 2013-12-13 | 2024-10-01 | 苹果公司 | Integrated touch and display architecture for self-capacitance touch sensor |
| US10691235B2 (en) | 2013-12-13 | 2020-06-23 | Apple Inc. | On-cell touch architecture |
| KR101500227B1 (en)* | 2013-12-18 | 2015-03-06 | 현대자동차주식회사 | Sound wave touch pad |
| US11298075B2 (en) | 2013-12-19 | 2022-04-12 | Apple Inc. | Physiological monitoring method and system |
| CN105828705B (en) | 2013-12-20 | 2019-03-01 | 苹果公司 | Skin proximity and gap tilt effect sensor |
| JP6369805B2 (en)* | 2013-12-24 | 2018-08-08 | Tianma Japan株式会社 | Touch sensor device, electronic device, and touch gesture detection program |
| WO2015102590A1 (en) | 2013-12-30 | 2015-07-09 | Bodhi Technology Ventures Llc | Estimating skin pigmentation to estimate sunburn and melanoma risk |
| US9207794B2 (en)* | 2013-12-30 | 2015-12-08 | Google Inc. | Disambiguation of user intent on a touchscreen keyboard |
| WO2015102588A1 (en) | 2013-12-30 | 2015-07-09 | Apple Inc. | User identification system based on plethysmography |
| US9448631B2 (en) | 2013-12-31 | 2016-09-20 | Microsoft Technology Licensing, Llc | Input device haptics and pressure sensing |
| US9600172B2 (en) | 2014-01-03 | 2017-03-21 | Apple Inc. | Pull down navigation mode |
| US9507417B2 (en) | 2014-01-07 | 2016-11-29 | Aquifi, Inc. | Systems and methods for implementing head tracking based graphical user interfaces (GUI) that incorporate gesture reactive interface objects |
| JP6315443B2 (en)* | 2014-01-10 | 2018-04-25 | アルパイン株式会社 | Input device, input detection method for multi-touch operation, and input detection program |
| US10146376B2 (en) | 2014-01-16 | 2018-12-04 | Flatfrog Laboratories Ab | Light coupling in TIR-based optical touch systems |
| WO2015108480A1 (en) | 2014-01-16 | 2015-07-23 | Flatfrog Laboratories Ab | Improvements in tir-based optical touch systems of projection-type |
| US10073569B2 (en) | 2014-01-28 | 2018-09-11 | Apple Inc. | Integrated polarizer and conductive material |
| US9356562B2 (en) | 2014-01-30 | 2016-05-31 | Apple Inc. | Family of slew-enhanced operational transconductance amplifiers |
| US9619105B1 (en) | 2014-01-30 | 2017-04-11 | Aquifi, Inc. | Systems and methods for gesture based interaction with viewpoint dependent user interfaces |
| US9971459B2 (en) | 2014-01-31 | 2018-05-15 | Apple Inc. | Touch sensitive module with integrated sensor and artwork |
| US9430105B2 (en) | 2014-02-07 | 2016-08-30 | Apple Inc. | Frequency independent offset cancellation scheme in touch receiver channel |
| KR101873416B1 (en)* | 2014-02-07 | 2018-08-02 | 엘지전자 주식회사 | Method for sensing the touch and device thereof |
| US9514351B2 (en) | 2014-02-12 | 2016-12-06 | Apple Inc. | Processing a fingerprint for fingerprint matching |
| WO2015123322A1 (en) | 2014-02-12 | 2015-08-20 | Apple Inc. | Force determination employing sheet sensor and capacitive array |
| US10169957B2 (en) | 2014-02-13 | 2019-01-01 | Igt | Multiple player gaming station interaction systems and methods |
| US9576126B2 (en) | 2014-02-13 | 2017-02-21 | Apple Inc. | Updating a template for a biometric recognition device |
| US9379445B2 (en) | 2014-02-14 | 2016-06-28 | Apple Inc. | Electronic device with satellite navigation system slot antennas |
| US9759854B2 (en) | 2014-02-17 | 2017-09-12 | Microsoft Technology Licensing, Llc | Input device outer layer and backlighting |
| FR3017723B1 (en) | 2014-02-19 | 2017-07-21 | Fogale Nanotech | METHOD OF MAN-MACHINE INTERACTION BY COMBINING TOUCH-FREE AND CONTACTLESS CONTROLS |
| US9983731B2 (en)* | 2014-02-21 | 2018-05-29 | Qualcomm Incorporated | System and method for reducing shadow effects in touch systems |
| US9886062B2 (en) | 2014-02-28 | 2018-02-06 | Apple Inc. | Exposed glass article with enhanced stiffness for portable electronic device housing |
| JP6442755B2 (en) | 2014-02-28 | 2018-12-26 | 富士通コネクテッドテクノロジーズ株式会社 | Electronic device, control program, and control method |
| CN106062694A (en) | 2014-03-06 | 2016-10-26 | 统有限责任两合公司 | Method for controlling a display device at the edge of an information element to be displayed |
| US10156940B2 (en) | 2014-03-11 | 2018-12-18 | Apple Inc. | Panel mismatch compensation for touch enabled displays |
| US10122081B2 (en) | 2014-03-13 | 2018-11-06 | Google Technology Holdings LLC | Hand grip sensor for external chassis antenna |
| US9477337B2 (en) | 2014-03-14 | 2016-10-25 | Microsoft Technology Licensing, Llc | Conductive trace routing for display and bezel sensors |
| CN104932797A (en)* | 2014-03-17 | 2015-09-23 | 深圳富泰宏精密工业有限公司 | Gesture unlocking method and system |
| US9949359B2 (en) | 2014-03-18 | 2018-04-17 | Apple Inc. | Multi-layer thin-film coatings for system-in-package assemblies in portable electronic devices |
| US9913412B2 (en) | 2014-03-18 | 2018-03-06 | Apple Inc. | Shielding structures for system-in-package assemblies in portable electronic devices |
| US9583838B2 (en) | 2014-03-20 | 2017-02-28 | Apple Inc. | Electronic device with indirectly fed slot antennas |
| US9559425B2 (en) | 2014-03-20 | 2017-01-31 | Apple Inc. | Electronic device with slot antenna and proximity sensor |
| US10120420B2 (en) | 2014-03-21 | 2018-11-06 | Microsoft Technology Licensing, Llc | Lockable display and techniques enabling use of lockable displays |
| JP6139590B2 (en)* | 2014-03-24 | 2017-05-31 | 株式会社 ハイディープHiDeep Inc. | Touch detection method and touch detector for performing the same |
| KR102381284B1 (en) | 2014-04-08 | 2022-03-31 | 삼성디스플레이 주식회사 | Touch panel comprising touch sensor |
| WO2015160377A1 (en) | 2014-04-16 | 2015-10-22 | Wrostix Technologies Llc | Structure for pixelated self-capacitance |
| US10459623B2 (en)* | 2014-04-17 | 2019-10-29 | Microchip Technology Incorporated | Touch detection in a capacitive sensor system |
| WO2015163843A1 (en) | 2014-04-21 | 2015-10-29 | Rinand Solutions Llc | Mitigating noise in capacitive sensor |
| US9728858B2 (en) | 2014-04-24 | 2017-08-08 | Apple Inc. | Electronic devices with hybrid antennas |
| WO2015168071A1 (en) | 2014-04-28 | 2015-11-05 | Moogsoft, Inc. | Alert dashboard system and method from event clustering |
| US20160117074A1 (en)* | 2014-05-15 | 2016-04-28 | T+Ink, Inc. | Area input device and virtual keyboard |
| US9836165B2 (en) | 2014-05-16 | 2017-12-05 | Apple Inc. | Integrated silicon-OLED display and touch sensor panel |
| US9965108B2 (en) | 2014-05-16 | 2018-05-08 | Apple Inc. | Simultaneous self- and mutual capacitance sensing |
| US10133382B2 (en) | 2014-05-16 | 2018-11-20 | Apple Inc. | Structure for integrated touch screen |
| US9465456B2 (en) | 2014-05-20 | 2016-10-11 | Apple Inc. | Reduce stylus tip wobble when coupled to capacitive sensor |
| US9690417B2 (en) | 2014-05-21 | 2017-06-27 | Apple Inc. | Glove touch detection |
| US9569045B2 (en) | 2014-05-21 | 2017-02-14 | Apple Inc. | Stylus tilt and orientation estimation from touch sensor panel images |
| US9778789B2 (en)* | 2014-05-21 | 2017-10-03 | Apple Inc. | Touch rejection |
| JP6362412B2 (en)* | 2014-05-21 | 2018-07-25 | 株式会社半導体エネルギー研究所 | Input/Output Devices |
| WO2015178920A1 (en) | 2014-05-22 | 2015-11-26 | Onamp Research Llc | Panel bootstrapping architectures for in-cell self-capacitance |
| US9454272B2 (en) | 2014-05-22 | 2016-09-27 | Stmicroelectronics Asia Pacific Pte Ltd | Touch screen for stylus emitting wireless signals |
| US10558302B2 (en) | 2014-05-23 | 2020-02-11 | Apple Inc. | Coded integration of a self-capacitance array |
| US9367188B2 (en) | 2014-05-23 | 2016-06-14 | Apple Inc. | RC matching in a touch screen |
| WO2015183334A1 (en) | 2014-05-28 | 2015-12-03 | Pylemta Management Llc | Narrow border touch screen |
| US9851827B2 (en) | 2014-05-28 | 2017-12-26 | Corning Incorporated | Touch-screen assembly with rigid interface between cover sheet and frame |
| US9867575B2 (en) | 2014-08-22 | 2018-01-16 | Apple Inc. | Heart rate path optimizer |
| CN108090760B (en) | 2014-05-29 | 2022-04-29 | 苹果公司 | User interface for payments |
| US10043185B2 (en) | 2014-05-29 | 2018-08-07 | Apple Inc. | User interface for payments |
| DE202015004268U1 (en) | 2014-05-29 | 2015-11-13 | Apple Inc. | User interface for payments |
| DE202014004477U1 (en) | 2014-05-30 | 2014-09-15 | Apple Inc. | Device and graphical user interface for managing multi-page folders |
| JP6652935B2 (en) | 2014-05-30 | 2020-02-26 | アップル インコーポレイテッドApple Inc. | Health data aggregator |
| AU2015100490C4 (en) | 2014-05-30 | 2017-04-13 | Apple Inc. | Continuity |
| US10095345B2 (en) | 2014-05-30 | 2018-10-09 | Apple Inc. | Low power scan for device wake up and unlock |
| US10037217B2 (en) | 2014-05-30 | 2018-07-31 | Apple Inc. | Device, method, and user interface for integrating application-centric libraries and file browser applications |
| WO2015183699A1 (en) | 2014-05-30 | 2015-12-03 | Apple Inc. | Predictive messaging method |
| US9785630B2 (en) | 2014-05-30 | 2017-10-10 | Apple Inc. | Text prediction using combined word N-gram and unigram language models |
| US9946771B2 (en) | 2014-05-30 | 2018-04-17 | Apple Inc. | User interface for searching |
| US9898162B2 (en) | 2014-05-30 | 2018-02-20 | Apple Inc. | Swiping functions for messaging applications |
| US10579212B2 (en) | 2014-05-30 | 2020-03-03 | Apple Inc. | Structured suggestions |
| US10078631B2 (en) | 2014-05-30 | 2018-09-18 | Apple Inc. | Entropy-guided text prediction using combined word and character n-gram language models |
| US10303295B2 (en) | 2014-05-30 | 2019-05-28 | Apple Inc. | Modifying an on-screen keyboard based on asymmetric touch drift |
| US9715875B2 (en) | 2014-05-30 | 2017-07-25 | Apple Inc. | Reducing the need for manual start/end-pointing and trigger phrases |
| US9842101B2 (en) | 2014-05-30 | 2017-12-12 | Apple Inc. | Predictive conversion of language input |
| WO2015183755A1 (en) | 2014-05-31 | 2015-12-03 | Apple Inc. | Message user interfaces for captured and transmittal of media and location |
| US10788917B2 (en)* | 2014-05-30 | 2020-09-29 | Rakuten, Inc. | Input device, input method and program |
| US9430463B2 (en) | 2014-05-30 | 2016-08-30 | Apple Inc. | Exemplar-based natural language processing |
| US9851853B2 (en) | 2014-05-30 | 2017-12-26 | Apple Inc. | Low power scan for device wake up and unlock |
| US9760559B2 (en) | 2014-05-30 | 2017-09-12 | Apple Inc. | Predictive text input |
| WO2015183398A1 (en) | 2014-05-30 | 2015-12-03 | Apple Inc. | Family accounts for an online content storage sharing service |
| US10789642B2 (en) | 2014-05-30 | 2020-09-29 | Apple Inc. | Family accounts for an online content storage sharing service |
| US10565219B2 (en) | 2014-05-30 | 2020-02-18 | Apple Inc. | Techniques for automatically generating a suggested contact based on a received message |
| EP3108342B1 (en) | 2014-05-30 | 2019-10-23 | Apple Inc. | Transition from use of one device to another |
| US10313506B2 (en) | 2014-05-30 | 2019-06-04 | Apple Inc. | Wellness aggregator |
| CN106415630A (en) | 2014-05-30 | 2017-02-15 | 苹果公司 | Home account for online content storage sharing service |
| US9967401B2 (en) | 2014-05-30 | 2018-05-08 | Apple Inc. | User interface for phone call routing among devices |
| US9451425B2 (en) | 2014-05-30 | 2016-09-20 | Apple Inc. | Unified message delivery between portable electronic devices |
| WO2015183336A1 (en) | 2014-05-30 | 2015-12-03 | Apple Inc. | Battery usage tracking user interface |
| CN110797019B (en) | 2014-05-30 | 2023-08-29 | 苹果公司 | Multi-command single speech input method |
| US10382378B2 (en) | 2014-05-31 | 2019-08-13 | Apple Inc. | Live location sharing |
| US9185062B1 (en) | 2014-05-31 | 2015-11-10 | Apple Inc. | Message user interfaces for capture and transmittal of media and location content |
| US9971500B2 (en) | 2014-06-01 | 2018-05-15 | Apple Inc. | Displaying options, assigning notification, ignoring messages, and simultaneous user interface displays in a messaging application |
| TWI641986B (en)* | 2014-06-01 | 2018-11-21 | 美商英特爾公司 | Method, electronic device and computer readable medium for determining the number of users and their respective positions relative to a device |
| CN105224114A (en)* | 2014-06-11 | 2016-01-06 | 天津富纳源创科技有限公司 | Touch plate control method |
| US9870083B2 (en) | 2014-06-12 | 2018-01-16 | Microsoft Technology Licensing, Llc | Multi-device multi-user sensor correlation for pen and computing device interaction |
| US9727161B2 (en) | 2014-06-12 | 2017-08-08 | Microsoft Technology Licensing, Llc | Sensor correlation for pen and touch-sensitive computing device interaction |
| US9766702B2 (en) | 2014-06-19 | 2017-09-19 | Apple Inc. | User detection by a computing device |
| US10212844B2 (en) | 2014-06-20 | 2019-02-19 | Dell Products, Lp | System and method for improving fan life in an information handling system |
| US9811204B2 (en) | 2014-06-23 | 2017-11-07 | Apple Inc. | Time multiplexed touch detection and power charging |
| KR102398394B1 (en) | 2014-06-24 | 2022-05-16 | 애플 인크. | Input device and user interface interactions |
| EP3105669B1 (en) | 2014-06-24 | 2021-05-26 | Apple Inc. | Application menu for video system |
| CN111782130B (en) | 2014-06-24 | 2024-03-29 | 苹果公司 | Column interface for navigating in a user interface |
| US9841876B2 (en) | 2014-06-24 | 2017-12-12 | Apple Inc. | Music now playing user interface |
| CN106462283B (en) | 2014-06-24 | 2019-06-11 | 苹果公司 | Character recognition on computing devices |
| CN104035714B (en)* | 2014-06-24 | 2017-05-03 | 中科创达软件股份有限公司 | Event processing method, device and equipment based on Android system |
| US9820373B2 (en) | 2014-06-26 | 2017-11-14 | Apple Inc. | Thermal solutions for system-in-package assemblies in portable electronic devices |
| EP3147747A1 (en) | 2014-06-27 | 2017-03-29 | Apple Inc. | Manipulation of calendar application in device with touch screen |
| US9999280B2 (en) | 2014-06-27 | 2018-06-19 | David Gareth Zebley | Interactive bracelet for practicing an activity between user devices |
| US10289251B2 (en) | 2014-06-27 | 2019-05-14 | Apple Inc. | Reducing floating ground effects in pixelated self-capacitance touch screens |
| EP3161594A4 (en) | 2014-06-27 | 2018-01-17 | FlatFrog Laboratories AB | Detection of surface contamination |
| US10659851B2 (en) | 2014-06-30 | 2020-05-19 | Apple Inc. | Real-time digital assistant knowledge updates |
| US9338493B2 (en) | 2014-06-30 | 2016-05-10 | Apple Inc. | Intelligent automated assistant for TV user interactions |
| US9280251B2 (en) | 2014-07-11 | 2016-03-08 | Apple Inc. | Funneled touch sensor routing |
| US10190891B1 (en) | 2014-07-16 | 2019-01-29 | Apple Inc. | Optical encoder for detecting rotational and axial movement |
| US10372271B2 (en) | 2014-07-18 | 2019-08-06 | Apple Inc. | Adjustment of touch sensing stimulation voltage levels based on touch performance |
| TWI647608B (en) | 2014-07-21 | 2019-01-11 | 美商蘋果公司 | Remote user interface |
| US10452105B2 (en) | 2016-01-19 | 2019-10-22 | BEAM Authentic Inc. | Mobile device case for holding a display device |
| JP6731406B2 (en) | 2014-07-21 | 2020-07-29 | ビーム オーセンティック,インコーポレイテッド | Wearable display device |
| US9504620B2 (en) | 2014-07-23 | 2016-11-29 | American Sterilizer Company | Method of controlling a pressurized mattress system for a support structure |
| US9584876B2 (en) | 2014-07-23 | 2017-02-28 | Highlands Technologies Solutions | System and method for creating and displaying recipient gifts for display at a venue display |
| EP2977882A1 (en) | 2014-07-25 | 2016-01-27 | Motorola Solutions, Inc. | Method and apparatus for identifying fingers in contact with a touch screen |
| US10743255B2 (en) | 2014-07-25 | 2020-08-11 | Apple Inc. | Power optimization modes for communication between device and server |
| WO2016018929A1 (en) | 2014-07-28 | 2016-02-04 | Beam Authentic, LLC | Mountable display devices |
| US10656810B2 (en) | 2014-07-28 | 2020-05-19 | Hewlett-Packard Development Company, L.P. | Image background removal using multi-touch surface input |
| US10324733B2 (en) | 2014-07-30 | 2019-06-18 | Microsoft Technology Licensing, Llc | Shutdown notifications |
| KR102511376B1 (en) | 2014-08-02 | 2023-03-17 | 애플 인크. | Context-specific user interfaces |
| US9640028B2 (en) | 2015-07-29 | 2017-05-02 | Mido Play, Inc. | Single platform system for multiple jurisdiction lotteries |
| CN114115459B (en) | 2014-08-06 | 2024-04-12 | 苹果公司 | Reduced size user interface for battery management |
| US10475290B2 (en) | 2014-08-06 | 2019-11-12 | Mido Play Inc. | System for multiple jurisdiction lotteries with fraud detection |
| US11244533B2 (en) | 2014-08-06 | 2022-02-08 | Lottery Now, Inc. | Systems for multiple legal game providers and multiple jurisdictions with asynchronous meta games |
| US9659460B2 (en) | 2015-06-03 | 2017-05-23 | Mido Play Inc. | Methods for multiple legal game providers and multiple jurisdictions with a single platform |
| US10228751B2 (en) | 2014-08-06 | 2019-03-12 | Apple Inc. | Low power mode |
| US12154413B2 (en) | 2014-08-06 | 2024-11-26 | Lottery Now, Inc. | Systems for multiple legal game providers with digital ledger |
| US9734659B2 (en) | 2014-08-06 | 2017-08-15 | Mido Play Inc. | Single platform system for multiple jurisdiction lotteries and social media |
| US10275031B2 (en) | 2014-08-07 | 2019-04-30 | E2C Ltd. | Enhanced accessibility in portable multifunction devices |
| US10758133B2 (en) | 2014-08-07 | 2020-09-01 | Apple Inc. | Motion artifact removal by time domain projection |
| US9740839B2 (en) | 2014-08-13 | 2017-08-22 | Google Technology Holdings LLC | Computing device chording authentication and control |
| US10339293B2 (en) | 2014-08-15 | 2019-07-02 | Apple Inc. | Authenticated device used to unlock another device |
| US10452253B2 (en) | 2014-08-15 | 2019-10-22 | Apple Inc. | Weather user interface |
| WO2016025853A1 (en) | 2014-08-15 | 2016-02-18 | Beam Authentic, LLC | Systems for displaying media on display devices |
| AU2015302298A1 (en) | 2014-08-15 | 2017-03-02 | Apple Inc. | Authenticated device used to unlock another device |
| KR101631095B1 (en)* | 2014-08-20 | 2016-06-16 | 크루셜텍 (주) | Method and apparatus for detecting touch by cluster, touch screen panel comprising the same |
| US10201286B2 (en) | 2014-08-22 | 2019-02-12 | Apple Inc. | Frequency domain projection algorithm |
| WO2016032806A1 (en) | 2014-08-26 | 2016-03-03 | Apple Inc. | User interface for limiting notifications and alerts |
| US9647489B2 (en) | 2014-08-26 | 2017-05-09 | Apple Inc. | Brownout avoidance |
| US9841887B2 (en) | 2014-08-27 | 2017-12-12 | Apple Inc. | Anchoring viewport |
| US10092197B2 (en) | 2014-08-27 | 2018-10-09 | Apple Inc. | Reflective surfaces for PPG signal detection |
| US9886179B2 (en) | 2014-08-27 | 2018-02-06 | Apple Inc. | Anchored approach to scrolling |
| US10446141B2 (en) | 2014-08-28 | 2019-10-15 | Apple Inc. | Automatic speech recognition based on user feedback |
| WO2016036427A1 (en) | 2014-09-02 | 2016-03-10 | Apple Inc. | Electronic device with rotatable input mechanism |
| US10215698B2 (en) | 2014-09-02 | 2019-02-26 | Apple Inc. | Multiple light paths architecture and obscuration methods for signal and perfusion index optimization |
| TWI676127B (en) | 2014-09-02 | 2019-11-01 | 美商蘋果公司 | Method, system, electronic device and computer-readable storage medium regarding electronic mail user interface |
| WO2016036603A1 (en) | 2014-09-02 | 2016-03-10 | Apple Inc. | Reduced size configuration interface |
| WO2016036415A1 (en) | 2014-09-02 | 2016-03-10 | Apple Inc. | Electronic message user interface |
| US9880655B2 (en) | 2014-09-02 | 2018-01-30 | Apple Inc. | Method of disambiguating water from a finger touch on a touch sensor panel |
| WO2016036546A2 (en) | 2014-09-02 | 2016-03-10 | Apple Inc. | Reduced-size notification interface |
| CN106662966B (en) | 2014-09-02 | 2020-08-18 | 苹果公司 | Multi-dimensional object rearrangement |
| EP4462246A3 (en) | 2014-09-02 | 2024-11-27 | Apple Inc. | User interface for receiving user input |
| DE202015006142U1 (en) | 2014-09-02 | 2015-12-09 | Apple Inc. | Electronic touch communication |
| KR102143308B1 (en) | 2014-09-02 | 2020-08-10 | 애플 인크. | Reduced-size interfaces for managing alerts |
| CN115665320B (en) | 2014-09-02 | 2024-10-11 | 苹果公司 | Electronic device, storage medium, and method for operating an electronic device |
| CN117038008A (en) | 2014-09-02 | 2023-11-10 | 苹果公司 | Physical activity and fitness monitor |
| US9661495B2 (en) | 2014-09-02 | 2017-05-23 | Apple Inc. | Device activation method and system |
| TWI582641B (en) | 2014-09-02 | 2017-05-11 | 蘋果公司 | Button functionality |
| CN106797493A (en) | 2014-09-02 | 2017-05-31 | 苹果公司 | Music user interface |
| EP3189431A1 (en) | 2014-09-02 | 2017-07-12 | Apple Inc. | Location determination using communicatively coupled electronic devices |
| US10203803B2 (en)* | 2014-09-02 | 2019-02-12 | Apple Inc. | Touch scan modes during device charging |
| US20160065374A1 (en) | 2014-09-02 | 2016-03-03 | Apple Inc. | Method of using one device to unlock another device |
| TWI600322B (en) | 2014-09-02 | 2017-09-21 | 蘋果公司 | Method for operating an electronic device with an integratd camera and related electronic device and non-transitory computer readable storage medium |
| US10042484B1 (en) | 2014-09-02 | 2018-08-07 | Apple Inc. | Coupling correction in capacitive touch panels |
| US10254948B2 (en) | 2014-09-02 | 2019-04-09 | Apple Inc. | Reduced-size user interfaces for dynamically updated application overviews |
| US20160062571A1 (en) | 2014-09-02 | 2016-03-03 | Apple Inc. | Reduced size user interface |
| WO2016036552A1 (en) | 2014-09-02 | 2016-03-10 | Apple Inc. | User interactions for a mapping application |
| TW201610741A (en)* | 2014-09-05 | 2016-03-16 | 揚昇照明股份有限公司 | Touch apparatus and unlocking method thereof |
| FR3025623B1 (en) | 2014-09-05 | 2017-12-15 | Fogale Nanotech | CONTROL INTERFACE DEVICE AND FINGERPRINT SENSOR |
| US9818400B2 (en) | 2014-09-11 | 2017-11-14 | Apple Inc. | Method and apparatus for discovering trending terms in speech requests |
| US9329715B2 (en) | 2014-09-11 | 2016-05-03 | Qeexo, Co. | Method and apparatus for differentiating touch screen users based on touch event analysis |
| US10789041B2 (en) | 2014-09-12 | 2020-09-29 | Apple Inc. | Dynamic thresholds for always listening speech trigger |
| US11619983B2 (en) | 2014-09-15 | 2023-04-04 | Qeexo, Co. | Method and apparatus for resolving touch screen ambiguities |
| US9424048B2 (en) | 2014-09-15 | 2016-08-23 | Microsoft Technology Licensing, Llc | Inductive peripheral retention device |
| WO2016048269A1 (en) | 2014-09-22 | 2016-03-31 | Onamp Research Llc | Ungrounded user signal compensation for pixelated self-capacitance touch sensor panel |
| WO2016048310A1 (en) | 2014-09-24 | 2016-03-31 | Fortulabs Technologies Llc | Management of the channel bar |
| US10606417B2 (en)* | 2014-09-24 | 2020-03-31 | Qeexo, Co. | Method for improving accuracy of touch screen event analysis by use of spatiotemporal touch patterns |
| KR101973045B1 (en) | 2014-09-24 | 2019-04-26 | 애플 인크. | Management of the channel bar |
| US10282024B2 (en) | 2014-09-25 | 2019-05-07 | Qeexo, Co. | Classifying contacts or associations with a touch sensitive device |
| US10712858B2 (en)* | 2014-09-25 | 2020-07-14 | Qeexo, Co. | Method and apparatus for classifying contacts with a touch sensitive device |
| JP6089305B2 (en)* | 2014-09-26 | 2017-03-08 | 裕一朗 今田 | Pointing device |
| US10338725B2 (en) | 2014-09-29 | 2019-07-02 | Microsoft Technology Licensing, Llc | Wet ink predictor |
| US9880649B2 (en) | 2014-09-29 | 2018-01-30 | Apple Inc. | Touch, pen and force sensor operation with variable refresh displays |
| US10488936B2 (en) | 2014-09-30 | 2019-11-26 | Apple Inc. | Motion and gesture input from a wearable device |
| US10231033B1 (en) | 2014-09-30 | 2019-03-12 | Apple Inc. | Synchronizing out-of-band content with a media stream |
| US10114883B1 (en) | 2014-09-30 | 2018-10-30 | Apple Inc. | Generating preferred metadata for content items |
| US10001760B1 (en) | 2014-09-30 | 2018-06-19 | Hrl Laboratories, Llc | Adaptive control system capable of recovering from unexpected situations |
| US9773409B1 (en) | 2014-09-30 | 2017-09-26 | Apple Inc. | Automatically configuring a remote control for a device |
| US10074360B2 (en) | 2014-09-30 | 2018-09-11 | Apple Inc. | Providing an indication of the suitability of speech recognition |
| US9691270B1 (en) | 2014-09-30 | 2017-06-27 | Apple Inc. | Automatically configuring a remote control for a device |
| US9668121B2 (en) | 2014-09-30 | 2017-05-30 | Apple Inc. | Social reminders |
| US10708391B1 (en) | 2014-09-30 | 2020-07-07 | Apple Inc. | Delivery of apps in a media stream |
| US9886432B2 (en) | 2014-09-30 | 2018-02-06 | Apple Inc. | Parsimonious handling of word inflection via categorical stem + suffix N-gram language models |
| US10405044B1 (en) | 2014-09-30 | 2019-09-03 | Apple Inc. | Content notification system and method |
| US9646609B2 (en) | 2014-09-30 | 2017-05-09 | Apple Inc. | Caching apparatus for serving phonetic pronunciations |
| US10127911B2 (en) | 2014-09-30 | 2018-11-13 | Apple Inc. | Speaker identification and unsupervised speaker adaptation techniques |
| US10776739B2 (en) | 2014-09-30 | 2020-09-15 | Apple Inc. | Fitness challenge E-awards |
| US9600112B2 (en) | 2014-10-10 | 2017-03-21 | Apple Inc. | Signal trace patterns for flexible substrates |
| US10748439B1 (en) | 2014-10-13 | 2020-08-18 | The Cognitive Healthcare Company | Automated delivery of unique, equivalent task versions for computer delivered testing environments |
| US10444980B1 (en)* | 2014-10-13 | 2019-10-15 | The Cognitive Healthcare Company | Biomechanical motion measurement and analysis for self-administered tests |
| US10383553B1 (en) | 2014-10-14 | 2019-08-20 | The Cognitive Healthcare Company | Data collection and analysis for self-administered cognitive tests characterizing fine motor functions |
| US10038443B2 (en) | 2014-10-20 | 2018-07-31 | Ford Global Technologies, Llc | Directional proximity switch assembly |
| EP3213173A4 (en) | 2014-10-27 | 2018-06-06 | Apple Inc. | Pixelated self-capacitance water rejection |
| US9092766B1 (en) | 2014-10-28 | 2015-07-28 | Poynt Co. | Payment terminal system and method of use |
| FR3028061B1 (en) | 2014-10-29 | 2016-12-30 | Fogale Nanotech | CAPACITIVE SENSOR DEVICE COMPRISING ADJUSTED ELECTRODES |
| KR102368044B1 (en)* | 2014-11-03 | 2022-02-25 | 삼성전자주식회사 | User terminal device and method for controlling the user terminal device thereof |
| US9632602B2 (en)* | 2014-11-04 | 2017-04-25 | Microsoft Technology Licensing, Llc | Fabric laminated touch input device |
| WO2016072983A1 (en) | 2014-11-05 | 2016-05-12 | Onamp Research Llc | Common electrode driving and compensation for pixelated self-capacitance touch screen |
| US9710076B2 (en)* | 2014-11-12 | 2017-07-18 | Successfactors, Inc. | Precise selection behavior for sliders by interpreting a second finger touch |
| USD788813S1 (en)* | 2014-11-14 | 2017-06-06 | Microsoft Corporation | Display screen with icon |
| US9542588B2 (en)* | 2014-11-17 | 2017-01-10 | Cypress Semiconductor Corporations | Capacitive fingerprint sensor with quadrature demodulator and multiphase scanning |
| US20160154555A1 (en)* | 2014-12-02 | 2016-06-02 | Lenovo (Singapore) Pte. Ltd. | Initiating application and performing function based on input |
| US10552013B2 (en) | 2014-12-02 | 2020-02-04 | Apple Inc. | Data detection |
| US10067618B2 (en) | 2014-12-04 | 2018-09-04 | Apple Inc. | Coarse scan and targeted active mode scan for touch |
| KR101630153B1 (en)* | 2014-12-10 | 2016-06-24 | 현대자동차주식회사 | Gesture recognition apparatus, vehicle having of the same and method for controlling of vehicle |
| EP3234632B1 (en)* | 2014-12-15 | 2021-04-28 | Courtius Oy | Detection of acoustic events |
| USD786300S1 (en)* | 2014-12-16 | 2017-05-09 | Bioinventors & Entrepeneurs Network Llc | Display screen or portion thereof with a graphical user interface |
| USD776713S1 (en)* | 2014-12-17 | 2017-01-17 | Rgi Informatics, Llc | Display device with a timeline graphical user interface |
| DE102015200011A1 (en)* | 2015-01-02 | 2016-07-07 | Volkswagen Ag | User interface and method for outputting a response via a user input made by means of a finger bar |
| RU2672652C1 (en)* | 2014-12-22 | 2018-11-16 | Новелис Инк. | Clad sheets for heat exchangers |
| CN107430263B (en) | 2014-12-23 | 2020-12-01 | 苹果公司 | Confocal inspection system with average illumination path and average collection path |
| WO2016106350A1 (en) | 2014-12-23 | 2016-06-30 | Bribbla Dynamics Llc | Confocal inspection system having non-overlapping annular illumination and collection regions |
| AU2015374335B2 (en) | 2014-12-23 | 2018-03-29 | Apple Inc. | Optical inspection system and method including accounting for variations of optical path length within a sample |
| US9851805B2 (en) | 2014-12-24 | 2017-12-26 | Immersion Corporation | Systems and methods for haptically-enabled holders |
| WO2016109807A1 (en) | 2015-01-02 | 2016-07-07 | Hello, Inc. | Room monitoring device and sleep analysis |
| CN107111388B (en) | 2015-01-04 | 2020-06-05 | 微软技术许可有限责任公司 | Method and apparatus for communicating with a universal stylus of a digitizer |
| US20160202865A1 (en) | 2015-01-08 | 2016-07-14 | Apple Inc. | Coordination of static backgrounds and rubberbanding |
| WO2016112355A2 (en) | 2015-01-09 | 2016-07-14 | Apple Inc. | Polarization selective, frequency selective, and wide dynamic range detectors, imaging arrays, readout integrated circuits, and sensor systems |
| US10345962B2 (en) | 2015-01-23 | 2019-07-09 | Apple Inc. | Touch panel with non-uniform touch node layout |
| US11817993B2 (en) | 2015-01-27 | 2023-11-14 | Dell Products L.P. | System for decomposing events and unstructured data |
| US10979304B2 (en) | 2015-01-27 | 2021-04-13 | Moogsoft Inc. | Agent technology system with monitoring policy |
| US11924018B2 (en) | 2015-01-27 | 2024-03-05 | Dell Products L.P. | System for decomposing events and unstructured data |
| JP6766052B2 (en) | 2015-01-27 | 2020-10-07 | アップル インコーポレイテッドApple Inc. | Systems and methods for determining sleep quality |
| US9817513B2 (en) | 2015-01-27 | 2017-11-14 | Apple Inc. | Sense amplifier stabilization with switched series resistor |
| US10425291B2 (en) | 2015-01-27 | 2019-09-24 | Moogsoft Inc. | System for decomposing events from managed infrastructures with prediction of a networks topology |
| US10873508B2 (en) | 2015-01-27 | 2020-12-22 | Moogsoft Inc. | Modularity and similarity graphics system with monitoring policy |
| EP3250993B1 (en) | 2015-01-28 | 2019-09-04 | FlatFrog Laboratories AB | Dynamic touch quarantine frames |
| US9552097B2 (en)* | 2015-01-28 | 2017-01-24 | Qualcomm Incorporated | Techniques for discerning between intended and unintended gestures on wearable touch-sensitive fabric |
| US9338627B1 (en) | 2015-01-28 | 2016-05-10 | Arati P Singh | Portable device for indicating emergency events |
| US10318074B2 (en) | 2015-01-30 | 2019-06-11 | Flatfrog Laboratories Ab | Touch-sensing OLED display with tilted emitters |
| US20160224973A1 (en) | 2015-02-01 | 2016-08-04 | Apple Inc. | User interface for payments |
| US10054720B2 (en) | 2015-02-02 | 2018-08-21 | Apple Inc. | Fresnel lens barrier rings |
| US10795488B2 (en) | 2015-02-02 | 2020-10-06 | Apple Inc. | Flexible self-capacitance and mutual capacitance touch sensing system architecture |
| FR3032287B1 (en) | 2015-02-04 | 2018-03-09 | Quickstep Technologies Llc | MULTILAYER CAPACITIVE DETECTION DEVICE, AND APPARATUS COMPRISING THE DEVICE |
| US9875346B2 (en) | 2015-02-06 | 2018-01-23 | Apple Inc. | Setting and terminating restricted mode operation on electronic devices |
| US10824279B2 (en) | 2015-02-06 | 2020-11-03 | Apple Inc. | Remote feedback tapping for a touch sensor panel driving circuit |
| US10496227B2 (en) | 2015-02-09 | 2019-12-03 | Flatfrog Laboratories Ab | Optical touch system comprising means for projecting and detecting light beams above and inside a transmissive panel |
| US10031638B2 (en)* | 2015-02-10 | 2018-07-24 | Etter Studio Ltd. | Multi-touch GUI featuring directional compression and expansion of graphical content |
| WO2016131010A1 (en) | 2015-02-13 | 2016-08-18 | Apple Inc. | Charge pump having ac and dc outputs for touch panel bootstrapping and substrate biasing |
| US9574896B2 (en) | 2015-02-13 | 2017-02-21 | Apple Inc. | Navigation user interface |
| US9965173B2 (en) | 2015-02-13 | 2018-05-08 | Samsung Electronics Co., Ltd. | Apparatus and method for precise multi-touch input |
| US10306047B2 (en) | 2015-02-23 | 2019-05-28 | Apple Inc. | Mechanism for providing user-programmable button |
| WO2016138535A1 (en)* | 2015-02-27 | 2016-09-01 | Tactual Labs Co. | Multitouch frame matching with distance fields |
| FR3033203B1 (en) | 2015-02-27 | 2018-03-23 | Quickstep Technologies Llc | METHOD FOR INTERACTING WITH AN ELECTRONIC AND / OR COMPUTER APPARATUS IMPLEMENTING A CAPACITIVE CONTROL SURFACE AND A PERIPHERAL SURFACE, INTERFACE AND APPARATUS IMPLEMENTING SAID METHOD |
| CN104615378A (en)* | 2015-02-28 | 2015-05-13 | 联想(北京)有限公司 | Information processing method and electronic equipment |
| US10289192B2 (en)* | 2015-03-01 | 2019-05-14 | Tactical Haptics | Embedded grasp sensing devices, systems, and methods |
| US10401546B2 (en) | 2015-03-02 | 2019-09-03 | Flatfrog Laboratories Ab | Optical component for light coupling |
| US10466883B2 (en) | 2015-03-02 | 2019-11-05 | Apple Inc. | Screenreader user interface |
| US10037100B2 (en) | 2015-03-02 | 2018-07-31 | Apple Inc. | SNR-aware active mode touch scans with electrode reallocation |
| US10365807B2 (en) | 2015-03-02 | 2019-07-30 | Apple Inc. | Control of system zoom magnification using a rotatable input mechanism |
| US9865280B2 (en) | 2015-03-06 | 2018-01-09 | Apple Inc. | Structured dictation using intelligent automated assistants |
| US10006937B2 (en) | 2015-03-06 | 2018-06-26 | Apple Inc. | Capacitive sensors for electronic devices and methods of forming the same |
| US20180083421A1 (en) | 2015-03-06 | 2018-03-22 | Apple Inc. | Independent control of emission wavelength and output power of a semiconductor laser |
| US10055121B2 (en) | 2015-03-07 | 2018-08-21 | Apple Inc. | Activity based thresholds and feedbacks |
| US9886953B2 (en) | 2015-03-08 | 2018-02-06 | Apple Inc. | Virtual assistant activation |
| WO2016144977A1 (en) | 2015-03-08 | 2016-09-15 | Apple Inc. | Sharing user-configurable graphical constructs |
| WO2016144385A1 (en) | 2015-03-08 | 2016-09-15 | Apple Inc. | Sharing user-configurable graphical constructs |
| US9645732B2 (en) | 2015-03-08 | 2017-05-09 | Apple Inc. | Devices, methods, and graphical user interfaces for displaying and using menus |
| US10567477B2 (en) | 2015-03-08 | 2020-02-18 | Apple Inc. | Virtual assistant continuity |
| US10048757B2 (en) | 2015-03-08 | 2018-08-14 | Apple Inc. | Devices and methods for controlling media presentation |
| US10095396B2 (en) | 2015-03-08 | 2018-10-09 | Apple Inc. | Devices, methods, and graphical user interfaces for interacting with a control object while dragging another object |
| KR20170107570A (en) | 2015-03-08 | 2017-09-25 | 애플 인크. | User interface using rotatable input mechanism |
| US9721566B2 (en) | 2015-03-08 | 2017-08-01 | Apple Inc. | Competing devices responding to voice triggers |
| US10216351B2 (en) | 2015-03-08 | 2019-02-26 | Apple Inc. | Device configuration user interface |
| US10048788B2 (en) | 2015-03-09 | 2018-08-14 | Apple Inc. | Touch screen display uniformity |
| US10244175B2 (en) | 2015-03-09 | 2019-03-26 | Apple Inc. | Automatic cropping of video content |
| CA2978726A1 (en)* | 2015-03-10 | 2016-09-15 | Marcio Marc Abreu | System and apparatus for biometric identification of a unique user and authorization of the unique user |
| US10488992B2 (en) | 2015-03-10 | 2019-11-26 | Apple Inc. | Multi-chip touch architecture for scalability |
| US9804717B2 (en) | 2015-03-11 | 2017-10-31 | Synaptics Incorporated | Input sensing and exclusion |
| JP2016170281A (en)* | 2015-03-12 | 2016-09-23 | セイコーエプソン株式会社 | Image forming system and connecting unit |
| US9654103B2 (en) | 2015-03-18 | 2017-05-16 | Ford Global Technologies, Llc | Proximity switch assembly having haptic feedback and method |
| US9899019B2 (en) | 2015-03-18 | 2018-02-20 | Apple Inc. | Systems and methods for structured stem and suffix language models |
| US10095361B2 (en) | 2015-03-18 | 2018-10-09 | Microsoft Technology Licensing, Llc | Stylus detection with capacitive based digitizer sensor |
| US9785305B2 (en) | 2015-03-19 | 2017-10-10 | Apple Inc. | Touch input cursor manipulation |
| US9898126B2 (en) | 2015-03-31 | 2018-02-20 | Toshiba Global Commerce Solutions Holdings Corporation | User defined active zones for touch screen displays on hand held device |
| US20170045981A1 (en) | 2015-08-10 | 2017-02-16 | Apple Inc. | Devices and Methods for Processing Touch Inputs Based on Their Intensities |
| US9942576B2 (en) | 2015-04-06 | 2018-04-10 | Apple Inc. | Method and system for remote battery notification |
| US9842105B2 (en) | 2015-04-16 | 2017-12-12 | Apple Inc. | Parsimonious continuous-space phrase representations for natural language processing |
| US9727151B2 (en) | 2015-04-16 | 2017-08-08 | Google Inc. | Avoiding accidental cursor movement when contacting a surface of a trackpad |
| US9684407B2 (en)* | 2015-04-22 | 2017-06-20 | Samsung Electronics Co., Ltd. | Method and apparatus for determining shape and orientation of a touch object on handheld devices |
| KR20170028411A (en) | 2015-04-23 | 2017-03-13 | 선전 후이딩 테크놀로지 컴퍼니 리미티드 | Multifunction fingerprint sensor |
| EP3286915B1 (en) | 2015-04-23 | 2021-12-08 | Apple Inc. | Digital viewfinder user interface for multiple cameras |
| US9921696B2 (en) | 2015-04-24 | 2018-03-20 | Apple Inc. | Sensor with diffusing resistor |
| US10353516B2 (en) | 2015-04-24 | 2019-07-16 | Apple Inc. | Merged floating pixels in a touch screen |
| US10117587B2 (en) | 2015-04-27 | 2018-11-06 | Apple Inc. | Dynamically reconfigurable apertures for optimization of PPG signal and ambient light mitigation |
| US10146359B2 (en) | 2015-04-28 | 2018-12-04 | Apple Inc. | Common electrode auto-compensation method |
| US10437385B2 (en) | 2015-04-28 | 2019-10-08 | Apple Inc. | Sensor design for capacitance sensing |
| US11437779B2 (en) | 2015-04-30 | 2022-09-06 | Apple Inc. | Vernier effect DBR lasers incorporating integrated tuning elements |
| US10095403B2 (en) | 2015-05-05 | 2018-10-09 | International Business Machines Corporation | Text input on devices with touch screen displays |
| US10218052B2 (en) | 2015-05-12 | 2019-02-26 | Apple Inc. | Electronic device with tunable hybrid antennas |
| US9443501B1 (en) | 2015-05-13 | 2016-09-13 | Apple Inc. | Method and system of note selection and manipulation |
| US10152162B1 (en) | 2015-05-15 | 2018-12-11 | Apple Inc. | Method of optimizing touch detection |
| US9766370B2 (en) | 2015-05-18 | 2017-09-19 | Apple Inc. | Wrist-detection algorithm |
| US9548733B2 (en) | 2015-05-20 | 2017-01-17 | Ford Global Technologies, Llc | Proximity sensor assembly having interleaved electrode configuration |
| US9930287B2 (en) | 2015-05-22 | 2018-03-27 | Apple Inc. | Virtual noticeboard user interaction |
| US10083688B2 (en) | 2015-05-27 | 2018-09-25 | Apple Inc. | Device voice control for selecting a displayed affordance |
| DE202015003894U1 (en) | 2015-05-28 | 2015-09-17 | Apple Inc. | Health data aggregator |
| US10977476B2 (en)* | 2015-06-01 | 2021-04-13 | Beijing Boe Optoelectronics Technology Co., Ltd. | Dermatoglyphics data acquisition device, acquisition method thereof and display device |
| US10222889B2 (en) | 2015-06-03 | 2019-03-05 | Microsoft Technology Licensing, Llc | Force inputs and cursor control |
| US10416799B2 (en) | 2015-06-03 | 2019-09-17 | Microsoft Technology Licensing, Llc | Force sensing and inadvertent input control of an input device |
| US10127220B2 (en) | 2015-06-04 | 2018-11-13 | Apple Inc. | Language identification from short strings |
| US20160357354A1 (en) | 2015-06-04 | 2016-12-08 | Apple Inc. | Condition-based activation of a user interface |
| US9940637B2 (en) | 2015-06-05 | 2018-04-10 | Apple Inc. | User interface for loyalty accounts and private label accounts |
| US9880824B2 (en) | 2015-06-05 | 2018-01-30 | Apple Inc. | On demand resources |
| US10868672B1 (en) | 2015-06-05 | 2020-12-15 | Apple Inc. | Establishing and verifying identity using biometrics while protecting user privacy |
| US11140171B1 (en) | 2015-06-05 | 2021-10-05 | Apple Inc. | Establishing and verifying identity using action sequences while protecting user privacy |
| US9578173B2 (en) | 2015-06-05 | 2017-02-21 | Apple Inc. | Virtual assistant aided communication with 3rd party service in a communication session |
| US9916075B2 (en) | 2015-06-05 | 2018-03-13 | Apple Inc. | Formatting content for a reduced-size user interface |
| US10447812B2 (en) | 2015-06-05 | 2019-10-15 | Apple Inc. | On demand resources |
| US10083105B2 (en) | 2015-06-05 | 2018-09-25 | Apple Inc. | Smart advice to charge notification |
| US20160358133A1 (en) | 2015-06-05 | 2016-12-08 | Apple Inc. | User interface for loyalty accounts and private label accounts for a wearable device |
| US10101822B2 (en) | 2015-06-05 | 2018-10-16 | Apple Inc. | Language input correction |
| US9860451B2 (en) | 2015-06-07 | 2018-01-02 | Apple Inc. | Devices and methods for capturing and interacting with enhanced digital images |
| US10037216B2 (en) | 2015-06-07 | 2018-07-31 | Apple Inc. | Intelligent disabling of browser plugins |
| US10318525B2 (en) | 2015-06-07 | 2019-06-11 | Apple Inc. | Content browsing user interface |
| US10186254B2 (en) | 2015-06-07 | 2019-01-22 | Apple Inc. | Context-based endpoint detection |
| US10255907B2 (en) | 2015-06-07 | 2019-04-09 | Apple Inc. | Automatic accent detection using acoustic models |
| US11025565B2 (en) | 2015-06-07 | 2021-06-01 | Apple Inc. | Personalized prediction of responses for instant messaging |
| US9674426B2 (en) | 2015-06-07 | 2017-06-06 | Apple Inc. | Devices and methods for capturing and interacting with enhanced digital images |
| US10564770B1 (en) | 2015-06-09 | 2020-02-18 | Apple Inc. | Predictive touch detection |
| AU2016100651B4 (en) | 2015-06-18 | 2016-08-18 | Apple Inc. | Device, method, and graphical user interface for navigating media content |
| US9652125B2 (en) | 2015-06-18 | 2017-05-16 | Apple Inc. | Device, method, and graphical user interface for navigating media content |
| US9910533B2 (en) | 2015-06-19 | 2018-03-06 | Apple Inc. | Timing scheme for touch screen supporting variable refresh rate |
| US10156935B2 (en) | 2015-06-22 | 2018-12-18 | Samsung Electronics Co., Ltd. | Touch screen controller, touch sensing device, and touch sensing method |
| US10613643B2 (en) | 2015-06-25 | 2020-04-07 | Apple Inc. | Method for stylus touch-down and lift-off noise mitigation |
| US9921652B2 (en) | 2015-06-29 | 2018-03-20 | Apple Inc. | Input with haptic feedback |
| US9535501B1 (en) | 2015-06-29 | 2017-01-03 | Apple Inc. | Input with haptic feedback |
| US20160378747A1 (en) | 2015-06-29 | 2016-12-29 | Apple Inc. | Virtual assistant for media playback |
| US11334197B2 (en)* | 2015-07-27 | 2022-05-17 | Jordan A. Berger | Universal keyboard |
| US9785252B2 (en)* | 2015-07-28 | 2017-10-10 | Fitnii Inc. | Method for inputting multi-language texts |
| US10007421B2 (en)* | 2015-08-03 | 2018-06-26 | Lenovo (Singapore) Pte. Ltd. | Natural handwriting detection on a touch surface |
| US10386962B1 (en) | 2015-08-03 | 2019-08-20 | Apple Inc. | Reducing touch node electrode coupling |
| US9715301B2 (en) | 2015-08-04 | 2017-07-25 | Apple Inc. | Proximity edge sensing |
| US10003938B2 (en) | 2015-08-14 | 2018-06-19 | Apple Inc. | Easy location sharing |
| US9665769B2 (en) | 2015-08-18 | 2017-05-30 | International Business Machines Corporation | Handwriting recognition with natural user input on multitouch surfaces |
| DE112015006814T5 (en) | 2015-08-20 | 2018-05-24 | Motorola Solutions, Inc. | METHOD AND DEVICE FOR CHANGING A MODE OF A DEVICE FROM A RIGHT HAND MODE TO A LEFT HAND MODE, AND VICE VERSA, OR TO A NORMAL MODE TO A DEFAULT MODE |
| CN107921317B (en) | 2015-08-20 | 2021-07-06 | 苹果公司 | Movement-based watch faces and complications |
| US10585582B2 (en) | 2015-08-21 | 2020-03-10 | Motorola Solutions, Inc. | System and method for disambiguating touch interactions |
| US10642404B2 (en) | 2015-08-24 | 2020-05-05 | Qeexo, Co. | Touch sensitive device with multi-sensor stream synchronized data |
| US20170060288A1 (en)* | 2015-08-26 | 2017-03-02 | Ramaprasad SUBRAMANIAN | Capacitive touch sensing with lumped sensors |
| WO2017040431A1 (en) | 2015-09-01 | 2017-03-09 | Bribbla Dynamics Llc | Reference switch architectures for noncontact sensing of substances |
| CN105160320B (en)* | 2015-09-02 | 2019-03-01 | 小米科技有限责任公司 | Fingerprint identification method, device and mobile terminal |
| EP3347700A4 (en) | 2015-09-07 | 2019-04-17 | Mobileodt Ltd. | Handheld mobile device for detection of biological evidence |
| US10120531B2 (en) | 2015-09-08 | 2018-11-06 | Apple Inc. | User interfaces for navigating and playing content |
| US10747498B2 (en) | 2015-09-08 | 2020-08-18 | Apple Inc. | Zero latency digital assistant |
| US10671428B2 (en) | 2015-09-08 | 2020-06-02 | Apple Inc. | Distributed personal assistant |
| US10198089B2 (en) | 2015-09-08 | 2019-02-05 | Apple Inc. | Active stylus precision tip |
| US10025401B2 (en) | 2015-09-08 | 2018-07-17 | Apple Inc. | Active stylus ring electrode |
| WO2017044300A1 (en) | 2015-09-09 | 2017-03-16 | Apple Inc. | Emoji and canned responses |
| US9298283B1 (en) | 2015-09-10 | 2016-03-29 | Connectivity Labs Inc. | Sedentary virtual reality method and systems |
| US10678367B1 (en) | 2015-09-11 | 2020-06-09 | Apple Inc. | Compressive touch sensing |
| EP3144774A1 (en)* | 2015-09-15 | 2017-03-22 | Thomson Licensing | Methods and apparatus of transmitting a rotation angle information to a set of actuators associated with a surface |
| US10445425B2 (en) | 2015-09-15 | 2019-10-15 | Apple Inc. | Emoji and canned responses |
| US10690591B2 (en) | 2015-09-18 | 2020-06-23 | Apple Inc. | Measurement time distribution in referencing schemes |
| US10310667B2 (en) | 2015-09-21 | 2019-06-04 | Apple Inc. | Multi-bar capacitive sense electrode |
| EP3147815A1 (en)* | 2015-09-23 | 2017-03-29 | Politechnika Gdanska | A system for hand-written signature and verification of its authenticity |
| US9697820B2 (en) | 2015-09-24 | 2017-07-04 | Apple Inc. | Unit-selection text-to-speech synthesis using concatenation-sensitive neural networks |
| US9880664B2 (en) | 2015-09-24 | 2018-01-30 | Apple Inc. | Common pixel correction for sensor panels |
| US9939899B2 (en) | 2015-09-25 | 2018-04-10 | Apple Inc. | Motion and gesture input from a wearable device |
| US10132680B1 (en) | 2015-09-25 | 2018-11-20 | Apple Inc. | UV dosimetry and exposure alert |
| US10444040B2 (en) | 2015-09-25 | 2019-10-15 | Apple Inc. | Crown with three-dimensional input |
| US9851298B1 (en) | 2015-09-25 | 2017-12-26 | Apple Inc. | Light-based shielding detection |
| US9939908B2 (en)* | 2015-09-28 | 2018-04-10 | Paypal, Inc. | Multi-device authentication |
| US10366158B2 (en) | 2015-09-29 | 2019-07-30 | Apple Inc. | Efficient word encoding for recurrent neural network language models |
| US11010550B2 (en) | 2015-09-29 | 2021-05-18 | Apple Inc. | Unified language modeling framework for word prediction, auto-completion and auto-correction |
| US9983029B2 (en) | 2015-09-30 | 2018-05-29 | Apple Inc. | Integrated optical encoder for tilt able rotatable shaft |
| US10295838B1 (en) | 2015-09-30 | 2019-05-21 | Apple Inc. | Body including surface having concentric annular portions |
| US11587559B2 (en) | 2015-09-30 | 2023-02-21 | Apple Inc. | Intelligent device identification |
| US10474255B2 (en) | 2015-09-30 | 2019-11-12 | Apple Inc. | Input element with integrated functionality |
| US10537284B1 (en) | 2015-09-30 | 2020-01-21 | Apple Inc. | Enhanced sensor signal collection and reflection of reflected and/or scattered light |
| US10874348B1 (en) | 2015-09-30 | 2020-12-29 | Apple Inc. | Force sensing for PPG heart-rate performance enhancement and contact detection |
| US9971407B2 (en) | 2015-09-30 | 2018-05-15 | Apple Inc. | Haptic feedback for rotary inputs |
| US10687717B1 (en) | 2015-09-30 | 2020-06-23 | Apple Inc. | PPG sensor having light arrival angle control at detector |
| US10534481B2 (en) | 2015-09-30 | 2020-01-14 | Apple Inc. | High aspect ratio capacitive sensor panel |
| US10671222B2 (en) | 2015-09-30 | 2020-06-02 | Apple Inc. | Touch sensor pattern for edge input detection |
| US10317200B1 (en) | 2015-09-30 | 2019-06-11 | Apple Inc. | Multi-mode sensor for surface orientation |
| US11026628B1 (en) | 2015-09-30 | 2021-06-08 | Apple Inc. | Systems and methods of spatial filtering for measuring electrical signals |
| US11036318B2 (en) | 2015-09-30 | 2021-06-15 | Apple Inc. | Capacitive touch or proximity detection for crown |
| US10365773B2 (en) | 2015-09-30 | 2019-07-30 | Apple Inc. | Flexible scan plan using coarse mutual capacitance and fully-guarded measurements |
| US10635222B2 (en) | 2015-10-02 | 2020-04-28 | Samsung Electronics Co., Ltd. | Touch pad and electronic apparatus using the same, and method of producing touch pad |
| KR102476610B1 (en) | 2015-10-02 | 2022-12-12 | 삼성전자주식회사 | Touch pad, touch screen and electronic apparatus using the same and method for producing touch pad |
| US10444892B2 (en)* | 2015-10-07 | 2019-10-15 | Microchip Technology Incorporated | Capacitance measurement device with reduced noise |
| US10915220B2 (en)* | 2015-10-14 | 2021-02-09 | Maxell, Ltd. | Input terminal device and operation input method |
| CN105407211A (en)* | 2015-10-20 | 2016-03-16 | 上海斐讯数据通信技术有限公司 | Base-on-touch-button system and base-on-touch-button method for gesture identification |
| US10945618B2 (en) | 2015-10-23 | 2021-03-16 | Valencell, Inc. | Physiological monitoring devices and methods for noise reduction in physiological signals based on subject activity type |
| US11182068B2 (en)* | 2015-10-27 | 2021-11-23 | Verizon Patent And Licensing Inc. | Method and system for interacting with a touch screen |
| US9927917B2 (en)* | 2015-10-29 | 2018-03-27 | Microsoft Technology Licensing, Llc | Model-based touch event location adjustment |
| US10691473B2 (en) | 2015-11-06 | 2020-06-23 | Apple Inc. | Intelligent automated assistant in a messaging environment |
| US10254870B2 (en) | 2015-12-01 | 2019-04-09 | Apple Inc. | Force sensor-based motion or orientation determination in a device |
| US10049668B2 (en) | 2015-12-02 | 2018-08-14 | Apple Inc. | Applying neural network language models to weighted finite state transducers for automatic speech recognition |
| USD798171S1 (en) | 2015-12-08 | 2017-09-26 | Exfo Inc. | Module for use in a test instrument |
| EP4075246B1 (en) | 2015-12-09 | 2024-07-03 | FlatFrog Laboratories AB | Stylus for optical touch system |
| US11304716B2 (en) | 2015-12-16 | 2022-04-19 | Covidien Lp | Surgical instruments including touch-sensing actuation |
| US10296146B2 (en) | 2015-12-22 | 2019-05-21 | Microsoft Technology Licensing, Llc | System and method for detecting grip of a touch enabled device |
| US10423268B2 (en) | 2015-12-22 | 2019-09-24 | Microsoft Technology Licensing, Llc | System and method for detecting grounding state of a touch enabled computing device |
| US10223066B2 (en) | 2015-12-23 | 2019-03-05 | Apple Inc. | Proactive assistance based on dialog communication between devices |
| US10120509B2 (en)* | 2015-12-29 | 2018-11-06 | Stmicroelectronics Asia Pacific Pte Ltd | Common mode noise reduction in capacitive touch sensing |
| US9990096B2 (en) | 2015-12-30 | 2018-06-05 | Synaptics Incorporated | Elliptical capacitive sensor electrode pattern and sensing therewith |
| CN105677121B (en)* | 2016-01-05 | 2018-09-04 | 京东方科技集团股份有限公司 | Touch-control decision maker and method and display device |
| KR20170082700A (en)* | 2016-01-06 | 2017-07-17 | 삼성디스플레이 주식회사 | Touch display apparatus |
| US10061385B2 (en) | 2016-01-22 | 2018-08-28 | Microsoft Technology Licensing, Llc | Haptic feedback for a touch input device |
| US10963159B2 (en)* | 2016-01-26 | 2021-03-30 | Lenovo (Singapore) Pte. Ltd. | Virtual interface offset |
| CN105739871B (en)* | 2016-02-02 | 2019-03-01 | 广州视睿电子科技有限公司 | Method and system for detecting width of touch pattern and method and system for recognizing touch pattern |
| US10338807B2 (en) | 2016-02-23 | 2019-07-02 | Microsoft Technology Licensing, Llc | Adaptive ink prediction |
| US9823774B2 (en) | 2016-02-23 | 2017-11-21 | Microsoft Technology Licensing, Llc | Noise reduction in a digitizer system |
| US10154316B2 (en) | 2016-02-26 | 2018-12-11 | Apple Inc. | Motion-based configuration of a multi-user device |
| US9904379B2 (en) | 2016-02-29 | 2018-02-27 | Apple Inc. | Disabling stylus to prevent worn tip performance degradation and screen damage |
| WO2017152139A1 (en) | 2016-03-04 | 2017-09-08 | Apple Inc. | Input with haptic feedback |
| US10490881B2 (en) | 2016-03-10 | 2019-11-26 | Apple Inc. | Tuning circuits for hybrid electronic device antennas |
| US10446143B2 (en) | 2016-03-14 | 2019-10-15 | Apple Inc. | Identification of voice inputs providing credentials |
| AU2017234428B2 (en) | 2016-03-14 | 2020-04-09 | Apple Inc. | Identification of voice inputs providing credentials |
| US12093524B2 (en) | 2016-03-28 | 2024-09-17 | Apple Inc. | Multifunction device control of another electronic device |
| CN108713181A (en) | 2016-03-28 | 2018-10-26 | 苹果公司 | Multifunction device control of another electronic device |
| US11150798B2 (en) | 2016-03-28 | 2021-10-19 | Apple Inc. | Multifunction device control of another electronic device |
| DK201670583A1 (en) | 2016-03-28 | 2017-10-16 | Apple Inc | Keyboard input to an electronic device |
| KR101745651B1 (en)* | 2016-03-29 | 2017-06-09 | 전자부품연구원 | System and method for recognizing hand gesture |
| US10007343B2 (en) | 2016-03-31 | 2018-06-26 | Apple Inc. | Force sensor in an input device |
| EP3435945A1 (en) | 2016-04-01 | 2019-02-06 | The Procter and Gamble Company | Absorbent article with fastening system |
| EP4589271A3 (en) | 2016-04-21 | 2025-07-30 | Apple Inc. | Optical system for reference switching |
| US11041758B2 (en) | 2016-04-21 | 2021-06-22 | Apple Inc. | Multiplexing and encoding for reference switching |
| JP6500830B2 (en)* | 2016-04-27 | 2019-04-17 | 京セラドキュメントソリューションズ株式会社 | Handwritten character input device, image forming device, and handwritten character input method |
| EP3454724B1 (en) | 2016-05-10 | 2023-12-06 | Apple Inc. | Systems and methods for non-pulsatile blood volume measurements |
| US10768746B1 (en) | 2016-05-10 | 2020-09-08 | Apple Inc. | Quasi-continuous-time sampling of discrete-time sampled signals |
| DK179186B1 (en) | 2016-05-19 | 2018-01-15 | Apple Inc | REMOTE AUTHORIZATION TO CONTINUE WITH AN ACTION |
| WO2017199221A1 (en) | 2016-05-19 | 2017-11-23 | Onshape Inc. | Touchscreen precise pointing gesture |
| US10627948B2 (en) | 2016-05-25 | 2020-04-21 | Microsoft Technology Licensing, Llc | Sequential two-handed touch typing on a mobile device |
| US10637933B2 (en) | 2016-05-26 | 2020-04-28 | Logitech Europe S.A. | Method and apparatus for transferring information between electronic devices |
| US9934775B2 (en) | 2016-05-26 | 2018-04-03 | Apple Inc. | Unit-selection text-to-speech synthesis based on predicted concatenation parameters |
| US10305520B2 (en) | 2016-05-27 | 2019-05-28 | Apple Inc. | Removing RF interference through scan rate locking |
| US10474277B2 (en) | 2016-05-31 | 2019-11-12 | Apple Inc. | Position-based stylus communication |
| US9972304B2 (en) | 2016-06-03 | 2018-05-15 | Apple Inc. | Privacy preserving distributed evaluation framework for embedded personalized systems |
| US10249300B2 (en) | 2016-06-06 | 2019-04-02 | Apple Inc. | Intelligent list reading |
| US10049663B2 (en) | 2016-06-08 | 2018-08-14 | Apple, Inc. | Intelligent automated assistant for media exploration |
| DK179309B1 (en) | 2016-06-09 | 2018-04-23 | Apple Inc | Intelligent automated assistant in a home environment |
| US10509862B2 (en) | 2016-06-10 | 2019-12-17 | Apple Inc. | Dynamic phrase expansion of language input |
| US10146429B2 (en) | 2016-06-10 | 2018-12-04 | Apple Inc. | Character recognition method, apparatus and device |
| US10192552B2 (en) | 2016-06-10 | 2019-01-29 | Apple Inc. | Digital assistant providing whispered speech |
| US10586535B2 (en) | 2016-06-10 | 2020-03-10 | Apple Inc. | Intelligent digital assistant in a multi-tasking environment |
| US10637986B2 (en) | 2016-06-10 | 2020-04-28 | Apple Inc. | Displaying and updating a set of application views |
| US11033708B2 (en) | 2016-06-10 | 2021-06-15 | Apple Inc. | Breathing sequence user interface |
| US10739972B2 (en) | 2016-06-10 | 2020-08-11 | Apple Inc. | Device, method, and graphical user interface for managing electronic communications |
| US10490187B2 (en) | 2016-06-10 | 2019-11-26 | Apple Inc. | Digital assistant providing automated status report |
| US12175065B2 (en) | 2016-06-10 | 2024-12-24 | Apple Inc. | Context-specific user interfaces for relocating one or more complications in a watch or clock interface |
| US10067938B2 (en) | 2016-06-10 | 2018-09-04 | Apple Inc. | Multilingual word prediction |
| CN114693289A (en) | 2016-06-11 | 2022-07-01 | 苹果公司 | User interface for trading |
| EP3255540A1 (en) | 2016-06-11 | 2017-12-13 | Apple Inc. | Intelligent task discovery |
| US10621581B2 (en) | 2016-06-11 | 2020-04-14 | Apple Inc. | User interface for transactions |
| AU2017100667A4 (en) | 2016-06-11 | 2017-07-06 | Apple Inc. | Activity and workout updates |
| DK201670540A1 (en) | 2016-06-11 | 2018-01-08 | Apple Inc | Application integration with a digital assistant |
| DK179415B1 (en) | 2016-06-11 | 2018-06-14 | Apple Inc | Intelligent device arbitration and control |
| US20170357411A1 (en) | 2016-06-11 | 2017-12-14 | Apple Inc. | User interface for initiating a telephone call |
| DK179049B1 (en) | 2016-06-11 | 2017-09-18 | Apple Inc | Data driven natural language event detection and classification |
| DK201670595A1 (en) | 2016-06-11 | 2018-01-22 | Apple Inc | Configuring context-specific user interfaces |
| DK179343B1 (en) | 2016-06-11 | 2018-05-14 | Apple Inc | Intelligent task discovery |
| US11816325B2 (en) | 2016-06-12 | 2023-11-14 | Apple Inc. | Application shortcuts for carplay |
| US10983688B2 (en) | 2016-06-12 | 2021-04-20 | Apple Inc. | Content scrubber bar with real-world time indications |
| US10873786B2 (en) | 2016-06-12 | 2020-12-22 | Apple Inc. | Recording and broadcasting application visual output |
| DK201670596A1 (en) | 2016-06-12 | 2018-02-19 | Apple Inc | Digital touch on live video |
| DK179329B1 (en) | 2016-06-12 | 2018-05-07 | Apple Inc | Handwriting keyboard for monitors |
| DK201670622A1 (en) | 2016-06-12 | 2018-02-12 | Apple Inc | User interfaces for transactions |
| WO2017218194A1 (en) | 2016-06-12 | 2017-12-21 | Apple Inc. | User interfaces for retrieving contextually relevant media content |
| US10831357B2 (en) | 2016-06-12 | 2020-11-10 | Apple Inc. | Device, method, and graphical user interface for media playback |
| DK201670582A1 (en) | 2016-06-12 | 2018-01-02 | Apple Inc | Identifying applications on which content is available |
| CN109219827B (en) | 2016-06-12 | 2022-04-29 | 苹果公司 | User interface for trading |
| WO2018004967A1 (en) | 2016-06-12 | 2018-01-04 | Apple Inc. | Digital touch on live video |
| WO2017218195A1 (en) | 2016-06-12 | 2017-12-21 | Apple Inc. | Wrist-based tactile time feedback for non-sighted users |
| EP3751405A1 (en) | 2016-06-12 | 2020-12-16 | Apple Inc. | User interface for managing controllable external devices |
| DK201670581A1 (en) | 2016-06-12 | 2018-01-08 | Apple Inc | Device-level authorization for viewing content |
| DK201670574A1 (en) | 2016-06-12 | 2018-01-02 | Apple Inc | Accelerated scrolling |
| US10498552B2 (en) | 2016-06-12 | 2019-12-03 | Apple Inc. | Presenting accessory state |
| US10009536B2 (en) | 2016-06-12 | 2018-06-26 | Apple Inc. | Applying a simulated optical effect based on data received from multiple camera sensors |
| DK201670608A1 (en) | 2016-06-12 | 2018-01-02 | Apple Inc | User interfaces for retrieving contextually relevant media content |
| US10095311B2 (en) | 2016-06-15 | 2018-10-09 | Immersion Corporation | Systems and methods for providing haptic feedback via a case |
| DE102016111033A1 (en)* | 2016-06-16 | 2017-12-21 | Schunk Gmbh & Co. Kg Spann- Und Greiftechnik | Capacitive sensor |
| US10209827B1 (en) | 2016-06-24 | 2019-02-19 | Apple Inc. | Dynamic adjustment of demodulation waveform |
| US10572530B2 (en) | 2016-07-03 | 2020-02-25 | Apple Inc. | Prefetching accessory data |
| US10139250B2 (en) | 2016-07-08 | 2018-11-27 | Apple Inc. | Optical encoder based on light-steering based contrast generation from a first plurality of primary convex mirror sections and a second plurality of secondary mirror sections |
| CN107621893B (en) | 2016-07-15 | 2020-11-20 | 苹果公司 | Content creation using electronic input devices on non-electronic surfaces |
| CN107656687B (en)* | 2016-07-26 | 2020-04-24 | 南宁富桂精密工业有限公司 | Method and system for generating virtual keyboard |
| US10955947B2 (en) | 2016-07-29 | 2021-03-23 | Apple Inc. | RC tuning of touch electrode connections on a touch sensor panel |
| US11402950B2 (en) | 2016-07-29 | 2022-08-02 | Apple Inc. | Methodology and application of acoustic touch detection |
| EP3491500B1 (en) | 2016-07-29 | 2023-11-29 | Apple Inc. | Touch sensor panel with multi-power domain chip configuration |
| TWI606376B (en)* | 2016-08-08 | 2017-11-21 | 意象無限股份有限公司 | Touch Sensor Device And Touch-Sensing Method With Error-Touch Rejection |
| US10512432B2 (en) | 2016-08-12 | 2019-12-24 | Apple Inc. | Vital signs monitoring system |
| US11559216B1 (en) | 2016-08-12 | 2023-01-24 | Apple Inc. | Integrated photodiode |
| US10359885B2 (en) | 2016-08-29 | 2019-07-23 | Apple Inc. | Touch induced flicker mitigation for variable refresh rate display |
| US10697830B1 (en) | 2016-08-31 | 2020-06-30 | Apple Inc. | Multicomb light source and spectrometer |
| US9842330B1 (en) | 2016-09-06 | 2017-12-12 | Apple Inc. | User interfaces for stored-value accounts |
| US10324620B2 (en) | 2016-09-06 | 2019-06-18 | Apple Inc. | Processing capacitive touch gestures implemented on an electronic device |
| US10599247B2 (en) | 2016-09-06 | 2020-03-24 | Apple Inc. | Thermal compensation for force-sensitive button |
| AU2017208277B2 (en) | 2016-09-06 | 2018-12-20 | Apple Inc. | Back of cover touch sensors |
| US10466891B2 (en) | 2016-09-12 | 2019-11-05 | Apple Inc. | Special lock mode user interface |
| US11500538B2 (en)* | 2016-09-13 | 2022-11-15 | Apple Inc. | Keyless keyboard with force sensing and haptic feedback |
| US9817511B1 (en)* | 2016-09-16 | 2017-11-14 | International Business Machines Corporation | Reaching any touch screen portion with one hand |
| US10541280B1 (en) | 2016-09-16 | 2020-01-21 | Apple Inc. | OLED based touch sensing and user identification |
| US11782531B2 (en) | 2016-09-19 | 2023-10-10 | Apple Inc. | Gesture detection, list navigation, and item selection using a crown and sensors |
| US10817126B2 (en)* | 2016-09-20 | 2020-10-27 | Apple Inc. | 3D document editing system |
| US10416803B2 (en) | 2016-09-21 | 2019-09-17 | Apple Inc. | Gasket with embedded capacitive sensor |
| US10478099B2 (en) | 2016-09-22 | 2019-11-19 | Apple Inc. | Systems and methods for determining axial orientation and location of a user's wrist |
| WO2018057937A1 (en) | 2016-09-22 | 2018-03-29 | Apple Inc. | Systems and methods for determining physiological signals using ambient light |
| WO2018057272A1 (en) | 2016-09-23 | 2018-03-29 | Apple Inc. | Avatar creation and editing |
| US10187765B2 (en) | 2016-09-23 | 2019-01-22 | Apple Inc. | Networked sensor array |
| US11137858B2 (en) | 2016-09-23 | 2021-10-05 | Apple Inc. | Location-based swing compensation for touch channel attenuation |
| CN114527893B (en) | 2016-09-23 | 2023-11-10 | 苹果公司 | Touch sensor panel with top shield and/or bottom shield |
| KR102208257B1 (en) | 2016-09-23 | 2021-01-27 | 애플 인크. | Watch theater mode |
| JP6824552B2 (en) | 2016-09-23 | 2021-02-03 | アップル インコーポレイテッドApple Inc. | Image data for extended user interaction |
| US10446116B2 (en) | 2016-09-23 | 2019-10-15 | Apple Inc. | Temperature sensor on display active area |
| WO2018057268A1 (en) | 2016-09-23 | 2018-03-29 | Apple Inc. | Image data for enhanced user interactions |
| US10928881B2 (en) | 2016-09-23 | 2021-02-23 | Apple Inc. | Low power touch sensing during a sleep state of an electronic device |
| US10139975B2 (en) | 2016-09-23 | 2018-11-27 | Apple Inc. | Pressure compensation for force-sensitive touch screen |
| US10043516B2 (en) | 2016-09-23 | 2018-08-07 | Apple Inc. | Intelligent automated assistant |
| WO2018058014A1 (en) | 2016-09-23 | 2018-03-29 | Apple Inc. | Device, method, and graphical user interface for annotating text |
| DK179978B1 (en) | 2016-09-23 | 2019-11-27 | Apple Inc. | Image data for enhanced user interactions |
| US10290946B2 (en) | 2016-09-23 | 2019-05-14 | Apple Inc. | Hybrid electronic device antennas having parasitic resonating elements |
| US10469281B2 (en) | 2016-09-24 | 2019-11-05 | Apple Inc. | Generating suggestions for scenes and triggers by resident device |
| US10764153B2 (en) | 2016-09-24 | 2020-09-01 | Apple Inc. | Generating suggestions for scenes and triggers |
| WO2018067605A1 (en) | 2016-10-03 | 2018-04-12 | Poynt Co. | System and method for disabled user assistance |
| US10496808B2 (en) | 2016-10-25 | 2019-12-03 | Apple Inc. | User interface for managing access to credentials for use in an operation |
| US11966560B2 (en) | 2016-10-26 | 2024-04-23 | Apple Inc. | User interfaces for browsing content from multiple content applications on an electronic device |
| US10248248B2 (en) | 2016-11-04 | 2019-04-02 | International Business Machines Corporation | User interface selection through intercept points |
| DE102017200595A1 (en) | 2016-11-15 | 2018-05-17 | Volkswagen Aktiengesellschaft | Device with touch-sensitive freeform surface and method for its production |
| US10514844B2 (en)* | 2016-11-16 | 2019-12-24 | Dell Products L.P. | Automatically modifying an input area based on a proximity to one or more edges |
| EP3545392A4 (en) | 2016-11-24 | 2020-07-29 | FlatFrog Laboratories AB | AUTOMATIC OPTIMIZATION OF TOUCH SIGNALS |
| US10170061B2 (en) | 2016-11-30 | 2019-01-01 | Dell Products L.P. | Backlight compensation for a computing device with two or more display devices |
| US10372282B2 (en) | 2016-12-01 | 2019-08-06 | Apple Inc. | Capacitive coupling reduction in touch sensor panels |
| KR20250020732A (en) | 2016-12-07 | 2025-02-11 | 플라트프로그 라보라토리즈 에이비 | An improved touch device |
| US10768196B2 (en)* | 2016-12-19 | 2020-09-08 | Huami Inc. | Determine wearing position of a wearable device |
| EP3340031B1 (en)* | 2016-12-21 | 2021-09-15 | Nxp B.V. | Motion detection circuits, and associated methods |
| US10593346B2 (en) | 2016-12-22 | 2020-03-17 | Apple Inc. | Rank-reduced token representation for automatic speech recognition |
| KR102708773B1 (en) | 2016-12-26 | 2024-09-23 | 엘지디스플레이 주식회사 | Flexible display device |
| US11204787B2 (en) | 2017-01-09 | 2021-12-21 | Apple Inc. | Application integration with a digital assistant |
| CN110300950B (en) | 2017-02-06 | 2023-06-16 | 平蛙实验室股份公司 | Optical coupling in touch sensing systems |
| US10918322B2 (en) | 2017-02-13 | 2021-02-16 | Apple Inc. | Light restriction designs in optical sensing applications having shared windows |
| WO2018151711A1 (en)* | 2017-02-15 | 2018-08-23 | Hewlett-Packard Development Company, L.P. | Biometric information-based touch contact classification |
| US10964873B1 (en) | 2017-03-03 | 2021-03-30 | Apple Inc. | Systems and methods for forming thin bulk junction thermoelectric devices in package |
| US10606414B2 (en) | 2017-03-22 | 2020-03-31 | Flatfrog Laboratories Ab | Eraser for touch displays |
| US10318071B2 (en)* | 2017-03-23 | 2019-06-11 | Intel Corporation | Method and apparatus for a blob angle orientation recognition in a touch device |
| US10524735B2 (en) | 2017-03-28 | 2020-01-07 | Apple Inc. | Detecting conditions using heart rate sensors |
| EP4036697A1 (en) | 2017-03-28 | 2022-08-03 | FlatFrog Laboratories AB | Optical touch sensing apparatus |
| US11157115B2 (en) | 2017-03-31 | 2021-10-26 | Apple Inc. | Composite cover material for sensitivity improvement of ultrasonic touch screens |
| US10606418B2 (en) | 2017-03-31 | 2020-03-31 | Apple Inc. | Ultrasonic touch detection on stylus |
| US10642418B2 (en) | 2017-04-20 | 2020-05-05 | Apple Inc. | Finger tracking in wet environment |
| US10992795B2 (en) | 2017-05-16 | 2021-04-27 | Apple Inc. | Methods and interfaces for home media control |
| US11431836B2 (en) | 2017-05-02 | 2022-08-30 | Apple Inc. | Methods and interfaces for initiating media playback |
| DK201770439A1 (en) | 2017-05-11 | 2018-12-13 | Apple Inc. | Offline personal assistant |
| DK180048B1 (en) | 2017-05-11 | 2020-02-04 | Apple Inc. | MAINTAINING THE DATA PROTECTION OF PERSONAL INFORMATION |
| DK179745B1 (en) | 2017-05-12 | 2019-05-01 | Apple Inc. | SYNCHRONIZATION AND TASK DELEGATION OF A DIGITAL ASSISTANT |
| CN111611088A (en) | 2017-05-12 | 2020-09-01 | 苹果公司 | Method, electronic device and system for synchronization and task delegation of digital assistants |
| DK179496B1 (en) | 2017-05-12 | 2019-01-15 | Apple Inc. | USER-SPECIFIC Acoustic Models |
| US10928980B2 (en) | 2017-05-12 | 2021-02-23 | Apple Inc. | User interfaces for playing and managing audio items |
| EP4075426B1 (en) | 2017-05-12 | 2023-07-26 | Apple Inc. | Low-latency intelligent automated assistant |
| CN109257942B (en) | 2017-05-12 | 2020-01-14 | 苹果公司 | User-specific acoustic models |
| DK179412B1 (en) | 2017-05-12 | 2018-06-06 | Apple Inc | Context-Specific User Interfaces |
| CN110651324B (en) | 2017-05-15 | 2023-05-16 | 苹果公司 | multimodal interface |
| DK201770432A1 (en) | 2017-05-15 | 2018-12-21 | Apple Inc. | Hierarchical belief states for digital assistants |
| US10845955B2 (en) | 2017-05-15 | 2020-11-24 | Apple Inc. | Displaying a scrollable list of affordances associated with physical activities |
| US12242707B2 (en) | 2017-05-15 | 2025-03-04 | Apple Inc. | Displaying and moving application views on a display of an electronic device |
| DK201770411A1 (en) | 2017-05-15 | 2018-12-20 | Apple Inc. | MULTI-MODAL INTERFACES |
| DK201770431A1 (en) | 2017-05-15 | 2018-12-20 | Apple Inc. | Optimizing dialogue policy decisions for digital assistants using implicit feedback |
| DK179549B1 (en) | 2017-05-16 | 2019-02-12 | Apple Inc. | Far-field extension for digital assistant services |
| CN119576266A (en) | 2017-05-16 | 2025-03-07 | 苹果公司 | Method and interface for home media control |
| AU2018269375B2 (en) | 2017-05-16 | 2020-12-17 | Apple Inc. | Emoji recording and sending |
| CN117056004A (en) | 2017-05-16 | 2023-11-14 | 苹果公司 | Commercial instant messaging interface |
| CN110999228B (en) | 2017-05-16 | 2025-04-18 | 苹果公司 | User interface for peer-to-peer transfers |
| US10511707B2 (en) | 2017-05-16 | 2019-12-17 | Apple Inc. | Voice communication method |
| CN113311974B (en) | 2017-05-16 | 2024-09-06 | 苹果公司 | Voice communication method |
| KR102439054B1 (en) | 2017-05-16 | 2022-09-02 | 애플 인크. | Record and send emojis |
| CN110378987B (en) | 2017-05-16 | 2021-08-31 | 苹果公司 | Emoticon recording and transmission |
| WO2018213133A1 (en) | 2017-05-16 | 2018-11-22 | Apple Inc. | User interface for a flashlight mode on an electronic device |
| KR20190141701A (en) | 2017-05-16 | 2019-12-24 | 애플 인크. | Image data for enhanced user interactions |
| EP3586481B1 (en) | 2017-05-16 | 2024-01-03 | Apple Inc. | User interfaces for peer-to-peer transfers |
| US10395659B2 (en) | 2017-05-16 | 2019-08-27 | Apple Inc. | Providing an auditory-based interface of a digital assistant |
| CN111343060B (en) | 2017-05-16 | 2022-02-11 | 苹果公司 | Method and interface for home media control |
| US20220279063A1 (en) | 2017-05-16 | 2022-09-01 | Apple Inc. | Methods and interfaces for home media control |
| US10303715B2 (en) | 2017-05-16 | 2019-05-28 | Apple Inc. | Intelligent automated assistant for media exploration |
| EP4138400B1 (en) | 2017-05-16 | 2025-08-13 | Apple Inc. | Methods and interfaces for home media control |
| US10403278B2 (en) | 2017-05-16 | 2019-09-03 | Apple Inc. | Methods and systems for phonetic matching in digital assistant services |
| CN110720085B (en) | 2017-05-16 | 2021-06-25 | 苹果公司 | voice communication method |
| US20180336892A1 (en) | 2017-05-16 | 2018-11-22 | Apple Inc. | Detecting a trigger of a digital assistant |
| WO2018217585A1 (en) | 2017-05-22 | 2018-11-29 | Apple Inc. | Multi-element piezo sensors for physiological measurements |
| US11334196B2 (en) | 2017-05-24 | 2022-05-17 | Apple Inc. | System and method for acoustic touch and force sensing |
| CN108932084B (en) | 2017-05-24 | 2022-05-27 | 苹果公司 | Systems and methods for acoustic touch and force sensing |
| US11144158B2 (en) | 2017-05-24 | 2021-10-12 | Apple Inc. | Differential acoustic touch and force sensing |
| DE202017002874U1 (en) | 2017-05-31 | 2017-09-07 | Apple Inc. | User interface for camera effects |
| US20180349472A1 (en) | 2017-06-02 | 2018-12-06 | Apple Inc. | Methods and systems for providing query suggestions |
| US10955994B2 (en) | 2017-06-02 | 2021-03-23 | Apple Inc. | User interfaces for downloading applications on an electronic device |
| WO2018222247A1 (en) | 2017-06-02 | 2018-12-06 | Apple Inc. | Device, method, and graphical user interface for annotating content |
| US11166640B2 (en) | 2017-06-02 | 2021-11-09 | Apple Inc. | Physiological sampling during predetermined activities |
| AU2018279782C1 (en) | 2017-06-04 | 2021-02-25 | Apple Inc. | Multi-device charging user interface |
| US10874313B2 (en) | 2017-06-04 | 2020-12-29 | Apple Inc. | Heartrate tracking techniques |
| DK180859B1 (en) | 2017-06-04 | 2022-05-23 | Apple Inc | USER INTERFACE CAMERA EFFECTS |
| US10951043B2 (en) | 2017-06-04 | 2021-03-16 | Apple Inc. | Multi-device charging user interface |
| DE102017005846A1 (en)* | 2017-06-21 | 2018-12-27 | Leopold Kostal Gmbh & Co. Kg | Switching device for switching drive members in a motor vehicle |
| US10558278B2 (en) | 2017-07-11 | 2020-02-11 | Apple Inc. | Interacting with an electronic device through physical movement |
| US10788936B1 (en) | 2017-07-17 | 2020-09-29 | Apple Inc. | Absorption correction for fabric touch sensing layer |
| JP2020527801A (en)* | 2017-07-17 | 2020-09-10 | タクチュアル ラブズ シーオー. | Devices and methods for improving finger separation and reproduction |
| CN117270637A (en) | 2017-07-26 | 2023-12-22 | 苹果公司 | Computer with keyboard |
| KR102771451B1 (en) | 2017-08-15 | 2025-02-25 | 애플 인크. | Self-capacitance and mutual capacitance hybrid touch sensor panel architecture |
| US10585502B2 (en) | 2017-08-17 | 2020-03-10 | Apple Inc. | Touch sensor excitation using transformer |
| US11256371B2 (en) | 2017-09-01 | 2022-02-22 | Flatfrog Laboratories Ab | Optical component |
| US10592008B1 (en)* | 2017-09-05 | 2020-03-17 | Apple Inc. | Mouse having a shape-changing enclosure |
| US10416772B2 (en) | 2017-09-06 | 2019-09-17 | Apple Inc. | Electrical haptic output array |
| EP3745303B1 (en) | 2017-09-09 | 2023-06-07 | Apple Inc. | Implementation of biometric authentication with error condition detection and display of an error indication |
| CN117077102A (en) | 2017-09-09 | 2023-11-17 | 苹果公司 | Implementation of biometric authentication |
| CN112749377A (en) | 2017-09-09 | 2021-05-04 | 苹果公司 | Registration status cue movement based on one or more portions of biometric features |
| WO2018226265A1 (en) | 2017-09-09 | 2018-12-13 | Apple Inc. | Implementation of biometric authentication |
| KR102185854B1 (en) | 2017-09-09 | 2020-12-02 | 애플 인크. | Implementation of biometric authentication |
| US10444820B2 (en) | 2017-09-11 | 2019-10-15 | Apple Inc. | Low power touch detection |
| US10928955B1 (en) | 2017-09-11 | 2021-02-23 | Apple Inc. | Suppression of structured image artifacts |
| US10871818B1 (en) | 2017-09-11 | 2020-12-22 | Apple Inc. | Component power consumption management determining whether the power availability of the power source exceeds the expected power consumption |
| US10592027B2 (en) | 2017-09-11 | 2020-03-17 | Apple Inc. | State-based touch threshold |
| CN114947741B (en) | 2017-09-26 | 2025-08-08 | 苹果公司 | Concentric structures for optical sensing |
| US10949030B2 (en) | 2017-09-26 | 2021-03-16 | Apple Inc. | Shear-poled curved piezoelectric material |
| US10474108B2 (en) | 2017-09-27 | 2019-11-12 | Apple Inc. | Magnetic sensor array for crown rotation |
| US10585482B2 (en) | 2017-09-27 | 2020-03-10 | Apple Inc. | Electronic device having a hybrid conductive coating for electrostatic haptics |
| US10775890B2 (en) | 2017-09-27 | 2020-09-15 | Apple Inc. | Electronic device having a piezoelectric body for friction haptics |
| US10248211B1 (en)* | 2017-09-28 | 2019-04-02 | Apple Inc. | Ground-shifted touch input sensor for capacitively driving an electrostatic plate |
| US11552454B1 (en) | 2017-09-28 | 2023-01-10 | Apple Inc. | Integrated laser source |
| EP3688849A1 (en) | 2017-09-28 | 2020-08-05 | Apple Inc. | Laser architectures using quantum well intermixing techniques |
| US10788368B1 (en) | 2017-09-29 | 2020-09-29 | Apple Inc. | Thermal isolation structure |
| US10521049B2 (en) | 2017-09-29 | 2019-12-31 | Apple Inc. | Multi-via structures for touchscreens |
| US10877557B2 (en) | 2017-09-29 | 2020-12-29 | Apple Inc. | IMU-based glove |
| WO2019067267A1 (en) | 2017-09-29 | 2019-04-04 | Apple Inc. | Multi-power domain touch sensing |
| US10963098B1 (en) | 2017-09-29 | 2021-03-30 | Apple Inc. | Methods and apparatus for object profile estimation |
| US10901543B1 (en) | 2017-09-29 | 2021-01-26 | Apple Inc. | Touch screen with transparent electrode structure |
| US11086463B2 (en) | 2017-09-29 | 2021-08-10 | Apple Inc. | Multi modal touch controller |
| US10372298B2 (en) | 2017-09-29 | 2019-08-06 | Apple Inc. | User interface for multi-user communication session |
| US11579080B2 (en) | 2017-09-29 | 2023-02-14 | Apple Inc. | Resolve path optical sampling architectures |
| WO2019068020A1 (en) | 2017-09-29 | 2019-04-04 | Apple Inc. | Touch sensor panel architecture with multiple sensing mode capabilities |
| CN111052047B (en) | 2017-09-29 | 2022-04-19 | 苹果公司 | Vein scanning device for automatic gesture and finger recognition |
| US11079995B1 (en) | 2017-09-30 | 2021-08-03 | Apple Inc. | User interfaces for devices with multiple displays |
| US10528178B2 (en) | 2017-10-13 | 2020-01-07 | Sharp Kabushiki Kaisha | Capacitive touch sensing with conductivity type determination |
| US10394373B2 (en)* | 2017-10-13 | 2019-08-27 | Sharp Kabushiki Kaisha | Active matrix touch panel with narrow bezel |
| US10484530B2 (en)* | 2017-11-07 | 2019-11-19 | Google Llc | Sensor based component activation |
| US11847426B2 (en)* | 2017-11-08 | 2023-12-19 | Snap Inc. | Computer vision based sign language interpreter |
| GB2571697B (en)* | 2017-11-15 | 2020-07-15 | Peratech Holdco Ltd | Controlling a process by generating intensity values |
| US10599259B2 (en)* | 2017-11-20 | 2020-03-24 | Google Llc | Virtual reality / augmented reality handheld controller sensing |
| US10636424B2 (en) | 2017-11-30 | 2020-04-28 | Apple Inc. | Multi-turn canned dialog |
| US10817307B1 (en) | 2017-12-20 | 2020-10-27 | Apple Inc. | API behavior modification based on power source health |
| US10599199B1 (en) | 2017-12-20 | 2020-03-24 | Apple Inc. | Systems and methods for power management at device shutdown |
| US11363133B1 (en) | 2017-12-20 | 2022-06-14 | Apple Inc. | Battery health-based power management |
| US10235849B1 (en)* | 2017-12-22 | 2019-03-19 | Immersion Corporation | Haptic delivery cluster for providing a haptic effect |
| CN108196696B (en)* | 2018-01-02 | 2022-02-22 | 京东方科技集团股份有限公司 | A wearable input device, host, input method and electronic system |
| CN108310770A (en)* | 2018-01-05 | 2018-07-24 | 腾讯科技(深圳)有限公司 | Control method, device, storage medium and the electronic device of virtual controlling object |
| US10733982B2 (en) | 2018-01-08 | 2020-08-04 | Apple Inc. | Multi-directional dialog |
| WO2019143492A1 (en) | 2018-01-22 | 2019-07-25 | Apple Inc. | Secure login with authentication based on a visual representation of data |
| US20190228847A1 (en) | 2018-01-22 | 2019-07-25 | Apple Inc. | Systems and methods for displaying aggregated health records |
| US10802651B2 (en) | 2018-01-30 | 2020-10-13 | Apple Inc. | Ultrasonic touch detection through display |
| CN108399042B (en)* | 2018-01-31 | 2020-09-01 | 歌尔科技有限公司 | Touch identification method, device and system |
| US11366552B2 (en) | 2018-02-06 | 2022-06-21 | Apple, Inc. | Ultrasonic polarizer |
| CN111684403A (en) | 2018-02-09 | 2020-09-18 | 苹果公司 | Media Capture Lock Awareness for Graphical User Interfaces |
| EP3752873A1 (en) | 2018-02-13 | 2020-12-23 | Apple Inc. | Integrated photonics device having integrated edge outcouplers |
| US12307082B2 (en) | 2018-02-21 | 2025-05-20 | Apple Inc. | Scrollable set of content items with locking feature |
| US10914567B2 (en) | 2018-02-23 | 2021-02-09 | Apple Inc. | Magnetic sensor based proximity sensing |
| US10789959B2 (en) | 2018-03-02 | 2020-09-29 | Apple Inc. | Training speaker recognition models for digital assistants |
| WO2019172826A1 (en) | 2018-03-05 | 2019-09-12 | Flatfrog Laboratories Ab | Improved touch-sensing apparatus |
| US11256412B2 (en) | 2018-03-09 | 2022-02-22 | Dixell S.R.L. | Interactive touch display assembly including a display stack with a multi-layer capacitive keyboard overlaid on a 7-segment display |
| DK179980B1 (en) | 2018-03-12 | 2019-11-27 | Apple Inc. | User interfaces for health monitoring |
| EP3734612B1 (en) | 2018-03-12 | 2022-09-28 | Apple Inc. | User interfaces for health monitoring |
| US10678348B2 (en) | 2018-03-12 | 2020-06-09 | Microsoft Technology Licensing, Llc | Touch detection on an ungrounded pen enabled device |
| US10818288B2 (en) | 2018-03-26 | 2020-10-27 | Apple Inc. | Natural assistant interaction |
| US11068059B2 (en) | 2018-04-13 | 2021-07-20 | Apple Inc. | Haptic interface for user input device |
| US10616349B2 (en) | 2018-05-01 | 2020-04-07 | Microsoft Technology Licensing, Llc | Hybrid sensor centric recommendation engine |
| JP7073238B2 (en) | 2018-05-07 | 2022-05-23 | アップル インコーポレイテッド | Creative camera |
| DK179874B1 (en) | 2018-05-07 | 2019-08-13 | Apple Inc. | USER INTERFACE FOR AVATAR CREATION |
| CN112214275B (en) | 2018-05-07 | 2021-10-29 | 苹果公司 | Multi-participant real-time communication user interface |
| JP7027290B2 (en) | 2018-05-07 | 2022-03-01 | アップル インコーポレイテッド | Viewing the user interface associated with physical activity |
| US11327650B2 (en) | 2018-05-07 | 2022-05-10 | Apple Inc. | User interfaces having a collection of complications |
| DE112019000018B4 (en) | 2018-05-07 | 2025-04-30 | Apple Inc. | LIFT TO SPEAK |
| CN110457092A (en) | 2018-05-07 | 2019-11-15 | 苹果公司 | avatar creation user interface |
| US12033296B2 (en) | 2018-05-07 | 2024-07-09 | Apple Inc. | Avatar creation user interface |
| EP4249088A3 (en) | 2018-05-07 | 2024-03-20 | Apple Inc. | Displaying user interfaces associated with physical activities |
| CN114845122B (en) | 2018-05-07 | 2024-04-30 | 苹果公司 | User interface for viewing live video feeds and recording video |
| KR102265402B1 (en) | 2018-05-07 | 2021-06-16 | 애플 인크. | Multi-Participant Live Communication User Interface |
| EP3584679B1 (en) | 2018-05-07 | 2023-04-19 | Apple Inc. | Avatar creation user interface |
| KR20240171185A (en) | 2018-05-07 | 2024-12-06 | 애플 인크. | Avatar creation user interface |
| CN110456971B (en) | 2018-05-07 | 2021-11-02 | 苹果公司 | User interface for sharing context-sensitive media content |
| EP4006707A1 (en) | 2018-05-07 | 2022-06-01 | Apple Inc. | User interfaces for sharing contextually relevant media content |
| AU2019100499B4 (en) | 2018-05-07 | 2019-08-29 | Apple Inc. | Multi-participant live communication user interface |
| DK201870353A1 (en) | 2018-05-07 | 2019-12-04 | Apple Inc. | User interfaces for recommending and consuming content on an electronic device |
| US10872024B2 (en) | 2018-05-08 | 2020-12-22 | Apple Inc. | User interfaces for controlling or presenting device usage on an electronic device |
| CN108696638B (en)* | 2018-05-10 | 2020-06-26 | 维沃移动通信有限公司 | Control method of mobile terminal and mobile terminal |
| TWI666574B (en)* | 2018-05-22 | 2019-07-21 | 義隆電子股份有限公司 | Method for determining a force of a touch object on a touch device and for determining its related touch event |
| WO2019231552A1 (en) | 2018-06-01 | 2019-12-05 | Apple Inc. | Attention aware virtual assistant dismissal |
| DK180081B1 (en) | 2018-06-01 | 2020-04-01 | Apple Inc. | Access to system user interfaces on an electronic device |
| DK180639B1 (en) | 2018-06-01 | 2021-11-04 | Apple Inc | DISABILITY OF ATTENTION-ATTENTIVE VIRTUAL ASSISTANT |
| DK179822B1 (en) | 2018-06-01 | 2019-07-12 | Apple Inc. | Voice interaction at a primary device to access call functionality of a companion device |
| US12340034B2 (en) | 2018-06-01 | 2025-06-24 | Apple Inc. | Devices, methods, and graphical user interfaces for an electronic device interacting with a stylus |
| EP3596589B1 (en) | 2018-06-01 | 2025-03-19 | Apple Inc. | Accessing system user interfaces on an electronic device |
| US11662796B2 (en) | 2018-06-01 | 2023-05-30 | Apple Inc. | User interfaces for indicating battery information on an electronic device |
| US10892996B2 (en) | 2018-06-01 | 2021-01-12 | Apple Inc. | Variable latency device coordination |
| EP3872620B1 (en) | 2018-06-01 | 2023-11-22 | Apple Inc. | Voice interaction at a primary device to access call functionality of a companion device |
| WO2019236428A1 (en) | 2018-06-03 | 2019-12-12 | Apple Inc. | User interfaces for transfer accounts |
| US11100498B2 (en) | 2018-06-03 | 2021-08-24 | Apple Inc. | User interfaces for transfer accounts |
| AU2019100576C4 (en) | 2018-06-03 | 2020-01-30 | Apple Inc. | Accelerated task performance |
| AU2019100574B4 (en) | 2018-06-03 | 2020-02-20 | Apple Inc. | Setup procedures for an electronic device |
| KR102441246B1 (en) | 2018-06-03 | 2022-09-08 | 애플 인크. | Device, method, and graphical user interface for managing authentication credentials for user accounts |
| US10887193B2 (en) | 2018-06-03 | 2021-01-05 | Apple Inc. | User interfaces for updating network connection settings of external devices |
| US11922006B2 (en) | 2018-06-03 | 2024-03-05 | Apple Inc. | Media control for screensavers on an electronic device |
| DK201870360A1 (en) | 2018-06-03 | 2019-12-20 | Apple Inc. | Accelerated task performance |
| CN110554880B (en) | 2018-06-03 | 2024-03-15 | 苹果公司 | Setup program for electronic device |
| DK201870354A1 (en) | 2018-06-03 | 2019-12-20 | Apple Inc. | Setup procedures for an electronic device |
| US10776006B2 (en) | 2018-06-03 | 2020-09-15 | Apple Inc. | Systems and methods for activating and using a trackpad at an electronic device with a touch-sensitive display and no force sensors |
| US11204806B2 (en) | 2018-06-03 | 2021-12-21 | Apple Inc. | Systems and methods for user adaptive resource management |
| US11170085B2 (en) | 2018-06-03 | 2021-11-09 | Apple Inc. | Implementation of biometric authentication |
| US11669243B2 (en) | 2018-06-03 | 2023-06-06 | Apple Inc. | Systems and methods for activating and using a trackpad at an electronic device with a touch-sensitive display and no force sensors |
| US11546728B2 (en) | 2018-06-15 | 2023-01-03 | Proxy, Inc. | Methods and apparatus for presence sensing reporting |
| US11109234B2 (en) | 2018-06-15 | 2021-08-31 | Proxy, Inc. | Reader device with sensor streaming data and methods |
| US11438767B2 (en) | 2018-06-15 | 2022-09-06 | Proxy, Inc. | Methods and apparatus for preauthorizing reader devices |
| US11509475B2 (en) | 2018-06-15 | 2022-11-22 | Proxy, Inc. | Method and apparatus for obtaining multiple user credentials |
| US11411735B2 (en) | 2018-06-15 | 2022-08-09 | Proxy, Inc. | Methods and apparatus for authorizing and providing of distributed goods or services |
| US11462095B2 (en) | 2018-06-15 | 2022-10-04 | Proxy, Inc. | Facility control methods and apparatus |
| US10649550B2 (en)* | 2018-06-26 | 2020-05-12 | Intel Corporation | Predictive detection of user intent for stylus use |
| US11567632B2 (en) | 2018-07-03 | 2023-01-31 | Apple Inc. | Systems and methods for exploring a geographic region |
| US10871836B2 (en) | 2018-07-06 | 2020-12-22 | Apple Inc. | System and method for unintentional input rejection |
| US11422765B2 (en) | 2018-07-10 | 2022-08-23 | Apple Inc. | Cross device interactions |
| US10936135B2 (en) | 2018-07-17 | 2021-03-02 | Apple Inc. | Single layer touch sensor panel architecture |
| US11055868B2 (en) | 2018-07-19 | 2021-07-06 | Radius Technologies, LLC | Systems and methods for sizing objects via a computing device |
| US10755431B2 (en) | 2018-07-19 | 2020-08-25 | Radius Technologies, LLC | Systems and methods for sizing objects via a computing device |
| WO2020028880A1 (en) | 2018-08-03 | 2020-02-06 | Apple Inc. | Rectangular touch node design for metal mesh on-cell technology |
| US10725573B2 (en) | 2018-08-06 | 2020-07-28 | Apple Inc. | Annular piezoelectric structure for ultrasonic touch sensing |
| WO2020033468A1 (en) | 2018-08-07 | 2020-02-13 | The Research Foundation For The State University Of New York | Feedback input apparatus and method for use thereof |
| US11009989B2 (en) | 2018-08-21 | 2021-05-18 | Qeexo, Co. | Recognizing and rejecting unintentional touch events associated with a touch sensitive device |
| US10866683B2 (en) | 2018-08-27 | 2020-12-15 | Apple Inc. | Force or touch sensing on a mobile device using capacitive or pressure sensing |
| CN112867539B (en) | 2018-08-31 | 2024-08-06 | 赛特凯恩蒂克公司 | Cardiac sarcomere inhibitors |
| US10831296B1 (en) | 2018-09-11 | 2020-11-10 | Apple Inc. | Touch rejection for wet fabric |
| WO2020055613A1 (en) | 2018-09-11 | 2020-03-19 | Apple Inc. | User interfaces for simulated depth effects |
| US11478193B2 (en) | 2018-09-11 | 2022-10-25 | Apple Inc. | Contact detection for physiological sensor |
| US10999158B2 (en) | 2018-09-11 | 2021-05-04 | Apple Inc. | User interfaces for controlling or presenting information about multiple cellular identifiers on an electronic device |
| US11340962B2 (en) | 2018-09-11 | 2022-05-24 | Apple Inc. | Multiple notification user interface |
| US10712824B2 (en) | 2018-09-11 | 2020-07-14 | Apple Inc. | Content-based tactile outputs |
| US11435830B2 (en) | 2018-09-11 | 2022-09-06 | Apple Inc. | Content-based tactile outputs |
| DK201870623A1 (en) | 2018-09-11 | 2020-04-15 | Apple Inc. | User interfaces for simulated depth effects |
| US10613678B1 (en) | 2018-09-17 | 2020-04-07 | Apple Inc. | Input device with haptic feedback |
| US11003289B1 (en) | 2018-09-24 | 2021-05-11 | Apple Inc. | Flexible touch sensor panel |
| US10976989B2 (en) | 2018-09-26 | 2021-04-13 | Apple Inc. | Spatial management of audio |
| US10969907B2 (en) | 2018-09-27 | 2021-04-06 | Apple Inc. | Compensation techniques for grip and finger coupling to routing traces in a touch sensor panel |
| US11331016B1 (en) | 2018-09-28 | 2022-05-17 | Apple Inc. | System and method for robust pulse oximetry |
| US11100349B2 (en) | 2018-09-28 | 2021-08-24 | Apple Inc. | Audio assisted enrollment |
| US10754440B2 (en) | 2018-09-28 | 2020-08-25 | Apple Inc. | Touch sensitive keyboard with flexible interconnections |
| US11422692B2 (en) | 2018-09-28 | 2022-08-23 | Apple Inc. | System and method of controlling devices using motion gestures |
| US11462215B2 (en) | 2018-09-28 | 2022-10-04 | Apple Inc. | Multi-modal inputs for voice commands |
| US10860096B2 (en) | 2018-09-28 | 2020-12-08 | Apple Inc. | Device control using gaze information |
| US11016616B2 (en) | 2018-09-28 | 2021-05-25 | Apple Inc. | Multi-domain touch sensing with touch and display circuitry operable in guarded power domain |
| US10969941B2 (en) | 2018-09-28 | 2021-04-06 | Apple Inc. | Underwater user interface |
| US11079882B2 (en) | 2018-09-28 | 2021-08-03 | Apple Inc. | Diamond based touch sensor panel architectures |
| US10557724B1 (en) | 2018-09-28 | 2020-02-11 | Apple Inc. | Angle detection of a rotating system using a single magnet and multiple hall sensors |
| US11054948B2 (en) | 2018-10-05 | 2021-07-06 | Apple Inc. | Light transmissivity-controlled touch sensor panel design |
| WO2020080992A1 (en) | 2018-10-20 | 2020-04-23 | Flatfrog Laboratories Ab | Frame for a touch-sensitive device and tool therefor |
| EP3887192B1 (en) | 2018-11-28 | 2023-06-07 | Neonode Inc. | Motorist user interface sensor |
| TWM578150U (en)* | 2018-11-29 | 2019-05-21 | 金上達科技股份有限公司 | Grip strength device with measurement function |
| US11171464B1 (en) | 2018-12-14 | 2021-11-09 | Apple Inc. | Laser integration techniques |
| US11635928B2 (en) | 2019-01-04 | 2023-04-25 | Apple Inc. | User interfaces for content streaming |
| WO2020142681A1 (en) | 2019-01-04 | 2020-07-09 | Apple Inc. | Content playback on multiple devices |
| US11107261B2 (en) | 2019-01-18 | 2021-08-31 | Apple Inc. | Virtual avatar animation based on facial feature movement |
| WO2020150518A1 (en) | 2019-01-18 | 2020-07-23 | Apple Inc. | User interfaces for presenting information about and facilitating application functions |
| WO2020153890A1 (en) | 2019-01-25 | 2020-07-30 | Flatfrog Laboratories Ab | A videoconferencing terminal and method of operating the same |
| US10512130B1 (en) | 2019-02-01 | 2019-12-17 | Apple Inc. | Multi-string LED drivers and current switching techniques |
| CA3071758A1 (en) | 2019-02-07 | 2020-08-07 | 1004335 Ontario Inc. | Methods for two-touch detection with resisitive touch sensor and related apparatuses and sysyems |
| CN109899578B (en)* | 2019-02-28 | 2021-06-08 | 昆山品源知识产权运营科技有限公司 | Intelligent faucet, control method, electronic equipment and storage medium |
| WO2020181136A1 (en) | 2019-03-05 | 2020-09-10 | Physmodo, Inc. | System and method for human motion detection and tracking |
| US11331006B2 (en) | 2019-03-05 | 2022-05-17 | Physmodo, Inc. | System and method for human motion detection and tracking |
| CN116302281A (en) | 2019-03-18 | 2023-06-23 | 苹果公司 | User interface for subscribing to applications |
| WO2020190485A1 (en) | 2019-03-18 | 2020-09-24 | Apple Inc. | User interfaces for subscription applications |
| US11381674B2 (en) | 2019-03-18 | 2022-07-05 | Apple Inc. | User interfaces for subscription applications |
| US11455059B1 (en) | 2019-03-21 | 2022-09-27 | Apple Inc. | Display line aware noise mitigation for touch screens |
| EP3928194A1 (en) | 2019-03-24 | 2021-12-29 | Apple Inc. | User interfaces including selectable representations of content items |
| US11683565B2 (en) | 2019-03-24 | 2023-06-20 | Apple Inc. | User interfaces for interacting with channels that provide content that plays in a media browsing application |
| CN113906419A (en) | 2019-03-24 | 2022-01-07 | 苹果公司 | User interface for media browsing application |
| EP3928526A1 (en) | 2019-03-24 | 2021-12-29 | Apple Inc. | User interfaces for viewing and accessing content on an electronic device |
| US11328352B2 (en) | 2019-03-24 | 2022-05-10 | Apple Inc. | User interfaces for managing an account |
| AU2020223752B2 (en) | 2019-04-15 | 2021-06-24 | Apple Inc. | Accelerated scrolling and selection |
| DK180359B1 (en) | 2019-04-15 | 2021-02-03 | Apple Inc | Accelerated scrolling and selection |
| DK180318B1 (en) | 2019-04-15 | 2020-11-09 | Apple Inc | Systems, methods, and user interfaces for interacting with multiple application windows |
| AU2020257403B2 (en) | 2019-04-17 | 2023-07-27 | Apple Inc. | User interfaces for tracking and finding items |
| US10877606B2 (en) | 2019-04-22 | 2020-12-29 | Apple Inc. | Method and apparatus for isolating ultrasonic touch sensor from reflections in a device housing |
| WO2020219008A1 (en)* | 2019-04-22 | 2020-10-29 | Hewlett-Packard Development Company L.P. | Palm-based graphics change |
| WO2020223176A1 (en) | 2019-04-28 | 2020-11-05 | Prestacom Services Llc | Generating tactile output sequences associated with an object |
| US20200341610A1 (en) | 2019-04-28 | 2020-10-29 | Apple Inc. | Presenting user interfaces that update in response to detection of a hovering object |
| WO2020222988A1 (en) | 2019-04-30 | 2020-11-05 | Apple Inc. | Utilizing context information with an electronic device |
| US11675476B2 (en) | 2019-05-05 | 2023-06-13 | Apple Inc. | User interfaces for widgets |
| US11863700B2 (en) | 2019-05-06 | 2024-01-02 | Apple Inc. | Providing user interfaces based on use contexts and managing playback of media |
| DK201970530A1 (en) | 2019-05-06 | 2021-01-28 | Apple Inc | Avatar integration with multiple applications |
| US10852915B1 (en) | 2019-05-06 | 2020-12-01 | Apple Inc. | User interfaces for sharing content with other electronic devices |
| US11960701B2 (en) | 2019-05-06 | 2024-04-16 | Apple Inc. | Using an illustration to show the passing of time |
| WO2020227273A1 (en) | 2019-05-06 | 2020-11-12 | Apple Inc. | Media browsing user interface with intelligently selected representative media items |
| US10942603B2 (en) | 2019-05-06 | 2021-03-09 | Qeexo, Co. | Managing activity states of an application processor in relation to touch or hover interactions with a touch sensitive device |
| US11751790B1 (en) | 2019-05-06 | 2023-09-12 | Apple Inc. | Protective circuitry for external sensing applications |
| EP3827438A1 (en) | 2019-05-06 | 2021-06-02 | Apple Inc. | Activity trends and workouts |
| CN111901475A (en) | 2019-05-06 | 2020-11-06 | 苹果公司 | User interface for capturing and managing visual media |
| US11429274B2 (en) | 2019-05-06 | 2022-08-30 | Apple Inc. | Handwriting entry on an electronic device |
| EP3948867B1 (en) | 2019-05-06 | 2024-04-24 | Apple Inc. | Spoken notifications |
| EP4273682B1 (en) | 2019-05-06 | 2024-08-07 | Apple Inc. | Avatar integration with multiple applications |
| US11307752B2 (en) | 2019-05-06 | 2022-04-19 | Apple Inc. | User configurable task triggers |
| JP6921338B2 (en) | 2019-05-06 | 2021-08-18 | アップル インコーポレイテッドApple Inc. | Limited operation of electronic devices |
| US11131967B2 (en) | 2019-05-06 | 2021-09-28 | Apple Inc. | Clock faces for an electronic device |
| DK201970535A1 (en) | 2019-05-06 | 2020-12-21 | Apple Inc | Media browsing user interface with intelligently selected representative media items |
| US11646591B2 (en) | 2019-05-09 | 2023-05-09 | Apple Inc. | Indication for protective charging mode |
| US11235970B1 (en) | 2019-05-30 | 2022-02-01 | Apple Inc. | Overload recovery optimization in microelectromechanical system application specific integrated circuit |
| WO2020242711A1 (en) | 2019-05-31 | 2020-12-03 | Apple Inc. | Voice assistant discoverability through on-device targeting and personalization |
| CN113906380A (en) | 2019-05-31 | 2022-01-07 | 苹果公司 | User interface for podcast browsing and playback applications |
| US10750595B1 (en) | 2019-05-31 | 2020-08-18 | Apple Inc. | Frequency-to-current/voltage converter based mixed-mode LED drivers |
| US20200379716A1 (en) | 2019-05-31 | 2020-12-03 | Apple Inc. | Audio media user interface |
| WO2020242595A1 (en) | 2019-05-31 | 2020-12-03 | Apple Inc. | Voice identification in digital assistant systems |
| US10802843B1 (en) | 2019-05-31 | 2020-10-13 | Apple Inc. | Multi-user configuration |
| CN114338899B (en) | 2019-05-31 | 2023-02-28 | 苹果公司 | Method, electronic device, and storage medium for sharing audio |
| CN115562613A (en) | 2019-05-31 | 2023-01-03 | 苹果公司 | User interface for audio media controls |
| KR102425473B1 (en) | 2019-05-31 | 2022-07-25 | 애플 인크. | Voice assistant discoverability through on-device goal setting and personalization |
| US10996917B2 (en) | 2019-05-31 | 2021-05-04 | Apple Inc. | User interfaces for audio media control |
| DK180129B1 (en) | 2019-05-31 | 2020-06-02 | Apple Inc. | USER ACTIVITY SHORTCUT SUGGESTIONS |
| EP3959714B1 (en) | 2019-05-31 | 2024-04-17 | Apple Inc. | Voice identification in digital assistant systems |
| CN111399714A (en) | 2019-05-31 | 2020-07-10 | 苹果公司 | User activity shortcut suggestions |
| US11363382B2 (en) | 2019-05-31 | 2022-06-14 | Apple Inc. | Methods and user interfaces for audio synchronization |
| US10904029B2 (en) | 2019-05-31 | 2021-01-26 | Apple Inc. | User interfaces for managing controllable external devices |
| US11863837B2 (en) | 2019-05-31 | 2024-01-02 | Apple Inc. | Notification of augmented reality content on an electronic device |
| US11363071B2 (en) | 2019-05-31 | 2022-06-14 | Apple Inc. | User interfaces for managing a local network |
| US10698701B1 (en) | 2019-06-01 | 2020-06-30 | Apple Inc. | User interface for accessing an account |
| US11829591B2 (en) | 2019-06-01 | 2023-11-28 | Apple Inc. | User interface for managing input techniques |
| US11675563B2 (en) | 2019-06-01 | 2023-06-13 | Apple Inc. | User interfaces for content applications |
| US11556631B2 (en) | 2019-06-01 | 2023-01-17 | Apple Inc. | User interfaces for managing user account passwords |
| WO2020247283A1 (en) | 2019-06-01 | 2020-12-10 | Apple Inc. | User interfaces for cycle tracking |
| WO2020247281A1 (en) | 2019-06-01 | 2020-12-10 | Apple Inc. | User interfaces for managing contacts on another electronic device |
| US11477609B2 (en) | 2019-06-01 | 2022-10-18 | Apple Inc. | User interfaces for location-related communications |
| US11144176B2 (en) | 2019-06-01 | 2021-10-12 | Apple Inc. | User interfaces for electronic voice communications |
| WO2020247049A1 (en) | 2019-06-01 | 2020-12-10 | Apple Inc. | User interfaces for monitoring noise exposure levels |
| CN113892077A (en) | 2019-06-01 | 2022-01-04 | 苹果公司 | Multi-modal activity tracking user interface |
| US11481205B2 (en) | 2019-06-01 | 2022-10-25 | Apple Inc. | User interfaces for managing subscriptions |
| KR102388543B1 (en) | 2019-06-01 | 2022-04-20 | 애플 인크. | User interfaces for managing audio exposure |
| US11379113B2 (en) | 2019-06-01 | 2022-07-05 | Apple Inc. | Techniques for selecting text |
| US11074408B2 (en) | 2019-06-01 | 2021-07-27 | Apple Inc. | Mail application features |
| US11152100B2 (en) | 2019-06-01 | 2021-10-19 | Apple Inc. | Health application user interfaces |
| US12299098B2 (en) | 2019-06-05 | 2025-05-13 | Touch Biometrix Limited | Pointing device with biometric skin-contact sensor, and corresponding method |
| US11042247B2 (en) | 2019-06-14 | 2021-06-22 | Valve Corporation | Cluster-based sensor assignment |
| US11481100B2 (en) | 2019-06-25 | 2022-10-25 | Apple Inc. | User interfaces for a compass application |
| US11231815B2 (en) | 2019-06-28 | 2022-01-25 | Qeexo, Co. | Detecting object proximity using touch sensitive surface sensing and ultrasonic sensing |
| US12002588B2 (en) | 2019-07-17 | 2024-06-04 | Apple Inc. | Health event logging and coaching user interfaces |
| US11366558B2 (en) | 2019-07-26 | 2022-06-21 | Apple Inc. | Metal mesh touch electrodes with visibility mitigations |
| JP2021038981A (en)* | 2019-09-02 | 2021-03-11 | 株式会社日立製作所 | Measurement method using capacitance detection type ultrasonic transducer |
| US11015990B2 (en) | 2019-09-04 | 2021-05-25 | Bradley Davis | Grip sensor |
| US11157109B1 (en) | 2019-09-06 | 2021-10-26 | Apple Inc. | Touch sensing with water rejection |
| US10852905B1 (en) | 2019-09-09 | 2020-12-01 | Apple Inc. | Techniques for managing display usage |
| CN114706505B (en) | 2019-09-09 | 2025-01-28 | 苹果公司 | Research User Interface |
| KR102326537B1 (en) | 2019-09-09 | 2021-11-16 | 애플 인크. | Techniques for managing display usage |
| US11301099B1 (en) | 2019-09-27 | 2022-04-12 | Apple Inc. | Methods and apparatus for finger detection and separation on a touch sensor panel using machine learning models |
| US10963095B1 (en) | 2019-09-27 | 2021-03-30 | Apple Inc. | Glove touch detection |
| AU2020356289B2 (en) | 2019-09-27 | 2023-08-31 | Apple Inc. | User interfaces for customizing graphical objects |
| KR102451495B1 (en) | 2019-09-29 | 2022-10-06 | 애플 인크. | Account Management User Interfaces |
| US11169830B2 (en) | 2019-09-29 | 2021-11-09 | Apple Inc. | Account management user interfaces |
| US11275453B1 (en) | 2019-09-30 | 2022-03-15 | Snap Inc. | Smart ring for manipulating virtual objects displayed by a wearable device |
| US11422623B2 (en)* | 2019-10-23 | 2022-08-23 | Interlake Research, Llc | Wrist worn computing device control systems and methods |
| JP7582675B2 (en) | 2019-11-06 | 2024-11-13 | ヒーズ アイピー ホールディングス エルエルシー | System and method for displaying objects with depth |
| TWI698758B (en)* | 2019-11-07 | 2020-07-11 | 大陸商北京集創北方科技股份有限公司 | Method for smoothing touch track and touch system and electronic device using the same |
| EP4059015A1 (en) | 2019-11-11 | 2022-09-21 | Apple Inc. | User interfaces for time period-based curated playlists |
| EP3822982A1 (en)* | 2019-11-17 | 2021-05-19 | PreciPoint GmbH | Method of determining and displaying an area of interest of a digital microscopic tissue image, input / output system for navigating a patient-specific image record, and work place comprising such input / output system |
| ES2991658T3 (en) | 2019-11-25 | 2024-12-04 | Flatfrog Lab Ab | A touch device |
| KR102797047B1 (en) | 2019-12-31 | 2025-04-21 | 네오노드, 인크. | Non-contact touch input system |
| US11643048B2 (en) | 2020-01-27 | 2023-05-09 | Apple Inc. | Mobile key enrollment and use |
| KR20240047491A (en) | 2020-01-27 | 2024-04-12 | 애플 인크. | Mobile key enrollment and use |
| US12023415B2 (en) | 2020-01-29 | 2024-07-02 | Safetyspect Inc | Inspection and sanitation device and method |
| US11592423B2 (en) | 2020-01-29 | 2023-02-28 | Qeexo, Co. | Adaptive ultrasonic sensing techniques and systems to mitigate interference |
| CN115562533A (en) | 2020-02-03 | 2023-01-03 | 苹果公司 | Integration of cursor with touch screen user interface |
| US11593984B2 (en) | 2020-02-07 | 2023-02-28 | Apple Inc. | Using text for avatar animation |
| US12282653B2 (en) | 2020-02-08 | 2025-04-22 | Flatfrog Laboratories Ab | Touch apparatus with low latency interactions |
| US11893189B2 (en) | 2020-02-10 | 2024-02-06 | Flatfrog Laboratories Ab | Touch-sensing apparatus |
| US11769497B2 (en) | 2020-02-12 | 2023-09-26 | Apple Inc. | Digital assistant interaction in a video communication session environment |
| JP7228550B2 (en) | 2020-02-14 | 2023-02-24 | アップル インコーポレイテッド | Training content user interface |
| US11599223B1 (en) | 2020-03-13 | 2023-03-07 | Apple Inc. | System and machine learning method for separating noise and signal in multitouch sensors |
| US11843838B2 (en) | 2020-03-24 | 2023-12-12 | Apple Inc. | User interfaces for accessing episodes of a content series |
| CN115552361A (en) | 2020-03-31 | 2022-12-30 | 夏皮滕实验室有限责任公司 | Electrostatic discharge protection for high-efficiency stylus for electronic devices |
| US11277597B1 (en) | 2020-03-31 | 2022-03-15 | Snap Inc. | Marker-based guided AR experience |
| DK180985B1 (en) | 2020-04-10 | 2022-09-02 | Apple Inc | User interfaces for enabling an activity |
| KR102493991B1 (en) | 2020-04-10 | 2023-02-02 | 애플 인크. | User interfaces for enabling an activity |
| US11474614B2 (en)* | 2020-04-26 | 2022-10-18 | Huawei Technologies Co., Ltd. | Method and device for adjusting the control-display gain of a gesture controlled electronic device |
| US11798429B1 (en) | 2020-05-04 | 2023-10-24 | Snap Inc. | Virtual tutorials for musical instruments with finger tracking in augmented reality |
| US12393329B2 (en) | 2020-05-11 | 2025-08-19 | Apple Inc. | Interacting with handwritten content on an electronic device |
| EP3910467B1 (en) | 2020-05-11 | 2025-03-26 | Apple Inc. | Digital assistant hardware abstraction |
| KR102541891B1 (en) | 2020-05-11 | 2023-06-12 | 애플 인크. | User interfaces related to time |
| EP3959590B1 (en) | 2020-05-11 | 2024-03-06 | Apple Inc. | User interface for accessory control |
| US11183193B1 (en) | 2020-05-11 | 2021-11-23 | Apple Inc. | Digital assistant hardware abstraction |
| AU2020233622B2 (en) | 2020-05-11 | 2022-03-10 | Apple Inc. | System, method and user interface for supporting scheduled mode changes on electronic devices |
| US11921998B2 (en) | 2020-05-11 | 2024-03-05 | Apple Inc. | Editing features of an avatar |
| KR102419905B1 (en) | 2020-05-11 | 2022-07-18 | 애플 인크. | Provision of relevant data items based on context |
| US11526256B2 (en) | 2020-05-11 | 2022-12-13 | Apple Inc. | User interfaces for managing user interface sharing |
| WO2021231197A1 (en) | 2020-05-12 | 2021-11-18 | Apple Inc. | Reducing description length based on confidence |
| EP3910495A1 (en) | 2020-05-12 | 2021-11-17 | Apple Inc. | Reducing description length based on confidence |
| US20210356288A1 (en) | 2020-05-15 | 2021-11-18 | Apple Inc. | User interfaces for providing navigation directions |
| EP4153945B1 (en) | 2020-05-18 | 2024-06-26 | Apple Inc. | User interfaces for reporting incidents |
| WO2021236684A1 (en) | 2020-05-18 | 2021-11-25 | Apple Inc. | User interfaces for viewing and refining the current location of an electronic device |
| US12045437B2 (en) | 2020-05-22 | 2024-07-23 | Apple Inc. | Digital assistant user interfaces and response modes |
| US11520399B2 (en) | 2020-05-26 | 2022-12-06 | Snap Inc. | Interactive augmented reality experiences using positional tracking |
| US11775151B2 (en) | 2020-05-29 | 2023-10-03 | Apple Inc. | Sharing and using passes or accounts |
| US12118562B2 (en) | 2020-05-29 | 2024-10-15 | Apple Inc. | Configuring an account for a second user identity |
| US11662867B1 (en) | 2020-05-30 | 2023-05-30 | Apple Inc. | Hover detection on a touch sensor panel |
| EP4158460A1 (en) | 2020-06-01 | 2023-04-05 | Apple Inc. | User interfaces for transitioning between selection modes |
| CN119815169A (en) | 2020-06-01 | 2025-04-11 | 苹果公司 | User interface for managing media |
| WO2021247258A1 (en) | 2020-06-01 | 2021-12-09 | Apple Inc. | Suggesting executable actions in response to detecting events |
| KR102582146B1 (en) | 2020-06-01 | 2023-09-25 | 애플 인크. | User interfaces for managing media |
| AU2021283914A1 (en) | 2020-06-02 | 2023-01-19 | Apple Inc. | User interfaces for tracking of physical activity events |
| JP7073463B2 (en) | 2020-06-02 | 2022-05-23 | アップル インコーポレイテッド | User interface for health applications |
| WO2021247872A1 (en) | 2020-06-03 | 2021-12-09 | Apple Inc. | Camera and visitor user interfaces |
| US11743213B2 (en) | 2020-06-09 | 2023-08-29 | Apple Inc. | User interfaces for messages |
| US11846515B2 (en) | 2020-06-11 | 2023-12-19 | Apple Inc. | User interfaces for customized navigation routes |
| CN116124172A (en) | 2020-06-11 | 2023-05-16 | 苹果公司 | User interface for customized navigation routes |
| WO2021252827A1 (en) | 2020-06-12 | 2021-12-16 | Apple Inc. | Providing personalized responses based on semantic context |
| US12298512B2 (en) | 2020-06-19 | 2025-05-13 | Oomii Inc. | Image display systems for eyebox expansion and methods of making the same |
| WO2021258014A1 (en) | 2020-06-19 | 2021-12-23 | Apple Inc. | User interfaces for presenting indications of incoming calls |
| US11816194B2 (en) | 2020-06-21 | 2023-11-14 | Apple Inc. | User interfaces for managing secure operations |
| US11899895B2 (en) | 2020-06-21 | 2024-02-13 | Apple Inc. | User interfaces for setting up an electronic device |
| US11601419B2 (en) | 2020-06-21 | 2023-03-07 | Apple Inc. | User interfaces for accessing an account |
| US11995289B2 (en) | 2020-06-21 | 2024-05-28 | Apple Inc. | User interfaces for collections of content services and/or applications |
| US11609640B2 (en) | 2020-06-21 | 2023-03-21 | Apple Inc. | Emoji user interfaces |
| US11995615B2 (en) | 2020-06-21 | 2024-05-28 | Apple Inc. | User interfaces for indicating time and/or date on an electronic device |
| US11946996B2 (en) | 2020-06-30 | 2024-04-02 | Apple, Inc. | Ultra-accurate object tracking using radar in multi-object environment |
| US11968602B2 (en)* | 2020-06-30 | 2024-04-23 | Stmicroelectronics S.R.L. | Device, system and method for synchronizing of data from multiple sensors |
| US11690435B2 (en) | 2020-07-07 | 2023-07-04 | Perfect Mobile Corp. | System and method for navigating user interfaces using a hybrid touchless control mechanism |
| US11899881B2 (en) | 2020-07-17 | 2024-02-13 | Apple Inc. | Machine learning method and system for suppressing display induced noise in touch sensors using information from display circuitry |
| US11438683B2 (en) | 2020-07-21 | 2022-09-06 | Apple Inc. | User identification using headphones |
| US11796660B2 (en)* | 2020-07-24 | 2023-10-24 | Fujifilm Sonosite, Inc. | Systems and methods for customized user interface |
| WO2022035847A1 (en) | 2020-08-11 | 2022-02-17 | Apple Inc. | User interfaces for managing health data |
| TWI862393B (en) | 2020-08-14 | 2024-11-11 | 美商海思智財控股有限公司 | Head wearable virtual image module for superimposing virtual image on real-time image |
| WO2022036212A1 (en) | 2020-08-14 | 2022-02-17 | Apple Inc. | Audio media playback user interface |
| US11562638B2 (en) | 2020-08-24 | 2023-01-24 | Logitech Europe S.A. | Electronic system and method for improving human interaction and activities |
| US12148282B2 (en) | 2020-08-24 | 2024-11-19 | Logitech Europe S.A. | Electronic system and method for improving human interaction and activities |
| US11954288B1 (en) | 2020-08-26 | 2024-04-09 | Apple Inc. | System and machine learning method for separating noise and signal in multitouch sensors |
| EP4204933A1 (en) | 2020-08-27 | 2023-07-05 | Shapirten Laboratories Llc | Mechanically sensitive power efficient stylus for an electronic device |
| US11698710B2 (en) | 2020-08-31 | 2023-07-11 | Apple Inc. | User interfaces for logging user activities |
| CN114616511A (en) | 2020-09-03 | 2022-06-10 | 海思智财控股有限公司 | System and method for improving binocular vision |
| CN116057454A (en) | 2020-09-09 | 2023-05-02 | 苹果公司 | Optical system for noise mitigation |
| WO2022056036A2 (en) | 2020-09-11 | 2022-03-17 | Apple Inc. | Methods for manipulating objects in an environment |
| US11670144B2 (en) | 2020-09-14 | 2023-06-06 | Apple Inc. | User interfaces for indicating distance |
| US11409410B2 (en) | 2020-09-14 | 2022-08-09 | Apple Inc. | User input interfaces |
| WO2022055519A1 (en) | 2020-09-14 | 2022-03-17 | Apple Inc. | User interfaces for location-related communications |
| CN116457545A (en) | 2020-09-17 | 2023-07-18 | 亚萨合莱股份有限公司 | Magnetic sensor for lock position |
| US11925863B2 (en) | 2020-09-18 | 2024-03-12 | Snap Inc. | Tracking hand gestures for interactive game control in augmented reality |
| JP2023543799A (en) | 2020-09-25 | 2023-10-18 | アップル インコーポレイテッド | How to navigate the user interface |
| AU2021347112B2 (en)* | 2020-09-25 | 2023-11-23 | Apple Inc. | Methods for manipulating objects in an environment |
| KR20230054733A (en) | 2020-09-25 | 2023-04-25 | 애플 인크. | Methods for interacting with virtual controls and/or affordance for moving virtual objects in virtual environments |
| EP4217843A1 (en) | 2020-09-25 | 2023-08-02 | Apple Inc. | User interfaces for controlling an insertion marker |
| CN117555417B (en)* | 2020-09-25 | 2024-07-19 | 苹果公司 | Method for adjusting and/or controlling immersion associated with a user interface |
| JP2023543236A (en) | 2020-09-25 | 2023-10-13 | アッサ・アブロイ・インコーポレイテッド | door lock with magnetometer |
| US12153764B1 (en) | 2020-09-25 | 2024-11-26 | Apple Inc. | Stylus with receive architecture for position determination |
| US11392291B2 (en) | 2020-09-25 | 2022-07-19 | Apple Inc. | Methods and interfaces for media control with dynamic feedback |
| US11212449B1 (en) | 2020-09-25 | 2021-12-28 | Apple Inc. | User interfaces for media capture and management |
| EP4217821A1 (en) | 2020-09-25 | 2023-08-02 | Apple Inc. | User interfaces associated with remote input devices |
| JP2023543572A (en) | 2020-09-25 | 2023-10-17 | アッサ・アブロイ・インコーポレイテッド | multidirectional door lock |
| US11778421B2 (en) | 2020-09-25 | 2023-10-03 | Apple Inc. | User interfaces for tracking and finding items |
| US11481070B1 (en) | 2020-09-25 | 2022-10-25 | Apple Inc. | System and method for touch sensor panel with display noise correction |
| WO2022072565A1 (en) | 2020-09-30 | 2022-04-07 | Hes Ip Holdings, Llc | Virtual image display system for virtual reality and augmented reality devices |
| WO2022072331A1 (en) | 2020-09-30 | 2022-04-07 | Neonode Inc. | Optical touch sensor |
| US12381880B2 (en) | 2020-10-12 | 2025-08-05 | Apple Inc. | Media service configuration |
| US12079394B2 (en)* | 2020-10-14 | 2024-09-03 | Aksor | Interactive contactless ordering terminal |
| US12405717B2 (en) | 2020-10-26 | 2025-09-02 | Apple Inc. | Methods and user interfaces for handling user requests |
| US20220358256A1 (en)* | 2020-10-29 | 2022-11-10 | Intrface Solutions Llc | Systems and methods for remote manipulation of multi-dimensional models |
| US12311880B2 (en) | 2020-11-05 | 2025-05-27 | Apple Inc. | Mobile key user interfaces |
| KR20220062951A (en) | 2020-11-09 | 2022-05-17 | 삼성전자주식회사 | Electronic device and method for managing contacts thereof |
| US11720229B2 (en) | 2020-12-07 | 2023-08-08 | Apple Inc. | User interfaces for browsing and presenting content |
| US11952087B2 (en) | 2020-12-11 | 2024-04-09 | Alessandra E. Myslinski | Smart apparel and backpack system |
| KR20230124732A (en) | 2020-12-29 | 2023-08-25 | 스냅 인코포레이티드 | Fine hand gestures to control virtual and graphical elements |
| KR20230124077A (en) | 2020-12-30 | 2023-08-24 | 스냅 인코포레이티드 | Augmented reality precision tracking and display |
| US12282364B2 (en) | 2021-01-04 | 2025-04-22 | Microsoft Technology Licensing, Llc | Posture probabilities for hinged touch display |
| EP4260339A1 (en) | 2021-01-14 | 2023-10-18 | Apple Inc. | User interfaces for monitoring health |
| WO2022155609A1 (en) | 2021-01-18 | 2022-07-21 | Apple Inc. | Configuring accessories |
| WO2022159899A1 (en) | 2021-01-25 | 2022-07-28 | Apple Inc. | Implementation of biometric authentication |
| US20240103606A1 (en)* | 2021-01-25 | 2024-03-28 | Hes Ip Holdings, Llc | Systems and methods for object interactions |
| EP4264460A1 (en) | 2021-01-25 | 2023-10-25 | Apple Inc. | Implementation of biometric authentication |
| US20220248101A1 (en) | 2021-01-29 | 2022-08-04 | Apple Inc. | User interfaces for indicating and/or controlling content item playback formats |
| US11934640B2 (en) | 2021-01-29 | 2024-03-19 | Apple Inc. | User interfaces for record labels |
| WO2022165279A1 (en) | 2021-01-29 | 2022-08-04 | Apple Inc. | User interfaces and associated systems and processes for sharing portions of content items |
| CN118890431B (en) | 2021-01-31 | 2025-08-26 | 苹果公司 | User interface for wide-angle video conferencing |
| WO2022165147A1 (en) | 2021-01-31 | 2022-08-04 | Apple Inc. | User interfaces for wide angle video conference |
| US11983702B2 (en) | 2021-02-01 | 2024-05-14 | Apple Inc. | Displaying a representation of a card with a layered structure |
| US11868461B2 (en) | 2021-02-01 | 2024-01-09 | Apple Inc. | User interfaces for sharing an account with another user identity |
| US11269457B1 (en) | 2021-02-03 | 2022-03-08 | Apple Inc. | Systems and methods for improved touch screen selectivity and sensitivity |
| US12260580B2 (en) | 2021-02-08 | 2025-03-25 | Oomii Inc. | System and method for enhancing visual acuity of head wearable displays |
| US11995230B2 (en) | 2021-02-11 | 2024-05-28 | Apple Inc. | Methods for presenting and sharing content in an environment |
| US11531402B1 (en) | 2021-02-25 | 2022-12-20 | Snap Inc. | Bimanual gestures for controlling virtual and graphical elements |
| US12210603B2 (en) | 2021-03-04 | 2025-01-28 | Apple Inc. | User interface for enrolling a biometric feature |
| KR20230142775A (en) | 2021-03-11 | 2023-10-11 | 애플 인크. | Multi-state digital assistant for persistent dialogue |
| US11955137B2 (en) | 2021-03-11 | 2024-04-09 | Apple Inc. | Continuous dialog with a digital assistant |
| AU2022201720B2 (en) | 2021-03-14 | 2023-08-24 | Apple Inc. | User interfaces with variable appearances |
| EP4295218A1 (en) | 2021-03-22 | 2023-12-27 | Apple Inc. | Methods for manipulating objects in an environment |
| CN117043722A (en) | 2021-03-22 | 2023-11-10 | 苹果公司 | Apparatus, method and graphical user interface for map |
| EP4320502A1 (en)* | 2021-04-08 | 2024-02-14 | Snap, Inc. | Bimanual interactions between mapped hand regions for controlling virtual and graphical elements |
| EP4323852A1 (en) | 2021-04-13 | 2024-02-21 | Apple Inc. | Methods for providing an immersive experience in an environment |
| US12197857B2 (en) | 2021-04-15 | 2025-01-14 | Apple Inc. | Digital assistant handling of personal requests |
| US12003659B2 (en) | 2021-04-15 | 2024-06-04 | Apple Inc. | Interfaces and devices for dynamically-available media playback |
| WO2022225942A1 (en) | 2021-04-19 | 2022-10-27 | Apple Inc. | User interfaces for an electronic key |
| JP2024517416A (en) | 2021-04-19 | 2024-04-22 | アップル インコーポレイテッド | User Interface for Location Tracking |
| US11669194B2 (en) | 2021-04-19 | 2023-06-06 | Apple Inc. | Navigating user interfaces with multiple navigation modes |
| US11861070B2 (en) | 2021-04-19 | 2024-01-02 | Snap Inc. | Hand gestures for animating and controlling virtual and graphical elements |
| CN117557991B (en) | 2021-04-19 | 2025-04-11 | 苹果公司 | User interface for managing visual content in media |
| KR20230150391A (en) | 2021-04-27 | 2023-10-30 | 애플 인크. | Techniques for managing display usage |
| EP4583106A3 (en) | 2021-04-30 | 2025-09-10 | Apple Inc. | User interfaces for altering visual media |
| US20220366889A1 (en) | 2021-04-30 | 2022-11-17 | Apple Inc. | Announce notifications |
| US12216754B2 (en) | 2021-05-10 | 2025-02-04 | Apple Inc. | User interfaces for authenticating to perform secure operations |
| US11614806B1 (en) | 2021-05-12 | 2023-03-28 | Apple Inc. | Input device with self-mixing interferometry sensors |
| US11921992B2 (en) | 2021-05-14 | 2024-03-05 | Apple Inc. | User interfaces related to time |
| US20220375553A1 (en) | 2021-05-14 | 2022-11-24 | Apple Inc. | Digital assistant for health requests |
| EP4327559A1 (en) | 2021-05-15 | 2024-02-28 | Apple Inc. | User interfaces and associated systems and processes for shared playback of content items |
| US12088888B2 (en) | 2021-05-15 | 2024-09-10 | Apple Inc. | User interfaces for media sharing and communication sessions |
| WO2022245665A1 (en) | 2021-05-15 | 2022-11-24 | Apple Inc. | Shared-content session user interfaces |
| WO2022245668A1 (en) | 2021-05-15 | 2022-11-24 | Apple Inc. | User interfaces for managing accessories |
| KR20240072276A (en) | 2021-05-15 | 2024-05-23 | 애플 인크. | Shared-content session user interfaces |
| WO2022245666A1 (en) | 2021-05-15 | 2022-11-24 | Apple Inc. | Real-time communication user interface |
| EP4323992B1 (en) | 2021-05-15 | 2025-05-14 | Apple Inc. | User interfaces for group workouts |
| EP4341793A2 (en) | 2021-05-17 | 2024-03-27 | Apple Inc. | Interacting with notes user interfaces |
| US20220365633A1 (en) | 2021-05-17 | 2022-11-17 | Apple Inc. | User interfaces for entity status |
| WO2022245787A1 (en) | 2021-05-18 | 2022-11-24 | Apple Inc. | Adaptive video conference user interfaces |
| WO2022246113A2 (en) | 2021-05-19 | 2022-11-24 | Apple Inc. | Methods and user interfaces for auditory features |
| US12425695B2 (en) | 2021-05-19 | 2025-09-23 | Apple Inc. | Methods and user interfaces for auditory features |
| WO2022246060A1 (en) | 2021-05-19 | 2022-11-24 | Apple Inc. | Navigating user interfaces using hand gestures |
| US20220374085A1 (en) | 2021-05-19 | 2022-11-24 | Apple Inc. | Navigating user interfaces using hand gestures |
| KR20240160253A (en) | 2021-05-21 | 2024-11-08 | 애플 인크. | Avatar sticker editor user interfaces |
| US12124668B2 (en) | 2021-05-21 | 2024-10-22 | Apple Inc. | Methods and user interfaces for tracking execution times of certain functions |
| EP4348183A1 (en) | 2021-05-26 | 2024-04-10 | Apple Inc. | User interfaces for customized navigation routes |
| WO2022256200A1 (en) | 2021-06-01 | 2022-12-08 | Apple Inc. | User interfaces for managing media styles |
| WO2022256195A1 (en) | 2021-06-01 | 2022-12-08 | Apple Inc. | Aggregated content item user interfaces |
| US11942090B2 (en) | 2021-06-04 | 2024-03-26 | Apple Inc. | Accessory device based authentication for digital assistant requests |
| US12088884B2 (en) | 2021-06-06 | 2024-09-10 | Apple Inc. | User interfaces and associated systems and processes for controlling playback of content |
| EP4352635A2 (en) | 2021-06-06 | 2024-04-17 | Apple Inc. | Methods and user interfaces for voice-based user profile management |
| CN119376677A (en) | 2021-06-06 | 2025-01-28 | 苹果公司 | User interface for audio routing |
| WO2022260851A2 (en) | 2021-06-06 | 2022-12-15 | Apple Inc. | Digital identification credential user interfaces |
| US11847378B2 (en) | 2021-06-06 | 2023-12-19 | Apple Inc. | User interfaces for audio routing |
| EP4330975A1 (en) | 2021-06-06 | 2024-03-06 | Apple Inc. | Walking steadiness user interfaces |
| US11570129B2 (en) | 2021-06-06 | 2023-01-31 | Apple Inc. | User interfaces for messaging conversations |
| EP4334810A1 (en) | 2021-06-06 | 2024-03-13 | Apple Inc. | User interfaces for displaying content recommendations for a group of users |
| US12189756B2 (en) | 2021-06-06 | 2025-01-07 | Apple Inc. | User interfaces for managing passwords |
| EP4331214A1 (en) | 2021-06-06 | 2024-03-06 | Apple Inc. | User interfaces for managing locks |
| EP4576026A3 (en) | 2021-06-06 | 2025-08-20 | Apple Inc. | Digital identification credential user interfaces |
| WO2022260857A1 (en) | 2021-06-06 | 2022-12-15 | Apple Inc. | User interfaces related to clinical data |
| WO2022261606A1 (en) | 2021-06-06 | 2022-12-15 | Apple Inc. | User interfaces for messaging conversations |
| WO2022260850A1 (en) | 2021-06-06 | 2022-12-15 | Apple Inc. | User interfaces for shared health-related data |
| WO2022261621A2 (en) | 2021-06-07 | 2022-12-15 | Apple Inc. | User interfaces for maps and navigation |
| US12281912B2 (en) | 2021-06-07 | 2025-04-22 | Apple Inc. | User interfaces for maps and navigation |
| EP4334683A2 (en) | 2021-06-07 | 2024-03-13 | Apple Inc. | User interfaces for maps and navigation |
| US11756285B2 (en) | 2021-06-10 | 2023-09-12 | Bank Of America Corporation | Image processing system and method for image noise removal |
| WO2022266209A2 (en) | 2021-06-16 | 2022-12-22 | Apple Inc. | Conversational and environmental transcriptions |
| US11714473B2 (en) | 2021-06-30 | 2023-08-01 | Synaptics Incorporated | Closure detection for foldable devices |
| US12007418B2 (en) | 2021-07-01 | 2024-06-11 | Azoteq Holdings Limited | Advanced charge transfer measurement techniques |
| US12266354B2 (en) | 2021-07-15 | 2025-04-01 | Apple Inc. | Speech interpretation based on environmental context |
| KR20230018096A (en) | 2021-07-29 | 2023-02-07 | 삼성전자주식회사 | Electronic device and the method for input coordinate prediction |
| WO2023014893A1 (en) | 2021-08-06 | 2023-02-09 | Apple Inc. | Multimodal assistant understanding using on-screen and device context |
| US12182737B2 (en) | 2021-08-10 | 2024-12-31 | Logitech Europe S.A. | Electronic system and method for claiming and reserving work areas |
| US12230264B2 (en) | 2021-08-13 | 2025-02-18 | Apple Inc. | Digital assistant interaction in a communication session |
| US12425511B2 (en) | 2021-08-31 | 2025-09-23 | Apple Inc. | Methods and systems of interfaces for initiating communications using terrestrial and non-terrestrial networks |
| EP4141636A1 (en) | 2021-08-31 | 2023-03-01 | Apple Inc. | Methods and user interfaces for initiating communications |
| WO2023034497A2 (en) | 2021-09-03 | 2023-03-09 | Apple Inc. | Gaze based dictation |
| KR20240052757A (en)* | 2021-09-09 | 2024-04-23 | 플럭스 컨설리데이티드 피티와이 엘티디 | computer input device |
| US12041287B2 (en) | 2021-09-13 | 2024-07-16 | Apple Inc. | User interfaces and associated systems and processes for accessing content items via content delivery services |
| WO2023039521A1 (en) | 2021-09-13 | 2023-03-16 | Apple Inc. | Methods, systems and devices for dynamically assigning button functionality based on orientation |
| WO2023039234A1 (en) | 2021-09-13 | 2023-03-16 | Apple Inc. | Low-bandwidth and emergency communication user interfaces |
| WO2023044050A1 (en) | 2021-09-17 | 2023-03-23 | Apple Inc. | Digital assistant for providing visualization of snippet information |
| US11784956B2 (en) | 2021-09-20 | 2023-10-10 | Apple Inc. | Requests to add assets to an asset account |
| EP4282132A1 (en) | 2021-09-20 | 2023-11-29 | Apple Inc. | User interfaces for digital identification |
| WO2023044044A1 (en) | 2021-09-20 | 2023-03-23 | Apple Inc. | Requests to add assets to an asset account |
| CN117980962A (en) | 2021-09-23 | 2024-05-03 | 苹果公司 | Apparatus, method and graphical user interface for content application |
| US12223110B1 (en) | 2021-09-23 | 2025-02-11 | Apple Inc. | Secure integrated circuit for smart haptics |
| WO2023049140A1 (en) | 2021-09-24 | 2023-03-30 | Apple Inc. | Digital assistant for providing handsfree notification management |
| US12204155B2 (en) | 2021-09-24 | 2025-01-21 | Apple Inc. | Chip-to-chip optical coupling for photonic integrated circuits |
| US12260045B2 (en) | 2021-09-24 | 2025-03-25 | Apple Inc. | Architecture for differential drive and sense for touch sensor panel |
| US11789561B2 (en) | 2021-09-24 | 2023-10-17 | Apple Inc. | Architecture for differential drive and sense touch technology |
| CN120017786A (en) | 2021-09-24 | 2025-05-16 | 苹果公司 | Wide-angle video conferencing |
| EP4384894A1 (en) | 2021-09-24 | 2024-06-19 | Apple Inc. | Media controls user interface |
| EP4388397A1 (en) | 2021-09-25 | 2024-06-26 | Apple Inc. | Devices, methods, and graphical user interfaces for presenting virtual objects in virtual environments |
| WO2023049876A1 (en) | 2021-09-25 | 2023-03-30 | Apple Inc. | Methods for interacting with an electronic device |
| WO2023064580A1 (en) | 2021-10-14 | 2023-04-20 | Apple Inc. | Camera user interface with recording space management |
| US20230141707A1 (en) | 2021-11-10 | 2023-05-11 | Apple Inc. | Methods, systems and devices for remotely managing one or more electronic devices |
| WO2023091627A1 (en) | 2021-11-19 | 2023-05-25 | Apple Inc. | Systems and methods for managing captions |
| WO2023114021A1 (en) | 2021-12-17 | 2023-06-22 | Apple Inc. | Generating emojis from user utterances |
| US12307614B2 (en) | 2021-12-23 | 2025-05-20 | Apple Inc. | Methods for sharing content and interacting with physical devices in a three-dimensional environment |
| WO2023141212A1 (en) | 2022-01-24 | 2023-07-27 | Apple Inc. | User interfaces for indicating time |
| WO2023146832A1 (en) | 2022-01-25 | 2023-08-03 | Apple Inc. | Methods and user interfaces for account recovery |
| US11716278B1 (en) | 2022-01-25 | 2023-08-01 | Bank Of America Corporation | System and method for determining the shortest data transfer path in data communication |
| WO2023146734A1 (en) | 2022-01-25 | 2023-08-03 | Apple Inc. | Managing information on a computer system |
| US12040967B2 (en) | 2022-01-25 | 2024-07-16 | Bank Of America Corporation | System and method for splitting data elements for data communication based on transformation types implemented on the data elements at different devices |
| US11656926B1 (en) | 2022-01-26 | 2023-05-23 | Bank Of America Corporation | Systems and methods for automatically applying configuration changes to computing clusters |
| WO2023150132A1 (en) | 2022-02-01 | 2023-08-10 | Apple Inc. | Keyword detection using motion sensing |
| US20230306968A1 (en) | 2022-02-04 | 2023-09-28 | Apple Inc. | Digital assistant for providing real-time social intelligence |
| CN119179388A (en) | 2022-02-18 | 2024-12-24 | 苹果公司 | Context alert |
| JP2023125355A (en)* | 2022-02-28 | 2023-09-07 | シャープディスプレイテクノロジー株式会社 | Display device and method of driving display device |
| US20230319224A1 (en) | 2022-03-10 | 2023-10-05 | Apple Inc. | User interfaces for managing visual content in a media representation |
| CN119544911A (en) | 2022-04-04 | 2025-02-28 | 苹果公司 | User interface for camera sharing |
| WO2023196258A1 (en) | 2022-04-04 | 2023-10-12 | Apple Inc. | Methods for quick message response and dictation in a three-dimensional environment |
| CN119053979A (en) | 2022-04-05 | 2024-11-29 | 苹果公司 | User interface for initiating transactions |
| CN119422393A (en) | 2022-04-21 | 2025-02-11 | 苹果公司 | User interface for sharing the location of findable items |
| US11837067B2 (en) | 2022-04-25 | 2023-12-05 | Apple Inc. | User interfaces for facilitating operations |
| WO2023211790A1 (en) | 2022-04-25 | 2023-11-02 | Apple Inc. | User interfaces for facilitating operations |
| EP4273668A1 (en)* | 2022-05-05 | 2023-11-08 | Nokia Technologies Oy | Tactile feedback |
| US12197679B2 (en) | 2022-05-06 | 2025-01-14 | Apple Inc. | Touch screen shield layer with ring and tapping points |
| US12147998B1 (en)* | 2022-05-09 | 2024-11-19 | Wells Fargo Bank, N.A. | Consumer relationship optimizer |
| CN119096294A (en) | 2022-05-10 | 2024-12-06 | 苹果公司 | Registration of voice activated shortcuts |
| US20230376168A1 (en) | 2022-05-10 | 2023-11-23 | Apple Inc. | User interfaces for managing media libraries |
| EP4500522A1 (en) | 2022-05-10 | 2025-02-05 | Apple Inc. | Task modification after task initiation |
| CN120653173A (en) | 2022-05-10 | 2025-09-16 | 苹果公司 | Interaction between an input device and an electronic device |
| US20230370507A1 (en) | 2022-05-10 | 2023-11-16 | Apple Inc. | User interfaces for managing shared-content sessions |
| CN119213388A (en) | 2022-05-10 | 2024-12-27 | 苹果公司 | Low power display status |
| WO2023219878A1 (en) | 2022-05-10 | 2023-11-16 | Apple Inc. | Search operations in various user interfaces |
| CN119301551A (en) | 2022-05-10 | 2025-01-10 | 苹果公司 | Use the search interface to navigate and perform device tasks |
| US20240046031A1 (en) | 2022-05-11 | 2024-02-08 | Apple Inc. | Account management |
| CN119137660A (en) | 2022-05-13 | 2024-12-13 | 苹果公司 | Determine if the voice input is intended for a digital assistant |
| EP4508520A1 (en) | 2022-05-16 | 2025-02-19 | Apple Inc. | Methods and user interfaces for monitoring sound reduction |
| US20230376266A1 (en) | 2022-05-17 | 2023-11-23 | Apple Inc. | User interfaces for detecting objects |
| US12175070B2 (en) | 2022-05-17 | 2024-12-24 | Apple Inc. | Systems and methods for remote interaction between electronic devices |
| EP4508513A1 (en) | 2022-05-17 | 2025-02-19 | Apple Inc. | User interfaces for device controls |
| US20230375359A1 (en) | 2022-05-17 | 2023-11-23 | Apple Inc. | User interfaces for navigation |
| US12386428B2 (en) | 2022-05-17 | 2025-08-12 | Apple Inc. | User interfaces for device controls |
| US12266365B2 (en) | 2022-05-17 | 2025-04-01 | Apple Inc. | Providing textual representations for a communication session |
| USD1037315S1 (en)* | 2022-05-24 | 2024-07-30 | Mcmaster-Carr Supply Company | Display screen or portion thereof with a group of graphical user interfaces |
| JP2025520085A (en) | 2022-05-27 | 2025-07-01 | アップル インコーポレイテッド | Detecting visual attention during user speech |
| WO2023235083A1 (en) | 2022-06-01 | 2023-12-07 | Apple Inc. | Lock screen flashlight |
| WO2023235162A1 (en) | 2022-06-02 | 2023-12-07 | Apple Inc. | Passkey management and sharing |
| US11978436B2 (en) | 2022-06-03 | 2024-05-07 | Apple Inc. | Application vocabulary integration with a digital assistant |
| CN119991064A (en) | 2022-06-03 | 2025-05-13 | 苹果公司 | User interface for messaging and sharing documents |
| US11995457B2 (en) | 2022-06-03 | 2024-05-28 | Apple Inc. | Digital assistant integration with system interface |
| EP4508521A1 (en) | 2022-06-03 | 2025-02-19 | Apple Inc. | User interfaces for managing a time-based event |
| WO2023235364A1 (en) | 2022-06-03 | 2023-12-07 | Apple Inc. | Method of activating and managing dual user interface operating modes |
| US20230393712A1 (en) | 2022-06-03 | 2023-12-07 | Apple Inc. | Task execution based on context |
| CN119902665A (en) | 2022-06-03 | 2025-04-29 | 苹果公司 | User interface for managing accessories |
| WO2023235147A1 (en) | 2022-06-03 | 2023-12-07 | Apple Inc. | User interfaces related to physiological measurements |
| WO2023235121A1 (en) | 2022-06-03 | 2023-12-07 | Apple Inc. | Methods and user interfaces for managing audio channels |
| CN119365933A (en) | 2022-06-03 | 2025-01-24 | 苹果公司 | Systems and methods for sleep tracking |
| CN119989313A (en) | 2022-06-04 | 2025-05-13 | 苹果公司 | Digital ID Credentials User Interface |
| EP4537558A1 (en) | 2022-06-04 | 2025-04-16 | Apple Inc. | User interfaces for sharing an electronic key |
| US20230393717A1 (en) | 2022-06-04 | 2023-12-07 | Apple Inc. | User interfaces for displaying handwritten content on an electronic device |
| EP4504541A2 (en) | 2022-06-04 | 2025-02-12 | Apple Inc. | Customized user interfaces |
| WO2023235350A1 (en) | 2022-06-04 | 2023-12-07 | Apple Inc. | User interfaces for account management |
| US20240152267A1 (en) | 2022-06-05 | 2024-05-09 | Apple Inc. | User interfaces for creating journaling entries |
| WO2023239677A1 (en) | 2022-06-05 | 2023-12-14 | Apple Inc. | Searching for stops in multistop routes |
| WO2023239615A1 (en) | 2022-06-05 | 2023-12-14 | Apple Inc. | User interfaces to track medications |
| WO2023239648A1 (en) | 2022-06-05 | 2023-12-14 | Apple Inc. | Content item scrubbing techniques |
| US11977729B2 (en) | 2022-06-05 | 2024-05-07 | Apple Inc. | Physical activity information user interfaces |
| WO2023239653A1 (en) | 2022-06-05 | 2023-12-14 | Apple Inc. | Health aware media navigation and consumption |
| WO2023239581A1 (en) | 2022-06-05 | 2023-12-14 | Apple Inc. | User interfaces for physical activity information |
| WO2023239623A1 (en) | 2022-06-05 | 2023-12-14 | Apple Inc. | User interfaces for messaging content |
| WO2023239624A1 (en) | 2022-06-05 | 2023-12-14 | Apple Inc. | Providing personalized audio |
| WO2023239589A1 (en) | 2022-06-05 | 2023-12-14 | Apple Inc. | Physical activity information user interfaces |
| WO2023239674A1 (en) | 2022-06-05 | 2023-12-14 | Apple Inc. | Synchronizing information across applications for recommending related content |
| US20240080543A1 (en) | 2022-06-05 | 2024-03-07 | Apple Inc. | User interfaces for camera management |
| WO2023239620A1 (en) | 2022-06-05 | 2023-12-14 | Apple Inc. | Sticker creation for messaging |
| US11733787B1 (en) | 2022-06-14 | 2023-08-22 | Dell Products L.P. | Information handling system mouse power management of illumination based on context |
| US12117883B2 (en) | 2022-06-14 | 2024-10-15 | Dell Products L.P. | Information handling system mouse power management |
| US12386440B2 (en) | 2022-06-14 | 2025-08-12 | Dell Products L.P. | Information handling system mouse adaptive resolution |
| WO2023244581A1 (en) | 2022-06-15 | 2023-12-21 | Apple Inc. | Home automation device control and designation |
| WO2023244378A1 (en) | 2022-06-17 | 2023-12-21 | Apple Inc. | Systems and methods for mapping an environment and locating objects |
| US12353649B2 (en) | 2022-06-29 | 2025-07-08 | Apple Inc. | Input device with optical sensors |
| EP4554806A1 (en) | 2022-08-14 | 2025-05-21 | Apple Inc. | Cruise control user interfaces |
| US11977733B2 (en)* | 2022-08-31 | 2024-05-07 | Dell Products L.P. | Information handling system collaborative touchpad dynamic scaling |
| US11899923B1 (en)* | 2022-08-31 | 2024-02-13 | Dell Products L.P. | Information handling system collaborative touchpad cursor over control icons |
| US11893960B1 (en) | 2022-08-31 | 2024-02-06 | Dell Products L.P. | Information handling system collaborative touchpad display brightness management |
| US12032759B2 (en) | 2022-08-31 | 2024-07-09 | Dell Products L.P. | Information handling system collaborative touchpad display hardware device coordination |
| US11842043B1 (en) | 2022-08-31 | 2023-12-12 | Dell Products L.P. | Information handling system collaborative touchpad and multizone touch rejection |
| US11983399B2 (en)* | 2022-08-31 | 2024-05-14 | Dell Products L.P. | Information handling system collaborative touchpad gesture activation and management |
| CN119816789A (en) | 2022-09-02 | 2025-04-11 | 苹果公司 | Content output devices and user interfaces |
| WO2024054378A1 (en) | 2022-09-06 | 2024-03-14 | Apple Inc. | User interfaces for health tracking |
| US20240159554A1 (en) | 2022-09-06 | 2024-05-16 | Apple Inc. | Navigational user interfaces |
| WO2024054498A1 (en) | 2022-09-06 | 2024-03-14 | Apple Inc. | Interfaces for device interactions |
| WO2024054479A2 (en) | 2022-09-06 | 2024-03-14 | Apple Inc. | Crash detection user interface |
| CN119816446A (en) | 2022-09-06 | 2025-04-11 | 苹果公司 | Physical Activity User Interface |
| CN115213542B (en)* | 2022-09-08 | 2023-01-20 | 中国核动力研究设计院 | Control method of vacuum diffusion welding equipment, vacuum diffusion welding equipment and storage medium |
| US20240231854A9 (en) | 2022-09-15 | 2024-07-11 | Apple Inc. | User interfaces for indicating time |
| US12148078B2 (en) | 2022-09-16 | 2024-11-19 | Apple Inc. | System and method of spatial groups in multi-user communication sessions |
| US12112011B2 (en) | 2022-09-16 | 2024-10-08 | Apple Inc. | System and method of application-based three-dimensional refinement in multi-user communication sessions |
| CN120469584A (en) | 2022-09-23 | 2025-08-12 | 苹果公司 | Methods for manipulating virtual objects |
| US12216851B2 (en) | 2022-09-23 | 2025-02-04 | Apple Inc. | Multi-directional texture based input device |
| EP4591578A1 (en) | 2022-09-24 | 2025-07-30 | Apple Inc. | User interfaces for playback of live content items |
| EP4577804A1 (en) | 2022-09-24 | 2025-07-02 | Apple Inc. | Offline maps |
| CN120489169A (en) | 2022-09-24 | 2025-08-15 | 苹果公司 | User interface for supplementing maps |
| CN120560545A (en) | 2022-09-24 | 2025-08-29 | 苹果公司 | Mobile User Interface |
| CN119923620A (en) | 2022-09-24 | 2025-05-02 | 苹果公司 | Input mechanism |
| WO2024064394A1 (en) | 2022-09-24 | 2024-03-28 | Apple Inc. | Navigation user interfaces |
| US20240102819A1 (en) | 2022-09-24 | 2024-03-28 | Apple Inc. | Transportation mode specific navigation user interfaces |
| KR102512943B1 (en)* | 2022-11-25 | 2023-03-22 | (주) 아하 | Method for identifying user processing touch input on in-cell type touch screen and interactive flat panel display thereof |
| EP4609381A2 (en) | 2022-12-04 | 2025-09-03 | Apple Inc. | Lyrics and karaoke user interfaces, methods and systems |
| US11853491B1 (en)* | 2023-01-11 | 2023-12-26 | Huawei Technologies Canada Co., Ltd. | Systems and methods to transition between pointing techniques |
| US20240259687A1 (en) | 2023-01-17 | 2024-08-01 | Apple Inc. | Integration of hardware and software tracking user interfaces |
| US20240264719A1 (en) | 2023-02-03 | 2024-08-08 | Apple Inc. | User interfaces for creating journaling entries |
| US20240272773A1 (en) | 2023-02-13 | 2024-08-15 | Apple Inc. | User interfaces for sharing locations of findable items with an entity |
| US11914795B1 (en) | 2023-02-22 | 2024-02-27 | Dell Products L.P. | Information handling system optical switch keyboard power management |
| US20240291944A1 (en) | 2023-02-24 | 2024-08-29 | Apple Inc. | Video application graphical effects |
| WO2024196564A1 (en) | 2023-03-20 | 2024-09-26 | Apple Inc. | Contactless account information transfer user interface |
| WO2024196579A1 (en) | 2023-03-22 | 2024-09-26 | Apple Inc. | Techniques for receiving user information and/or device fit information |
| WO2024206642A1 (en) | 2023-03-31 | 2024-10-03 | Apple Inc. | Methods and systems for interacting with audio events via motion inputs |
| WO2024215857A1 (en) | 2023-04-14 | 2024-10-17 | Apple Inc. | Digital assistant for providing and modifying an output of an electronic document |
| WO2024220424A1 (en) | 2023-04-17 | 2024-10-24 | Apple Inc. | User interfaces for device communications |
| JP2024155595A (en)* | 2023-04-21 | 2024-10-31 | アルプスアルパイン株式会社 | Capacitive coordinate input device |
| WO2024226464A1 (en) | 2023-04-28 | 2024-10-31 | Apple Inc. | Contextual response suggestions using secondary electronic device |
| WO2024226225A1 (en) | 2023-04-28 | 2024-10-31 | Apple Inc. | User interfaces and techniques for editing, creating, and using stickers |
| WO2024228800A1 (en) | 2023-04-30 | 2024-11-07 | Apple Inc. | User interface for displaying and managing widgets |
| WO2024233146A1 (en) | 2023-05-05 | 2024-11-14 | Apple Inc. | User interfaces for controlling media capture settings |
| US20240385691A1 (en) | 2023-05-05 | 2024-11-21 | Apple Inc. | User interfaces for gesture detection |
| WO2024233139A1 (en) | 2023-05-05 | 2024-11-14 | Apple Inc. | Digital assistant interactions in a voice communication session between an electronic device and a remote electronic device |
| WO2024232999A1 (en) | 2023-05-05 | 2024-11-14 | Apple Inc. | User interfaces for gestures |
| WO2024233163A1 (en) | 2023-05-05 | 2024-11-14 | Apple Inc. | User interfaces with dynamic content |
| WO2024233015A1 (en) | 2023-05-05 | 2024-11-14 | Apple Inc. | Transferring content between computer systems |
| WO2024233233A1 (en) | 2023-05-08 | 2024-11-14 | Apple Inc. | Streaming tasks in a multiple device environment |
| WO2024233027A1 (en) | 2023-05-09 | 2024-11-14 | Apple Inc. | Electronic communication and connecting a camera to a device |
| WO2024233145A2 (en) | 2023-05-09 | 2024-11-14 | Apple Inc. | Multi-modal digital assistant |
| WO2024233819A1 (en) | 2023-05-09 | 2024-11-14 | Apple Inc. | User interfaces for displaying, transmitting, and receiving communications |
| US20250004617A1 (en) | 2023-05-09 | 2025-01-02 | Apple Inc. | User interfaces for displaying, transmitting, and receiving communications |
| WO2024233359A1 (en) | 2023-05-09 | 2024-11-14 | Apple Inc. | Providing notifications with a digital assistant |
| WO2024233695A1 (en) | 2023-05-09 | 2024-11-14 | Apple Inc. | User interfaces for dynamic navigation routes |
| WO2024233004A1 (en) | 2023-05-09 | 2024-11-14 | Apple Inc. | User interfaces for communication using electronic devices |
| US20240377931A1 (en) | 2023-05-09 | 2024-11-14 | Apple Inc. | Systems and methods for messaging application user interfaces |
| WO2024233840A1 (en) | 2023-05-10 | 2024-11-14 | Apple Inc. | User interfaces with dynamic display of map information |
| WO2024233841A1 (en) | 2023-05-10 | 2024-11-14 | Apple Inc. | User interfaces for maps on mobile devices |
| WO2024238090A1 (en) | 2023-05-15 | 2024-11-21 | Apple Inc. | Techniques for detecting text |
| WO2024238132A1 (en) | 2023-05-15 | 2024-11-21 | Apple Inc. | Managing mouse cursor movement on one or more displays |
| WO2024248956A1 (en) | 2023-06-01 | 2024-12-05 | Apple Inc. | Methods and user interfaces for camera-based assessment of physical movement |
| WO2024249527A1 (en) | 2023-06-02 | 2024-12-05 | Apple Inc. | User interfaces for navigating to locations of shared devices |
| WO2024249036A1 (en) | 2023-06-02 | 2024-12-05 | Apple Inc. | Managing timed tasks with a digital assistant |
| WO2024253959A1 (en) | 2023-06-03 | 2024-12-12 | Apple Inc. | User interfaces and methods for enabling a security mode |
| WO2024253971A1 (en) | 2023-06-03 | 2024-12-12 | Apple Inc. | Communication via a non-terrestrial communication network |
| WO2024253918A1 (en) | 2023-06-04 | 2024-12-12 | Apple Inc. | User interfaces for logging and interacting with emotional valence data |
| WO2024253746A1 (en) | 2023-06-04 | 2024-12-12 | Apple Inc. | Methods and user interfaces for accessing and managing workout content and information |
| WO2024253778A1 (en) | 2023-06-04 | 2024-12-12 | Apple Inc. | Methods and user interfaces for managing and accessing workout content |
| WO2024254009A1 (en) | 2023-06-04 | 2024-12-12 | Apple Inc. | User interfaces for resource transfers |
| WO2024253949A1 (en) | 2023-06-04 | 2024-12-12 | Apple Inc. | User interfaces for collaborative content playlists |
| AU2024203763A1 (en) | 2023-06-04 | 2024-12-19 | Apple Inc. | User interfaces for displaying, transmitting, and receiving communications during a communication session |
| WO2024253900A1 (en) | 2023-06-04 | 2024-12-12 | Apple Inc. | User interfaces for content items on mobile devices |
| US20240406672A1 (en) | 2023-06-04 | 2024-12-05 | Apple Inc. | User interfaces for finding remote input devices |
| WO2024253878A1 (en) | 2023-06-04 | 2024-12-12 | Apple Inc. | User interfaces for managing digital identification information |
| WO2024253906A2 (en) | 2023-06-04 | 2024-12-12 | Apple Inc. | Methods and user interfaces for sharing and accessing workout content |
| WO2024253805A1 (en) | 2023-06-04 | 2024-12-12 | Apple Inc. | User interfaces for conditionally prompting to perform an operation |
| US20240405600A1 (en) | 2023-06-05 | 2024-12-05 | Apple Inc. | Techniques for managing energy forecasts |
| WO2024253983A1 (en) | 2023-06-05 | 2024-12-12 | Apple Inc. | Techniques for managing connections between computer systems |
| WO2024253986A1 (en) | 2023-06-05 | 2024-12-12 | Apple Inc. | Techniques for managing playback of media |
| WO2024254062A1 (en) | 2023-06-05 | 2024-12-12 | Apple Inc. | Techniques for connecting to external devices |
| US20250088584A1 (en) | 2023-09-11 | 2025-03-13 | Apple Inc. | User interfaces for tracking and generating alerts on electronic devices |
| WO2025058806A1 (en) | 2023-09-15 | 2025-03-20 | Apple Inc. | User interfaces for object detection |
| CN117079546B (en)* | 2023-09-25 | 2025-04-18 | 宜兴市旭航电子有限公司 | Special-shaped ultra-thin display module and method for improving touch sensitivity of the module |
| WO2025071728A1 (en) | 2023-09-27 | 2025-04-03 | Apple Inc. | Methods and user interfaces for personalized wellness coaching |
| WO2025072576A1 (en) | 2023-09-28 | 2025-04-03 | Apple Inc. | Systems and methods for presenting directional information based on contextual data |
| WO2025170642A2 (en) | 2023-09-29 | 2025-08-14 | Apple Inc. | Digital assistant edge display |
| WO2025071863A1 (en) | 2023-09-29 | 2025-04-03 | Apple Inc. | User interfaces integrating hardware buttons |
| WO2025072676A1 (en) | 2023-09-29 | 2025-04-03 | Apple Inc. | Replying to events on a first device by commands using secondary device gestures |
| WO2025072896A1 (en) | 2023-09-30 | 2025-04-03 | Apple Inc. | Systems and methods for navigating paths |
| WO2025081116A1 (en) | 2023-10-12 | 2025-04-17 | Apple Inc. | User interfaces for organizing user activities |
| US12206570B1 (en) | 2023-10-31 | 2025-01-21 | Bank Of America Corporation | System and method of pseudo path compression-based enhancement of decentralized data systems |
| WO2025122514A1 (en) | 2023-12-04 | 2025-06-12 | Apple Inc. | Hearing health user interfaces |
| WO2025147540A1 (en) | 2024-01-03 | 2025-07-10 | Apple Inc. | Three-dimensional user interfaces |
| WO2025155643A1 (en) | 2024-01-16 | 2025-07-24 | Apple Inc. | Displaying background regions for time user interfaces |
| WO2025155445A1 (en) | 2024-01-18 | 2025-07-24 | Apple Inc. | User interfaces integrating hardware buttons |
| WO2025160482A1 (en) | 2024-01-25 | 2025-07-31 | Apple Inc. | Interactions between an input device and an electronic device |
| WO2025160481A1 (en) | 2024-01-25 | 2025-07-31 | Apple Inc. | Interactions between an input device and an electronic device |
| WO2025160365A1 (en) | 2024-01-26 | 2025-07-31 | Apple Inc. | Modifying the brightness of user interfaces |
| WO2025171348A1 (en) | 2024-02-09 | 2025-08-14 | Apple Inc. | Media library user interfaces |
| EP4603318A1 (en) | 2024-02-13 | 2025-08-20 | Apple Inc. | User interfaces for hybrid gauges |
| WO2025175125A1 (en) | 2024-02-14 | 2025-08-21 | Apple Inc. | Digital assistant for delegating tasks |
| WO2025188878A1 (en) | 2024-03-05 | 2025-09-12 | Apple Inc. | Security of physical account cards |
| WO2025198833A1 (en) | 2024-03-20 | 2025-09-25 | Apple Inc. | Techniques for illuminating a physical space |
| WO2025198811A1 (en) | 2024-03-20 | 2025-09-25 | Apple Inc. | Techniques for illuminating a physical space |
| US20250298818A1 (en) | 2024-03-22 | 2025-09-25 | Apple Inc. | Processing requests using a digital assistant and a remote model |
| US20250298972A1 (en) | 2024-03-22 | 2025-09-25 | Apple Inc. | Generating or modifying text using a digital assistant and/or language model |
| Publication number | Priority date | Publication date | Assignee | Title |
|---|---|---|---|---|
| US558986A (en)* | 1896-04-28 | Ments | ||
| US552787A (en)* | 1896-01-07 | smith | ||
| US3333160A (en)* | 1964-02-24 | 1967-07-25 | Water Economy And Res Company | Proximity responsive system |
| US3541541A (en) | 1967-06-21 | 1970-11-17 | Stanford Research Inst | X-y position indicator for a display system |
| US3662105A (en)* | 1970-05-21 | 1972-05-09 | Univ Kentucky Res Found | Electrical sensor of plane coordinates |
| US3798370A (en)* | 1972-04-17 | 1974-03-19 | Elographics Inc | Electrographic sensor for determining planar coordinates |
| GB1472347A (en) | 1975-03-01 | 1977-05-04 | English Electric Valve Co Ltd | Camera tubes |
| US4017848A (en)* | 1975-05-19 | 1977-04-12 | Rockwell International Corporation | Transparent keyboard switch and array |
| CA1103803A (en) | 1978-03-01 | 1981-06-23 | National Research Council Of Canada | Method and apparatus of determining the center of area or centroid of a geometrical area of unspecified shape lying in a larger x-y scan field |
| US4237421A (en)* | 1978-10-19 | 1980-12-02 | General Electric Company | Single-electrode capacitance touchpad sensor systems |
| US4220815B1 (en) | 1978-12-04 | 1996-09-03 | Elographics Inc | Nonplanar transparent electrographic sensor |
| US4246452A (en)* | 1979-01-05 | 1981-01-20 | Mattel, Inc. | Switch apparatus |
| JPS55116338A (en) | 1979-02-28 | 1980-09-06 | Fuji Photo Film Co Ltd | Method and device for processing gradation of xxray picture of breast |
| US4266144A (en) | 1979-05-14 | 1981-05-05 | Emhart Industries, Inc. | Detection means for multiple capacitive sensing devices |
| US4213847A (en)* | 1979-05-16 | 1980-07-22 | Mobil Oil Corporation | Catalytic dewaxing of lubes in reactor fractionator |
| US4290061A (en)* | 1979-08-23 | 1981-09-15 | General Electric Company | Electrically integrated touch input and output display system |
| US4291303A (en)* | 1979-08-23 | 1981-09-22 | General Electric Company | Touch pad and display tube circuitry |
| US4686332A (en) | 1986-06-26 | 1987-08-11 | International Business Machines Corporation | Combined finger touch and stylus detection system for use on the viewing surface of a visual display device |
| JPS58139647A (en) | 1982-02-10 | 1983-08-19 | 九州電力株式会社 | Braking resistor control method |
| US4561002A (en)* | 1982-08-30 | 1985-12-24 | General Electric Company | Capacitive touch switch arrangement |
| JPS59123875A (en) | 1982-12-28 | 1984-07-17 | セイコーエプソン株式会社 | Liquid crystal display |
| JPS59133414A (en) | 1983-01-21 | 1984-07-31 | Agency Of Ind Science & Technol | Method and device for detecting elliptic shape |
| US4549279A (en) | 1983-01-21 | 1985-10-22 | The Laitram Corporation | Single hand, single finger stroke alphameric data processing keyboard system |
| JPS59149537A (en) | 1983-02-09 | 1984-08-27 | Toshiba Corp | Touch screen |
| US4526043A (en) | 1983-05-23 | 1985-07-02 | At&T Bell Laboratories | Conformable tactile sensor |
| JPS6029833A (en) | 1983-07-28 | 1985-02-15 | Canon Inc | image display device |
| US4550221A (en) | 1983-10-07 | 1985-10-29 | Scott Mabusth | Touch sensitive control device |
| US4598420A (en) | 1983-12-08 | 1986-07-01 | Mts Systems Corporation | Optical grid analyzer system for automatically determining strain in deformed sheet metal |
| US4733222A (en)* | 1983-12-27 | 1988-03-22 | Integrated Touch Arrays, Inc. | Capacitance-variation-sensitive touch sensing array system |
| GB8408847D0 (en) | 1984-04-05 | 1984-05-16 | Ti Group Services Ltd | Electrical switches |
| US4672364A (en)* | 1984-06-18 | 1987-06-09 | Carroll Touch Inc | Touch input device having power profiling |
| US4672558A (en)* | 1984-09-25 | 1987-06-09 | Aquila Technologies Group, Inc. | Touch-sensitive data input device |
| US4831218A (en) | 1984-09-28 | 1989-05-16 | Binagraphics, Inc. | Universal binary keyboard system |
| US4758830A (en) | 1984-10-25 | 1988-07-19 | Ti Corporate Services Limited | Switch/display units |
| US4695827A (en) | 1984-11-20 | 1987-09-22 | Hughes Aircraft Company | Electromagnetic energy interference seal for light beam touch panels |
| US4692809A (en) | 1984-11-20 | 1987-09-08 | Hughes Aircraft Company | Integrated touch paint system for displays |
| US4771276A (en) | 1985-04-15 | 1988-09-13 | International Business Machines Corporation | Electromagnetic touch sensor input system in a cathode ray tube display device |
| US4658428A (en) | 1985-07-17 | 1987-04-14 | Honeywell Inc. | Image recognition template generation |
| US4736191A (en) | 1985-08-02 | 1988-04-05 | Karl E. Matzke | Touch activated control method and apparatus |
| GB8520545D0 (en)* | 1985-08-16 | 1985-09-25 | British Aerospace | Display data memory |
| US4775765A (en) | 1985-11-28 | 1988-10-04 | Hitachi, Ltd. | Coordinate input apparatus |
| FR2593302B1 (en)* | 1986-01-22 | 1989-07-13 | Boussois Sa | TOUCH SCREEN FOR DETERMINING COORDINATES OF A POINT ON A SURFACE |
| US4914568A (en)* | 1986-10-24 | 1990-04-03 | National Instruments, Inc. | Graphical system for modelling a process and associated method |
| JPH0762821B2 (en)* | 1986-05-30 | 1995-07-05 | 株式会社日立製作所 | Touch panel input device |
| US5017030A (en)* | 1986-07-07 | 1991-05-21 | Crews Jay A | Ergonomically designed keyboard |
| FR2608753B1 (en) | 1986-12-18 | 1991-06-07 | Centre Nat Rech Scient | DEVICE FOR TWO-DIMENSIONAL LOCATION OF CURRENT GENERATING EVENTS ON A RESISTIVE SURFACE |
| US4746770A (en) | 1987-02-17 | 1988-05-24 | Sensor Frame Incorporated | Method and apparatus for isolating and manipulating graphic objects on computer video monitor |
| JPH083785B2 (en)* | 1987-02-24 | 1996-01-17 | 富士通株式会社 | Display scroll method |
| JPS63229430A (en) | 1987-03-18 | 1988-09-26 | Nec Corp | Liquid crystal display |
| US4988982A (en)* | 1987-03-25 | 1991-01-29 | The Grass Valley Group, Inc. | Touch pad machine control |
| GB2204131B (en)* | 1987-04-28 | 1991-04-17 | Ibm | Graphics input tablet |
| US4952932A (en) | 1987-04-30 | 1990-08-28 | Canon Kabushiki Kaisha | Information input apparatus |
| JPS63280325A (en)* | 1987-05-13 | 1988-11-17 | Hitachi Ltd | Cursor control system |
| FR2615941B1 (en)* | 1987-05-25 | 1991-12-06 | Sfena | DEVICE FOR DETECTING THE POSITION OF A CONTROL MEMBER ON A TOUCH TABLET |
| US4896363A (en)* | 1987-05-28 | 1990-01-23 | Thumbscan, Inc. | Apparatus and method for matching image characteristics such as fingerprint minutiae |
| US5053757A (en) | 1987-06-04 | 1991-10-01 | Tektronix, Inc. | Touch panel with adaptive noise reduction |
| JP2597585B2 (en) | 1987-07-01 | 1997-04-09 | 株式会社東芝 | Information processing device |
| US4806846A (en)* | 1987-07-06 | 1989-02-21 | Kerber George L | High accuracy direct reading capacitance-to-voltage converter |
| FR2619982B1 (en) | 1987-08-28 | 1994-04-29 | Thomson Csf | COLOR IMAGE VIEWING SYSTEM ON MATRIX SCREEN |
| JPH01100622A (en) | 1987-10-13 | 1989-04-18 | Fujitsu Ltd | Cursor position control method using position information input device |
| US4914624A (en)* | 1988-05-06 | 1990-04-03 | Dunthorn David I | Virtual button for touch screen |
| CH672704B5 (en)* | 1988-05-26 | 1990-06-29 | Ebauchesfabrik Eta Ag | |
| US4962463A (en) | 1988-07-01 | 1990-10-09 | Digital Equipment Corporation | Video imaging device with image altering controls and related method |
| JP2685073B2 (en) | 1988-08-22 | 1997-12-03 | 日本電信電話株式会社 | Touch position detection device |
| US4968877A (en) | 1988-09-14 | 1990-11-06 | Sensor Frame Corporation | VideoHarp |
| CA2002912A1 (en)* | 1988-11-14 | 1990-05-14 | William A. Clough | Portable computer with touch screen and computer system employing same |
| US5072384A (en) | 1988-11-23 | 1991-12-10 | Arch Development Corp. | Method and system for automated computerized analysis of sizes of hearts and lungs in digital chest radiographs |
| US4998982A (en)* | 1988-12-16 | 1991-03-12 | Arnold William F | Metal ladder construction with reinforced side rails |
| US4963702A (en) | 1989-02-09 | 1990-10-16 | Interlink Electronics, Inc. | Digitizer pad featuring spacial definition of a pressure contact area |
| US5741990A (en)* | 1989-02-17 | 1998-04-21 | Notepool, Ltd. | Method of and means for producing musical note relationships |
| US5012524A (en)* | 1989-02-27 | 1991-04-30 | Motorola, Inc. | Automatic inspection method |
| US4898555A (en)* | 1989-03-23 | 1990-02-06 | Bell & Howell Publication Systems Company | Display screen bezel and assembly method |
| US5073950A (en) | 1989-04-13 | 1991-12-17 | Personnel Identification & Entry Access Control, Inc. | Finger profile identification system |
| GB8908612D0 (en)* | 1989-04-17 | 1989-06-01 | Quantel Ltd | Video graphics system |
| US5252951A (en) | 1989-04-28 | 1993-10-12 | International Business Machines Corporation | Graphical user interface with gesture recognition in a multiapplication environment |
| GB2232251A (en) | 1989-05-08 | 1990-12-05 | Philips Electronic Associated | Touch sensor array systems |
| EP0397428B1 (en) | 1989-05-08 | 1997-01-29 | Canon Kabushiki Kaisha | Image processing apparatus |
| US5327161A (en) | 1989-08-09 | 1994-07-05 | Microtouch Systems, Inc. | System and method for emulating a mouse input device with a touchpad input device |
| JPH0371219A (en) | 1989-08-10 | 1991-03-27 | Fuji Facom Corp | Method for specifying cursor position |
| US5305017A (en)* | 1989-08-16 | 1994-04-19 | Gerpheide George E | Methods and apparatus for data input |
| US5189403A (en) | 1989-09-26 | 1993-02-23 | Home Row, Inc. | Integrated keyboard and pointing device system with automatic mode change |
| DE68928987T2 (en) | 1989-10-02 | 1999-11-11 | Koninkl Philips Electronics Nv | Data processing system with a touch display and a digitizing tablet, both integrated in an input device |
| US5402151A (en)* | 1989-10-02 | 1995-03-28 | U.S. Philips Corporation | Data processing system with a touch screen and a digitizing tablet, both integrated in an input device |
| US5189711A (en)* | 1989-11-24 | 1993-02-23 | Isaac Weiss | Automatic detection of elliptical shapes |
| US5155813A (en) | 1990-01-08 | 1992-10-13 | Wang Laboratories, Inc. | Computer apparatus for brush styled writing |
| US5241308A (en) | 1990-02-22 | 1993-08-31 | Paragon Systems, Inc. | Force sensitive touch panel |
| JPH03269717A (en) | 1990-03-20 | 1991-12-02 | Hitachi Ltd | Method and device for selection of data |
| US5459463A (en) | 1990-05-25 | 1995-10-17 | Sextant Avionique | Device for locating an object situated close to a detection area and a transparent keyboard using said device |
| GB2245708A (en)* | 1990-06-29 | 1992-01-08 | Philips Electronic Associated | Touch sensor array systems |
| DE69131350T2 (en)* | 1990-07-17 | 1999-12-30 | British Telecommunications P.L.C., London | METHOD AND DEVICE FOR IMAGE PROCESSING |
| GB9019538D0 (en) | 1990-09-07 | 1990-10-24 | Philips Electronic Associated | Tracking a moving object |
| US5224861A (en) | 1990-09-17 | 1993-07-06 | Hughes Aircraft Company | Training device onboard instruction station |
| US5347295A (en) | 1990-10-31 | 1994-09-13 | Go Corporation | Control of a computer through a position-sensed stylus |
| US5311175A (en) | 1990-11-01 | 1994-05-10 | Herbert Waldman | Method and apparatus for pre-identification of keys and switches |
| US5442742A (en) | 1990-12-21 | 1995-08-15 | Apple Computer, Inc. | Method and apparatus for the manipulation of text on a computer display screen |
| US5113041A (en)* | 1990-12-28 | 1992-05-12 | At&T Bell Laboratories | Information processing |
| EP0495595A2 (en) | 1991-01-11 | 1992-07-22 | Ncr Corporation | Display apparatus and method of image characteristic adjustment |
| US5689253A (en) | 1991-04-10 | 1997-11-18 | Kinesis Corporation | Ergonomic keyboard apparatus |
| US5214414A (en) | 1991-04-12 | 1993-05-25 | International Business Machines Corp. | Cursor for lcd displays |
| US5189416A (en)* | 1991-04-29 | 1993-02-23 | Walker-Estes Corporation | Chordal keyboard method and apparatus |
| US5341133A (en) | 1991-05-09 | 1994-08-23 | The Rowland Institute For Science, Inc. | Keyboard having touch sensor keys for conveying information electronically |
| US5898434A (en)* | 1991-05-15 | 1999-04-27 | Apple Computer, Inc. | User interface system having programmable user interface elements |
| US5548667A (en)* | 1991-05-24 | 1996-08-20 | Sony Corporation | Image processing system and method thereof in which three dimensional shape is reproduced from two dimensional image data |
| US5178477A (en)* | 1991-06-06 | 1993-01-12 | Gambaro Thomas L | Ergonomic keyboard input device |
| US5956682A (en) | 1991-06-06 | 1999-09-21 | Lj Laboratories, Llc | Picture frame with associated audio messages and position sensitive or speech recognition device |
| JP3276985B2 (en)* | 1991-06-27 | 2002-04-22 | ゼロックス・コーポレーション | Image pixel processing method |
| US5168531A (en) | 1991-06-27 | 1992-12-01 | Digital Equipment Corporation | Real-time recognition of pointing information from video |
| WO1993000629A1 (en)* | 1991-06-28 | 1993-01-07 | Infogrip, Inc. | Chordic keyboard system |
| US5159276A (en)* | 1991-07-08 | 1992-10-27 | W. L. Gore & Associates, Inc. | Capacitance measuring circuit and method for liquid leak detection by measuring charging time |
| US5666113A (en)* | 1991-07-31 | 1997-09-09 | Microtouch Systems, Inc. | System for using a touchpad input device for cursor control and keyboard emulation |
| DE69229881T2 (en)* | 1991-10-04 | 1999-12-09 | Yoshitomi Pharmaceutical Industries, Ltd. | DELAYED RELEASE TABLET |
| JP2827612B2 (en)* | 1991-10-07 | 1998-11-25 | 富士通株式会社 | A touch panel device and a method for displaying an object on the touch panel device. |
| US6141000A (en)* | 1991-10-21 | 2000-10-31 | Smart Technologies Inc. | Projection display system with touch sensing on screen, computer assisted alignment correction and network conferencing |
| JPH05127798A (en)* | 1991-11-08 | 1993-05-25 | Matsushita Electric Ind Co Ltd | Touch panel type input device |
| CA2077173C (en) | 1991-11-22 | 2003-04-22 | Michael Chen | Method and apparatus for direct manipulation of 3-d objects on computer displays |
| US5335557A (en)* | 1991-11-26 | 1994-08-09 | Taizo Yasutake | Touch sensitive input control device |
| US5369228A (en)* | 1991-11-30 | 1994-11-29 | Signagraphics Corporation | Data input device with a pressure-sensitive input surface |
| US5321541A (en) | 1991-12-12 | 1994-06-14 | At&T Bell Laboratories | Passive optical communication network with broadband upgrade |
| CA2078607A1 (en)* | 1991-12-13 | 1993-06-14 | Thomas H. Speeter | Intelligent work surfaces |
| US5281966A (en)* | 1992-01-31 | 1994-01-25 | Walsh A Peter | Method of encoding alphabetic characters for a chord keyboard |
| DE69204045T2 (en)* | 1992-02-07 | 1996-04-18 | Ibm | Method and device for optical input of commands or data. |
| US5483261A (en)* | 1992-02-14 | 1996-01-09 | Itu Research, Inc. | Graphical input controller and method with rear screen image detection |
| US5241139A (en) | 1992-03-25 | 1993-08-31 | International Business Machines Corporation | Method and apparatus for determining the position of a member contacting a touch screen |
| EP0563477A1 (en)* | 1992-03-25 | 1993-10-06 | Visage Inc. | Touch screen sensing apparatus |
| US5852434A (en) | 1992-04-03 | 1998-12-22 | Sekendur; Oral F. | Absolute optical position determination |
| US5563996A (en) | 1992-04-13 | 1996-10-08 | Apple Computer, Inc. | Computer note pad including gesture based note division tools and method |
| US5398310A (en)* | 1992-04-13 | 1995-03-14 | Apple Computer, Incorporated | Pointing gesture based computer note pad paging and scrolling interface |
| US5673066A (en) | 1992-04-21 | 1997-09-30 | Alps Electric Co., Ltd. | Coordinate input device |
| US5523775A (en) | 1992-05-26 | 1996-06-04 | Apple Computer, Inc. | Method for selecting objects on a computer display |
| US5544295A (en) | 1992-05-27 | 1996-08-06 | Apple Computer, Inc. | Method and apparatus for indicating a change in status of an object and its disposition using animation |
| US5452371A (en)* | 1992-05-27 | 1995-09-19 | Apple Computer, Inc. | Method of aligning shapes on a display of a computer system |
| US5710844A (en)* | 1992-05-27 | 1998-01-20 | Apple Computer | Method for searching and displaying results in a pen-based computer system |
| US5592566A (en)* | 1992-05-27 | 1997-01-07 | Apple Computer, Incorporated | Method and apparatus for computerized recognition |
| US5463696A (en) | 1992-05-27 | 1995-10-31 | Apple Computer, Inc. | Recognition system and method for user inputs to a computer system |
| DE69324067T2 (en) | 1992-06-08 | 1999-07-15 | Synaptics Inc | Object position detector |
| US5543588A (en) | 1992-06-08 | 1996-08-06 | Synaptics, Incorporated | Touch pad driven handheld computing device |
| US6239389B1 (en) | 1992-06-08 | 2001-05-29 | Synaptics, Inc. | Object position detection system and method |
| US5543591A (en)* | 1992-06-08 | 1996-08-06 | Synaptics, Incorporated | Object position detector with edge motion feature and gesture recognition |
| US5880411A (en)* | 1992-06-08 | 1999-03-09 | Synaptics, Incorporated | Object position detector with edge motion feature and gesture recognition |
| US5914465A (en)* | 1992-06-08 | 1999-06-22 | Synaptics, Inc. | Object position detector |
| US5543590A (en) | 1992-06-08 | 1996-08-06 | Synaptics, Incorporated | Object position detector with edge motion feature |
| US5488204A (en)* | 1992-06-08 | 1996-01-30 | Synaptics, Incorporated | Paintbrush stylus for capacitive touch sensor pad |
| US5942733A (en) | 1992-06-08 | 1999-08-24 | Synaptics, Inc. | Stylus input capacitive touchpad sensor |
| KR940001227A (en) | 1992-06-15 | 1994-01-11 | 에프. 제이. 스미트 | Touch screen devices |
| US5565658A (en) | 1992-07-13 | 1996-10-15 | Cirque Corporation | Capacitance-based proximity with interference rejection apparatus and methods |
| JPH0644001A (en)* | 1992-07-27 | 1994-02-18 | Toshiba Corp | Display controller and display control method |
| US5422831A (en) | 1992-08-03 | 1995-06-06 | Iowa State University Research Foundation, Inc. | Acoustic and video imaging system for quality determination of pharmaceutical products |
| US5309374A (en) | 1992-08-03 | 1994-05-03 | Iowa State University Research Foundation, Inc. | Acoustic and video imaging system for quality determination of agricultural products |
| US5821930A (en)* | 1992-08-23 | 1998-10-13 | U S West, Inc. | Method and system for generating a working window in a computer system |
| US5420607A (en)* | 1992-09-02 | 1995-05-30 | Miller; Robert F. | Electronic paintbrush and color palette |
| JP3244798B2 (en) | 1992-09-08 | 2002-01-07 | 株式会社東芝 | Moving image processing device |
| US5821597A (en) | 1992-09-11 | 1998-10-13 | Semiconductor Energy Laboratory Co., Ltd. | Photoelectric conversion device |
| US7084859B1 (en) | 1992-09-18 | 2006-08-01 | Pryor Timothy R | Programmable tactile touch screen displays and man-machine interfaces for improved vehicle instrumentation and telematics |
| US6008800A (en) | 1992-09-18 | 1999-12-28 | Pryor; Timothy R. | Man machine interfaces for entering data into a computer |
| US5982352A (en) | 1992-09-18 | 1999-11-09 | Pryor; Timothy R. | Method for providing human input to a computer |
| JP3064123B2 (en)* | 1992-11-09 | 2000-07-12 | 株式会社日立製作所 | Information processing device and input control device |
| EP0593386A3 (en) | 1992-10-16 | 1996-07-31 | Ibm | Method and apparatus for accessing touch screen desktop objects via fingerprint recognition |
| JP2601987B2 (en) | 1992-11-13 | 1997-04-23 | インターナショナル・ビジネス・マシーンズ・コーポレイション | Personal communication device |
| US5345543A (en) | 1992-11-16 | 1994-09-06 | Apple Computer, Inc. | Method for manipulating objects on a computer display |
| JP3469912B2 (en) | 1992-11-18 | 2003-11-25 | 株式会社デジタル | Touch panel input device and input method capable of multiple simultaneous inputs |
| US5612719A (en) | 1992-12-03 | 1997-03-18 | Apple Computer, Inc. | Gesture sensitive buttons for graphical user interfaces |
| US5513309A (en)* | 1993-01-05 | 1996-04-30 | Apple Computer, Inc. | Graphic editor user interface for a pointer-based computer system |
| US5463388A (en) | 1993-01-29 | 1995-10-31 | At&T Ipm Corp. | Computer mouse or keyboard input device utilizing capacitive sensors |
| AU6173894A (en) | 1993-02-12 | 1994-08-29 | Trinitech Systems Inc. | An integrated touch screen input device |
| US5436639A (en) | 1993-03-16 | 1995-07-25 | Hitachi, Ltd. | Information processing system |
| US5399310A (en)* | 1993-03-23 | 1995-03-21 | The Dexter Corporation | Method of using mold release agents |
| DE4406668C2 (en) | 1993-04-27 | 1996-09-12 | Hewlett Packard Co | Method and device for operating a touch-sensitive display device |
| US5414227A (en) | 1993-04-29 | 1995-05-09 | International Business Machines Corporation | Stylus tilt detection apparatus for communication with a remote digitizing display |
| JP2986047B2 (en) | 1993-04-29 | 1999-12-06 | インターナショナル・ビジネス・マシーンズ・コーポレイション | Digital input display device and input processing device and method |
| US5563632A (en)* | 1993-04-30 | 1996-10-08 | Microtouch Systems, Inc. | Method of and apparatus for the elimination of the effects of internal interference in force measurement systems, including touch - input computer and related displays employing touch force location measurement techniques |
| EP0622722B1 (en)* | 1993-04-30 | 2002-07-17 | Xerox Corporation | Interactive copying system |
| US5644653A (en) | 1993-05-07 | 1997-07-01 | Canon Kabushiki Kaisha | Information processing apparatus and control method thereof having user character recognition |
| US5677710A (en) | 1993-05-10 | 1997-10-14 | Apple Computer, Inc. | Recognition keypad |
| US5808567A (en) | 1993-05-17 | 1998-09-15 | Dsi Datotech Systems, Inc. | Apparatus and method of communicating using three digits of a hand |
| EP0626635B1 (en) | 1993-05-24 | 2003-03-05 | Sun Microsystems, Inc. | Improved graphical user interface with method for interfacing to remote devices |
| JPH06332620A (en)* | 1993-05-25 | 1994-12-02 | Brother Ind Ltd | Cursor movement controller |
| US5973676A (en) | 1993-06-30 | 1999-10-26 | Kabushiki Kaisha Toshiba | Input apparatus suitable for portable electronic device |
| US5389951A (en)* | 1993-07-21 | 1995-02-14 | International Business Machines Corp. | Liquid crystal display integrated with hall effect pointing device |
| JPH0778120A (en) | 1993-07-29 | 1995-03-20 | Xerox Corp | Hand-held arithmetic unit and processing method of input signal in hand-held arithmetic unit |
| JPH0757103A (en)* | 1993-08-23 | 1995-03-03 | Toshiba Corp | Information processing equipment |
| GB9317932D0 (en) | 1993-08-26 | 1993-10-13 | Cambridge Display Tech Ltd | Electroluminescent devices |
| US5384675A (en)* | 1993-09-08 | 1995-01-24 | International Business Machines Corporation | Disk drive with controlled actuator oscillation for release of head carriers |
| JPH07230352A (en) | 1993-09-16 | 1995-08-29 | Hitachi Ltd | Touch position detection device and touch instruction processing device |
| US5956019A (en) | 1993-09-28 | 1999-09-21 | The Boeing Company | Touch-pad cursor control device |
| US5583946A (en) | 1993-09-30 | 1996-12-10 | Apple Computer, Inc. | Method and apparatus for recognizing gestures on a computer system |
| JP3349223B2 (en) | 1993-10-13 | 2002-11-20 | 株式会社デジタル | Pointed coordinate detection method and device |
| JP2557796B2 (en)* | 1993-10-19 | 1996-11-27 | 株式会社エニックス | Piezoelectric surface pressure input panel |
| JPH07182101A (en)* | 1993-10-26 | 1995-07-21 | Itu Res Inc | Graphic input device and method, graphic object operating method, graphic input signal supplying method |
| US6243071B1 (en)* | 1993-11-03 | 2001-06-05 | Apple Computer, Inc. | Tool set for navigating through an electronic book |
| JPH07129312A (en) | 1993-11-05 | 1995-05-19 | Oki Electric Ind Co Ltd | Picture processor |
| US5415227A (en)* | 1993-11-15 | 1995-05-16 | Mobil Oil Corporation | Method for well completions in horizontal wellbores in loosely consolidated formations |
| US5502072A (en)* | 1993-11-26 | 1996-03-26 | Pfizer Inc. | Substituted oxindoles |
| DE69416960T2 (en) | 1993-12-07 | 1999-08-19 | Seiko Epson Corp | Touch panel input device and method for generating input signals for an information processing device |
| JPH07160428A (en) | 1993-12-08 | 1995-06-23 | Hitachi Ltd | Coordinate input system |
| US5471578A (en)* | 1993-12-30 | 1995-11-28 | Xerox Corporation | Apparatus and method for altering enclosure selections in a gesture based input system |
| DE69426919T2 (en) | 1993-12-30 | 2001-06-28 | Xerox Corp | Apparatus and method for performing many chaining command gestures in a gesture user interface system |
| DE69428675T2 (en)* | 1993-12-30 | 2002-05-08 | Xerox Corp | Apparatus and method for supporting an implicit structuring of free-form lists, overviews, texts, tables and diagrams in an input system and editing system based on hand signals |
| US6097371A (en) | 1996-01-02 | 2000-08-01 | Microsoft Corporation | System and method of adjusting display characteristics of a displayable data file using an ergonomic computer input device |
| JPH07210687A (en) | 1994-01-18 | 1995-08-11 | Matsushita Electric Ind Co Ltd | Shape detector |
| US5572573A (en) | 1994-01-25 | 1996-11-05 | U S West Advanced Technologies, Inc. | Removable user interface for use with interactive electronic devices |
| JP3490490B2 (en)* | 1994-01-28 | 2004-01-26 | 株式会社東芝 | Pattern image processing apparatus and image processing method |
| US5473742A (en) | 1994-02-22 | 1995-12-05 | Paragraph International | Method and apparatus for representing image data using polynomial approximation method and iterative transformation-reparametrization technique |
| US5982302A (en) | 1994-03-07 | 1999-11-09 | Ure; Michael J. | Touch-sensitive keyboard/mouse |
| US5732227A (en)* | 1994-07-05 | 1998-03-24 | Hitachi, Ltd. | Interactive information processing system responsive to user manipulation of physical objects and displayed images |
| JPH07271501A (en)* | 1994-03-31 | 1995-10-20 | Wacom Co Ltd | Display method for object on display screen |
| US5572717A (en) | 1994-04-06 | 1996-11-05 | Altera Corporation | Method and apparatus for assigning and analyzing timing specifications in a computer aided engineering program |
| US5852669A (en) | 1994-04-06 | 1998-12-22 | Lucent Technologies Inc. | Automatic face and facial feature location detection for low bit rate model-assisted H.261 compatible coding of video |
| US5579036A (en) | 1994-04-28 | 1996-11-26 | At&T Global Information Solutions Company | Touch screen device and shielding bracket therefor |
| US5546475A (en) | 1994-04-29 | 1996-08-13 | International Business Machines Corporation | Produce recognition system |
| US5631976A (en)* | 1994-04-29 | 1997-05-20 | International Business Machines Corporation | Object imaging system |
| US5600735A (en)* | 1994-05-10 | 1997-02-04 | Motorola, Inc. | Method of recognizing handwritten input |
| WO1995031791A1 (en) | 1994-05-12 | 1995-11-23 | Apple Computer, Inc. | Method and apparatus for noise filtering for an input device |
| US5469194A (en) | 1994-05-13 | 1995-11-21 | Apple Computer, Inc. | Apparatus and method for providing different input device orientations of a computer system |
| JP3260240B2 (en)* | 1994-05-31 | 2002-02-25 | 株式会社ワコム | Information input method and device |
| US5594806A (en)* | 1994-06-20 | 1997-01-14 | Personnel Identification & Entry Access Control, Inc. | Knuckle profile indentity verification system |
| US5581484A (en) | 1994-06-27 | 1996-12-03 | Prince; Kevin R. | Finger mounted computer input device |
| US5488024A (en)* | 1994-07-01 | 1996-01-30 | Phillips Petroleum Company | Selective acetylene hydrogenation |
| US5905476A (en) | 1994-07-05 | 1999-05-18 | Nxi Communications, Inc. | ITU/TDD modem |
| US5734751A (en)* | 1994-07-22 | 1998-03-31 | Nec Corporation | Ellipse-like curve recognition by calculation of distances of points on the curve from FOCI |
| US5530455A (en) | 1994-08-10 | 1996-06-25 | Mouse Systems Corporation | Roller mouse for implementing scrolling in windows applications |
| US6476798B1 (en) | 1994-08-22 | 2002-11-05 | International Game Technology | Reduced noise touch screen apparatus and method |
| JPH0876926A (en) | 1994-09-02 | 1996-03-22 | Brother Ind Ltd | Image display device |
| US5734742A (en)* | 1994-09-19 | 1998-03-31 | Nissan Motor Co., Ltd. | Inspection system and process |
| EP0703561A3 (en) | 1994-09-26 | 1996-12-18 | Canon Kk | Driving method for display device and display apparatus |
| US5600781A (en)* | 1994-09-30 | 1997-02-04 | Intel Corporation | Method and apparatus for creating a portable personalized operating environment |
| US5897475A (en)* | 1994-10-05 | 1999-04-27 | Antex Biologics, Inc. | Vaccines comprising enhanced antigenic helicobacter spp. |
| JPH08137608A (en)* | 1994-11-07 | 1996-05-31 | Matsushita Electric Ind Co Ltd | Three-dimensional coordinate input device |
| JP3805005B2 (en) | 1994-11-09 | 2006-08-02 | キヤノン株式会社 | Image processing apparatus, optical character recognition apparatus, and methods thereof |
| GB9422911D0 (en) | 1994-11-14 | 1995-01-04 | Moonstone Technology Ltd | Capacitive touch detectors |
| CN1102275C (en) | 1994-11-14 | 2003-02-26 | 摩托罗拉公司 | Method of splitting handwritten input |
| US5505072A (en)* | 1994-11-15 | 1996-04-09 | Tekscan, Inc. | Scanning circuit for pressure responsive array |
| US5521986A (en) | 1994-11-30 | 1996-05-28 | American Tel-A-Systems, Inc. | Compact data input device |
| US5805144A (en) | 1994-12-14 | 1998-09-08 | Dell Usa, L.P. | Mouse pointing device having integrated touchpad |
| US5812804A (en)* | 1994-12-16 | 1998-09-22 | International Business Machines Corporation | Display apparatus for tossing windows |
| US6231715B1 (en)* | 1994-12-20 | 2001-05-15 | Kimberly-Clark Worldwide, Inc. | Elongate, semi-tone printing process |
| US5764218A (en) | 1995-01-31 | 1998-06-09 | Apple Computer, Inc. | Method and apparatus for contacting a touch-sensitive cursor-controlling input device to generate button values |
| US5680160A (en) | 1995-02-09 | 1997-10-21 | Leading Edge Industries, Inc. | Touch activated electroluminescent lamp and display switch |
| US5736976A (en)* | 1995-02-13 | 1998-04-07 | Cheung; Nina T. | Computer data entry apparatus with hand motion sensing and monitoring |
| EP0727760A3 (en) | 1995-02-17 | 1997-01-29 | Ibm | Produce size recognition system |
| US5649070A (en) | 1995-02-17 | 1997-07-15 | International Business Machines Corporation | Learning system with prototype replacement |
| US5594469A (en)* | 1995-02-21 | 1997-01-14 | Mitsubishi Electric Information Technology Center America Inc. | Hand gesture machine control system |
| US5838302A (en) | 1995-02-24 | 1998-11-17 | Casio Computer Co., Ltd. | Data inputting devices for inputting typed and handwritten data in a mixed manner |
| JPH08286830A (en)* | 1995-04-14 | 1996-11-01 | Fuji Xerox Co Ltd | Hand-written input device |
| US5591945A (en) | 1995-04-19 | 1997-01-07 | Elo Touchsystems, Inc. | Acoustic touch position sensor using higher order horizontally polarized shear wave propagation |
| DE69533187T2 (en) | 1995-04-28 | 2005-07-07 | Hewlett-Packard Development Co., L.P., Houston | Electro-optical display device |
| US5729250A (en) | 1995-05-08 | 1998-03-17 | International Business Machines Corporation | Front cover assembly for a touch sensitive device |
| US5812698A (en) | 1995-05-12 | 1998-09-22 | Synaptics, Inc. | Handwriting recognition system and method |
| US5732230A (en)* | 1995-05-19 | 1998-03-24 | Richo Company Ltd. | Computer user interface for manipulating image fragments using drag, drop and merge operations |
| US6255604B1 (en) | 1995-05-31 | 2001-07-03 | Canon Kabushiki Kaisha | Coordinate detecting device for outputting coordinate data when two points are simultaneously depressed, method therefor and computer control device |
| US5771342A (en) | 1995-06-05 | 1998-06-23 | Saltire Software | Method and apparatus for dynamically displaying consistently dimensioned two-dimensional drawings |
| US6031524A (en)* | 1995-06-07 | 2000-02-29 | Intermec Ip Corp. | Hand-held portable data terminal having removably interchangeable, washable, user-replaceable components with liquid-impervious seal |
| WO1996041312A1 (en) | 1995-06-07 | 1996-12-19 | University Of Florida Research Foundation, Inc. | Automated method for digital image quantitation |
| US5790107A (en) | 1995-06-07 | 1998-08-04 | Logitech, Inc. | Touch sensing method and apparatus |
| US5593566A (en)* | 1995-06-09 | 1997-01-14 | General Motors Corporation | Electrolytic production process for magnesium and its alloys |
| JPH0934681A (en) | 1995-07-17 | 1997-02-07 | Matsushita Electric Ind Co Ltd | Display position control method |
| US5956020A (en) | 1995-07-27 | 1999-09-21 | Microtouch Systems, Inc. | Touchscreen controller with pen and/or finger inputs |
| US5634102A (en)* | 1995-08-07 | 1997-05-27 | Apple Computer, Inc. | Methods and apparatus for a selectable backdrop |
| US5745716A (en)* | 1995-08-07 | 1998-04-28 | Apple Computer, Inc. | Method and apparatus for tab access and tab cycling in a pen-based computer system |
| US5666502A (en) | 1995-08-07 | 1997-09-09 | Apple Computer, Inc. | Graphical user interface using historical lists with field classes |
| US5675361A (en) | 1995-08-23 | 1997-10-07 | Santilli; Donald S. | Computer keyboard pointing device |
| US5867134A (en)* | 1995-08-25 | 1999-02-02 | Alvelda; Phillip | VLSI visual display |
| US5746818A (en)* | 1995-08-31 | 1998-05-05 | Seiko Epson Corporation | Pigment ink composition capable of forming image having no significant bleeding or feathering |
| US5631805A (en)* | 1995-09-27 | 1997-05-20 | Dynapro Systems, Inc. | Touch screen enclosure having an insertable graphic sheet |
| US5636101A (en)* | 1995-09-27 | 1997-06-03 | Dynapro Systems, Inc. | Touch screen enclosure system having touch screen pan and hinged rear enclosure section for ease of serviceability |
| US5552787A (en) | 1995-10-10 | 1996-09-03 | The United States Of America As Represented By The Secretary Of The Navy | Measurement of topography using polarimetric synthetic aperture radar (SAR) |
| US5847690A (en) | 1995-10-24 | 1998-12-08 | Lucent Technologies Inc. | Integrated liquid crystal display and digitizer having a black matrix layer adapted for sensing screen touch location |
| US5856822A (en)* | 1995-10-27 | 1999-01-05 | 02 Micro, Inc. | Touch-pad digital computer pointing-device |
| US6029214A (en)* | 1995-11-03 | 2000-02-22 | Apple Computer, Inc. | Input tablet system with user programmable absolute coordinate mode and relative coordinate mode segments |
| JP3727399B2 (en) | 1996-02-19 | 2005-12-14 | ミサワホーム株式会社 | Screen display type key input device |
| JPH09146708A (en) | 1995-11-09 | 1997-06-06 | Internatl Business Mach Corp <Ibm> | Driving method for touch panel and touch input method |
| US5767457A (en) | 1995-11-13 | 1998-06-16 | Cirque Corporation | Apparatus and method for audible feedback from input device |
| US6107997A (en) | 1996-06-27 | 2000-08-22 | Ure; Michael J. | Touch-sensitive keyboard/mouse and computing device using the same |
| WO1997018547A1 (en) | 1995-11-16 | 1997-05-22 | Ure Michael J | Multi-touch input device, method and system that minimize the need for memorization |
| US5877748A (en)* | 1995-11-20 | 1999-03-02 | Redlich; Sanford I. | Computer control input interface system |
| US5870711A (en)* | 1995-12-11 | 1999-02-09 | Sabre Properties, Inc. | Method and system for management of cargo claims |
| US6016355A (en)* | 1995-12-15 | 2000-01-18 | Veridicom, Inc. | Capacitive fingerprint acquisition sensor |
| US5730165A (en)* | 1995-12-26 | 1998-03-24 | Philipp; Harald | Time domain capacitive field detector |
| US5828772A (en) | 1995-12-27 | 1998-10-27 | Lucent Technologies Inc. | Method and apparatus for parametric signature verification using global features and stroke-direction codes |
| US5745591A (en) | 1995-12-29 | 1998-04-28 | Feldman; Stephen E. | System and method for verifying the identity of a person |
| US5823782A (en)* | 1995-12-29 | 1998-10-20 | Tinkers & Chance | Character recognition educational system |
| US5920309A (en) | 1996-01-04 | 1999-07-06 | Logitech, Inc. | Touch sensing method and apparatus |
| US5825352A (en) | 1996-01-04 | 1998-10-20 | Logitech, Inc. | Multiple fingers contact sensing method for emulating mouse buttons and mouse operations on a touch sensor pad |
| JPH09190284A (en) | 1996-01-11 | 1997-07-22 | Canon Inc | Information processing apparatus and method |
| US5717777A (en)* | 1996-01-11 | 1998-02-10 | Dew Engineering And Development Limited | Longest line method and apparatus for fingerprint alignment |
| JP3052997B2 (en) | 1996-01-12 | 2000-06-19 | 日本電気株式会社 | Handwriting input display device |
| US5731602A (en)* | 1996-01-18 | 1998-03-24 | E-Tek Dynamics, Inc. | Laser diode package with anti-reflection and anti-scattering coating |
| JPH09198223A (en)* | 1996-01-18 | 1997-07-31 | Canon Inc | Computer system |
| US5837947A (en) | 1996-02-09 | 1998-11-17 | Symbios, Inc. | Method and apparatus for reducing noise in an electrostatic digitizing table |
| US5686705A (en) | 1996-02-15 | 1997-11-11 | Explore Technologies, Inc. | Surface position location system and method |
| JPH09231004A (en)* | 1996-02-23 | 1997-09-05 | Yazaki Corp | Information processing device |
| JPH09237175A (en) | 1996-02-29 | 1997-09-09 | Sanyo Electric Co Ltd | Scroll controller |
| US5940065A (en) | 1996-03-15 | 1999-08-17 | Elo Touchsystems, Inc. | Algorithmic compensation system and method therefor for a touch sensor panel |
| JPH09265531A (en) | 1996-03-27 | 1997-10-07 | Mitsubishi Electric Corp | Image processing method and apparatus |
| DE19612949C1 (en) | 1996-04-01 | 1997-08-14 | Siemens Ag | Computer-aided classification of finger-shaped object on hand-shaped object using virtual touch screen |
| JPH09288536A (en)* | 1996-04-23 | 1997-11-04 | Fujitsu Takamizawa Component Kk | Coordinate detector |
| JPH09289474A (en)* | 1996-04-23 | 1997-11-04 | Saitama Nippon Denki Kk | Hand-free speaking device |
| WO1997040482A1 (en) | 1996-04-24 | 1997-10-30 | Logitech, Inc. | Touch and pressure sensing method and apparatus |
| GB9608747D0 (en)* | 1996-04-26 | 1996-07-03 | Philips Electronics Nv | Fingerprint sensing devices and systems incorporating such |
| JP3606498B2 (en)* | 1996-04-26 | 2005-01-05 | 三菱電機株式会社 | Portable information terminal device |
| US5801681A (en) | 1996-06-24 | 1998-09-01 | Sayag; Michel | Method and apparatus for generating a control signal |
| US5764222A (en)* | 1996-05-28 | 1998-06-09 | International Business Machines Corporation | Virtual pointing device for touchscreens |
| US5874948A (en)* | 1996-05-28 | 1999-02-23 | International Business Machines Corporation | Virtual pointing device for touchscreens |
| US5748184A (en)* | 1996-05-28 | 1998-05-05 | International Business Machines Corporation | Virtual pointing device for touchscreens |
| US5898422A (en) | 1996-05-31 | 1999-04-27 | International Business Machines Corporation | Method and system for recognition of pointers |
| US5757478A (en)* | 1996-06-03 | 1998-05-26 | Ma; Chris Chen-Hsing | Remote position sensing apparatus and method |
| US6049329A (en) | 1996-06-04 | 2000-04-11 | International Business Machines Corporartion | Method of and system for facilitating user input into a small GUI window using a stylus |
| JP4484255B2 (en)* | 1996-06-11 | 2010-06-16 | 株式会社日立製作所 | Information processing apparatus having touch panel and information processing method |
| US6067079A (en)* | 1996-06-13 | 2000-05-23 | International Business Machines Corporation | Virtual pointing device for touchscreens |
| US5808605A (en) | 1996-06-13 | 1998-09-15 | International Business Machines Corporation | Virtual pointing device for touchscreens |
| US5835079A (en)* | 1996-06-13 | 1998-11-10 | International Business Machines Corporation | Virtual pointing device for touchscreens |
| US5862256A (en)* | 1996-06-14 | 1999-01-19 | International Business Machines Corporation | Distinguishing gestures from handwriting in a pen based computer by size discrimination |
| US5812118A (en) | 1996-06-25 | 1998-09-22 | International Business Machines Corporation | Method, apparatus, and memory for creating at least two virtual pointing devices |
| US5790104A (en) | 1996-06-25 | 1998-08-04 | International Business Machines Corporation | Multiple, moveable, customizable virtual pointing devices |
| US5933134A (en) | 1996-06-25 | 1999-08-03 | International Business Machines Corporation | Touch screen virtual pointing device which goes into a translucent hibernation state when not in use |
| US5856824A (en)* | 1996-06-25 | 1999-01-05 | International Business Machines Corp. | Reshapable pointing device for touchscreens |
| US6002808A (en) | 1996-07-26 | 1999-12-14 | Mitsubishi Electric Information Technology Center America, Inc. | Hand gesture control system |
| US6288707B1 (en) | 1996-07-29 | 2001-09-11 | Harald Philipp | Capacitive position sensor |
| KR100260760B1 (en)* | 1996-07-31 | 2000-07-01 | 모리 하루오 | Information display device with a touch panel |
| US5943044A (en)* | 1996-08-05 | 1999-08-24 | Interlink Electronics | Force sensing semiconductive touchpad |
| US5805157A (en) | 1996-08-12 | 1998-09-08 | International Business Machines Corporation | Mobile client computer with hexagonal keyboard |
| US6208329B1 (en)* | 1996-08-13 | 2001-03-27 | Lsi Logic Corporation | Supplemental mouse button emulation system, method and apparatus for a coordinate based data input device |
| JPH1062736A (en)* | 1996-08-21 | 1998-03-06 | Sony Corp | Method of manufacturing liquid crystal display elements and overlapping device |
| US5896126A (en) | 1996-08-29 | 1999-04-20 | International Business Machines Corporation | Selection device for touchscreen systems |
| US5745116A (en)* | 1996-09-09 | 1998-04-28 | Motorola, Inc. | Intuitive gesture-based graphical user interface |
| US5936615A (en) | 1996-09-12 | 1999-08-10 | Digital Equipment Corporation | Image-based touchscreen |
| JP3904637B2 (en) | 1996-09-13 | 2007-04-11 | 株式会社東芝 | Information input device and method |
| US6380929B1 (en) | 1996-09-20 | 2002-04-30 | Synaptics, Incorporated | Pen drawing computer input device |
| US5917476A (en)* | 1996-09-24 | 1999-06-29 | Czerniecki; George V. | Cursor feedback text input method |
| GB9620464D0 (en) | 1996-10-01 | 1996-11-20 | Philips Electronics Nv | Hand held image display device |
| US6445384B1 (en) | 1996-10-01 | 2002-09-03 | Greensteel, Inc. | Electronic whiteboard system eraser |
| US5870083A (en)* | 1996-10-04 | 1999-02-09 | International Business Machines Corporation | Breakaway touchscreen pointing device |
| US5872559A (en)* | 1996-10-04 | 1999-02-16 | International Business Machines Corporation | Breakaway and re-grow touchscreen pointing device |
| US6005963A (en) | 1996-10-23 | 1999-12-21 | International Business Machines Corporation | System and method for determining if a fingerprint image contains an image portion representing a partial fingerprint impression |
| US6650319B1 (en) | 1996-10-29 | 2003-11-18 | Elo Touchsystems, Inc. | Touch screen based topological mapping with resistance framing design |
| US5854625A (en) | 1996-11-06 | 1998-12-29 | Synaptics, Incorporated | Force sensing touchpad |
| US5883619A (en) | 1996-11-12 | 1999-03-16 | Primax Electronics Ltd. | Computer mouse for scrolling a view of an image |
| US5870771A (en)* | 1996-11-15 | 1999-02-09 | Oberg; Larry B. | Computerized system for selecting, adjusting, and previewing framing product combinations for artwork and other items to be framed |
| TW408277B (en) | 1996-11-15 | 2000-10-11 | Alps Electric Co Ltd | Small current detector circuit and locator device using the same |
| US5748269A (en)* | 1996-11-21 | 1998-05-05 | Westinghouse Air Brake Company | Environmentally-sealed, convectively-cooled active matrix liquid crystal display (LCD) |
| US6184926B1 (en)* | 1996-11-26 | 2001-02-06 | Ncr Corporation | System and method for detecting a human face in uncontrolled environments |
| US5889888A (en)* | 1996-12-05 | 1999-03-30 | 3Com Corporation | Method and apparatus for immediate response handwriting recognition system that handles multiple character sets |
| US6088023A (en) | 1996-12-10 | 2000-07-11 | Willow Design, Inc. | Integrated pointing and drawing graphics system for computers |
| JP3620558B2 (en) | 1996-12-16 | 2005-02-16 | ソニー株式会社 | Living body detection device |
| US6061177A (en) | 1996-12-19 | 2000-05-09 | Fujimoto; Kenneth Noboru | Integrated computer display and graphical input apparatus and method |
| US6279170B1 (en) | 1996-12-19 | 2001-08-28 | Victor Chu | Active labels for garments |
| ATE232621T1 (en) | 1996-12-20 | 2003-02-15 | Hitachi Europ Ltd | METHOD AND SYSTEM FOR RECOGNIZING HAND GESTURES |
| US6738154B1 (en) | 1997-01-21 | 2004-05-18 | Xerox Corporation | Locating the position and orientation of multiple objects with a smart platen |
| US6283858B1 (en) | 1997-02-25 | 2001-09-04 | Bgk International Incorporated | Method for manipulating images |
| US5864296A (en)* | 1997-05-19 | 1999-01-26 | Trw Inc. | Fingerprint detector using ridge resistance sensor |
| US5821922A (en) | 1997-05-27 | 1998-10-13 | Compaq Computer Corporation | Computer having video controlled cursor system |
| US6175520B1 (en)* | 1997-05-30 | 2001-01-16 | Alliance Semiconductor Corporation | Nonvolatile memory array having local program load line repeaters |
| US6147680A (en) | 1997-06-03 | 2000-11-14 | Koa T&T Corporation | Touchpad with interleaved traces |
| US6289326B1 (en) | 1997-06-04 | 2001-09-11 | Lafleur Bernard B. | Portable interactive kiosk |
| CH691711A5 (en)* | 1997-06-11 | 2001-09-14 | Asulab Sa | Watch with tactile reading and adjustment of horological functions. |
| US6043824A (en)* | 1997-06-27 | 2000-03-28 | Xerox Corporation | Composing layered synthetic graphics filters with limited scopes of operation |
| US6204839B1 (en)* | 1997-06-27 | 2001-03-20 | Compaq Computer Corporation | Capacitive sensing keyboard and pointing device |
| FI973041A7 (en)* | 1997-07-18 | 1999-01-19 | Nokia Corp | Device and method for displaying an image |
| US5854456A (en) | 1997-07-22 | 1998-12-29 | Lee-Ven; Liu | Line switch having a parallel arrangement between conducting plates with piercing tips and the electrical cord |
| IL121431A (en) | 1997-07-30 | 2000-08-31 | Gross David | Method and system for display of an additional dimension |
| US6720949B1 (en)* | 1997-08-22 | 2004-04-13 | Timothy R. Pryor | Man machine interfaces and applications |
| US6084576A (en) | 1997-09-27 | 2000-07-04 | Leu; Neng-Chyang | User friendly keyboard |
| US6037882A (en)* | 1997-09-30 | 2000-03-14 | Levy; David H. | Method and apparatus for inputting data to an electronic system |
| US6141463A (en) | 1997-10-10 | 2000-10-31 | Electric Planet Interactive | Method and system for estimating jointed-figure configurations |
| US6072494A (en)* | 1997-10-15 | 2000-06-06 | Electric Planet, Inc. | Method and apparatus for real-time gesture recognition |
| GB2330670B (en) | 1997-10-24 | 2002-09-11 | Sony Uk Ltd | Data processing |
| US5945980A (en) | 1997-11-14 | 1999-08-31 | Logitech, Inc. | Touchpad with active plane for pen detection |
| WO1999028811A1 (en)* | 1997-12-04 | 1999-06-10 | Northern Telecom Limited | Contextual gesture interface |
| US6310610B1 (en) | 1997-12-04 | 2001-10-30 | Nortel Networks Limited | Intelligent touch display |
| US6392636B1 (en)* | 1998-01-22 | 2002-05-21 | Stmicroelectronics, Inc. | Touchpad providing screen cursor/pointer movement control |
| KR100595922B1 (en) | 1998-01-26 | 2006-07-05 | 웨인 웨스터만 | Method and apparatus for integrating manual input |
| US7614008B2 (en) | 2004-07-30 | 2009-11-03 | Apple Inc. | Operation of a computer with touch screen interface |
| US7844914B2 (en)* | 2004-07-30 | 2010-11-30 | Apple Inc. | Activating virtual keys of a touch-screen virtual keyboard |
| US8479122B2 (en)* | 2004-07-30 | 2013-07-02 | Apple Inc. | Gestures for touch sensitive input devices |
| US6624860B1 (en) | 1998-01-26 | 2003-09-23 | Sharp Kabushiki Kaisha | Color filter layer providing transmitted light with improved brightness and display device using same |
| US7663607B2 (en)* | 2004-05-06 | 2010-02-16 | Apple Inc. | Multipoint touchscreen |
| US20060033724A1 (en)* | 2004-07-30 | 2006-02-16 | Apple Computer, Inc. | Virtual input device placement on a touch screen user interface |
| US7760187B2 (en)* | 2004-07-30 | 2010-07-20 | Apple Inc. | Visual expander |
| US6249606B1 (en)* | 1998-02-19 | 2001-06-19 | Mindmaker, Inc. | Method and system for gesture category recognition and training using a feature vector |
| US6043799A (en)* | 1998-02-20 | 2000-03-28 | University Of Washington | Virtual retinal display with scanner array for generating multiple exit pupils |
| US6639577B2 (en) | 1998-03-04 | 2003-10-28 | Gemstar-Tv Guide International, Inc. | Portable information display device with ergonomic bezel |
| US6198515B1 (en)* | 1998-03-16 | 2001-03-06 | Joseph W. Cole | Apparatus and method for controlled sealing between bezel and CRT |
| US6894226B2 (en)* | 1998-04-06 | 2005-05-17 | Sumitomo Electric Industries, Ltd. | Coaxial cables, multicore cables, and electronic apparatuses using such cables |
| US6278443B1 (en) | 1998-04-30 | 2001-08-21 | International Business Machines Corporation | Touch screen with random finger placement and rolling on screen to control the movement of information on-screen |
| US6175644B1 (en)* | 1998-05-01 | 2001-01-16 | Cognex Corporation | Machine vision system for object feature analysis and validation based on multiple object images |
| US6050825A (en)* | 1998-05-08 | 2000-04-18 | Nichol; Claudia D. | Opaque, one-size-fits-all computer keyboard cover which covers only the three or four alpha-numeric rows |
| US6020878A (en)* | 1998-06-01 | 2000-02-01 | Motorola, Inc. | Selective call radio with hinged touchpad |
| JP3792920B2 (en) | 1998-12-25 | 2006-07-05 | 株式会社東海理化電機製作所 | Touch operation input device |
| US6347290B1 (en)* | 1998-06-24 | 2002-02-12 | Compaq Information Technologies Group, L.P. | Apparatus and method for detecting and executing positional and gesture commands corresponding to movement of handheld computing device |
| US6131299A (en) | 1998-07-01 | 2000-10-17 | Faro Technologies, Inc. | Display device for a coordinate measurement machine |
| US6169976B1 (en)* | 1998-07-02 | 2001-01-02 | Encommerce, Inc. | Method and apparatus for regulating the use of licensed products |
| US6188391B1 (en)* | 1998-07-09 | 2001-02-13 | Synaptics, Inc. | Two-layer capacitive touchpad and method of making same |
| US6135958A (en) | 1998-08-06 | 2000-10-24 | Acuson Corporation | Ultrasound imaging system with touch-pad pointing device |
| KR100437652B1 (en) | 1998-09-04 | 2004-06-30 | 이노베이티브 솔루션즈 앤드 서포트 인코포레이티드 | Flat panel display using dual cpu's for an aircraft cockpit |
| US6292178B1 (en) | 1998-10-19 | 2001-09-18 | Allergan Sales, Inc. | Screen navigation control apparatus for ophthalmic surgical instruments |
| JP2000132305A (en)* | 1998-10-23 | 2000-05-12 | Olympus Optical Co Ltd | Operation input device |
| JP4542637B2 (en) | 1998-11-25 | 2010-09-15 | セイコーエプソン株式会社 | Portable information device and information storage medium |
| US6466036B1 (en) | 1998-11-25 | 2002-10-15 | Harald Philipp | Charge transfer capacitance measurement circuit |
| US6222465B1 (en)* | 1998-12-09 | 2001-04-24 | Lucent Technologies Inc. | Gesture-based computer interface |
| US6246395B1 (en) | 1998-12-17 | 2001-06-12 | Hewlett-Packard Company | Palm pressure rejection method and apparatus for touchscreens |
| US6323849B1 (en) | 1999-01-22 | 2001-11-27 | Motorola, Inc. | Display module with reduced power consumption |
| US6535200B2 (en)* | 1999-01-25 | 2003-03-18 | Harald Philipp | Capacitive position sensor |
| US6452514B1 (en) | 1999-01-26 | 2002-09-17 | Harald Philipp | Capacitive sensor and array |
| US6246862B1 (en)* | 1999-02-03 | 2001-06-12 | Motorola, Inc. | Sensor controlled user interface for portable communication device |
| EP1120253B1 (en)* | 1999-03-10 | 2007-01-24 | Seiko Epson Corporation | Adjustment of displacement of dot forming position by using information that no dot is to be formed for each pixel unit |
| JP2000358289A (en)* | 1999-06-17 | 2000-12-26 | Mitsubishi Electric Corp | Remote control system |
| US6677934B1 (en)* | 1999-07-30 | 2004-01-13 | L-3 Communications | Infrared touch panel with improved sunlight rejection |
| GB9920301D0 (en) | 1999-08-27 | 1999-11-03 | Philipp Harald | Level sensing |
| US6377009B1 (en)* | 1999-09-08 | 2002-04-23 | Harald Philipp | Capacitive closure obstruction sensor |
| US6411287B1 (en)* | 1999-09-08 | 2002-06-25 | Elo Touchsystems, Inc. | Stress seal for acoustic wave touchscreens |
| US6757002B1 (en) | 1999-11-04 | 2004-06-29 | Hewlett-Packard Development Company, L.P. | Track pad pointing device with areas of specialized function |
| US20030132950A1 (en) | 2001-11-27 | 2003-07-17 | Fahri Surucu | Detecting, classifying, and interpreting input events based on stimuli in multiple sensory domains |
| US7138983B2 (en)* | 2000-01-31 | 2006-11-21 | Canon Kabushiki Kaisha | Method and apparatus for detecting and interpreting path of designated position |
| US6543684B1 (en)* | 2000-03-28 | 2003-04-08 | Ncr Corporation | Transaction terminal with privacy shield for touch-screen pin entry |
| US6624833B1 (en) | 2000-04-17 | 2003-09-23 | Lucent Technologies Inc. | Gesture-based input interface system with shadow detection |
| US6803906B1 (en) | 2000-07-05 | 2004-10-12 | Smart Technologies, Inc. | Passive touch system and method of detecting user input |
| JP3650929B2 (en) | 2000-08-09 | 2005-05-25 | 文孝 村山 | Character content providing method and character content providing system |
| US6421234B1 (en) | 2000-10-10 | 2002-07-16 | Juniper Systems, Inc. | Handheld electronics device having ergonomic features |
| US6942571B1 (en) | 2000-10-16 | 2005-09-13 | Bally Gaming, Inc. | Gaming device with directional and speed control of mechanical reels using touch screen |
| US6593916B1 (en) | 2000-11-03 | 2003-07-15 | James L. Aroyan | Touchscreen having multiple parallel connections to each electrode in a series resistor chain on the periphery of the touch area |
| US6677932B1 (en)* | 2001-01-28 | 2004-01-13 | Finger Works, Inc. | System and method for recognizing touch typing under limited tactile feedback conditions |
| US6670894B2 (en) | 2001-02-05 | 2003-12-30 | Carsten Mehring | System and method for keyboard independent touch typing |
| US6570557B1 (en) | 2001-02-10 | 2003-05-27 | Finger Works, Inc. | Multi-touch system and method for emulating modifier keys via fingertip chords |
| US7030861B1 (en) | 2001-02-10 | 2006-04-18 | Wayne Carl Westerman | System and method for packing multi-touch gestures onto a hand |
| US7133531B2 (en) | 2001-02-27 | 2006-11-07 | Nissim Karpenstein | Device using analog controls to mix compressed digital audio data |
| US6543947B2 (en)* | 2001-03-14 | 2003-04-08 | Lee Jose H. | Keyboard having keys arranged in a pan configuration |
| US6724366B2 (en)* | 2001-04-03 | 2004-04-20 | Peter James Crawford | Thumb actuated x-y input device |
| JP4770049B2 (en) | 2001-04-03 | 2011-09-07 | 大日本印刷株式会社 | Non-contact type IC card and manufacturing method thereof |
| US6965375B1 (en) | 2001-04-27 | 2005-11-15 | Palm, Inc. | Compact integrated touch panel display for a handheld device |
| JP3800984B2 (en) | 2001-05-21 | 2006-07-26 | ソニー株式会社 | User input device |
| US6992659B2 (en)* | 2001-05-22 | 2006-01-31 | Palmone, Inc. | High transparency integrated enclosure touch screen assembly for a portable hand held device |
| US6670951B2 (en)* | 2001-07-03 | 2003-12-30 | Hewlett-Packard Development Company, L.P. | Methods and systems for increasing the input efficiency of personal digital assistants and other handheld stylus-engagable computing devices |
| US6896864B2 (en)* | 2001-07-10 | 2005-05-24 | Battelle Memorial Institute | Spatial localization of dispersed single walled carbon nanotubes into useful structures |
| KR100843012B1 (en)* | 2001-07-16 | 2008-07-01 | 니혼도꾸슈도교 가부시키가이샤 | Dielectric magnetic |
| JP2003173237A (en) | 2001-09-28 | 2003-06-20 | Ricoh Co Ltd | Information input / output system, program and storage medium |
| US7345671B2 (en)* | 2001-10-22 | 2008-03-18 | Apple Inc. | Method and apparatus for use of rotational user inputs |
| US7046230B2 (en) | 2001-10-22 | 2006-05-16 | Apple Computer, Inc. | Touch pad handheld device |
| US7084856B2 (en)* | 2001-10-22 | 2006-08-01 | Apple Computer, Inc. | Mouse having a rotary dial |
| US7312785B2 (en)* | 2001-10-22 | 2007-12-25 | Apple Inc. | Method and apparatus for accelerated scrolling |
| US6987162B2 (en)* | 2001-10-23 | 2006-01-17 | Tien Tsai Lin | Method and apparatus of producing high-density polyimide (HPI) film |
| US7009599B2 (en)* | 2001-11-20 | 2006-03-07 | Nokia Corporation | Form factor for portable device |
| US6762752B2 (en)* | 2001-11-29 | 2004-07-13 | N-Trig Ltd. | Dual function input device and method |
| DE10251296A1 (en) | 2002-11-03 | 2004-05-19 | Trachte, Ralf, Dr. | Device for computer input has a touch-sensitive input surface with multiple input surface areas and a control unit coupled to the input surface. |
| US6690387B2 (en) | 2001-12-28 | 2004-02-10 | Koninklijke Philips Electronics N.V. | Touch-screen image scrolling system and method |
| US6900795B1 (en)* | 2002-02-27 | 2005-05-31 | Knight, Iii Jack | Unitary molded lens filter for touch screen interface |
| US6832138B1 (en) | 2002-02-28 | 2004-12-14 | Garmin International, Inc. | Cockpit instrument panel systems and methods with redundant flight data display |
| US6985801B1 (en)* | 2002-02-28 | 2006-01-10 | Garmin International, Inc. | Cockpit instrument panel systems and methods with redundant flight data display |
| US6927761B2 (en) | 2002-03-29 | 2005-08-09 | 3M Innovative Properties Company | Moisture deflector for capacitive NFI touch screens for use with bezels of conductive material |
| US7038659B2 (en) | 2002-04-06 | 2006-05-02 | Janusz Wiktor Rajkowski | Symbol encoding apparatus and method |
| US6658994B1 (en) | 2002-04-10 | 2003-12-09 | Chromalox, Inc. | Modular assembly for a holding cabinet controller |
| US7466307B2 (en) | 2002-04-11 | 2008-12-16 | Synaptics Incorporated | Closed-loop sensor on a solid-state object position detector |
| JP2003323259A (en) | 2002-05-02 | 2003-11-14 | Nec Corp | Information processing apparatus |
| JP3852368B2 (en) | 2002-05-16 | 2006-11-29 | ソニー株式会社 | Input method and data processing apparatus |
| US7656393B2 (en) | 2005-03-04 | 2010-02-02 | Apple Inc. | Electronic device having display and surrounding touch sensitive bezel for user interface and control |
| US11275405B2 (en) | 2005-03-04 | 2022-03-15 | Apple Inc. | Multi-functional hand-held device |
| EP1394640B1 (en) | 2002-08-30 | 2010-03-24 | Asulab S.A. | Timepiece with tactile reading and operation of time information |
| US7219829B2 (en) | 2002-12-24 | 2007-05-22 | Tracey Treat | Carrier which is aesthetically irreversibly convertible from planar blank to closed package for coded card and methods for manufacture and use of the same |
| JP4197126B2 (en) | 2003-01-30 | 2008-12-17 | 日本電信電話株式会社 | Optical switch and optical wavelength router |
| US6972401B2 (en) | 2003-01-30 | 2005-12-06 | Smart Technologies Inc. | Illuminated bezel and touch system incorporating the same |
| WO2004072313A2 (en)* | 2003-02-11 | 2004-08-26 | The Nanosteel Company | Formation of metallic thermal barrier alloys |
| US20040263484A1 (en) | 2003-06-25 | 2004-12-30 | Tapio Mantysalo | Multifunctional UI input device for moblie terminals |
| US8373660B2 (en) | 2003-07-14 | 2013-02-12 | Matt Pallakoff | System and method for a portable multimedia client |
| US7499040B2 (en)* | 2003-08-18 | 2009-03-03 | Apple Inc. | Movable touch pad with added functionality |
| US9024884B2 (en)* | 2003-09-02 | 2015-05-05 | Apple Inc. | Touch-sensitive electronic apparatus for media applications, and methods therefor |
| US7495659B2 (en)* | 2003-11-25 | 2009-02-24 | Apple Inc. | Touch pad for handheld device |
| US7129416B1 (en) | 2004-02-05 | 2006-10-31 | Apple Computer, Inc. | Hybrid ground grid for printed circuit board |
| US6856259B1 (en)* | 2004-02-06 | 2005-02-15 | Elo Touchsystems, Inc. | Touch sensor system to detect multiple touch events |
| US20060032860A1 (en)* | 2004-08-13 | 2006-02-16 | Hase Gary M | Container with lid prop and/or lid latch |
| WO2006023569A1 (en) | 2004-08-16 | 2006-03-02 | Fingerworks, Inc. | A method of increasing the spatial resolution of touch sensitive devices |
| US7719522B2 (en) | 2004-09-24 | 2010-05-18 | Apple Inc. | Raw data track pad device and system |
| JP2007129312A (en) | 2005-11-01 | 2007-05-24 | Sekisui Chem Co Ltd | Interphone system |
| US7511702B2 (en) | 2006-03-30 | 2009-03-31 | Apple Inc. | Force and location sensitive display |
| US7538760B2 (en) | 2006-03-30 | 2009-05-26 | Apple Inc. | Force imaging input device and system |
| US7978181B2 (en) | 2006-04-25 | 2011-07-12 | Apple Inc. | Keystroke tactility arrangement on a smooth touch surface |
| US8279180B2 (en) | 2006-05-02 | 2012-10-02 | Apple Inc. | Multipoint touch surface controller |
| US8564544B2 (en) | 2006-09-06 | 2013-10-22 | Apple Inc. | Touch screen device, method, and graphical user interface for customizing display of content category icons |
| US7920129B2 (en)* | 2007-01-03 | 2011-04-05 | Apple Inc. | Double-sided touch-sensitive panel with shield and drive combined layer |
| US8759664B2 (en) | 2009-12-28 | 2014-06-24 | Hanergy Hi-Tech Power (Hk) Limited | Thin film solar cell strings |
| Publication | Publication Date | Title |
|---|---|---|
| KR100595924B1 (en) | Method and apparatus for integrating manual input | |
| EP2256606B1 (en) | Method and apparatus for integrating manual input | |
| HK1093576A (en) | Method and apparatus for integrating manual input | |
| HK1093572A (en) | Method and apparatus for integrating manual input | |
| HK1093578A (en) | Method and apparatus for integrating manual input | |
| HK1093571A (en) | Method and apparatus for integrating manual input | |
| HK1093577B (en) | Method for integrating manual input |
| Date | Code | Title | Description |
|---|---|---|---|
| A107 | Divisional application of patent | ||
| A201 | Request for examination | ||
| PA0104 | Divisional application for international application | Comment text:Divisional Application for International Patent Patent event code:PA01041R01D Patent event date:20060331 | |
| PA0201 | Request for examination | ||
| PG1501 | Laying open of application | ||
| E701 | Decision to grant or registration of patent right | ||
| PE0701 | Decision of registration | Patent event code:PE07011S01D Comment text:Decision to Grant Registration Patent event date:20060522 | |
| GRNT | Written decision to grant | ||
| PR0701 | Registration of establishment | Comment text:Registration of Establishment Patent event date:20060626 Patent event code:PR07011E01D | |
| PR1002 | Payment of registration fee | Payment date:20060627 End annual number:3 Start annual number:1 | |
| PG1601 | Publication of registration | ||
| PR1001 | Payment of annual fee | Payment date:20090623 Start annual number:4 End annual number:4 | |
| PR1001 | Payment of annual fee | Payment date:20100625 Start annual number:5 End annual number:5 | |
| PR1001 | Payment of annual fee | Payment date:20110519 Start annual number:6 End annual number:6 | |
| PR1001 | Payment of annual fee | Payment date:20120611 Start annual number:7 End annual number:7 | |
| FPAY | Annual fee payment | Payment date:20130604 Year of fee payment:8 | |
| PR1001 | Payment of annual fee | Payment date:20130604 Start annual number:8 End annual number:8 | |
| FPAY | Annual fee payment | Payment date:20140609 Year of fee payment:9 | |
| PR1001 | Payment of annual fee | Payment date:20140609 Start annual number:9 End annual number:9 | |
| FPAY | Annual fee payment | Payment date:20150602 Year of fee payment:10 | |
| PR1001 | Payment of annual fee | Payment date:20150602 Start annual number:10 End annual number:10 | |
| FPAY | Annual fee payment | Payment date:20160527 Year of fee payment:11 | |
| PR1001 | Payment of annual fee | Payment date:20160527 Start annual number:11 End annual number:11 | |
| FPAY | Annual fee payment | Payment date:20170601 Year of fee payment:12 | |
| PR1001 | Payment of annual fee | Payment date:20170601 Start annual number:12 End annual number:12 | |
| FPAY | Annual fee payment | Payment date:20180529 Year of fee payment:13 | |
| PR1001 | Payment of annual fee | Payment date:20180529 Start annual number:13 End annual number:13 | |
| EXPY | Expiration of term | ||
| PC1801 | Expiration of term | Termination date:20190725 Termination category:Expiration of duration |