







도 1은 일반적인 플라즈마 표시 장치의 구동 방법을 보여주는 타이밍도이다.1 is a timing diagram illustrating a method of driving a general plasma display device.
도 2는 프레임 내의 각각의 서브 필드에서의 유지 펄스의 수 생성 방법의 예를 도시한 도이다.2 is a diagram illustrating an example of a method of generating the number of sustain pulses in each subfield in a frame.
도 3은 본 발명의 실시예에 따른 플라즈마 표시 장치의 개략적인 평면도이다.3 is a schematic plan view of a plasma display device according to an exemplary embodiment of the present invention.
도 4는 본 발명의 실시예에 따른 플라즈마 표시 장치의 유지 펄스 수 생성부를 개략적으로 도시한 블록도이다.4 is a block diagram schematically illustrating a sustain pulse number generator of a plasma display device according to an exemplary embodiment of the present invention.
도 5은 본 발명의 실시예에 따른 프레임 내의 각각의 서브 필드에서의 유지 펄스의 수 생성 방법을 개략적으로 도시한 블록도이다.5 is a block diagram schematically illustrating a method for generating the number of sustain pulses in each subfield in a frame according to an embodiment of the present invention.
도 6은 본 발명의 제1 실시예에 따른 프레임 내의 각각의 서브 필드에서의 유지 펄스의 수 생성 방법의 예를 도시한 도이다.Fig. 6 is a diagram showing an example of a method for generating the number of sustain pulses in each subfield in a frame according to the first embodiment of the present invention.
도 7은 본 발명의 제2 실시예에 따른 프레임 내의 각각의 서브 필드에서의 유지 펄스의 수 생성 방법의 예를 도시한 도이다.7 is a diagram showing an example of a method for generating the number of sustain pulses in each subfield in a frame according to the second embodiment of the present invention.
도 8은 본 발명의 제3 실시예에 따른 프레임 내의 각각의 서브 필드에서의 유지 펄스의 수 생성 방법에서 사용되는 서브 필드 데이터를 나타낸 도이다.8 is a diagram showing subfield data used in the method for generating the number of sustain pulses in each subfield in a frame according to the third embodiment of the present invention.
본 발명은 플라즈마 표시 장치 및 그 화상 처리 방법에 관한 것으로서, 특히 각 서브 필드에서의 유지 펄스 수의 소수부 오차로 인하여 발생하는 계조의 왜곡을 보상하는 플라즈마 표시 장치 및 그 화상 처리 방법에 관한 것이다.BACKGROUND OF THE
플라즈마 표시 장치는 기체 방전에 의해 생성된 플라즈마를 이용하여 문자 또는 영상을 표시하는 평면 표시 장치로서, 그 크기에 따라 수십에서 수백 만개 이상의 화소가 매트릭스 형태로 배열되어 있다.Plasma display devices are flat display devices that display characters or images using plasma generated by gas discharge, and dozens to millions or more of pixels are arranged in a matrix form according to their size.
도 1은 일반적인 플라즈마 표시 장치의 구동 방법을 보여주는 타이밍도이다.1 is a timing diagram illustrating a method of driving a general plasma display device.
도면을 참조하면, 단위 프레임은 시분할 계조 표시를 실현하기 위하여 8 개의 서브 필드(SF1-SF8)로 분할된다. 또한, 각 서브 필드(SF1-SF8)는 리셋 기간(R1-R8)와, 어드레스 기간(A1-A8) 및 서스테인 기간(S1-S8)로 분할된다.Referring to the drawing, the unit frame is divided into eight subfields SF1-SF8 to realize time division gray scale display. Each subfield SF1-SF8 is divided into a reset period R1-R8, an address period A1-A8, and a sustain period S1-S8.
상기 리셋 기간에서는 방전셀에 어드레싱 동작이 원활히 수행되도록 하기 위해 각 방전셀의 상태를 초기화시키며, 어드레스 기간에서는 패널에서 켜지는 방전셀과 켜지지 않는 방전셀을 선택하기 위하여 켜지는 방전셀(어드레싱된 방전셀)에 어드레스 전압을 인가하여 벽전하를 쌓아두는 동작을 수행한다. 서스테인 기간에서는 유지 펄스를 인가하여 어드레싱된 방전셀에 실제로 영상을 표시하기 위한 방전을 수행한다.In the reset period, the state of each discharge cell is initialized to smoothly perform the addressing operation on the discharge cells, and in the address period, the discharge cells that are turned on to select the discharge cells that are turned on and the discharge cells that are not turned on (addressed discharges). Cell wall) by applying an address voltage to the cell. In the sustain period, a sustain pulse is applied to perform discharge for actually displaying an image in the addressed discharge cells.
일반적으로 어드레스 기간에서는 주사 전극에 순서대로 스캔 전압을 인가한 다. 하나의 주사 전극에 스캔 전압이 인가될 때에 어드레스 전극에 선택적으로 어드레스 전압을 인가하여, 모든 방전셀 중 원하는 방전셀을 어드레싱 한다. 서스테인 기간에서는 모든 주사 전극과 유지 전극에 유지 펄스를 인가하여 어드레싱된 방전셀을 방전시켜 영상을 표시한다.In general, in the address period, scan voltages are sequentially applied to the scan electrodes. When a scan voltage is applied to one scan electrode, an address voltage is selectively applied to the address electrode to address a desired discharge cell among all discharge cells. In the sustain period, an image is displayed by discharging the addressed discharge cells by applying sustain pulses to all scan electrodes and sustain electrodes.
이러한 플라즈마 표시 장치의 휘도는 단위 프레임에서 차지하는 서스테인 기간(S1-S8)의 길이에 비례한다. 단위 프레임에서 차지하는 서스테인 기간(S1-S8)의 길이는 255T(T는 단위 시간)이다. 이때, 제n 서브 필드(SFn)의 서스테인 기간(Sn)에는 2n에 상응하는 시간이 각각 설정된다. 상기 제n 서브 필드는 해당 서브 필드의 서스테인 기간의 길이에 비례하는 가중치 값을 가진다. 이에 따라, 8 개의 서브 필드 중에서 방전셀을 방전시킬 서브 필드를 적절히 선택하면, 어느 서브 필드에서도 방전셀을 방전시키지 않는 0(영) 계조를 포함하여 모두 256 계조의 표시가 수행될 수 있음을 알 수 있다.The luminance of the plasma display device is proportional to the length of the sustain periods S1-S8 in the unit frame. The length of the sustain periods S1-S8 in the unit frame is 255T (T is the unit time). At this time, a time corresponding to 2n is set in the sustain period Sn of the nth subfield SFn. The n-th subfield has a weight value proportional to the length of the sustain period of the corresponding subfield. Accordingly, it is understood that when the subfield to discharge the discharge cells is appropriately selected from the eight subfields, display of 256 gray levels can be performed in all subfields including 0 (zero) gray that does not discharge the discharge cells. Can be.
그러나, 플라즈마 표시 장치에서 표시할 영상이 전체적으로 밝은 경우에는, 각각의 서브 필드의 각 서스테인 기간 동안에 계속하여 유지 펄스를 인가하게 되는데, 이때 많은 전력이 소모된다.However, when the image to be displayed on the plasma display device is overall bright, sustain pulses are continuously applied during each sustain period of each subfield, which consumes a lot of power.
따라서, 상기 서스테인 기간 동안에 계속하여 유지 펄스를 인가하지 않고, 화면의 밝기에 따라서 각 서브 필드의 유지 펄스 수를 조절하여 인가한다. 즉, 상기 영상의 밝기를 전체 화면의 평균 계조값에 비례하는 부하율로써 판단하고, 상기 부하율이 높은 경우에는 프레임 단위의 유지 펄스 수를 줄이고, 반대로 상기 부하율이 낮은 경우에는 프레임 단위의 유지 펄스 수를 늘인다.Therefore, the sustain pulse is not continuously applied during the sustain period, and the number of sustain pulses of each subfield is adjusted according to the brightness of the screen. That is, the brightness of the image is judged as a load ratio proportional to the average gradation value of the entire screen, and when the load ratio is high, the number of sustain pulses in a frame unit is reduced, and conversely, when the load ratio is low, the number of sustain pulses in a frame unit is determined. Increase.
이때, 상기 영상의 밝기에 따라 프레임 단위의 유지 펄스 수가 정해지면, 상기 서브 필드의 서스테인 기간 길이에 비례하는 가중치에 따라 각각의 서브 필드별 유지 펄스 수를 계산하게 된다.At this time, if the number of sustain pulses in units of frames is determined according to the brightness of the image, the number of sustain pulses for each subfield is calculated according to a weight proportional to the sustain period length of the subfield.
이러한 경우, 각각의 서브 필드에서의 유지 펄스 수를 연산한 결과는 도 2에 나타난 바와 같이 정수부 뿐만 아니라 소수부를 동시에 가지게 된다. 하지만, 유지 펄스 수는 정수부에 의해서만 표현되므로, 계조 표현에 있어서 소수부만큼의 오차가 발생할 수 있는 문제점이 있다.In this case, the result of calculating the number of sustain pulses in each subfield has not only the integer part but also the fractional part as shown in FIG. However, since the number of sustain pulses is expressed only by the integer part, there is a problem that an error by the fractional part may occur in the gradation representation.
본 발명이 이루고자 하는 기술적 과제는, 각 서브 필드에서의 유지 펄스 수의 소수부 오차로 인하여 발생하는 계조의 왜곡을 보상하는 플라즈마 표시 장치 및 그 화상 처리 방법을 제공하기 위한 것이다.SUMMARY OF THE INVENTION The present invention has been made in an effort to provide a plasma display device and an image processing method thereof, which compensate for a distortion of a gray level caused by a fractional part error in the number of sustain pulses in each subfield.
상기한 목적을 달성하기 위한 본 발명의 특징에 따른 플라즈마 표시 장치의 화상 처리 방법은An image processing method of a plasma display device according to a feature of the present invention for achieving the above object
입력되는 한 프레임의 영상 신호에 대응하여 복수개의 서브 필드로 나누고, 이 서브 필드들의 조합에 따라 계조를 표시하는 플라즈마 표시 장치의 화상 처리 방법에 있어서,In the image processing method of the plasma display device which divides into a plurality of subfields corresponding to an input video signal of one frame, and displays a gray scale according to a combination of these subfields,
(a) 현재 프레임에서의 프레임당 유지 펄스 수로부터 각각의 계조 가중치에 따라 각각의 서브 필드에 대응하는 정수부와 소수부로 이루어지는 연산 유지 펄스 수를 구하는 단계;(a) obtaining a number of operation sustain pulses each comprising an integer part and a fractional part corresponding to each subfield according to each gray scale weight from the number of sustain pulses per frame in the current frame;
(b) 상기 각각의 서브 필드 중에서 소정의 가중치 이상의 서브 필드의 연산 유지 펄스 수를, 이전 프레임에서의 동일한 가중치를 가지는 서브 필드의 조정 유지 펄스 수의 소수부와 합하여, 현재 프레임에서의 각각의 서브 필드에서의 조정 유지 펄스 수를 구하는 단계; 및(b) Each of the subfields in the current frame is obtained by adding the number of operation sustain pulses of the subfields having a predetermined weight or more among the respective subfields with the fractional part of the number of adjustment sustain pulses of the subfields having the same weight in the previous frame. Obtaining the number of coordination hold pulses in? And
(c) 상기 단계 (b)에서 구한 조정 유지 펄스 수의 정수부로부터, 상기 주사 전극과 유지 전극에 인가하는 인가 유지 펄스 수를 구하는 단계를 포함한다.(c) obtaining the number of applied sustain pulses applied to the scan electrode and the sustain electrode from the integer part of the number of adjustment sustain pulses obtained in the step (b).
본 발명의 또 다른 특징에 따른 플라즈마 표시 장치의 화상 처리 방법은The image processing method of the plasma display device according to another aspect of the present invention
입력되는 한 프레임의 영상 신호에 대응하여 복수개의 서브 필드로 나누고, 이 서브 필드들의 조합에 따라 계조를 표시하는 플라즈마 표시 장치의 화상 처리 방법에 있어서,In the image processing method of the plasma display device which divides into a plurality of subfields corresponding to an input video signal of one frame, and displays a gray scale according to a combination of these subfields,
(a) 상기 입력된 한 프레임의 영상 신호에서 소정의 계조값 이상을 가지는 방전셀이 소정의 개수 이상인지 여부를 판단하는 단계;(a) determining whether the number of discharge cells having a predetermined gray scale value or more is greater than or equal to a predetermined number in the input image signal;
(b) 현재 프레임에서의 프레임당 유지 펄스 수로부터 각각의 계조 가중치에 따라 각각의 서브 필드에 대응하는 정수부와 소수부로 이루어지는 연산 유지 펄스 수를 구하는 단계;(b) obtaining a number of operation sustain pulses each comprising an integer part and a fractional part corresponding to each subfield according to each gray scale weight from the number of sustain pulses per frame in the current frame;
(c) 상기 단계 (a)에서 현재 프레임의 영상 신호가 소정의 계조값 이상을 가지는 방전셀이 소정의 개수 이상이라고 판단한 경우에는, 현재 프레임의 각각의 서브 필드의 연산 유지 펄스 수를, 이전 프레임에서의 동일한 가중치를 가지는 서브 필드의 조정 유지 펄스 수의 소수부와 합하여, 현재 프레임에서의 각각의 서브 필드에서의 조정 유지 펄스 수를 구하는 단계; 및(c) When it is determined in step (a) that the number of discharge cells having the video signal of the current frame having a predetermined gray scale value or more is greater than or equal to the predetermined number, the number of operation sustain pulses of each subfield of the current frame is changed to the previous frame. Calculating the number of adjustment sustain pulses in each subfield in the current frame, by adding it to the fractional part of the number of adjustment sustain pulses in the subfields having the same weight in? And
(d) 상기 현재 프레임에서의 각각의 서브 필드에서의 조정 유지 펄스 수의 정수부로부터, 상기 주사 전극과 유지 전극에 인가하는 인가 유지 펄스 수를 구하는 단계를 포함한다.and (d) obtaining the number of applied sustain pulses to be applied to the scan electrode and the sustain electrode from the integer part of the number of adjustment sustain pulses in each subfield in the current frame.
본 발명의 또 다른 특징에 따른 플라즈마 표시 장치는Plasma display device according to another aspect of the present invention
다수의 어드레스 전극, 다수의 주사 전극 및 유지 전극이 교차되는 영역에 방전셀이 형성된 플라즈마 패널;A plasma panel in which discharge cells are formed in an area where a plurality of address electrodes, a plurality of scan electrodes, and a sustain electrode cross each other;
현재 프레임에서의 프레임당 유지 펄스 수로부터 각각의 계조 가중치에 따라 각각의 서브 필드에 대응하는 정수부와 소수부로 이루어지는 연산 유지 펄스 수를 구하고,From the number of sustain pulses per frame in the current frame, the number of operation sustain pulses consisting of an integer part and a fractional part corresponding to each subfield is obtained according to each gray scale weight.
상기 각각의 서브 필드 중에서 소정의 가중치 이상의 서브 필드의 연산 유지 펄스 수를, 이전 프레임에서의 동일한 가중치를 가지는 서브 필드의 조정 유지 펄스 수의 소수부와 합하여, 현재 프레임에서의 각각의 서브 필드에서의 조정 유지 펄스 수를 구하고,Adjustment in each subfield in the current frame by adding the operation sustaining pulse number of the subfield equal to or greater than a predetermined weight among the respective subfields with the fractional part of the number of adjustment sustaining pulses in the subfield having the same weight in the previous frame. Find the number of sustain pulses,
상기 조정 유지 펄스 수의 정수부에 해당하는 인가 유지 펄스 수가 인가되도록 하는 제어신호를 생성하는 제어부; 및A control unit for generating a control signal for applying the applied sustain pulse number corresponding to the integer part of the adjustment sustain pulse number; And
상기 제어부에 의해 생성된 제어 신호에 따라 상기 주사·유지 전극에 구동하는 주사·유지 전극 구동부를 포함한다.And a scan / hold electrode driver for driving the scan / hold electrode in accordance with a control signal generated by the controller.
아래에서는 첨부한 도면을 참고로 하여 본 발명의 실시예에 대하여 본 발명이 속하는 기술 분야에서 통상의 지식을 가진 자가 용이하게 실시할 수 있도록 상세히 설명한다. 그러나 본 발명은 여러 가지 상이한 형태로 구현될 수 있으며 여기 에서 설명하는 실시예에 한정되지 않는다.DETAILED DESCRIPTION Hereinafter, exemplary embodiments of the present invention will be described in detail with reference to the accompanying drawings so that those skilled in the art may easily implement the present invention. As those skilled in the art would realize, the described embodiments may be modified in various different ways, all without departing from the spirit or scope of the present invention.
이제 본 발명의 실시예에 따른 플라즈마 표시 장치 및 그 화상 처리 방법에 대하여 도 3 내지 도 8을 참고로 하여 상세하게 설명한다.A plasma display device and an image processing method thereof according to an embodiment of the present invention will now be described in detail with reference to FIGS. 3 to 8.
이와 같은 플라즈마 표시 장치는 다수의 전극들을 포함한다.Such a plasma display device includes a plurality of electrodes.
도 3은 본 발명의 실시예에 따른 플라즈마 표시 장치의 개략적인 평면도이다.3 is a schematic plan view of a plasma display device according to an exemplary embodiment of the present invention.
도 3에 나타낸 바와 같이, 본 발명의 실시예에 따른 플라즈마 표시 장치는 플라즈마 패널(100), 어드레스 구동부(200), 주사·유지 구동부(300) 및 제어부(400)를 포함한다.As shown in FIG. 3, a plasma display device according to an exemplary embodiment of the present invention includes a
플라즈마 패널(100)은 다수의 전극들을 포함한다. 상기 전극들은 m×n의 매트릭스 형태로 배열되며, 구체적으로 열 방향으로는 어드레스 전극(이하 'A 전극'이라 함)(A1-Am)이 배열되어 있고, 행 방향으로는 n행의 주사 전극(이하 'Y 전극'이라 함)(Y1-Yn) 및 유지 전극(이하 'X 전극'이라 함)(X1-Xn)이 지그재그로 배열되어 있다.  여기서, A 전극(A1-Am)과 X 및 Y 전극(X1-Xn, Y1-Yn)의 교차부에 있는 방전 공간이 방전셀을 형성한다.The
어드레스 구동부(200)는 제어부(400)로부터 어드레스 구동 제어 신호를 수신하여 표시하고자 하는 방전셀을 선택하기 위한 어드레스 전압을 각 어드레스 전극(A1-Am)에 인가한다.The
주사·유지 구동부(300)는 제어부(400)로부터 제어 신호를 수신하여 주사 전극(Y1-Yn)과 유지 전극(X1-Xn)에 유지 펄스를 번갈아 인가함으로써 선택된 방전셀 에 대하여 유지 방전을 수행한다.The scan and sustain
제어부(400)는 외부로부터 R, G, B 영상 신호와 동기 신호를 수신하여 한 프레임을 몇 개의 서브필드로 나누고, 각 서브필드를 리셋 기간, 어드레스 기간 및 서스테인 기간로 나누어 플라즈마 표시 장치를 구동하는 제어 신호를 생성한다. 즉, 상기 제어부(400)는 어드레스 전압 인가에 필요한 제어 신호를 생성하여 어드레스 구동부(200)에 공급한다. 또한, 상기 제어부(400)는 한 프레임에 들어가는 서브 필드의 각 서스테인 기간에 인가되는 유지 펄스 수를 구하고, 그에 따른 제어 신호를 생성하여 주사·유지 구동부(300)에 공급한다.The
이때, 상기 본 발명의 실시예에 따른 제어부(400)는 상기 각 서스테인 기간에 인가되는 유지 펄스 수를 구하게 되는데, 이전 프레임의 동일한 가중치를 가지는 서브 필드의 유지 펄스 수의 소수부 오차를 현재 프레임의 동일한 가중치를 가지는 서브 필드의 유지 펄스 수와 합산하여 구한다.At this time, the
도 4는 본 발명의 실시예에 따른 플라즈마 표시 장치 제어부(400)의 유지 펄스 수 생성부(460)를 개략적으로 도시한 블록도이다.4 is a block diagram schematically illustrating a sustain
상기 유지 펄스 수 생성부(460)는, 화면 부하율 추출부(461), 화면 부화율별 유지 펄스 수 결정부(462), 서브 필드별 유지 펄스 수 연산부(463), 유지 펄스 수 조절부(464), 서브 필드 정보부(465)를 포함한다.The sustain
화면 부하율 추출부(461)는 영상 데이터로부터 전체 화면의 평균 계조값에 비례하는 부하율을 추출한다. 이때, 전체 방전셀의 각각의 계조값을 평균한 값을 이용하여 부하율을 계산한다.The screen
유지 펄스 수 결정부(462)는 상기 화면 부하율 추출부(461)에서 추출한 부하율에 따라 프레임당 유지 펄스 수를 결정한다. 이때, 상기 유지 펄스 수 결정부(462)는 상기 부하율에 따른 프레임당 유지 펄스 수를 미리 테이블에 저장하고, 상기 저장된 테이블을 이용하여 프레임당 유지 펄스 수를 결정할 수 있다.The sustain
서브 필드 정보부(465)는 각 서브 필드에서의 계조 가중치를 서브 필드별 유지 펄스 수 연산부(463)로 전송한다. 이때, 상기 서브 필드 정보부(465)는 상기 각 서브 필드에서의 계조 가중치를 미리 테이블에 저장하고, 상기 저장된 테이블을 이용하여 각 서브 필드에서의 계조 가중치를 상기 유지 펄스 수 연산부(463)에 전송할 수 있다.The
서브 필드별 유지 펄스 수 연산부(463)는 상기 유지 펄스 수 결정부(462)에 의해 결정된 프레임당 유지 펄스 수 및 상기 서브 필드 정보부(465)로부터 수신된 각 서브 필드의 계조 가중치로부터 각 서브 필드에서의 유지 펄스 수를 계산한다.The sustain
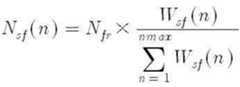
예를 들어, 프레임당 유지 펄스 수는 1000이고, 제1 내지 제8 서브 필드(SF1-SF8)의 계조 가중치는 각각 1, 2, 4, 8, 16, 32, 64, 128인 경우의 제1 내지 제8 서브 필드의 유지 펄스 수는 수학식 1을 이용하여 구할 수 있다.For example, the number of sustain pulses per frame is 1000, and the first gray level weights of the first to eighth subfields SF1 to SF8 are 1, 2, 4, 8, 16, 32, 64, and 128, respectively. The number of sustain pulses of the eighth subfield may be obtained by using
여기서, Nsf(n)는 제n 서브 필드의 유지 펄스 수이며, Nfr은 프레임당 유지 펄스 수이다. 또한, Wsf(n)는 제n 서브 필드의 서브 필드의 계조 가중치이며, nmax는 본 실시예에서는 8이 된다.Here, Nsf (n) is the number of sustain pulses in the nth subfield, and Nfr is the number of sustain pulses per frame. Wsf (n) is the gray scale weight of the subfield of the nth subfield, and nmax is 8 in this embodiment.
상기 수학식 1을 이용하여 구해진 제1 내지 제8 서브 필드의 유지 펄스 수는 각각 3.92, 7.84, 15.68, 31.37, 62.74, 125.49, 250.98, 501.96이다. 이와 같이 연산된 연산 유지 펄스 수는 정수부와 소수부로 이루어진다.The number of sustain pulses of the first to eighth subfields obtained using
유지 펄스 수 조절부(464)는 상기 서브 필드별 유지 펄스 수 연산부(463)로부터 연산된 연산 유지 펄스 수와, 이전 프레임의 동일한 가중치를 가지는 서브 필드의 조정 유지 펄스 수의 소수부를 합하여 현재 프레임의 조정 유지 펄스 수를 구한다. 또한, 상기 조정 유지 펄스 수에서 정수부를 취하여 인가 유지 펄스 수를 구한다.The sustain pulse
도 5는 본 발명의 실시예에 따른 프레임 내의 각각의 서브 필드에서의 유지 펄스 수 생성 방법을 개략적으로 도시한 블록도이다.5 is a block diagram schematically illustrating a method of generating a sustain pulse number in each subfield in a frame according to an embodiment of the present invention.
유지 펄스 수 생성 방법은 다음과 같다. 먼저, 우선 영상 데이터로부터 전체 방전셀의 각각의 계조값을 평균하여 전체 화면의 평균 계조값에 비례하는 부하율을 계산한다(S110). 다음으로, 상기 단계(S100)에서 계산된 부하율에 따라서 프레임당 유지 펄스 수를 결정한다(S120).The sustain pulse number generation method is as follows. First, the gray scale values of all the discharge cells are first averaged from the image data to calculate a load ratio proportional to the average gray scale values of the entire screen (S110). Next, the number of sustain pulses per frame is determined according to the load ratio calculated in step S100 (S120).
여기서, 현재 프레임에서의 프레임당 유지 펄스 수 및 각각의 계조 가중치로부터 각 서브 필드(SF)에서의 유지 펄스 수를 계산한다(S130). 이때, 상기 각 서브 필드에서의 유지 펄스 수는 상기 수학식 1을 이용하여 구할 수 있다.Here, the number of sustain pulses in each subfield SF is calculated from the number of sustain pulses per frame and each gray scale weight in the current frame (S130). In this case, the number of sustain pulses in each of the subfields may be obtained using
다음으로, 상기 계산된 각 서브 필드에서의 연산 유지 펄스 수를 이전 프레 임에서의 동일한 가중치를 가지는 서브 필드의 조정 유지 펄스 수의 소수부와 합하여 정수부와 소수부로 이루어지는 각각의 서브 필드에서의 조정 유지 펄스 수를 구한다. 또한, 상기 조정 유지 펄스 수에서 정수부를 취하여 인가 유지 펄스 수를 구한다(S140). 상기 인가 유지 펄스 수만큼의 유지 펄스가 주사 전극(Y1-Yn)과 유지 전극(X1-Xn) 각각에 인가된다.Next, the adjusted sustain pulse in each subfield consisting of an integer part and a fractional part by adding the calculated sustain pulse number in each subfield with the fractional part of the number of the adjusted sustain pulses of the subfield having the same weight in the previous frame. Find the number In addition, the constant portion is taken from the number of adjustment sustain pulses to obtain the number of applied sustain pulses (S140). As many sustain pulses as the number of sustain pulses are applied to scan electrodes Y1-Yn and sustain electrodes X1-Xn.
다시 상세하게 설명하자면, 상기 단계(S130)에서는 현재 프레임에서의 프레임당 유지 펄스 수로부터 각각의 계조 가중치에 따라 각각의 서브 필드(SF)에서의 유지 펄스 수를 계산한다. 여기서, 상기 유지 펄스 수가 각각의 프레임에서의 각각의 서브 필드의 연산 유지 펄스 수로 되는데, 상기 연산 유지 펄스 수는 정수부분과 소수부분으로 나뉘어 진다.In detail, in step S130, the number of sustain pulses in each subfield SF is calculated according to the gray scale weights from the number of sustain pulses per frame in the current frame. Here, the number of sustain pulses is the number of operational sustain pulses of each subfield in each frame, and the number of operational sustain pulses is divided into an integer part and a fractional part.
상기 수학식 1에서, 각각의 서브 필드(SF)에서의 연산 유지 펄스 수(Nsf(n))는 프레임당 유지 펄스 수(Nfr)와 각각의 서브 필드의 가중치(Wsf(n))를 곱하고, 하나의 프레임 내의 모든 서브 필드의 가중치의 합으로 나누어 구하는 것이 바람직하다. 이때, nmax는 한 프레임에서의 서브 필드의 개수이다.In
상기 단계(S140)에서는 현재 프레임에서의 연산 유지 펄스 수를 이전 프레임에서의 동일한 가중치를 가지는 서브 필드의 조정 유지 펄스 수의 소수부와 합하여 조정 유지 펄스 수를 구한다. 이때, 조정 유지 펄스 수는 연산 유지 펄스 수와 마찬가지로 정수부와 소수부로 이루어지는데, 시간적으로 연속되는 프레임의 동일한 가중치를 갖는 서브 필드의 이전 프레임의 조정 유지 펄스 수의 소수부와 현재 프레임의 조정 유지 펄스 수의 합하여 계산된다.In step S140, the number of adjustment sustain pulses is obtained by adding the number of operation sustain pulses in the current frame to the fractional part of the number of adjustment sustain pulses of the subfield having the same weight in the previous frame. At this time, the number of adjustment sustain pulses is composed of an integer part and a fractional part, similarly to the number of operation sustain pulses. It is calculated by adding up.
도 6을 참조하여, 본 발명의 제1 실시예에 따른 프레임 내의 각각의 서브 필드에서의 유지 펄스의 수 생성 방법의 예를 설명하면 다음과 같다.Referring to FIG. 6, an example of a method of generating the number of sustain pulses in each subfield in a frame according to the first embodiment of the present invention will be described.
현재 프레임((N)프레임)에서, 제1 서브 필드(SF1)의 연산 유지 펄스 수는 18.8이고, 제2 서브 필드(SF2)의 연산 유지 펄스 수는 20.2이고, 제3 서브 필드(SF3)의 연산 유지 펄스 수는 40.1이다.In the current frame (N), the operation sustain pulse number of the first subfield SF1 is 18.8, the operation sustain pulse number of the second subfield SF2 is 20.2, and the number of operation sustain pulses of the third subfield SF3 The number of operation sustain pulses is 40.1.
이전 프레임((N-1)프레임)에서, 제1 서브 필드의 조정 유지 펄스 수는 10.6이고, 제2 서브 필드의 조정 유지 펄스 수는 22.4이고, 제3 서브 필드의 조정 유지 펄스 수는 38.6이다. 이때, 이전 프레임((N-1)프레임)에서의 제1 서브 필드의 조정 유지 펄스 수의 소수부는 0.6이고, 제2 서브 필드의 조정 유지 펄스 수의 소수부는 0.4이고, 제3 서브 필드의 조정 유지 펄스 수의 소수부는 0.6이다.In the previous frame ((N-1) frame), the number of adjustment sustain pulses of the first subfield is 10.6, the number of adjustment sustain pulses of the second subfield is 22.4, and the number of adjustment sustain pulses of the third subfield is 38.6. . At this time, the fractional part of the number of adjustment sustain pulses of the first subfield in the previous frame ((N-1) frame) is 0.6, the fractional part of the number of adjustment sustain pulses of the second subfield is 0.4 and the adjustment of the third subfield is performed. The fractional part of the sustain pulse number is 0.6.
따라서, 현재 프레임((N)프레임)에서의 제1 서브 필드의 조정 유지 펄스 수는 18.8+0.6 = 19.4이고, 제2 서브 필드의 조정 유지 펄스 수는 20.2+0.4 = 20.6이고, 제3 서브 필드의 조정 유지 펄스 수는 40.1+0.6 = 40.7이다.Therefore, the number of adjustment sustain pulses of the first subfield in the current frame ((N) frame) is 18.8 + 0.6 = 19.4, the number of adjustment sustain pulses of the second subfield is 20.2 + 0.4 = 20.6, and the third subfield The number of adjustable hold pulses is 40.1 + 0.6 = 40.7.
따라서, 현재 프레임((N)프레임)에서의 제1 서브 필드의 인가 유지 펄스 수는 제1 서브 필드의 조정 유지 펄스 수의 정수부인 19이고, 제2 서브 필드의 인가 유지 펄스 수는 제2 서브 필드의 조정 유지 펄스 수의 정수부인 20이고, 제3 서브 필드의 인가 유지 펄스 수는 제3 서브 필드의 조정 유지 펄스 수의 정수부인 40이다.Therefore, the number of applying sustain pulses of the first subfield in the current frame (N frame) is 19, which is an integer part of the number of adjustment sustaining pulses of the first subfield, and the number of applying sustain pulses of the second subfield is the second subfield. 20 is an integer part of the number of adjustment sustain pulses of the field, and 40 is an integer part of the number of adjustment sustain pulses of the third subfield.
이때, 현재 프레임((N)프레임)에서의 조정 유지 펄스 수에서 인가 유지 펄스 수로 반영되지 못한 소수부분은 각각 다음 프레임((N+1)프레임)의 동일한 서브 필 드의 연산 유지 펄스 수와 합쳐져서 다음 프레임((N+1)프레임)의 각각의 서브 필드의 조정 유지 펄스 수가 된다.At this time, the fractional part which is not reflected as the number of applied sustain pulses from the number of adjustment sustain pulses in the current frame ((N) frame) is combined with the number of operation sustain pulses of the same subfield of the next frame ((N + 1) frame). The number of adjustment sustain pulses in each subfield of the next frame ((N + 1) frame) is obtained.
이처럼, 연산 유지 펄스 수 중에서 인가 유지 펄스 수로 반영되지 못한 소수부분은 다음 프레임의 동일한 서브 필드에 조정 유지 펄스 수로 반영되어 시간적으로 연속되는 프레임의 동일한 서브 필드에서 시간적으로 평균값을 형성하여 시감적으로 느끼는 계조가 표현하고자 하는 계조와 더욱 가깝게 된다.As described above, the fractional part of the operation sustain pulse number which is not reflected by the applied sustain pulse number is reflected as the number of adjustment sustain pulses in the same subfield of the next frame, and thus it is timely felt by forming an average value in the same subfield of a temporally continuous frame. The gradation is closer to the gradation you want to express.
이러한 본 발명의 제1 실시예에 있어서, 가중치가 높은 서브 필드에서는 유지 펄스 수가 많기 때문에 소수부 오차 부분을 더하여 유지 방전 펄스 수가 더 늘어난다고 해도 계조를 표현할 때에 크게 문제가 없다. 그러나, 가중치가 낮은 서브 필드에서는 유지 방전 펄스 수가 적기 때문에 소수부 오차 부분을 더하여 유지 방전 펄스 수가 더 늘어나게 되면, 저계조에 왜곡이 생겨서 표시하고자 하는 계조가 표현되지 않을 수 있고, 또한, 상대적으로 가중치가 낮은 서브 필드가 주로 켜지는 화면에서는 소수부 오차의 다음 프레임의 전달로 인해 유지 펄스 수의 변화량이 상대적으로 커지며 이는 플리커로 나타날 수 있다. 이하에서는 이러한 문제를 해결하는 방법에 대해서 알아본다.In the first embodiment of the present invention, since the number of sustain pulses is large in the sub-field having a high weight, even if the number of sustain discharge pulses is further increased, there is no problem in expressing gray scales. However, since the number of sustain discharge pulses is increased in the subfield having a low weight, when the number of sustain discharge pulses is further increased by adding the fractional part error portion, distortion may occur in the low gradation, and thus the gray scale to be displayed may not be represented. In a screen where the low subfield is mainly turned on, the change in the number of sustain pulses is relatively large due to the transmission of the next frame of the fractional part error, which may appear as flicker. The following describes how to solve this problem.
다음에 도 7을 참조하여, 본 발명의 제2 실시예에 따른 프레임 내의 각각의 서브 필드에서의 유지 펄스의 수 생성 방법을 예를 들어 설명한다.Next, referring to FIG. 7, a method of generating the number of sustain pulses in each subfield in a frame according to the second embodiment of the present invention will be described as an example.
본 발명의 제2 실시예는 제1 실시예와 유사하지만 가중치가 낮은 서브 필드(SF1, SF2)의 유지 펄스 수는 이전 프레임의 동일한 가중치를 가지는 서브 필드의 유지 펄스 수의 소수부 오차와 합산하지 않는다는 점에서 상이하다.The second embodiment of the present invention is similar to the first embodiment, but the number of sustain pulses of the low weight subfields SF1 and SF2 does not add up to the fractional error of the number of sustain pulses of the subfield having the same weight of the previous frame. It differs in that point.
도면을 참조하여 설명하면, 제1 실시예와 동일하게 현재 프레임((N)프레임)의 제1 내지 제3 서브 필드(SF1)의 연산 유지 펄스 수는 각각 18.8, 20.2, 40.1이다.Referring to the drawings, as in the first embodiment, the number of operation sustain pulses in the first to third subfields SF1 of the current frame (N frame) is 18.8, 20.2, and 40.1, respectively.
또한, 이전 프레임((N-1)프레임)의 제1 내지 제3 서브 필드의 조정 유지 펄스 수는 각각 10.6, 22.4, 38.6이다. 따라서, 이전 프레임((N-1)프레임)에서의 제1 내지 제3 서브 필드의 조정 유지 펄스 수의 소수부는 각각 0.6, 0.4, 0.6이다.In addition, the number of adjustment sustain pulses of the first to third subfields of the previous frame ((N-1) frame) is 10.6, 22.4, and 38.6, respectively. Therefore, the fractional part of the number of adjustment sustain pulses of the first to third subfields in the previous frame ((N-1) frame) is 0.6, 0.4, and 0.6, respectively.
여기서, 본 발명의 제2 실시예에서는, 이전 프레임((N-1)프레임)에서 가중치가 낮은 제1 및 제2 서브 필드(SF1, SF2)의 조정 유지 펄스 수의 소수부는 현재 프레임((N)프레임)의 제1 및 제2 서브 필드(SF1, SF2)의 조정 유지 펄스 수와 합산하지 않고, 그 외의 서브 필드의 조정 유지 펄스 수의 소수부를 현재 프레임((N)프레임)의 동일한 가중치를 가지는 서브 필드의 조정 유지 펄스 수와 합한다. 따라서, 현재 프레임((N)프레임)에서의 제3 서브 필드의 조정 유지 펄스 수는 40.1+0.6 = 40.7이다.Here, in the second embodiment of the present invention, the fractional part of the number of adjustment sustain pulses of the first and second subfields SF1 and SF2 having a low weight in the previous frame ((N-1) frame) is the current frame ((N The fractional part of the number of adjustment sustain pulses of the other subfields is not equal to the number of adjustment sustain pulses of the first and second subfields SF1 and SF2. Branches are added to the number of adjustment sustain pulses in the subfield. Therefore, the number of adjustment sustain pulses of the third subfield in the current frame ((N) frame) is 40.1 + 0.6 = 40.7.
따라서, 현재 프레임((N)프레임)에서의 제1 서브 필드의 인가 유지 펄스 수는 제1 서브 필드의 조정 유지 펄스 수의 정수부인 18이고, 제2 서브 필드의 인가 유지 펄스 수는 제2 서브 필드의 조정 유지 펄스 수의 정수부인 20이고, 제3 서브 필드의 인가 유지 펄스 수는 제3 서브 필드의 조정 유지 펄스 수의 정수부인 40이다.Therefore, the number of applying sustain pulses of the first subfield in the current frame (N frame) is 18, which is an integer part of the number of adjustment sustaining pulses of the first subfield, and the number of applying sustain pulses of the second subfield is the second subfield. 20 is an integer part of the number of adjustment sustain pulses of the field, and 40 is an integer part of the number of adjustment sustain pulses of the third subfield.
즉, 본 발명의 제2 실시예에 따른 플라즈마 표시 장치의 화상 처리 방법은 제1 실시예와 비교하여, 도 5의 단계 S130에서 가중치가 낮은 제1 서브 필드와 제2 서브 필드에서는 유지 펄스 수의 소수부 오차를 다음 프레임의 동일 서브 필드의 유지 펄스 수에 합산하지 않게 하는 점이 다르다.That is, in the image processing method of the plasma display device according to the second embodiment of the present invention, the number of sustain pulses is reduced in the first subfield and the second subfield having a lower weight in step S130 of FIG. The difference is that the fractional part error is not added to the number of sustain pulses in the same subfield of the next frame.
또한, 본 발명의 제2 실시예에 따른 플라즈마 표시 장치는 제1 실시예와 비교하여, 도 4의 유지 펄스 수 생성부(460)의 유지 펄스 수 조절부(464)에서 가중치가 낮은 제1 서브 필드와 제2 서브 필드의 유지 펄스 수를 이전 프레임의 동일한 가중치를 가지는 서브 필드의 유지 펄스 수의 소수부와 합산하지 않게 하는 점이 다르다.In addition, in the plasma display device according to the second embodiment of the present invention, the first sub-weight of the sustain
이러한 본 발명의 제2 실시예는, 가중치가 낮은 서브 필드의 유지 펄스 수에는 이전 프레임의 동일한 가중치를 가지는 서브 필드의 유지 펄스 수의 소수부 오차 부분을 합산하지 않으므로, 저계조의 화면에서도 계조 표시에 왜곡이 생기기 어렵다. 또한, 가중치가 낮은 서브 필드가 주로 켜지는 화면에서는 소수부 오차를 다음 프레임으로 전달하지 않기 때문에 저계조의 화면에서도 플리커 현상이 나타나지 않는다.The second embodiment of the present invention does not add the fractional error portion of the number of sustain pulses of the subfield having the same weight of the previous frame to the number of sustain pulses of the low-weight subfield. Distortion is hard to occur. In addition, the flicker phenomenon does not appear in the low gray level screen because the low-weight subfield does not transmit the fractional part error to the next frame.
본 실시예에서는 가중치가 낮은 서브 필드를 제1 및 제2 서브 필드로 표시했지만, 본 발명은 가중치가 낮은 서브 필드를 상기 제1 및 제2 서브 필드로 한정하지 않는다.In the present embodiment, the low weight subfield is indicated as the first and second subfields, but the present invention does not limit the low weight subfield to the first and second subfields.
다음에 도 8을 참조하여, 본 발명의 제3 실시예에 따른 프레임 내의 각각의 서브 필드에서의 유지 펄스의 수 생성 방법을 예를 들어 설명한다.Next, referring to FIG. 8, a method of generating the number of sustain pulses in each subfield in a frame according to the third embodiment of the present invention will be described as an example.
본 발명의 제3 실시예는 제1 실시예와 유사하지만 화면의 밝기를 측정하여 상기 화면이 어둡다고 판단할 경우에만, 가중치가 낮은 서브 필드의 유지 펄스 수 를 이전 프레임의 동일한 가중치를 가지는 서브 필드의 유지 펄스 수의 소수부 오차와 합산하지 않는다는 점에서 상이하다.The third embodiment of the present invention is similar to the first embodiment, but only when the brightness of the screen is determined to determine that the screen is dark, the number of sustain pulses of the low-weight subfield is equal to that of the previous frame. It is different in that it does not sum with the fractional error of the number of sustain pulses.
예를 들어서 소정 개수 이상의 방전셀에서 계조값이 63 이하일 때 화면이 어둡다고 판단하는 경우를 가정하고, 본 발명의 제3 실시예에 따른 프레임 내의 각각의 서브 필드에서의 유지 펄스의 수 생성 방법을 설명한다.For example, assuming that the screen is dark when the gray level value is 63 or less in a predetermined number of discharge cells or more, a method of generating the number of sustain pulses in each subfield in a frame according to the third embodiment of the present invention is described. Explain.
먼저, 현재 화면의 밝기를 측정하기 위하여 도 8에 도시된 바와 같은 서브 필드 데이터를 체크한다. 여기서, 상기 서브 필드 데이터에서 0은 해당 서브 필드가 오프 임을 표시하고, 1은 해당 서브 필드가 온 임을 표시한다.First, the subfield data as shown in FIG. 8 is checked to measure the brightness of the current screen. Here, 0 in the subfield data indicates that the corresponding subfield is off, and 1 indicates that the corresponding subfield is on.
방전셀의 계조값이 63 이하인 경우는, 제7 및 제8 서브 필드(SF7, SF8)가 모두 오프인 경우에만 가능하다. 따라서, 제7 또는 제8 서브 필드가 모두 오프인 방전셀이 소정 개수 이상인지 체크하여 화면의 밝기를 판단한다.When the gradation value of the discharge cell is 63 or less, it is possible only when both the seventh and eighth subfields SF7 and SF8 are off. Therefore, the brightness of the screen is determined by checking whether the discharge cells in which the seventh or eighth subfields are all off are a predetermined number or more.
그리고, 화면이 어둡다고 판단되는 경우에만, 가중치가 낮은 서브 필드의 유지 펄스 수를 이전 프레임의 동일한 가중치를 가지는 서브 필드의 유지 펄스 수의 소수부 오차와 합산하지 않는다.Only when it is determined that the screen is dark, the number of sustain pulses of the low-weight subfield is not added to the fractional error of the number of sustain pulses of the subfield having the same weight of the previous frame.
즉, 본 발명의 제3 실시예에 따른 플라즈마 표시 장치의 화상 처리 방법은 제1 실시예와 비교하여, 도 5의 단계 S110에서 화면의 부하율을 추출할 때에 서브 필드 데이터로부터 소정 개수 이상의 방전셀의 계조값이 소정의 계조값 이하인지 체크하는 단계를 포함하는 점과, 단계 S130에서 상기 소정 개수 이상의 방전셀의 계조값이 소정의 계조값 이하인 경우에는 가중치가 낮은 서브 필드의 유지 펄스 수를 이전 프레임의 동일한 가중치를 가지는 서브 필드의 유지 펄스 수의 소수부 오 차와 합산하지 않게 하는 단계를 포함하는 점이 다르다.That is, in the image processing method of the plasma display device according to the third embodiment of the present invention, when the load factor of the screen is extracted in step S110 of FIG. Checking whether the gray value is equal to or smaller than the predetermined gray level value, and when the gray level value of the discharge cells of the predetermined number or more is equal to or smaller than the predetermined gray level value in step S130, the number of sustain pulses of the sub-field having the low weight is displayed in the previous frame. The difference is that it does not add up with the fractional error of the number of sustain pulses of the subfield having the same weight.
또한, 본 발명의 제3 실시예에 따른 플라즈마 표시 장치는 제1 실시예와 비교하여, 도 4의 유지 펄스 수 생성부(460)의 화면 부하율 추출부(461)가 화면의 부하율을 추출함과 동시에 서브 필드 데이터로부터 소정 개수 이상의 방전셀의 계조값이 소정의 계조값 이하인지 체크하는 기능을 포함하는 점과, 유지 펄스 수 조절부(464)가 상기 소정 개수 이상의 방전셀의 계조값이 소정의 계조값 이하인 경우에  가중치가 낮은 서브 필드의 유지 펄스 수를 이전 프레임의 동일한 가중치를 가지는 서브 필드의 유지 펄스 수의 소수부 오차와 합산하지 않게 하는 기능을 포함하는 점이 다르다.In addition, in the plasma display device according to the third embodiment of the present invention, the screen load
이러한 본 발명의 제3 실시예는, 현재 화면이 저계조 화면일 때, 가중치가 낮은 서브 필드(예를 들어 제1 및 제2 서브 필드)의 유지 펄스 수에는 이전 프레임의 동일한 가중치를 가지는 서브 필드의 유지 펄스 수의 소수부 오차 부분을 합산하지 않으므로, 저계조의 화면에서도 계조 표시에 왜곡이 생기기 어렵다. 또한, 가중치가 낮은 서브 필드가 주로 켜지는 화면에서는 소수부 오차를 다음 프레임으로 전달하지 않기 때문에 저계조의 화면에서도 플리커 현상이 나타나지 않는다.According to the third embodiment of the present invention, when the current screen is a low gradation screen, the subfield having the same weight of the previous frame in the number of sustain pulses of the low-weight subfields (for example, the first and second subfields). Since the error portion of the fractional part of the number of sustain pulses is not added up, distortion is less likely to appear in the gray scale display even in a low gray scale screen. In addition, the flicker phenomenon does not appear in the low gray level screen because the low-weight subfield does not transmit the fractional part error to the next frame.
이상에서 본 발명의 바람직한 실시예에 대하여 상세하게 설명하였지만 본 발명의 권리범위는 이에 한정되는 것은 아니고 다음의 청구범위에서 정의하고 있는 본 발명의 기본 개념을 이용한 당업자의 여러 변형 및 개량 형태 또한 본 발명의 권리범위에 속하는 것이다.Although the preferred embodiments of the present invention have been described in detail above, the scope of the present invention is not limited thereto, and various modifications and improvements of those skilled in the art using the basic concepts of the present invention defined in the following claims are also provided. It belongs to the scope of rights.
이상에서 살펴본 바와 같이, 본 발명에 따르면 각 서스테인 주기에 인가되는 유지 펄스 수를 이전 프레임의 동일한 가중치를 가지는 서브 필드의 유지 펄스 수의 소수부 오차와 합산하여, 각 서브 필드에서의 유지 펄스 수의 소수부 오차로 인하여 발생하는 계조의 왜곡을 보상하여 계조의 표현력을 향상시킬 수 있다. As described above, according to the present invention, the number of sustain pulses applied to each sustain period is summed with the fractional error of the number of sustain pulses of the subfield having the same weight of the previous frame, thereby reducing the number of sustain pulses in each subfield. The expressive power of the gray scale can be improved by compensating for the distortion of the gray scale caused by the error.
또한, 저계조의 화면에서는 소수부 오차를 다음 프레임으로 전달하지 않기 때문에 저계조의 화면의 왜곡 없이 화면을 표시할 수 있다.In addition, since the screen of the low gray scale does not transmit the fractional part error to the next frame, the screen may be displayed without distortion of the low gray screen.
| Application Number | Priority Date | Filing Date | Title | 
|---|---|---|---|
| KR1020040073718AKR100560486B1 (en) | 2004-09-15 | 2004-09-15 | Plasma Display and Image Processing Method | 
| Application Number | Priority Date | Filing Date | Title | 
|---|---|---|---|
| KR1020040073718AKR100560486B1 (en) | 2004-09-15 | 2004-09-15 | Plasma Display and Image Processing Method | 
| Publication Number | Publication Date | 
|---|---|
| KR100560486B1true KR100560486B1 (en) | 2006-03-13 | 
| Application Number | Title | Priority Date | Filing Date | 
|---|---|---|---|
| KR1020040073718AExpired - Fee RelatedKR100560486B1 (en) | 2004-09-15 | 2004-09-15 | Plasma Display and Image Processing Method | 
| Country | Link | 
|---|---|
| KR (1) | KR100560486B1 (en) | 
| Publication number | Priority date | Publication date | Assignee | Title | 
|---|---|---|---|---|
| CN117456903A (en)* | 2023-10-25 | 2024-01-26 | 北京集创北方科技股份有限公司 | Display panel driving method, driver chip and display device | 
| Publication number | Priority date | Publication date | Assignee | Title | 
|---|---|---|---|---|
| CN117456903A (en)* | 2023-10-25 | 2024-01-26 | 北京集创北方科技股份有限公司 | Display panel driving method, driver chip and display device | 
| Publication | Publication Date | Title | 
|---|---|---|
| KR100599747B1 (en) | Driving Device of Plasma Display Panel and Its Gradient Expression Method | |
| KR100589379B1 (en) | Plasma Display Panel Driving Device and Gradation Implementation Method | |
| JP4611880B2 (en) | Plasma display device and image processing method for plasma display device | |
| KR100560502B1 (en) | Plasma display device and driving method thereof | |
| KR100550984B1 (en) | Driving apparatus of plasma display panel, image processing method of plasma display panel and plasma display panel | |
| KR100477972B1 (en) | Plasma display panel and gray display method thereof | |
| KR100599746B1 (en) | Driving Device of Plasma Display Panel and Its Gradient Expression Method | |
| KR100739077B1 (en) | Plasma display device and driving method thereof | |
| JP2000347620A (en) | Display device | |
| KR100560486B1 (en) | Plasma Display and Image Processing Method | |
| KR100612391B1 (en) | Plasma Display and Image Processing Method | |
| KR100502894B1 (en) | Plasma display panel and gray display method thereof | |
| KR100570656B1 (en) | Plasma Display Panel And Its Automatic Power Control Method | |
| KR100551012B1 (en) | Driving apparatus for plasma display panel and driving method thereof | |
| KR100551047B1 (en) | Plasma Display Panel Driving Device and Gradation Implementation Method | |
| KR100739047B1 (en) | Driving apparatus of plasma display panel, gray scale display method of plasma display panel and plasma display panel | |
| KR100599659B1 (en) | Plasma Display and Image Processing Method | |
| KR100578917B1 (en) | Driving apparatus of plasma display panel, image processing method of plasma display panel and plasma display panel | |
| KR100570626B1 (en) | Driving apparatus for plasma display panel and driving method thereof | |
| KR100570624B1 (en) | Plasma display | |
| KR100805107B1 (en) | Driving Method of Plasma Display | |
| KR100551058B1 (en) | Driving apparatus for plasma display panel and driving method thereof | |
| KR100796684B1 (en) | Plasma display device and driving method thereof | |
| KR100578918B1 (en) | Driving apparatus for plasma display panel and image processing method for plasma display panel | |
| KR100551066B1 (en) | Gray scale display method of plasma display device and plasma display device | 
| Date | Code | Title | Description | 
|---|---|---|---|
| A201 | Request for examination | ||
| PA0109 | Patent application | St.27 status event code:A-0-1-A10-A12-nap-PA0109 | |
| PA0201 | Request for examination | St.27 status event code:A-1-2-D10-D11-exm-PA0201 | |
| E701 | Decision to grant or registration of patent right | ||
| PE0701 | Decision of registration | St.27 status event code:A-1-2-D10-D22-exm-PE0701 | |
| GRNT | Written decision to grant | ||
| PR0701 | Registration of establishment | St.27 status event code:A-2-4-F10-F11-exm-PR0701 | |
| PR1002 | Payment of registration fee | St.27 status event code:A-2-2-U10-U11-oth-PR1002 Fee payment year number:1 | |
| PG1601 | Publication of registration | St.27 status event code:A-4-4-Q10-Q13-nap-PG1601 | |
| R17-X000 | Change to representative recorded | St.27 status event code:A-5-5-R10-R17-oth-X000 | |
| FPAY | Annual fee payment | Payment date:20090226 Year of fee payment:4 | |
| PR1001 | Payment of annual fee | St.27 status event code:A-4-4-U10-U11-oth-PR1001 Fee payment year number:4 | |
| R18-X000 | Changes to party contact information recorded | St.27 status event code:A-5-5-R10-R18-oth-X000 | |
| LAPS | Lapse due to unpaid annual fee | ||
| PC1903 | Unpaid annual fee | St.27 status event code:A-4-4-U10-U13-oth-PC1903 Not in force date:20100308 Payment event data comment text:Termination Category : DEFAULT_OF_REGISTRATION_FEE | |
| R18-X000 | Changes to party contact information recorded | St.27 status event code:A-5-5-R10-R18-oth-X000 | |
| PC1903 | Unpaid annual fee | St.27 status event code:N-4-6-H10-H13-oth-PC1903 Ip right cessation event data comment text:Termination Category : DEFAULT_OF_REGISTRATION_FEE Not in force date:20100308 | |
| P22-X000 | Classification modified | St.27 status event code:A-4-4-P10-P22-nap-X000 | |
| R18-X000 | Changes to party contact information recorded | St.27 status event code:A-5-5-R10-R18-oth-X000 | |
| P22-X000 | Classification modified | St.27 status event code:A-4-4-P10-P22-nap-X000 | |
| R18-X000 | Changes to party contact information recorded | St.27 status event code:A-5-5-R10-R18-oth-X000 |