


도 1은 종래 방식에 따른 G.723.1 음성 코덱에서 적응 코드북 검색기를 나타내는 블록도이다.1 is a block diagram illustrating an adaptive codebook searcher in a conventional G.723.1 speech codec.
도 2는 G.723.1 음성 부호화기에서 본 발명에 따른 고속 적응 코드북 검색기의 일실시예를 나타내는 블록도이다.2 is a block diagram illustrating an embodiment of a fast adaptive codebook searcher according to the present invention in a G.723.1 speech coder.
도 3은 도 2의 장치에서 수행되는 G.723.1 부호화기의 적응 코드북 검색 방법을 나타낸 순서도이다.FIG. 3 is a flowchart illustrating an adaptive codebook search method of a G.723.1 encoder performed in the apparatus of FIG. 2.
본 발명은 음성 부호화기에 관한 것으로, 특히, 음성 부호화기에서 적응 코드북 검색 방법에 관한 것이다.The present invention relates to a speech coder, and more particularly, to a method for adaptive codebook retrieval in a speech coder.
ITU-T G.723.1 음성 부호화기는 낮은 전송률로 멀티미디어 통신을 위한 음성부호화 표준안이며, 최근 주목을 받고 있는 VoIP(Voice over Internet Protocol) 응용에서 많이 사용되고 있다. ITU-T G.723.1 음성 부호화기는 시스템 구현의 유연성을 위해 5.3 kbps와 6.3 kbps의 두 가지 전송률을 지원하며, 낮은 전송률 음성 부호화 알고리즘의 주된 방식인 CELP (Code-Excited Linear Prediction) 계열의 음성부호화기이다. 부호화 과정은 음성 스펙트럼의 포락선을 모델링하는 선형예측분석 과정과 피치 정보를 모델링하기 위한 적응 코드북 과정 및 그 잔여 신호를 위한 고정 코드북 검색 과정으로 이루어진다.The ITU-T G.723.1 speech coder is a voice coding standard for multimedia communication at low data rates, and is widely used in voice over internet protocol (VoIP) applications, which are recently attracting attention. The ITU-T G.723.1 speech coder supports two rates of 5.3 kbps and 6.3 kbps for flexibility in system implementation, and is a code-excited linear prediction (CELP) family of speech coders that is the main method of low rate speech coding algorithms. . The encoding process consists of a linear predictive analysis process for modeling the envelope of the speech spectrum, an adaptive codebook process for modeling pitch information, and a fixed codebook search process for the residual signal.
적응 코드북 검색 과정은 일반적인 CELP 알고리즘과 같이 합성에 의한 분석(analysis-by-synthesis)에 기반하며, 일반적으로 부호화기가 제공하는 음질에 가장 큰 영향을 미치는 것으로 알려져 있다. 상기 G.723.1 표준안에서 음질의 향상을 위해 5차 피치 예측기를 사용하며, 효율적인 적응 코드북 검색을 위해 개회로 검색과 폐회로 검색의 두 단계로 구성되며, 개회로 검색은 일반적으로 널리 이용되는 자기상관 함수를 이용한다.The adaptive codebook retrieval process is based on analysis-by-synthesis like the general CELP algorithm and is generally known to have the greatest influence on the sound quality provided by the encoder. In the G.723.1 standard, the fifth-order pitch predictor is used to improve the sound quality, and it consists of two stages of open loop search and closed loop search for efficient adaptive codebook search. Use
도 1은 종래 방식에 따른 G.723.1 음성 코덱에서 적응 코드북 검색기를 나타내는 블록도로서, 적응 코드북 검색기는 5차의 피치 예측기(101), LPC(Linear Predictive Coding) 음성 합성기(102), 지각가중필터(103) 및 오류 계산기(104)로 구성된다.FIG. 1 is a block diagram illustrating an adaptive codebook searcher in a conventional G.723.1 speech codec. The adaptive codebook searcher is a fifth
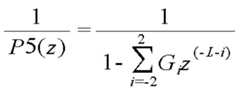
도 1의 적응 코드북 검색기는 추정된 개회로 피치에 의해서 결정된 검색 범위에 대해서, 5차의 피치 예측기(101)를 이용하여 폐회로 피치를 검색한다. 5차 피치 예측기(101)는 "0"으로 구성된 여기신호를 입력으로 해서 피치 정보를 포함하는 여기신호를 합성하는 기능을 수행하며, 5차 피치 예측기(101)은 다음 수학식 1의 형태를 갖는다.The adaptive codebook retrieval of Fig. 1 uses the fifth-
여기서, Gi는 이득이고,L은 피치 지연이다.Where Gi is the gain andL is the pitch delay.
LPC 음성 합성기(102)는 다음 수학식 2와 같은 형태를 가지며, 5차 피치 예측기(101)의 출력인 여기신호를 입력으로 해서 음성을 합성하는 기능을 수행한다.The
  지각가중필터(103)는 다음 수학식 3과 같은 형태를 가지며, LPC 음성 합성기(102)의 출력인 합성된 음성과 목표 신호를 비교할 때, 사람의 청각기관의 특징을 이용하도록 하는 기능을 수행한다.  The
여기서, aj는 LPC 계수이고, r1과 r2는 가중치 값들이다.Where aj is an LPC coefficient and r1 and r2 are weight values.
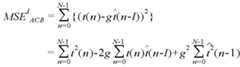
마지막으로, 오류 계산기(104)는 지각가중된 음성과 적응코드북 목표 신호간의 오류를 계산하여 최적의 적응 코드북 지연과 해당 이득을 검색하는 기능을 수행한다. G.723.1의 한 프레임은 4 개의 부-프레임으로 구성되며, 각 부-프레임에 대해서 적응 코드북 검색 과정을 수행한다. 표준안에 따라서, 첫 번째와 세 번째 부- 프레임은 개회로 피치의 -1, 0, 1 샘플 범위에서 폐회로 피치를 찾으며 두 번째와 네 번째 부-프레임에서 이전 부프레임의 양자화된 피치와 -1, 0, 1, 2 샘플 차이가 나는 값들 중에서 찾는다. 적응 코드북 검색은 5차 피치 예측기(101)의 각 지연과 해당 지연에 대한 이득 값을 구하는 과정으로, 다음 수학식 4와 같이 목적 신호 t(n)와 적응 코드북에 의해 합성된 신호의 차이가 최소가 되는 각 이득과 지연을 구하게 된다.Finally, the
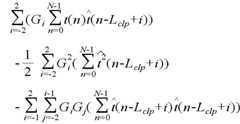
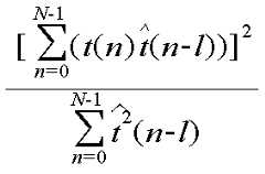
여기서, N은 부-프레임의 크기이고, l은 폐-루프 피치 검색을 위한 후보 값이며, 해당 범위는 상기에서 기술된 바와 같이 부-프레임에 따라 개회로 피치 주변 혹은 이전 부-프레임의 폐-루프 피치 주변에 해당한다.Gi는 5차 피치 예측기의 각 이득 값들이다. 수학식 4를 최소화시키는 과정은 다음 수학식 5를 최대화시키는 지연과 이득을 찾는 과정과 동일하다.Where N is the size of the sub-frame, l is the candidate value for the closed-loop pitch search, and the range is around the open circuit pitch or according to the sub-frame as described above. Corresponds to loop pitch.Gi are the respective gain values of the fifth-order pitch predictor. The process of minimizing Equation 4 is the same as finding a delay and gain that maximizes Equation 5 below.
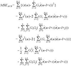
G.723.1의 종래기술에 의한 구현에서는, 피치 예측기의 이득Gi5개(수학식 5의 첫 번째 항에서 i=-2,-1,0,1,2 각각에 대한 이득)를 비롯하여Gi·Gi5개(수학식 5에서 두 번째 항에 대응) 및Gi·Gj10개(수학식 5의 마지막 항에 대응되며,  i=-1, 0, 1, 2와 j=-2, ..., i-1을 조합하면 모두 10가지 경우가 나옴) 등, 20개의 이득 값들을 이득 테이블에 미리 저장된 값 중에서 검색한다. 높은 전송률(6.3 kbps)인 경우에는 85 혹은 170 개의 항목을 갖는 이득 테이블을 검색하고, 낮은 전송률(5.3 kbps)에서는 170개의 항목을 갖는 이득 테이블만을 검색한다. 이러한 검색 과정은 모두 부-프레임 단위로 이루어지며 부-프레임의 위치에 따라 3 혹은 4 개의 피치 후보값에 대해서 이득 테이블 검색이 수행된다. 따라서, 30ms 크기의 G.723.1 프레임에 대해서 수학식 2를 구하기 위해 170 혹은 85개의 항목을 갖는 이득 테이블을 14회(= 3+4+3+4) 검색해야한다. 따라서, 종래 방식에 따라 상기 수학식 5와 같은 범주(criterion)를 이용하여 피치와 해당 이득을 계산하고자 할 때 과도한 이득 테이블 검색량으로 인해, 음성 부호화기 구현 시에서 단점이 된다.In the prior art implementation of G.723.1,Gi · Gi including the gainGi of the pitch predictor (gain for each of i = -2, -1,0,1,2 in the first term of Equation 5). 5 (corresponding to the second term in Equation 5) and 10Gi · Gj (corresponding to the last term in Equation 5, i = -1, 0, 1, 2 and j = -2, ..., 20 combinations of i-1 are retrieved from the values previously stored in the gain table. At high data rates (6.3 kbps) we search for a gain table with 85 or 170 entries, and at low data rates (5.3 kbps) we only search for gain tables with 170 entries. All of these search processes are performed in sub-frame units, and a gain table search is performed on three or four pitch candidate values according to the positions of the sub-frames. Therefore, in order to obtain
본 발명이 이루고자 하는 기술적 과제는 G.723.1 음성 부호화기에서 음질을 저하시키지 않으면서도 계산량을 감소하여 효과적으로 음성 부호화기를 구성할 수있도록 적응 코드북을 검색할 수 있는 적응 코드북 검색기 및 그 방법을 제공하는 데 있다.SUMMARY OF THE INVENTION The present invention provides an adaptive codebook finder and a method for searching for adaptive codebooks sothat the G.723.1 speech coder can effectively construct a speech coder by reducing the amount of computation without degrading sound quality. have.
본 발명이 이루고자 하는 다른 기술적 과제는 상기 적응 코드북 검색 방법을 컴퓨터에서 실행 가능한 프로그램 코드로 기록된 기록 매체를 제공하는 데 있다.Another object of the present invention is to provide a recording medium in which the adaptive codebook retrieval method is recorded as program code executable on a computer.
상기 과제를 이루기 위해, G.723.1 음성 부호화기에서 본 발명에 따른 적응 코드북 검색기는 1차 피치 예측을 통해 적응 코드북 목표신호와의 오차가 최소인 폐-루프 피치 지연과 이득을 검색하는 1단계 검색기 및 1단계 검색기에서 검색된 이득을 이용하여 이득 테이블을 선택하고, 5차 피치 예측을 통해 적응 코드북 목표신호와의 오차를 최소로 하는 이득을 선택된 이득 테이블에서 검색하는 2단계 검색기를 포함하며, 1단계 검색기에서 검색된 폐-루프 피치 지연과 2단계 검색기에서 검색된 피치 이득을 적응 코드북 검색 결과로 하는 것이 바람직하다.In order to achieve the above object, in the G.723.1 speech coder, the adaptive codebook searcher according to the present invention is a first-stage searcher for searching the closed-loop pitch delay and the gain having the minimum error with the adaptive codebook target signal through the first pitch prediction. A first stage searcher that selects a gain table using the gains retrieved from the first stage searcher, and searches the selected gain table for a gain that minimizes the error with the adaptive codebook target signal through the fifth-order pitch prediction; It is preferable to use the closed-loop pitch delay found in and the pitch gain searched in the two-stage searcher as adaptive codebook search results.
상기 과제를 이루기 위해, G.723.1 음성 부호화기에서 본 발명에 따른 적응 코드북 검색 방법은 개-루프 피치에 의해서 결정되는 폐-루프 피치 지연 검색 범위를 결정하는 (a)단계, 상기 (a)단계에서 결정된 폐-루프 피치 검색 범위에 해당하는 폐-루프 피치 지연 후보들 각각에 대해서, 다음 수학식을 계산하는 (b)단계, (b)단계의 수학식 계산값이 최대가 되는 폐-루프 지연을 선택하 고, 해당 이득을 계산하는 (c)단계, (c)단계에서 계산된 이득에 따라, 이득 테이블을 선택하는 (d)단계, (d)단계에서 선택된 항목들 각각에 대해서 다음 수학식In order to achieve the above object, in the G.723.1 speech coder, the adaptive codebook retrieval method according to the present invention comprises the steps of (a) and (a) determining a closed-loop pitch delay retrieval range determined by an open-loop pitch. For each of the closed-loop pitch delay candidates corresponding to the determined closed-loop pitch search range, the following equation In accordance with the gains calculated in steps (c) and (c), the method selects the closed-loop delay that maximizes the equation calculated in steps (b) and (b). For each of the items selected in (d) and (d) of selecting a gain table,
을 계산하는 (e)단계 및 상기 (e)단계에서 계산된 값을 최소로 하는 이득 테이블의 항목을 피치 이득으로서 선택하는 (f)단계를 포함하는 것이 바람직하다.It is preferable to include the step (e) of calculating a and a step (f) of selecting an item of a gain table that minimizes the value calculated in the step (e) as the pitch gain.
이하, 본 발명에 따른 음성 부호화기의 적응 코드북 검색기 및 그 방법을 첨부한 도면들을 참조하여 다음과 같이 설명한다.Hereinafter, an adaptive codebook searcher and a method thereof of a speech coder according to the present invention will be described with reference to the accompanying drawings.
도 2는 G.723.1 음성 부호화기에서 본 발명에 따른 적응 코드북 검색기의 일실시예를 나타내는 블록도이다. 본 발명에 따른 적응 코드북 검색기는 1차 피치 예측기(201), LPC 음성 합성기(202), 지각가중필터(203) 및 오류 계산기(204)를 포함하는 1단계 검색기(210)와, 5차 피치 예측기(205), LPC 음성 합성기(206), 지각가중필터(207) 및 오류 계산기(208)를 포함하는 2단계 검색기(220)를 포함하여 구성된다.2 is a block diagram illustrating an embodiment of an adaptive codebook searcher according to the present invention in a G.723.1 speech coder. The adaptive codebook searcher according to the present invention comprises a first-
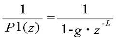
도 2를 참조하여, 1단계 검색기(210)는 1차 피치 예측을 통해 적응 코드북 목표신호(t)와의 오차가 최소인 폐-루프 피치 지연과 이득을 선택한다. 구체적으로, 1차 피치 예측기(201)는 다음 수학식 6과 같은 형태를 가진다.Referring to FIG. 2, the
여기서, g는 이득이고, L은 피치 지연을 의미한다. 1차 피치 예측기(201)는 "0"으로 구성된 신호를 입력으로 하고(zero-input), 검색 범위내의 피치 후보에 의해서 과거 프레임의 여기신호로부터 현재 부-프레임에 해당하는 여기신호를 생성한다. LPC 음성 합성기(202)는 1차 피치 예측기(201)에서 생성된 여기신호를 입력으로 해서 음성을 합성한다. 지각가중필터는(203)은 LPC 음성 합성기(202)의 출력인 합성된 음성과 목표 신호를 비교할 때, 사람의 청각기관의 특징을 이용하도록 하는 기능을 수행한다. 마지막으로, 오류 계산기(204)는 지각가중된 음성과 적응 코드북 목표 신호간의 오류를 계산하여 최적의 적응 코드북 지연과 해당 이득을 검색하는 기능을 수행한다.Where g is gain and L means pitch delay. The
2단계 검색기(220)는 1단계 검색기(210)에서 계산된 폐-루프 피치와 1차 피치 예측기(201)의 이득을 이용해서 5차 피치 예측기(205)의 이득을 검색한다. 구체적으로, 5차 피치 예측기(205)는 최초에는 1단계 검색기(210)에서 계산된 폐-루프 피치를 이용하여 과거 프레임의 여기 신호로부터 현재 부-프레임에 해당하는 여기신호를 생성한다. LPC 음성 합성기(206)는 5차 피치 예측기(205)에서 생성된 여기신호를 입력으로 해서 음성을 합성한다. 지각가중필터는(207)은 LPC 음성 합성기(206)의 출력인 합성된 음성과 목표 신호를 비교할 때, 사람의 청각기관의 특징을 이용하도록 하는 기능을 수행한다. 마지막으로, 오류 계산기(208)는 지각가중된 음성과 적응 코드북 목표 신호간의 오류를 계산하여 오류를 최소화하는 5차  피치 예측기(205)의 이득을 검색한다.The
다시 설명하면, 본 발명에서는 효율적인 피치 지연 검색을 위해 1차 피치 예측기(201)를 적용하여 검색한다. 이러한 1차 피치 예측기(201)를 이용한 지연 검색은 다음 수학식 7를 최소화하는 지연과 이득을 찾는 것이다.In other words, in the present invention, the first-
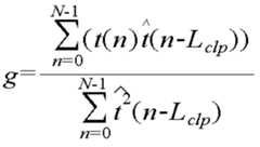
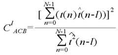
여기서,l은 폐-루프 피치 지연 후보이며, g는 1차 피치 예측기의 이득이다. 수학식 7을 최소화시키는 폐-루프 피치는 다음 수학식 8을 최대화시키는 지연이다. 지연 검색 범위는 기존의 방법과 동일하다. 즉, 첫 번째와 세 번째 부-프레임에서는 개회로 피치 주변의 3개의 후보에 대해서 검색이 이루어지며 두 번째와 네 번째 부-프레임에 대해서는 이전 부-프레임의 폐회로 피치 주변의 4개의 후보에 대해 검색이 이루어진다. 그리고 1차 피치 예측기의 이득 g는 다음 수학식 9과 같이 구해진다.Wherel is a closed-loop pitch delay candidate and g is the gain of the first order predictor. The closed-loop pitch that minimizes equation (7) is the delay that maximizes the following equation (8). The delay search range is the same as the conventional method. That is, the first and third sub-frames are searched for three candidates around the open loop pitch, and the second and fourth sub-frames are searched for four candidates around the closed loop pitch of the previous sub-frame. This is done. The gain g of the first-order pitch predictor is obtained as in Equation 9 below.
여기서,Lclp는 수학식 8을 최대화시키는 폐-루프 피치이다.WhereLclp is the closed-loop pitch that maximizes equation (8).
이상에서와 같은 검색 과정을 통해, 1차 피치 예측기에 대한 폐-루프 예측기의 폐-루프 피치 지연이 결정되면, 이득 검색을 한다. 이득 검색은 기존의 5차 피치 예측기와 동일한 방법으로 검색한다. 보다 효율적인 검색을 위해 수학식 9의 1차 피치 예측 이득인 g에 따라 종래의 170개의 항목을 갖는 이득 테이블 중에서 미리 선택된 85개의 항목을 갖는 이득 테이블을 사용한다. 즉, 수학식 9에서 구해진 이득 값에 따라 이득 테이블 검색 범위를 종래 방법의 1/2로 제한한다. 그리고, 다음 수학식 10을 최소화시키는 이득 테이블 인덱스를 검색한다.When the closed-loop pitch delay of the closed-loop predictor with respect to the first-order pitch predictor is determined through the search process as described above, a gain search is performed. Gain search is performed in the same manner as the conventional fifth-order pitch predictor. For a more efficient search, a gain table having 85 items selected in advance from the conventional 170 gain table having a primary pitch prediction gain of equation 9 is used. That is, the gain table search range is limited to 1/2 of the conventional method according to the gain value obtained in Equation (9). Then, the gain table index for minimizing the following expression (10) is searched.
적응 코드북의 연산량은 수학식 5 혹은 수학식 10의 계산과정과 비례하게 된다. 즉, 종래에는 NACB(=170)개의 항목을 갖는 이득 코드북 검색이 부-프레임마다 3회 혹은 4회 이루어지므로 프레임마다 총 14회 검색을 수행해야 한다. 반면, 본 발 명에 따르면 미리 선택된(=85)개의 항목을 갖는 이득 테이블을 부-프레임마다 1단계 검색기에서(210) 구해진 폐-루프 피치 지연에 대해서 1회만 검색하므로 G.723.1 프레임마다 총 4회의 검색 과정만을 요구한다. 결과적으로, 본 발명에서는 종래 기술과 대비하여, 이득 코드북 검색 회수를 1/7로(= (4 / 14) * (1 / 2)) 감소시킬 수 있다.The computation amount of the adaptive codebook is proportional to the calculation process of Equation 5 or Equation 10. That is, since a gain codebook search having NACB (= 170) items is conventionally performed three or four times for each sub-frame, a total of 14 searches must be performed for each frame. On the other hand, according to the present invention, the preselected Since the gain table with (= 85) items is searched only once for the closed-loop pitch delay obtained by the one-
도 3은 도 2의 장치에서 수행되는 G.723.1 부호화기의 적응 코드북 검색 방법을 나타낸 순서도이다.FIG. 3 is a flowchart illustrating an adaptive codebook search method of a G.723.1 encoder performed in the apparatus of FIG. 2.
도 2 및 도 3을 참조하여, 먼저 개-루프 피치(Lolp) 혹은 이전 부-프레임의 폐-루프 피치(Lclp)에 의해서 결정되는 폐-루프 피치 검색 범위를 [Lolp-1,Lolp+1](첫 번째 혹은 세 번째 부-프레임의 경우) 또는 [Lclp-1,Lclp+2]로(두 번째 혹은 네 번째 부-프레임의 경우) 결정한다(제301단계).Referring to FIGS. 2 and 3, first, the closed-loop pitch search range determined by the open-loop pitch Lolp or the closed-loop pitch Lclp of the previous sub-frame is determined by [Lolp -1, L].olp +1] (for the first or third sub-frame) or [Lclp -1, Lclp +2] (for the second or fourth sub-frame) (step 301).
제301단계에서 결정된 폐-루프 피치 검색 범위에 해당하는 폐-루프 피치 후보들 각각에 대해서 오류 계산기(204)에서 수학식 8을 반복 계산한다(제302 내지 305단계).Equation 8 is repeatedly calculated by the
폐-루프 피치 후보들 각각에 대해 제302 내지 305단계를 반복 수행한 결과, 수학식 8의 값이 최대가 되는 폐-루프 지연을 검색한다(제306단계).As a result of repeating
제306단계에서 검색된 폐-루프 지연에 대해서 1차 피치 예측기(201)의 이득을 계산한다(제307단계).The gain of the first-
제307단계에서 계산된 이득에 따라, 5차 피치 예측기(205)의 85항목들(entries)의 이득 테이블을 선택한다(제311단계). 전술된 바와 같이, 5차 피치 예측기(205)는 1차 피치 예측기(201)의 이득에 따라 종래의 170개의 항목을 갖는 이득 테이블 중 85개의 항목을 갖는 이득 테이블을 선택한다.In accordance with the gain calculated in
오류 계산기(208)는 제311단계에서 선택된 85항목들 각각에 대해서 반복적으로 수학식 10을 계산한다(제312 내지 315단계).The
선택된 85항목들 각각에 대해 제312 내지 315단계를 반복 수행한 결과, 수학식 10을 최소로 하는 이득 테이블의 항목을 선택하며, 이를 5차 피치 예측기(205)의 이득으로 선택한다(제316단계).As a result of repeating
이상에서와 같이, 본 발명에서는 G.723.1 음성 부호화기의 적응 코드북 검색 시, 1차 피치 예측기를 이용하여 피치 지연을 먼저 계산하고, 5차 피치 예측기를 이용하여 이득을 순차적으로 검색함으로써, 종래와 유사한 음질을 제공하면서 계산량을 줄일 수 있다. 즉, 우선적으로 5차 피치 예측기 대신에 1차 피치 예측기를 사용하여 폐회로 지연을 검색하고, 구해진 지연에 대해 170개의 항목을 갖는 이득 테이블 중에서 1차 피치 예측 이득에 의해 미리 선택된 85개의 항목을 갖는 이득 테이블을 사용하여 이득을 순차적으로 검색함으로써 계산량을 효과적으로 줄일 수 있다.As described above, in the present invention, when searching for an adaptive codebook of a G.723.1 speech coder, a pitch delay is first calculated using a first-order pitch predictor, and a gain is sequentially searched using a fifth-order pitch predictor, thereby similar to the conventional method. You can reduce the amount of computation while providing sound quality. That is, a first-order pitch predictor is used instead of the fifth-order pitch predictor to retrieve the closed loop delay, and a gain having 85 items previously selected by the first-order pitch prediction gain from the gain table having 170 items for the obtained delay. By using tables to retrieve the gains sequentially, we can effectively reduce the amount of computation.
본 발명은 또한 컴퓨터로 읽을 수 있는 기록매체에 컴퓨터가 읽을 수 있는 코드로서 구현하는 것이 가능하다. 컴퓨터가 읽을 수 있는 기록매체는 컴퓨터 시스템에 의하여 읽혀질 수 있는 데이터가 저장되는 모든 종류의 기록장치를 포함한 다. 컴퓨터가 읽을 수 있는 기록매체의 예로는 ROM, RAM, CD-ROM, 자기 테이프, 플라피디스크, 광데이터 저장장치 등이 있으며, 또한 캐리어 웨이브(예를 들어 인터넷을 통한 전송)의 형태로 구현되는 것도 포함한다. 또한 컴퓨터가 읽을 수 있는 기록매체는 네트워크로 연결된 컴퓨터 시스템에 분산되어, 분산방식으로 컴퓨터가 읽을 수 있는 코드가 저장되고 실행될 수 있다.The invention can also be embodied as computer readable code on a computer readable recording medium. Computer-readable recording media include any type of recording device that stores data that can be read by a computer system. Examples of computer-readable recording media include ROM, RAM, CD-ROM, magnetic tape, floppy disk, optical data storage, and the like, which are also implemented in the form of a carrier wave (for example, transmission over the Internet). It also includes. The computer readable recording medium can also be distributed over network coupled computer systems so that the computer readable code is stored and executed in a distributed fashion.
이상 도면과 명세서에서 최적 실시예들이 개시되었다. 여기서 특정한 용어들이 사용되었으나, 이는 단지 본 발명을 설명하기 위한 목적에서 사용된 것이지 의미 한정이나 특허청구범위에 기재된 본 발명의 범위를 제한하기 위하여 사용된 것은 아니다. 그러므로 본 기술 분야의 통상의 지식을 가진 자라면 이로부터 다양한 변형 및 균등한 타 실시예가 가능하다는 점을 이해할 것이다. 따라서, 본 발명의 진정한 기술적 보호 범위는 첨부된 특허청구범위의 기술적 사상에 의해 정해져야 할 것이다.The best embodiments have been disclosed in the drawings and specification above. Although specific terms have been used herein, they are used only for the purpose of describing the present invention and are not used to limit the scope of the present invention as defined in the meaning or claims. Therefore, those skilled in the art will understand that various modifications and equivalent other embodiments are possible from this. Therefore, the true technical protection scope of the present invention will be defined by the technical spirit of the appended claims.
상술한 바와 같이, 본 발명에 따른 적응 코드북 검색기 및 그 방법에 따르면 종래와 비슷한 성능을 가지면서 계산량을 줄임으로써, 효율적인 음성 부호화기를 구현 가능할 수 있다. 또한, 단일 채널 시스템뿐만 아니라 다채널 음성 저장 시스템이나 다채널 통화를 지원하는 게이트웨이와 같은 시스템을 보다 효과적으로 구현할 수 있다.As described above, according to the adaptive codebook searcher and the method according to the present invention, it is possible to implement an efficient speech coder by reducing the amount of computation while having a similar performance as in the related art. In addition, it is possible to implement not only a single channel system but also a system such as a multichannel voice storage system or a gateway supporting multichannel calls.
| Application Number | Priority Date | Filing Date | Title | 
|---|---|---|---|
| KR1020030047453AKR100550002B1 (en) | 2003-07-11 | 2003-07-11 | Adaptive Codebook Searcher and its Method in Speech Encoder | 
| Application Number | Priority Date | Filing Date | Title | 
|---|---|---|---|
| KR1020030047453AKR100550002B1 (en) | 2003-07-11 | 2003-07-11 | Adaptive Codebook Searcher and its Method in Speech Encoder | 
| Publication Number | Publication Date | 
|---|---|
| KR20050007852A KR20050007852A (en) | 2005-01-21 | 
| KR100550002B1true KR100550002B1 (en) | 2006-02-08 | 
| Application Number | Title | Priority Date | Filing Date | 
|---|---|---|---|
| KR1020030047453AExpired - Fee RelatedKR100550002B1 (en) | 2003-07-11 | 2003-07-11 | Adaptive Codebook Searcher and its Method in Speech Encoder | 
| Country | Link | 
|---|---|
| KR (1) | KR100550002B1 (en) | 
| Publication number | Priority date | Publication date | Assignee | Title | 
|---|---|---|---|---|
| CN113741593A (en)* | 2021-11-04 | 2021-12-03 | 滨州学院 | Gain pre-estimation control system, temperature control system, method and device | 
| Publication number | Publication date | 
|---|---|
| KR20050007852A (en) | 2005-01-21 | 
| Publication | Publication Date | Title | 
|---|---|---|
| US6014618A (en) | LPAS speech coder using vector quantized, multi-codebook, multi-tap pitch predictor and optimized ternary source excitation codebook derivation | |
| EP0443548B1 (en) | Speech coder | |
| JP3151874B2 (en) | Voice parameter coding method and apparatus | |
| JP4771674B2 (en) | Speech coding apparatus, speech decoding apparatus, and methods thereof | |
| JP3196595B2 (en) | Audio coding device | |
| JPH04270400A (en) | Voice encoding system | |
| WO2004038924A1 (en) | Method and apparatus for fast celp parameter mapping | |
| KR20020090882A (en) | Excitation codebook search method in a speech coding system | |
| JPH04270398A (en) | Voice encoding system | |
| KR100748381B1 (en) | Method and apparatus for speech coding | |
| JPH056199A (en) | Voice parameter coding system | |
| JP3180786B2 (en) | Audio encoding method and audio encoding device | |
| JPH05216500A (en) | Speech encoding device | |
| KR100465316B1 (en) | Speech encoder and speech encoding method thereof | |
| JP3095133B2 (en) | Acoustic signal coding method | |
| KR100550002B1 (en) | Adaptive Codebook Searcher and its Method in Speech Encoder | |
| JPH1063300A (en) | Audio decoding device and audio encoding device | |
| JP3490325B2 (en) | Audio signal encoding method and decoding method, and encoder and decoder thereof | |
| JP3194930B2 (en) | Audio coding device | |
| JP3252285B2 (en) | Audio band signal encoding method | |
| JPH06282298A (en) | Voice coding method | |
| JP3192051B2 (en) | Audio coding device | |
| JP3144194B2 (en) | Audio coding device | |
| JP3102017B2 (en) | Audio coding method | |
| JP3024467B2 (en) | Audio coding device | 
| Date | Code | Title | Description | 
|---|---|---|---|
| A201 | Request for examination | ||
| PA0109 | Patent application | St.27 status event code:A-0-1-A10-A12-nap-PA0109 | |
| PA0201 | Request for examination | St.27 status event code:A-1-2-D10-D11-exm-PA0201 | |
| N231 | Notification of change of applicant | ||
| PN2301 | Change of applicant | St.27 status event code:A-3-3-R10-R13-asn-PN2301 St.27 status event code:A-3-3-R10-R11-asn-PN2301 | |
| R17-X000 | Change to representative recorded | St.27 status event code:A-3-3-R10-R17-oth-X000 | |
| PG1501 | Laying open of application | St.27 status event code:A-1-1-Q10-Q12-nap-PG1501 | |
| D13-X000 | Search requested | St.27 status event code:A-1-2-D10-D13-srh-X000 | |
| D14-X000 | Search report completed | St.27 status event code:A-1-2-D10-D14-srh-X000 | |
| R17-X000 | Change to representative recorded | St.27 status event code:A-3-3-R10-R17-oth-X000 | |
| E902 | Notification of reason for refusal | ||
| PE0902 | Notice of grounds for rejection | St.27 status event code:A-1-2-D10-D21-exm-PE0902 | |
| P11-X000 | Amendment of application requested | St.27 status event code:A-2-2-P10-P11-nap-X000 | |
| P13-X000 | Application amended | St.27 status event code:A-2-2-P10-P13-nap-X000 | |
| E701 | Decision to grant or registration of patent right | ||
| PE0701 | Decision of registration | St.27 status event code:A-1-2-D10-D22-exm-PE0701 | |
| GRNT | Written decision to grant | ||
| PR0701 | Registration of establishment | St.27 status event code:A-2-4-F10-F11-exm-PR0701 | |
| PR1002 | Payment of registration fee | St.27 status event code:A-2-2-U10-U11-oth-PR1002 Fee payment year number:1 | |
| PG1601 | Publication of registration | St.27 status event code:A-4-4-Q10-Q13-nap-PG1601 | |
| PN2301 | Change of applicant | St.27 status event code:A-5-5-R10-R11-asn-PN2301 | |
| PN2301 | Change of applicant | St.27 status event code:A-5-5-R10-R14-asn-PN2301 | |
| PR1001 | Payment of annual fee | St.27 status event code:A-4-4-U10-U11-oth-PR1001 Fee payment year number:4 | |
| PN2301 | Change of applicant | St.27 status event code:A-5-5-R10-R13-asn-PN2301 St.27 status event code:A-5-5-R10-R11-asn-PN2301 | |
| FPAY | Annual fee payment | Payment date:20100201 Year of fee payment:5 | |
| PR1001 | Payment of annual fee | St.27 status event code:A-4-4-U10-U11-oth-PR1001 Fee payment year number:5 | |
| PN2301 | Change of applicant | St.27 status event code:A-5-5-R10-R13-asn-PN2301 St.27 status event code:A-5-5-R10-R11-asn-PN2301 | |
| PN2301 | Change of applicant | St.27 status event code:A-5-5-R10-R13-asn-PN2301 St.27 status event code:A-5-5-R10-R11-asn-PN2301 | |
| LAPS | Lapse due to unpaid annual fee | ||
| PC1903 | Unpaid annual fee | St.27 status event code:A-4-4-U10-U13-oth-PC1903 Not in force date:20110202 Payment event data comment text:Termination Category : DEFAULT_OF_REGISTRATION_FEE | |
| PC1903 | Unpaid annual fee | St.27 status event code:N-4-6-H10-H13-oth-PC1903 Ip right cessation event data comment text:Termination Category : DEFAULT_OF_REGISTRATION_FEE Not in force date:20110202 | |
| P22-X000 | Classification modified | St.27 status event code:A-4-4-P10-P22-nap-X000 | |
| PN2301 | Change of applicant | St.27 status event code:A-5-5-R10-R13-asn-PN2301 St.27 status event code:A-5-5-R10-R11-asn-PN2301 | |
| P22-X000 | Classification modified | St.27 status event code:A-4-4-P10-P22-nap-X000 | |
| R18-X000 | Changes to party contact information recorded | St.27 status event code:A-5-5-R10-R18-oth-X000 |