














本発明は、影響しあう複数の構成要素の関係の解析を行うこと、および特定の効果に影響の高いモジュールを特定し、候補の抽出を行う情報処理装置、情報処理方法、コンピュータプログラム、及びコンピュータ読み取り可能な記録媒体に関する。The present invention relates to an information processing device, an information processing method, a computer program, and a computer-readable recording medium that analyze the relationships between multiple influencing components, identify modules that have a high influence on a particular effect, and extract candidates.
  特許文献1には、オミックス解析で取得された網羅的分子情報である多変量データを相関ネットワーク解析するための技術が記載されている。非特許文献1には、ビッグデータ等の多変量データを相関ネットワーク解析するための技術が記載されている。
  しかし、特許文献1や非特許文献1に記載された技術では、解析精度が不十分であった。However, the techniques described in
本発明の目的は、多変量データに対する相関ネットワーク解析の精度向上を図ることにある。The object of the present invention is to improve the accuracy of correlation network analysis for multivariate data.
本発明の一態様は、相関ネットワーク解析を行う対象の多変量データが有する要素のうちシード要素との相関が上位の非シード要素から前記シード要素のモジュールを構成する際に、前記シード要素との相関が上位の非シード要素の中から偽陽性の非シード要素を取り除くFPO解析処理を、前記シード要素のモジュールに組み入れる前記シード要素以外の要素の数であるランクの下限値から上限値まで、ランク毎に実行するFPO解析部と、要素別に、ランク毎に最良のモジュールFスコアのモジュールの構成情報を格納するモジュール情報記憶部と、ランクの下限値から上限値までの各ランクにおける最良のモジュールFスコアに基づいてFPO解析結果の最適モジュールを選定するFPOモジュール選定部と、を備える情報処理装置である。One aspect of the present invention is an information processing device that includes an FPO analysis unit that performs an FPO analysis process for each rank from a lower limit to an upper limit of a rank, which is the number of elements other than the seed elements to be incorporated into the module of the seed element, to remove false positive non-seed elements from among the non-seed elements that have a high correlation with the seed element among elements contained in multivariate data that is the subject of a correlation network analysis, when constructing a module of the seed element from the non-seed elements that have a high correlation with the seed element; a module information storage unit that stores module configuration information of the best module F score for each rank by element; and an FPO module selection unit that selects an optimal module of the FPO analysis results based on the best module F score at each rank from the lower limit to the upper limit of the rank.
本発明の一態様は、情報処理装置が実行する情報処理方法であって、相関ネットワーク解析を行う対象の多変量データが有する要素のうちシード要素との相関が上位の非シード要素から前記シード要素のモジュールを構成する際に、前記シード要素との相関が上位の非シード要素の中から偽陽性の非シード要素を取り除くFPO解析処理を、前記シード要素のモジュールに組み入れる前記シード要素以外の要素の数であるランクの下限値から上限値まで、ランク毎に実行するFPO解析ステップと、要素別に、ランク毎に最良のモジュールFスコア値のモジュールの構成情報を格納するモジュール情報記憶ステップと、ランクの下限値から上限値までの各ランクにおける最良のモジュールFスコアに基づいてFPO解析結果の最適モジュールを選定するFPOモジュール選定ステップと、を含む情報処理方法である。One aspect of the present invention is an information processing method executed by an information processing device, which includes an FPO analysis step in which, when constructing a module of a seed element from non-seed elements having a high correlation with a seed element among elements contained in multivariate data that is the subject of correlation network analysis, an FPO analysis process is performed for each rank from a lower limit value to an upper limit value of a rank, which is the number of elements other than the seed element to be incorporated into the module of the seed element, to remove false positive non-seed elements from among the non-seed elements having a high correlation with the seed element; a module information storage step in which, for each element, module configuration information of the best module F-score value for each rank is stored; and an FPO module selection step in which an optimal module of the FPO analysis results is selected based on the best module F-score at each rank from the lower limit value to the upper limit value of the rank.
本発明の一態様は、コンピュータに、相関ネットワーク解析を行う対象の多変量データが有する要素のうちシード要素との相関が上位の非シード要素から前記シード要素のモジュールを構成する際に、前記シード要素との相関が上位の非シード要素の中から偽陽性の非シード要素を取り除くFPO解析処理を、前記シード要素のモジュールに組み入れる前記シード要素以外の要素の数であるランクの下限値から上限値まで、ランク毎に実行するFPO解析ステップと、要素別に、ランク毎に最良のモジュールFスコアのモジュールの構成情報を格納するモジュール情報記憶ステップと、ランクの下限値から上限値までの各ランクにおける最良のモジュールFスコアに基づいてFPO解析結果の最適モジュールを選定するFPOモジュール選定ステップと、を実行させるためのコンピュータプログラムである。One aspect of the present invention is a computer program for causing a computer to execute an FPO analysis step in which, when constructing a module of a seed element from non-seed elements having a high correlation with a seed element among elements contained in multivariate data that is the subject of a correlation network analysis, an FPO analysis process is executed for each rank from a lower limit value to an upper limit value of a rank, which is the number of elements other than the seed element to be incorporated into the module of the seed element, to remove false positive non-seed elements from among the non-seed elements having a high correlation with the seed element; a module information storage step for storing module configuration information of the best module F score for each rank by element; and an FPO module selection step for selecting an optimal module of the FPO analysis results based on the best module F score at each rank from the lower limit value to the upper limit value of the rank.
本発明の一態様は、コンピュータに、相関ネットワーク解析を行う対象の多変量データが有する要素のうちシード要素との相関が上位の非シード要素から前記シード要素のモジュールを構成する際に、前記シード要素との相関が上位の非シード要素の中から偽陽性の非シード要素を取り除くFPO解析処理を、前記シード要素のモジュールに組み入れる前記シード要素以外の要素の数であるランクの下限値から上限値まで、ランク毎に実行するFPO解析ステップと、要素別に、ランク毎に最良のモジュールFスコアのモジュールの構成情報を格納するモジュール情報記憶ステップと、ランクの下限値から上限値までの各ランクにおける最良のモジュールFスコアに基づいてFPO解析結果の最適モジュールを選定するFPOモジュール選定ステップと、を実行させるためのコンピュータプログラムを記録したコンピュータ読み取り可能な記録媒体である。One aspect of the present invention is a computer-readable recording medium having recorded thereon a computer program for causing a computer to execute an FPO analysis step in which, when constructing a module of a seed element from non-seed elements having a high correlation with a seed element among elements contained in multivariate data that is the subject of a correlation network analysis, an FPO analysis process is performed for each rank from a lower limit value to an upper limit value of a rank, which is the number of elements other than the seed element to be incorporated into the module of the seed element, to remove false positive non-seed elements from among the non-seed elements having a high correlation with the seed element; a module information storage step for storing module configuration information of the best module F score for each rank by element; and an FPO module selection step for selecting an optimal module of the FPO analysis results based on the best module F score at each rank from the lower limit value to the upper limit value of the rank.
本発明によれば、多変量データに対する相関ネットワーク解析の精度向上を図ることができるという効果が得られる。According to the present invention, it is possible to improve the accuracy of correlation network analysis for multivariate data.
  次に、本実施形態の情報処理装置、情報処理方法及びコンピュータプログラムを、図面を参照しつつ説明する。以下で説明する実施形態は一例に過ぎず、本発明が適用される実施形態は、以下の実施形態に限られない。なお、実施形態を説明するための全図において、同一の機能を有するものは同一符号を用い、繰り返しの説明は省略する。
  また、本願でいう「XXに基づいて」とは、「少なくともXXに基づく」ことを意味し、XXに加えて別の要素に基づく場合も含む。また、「XXに基づいて」とは、XXを直接に用いる場合に限定されず、XXに対して演算や加工が行われたものに基づく場合も含む。「XX」は、任意の要素(例えば、任意の情報)である。  Next, the information processing device, the information processing method, and the computer program of the present embodiment will be described with reference to the drawings. The embodiment described below is merely an example, and the embodiment to which the present invention is applied is not limited to the following embodiment. In all the drawings for explaining the embodiment, the same reference numerals are used for the parts having the same functions, and the repeated description will be omitted.
 In addition, "based on XX" in this application means "based on at least XX," and includes cases where it is based on other elements in addition to XX. Furthermore, "based on XX" is not limited to cases where XX is directly used, but also includes cases where it is based on XX that has been calculated or processed. "XX" is any element (for example, any information).
本実施形態に係る用語の説明を以下の表1、表2及び表3に示す。Explanations of the terms used in this embodiment are shown in Tables 1, 2 and 3 below.
  図1は、本実施形態に係る情報処理装置1の概略の構成例を示す図である。図1において、情報処理装置1は、入出力部11と、記憶部12と、制御部13とを備える。Figure 1 is a diagram showing an example of the general configuration of an
  入出力部11は、情報処理装置1の外部の装置との間で、データの入力の受付及びデータの出力を行う。データの入出力方法は限定されない。入出力部11は、例えば通信回線を介して通信によりデータを送受信してもよい。入出力部11は、例えば記録媒体を介してデータを入出力してもよい。The input/
  記憶部12は、制御部13が実行するプログラムや制御部13が使用するデータ等の各種のデータを記憶する。なお、記憶部12は、ハードディスク装置や光磁気ディスク装置、フラッシュメモリ等の不揮発性のメモリや、CD-ROM等の読み出しのみが可能な記録媒体、DRAM(Dynamic Random Access Memory)等の揮発性のメモリ、あるいはこれらの組み合わせにより構成されるものとする。The
  制御部13は、CPU(Central Processing Unit:中央演算処理装置)を備え、記憶部12に記憶されたプログラムを実行することによって各種の機能を実現する。本実施形態に係る制御部13が記憶部12に記憶された相関ネットワーク解析プログラム121を実行することによって、相関係数算出部131、FPO解析部132、FPOモジュール選定部133、FPOモジュール統合部134、FNI解析部135、FNIアサイン処理部136、P値算出部137、及び出力データ生成部138の機能が実現される。The
  なお、情報処理装置1として、汎用のコンピュータ装置を使用して構成してもよく、又は、専用のハードウェア装置として構成してもよい。例えば、情報処理装置1は、インターネット等の通信ネットワークに接続されるサーバコンピュータを使用して構成されてもよい。また、情報処理装置1の各機能はクラウドコンピューティングにより実現されてもよい。また、情報処理装置1は、単独のコンピュータにより実現するものであってもよく、又は情報処理装置1の機能を複数のコンピュータに分散させて実現するものであってもよい。また、情報処理装置1として、例えばWWWシステム等を利用してウェブサイトを開設するように構成してもよい。The
  記憶部12は、相関係数リスト122、要素別にランク毎のモジュール情報123、モジュールFスコア(MF)及び要素Fスコア(VF)閾値毎のモジュール統合情報124、最終モジュール統合情報125、対象ステップ毎の評価値情報126、最終モジュール情報127、及びFPO解析済モジュールリスト128をそれぞれ格納する記憶領域を有する。なお、それぞれの情報に対してハッシュ値を計算し付加することによって、記憶部12に格納された情報の検索を高速にできるようにしてもよい。The
次に図2を参照して本実施形態に係る情報処理方法を説明する。図2は、本実施形態に係る情報処理方法の手順の一例を示すフローチャートである。Next, the information processing method according to this embodiment will be described with reference to Figure 2. Figure 2 is a flowchart showing an example of the procedure of the information processing method according to this embodiment.
(ステップS1)  入出力部11は、入力データを受付ける。入力データは、相関ネットワーク解析を行う対象の多変量データである。入力データは、例えば、オミックス解析で取得された網羅的分子情報であってもよい。入力データは、例えば、不良品の原因分析を目的として製品の製造及び検査の工程で取得された製品に関する情報であってもよい。入力データは、例えば、ビッグデータであってもよい。入力データは、例えば、時系列データであってもよい。(Step S1) The input/
なお、本実施形態に係る相関ネットワーク解析の対象の多変量データは、その取得経路や取得方法や種類や属性等などに特に制限はない。例えば、オミックス解析で得られた多変量データを挙げることができる。「オミックス解析」とは、一般に、個々の網羅的分子情報を統合解析することを意味し、網羅的分子情報の代表的例として遺伝子の転写物に関する網羅的情報であるトランスクリトームデータ、代謝産物に関する網羅的情報であるメタボロームデータ等を挙げることができる。これらの網羅的データは、任意の方法や手段、例えば、各種遺伝子解析、遺伝子発現解析、並びに、液体クロマトグラフィー質量分析(LC-MS)、ガスクロマトグラフィー質量分析(GC-MS)およびキャピラリー電気泳動-質量分析(CE-MS)等の各種質量分析等によって取得することができる。更に、これら網羅的データの取得源に特に制限はなく、様々な種類の動植物・微生物・細菌由来の、部位、器官、組織および細胞等を挙げることができる。更に、多変量データは或る環境から取得した試料および人工製造物(例えば、加工食品等)等から任意の方法で取得された情報でもよい。The multivariate data to be subjected to the correlation network analysis according to this embodiment is not particularly limited in terms of its acquisition route, acquisition method, type, attributes, etc. For example, multivariate data obtained by omics analysis can be cited. "Omics analysis" generally means an integrated analysis of individual comprehensive molecular information, and representative examples of comprehensive molecular information include transcriptome data, which is comprehensive information on gene transcripts, and metabolome data, which is comprehensive information on metabolites. These comprehensive data can be obtained by any method or means, for example, various gene analyses, gene expression analyses, and various mass analyses such as liquid chromatography mass spectrometry (LC-MS), gas chromatography mass spectrometry (GC-MS), and capillary electrophoresis-mass spectrometry (CE-MS). Furthermore, there is no particular limit to the source of acquisition of these comprehensive data, and examples include parts, organs, tissues, and cells derived from various types of animals, plants, microorganisms, and bacteria. Furthermore, the multivariate data may be information obtained by any method from samples obtained from a certain environment and artificial products (e.g., processed foods, etc.).
  入力データの形式は、複数の要素それぞれに対応する定量値から成る複数のデータセットを有すればよい。図3は、本実施形態に係る多変量データ(入力データ)の構成例を示す図である。入力データは、図3に例示されるように、各要素に対応する行と、各データセットに対応する列とから構成される定量値テーブルであってもよい。図3に示される定量値テーブルおいて、第1列は要素名(例えば要素の識別子(図3中のID001、ID002等))であり、第1行はデータセット名(図3中のDATA_a、DATA_b等)であり、x行y列(x及びyは2以上の整数)には要素xのデータセットyの定量値が格納される。例えば、3行3列のデータ「data_b002」は、要素「ID002」のデータセット「DATA_b」の定量値である。The input data may be in the form of a plurality of data sets each consisting of a plurality of quantitative values corresponding to each of the elements. FIG. 3 is a diagram showing an example of the configuration of multivariate data (input data) according to this embodiment. The input data may be a quantitative value table consisting of rows corresponding to each element and columns corresponding to each data set, as exemplified in FIG. 3. In the quantitative value table shown in FIG. 3, the first column is the element name (e.g., element identifier (ID001, ID002, etc. in FIG. 3)), the first row is the data set name (DATA_a, DATA_b, etc. in FIG. 3), and the quantitative value of data set y of element x is stored in x row and y column (x and y are integers of 2 or more). For example, the data "data_b002" in
(ステップS2)  相関係数算出部131は、入力データが有する定量値に基づいて、要素間の相関係数を算出する。相関係数算出部131は、入力データが有する全要素に関して、要素毎に、相関係数の降順にソートした相関係数リスト122を生成する。これにより、入力データが有する全要素に関してそれぞれの相関係数リスト122が生成される。要素xの相関係数リスト122は、要素xとの相関係数が大きい方から順番に、要素名と相関係数の組がソートされたリストである。相関係数リスト122が生成した各要素の相関係数リスト122は記憶部12に格納される。(Step S2) The correlation
本実施形態に係る要素間の相関係数は、例えば、ピアソンの積率相関係数、スピアマンの順位相関係数およびコサイン類似度のいずれかの指標である。要素間の相関係数は、-1以上1以下の実数である。The correlation coefficient between elements in this embodiment is, for example, any one of the following indices: Pearson's product-moment correlation coefficient, Spearman's rank correlation coefficient, and cosine similarity. The correlation coefficient between elements is a real number between -1 and 1.
なお、本実施形態に係る要素間の相関係数としては、負の相関係数を「0」に置き換えてもよいし、負の相関係数を「0」に置き換えなくてもよい。負の相関係数を「0」に置き換えない場合は、「負の相関」および「無相関」を判別できる。このため、他の要素に対して強い正の相関があり、且つ同じモジュールに負の相関を有する2つの要素が所属する場合でも、それらを対応させることができる。このため、モジュールを解釈しやすくできる。In the correlation coefficient between elements according to this embodiment, negative correlation coefficients may or may not be replaced with "0". When negative correlation coefficients are not replaced with "0", "negative correlation" and "no correlation" can be distinguished. Therefore, even if two elements that have a strong positive correlation with another element and a negative correlation belong to the same module, they can be made to correspond to each other. This makes it easier to interpret the modules.
図4Aおよび図4Bは、本実施形態に係る要素間の相関係数の一例を説明するための仮想のイメージ図である。図4Aはモジュールの一例を示し、要素が丸で示される。特定の相関係数以上の値の要素間を線で繋いでいる。要素には、シード要素、モジュール内要素が含まれる。丸の中に示される記号は、要素の識別情報である。図4Aに示される例では、要素Xと要素Yとの相関係数ρXYは零より大きく、要素Xと要素Zとの相関係数ρXZは零より大きい場合を考える。この場合、要素Yと要素Zとの相関係数ρYZは零より大きいか否かは不明である。図4Bは、相関係数ρYZが取り得る値のイメージ図を示す。図4Bによれば、相関係数ρYZは、零よりも大きい値を取り得ることも、零未満の値を取り得ることも、零よりも大きいか零未満であるか予測不明であることもあることが分かる。なお、ρは相関係数を示す。図4Bはピアソン相関値の値の範囲(-1から1)をX軸、Y軸で示した。 4A and 4B are imaginary image diagrams for explaining an example of the correlation coefficient between elements according to this embodiment. FIG. 4A shows an example of a module, with elements shown as circles. Elements with values equal to or greater than a specific correlation coefficient are connected by lines. The elements include seed elements and elements within a module. Symbols shown in circles are identification information of the elements. In the example shown in FIG. 4A, consider a case in which the correlation coefficient ρXY between element X and element Y is greater than zero, and the correlation coefficient ρXZ between element X and element Z is greater than zero. In this case, it is unclear whether the correlation coefficient ρ YZ between element Y and elementZ is greater than zero. FIG. 4B shows an image diagram of values that the correlation coefficient ρYZ can take. According to FIG. 4B, it can be seen that the correlation coefficient ρYZ can take a value greater than zero, can take a value less than zero, or can be predicted as to whether it is greater than zero or less than zero. Note that ρ indicates the correlation coefficient. FIG. 4B shows the range of values of the Pearson correlation value (-1 to 1) on the X axis and the Y axis.
(ステップS3)  FPO解析部132は、入力データが有する全要素をそれぞれシード要素とし、シード要素の相関係数リスト122において上位(相関係数が大きい方)に位置する非シード要素の中から偽陽性(False-Positive)の非シード要素を除外する(Out)処理(FPO解析処理)を実行する。FPO解析処理について以下に説明する。(Step S3) The
  FPO解析部132は、シード要素の相関係数リスト122において所定の上位(M位まで)の非シード要素をシード要素とエッジで結んだ仮モジュールを構成する。Mは、モジュールサイズの所定範囲(モジュールサイズの下限値から上限値まで)のいずれかの値である。シード要素のモジュールを構成する要素(シード要素を除く)の数はランク(ランク=M)である。モジュールサイズの所定範囲は、例えば、予め情報処理装置1にMIN値とMAX値を設定しておくことで作業者が任意に設定可能とする。ここでは、MIN値及びMAX値はシード要素を除いたモジュールサイズであり、ランクがとり得る最小値と最大値である。従って、モジュールを構成する要素(シード要素と非シード要素)の総数(モジュールサイズ)の下限値は「MIN値+1」であり、上限値は「MAX値+1」である。The
  次いで、FPO解析部132は、仮モジュールに対して、シード要素及び各非シード要素の相関係数リスト122に含まれる全ての要素間の相関係数を降順でソートしたリストを生成する。FPO解析部132は、仮モジュールに対して、生成したリストにおいて所定の相関閾値よりも大きい相関係数の要素間をさらにエッジで結ぶ。ここで、相関閾値が複数設定されることにより、エッジパターンが異なる複数の仮モジュールが構成される。例えば、相関閾値として取り得る全ての値が相関閾値として設定されることにより、当該全ての相関閾値毎のエッジパターンの仮モジュールが構成される。相関閾値を低くすればするほど、エッジの数が増える。例えば、同時に複数の相関閾値を設定するのではなく、相関閾値を最大値「1」に初期化した後に、相関閾値を減らしながら、各相関閾値で仮モジュールを構成するようにしてもよい。
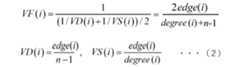
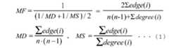
  次いで、FPO解析部132は、エッジパターンが異なる複数の仮モジュールそれぞれに対して、仮モジュールのFスコア、MFを次式により算出する。  Next, the
 Next, the
nはモジュール内の要素数である。edge(i)は要素iのエッジ数であり、現状の相関係数に該当するエッジパターンに対して、要素iが持つ同じモジュール内の繋がりの要素の数である。iは1からnの間の整数値であり、要素のindex(指標)である。degree(i)は要素iの次数(ディグリー)であり、現状の相関係数に該当するエッジパターンに対して、要素iが持つモジュール外とモジュール内の繋がりの要素の総数である。n is the number of elements in the module. edge(i) is the number of edges of element i, and is the number of elements connected to element i within the same module for the edge pattern corresponding to the current correlation coefficient. i is an integer value between 1 and n, and is the index of the element. degree(i) is the degree of element i, and is the total number of elements connected to element i both outside and within the module for the edge pattern corresponding to the current correlation coefficient.
MFは、モジュール密度(MD)とモジュール特異率(MS)の調和平均である。MDは、モジュール全体として、モジュールが内部で繋がり合っている程度を表す。MSは、モジュールが外部と分離している(排他的に繋がっている)程度を表す。したがって、MFが大きいモジュールは、モジュール外部と分離しておりモジュール全体として強い結びつきを有するモジュールと言える。MF is the harmonic mean of module density (MD) and module specificity (MS). MD represents the degree to which a module is internally connected as a whole. MS represents the degree to which a module is isolated from the outside (exclusively connected). Therefore, a module with a large MF can be said to be a module that is isolated from the outside and has strong connections as a whole.
  FPO解析部132は、エッジパターンが異なる複数の仮モジュールそれぞれに対して算出されたMFのうち最大値、及びMFの最大値に対応する相関閾値とエッジパターンを記憶部12に格納する。
  FPO解析部132は、MFの最大値に対応する相関閾値とエッジパターンに対する各非シード要素iのFスコア、VF(i)を次式により算出する。  The
 The
VF(i)は、要素密度(VD(i))と要素特異率(VS(i))の調和平均である。VD(i)は、要素iがモジュール内部の他の要素と繋がっている割合を表す。VS(i)は、要素iがネットワーク全体に対して持つディグリーのうち、モジュールの要素と繋がっている割合を表す。iは1からnの間の整数値であり、要素のindex(指標)である。したがって、VF(i)が大きい要素iは、モジュールと排他的に密に繋がっており、当該モジュールの構成要素として相応しい要素と言える。VF(i) is the harmonic mean of element density (VD(i)) and element singularity (VS(i)). VD(i) represents the proportion of element i that is connected to other elements within the module. VS(i) represents the proportion of the degree that element i has relative to the entire network that is connected to elements of the module. i is an integer value between 1 and n, and is the index of the element. Therefore, an element i with a large VF(i) is closely and exclusively connected to the module, and can be said to be an element suitable as a component of the module.
  FPO解析部132は、仮モジュールのVF(i)が最小となる非シード要素iを偽陽性と判定し、偽陽性と判定された非シード要素iを仮モジュールから取り除く。次いで、FPO解析部132は、偽陽性と判定された非シード要素iを取り除いた仮モジュールに対して、再度、MFの最大値、および各非シード要素iのVF(i)を算出する。この偽陽性の非シード要素iを取り除くFPO解析処理は、仮モジュールの要素数が「モジュールサイズ下限値」、つまり「MIN値+1」になるまで繰り返される。FPO解析部132は、MFが最大であった時点を過不足なく偽陽性が除かれた状態であると判定し、MFが最大であった時点の仮組みモジュールの構成情報を、シード要素の「ランク」における最大MFモジュールとしてモジュール情報123に格納する。The
  FPO解析部132は、ランクの所定範囲(仮モジュールを構成した時点のモジュールサイズの下限値(MIN値+1)から上限値(MAX値+1)まで)において、各ランクに対して、FPO解析処理を実行する。これにより、一のシード要素に関して、ランクの所定範囲の全てのランク毎に、MFが最大であった時点の仮組みモジュールの構成情報が最大MFモジュールとしてモジュール情報123に格納される。The
  なお、FPO解析部132は、ランクの下限値(MIN値)から上限値(MAX値)までランクを増やしながらステップS3のFPO解析を行い、ステップS3のFPO解析が済んだモジュール(FPO解析済モジュール)の構成情報をFPO解析済モジュールリスト128に格納し、既にFPO解析済モジュールリスト128に存在するFPO解析済モジュールと同じモジュールが構築された場合には、偽陽性の非シード要素を取り除くFPO解析処理を止めて当該ランクの最大MFモジュールの検索を早期終了してもよい。In addition, the
  FPO解析部132は、相関閾値とエッジパターンを用いてMFの最大値が更新されないか否かを判定し、エッジパターンが異なる複数の仮モジュールの中でMFが未計算の仮モジュールでMFの最大値が更新されないと判定した場合に、MFの計算を終了し、当該ランクの最大MFモジュールの検索を早期終了してもよい。
  このように構成することによって、FPO解析部132は、エッジパターンが異なる複数の仮モジュールの中でMFが未計算の仮モジュールでMFの最大値が更新されないと判定した場合に、MFの計算を終了し、当該ランクの最大MFモジュールの検索を早期終了できるため、MFの最大値が更新されない場合でも、MFの計算が継続され、モジュールの最適化処理が継続される場合と比較して、計算量を低減できるとともに、FPO解析処理時間を短縮できる。  The
 By configuring in this manner, when the
(ステップS4)  FPOモジュール選定部133は、ある一つのシード要素に関して、モジュール情報123に基づいて、FPO解析結果の最適モジュール(FPOモジュールと称する)を選定する。(Step S4) The FPO
  図5Aは、本実施形態に係るFPOモジュール選定方法を説明するための図である。図5Aの例は、すりおろし大根の時系列メタボロームデータ(要素数2305x時系列10ポイントデータセット)である。ピアソンの積率相関係数、MIN値「2」、MAX値「2305」で、識別子「c1487」を持つ要素をシード要素としてFPO解析処理が行われた結果である。図5Aには、ランク(横軸)に対応するMFの最大値(縦軸)が示されている。FPOモジュール選定部133は、ランクの値を増やしてもMFの最大値が更新されない期間の最大値PTmax(最長プラトー長)を示すランクのモジュールM_PTmaxを判定する。FPOモジュール選定部133は、判定したモジュールM_PTmaxを、FPOモジュールに選定する。Figure 5A is a diagram for explaining the FPO module selection method according to this embodiment. The example of Figure 5A is time-series metabolome data of grated radish (number of elements 2305 x time-series 10-point data set). The result of FPO analysis processing was performed using an element with identifier "c1487" as a seed element with Pearson's product-moment correlation coefficient, MIN value "2", and MAX value "2305". Figure 5A shows the maximum value of MF (vertical axis) corresponding to the rank (horizontal axis). The FPO
図5Aに示される例では、「ランク=623」で構築されたモジュールのMFが0.683と計算され、MFが0.683を超えるモジュールが「ランク=761」まで構築されなかった。従って、ランクの値を増やしてもMFの最大値が更新されない期間であるプラトー長は、「ランク=761」から「ランク=623」を減算した「138」となる。この例では「138」が最も長いプラトー長(最長プラトー長)PTmaxとなったため、「ランク=623」で構築されたモジュールが最長プラトー長PTmaxを示すランク「623」のモジュールM_PTmaxに選定された。In the example shown in Figure 5A, the MF of the module constructed at "Rank = 623" was calculated to be 0.683, and no modules with an MF exceeding 0.683 were constructed up until "Rank = 761". Therefore, the plateau length, which is the period during which the maximum MF value is not updated even if the rank value is increased, is "138", which is obtained by subtracting "Rank = 623" from "Rank = 761". In this example, "138" was the longest plateau length (longest plateau length) PTmax, so the module constructed at "Rank = 623" was selected as the module M_PTmax of rank "623", which shows the longest plateau length PTmax.
従来は、全てのランクにおいて最大のMFを示すランクのモジュールをFPOモジュールに選定していた。しかし、全てのランクにおいて最大のMFを示すランクは、ランクの上限値(MAX値)または上限値付近であることが多い。このため、従来は、巨大な偏ったモジュールが構成されることが多かった。また、従来は、ランクの上限値(MAX値)の設定に依存するので、最適なFPO解析結果が得られない可能性があった。Conventionally, the module of the rank showing the maximum MF among all ranks was selected as the FPO module. However, the rank showing the maximum MF among all ranks is often at or near the upper limit value (MAX value) of the rank. For this reason, conventionally, huge biased modules were often constructed. Furthermore, conventionally, because it depended on the setting of the upper limit value (MAX value) of the rank, there was a possibility that optimal FPO analysis results could not be obtained.
これに対して本実施形態によれば、MFが大きく且つ適切な要素数のモジュールを得ることができることにより、FPO解析結果の品質が向上する効果が得られる。また、FPO解析結果は、ランクの上限値(MAX値)の設定に影響されづらい。このため、よりロバスト性の高いFPO解析を行うことができる。In contrast, according to the present embodiment, a module with a large MF and an appropriate number of elements can be obtained, which has the effect of improving the quality of the FPO analysis results. In addition, the FPO analysis results are less affected by the setting of the upper limit value (MAX value) of the rank. This allows for a more robust FPO analysis.
  また、ランク毎のモジュール情報123は、FPOモジュールの選定基準の検証に用いることができる。出力データ生成部138は、ランク毎のモジュール情報123を用いて、図5Aに例示されるMFの最大値のグラフのデータを生成してもよい。このグラフのデータは、表示画面上にグラフを表示したり、又はグラフを印字したりすることができるデータである。これにより、作業者は、FPOモジュールの選定基準の検証を容易に行うことができる。Furthermore, the
なお、他のFPOモジュール選定方法として、モジュールの要素数や要素間の相関係数の分布を問わずロバスト性を維持する基準を採用してもよい。例えば、図5Bに例示されるMFの最大値の移動平均のグラフのプラトー長を用いた基準、又は当該グラフの増加率が一定値を下回る基準を採用してもよい。また、要素間の相関係数の分布を基にした、データセットごとに最適化した基準を採用してもよい。この場合は、ランクの上限値、つまりMAX値は設定パラメータとして調整する必要がなくなるので、作業者の負担を軽減できる。As another method for selecting an FPO module, a criterion that maintains robustness regardless of the number of elements in the module or the distribution of correlation coefficients between elements may be adopted. For example, a criterion using the plateau length of the graph of the moving average of the maximum MF values exemplified in FIG. 5B, or a criterion that the increase rate of the graph is below a certain value, may be adopted. Also, a criterion optimized for each data set based on the distribution of correlation coefficients between elements may be adopted. In this case, the upper limit value of the rank, i.e., the MAX value, does not need to be adjusted as a setting parameter, thereby reducing the burden on the operator.
図5Bは、本実施形態に係るFPOモジュール選定方法を説明するための図である。図5Bの例は、すりおろし大根の時系列メタボロームデータ(要素数2305x時系列10ポイントデータセット)である。ピアソンの積率相関係数、MIN値「2」、MAX値「2305」で、識別子「c1487」を持つ要素をシード要素としてFPO解析処理が行われた結果である。図5Bには、ランク(横軸)に対応するMFの最大値の10点移動平均(縦軸)が示されている。図5Bに示される例では、「ランク=152」で構築されたモジュールのMFが0.590と計算され、MFが0.590を超えるモジュールが「ランク=385」まで構築されなかった。従って、ランクの値を増やしてもMFの最大値が更新されない期間である移動平均のプラトー長は、「ランク=385」から「ランク=152」を減算した「233」となる。この例では「233」が移動平均の最も長いプラトー長(最長プラトー長)MAPTmaxとなったため、「ランク=152」で構築されたモジュールが最長プラトー長MAPTmaxを示すランク「152」のモジュールM_MAPTmaxに選定された。Figure 5B is a diagram for explaining the FPO module selection method according to this embodiment. The example of Figure 5B is time-series metabolome data of grated radish (number of elements 2305 x time-series 10-point data set). The result of FPO analysis processing was performed using an element with identifier "c1487" as a seed element with Pearson's product-moment correlation coefficient, MIN value "2", and MAX value "2305". Figure 5B shows a 10-point moving average (vertical axis) of the maximum value of MF corresponding to the rank (horizontal axis). In the example shown in Figure 5B, the MF of the module constructed at "rank = 152" was calculated to be 0.590, and no module with an MF exceeding 0.590 was constructed up to "rank = 385". Therefore, the plateau length of the moving average, which is the period during which the maximum value of MF is not updated even if the rank value is increased, is "233", which is obtained by subtracting "rank = 152" from "rank = 385". In this example, since "233" was the longest plateau length (longest plateau length) MAPTmax of the moving average, the module constructed with "rank = 152" was selected as the module M_MAPTmax with rank "152" indicating the longest plateau length MAPTmax.
  なお、FPOモジュール選定部133は、所定の条件を満たす場合に、FPO解析及びFPOモジュールの選定を終了してもよい。図5Cは、本実施形態に係るFPO解析の一例を説明するための図である。図5Cは、すりおろし大根の時系列メタボロームデータ(要素数2305x時系列10ポイントデータセット)である。ピアソンの積率相関係数、MIN値「2」、MAX値「2305」で、識別子「c1487」を持つ要素をシード要素としてFPO解析処理が行われた結果である。図5Cには、ランク(横軸)に対応するMFの最大値(縦軸)が示されている。なお、この例では、識別子「c1487」に対して正の相関係数を持つ要素は1569個あるため、識別子「c1487」の最大ランクは、1569となる。図5Cは、ステップS3において、FPO解析部132がランク毎の最大MFの計算を終了した度、FPOモジュール選定部133が実行され、最長プラトー長が更新されないか否かを判定した場合の処理を示す。FPOモジュール選定部133は、最長プラトー長が更新されないと判定した場合に、ランクが変化しても(ランクが増加しても)プラトー長の最大値が更新されないと判定し、ランクの増加を終了し、FPO解析及びFPOモジュールの選定を終了してもよい。図5Cでランクが1432を超える時点で残りのランク数は、最大ランク「1569」からランク「1432」を減算した「137」となる。ランク数「137」は、PTmax「138」を下回るので、ランクが1432以上の部分でPTmaxを超えないと判定し、計算不要と記載された部分(ランクが1432以上の部分)の計算が行われない。
  このように構成することによって、FPOモジュール選定部133は、要素を追加しても(ランクが増加しても)最長プラトー長が更新されない場合に、FPO解析及びFPOモジュールの選定を終了できるため、最長プラトー長が更新されない場合でも、ランク毎のFPO解析及びFPOモジュールの選定が継続される場合と比較して、計算量を低減できるとともに、FPO解析及びFPOモジュールの選定に要する時間を短縮できる。  In addition, the FPO
 By configuring in this manner, the FPO
(ステップS5) 入力データが有する全要素をそれぞれシード要素としてFPOモジュールの選定が完了した場合は(ステップS5、YES)ステップS6-1に進む。一方、まだFPOモジュールが選定されていない要素が残っている場合は(ステップS5、NO)ステップS3に戻り、まだFPOモジュールが選定されていない要素をシード要素としてFPO解析及びFPOモジュール選定を行う。(Step S5) If the selection of FPO modules has been completed using all elements in the input data as seed elements (Step S5, YES), proceed to Step S6-1. On the other hand, if there are still elements remaining for which an FPO module has not yet been selected (Step S5, NO), return to Step S3 and perform FPO analysis and FPO module selection using the elements for which an FPO module has not yet been selected as seed elements.
(ステップS6-1)  FPO解析部132は、各シード要素のFPOモジュールに対して、FPOモジュール内の各要素(i)についてのVF(i)の最大値(最終VFと称する)、及び最終VFに基づくMF(最終MFと称する)を算出する。各シード要素のFPOモジュールに対して算出された最終MF及び最終VFは、評価値情報126に格納される。(Step S6-1) The
図6Aおよび図6Bは、本実施形態に係る最終VFの一例を説明するための仮想のイメージ図である。図6Aはモジュールおよび要素の一例を示す。図6Aでは、要素が丸で示される。要素には、注目要素(最終VFを算出する対象の要素)、モジュール内要素、モジュール外要素が含まれる。丸の中に示される数値は、注目要素に対する相関順位である。ここでの一例として、相関順位は、相関が高いほど上位(値が小さい)である。図6Aでは、注目要素とモジュール内要素、及び注目要素とモジュール外要素において、特定の相関係数以上の値の要素間を線で繋いでいる。実線は、エッジに含まれる要素、すなわち、モジュール内要素間の関係性を示す。点線は、エッジに含まれない要素、すなわち、モジュール外要素間の関係性を示す。6A and 6B are hypothetical image diagrams for explaining an example of the final VF according to this embodiment. FIG. 6A shows an example of a module and an element. In FIG. 6A, elements are indicated by circles. The elements include the element of interest (the element for which the final VF is calculated), elements within the module, and elements outside the module. The numbers indicated in the circles are correlation rankings for the element of interest. In this example, the higher the correlation ranking, the higher (the smaller the value). In FIG. 6A, lines are used to connect elements with correlation coefficients equal to or greater than a certain value between the element of interest and the elements within the module, and between the element of interest and the elements outside the module. Solid lines indicate the relationships between elements included in the edge, i.e., between the elements within the module. Dotted lines indicate the relationships between elements not included in the edge, i.e., between the elements outside the module.
  FPO解析部132は、一のFPOモジュールに対して、FPOモジュール内の要素(i)毎に最終VFを計算する。具体的には、FPO解析部132は、FPOモジュール内の各要素(i)を注目要素にし、その注目要素についてVF(i)を計算する。図6Bは、一の要素(i)(注目要素)に対するVF(i)の計算結果を示す。図6Bにおいて、横軸は相関順位を示し、縦軸はVF(i)を示す。FPO解析部132は、一の要素(i)(注目要素)に関して、VF(i)の最大値(最終VF)を取得する。図6Bの例では、相関順位「5」の場合、モジュール内要素へは3本、モジュール外要素へは2本であり、ディグリー(degree)は「5=2+3」、エッジ(edge)は3、モジュールの要素数(n)は5であり、VF(i)は、上記(2)式より「VF(i)=(2×edge(i))/(degree(i)+n-1)=(2×3)/(5+5-1)=0.67」となり、VF(i)の最大値(最終VF)を示す。For one FPO module, the
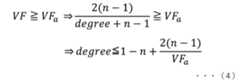
  なお、FPO解析部132は、最終VFの算出において、VF(i)が相関順位を増加させても最大値を超えないか否かを判定するようにしてもよい。FPO解析部132は、VF(i)が相関順位を増加させても最大値を超えないと判定した場合に、VF(i)を計算する処理を終了するようにしてもよい。In addition, the
  図6Cは、本実施形態に係る最終VFの算出方法の一例を説明するための仮想のイメージ図である。
  FPO解析部132は、一のFPOモジュールに対して、FPOモジュール内の要素(i)毎に最終VFを計算する。具体的には、FPO解析部132は、FPOモジュール内の各要素(i)を注目要素にし、その注目要素についてVF(i)を計算する。図6Cは、一の要素(i)(注目要素)に対するVF(i)の計算結果を示す。図6Cにおいて、横軸は相関順位を示し、縦軸はVF(i)を示す。FPO解析部132は、相関順位が8の時点でVF(i)が最大値を超えないと判定し、VF(i)を計算する処理を終了する。VF(i)の計算を終了できる理由を以下に述べる。  FIG. 6C is a hypothetical image diagram for explaining an example of a method for calculating the final VF according to this embodiment.
 The
上記(3)式において、VFは、要素Fスコアである。nは、対象モジュールの要素数である。edgeは、対象モジュール内のエッジ数である。degreeは、要素のディグリー数である。上記の式(3)より、モジュール内要素が他のモジュールの要素と全て繋いでもedge=n‐1になるので、edge≦n‐1を言える。最終VFを計算する時点で、モジュールの要素数nは固定値であるので、ディグリー数のみを用いて達成可能な最終VFの上限値を求めることができる。In the above formula (3), VF is the element F score. n is the number of elements in the target module. edge is the number of edges in the target module. degree is the number of degrees of the elements. From the above formula (3), it can be said that edge≦n-1 because edge=n-1 even if all elements in a module are connected to elements in other modules. At the time of calculating the final VF, the number of elements n in the module is a fixed value, so it is possible to find the upper limit of the achievable final VF using only the number of degrees.
上記(4)式において、VFは、要素Fスコアである。VFaは、相関順位aの時点で最大VF値とする。nは、対象モジュールの要素数である。degreeは、要素のディグリー数である。図6Cの例ではn=5、また、相関順位a=5の時点において、VFa=0.67となることから、VFaを超えるために、上の式(4)によりd≦8である必要がある。ここで、degreeの値は相関順位に依存し、相関順位「9」の場合、degreeの値は9となる。従って、相関順位「8」の場合を計算した後に、相関順位「9」以上の場合の計算は不要である。なお、図6Cの例では、相関順位「6」の場合、モジュール内要素へは3本、モジュール外要素へは3本であり、ディグリー数(degree)は「6=3+3」、エッジ数(edge)は3、モジュールの要素数(n)は5であり、VF(i)は、上記(2)式より「VF(i)=(2×edge(i))/(degree(i)+n-1)=(2×3)/(6+5-1)=0.60」となる。相関順位「7」の場合、モジュール内要素へは3本、モジュール外要素へは4本であり、ディグリー数(degree)は「7=4+3」、エッジ数(edge)は3、モジュールの要素数(n)は5であり、VF(i)は、上記(2)式より「VF(i)=(2×edge(i))/(degree(i)+n-1)=(2×3)/(7+5-1)=0.54」となる。相関順位「8」の場合、モジュール内要素へは3本、モジュール外要素へは5本であり、ディグリー数(degree)は「8=5+3」、エッジ数(edge)は3、モジュールの要素数(n)は5であり、VF(i)は、上記(2)式より「VF(i)=(2×edge(i))/(degree(i)+n-1)=(2×3)/(8+5-1)=0.50」となる。このように、式(4)を用いて判定したように、相関順位の高い順に要素を追加しても、要素がモジュール外要素の場合は、VF(i)が0.67(相関順位「5」の場合)を超えることがないことが確認できる。このように構成することによって、相関順位の全てについてVF(i)を計算する場合と比較して、計算量を低減できるとともに、処理時間を短縮できる。 In the above formula (4), VF is the element F score. VFa is the maximum VF value at the time of correlation rank a. n is the number of elements in the target module. degree is the number of degrees of the elements. In the example of FIG. 6C, n=5, and VFa =0.67 at the time of correlation rank a=5, so in order to exceed VFa , d≦8 is required according to the above formula (4). Here, the value of degree depends on the correlation rank, and in the case of correlation rank "9", the value of degree is 9. Therefore, after calculating the case of correlation rank "8", it is not necessary to calculate the case of correlation rank "9" or higher. In the example of Figure 6C, when the correlation rank is "6", there are three connections to elements within the module and three connections to elements outside the module, the number of degrees is "6 = 3 + 3", the number of edges is 3, the number of elements in the module (n) is 5, and VF(i) is calculated from equation (2) above as "VF(i) = (2 x edge(i)) / (degree(i) + n-1) = (2 x 3) / (6 + 5-1) = 0.60". In the case of a correlation ranking of "7", there are three connections to elements within the module and four connections to elements outside the module, the number of degrees is "7 = 4 + 3", the number of edges is 3, the number of elements in the module (n) is 5, and VF(i) is calculated from equation (2) above as "VF(i) = (2 x edge(i)) / (degree(i) + n-1) = (2 x 3) / (7 + 5-1) = 0.54". In the case of a correlation rank of "8", there are three connections to elements within the module and five connections to elements outside the module, the number of degrees is "8 = 5 + 3", the number of edges is 3, the number of elements in the module (n) is 5, and VF(i) is "VF(i) = (2 x edge (i)) / (degree (i) + n-1) = (2 x 3) / (8 + 5-1) = 0.50" according to the above formula (2). As described above, as determined using formula (4), it can be confirmed that VF(i) does not exceed 0.67 (in the case of correlation rank "5") when the element is an element outside the module, even if the element is added in descending order of correlation rank. By configuring in this way, the amount of calculation can be reduced and the processing time can be shortened compared to the case where VF(i) is calculated for all correlation ranks.
  FPO解析部132は、一のFPOモジュールに対して、FPOモジュール内の各要素(i)の最終VFに基づいてMF(最終MFと称する)を算出する。具体的には、FPO解析部132は、FPOモジュール内の要素(i)毎に最終VFが得られたときのedge(i)及びdegree(i)を取得し、取得した各要素(i)のedge(i)及びdegree(i)を用いて上記(1)式よりMF(最終MF)を算出する。The
なお、最終VFおよび最終MFの算出方法は、最終VFおよび最終MFの算出対象のモジュールにおけるシード要素に依存しないようにVF(i)およびMFを算出する方法であればよい。例えば、モジュール内のある要素(i)がモジュール内の他の要素に対して、後述する要素P値が最小である場合のVF(i)を最終VFに用いてもよい。The method for calculating the final VF and final MF may be any method that calculates VF(i) and MF without depending on the seed element in the module for which the final VF and final MF are calculated. For example, the VF(i) in the module where an element P value (described later) is the smallest for an element (i) in the module compared to other elements in the module may be used as the final VF.
(ステップS6-2)  P値算出部137は、各シード要素のFPOモジュールに対して、次式により、モジュールP値を算出する。(Step S6-2) The P-
  Nは、入力データである多変量データの全要素数である。nは、モジュールの要素数である。edgeavgは、最終MFの算出に用いた各要素(i)のedge(i)の平均値に最も近い整数である。degreeavgは、最終MFの算出に用いた各要素(i)のdegree(i)の平均値に最も近い整数である。q、rは、正の整数であって、r≦qである。
  なお、edgeavgの代わりに、FPOモジュールのMFの最大値が得られたときの相関閾値以上の相関係数を有する要素同士を結んだモジュール内のエッジ数を用い、またdegreeavgの代わりに、FPOモジュールのMFの最大値が得られたときのディグリー(degree)を用いてもよい。  N is the total number of elements of the multivariate data that is the input data. n is the number of elements of the module. edgeavg is the integer closest to the average value of edge(i) of each element (i) used to calculate the final MF. degreeavg is the integer closest to the average value of degree(i) of each element (i) used to calculate the final MF. q and r are positive integers, and r≦q.
 In addition, instead of edgeavg , the number of edges in the module connecting elements having a correlation coefficient equal to or greater than the correlation threshold when the maximum value of the MF of the FPO module is obtained may be used, and instead of degreeavg , the degree when the maximum value of the MF of the FPO module is obtained may be used.
  各シード要素のFPOモジュールに対して算出されたモジュールP値は、FPO解析後のモジュールP値として評価値情報126に格納される。モジュールP値は、統計処理で用いられる確率と同じ意味を持ち、観測した事象よりも稀な事象が起こる確率を表す。モジュールP値によれば、形成されたモジュールが正しいか否かを検定することができる。上記(5)式で算出されるモジュールP値は、ランダムでモジュールを構成した場合において、同じMDを与える確率と同じMSを与える確率との積から求められる。
  FPO解析後のモジュールP値によって、作業者は各シード要素のFPOモジュールの有意性を評価することができる。これにより、モジュールの信憑性を付加することができるようになる。  The module P value calculated for the FPO module of each seed element is stored in the
 The module P-value after FPO analysis allows the operator to evaluate the significance of the FPO module of each seed element, which allows the operator to add credibility to the module.
(ステップS7)  FPOモジュール統合部134は、各シード要素のFPOモジュールに対して、モジュール統合処理(モジュラライズ処理)を実行する。FPOモジュールは、上述したステップS3-S5によって、シード要素毎にそれぞれ別個に構成される。このため、全要素の数だけFPOモジュールが構成され、FPOモジュール間には要素の重複が生じる。この要素の重複をモジュール統合処理によって解消する。モジュール統合処理について以下に説明する。(Step S7) The FPO
  FPOモジュール統合部134は、VF閾値の所定範囲(VF閾値の最小値から最大値まで)において、VF閾値毎に、モジュールを再構成する。VF閾値は、VF閾値の最小値から最大値まで一定の刻み幅で予め設定される。モジュール再構成方法としては、全てのFPOモジュールを対象にして、既に在るエッジを全て削除し、VF閾値以上の最終VFである要素同士を改めてエッジで結ぶ。このとき、FPOモジュール間に要素の重複がある場合、その重複している要素を介してFPOモジュール同士の統合も行う。これにより、VF閾値毎に、FPOモジュールの統合結果が得られる。FPOモジュール統合部134は、VF閾値毎のFPOモジュールの統合結果をモジュール統合情報124に格納する。
  なお、VF閾値は、VF閾値の最小値から最大値まで一定の刻み幅で設定されることに限定されない。例えば、VF閾値としてMF及びVFの全ての取りえる値をリスト化し、全てのMFとVFにおいて統合化を行ってもよい。この場合、VF閾値は、一定の刻みでなくてもよい。  The FPO
 The VF threshold is not limited to being set at a constant interval from the minimum to maximum value of the VF threshold. For example, all possible values of MF and VF may be listed as the VF threshold, and integration may be performed for all MF and VF. In this case, the VF threshold does not have to be set at a constant interval.
  なお、FPOモジュール統合部134は、ステップS3-S5によって構成された全てのFPOモジュールに統合処理を実施するのではなく、一部のFPOモジュールにのみ統合処理を実施するようにしても良い。例えば、評価値情報126に格納された、各FPOモジュールの最終VFや最終MFやモジュールP値に基づいて、所定の条件を満たさないFPOモジュールを統合処理から除外しても良い。例えば、VF閾値がVF閾値の最小値から最大値まで設定された際、最終MFがVF閾値未満のFPOモジュール、及びシード要素の最終VFがVF閾値未満のFPOモジュールを統合処理から除外しても良い。このように、評価値に基づいて品質または有意性の低いFPOモジュールを統合処理から全体的に除外することで、統合されていくモジュールの品質の向上または有意性の向上を図ることができる。The FPO
図7は、本実施形態に係る統合処理の一例を説明するための仮想のイメージ図である。図7Aは、モジュラライズ処理において、最終VFを用いて、要素間のエッジを除外して、モジュールを統合化するイメージ図である。図7Aには、一例として、3つのFPOモジュールM7‐1,M7‐2,M7‐3を示し、要素が丸で示され、要素の識別子「c001」-「c011」、及びステップS6―1で計算された各FPOモジュールの最終MF、各要素の最終VFが示されている。この例では、要素「c002」がFPOモジュールM7‐1とM7‐2で重複し、要素「c008」がFPOモジュールM7‐2とM7‐3で重複する。VF閾値が0.5に設定された場合、統合処理により全ての要素を含むモジュールM7‐4が構成される。VF閾値が0.75に設定された場合、モジュールM7‐2内の要素「c002」、及びモジュールM7‐3内の要素「c011」の最終VFがVF閾値未満であるためエッジで結ばれず、統合処理により除外される。この結果、統合処理によりモジュールM7‐5及びモジュールM7‐6が構成される。VF閾値が0.85に設定された場合、統合処理を同様に実施した際、モジュールM7‐7、M7‐8、M7‐9が構成される。ここに、モジュールM7‐8とM7‐9の要素数はそれぞれ2と1と少なく、低く評価されると共に、複数の要素間に有意な繋がりを示さないため、作業者によるFPOモジュールの統合結果の解析を妨げる。Figure 7 is a virtual image diagram for explaining an example of the integration process according to this embodiment. Figure 7A is an image diagram of integrating modules by removing edges between elements using the final VF in the modularization process. Figure 7A shows three FPO modules M7-1, M7-2, and M7-3 as an example, with elements shown as circles, element identifiers "c001"-"c011", and the final MF and final VF of each FPO module calculated in step S6-1. In this example, element "c002" overlaps between FPO modules M7-1 and M7-2, and element "c008" overlaps between FPO modules M7-2 and M7-3. When the VF threshold is set to 0.5, a module M7-4 including all elements is constructed by the integration process. When the VF threshold is set to 0.75, the final VF of element "c002" in module M7-2 and element "c011" in module M7-3 is less than the VF threshold, so they are not connected by an edge and are excluded by the integration process. As a result, modules M7-5 and M7-6 are formed by the integration process. When the VF threshold is set to 0.85, modules M7-7, M7-8, and M7-9 are formed when the integration process is performed in the same manner. Here, modules M7-8 and M7-9 have a small number of elements, 2 and 1, respectively, and are evaluated low. In addition, they do not show significant connections between multiple elements, which hinders the operator from analyzing the integration results of the FPO modules.
一方、図7Bは、モジュラライズ処理において、最終MF及びシード要素の最終VFを用いてモジュール毎の構成要素を除外し、かつ、最終VFを用いて要素間のエッジを除外することにより、モジュールを統合化するイメージ図である。図7Bは、VF閾値がVF閾値の最小値から最大値まで設定された際、最終MFがVF閾値未満のFPOモジュール、及びシード要素の最終VFがVF閾値未満のFPOモジュールを統合処理から除外した場合の統合処理を示す。VF閾値が0.85に設定された場合、最終MFが0.85未満のモジュールM7‐2とM7‐3が統合処理から除外され、統合処理を実施した際、モジュールM7‐7のみが構成される。このように、統合処理により評価値の低いモジュールの構成を防ぐことができ、構成されるモジュールの品質の向上または有意性の向上を図ることができる。On the other hand, FIG. 7B is an image diagram of integrating modules by excluding components for each module using the final MF and the final VF of the seed element in the modularization process, and excluding edges between elements using the final VF. FIG. 7B shows the integration process in the case where the VF threshold is set from the minimum value to the maximum value of the VF threshold, and FPO modules whose final MF is less than the VF threshold and whose seed element's final VF is less than the VF threshold are excluded from the integration process. When the VF threshold is set to 0.85, modules M7-2 and M7-3 whose final MF is less than 0.85 are excluded from the integration process, and only module M7-7 is configured when the integration process is performed. In this way, the integration process can prevent the construction of modules with low evaluation values, and can improve the quality or significance of the modules that are configured.
  FPOモジュール統合部134は、モジュールサイズの所定範囲に収まるFPOモジュールの個数が最大であるVF閾値のFPOモジュールの統合結果(FPOモジュール群)を、最終的なFPOモジュールの統合結果として最終モジュール統合情報125に格納する。The FPO
  従来、最終的なFPOモジュールの統合結果のみでは、要素の位置関係の全体像が分からず、FPOモジュールの内部構造の解析が難しかった。しかし、本実施形態によれば、VF閾値毎のFPOモジュールの統合結果がモジュール統合情報124に格納されるので、VF閾値毎のFPOモジュールの統合結果によって、作業者が、VF閾値の変化に伴ってFPOモジュールの統合結果が変化する様子を確認することができる。これにより、最終的なFPOモジュールの統合結果における要素の位置関係の全体像を把握し、FPOモジュールの内部構造の解析に貢献することができる。Conventionally, the final FPO module integration result alone did not provide an overall picture of the positional relationships of the elements, making it difficult to analyze the internal structure of the FPO module. However, according to this embodiment, the FPO module integration result for each VF threshold is stored in the
図8及び図9は、本実施形態に係る最終的なFPOモジュールの統合結果の例を示す図である。図8及び図9は、米国のある大学の空手クラブに所属する34人の交友関係を示したデータセットを用いて、ピアソンの積率相関係数、MIN値「5」、MAX値「34」でFPO解析を実施した結果である。構成要素は丸で示し、分かれたメンバー毎に丸の中の模様で区別した。番号は、空手クラブの34人の識別番号である。実線は、モジュラライズ処理で得られた結びつきの関係性を示す。図8は、得られたモジュール毎にネットワーク描写した結果である。図9Aは、最終的なFPOモジュールの統合結果に対応するVF閾値毎のFPOモジュールの統合結果の例を示す図である。図9Aの例では、VF閾値(横軸)の変化に応じてFPOモジュールの統合結果(各要素(縦軸)のモジュール化)が変化する様子がグラフで示されている。例えば、VF閾値(VFth)が0.81の場合、図8に示されるモジュールM8‐1,M8‐2,M8‐3の3個のモジュールに関してモジュールM8‐1,M8‐2,M8‐3の関係を図9Aから把握することができる。 8 and 9 are diagrams showing an example of the final FPO module integration result according to the present embodiment. FIG. 8 and FIG. 9 are the results of FPO analysis using a data set showing the friendships of 34 people belonging to a karate club at a university in the United States, with Pearson's product-moment correlation coefficient, MIN value "5", and MAX value "34". Components are shown as circles, and the patterns inside the circles distinguish each divided member. The numbers are the identification numbers of the 34 members of the karate club. The solid lines show the relationship of the connections obtained by the modularization process. FIG. 8 is the result of network depiction for each obtained module. FIG. 9A is a diagram showing an example of the FPO module integration result for each VF threshold corresponding to the final FPO module integration result. In the example of FIG. 9A, a graph is shown showing how the FPO module integration result (modularization of each element (vertical axis)) changes according to the change in the VF threshold (horizontal axis). For example, when the VF threshold (VFth ) is 0.81, the relationship between the modules M8-1, M8-2, and M8-3 shown in FIG. 8 can be understood from FIG. 9A.
  出力データ生成部138は、VF閾値毎のモジュール統合情報124を用いて、図9に例示されるVF閾値(横軸)とFPOモジュールの統合結果(各要素(縦軸)のモジュール化)との対応関係を示すデータ(例えばグラフ等)を生成してもよい。このグラフのデータは、表示画面上にグラフを表示したり、又はグラフを印字したりすることができるデータである。これにより、作業者は、最終的なFPOモジュールの統合結果の解析を容易に行うことができる。The output
  FPOモジュール統合部134は更に、モジュール統合情報124に格納されたVF閾値毎のFPOモジュールの統合結果を基に、モジュール統合後の最終的なFPOモジュールの距離を示す距離指標dを計算しても良い。距離指標は正の実数であり、全てのFPOモジュールのペアにおいて計算される。距離指標dは、その値が低ければ低いほど、2つのモジュールの距離が近いと判定する。距離指標dを算出することによって、FPOモジュール同士の位置関係の全体像を容易に、かつ定量的に評価できるようになる。The FPO
図9Bは、本実施形態に係る最終的なFPOモジュールの距離指標dの計算方法の一例を説明するための図である。図9Bは、図9Aに例示される最終的なFPOモジュールの統合結果を基に距離指標dの一つの計算方法を示す。図9Bでは、図9Aに示されるVFth=0.81で分離したモジュールM8‐1,M8‐2,M8‐3の3個のモジュールに対して、VF閾値を上げた際のモジュールの構造の情報を更に含める仮想モジュールM9‐1,M9‐2,M9‐3を考慮する。グラフ内の点Gは、分離された仮想モジュールM9‐1,M9‐2,M9‐3の中心点として定義する。得られたFPOモジュール同士の距離に関して、VF閾値の差分と構成要素の数を利用して、仮想モジュールの中心点までの距離を演算することにより、FPOモジュールの統合結果における要素の位置関係の全体像をより正確的に把握する。 FIG. 9B is a diagram for explaining an example of a method for calculating the distance index d of the final FPO module according to the present embodiment. FIG. 9B shows one method for calculating the distance index d based on the integration result of the final FPO module illustrated in FIG. 9A. In FIG. 9B, virtual modules M9-1, M9-2, and M9-3 that further include information on the structure of the module when the VF threshold is increased are considered for the three modules M8-1, M8-2, and M8-3 separated at VFth =0.81 shown in FIG. 9A. Point G in the graph is defined as the center point of the separated virtual modules M9-1, M9-2, and M9-3. With regard to the distance between the obtained FPO modules, the difference in the VF threshold and the number of components are used to calculate the distance to the center point of the virtual module, thereby more accurately grasping the overall picture of the positional relationship of the elements in the integration result of the FPO module.
  例えばモジュールM9‐1とM9‐2の距離指標を計算した際、以下の流れ(1)~(3)で処理を行う。
(1)モジュールM8‐1とM8‐2の構成要素がモジュール統合処理により分割される最小のVF閾値、VFth,minを検索する。この例では、VFth,min =0.76となる。
(2)仮想モジュールM9‐1とM9‐2の構成要素が、VF閾値をVFth以上に設定した際、モジュール統合処理により除外される最小のVF閾値の平均値VFth, minavgを計算する。例えば、仮想モジュールM9‐1の場合、要素「23」、「21」、「19」、「16」、「15」は、VF閾値が0.95以上の場合に除外され、要素「33」、「31」、「30」、「24」は、VF閾値が0.92以上の場合に除外され、要素「34」、「29」、「28」、「27」、「10」は、VF閾値が0.91以上の場合に除外され、要素「9」は、VF閾値が0.90以上の場合に除外され、要素「32」は、VF閾値が0.86以上の場合に除外されることから、16個の構成要素が除外される最小のVF閾値の平均値、VFth, minavg(M8-1)で算出される。具体的には、VFth, minavg(M8-1)=(0.95×5+0.92×4+0.91×5+0.90×1+0.86×1)/16=0.9212と算出できる。
  同様に、仮想モジュールM9‐2の場合、要素「8」、「4」、「22」、「2」、「18」は、VF閾値が0.90以上の場合に除外され、要素「1」、「13」、「14」は、VF閾値が0.88以上の場合に除外され、要素「20」は、VF閾値が0.87以上の場合に除外され、要素「3」は、VF閾値が0.86以上の場合に除外されることから、10個の構成要素が除外される最小のVF閾値の平均値VFth, minavg(M8-2)で算出される。具体的には、VFth, minavg(M8-2)=(0.9×5+0.88×3+0.87×1+0.86×1)/10=0.8870と算出できる。
(3)距離指標d(M8-1, M8-2)を次式(6)により計算する。  For example, when calculating the distance index between modules M9-1 and M9-2, the process is carried out in the following steps (1) to (3).
 (1) Find the minimum VF threshold, VFth,min , at which the components of modules M8-1 and M8-2 are split by the module merging process. In this example, VFth,min =0.76.
 (2) When the components of the virtual modules M9-1 and M9-2 have their VF thresholds set to VFth or more, the average value VFth,minavg of the minimum VF thresholds to be excluded by the module integration process is calculated. For example, in the case of the virtual module M9-1, the elements "23", "21", "19", "16", and "15" are excluded when the VF threshold is 0.95 or more, the elements "33", "31", "30", and "24" are excluded when the VF threshold is 0.92 or more, the elements "34", "29", "28", "27", and "10" are excluded when the VF threshold is 0.91 or more, the element "9" is excluded when the VF threshold is 0.90 or more, and the element "32" is excluded when the VF threshold is 0.86 or more. Therefore, the average value VFth,minavg (M8-1) of the minimum VF thresholds from which 16 components are excluded is calculated. Specifically, VFth,minavg (M8-1) can be calculated as (0.95×5+0.92×4+0.91×5+0.90×1+0.86×1)/16=0.9212.
 Similarly, in the case of the virtual module M9-2, the elements "8", "4", "22", "2", and "18" are excluded when the VF threshold is 0.90 or more, the elements "1", "13", and "14" are excluded when the VF threshold is 0.88 or more, the element "20" is excluded when the VF threshold is 0.87 or more, and the element "3" is excluded when the VF threshold is 0.86 or more, so that the average value VFth,minavg (M8-2) of the minimum VF threshold from which 10 components are excluded is calculated. Specifically, it can be calculated as VFth,minavg (M8-2) = (0.9 x 5 + 0.88 x 3 + 0.87 x 1 + 0.86 x 1) / 10 = 0.8870.
 (3) Calculate the distance index d(M8-1, M8-2) using the following equation (6).
上記(6)式において、dはモジュール同士の距離指標を示す。VFthは、VF閾値を示す。VFth,minは、モジュールM8‐1とM8‐2の構成要素がモジュール統合処理により分割される最小のVF閾値を示す。VFth, minavgは、両モジュールの構成要素が除外される最小のVF閾値のそれぞれの平均値を示す。この例では、d(M8-1,M8-2)=2(0.81-0.76)+(0.8870-0.81)/2+(0.9212-0.81)/2=0.1000+0.0385+0.0556=0.1941と算出できる。 In the above formula (6), d indicates the distance index between modules. VFth indicates the VF threshold.VF th,min indicates the minimum VF threshold at which the components of modules M8-1 and M8-2 are divided by the module integration process.VF th,minavg indicates the average value of the minimum VF threshold at which the components of both modules are excluded. In this example, it can be calculated as d(M8-1, M8-2) = 2 (0.81 - 0.76) + (0.8870 - 0.81) / 2 + (0.9212 - 0.81) / 2 = 0.1000 + 0.0385 + 0.0556 = 0.1941.
  仮想モジュールM9‐2とM9‐3に対して同様の計算を施すと、d(M8-2,M8-3)=0.0585、d(M8-1, M8-3)=0.1756と計算される。 d(M8-2, M8-3)の場合では、仮想モジュールM9-3の場合、要素「7」、「6」、「5」、「12」、「11」は、VF閾値が0.85以上の場合に除外されることから、5個の構成要素が除外されるVF閾値の平均値、VFth, minavg(M8-3)で算出される。具体的には、VFth, minavg(M8-3)=0.85×5/5=0.8500と算出できる。モジュールM8‐2とM8‐3の構成要素がモジュール統合処理により分割される最小のVF閾値、VFth,minを検索する。この例では、VFth,min=0.81となる。この例では、d(M8-2,M8-3)=2(0.81-0.81)+(0.8870-0.81)/2+(0.8500-0.81)/2=0.0385+0.0200=0.0585と算出できる。
また、d(M8-1,M8-3)の場合では、モジュールM8‐1とM8‐3の構成要素がモジュール統合処理により分割される最小のVF閾値、VFth,minを検索する。この例では、VFth,min=0.76となる。この例では、d(M8-1,M8-3)=2(0.81-0.76)+(0.9212-0.81)/2+(0.8870-0.81)/2=0.1000+0.0556+0.0200=0.1756と算出できる。
以上のことから、M8-2はM8-3よりM8-1に近いと判断できる。このように、最終的なFPOモジュールの統合結果における要素の位置関係の全体像をより正確的に把握することができる。  When the same calculation is performed for the virtual modules M9-2 and M9-3, d(M8-2, M8-3)=0.0585 and d(M8-1, M8-3)=0.1756 are calculated. In the case of d(M8-2, M8-3), in the case of the virtual module M9-3, the elements "7", "6", "5", "12", and "11" are excluded when the VF threshold is 0.85 or more, so the average value of the VF threshold at which five components are excluded, VFth,minavg (M8-3), is calculated. Specifically, it can be calculated as VFth,minavg (M8-3)=0.85×5/5=0.8500. The minimum VF threshold, VFth,min , at which the components of the modules M8-2 and M8-3 are divided by the module integration process is searched for. In this example, VFth,min = 0.81. In this example, it can be calculated that d(M8-2, M8-3) = 2(0.81-0.81) + (0.8870-0.81)/2 + (0.8500-0.81)/2 = 0.0385 + 0.0200 = 0.0585.
 In addition, in the case of d(M8-1, M8-3), the minimum VF threshold, VFth,min , at which the components of modules M8-1 and M8-3 are divided by the module integration process is searched for. In this example, VFth,min = 0.76. In this example, it can be calculated as d(M8-1, M8-3) = 2 (0.81 - 0.76) + (0.9212 - 0.81) / 2 + (0.8870 - 0.81) / 2 = 0.1000 + 0.0556 + 0.0200 = 0.1756.
 From the above, it can be determined that M8-2 is closer to M8-1 than to M8-3. In this way, it is possible to more accurately grasp the overall picture of the positional relationship of elements in the final integration result of the FPO module.
図9Bには、図9Aに例示される最終的なFPOモジュールの統合結果を基に算出した距離指標を数値として表記する。モジュールM8-1において、距離0.1056は、モジュールM8-2が分割される最小のVF閾値からモジュールM8-1を構成する要素が除外される最小のVF閾値までの各要素の距離の平均値を示す。モジュールM8-1において、距離0.0556は、モジュールM8-3が分割される最小のVF閾値からモジュールM8-1を構成する要素が除外される最小のVF閾値までの距離の平均値を示す。モジュールM8-2において、距離0.0885は、モジュールM8-1が分割される最小のVF閾値からモジュールM8-2を構成する要素が除外される最小のVF閾値までの各要素の距離の平均値を示す。モジュールM8-2において、距離0.0385は、モジュールM8-3が分割される最小のVF閾値からモジュールM8-2を構成する要素が除外される最小のVF閾値までの各要素の距離の平均値を示す。モジュールM8-3において、距離0.0700は、モジュールM8-1が分割される最小のVF閾値からモジュールM8-3を構成する要素が除外される最小のVF閾値までの距離の平均値を示す。モジュールM8-3において、距離0.0200は、モジュールM8-2が分割される最小のVF閾値からモジュールM8-3を構成する要素が除外される最小のVF閾値までの各要素の距離の平均値を示す。In FIG. 9B, the distance index calculated based on the final FPO module integration result illustrated in FIG. 9A is expressed as a numerical value. In module M8-1, the distance 0.1056 indicates the average value of the distance of each element from the minimum VF threshold at which module M8-2 is divided to the minimum VF threshold at which the elements constituting module M8-1 are excluded. In module M8-1, the distance 0.0556 indicates the average value of the distance from the minimum VF threshold at which module M8-3 is divided to the minimum VF threshold at which the elements constituting module M8-1 are excluded. In module M8-2, the distance 0.0885 indicates the average value of the distance of each element from the minimum VF threshold at which module M8-1 is divided to the minimum VF threshold at which the elements constituting module M8-2 are excluded. In module M8-2, the distance 0.0385 indicates the average value of the distance of each element from the minimum VF threshold at which module M8-3 is divided to the minimum VF threshold at which the elements constituting module M8-2 are excluded. In module M8-3, the distance 0.0700 indicates the average value of the distance from the minimum VF threshold at which module M8-1 is divided to the minimum VF threshold at which the elements constituting module M8-3 are excluded, and the distance 0.0200 indicates the average value of the distance of each element from the minimum VF threshold at which module M8-2 is divided to the minimum VF threshold at which the elements constituting module M8-3 are excluded.
(ステップS8-1)  FPOモジュール統合部134は、上記ステップS6-1のFPO解析部132と同様に、モジュール統合後の最終的なFPOモジュールそれぞれに対して、最終VF及び最終MFを算出する。モジュール統合後の最終的なFPOモジュールそれぞれに対して算出された最終VF及び最終MFは、評価値情報126に格納される。(Step S8-1) The FPO
(ステップS8-2)  P値算出部137は、モジュール統合後の最終的なFPOモジュールそれぞれに対して、上記の(5)式により、モジュールP値を算出する。モジュール統合後の最終的なFPOモジュールそれぞれに対して算出されたモジュールP値は、モジュール統合後のモジュールP値として評価値情報126に格納される。
  モジュール統合後のモジュールP値によって、作業者はモジュール統合後の最終的なFPOモジュールそれぞれの有意性を評価することができる。これにより、モジュールの信憑性を付加することができるようになる。(Step S8-2) The P
 The module P value after module integration allows the operator to evaluate the significance of each final FPO module after module integration, which makes it possible to add credibility to the module.
(ステップS9)  FNI解析部135は、モジュール統合後の最終的なFPOモジュール(最終FPOモジュール)のいずれか複数または全てをそれぞれ対象にして、偽陰性(False-Negative)の要素を取り入れる(In)処理(FNI解析処理)を実行する。(Step S9) The
  FNI解析処理の対象にする最終FPOモジュールは、例えば、ユーザが複数を指定できるようにしてもよい。又は、FNI解析処理の対象にする最終FPOモジュールの条件(FNI解析処理対象条件)を予め情報処理装置1に設定しておき、FNI解析部135が、FNI解析処理対象条件を満たさない最終FPOモジュールを除外し、残りの最終FPOモジュールをFNI解析処理の対象に決定してもよい。FNI解析処理対象条件は、例えば、一定の有意性(モジュールP値)以上を持つモジュールである。
  FNI解析処理について以下に説明する。  For example, the user may be allowed to specify multiple final FPO modules to be the target of the FNI analysis process. Alternatively, conditions for the final FPO module to be the target of the FNI analysis process (FNI analysis process target conditions) may be set in advance in the
 The FNI analysis process is described below.
  図10は、本実施形態に係るFNI解析処理を説明するための仮想のイメージ図である。図10では、要素が丸で示される。要素には、注目要素、候補要素、対象モジュール内の要素、対象モジュール外の要素が含まれる。対象モジュール内の要素とは、モジュール統合後の最終的なFPOモジュール(最終FPOモジュール)に含まれる要素であり、対象モジュール外の要素とは、モジュール統合後の最終的なFPOモジュール(最終FPOモジュール)に含まれない要素である。また、丸の中に示す数は、候補要素に対する相関順位である。各要素間は線で繋がれる。実線は、注目要素を含めてモジュール内要素間の関係性を示す。点線は、候補要素を含めてモジュール外要素間の関係性を示す。
  FNI解析部135は、FNI解析処理の対象の全ての最終FPOモジュールに含まれる全要素それぞれを順次注目要素に設定しながら、注目要素に関するFNI解析処理を繰り返す。したがって、FNI解析処理の対象の全ての最終FPOモジュールに含まれる全要素の数だけ、FNI解析処理が実行される。ここでは、図10を参照して、図10に示される1個の注目要素を例に挙げて説明する。  FIG. 10 is a virtual image diagram for explaining the FNI analysis process according to the present embodiment. In FIG. 10, elements are indicated by circles. The elements include an element of interest, a candidate element, an element in a target module, and an element outside the target module. An element in a target module is an element included in a final FPO module (final FPO module) after module integration, and an element outside the target module is an element not included in a final FPO module (final FPO module) after module integration. The number shown in the circle is a correlation rank with respect to the candidate element. Each element is connected by a line. A solid line indicates a relationship between elements in a module including an element of interest. A dotted line indicates a relationship between elements outside the module including a candidate element.
 The
  FNI解析部135は、注目要素が属する最終FPOモジュール(対象モジュール)に取り入れる候補要素を設定する。例えば、対象モジュールに取り入れる候補要素は、対象モジュールに属さない全ての要素(つまり、対象モジュール外の全要素)であってもよい。例えば、対象モジュールに取り入れる候補要素は、対象モジュール外の全要素のうち、注目要素に関する相関順位が所定の上位の順位までに限定してもよい。例えば、対象モジュールに取り入れる候補要素は、対象モジュール外の全要素のうち、注目要素に関する相関係数が所定の相関閾値以上に限定してもよい。例えば、対象モジュールに取り入れる候補要素は、対象モジュール外の全要素のうち、注目要素に関する相関順位が所定の上位の順位まで且つ注目要素に関する相関係数が所定の相関閾値以上に限定してもよい。例えば、対象モジュールに取り入れる候補要素は、どの最終FPOモジュールにも属さない要素に限定してもよい。FNI解析部135は、候補要素毎に、対象モジュールに関する偽陰性の判定を行う。The
  具体的には、FNI解析部135は、候補要素iの相関係数リスト122の上位(相関が高い方からの順位(相関順位))から順番に参照し、各順位において、候補要素iの対象モジュールに関する上記(2)式のVS(i)「VS(i)=(候補要素iの対象モジュール内のエッジ数edge(i))÷(候補要素iのディグリー数degree(i))」を算出する。FNI解析部135は、算出した全てのVS(i)のうち、所定のVS閾値を超えるVS(i)に関する相関順位等の情報を記憶部12に記録する。VS閾値は、例えば作業者が任意に設定可能とする。FNI解析部135は、所定のVS閾値を超えるVS(i)が算出された場合、候補要素が注目要素に関する偽陰性の要素であると判定し、候補要素を対象モジュールに取り入れる。Specifically, the
(ステップS10)  P値算出部137は、VS閾値を超えるVS(i)に対応する相関順位における対象モジュールに関する要素P値を、次式により算出する。(Step S10) The P-
上記(7)式において、Nは、入力データである多変量データの全要素数である。nは、対象モジュールの要素数である。edgeは、候補要素iの対象モジュール内のエッジ数edge(i)である。degreeは、候補要素iのディグリー数degree(i)である。q、rは、正の整数であって、r≦qである。In the above formula (7), N is the total number of elements of the multivariate data that is the input data. n is the number of elements in the target module. edge is the number of edges edge(i) in the target module of candidate element i. degree is the number of degrees degree(i) of candidate element i. q and r are positive integers, and r≦q.
なお、要素P値は、ステップS9の各相関順位におけるVS(i)を計算しながら(8)式の再帰公式を用いて計算してもよい。The element P value may be calculated using the recursive formula (8) while calculating VS(i) at each correlation rank in step S9.
  上記(8)式において、Nは、入力データである多変量データの全要素数である。nは、モジュールの要素数である。edgeは、候補要素iの対象モジュール内のエッジ数edge(i)である。degreeは、候補要素iのディグリー数degree(i)である。
  ステップS9のVS(i)を計算しながら(8)式の再帰公式を用いて要素P値を計算することによって、組み合わせの数の計算を省略することができ、処理の効率向上を図ることができる。  In the above formula (8), N is the total number of elements of the multivariate data that is the input data. n is the number of elements in the module. edge is the number of edges edge(i) in the target module of the candidate element i. degree is the number of degrees degree(i) of the candidate element i.
 By calculating the element P value using the recursive formula of equation (8) while calculating VS(i) in step S9, it is possible to omit the calculation of the number of combinations, thereby improving the processing efficiency.
図11は、シロイヌナズナのマイクロアレイデータ(要素数27127x9442サンプルのデータセット)を用いて、ピアソンの積率相関係数、MIN値「2」、MAX値「250」でFPO解析を完了した上、FNI解析(ステップS9からS13-2(後述)までを含め)の実施に要した時間を示す。本発明のとおり、ステップS9とステップS10を同時に実行させて要素P値の計算に再帰公式を採用したことで、解析時間が1/92と大幅に減少したことを表している。Figure 11 shows the time required to complete the FPO analysis using Arabidopsis microarray data (a data set of 27,127 elements x 9,442 samples) with Pearson's product-moment correlation coefficient, MIN value of "2", and MAX value of "250", and to perform the FNI analysis (including steps S9 to S13-2 (described below)). As per the present invention, steps S9 and S10 are executed simultaneously and a recursive formula is used to calculate the element P value, which shows that the analysis time was significantly reduced to 1/92.
  P値算出部137は、VS閾値を超えるVS(i)に対応する相関順位のうち要素P値が最小である相関順位に関する情報を、FNI解析における評価値情報126に格納する。要素P値が最小である相関順位の情報は、最も有意性があると判定できる相関順位の情報である。The P-
(ステップS11) FNI解析処理の対象の最終FPOモジュールの全てについて全要素に対するFNI解析処理が完了した場合(ステップS11、YES)ステップS12に進む。一方、まだFNI解析処理が未実行の要素がある場合(ステップS11、NO)ステップS9に戻り、FNI解析処理が未実行の要素を注目要素としてFNI解析処理を実行する。(Step S11) If the FNI analysis process has been completed for all elements of all final FPO modules that are the subject of the FNI analysis process (Step S11, YES), proceed to Step S12. On the other hand, if there are still elements for which the FNI analysis process has not been performed (Step S11, NO), return to Step S9 and perform the FNI analysis process on the elements for which the FNI analysis process has not been performed as the focus elements.
(ステップS12)  FNIアサイン処理部136は、FNI解析処理によって発生した複数の最終FPOモジュールで重複する候補要素に対して重複を解消するアサイン処理を実行する。アサイン処理では、次のアサイン判定基準を用いる。(Step S12) The FNI
  アサイン判定基準:候補要素iが重複する複数の対象モジュールに対して、以下の優先順位を用いる。
  VS(i)>「候補要素iを対象モジュールに取り入れた場合の上記(5)式のモジュールP値」>モジュールの要素数
  VS(i)が最優先であり、次いでモジュールP値が優先であり、次いでモジュールの要素数である。  Assignment Criteria: For multiple target modules with overlapping candidate elements i, the following priorities are used:
 VS(i)>"module P value of equation (5) above when candidate element i is incorporated into the target module">number of elements in the module VS(i) has top priority, followed by the module P value, and then the number of elements in the module.
  まず、VS(i)が最大の対象モジュールのみに候補要素iを残し、それ以外の対象モジュールから候補要素iを削除する。
  一方、VS(i)が同等である場合には、「候補要素iを対象モジュールに取り入れた場合の上記(5)式のモジュールP値」が最小の対象モジュールのみに候補要素iを残し、それ以外の対象モジュールから候補要素iを削除する。
  VS(i)が同等である、且つ「候補要素iを対象モジュールに取り入れた場合の上記(5)式のモジュールP値」が対象モジュール間で同等のときは、モジュールの要素数が最大である対象モジュールのみに候補要素iを残し、それ以外の対象モジュールから候補要素iを削除する。  First, the candidate element i is left only in the target module with the largest VS(i), and the candidate element i is removed from the other target modules.
 On the other hand, if VS(i) is equivalent, the candidate element i is left only in the target module having the smallest “module P value of equation (5) above when the candidate element i is incorporated into the target module,” and the candidate element i is removed from the other target modules.
 When VS(i) is equivalent and the "module P value of equation (5) above when candidate element i is incorporated into the target module" is equivalent between the target modules, the candidate element i is left only in the target module with the largest number of elements, and the candidate element i is deleted from the other target modules.
なお、アサイン処理は、FNI解析処理によって発生した複数のモジュール間の要素の重複を解消できればよく、上記したアサイン判定基準による処理に限定されない。例えば、モジュール統合処理(モジュラライズ処理)によって、重複する要素を持つモジュールの統合を行ってもよい。The assignment process is not limited to the process based on the above-mentioned assignment criteria, as long as it can eliminate overlapping elements between multiple modules that occur as a result of the FNI analysis process. For example, modules with overlapping elements may be integrated by a module integration process (modularization process).
  FNIアサイン処理部136は、アサイン処理後の最終FPOモジュールの情報を、最終モジュール情報127に格納する。最終モジュール情報127は、モジュール個別のファイルであってもよいし、全てのモジュールをまとめたファイルであってもよいし、又は、モジュール個別のファイル及び全てのモジュールをまとめたファイルの両方であってもよい。なお、アサイン処理前の最終FPOモジュールの情報を、記憶部12に記録してもよい。The FNI
本実施形態によれば、複数の最終FPOモジュールに対してFNI解析処理を行った結果として複数の最終FPOモジュールで重複する候補要素が発生した場合に、候補要素の重複を解消することができる。これにより、作業者は、FNI解析処理を実行する最終FPOモジュールを個別に指定する手間が省け、複数の最終FPOモジュールに対して一括でFNI解析処理を実行することができると共に、要素の重複がないFNI解析処理結果を得ることができる。According to this embodiment, when overlapping candidate elements occur in multiple final FPO modules as a result of performing FNI analysis processing on multiple final FPO modules, it is possible to eliminate the overlapping candidate elements. This saves the operator the trouble of individually specifying the final FPO module on which to perform the FNI analysis processing, and allows the operator to perform the FNI analysis processing on multiple final FPO modules in a batch, while also obtaining an FNI analysis processing result without overlapping elements.
(ステップS13-1)  FNIアサイン処理部136は、上記ステップS6-1のFPO解析部132と同様に、アサイン処理後の最終FPOモジュールそれぞれに対して、最終VF及び最終MFを算出する。アサイン処理後の最終FPOモジュールそれぞれに対して算出された最終VF及び最終MFは、評価値情報126に格納される。(Step S13-1) The FNI
(ステップS13-2)  P値算出部137は、アサイン処理後の最終FPOモジュールそれぞれに対して、上記の(5)式により、モジュールP値を算出する。アサイン処理後の最終FPOモジュールそれぞれに対して算出されたモジュールP値は、アサイン処理後のモジュールP値として評価値情報126に格納される。
  アサイン処理後のモジュールP値によって、作業者はアサイン処理後の最終FPOモジュールそれぞれの有意性を評価することができる。これにより、モジュールの信憑性を付加することができるようになる。(Step S13-2) The P
 The module P-value after the assignment process allows the operator to evaluate the significance of each final FPO module after the assignment process, thereby adding credibility to the module.
(ステップS14)  出力データ生成部138は、各種の出力データを生成する。出力データは、表示画面上にデータを表示したり、又はデータを印字したりすることができるデータである。例えば、出力データ生成部138は、アサイン処理後の最終FPOモジュールそれぞれの構成を表現する描画データを生成する。この描画データによって、アサイン処理後の最終FPOモジュールそれぞれの構成が描画されることで可視化される。(Step S14) The output
  例えば、出力データ生成部138は、FPO解析処理により得られた、各シード要素についての各ランクに対応するMFを示すグラフデータ(例えば図5Aに例示されるグラフデータなど)を生成してもよい。例えば、出力データ生成部138は、FPOモジュール統合処理により得られた、VF閾値別での統合結果を示すグラフデータ(例えば図9に例示されるグラフデータなど)を生成してもよい。For example, the output
  出力データ生成部138が生成した出力データは、入出力部11によって情報処理装置1の外部の装置へ出力されてもよいし、記憶部12に格納されてもよい。記憶部12に格納された出力データは、入出力部11によって、外部の装置へ出力可能である。The output data generated by the output
本実施形態によれば、例えばオミックス解析で取得された網羅的分子情報やビッグデータ等の多変量データに対する相関ネットワーク解析の精度向上を図ることができるという効果が得られる。According to this embodiment, it is possible to obtain the effect of improving the accuracy of correlation network analysis of multivariate data such as comprehensive molecular information obtained by omics analysis and big data.
以上、本発明の実施形態について図面を参照して詳述してきたが、具体的な構成はこの実施形態に限られるものではなく、本発明の要旨を逸脱しない範囲の設計変更等も含まれる。Although an embodiment of the present invention has been described in detail above with reference to the drawings, the specific configuration is not limited to this embodiment and also includes design modifications within the scope that does not deviate from the gist of the present invention.
  また、上述した各装置の機能を実現するためのコンピュータプログラムをコンピュータ読み取り可能な記録媒体に記録して、この記録媒体に記録されたプログラムをコンピュータシステムに読み込ませ、実行するようにしてもよい。なお、ここでいう「コンピュータシステム」とは、OSや周辺機器等のハードウェアを含むものであってもよい。
  また、「コンピュータシステム」は、WWWシステムを利用している場合であれば、ホームページ提供環境(あるいは表示環境)も含むものとする。
  また、「コンピュータ読み取り可能な記録媒体」とは、フレキシブルディスク、光磁気ディスク、ROM、フラッシュメモリ等の書き込み可能な不揮発性メモリ、DVD(Digital Versatile Disc)等の可搬媒体、コンピュータシステムに内蔵されるハードディスク等の記憶装置のことをいう。  In addition, a computer program for implementing the functions of each of the above-mentioned devices may be recorded on a computer-readable recording medium, and the program recorded on the recording medium may be read into a computer system and executed. Note that the term "computer system" may include hardware such as an OS and peripheral devices.
 Furthermore, if the "computer system" utilizes a WWW system, it also includes the home page providing environment (or display environment).
 In addition, the term "computer-readable recording medium" refers to a storage device such as a flexible disk, a magneto-optical disk, a ROM, a writable non-volatile memory such as a flash memory, a portable medium such as a DVD (Digital Versatile Disc), or a hard disk built into a computer system.
  さらに「コンピュータ読み取り可能な記録媒体」とは、インターネット等のネットワークや電話回線等の通信回線を介してプログラムが送信された場合のサーバやクライアントとなるコンピュータシステム内部の揮発性メモリ(例えばDRAM)のように、一定時間プログラムを保持しているものも含むものとする。
  また、上記プログラムは、このプログラムを記憶装置等に格納したコンピュータシステムから、伝送媒体を介して、あるいは、伝送媒体中の伝送波により他のコンピュータシステムに伝送されてもよい。ここで、プログラムを伝送する「伝送媒体」は、インターネット等のネットワーク(通信網)や電話回線等の通信回線(通信線)のように情報を伝送する機能を有する媒体のことをいう。
  また、上記プログラムは、前述した機能の一部を実現するためのものであってもよい。さらに、前述した機能をコンピュータシステムにすでに記録されているプログラムとの組み合わせで実現できるもの、いわゆる差分ファイル(差分プログラム)であってもよい。  Furthermore, the term "computer-readable recording medium" includes devices that retain a program for a certain period of time, such as volatile memory (e.g., DRAM) within a computer system that serves as a server or client when a program is transmitted via a network such as the Internet or a communication line such as a telephone line.
 The program may be transmitted from a computer system in which the program is stored in a storage device or the like to another computer system via a transmission medium, or by a transmission wave in the transmission medium. Here, the "transmission medium" that transmits the program refers to a medium that has a function of transmitting information, such as a network (communication network) such as the Internet or a communication line (communication line) such as a telephone line.
 The program may be a program for implementing some of the above-mentioned functions, or may be a so-called differential file (differential program) that can implement the above-mentioned functions in combination with a program already recorded in the computer system.
1…情報処理装置、11…入出力部、12…記憶部、121…相関ネットワーク解析プログラム、122…相関係数リスト、123…モジュール情報、124…モジュール統合情報、125…最終モジュール統合情報、126…評価値情報、127…最終モジュール情報、128…FPO解析済モジュールリスト、13…制御部、131…相関係数算出部、132…FPO解析部、133…FPOモジュール選定部、134…FPOモジュール統合部、135…FNI解析部、136…FNIアサイン処理部、137…P値算出部、138…出力データ生成部1...information processing device, 11...input/output unit, 12...memory unit, 121...correlation network analysis program, 122...correlation coefficient list, 123...module information, 124...module integration information, 125...final module integration information, 126...evaluation value information, 127...final module information, 128...FPO analyzed module list, 13...control unit, 131...correlation coefficient calculation unit, 132...FPO analysis unit, 133...FPO module selection unit, 134...FPO module integration unit, 135...FNI analysis unit, 136...FNI assignment processing unit, 137...P value calculation unit, 138...output data generation unit
| Application Number | Priority Date | Filing Date | Title | 
|---|---|---|---|
| JP2024034986 | 2024-09-30 | 
| Publication Number | Publication Date | 
|---|---|
| JP7660782B1true JP7660782B1 (en) | 2025-04-11 | 
| Application Number | Title | Priority Date | Filing Date | 
|---|---|---|---|
| JP2025507750AActiveJP7660782B1 (en) | 2024-09-30 | 2024-09-30 | Information processing device, information processing method, computer program, and computer-readable recording medium | 
| Country | Link | 
|---|---|
| JP (1) | JP7660782B1 (en) | 
| Publication number | Priority date | Publication date | Assignee | Title | 
|---|---|---|---|---|
| JP2017102910A (en)* | 2015-11-19 | 2017-06-08 | 公益財団法人かずさDna研究所 | Correlation network analysis program | 
| JP2018113007A (en)* | 2016-03-16 | 2018-07-19 | 株式会社インプランタイノベーションズ | Information processing apparatus, information processing method, and program | 
| Publication number | Priority date | Publication date | Assignee | Title | 
|---|---|---|---|---|
| JP2017102910A (en)* | 2015-11-19 | 2017-06-08 | 公益財団法人かずさDna研究所 | Correlation network analysis program | 
| JP2018113007A (en)* | 2016-03-16 | 2018-07-19 | 株式会社インプランタイノベーションズ | Information processing apparatus, information processing method, and program | 
| Title | 
|---|
| 萬年一斗、尾形善之、鈴木秀幸,多変量解析に一石を投じる-ConfeitoGUIplusの開発,生物工学会誌,日本,生物工学会,2017年,第95巻 第7号,pp.420-422,[online],[検索日 令和7年2月21日],インターネット <URL:https://www.sbj.or.jp/wp-content/uploads/fille/sbj/9507/9507_project_bio.pdf> | 
| 萬年一斗、尾形善之、鈴木秀幸: "多変量解析に一石を投じる−ConfeitoGUIplusの開発", 生物工学会誌, vol. 第95巻 第7号, JPN6025011556, 2017, JP, pages 420 - 422, ISSN: 0005558921* | 
| Publication | Publication Date | Title | 
|---|---|---|
| RU2694001C2 (en) | Method and system for creating a parameter of quality forecast for a forecasting model performed in a machine learning algorithm | |
| JP6839342B2 (en) | Information processing equipment, information processing methods and programs | |
| US10467547B1 (en) | Normalizing text attributes for machine learning models | |
| US20110295902A1 (en) | Taxonomic classification of metagenomic sequences | |
| WO2018157625A1 (en) | Reinforcement learning-based method for learning to rank and server | |
| CN111027629A (en) | Power distribution network fault outage rate prediction method and system based on improved random forest | |
| CN116798646B (en) | Snake injury prognosis prediction method and device based on clustering algorithm and electronic equipment | |
| CN108182200B (en) | Keyword expansion method and device based on semantic similarity | |
| CN116129189A (en) | Plant disease identification method, plant disease identification equipment, storage medium and plant disease identification device | |
| US20200244347A1 (en) | Systems and methods for expert guided rule based identification of relevant planetary images for downlinking over limited bandwidth | |
| JP2019053519A (en) | Classification device, classification method, and classification program | |
| Assegie | Exploring the performance of feature selection method using breast cancer dataset | |
| CN114548401B (en) | Recommendation model training method, device, computing equipment and medium | |
| JP7660782B1 (en) | Information processing device, information processing method, computer program, and computer-readable recording medium | |
| CN113569482B (en) | Tunnel service performance evaluation method, device, terminal and storage medium | |
| CN118656512B (en) | Low-quality image retrieval method | |
| JP7665879B1 (en) | Information processing device, information processing method, computer program, and computer-readable recording medium | |
| JP7747935B1 (en) | program | |
| CN111125329B (en) | Text information screening method, device and equipment | |
| CN118015381A (en) | Schizophrenia classification method and system based on image genomics | |
| CN118300825A (en) | Small sample threat stream detection method based on improved prototype network | |
| CN108170665B (en) | Keyword expansion method and device based on comprehensive similarity | |
| CN115147020B (en) | Decoration data processing method, device, equipment and storage medium | |
| CN114974462B (en) | Training method, device, equipment and storage medium for corrosion inhibition efficiency prediction model | |
| West et al. | RFQAmodel: Random Forest Quality Assessment to identify a predicted protein structure in the correct fold | 
| Date | Code | Title | Description | 
|---|---|---|---|
| A621 | Written request for application examination | Free format text:JAPANESE INTERMEDIATE CODE: A621 Effective date:20250212 | |
| A871 | Explanation of circumstances concerning accelerated examination | Free format text:JAPANESE INTERMEDIATE CODE: A871 Effective date:20250212 | |
| TRDD | Decision of grant or rejection written | ||
| A01 | Written decision to grant a patent or to grant a registration (utility model) | Free format text:JAPANESE INTERMEDIATE CODE: A01 Effective date:20250325 | |
| A61 | First payment of annual fees (during grant procedure) | Free format text:JAPANESE INTERMEDIATE CODE: A61 Effective date:20250401 | |
| R150 | Certificate of patent or registration of utility model | Ref document number:7660782 Country of ref document:JP Free format text:JAPANESE INTERMEDIATE CODE: R150 |