



























































































(関連出願の相互参照)
本出願は、米国特許法第119条(e)の下で、その開示全体が参照により本明細書に組み込まれる、「CONTROLLING AN ULTRASONIC SURGICAL INSTRUMENT ACCORDING TO TISSUE LOCATION」と題する2018年8月23日出願の米国特許仮出願第62/721,995号に対する優先権を主張する。(Cross reference to related applications)
This application is filed August 23, 2018, entitled "CONTROLLING AN ULTRASONIC SURGICAL INSTRUMENT ACCORDING TO TISSUE LOCATION," the entire disclosure of which is incorporated herein by reference under 35 U.S.C. 119(e). claims priority to U.S. Provisional Patent Application No. 62/721,995.
本出願は、米国特許法第119条(e)の下で、その開示全体が参照により本明細書に組み込まれる、「SITUATIONAL AWARENESS OF ELECTROSURGICAL SYSTEMS」と題する2018年8月23日出願の米国特許仮出願第62/721,998号に対する優先権を主張する。 This application is filed under 35 U.S.C. 119(e) under U.S. Pat. Claims priority to Application No. 62/721,998.
本出願は、米国特許法第119条(e)の下で、その開示全体が参照により本明細書に組み込まれる、「INTERRUPTION OF ENERGY DUE TO INADVERTENT CAPACITIVE COUPLING」と題する2018年8月23日出願の米国特許仮出願第62/721,999号に対する優先権を主張する。 This application is filed on August 23, 2018, entitled "INTERRUPTION OF ENERGY DUE TO INADVERTENT CAPACITIVE COUPLING," the entire disclosure of which is incorporated herein by reference under 35 U.S.C. Claims priority to U.S. Provisional Patent Application No. 62/721,999.
本出願は、米国特許法第119条(e)の下で、その開示全体が参照により本明細書に組み込まれる、「BIPOLAR COMBINATION DEVICE THAT AUTOMATICALLY ADJUSTS PRESSURE BASED ON ENERGY MODALITY」と題する2018年8月23日出願の米国特許仮出願第62/721,994号に対する優先権を主張する。 This application is filed under 35 U.S.C. 119(e) entitled "BIPOLAR COMBINATION DEVICE THAT AUTOMATICALLY ADJUSTS PRESSURE BASED ON ENERGY MODALITY," the entire disclosure of which is incorporated herein by reference. August 23, 2018 Claims priority to U.S. Provisional Patent Application No. 62/721,994, filed in Japan.
本出願は、米国特許法第119条(e)の下で、その開示全体が参照により本明細書に組み込まれる、「RADIO FREQUENCY ENERGY DEVICE FOR DELIVERING COMBINED ELECTRICAL SIGNALS」と題する2018年8月23日出願の米国特許仮出願第62/721,996号に対する優先権を主張する。 This application is filed August 23, 2018, entitled "RADIO FREQUENCY ENERGY DEVICE FOR DELIVERING COMBINED ELECTRICAL SIGNALS," the entire disclosure of which is incorporated herein by reference under 35 U.S.C. 119(e). claims priority to U.S. Provisional Patent Application No. 62/721,996.
本出願は更に、米国特許法第119条(e)の下で、各開示の全体が参照により本明細書に組み込まれる、「SMART ACTIVATION OF AN ENERGY DEVICE BY ANOTHER DEVICE」と題する2018年6月30日出願の米国特許仮出願第62/692,747号、「SMART ENERGY ARCHITECTURE」と題する2018年6月30日出願の米国特許仮出願第62/692,748号、及び「SMART ENERGY DEVICES」と題する2018年6月30日出願の米国特許仮出願第62/692,768号に対する優先権を主張する。 This application is further filed under 35 U.S.C. 119(e) entitled "SMART ACTIVATION OF AN ENERGY DEVICE BY ANOTHER DEVICE" filed June 30, 2018, each disclosure of which is incorporated herein by reference in its entirety. U.S. Provisional Patent Application No. 62/692,747, filed June 30, 2018, entitled “SMART ENERGY ARCHITECTURE,” and U.S. Provisional Patent Application No. 62/692,748, filed June 30, 2018, entitled “SMART ENERGY DEVICE.” Claims priority to U.S. Provisional Patent Application No. 62/692,768, filed June 30, 2018.
本出願は更に、米国特許法第119条(e)の下で、その各々の開示は参照によりその全体が本明細書に組み込まれる、「TEMPERATURE CONTROL IN ULTRASONIC DEVICE AND CONTROL SYSTEM THEREFOR」と題する2018年3月8日出願の米国特許仮出願第62/640,417号、及び「ESTIMATING STATE OF ULTRASONIC END EFFECTOR AND CONTROL SYSTEM THEREFOR」と題する2018年3月8日出願の米国特許仮出願第62/640,415号に対する優先権の利益を主張する。 This application is further filed under 35 U.S.C. 119(e) in a 2018 patent application entitled "TEMPERATURE CONTROL IN ULTRASONIC DEVICE AND CONTROL SYSTEM THEREFOR," each disclosure of which is incorporated herein by reference in its entirety. U.S. Provisional Patent Application No. 62/640,417, filed March 8, and U.S. Provisional Patent Application No. 62/64, filed March 8, 2018, entitled “ESTIMATION STATE OF ULTRASONIC END EFFECTOR AND CONTROL SYSTEM THEREFOR.” 0, Claims priority interest over No. 415.
本出願は更に、米国特許法第119条(e)の下で、各開示の全体が参照により本明細書に組み込まれる、「CAPACITIVE COUPLED RETURN PATH PAD WITH SEPARABLE ARRAY ELEMENTS」と題する2018年3月30日出願の米国特許仮出願第62/650,898号、「SURGICAL SYSTEMS WITH OPTIMIZED SENSING CAPABILITIES」と題する2018年3月30日出願の米国特許仮出願第62/650,887号、「SMOKE EVACUATION MODULE FOR INTERACTIVE SURGICAL PLATFORM」と題する2018年3月30日出願の米国特許仮出願第62/650,882号、及び「SURGICAL SMOKE EVACUATION SENSING AND CONTROLS」と題する2018年3月30日出願の米国特許仮出願第62/650,877号の優先権の利益を主張する。 This application is further filed under 35 U.S.C. 119(e) entitled "CAPACITIVE COUPLED RETURN PATH PAD WITH SEPARABLE ARRAY ELEMENTS," each disclosure of which is hereby incorporated by reference in its entirety on March 30, 2018. U.S. Provisional Patent Application No. 62/650,887, filed March 30, 2018, entitled “SURGICAL SYSTEMS WITH OPTIMIZED SENSING CAPABILITIES”; ION MODULE FOR US Provisional Patent Application No. 62/650,882, filed March 30, 2018, entitled “INTERACTIVE SURGICAL PLATFORM” and March 2018, entitled “SURGICAL SMOKE EVACUATION SENSING AND CONTROLS.” U.S. provisional patent application filed on the 30th No. 62/650,877 claims priority.
本出願は更に、米国特許法第119条(e)の下で、各開示の全体が参照により本明細書に組み込まれる、「INTERACTIVE SURGICAL PLATFORM」と題する2017年12月28日出願の米国特許仮出願第62/611,341号、「CLOUD-BASED MEDICAL ANALYTICS」と題する2017年12月28日出願の米国特許仮出願第62/611,340号、及び「ROBOT ASSISTED SURGICAL PLATFORM」と題する2017年12月28日出願の米国特許仮出願第62/611,339号の優先権の利益を主張する。 This application further relates to a United States provisional patent filed December 28, 2017 entitled "INTERACTIVE SURGICAL PLATFORM," each disclosure of which is incorporated herein by reference in its entirety under 35 U.S.C. 119(e). Application No. 62/611,341, filed December 28, 2017, entitled "CLOUD-BASED MEDICAL ANALYTICS," and U.S. Provisional Application No. 62/611,340, filed December 28, 2017, entitled "ROBOT ASSISTED SURGICAL PLATFORM." 12 claims priority to U.S. Provisional Patent Application No. 62/611,339, filed May 28, 2009.
外科環境では、スマートエネルギーアーキテクチャ環境内のスマートエネルギー装置が必要とされる場合がある。 In a surgical environment, smart energy devices within a smart energy architecture environment may be required.
一般的な一態様では、超音波外科用器具のための超音波電気機械システム。超音波電気機械システムは、超音波ブレードと、超音波ブレードに音響的に結合された超音波変換器と、超音波変換器に結合された制御回路と、を備える。超音波変換器は、駆動信号に応答して超音波ブレードを超音波振動させるように構成されている。制御回路は、超音波電気機械システムの第1の共振周波数を決定するように、超音波ブレードが組織に対して振動するときの超音波電気機械システムの第2の共振周波数を決定するように、及び第1の共振周波数と第2の共振周波数の比較に従って、超音波外科用器具の状態を決定するように構成される。 In one general aspect, an ultrasonic electromechanical system for an ultrasonic surgical instrument. The ultrasonic electromechanical system includes an ultrasonic blade, an ultrasonic transducer acoustically coupled to the ultrasonic blade, and a control circuit coupled to the ultrasonic transducer. The ultrasonic transducer is configured to ultrasonically vibrate the ultrasonic blade in response to the drive signal. The control circuit is configured to determine a first resonant frequency of the ultrasonic electromechanical system and to determine a second resonant frequency of the ultrasonic electromechanical system as the ultrasonic blade vibrates against the tissue. and configured to determine a state of the ultrasonic surgical instrument according to a comparison of the first resonant frequency and the second resonant frequency.
別の一般的な態様では、超音波外科用器具の超音波電気機械システムに接続可能な超音波発生器。超音波電気機械システムは、超音波ブレードと、超音波ブレードに音響的に結合された超音波変換器と、を備える。超音波発生器は、超音波変換器に結合可能な制御回路を備える。制御回路は、駆動信号を超音波変換器に印加して、超音波ブレードを振動させるように、超音波電気機械システムの第1の共振周波数を決定するように、超音波ブレードが組織に対して振動するときの超音波電気機械システムの第2の共振周波数を決定するように、及び第1の共振周波数と第2の共振周波数の比較に従って、超音波外科用器具の状態を決定するように構成される。 In another general aspect, an ultrasound generator connectable to an ultrasound electromechanical system of an ultrasound surgical instrument. The ultrasonic electromechanical system includes an ultrasonic blade and an ultrasonic transducer acoustically coupled to the ultrasonic blade. The ultrasound generator includes a control circuit coupled to the ultrasound transducer. The control circuit applies a drive signal to the ultrasonic transducer to cause the ultrasonic blade to vibrate and to determine a first resonant frequency of the ultrasonic electromechanical system to cause the ultrasonic blade to vibrate relative to the tissue. configured to determine a second resonant frequency of the ultrasonic electromechanical system when vibrating and to determine a state of the ultrasonic surgical instrument according to a comparison of the first resonant frequency and the second resonant frequency. be done.
別の一般的な態様では、超音波外科用器具の超音波電気機械システムを制御する方法。超音波電気機械システムは、超音波ブレードと、超音波ブレードに音響的に結合された超音波変換器と、を備える。本方法は、超音波電気機械システムに結合された制御回路によって、超音波電気機械システムの固有共振周波数を決定することと、制御回路によって、超音波ブレードが振動するときの超音波電気機械システムの共振周波数を監視することと、制御回路によって、超音波電気機械システムの共振周波数が固有共振周波数から逸脱したかどうかに従って、超音波電気機械システムの状態の変化が発生したかどうかを判定することと、を含む。 In another general aspect, a method of controlling an ultrasonic electromechanical system of an ultrasonic surgical instrument. The ultrasonic electromechanical system includes an ultrasonic blade and an ultrasonic transducer acoustically coupled to the ultrasonic blade. The method includes determining, by a control circuit coupled to the ultrasonic electromechanical system, a natural resonant frequency of the ultrasonic electromechanical system; monitoring a resonant frequency and determining, by the control circuit, whether a change in state of the ultrasonic electromechanical system has occurred according to whether the resonant frequency of the ultrasonic electromechanical system has deviated from a natural resonant frequency; ,including.
様々な態様の特徴が、添付された特許請求の範囲で詳細に説明される。ただし、機構、及び動作の方法の両方についての様々な態様は、それらの更なる目的及び利点と共に、以降の添付図面と併せて、以下の説明を参照することにより最もよく理解することができる。
本願の出願人は、各開示の全体が参照により本明細書に組み込まれる、2018年8月28日出願の以下の米国特許出願を所有する。
・「ESTIMATING STATE OF ULTRASONIC END EFFECTOR AND CONTROL SYSTEM THEREFOR」と題する米国特許出願整理番号END8536USNP2/180107-2、
・「TEMPERATURE CONTROL OF ULTRASONIC END EFFECTOR AND CONTROL SYSTEM THEREFOR」と題する米国特許出願整理番号END8560USNP2/180106-2、
・「RADIO FREQUENCY ENERGY DEVICE FOR DELIVERING COMBINED ELECTRICAL SIGNALS」と題する米国特許出願整理番号END8561USNP1/180144-1、
・「CONTROLLING AN ULTRASONIC SURGICAL INSTRUMENT ACCORDING TO TISSUE LOCATION」と題する米国特許出願整理番号END8563USNP1/180139-1号、
・「CONTROLLING ACTIVATION OF AN ULTRASONIC SURGICAL INSTRUMENT ACCORDING TO THE PRESENCE OF TISSUE」と題する米国特許出願整理番号END8563USNP2/180139-2、
・「DETERMINING TISSUE COMPOSITION VIA AN ULTRASONIC SYSTEM」と題する米国特許出願整理番号END8563USNP3/180139-3、
・「DETERMINING THE STATE OF AN ULTRASONIC END EFFECTOR」と題する米国特許出願整理番号END8563USNP5/180139-5、
・「SITUATIONAL AWARENESS OF ELECTROSURGICAL SYSTEMS」と題する米国特許出願整理番号END8564USNP1/180140-1、
・「MECHANISMS FOR CONTROLLING DIFFERENT ELECTROMECHANICAL SYSTEMS OF AN ELECTROSURGICAL INSTRUMENT」と題する米国特許出願整理番号END8564USNP2/180140-2、
・「DETECTION OF END EFFECTOR IMMERSION IN LIQUID」と題する米国特許出願整理番号END8564USNP3/180140-3、
・「INTERRUPTION OF ENERGY DUE TO INADVERTENT CAPACITIVE COUPLING」と題する米国特許出願整理番号END8565USNP1/180142-1、
・「INCREASING RADIO FREQUENCY TO CREATE PAD-LESS MONOPOLAR LOOP」と題する米国特許出願整理番号END8565USNP2/180142-2、
・「BIPOLAR COMBINATION DEVICE THAT AUTOMATICALLY ADJUSTS PRESSURE BASED ON ENERGY MODALITY」と題する米国特許出願整理番号END8566USNP1/180143-1、及び
・「ACTIVATION OF ENERGY DEVICES」と題する米国特許出願整理番号END8573USNP1/180145-1。The applicant of this application owns the following United States patent applications filed August 28, 2018, the disclosures of each of which are incorporated herein by reference in their entirety.
- U.S. Patent Application Docket No. END8536USNP2/180107-2 entitled "ESTIMATING STATE OF ULTRASONIC END EFFECTOR AND CONTROL SYSTEM THEREFOR";
- United States patent application docket number END8560USNP2/180106-2 entitled "TEMPERATURE CONTROL OF ULTRASONIC END EFFECTOR AND CONTROL SYSTEM THEREFOR";
- U.S. Patent Application Docket No. END8561USNP1/180144-1 entitled "RADIO FREQUENCY ENERGY DEVICE FOR DELIVERING COMBINED ELECTRICAL SIGNALS";
- United States Patent Application Docket No. END8563USNP1/180139-1 entitled "CONTROLLING AN ULTRASONIC SURGICAL INSTRUMENT ACCORDING TO TISSUE LOCATION";
・U.S. Patent Application Docket No. END8563USNP2/18 entitled "CONTROLLING ACTIVATION OF AN ULTRASONIC SURGICAL INSTRUMENT ACCORDING TO THE PRESENCE OF TISSUE" 0139-2,
- United States patent application docket number END8563USNP3/180139-3 entitled "DETERMINING TISSUE COMPOSITION VIA AN ULTRASONIC SYSTEM";
- United States patent application docket number END8563USNP5/180139-5 entitled "DETERMINING THE STATE OF AN ULTRASONIC END EFFECTOR";
- United States Patent Application Docket No. END8564USNP1/180140-1 entitled "SITUATIONAL AWARENESS OF ELECTROSURGICAL SYSTEMS";
- U.S. Patent Application Docket No. END8564USNP2/18 entitled "MECHANISMS FOR CONTROLLING DIFFERENT ELECTROMECHANICAL SYSTEMS OF AN ELECTROSURGICAL INSTRUMENT" 0140-2,
- United States patent application docket number END8564USNP3/180140-3 entitled "DETECTION OF END EFFECTOR IMMERSION IN LIQUID";
- United States Patent Application Docket No. END8565USNP1/180142-1 entitled "INTERRUPTION OF ENERGY DUE TO INADVERTENT CAPACITIVE COUPLING";
- United States patent application docket number END8565USNP2/180142-2 entitled "INCREASING RADIO FREQUENCY TO CREATE PAD-LESS MONOPOLAR LOOP";
- U.S. Patent Application Docket No. END8566USNP1/180143-1 entitled "BIPOLAR COMBINATION DEVICE THAT AUTOMATICALLY ADJUSTS PRESSURE BASED ON ENERGY MODALITY," and - United States Patent Application Docket No. END8573USNP1/180145-1 entitled ``ACTIVATION OF ENERGY DEVICES.''
本願の出願人は、各開示の全体が参照により本明細書に組み込まれる、2018年8月23日出願の以下の米国特許出願を所有する。
・「CONTROLLING AN ULTRASONIC SURGICAL INSTRUMENT ACCORDING TO TISSUE LOCATION」と題する米国特許仮出願第62/721,995号、
・「SITUATIONAL AWARENESS OF ELECTROSURGICAL SYSTEMS」と題する米国特許仮出願第62/721,998号、
・「INTERRUPTION OF ENERGY DUE TO INADVERTENT CAPACITIVE COUPLING」と題する米国特許仮出願第62/721,999号、
・「BIPOLAR COMBINATION DEVICE THAT AUTOMATICALLY ADJUSTS PRESSURE BASED ON ENERGY MODALITY」と題する米国特許仮出願第62/721,994号、及び
・「RADIO FREQUENCY ENERGY DEVICE FOR DELIVERING COMBINED ELECTRICAL SIGNALS」と題する米国特許仮出願第62/721,996号。The applicant of this application owns the following United States patent applications filed August 23, 2018, the disclosures of each of which are incorporated herein by reference in their entirety.
- U.S. Provisional Patent Application No. 62/721,995 entitled "CONTROLLING AN ULTRASONIC SURGICAL INSTRUMENT ACCORDING TO TISSUE LOCATION";
- U.S. Provisional Patent Application No. 62/721,998 entitled "SITUATIONAL AWARENESS OF ELECTROSURGICAL SYSTEMS";
- U.S. Provisional Patent Application No. 62/721,999 entitled "INTERRUPTION OF ENERGY DUE TO INADVERTENT CAPACITIVE COUPLING";
- U.S. Provisional Patent Application No. 62/721,994 entitled "BIPOLAR COMBINATION DEVICE THAT AUTOMATICALLY ADJUSTS PRESSURE BASED ON ENERGY MODALITY," and - "RADIO F REQUENCY ENERGY DEVICE FOR DELIVERING COMBINED ELECTRICAL SIGNALS” U.S. Provisional Patent Application No. 62/ No. 721,996.
本願の出願人は、各開示の全体が参照により本明細書に組み込まれる、2018年6月30日出願の以下の米国特許出願を所有する。
・「SMART ACTIVATION OF AN ENERGY DEVICE BY ANOTHER DEVICE」と題する米国特許仮出願第62/692,747号、
・「SMART ENERGY ARCHITECTURE」と題する米国特許仮出願第62/692,748号、及び
・「SMART ENERGY DEVICES」と題する米国特許仮出願第62/692,768号。The applicant of this application owns the following United States patent applications filed June 30, 2018, the disclosures of each of which are incorporated herein by reference in their entirety.
- U.S. Provisional Patent Application No. 62/692,747 entitled "SMART ACTIVATION OF AN ENERGY DEVICE BY ANOTHER DEVICE";
- U.S. Provisional Patent Application No. 62/692,748, entitled "SMART ENERGY ARCHITECTURE," and - U.S. Provisional Patent Application No. 62/692,768, entitled "SMART ENERGY DEVICES."
本願の出願人は、各開示の全体が参照により本明細書に組み込まれる、2018年6月29日出願の以下の米国特許出願を所有する。
・「CAPACITIVE COUPLED RETURN PATH PAD WITH SEPARABLE ARRAY ELEMENTS」と題する米国特許出願第16/024,090号、
・「CONTROLLING A SURGICAL INSTRUMENT ACCORDING TO SENSED CLOSURE PARAMETERS」と題する米国特許出願第16/024,057号、
・「SYSTEMS FOR ADJUSTING END EFFECTOR PARAMETERS BASED ON PERIOPERATIVE INFORMATION」と題する米国特許出願第16/024,067号、
・「SAFETY SYSTEMS FOR SMART POWERED SURGICAL STAPLING」と題する米国特許出願第16/024,075号、
・「SAFETY SYSTEMS FOR SMART POWERED SURGICAL STAPLING」と題する米国特許出願第16/024,083号、
・「SURGICAL SYSTEMS FOR DETECTING END EFFECTOR TISSUE DISTRIBUTION IRREGULARITIES」と題する米国特許出願第16/024,094号、
・「SYSTEMS FOR DETECTING PROXIMITY OF SURGICAL END EFFECTOR TO CANCEROUS TISSUE」と題する米国特許出願第16/024,138号、
・「SURGICAL INSTRUMENT CARTRIDGE SENSOR ASSEMBLIES」と題する米国特許出願第16/024,150号、
・「VARIABLE OUTPUT CARTRIDGE SENSOR ASSEMBLY」と題する米国特許出願第16/024,160号、
・「SURGICAL INSTRUMENT HAVING A FLEXIBLE ELECTRODE」と題する米国特許出願第16/024,124号、
・「SURGICAL INSTRUMENT HAVING A FLEXIBLE CIRCUIT」と題する米国特許出願第16/024,132号、
・「SURGICAL INSTRUMENT WITH A TISSUE MARKING ASSEMBLY」と題する米国特許出願第16/024,141号、
・「SURGICAL SYSTEMS WITH PRIORITIZED DATA TRANSMISSION CAPABILITIES」と題する米国特許出願第16/024,162号、
・「SURGICAL EVACUATION SENSING AND MOTOR CONTROL」と題する米国特許出願第16/024,066号、
・「SURGICAL EVACUATION SENSOR ARRANGEMENTS」と題する米国特許出願第16/024,096号、
・「SURGICAL EVACUATION FLOW PATHS」と題する米国特許出願第16/024,116号、
・「SURGICAL EVACUATION SENSING AND GENERATOR CONTROL」と題する米国特許出願第16/024,149号、
・「SURGICAL EVACUATION SENSING AND DISPLAY」と題する米国特許出願第16/024,180号、
・「COMMUNICATION OF SMOKE EVACUATION SYSTEM PARAMETERS TO HUB OR CLOUD IN SMOKE EVACUATION MODULE FOR INTERACTIVE SURGICAL PLATFORM」と題する米国特許出願第16/024,245号、
・「SMOKE EVACUATION SYSTEM INCLUDING A SEGMENTED CONTROL CIRCUIT FOR INTERACTIVE SURGICAL PLATFORM」と題する米国特許出願第16/024,258号、
・「SURGICAL EVACUATION SYSTEM WITH A COMMUNICATION CIRCUIT FOR COMMUNICATION BETWEEN A FILTER AND A SMOKE EVACUATION DEVICE」と題する米国特許出願第16/024,265号、及び
・「DUAL IN-SERIES LARGE AND SMALL DROPLET FILTERS」と題する米国特許出願第16/024,273号。The applicant of this application owns the following United States patent applications filed June 29, 2018, the disclosures of each of which are incorporated herein by reference in their entirety.
- U.S. Patent Application No. 16/024,090 entitled "CAPACITIVE COUPLED RETURN PATH PAD WITH SEPARABLE ARRAY ELEMENTS";
- U.S. Patent Application No. 16/024,057 entitled "CONTROLLING A SURGICAL INSTRUMENT ACCORDING TO SENSED CLOSURE PARAMETERS";
- U.S. Patent Application No. 16/024,067 entitled "SYSTEMS FOR ADJUSTING END EFFECTOR PARAMETERS BASED ON PERIOPERATIVE INFORMATION";
- U.S. Patent Application No. 16/024,075 entitled "SAFETY SYSTEMS FOR SMART POWERED SURGICAL STAPLING";
- U.S. Patent Application No. 16/024,083 entitled "SAFETY SYSTEMS FOR SMART POWERED SURGICAL STAPLING";
- U.S. Patent Application No. 16/024,094 entitled "SURGICAL SYSTEMS FOR DETECTING END EFFECTOR TISSUE DISTRIBUTION IRREGULARITIES";
- U.S. Patent Application No. 16/024,138 entitled "SYSTEMS FOR DETECTING PROXIMITY OF SURGICAL END EFFECTOR TO CANCEROUS TISSUE";
- U.S. Patent Application No. 16/024,150 entitled "SURGICAL INSTRUMENT CARTRIDGE SENSOR ASSEMBLIES";
- U.S. Patent Application No. 16/024,160 entitled "VARIABLE OUTPUT CARTRIDGE SENSOR ASSEMBLY";
- U.S. Patent Application No. 16/024,124 entitled "SURGICAL INSTRUMENT HAVING A FLEXIBLE ELECTRODE";
- U.S. Patent Application No. 16/024,132 entitled "SURGICAL INSTRUMENT HAVING A FLEXIBLE CIRCUIT";
- U.S. Patent Application No. 16/024,141 entitled "SURGICAL INSTRUMENT WITH A TISSUE MARKING ASSEMBLY";
- U.S. Patent Application No. 16/024,162 entitled "SURGICAL SYSTEMS WITH PRIORITIZED DATA TRANSMISSION CAPABILITIES";
- U.S. Patent Application No. 16/024,066 entitled "SURGICAL EVACUATION SENSING AND MOTOR CONTROL";
- U.S. Patent Application No. 16/024,096 entitled "SURGICAL EVACUATION SENSOR ARRANGEMENTS";
- U.S. Patent Application No. 16/024,116 entitled "SURGICAL EVACUATION FLOW PATHS";
- U.S. Patent Application No. 16/024,149 entitled "SURGICAL EVACUATION SENSING AND GENERATOR CONTROL";
- U.S. Patent Application No. 16/024,180 entitled "SURGICAL EVACUATION SENSING AND DISPLAY";
・“COMMUNICATION OF SMOKE EVACUATION SYSTEM PARAMETERS TO HUB OR CLOUD IN SMOKE EVACUATION MODULE FOR INTERACTIVE SURGICAL U.S. Patent Application No. 16/024,245 entitled ``PLATFORM'';
- U.S. Patent Application No. 16/024,258 entitled "SMOKE EVACUATION SYSTEM INCLUDING A SEGMENTED CONTROL CIRCUIT FOR INTERACTIVE SURGICAL PLATFORM";
・“SURGICAL EVACUATION SYSTEM WITH A COMMUNICATION CIRCUIT FOR COMMUNICATION BETWEEN A FILTER AND A SMOKE EVACUATION DEVIC U.S. Patent Application No. 16/024,265 entitled ``DUAL IN-SERIES LARGE AND SMALL DROPLET FILTERS.'' Application No. 16/024,273.
本願の出願人は、各開示の全体が参照により本明細書に組み込まれる、2018年6月28日出願の以下の米国特許仮出願を所有する。
・「A METHOD OF USING REINFORCED FLEX CIRCUITS WITH MULTIPLE SENSORS WITH ELECTROSURGICAL DEVICES」と題する米国特許仮出願第62/691,228号、
・「CONTROLLING A SURGICAL INSTRUMENT ACCORDING TO SENSED CLOSURE PARAMETERS」と題する米国特許仮出願第62/691,227号、
・「SURGICAL INSTRUMENT HAVING A FLEXIBLE ELECTRODE」と題する米国特許仮出願第62/691,230号、
・「SURGICAL EVACUATION SENSING AND MOTOR CONTROL」と題する米国特許仮出願第62/691,219号、
・「COMMUNICATION OF SMOKE EVACUATION SYSTEM PARAMETERS TO HUB OR CLOUD IN SMOKE EVACUATION MODULE FOR INTERACTIVE SURGICAL PLATFORM」と題する米国特許仮出願第62/691,257号、
・「SURGICAL EVACUATION SYSTEM WITH A COMMUNICATION CIRCUIT FOR COMMUNICATION BETWEEN A FILTER AND A SMOKE EVACUATION DEVICE」と題する米国特許仮出願第62/691,262号、及び
・「DUAL IN-SERIES LARGE AND SMALL DROPLET FILTERS」と題する米国特許仮出願第62/691,251号。The applicant of this application owns the following U.S. provisional patent applications filed June 28, 2018, the disclosures of each of which are incorporated herein by reference in their entirety.
- U.S. Provisional Patent Application No. 62/691,228 entitled "A METHOD OF USING REINFORCED FLEX CIRCUITS WITH MULTIPLE SENSORS WITH ELECTROSURGICAL DEVICES,"
- U.S. Provisional Patent Application No. 62/691,227 entitled "CONTROLLING A SURGICAL INSTRUMENT ACCORDING TO SENSED CLOSURE PARAMETERS";
- U.S. Provisional Patent Application No. 62/691,230 entitled "SURGICAL INSTRUMENT HAVING A FLEXIBLE ELECTRODE";
- U.S. Provisional Patent Application No. 62/691,219 entitled "SURGICAL EVACUATION SENSING AND MOTOR CONTROL";
・“COMMUNICATION OF SMOKE EVACUATION SYSTEM PARAMETERS TO HUB OR CLOUD IN SMOKE EVACUATION MODULE FOR INTERACTIVE SURGICAL U.S. Provisional Patent Application No. 62/691,257 entitled ``PLATFORM'';
・“SURGICAL EVACUATION SYSTEM WITH A COMMUNICATION CIRCUIT FOR COMMUNICATION BETWEEN A FILTER AND A SMOKE EVACUATION DEVIC U.S. Provisional Patent Application No. 62/691,262 entitled ``DUAL IN-SERIES LARGE AND SMALL DROPLET FILTERS''; Provisional Patent Application No. 62/691,251.
本願の出願人は、各開示の全体が参照により本明細書に組み込まれる、2018年4月19日出願の以下の米国特許仮出願を所有する。
・「METHOD OF HUB COMMUNICATION」と題する米国特許仮出願第62/659,900号。The applicant of this application owns the following U.S. provisional patent applications filed April 19, 2018, the disclosures of each of which are incorporated herein by reference in their entirety.
- U.S. Provisional Patent Application No. 62/659,900 entitled "METHOD OF HUB COMMUNICATION."
本願の出願人は、各開示の全体が参照により本明細書に組み込まれる、2018年3月30日出願の以下の米国特許仮出願を所有する。
・「CAPACITIVE COUPLED RETURN PATH PAD WITH SEPARABLE ARRAY ELEMENTS」と題する2018年3月30日出願の米国特許仮出願第62/650,898号、
・「SURGICAL SYSTEMS WITH OPTIMIZED SENSING CAPABILITIES」と題する米国特許仮出願第62/650,887号、
・「SMOKE EVACUATION MODULE FOR INTERACTIVE SURGICAL PLATFORM」と題する米国特許仮出願第62/650,882号、及び
・「SURGICAL SMOKE EVACUATION SENSING AND CONTROLS」と題する米国特許仮出願第62/650,877号。The applicant of this application owns the following U.S. provisional patent applications filed March 30, 2018, the disclosures of each of which are incorporated herein by reference in their entirety.
- U.S. Provisional Patent Application No. 62/650,898, filed March 30, 2018, entitled “CAPACITIVE COUPLED RETURN PATH PAD WITH SEPARABLE ARRAY ELEMENTS”;
- U.S. Provisional Patent Application No. 62/650,887 entitled "SURGICAL SYSTEMS WITH OPTIMIZED SENSING CAPABILITIES";
- U.S. Provisional Patent Application No. 62/650,882 entitled "SMOKE EVACUATION MODULE FOR INTERACTIVE SURGICAL PLATFORM," and - "SURGICAL SMOKE EVACUATION SENSING AND US Provisional Patent Application No. 62/650,877 entitled ``CONTROLS''.
本願の出願人は、各開示の全体が参照により本明細書に組み込まれる、2018年3月29日出願の以下の米国特許出願を所有する。
・「INTERACTIVE SURGICAL SYSTEMS WITH ENCRYPTED COMMUNICATION CAPABILITIES」と題する米国特許出願第15/940,641号、
・「INTERACTIVE SURGICAL SYSTEMS WITH CONDITION HANDLING OF DEVICES AND DATA CAPABILITIES」と題する米国特許出願第15/940,648号、
・「SURGICAL HUB COORDINATION OF CONTROL AND COMMUNICATION OF OPERATING ROOM DEVICES」と題する米国特許出願第15/940,656号、
・「SPATIAL AWARENESS OF SURGICAL HUBS IN OPERATING ROOMS」と題する米国特許出願第15/940,666号、
・「COOPERATIVE UTILIZATION OF DATA DERIVED FROM SECONDARY SOURCES BY INTELLIGENT SURGICAL HUBS」と題する米国特許出願第15/940,670号、
・「SURGICAL HUB CONTROL ARRANGEMENTS」と題する米国特許出願第15/940,677号、
・「DATA STRIPPING METHOD TO INTERROGATE PATIENT RECORDS AND CREATE ANONYMIZED RECORD」と題する米国特許出願第15/940,632号、
・「COMMUNICATION HUB AND STORAGE DEVICE FOR STORING PARAMETERS AND STATUS OF A SURGICAL DEVICE TO BE SHARED WITH CLOUD BASED ANALYTICS SYSTEMS」と題する米国特許出願第15/940,640号、
・「SELF DESCRIBING DATA PACKETS GENERATED AT AN ISSUING INSTRUMENT」と題する米国特許出願第15/940,645号、
・「DATA PAIRING TO INTERCONNECT A DEVICE MEASURED PARAMETER WITH AN OUTCOME」と題する米国特許出願第15/940,649号、
・「SURGICAL HUB SITUATIONAL AWARENESS」と題する米国特許出願第15/940,654号、
・「SURGICAL SYSTEM DISTRIBUTED PROCESSING」と題する米国特許出願第15/940,663号、
・「AGGREGATION AND REPORTING OF SURGICAL HUB DATA」と題する米国特許出願第15/940,668号、
・「SURGICAL HUB SPATIAL AWARENESS TO DETERMINE DEVICES IN OPERATING THEATER」と題する米国特許出願第15/940,671号、
・「DISPLAY OF ALIGNMENT OF STAPLE CARTRIDGE TO PRIOR LINEAR STAPLE LINE」と題する米国特許出願第15/940,686号、
・「STERILE FIELD INTERACTIVE CONTROL DISPLAYS」と題する米国特許出願第15/940,700号、
・「COMPUTER IMPLEMENTED INTERACTIVE SURGICAL SYSTEMS」と題する米国特許出願第15/940,629号、
・「USE OF LASER LIGHT AND RED-GREEN-BLUE COLORATION TO DETERMINE PROPERTIES OF BACK SCATTERED LIGHT」と題する米国特許出願第15/940,704号、
・「CHARACTERIZATION OF TISSUE IRREGULARITIES THROUGH THE USE OF MONO-CHROMATIC LIGHT REFRACTIVITY」と題する米国特許出願第15/940,722号、及び
・「DUAL CMOS ARRAY IMAGING」と題する米国特許出願第15/940,742号。
・「ADAPTIVE CONTROL PROGRAM UPDATES FOR SURGICAL DEVICES」と題する米国特許出願第15/940,636号、
・「ADAPTIVE CONTROL PROGRAM UPDATES FOR SURGICAL HUBS」と題する米国特許出願第15/940,653号、
・「CLOUD-BASED MEDICAL ANALYTICS FOR CUSTOMIZATION AND RECOMMENDATIONS TO A USER」と題する米国特許出願第15/940,660号、
・「CLOUD-BASED MEDICAL ANALYTICS FOR LINKING OF LOCAL USAGE TRENDS WITH THE RESOURCE ACQUISITION BEHAVIORS OF LARGER DATA SET」と題する米国特許出願第15/940,679号、
・「CLOUD-BASED MEDICAL ANALYTICS FOR MEDICAL FACILITY SEGMENTED INDIVIDUALIZATION OF INSTRUMENT FUNCTION」と題する米国特許出願第15/940,694号、
・「CLOUD-BASED MEDICAL ANALYTICS FOR SECURITY AND AUTHENTICATION TRENDS AND REACTIVE MEASURES」と題する米国特許出願第15/940,634号、
・「DATA HANDLING AND PRIORITIZATION IN A CLOUD ANALYTICS NETWORK」と題する米国特許出願第15/940,706号、及び
・「CLOUD INTERFACE FOR COUPLED SURGICAL DEVICES」と題する米国特許出願第15/940,675号。
・「DRIVE ARRANGEMENTS FOR ROBOT-ASSISTED SURGICAL PLATFORMS」と題する米国特許出願第15/940,627号、
・「COMMUNICATION ARRANGEMENTS FOR ROBOT-ASSISTED SURGICAL PLATFORMS」と題する米国特許出願第15/940,637号、
・「CONTROLS FOR ROBOT-ASSISTED SURGICAL PLATFORMS」と題する米国特許出願第15/940,642号、
・「AUTOMATIC TOOL ADJUSTMENTS FOR ROBOT-ASSISTED SURGICAL PLATFORMS」と題する米国特許出願第15/940,676号、
・「CONTROLLERS FOR ROBOT-ASSISTED SURGICAL PLATFORMS」と題する米国特許出願第15/940,680号、
・「COOPERATIVE SURGICAL ACTIONS FOR ROBOT-ASSISTED SURGICAL PLATFORMS」と題する米国特許出願第15/940,683号、
・「DISPLAY ARRANGEMENTS FOR ROBOT-ASSISTED SURGICAL PLATFORMS」と題する米国特許出願第15/940,690号、及び
・「SENSING ARRANGEMENTS FOR ROBOT-ASSISTED SURGICAL PLATFORMS」と題する米国特許出願第15/940,711号。The applicant of this application owns the following United States patent applications filed March 29, 2018, the disclosures of each of which are incorporated herein by reference in their entirety.
- U.S. Patent Application No. 15/940,641 entitled "INTERACTIVE SURGICAL SYSTEMS WITH ENCRYPTED COMMUNICATION CAPABILITIES";
- U.S. Patent Application No. 15/940,648 entitled "INTERACTIVE SURGICAL SYSTEMS WITH CONDITION HANDLING OF DEVICES AND DATA CAPABILITIES";
- U.S. Patent Application No. 15/940,656 entitled "SURGICAL HUB COORDINATION OF CONTROL AND COMMUNICATION OF OPERATING ROOM DEVICES";
- U.S. Patent Application No. 15/940,666 entitled "SPATIAL AWARENESS OF SURGICAL HUBS IN OPERATING ROOMS";
- U.S. Patent Application No. 15/940,670 entitled "COOPERATIVE UTILIZATION OF DATA DERIVED FROM SECONDARY SOURCES BY INTELLIGENT SURGICAL HUBS";
- U.S. Patent Application No. 15/940,677 entitled "SURGICAL HUB CONTROL ARRANGEMENTS";
- U.S. Patent Application No. 15/940,632 entitled "DATA STRIPPING METHOD TO INTERROGATE PATIENT RECORDS AND CREATE ANONYMIZED RECORD";
・“COMMUNICATION HUB AND STORAGE DEVICE FOR STORING PARAMETERS AND STATUS OF A SURGICAL DEVICE TO BE SHARED WITH CLOUDS BAS U.S. Patent Application No. 15/940,640 entitled ``ED ANALYTICS SYSTEMS'';
- U.S. Patent Application No. 15/940,645 entitled "SELF DESCRIBING DATA PACKETS GENERATED AT AN ISSUING INSTRUMENT";
- U.S. Patent Application No. 15/940,649 entitled "DATA PAIRING TO INTERCONNECT A DEVICE MEASURED PARAMETER WITH AN OUTCOME";
- U.S. Patent Application No. 15/940,654 entitled "SURGICAL HUB SITUATIONAL AWARENESS";
- U.S. Patent Application No. 15/940,663 entitled "SURGICAL SYSTEM DISTRIBUTED PROCESSING";
- U.S. Patent Application No. 15/940,668 entitled "AGGREGATION AND REPORTING OF SURGICAL HUB DATA";
- U.S. Patent Application No. 15/940,671 entitled "SURGICAL HUB SPATIAL AWARENESS TO DETERMINE DEVICES IN OPERATING THEATER";
- U.S. Patent Application No. 15/940,686 entitled "DISPLAY OF ALIGNMENT OF STAPLE CARTRIDGE TO PRIOR LINEAR STAPLE LINE";
- U.S. Patent Application No. 15/940,700 entitled "STERILE FIELD INTERACTIVE CONTROL DISPLAYS";
- U.S. Patent Application No. 15/940,629 entitled "COMPUTER IMPLEMENTED INTERACTIVE SURGICAL SYSTEMS";
- U.S. Patent Application No. 15/940,704 entitled "USE OF LASER LIGHT AND RED-GREEN-BLUE COLORATION TO DETERMINE PROPERTIES OF BACK SCATTERED LIGHT";
U.S. Patent Application No. 15/940,722 entitled "CHARACTERIZATION OF TISSUE IRREGULARITIES THROUGH THE USE OF MONO-CHROMATIC LIGHT REFRACTIVITY," and U.S. Patent Application No. 15/940,742 entitled "DUAL CMOS ARRAY IMAGING."
- U.S. Patent Application No. 15/940,636 entitled "ADAPTIVE CONTROL PROGRAM UPDATES FOR SURGICAL DEVICES";
- U.S. Patent Application No. 15/940,653 entitled "ADAPTIVE CONTROL PROGRAM UPDATES FOR SURGICAL HUBS";
- U.S. Patent Application No. 15/940,660 entitled "CLOUD-BASED MEDICAL ANALYTICS FOR CUSTOMIZATION AND RECOMMENDATIONS TO A USER,"
・“CLOUD-BASED MEDICAL ANALYTICS FOR LINKING OF LOCAL USAGE TRENDS WITH THE RESOURCE ACQUISITION BEHAVIORS OF LARGE DATA U.S. Patent Application No. 15/940,679 entitled ``SET'';
- U.S. Patent Application No. 15/940, 6 entitled "CLOUD-BASED MEDICAL ANALYTICS FOR MEDICAL FACILITY SEGMENTED INDIVIDUALIZATION OF INSTRUMENT FUNCTION" No. 94,
- U.S. Patent Application No. 15/940,634 entitled "CLOUD-BASED MEDICAL ANALYTICS FOR SECURITY AND AUTHENTICATION TRENDS AND REACTIVE MEASURES";
- U.S. patent application Ser. US patent application Ser. No. 15/940,675 entitled ``ICAL DEVICES''.
- U.S. Patent Application No. 15/940,627 entitled "DRIVE ARRANGEMENTS FOR ROBOT-ASSISTED SURGICAL PLATFORMS";
- U.S. Patent Application No. 15/940,637 entitled "COMMUNICATION ARRANGEMENTS FOR ROBOT-ASSISTED SURGICAL PLATFORMS";
- U.S. Patent Application No. 15/940,642 entitled "CONTROLS FOR ROBOT-ASSISTED SURGICAL PLATFORMS";
- U.S. Patent Application No. 15/940,676 entitled "AUTOMATIC TOOL ADJUSTMENTS FOR ROBOT-ASSISTED SURGICAL PLATFORMS";
- U.S. Patent Application No. 15/940,680 entitled "CONTROLLERS FOR ROBOT-ASSISTED SURGICAL PLATFORMS";
- U.S. Patent Application No. 15/940,683 entitled "COOPERATIVE SURGICAL ACTIONS FOR ROBOT-ASSISTED SURGICAL PLATFORMS";
- U.S. Patent Application No. 15/940,690 entitled "DISPLAY ARRANGEMENTS FOR ROBOT-ASSISTED SURGICAL PLATFORMS" U.S. Patent Application No. 15/940,711 entitled "ED SURGICAL PLATFORMS".
本願の出願人は、各開示の全体が参照により本明細書に組み込まれる、2018年3月28日出願の以下の米国特許仮出願を所有する。
・「INTERACTIVE SURGICAL SYSTEMS WITH ENCRYPTED COMMUNICATION CAPABILITIES」と題する米国特許仮出願第62/649,302号、
・「DATA STRIPPING METHOD TO INTERROGATE PATIENT RECORDS AND CREATE ANONYMIZED RECORD」と題する米国特許仮出願第62/649,294号、
・「SURGICAL HUB SITUATIONAL AWARENESS」と題する米国特許仮出願第62/649,300号、
・「SURGICAL HUB SPATIAL AWARENESS TO DETERMINE DEVICES IN OPERATING THEATER」と題する米国特許仮出願第62/649,309号、
・「COMPUTER IMPLEMENTED INTERACTIVE SURGICAL SYSTEMS」と題する米国特許仮出願第62/649,310号、
・「USE OF LASER LIGHT AND RED-GREEN-BLUE COLORATION TO DETERMINE PROPERTIES OF BACK SCATTERED LIGHT」と題する米国特許仮出願第62/649,291号、
・「ADAPTIVE CONTROL PROGRAM UPDATES FOR SURGICAL DEVICES」と題する米国特許仮出願第62/649,296号、
・「CLOUD-BASED MEDICAL ANALYTICS FOR CUSTOMIZATION AND RECOMMENDATIONS TO A USER」と題する米国特許仮出願第62/649,333号、
・「CLOUD-BASED MEDICAL ANALYTICS FOR SECURITY AND AUTHENTICATION TRENDS AND REACTIVE MEASURES」と題する米国特許仮出願第62/649,327号、
・「DATA HANDLING AND PRIORITIZATION IN A CLOUD ANALYTICS NETWORK」と題する米国特許仮出願第62/649,315号、
・「CLOUD INTERFACE FOR COUPLED SURGICAL DEVICES」と題する米国特許仮出願第62/649,313号、
・「DRIVE ARRANGEMENTS FOR ROBOT-ASSISTED SURGICAL PLATFORMS」と題する米国特許仮出願第62/649,320号、
・「AUTOMATIC TOOL ADJUSTMENTS FOR ROBOT-ASSISTED SURGICAL PLATFORMS」と題する米国特許仮出願第62/649,307号、及び
・「SENSING ARRANGEMENTS FOR ROBOT-ASSISTED SURGICAL PLATFORMS」と題する米国特許仮出願第62/649,323号。The applicant of this application owns the following United States provisional patent applications filed March 28, 2018, the disclosures of each of which are incorporated herein by reference in their entirety.
- U.S. Provisional Patent Application No. 62/649,302 entitled "INTERACTIVE SURGICAL SYSTEMS WITH ENCRYPTED COMMUNICATION CAPABILITIES";
- U.S. Provisional Patent Application No. 62/649,294 entitled "DATA STRIPPING METHOD TO INTERROGATE PATIENT RECORDS AND CREATE ANONYMIZED RECORD";
- U.S. Provisional Patent Application No. 62/649,300 entitled "SURGICAL HUB SITUATIONAL AWARENESS";
- U.S. Provisional Patent Application No. 62/649,309 entitled "SURGICAL HUB SPATIAL AWARENESS TO DETERMINE DEVICES IN OPERATING THEATER";
- U.S. Provisional Patent Application No. 62/649,310 entitled "COMPUTER IMPLEMENTED INTERACTIVE SURGICAL SYSTEMS";
- U.S. Provisional Patent Application No. 62/649,291 entitled "USE OF LASER LIGHT AND RED-GREEN-BLUE COLORATION TO DETERMINE PROPERTIES OF BACK SCATTERED LIGHT";
- U.S. Provisional Patent Application No. 62/649,296 entitled "ADAPTIVE CONTROL PROGRAM UPDATES FOR SURGICAL DEVICES";
- U.S. Provisional Patent Application No. 62/649,333 entitled "CLOUD-BASED MEDICAL ANALYTICS FOR CUSTOMIZATION AND RECOMMENDATIONS TO A USER,"
- U.S. Provisional Patent Application No. 62/649,327 entitled "CLOUD-BASED MEDICAL ANALYTICS FOR SECURITY AND AUTHENTICATION TRENDS AND REACTIVE MEASURES";
- U.S. Provisional Patent Application No. 62/649,315 entitled "DATA HANDLING AND PRIORITIZATION IN A CLOUD ANALYTICS NETWORK";
- U.S. Provisional Patent Application No. 62/649,313 entitled "CLOUD INTERFACE FOR COUPLED SURGICAL DEVICES,"
- U.S. Provisional Patent Application No. 62/649,320 entitled "DRIVE ARRANGEMENTS FOR ROBOT-ASSISTED SURGICAL PLATFORMS";
- U.S. Provisional Patent Application No. 62/649,307 entitled "AUTOMATIC TOOL ADJUSTMENTS FOR ROBOT-ASSISTED SURGICAL PLATFORMS," and - "SENSING ARRANGEMENTS FOR ROBOT - ASSISTED SURGICAL PLATFORMS” U.S. Provisional Patent Application No. 62/649,323 issue.
本願の出願人は、各開示の全体が参照により本明細書に組み込まれる、2018年3月8日出願の以下の米国特許仮出願を所有する。
・「TEMPERATURE CONTROL IN ULTRASONIC DEVICE AND CONTROL SYSTEM THEREFOR」と題する米国特許仮出願第62/640,417号、及び
・「ESTIMATING STATE OF ULTRASONIC END EFFECTOR AND CONTROL SYSTEM THEREFOR」と題する米国特許仮出願第62/640,415号。The applicant of this application owns the following U.S. provisional patent applications filed March 8, 2018, the disclosures of each of which are incorporated herein by reference in their entirety.
・U.S. Provisional Patent Application No. 62/640,417 entitled ``TEMPERATURE CONTROL IN ULTRASONIC DEVICE AND CONTROL SYSTEM THEREFOR,'' and ``ESTIMATION STATE OF ULTRAS.'' U.S. Provisional Patent Application No. 62/640 entitled “ONIC END EFFECTOR AND CONTROL SYSTEM THEREFOR” , No. 415.
本願の出願人は、各開示の全体が参照により本明細書に組み込まれる、2017年12月28日出願の以下の米国特許仮出願を所有する。
・「INTERACTIVE SURGICAL PLATFORM」と題する米国特許仮出願番号米国特許仮出願第62/611,341号、
・「CLOUD-BASED MEDICAL ANALYTICS」と題する米国特許仮出願第62/611,340号、及び
・「ROBOT ASSISTED SURGICAL PLATFORM」と題する米国特許仮出願第62/611,339号。The applicant of this application owns the following United States provisional patent applications filed December 28, 2017, the disclosures of each of which are incorporated herein by reference in their entirety.
- U.S. Provisional Patent Application No. 62/611,341 entitled "INTERACTIVE SURGICAL PLATFORM";
- U.S. Provisional Patent Application No. 62/611,340, entitled "CLOUD-BASED MEDICAL ANALYTICS," and - U.S. Provisional Patent Application No. 62/611,339, entitled "ROBOT ASSISTED SURGICAL PLATFORM."
外科用装置及び発生器の様々な態様を詳細に説明する前に、例示される実施例は、適用又は用途において、添付の図面及び説明で示される部品の構造及び配置の詳細に限定されないことに留意すべきである。例示的な実施例は、他の態様、変形形態、及び修正で実施されるか、又はそれらに組み込まれてもよく、様々な方法で実施又は実行されてもよい。更に、特に明記しない限り、本明細書で用いられる用語及び表現は、読者の便宜のために例示的な実施例を説明する目的で選択されたものであり、それらを限定するためのものではない。更に、以下に記述される態様、態様の具現、及び/又は実施例のうち1つ若しくは2つ以上を、以下に記述される他の態様、態様の具現、及び/又は実施例のうち任意の1つ若しくは2つ以上と組み合わせることができるものと理解されたい。 Before describing various aspects of the surgical device and generator in detail, it should be noted that the illustrated embodiments are not limited in application or use to the details of construction and arrangement of parts shown in the accompanying drawings and description. It should be kept in mind. The example embodiments may be implemented or incorporated into other aspects, variations, and modifications and may be practiced or carried out in various ways. Furthermore, unless otherwise stated, the terms and expressions used herein have been selected for the convenience of the reader to describe exemplary embodiments and are not intended to be limiting. . Furthermore, one or more of the aspects, implementations of the aspects, and/or examples described below may be combined with any other aspects, implementations of the aspects, and/or examples described below. It is to be understood that one or more may be combined.
様々な態様が、改善された超音波外科用装置、電気外科用装置、及びこれと共に使用するための発生器を対象とする。超音波外科用装置の態様は、例えば、外科処置中に組織を横切開及び/又は凝固するように構成され得る。電気外科用装置の態様は、例えば、外科処置中に、組織を横切開、凝固、スケーリング、溶接及び/又は乾燥させるように構成され得る。 Various aspects are directed to improved ultrasonic surgical devices, electrosurgical devices, and generators for use therewith. Aspects of the ultrasonic surgical device may be configured, for example, to transect and/or coagulate tissue during a surgical procedure. Aspects of the electrosurgical device may be configured, for example, to transect, coagulate, scale, weld, and/or dry tissue during a surgical procedure.
図1を参照すると、コンピュータ実装インタラクティブ外科システム100は、1つ又は2つ以上の外科システム102と、クラウドベースのシステム(例えば、ストレージ装置105に結合されたリモートサーバ113を含み得るクラウド104)と、を含む。各外科システム102は、リモートサーバ113を含み得るクラウド104と通信する少なくとも1つの外科用ハブ106を含む。一実施例では、図1に示すように、外科システム102は、互いに、及び/又はハブ106と通信するように構成された、可視化システム108と、ロボットシステム110と、ハンドヘルド式インテリジェント外科用器具112と、を含む。いくつかの態様では、外科システム102は、M個のハブ106と、N個の可視化システム108と、O個のロボットシステム110と、P個のハンドヘルド式インテリジェント外科用器具112と、を含んでもよく、ここでM、N、O、及びPは1以上の整数である。 Referring to FIG. 1, a computer-implemented interactive
図3は、外科手術室116内の手術台114上に横たわる患者に対して外科処置を実施するために使用される外科システム102の一例を示す。ロボットシステム110は、外科処置において外科システム102の一部として使用される。ロボットシステム110は、外科医のコンソール118と、患者側カート120(外科用ロボット)と、外科用ロボットハブ122と、を含む。患者側カート120は、患者の身体の低侵襲切開中に、外科医が外科医のコンソール118を介して手術部位を見る間、少なくとも1つの取り外し可能に結合された外科用ツール117を操作することができる。手術部位の画像は医療用撮像装置124によって得ることができ、医療用撮像装置124は撮像装置124を配向するために患者側カート120によって操作され得る。ロボットハブ122は、外科医のコンソール118を介して外科医に対するその後の表示のために、手術部位の画像を処理するよう用いることができる。 FIG. 3 shows an example of a
他のタイプのロボットシステムを、外科システム102と共に使用するために容易に適合させることができる。本開示と共に使用するのに好適なロボットシステム及び外科用ツールの様々な例は、その開示全体が参照により本明細書に組み込まれる、2017年12月28日出願の「ROBOT ASSISTED SURGICAL PLATFORM」と題する米国特許仮出願第62/611,339号に記載されている。 Other types of robotic systems can be easily adapted for use with
クラウド104によって実施され、本開示と共に使用するのに好適なクラウドベース分析の様々な例は、その開示全体が参照により本明細書に組み込まれる、2017年12月28日出願の「CLOUD-BASED MEDICAL ANALYTICS」と題する米国特許仮出願第62/611,340号に記載されている。 Various examples of cloud-based analytics performed by
様々な態様では、撮像装置124は、少なくとも1つの画像センサと1つ又は2つ以上の光学構成要素とを含む。好適な画像センサとしては、電荷結合素子(charge-coupled device、CCD)センサ及び相補型金属酸化膜半導体(complementary metal-oxide semiconductor、CMOS)センサが挙げられるが、これらに限定されない。 In various aspects,
撮像装置124の光学構成要素は、1つ若しくは2つ以上の照明光源及び/又は1つ若しくは2つ以上のレンズを含んでもよい。1つ又は2つ以上の照明光源は、手術野の一部を照明するように方向付けられてもよい。1つ又は2つ以上の画像センサは、組織及び/又は外科用器具から反射又は屈折された光を含む、手術野から反射又は屈折された光を受信することができる。 Optical components of
1つ又は2つ以上の照明光源は、可視スペクトル及び不可視スペクトル内の電磁エネルギーを放射するように構成され得る。光学スペクトル又は発光スペクトルと呼ばれることもある可視スペクトルは、人間の目に可視の(すなわち、人間の目で検出可能な)電磁スペクトルの一部分であり、可視光、又は単に光と呼ばれることがある。典型的な人間の目は、空気中の約380nm~約750nmの波長に反応する。 The one or more illumination sources may be configured to emit electromagnetic energy within the visible and invisible spectrum. The visible spectrum, sometimes referred to as the optical spectrum or emission spectrum, is the portion of the electromagnetic spectrum that is visible to the human eye (i.e., detectable by the human eye) and is sometimes referred to as visible light, or simply light. The typical human eye is sensitive to wavelengths from about 380 nm to about 750 nm in air.
不可視スペクトル(すなわち、非発光スペクトル)は、可視スペクトルの下方及び上方に位置する電磁スペクトルの一部分である(すなわち、約380nm未満及び約750nm超の波長)。不可視スペクトルは、人間の目で検出可能ではない。約750nmを超える波長は、赤色可視スペクトルよりも長く、これらは不可視赤外線(IR)、マイクロ波、及び無線電磁放射線になる。約380nm未満の波長は、紫色スペクトルよりも短く、これらは不可視紫外線、X線、及びガンマ線電磁放射線になる。 The invisible spectrum (ie, the non-emissive spectrum) is the portion of the electromagnetic spectrum that lies below and above the visible spectrum (ie, wavelengths less than about 380 nm and greater than about 750 nm). Invisible spectrum is not detectable by the human eye. Wavelengths above about 750 nm are longer than the red visible spectrum, and these become invisible infrared (IR), microwave, and wireless electromagnetic radiation. Wavelengths below about 380 nm are shorter than the violet spectrum, and these constitute invisible ultraviolet, X-ray, and gamma electromagnetic radiation.
様々な態様では、撮像装置124は、低侵襲性手術で使用するように構成されている。本開示と共に使用するのに好適な撮像装置の例としては、関節鏡、血管鏡、気管支鏡、胆道鏡、結腸鏡、サイトスコープ(cytoscope)、十二指腸鏡、腸鏡、食道胃十二指腸鏡(胃鏡)、内視鏡、喉頭鏡、鼻咽喉-腎盂鏡(nasopharyngo-neproscope)、S状結腸鏡、胸腔鏡、及び尿管鏡が挙げられるが、これらに限定されない。 In various aspects,
一態様では、撮像装置は、トポグラフィーと下層構造とを区別するためにマルチスペクトルモニタリングを用いる。マルチスペクトル画像は、電磁スペクトルにわたって特定の波長範囲内の画像データを取り込むものである。波長は、フィルタによって、又は可視光範囲を超える周波数、例えば、IR及び紫外光を含む特定の波長からの光に感受性の器具を使用することによって分離することができる。スペクトル撮像法は、人間の目がその赤色、緑色、及び青色の受容体で捕捉することのできない追加情報の抽出を可能にすることができる。マルチスペクトル撮像法の使用は、その開示全体が参照により本明細書に組み込まれる2017年12月28日出願の「INTERACTIVE SURGICAL PLATFORM」と題する米国特許仮出願第62/611,341号の「Advanced Imaging Acquisition Module」の項で詳細に説明されている。マルチスペクトルモニタリングは、1つの手術作業が完了した後に、処置された組織上で上述の試験の1つ又は2つ以上を実施するために手術野を再配置するのに有用なツールであり得る。 In one aspect, the imaging device uses multispectral monitoring to distinguish between topography and underlying structure. Multispectral images capture image data within specific wavelength ranges across the electromagnetic spectrum. Wavelengths can be separated by filters or by using instruments sensitive to light from specific wavelengths, including frequencies beyond the visible light range, such as IR and ultraviolet light. Spectral imaging can enable the extraction of additional information that the human eye cannot capture with its red, green, and blue receptors. The use of multispectral imaging techniques is described in "Advanced Imaging" in U.S. Provisional Patent Application No. 62/611,341, entitled "INTERACTIVE SURGICAL PLATFORM," filed December 28, 2017, the entire disclosure of which is incorporated herein by reference. Acquisition Module” section. Multispectral monitoring can be a useful tool to reposition the surgical field to perform one or more of the above-described tests on the treated tissue after one surgical task is completed.
いかなる外科手術においても手術室及び外科用器具の厳格な滅菌が必要であることは自明である。「手術現場(surgical theater)」、すなわち手術室又は処置室に必要とされる厳格な衛生及び滅菌条件は、全ての医療装置及び機器の最大級の滅菌性を必要とする。その滅菌プロセスの一部は、撮像装置124並びにその付属品及び構成要素を含む、患者と接触する、又は滅菌野に侵入するあらゆるものを滅菌する必要性である。滅菌野は、トレイ内又は滅菌タオル上などの、微生物を含まないとみなされる特定の領域とみなされ得ること、又は滅菌野は、外科処置のために準備された患者のすぐ周囲の領域とみなされ得ることは理解されよう。滅菌野は、適切な衣類を着用した洗浄済みのチーム構成員、並びにその領域内の全ての備品及び固定具を含み得る。 It is self-evident that any surgical procedure requires rigorous sterilization of the operating room and surgical instruments. The stringent hygiene and sterilization conditions required in a "surgical theater", ie, operating room or treatment room, require maximum sterility of all medical devices and equipment. Part of that sterilization process is the need to sterilize anything that comes into contact with the patient or enters the sterile field, including the
様々な態様では、可視化システム108は、図2に示されるように、滅菌野に対して戦略的に配置された1つ又は2つ以上の撮像センサと、1つ又は2つ以上の画像処理ユニットと、1つ又は2つ以上のストレージアレイと、1つ又は2つ以上のディスプレイと、を含む。一態様では、可視化システム108は、HL7、PACS、及びEMRのインターフェースを含む。可視化システム108の様々な構成要素については、その開示全体が参照により本明細書に組み込まれる2017年12月28日出願の「INTERACTIVE SURGICAL PLATFORM」と題する米国特許仮出願第62/611,341号の「Advanced Imaging Acquisition Module」の項で説明されている。 In various aspects,
図2に示すように、一次ディスプレイ119は、手術台114に位置する操作者に可視であるように、滅菌野内に配置される。加えて、可視化タワー111は、滅菌野の外に位置付けられる。可視化タワー111は、互いに離れる方に面する第1の非滅菌ディスプレイ107及び第2の非滅菌ディスプレイ109を含む。ハブ106によって誘導される可視化システム108は、ディスプレイ107、109、及び119を使用して、滅菌野の内側及び外部の操作者に対する情報フローを調整するように構成されている。例えば、ハブ106は、可視化システム108に、一次ディスプレイ119上の手術部位のライブ映像を維持させながら、撮像装置124によって記録される手術部位のスナップショットを非滅菌ディスプレイ107又は109上に表示させることができる。非滅菌ディスプレイ107又は109上のスナップショットは、例えば、非滅菌操作者が外科処置に関連する診断工程を実施することを可能にすることができる。 As shown in FIG. 2,
一態様では、ハブ106は、滅菌野内で、可視化タワー111に位置する非滅菌操作者によって入力された診断入力又はフィードバックを滅菌領域内の一次ディスプレイ119に送り、これを手術台に位置する滅菌操作者が見ることができるようにも構成される。一実施例では、入力は、ハブ106によって一次ディスプレイ119に送ることのできる、非滅菌ディスプレイ107又は109上に表示されるスナップショットに対する修正の形態であってもよい。 In one aspect, the
図2を参照すると、外科用器具112は、外科処置において外科システム102の一部として使用されている。ハブ106はまた、外科用器具112のディスプレイへの情報フローを調整するようにも構成されている。例えば、その開示全体が参照により本明細書に組み込まれる、「INTERACTIVE SURGICAL PLATFORM」と題する2017年12月28日出願の米国特許仮出願第62/611,341号における。可視化タワー111の位置で非滅菌操作者によって入力される診断入力又はフィードバックは、滅菌野内でハブ106によって外科用器具ディスプレイ115に送られてもよく、ここで診断入力又はフィードバックは外科用器具112の操作者によって見られてもよい。外科システム102と共に用いるのに好適な例示的外科用器具については、例えば、「外科用器具のハードウェア(SURGICAL INSTRUMENT HARDWARE)」の項で、及びその開示全体が参照により本明細書に組み込まれる「INTERACTIVE SURGICAL PLATFORM」と題する2017年12月28日出願の米国特許仮出願第62/611,341号で説明されている。 Referring to FIG. 2,
ここで図3を参照すると、ハブ106が、可視化システム108、ロボットシステム110、及びハンドヘルド式インテリジェント外科用器具112と通信している状態で示されている。ハブ106は、ハブディスプレイ135、撮像モジュール138、発生器モジュール140、通信モジュール130、プロセッサモジュール132、及びストレージアレイ134を含む。特定の態様では、図3に示すように、ハブ106は、排煙モジュール126及び/又は吸引/灌注モジュール128を更に含む。 Referring now to FIG. 3,
外科処置中、封止及び/又は切断のため組織へのエネルギー印加は、一般に、排煙、過剰な流体の吸引、及び/又は組織の灌注を伴う。異なる供給源からの流体、電力、及び/又はデータラインは、外科処置中に絡まり合うことが多い。外科処置中にこの問題に対処することで貴重な時間が失われる場合がある。ラインの絡まりをほどくには、それらの対応するモジュールからラインを抜くことが必要となる場合があり、そのためにはモジュールをリセットすることが必要となる場合がある。ハブのモジュール式筐体136は、電力、データ、及び流体ラインを管理するための統一環境を提供し、このようなライン間の絡まりの頻度を低減させる。 During surgical procedures, applying energy to tissue for sealing and/or cutting typically involves evacuation of smoke, aspiration of excess fluid, and/or irrigation of the tissue. Fluid, power, and/or data lines from different sources often become intertwined during surgical procedures. Valuable time may be lost addressing this problem during the surgical procedure. Disentangling the lines may require removing the lines from their corresponding modules, which may require resetting the modules. The hub's
本開示の態様は、手術部位における組織へのエネルギー印加を伴う外科処置において使用するための外科用ハブを提示する。外科用ハブは、ハブ筐体と、ハブ筐体のドッキングステーション内に摺動可能に受容可能な組み合わせ発生器モジュールと、を含む。ドッキングステーションはデータ及び電力接点を含む。組み合わせ発生器モジュールは、単一ユニット内に収容された、超音波エネルギー発生器構成要素、双極RFエネルギー発生器構成要素、及び単極RFエネルギー発生器構成要素のうちの2つ又はそれ以上を含む。一態様では、組み合わせ発生器モジュールは、更に、排煙構成要素と、組み合わせ発生器モジュールを外科用器具に接続するための少なくとも1つのエネルギー供給ケーブルと、組織への治療エネルギーの印加によって発生した煙、流体、及び/又は微粒子を排出するように構成された少なくとも1つの排煙構成要素と、遠隔手術部位から排煙構成要素まで延在する流体ラインと、を含む。 Aspects of the present disclosure present a surgical hub for use in surgical procedures involving the application of energy to tissue at a surgical site. The surgical hub includes a hub housing and a combination generator module slidably receivable within a docking station of the hub housing. The docking station includes data and power contacts. The combination generator module includes two or more of an ultrasonic energy generator component, a bipolar RF energy generator component, and a monopolar RF energy generator component housed within a single unit. . In one aspect, the combination generator module further includes a smoke evacuation component, at least one energy supply cable for connecting the combination generator module to a surgical instrument, and a smoke evacuation component and at least one energy delivery cable for connecting the combination generator module to a surgical instrument and for generating smoke generated by application of therapeutic energy to tissue. , at least one smoke evacuation component configured to expel fluid, and/or particulates, and a fluid line extending from the remote surgical site to the smoke evacuation component.
一態様では、流体ラインは第1の流体ラインであり、第2の流体ラインは、遠隔手術部位から、ハブ筐体内に摺動可能に受容される吸引及び灌注モジュールまで延在する。一態様では、ハブ筐体は、流体インターフェースを備える。 In one aspect, the fluid line is a first fluid line and the second fluid line extends from the remote surgical site to an aspiration and irrigation module slidably received within the hub housing. In one aspect, the hub housing includes a fluidic interface.
特定の外科処置は、2つ以上のエネルギータイプを組織に印加することを必要とする場合がある。1つのエネルギータイプは、組織を切断するのにより有益であり得るが、別の異なるエネルギータイプは、組織を封止するのにより有益であり得る。例えば、双極発生器は組織を封止するために使用することができ、一方で、超音波発生器は封止された組織を切断するために使用することができる。本開示の態様は、ハブのモジュール式筐体136が様々な発生器を収容して、これらの間の双方向通信を促進するように構成される解決法を提示する。ハブのモジュール式筐体136の利点の1つは、様々なモジュールの迅速な取り外し及び/又は交換を可能にすることである。 Certain surgical procedures may require the application of more than one energy type to tissue. One energy type may be more beneficial for cutting tissue, while another different energy type may be more beneficial for sealing tissue. For example, a bipolar generator can be used to seal tissue, while an ultrasound generator can be used to cut the sealed tissue. Aspects of the present disclosure present a solution in which the hub's
本開示の態様は、組織へのエネルギー印加を伴う外科処置で使用するためのモジュール式外科用筐体を提示する。モジュール式外科用筐体は、組織に印加するための第1のエネルギーを発生させるように構成された第1のエネルギー発生器モジュールと、第1のデータ及び電力接点を含む第1のドッキングポートを備える第1のドッキングステーションと、を含み、第1のエネルギー発生器モジュールは、電力及びデータ接点と電気係合するように摺動可能に移動可能であり、また第1のエネルギー発生器モジュールは、第1の電力及びデータ接点との電気係合から外れるように摺動可能に移動可能である。 Aspects of the present disclosure present a modular surgical housing for use in surgical procedures involving the application of energy to tissue. The modular surgical housing includes a first energy generator module configured to generate a first energy for application to tissue and a first docking port that includes a first data and power contact. a first docking station comprising: a first energy generator module slidably movable into electrical engagement with the power and data contacts; and a first energy generator module comprising: The first power and data contact is slidably movable out of electrical engagement with the first power and data contact.
上記に加えて、モジュール式外科用筐体は、第1のエネルギーとは異なる、組織に印加するための第2のエネルギーを発生させるように構成された第2のエネルギー発生器モジュールと、第2のデータ及び電力接点を含む第2のドッキングポートを備える第2のドッキングステーションと、を更に含み、第2のエネルギー発生器モジュールは、電力及びデータ接点と電気係合するように摺動可能に移動可能であり、また第2のエネルギー発生器モジュールは、第2の電力及びデータ接点との電気係合から外れるように摺動可能に移動可能である。 In addition to the above, the modular surgical housing includes a second energy generator module configured to generate a second energy for applying to tissue that is different than the first energy; a second docking station with a second docking port including data and power contacts of the second energy generator module, the second energy generator module being slidably moved into electrical engagement with the power and data contacts. and the second energy generator module is slidably movable out of electrical engagement with the second power and data contacts.
更に、モジュール式外科用筐体は、第1のエネルギー発生器モジュールと第2のエネルギー発生器モジュールとの間の通信を容易にするように構成された、第1のドッキングポートと第2のドッキングポートとの間の通信バスを更に含む。 Additionally, the modular surgical housing includes a first docking port and a second docking port configured to facilitate communication between the first energy generator module and the second energy generator module. It further includes a communication bus to and from the port.
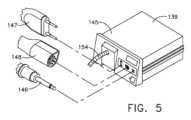
図3~図7を参照すると、発生器モジュール140と、排煙モジュール126と、吸引/灌注モジュール128と、のモジュール式統合を可能にするハブのモジュール式筐体136に関する本開示の態様が提示される。ハブのモジュール式筐体136は、モジュール140、126、128間の双方向通信を更に促進する。図5に示すように、発生器モジュール140は、ハブのモジュール式筐体136に摺動可能に挿入可能な単一のハウジングユニット139内に支持される、統合された単極、双極、及び超音波構成要素を備える発生器モジュールであってもよい。図5に示すように、発生器モジュール140は、単極装置146、双極装置147、及び超音波装置148に接続するように構成され得る。あるいは、発生器モジュール140は、ハブのモジュール式筐体136を介して相互作用する一連の単極、双極、及び/又は超音波発生器モジュールを備えてもよい。ハブのモジュール式筐体136は、複数の発生器が単一の発生器として機能するように、複数の発生器の挿入と、ハブのモジュール式筐体136にドッキングされた発生器間の双方向通信と、を促進するように構成されてもよい。 3-7, aspects of the present disclosure are presented relating to a
一態様では、ハブのモジュール式筐体136は、モジュール140、126、128の取り外し可能な取り付け及びそれらの間の双方向通信を可能にするために、外部及び無線通信ヘッダを備えるモジュール式電力及び通信バックプレーン149を備える。 In one aspect, the hub's
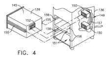
一態様では、ハブのモジュール式筐体136は、モジュール140、126、128を摺動可能に受容するように構成された、本明細書ではドロアーとも称されるドッキングステーション又はドロアー151を含む。図4は、外科用ハブ筐体136、及び外科用ハブ筐体136のドッキングステーション151に摺動可能に受容可能な組み合わせ発生器モジュール145の部分斜視図を示す。組み合わせ発生器モジュール145の後側に電力及びデータ接点を有するドッキングポート152は、組み合わせ発生器モジュール145がハブのモジュール式筐体136の対応するドッキングステーション151内の位置へと摺動されると、対応するドッキングポート150をハブのモジュール式筐体136の対応するドッキングステーション151の電力及びデータ接点と係合するように構成される。一態様では、組み合わせ発生器モジュール145は、図5に示すように、双極、超音波、及び単極モジュールと、単一のハウジングユニット139と共に一体化された排煙モジュールと、を含む。 In one aspect, the hub
様々な態様では、排煙モジュール126は、捕捉/回収された煙及び/又は流体を手術部位から遠ざけて、例えば、排煙モジュール126へと搬送する流体ライン154を含む。排煙モジュール126から発生する真空吸引は、煙を手術部位のユーティリティ導管の開口部に引き込むことができる。流体ラインに結合されたユーティリティ導管は、排煙モジュール126で終端する可撓管の形態であってもよい。ユーティリティ導管及び流体ラインは、ハブ筐体136内に受容される排煙モジュール126に向かって延在する流体経路を画定する。 In various aspects, the smoke evacuation module 126 includes a
様々な態様では、吸引/灌注モジュール128は、吸い込み(aspiration)流体ライン及び吸引(suction)流体ラインを含む外科用ツールに結合される。一実施例では、吸い込み及び吸引流体ラインは、手術部位から吸引/灌注モジュール128に向かって延在する可撓管の形態である。1つ又は2つ以上の駆動システムは、手術部位への、及び手術部位からの流体の灌注及び吸い込みを引き起こすように構成され得る。 In various aspects, the aspiration/
一態様では、外科用ツールは、その遠位端にエンドエフェクタを有するシャフトと、エンドエフェクタに関連付けられた少なくとも1つのエネルギー処置部と、吸い込み管と、灌注管と、を含む。吸い込み管は、その遠位端に入口ポートを有することができ、吸い込み管はシャフトを通って延在する。同様に、灌注管はシャフトを通って延在することができ、かつ、エネルギー送達器具に近接した入口ポートを有することができる。エネルギー送達器具は、超音波及び/又はRFエネルギーを手術部位に送達するように構成され、最初にシャフトを通って延在するケーブルによって発生器モジュール140に結合される。 In one aspect, a surgical tool includes a shaft having an end effector at a distal end thereof, at least one energy treatment portion associated with the end effector, a suction tube, and an irrigation tube. The suction tube can have an inlet port at its distal end, and the suction tube extends through the shaft. Similarly, an irrigation tube can extend through the shaft and have an entry port proximate to the energy delivery device. The energy delivery instrument is configured to deliver ultrasound and/or RF energy to the surgical site and is initially coupled to the
灌注管は流体源と流体連通することができ、吸い込み管は真空源と流体連通することができる。流体源及び/又は真空源は、吸引/灌注モジュール128内に収容され得る。一実施例では、流体源及び/又は真空源は、吸引/灌注モジュール128とは別にハブ筐体136内に収容され得る。このような実施例では、流体インターフェースは、吸引/灌注モジュール128を流体源及び/又は真空源に接続するように構成され得る。 The irrigation tube can be in fluid communication with a fluid source and the suction tube can be in fluid communication with a vacuum source. A fluid source and/or a vacuum source may be housed within the aspiration/
一態様では、モジュール140、126、128及び/又はハブのモジュール式筐体136上のそれらの対応するドッキングステーションは、モジュールのドッキングポートを位置合わせして、ハブのモジュール式筐体136のドッキングステーション内でこれらの対応部品と係合させるように構成された位置合わせ機構を含み得る。例えば、図4に示すように、組み合わせ発生器モジュール145は、ハブのモジュール式筐体136の対応するドッキングステーション151の対応するブラケット156と摺動可能に係合するように構成された側部ブラケット155を含む。ブラケットは協働して、組み合わせ発生器モジュール145のドッキングポート接点をハブのモジュール式筐体136のドッキングポート接点と電気係合させるように誘導する。 In one aspect, the
いくつかの態様では、ハブのモジュール式筐体136のドロアー151はサイズが同じ又は実質的に同じであり、モジュールはドロアー151内に受容されるサイズに調整される。例えば、側部ブラケット155及び/又は156は、モジュールのサイズに応じてより大きくなっても小さくなってもよい。他の態様では、ドロアー151はサイズが異なり、それぞれ特定のモジュールを収容するように設計される。 In some aspects, the
更に、適合しない接点を備えるドロアーにモジュールを挿入することを避けるために、特定のモジュールの接点を、特定のドロアーの接点と係合するように鍵付きにしてもよい。 Further, the contacts of a particular module may be keyed to engage the contacts of a particular drawer to avoid inserting the module into a drawer with incompatible contacts.
図4に示されるように、1つのドロアー151のドッキングポート150は、通信リンク157を介して別のドロアー151のドッキングポート150に結合されて、ハブのモジュール式筐体136内に収容されたモジュール間の双方向通信を容易にすることができる。あるいは又は更に、ハブのモジュール式筐体136のドッキングポート150は、ハブのモジュール式筐体136内に収容されたモジュール間の無線双方向通信を容易にしてもよい。例えば、Air Titan-Bluetoothなどの任意の好適な無線通信を用いてもよい。 As shown in FIG. 4, the
図6は、外科用ハブ206の複数のモジュールを受容するように構成された横方向モジュール式ハウジング160の複数の横方向ドッキングポートの個々の電力バスアタッチメントを示す。横方向モジュール式ハウジング160は、モジュール161を横方向に受容して相互接続するように構成される。モジュール161は、モジュール161を相互接続するためのバックプレーンを含む横方向モジュール式ハウジング160のドッキングステーション162内に摺動可能に挿入される。図6に示すように、モジュール161は、横方向モジュール式ハウジング160内で横方向に配置される。あるいは、モジュール161は、横方向モジュール式ハウジング内で垂直方向に配置されてもよい。 FIG. 6 illustrates individual power bus attachments of a plurality of lateral docking ports of a lateral
図7は、外科用ハブ106の複数のモジュール165を受容するように構成された垂直モジュール式ハウジング164を示す。モジュール165は、モジュール165を相互接続するためのバックプレーンを含む垂直モジュール式ハウジング164のドッキングステーション又はドロアー167内に摺動可能に挿入される。垂直モジュール式ハウジング164のドロアー167は垂直方向に配置されているが、特定の場合では、垂直モジュール式ハウジング164は、横方向に配置されたドロアーを含んでもよい。更に、モジュール165は、垂直モジュール式ハウジング164のドッキングポートを介して互いに相互作用し得る。図7の実施例では、モジュール165の動作に関連するデータを表示するためのディスプレイ177が提供される。加えて、垂直モジュール式ハウジング164は、マスタモジュール178内に摺動可能に受容される複数のサブモジュールを収容するマスタモジュール178を含む。 7 shows a vertical
様々な態様では、撮像モジュール138は、内蔵型のビデオプロセッサ及びモジュール式光源を備え、様々な撮像装置と共に使用するように適合されている。一態様では、撮像装置は、光源モジュール及びカメラモジュールと共に組み立てることが可能なモジュール式ハウジングで構成される。ハウジングは、使い捨て式ハウジングであってもよい。少なくとも1つの実施例では、使い捨て式ハウジングは、再利用可能なコントローラ、光源モジュール、及びカメラモジュールと取り外し可能に結合される。光源モジュール及び/又はカメラモジュールは、外科処置の種類に応じて選択的に選択することができる。一態様では、カメラモジュールはCCDセンサを含む。別の態様では、カメラモジュールはCMOSセンサを含む。別の態様では、カメラモジュールは走査されたビームの撮像用に構成される。同様に、光源モジュールは、外科処置に応じて白色光又は異なる光を送達するように構成することができる。 In various aspects, the
外科処置中に、手術野から外科用装置を除去して異なるカメラ又は異なる光源を含む別の外科用装置と交換することは非効率的であり得る。手術野の視野を一時的に喪失することは、望ましからぬ結果をもたらし得る。本開示のモジュール撮像装置は、手術野から撮像装置を除去する必要なく、外科処置中に光源モジュール又はカメラモジュール中間体(midstream)の交換を可能にするように構成される。 During a surgical procedure, it can be inefficient to remove a surgical device from the surgical field and replace it with another surgical device that includes a different camera or a different light source. Temporary loss of vision of the surgical field can have undesirable consequences. The modular imaging device of the present disclosure is configured to allow replacement of the light source module or camera module midstream during a surgical procedure without the need to remove the imaging device from the surgical field.
一態様では、撮像装置は、複数のチャネルを含む管状ハウジングを備える。第1のチャネルは、第1のチャネルとスナップ嵌め係合するように構成され得るカメラモジュールを摺動可能に受容するように構成されている。第2のチャネルは、第2のチャネルとスナップ嵌め係合するように構成され得る光源モジュールを摺動可能に受容するように構成されている。別の実施例では、カメラモジュール及び/又は光源モジュールは、これらの対応するチャネル内の最終位置へと回転させることができる。スナップ嵌め係合の代わりにねじ係合が採用されてもよい。 In one aspect, an imaging device includes a tubular housing that includes a plurality of channels. The first channel is configured to slidably receive a camera module that can be configured for snap-fit engagement with the first channel. The second channel is configured to slidably receive a light source module that can be configured to snap-fit into engagement with the second channel. In another example, the camera module and/or the light source module can be rotated to a final position within their corresponding channels. A threaded engagement may be employed instead of a snap-fit engagement.
様々な実施例で、複数の撮像装置が、複数の視野を提供するために手術野内の様々な位置に位置決めされる。撮像モジュール138は、最適な視野を提供するために撮像装置間を切り替えるように構成することができる。様々な態様では、撮像モジュール138は、異なる撮像装置からの画像を統合するように構成することができる。 In various embodiments, multiple imaging devices are positioned at various locations within the surgical field to provide multiple views.
本開示と共に使用するのに好適な様々な画像プロセッサ及び撮像装置は、その全体が参照により本明細書に組み込まれる「COMBINED SBI AND CONVENTIONAL IMAGE PROCESSOR」と題する2011年8月9日発行の米国特許第7,995,045号に記載されている。更に、その全体が参照により本明細書に組み込まれる「SBI MOTION ARTIFACT REMOVAL APPARATUS AND METHOD」と題する2011年7月19日発行の米国特許第7,982,776号は、画像データからモーションアーチファクトを除去するための様々なシステムについて記載している。こうしたシステムは、撮像モジュール138と一体化され得る。更に、「CONTROLLABLE MAGNETIC SOURCE TO FIXTURE INTRACORPOREAL APPARATUS」と題する2011年12月15日公開の米国特許出願公開第2011/0306840号、及び「SYSTEM FOR PERFORMING A MINIMALLY INVASIVE SURGICAL PROCEDURE」と題する2014年8月28日公開の米国特許出願公開第2014/0243597号は、それぞれその全体が参照により本明細書に組み込まれる。 Various image processors and imaging devices suitable for use with the present disclosure are described in U.S. Pat. No. 7,995,045. Additionally, U.S. Patent No. 7,982,776, issued July 19, 2011, entitled "SBI MOTION ARTIFACT REMOVAL APPARATUS AND METHOD," which is incorporated herein by reference in its entirety, provides a method for removing motion artifacts from image data. It describes various systems for doing so. Such a system may be integrated with
図8は、医療施設の1つ又は2つ以上の手術室、又は外科処置のための専門設備を備えた医療施設内の任意の部屋に配置されたモジュール式装置をクラウドベースのシステム(例えばストレージ装置205に結合されたリモートサーバ213を含み得るクラウド204)に接続するように構成されたモジュール式通信ハブ203を備える外科用データネットワーク201を示す。一態様では、モジュール式通信ハブ203は、ネットワークルータと通信するネットワークハブ207及び/又はネットワークスイッチ209を備える。モジュール式通信ハブ203は更に、ローカルコンピュータ処理及びデータ操作を提供するために、ローカルコンピュータシステム210に結合することができる。外科用データネットワーク201は、受動的、インテリジェント、又は切替式として構成されてもよい。受動的外科用データネットワークはデータの導管として機能し、データが1つの装置(又はセグメント)から別の装置(又はセグメント)に、及びクラウドコンピューティングリソースに行くことを可能にする。インテリジェントな外科用データネットワークは、トラフィックが監視対象の外科用データネットワークを通過することを可能にし、ネットワークハブ207又はネットワークスイッチ209内の各ポートを構成する追加の機構を含む。インテリジェントな外科用データネットワークは、管理可能なハブ又はスイッチと称され得る。スイッチングハブは、各パケットの宛先アドレスを読み取り、次いでパケットを正しいポートに転送する。 FIG. 8 shows how a cloud-based system (
手術室に配置されるモジュール式装置1a~1nは、モジュール式通信ハブ203に結合されてもよい。ネットワークハブ207及び/又はネットワークスイッチ209は、ネットワークルータ211に結合されて、装置1a~1nをクラウド204又はローカルコンピュータシステム210に接続することができる。装置1a~1nに関連付けられたデータは、遠隔データ処理及び操作のためにルータを介してクラウドベースのコンピュータに転送されてもよい。装置1a~1nに関連付けられたデータはまた、ローカルでのデータ処理及び操作のためにローカルコンピュータシステム210に転送されてもよい。同じ手術室に位置するモジュール式装置2a~2mもまた、ネットワークスイッチ209に結合されてもよい。ネットワークスイッチ209は、ネットワークハブ207及び/又はネットワークルータ211に結合されて、装置2a~2mをクラウド204に接続することができる。装置2a~2nに関連付けられたデータは、データ処理及び操作のためにネットワークルータ211を介してクラウド204に転送されてもよい。装置2a~2mに関連付けられたデータはまた、ローカルでのデータ処理及び操作のためにローカルコンピュータシステム210に転送されてもよい。 Modular devices 1a-1n located in the operating room may be coupled to a
複数のネットワークハブ207及び/又は複数のネットワークスイッチ209を複数のネットワークルータ211と相互接続することによって、外科用データネットワーク201が拡張され得ることが理解されるであろう。モジュール式通信ハブ203は、複数の装置1a~1n/2a~2mを受容するように構成されたモジュール式制御タワー内に収容され得る。ローカルコンピュータシステム210もまた、モジュール式制御タワーに収容されてもよい。モジュール式通信ハブ203は、ディスプレイ212に接続されて、例えば外科処置中に、装置1a~1n/2a~2mのうちのいくつかによって取得された画像を表示する。様々な態様では、装置1a~1n/2a~2mとしては、外科用データネットワーク201のモジュール式通信ハブ203に接続され得るモジュール式装置の中でもとりわけ、例えば、内視鏡に結合された撮像モジュール138、エネルギーベースの外科用装置に結合された発生器モジュール140、排煙モジュール126、吸引/灌注モジュール128、通信モジュール130、プロセッサモジュール132、ストレージアレイ134、ディスプレイに結合された外科用装置、及び/又は非接触センサモジュールなどの様々なモジュールが挙げられ得る。 It will be appreciated that
一態様では、外科用データネットワーク201は、装置1a~1n/2a~2mをクラウドに接続する、ネットワークハブ(複数可)、ネットワークスイッチ(複数可)、及びネットワークルータ(複数可)との組み合わせを含んでもよい。ネットワークハブ又はネットワークスイッチに結合された装置1a~1n/2a~2mのいずれか1つ又は全ては、リアルタイムでデータを収集し、データ処理及び操作のためにデータをクラウドコンピュータに転送することができる。クラウドコンピューティングは、ソフトウェアアプリケーションを取り扱うために、ローカルサーバ又はパーソナル装置を有するのではなく、共有コンピューティングリソースに依存することは理解されるであろう。「クラウド」という用語は「インターネット」の隠喩として用いられ得るが、この用語はそのように限定はされない。したがって、「クラウドコンピューティング」という用語は、本明細書では「インターネットベースのコンピューティングの一種」を指すために用いることができ、この場合、サーバ、ストレージ、及びアプリケーションなどの様々なサービスは、手術現場(例えば、固定式、移動式、一時的、又は現場の手術室又は空間)に位置するモジュール式通信ハブ203及び/又はコンピュータシステム210に、かつインターネットを介してモジュール式通信ハブ203及び/又はコンピュータシステム210に接続された装置に送達される。クラウドインフラストラクチャは、クラウドサービスプロバイダによって維持され得る。この文脈において、クラウドサービスプロバイダは、1つ又は2つ以上の手術室内に位置する装置1a~1n/2a~2mの使用及び制御を調整する事業体であり得る。クラウドコンピューティングサービスは、スマート外科用器具、ロボット、及び手術室内に位置する他のコンピュータ化装置によって収集されたデータに基づいて、多数の計算を実行することができる。ハブハードウェアは、複数の装置又は接続部がクラウドコンピューティングリソース及びストレージと通信するコンピュータに接続することを可能にする。 In one aspect,
装置1a~1n/2a~2mによって収集されたデータにクラウドコンピュータデータ処理技術を適用することで、外科用データネットワークは、外科的成果の改善、コスト低減、及び患者満足度の改善を提供する。組織の封止及び切断処置後に、組織の状態を観察して封止された組織の漏出又は灌流を評価するために、装置1a~1n/2a~2mのうちの少なくともいくつかを用いることができる。クラウドベースのコンピューティングを使用して、身体組織の試料の画像を含むデータを診断目的で検査して疾患の影響などの病状を特定するために、装置1a~1n/2a~2mのうちの少なくともいくつかを用いることができる。これは、組織及び表現型の位置特定及びマージン確認を含む。撮像装置と一体化された様々なセンサ、及び複数の撮像装置によってキャプチャされた画像をオーバーレイするなどの技術を使用して、身体の解剖学的構造を特定するために、装置1a~1n/2a~2mのうちの少なくともいくつかを用いることができる。画像データを含む、装置1a~1n/2a~2mによって収集されたデータは、画像処理及び操作を含むデータ処理及び操作のために、クラウド204若しくはローカルコンピュータシステム210又はその両方に転送されてもよい。データは、組織特異的部位及び状態に対する内視鏡的介入、新興技術、標的化放射線、標的化介入、及び精密ロボットの適用などの更なる治療を遂行できるかを判定することによって、外科処置の結果を改善するために分析することができる。こうしたデータ分析は、予後分析処理を更に採用してもよく、標準化されたアプローチを使用することは、外科治療及び外科医の挙動を確認するか、又は外科治療及び外科医の挙動に対する修正を提案するかのいずれかのために有益なフィードバックを提供することができる。 By applying cloud computer data processing techniques to the data collected by the devices 1a-1n/2a-2m, the surgical data network provides improved surgical outcomes, reduced costs, and improved patient satisfaction. After the tissue sealing and cutting procedure, at least some of the devices 1a-1n/2a-2m can be used to observe the state of the tissue and assess leakage or perfusion of the sealed tissue. . At least one of the devices 1a-1n/2a-2m is configured to use cloud-based computing to examine data including images of samples of body tissue for diagnostic purposes to identify medical conditions such as disease effects. Several can be used. This includes tissue and phenotypic localization and margin confirmation. Devices 1a-1n/2a for identifying body anatomy using various sensors integrated with the imaging device and techniques such as overlaying images captured by multiple imaging devices. ~2m can be used. Data collected by devices 1a-1n/2a-2m, including image data, may be transferred to cloud 204 or
一実装態様では、手術室装置1a~1nは、ネットワークハブに対する装置1a~1nの構成に応じて、有線チャネル又は無線チャネルを介してモジュール式通信ハブ203に接続されてもよい。ネットワークハブ207は、一態様では、開放型システム間相互接続(OSI)モデルの物理層上で機能するローカルネットワークブロードキャスト装置として実装されてもよい。ネットワークハブは、同じ手術室ネットワーク内に位置する装置1a~1nに接続性を提供する。ネットワークハブ207は、パケット形態のデータを収集し、それらを半二重モードでルータに送信する。ネットワークハブ207は、装置データを転送するための任意の媒体アクセス制御/インターネットプロトコル(MAC/IP)は記憶しない。装置1a~1nのうちの1つのみが、ネットワークハブ207を介して一度にデータを送信することができる。ネットワークハブ207は、情報の送信先に関する経路選択テーブル又はインテリジェンスを有さず、全てのネットワークデータを各コネクション全体、及びクラウド204上のリモートサーバ213(図9)にブロードキャストする。ネットワークハブ207は、コリジョンなどの基本的なネットワークエラーを検出することができるが、全ての情報を複数のポートにブロードキャストすることは、セキュリティリスクとなりボトルネックを引き起こすおそれがある。 In one implementation, the operating room devices 1a-1n may be connected to the
別の実装形態では、手術室装置2a~2mは、有線チャネル又は無線チャネルを介してネットワークスイッチ209に接続されてもよい。ネットワークスイッチ209は、OSIモデルのデータリンク層内で機能する。ネットワークスイッチ209は、同じ手術室内に位置する装置2a~2mをネットワークに接続するためのマルチキャスト装置である。ネットワークスイッチ209は、フレームの形態のデータをネットワークルータ211に送信し、全二重モードで機能する。複数の装置2a~2mは、ネットワークスイッチ209を介して同時にデータを送信することができる。ネットワークスイッチ209は、データを転送するために装置2a~2mのMACアドレスを記憶かつ使用する。 In another implementation, operating room devices 2a-2m may be connected to
ネットワークハブ207及び/又はネットワークスイッチ209は、クラウド204に接続するためにネットワークルータ211に結合される。ネットワークルータ211は、OSIモデルのネットワーク層内で機能する。ネットワークルータ211は、装置1a~1n/2a~2mのいずれか1つ又は全てによって収集されたデータを更に処理及び操作するために、ネットワークハブ207及び/又はネットワークスイッチ211から受信したデータパケットをクラウドベースのコンピュータリソースに送信するための経路を作成する。ネットワークルータ211は、例えば、同じ医療施設の異なる手術室、又は異なる医療施設の異なる手術室に位置する異なるネットワークなどの、異なる位置に位置する2つ以上の異なるネットワークを接続するために用いられてもよい。ネットワークルータ211は、パケット形態のデータをクラウド204に送信し、全二重モードで機能する。複数の装置が同時にデータを送信することができる。ネットワークルータ211は、データを転送するためにIPアドレスを使用する。
一実施例では、ネットワークハブ207は、複数のUSB装置をホストコンピュータに接続することを可能にするUSBハブとして実装されてもよい。USBハブは、装置をホストシステムコンピュータに接続するために利用可能なポートが多くなるように、単一のUSBポートをいくつかの階層に拡張することができる。ネットワークハブ207は、有線チャネル又は無線チャネルを介して情報を受信するための有線又は無線能力を含むことができる。一態様では、無線USB短距離高帯域無線通信プロトコルが、手術室内に位置する装置1a~1nと装置2a~2mとの間の通信のために使用されてもよい。 In one embodiment,
他の実施例では、手術室装置1a~1n/2a~2mは、固定及びモバイル装置から短距離にわたってデータを交換し(2.4~2.485GHzのISM帯域における短波長UHF電波を使用して)、かつパーソナルエリアネットワーク(PAN)を構築するために、Bluetooth無線技術規格を介してモジュール式通信ハブ203と通信することができる。他の態様では、手術室装置1a~1n/2a~2mは、Wi-Fi(IEEE802.11ファミリー)、WiMAX(IEEE802.16ファミリー)、IEEE802.20、ロング・ターム・エボリューション(long-term evolution、LTE)、並びにEv-DO、HSPA+、HSDPA+、HSUPA+、EDGE、GSM、GPRS、CDMA、TDMA、DECT、及びこれらのイーサネット派生物、のみならず3G、4G、5G、及びそれ以降と指定される任意の他の無線及び有線プロトコルが挙げられるがこれらに限定されない数多くの無線又は有線通信規格又はプロトコルを介してモジュール式通信ハブ203と通信することができる。コンピューティングモジュールは、複数の通信モジュールを含んでもよい。例えば、第1の通信モジュールは、Wi-Fi及びBluetoothなどの短距離無線通信専用であってもよく、第2の通信モジュールは、GPS、EDGE、GPRS、CDMA、WiMAX、LTE、Ev-DOなどの長距離無線通信専用であってもよい。 In other embodiments, the operating room devices 1a-1n/2a-2m exchange data over short distances from fixed and mobile devices (using short wavelength UHF radio waves in the ISM band of 2.4-2.485 GHz). ), and can communicate with the
モジュール式通信ハブ203は、手術室装置1a~1n/2a~2mの1つ又は全ての中央接続部として機能することができ、フレームとして知られるデータ型を取り扱う。フレームは、装置1a~1n/2a~2mによって生成されたデータを搬送する。フレームがモジュール式通信ハブ203によって受信されると、フレームは増幅されてネットワークルータ211へ送信され、ネットワークルータ211は本明細書に記載される数多くの無線又は有線通信規格又はプロトコルを使用することによってこのデータをクラウドコンピューティングリソースに転送する。 The
モジュール式通信ハブ203は、スタンドアロンの装置として使用されてもよく、又はより大きなネットワークを形成するために互換性のあるネットワークハブ及びネットワークスイッチに接続されてもよい。モジュール式通信ハブ203は、一般に据え付け、構成、及び維持が容易であるため、モジュール式通信ハブ203は手術室装置1a~1n/2a~2mをネットワーク接続するための良好な選択肢となる。
図9は、コンピュータ実装インタラクティブ外科システム200を示す。コンピュータ実装インタラクティブ外科システム200は、多くの点で、コンピュータ実装インタラクティブ外科システム100と類似している。例えば、コンピュータ実装インタラクティブ外科システム200は、多くの点で外科システム102と類似する1つ又は2つ以上の外科システム202を含む。各外科システム202は、リモートサーバ213を含み得るクラウド204と通信する少なくとも1つの外科用ハブ206を含む。一態様では、コンピュータ実装インタラクティブ外科システム200は、例えば、インテリジェント外科用器具、ロボット、及び手術室内に位置する他のコンピュータ化装置などの複数の手術室装置に接続されたモジュール式制御タワー236を備える。図10に示されるように、モジュール式制御タワー236は、コンピュータシステム210に結合されたモジュール式通信ハブ203を備える。図9の実施例に例示するように、モジュール式制御タワー236は、内視鏡239に結合された撮像モジュール238、エネルギー装置241に結合された発生器モジュール240、排煙器モジュール226、吸引/灌注モジュール228、通信モジュール230、プロセッサモジュール232、ストレージアレイ234、任意でディスプレイ237に結合されたスマート装置/器具235、及び非接触センサモジュール242に結合される。手術室装置は、モジュール式制御タワー236を介してクラウドコンピューティングリソース及びデータストレージに結合される。ロボットハブ222もまた、モジュール式制御タワー236及びクラウドコンピューティングリソースに接続されてもよい。中でもとりわけ、装置/器具235、可視化システム208が、本明細書に記載される有線又は無線通信規格又はプロトコルを介してモジュール式制御タワー236に結合されてもよい。モジュール式制御タワー236は、撮像モジュール、装置/器具ディスプレイ、及び/又は他の可視化システム208から受信した画像を表示及びオーバーレイするためにハブディスプレイ215(例えば、モニタ、スクリーン)に結合されてもよい。ハブディスプレイはまた、画像及びオーバーレイ画像と共にモジュール式制御タワーに接続された装置から受信したデータを表示してもよい。 FIG. 9 shows a computer-implemented interactive
図10は、モジュール式制御タワー236に結合された複数のモジュールを備える外科用ハブ206を示す。モジュール式制御タワー236は、例えばネットワーク接続装置などのモジュール式通信ハブ203と、例えば局所処理、可視化、及び撮像を提供するためのコンピュータシステム210と、を備える。図10に示すように、モジュール式通信ハブ203は、モジュール式通信ハブ203に接続できるモジュール(例えば、装置)の数を拡張するために階層化構成で接続されて、モジュールに関連付けられたデータをコンピュータシステム210、クラウドコンピューティングリソース、又はその両方に転送することができる。図10に示すように、モジュール式通信ハブ203内のネットワークハブ/スイッチのそれぞれは、3つの下流ポート及び1つの上流ポートを含む。上流のネットワークハブ/スイッチは、クラウドコンピューティングリソース及びローカルディスプレイ217への通信接続を提供するためにプロセッサに接続される。クラウド204への通信は、有線又は無線通信チャネルのいずれかを介して行うことができる。 FIG. 10 shows
外科用ハブ206は、非接触センサモジュール242を使用して、手術室の寸法を測定し、また超音波又はレーザ型非接触測定装置のいずれかを使用して手術現場のマップを生成する。その全体が参照により本明細書に組み込まれる2017年12月28日出願の「INTERACTIVE SURGICAL PLATFORM」と題する米国特許仮出願第62/611,341号の「Surgical Hub Spatial Awareness Within an Operating Room」の項で説明されるように、超音波ベースの非接触センサモジュールは、超音波のバーストを送信し、超音波のバーストが手術室の外壁に反射したときのエコーを受信することによって手術室を走査し、ここでセンサモジュールが、手術室のサイズを判定し、かつBluetoothペアリングの距離限界を調整するように構成される。レーザベースの非接触センサモジュールは、例えば、レーザ光パルスを送信し、手術室の外壁に反射するレーザ光パルスを受信し、送信されたパルスの位相を受信したパルスと比較して、手術室のサイズを判定し、かつBluetoothペアリング距離限界を調整することによって手術室を走査する。
コンピュータシステム210は、プロセッサ244とネットワークインターフェース245とを備える。プロセッサ244は、システムバスを介して、通信モジュール247、ストレージ248、メモリ249、不揮発性メモリ250、及び入力/出力インターフェース251に結合される。システムバスは、9ビットバス、業界標準アーキテクチャ(ISA)、マイクロチャネルアーキテクチャ(MSA)、拡張ISA(EISA)、インテリジェントドライブエレクトロニクス(IDE)、VESAローカルバス(VLB)、周辺装置相互接続(PCI)、USB、アドバンスドグラフィックスポート(AGP)、パーソナルコンピュータメモリカード国際協会バス(PCMCIA)、小型計算機システム・インターフェース(SCSI)、又は任意の他の独自バス(proprietary bus)が挙げられるがこれらに限定されない任意の様々なバスアーキテクチャを用いる、メモリバス若しくはメモリコントローラ、ペリフェラルバス若しくは外部バス、及び/又はローカルバスを含むいくつかのタイプのバス構造(複数可)のうちのいずれかであっってもよい。
プロセッサ244は、Texas Instruments製のARM Cortexの商品名で知られているものなど、任意のシングルコア又はマルチコアプロセッサであってもよい。一態様では、プロセッサは、例えば、その詳細が製品データシートで入手可能である、最大40MHzの256KBのシングルサイクルフラッシュメモリ若しくは他の不揮発性メモリのオンチップメモリ、性能を40MHz超に改善するためのプリフェッチバッファ、32KBのシングルサイクルシリアルランダムアクセスメモリ(SRAM)、StellarisWare(登録商標)ソフトウェアを搭載した内部読み出し専用メモリ(read-only memory、ROM)、2KBの電気的消去可能プログラマブル読み出し専用メモリ(electrically erasable programmable read-only memory、EEPROM)、及び/又は、1つ若しくは2つ以上のパルス幅変調(pulse width modulation、PWM)モジュール、1つ若しくは2つ以上の直交エンコーダ入力(quadrature encoder input、QEI)アナログ、12個のアナログ入力チャネルを備える1つ若しくは2つ以上の12ビットアナログ-デジタル変換器(analog-to-digital converter、ADC)を含む、Texas Instrumentsから入手可能なLM4F230H5QR ARM Cortex-M4Fプロセッサコアであってもよい。
一態様では、プロセッサ244は、同じくTexas Instruments製のHercules ARM Cortex R4の商品名で知られるTMS570及びRM4xなどの2つのコントローラ系ファミリーを含む安全コントローラを含んでもよい。安全コントローラは、拡張性のある性能、接続性、及びメモリの選択肢を提供しながら、高度な集積型安全機構を提供するために、中でも特に、IEC61508及びISO26262の安全限界用途専用に構成されてもよい。 In one aspect, the
システムメモリとしては、揮発性メモリ及び不揮発性メモリが挙げられる。起動中などにコンピュータシステム内の要素間で情報を転送するための基本ルーチンを含む基本入出力システム(BIOS)は、不揮発性メモリに記憶される。例えば、不揮発性メモリとしては、ROM、プログラマブルROM(programmable ROM、PROM)、電気的プログラマブルROM(EPROM)、EEPROM、又はフラッシュメモリが挙げられ得る。揮発性メモリとしては、外部キャッシュメモリとして機能するランダムアクセスメモリ(RAM)が挙げられる。更に、RAMは、SRAM、ダイナミックRAM(DRAM)、シンクロナスDRAM(SDRAM)、ダブルデータレートSDRAM(DDR SDRAM)、エンハンスドSDRAM(ESDRAM)、シンクリンクDRAM(SLDRAM)、及びダイレクトランバスRAM(DRRAM)などの多くの形態で利用可能である。 System memory includes volatile memory and non-volatile memory. The basic input/output system (BIOS), containing the basic routines for transferring information between elements within a computer system, such as during startup, is stored in non-volatile memory. For example, non-volatile memory may include ROM, programmable ROM (PROM), electrically programmable ROM (EPROM), EEPROM, or flash memory. Volatile memory includes random access memory (RAM), which functions as external cache memory. Furthermore, RAM includes SRAM, dynamic RAM (DRAM), synchronous DRAM (SDRAM), double data rate SDRAM (DDR SDRAM), enhanced SDRAM (ESDRAM), sink link DRAM (SLDRAM), and direct RAM bus RAM (DRRAM). is available in many forms.
コンピュータシステム210はまた、取り外し可能/取り外し不可能な揮発性/不揮発性コンピュータストレージ媒体、例えばディスクストレージなどを含む。ディスクストレージとしては、磁気ディスクドライブ、フロッピーディスクドライブ、テープドライブ、Jazドライブ、Zipドライブ、LS-60ドライブ、フラッシュメモリカード、又はメモリスティックのようなデバイスが挙げられるが、これらに限定されない。加えて、ディスクストレージは、ストレージ媒体を、独立して、又はコンパクトディスクROM装置(CD-ROM)、コンパクトディスク記録可能ドライブ(CD-Rドライブ)、コンパクトディスク書き換え可能ドライブ(CD-RWドライブ)、若しくはデジタル多用途ディスクROMドライブ(DVD-ROM)などの光ディスクドライブが挙げられるがこれらに限定されない他のストレージ媒体との組み合わせで含むことができる。ディスクストレージ装置のシステムバスへの接続を容易にするために、取り外し可能な又は取り外し不可能なインターフェースが用いられてもよい。
コンピュータシステム210は、好適な動作環境で説明されるユーザと基本コンピュータリソースとの間で媒介として機能するソフトウェアを含むことを理解されたい。このようなソフトウェアとしてはオペレーティングシステムが挙げられる。ディスクストレージ上に記憶され得るオペレーティングシステムは、コンピュータシステムのリソースを制御及び割り当てするように機能する。システムアプリケーションは、システムメモリ内又はディスクストレージ上のいずれかに記憶されたプログラムモジュール及びプログラムデータを介して、オペレーティングシステムによるリソース管理を活用する。本明細書に記載される様々な構成要素は、様々なオペレーティングシステム又はオペレーティングシステムの組み合わせで実装することができることを理解されたい。 It should be appreciated that
ユーザは、I/Oインターフェース251に結合された入力装置(複数可)を介してコンピュータシステム210にコマンド又は情報を入力する。入力装置としては、マウス、トラックボール、スタイラス、タッチパッドなどのポインティングデバイス、キーボード、マイクロフォン、ジョイスティック、ゲームパッド、サテライト・ディッシュ、スキャナ、TVチューナカード、デジタルカメラ、デジタルビデオカメラ、ウェブカメラなどが挙げられるが、これらに限定されない。これら及び他の入力装置は、インターフェースポート(複数可)を介し、システムバスを通してプロセッサに接続する。インターフェースポート(複数可)としては、例えば、シリアルポート、パラレルポート、ゲームポート、及びUSBが挙げられる。出力装置(複数可)は、入力装置(複数可)と同じ種類のポートのうちのいくつかを使用する。したがって、例えば、USBポートを使用して、コンピュータシステムに入力を提供し、またコンピュータシステムからの情報を出力装置に出力してもよい。出力アダプタは、特別なアダプタを必要とする出力装置の中でもとりわけ、モニタ、ディスプレイ、スピーカ、及びプリンタなどのいくつかの出力装置が存在することを示すために提供される。出力アダプタとしては、例示としてのものであり限定するものではないが、出力装置とシステムバスとの間の接続手段を提供するビデオ及びサウンドカードが挙げられる。遠隔コンピュータ(複数可)などの他の装置及び/又は装置のシステムは、入力及び出力機能の両方を提供することに留意されたい。 A user enters commands or information into
コンピュータシステム210は、クラウドコンピュータ(複数可)などの1つ若しくは2つ以上の遠隔コンピュータ又はローカルコンピュータへの論理接続を使用するネットワーク化環境で動作することができる。遠隔クラウドコンピュータ(複数可)は、パーソナルコンピュータ、サーバ、ルータ、ネットワークPC、ワークステーション、マイクロプロセッサベースの機器、ピア装置、又は他の一般的なネットワークノードなどであり得、典型的には、コンピュータシステムに関して説明される要素の多く又は全てを含む。簡潔にするために、遠隔コンピュータ(複数可)と共にメモリストレージ装置のみが示される。遠隔コンピュータ(複数可)は、ネットワークインターフェースを介してコンピュータシステムに論理的に接続され、続いて、通信接続を介して物理的に接続される。ネットワークインターフェースは、ローカルエリアネットワーク(LAN)及びワイドエリアネットワーク(WAN)などの通信ネットワークを包含する。LAN技術としては、光ファイバ分散データインターフェース(fiber distributed data Interface、FDDI)、銅線分散データインターフェース(copper distributed data interface、CDDI)、Ethernet/IEEE802.3、Token Ring/IEEE802.5などが挙げられる。WAN技術としては、ポイントツーポイントリンク、統合サービスデジタルネットワーク(integrated services digital network、ISDN)及びその変形などの回路交換ネットワーク、パケット交換ネットワーク、並びにデジタル加入者回線(digital subscriber line、DSL)が挙げられるがこれらに限定されない。
様々な態様では、図10のコンピュータシステム210、図9~図10の撮像モジュール238、及び/又は可視化システム208、及び/又はプロセッサモジュール232は、画像プロセッサ、画像処理エンジン、メディアプロセッサ、又はデジタル画像の処理に使用される任意の専用デジタル信号プロセッサ(digital signal processor、DSP)を含んでもよい。画像プロセッサは、単一命令複数データ(single instruction, multiple data、SIMD)、又は複数命令複数データ(multiple instruction, multiple data、MIMD)技術を用いた並列コンピューティングを使用して速度及び効率を高めることができる。デジタル画像処理エンジンは、様々なタスクを実行することができる。画像プロセッサは、マルチコアプロセッサアーキテクチャを備えるチップ上のシステムであってもよい。 In various aspects,
通信接続(複数可)とは、ネットワークインターフェースをバスに接続するために用いられるハードウェア/ソフトウェアを指す。例示の明瞭さのために通信接続はコンピュータシステム内部に示されているが、通信接続はコンピュータシステム210の外部にあってもよい。例示のみを目的として、ネットワークインターフェースへの接続に必要なハードウェア/ソフトウェアとしては、通常の電話グレードモデム、ケーブルモデム、及びDSLモデムを含むモデム、ISDNアダプタ、並びにイーサネットカードなどの内部及び外部技術が挙げられる。 Communication connection(s) refers to the hardware/software used to connect the network interface to the bus. Although the communication connections are shown internal to the computer system for clarity of illustration, the communication connections may be external to the
図11は、本開示の少なくとも1つの態様による、USBネットワークハブ300装置の一態様の機能ブロック図を示す。図示した態様では、USBネットワークハブ装置300は、Texas Instruments製TUSB2036集積回路ハブを採用する。USBネットワークハブ300は、USB2.0規格に準拠する、上流USB送受信ポート302及び最大3つの下流USB送受信ポート304、306、308を提供するCMOS装置である。上流USB送受信ポート302は、差動データプラス(DP0)入力とペアリングされた差動データマイナス(DM0)入力を含む差動ルートデータポートである。3つの下流USB送受信ポート304、306、308は、各ポートが差動データマイナス(DM1~DM3)出力とペアリングした差動データプラス(DP1~DP3)出力を含む差動データポートである。 FIG. 11 illustrates a functional block diagram of one aspect of a
USBネットワークハブ300装置は、マイクロコントローラの代わりにデジタル状態マシンを備えて実装され、ファームウェアのプログラミングを必要としない。完全準拠したUSB送受信機が、上流USB送受信ポート302及び全ての下流USB送受信ポート304、306、308の回路に統合される。下流USB送受信ポート304、306、308は、ポートに取り付けられた装置の速度に応じてスルーレートを自動的に設定することによって、最高速度及び低速の装置の両方をサポートする。USBネットワークハブ300装置は、バスパワーモード又はセルフパワーモードのいずれかで構成されてもよく、電力を管理するためのハブパワー論理312を含む。 The
USBネットワークハブ300装置は、シリアルインターフェースエンジン310(serial interface engine、SIE)を含む。SIE310は、USBネットワークハブ300ハードウェアのフロントエンドであり、USB仕様書の第8章に記載されているプロトコルの大部分を取り扱う。SIE310は、典型的には、トランザクションレベルまでのシグナリングを理解する。これが取り扱う機能としては、パケット認識、トランザクションの並べ替え、SOP、EOP、RESET、及びRESUME信号の検出/生成、クロック/データ分離、非ゼロ復帰逆転(non-return-to-zero invert、NRZI)データ符号化/復号及びビットスタッフィング、CRC生成及びチェック(トークン及びデータ)、パケットID(PID)の生成、及びチェック/復号、並びに/又はシリアル・パラレル/パラレル・シリアル変換が挙げられ得る。310はクロック入力314を受信し、ポート論理回路320、322、324を介して上流USB送受信ポート302と下流USB送受信ポート304、306、308との間の通信を制御するためにサスペンド/レジューム論理並びにフレームタイマー316回路及びハブリピータ回路318に結合される。SIE310は、シリアルEEPROMインターフェース330を介してシリアルEEPROMからコマンドを制御するためのインターフェース論理を介してコマンドデコーダ326に結合される。 The
様々な態様では、USBネットワークハブ300は、最大6つの論理層(階層)内に構成された127個の機能を単一のコンピュータに接続することができる。更に、USBネットワークハブ300は、通信及び電力分配の両方を提供する標準化された4本のワイヤケーブルを使用して全ての周辺機器に接続することができる。電力構成は、バスパワーモード及びセルフパワーモードである。USBネットワークハブ300は、個々のポート電力管理又は連動ポート電力管理のいずれかを備えるバスパワーハブ、及び個々のポート電力管理又は連動ポート電力管理のいずれかを備えるセルフパワーハブの、電力管理の4つのモードをサポートするように構成されてもよい。一態様では、USBケーブル、USBネットワークハブ300を使用して、上流USB送受信ポート302はUSBホストコントローラにプラグ接続され、下流USB送受信ポート304、306、308はUSBに互換性のある装置を接続するために露出される、といった具合である。 In various aspects,
外科用器具のハードウェア
図12は、本開示の1つ又は2つ以上の態様による、外科用器具又はツールの制御システム470の論理図を示す。システム470は制御回路を備える。制御回路は、プロセッサ462及びメモリ468を備えるマイクロコントローラ461を含む。例えば、センサ472、474、476のうちの1つ又は2つ以上が、プロセッサ462にリアルタイムなフィードバックを提供する。モータドライバ492によって駆動されるモータ482は、長手方向に移動可能な変位部材を動作可能に結合して、クランプアーム閉鎖部材を駆動する。追跡システム480は、長手方向に移動可能な変位部材の位置を決定するように構成されている。位置情報は、長手方向に移動可能な駆動部材の位置及び閉鎖部材の位置を決定するようにプログラム又は構成可能なプロセッサ462に提供される。閉鎖管の移動、シャフトの回転、関節運動、若しくはクランプアームの閉鎖、又は上記の組み合わせを制御するために、ツールドライバインターフェースに追加のモータが提供されてもよい。ディスプレイ473は、器具の様々な動作条件を表示し、データ入力のためのタッチスクリーン機能を含んでもよい。ディスプレイ473上に表示された情報は、内視鏡撮像モジュールを介して取得された画像とオーバーレイさせることができる。Surgical Instrument Hardware FIG. 12 depicts a logic diagram of a surgical instrument or
一態様では、マイクロコントローラ461は、Texas Instruments製のARM Cortexの商品名で知られているものなど、任意のシングルコア又はマルチコアプロセッサであってもよい。一態様では、主マイクロコントローラ461は、例えば、その詳細が製品データシートで入手可能である、最大40MHzの256KBのシングルサイクルフラッシュメモリ若しくは他の不揮発性メモリのオンチップメモリ、性能を40MHz超に改善するためのプリフェッチバッファ、32KBのシングルサイクルSRAM、StellarisWare(登録商標)ソフトウェアを搭載した内部ROM、2KBのEEPROM、1つ若しくは2つ以上のPWMモジュール、1つ若しくは2つ以上のQEIアナログ、及び/又は12個のアナログ入力チャネルを備える1つ若しくは2つ以上の12ビットADCを含む、Texas Instrumentsから入手可能なLM4F230H5QR ARM Cortex-M4Fプロセッサコアであってもよい。 In one aspect,
一態様では、マイクロコントローラ461は、同じくTexas Instruments製のHercules ARM Cortex R4の商品名で知られるTMS570及びRM4xなどの2つのコントローラ系ファミリーを含む安全コントローラを含んでもよい。安全コントローラは、拡張性のある性能、接続性、及びメモリの選択肢を提供しながら、高度な集積型安全機構を提供するために、中でも特に、IEC61508及びISO26262の安全限界用途専用に構成されてもよい。 In one aspect,
マイクロコントローラ461は、ナイフ、関節運動システム、クランプアーム、又は上記の組み合わせの速度及び位置の正確な制御などの様々な機能を実行するようにプログラムされてもよい。一態様では、マイクロコントローラ461は、プロセッサ462及びメモリ468を含む。電動モータ482は、ギアボックス、及び関節運動又はナイフシステムへの機械的連結部を備えたブラシ付き直流(DC)モータであってもよい。一態様では、モータドライバ492は、Allegro Microsystems,Incから入手可能なA3941であってもよい。他のモータドライバを、絶対位置決めシステムを備える追跡システム480で使用するために容易に置き換えることができる。絶対位置決めシステムの詳細な説明は、その全体が参照により本明細書に組み込まれる「SYSTEMS AND METHODS FOR CONTROLLING A SURGICAL STAPLING AND CUTTING INSTRUMENT」と題する2017年10月19日公開の米国特許出願公開第2017/0296213号に記載されている。
マイクロコントローラ461は、変位部材及び関節運動システムの速度及び位置に対する正確な制御を提供するようにプログラムされてもよい。マイクロコントローラ461は、マイクロコントローラ461のソフトウェア内で応答を計算するように構成されてもよい。計算された応答は、実際のシステムの測定された応答と比較されて「観測された」応答が得られ、これが実際のフィードバックの判定に用いられる。観測された応答は、シミュレーションによる応答の滑らかで連続的な性質と、測定による応答とのバランスを取る好適な調整された値であり、これはシステムに及ぼす外部の影響を検出することができる。
一態様では、モータ482は、モータドライバ492によって制御されてもよく、外科用器具又はツールの発射システムによって使用され得る。様々な形態において、モータ482は、例えば、約25,000RPMの最大回転速度を有するブラシ付きDC駆動モータであってもよい。別の構成において、モータ482は、ブラシレスモータ、コードレスモータ、同期モータ、ステッパモータ、又は任意の他の好適な電動モータを含んでよい。モータドライバ492は、例えば、電界効果トランジスタ(field-effect transistor、FET)を含むHブリッジドライバを備えてもよい。モータ482は、外科用器具又はツールに制御電力を供給するために、ハンドルアセンブリ又はツールハウジングに解除可能に装着された電源アセンブリによって給電され得る。電源アセンブリは、外科用器具又はツールに給電するための電源として使用され得る、直列に接続された多数の電池セルを含み得る電池を含んでもよい。特定の状況下では、電源アセンブリの電池セルは、交換可能及び/又は再充電可能な電池セルであってよい。少なくとも1つの例では、電池セルは、電源アセンブリに結合可能かつ電源アセンブリから分離可能であり得るリチウムイオン電池であり得る。 In one aspect,
モータドライバ492は、Allegro Microsystems,Incから入手可能なA3941であってもよい。A3941 492は、特にブラシ付きDCモータなどの誘導負荷を目的として設計された外部Nチャネルパワー金属酸化膜半導体電界効果トランジスタ(metal-oxide semiconductor field-effect transistor、MOSFET)と共に使用するためのフルブリッジコントローラである。ドライバ492は、固有の電荷ポンプレギュレータを備え、これは、完全(>10V)ゲート駆動を7Vまでの電池電圧に提供し、A3941が5.5Vまでの低減ゲート駆動で動作することを可能にする。NチャネルMOSFETに必要な上記の電池供給電圧を与えるために、ブートストラップコンデンサが用いられてもよい。ハイサイド駆動用の内部電荷ポンプにより、DC(100%デューティサイクル)動作が可能となる。フルブリッジは、ダイオード又は同期整流を用いて高速又は低速減衰モードで駆動され得る。低速減衰モードでは、電流の再循環は、ハイサイドのFETによっても、ローサイドのFETによっても可能である。電力FETは、レジスタで調節可能なデッドタイムによって、シュートスルーから保護される。統合診断は、低電圧、温度過昇、及びパワーブリッジの異常を指示するものであり、ほとんどの短絡状態下でパワーMOSFETを保護するように構成され得る。他のモータドライバを、絶対位置決めシステムを備えた追跡システム480で使用するために容易に置換することができる。
追跡システム480は、本開示の一態様による位置センサ472を備える制御されたモータ駆動回路構成を備える。絶対位置決めシステム用の位置センサ472は、変位部材の位置に対応する固有の位置信号を提供する。一態様では、変位部材は、ギア減速機アセンブリの対応する駆動ギアと噛合係合するための駆動歯のラックを備える長手方向に移動可能な駆動部材を表す。他の態様では、変位部材は、駆動歯のラックを含むように適合及び構成され得る発射部材を表す。更に別の態様では、変位部材は、クランプアームを開閉するための長手方向変位部材を表し、これは駆動歯のラックを含むように適合及び構成され得る。他の態様では、変位部材は、ステープラ、超音波、若しくは電気外科用装置のクランプアーム、又は上記の組み合わせを開閉するように構成されたクランプアーム閉鎖部材を表す。したがって、本明細書で使用するとき、変位部材という用語は、一般的に、駆動部材、クランプアーム、又は変位され得る任意の要素など、外科用器具又はツールの任意の可動部材を指すために使用される。したがって、絶対位置決めシステムは、実際には、長手方向に移動可能な駆動部材の直線変位を追跡することによって、クランプアームの変位を追跡することができる。他の態様では、絶対位置決めシステムは、開閉プロセスにおけるクランプアームの位置を追跡するように構成され得る。
様々な他の態様では、変位部材は、直線変位を測定するのに好適な任意の位置センサ472に結合されてもよい。したがって、長手方向に移動可能な駆動部材、若しくはクランプアーム、又はこれらの組み合わせは、任意の好適な直線変位センサに結合されてもよい。直線変位センサは、接触式又は非接触式変位センサを含んでよい。直線変位センサは、線形可変差動変圧器(linear variable differential transformers、LVDT)、差動可変磁気抵抗型変換器(differential variable reluctance transducers、DVRT)、スライドポテンショメータ、移動可能な磁石及び一連の直線上に配置されたホール効果センサを備える磁気感知システム、固定された磁石及び一連の移動可能な直線上に配置されたホール効果センサを備える磁気感知システム、移動可能な光源及び一連の直線上に配置された光ダイオード若しくは光検出器を備える光学検出システム、固定された光源及び一連の移動可能な直線上に配置された光ダイオード若しくは光検出器を備える光学検出システム、又はこれらの任意の組み合わせを含んでもよい。 In various other aspects, the displacement member may be coupled to any
電動モータ482は、変位部材上の駆動歯のセット又はラックと噛合係合で装着されるギアアセンブリと動作可能にインターフェースする回転式シャフトを含んでもよい。センサ素子は、位置センサ472素子の1回転が、変位部材のいくらかの直線長手方向並進に対応するように、ギアアセンブリに動作可能に結合されてもよい。ギアリング及びセンサ機構を、ラックピニオン機構によって直線アクチュエータに、又はスパーギア若しくは他の接続によって回転アクチュエータに接続することができる。電源は、絶対位置決めシステムに電力を供給し、出力インジケータは、絶対位置決めシステムの出力を表示することができる。変位部材は、ギア減速機アセンブリの対応する駆動ギアと噛合係合するために、その上に形成された駆動歯のラックを備える長手方向に移動可能な駆動部材を表す。変位部材は、クランプアームを開閉する長手方向に移動可能な発射部材を表す。
位置センサ472に付随するセンサ素子の1回転は、変位部材の長手方向直線変位d1に相当し、d1は、変位部材に結合したセンサ素子の1回転した後で、変位部材が点「a」から点「b」まで移動する長手方向の直線距離である。センサ機構は、位置センサ472が変位部材のフルストロークに対して1回以上の回転を完了する結果をもたらすギアの減速を介して接続されてもよい。位置センサ472は、変位部材のフルストロークに対して複数回の回転を完了することができる。One rotation ofthe sensor element associated with the
位置センサ472の2回以上の回転に対する固有の位置信号を提供するために、一連のスイッチ(ここでnは1より大きい整数である)が、単独で用いられても、ギアの減速との組み合わせで用いられてもよい。スイッチの状態はマイクロコントローラ461にフィードバックされ、マイクロコントローラ461は論理を適用して、変位部材の長手方向の直線変位d1+d2+...dnに対応する固有の位置信号を判定する。位置センサ472の出力はマイクロコントローラ461に提供される。センサ機構の位置センサ472は、位置信号又は値の固有の組み合わせを出力する、磁気センサ、電位差計などのアナログ回転センサ、又はアナログホール効果素子のアレイを備えてもよい。A series of switches (where n is an integer greater than 1), either used alone or in combination with a gear reduction, provide unique position signals for more than one rotation of the
位置センサ472は、例えば、磁界の全磁界又はベクトル成分を測定するか否かに基づいて分類される磁気センサなどの、任意の数の磁気感知素子を備えてもよい。両タイプの磁気センサを生産するために用いられる技術は、物理学及び電子工学の多数の側面を含んでいる。磁界の感知に用いられる技術としては、とりわけ、探りコイル、フラックスゲート、光ポンピング、核摂動(nuclear precession)、SQUID、ホール効果、異方性磁気抵抗、巨大磁気抵抗、磁気トンネル接合、巨大磁気インピーダンス、磁歪/圧電複合材、磁気ダイオード、磁気トランジスタ、光ファイバ、磁気光学、及び微小電気機械システムベースの磁気センサが挙げられる。
一態様では、絶対位置決めシステムを備える追跡システム480の位置センサ472は、磁気回転絶対位置決めシステムを備える。位置センサ472は、Austria Microsystems,AGから入手可能なAS5055EQFTシングルチップ磁気回転位置センサとして実装されてもよい。位置センサ472は、マイクロコントローラ461と連携して絶対位置決めシステムを提供する。位置センサ472は、低電圧低電力の構成要素であり、磁石の上方に位置する位置センサ472の領域に、4つのホール効果素子を含む。更に、高解像度ADC及びスマート電力管理コントローラがチップ上に設けられている。加算、減算、ビットシフト、及びテーブル参照演算のみを必要とする、双曲線関数及び三角関数を計算する簡潔かつ効率的なアルゴリズムを実装するために、桁毎法(digit-by-digit method)及びボルダーアルゴリズム(Volder's algorithm)としても知られる、座標回転デジタルコンピュータ(coordinate rotation digital computer、CORDIC)プロセッサが設けられる。角度位置、アラームビット、及び磁界情報は、シリアル周辺インターフェース(serial peripheral interface、SPI)インターフェースなどの標準的なシリアル通信インターフェースを介してマイクロコントローラ461に伝送される。位置センサ472は、12ビット又は14ビットの解像度を提供する。位置センサ472は、小型のQFN16ピン4×4×0.85mmパッケージで提供されるAS5055チップであってもよい。 In one aspect,
絶対位置決めシステムを備える追跡システム480は、PID、状態フィードバック、及び適応コントローラなどのフィードバックコントローラを備えてもよく、かつ/又はこれを実装するようにプログラムされてもよい。電源が、フィードバックコントローラからの信号を、システムへの物理的入力、この場合は電圧へと変換する。他の例としては、電圧、電流、及び力のPWMが挙げられる。位置センサ472によって測定される位置に加えて、物理的システムの物理パラメータを測定するために、他のセンサ(複数可)が設けられてもよい。いくつかの態様では、他のセンサ(複数可)としては、その全体が参照により本明細書に組み込まれる、「STAPLE CARTRIDGE TISSUE THICKNESS SENSOR SYSTEM」と題する2016年5月24日発行の米国特許第9,345,481号、その全体が参照により本明細書に組み込まれる、「STAPLE CARTRIDGE TISSUE THICKNESS SENSOR SYSTEM」と題する2014年9月18日公開の米国特許出願公開第2014/0263552号、及びその全体が参照により本明細書に組み込まれる、「TECHNIQUES FOR ADAPTIVE CONTROL OF MOTOR VELOCITY OF A SURGICAL STAPLING AND CUTTING INSTRUMENT」と題する2017年6月20日出願の米国特許出願第15/628,175号に記載されているものなどのセンサ機構を挙げることができる。デジタル信号処理システムでは、絶対位置決めシステムはデジタルデータ取得システムに結合され、ここで絶対位置決めシステムの出力は有限の解像度及びサンプリング周波数を有する。絶対位置決めシステムは、計算された応答を測定された応答に向けて駆動する加重平均及び理論制御ループなどのアルゴリズムを用いて、計算された応答を測定された応答と組み合わせるために、比較及び組み合わせ回路を備え得る。入力を知ることによって物理的システムの状態及び出力がどうなるかを予測するために、物理的システムの計算された応答は、質量、慣性、粘性摩擦、誘導抵抗などの特性を考慮に入れる。
絶対位置決めシステムは、モータ482が単に前方又は後方に経たステップの数をカウントして装置アクチュエータ、駆動バー、ナイフなどの位置を推定する従来の回転エンコーダで必要となり得るような、変位部材をリセット(ゼロ又はホーム)位置へ後退又は前進させることなしに、器具の電源投入時に変位部材の絶対位置を提供する。 Absolute positioning systems do not reset the displacement member (as may be required with conventional rotary encoders where the
例えば歪みゲージ又は微小歪みゲージなどのセンサ474は、例えば、アンビルに適用される閉鎖力を示すことができる、クランプ動作中にアンビルに及ぼされる歪みの振幅などのエンドエフェクタの1つ又は2つ以上のパラメータを測定するように構成される。測定された歪みは、デジタル信号に変換されて、プロセッサ462に提供される。センサ474の代わりに、又はこれに加えて、例えば、負荷センサなどのセンサ476が、閉鎖駆動システムが超音波又は電気外科用器具内のステープラ又はクランプアーム内のアンビルに加える閉鎖力を測定することができる。例えば、負荷センサなどのセンサ476は、外科用器具若しくはツールのクランプアームに結合された閉鎖部材に加えられる発射力、又はクランプアームによって超音波若しくは電気外科用器具のジョー内に位置する組織に加えられる力を測定することができる。あるいは、モータ482による電流引き込みを測定するために、電流センサ478を用いることができる。変位部材はまた、クランプアームに係合してクランプアームを開閉するように構成されてもよい。力センサは、組織上のクランプ力を測定するように構成されてもよい。変位部材を前進させるのに必要な力は、例えば、モータ482によって引き込まれる電流に相当し得る。測定された力は、デジタル信号に変換されて、プロセッサ462に提供される。 A
一形態では、歪みゲージセンサ474を使用して、エンドエフェクタによって組織に加えられる力を測定することができる。治療される組織に対するエンドエフェクタによる力を測定するために、歪みゲージをエンドエフェクタに結合することができる。エンドエフェクタによって把持された組織に印加される力を測定するためのシステムは、例えば、エンドエフェクタの1つ又は2つ以上のパラメータを測定するように構成された微小歪みゲージなどの歪みゲージセンサ474を備える。一態様では、歪みゲージセンサ474は、クランプ動作中にエンドエフェクタのジョー部材に及ぼされる歪みの振幅又は大きさを測定することができ、これは組織の圧縮を示すことができる。測定された歪みはデジタル信号に変換されて、マイクロコントローラ461のプロセッサ462に提供される。負荷センサ476は、例えば、アンビルとステープルカートリッジとの間に捕捉された組織を切断するために、ナイフ要素を操作するのに用いられる力を測定することができる。負荷センサ476は、例えば、クランプアームと超音波ブレードとの間に組織を捕捉するために、又はクランプアームと電気外科用器具のジョーとの間に組織を捕捉するために、クランプアーム要素を操作するのに使用される力を測定することができる。磁界センサは、捕捉された組織の厚さを測定するために用いることができる。磁界センサの測定値もデジタル信号に変換されて、プロセッサ462に提供され得る。 In one form,
センサ474、476によってそれぞれ測定される、組織の圧縮、組織の厚さ、及び/又はエンドエフェクタを組織上で閉鎖するのに必要な力の測定値は、発射部材の選択された位置、及び/又は発射部材の速度の対応する値を特性決定するために、マイクロコントローラ461によって使用することができる。一例では、メモリ468は、評価の際にマイクロコントローラ461によって用いることができる技術、等式及び/又はルックアップテーブルを記憶することができる。 Measurements of tissue compression, tissue thickness, and/or the force required to close the end effector on the tissue, as measured by
外科用器具又はツールの制御システム470はまた、図8~図11に示されるようにモジュール式通信ハブと通信するための有線又は無線通信回路を備えてもよい。 The surgical instrument or
図13は、本開示の一態様による、外科用器具又はツールの態様を制御するように構成された制御回路500を示す。制御回路500は、本明細書に説明される様々なプロセスを実装するように構成することができる。制御回路500は、少なくとも1つのメモリ回路504に結合された1つ又は2つ以上のプロセッサ502(例えば、マイクロプロセッサ、マイクロコントローラ)を備えるマイクロコントローラを備えることができる。メモリ回路504は、プロセッサ502によって実行されると、本明細書に記載される様々なプロセスを実装するための機械命令をプロセッサ502に実行させる、機械実行可能命令を記憶する。プロセッサ502は、当該技術分野で既知の多数のシングル又はマルチコアプロセッサのうち任意の1つであってもよい。メモリ回路504は、揮発性及び不揮発性のストレージ媒体を備えることができる。プロセッサ502は、命令処理ユニット506及び演算ユニット508を含んでよい。命令処理ユニットは、本開示のメモリ回路504から命令を受信するように構成されてもよい。 FIG. 13 illustrates a
図14は、本開示の一態様による、外科用器具又はツールの態様を制御するように構成された組み合わせ論理回路510を示す。組み合わせ論理回路510は、本明細書に記載される様々なプロセスを実装するように構成することができる。組み合わせ論理回路510は、入力514で外科用器具又はツールと関連付けられたデータを受信し、組み合わせ論理512によってデータを処理し、出力516を提供するように構成された組み合わせ論理512を含む有限状態マシンを含み得る。 FIG. 14 illustrates a
図15は、本開示の一態様による、外科用器具又はツールの態様を制御するように構成された順序論理回路520を示す。順序論理回路520又は組み合わせ論理522は、本明細書に記載される様々なプロセスを実装するように構成することができる。順序論理回路520は有限状態マシンを含んでもよい。順序論理回路520は、例えば、組み合わせ論理522、少なくとも1つのメモリ回路524、及びクロック529を含んでもよい。少なくとも1つのメモリ回路524は、有限状態マシンの現在の状態を記憶することができる。特定の例では、順序論理回路520は、同期式又は非同期式であってもよい。組み合わせ論理522は、入力526から外科用器具又はツールと関連付けられたデータを受信し、組み合わせ論理522によってデータを処理し、出力528を提供するように構成される。他の態様では、回路は、プロセッサ(例えば、図13のプロセッサ502)と、本明細書の様々なプロセスを実装する有限状態マシンと、の組み合わせを含んでもよい。他の態様では、有限状態マシンは、組み合わせ論理回路(例えば図14の組み合わせ論理回路510)と順序論理回路520の組み合わせを含むことができる。 FIG. 15 illustrates a
図16は、様々な機能を実行するために起動され得る複数のモータを備える外科用器具又はツールを示す。特定の例では、第1のモータを起動させて第1の機能を実行することができ、第2のモータを起動させて第2の機能を実行することができ、第3のモータを起動させて第3の機能を実行することができ、第4のモータを起動させて第4の機能を実行することができる、といった具合である。特定の例では、ロボット外科用器具600の複数のモータは個々に起動されて、エンドエフェクタにおいて発射運動、閉鎖運動、及び/又は関節運動を生じさせることができる。発射運動、閉鎖運動、及び/又は関節運動は、例えばシャフトアセンブリを介してエンドエフェクタに伝達することができる。 FIG. 16 shows a surgical instrument or tool with multiple motors that can be activated to perform various functions. In particular examples, a first motor can be activated to perform a first function, a second motor can be activated to perform a second function, and a third motor can be activated to perform a second function. A fourth motor can be activated to perform a third function, a fourth motor can be activated to perform a fourth function, and so on. In certain examples, multiple motors of robotic
特定の例では、外科用器具システム又はツールは発射モータ602を含んでもよい。発射モータ602は、具体的にはクランプアーム閉鎖部材を変位させるために、モータ602によって生成された発射運動をエンドエフェクタに伝達するように構成することができる、発射モータ駆動アセンブリ604に動作可能に結合されてもよい。閉鎖部材は、モータ602の方向を逆転させることによって後退させられ得、これはまた、クランプアームを開放させる。 In certain examples, a surgical instrument system or tool may include a firing
特定の例では、外科用器具又はツールは閉鎖モータ603を含んでもよい。閉鎖モータ603は、具体的には閉鎖管を変位させてアンビルを閉鎖し、アンビルとステープルカートリッジとの間で組織を圧縮するためにモータ603によって生成された閉鎖運動をエンドエフェクタに伝達するように構成され得る、閉鎖モータ駆動アセンブリ605と動作可能に結合されてもよい。閉鎖モータ603は、具体的には閉鎖管を変位させてクランプアームを閉鎖し、クランプアームと、電気外科用装置の超音波ブレード又はジョー部材のいずれかと、の間で組織を圧縮するためにモータ603によって生成された閉鎖運動をエンドエフェクタに伝達するように構成され得る、閉鎖モータ駆動アセンブリ605と動作可能に結合されてもよい。閉鎖運動によって、例えば、エンドエフェクタが開放構成から接近構成へと遷移して組織を捕捉することができる。エンドエフェクタは、モータ603の方向を逆転させることによって開放位置に遷移され得る。 In certain examples, the surgical instrument or tool may include a closure motor 603. Closure motor 603 is configured to specifically displace the closure tube to close the anvil and transmit the closure motion generated by motor 603 to the end effector to compress tissue between the anvil and the staple cartridge. The closed motor drive assembly 605 may be operably coupled to a closed motor drive assembly 605, which may be configured. Closure motor 603 is specifically configured to displace the closure tube to close the clamp arm and compress tissue between the clamp arm and either the ultrasonic blade or jaw member of the electrosurgical device. The closure motor drive assembly 605 may be operably coupled to a closure motor drive assembly 605 that may be configured to transmit the closure motion generated by 603 to an end effector. The closing motion may, for example, transition the end effector from an open configuration to an approximation configuration to capture tissue. The end effector may be transitioned to the open position by reversing the direction of motor 603.
特定の例では、外科用器具又はツールは、例えば、1つ又は2つ以上の関節運動モータ606a、606bを含んでもよい。モータ606a、606bは、モータ606a、606bによって生成された関節運動をエンドエフェクタに伝達するように構成され得る、対応する関節運動モータ駆動アセンブリ608a、608bに動作可能に結合され得る。特定の例では、関節運動によって、例えば、エンドエフェクタがシャフトに対して関節運動することができる。 In certain examples, a surgical instrument or tool may include one or
上述したように、外科用器具又はツールは、様々な独立した機能を実施するように構成され得る複数のモータを含んでもよい。特定の例では、外科用器具又はツールの複数のモータは、他のモータが停止した状態を維持している間に、独立して又は別個に起動させて、1つ又は2つ以上の機能を実施することができる。例えば、関節運動モータ606a、606bを起動させて、発射モータ602が停止した状態を維持している間に、エンドエフェクタを関節運動させることができる。あるいは、発射モータ602を起動させて、関節運動モータ606が停止している間に、複数のステープルを発射させ、及び/又は刃先を前進させることができる。更に、閉鎖モータ603は、本明細書の以下でより詳細に説明されるとおり、閉鎖管又は閉鎖部材を遠位に前進させるために、発射モータ602と同時に起動させてもよい。 As mentioned above, a surgical instrument or tool may include multiple motors that may be configured to perform a variety of independent functions. In certain instances, multiple motors of a surgical instrument or tool may be activated independently or separately to perform one or more functions while other motors remain stopped. It can be implemented. For example,
特定の例では、外科用器具又はツールは、外科用器具又はツールの複数のモータと共に用いることができる、共通の制御モジュール610を含んでもよい。特定の例では、共通の制御モジュール610は、一度に複数のモータのうちの1つに対応することができる。例えば、共通の制御モジュール610は、ロボット外科用器具の複数のモータ対して個々に結合及び分離が可能であってもよい。特定の例では、外科用器具又はツールの複数のモータは、共通の制御モジュール610などの1つ又は2つ以上の共通の制御モジュールを共有してもよい。特定の例では、外科用器具又はツールの複数のモータは、共通の制御モジュール610に独立してかつ選択的に係合することができる。特定の例では、共通の制御モジュール610は、外科用器具又はツールの複数のモータのうち一方との連携から、外科用器具又はツールの複数のモータのうちもう一方との連携へと選択的に切り替えることができる。 In certain examples, a surgical instrument or tool may include a
少なくとも1つの例では、共通の制御モジュール610は、関節運動モータ606a、606bとの動作可能な係合と、発射モータ602又は閉鎖モータ603のいずれかとの動作可能な係合と、の間で選択的に切り替えることができる。少なくとも1つの実施例では、図16に示すように、スイッチ614は、複数の位置及び/又は状態間を移動又は遷移させることができる。例えば、第1の位置616では、スイッチ614は、共通の制御モジュール610を発射モータ602と電気的に結合してもよく、第2の位置617では、スイッチ614は、共通の制御モジュール610を閉鎖モータ603と電気的に結合してもよく、第3の位置618aでは、スイッチ614は、共通の制御モジュール610を第1の関節運動モータ606aと電気的に結合してもよく、第4の位置618bでは、スイッチ614は、共通の制御モジュール610を第2の関節運動モータ606bと電気的に結合してもよい。特定の例では、同時に、別個の共通の制御モジュール610を、発射モータ602、閉鎖モータ603、及び関節運動モータ606a、606bと電気的に結合してもよい。特定の例では、スイッチ614は、機械的スイッチ、電気機械的スイッチ、固体スイッチ、又は任意の好適な切り替え機構であってもよい。 In at least one example,
モータ602、603、606a、606bのそれぞれは、モータのシャフト上の出力トルクを測定するためのトルクセンサを備えてもよい。エンドエフェクタ上の力は、ジョーの外側の力センサによって、又はジョーを作動させるモータのトルクセンサなどによって、任意の従来の方法で感知されてもよい。 Each of the
様々な例では、図16に示されるように、共通の制御モジュール610は、1つ又は2つ以上のHブリッジFETを備え得るモータドライバ626を備えてもよい。モータドライバ626は、例えば、マイクロコントローラ620(「コントローラ」)からの入力に基づいて、電源628から共通の制御モジュール610に結合されたモータへと伝達された電力を変調してもよい。特定の例では、上述したように、例えば、モータが共通の制御モジュール610に結合されている間にマイクロコントローラ620を用いて、モータによって引き込まれる電流を判定することができる。 In various examples, as shown in FIG. 16, the
特定の例では、マイクロコントローラ620は、マイクロプロセッサ622(「プロセッサ」)と、1つ又は2つ以上の非一時的コンピュータ可読媒体又はメモリユニット624(「メモリ」)と、を含んでもよい。特定の例では、メモリ624は、様々なプログラム命令を記憶することができ、それが実行されると、プロセッサ622に、本明細書に記載される複数の機能及び/又は計算を実施させることができる。特定の例では、メモリユニット624の1つ又は2つ以上が、例えば、プロセッサ622に結合されてもよい。様々な態様では、マイクロコントローラ620は、有線若しくは無線チャネル、又はこれらの組み合わせを介して通信してもよい。 In certain examples,
特定の例では、電源628を用いて、例えばマイクロコントローラ620に電力を供給してもよい。特定の例では、電源628は、例えばリチウムイオン電池などの電池(又は「電池パック」若しくは「パワーパック」)を含んでもよい。特定の例では、電池パックは、外科用器具600に電力を供給するため、ハンドルに解除可能に装着されるように構成されてもよい。直列で接続された多数の電池セルを、電源628として使用してもよい。特定の例では、電源628は、例えば、交換可能及び/又は再充電可能であってもよい。 In certain examples,
様々な例では、プロセッサ622は、モータドライバ626を制御して、共通の制御モジュール610に結合されたモータの位置、回転方向、及び/又は速度を制御することができる。特定の例では、プロセッサ622は、モータドライバ626に信号伝達して、共通の制御モジュール610に結合されたモータを停止及び/又は使用不能にすることができる。「プロセッサ」という用語は、本明細書で使用されるとき、任意の好適なマイクロプロセッサ、マイクロコントローラ、又は、コンピュータの中央処理装置(central processing unit、CPU)の機能を1つの集積回路又は最大で数個の集積回路上で統合したその他の基本コンピューティング装置を含むと理解されるべきである。プロセッサ622は、デジタルデータを入力として受理し、メモリに記憶された命令に従ってそのデータを処理し、結果を出力として提供する、多目的のプログラム可能装置である。これは、内部メモリを有するので、逐次的デジタル論理の一例である。プロセッサは、二進数法で表される数字及び記号で動作する。 In various examples,
一例では、プロセッサ622は、Texas Instruments製のARM Cortexの商品名で知られているものなど、任意のシングルコア又はマルチコアプロセッサであってもよい。特定の例では、マイクロコントローラ620は、例えばTexas Instrumentsから入手可能なLM 4F230H5QRであってもよい。少なくとも1つの実施例では、Texas InstrumentsのLM4F230H5QRは、製品データシートで容易に利用可能な特性の中でもとりわけ、最大40MHzの256KBのシングルサイクルフラッシュメモリ若しくは他の不揮発性メモリのオンチップメモリ、性能を40MHz超に改善するためのプリフェッチバッファ、32KBのシングルサイクルSRAM、StellarisWare(登録商標)ソフトウェアを搭載した内部ROM、2KBのEEPROM、1つ又は2つ以上のPWMモジュール、1つ又は2つ以上のQEIアナログ、12個のアナログ入力チャネルを備える1つ又は2つ以上の12ビットADCを含むARM Cortex-M4Fプロセッサコアである。他のマイクロコントローラが、モジュール4410と共に使用するのに容易に代用されてもよい。したがって、本開示は、この文脈に限定されるべきではない。 In one example,
特定の例では、メモリ624は、共通の制御モジュール610に結合可能な外科用器具600のモータをそれぞれ制御するためのプログラム命令を含んでもよい。例えば、メモリ624は、発射モータ602、閉鎖モータ603、及び関節運動モータ606a、606bを制御するためのプログラム命令を含んでもよい。このようなプログラム命令は、プロセッサ622に、外科用器具又はツールのアルゴリズム又は制御プログラムからの入力に従って、発射機能、閉鎖機能、及び関節運動機能を制御させることができる。 In certain examples,
特定の例では、例えば、センサ630などの1つ又は2つ以上の機構及び/又はセンサを用いて、特定の設定で使用すべきプログラム命令をプロセッサ622に警告することができる。例えば、センサ630は、エンドエフェクタの発射、閉鎖、及び関節運動に関連するプログラム命令を使用するようにプロセッサ622に警告することができる。特定の例では、センサ630は、例えば、スイッチ614の位置を感知するために用いることができる位置センサを備えてもよい。したがって、プロセッサ622は、例えば、センサ630を介してスイッチ614が第1の位置616にあることを検出すると、エンドエフェクタのクランプアームに結合された閉鎖部材の発射と関連付けられたプログラム命令を使用することができ、プロセッサ622は、例えば、センサ630を介してスイッチ614が第2の位置617にあることを検出すると、アンビルの閉鎖と関連付けられたプログラム命令を使用することができ、プロセッサ622は、例えば、センサ630を介してスイッチ614が第3の位置618a又は第4の位置618bにあることを検出すると、エンドエフェクタの関節運動と関連付けられたプログラム命令を使用することができる。 In certain examples, one or more mechanisms and/or sensors, such as
図17は、本開示の一態様による、本明細書で説明される外科用ツールを操作するように構成されたロボット外科用器具700の回路図である。ロボット外科用器具700は、単一又は複数の関節運動駆動連結部のいずれかを用いて、変位部材の遠位/近位並進、閉鎖管の遠位/近位変位、シャフトの回転、及び関節運動を制御するようにプログラム又は構成されてもよい。一態様では、外科用器具700は、発射部材、閉鎖部材、シャフト部材、若しくは1つ若しくは2つ以上の関節運動部材、又はこれらの組み合わせを個別に制御するようにプログラム又は構成されてもよい。外科用器具700は、モータ駆動式の発射部材、閉鎖部材、シャフト部材、若しくは1つ若しくは2つ以上の関節運動部材、又はこれらの組み合わせを制御するように構成された制御回路710を備える。 FIG. 17 is a circuit diagram of a robotic
一態様では、ロボット外科用器具700は、複数のモータ704a~704eを介して、エンドエフェクタ702のクランプアーム716及び閉鎖部材714部分と、超音波発生器721によって励起される超音波変換器719に結合された超音波ブレード718と、シャフト740と、1つ又は2つ以上の関節運動部材742a、742bと、を制御するように構成された制御回路710を備える。位置センサ734は、閉鎖部材714の位置フィードバックを制御回路710に提供するように構成されてもよい。他のセンサ738は、制御回路710にフィードバックを提供するように構成されてもよい。タイマー/カウンタ731は、制御回路710にタイミング及びカウント情報を提供する。モータ704a~704eを動作させるためにエネルギー源712が設けられてもよく、電流センサ736はモータ電流フィードバックを制御回路710に提供する。モータ704a~704eは、開ループ又は閉ループフィードバック制御において制御回路710によって個別に操作することができる。 In one aspect, the robotic
一態様では、制御回路710は、1つ又は2つ以上のマイクロコントローラ、マイクロプロセッサ、又はプロセッサ若しくは複数のプロセッサに1つ又は2つ以上のタスクを実施させる命令を実行するための他の好適なプロセッサを備えてもよい。一態様では、タイマー/カウンタ731は、経過時間又はデジタルカウントなどの出力信号を制御回路710に提供して位置センサ734によって判定された閉鎖部材714の位置をタイマー/カウンタ731の出力と相関させ、その結果、制御回路710は、閉鎖部材714が開始位置に対して特定の位置にあるときの、開始位置又は時間(t)に対する特定の時間(t)における閉鎖部材714の位置を判定することができる。タイマー/カウンタ731は、経過時間を測定するか、外部イベントを計数するか、又は外部イベントの時間を測定するように構成されてもよい。 In one aspect,
一態様では、制御回路710は、1つ又は2つ以上の組織状態に基づいてエンドエフェクタ702の機能を制御するようにプログラムされてもよい。制御回路710は、本明細書に説明されるように、直接的又は間接的のいずれかで厚さなどの組織状態を感知するようにプログラムされてもよい。制御回路710は、組織状態に基づいて発射制御プログラム又は閉鎖制御プログラムを選択するようにプログラムされてもよい。発射制御プログラムは、変位部材の遠位運動を記述することができる。様々な組織状態をより良好に処理するために様々な発射制御プログラムを選択することができる。例えば、より厚い組織が存在する場合、制御回路710は、変位部材をより低速で、及び/又はより低電力で並進させるようにプログラムされてもよい。より薄い組織が存在する場合、制御回路710は、変位部材をより高速で、及び/又はより高電力で並進させるようにプログラムされてもよい。閉鎖制御プログラムは、クランプアーム716によって組織に適用される閉鎖力を制御し得る。その他の制御プログラムは、シャフト740及び関節運動部材742a、742bの回転を制御する。 In one aspect,
一態様では、制御回路710は、モータ設定点信号を生成し得る。モータ設定値信号は、様々なモータコントローラ708a~708eに提供されてもよい。モータコントローラ708a~708eは、本明細書で説明するように、モータ704a~704eにモータ駆動信号を提供してモータ704a~704eを駆動するように構成された1つ又は2つ以上の回路を備えてもよい。いくつかの実施例では、モータ704a~704eはブラシ付きDC電動モータであってもよい。例えば、モータ704a~704eの速度は、それぞれのモータ駆動信号に比例してもよい。いくつかの実施例では、モータ704a~704eはブラシレスDC電動モータであってもよく、それぞれのモータ駆動信号は、モータ704a~704eの1つ又は2つ以上の固定子巻線に提供されるPWM信号を含んでもよい。また、いくつかの実施例では、モータコントローラ708a~708eは省略されてもよく、制御回路710がモータ駆動信号を直接生成してもよい。 In one aspect,
一態様では、制御回路710は、最初に、モータ704a~704eのそれぞれを、変位部材のストロークの第1の開ループ部分では開ループ構成で動作させてもよい。ストロークの開ループ部分の間のロボット外科用器具700の応答に基づいて、制御回路710は、閉ループ構成の発射制御プログラムを選択してもよい。器具の応答としては、開ループ部分の間の変位部材の並進距離、開ループ部分の間に経過する時間、開ループ部分の間にモータ704a~704eのうちの1つに提供されるエネルギー、モータ駆動信号のパルス幅の合計などが挙げられ得る。開ループ部分の後で、制御回路710は、変位部材ストロークの第2の部分に対して選択された発射制御プログラムを実施してもよい。例えば、ストロークの閉ループ部分の間、制御回路710は、変位部材の位置を記述する並進データに基づいてモータ704a~704eのうちの1つを閉ループ式に変調して、変位部材を一定速度で並進させてもよい。 In one aspect, the
一態様では、モータ704a~704eは、エネルギー源712から電力を受け取ることができる。エネルギー源712は、主交流電源、電池、超コンデンサ、又は任意の他の好適なエネルギー源によって駆動されるDC電源であってもよい。モータ704a~704eは、それぞれの伝達装置706a~706eを介して、閉鎖部材714、クランプアーム716、シャフト740、関節742a、及び関節742bなどの個々の可動機械的要素に機械的に結合されてもよい。伝達装置706a~706eは、モータ704a~704eを可動機械的要素に結合するための1つ又は2つ以上のギア又は他の連結構成要素を含んでもよい。位置センサ734は、閉鎖部材714の位置を感知し得る。位置センサ734は、閉鎖部材714の位置を示す位置データを生成することができる任意の種類のセンサであってもよく、又はそれを含んでもよい。いくつかの例では、位置センサ734は、閉鎖部材714が遠位方向及び近位方向に並進すると一連のパルスを制御回路710に提供するように構成されたエンコーダを含んでもよい。制御回路710は、パルスを追跡して閉鎖部材714の位置を判定してもよい。例えば近接センサを含む他の好適な位置センサが使用されてもよい。他の種類の位置センサは、閉鎖部材714の動きを示す他の信号を提供することができる。また、いくつかの実施例では、位置センサ734は省略されてもよい。モータ704a~704eのいずれかがステップモータである場合、制御回路710は、モータ704が実行するように指示されたステップの数及び方向を合計することによって、閉鎖部材714の位置を追跡することができる。位置センサ734は、エンドエフェクタ702内、又は器具の任意の他の部分に位置することができる。モータ704a~704eのそれぞれの出力は、力を感知するためのトルクセンサ744a~744eを含み、駆動シャフトの回転を感知するエンコーダを有する。 In one aspect, motors 704a-704e can receive power from
一態様では、制御回路710は、エンドエフェクタ702の閉鎖部材714部分などの発射部材を駆動するように構成される。制御回路710はモータ制御部708aにモータ設定値を提供し、モータ制御部708aはモータ704aに駆動信号を提供する。モータ704aの出力シャフトは、トルクセンサ744aに結合される。トルクセンサ744aは、閉鎖部材714に結合された伝達装置706aに結合される。伝達装置706aは、エンドエフェクタ702の長手方向軸線に沿って遠位方向及び近位方向への閉鎖部材714の移動を制御するための回転要素及び発射部材などの可動機械的要素を備える。一態様では、モータ704aは、第1のナイフ駆動ギア及び第2のナイフ駆動ギアを含むナイフギア減速セットを含むナイフギアアセンブリに結合されてもよい。トルクセンサ744aは、制御回路710に発射力フィードバック信号を提供する。発射力信号は、閉鎖部材714を発射又は変位させるのに必要な力を表す。位置センサ734は、発射ストロークに沿った閉鎖部材714の位置又は発射部材の位置を、フィードバック信号として制御回路710に提供するように構成されてもよい。エンドエフェクタ702は、制御回路710にフィードバック信号を提供するように構成された追加のセンサ738を含んでもよい。使用準備が整ったら、制御回路710は、モータ制御部708aに発射信号を提供することができる。発射信号に応答して、モータ704aは、発射部材をエンドエフェクタ702の長手方向軸線に沿って、近位のストローク開始位置からストローク開始位置の遠位にあるストローク終了位置まで遠位方向に駆動することができる。閉鎖部材714が遠位方向に並進すると、クランプアーム716は超音波ブレード718に向かって閉鎖する。 In one aspect,
一態様では、制御回路710は、エンドエフェクタ702のクランプアーム716などの閉鎖部材を駆動するように構成される。制御回路710は、モータ704bに駆動信号を提供するモータ制御部708bにモータ設定点を提供する。モータ704bの出力シャフトは、トルクセンサ744bに結合される。トルクセンサ744bは、クランプアーム716に結合された伝達装置706bに結合される。伝達装置706bは、開放位置及び閉鎖位置からのクランプアーム716の移動を制御するための回転要素及び閉鎖部材などの可動機械的要素を含む。一態様では、モータ704bは、閉鎖スパーギアと噛合係合して支持される閉鎖減速ギアセットを含む閉鎖ギアアセンブリに結合される。トルクセンサ744bは、制御回路710に閉鎖力フィードバック信号を提供する。閉鎖力フィードバック信号は、クランプアーム716に適用される閉鎖力を表す。位置センサ734は、閉鎖部材の位置をフィードバック信号として制御回路710に提供するように構成されてもよい。エンドエフェクタ702内の追加のセンサ738は、閉鎖力フィードバック信号を制御回路710に提供することができる。枢動可能なクランプアーム716は、超音波ブレード718の反対側に位置決めされる。使用準備が整うと、制御回路710は、モータ制御部708bに閉鎖信号を提供することができる。閉鎖信号に応答して、モータ704bは閉鎖部材を前進させて、クランプアーム716と超音波ブレード718との間で組織を把持する。 In one aspect,
一態様では、制御回路710は、エンドエフェクタ702を回転させるためにシャフト740などのシャフト部材を回転させるように構成されている。制御回路710は、モータ704cに駆動信号を提供するモータ制御部708cにモータ設定点を提供する。モータ704cの出力シャフトは、トルクセンサ744cに結合されている。トルクセンサ744cは、シャフト740に結合された伝達装置706cに結合されている。伝達装置706cは、シャフト740の回転を時計回り又は反時計回り360度まで及びそれを超えて制御するために回転要素などの可動機械的要素を備える。一態様では、モータ704cは、ツール装着プレート上に動作可能に支持された回転ギアアセンブリによって動作可能に係合されるように、近位閉鎖管の近位端上に形成された(又はこれに取り付けられた)管状ギアセグメントを含む回転伝達装置アセンブリに結合される。トルクセンサ744cは、制御回路710に回転力フィードバック信号を提供する。回転力フィードバック信号は、シャフト740に加えられる回転力を表す。位置センサ734は、閉鎖部材の位置をフィードバック信号として制御回路710に提供するように構成されてもよい。シャフトエンコーダなどの追加のセンサ738が、シャフト740の回転位置を制御回路710に提供してもよい。 In one aspect,
一態様では、制御回路710は、エンドエフェクタ702を関節運動させるように構成されている。制御回路710は、モータ704dに駆動信号を提供するモータ制御部708dにモータ設定点を提供する。モータ704dの出力シャフトは、トルクセンサ744dに結合されている。トルクセンサ744dは、関節運動部材742aに結合された伝達装置706dに結合されている。伝達装置706dは、エンドエフェクタ702の±65°の関節運動を制御するための関節運動要素などの可動機械的要素を備える。一態様では、モータ704dは、関節運動ナットに結合され、関節運動ナットは、遠位スパイン部分の近位端部分上で回転可能に軸支され、遠位スパイン部分の近位端部分上で関節運動ギアアセンブリによって回転可能に駆動される。トルクセンサ744dは、制御回路710に関節運動力フィードバック信号を提供する。関節運動力フィードバック信号は、エンドエフェクタ702に適用される関節運動力を表す。関節運動エンコーダなどのセンサ738は、エンドエフェクタ702の関節運動位置を制御回路710に提供してもよい。 In one aspect,
別の態様では、ロボット外科システム700の関節運動機能は、2つの関節運動部材、又は連結部742a、742bを含んでもよい。これらの関節運動部材742a、742bは、2つのモータ708d、708eによって駆動されるロボットインターフェース(ラック)上の個別のディスクによって駆動される。個別の発射モータ704aが提供されると、ヘッドが運動していないときにヘッドに抵抗保持運動及び負荷を提供するために、かつヘッドが関節運動しているときに関節運動を提供するために、関節運動連結部742a、742bのそれぞれは他の連結部に対して拮抗的に駆動され得る。関節運動部材742a、742bは、ヘッドが回転するときに固定された半径でヘッドに取り付けられる。したがって、ヘッドが回転すると、プッシュプル連結部の機械効率は変化する。この機械効率の変化は、他の関節運動連結部の駆動システムでより顕著であり得る。 In another aspect, the articulation feature of the robotic
一態様では、1つ又は2つ以上のモータ704a~704eは、ギアボックス、及び発射部材、閉鎖部材、又は関節運動部材への機械的連結部を備えるブラシ付きDCモータを備えてもよい。別の例としては、変位部材、関節運動連結部、閉鎖管、及びシャフトなどの可動機械的要素を動作させる電動モータ704a~704eが挙げられる。外部影響とは、組織、周囲体、及び物理系上の摩擦などのものの、測定されていない予測不可能な影響である。こうした外部影響は、電動モータ704a~704eの1つに反して作用する障害(drag)と呼ばれることがある。障害などの外部影響は、物理系の動作を物理系の所望の動作から逸脱させることがある。 In one aspect, the one or more motors 704a-704e may include a brushed DC motor with a gearbox and a mechanical connection to a firing member, closure member, or articulation member. Another example includes electric motors 704a-704e that operate movable mechanical elements such as displacement members, articulation connections, closure tubes, and shafts. External influences are unmeasured and unpredictable influences such as friction on tissues, surrounding bodies, and physical systems. Such an external influence may be referred to as a drag acting against one of the electric motors 704a-704e. External influences, such as disturbances, can cause the behavior of a physical system to deviate from its desired behavior.
一態様では、位置センサ734は、絶対位置決めシステムとして実装されてもよい。一態様では、位置センサ734は、Austria Microsystems,AGから入手可能なAS5055EQFTシングルチップ磁気回転位置センサとして実装される磁気回転絶対位置決めシステムを備えてもよい。位置センサ734は、制御回路710とインターフェースして絶対位置決めシステムを提供することができる。位置は、磁石の上方に位置し、加算、減算、ビットシフト、及びテーブル参照演算のみを必要とする、双曲線関数及び三角関数を計算する簡潔かつ効率的なアルゴリズムを実装するために設けられた、桁毎法及びボルダーアルゴリズムとしても知られるCORDICプロセッサに結合された、複数のホール効果素子を含み得る。 In one aspect,
一態様では、制御回路710は、1つ又は2つ以上のセンサ738と通信してもよい。センサ738は、エンドエフェクタ702上に位置付けられ、ロボット外科用器具700と共に動作して、間隙距離対時間、組織圧縮対時間、及びアンビル歪み対時間などの様々な導出パラメータを測定するように適合されてもよい。センサ738は、磁気センサ、磁界センサ、歪みゲージ、ロードセル、圧力センサ、力センサ、トルクセンサ、渦電流センサなどの誘導センサ、抵抗センサ、容量センサ、光学センサ、及び/又はエンドエフェクタ702の1つ又は2つ以上のパラメータを測定するための任意の他の好適なセンサを備えてもよい。センサ738は、1つ又は2つ以上のセンサを含み得る。センサ738は、分割された電極を使用して組織の位置を判定するために、クランプアーム716上に配置されてもよい。トルクセンサ744a~744eは、とりわけ、発射力、閉鎖力、及び/又は関節運動力などの力を感知するように構成されてもよい。したがって、制御回路710は、(1)遠位閉鎖管によって経験される閉鎖負荷及びその位置、(2)ラックにある発射部材及びその位置、(3)超音波ブレード718のどの部分がその上に組織を有しているか、及び(4)両方の関節運動ロッド上の負荷及び位置を感知することができる。 In one aspect,
一態様では、1つ又は2つ以上のセンサ738は、クランプ状態の間のクランプアーム716における歪みの大きさを測定するように構成された、微小歪みゲージなどの歪みゲージを備えてもよい。歪みゲージは、歪みの大きさに伴って振幅が変動する電気信号を提供する。センサ738は、クランプアーム716と超音波ブレード718との間に圧縮された組織の存在によって生成された圧力を検出するように構成された圧力センサを備えてもよい。センサ738は、クランプアーム716と超音波ブレード718との間に位置する組織部分のインピーダンスを検出するように構成されてもよく、このインピーダンスは、それらの間に位置する組織の厚さ及び/又は充満度を示す。 In one aspect, the one or
一態様では、センサ738は、とりわけ、1つ又は2つ以上のリミットスイッチ、電気機械装置、固体スイッチ、ホール効果装置、磁気抵抗(magneto-resistive、MR)装置、巨大磁気抵抗(giant magneto-resistive、GMR)装置、磁力計として実装されてもよい。他の実装形態では、センサ738は、とりわけ光センサ、IRセンサ、紫外線センサなどの光の影響下で動作する固体スイッチとして実装されてもよい。更に、スイッチは、トランジスタ(例えば、FET、接合FET、MOSFET、双極など)などの固体装置であってもよい。他の実装形態では、センサ738は、とりわけ、導電体非含有スイッチ、超音波スイッチ、加速度計、及び慣性センサを含んでもよい。 In one aspect,
一態様では、センサ738は、閉鎖駆動システムによってクランプアーム716に及ぼされる力を測定するように構成され得る。例えば、1つ又は2つ以上のセンサ738は、閉鎖管によってクランプアーム716に適用される閉鎖力を検出するために、閉鎖管とクランプアーム716との間の相互作用点に位置してもよい。クランプアーム716に対して及ぼされる力は、クランプアーム716と超音波ブレード718との間に捕捉された組織切片によって経験される組織圧縮を表すものであり得る。1つ又は2つ以上のセンサ738は、閉鎖駆動システムに沿った様々な相互作用点に配置されて、閉鎖駆動システムによってクランプアーム716に適用される閉鎖力を検出することができる。1つ又は2つ以上のセンサ738は、制御回路710のプロセッサによるクランプ動作中にリアルタイムでサンプリングされてもよい。制御回路710は、リアルタイムのサンプル測定値を受信して時間ベースの情報を提供及び分析し、クランプアーム716に適用される閉鎖力をリアルタイムで評価する。 In one aspect,
一態様では、電流センサ736を用いて、モータ704a~704eのそれぞれによって引き込まれる電流を測定することができる。閉鎖部材714などの可動機械的要素のいずれかを前進させるのに必要な力は、モータ704a~704eのうちの1つによって引き込まれる電流に対応する。力はデジタル信号に変換されて、制御回路710に提供される。制御回路710は、器具の実際のシステムの応答をコントローラのソフトウェアでシミュレートするように構成され得る。変位部材を作動させて、エンドエフェクタ702内の閉鎖部材714を目標速度又はその付近で移動させることができる。ロボット外科用器具700は、フィードバックコントローラを含むことができ、フィードバックコントローラは、例えば、PID、状態フィードバック、線形二次(LQR)、及び/又は適応コントローラが挙げられるがこれらに限定されない任意のフィードバックコントローラのうちのいずれか1つであってもよい。ロボット外科用器具700は、フィードバックコントローラからの信号を、例えば、ケース電圧、PWM電圧、周波数変調電圧、電流、トルク、及び/又は力などの物理的入力に変換するための電源を含むことができる。更なる詳細は、その全体が参照により本明細書に組み込まれる、2017年6月29日出願の「CLOSED LOOP VELOCITY CONTROL TECHNIQUES FOR ROBOTIC SURGICAL INSTRUMENT」と題する米国特許出願第15/636,829号に開示されている。 In one aspect,
図18は、本開示の一態様による、変位部材の遠位並進を制御するように構成された外科用器具750の回路図を示す。一態様では、外科用器具750は、閉鎖部材764などの変位部材の遠位並進を制御するようにプログラムされる。外科用器具750は、クランプアーム766と、閉鎖部材764と、超音波発生器771によって駆動される超音波変換器769に結合された超音波ブレード768と、を備え得るエンドエフェクタ752を備える。 FIG. 18 illustrates a circuit diagram of a
閉鎖部材764などの直線変位部材の位置、移動、変位、及び/又は並進は、絶対位置決めシステム、センサ機構、及び位置センサ784によって測定することができる。閉鎖部材764が長手方向に移動可能な駆動部材に結合されているため、閉鎖部材764の位置は、位置センサ784を使用する長手方向に移動可能な駆動部材の位置を測定することによって判定することができる。したがって、以下の説明では、閉鎖部材764の位置、変位、及び/又は並進は、本明細書に記載される位置センサ784によって達成され得る。制御回路760は、閉鎖部材764などの変位部材の並進を制御するようにプログラムされてもよい。いくつかの実施例では、制御回路760は、1つ若しくは2つ以上のマイクロコントローラ、マイクロプロセッサ、又はプロセッサ若しくは複数のプロセッサに、記載される方法で変位部材、例えば閉鎖部材764を制御させる命令を実行するための他の好適なプロセッサを備えてもよい。一態様では、タイマー/カウンタ781は、経過時間又はデジタルカウントなどの出力信号を制御回路760に提供して、位置センサ784によって判定された閉鎖部材764の位置をタイマー/カウンタ781の出力と相関させ、その結果、制御回路760は、開始位置に対する特定の時間(t)における閉鎖部材764の位置を判定することができる。タイマー/カウンタ781は、経過時間を測定するか、外部イベントを計数するか、又は外部イベントの時間を測定するように構成されてよい。 The position, movement, displacement, and/or translation of a linear displacement member, such as
制御回路760は、モータ設定値信号772を生成してもよい。モータ設定値信号772は、モータコントローラ758に提供されてもよい。モータコントローラ758は、本明細書で説明するように、モータ754にモータ駆動信号774を提供してモータ754を駆動するように構成された1つ又は2つ以上の回路を備えてもよい。いくつかの実施例では、モータ754は、ブラシ付きDC電動モータであってもよい。例えば、モータ754の速度は、モータ駆動信号774に比例してもよい。いくつかの例では、モータ754はブラシレスDC電動モータであってもよく、モータ駆動信号774は、モータ754の1つ又は2つ以上の固定子巻線に提供されるPWM信号を含んでもよい。また、いくつかの実施例では、モータコントローラ758は省略されてもよく、制御回路760がモータ駆動信号774を直接生成してもよい。
モータ754は、エネルギー源762から電力を受け取ることができる。エネルギー源762は、電池、超コンデンサ、又は任意の他の好適なエネルギー源であってもよく、あるいはそれを含んでもよい。モータ754は、伝達装置756を介して閉鎖部材764に機械的に結合され得る。伝達装置756は、モータ754を閉鎖部材764に結合するための1つ又は2つ以上のギア又は他の連結構成要素を含んでもよい。位置センサ784は、閉鎖部材764の位置を感知し得る。位置センサ784は、閉鎖部材764の位置を示す位置データを生成することができる任意の種類のセンサであってもよく、又はそれを含んでもよい。いくつかの例では、位置センサ784は、閉鎖部材764が遠位方向及び近位方向に並進すると一連のパルスを制御回路760に提供するように構成されたエンコーダを含んでもよい。制御回路760は、パルスを追跡して閉鎖部材764の位置を判定してもよい。例えば近接センサを含む他の好適な位置センサが使用されてもよい。他の種類の位置センサは、閉鎖部材764の動きを示す他の信号を提供することができる。また、いくつかの実施例では、位置センサ784は省略されてもよい。モータ754がステップモータである場合、制御回路760は、モータ754が実行するように指示されたステップの数及び方向を合計することによって、閉鎖部材764の位置を追跡することができる。位置センサ784は、エンドエフェクタ752内、又は器具の任意の他の部分に位置することができる。
制御回路760は、1つ又は2つ以上のセンサ788と通信することができる。センサ788は、エンドエフェクタ752上に位置付けられ、外科用器具750と共に動作して、間隙距離対時間、組織圧縮対時間、及びアンビル歪み対時間などの様々な導出パラメータを測定するように適合され得る。センサ788は、磁気センサ、磁界センサ、歪みゲージ、圧力センサ、力センサ、渦電流センサなどの誘導センサ、抵抗センサ、容量センサ、光学センサ、及び/又はエンドエフェクタ752の1つ若しくは2つ以上のパラメータを測定するための任意の他の好適なセンサを備え得る。センサ788は、1つ又は2つ以上のセンサを含み得る。
1つ又は2つ以上のセンサ788は、クランプ状態の間のクランプアーム766における歪みの大きさを測定するように構成された、微小歪みゲージなどの歪みゲージを備えてもよい。歪みゲージは、歪みの大きさに伴って振幅が変動する電気信号を提供する。センサ788は、クランプアーム766と超音波ブレード768との間に圧縮された組織の存在によって生成された圧力を検出するように構成された圧力センサを備えてもよい。センサ788は、クランプアーム766と超音波ブレード768との間に位置する組織切片のインピーダンスを検出するように構成されてもよく、このインピーダンスは、それらの間に位置する組織の厚さ及び/又は充満度を示す。 The one or
センサ788は、閉鎖駆動システムによってクランプアーム766に及ぼされる力を測定するように構成され得る。例えば、1つ又は2つ以上のセンサ788は、閉鎖管によってクランプアーム766に適用される閉鎖力を検出するために、閉鎖管とクランプアーム766との間の相互作用点に位置してもよい。クランプアーム766に対して及ぼされる力は、クランプアーム766と超音波ブレード768との間に捕捉された組織切片によって経験される組織圧縮を表すものであり得る。1つ又は2つ以上のセンサ788は、閉鎖駆動システムに沿った様々な相互作用点に位置決めされて、閉鎖駆動システムによってクランプアーム766に適用される閉鎖力を検出することができる。1つ又は2つ以上のセンサ788は、制御回路760のプロセッサによるクランプ動作中にリアルタイムでサンプリングされてもよい。制御回路760は、リアルタイムのサンプル測定値を受信して時間ベースの情報を提供及び分析し、クランプアーム766に適用される閉鎖力をリアルタイムで評価する。
モータ754によって引き込まれる電流を測定するために、電流センサ786を用いることができる。閉鎖部材764を前進させるのに必要な力は、モータ754によって引き込まれる電流に相当する。力はデジタル信号に変換されて、制御回路760に提供される。 A
制御回路760は、器具の実際のシステムの応答をコントローラのソフトウェアでシミュレートするように構成することができる。変位部材を作動させて、エンドエフェクタ752内の閉鎖部材764を目標速度又はその付近で移動させることができる。外科用器具750は、フィードバックコントローラを含むことができ、フィードバックコントローラは、例えば、PID、状態フィードバック、LQR、及び/又は適応コントローラが挙げられるがこれらに限定されない任意のフィードバックコントローラのうちのいずれか1つであってもよい。外科用器具750は、フィードバックコントローラからの信号を、例えば、ケース電圧、PWM電圧、周波数変調電圧、電流、トルク、及び/又は力などの物理的入力に変換するための電源を含むことができる。 The
外科用器具750の実際の駆動システムは、ギアボックス、並びに関節運動及び/又はナイフシステムへの機械的連結部を備えるブラシ付きDCモータによって、変位部材、切断部材、又は閉鎖部材764を駆動するように構成されている。別の例は、例えば、交換式シャフトアセンブリの変位部材及び関節運動ドライバを動作させる電動モータ754である。外部影響とは、組織、周囲体、及び物理系上の摩擦などのものの、測定されていない予測不可能な影響である。こうした外部影響は、電動モータ754に反して作用する障害と呼ぶことができる。障害などの外部影響は、物理系の動作を物理系の所望の動作から逸脱させることがある。 The actual drive system of the
様々な例示的態様が、モータ駆動の外科用封止及び切断器具を有するエンドエフェクタ752を備える外科用器具750に関する。例えば、モータ754は、エンドエフェクタ752の長手方向軸線に沿って遠位方向及び近位方向に変位部材を駆動してもよい。エンドエフェクタ752は、枢動可能なクランプアーム766と、使用のために構成されるときは、クランプアーム766の反対側に位置付けられた超音波ブレード768と、を備えてもよい。臨床医は、本明細書に記載されるように、クランプアーム766と超音波ブレード768との間に組織を把持してもよい。器具750を使用する準備が整った場合、臨床医は、例えば器具750のトリガを押すことによって発射信号を提供してもよい。発射信号に応答して、モータ754は、変位部材をエンドエフェクタ752の長手方向軸線に沿って、近位のストローク開始位置からストローク開始位置の遠位にあるストローク終了位置まで遠位方向に駆動することができる。変位部材が遠位方向に並進すると、遠位端に位置付けられた切断要素を備える閉鎖部材764は、超音波ブレード768とクランプアーム766との間の組織を切断することができる。 Various exemplary aspects relate to a
様々な実施例で、外科用器具750は、1つ又は2つ以上の組織状態に基づいて、例えば閉鎖部材764などの変位部材の遠位並進を制御するようにプログラムされた制御回路760を備えてもよい。制御回路760は、本明細書に説明されるように、直接的又は間接的のいずれかで厚さなどの組織状態を感知するようにプログラムされてもよい。制御回路760は、組織状態に基づいて制御プログラムを選択するようにプログラムされてもよい。制御プログラムは、変位部材の遠位運動を記述することができる。様々な組織状態をより良好に処理するために様々な制御プログラムを選択することができる。例えば、より厚い組織が存在する場合、制御回路760は、変位部材をより低速で、及び/又はより低電力で並進させるようにプログラムされてもよい。より薄い組織が存在する場合、制御回路760は、変位部材をより高速で、及び/又はより高電力で並進させるようにプログラムされてもよい。 In various embodiments,
いつくかの実施例では、制御回路760は、最初に、モータ754を、変位部材のストロークの第1の開ループ部分に対する開ループ構成で動作させてもよい。ストロークの開ループ部分の間の器具750の応答に基づいて、制御回路760は、発射制御プログラムを選択してもよい。器具の応答としては、開ループ部分の間の変位部材の並進距離、開ループ部分の間に経過する時間、開ループ部分の間にモータ754に提供されるエネルギー、モータ駆動信号のパルス幅の合計などが挙げられ得る。開ループ部分の後、制御回路760は、変位部材ストロークの第2の部分に対して、選択された発射制御プログラムを実施してもよい。例えば、ストロークの閉ループ部分の間、制御回路760は、変位部材の位置を記述する並進データに基づいてモータ754を閉ループ式に変調して、変位部材を一定速度で並進させてもよい。更なる詳細は、その全体が参照により本明細書に組み込まれる、2017年9月29日出願の「SYSTEM AND METHODS FOR CONTROLLING A DISPLAY OF A SURGICAL INSTRUMENT」と題する米国特許出願第15/720,852号に開示されている。 In some embodiments,
図19は、本開示の一態様による、様々な機能を制御するように構成された外科用器具790の回路図である。一態様では、外科用器具790は、閉鎖部材764などの変位部材の遠位並進を制御するようにプログラムされる。外科用器具790は、クランプアーム766と、閉鎖部材764と、1つ又は2つ以上のRF電極796(破線で示される)と交換されるか、又はそれと連動して動作し得る超音波ブレード768とを備え得るエンドエフェクタ792を備える。超音波ブレード768は、超音波発生器771によって駆動される超音波変換器769に結合されている。 FIG. 19 is a circuit diagram of a
一態様では、センサ788は、とりわけ、リミットスイッチ、電気機械装置、固体スイッチ、ホール効果装置、MR装置、GMR装置、磁力計として実装されてもよい。他の実装形態では、センサ638は、とりわけ光センサ、IRセンサ、紫外線センサなどの光の影響下で動作する固体スイッチであってもよい。更に、スイッチは、トランジスタ(例えば、FET、接合FET、MOSFET、双極など)などの固体装置であってもよい。他の実装形態では、センサ788は、とりわけ、導電体非含有スイッチ、超音波スイッチ、加速度計、及び慣性センサを含んでもよい。 In one aspect,
一態様では、位置センサ784は、Austria Microsystems,AGから入手可能なAS5055EQFTシングルチップ磁気回転位置センサとして実装される磁気回転絶対位置決めシステムを備える絶対位置決めシステムとして実装されてもよい。位置センサ784は、制御回路760とインターフェースして絶対位置決めシステムを提供することができる。位置は、磁石の上方に位置し、加算、減算、ビットシフト、及びテーブル参照演算のみを必要とする、双曲線関数及び三角関数を計算する簡潔かつ効率的なアルゴリズムを実装するために設けられた、桁毎法及びボルダーアルゴリズムとしても知られるCORDICプロセッサに結合された、複数のホール効果素子を含み得る。 In one aspect,
いくつかの実施例では、位置センサ784は省略されてもよい。モータ754がステップモータである場合、制御回路760は、モータが実行するように指示されたステップの数及び方向を合計することによって、閉鎖部材764の位置を追跡することができる。位置センサ784は、エンドエフェクタ792内、又は器具の任意の他の部分に位置することができる。 In some embodiments,
制御回路760は、1つ又は2つ以上のセンサ788と通信することができる。センサ788は、エンドエフェクタ792上に位置付けられ、外科用器具790と共に動作して、間隙距離対時間、組織圧縮対時間、及びアンビル歪み対時間などの様々な導出パラメータを測定するように適合され得る。センサ788は、磁気センサ、磁界センサ、歪みゲージ、圧力センサ、力センサ、渦電流センサなどの誘導センサ、抵抗センサ、容量センサ、光学センサ、及び/又はエンドエフェクタ792の1つ若しくは2つ以上のパラメータを測定するための任意の他の好適なセンサを備え得る。センサ788は、1つ又は2つ以上のセンサを含み得る。
RFエネルギー源794は、エンドエフェクタ792に結合され、RF電極796が超音波ブレード768の代わりにエンドエフェクタ792内に提供されるとき、又は超音波ブレード768と連動して動作するように提供されるとき、RF電極796に印加される。例えば、超音波ブレードは、導電性金属で作製され、電気外科用RF電流のリターンパスとして使用されてもよい。制御回路760は、RF電極796へのRFエネルギーの送達を制御する。 An
更なる詳細は、その全体が参照により本明細書に組み込まれる、2017年6月28日出願の「SURGICAL SYSTEM COUPLABLE WITH STAPLE CARTRIDGE AND RADIO FREQUENCY CARTRIDGE,AND METHOD OF USING SAME」と題する米国特許出願第15/636,096号に開示されている。 Further details may be found in SURGICAL SYSTEM COUPLABLE WITH STAPLE CARTRIDGE AND RADIO FREQUENCY CARTRIDGE, AND METHOD OF, filed June 28, 2017, which is incorporated herein by reference in its entirety. US Patent Application No. 15 entitled “USING SAME” No./636,096.
発生器ハードウェア
適応型超音波ブレード制御アルゴリズム
様々な態様では、スマート超音波エネルギー装置は、超音波ブレードの動作を制御するための適応アルゴリズムを含んでもよい。一態様では、超音波ブレード適応制御アルゴリズムは、組織の種類を特定し、装置パラメータを調整するように構成される。一態様では、超音波ブレード制御アルゴリズムは、組織の種類をパラメータ化するように構成される。超音波ブレードの遠位先端の振幅を調整するために組織のコラーゲン/弾性比を検出するためのアルゴリズムが、本開示の以下の項で説明される。スマート超音波エネルギー装置の様々な態様が、例えば、図1~図85に関連して本明細書で説明される。したがって、適応型超音波ブレード制御アルゴリズムの以下の説明は、図1~図85及びこれらに関連する説明と併せて読まれるべきである。Generator Hardware Adaptive Ultrasonic Blade Control Algorithm In various aspects, a smart ultrasonic energy device may include an adaptive algorithm to control operation of the ultrasonic blade. In one aspect, the ultrasound blade adaptive control algorithm is configured to identify tissue type and adjust device parameters. In one aspect, the ultrasound blade control algorithm is configured to parameterize tissue type. An algorithm for detecting tissue collagen/elasticity ratio to adjust the amplitude of the distal tip of the ultrasound blade is described in the following sections of this disclosure. Various aspects of smart ultrasound energy devices are described herein with respect to, for example, FIGS. 1-85. Accordingly, the following description of the adaptive ultrasonic blade control algorithm should be read in conjunction with FIGS. 1-85 and their associated descriptions.
組織種類の識別及び装置パラメータの調節
特定の外科処置では、適応型超音波ブレード制御アルゴリズムを用いることが望ましい。一態様では、超音波ブレードと接触する組織の種類に基づいて、超音波装置のパラメータを調節するために、適応型超音波ブレード制御アルゴリズムを用いてもよい。一態様では、超音波装置のパラメータは、超音波エンドエフェクタのジョー内の組織の位置、例えば、クランプアームと超音波ブレードとの間の組織の位置に基づいて調節されてもよい。超音波変換器のインピーダンスは、組織のどの割合がエンドエフェクタの遠位端又は近位端に位置するかを識別するために用いられてもよい。超音波装置の反応は、組織の種類又は組織の圧縮率に基づき得る。別の態様では、超音波装置のパラメータは、識別された組織の種類又はパラメータ化に基づいて調節されてもよい。例えば、超音波ブレードの遠位先端の機械的変位振幅は、組織識別手順中に検出されたエラスチン組織に対するコラーゲンの割当量(ration)に基づいて調整されてもよい。コラーゲンとエラスチン組織との比は、赤外線(IR)表面反射率及び放射率を含む様々な技術を使用して検出され得る。クランプアーム及び/又はクランプアームのストロークによって組織に加えられて間隙及び圧縮を生じさせる力。電極を備えたジョー全体の電気的導通を用いて、ジョーのどの割合が組織で覆われているかを判定することができる。Tissue Type Identification and Device Parameter Adjustment For certain surgical procedures, it is desirable to use an adaptive ultrasound blade control algorithm. In one aspect, an adaptive ultrasound blade control algorithm may be used to adjust parameters of the ultrasound device based on the type of tissue in contact with the ultrasound blade. In one aspect, parameters of the ultrasound device may be adjusted based on the position of tissue within the jaws of the ultrasound end effector, e.g., between the clamp arm and the ultrasound blade. The impedance of the ultrasound transducer may be used to identify what percentage of tissue is located at the distal or proximal end of the end effector. The response of the ultrasound device may be based on tissue type or tissue compressibility. In another aspect, ultrasound device parameters may be adjusted based on the identified tissue type or parameterization. For example, the mechanical displacement amplitude of the distal tip of the ultrasound blade may be adjusted based on the ration of collagen to elastin tissue detected during a tissue identification procedure. The ratio of collagen to elastin tissue can be detected using a variety of techniques including infrared (IR) surface reflectance and emissivity. Forces applied to tissue by the clamp arm and/or the stroke of the clamp arm to create gaps and compression. Electrical continuity across the jaw with electrodes can be used to determine what percentage of the jaw is covered with tissue.
図20は、本開示の少なくとも1つの態様による、モジュール式通信ハブを備える外科用データネットワーク内で適応型超音波ブレード制御アルゴリズムを実行するように構成されたシステム800である。一態様では、発生器モジュール240が、図43A~図54を参照して本明細書に記載される適応型超音波ブレード制御アルゴリズム(複数可)802を実行するように構成される。別の態様では、装置/器具235が、図43A~図54を参照して本明細書に記載される適応型超音波ブレード制御アルゴリズム(複数可)804を実行するように構成される。別の態様では、装置/器具235及び装置/器具235の両方が、図43A~図54を参照して本明細書に記載される適応型超音波ブレード制御アルゴリズム802、804を実行するように構成される。 FIG. 20 is a
発生器モジュール240は、電力変圧器を介して非絶縁段階と通信する患者絶縁段階を備えてもよい。電力変圧器の二次巻線は、絶縁段階内に収容され、例えば、超音波外科用器具、RF電気外科用器具、並びに単独又は同時に送達可能な超音波及びRFエネルギーモードを含む多機能型外科用器具などの様々な外科用器具に駆動信号を送達するために駆動信号出力部を画定するためのタップ構成(例えば、センタタップ又は非センタタップ構成)を備え得る。具体的には、駆動信号出力部は、超音波駆動信号(例えば、420Vの二乗平均平方根(root-mean-square、RMS)駆動信号)を超音波外科用器具241に出力することができ、駆動信号出力部は、RF電気外科駆動信号(例えば、100VのRMS駆動信号)をRF電気外科用器具241に出力することができる。発生器モジュール240の態様は、図21~図28Bを参照して本明細書で説明される。
発生器モジュール240、若しくは装置/器具235、又はその両方は、例えば、図8~図11を参照して説明されている、例えば、インテリジェント外科用器具、ロボット、及び手術室内に位置する他のコンピュータ化装置などの複数の手術室装置に接続されたモジュール式制御タワー236に結合されている。
図21は、超音波器具と結合するように構成され、かつ、図20に示すモジュール式通信ハブを備える外科用データネットワーク内で適応型超音波ブレード制御アルゴリズムを実行するように更に構成された発生器の一形態である、発生器900の一実施例を示す。発生器900は、複数のエネルギーモダリティを外科用器具に送達するように構成されている。発生器900は、エネルギーを外科用器具に送達するためのRF信号及び超音波信号を単独で又は同時にのいずれかで提供する。RF信号及び超音波信号は、単独で、又は組み合わせて提供されてもよく、また同時に提供されてもよい。上述したように、少なくとも1つの発生器出力部は、単一のポートを通して複数のエネルギーモダリティ(例えば、とりわけ超音波、双極若しくは単極RF、不可逆及び/若しくは可逆電気穿孔法、並びに/又はマイクロ波エネルギー)を送達することができ、これらの信号は、組織を治療するために個別に又は同時にエンドエフェクタに送達することができる。発生器900は、波形発生器904に結合されたプロセッサ902を備える。プロセッサ902及び波形発生器904は、プロセッサ902に結合されたメモリに記憶された情報(開示を明瞭にするために示されず)に基づいて、様々な信号波形を発生するように構成されている。波形に関連するデジタル情報は、デジタル入力をアナログ出力に変換するために1つ又は2つ以上のDAC回路を含む波形発生器904に提供される。アナログ出力は、信号調節及び増幅のために、増幅器1106に供給される。増幅器906の調節され増幅された出力は、電力変圧器908に結合される。信号は、電力変圧器908を横断して患者絶縁側にある二次側に結合される。第1のエネルギーモダリティの第1の信号は、外科用器具のENERGY1及びRETURNとラベルされた端子間に提供される。第2のエネルギーモダリティの第2の信号は、コンデンサ910にわたって結合され、外科用器具のENERGY2及びRETURNとラベルされた端子間に提供される。2つを超えるエネルギーモダリティが出力されてもよく、したがって添え字「n」は、最大n個のENERGYn端子が提供され得ることを示すために使用することができ、ここでnは、1超の正の整数であることが理解されよう。最大「n」個のリターンパス(RETURNn)が、本開示の範囲から逸脱することなく提供されてもよいことも理解されよう。FIG. 21 shows an generator configured to couple with an ultrasound instrument and further configured to execute an adaptive ultrasound blade control algorithm within a surgical data network comprising the modular communications hub shown in FIG. 9 shows an example of a
第1の電圧感知回路912は、ENERGY1及びRETURNパスとラベルされた端子にわたって結合され、それらの間の出力電圧を測定する。第2の電圧感知回路924は、ENERGY2及びRETURNパスとラベルされた端子にわたって結合され、それらの間の出力電圧を測定する。電流感知回路914は、いずれかのエネルギーモダリティの出力電流を測定するために、図示される電力変圧器908の二次側のRETURN区間と直列に配設される。異なるリターンパスが各エネルギーモダリティに対して提供される場合、別個の電流感知回路が、各リターン区間で提供されねばならない。第1の電圧感知回路912及び第2の電圧感知回路924の出力が対応の絶縁変圧器916、922に提供され、電流感知回路914の出力は、別の絶縁変圧器918に提供される。電力変圧器908の一次側(非患者絶縁側)上における絶縁変圧器916、928、922の出力は、1つ又は2つ以上のADC回路926に提供される。ADC回路926のデジタル化された出力は、更なる処理及び計算のためにプロセッサ902に提供される。出力電圧及び出力電流のフィードバック情報は、外科用器具に提供される出力電圧及び電流を調整するために、またいくつかあるパラメータの中で出力インピーダンスを計算するために使用することができる。プロセッサ902と患者絶縁回路との間の入力/出力通信は、インターフェース回路920を通して提供される。センサもまた、インターフェース回路920を介してプロセッサ902と電気通信してもよい。A first
一態様では、インピーダンスは、ENERGY1/RETURNとラベルされた端子にわたって結合された第1の電圧感知回路912又はENERGY2/RETURNとラベルされた端子にわたって結合された第2の電圧感知回路924のいずれかの出力を、電力変圧器908の二次側のRETURN区間と直列に配置された電流感知回路914の出力で割ることによって、プロセッサ902により判定され得る。第1の電圧感知回路912及び第2の電圧感知回路924の出力は、個別の絶縁変圧器916、922に提供され、電流感知回路914の出力は、別の絶縁変圧器916に提供される。ADC回路926からのデジタル化された電圧及び電流感知測定値は、インピーダンスを計算するためにプロセッサ902に提供される。一例として、第1のエネルギーモダリティENERGY1は超音波エネルギーであってもよく、第2のエネルギーモダリティENERGY2はRFエネルギーであってもよい。それでも、超音波エネルギーモダリティ及び双極又は単極RFエネルギーモダリティに加えて、他のエネルギーモダリティには、数ある中でも不可逆並びに/又は可逆電気穿孔法及び/若しくはマイクロ波エネルギーが挙げられる。また、図21に例示された例は、単一のリターンパス(RETURN)が2つ以上のエネルギーモダリティに提供され得ることを示しているが、他の態様では、複数のリターンパスRETURNnが、各エネルギーモダリティENERGYnに提供されてもよい。したがって、本明細書に記載されるように、超音波変換器のインピーダンスは、第1の電圧感知回路912の出力を電流感知回路914で割ることによって測定されてもよく、組織のインピーダンスは、第2の電圧感知回路924の出力を電流感知回路914で割ることによって測定されてもよい。In one aspect, the impedance is connected to either the first
図21に示すように、少なくとも1つの出力ポートを含む発生器900は、実行される組織の処置の種類に応じて、電力を、例えば、とりわけ、超音波、双極若しくは単極RF、不可逆及び/若しくは可逆電気穿孔法、並びに/又はマイクロ波エネルギーなどの1つ又は2つ以上のエネルギーモダリティの形態でエンドエフェクタに提供するために単一の出力部を有し、かつ複数のタップを有する電力変圧器908を含むことができる。例えば、発生器900は、単極又は双極RF電気外科用電極のいずれかを用いて、超音波変換器を駆動するために高電圧かつ低電流で、組織封止のためのRF電極を駆動するために低電圧かつ高電流で、又はスポット凝固のための凝固波形で、エネルギーを送達することができる。発生器900からの出力波形は、周波数を外科用器具のエンドエフェクタに提供するために、誘導、切り替え、又はフィルタリングされ得る。超音波変換器の発生器900出力部への接続部は、好ましくは、図21に示すようにENERGY1とラベルされた出力部とRETURNとの間に位置するであろう。一実施例では、RF双極電極の発生器900の出力部への接続部は、好ましくは、ENERGY2とラベルされた出力部とRETURNとの間に位置するであろう。単極出力部の場合、好ましい接続部は、ENERGY2出力部及びRETURN出力部に接続された好適なリターンパッドへの活性電極(例えば、ペンシル型又は他のプローブ)であろう。As shown in FIG. 21, the
更なる詳細は、その全体が参照により本明細書に組み込まれる、「TECHNIQUES FOR OPERATING GENERATOR FOR DIGITALLY GENERATING ELECTRICAL SIGNAL WAVEFORMS AND SURGICAL INSTRUMENTS」と題する2017年3月30日公開の米国特許出願公開第2017/0086914号に開示されている。 Further details may be found in TECHNIQUES FOR OPERATING GENERATOR FOR DIGITALLY GENERATING ELECTRICAL SIGNAL WAVEFORMS AND SURGICAL IN, which is incorporated herein by reference in its entirety. U.S. Patent Application Publication No. 2017/0086914 published March 30, 2017 entitled “STRUMENTS” Disclosed in the issue.
本説明全体で使用される用語「無線」及びその派生語は、非固体媒体を介して変調電磁放射線の使用を通じてデータを通信し得る回路、装置、システム、方法、技術、通信チャネルなどを説明するために使用されてもよい。この用語は、関連する装置がいかなる有線も含まないことを意味するものではないが、いくつかの態様では、それらは存在しない可能性がある。通信モジュールは、Wi-Fi(IEEE802.11ファミリー)、WiMAX(IEEE802.16ファミリー)、IEEE802.20、ロング・ターム・エボリューション(LTE)、Ev-DO、HSPA+、HSDPA+、HSUPA+、EDGE、GSM、GPRS、CDMA、TDMA、DECT、Bluetooth、これらのイーサネット派生物、のみならず3G、4G、5G、及びそれ以降と指定される任意の他の無線及び有線プロトコルが挙げられるがこれらに限定されない多数の無線又は有線通信規格又はプロトコルのうちのいずれかを実装してもよい。コンピューティングモジュールは、複数の通信モジュールを含んでもよい。例えば、第1の通信モジュールは、Wi-Fi及びBluetoothなどの短距離無線通信専用であってもよく、第2の通信モジュールは、GPS、EDGE、GPRS、CDMA、WiMAX、LTE、Ev-DOなどの長距離無線通信専用であってもよい。 As used throughout this description, the term "wireless" and its derivatives describe any circuit, device, system, method, technique, communication channel, etc. that may communicate data through the use of modulated electromagnetic radiation through a non-solid medium. may be used for This term does not imply that the associated equipment does not include any wires, although in some aspects they may not be present. Communication modules include Wi-Fi (IEEE802.11 family), WiMAX (IEEE802.16 family), IEEE802.20, Long Term Evolution (LTE), Ev-DO, HSPA+, HSDPA+, HSUPA+, EDGE, GSM, GPRS , CDMA, TDMA, DECT, Bluetooth, their Ethernet derivatives, as well as any other wireless and wired protocols designated as 3G, 4G, 5G, and beyond. or any wired communication standard or protocol. A computing module may include multiple communication modules. For example, the first communication module may be dedicated to short-range wireless communications such as Wi-Fi and Bluetooth, and the second communication module may be dedicated to short-range wireless communications such as Wi-Fi and Bluetooth, and the second communication module may be dedicated to short-range wireless communications such as may be used exclusively for long-distance wireless communications.
本明細書で使用するとき、プロセッサ又は処理ユニットは、いくつかの外部データソース、通常はメモリ又は何らかの他のデータストリーム上で動作を実行する電子回路である。この用語は、本明細書では、多くの専用「プロセッサ」を組み合わせたシステム又はコンピュータシステム(特にシステムオンチップ(systems on a chip、SoC))内の中央プロセッサ(中央処理ユニット)を指すために使用される。 As used herein, a processor or processing unit is an electronic circuit that performs operations on some external data source, usually memory or some other data stream. The term is used herein to refer to a central processor (central processing unit) within a system or computer system (particularly systems on a chip (SoC)) that combines a number of dedicated "processors". be done.
本明細書で使用するとき、チップ上のシステム又はシステムオンチップ(SoC又はSOC)は、コンピュータ又は他の電子システムの全ての構成要素を統合する集積回路(「integrated circuit、IC」又は「チップ」としても知られる)である。これは、デジタル、アナログ、混合信号、及び多くの場合は高周波数機能を、全て単一の基材上に含むことができる。SoCは、マイクロコントローラ(又はマイクロプロセッサ)を、グラフィックス処理ユニット(graphics processing unit、GPU)、Wi-Fiモジュール、又はコプロセッサなどの最新の周辺装置と統合する。SoCは、内蔵メモリを含んでもよく、含まなくてもよい。 As used herein, a system on a chip or system on a chip (SoC or SOC) refers to an integrated circuit ("IC" or "chip") that integrates all the components of a computer or other electronic system. ). This can include digital, analog, mixed signal, and often high frequency functionality, all on a single substrate. SoCs integrate microcontrollers (or microprocessors) with modern peripherals such as graphics processing units (GPUs), Wi-Fi modules, or coprocessors. The SoC may or may not include built-in memory.
本明細書で使用するとき、マイクロコントローラ又はコントローラは、マイクロプロセッサを周辺回路及びメモリと統合するシステムである。マイクロコントローラ(又はマイクロコントローラユニットのMCU)は、単一の集積回路上の小型コンピュータとして実装されてもよい。これはSoCと同様であってもよく、SoCは、その構成要素の1つとしてマイクロコントローラを含み得る。マイクロコントローラは、1つ又は2つ以上のコア処理ユニット(CPU)と共にメモリ及びプログラム可能な入力/出力周辺機器を収容することができる。強誘電性のRAM、NORフラッシュ、又はOTP ROMの形態のプログラムメモリ、及び少量のRAMもまた、チップ上にしばしば含まれる。マイクロコントローラは、パーソナルコンピュータ又は様々な個別のチップで構成された他の汎用用途で使用されるマイクロプロセッサとは対照的に、組み込み型用途用に採用され得る。 As used herein, a microcontroller or controller is a system that integrates a microprocessor with peripheral circuitry and memory. A microcontroller (or microcontroller unit MCU) may be implemented as a miniature computer on a single integrated circuit. This may be similar to an SoC, which may include a microcontroller as one of its components. A microcontroller can house one or more core processing units (CPUs) as well as memory and programmable input/output peripherals. Program memory in the form of ferroelectric RAM, NOR flash, or OTP ROM, and small amounts of RAM are also often included on the chip. Microcontrollers may be employed for embedded applications, as opposed to microprocessors used in personal computers or other general purpose applications made up of various individual chips.
本明細書で使用するとき、コントローラ又はマイクロコントローラという用語は、周辺装置とインターフェースするスタンドアロンIC又はチップ装置であってもよい。これは、その装置の動作(及び装置との接続)を管理する外部装置上のコンピュータ又はコントローラの2つの部分間の連結部であってもよい。 As used herein, the term controller or microcontroller may be a standalone IC or chip device that interfaces with peripheral devices. This may be a link between the two parts of a computer or controller on an external device that manages the operation of (and the connection to) the device.
本明細書で説明されるプロセッサ又はマイクロコントローラはいずれも、Texas Instruments製のARM Cortexの商品名で知られているものなど、任意のシングルコア又はマルチコアプロセッサであってもよい。一態様では、プロセッサは、例えば、その詳細が製品データシートで入手可能である、最大40MHzの256KBのシングルサイクルフラッシュメモリ若しくは他の不揮発性メモリのオンチップメモリ、性能を40MHz超に改善するためのプリフェッチバッファ、32KBのシングルサイクルシリアルランダムアクセスメモリ(SRAM)、StellarisWare(登録商標)ソフトウェアを搭載した内部読み出し専用メモリ(ROM)、2KBの電気的消去可能プログラマブル読み出し専用メモリ(EEPROM)、1つ又は2つ以上のパルス幅変調(PWM)モジュール、1つ又は2つ以上の直交エンコーダ入力(QEI)アナログ、12個のアナログ入力チャネルを備える1つ又は2つ以上の12ビットアナログ-デジタル変換器(ADC)を含む、Texas Instrumentsから入手可能なLM4F230H5QR ARM Cortex-M4Fプロセッサコアであってもよい。 Any processor or microcontroller described herein may be any single-core or multi-core processor, such as that known under the trade name ARM Cortex from Texas Instruments. In one aspect, the processor includes on-chip memory, e.g., 256 KB of single-cycle flash memory or other non-volatile memory up to 40 MHz, details of which are available in the product data sheet, to improve performance above 40 MHz. One or two prefetch buffers, 32 KB of single-cycle serial random access memory (SRAM), internal read-only memory (ROM) with StellarisWare® software, 2 KB of electrically erasable programmable read-only memory (EEPROM) one or more pulse width modulation (PWM) modules, one or more quadrature encoder input (QEI) analog, one or more 12-bit analog-to-digital converters (ADC) with 12 analog input channels. ), the LM4F230H5QR ARM Cortex-M4F processor core available from Texas Instruments.
一態様では、プロセッサは、同じくTexas Instruments製のHercules ARM Cortex R4の商品名で知られるTMS570及びRM4xなどの2つのコントローラ系ファミリーを含む安全コントローラを含んでもよい。安全コントローラは、拡張性のある性能、接続性、及びメモリの選択肢を提供しながら、高度な集積型安全機構を提供するために、中でも特に、IEC61508及びISO26262の安全限界用途専用に構成されてもよい。 In one aspect, the processor may include a safety controller that includes two controller family families, such as TMS570 and RM4x, also known by the Hercules ARM Cortex R4 trade names from Texas Instruments. The safety controller can be configured specifically for IEC 61508 and ISO 26262 safety limit applications, among other things, to provide advanced integrated safety features while offering scalable performance, connectivity, and memory options. good.
モジュール式装置は、外科用ハブ内に受容可能な(例えば図3及び図9に関連して説明される)モジュールと、対応する外科用ハブと接続又はペアリングするために様々なモジュールに接続され得る外科用装置又は器具と、を含む。モジュール式装置としては、例えば、インテリジェント外科用器具、医療用撮像装置、吸引/灌注装置、排煙器、エネルギー発生器、ベンチレータ、吸入器、及びディスプレイが挙げられる。本明細書に記載されるモジュール式装置は、制御アルゴリズムによって制御することができる。制御アルゴリズムは、モジュール式装置自体上で、特定のモジュール式装置がペアリングされる外科用ハブ上で、又はモジュール式装置及び外科用ハブの両方の上で(例えば、分散コンピューティングアーキテクチャを介して)、実行され得る。いくつかの例示では、モジュール式装置の制御アルゴリズムは、モジュール式装置自体によって(すなわち、モジュール式装置内の、モジュール式装置上の、又はモジュール式装置に接続されたセンサによって)感知されたデータに基づいて装置を制御する。このデータは、手術中の患者(例えば、組織特性又は注入圧)又はモジュール式装置自体(例えば、前進するナイフの速度、モータ電流、又はエネルギーレベル)に関連し得る。例えば、外科用ステープル留め及び切断器具の制御アルゴリズムは、ナイフが前進する際にナイフが遭遇する抵抗に基づき、器具のモータが組織を貫いてそのナイフを駆動させる速度を制御することができる。 The modular device includes modules receivable within a surgical hub (e.g., as described in connection with FIGS. 3 and 9) and connected to various modules for connection or pairing with a corresponding surgical hub. and a surgical device or instrument for obtaining. Modular devices include, for example, intelligent surgical instruments, medical imaging devices, suction/irrigation devices, smoke evacuators, energy generators, ventilators, inhalers, and displays. The modular devices described herein can be controlled by a control algorithm. Control algorithms may be implemented on the modular device itself, on the surgical hub to which a particular modular device is paired, or on both the modular device and the surgical hub (e.g., via a distributed computing architecture). ), can be executed. In some examples, a control algorithm for a modular device relies on data sensed by the modular device itself (i.e., by sensors within, on, or connected to the modular device). control the device based on This data may be related to the patient during surgery (eg, tissue properties or injection pressure) or to the modular device itself (eg, advancing knife speed, motor current, or energy level). For example, a control algorithm for a surgical stapling and cutting instrument can control the speed at which the instrument's motor drives the knife through tissue based on the resistance the knife encounters as it advances.
図22は、発生器1100と、これと共に使用可能な様々な外科用器具1104、1106、1108と、を備える外科システム1000の一形態を示し、外科用器具1104は超音波外科用器具であり、外科用器具1106はRF電気外科用器具であり、多機能型外科用器具1108は組み合わせ超音波/RF電気外科用器具である。発生器1100は、様々な外科用器具と共に使用するように構成可能である。様々な形態によれば、発生器1100は、例えば、超音波外科用器具1104、RF電気外科用器具1106、並びに発生器1100から同時に送達されるRFエネルギー及び超音波エネルギーを統合する多機能型外科用器具1108を含む様々な種類の様々な外科用装置と共に使用するように構成可能であり得る。図22の形態では、発生器1100は、外科用器具1104、1106、1108とは別個に示されているが、一形態では、発生器1100は、外科用器具1104、1106、1108のうちのいずれかと一体的に形成されて、一体型外科システムを形成してもよい。発生器1100は、発生器1100のコンソールの前側パネル上に位置する入力装置1110を備える。入力装置1110は、発生器1100の動作をプログラムするのに適した信号を生成する任意の好適な装置を備えることができる。発生器1100は、有線又は無線通信用に構成されてもよい。 FIG. 22 shows one form of a
発生器1100は、複数の外科用器具1104、1106、1108を駆動するように構成される。第1の外科用器具は超音波外科用器具1104であり、ハンドピース1105(handpiece、HP)、超音波変換器1120、シャフト1126、及びエンドエフェクタ1122を備える。エンドエフェクタ1122は、超音波変換器1120と音響的に結合された超音波ブレード1128及びクランプアーム1140を備える。ハンドピース1105は、クランプアーム1140を動作させるトリガ1143と、超音波ブレード1128又は他の機能に通電し、駆動するためのトグルボタン1134a、1134b、1134cの組み合わせと、を備える。トグルボタン1134a、1134b、1134cは、発生器1100を用いて超音波変換器1120に通電するように構成することができる。
発生器1100はまた、第2の外科用器具1106を駆動するようにも構成される。第2の外科用器具1106は、RF電気外科用器具であり、ハンドピース1107(HP)、シャフト1127、及びエンドエフェクタ1124を備える。エンドエフェクタ1124は、クランプアーム1142a、1142b内に電極を備え、シャフト1127の導電体部分を通って戻る。電極は、発生器1100内の双極エネルギー源に結合され、双極エネルギー源によって通電される。ハンドピース1107は、クランプアーム1142a、1142bを動作させるためのトリガ1145と、エンドエフェクタ1124内の電極に通電するためのエネルギースイッチを作動するためのエネルギーボタン1135と、を備える。
発生器1100はまた、多機能型外科用器具1108を駆動するようにも構成される。多機能型外科用器具1108は、ハンドピース1109(HP)、シャフト1129、及びエンドエフェクタ1125を備える。エンドエフェクタ1125は、超音波ブレード1149及びクランプアーム1146を備える。超音波ブレード1149は、超音波変換器1120と音響的に結合される。ハンドピース1109は、クランプアーム1146を動作させるトリガ1147と、超音波ブレード1149又は他の機能に通電し、駆動するためのトグルボタン1137a、1137b、1137cの組み合わせと、を備える。トグルボタン1137a、1137b、1137cは、発生器1100を用いて超音波変換器1120に通電し、かつ同様に発生器1100内に収容された双極エネルギー源を用いて超音波ブレード1149に通電するように構成することができる。
発生器1100は、様々な外科用器具と共に使用するように構成可能である。様々な形態によれば、発生器1100は、例えば、超音波外科用器具1104、RF電気外科用器具1106、並びに発生器1100から同時に送達されるRFエネルギー及び超音波エネルギーを統合する多機能型外科用器具1108を含む様々な種類の様々な外科用装置と共に使用するように構成可能であり得る。図22の形態では、発生器1100は、外科用器具1104、1106、1108とは別個に示されているが、別の形態では、発生器1100は、外科用器具1104、1106、1108のうちのいずれか1つと一体的に形成されて、一体型外科システムを形成してもよい。上述したように、発生器1100は、発生器1100のコンソールの前側パネル上に位置する入力装置1110を含む。入力装置1110は、発生器1100の動作をプログラムするのに適した信号を生成する任意の適切な装置を備えることができる。発生器1100はまた、1つ又は2つ以上の出力装置1112を含んでもよい。電気信号波形をデジタル的に生成するための発生器、及び外科用器具の更なる態様は、その全体が参照により本明細書に組み込まれる米国特許出願公開第2017-0086914-A1号に記載されている。
図23は、本開示の少なくとも1つの態様による、例示の超音波装置1104のエンドエフェクタ1122である。エンドエフェクタ1122は、導波管を介して超音波変換器1120に結合され得るブレード1128を含み得る。本明細書で説明されるように、超音波変換器1120によって駆動されると、ブレード1128は振動することができ、組織と接触すると、組織を切断及び/又は凝固することができる。様々な態様によると、また図23に例示するように、エンドエフェクタ1122は、エンドエフェクタ1122のブレード1128と協働作用するように構成され得るクランプアーム1140を更に含み得る。ブレード1128と共に、クランプアーム1140は、一連のジョーを含み得る。クランプアーム1140は、器具部分1104のシャフト1126の遠位端に枢動可能に接続され得る。クランプアーム1140は、TEFLON(登録商標)又は他の好適な低摩擦材料から形成され得るクランプアーム組織パッド1163を含み得る。パッド1163は、ブレード1128と協働するように装着されて、クランプアーム1140の枢動運動が、クランプパッド1163をブレード1128と実質的に平行な関係で、かつこれと接触するように位置決めすることができる。この構成により、クランプされる組織片は、組織パッド1163とブレード1128との間に把持され得る。組織パッド1163は、ブレード1128と協働して組織の把持を改善するために、軸方向に離間して近位方向に延在する複数の把持歯1161含む鋸歯様構成を備えてもよい。クランプアーム1140は、図23に示される開放位置から、閉鎖位置(クランプアーム1140がブレード1128と接触するか又は近接する)まで、任意の好適な様式で移行し得る。例えば、ハンドピース1105は、ジョー閉鎖トリガを含み得る。臨床医によって作動されると、ジョー閉鎖トリガはクランプアーム1140を任意の好適な様式で枢動させ得る。 FIG. 23 is an
発生器1100は、駆動信号を任意の好適な様態で超音波変換器1120に提供するように起動され得る。例えば、発生器1100は、フットスイッチケーブル1432を介して発生器1100に結合されたフットスイッチ1430(図24)を含んでもよい。臨床医は、フットスイッチ1430を押し下げることにより、超音波変換器1120を起動させ、またそれによって超音波変換器1120及びブレード1128を起動させ得る。フットスイッチ1430に加えて、又はこの代わりに、装置1104のいくつかの態様は、ハンドピース1105上に位置付けられた1つ又は2つ以上のスイッチを用いてもよく、これは、起動されると、発生器1100に超音波変換器1120を作動させることができる。一態様では、例えば、1つ又は2つ以上のスイッチは、例えば、装置1104の動作モードを決定するために、一対のトグルボタン1134a、1134b、1134cを含んでもよい(図22)。例えば、トグルボタン1134aが押し下げられると、超音波発生器1100は、最大駆動信号を超音波変換器1120に提供して、超音波変換器1120に最大超音波エネルギー出力を生成させることができる。トグルボタン1134bを押すことにより、超音波発生器1100がユーザ選択可能な駆動信号を超音波変換器1120に提供して、超音波変換器1120に最大未満の超音波エネルギー出力を生成させることができる。装置1104は、追加的に又は代替的に、例えば、エンドエフェクタ1122のクランプアーム1140を介してジョーを操作するために、ジョー閉鎖トリガの位置を指示するための第2のスイッチを含んでもよい。また、いくつかの態様では、超音波発生器1100は、ジョー閉鎖トリガの位置に基づいて起動することができる(例えば、臨床医がジョー閉鎖トリガを押し下げてクランプアーム1140を介してジョーを閉鎖すると、超音波エネルギーを印加することができる)。
更に又はあるいは、1つ又は2つ以上のスイッチは、押し下げられると、発生器1100にパルス出力を提供させるトグルボタン1134cを含むことができる(図22)。パルスは、例えば、任意の好適な周波数及び分類で提供されてもよい。ある特定の態様では、パルスの電力レベルは、例えば、トグルボタン1134a、1134bに関連付けられた電力レベル(最大、最大未満)であってもよい。 Additionally or alternatively, one or more switches can include a toggle button 1134c that, when depressed, causes the
装置1104は、トグルボタン1134a、1134b、1134cの任意の組み合わせを含み得ることが理解されよう(図22)。例えば、装置1104は、最大超音波エネルギー出力を生成するためのトグルボタン1134a、及び1回毎に最大又は最大未満の電力レベルのいずれかでパルス出力を生成するトグルボタン1134cの2つのトグルボタンのみを有するように構成され得る。このように、発生器1100の駆動信号出力構成は、5つの連続信号、又は任意の個別の数の個々のパルス信号(1、2、3、4、又は5回)であってもよい。特定の態様では、特定の駆動信号構成は、例えば、発生器1100のEEPROM設定、及び/又はユーザの電力レベル選択(複数可)、に基づき制御され得る。 It will be appreciated that the
特定の態様では、トグルボタン1134cの代替として2位置スイッチが提供され得る(図22)。例えば、装置1104は、最大電力レベルで連続出力を発生させるためのトグルボタン1134aと、2位置トグルボタン1134bと、を含んでもよい。第1の戻り止め位置では、トグルボタン1134bは最大電力レベル未満で連続出力を発生させてもよく、第2の戻り止め位置では、トグルボタン1134bは(例えば、EEPROM設定に応じて、最大又は最大未満のいずれかの出力レベルで)パルス出力を発生させてもよい。 In certain aspects, a two-position switch may be provided as an alternative to toggle button 1134c (FIG. 22). For example,
いくつかの態様では、RF電気外科用エンドエフェクタ1124、1125(図22)はまた、一対の電極を備えてもよい。電極は、例えばケーブルを介して、発生器1100と通信し得る。電極は、例えば、クランプアーム1142a、1146とブレード1142b、1149との間に存在する組織片のインピーダンスを測定するために使用され得る。発生器1100は、電極に信号(例えば、非治療的信号)を提供し得る。組織片のインピーダンスは例えば、信号の電流、電圧などを監視することによって見出され得る。 In some aspects, the RF
様々な態様では、発生器1100は、図22の外科システム1000の略図である図24に示すモジュール及び/又はブロックなどのいくつかの別個の機能的要素を備えてもよい。様々な機能要素又はモジュールが、様々な種類の外科用装置1104、1106、1108を駆動するように構成され得る。例えば、超音波発生器モジュールは、超音波装置1104などの超音波装置を駆動し得る。電気外科/RF発生器モジュールは、電気外科用装置1106を駆動し得る。モジュールは、外科用装置1104、1106、1108を駆動するために対応する駆動信号を生成することができる。様々な態様では、超音波発生器モジュール及び/又は電気外科/RF発生器モジュールはそれぞれ、発生器1100と一体的に形成されてもよい。あるいは、モジュールのうち1つ又は2つ以上が、発生器1100と電気的に結合された個別の回路モジュールとして提供されてもよい。(モジュールはこの選択肢を例示するために仮想線で示されている)。また、いくつかの態様では、電気外科/RF発生器モジュールは、超音波発生器モジュールと一体的に形成されてもよく、又はその逆であってもよい。 In various aspects,
記載される態様によれば、超音波発生器モジュールは、特定の電圧、電流、及び周波数(例えば、55,500サイクル/秒、又はHz)の駆動信号又は複数の駆動信号を生成し得る。駆動信号又は複数の駆動信号は、超音波装置1104、特に、例えば上記のように動作し得る変換器1120に提供され得る。一態様では、発生器1100は、高い分解能、精度、及び再現性を備え得る(stepped with)特定の電圧、電流、及び/又は周波数出力信号の駆動信号を生成するように構成することができる。 According to the described aspects, the ultrasound generator module may generate a drive signal or signals of a particular voltage, current, and frequency (eg, 55,500 cycles/second, or Hz). The drive signal or signals may be provided to the
記載される態様によれば、電気外科/RF発生器モジュールは、無線周波数(radio frequency、RF)エネルギーを使用して、双極電気外科処置を実施するのに十分な出力電力で駆動信号又は複数の駆動信号を生成し得る。双極電気外科用途では、例えば、駆動信号は、上述したように、例えば電気外科用装置1106の電極に提供されてもよい。したがって、発生器1100は、組織を治療するのに十分な電気エネルギーを組織に適用することにより、治療目的のために構成され得る(例えば、凝固、焼灼、組織溶接など)。 According to described aspects, an electrosurgical/RF generator module uses radio frequency (RF) energy to generate a drive signal or a plurality of drive signals with an output power sufficient to perform a bipolar electrosurgical procedure. A drive signal may be generated. In bipolar electrosurgical applications, for example, drive signals may be provided to the electrodes of, for example,
発生器1100は、例えば、発生器1100のコンソールの前側パネル上に位置する入力装置2150(図27B)を備えることができる。入力装置2150は、発生器1100の動作をプログラムするのに適した信号を生成する任意の適切な装置を備えることができる。動作中、ユーザは、入力装置2150を使用して発生器1100の動作をプログラムする、ないしは別の方法で制御することができる。入力装置2150は、発生器1100の動作(例えば、超音波発生器モジュール及び/又は電気外科/RF発生器モジュールの動作)を制御するために、発生器によって(例えば、発生器内に収容される1つ又は2つ以上のプロセッサによって)使用され得る信号を生成する、任意の好適な装置を含み得る。様々な態様では、入力装置2150は、ボタン、スイッチ、サムホイール、キーボード、キーパッド、タッチスクリーンモニタ、ポインティング装置、汎用又は専用のコンピュータへの遠隔接続のうちの1つ又は2つ以上を含む。他の態様では、入力装置2150は、例えば、タッチスクリーンモニタ上に表示される1つ又は2つ以上のユーザインターフェーススクリーンなどの好適なユーザインターフェースを含んでもよい。したがって、入力装置2150により、ユーザは、例えば、超音波発生器モジュール及び/又は電気外科/RF発生器モジュールによって生成される駆動信号又は複数の駆動信号の、電流(I)、電圧(V)、周波数(f)、及び/又は期間(T)などの、発生器の様々な動作パラメータを設定又はプログラミングすることができる。
発生器1100はまた、例えば、発生器1100コンソールの前側パネル上に位置する出力装置2140(図27B)を含み得る。出力装置2140は、ユーザに感覚フィードバックを提供するための1つ又は2つ以上の装置を含む。このような装置は、例えば、視覚的フィードバック装置(例えば、LCD表示画面、LEDインジケータ)、可聴フィードバック装置(例えば、スピーカー、ブザー)又は触覚フィードバック装置(例えば、触覚作動装置)を含んでもよい。
発生器1100の特定のモジュール及び/又はブロックが例として記載され得るが、より多くの又はより少ない数のモジュール及び/又はブロックが使用されてもよく、これは依然として態様の範囲内にあることが理解できよう。更に、説明を容易にするために、モジュール及び/又はブロックに関して様々な態様が記載され得るが、そのようなモジュール及び/又はブロックは、1つ又は2つ以上のハードウェア構成要素、例えば、プロセッサ、デジタル信号プロセッサ(DSP)、プログラム可能な論理機構(programmable logic device、PLD)、特定用途向け集積回路(application specific integrated circuit、ASIC)、回路、レジスタ並びに/又はソフトウェア構成要素、例えば、プログラム、サブルーチン、論理及び/若しくはハードウェア構成要素とソフトウェア構成要素との組み合わせによって実装されてもよい。 Although particular modules and/or blocks of
一態様では、超音波発生器駆動モジュール及び電気外科/RF駆動モジュール1110(図22)は、ファームウェア、ソフトウェア、ハードウェア、又はそれらの任意の組み合わせとして実装される1つ又は2つ以上の埋め込みアプリケーションを含んでもよい。モジュールは、ソフトウェア、プログラム、データ、ドライバ、アプリケーションプログラムインターフェース(API)などのような様々な実行可能なモジュールを備えることができる。ファームウェアは、ビットマスクされた読み出し専用メモリ(ROM)又はフラッシュメモリのような不揮発性メモリ(nonvolatile memory、NVM)に記憶することができる。様々な実装形態では、ファームウェアをROMに記憶することにより、フラッシュメモリが保存され得る。NVMは、例えば、プログラマブルROM(PROM)、消去可能プログラマブルROM(EPROM)、電気的消去可能プログラマブルROM(EEPROM)、又はダイナミックRAM(DRAM)、ダブルデータレートDRAM(DDRAM)、及び/若しくは同期DRAM(SDRAM)のような電池バックアップ式ランダムアクセスメモリ(RAM)を含む、他のタイプのメモリを含んでもよい。 In one aspect, the ultrasound generator drive module and the electrosurgical/RF drive module 1110 (FIG. 22) are integrated into one or more embedded applications implemented as firmware, software, hardware, or any combination thereof. May include. A module may comprise various executable modules such as software, programs, data, drivers, application program interfaces (APIs), and the like. The firmware may be stored in bit-masked read-only memory (ROM) or nonvolatile memory (NVM), such as flash memory. In various implementations, flash memory may be saved by storing firmware in ROM. The NVM may be, for example, a programmable ROM (PROM), an erasable programmable ROM (EPROM), an electrically erasable programmable ROM (EEPROM), or a dynamic RAM (DRAM), a double data rate DRAM (DDRAM), and/or a synchronous DRAM ( Other types of memory may also be included, including battery-backed random access memory (RAM) such as SDRAM.
一態様では、モジュールは、装置1104、1106、1108の様々な測定可能な特性を監視するためのプログラム命令を実行し、装置1104、1106、1108を動作させるための対応する出力駆動信号又は複数の出力駆動信号を生成するためのプロセッサとして実施されるハードウェア構成要素を含む。発生器1100が装置1104と共に使用される態様では、駆動信号は、切断及び/又は凝固動作モードにおいて、超音波変換器1120を駆動し得る。装置1104及び/又は組織の電気的特性は、発生器1100の動作態様を制御するために測定及び使用され、かつ/又はユーザにフィードバックとして提供されてもよい。発生器1100が装置1106と共に使用される態様では、駆動信号は、切断、凝固及び/又は乾燥モードにおいて、エンドエフェクタ1124に電気エネルギー(例えば、RFエネルギー)を供給し得る。装置1106及び/又は組織の電気的特性は、発生器1100の動作態様を制御するために測定及び使用され、かつ/又はユーザにフィードバックとして提供されてもよい。様々な態様では、上述したように、ハードウェア構成要素はDSP、PLD、ASIC、回路、及び/又はレジスタとして実施され得る。一態様では、プロセッサは、コンピュータソフトウェアプログラム命令を記憶及び実行して、超音波変換器1120及びエンドエフェクタ1122、1124、1125などの装置1104、1106、1108の様々な構成要素を駆動するための階段関数出力信号を生成するように構成されてもよい。 In one aspect, the module executes program instructions for monitoring various measurable characteristics of the
電気機械的超音波システムは、超音波変換器、導波管、及び超音波ブレードを含む。電気機械的超音波システムは、超音波変換器、導波管、及び超音波ブレードの物理的特性によって定義される初期共振周波数を有する。超音波変換器は、電気機械的超音波システムの共振周波数と等しい交流電圧Vg(t)及び電流Ig(t)信号によって励起される。電気機械的超音波システムが共振するとき、電圧Vg(t)信号と電流Ig(t)信号との間の位相差はゼロである。換言すると、共振時、誘導性インピーダンスは容量性インピーダンスと等しい。超音波ブレードが加熱すると、超音波ブレード(等価静電容量としてモデル化される)のコンプライアンスによって、電気機械的超音波システムの共振周波数が変化する。したがって、誘導性インピーダンスは容量性インピーダンスともはや等しくなく、それにより電気機械的超音波システムの駆動周波数と共振周波数との間に不整合が引き起こされる。ここでシステムは、「オフレゾナンス(off-resonance)」を動作させる。駆動周波数と共振周波数との間の不整合は、超音波変換器に印加される電圧Vg(t)信号と電流Ig(t)信号との間の位相差として現れる。発生器電子機器は、電圧Vg(t)信号と電流Ig(t)信号との間の位相差を容易に監視することができ、位相差が再びゼロになるまで駆動周波数を連続的に調整することができる。この時点で、新しい駆動周波数は、電気機械的超音波システムの新しい共振周波数に等しい。位相及び/又は周波数の変化は、超音波ブレード温度の間接的測定値として使用することができる。Electromechanical ultrasound systems include ultrasound transducers, waveguides, and ultrasound blades. Electromechanical ultrasound systems have an initial resonant frequency defined by the physical properties of the ultrasound transducer, waveguide, and ultrasound blade. The ultrasound transducer is excited by an alternating voltage Vg (t) and current Ig (t) signal equal to the resonant frequency of the electromechanical ultrasound system. When the electromechanical ultrasound system resonates, the phase difference between the voltage Vg (t) and current Ig (t) signals is zero. In other words, at resonance, the inductive impedance is equal to the capacitive impedance. As the ultrasonic blade heats up, the compliance of the ultrasonic blade (modeled as an equivalent capacitance) changes the resonant frequency of the electromechanical ultrasonic system. Therefore, the inductive impedance is no longer equal to the capacitive impedance, which causes a mismatch between the driving frequency and the resonant frequency of the electromechanical ultrasound system. Here the system operates "off-resonance". The mismatch between the drive frequency and the resonant frequency manifests itself as a phase difference between the voltage Vg (t) and current Ig (t) signals applied to the ultrasound transducer. The generator electronics can easily monitor the phase difference between the voltage Vg (t) and current Ig (t) signals and continuously increase the driving frequency until the phase difference is zero again. Can be adjusted. At this point, the new drive frequency is equal to the new resonant frequency of the electromechanical ultrasound system. Changes in phase and/or frequency can be used as indirect measurements of ultrasonic blade temperature.
図25に示すように、超音波変換器の電気機械特性は、静電容量を有する第1ブランチと、共振器の電気機械特性を規定する直列接続されたインダクタンス、抵抗、及び容量を有する第2「動作」ブランチと、を含む等価回路としてモデル化されてもよい。既知の超音波発生器は、発生器駆動信号電流の実質的に全部が動作ブランチ内に流れるように、ある共振周波数において静電容量をチューンアウトするための調整インダクタを含み得る。したがって、調整インダクタを使用することにより、発生器の駆動信号電流は、動作ブランチ電流を表し、したがって発生器はその駆動信号を制御して超音波変換器の共振周波数を維持することができる。調整インダクタはまた、発生器の周波数固定能力を改善するために、超音波変換器の相インピーダンスプロットを変換することができる。しかしながら、調整インダクタは、動作共振周波数において、超音波変換器の特定の静電容量と適合しなくてはならない。換言すると、異なる静電容量を有する異なる超音波変換器は、異なる調整インダクタを必要とする。 As shown in Figure 25, the electromechanical properties of an ultrasound transducer are determined by the first branch having a capacitance and the second branch having a series connected inductance, resistance, and capacitance defining the electromechanical properties of the resonator. It may be modeled as an equivalent circuit including an "operation" branch. Known ultrasound generators may include a tuning inductor to tune out the capacitance at a certain resonant frequency so that substantially all of the generator drive signal current flows into the operating branch. Therefore, by using a tuning inductor, the generator's drive signal current represents the operating branch current, and the generator can therefore control its drive signal to maintain the resonant frequency of the ultrasound transducer. The tuning inductor can also transform the phase impedance plot of the ultrasound transducer to improve the frequency fixing ability of the generator. However, the tuning inductor must match the specific capacitance of the ultrasound transducer at the operating resonant frequency. In other words, different ultrasound transducers with different capacitances require different tuning inductors.
図25は、一態様による、超音波変換器1120などの超音波変換器の等価回路1500を示す。回路1500は、共振器の電気機械特性を規定する、直列接続されたインダクタンスLs、抵抗Rs、及び容量Csを有する第1の「動作」ブランチと、静電容量C0を有する第2の容量性ブランチと、を含む。動作電流Im(t)が第1ブランチを通って流れ、電流Ig(t)~Im(t)が容量性ブランチを通って流れる状態で、駆動電流Ig(t)は、発生器から駆動電圧Vg(t)で受信されてもよい。超音波変換器の電気機械特性の制御は、Ig(t)及びVg(t)を好適に制御することによって達成されてもよい。上述のように、既知の発生器アーキテクチャは、発生器の電流出力Ig(t)の実質的に全てが動作ブランチを通って流れるように、並列共振回路内で共振周波数において静電容量C0をチューンアウトするための調整インダクタLt(図25に仮想線で示される)を含むことができる。この方法では、動作ブランチ電流Im(t)の制御は、発生器の電流出力Ig(t)を制御することによって達成される。調整インダクタLtは、超音波変換器の静電容量C0に特有であるが、異なる静的静電容量を有する異なる超音波変換器は、異なる調整インダクタLtを必要とする。また、調整インダクタLtは、単一の共振周波数で静電容量C0の公称値と一致するため、動作ブランチ電流Im(t)の正確な制御は、その周波数でのみ保証される。周波数が変換器の温度によって低下すると、動作ブランチ電流の正確な制御が損なわれる。FIG. 25 illustrates an
発生器1100の様々な態様が、調整インダクタLtに頼ることなく動作ブランチ電流Im(t)を監視することができる。むしろ、発生器1100は、動的及び進行中ベースで(例えば、リアルタイムで)動作ブランチ電流Im(t)の値を判定するために、特定の超音波外科用装置1104のための電力の印加間の静電容量C0の測定値を使用し得る(駆動信号の電圧及び電流フィードバックデータと共に)。したがって、発生器1100のこうした態様は、静電容量C0の公称値によって決定される単一の共振周波数のみにおいてではなく、任意の周波数で静電容量C0の任意の値と調整される又は共振するシステムをシミュレートするために、仮想調整を提供することが可能である。Various aspects of the
図26は、利点の中でもとりわけ、上述のインダクタレス調整を提供するための発生器1100の一態様の簡略化ブロック図である。図27A~図27Cは、一態様による図26の発生器1100のアーキテクチャを示す。図26を参照すると、発生器1100は、電力変圧器1560を介して非絶縁段階1540と通信する患者絶縁段階1520を備え得る。電力変圧器1560の二次巻線1580は、絶縁段階1520に含まれ、かつタップ構成を含んでもよく(例えば、センタタップ又は非センタタップ構成)、例えば、超音波外科用装置1104及び電気外科用装置1106などの様々な外科用装置に駆動信号を出力するための、駆動信号出力部1600a、1600b、1600cを画定する。特に、駆動信号出力部1600a、1600b、1600cは、超音波外科用装置1104に駆動信号(例えば、420VのRMS駆動信号)を出力してもよく、駆動信号出力部1600a、1600b、1600cは、電気外科用装置1106に駆動信号(例えば、100VのRMS駆動信号)を出力してもよく、ここで出力部1600bは電力変圧器1560のセンタタップに対応する。非絶縁段階1540は、電力変圧器1560の一次巻線1640に接続された出力部を有する電力増幅器1620を備え得る。特定の態様では、電力増幅器1620は、例えば、プッシュプル増幅器を含み得る。非絶縁段階1540は、デジタル出力をデジタル/アナログ変換器(digital-to-analog converter、DAC)1680に供給するための、プログラム可能な論理機構1660を更に含んでもよく、続いてデジタル/アナログ変換器(DAC)1680は、対応するアナログ信号を電力増幅器1620の入力部に供給する。特定の態様では、プログラム可能な論理機構1660は、例えば、フィールドプログラマブルゲートアレイ(field-programmable gate array、FPGA)を含むことができる。プログラム可能な論理機構1660は、DAC1680を介して電力増幅器1620の入力を制御することにより、その結果、駆動信号出力部1600a、1600b、1600cに現れる駆動信号の多数のパラメータ(例えば、周波数、波形形状、波形振幅)のいずれかを制御することができる。特定の態様では、また以下で説明するように、プログラム可能な論理機構1660、プロセッサ(例えば、以下で説明するプロセッサ1740)と共に、多くのデジタル信号処理(DSP)ベースの及び/又はその他の制御アルゴリズムを実行して、発生器1100によって出力される駆動信号のパラメータを制御することができる。 FIG. 26 is a simplified block diagram of one embodiment of a
電力は、スイッチモードレギュレータ1700によって電力増幅器1620の母線に供給することができる。特定の態様では、スイッチモードレギュレータ1700は、例えば調節可能なバックレギュレータを含むことができる。上述したように、非絶縁段階1540はプロセッサ1740を更に含むことができ、これは、一態様では、例えば、Analog Devices(Norwood,Mass.)から入手可能なADSP-21469 SHARC DSPなどのDSPプロセッサを含むことができる。特定の態様では、プロセッサ1740は、アナログデジタル変換器(ADC)1760を介してプロセッサ1740が電力増幅器1620から受信した電圧フィードバックデータに応答して、スイッチモード電力変換器1700の動作を制御することができる。例えば、一態様では、プロセッサ1740は、電力増幅器1620によって増幅される信号(例えば、RF信号)の波形エンベロープを、ADC1760を介して入力として受信することができる。プロセッサ1740は、続いて、電力増幅器1620に供給されるレール電圧が増幅信号の波形エンベロープを追跡するように、スイッチモードレギュレータ1700を(例えば、パルス幅変調(PWM)出力を介して)制御することができる。波形エンベロープに基づいて、電力増幅器1620のレール電圧を動的に変調することにより、電力増幅器1620の効率は、固定レール電圧増幅器スキームと比較して顕著に改善され得る。プロセッサ1740は、有線又は無線通信用に構成されてもよい。 Power can be provided to the
特定の態様では、かつ図28A~図28Bに関連して更に詳細に記載されるように、プログラム可能な論理機構1660は、プロセッサ1740と共に、直接デジタルシンセサイザ(DDS)制御スキームを実行して、発生器1100によって出力された駆動信号の波形形状、周波数、及び/又は振幅を制御し得る。一態様では、例えば、プログラム可能な論理機構1660は、FPGAに内蔵され得る、RAM LUTなどの動的に更新されるルックアップテーブル(LUT)内に記憶された波形サンプルを呼び出すことによって、DDS制御アルゴリズム2680(図28A)を実行し得る。この制御アルゴリズムは、超音波変換器1120などの超音波変換器が、その共振周波数における明瞭な正弦波電流によって駆動され得る超音波用途で特に有用である。他の周波数が寄生共振を励起し得るため、動作分岐電流の全歪みの最小化又は低減は、これに対応して望ましくない共振効果を最小化又は低減することができる。発生器1100によって出力される駆動信号の波形形状は、出力駆動回路内に存在する様々な歪み源(例えば、電力変圧器1560、電力増幅器1620)によって影響され得るため、駆動信号に基づく電圧及び電流フィードバックデータを、プロセッサ1740によって実行される誤差制御アルゴリズムなどのアルゴリズムに入力することができ、このアルゴリズムは、動的な、進行中ベースで(例えば、リアルタイムで)、LUTに記憶された波形サンプルを適切に予歪みさせるか又は修正することによって、歪みを補償する。一態様では、LUTサンプルに加えられる予歪みの量又は程度は、計算された動作ブランチ電流と所望の電流波形形状との間の誤差に基づいてもよく、誤差は、サンプル毎に判定される。このようにして、予め歪ませたLUTサンプルは、駆動回路により処理される場合、超音波変換器を最適に駆動するために、所望の波形形状(例えば、正弦波)を有する動作ブランチ駆動信号を生じ得る。したがって、そのような態様では、LUT波形サンプルは、駆動信号の所望の波形形状ではなく、むしろ歪み効果を考慮した際の、所望の波形の動作ブランチ駆動信号を最終的に生成するのに必要な波形形状を表す。 In certain aspects, and as described in further detail in connection with FIGS. 28A-28B,
非絶縁段階1540は、発生器1100によって出力された駆動信号の電圧及び電流をそれぞれサンプリングするために、それぞれの絶縁変圧器1820、1840を介して電力変圧器1560の出力部に結合されたADC1780及びADC1800を更に含むことができる。特定の態様では、ADC1780、1800は、駆動信号のオーバーサンプリングを可能にするために高速(例えば、80Msps)でサンプリングするように構成することができる。一態様では、例えば、ADC1780、1800のサンプリング速度は、駆動信号の約200倍(駆動周波数に応じて)のオーバーサンプリングを可能にすることができる。特定の態様では、ADC1780、1800のサンプリング動作は、双方向マルチプレクサを介し、入力電圧及び電流信号を受信する単一のADCによって行われ得る。発生器1100の態様における高速サンプリングの使用は、とりわけ、動作ブランチを流れる複素電流の計算(これは、特定の態様で上述したDDSベースの波形形状制御を実施するために使用され得る)、サンプリングされた信号の正確なデジタルフィルタリング、及び高精度な実消費電力の計算を可能にすることができる。ADC1780、1800によって出力される電圧及び電流フィードバックデータは、プログラム可能な論理機構1660によって受信され、かつ処理されてもよく(例えば、FIFOバッファリング、マルチプレクシング)、例えばプロセッサ1740による以後の読み出しのために、データメモリに記憶されてもよい。上記のように、電圧及び電流のフィードバックデータは、動的及び進行に応じたベースで、LUT波形サンプルを予め歪ませるか又は修正するための、アルゴリズムへの入力として使用され得る。特定の態様では、これは、電圧及び電流フィードバックデータのペアが取得されたときに、各記憶された電圧及び電流フィードバックデータのペアが、プログラム可能な論理機構1660によって出力された対応するLUTサンプルに基づいてインデックス付けされる、又は他の方法でこれと関連付けされることを必要とする場合がある。この方法によるLUTサンプルと電圧及び電流のフィードバックデータとの同期は、予歪みアルゴリズムの正確なタイミング及び安定性に寄与する。
特定の態様では、電圧及び電流フィードバックデータは、駆動信号の周波数及び/又は振幅(例えば、電流振幅)を制御するために使用することができる。一態様では、例えば、電圧及び電流フィードバックデータを使用して、インピーダンス位相、例えば、電圧駆動信号と電流駆動信号との間の位相差を判定することができる。続いて、駆動信号の周波数を制御して、判定されたインピーダンス位相とインピーダンス位相設定値(例えば、0°)との間の差を最小化又は低減し、それによって高調波歪みの影響を最小化又は低減し、それに対応してインピーダンス位相の測定精度を向上させることができる。位相インピーダンス及び周波数制御信号の判定は、例えばプロセッサ1740で実行されてもよく、周波数制御信号は、プログラム可能な論理機構1660によって実行されるDDS制御アルゴリズムへの入力として供給される。 In certain aspects, voltage and current feedback data can be used to control the frequency and/or amplitude (eg, current amplitude) of the drive signal. In one aspect, for example, voltage and current feedback data can be used to determine an impedance phase, eg, a phase difference between a voltage drive signal and a current drive signal. Subsequently, the frequency of the drive signal is controlled to minimize or reduce the difference between the determined impedance phase and the impedance phase setpoint (e.g., 0°), thereby minimizing the effects of harmonic distortion. or reduced, and the accuracy of the impedance phase measurement can be correspondingly improved. Determination of the phase impedance and frequency control signal may be performed, for example, in
インピーダンス位相は、フーリエ解析によって判定され得る。一態様では、発生器電圧Vg(t)駆動信号と発生器電流Ig(t)駆動信号との間の位相差は、以下のように高速フーリエ変換(fast fourier transform、FFT)又は離散フーリエ変換(discrete fourier transform、DFT)を使用して決定され得る。Impedance phase can be determined by Fourier analysis. In one aspect, the phase difference between the generator voltage Vg (t) drive signal and the generator current Ig (t) drive signal is determined by a fast Fourier transform (FFT) or a discrete Fourier transform as follows: It can be determined using a discrete fourier transform (DFT).
正弦波の周波数でのフーリエ変換を評価することで、以下が得られる。 By evaluating the Fourier transform at the frequency of the sine wave, we obtain:
他のアプローチとしては、加重最小二乗推定法、カルマンフィルタ処理法、及び空間ベクトルベース技術が挙げられる。FFT又はDFT技術における処理の実質的に全てが、例えば、2チャネル高速ADC1780、1800を用いてデジタル領域内で実行されてもよい。1つの技術では、電圧信号及び電流信号のデジタル信号サンプルは、FFT又はDFTでフーリエ変換される。任意の時点における位相角φは、以下の式によって計算することができ:
φ=2πft+φ0
式中、φは位相角であり、fは周波数であり、tは時間であり、φ0は、t=0における位相である。Other approaches include weighted least squares estimation, Kalman filtering, and space vector-based techniques. Substantially all of the processing in FFT or DFT techniques may be performed in the digital domain using, for example, a two-channel
φ=2πft+φ0
where φ is the phase angle, f is the frequency, t is the time, and φ0 is the phase at t=0.
電圧Vg(t)信号と電流Ig(t)信号との間の位相差を判定するための別の技術はゼロ交差法であり、これは高精度な結果を生成する。同じ周波数を有する電圧Vg(t)信号及び電流Ig(t)信号の場合、電圧信号Vg(t)の各負から正のゼロ交差はパルスの開始をトリガし、一方で、電流信号Ig(t)の各負から正のゼロ交差はパルスの終了をトリガする。結果は、電圧信号と電流信号との間の位相角に比例するパルス幅を有するパルス列である。一態様では、パルス列を平均化フィルタに通して、位相差の測定値を得ることができる。更に、正から負のゼロ交差も、同様の方法で使用され、結果が平均化されると、DC及び高調波成分の任意の効果が低減され得る。一実装形態では、アナログ電圧Vg(t)信号及び電流Ig(t)信号は、アナログ信号が正である場合には高く、アナログ信号が負である場合には低いデジタル信号に変換される。高精度な位相評価は、高低間の急激な移行を必要とする。一態様では、RC安定化ネットワークと共にシュミットトリガを用いて、アナログ信号をデジタル信号に変換することができる。他の態様では、エッジトリガ型RSフリップフロップ及び補助回路が用いられてもよい。更に別の態様では、ゼロ交差技術は、eXclusive OR(XOR)ゲートを用いてもよい。Another technique for determining the phase difference between the voltage Vg (t) and current Ig (t) signals is the zero-crossing method, which produces highly accurate results. For voltage Vg (t) and current Ig (t) signals with the same frequency, each negative to positive zero crossing of the voltage signal Vg (t) triggers the start of a pulse, while the current signal Each negative to positive zero crossing of Ig (t) triggers the termination of the pulse. The result is a pulse train with a pulse width proportional to the phase angle between the voltage and current signals. In one aspect, the pulse train can be passed through an averaging filter to obtain a phase difference measurement. Additionally, positive to negative zero crossings can be used in a similar manner to reduce any effects of DC and harmonic components when the results are averaged. In one implementation, the analog voltage Vg (t) and current Ig (t) signals are converted to digital signals that are high when the analog signal is positive and low when the analog signal is negative. . Accurate phase estimation requires abrupt transitions between high and low. In one aspect, a Schmitt trigger can be used with an RC stabilization network to convert an analog signal to a digital signal. In other aspects, edge-triggered RS flip-flops and auxiliary circuits may be used. In yet another aspect, the zero crossing technique may use an eXclusive OR (XOR) gate.
電圧信号と電流信号との間の位相差を決定するための他の技術としては、リサージュ図及び画像の監視、3電圧計法、交差コイル法、ベクトル電圧計及びベクトルインピーダンス法などの方法、並びに位相標準機器、位相ロックループ、及びPhase Measurement,Peter O’Shea,2000 CRC Press LLC,<http://www.engnetbase.com>に説明されるような他の技術の使用、が挙げられ、参照により本明細書に組み込まれる。 Other techniques for determining the phase difference between voltage and current signals include Lissajous diagram and image monitoring, methods such as the three voltmeter method, the crossed coil method, the vector voltmeter and vector impedance methods, and Phase Standard Instruments, Phase-Locked Loops, and Phase Measurement, Peter O'Shea, 2000 CRC Press LLC, <http://www. engnetbase. com>, incorporated herein by reference.
別の態様では、例えば、電流のフィードバックデータは、駆動信号の電流振幅を電流振幅設定値に維持するために監視することができる。電流振幅設定値は、直接指定されてもよく、又は指定された電圧振幅及び電力設定値に基づいて間接的に判定されてもよい。特定の態様では、電流振幅の制御は、例えば、プロセッサ1740内の比例積分微分(PID)制御アルゴリズムなどの制御アルゴリズムによって実行され得る。駆動信号の電流振幅を適切に制御するために制御アルゴリズムによって制御される変数としては、例えば、プログラム可能な論理機構1660に記憶されるLUT波形サンプルのスケーリング、及び/又はDAC1860を介したDAC1680(これは電力増幅器1620に入力を供給する)のフルスケール出力電圧を挙げることができる。 In another aspect, for example, current feedback data can be monitored to maintain the current amplitude of the drive signal at a current amplitude set point. The current amplitude setting may be specified directly or determined indirectly based on the specified voltage amplitude and power setting. In certain aspects, control of current amplitude may be performed by a control algorithm, such as a proportional-integral-derivative (PID) control algorithm within
非絶縁段階1540は、とりわけ、ユーザインターフェース(user interface、UI)機能を提供するために、プロセッサ1900を更に含むことができる。一態様では、プロセッサ1900は、例えば、Atmel Corporation(San Jose,Calif.)から入手可能なARM926EJ-Sコアを有するAtmel AT91 SAM9263プロセッサを含むことができる。プロセッサ1900によってサポートされるUI機能の例としては、聴覚的及び視覚的なユーザフィードバック、周辺装置との通信(例えば、ユニバーサルシリアルバス(USB)インターフェースを介して)、フットスイッチ1430との通信、入力装置2150(例えば、タッチスクリーンディスプレイ)との通信、並びに出力装置2140(例えば、スピーカ)との通信を挙げることができる。プロセッサ1900は、プロセッサ1740及びプログラム可能な論理機構と通信することができる(例えば、シリアル周辺インターフェース(SPI)バスを介して)。プロセッサ1900は、主にUI機能をサポートすることができるが、これはまた、特定の態様ではプロセッサ1740と協働して危険の緩和を実現することができる。例えば、プロセッサ1900は、ユーザ入力及び/又は他の入力(例えば、タッチスクリーン入力2150、フットスイッチ1430入力、温度センサ入力2160)の様々な態様を監視するようにプログラムされてもよく、かつ誤った状態が検出された場合は発生器1100の駆動出力を無効化することができる。
特定の態様では、プロセッサ1740(図26、図27A)及びプロセッサ1900(図26、図27B)の両方が、発生器1100の動作状態を判定し、監視することができる。プロセッサ1740の場合は、発生器1100の動作状態は、例えば、どちらの制御及び/又は診断プロセスがプロセッサ1740によって実行されるかを決定することができる。プロセッサ1900の場合は、発生器1100の動作状態は、例えば、ユーザインターフェース(例えば、ディスプレイスクリーン、音)のどの要素がユーザに提供されるかを決定することができる。プロセッサ1740、1900は、発生器1100の現在の動作状態を独立して維持し、現在の動作状態からの可能な遷移を認識及び評価することができる。プロセッサ1740は、この関係におけるマスタとして機能し、動作状態間の遷移がいつ生じるかを判定することができる。プロセッサ1900は、動作状態間の有効な遷移を認識することができ、かつ特定の遷移が適切であるかを確認することができる。例えば、プロセッサ1740がプロセッサ1900に特定の状態に遷移するように命令すると、プロセッサ1900は要求される遷移が有効であることを確認することができる。プロセッサ1900によって要求される状態間の遷移が無効であると判定された場合、プロセッサ1900は発生器1100を故障モードにすることができる。 In certain aspects, both processor 1740 (FIGS. 26, 27A) and processor 1900 (FIGS. 26, 27B) can determine and monitor the operational status of
非絶縁段階1540は、入力装置2150(例えば、発生器1100をオン及びオフするために使用される静電容量式タッチセンサ、静電容量式タッチスクリーン)を監視するためのコントローラ1960(図26、図27B)を更に含むことができる。特定の態様では、コントローラ1960は、プロセッサ1900と通信する少なくとも1つのプロセッサ及び/又は他のコントローラ装置を備えることができる。一態様では、例えば、コントローラ1960は、1つ又は2つ以上の静電容量式タッチセンサを介して提供されるユーザ入力を監視するように構成されたプロセッサ(例えば、Atmelから入手可能なMega168 8ビットコントローラ)を備えることができる。一態様では、コントローラ1960は、静電容量式タッチスクリーンからのタッチデータの取得を制御及び管理するためのタッチスクリーンコントローラ(例えば、Atmelから入手可能なQT5480タッチスクリーンコントローラ)を備えることができる。 The
特定の態様では、発生器1100が「電源オフ」状態にあるとき、コントローラ1960は(例えば、後述する電源2110(図26)などの、発生器1100の電源からのラインを介して)動作電力を受信し続けることができる。このようにして、コントローラ1960は、発生器1100をオンオフするための入力装置2150(例えば、発生器1100の前側パネルに配置された静電容量式タッチセンサ)を監視し続けることができる。発生器1100が「電源オフ」状態にあるときに、コントローラ1960は、ユーザによる「オン/オフ」入力装置2150の起動が検出されると、電源を起動することができる(例えば、電源2110の1つ又は2つ以上のDC/DC電圧変換器2130(図26)の動作を有効化する)。その結果、コントローラ1960は、発生器1100を「電源オン」状態に移行させるためのシーケンスを開始することができる。逆に、発生器1100が「電源オン」状態にあるときに「オン/オフ」入力装置2150の起動が検出されると、コントローラ1960は発生器1100を「電源オフ」状態に移行させるためのシーケンスを開始することができる。特定の態様では、例えば、コントローラ1960は、「オン/オフ」入力装置2150の起動をプロセッサ1900に報告することができ、続いてプロセッサ1900は、発生器1100を「電源オフ」状態に移行させるために必要な処理シーケンスを実行する。こうした態様では、コントローラ1960は、その「電源オン」状態が確立された後に、発生器1100から電力の除去を引き起こすための独立した能力を有しない場合がある。 In certain aspects, when the
特定の態様では、コントローラ1960は、「電源オン」又は「電源オフ」シーケンスが開始されたことをユーザに警告するために、発生器1100に聴覚又は他の感覚フィードバックを提供させることができる。こうした警告は、「電源オン」又は「電源オフ」シーケンスの開始時、及びシーケンスと関連する他のプロセスの開始前に提供されてもよい。 In certain aspects, the
特定の態様では、絶縁段階1520は、例えば、外科用装置の制御回路(例えば、ハンドピーススイッチを備える制御回路)と、非絶縁段階1540の構成要素(例えば、プログラム可能な論理機構1660、プロセッサ1740、及び/又はプロセッサ1900など)との間の通信インターフェースを提供するために、器具インターフェース回路1980を含むことができる。器具インターフェース回路1980は、例えば赤外線(IR)ベースの通信リンクなどの、段階1520、1540間の適切な程度の電気的絶縁を維持する通信リンクを介して、非絶縁段階1540の構成要素と情報を交換することができる。例えば、非絶縁段階1540から駆動される絶縁変圧器によって電力供給される低ドロップアウト電圧レギュレータを使用して、器具インターフェース回路1980に電力を供給することができる。 In certain aspects, the
一態様では、器具インターフェース回路1980は、信号調整回路2020(図26及び図27C)と通信するプログラム可能な論理機構2000(例えば、FPGA)を備えることができる。信号調整回路2020は、プログラム可能な論理機構2000から周期信号(例えば、2kHzの方形波)を受信して同一の周波数を有する双極呼掛け信号を生成するように構成することができる。呼掛け信号は、例えば、差動増幅器によって供給される双極電流源を使用して発生させることができる。呼掛け信号は、(例えば、発生器1100を外科用装置に接続するケーブル内の導電性のペア(conductive pair)を使用することによって)外科用装置制御回路に伝達され、制御回路の状態又は構成を判定するために監視され得る。例えば、制御回路は、制御回路の状態又は構成が1つ又は2つ以上の特性に基づいて個別に識別可能であるように、呼掛け信号の1つ又は2つ以上の特性(例えば、振幅、整流)を修正するために、多数のスイッチ、レジスタ、及び/又はダイオードを含んでもよい。例えば、一態様では、信号調整回路2020は、呼掛け信号が通過することによって生じる制御回路の入力間に現れる電圧信号のサンプルを生成するためのADCを備えることができる。プログラム可能な論理機構2000(又は非絶縁段階1540の一構成要素)は、続いて、ADCサンプルに基づく制御回路の状態又は構成を判定することができる。 In one aspect,
一態様では、器具インターフェース回路1980は、プログラム可能な論理機構2000(又は器具インターフェース回路1980の他の要素)と、外科用装置の内部に配置された、又は別の方法で外科用装置と関連付けられた第1のデータ回路との間の情報交換を可能にする第1のデータ回路インターフェース2040を備えることができる。特定の態様では、例えば、第1のデータ回路2060は、外科用装置のハンドピースに一体的に取り付けられたケーブル内、又は特定の外科用装置タイプ又はモデルを発生器1100とインターフェースさせるためのアダプタ内に配置されてもよい。特定の態様では、第1のデータ回路は、電気的消去可能プログラマブル読み出し専用メモリ(EEPROM)装置などの、不揮発性記憶装置を備えることができる。特定の態様では、また図26を再び参照すると、第1のデータ回路インターフェース2040は、プログラム可能な論理機構2000とは別に実装することができ、プログラム可能な論理機構2000と第1のデータ回路との間の通信を可能にする好適な回路(例えば、個別論理機構、プロセッサ)を備えることができる。他の態様では、第1のデータ回路インターフェース2040はプログラム可能な論理機構2000と一体的であってもよい。 In one aspect, the
特定の態様では、第1のデータ回路2060は、第1のデータ回路2060が関連付けられる特定の外科用装置に関する情報を記憶することができる。そのような情報は、例えば、モデル番号、シリアル番号、外科用装置が使用された動作数、及び/又は他のタイプの情報を含むことができる。この情報は、器具インターフェース回路1980によって(例えば、プログラム可能な論理機構2000によって)読み取られて、出力装置2140を介してユーザに提示するために、及び/又は発生器1100の機能若しくは動作を制御するために、非絶縁段階1540の構成要素(例えば、プログラム可能な論理機構1660、プロセッサ1740、及び/又はプロセッサ1900)に転送され得る。更に、任意の種類の情報を、第1のデータ回路2060内に記憶するために、第1のデータ回路インターフェース2040を介して第1のデータ回路2060に伝達することができる(例えば、プログラム可能な論理機構2000を使用して)。そのような情報は例えば、外科用装置が使用された最新の動作数、並びに/又は、その使用の日付及び/若しくは時間を含むことができる。 In certain aspects,
上記のように、外科用器具は、器具の互換性及び/又は廃棄性を促進するために、ハンドピースから取り外し可能であってもよい(例えば、器具1106は、ハンドピース1107から取り外し可能であってもよい)。そのような場合、既知の発生器は、使用されている特定の器具構成を認識し、これに対応して制御及び診断プロセスを最適化する能力を制限されている場合がある。しかしながら、この問題に対処するために、外科用装置器具に読み取り可能なデータ回路を追加することは、適合性の観点から問題がある。例えば、必要なデータ読み取り機能を欠く発生器との下位互換性を保つように、外科用装置を設計することは、例えば、異なる信号スキーム、設計の複雑さ、及び費用のために、実用的でない場合がある。器具の他の態様は、既存の外科用器具に実装され得るデータ回路を経済的に使用し、外科用装置と最新の発生器プラットフォームとの互換性を維持するために設計変更を最小限にすることによってこれらの懸念に対処する。 As noted above, surgical instruments may be removable from the handpiece (e.g.,
更に、発生器1100の態様は、器具ベースのデータ回路との通信を可能にし得る。例えば、発生器1100は、外科用装置の器具(例えば、器具1104、1106、又は1108)内に収容される第2のデータ回路(例えば、データ回路)と通信するように構成され得る。器具インターフェース回路1980は、この通信を可能にする第2のデータ回路インターフェース2100を備えることができる。一態様では、第2のデータ回路インターフェース2100は、トライステートデジタルインターフェースを含むことができるが、他のインターフェースを使用することもできる。特定の態様では、第2のデータ回路は、概して、データを送信及び/又は受信するための任意の回路であることができる。一態様では、例えば、第2のデータ回路は、この回路が関連付けられる特定の外科用器具に関する情報を記憶してもよい。そのような情報は、例えば、モデル番号、シリアル番号、外科用器具が使用された動作数、及び/又は任意の他のタイプの情報を含むことができる。更に又はあるいは、任意の種類の情報を、第2のデータ回路内に記憶するために、第2のデータ回路インターフェース2100を介して第2のデータ回路に伝達することができる(例えば、プログラム可能な論理機構2000を使用して)。そのような情報は例えば、器具が使用された最新の動作数、並びに/又は、その使用の日付及び/若しくは時間を含んでもよい。特定の態様では、第2のデータ回路は、1つ又は2つ以上のセンサ(例えば、器具ベースの温度センサ)によって取得されたデータを送信することができる。特定の態様では、第2のデータ回路は、発生器1100からデータを受信して、受信したデータに基づきユーザに表示(例えば、LED表示又は他の可視表示)を提供することができる。 Additionally, aspects of
特定の態様では、第2のデータ回路及び第2のデータ回路インターフェース2100は、この目的のために追加の導体(例えば、ハンドピースを発生器1100に接続するケーブルの専用導体)を設ける必要なしにプログラム可能な論理機構2000と第2のデータ回路との間の通信を達成できるように構成することができる。一態様では、例えば、使用される導体のうちの1つが、信号調整回路2020からハンドピース内の制御回路へ呼掛け信号を送信するなど、既存のケーブル配線上に実装されたワンワイヤバス通信方式を使用して、第2のデータ回路との間で情報を伝達することができる。このようにして、元来必要であり得る外科用装置の設計変更又は修正が最小化又は低減される。更に、様々な種類の通信が(周波数帯域分離を伴うか又は伴わないかのいずれかで)一般的な物理チャネルを介して実施され得るため、第2のデータ回路の存在は、必要なデータ読み取り機能を有しない発生器にとっては「不可視」であり、したがって、外科用装置器具の下位互換性を可能にすることができる。 In certain aspects, the second data circuit and the second
特定の態様では、絶縁段階1520は、患者にDC電流が通電するのを防ぐために駆動信号出力部1600bに接続された少なくとも1つのブロッキングコンデンサ2960-1(図27C)を含むことができる。単一のブロッキングコンデンサは、例えば、医学的規制又は基準に準拠することが必要とされる場合がある。単一コンデンサ設計における故障は比較的稀であるが、それでもなおそのような故障は否定的な結果をもたらすおそれがある。一態様では、第2のブロッキングコンデンサ2960-2をブロッキングコンデンサ2960-1と直列に設けて、ブロッキングコンデンサ2960-1、2960-2の間の点からの電流漏れを、例えば、漏れ電流によって誘起された電圧をサンプリングするためのADC2980によって監視することができる。サンプルは、例えば、プログラム可能な論理機構2000によって受信され得る。漏れ電流(図26の態様で電圧サンプルによって示される)の変化に基づいて、発生器1100は、ブロッキングコンデンサ2960-1、2960-2のうちの少なくとも1つが故障したときを判定することができる。したがって、図26の態様は、単一の故障点を有する単一コンデンサ設計に対して利益を提供することができる。 In certain aspects,
特定の態様では、非絶縁段階1540は、好適な電圧及び電流でDC電力を出力するための電源2110を備えることができる。電源は、例えば、48VDCシステム電圧を出力するための、400W電源を備えることができる。上述したように、電源2110は、電源の出力を受信して、発生器1100の様々な構成要素によって必要とされる電圧及び電流でDC出力を生成するための、1つ又は2つ以上のDC/DC電圧変換器2130を更に備えることができる。コントローラ1960と関連して上述したように、DC/DC電圧変換器2130のうちの1つ又は2つ以上は、ユーザによる「オン/オフ」入力装置2150の起動がコントローラ1960によって検出されたときにコントローラ1960から入力を受信し、DC/DC電圧変換器2130の動作又は起動を可能にしてもよい。 In certain aspects,
図28A~図28Bは、発生器1100の一態様の特定の機能的及び構造的態様を示す。電力変圧器1560の二次巻線1580から出力される電流及び電圧を示すフィードバックは、それぞれADC1780、1800によって受信される。示されるように、ADC1780、1800は、2チャネルADCとして実装することができ、また、駆動信号のオーバーサンプリング(例えば、およそ200倍のオーバーサンプリング)を可能にするように高速(例えば、80Msps)でフィードバック信号をサンプリングすることができる。電流及び電圧フィードバック信号は、ADC1780、1800による処理の前に、アナログ領域で適切に調整され得る(例えば、増幅、フィルタリング)。ADC1780、1800からの電流及び電圧フィードバックサンプルは、個別にバッファリングされ、その後、プログラム可能な論理機構1660のブロック2120内の単一データストリーム内に、多重化又はインターリーブされ得る。図28A~図28Bの態様では、プログラム可能な論理機構1660はFPGAを備える。 28A-28B illustrate certain functional and structural aspects of one embodiment of
多重化された電流及び電圧フィードバックサンプルは、プロセッサ1740のブロック2144内に実装される並列データ収集ポート(PDAP)によって受信され得る。PDAPは、多重化フィードバックサンプルとメモリアドレスを相関付けるための多くの方法のいずれかを実施するためのパッキングユニットを含むことができる。一態様では、例えば、プログラム可能な論理機構1660によって出力される特定のLUTサンプルに対応するフィードバックサンプルは、LUTサンプルのLUTアドレスと関連付けられるか又はインデックス付けされる1つ又は2つ以上のメモリアドレスで記憶され得る。別の態様では、プログラム可能な論理機構1660によって出力される特定のLUTサンプルに対応するフィードバックサンプルは、LUTサンプルのLUTアドレスと共に、共通の記憶場所で記憶され得る。いずれにせよ、フィードバックサンプルの特定のセットが由来するLUTサンプルのアドレスがその後確認され得るように、フィードバックサンプルは記憶され得る。上記のように、LUTサンプルアドレス及びフィードバックサンプルの同期が、このようにして、予歪みアルゴリズムの正確なタイミング及び安定性に寄与する。プロセッサ1740のブロック2166で実装されるダイレクトメモリアクセス(DMA)コントローラは、プロセッサ1740の指定された記憶場所2180(例えば、内部RAM)でフィードバックサンプル(及び適用可能な場合は任意のLUTサンプルアドレスデータ)を記憶することができる。 Multiplexed current and voltage feedback samples may be received by a parallel data acquisition port (PDAP) implemented within
プロセッサ1740のブロック2200は、プログラム可能な論理機構1660に記憶されたLUTサンプルを、動的な進行中ベースで予め歪ませ、又は修正するために、予歪みアルゴリズムを実施することができる。上記のように、LUTサンプルの予歪みは、発生器1100の出力駆動回路に存在する様々な歪み源を補償することができる。予め歪ませたLUTサンプルはしたがって、駆動回路により処理される場合、超音波変換器を最適に駆動するために、所望の波形形状(例えば、正弦波)を有する駆動信号を生じる。
予歪みアルゴリズムのブロック2220において、超音波変換器の動作ブランチを流れる電流が判定される。動作ブランチ電流は、例えば、記憶場所2180に記憶された電流及び電圧フィードバックサンプル(これは、好適にスケーリングされると、上記の図25のモデルのIg及びVgを表わし得る)、超音波変換器静電容量C0の値(測定されるか又は先験的に既知である)、及び駆動周波数の既知の値に基づき、キルヒホッフの電流則を使用して判定され得る。LUTサンプルと関連する、記憶された電流及び電圧フィードバックサンプルの各セットにおける、動作ブランチ電流サンプルが判定され得る。At
予歪みアルゴリズムのブロック2240では、ブロック2220で判定された各動作ブランチ電流サンプルは、所望の電流波形形状のサンプルと比較されて、比較されるサンプル間の差又はサンプル振幅誤差を判定する。この判定のために、電流波形形状のサンプルが、例えば、所望の電流波形形状の1サイクルに関する振幅サンプルを含む波形形状LUT2260から供給され得る。比較のために使用される、LUT2260からの所望の電流波形形状の特定のサンプルは、比較に使用される動作ブランチ電流サンプルと関連付けられたLUTサンプルアドレスによって決定され得る。したがって、動作ブランチ電流のブロック2240への入力は、その関連するLUTサンプルアドレスのブロック2240への入力と同期され得る。したがって、プログラム可能な論理機構1660に記憶されるLUTサンプルと、波形形状LUT2260に記憶されるLUTサンプルは、同等の数値であることができる。特定の態様では、波形形状LUT2260に記憶されたLUTサンプルによって表される所望の電流波形形状は、基本正弦波であることができる。他の波形形状が望ましい場合がある。例えば、横方向又は他の様式の有益な振動のために、少なくとも2つの機械的共振を駆動するための三次高調波などの他の波長における1つ又は2つ以上の他の駆動信号と重なり合った超音波変換器の主要な長手方向の運動を駆動するための、基本的な正弦波が使用され得ることが想到される。 At block 2240 of the predistortion algorithm, each operational branch current sample determined at
ブロック2240で判定されるサンプル振幅誤差の各値は、その関連付けられたLUTアドレスの指標と共に、プログラム可能な論理機構1660のLUT(図28Aのブロック2280に示される)に伝達することができる。サンプル振幅誤差の値、及びその関連付けされたアドレス(並びに、任意により、先に受信された同じLUTアドレスに関するサンプル振幅誤差の値)に基づき、LUT2280(又はプログラム可能な論理機構1660の他の制御ブロック)は、LUTアドレスに記憶されるLUTサンプルの値を予め歪ませるか又は修正することができ、それによってサンプル振幅誤差は低減又は最小化される。LUTアドレスの全範囲にわたる反復的な方法での各LUTサンプルのそのような予歪み又は修正が、発生器の出力電流の波形形状を、波形形状LUT2260のサンプルによって表される所望の電流波形形状と一致又は適合させることは理解されよう。 Each value of sample amplitude error determined at block 2240 may be communicated to a LUT (shown in
電流及び電圧振幅測定値、電力測定値、及びインピーダンス測定値が、記憶場所2180に記憶される電流及び電圧フィードバックサンプルに基づいて、プロセッサ1740のブロック2300で判定され得る。これらの数値の判定の前に、フィードバックサンプルを適切にスケーリングして、特定の態様では、適切なフィルタ2320を通じて処理して、例えば、データ取得プロセスにより生じるノイズ及び誘発された高調波成分を除去することができる。フィルタリングされた電圧及び電流サンプルはしたがって、発生器の駆動出力信号の基本周波数を実質的に表し得る。特定の態様では、フィルタ2320は周波数領域において適用される有限インパルス応答(finite impulse response、FIR)フィルタであってよい。こうした態様は、出力駆動信号電流及び電圧信号の高速フーリエ変換(FFT)を使用することができる。特定の態様では、生じる周波数スペクトルは、追加的な発生器機能を提供するために使用することができる。一態様では、例えば、基本周波数成分に対する第2次及び/又は第3次高調波成分の比率を、診断指標として使用することができる。 Current and voltage amplitude measurements, power measurements, and impedance measurements may be determined at
ブロック2340(図28B)では、駆動信号出力電流を表す測定値Irmsを生成するために、駆動信号のサイクルの整数を表す電流フィードバックサンプルのサンプルサイズに、二乗平均平方根(RMS)計算が適用され得る。At block 2340 (FIG. 28B), a root mean square (RMS) calculation is applied to a sample size of current feedback samples representing an integer number of cycles of the drive signal to generate a measurement Irms representing the drive signal output current. obtain.
ブロック2360では、駆動信号出力電圧を表す測定値Vrmsを判定するために、駆動信号のサイクルの整数を表す電圧フィードバックサンプルのサンプルサイズに、二乗平均平方根(RMS)計算が適用され得る。At
ブロック2380では、電流及び電圧フィードバックサンプルは逐一乗算されてもよく、平均計算が駆動信号のサイクルの整数を表すサンプルに適用されて、発生器の実際の出力電力の測定値Prが判定される。At
ブロック2400では、発生器の皮相出力電力の測定値Paは、積Vrms・Irmsとして判定され得る。At
ブロック2420では、負荷インピーダンスの大きさの測定値Zmは、商Vrms/Irmsとして判定され得る。At block 2420, the load impedance magnitude measurement Zm may be determined as the quotient Vrms /Irms .
特定の態様では、ブロック2340、2360、2380、2400、及び2420において判定される数値Irms、Vrms、Pr、Pa、及びZmは、多数の制御及び/又は診断プロセスのうちのいずれかを実施するために発生器1100により使用され得る。特定の態様では、これらの数値のいずれかを、例えば、発生器1100と一体の出力装置2140、又は発生器1100と接続された出力装置2140を介して、適切な通信インターフェース(例えば、USBインターフェース)を通じてユーザに伝達することができる。様々な診断プロセスとしては、例えば、ハンドピース一体性、器具一体性、器具取り付け一体性、器具オーバーロード、器具オーバーロード接近、周波数固定不良、過電圧状態、過電流状態、過電力状態、電圧感知不良、電流感知不良、可聴指標不良、視覚指標不良、短絡回路状態、電力供給不良、又はブロッキングコンデンサ不良が挙げられ得るが、これらに限定されない。In certain aspects, the values Irms , Vrms , Pr , Pa , and Zm determined in
プロセッサ1740のブロック2440は、発生器1100によって駆動される電気負荷(例えば、超音波変換器)のインピーダンス位相を判定及び制御するための位相制御アルゴリズムを実施することができる。上述のように、駆動信号の周波数を制御して、判定されたインピーダンス位相とインピーダンス位相設定値(例えば、0°)との間の差を最小化又は低減することによって、高調波歪みの影響を最小化又は低減し、位相測定の精度を向上させることができる。
位相制御アルゴリズムは、記憶場所2180に記憶された電流及び電圧フィードバックサンプルを、入力として受信する。位相制御アルゴリズムでこれらを使用する前に、フィードバックサンプルが適切にスケーリングされ、特定の態様では、例えば、データ取得プロセス及び誘発された高調波成分から生じるノイズを除去するために、適切なフィルタ2460(フィルタ2320と同一でもよい)を通して処理されてもよい。フィルタリングされた電圧及び電流サンプルはしたがって、発生器の駆動出力信号の基本周波数を実質的に表し得る。 The phase control algorithm receives current and voltage feedback samples stored in
位相制御アルゴリズムのブロック2480で、超音波変換器の動作ブランチを流れる電流が判定される。この判定は、予歪みアルゴリズムのブロック2220と関連して上記で説明されたものと同一であってもよい。したがって、ブロック2480の出力は、LUTサンプルと関連する記憶された電流及び電圧フィードバックサンプルの各セットに関して、動作ブランチ電流サンプルであることができる。 At
位相制御アルゴリズムのブロック2500では、インピーダンス位相は、ブロック2480で判定された動作ブランチ電流サンプル及び対応する電圧フィードバックサンプルの同期された入力に基づいて判定される。特定の態様では、インピーダンス位相は、波形の立ち上がりエッジで測定されたインピーダンス位相と波形の立ち下がりエッジで測定されたインピーダンス位相の平均として判定される。 At
位相制御アルゴリズムのブロック2520では、ブロック2220で判定されたインピーダンス位相の値は位相設定値2540と比較されて、比較される値の間の差異又は位相誤差が判定される。 At
位相制御アルゴリズムのブロック2560(図28A)では、ブロック2520で判定された位相誤差の値、及びブロック2420で判定されたインピーダンスの大きさに基づいて、駆動信号の周波数を制御するための周波数出力が判定される。ブロック2500において判定されたインピーダンス位相を位相設定値(例えば、ゼロ位相誤差)に維持するため、周波数出力値は、ブロック2560によって連続的に調節されてDDS制御ブロック2680(後述)に転送され得る。特定の態様では、インピーダンス位相は、0°位相設定値に調節され得る。このようにして、なんらかの高調波歪み量があれば電圧波形の頂部周囲で中央に合わせられ、相インピーダンス決定の正確性を向上させる。 Block 2560 (FIG. 28A) of the phase control algorithm determines a frequency output for controlling the frequency of the drive signal based on the phase error value determined in
プロセッサ1740のブロック2580は、ユーザが指定する設定値に従って、又は発生器1100によって実施される他のプロセス若しくはアルゴリズムによって指定される要件に従って、駆動信号電流、電圧、及び電力を制御するために、駆動信号の電流振幅を変調するためのアルゴリズムを実施することができる。これらの数値の制御は、例えば、LUT2280のLUTサンプルのスケーリングによって、及び/又はDAC1860を介したDAC1680(電力増幅器1620に入力を供給する)のフルスケール出力電圧を調節することによって、実現することができる。ブロック2600(特定の態様では、PIDコントローラとして実装され得る)は、記憶場所2180から入力として電流フィードバックサンプル(適切にスケーリング及びフィルタリングされ得る)を受信することができる。電流フィードバックサンプルは、駆動信号が必要な電流を供給しているかどうかを判定するために、制御された変数(例えば、電流、電圧、又は電力)によって決定される「電流需要」Id値と比較され得る。駆動信号電流が制御変数である態様では、電流需要Idは、電流設定値2620A(Isp)によって直接指定され得る。例えば、電流フィードバックデータのRMS値(ブロック2340で判定される)は、適切なコントローラ作用を判定するために、ユーザ指定のRMS電流設定値Ispと比較され得る。例えば、電流フィードバックデータが電流設定値Ispよりも低いRMS値を示す場合、LUTスケーリング及び/又はDAC1680のフルスケール出力電圧は、駆動信号電流が増加するようにブロック2600によって調節されてもよい。逆に、電流フィードバックデータが電流設定値Ispよりも高いRMS値を示す場合、ブロック2600は、駆動信号電流を低減させるように、LUTスケーリング及び/又はDAC1680のフルスケール出力電圧を調節してもよい。Block 2580 of
駆動信号電圧が制御変数である態様では、電流需要Idは、例えば、ブロック2420で測定された負荷インピーダンスの大きさZmが与えられた場合に所望の電圧設定値2620B(Vsp)を維持するのに必要な電流に基づいて間接的に指定され得る(例えば、Id=Vsp/Zm)。同様に、駆動信号電力が制御変数である態様では、電流需要Idは、例えばブロック2360で測定された電圧Vrmsを与えられた場合に所望の電力設定値2620C(Psp)を維持するのに必要な電流に基づいて間接的に指定され得る(例えばId=Psp/Vrms)。In embodiments where the drive signal voltage is a controlled variable, the current demand Id maintains the desired voltage set point 2620B (Vsp ) given the load impedance magnitude Zm measured at block 2420, for example. (e.g., Id =Vsp /Zm ). Similarly, in embodiments where the drive signal poweris a controlledvariable , the current demand Id is, e.g. (e.g., Id =Psp /Vrms ).
ブロック2680(図28A)は、LUT2280に記憶されたLUTサンプルを再呼び出しすることによって駆動信号を制御するために、DDS制御アルゴリズムを実施することができる。特定の態様では、DDS制御アルゴリズムは、ポイント(記憶場所)スキップ技術を使用して固定クロックレートで波形のサンプルを生成するための数値制御発振器(numerically-controlled oscillator、NCO)アルゴリズムであってよい。NCOアルゴリズムは、LUT2280からLUTサンプルを再呼び出しするためのアドレスポインタとして機能する、位相アキュムレータ、又は周波数/位相変換器を実装することができる。一態様では、位相アキュムレータは、Dステップサイズ、モジュロN位相アキュムレータであることができ、ここでDは周波数制御値を表す正の整数であり、NはLUT2280内のLUTサンプルの数である。例えば、D=1の周波数制御値により、例えば、位相アキュムレータにLUT2280の全てのアドレスを連続的に指定させ、LUT2280に記憶された波形を複製する波形出力を生じさせることができる。D>1である場合、位相アキュムレータは、LUT2280のアドレスをスキップして、より高い周波数を有する波形出力を生じさせることができる。これにより、DDS制御アルゴリズムによって生成される波形の周波数がしたがって、周波数制御値を適切に変化させることによって制御され得る。特定の態様では、周波数制御値は、ブロック2440で実施された位相制御アルゴリズムの出力に基づいて判定され得る。ブロック2680の出力は、DAC1680の入力を供給することができ、これが次に対応するアナログ信号を電力増幅器1620の入力に供給する。 Block 2680 (FIG. 28A) may implement a DDS control algorithm to control drive signals by recalling LUT samples stored in
プロセッサ1740のブロック2700は、増幅されている信号の波形エンベロープに基づいて電力増幅器1620のレール電圧を動的に変調し、それによって電力増幅器1620の効率を改善するための、スイッチモード変換器制御アルゴリズムを実施することができる。特定の態様では、波形エンベロープの特性は、電力増幅器1620に含まれる1つ又は2つ以上の信号を監視することによって判定することができる。一態様では、例えば、波形エンベロープの特性は、増幅信号のエンベロープに従って変調されるドレイン電圧(例えば、MOSFETドレイン電圧)の最小値を監視することによって判定することができる。最小電圧信号は、例えば、ドレイン電圧に結合された電圧最小検出器によって生成され得る。最小電圧信号は、ADC1760よってサンプリングされ、出力最小電圧サンプルは、スイッチモード変換器制御アルゴリズムのブロック2720で受信されてもよい。最小電圧サンプルの値に基づき、ブロック2740は、PWM発生器2760によって出力されるPWM信号を制御してもよく、これが続いて、スイッチモードレギュレータ1700によって電力増幅器1620に供給されるレール電圧を制御する。特定の態様では、最小電圧サンプルの値がブロック2720に入力される最小ターゲット2780未満である限り、レール電圧は、最小電圧サンプルによって特徴付けられる波形エンベロープに従って変調され得る。例えば、最小電圧サンプルが低いエンベロープ電力レベルを示すときは、ブロック2740によって低いレール電圧が電力増幅器1620に供給され、完全なレール電圧は、最小電圧サンプルが最大エンベロープ電力レベルを示すときにのみ供給されてもよい。最小電圧サンプルが最小ターゲット2780を下回るときは、ブロック2740によって、レール電圧が電力増幅器1620の適切な動作を確実にするのに好適な最小値に維持されてもよい。
図29は、本開示の少なくとも1つの態様による、超音波変換器1120などの超音波変換器を駆動するのに好適な電気回路2900の一態様の回路図である。電気回路2900は、アナログマルチプレクサ2980を備える。アナログマルチプレクサ2980は、超音波、電池、及び電力制御回路などの上流チャネルSCL-A、SDA-Aからの様々な信号を多重化する。電流センサ2982は、電源回路の戻り又は接地区間と直列に結合され、電源によって供給される電流を測定する。電界効果トランジスタ(FET)温度センサ2984は、周囲温度を提供する。パルス幅変調(PWM)ウォッチドッグタイマー2988は、主プログラムが定期的なシステムリセットの提供を怠る場合にシステムリセットを自動的に生じさせる。これは、ソフトウェア又はハードウェア障害のために電気回路2900がハングアップ又はフリーズした場合に、電気回路2900を自動的にリセットするように設けられている。電気回路2900は、超音波変換器を駆動するため、又は、例えば、図34に示す電気回路3600などのRF電極を駆動するためのRFドライバ回路として構成され得ることが理解されるであろう。したがって、ここで図29を再び参照すると、電気回路2900を使用して、超音波変換器及びRF電極の両方を交互に駆動することができる。同時に駆動する場合、超音波波形又はRF波形のいずれかを選択するように、対応する第1段階回路3404(図32)内にフィルタ回路を設けてもよい。かかるフィルタリング技術は、共同所有の米国特許出願公開第US-2017-0086910-A1号、名称「TECHNIQUES FOR CIRCUIT TOPOLOGIES FOR COMBINED GENERATOR」に記載されており、参照によりその全体が本明細書に組み込まれる。 FIG. 29 is a circuit diagram of one aspect of an
駆動回路2986は、左右の超音波エネルギー出力を提供する。信号波形を表すデジタル信号は、制御回路3200(図30)などの制御回路からアナログマルチプレクサ2980のSCL-A、SDA-A入力に供給される。デジタル/アナログ変換器2990(DAC)は、デジタル入力をアナログ出力に変換して、発振器2994に結合されたPWM回路2992を駆動する。PWM回路2992は、第1のトランジスタ出力段階2998aに結合された第1のゲート駆動回路2996aに第1の信号を提供して、第1の超音波(左側)エネルギー出力を駆動する。PWM回路2992はまた、第2のトランジスタ出力段階2998bに結合された第2のゲート駆動回路2996bに第2の信号を提供して、第2の超音波(右側)エネルギー出力を駆動する。電圧センサ2999は、出力電圧を測定するために超音波左/右出力端子間に結合される。駆動回路2986、第1の駆動回路2996a及び第2の駆動回路2996b、並びに第1のトランジスタ出力段階2998a及び第2のトランジスタ出力段階2998bは、第1段階増幅器回路を画定する。動作中、制御回路3200(図30)は、直接デジタル合成(DDS)回路4100、4200(図35及び図36)などの回路を用いてデジタル波形4300(図37)を生成する。DAC2990は、デジタル波形4300を受信し、それをアナログ波形に変換し、これが第1段階増幅器回路によって受信及び増幅される。
図30は、本開示の少なくとも1つの態様による、制御回路3212などの制御回路3200の回路図である。制御回路3200は、電池アセンブリのハウジング内に位置する。電池アセンブリは、様々な局所電源3215のためのエネルギー源である。制御回路は、例えば、出力SCL-A及びSDA-A、SCL-B及びSDA-B、SCL-C及びSDA-Cによって、インターフェースマスタ3218を介して様々な下流回路に結合された主プロセッサ3214を備える。一態様では、インターフェースマスタ3218は、I2Cシリアルインターフェースなどの汎用シリアルインターフェースである。主プロセッサ3214はまた、汎用入出力(general purposes input/output、GPIO)3220を介してスイッチ3224を、ディスプレイ3226(例えば、及びLCDディスプレイ)を、及びGPIO3222を介して様々なインジケータ3228を駆動するように構成される。ウォッチドッグプロセッサ3216は、主プロセッサ3214を制御するために設けられている。スイッチ3230は、電池アセンブリを外科用器具のハンドルアセンブリに挿入したときに制御回路3212を起動させるように、電池3211と直列に設けられている。FIG. 30 is a circuit diagram of a
一態様では、主プロセッサ3214は、出力端子SCL-A、SDA-Aによって電気回路2900(図29)に結合されている。主プロセッサ3214は、例えば、超音波変換器1120を駆動するために電気回路2900に伝送されるデジタル化駆動信号又は波形のテーブルを記憶するためのメモリを備える。他の態様では、主プロセッサ3214は、デジタル波形を生成して、それを電気回路2900に伝送し得るか、又は後で電気回路2900へと伝送するためにデジタル波形を記憶し得る。主プロセッサ3214はまた、出力端子SCL-B、SDA-BによってRF駆動を、及び出力端子SCL-C、SDA-Cによって様々なセンサ(例えば、ホール効果センサ、磁気粘性流体(MRF)センサなど)を提供してもよい。一態様では、主プロセッサ3214は、適切なソフトウェア及びユーザインターフェース機能を可能にするために、超音波駆動回路及び/又はRF駆動回路の存在を感知するように構成される。 In one aspect,
一態様では、主プロセッサ3214は、例えば、Texas Instrumentsから入手可能なLM 4F230H5QRであってもよい。少なくとも一例では、Texas InstrumentsのLM4F230H5QRは、製品データシートから容易に入手可能な機構の中でもとりわけ、最大40MHzの256KBのシングルサイクルフラッシュメモリ若しくは他の不揮発性メモリのオンチップメモリ、性能を40MHz超に改善するためのプリフェッチバッファ、32KBのシングルサイクルシリアルランダムアクセスメモリ(SRAM)、StellarisWare(登録商標)ソフトウェアを搭載した内部読み出し専用メモリ(ROM)、2KBの電気的消去可能プログラマブル読み出し専用メモリ(EEPROM)、1つ又は2つ以上のパルス幅変調(PWM)モジュール、1つ又は2つ以上の直交エンコーダ入力(QED)アナログ、12個のアナログ入力チャネルを備える1つ又は2つ以上の12ビットアナログ-デジタル変換器(ADC)を含むARM Cortex-M4Fプロセッサコアである。他のプロセッサが容易に代用されてもよく、したがって、本開示は、この文脈に限定されるべきではない。 In one aspect,
図31は、本開示の少なくとも1つの態様による、モジュール式超音波外科用器具3334内に収容される別の電気回路3300を示す、簡略化したブロック回路図を示す。電気回路3300は、プロセッサ3302、クロック3330、メモリ3326、電源3304(例えば、電池)、酸化金属半導体電界効果トランジスタ(MOSFET)電源スイッチなどのスイッチ3306、駆動回路3308(PLL)、変圧器3310、信号平滑化回路3312(整合回路とも呼ばれ、例えば、タンク回路であり得る)、感知回路3314、変換器1120、及び本明細書では単に導波管とも称され得る、超音波ブレード(例えば超音波ブレード1128、1149)で終端する超音波伝送導波管を備えるシャフトアセンブリ(例えばシャフトアセンブリ1126、1129)を含む。 FIG. 31 depicts a simplified block circuit diagram illustrating another
高電圧(120VAC)入力電力への依存性(一般的な超音波切断装置の特性)を断つ本開示の1つの特徴は、波形成プロセスの全体にわたる低電圧スイッチングの利用及び変圧器の段階の直前に限った駆動信号の増幅である。この理由のため、本開示の一態様では、電力は、ハンドルアセンブリ内にいずれかを適合させるのに十分に小さい電池又は電池群からのみ導出される。最新技術の電池技術は、高さ及び幅が数センチメートル、奥行きが数ミリメートルの強力な電池を提供する。本開示の特徴を組み合わせて、自己完結型及び自己動力式超音波装置を提供することによって、製造コストの低減を達成することができる。 One feature of the present disclosure that eliminates dependence on high voltage (120 VAC) input power, a characteristic of typical ultrasonic cutting equipment, is the use of low voltage switching throughout the waveforming process and just before the transformer stage. The amplification of the drive signal is limited to . For this reason, in one aspect of the present disclosure, power is derived only from a battery or battery group that is small enough to fit one within the handle assembly. State-of-the-art battery technology provides powerful cells that are a few centimeters high and wide and a few millimeters deep. By combining the features of the present disclosure to provide a self-contained and self-powered ultrasound device, reduced manufacturing costs can be achieved.
電源3304の出力は、プロセッサ3302に供給されて電力を供給する。プロセッサ3302は、信号を受信及び出力し、また、以下に説明するように、プロセッサ3302によって実行されるカスタム論理に従って、又はコンピュータプログラムに従って機能する。上述したように、電気回路3300はまた、コンピュータ可読命令及びデータを記憶するメモリ3326、好ましくはランダムアクセスメモリ(RAM)を含むことができる。 The output of
電源3304の出力はまた、プロセッサ3302によって制御されるデューティサイクルを有するスイッチ3306に向けられる。スイッチ3306のオン時間を制御することにより、プロセッサ3302は、最終的に変換器1120に送達される総電力量を決定することができる。一態様では、スイッチ3306はMOSFETであるが、他のスイッチ及びスイッチング構成も同様に適応可能である。スイッチ3306の出力は、例えば、位相検出位相同期ループ(PLL)及び/又はローパスフィルタ及び/又は電圧制御発振器を含む駆動回路3308に供給される。スイッチ3306の出力は、プロセッサ3302によってサンプリングされ、出力信号の電圧及び電流(それぞれVIN及びIIN)を判定する。これらの値は、スイッチ3306のパルス幅変調を調整するためにフィードバックアーキテクチャで使用される。例えば、スイッチ3306のデューティサイクルは、スイッチ3306からの所望される、かつ実際の出力に応じて約20%~約80%まで変化し得る。The output of
スイッチ3306からの信号を受信する駆動回路3308は、スイッチ3306の出力を超音波周波数、例えば55kHz(VCO)を有する電気信号に変換する発振回路を含む。上述のように、この超音波波形の平滑化バージョンが、最終的に超音波変換器1120に供給されて、超音波伝送導波管に沿って共振正弦波を生成する。
駆動回路3308の出力には、低電圧信号(複数可)をより高い電圧に昇圧させることができる変圧器3310がある。現在まで超音波切断及び焼灼装置では不可能であったことだが、変圧器3310の前に、低(例えば、電池駆動)電圧で上流スイッチングが実施されることに注意されたい。これは、装置が、低オン抵抗MOSFETスイッチング装置を有利に使用するという事実に少なくとも部分的に起因する。低オン抵抗MOSFETスイッチは、従来のMOSFET装置よりも低いスイッチング損失及び少ない熱を生じ、より高い電流を通過させることができるため有利である。したがって、スイッチング段階(プレトランスフォーマ)は、低電圧/高電流として特徴付けられ得る。増幅器MOSFET(複数可)のより低いオン抵抗を保証するために、MOSFET(複数可)は、例えば10Vで稼働される。そのような場合、別個の10VDC電源を使用して、MOSFETゲートに供給することができ、MOSFETが完全にオンであり、合理的に低いオン抵抗が達成されることを保証する。本開示の一態様では、変圧器3310は、電池電圧を120Vの二乗平均平方根(RMS)に昇圧させる。変圧器は、当該技術分野で既知であるため、ここでは詳細に説明されていない。 At the output of the
記載の回路構成において、回路構成要素の劣化は、回路の回路性能に負の影響を及ぼし得る。構成要素の性能に直接影響する1つの要因は熱である。既知の回路は、一般にスイッチング温度(例えば、MOSFET温度)を監視する。しかしながら、MOSFET設計における技術的進歩及び対応するサイズの低減により、MOSFET温度は、もはや回路負荷及び熱の有効なインジケータではない。このため、本開示の少なくとも1つの態様によると、感知回路3314は変圧器3310の温度を感知する。変圧器3310は装置の使用中にその最高温度又はその至近で稼働されるため、この温度感知は有利である。追加の温度は、コア材料、例えばフェライトを破壊することになり、永久的な損傷が起こり得る。本開示は、例えば、変圧器3310内の駆動電力を低減すること、ユーザに信号伝達すること、電源をオフにすること、電力をパルスすること、又は他の適切な応答によって、変圧器3310の最高温度に応答することができる。 In the described circuit configurations, degradation of the circuit components can negatively impact the circuit performance of the circuit. One factor that directly affects component performance is heat. Known circuits commonly monitor switching temperatures (eg, MOSFET temperatures). However, with technological advances in MOSFET design and corresponding size reductions, MOSFET temperature is no longer a valid indicator of circuit loading and heat. Thus, in accordance with at least one aspect of the present disclosure,
本開示の一態様では、プロセッサ3302は、エンドエフェクタ(例えば1122、1125)に通信可能に結合され、エンドエフェクタは、材料を超音波ブレード(例えば1128、1149)と物理的に接触するように配置するために使用される。エンドエフェクタにおいて、クランプ力値(既知の範囲内に存在する)を測定するセンサが提供され、受信されたクランプ力値に基づいて、プロセッサ3302は、動作電圧VMを変化させる。設定された動作速度と組み合わされた高い力値は高いブレード温度をもたらし得るため、温度センサ3332は、プロセッサ3302に通信可能に結合されてもよく、ここでプロセッサ3302は、温度センサ3336からブレードの現在温度を示す信号を受信して解釈し、かつ受信した温度に基づいてブレード運動のターゲット周波数を決定するように動作可能である。別の態様では、歪みゲージ又は圧力センサなどの力センサは、トリガ(例えば1143、1147)に結合されて、ユーザによってトリガに加えられる力を測定することができる。別の態様では、ユーザによってスイッチボタンに加えられた力に変位強度が対応するように、歪みゲージ又は圧力センサなどの力センサがスイッチボタンに結合されてもよい。In one aspect of the present disclosure, the
本開示の少なくとも1つの態様によると、プロセッサ3302に結合された駆動回路3308のPLL部分は、導波管運動の周波数を決定し、その周波数をプロセッサ3302に伝達することができる。プロセッサ3302は、装置がオフにされたときに、この周波数値をメモリ3326に記憶する。クロック3330を読み取ることによって、プロセッサ3302は、装置がシャットオフされた後の経過時間を判定し、経過時間が所定の値未満である場合は、導波管運動の最後の周波数を読み出すことができる。次いで、装置は、推定可能に現在の負荷に対して最適な周波数である最後の周波数で起動することができる。 According to at least one aspect of the present disclosure, a PLL portion of
多段階発生器回路を備えるモジュール式電池駆動ハンドヘルド外科用器具
別の態様では、本開示は、多段階発生器回路を備えるモジュール式電池駆動ハンドヘルド外科用器具を提供する。電池アセンブリ、ハンドルアセンブリ、及びシャフトアセンブリを含む外科用器具が開示され、電池アセンブリ及びシャフトアセンブリは、ハンドルアセンブリと機械的及び電気的に接続するように構成されている。電池アセンブリは、デジタル波形を生成するように構成された制御回路を含む。ハンドルアセンブリは、デジタル波形を受信し、デジタル波形をアナログ波形に変換し、アナログ波形を増幅するように構成された第1段階回路を含む。シャフトアセンブリは、アナログ波形を受信、増幅して、負荷装置に適用するために、第1段階回路と結合した第2段階回路を含む。Modular Battery-Powered Handheld Surgical Instrument with Multi-Stage Generator Circuit In another aspect, the present disclosure provides a modular battery-powered handheld surgical instrument with a multi-stage generator circuit. A surgical instrument is disclosed that includes a battery assembly, a handle assembly, and a shaft assembly, the battery assembly and shaft assembly being configured to mechanically and electrically connect with the handle assembly. The battery assembly includes a control circuit configured to generate a digital waveform. The handle assembly includes a first stage circuit configured to receive a digital waveform, convert the digital waveform to an analog waveform, and amplify the analog waveform. The shaft assembly includes a second stage circuit coupled to the first stage circuit for receiving, amplifying and applying an analog waveform to a load device.
一態様では、本開示は、電池を含む制御回路、電池に結合したメモリ、並びにメモリ及び電池に結合したプロセッサを含む電池アセンブリであって、プロセッサがデジタル波形を生成するように構成された、電池アセンブリと、プロセッサと結合した第1段階回路を含むハンドルアセンブリであって、第1段階回路はデジタル/アナログ(DAC)変換器及び第1段階増幅器回路を含み、DACはデジタル波形を受信してデジタル波形をアナログ波形に変換するように構成され、第1段階増幅器回路はアナログ波形を受信して増幅するように構成された、ハンドルアセンブリと、アナログ波形を受信し、アナログ波形を増幅し、アナログ波形を負荷装置に適用するために、第1段階増幅器回路に結合した第2段階回路を含むシャフトアセンブリとを備え、電池アセンブリ及びシャフトアセンブリは、ハンドルアセンブリと機械的及び電気的に接続するように構成されている、外科用器具を提供する。 In one aspect, the present disclosure provides a battery assembly including a control circuit including a battery, a memory coupled to the battery, and a processor coupled to the memory and the battery, the processor configured to generate a digital waveform. a handle assembly including a first stage circuit coupled to a processor, the first stage circuit including a digital-to-analog (DAC) converter and a first stage amplifier circuit, the DAC receiving a digital waveform and converting the digital waveform into a digital waveform; a handle assembly configured to convert the waveform to an analog waveform, the first stage amplifier circuit configured to receive and amplify the analog waveform; a shaft assembly including a second stage circuit coupled to the first stage amplifier circuit for application to a load device, the battery assembly and the shaft assembly being configured to mechanically and electrically connect with the handle assembly. provides surgical instruments.
負荷装置は、超音波変換器、電極、若しくはセンサ、又はこれらの任意の組み合わせのうちのいずれか1つを含んでもよい。第1段階回路は、第1段階超音波駆動回路及び第1段階高周波電流駆動回路を備えてもよい。制御回路は、第1段階超音波駆動回路及び第1段階高周波電流駆動回路を個別に又は同時に駆動するように構成され得る。第1段階超音波駆動回路は、第2段階超音波駆動回路に結合するように構成されてもよい。第2段階超音波駆動回路は、超音波変換器と結合するように構成されてもよい。第1段階高周波電流駆動回路は、第2段階高周波駆動回路に結合するように構成されてもよい。第2段階高周波駆動回路は、電極に結合するように構成されてもよい。 The load device may include any one of an ultrasound transducer, an electrode, or a sensor, or any combination thereof. The first stage circuit may include a first stage ultrasonic drive circuit and a first stage high frequency current drive circuit. The control circuit may be configured to drive the first stage ultrasonic drive circuit and the first stage high frequency current drive circuit individually or simultaneously. The first stage ultrasound drive circuit may be configured to couple to the second stage ultrasound drive circuit. The second stage ultrasound drive circuit may be configured to couple with the ultrasound transducer. The first stage high frequency current drive circuit may be configured to couple to the second stage high frequency drive circuit. A second stage high frequency drive circuit may be configured to couple to the electrode.
第1段階回路は、第1段階センサ駆動回路を備えてもよい。第1段階センサ駆動回路は、第2段階センサ駆動回路に対して構成されてもよい。第2段階センサ駆動回路は、センサに結合するように構成されてもよい。 The first stage circuit may include a first stage sensor drive circuit. The first stage sensor drive circuit may be configured relative to the second stage sensor drive circuit. A second stage sensor drive circuit may be configured to couple to the sensor.
別の態様では、本開示は、電池を含む制御回路、電池に結合したメモリ、並びにメモリ及び電池に結合したプロセッサを含む電池アセンブリであって、プロセッサがデジタル波形を生成するように構成された、電池アセンブリと、プロセッサと結合した共通の第1段階回路を含むハンドルアセンブリであって、共通の第1段階回路はデジタル/アナログ(DAC)変換器及び共通の第1段階増幅器回路を含み、DACはデジタル波形を受信してデジタル波形をアナログ波形に変換するように構成され、共通の第1段階増幅器回路はアナログ波形を受信して増幅するように構成された、ハンドルアセンブリと、アナログ波形を受信し、アナログ波形を増幅し、アナログ波形を負荷装置に適用するために、共通の第1段階増幅器回路に結合した第2段階回路を含むシャフトアセンブリとを備え、電池アセンブリ及びシャフトアセンブリは、ハンドルアセンブリと機械的及び電気的に接続するように構成されている、外科用器具を提供する。 In another aspect, the present disclosure provides a battery assembly including a control circuit including a battery, a memory coupled to the battery, and a processor coupled to the memory and the battery, the processor configured to generate a digital waveform. a handle assembly including a battery assembly and a common first stage circuit coupled to a processor, the common first stage circuit including a digital to analog (DAC) converter and a common first stage amplifier circuit; a handle assembly configured to receive a digital waveform and convert the digital waveform to an analog waveform, the common first stage amplifier circuit configured to receive and amplify the analog waveform; a shaft assembly including a second stage circuit coupled to a common first stage amplifier circuit for amplifying an analog waveform and applying the analog waveform to a load device; the battery assembly and the shaft assembly are connected to a handle assembly; A surgical instrument is provided that is configured to make mechanical and electrical connections.
負荷装置は、超音波変換器、電極、若しくはセンサ、又はこれらの任意の組み合わせのうちのいずれか1つを含んでもよい。共通の第1段階回路は、超音波、高周波電流、又はセンサ回路を駆動するように構成されてもよい。共通の第1段階駆動回路は、第2段階超音波駆動回路、第2段階高周波駆動回路、又は第2段階センサ駆動回路と結合するように構成されてもよい。第2段階超音波駆動回路は超音波変換器と結合するように構成されてもよく、第2段階高周波駆動回路は電極と結合するように構成され、第2段階センサ駆動回路はセンサと結合するように構成されている。 The load device may include any one of an ultrasound transducer, an electrode, or a sensor, or any combination thereof. The common first stage circuit may be configured to drive ultrasound, radio frequency current, or sensor circuitry. The common first stage drive circuit may be configured to couple with the second stage ultrasonic drive circuit, the second stage radio frequency drive circuit, or the second stage sensor drive circuit. The second stage ultrasonic drive circuit may be configured to couple with the ultrasound transducer, the second stage radio frequency drive circuit may be configured to couple with the electrode, and the second stage sensor drive circuit may couple with the sensor. It is configured as follows.
別の態様では、本開示は、プロセッサと結合したメモリを含む制御回路であって、プロセッサがデジタル波形を生成するように構成されている、制御回路と、プロセッサと結合した共通の第1段階回路を含むハンドルアセンブリであって、共通の第1段階回路は、デジタル波形を受信し、デジタル波形をアナログ波形に変換し、アナログ波形を増幅するように構成された、ハンドルアセンブリと、アナログ波形を受信して増幅するために、共通の第1段階回路と結合した第2段階回路を含むシャフトアセンブリとを備え、シャフトアセンブリは、ハンドルアセンブリと機械的及び電気的に接続するように構成されている、外科用器具を提供する。 In another aspect, the present disclosure provides a control circuit that includes a memory coupled to a processor, the control circuit configured to generate a digital waveform, and a common first stage circuit coupled to the processor. a handle assembly, the common first stage circuit being configured to receive a digital waveform, convert the digital waveform to an analog waveform, and amplify the analog waveform; a shaft assembly including a second stage circuit coupled to a common first stage circuit for amplification, the shaft assembly being configured to mechanically and electrically connect with the handle assembly; Provide surgical instruments.
共通の第1段階回路は、超音波、高周波電流、又はセンサ回路を駆動するように構成されてもよい。共通の第1段階駆動回路は、第2段階超音波駆動回路、第2段階高周波駆動回路、又は第2段階センサ駆動回路と結合するように構成されてもよい。第2段階超音波駆動回路は超音波変換器と結合するように構成されてもよく、第2段階高周波駆動回路は電極と結合するように構成され、第2段階センサ駆動回路はセンサと結合するように構成されている。 The common first stage circuit may be configured to drive ultrasound, radio frequency current, or sensor circuitry. The common first stage drive circuit may be configured to couple with the second stage ultrasonic drive circuit, the second stage radio frequency drive circuit, or the second stage sensor drive circuit. The second stage ultrasonic drive circuit may be configured to couple with the ultrasound transducer, the second stage radio frequency drive circuit may be configured to couple with the electrode, and the second stage sensor drive circuit may couple with the sensor. It is configured as follows.
図32は、本開示の少なくとも1つの態様による、第1段階回路3404と第2段階回路3406とに分割された、発生器回路3400を示す。一態様では、本明細書に記載される外科システム1000の外科用器具は、複数の段階に分割された発生器回路3400を含み得る。例えば、外科システム1000の外科用器具は、少なくとも2つの回路、つまりRFエネルギーのみ、超音波エネルギーのみ、及び/又はRFエネルギーと超音波エネルギーとの組み合わせの動作を可能にする増幅の第1段階回路3404及び第2段階回路3406に分割された発生器回路3400を備えてもよい。コンビネーションモジュール式シャフトアセンブリ3414は、ハンドルアセンブリ3412内に位置する共通の第1段階回路3404、及びモジュール式シャフトアセンブリ3414と一体のモジュール式第2段階回路3406によって給電され得る。外科システム1000の外科用器具に関連してこの説明全体を通して上述したように、電池アセンブリ3410及びシャフトアセンブリ3414は、ハンドルアセンブリ3412と機械的及び電気的に接続するように構成されている。エンドエフェクタアセンブリは、シャフトアセンブリ3414と機械的及び電気的に接続するように構成されている。 FIG. 32 illustrates a
ここで図32を参照すると、発生器回路3400は、本明細書に記載される外科システム1000の外科用器具などの外科用器具の複数のモジュール式アセンブリ内に位置する複数の段階に分割される。一態様では、制御段階回路3402は、外科用器具の電池アセンブリ3410内に位置してもよい。制御段階回路3402は、図30に関連して説明された制御回路3200である。制御回路3200は、内部メモリ3217(図32)(例えば、揮発性及び不揮発性メモリ)を含むプロセッサ3214を備え、電池3211と電気的に結合している。電池3211は、第1段階回路3404、第2段階回路3406、及び第3段階回路3408にそれぞれ電力を供給する。前述したように、制御回路3200は、図35及び図36に関連して説明した回路及び技術を使用してデジタル波形4300(図37)を生成する。再び図32を参照すると、デジタル波形4300は、超音波変換器、高周波(例えば、RF)電極、又はそれらの組み合わせを個別に又は同時にのいずれかで駆動するように構成され得る。同時に駆動する場合、超音波波形又はRF波形のいずれかを選択するように、対応する第1段階回路3404内にフィルタ回路を設けてもよい。かかるフィルタリング技術は、共同所有の米国特許出願公開第US-2017-0086910-A1号、名称「TECHNIQUES FOR CIRCUIT TOPOLOGIES FOR COMBINED GENERATOR」に記載されており、参照によりその全体が本明細書に組み込まれる。 Referring now to FIG. 32,
第1段階回路3404(例えば、第1段階超音波駆動回路3420、第1段階RF駆動回路3422、及び第1段階センサ駆動回路3424)は、外科用器具のハンドルアセンブリ3412内に位置する。制御回路3200は、制御回路3200の出力SCL-A、SDA-Aを介して、超音波駆動信号を第1段階超音波駆動回路3420に提供する。第1段階超音波駆動回路3420を、図29に関連して詳細に説明する。制御回路3200は、制御回路3200の出力SCL-B、SDA-Bを介して、RF駆動信号を第1段階RF駆動回路3422に提供する。第1段階RF駆動回路3422を、図34に関連して詳細に説明する。制御回路3200は、制御回路3200の出力SCL-C、SDA-Cを介して、センサ駆動信号を第第1段階センサ駆動回路3424に提供する。一般に、第1段階回路3404のそれぞれは、第2段階回路3406を駆動するためのデジタル/アナログ(DAC)変換器及び第1段階増幅器部を含む。第1段階回路3404の出力は、第2段階回路3406の入力に提供される。 A first stage circuit 3404 (eg, a first stage
制御回路3200は、どのモジュールが制御回路3200にプラグ接続されているかを検出するように構成されている。例えば、制御回路3200は、ハンドルアセンブリ3412内に位置する第1段階超音波駆動回路3420、第1段階RF駆動回路3422、又は第1段階センサ駆動回路3424が電池アセンブリ3410に接続されているかどうかを検出するように構成されている。同様に、第1段階回路3404のそれぞれは、どの第2段階回路3406がこれに接続されているかを検出することができ、その情報は、生成する信号波形の種類を決定するために制御回路3200に戻される。同様に、第2段階回路3406のそれぞれは、どの第3段階回路3408又は構成要素がこれに接続されているかを検出することができ、その情報は、生成する信号波形の種類を決定するために制御回路3200に戻される。
一態様では、第2段階回路3406(例えば、超音波駆動第2段階回路3430、RF駆動第2段階回路3432、及びセンサ駆動第2段階回路3434)は、外科用器具のシャフトアセンブリ3414内に位置する。第1段階超音波駆動回路3420は、出力US左/US右を介して、第2段階超音波駆動回路3430に信号を提供する。第2段階超音波駆動回路3430は、例えば、変圧器、フィルタ、増幅器、及び/又は信号調整回路を含むことができる。第1段階高周波(RF)電流駆動回路3422は、出力RF左/RF右を介して、第2段階RF駆動回路3432に信号を提供する。変圧器及びブロッキングコンデンサに加えて、第2段階RF駆動回路3432は更に、フィルタ、増幅器、及び信号調整回路を含んでもよい。第1段階センサ駆動回路3424は、出力センサ1/センサ2を介して、第2段階センサ駆動回路3434に信号を提供する。第2段階センサ駆動回路3434は、センサの種類に応じてフィルタ、増幅器、及び信号調整回路を含んでもよい。第2段階回路3406の出力は、第3段階回路3408の入力に提供される。 In one aspect, second stage circuitry 3406 (e.g., ultrasound driven
一態様では、第3段階回路3408(例えば、超音波変換器1120、RF電極3074a、3074b、及びセンサ3440)は、外科用器具の様々なアセンブリ3416内に位置してよい。一態様では、第2段階超音波駆動回路3430は、超音波変換器1120の圧電スタックに駆動信号を提供する。一態様では、超音波変換器1120は、外科用器具の超音波変換器アセンブリ内に位置する。しかしながら、他の態様では、超音波変換器1120は、ハンドルアセンブリ3412、シャフトアセンブリ3414、又はエンドエフェクタ内に位置してもよい。一態様では、第2段階RF駆動回路3432は、概ね外科用器具のエンドエフェクタ部分内に位置する、RF電極3074a、3074bに駆動信号を提供する。一態様では、第2段階センサ駆動回路3434は、外科用器具全体に位置する様々なセンサ3440に駆動信号を提供する。 In one aspect, third stage circuitry 3408 (eg,
図33は、本開示の少なくとも1つの態様による、第1段階回路3504が第2段階回路3506と共通している、複数の段階に分割された発生器回路3500を示す。一態様では、本明細書に記載される外科システム1000の外科用器具は、複数の段階に分割された発生器回路3500を含み得る。例えば、外科システム1000の外科用器具は、少なくとも2つの回路、つまり高周波(RF)エネルギーのみ、超音波エネルギーのみ、及び/又はRFエネルギーと超音波エネルギーとの組み合わせの動作を可能にする増幅の第1段階回路3504及び第2段階回路3506に分割された発生器回路3500を備えてもよい。コンビネーションモジュール式シャフトアセンブリ3514は、ハンドルアセンブリ3512内に位置する共通の第1段階回路3504、及びモジュール式シャフトアセンブリ3514と一体のモジュール式第2段階回路3506によって給電され得る。外科システム1000の外科用器具に関連してこの説明全体を通して前述したように、電池アセンブリ3510及びシャフトアセンブリ3514は、ハンドルアセンブリ3512と機械的及び電気的に接続するように構成されている。エンドエフェクタアセンブリは、シャフトアセンブリ3514を機械的及び電気的に接続するように構成されている。 FIG. 33 illustrates a generator circuit 3500 divided into multiple stages, with a
図33の実施例に示すように、外科用器具の電池アセンブリ3510部分は、前述の制御回路3200を含む第1の制御回路3502を備える。電池アセンブリ3510に接続するハンドルアセンブリ3512は、共通の第1段階駆動回路3420を備える。前述したように、第1段階駆動回路3420は、超音波、高周波(RF)電流、及びセンサ負荷を駆動するように構成されている。共通の第1段階駆動回路3420の出力は、第2段階超音波駆動回路3430、第2段階高周波(RF)電流駆動回路3432、及び/又は第2段階センサ駆動回路3434などの第2段階回路3506のうちの任意の1つを駆動することができる。共通の第1段階駆動回路3420は、シャフトアセンブリ3514がハンドルアセンブリ3512に接続されているときに、どの第2段階回路3506がシャフトアセンブリ3514内に位置しているかを検出する。シャフトアセンブリ3514がハンドルアセンブリ3512に接続されると、共通の第1段階駆動回路3420が、第2段階回路3506(例えば、第2段階超音波駆動回路3430、第2段階RF駆動回路3432、及び/又は第2段階センサ駆動回路3434)のうちのどの1つがシャフトアセンブリ3514内に位置しているかを判定する。この情報は、適切なデジタル波形4300(図37)を第2段階回路3506に供給して、適切な負荷、例えば、超音波、RF、又はセンサ、を駆動するために、ハンドルアセンブリ3512内に位置する制御回路3200に提供される。超音波変換器1120、電極3074a、3074b、又はセンサ3440などの第3段階回路3508内の様々なアセンブリ3516に識別回路が含まれ得ることは理解されるであろう。したがって、第3段階回路3508が第2段階回路3506に接続されると、第2段階回路3506は、識別情報に基づいて要求される負荷の種類を知る。 As shown in the embodiment of FIG. 33, the
図34は、本開示の少なくとも1つの態様による、高周波電流(RF)を駆動するように構成された電気回路3600の一態様の回路図である。電気回路3600は、アナログマルチプレクサ3680を備える。アナログマルチプレクサ3680は、RF、電池、及び電力制御回路などの上流チャネルSCL-A、SDA-Aからの様々な信号を多重化する。電流センサ3682は、電源回路の戻り又は接地区間と直列に結合され、電源によって供給される電流を測定する。電界効果トランジスタ(FET)温度センサ3684は、周囲温度を提供する。パルス幅変調(PWM)ウォッチドッグタイマー3688は、主プログラムが定期的なシステムリセットの提供を怠る場合にシステムリセットを自動的に生じさせる。これは、ソフトウェア又はハードウェア障害のために電気回路3600がハングアップ又はフリーズした場合に、電気回路3600を自動的にリセットするように設けられている。電気回路3600は、例えば、図29に関して記載されるように、RF電極を駆動するため又は超音波変換器1120を駆動するために構成され得ることは理解されるであろう。したがって、ここで図34を再び参照すると、電気回路3600を使用して、超音波及びRF電極の両方を交互に駆動することができる。 FIG. 34 is a circuit diagram of one aspect of an
駆動回路3686は、左右のRFエネルギー出力を提供する。信号波形を表すデジタル信号は、制御回路3200(図30)などの制御回路からアナログマルチプレクサ3680のSCL-A、SDA-A入力に供給される。デジタル/アナログ変換器3690(DAC)は、デジタル入力をアナログ出力に変換して、発振器3694に結合されたPWM回路3692を駆動する。PWM回路3692は、第1のトランジスタ出力段階3698aに結合された第1のゲート駆動回路3696aに第1の信号を提供して、第1のRF+(左側)エネルギー出力を駆動する。PWM回路3692はまた、第2のトランジスタ出力段階3698bに結合された第2のゲート駆動回路3696bに第2の信号を提供して、第2のRF(右側)エネルギー出力を駆動する。電圧センサ3699は、出力電圧を測定するためにRF左/RF出力端子間に結合される。駆動回路3686、第1の駆動回路3696a及び第2の駆動回路3696b、並びに第1のトランジスタ出力段階3698a及び第2のトランジスタ出力段階3698bは、第1段階増幅器回路を画定する。動作中、制御回路3200(図30)は、直接デジタル合成(DDS)回路4100、4200(図35及び図36)などの回路を用いてデジタル波形4300(図37)を生成する。DAC3690は、デジタル波形4300を受信し、それをアナログ波形に変換し、これが第1段階増幅器回路によって受信及び増幅される。
一態様では、外科システム1000の超音波又は高周波電流発生器は、ルックアップテーブル内に記憶される所定の数の位相点を望ましく用いて波形をデジタル化するように、電気信号波形をデジタル的に発生させるように構成され得る。メモリ、フィールドプログラマブルゲートアレイ(FPGA)、又は任意の好適な不揮発性メモリで定義されたテーブル内に、位相点を記憶させてよい。図35は、電気信号波形のための複数の波形を発生させるように構成された、直接デジタル合成(DDS)回路4100などのデジタル合成回路のための、基本的アーキテクチャの一態様を示す。発生器ソフトウェア及びデジタル制御は、ルックアップテーブル4104内のアドレスを走査するようにFPGAに指示を出すことができ、これが続いて電力増幅器に給電するDAC回路4108に様々なデジタル入力値を提供する。アドレスは、目的の周波数に従って走査されてよい。こうしたルックアップテーブル4104を使用することは、組織内、又は変換器、RF電極、複数の変換器内に同時に、複数のRF電極内に同時に、若しくはRF及び超音波器具の組み合わせ内に供給され得る、様々なタイプの波形を発生させることを可能にする。更に、複数の波形を表す複数のルックアップテーブル4104を作成し、記憶し、発生器から組織に適用することができる。 In one aspect, the ultrasound or high frequency current generator of
波形信号は、超音波変換器及び/若しくはRF電極、又はそれらの複数(例えば、2つ若しくはそれ以上の超音波変換器及び/又は2つ若しくはそれ以上のRF電極)の出力電流、出力電圧、又は出力電力のうち、少なくとも1つを制御するように構成されてよい。更に、外科用器具が超音波コンポーネントを備える場合、波形信号は、少なくとも1つの外科用器具の超音波変換器の少なくとも2つの振動モードを駆動させるように構成されてよい。したがって、発生器は、波形信号を少なくとも1つの外科用器具へと提供するように構成されてよく、波形信号は、テーブル内の複数の波形の少なくとも1つの波形に応答する。なお、2つの外科用器具に提供される波形信号は、2つ又はそれ以上の波形を含んでよい。テーブルは複数の波形に関係した情報を含んでよく、またテーブルは発生器内に記憶されてよい。一態様又は一実施例では、テーブルは、直接デジタル合成テーブルであってよく、発生器のFPGA内に記憶されてよい。テーブルは、波形をカテゴリー化するのに便利である任意の方法によってアドレス指定されてよい。一態様によれば、直接デジタル合成テーブルであり得るテーブルは、波形信号の周波数に従ってアドレス指定される。更に、複数の波形に関係した情報は、デジタル情報としてテーブル内に記憶されてよい。 The waveform signal may include an output current, an output voltage, an output current, an output voltage, an ultrasonic transducer and/or an RF electrode, or a plurality thereof (e.g., two or more ultrasonic transducers and/or two or more RF electrodes). Alternatively, the output power may be configured to control at least one of the output power. Additionally, if the surgical instrument includes an ultrasound component, the waveform signal may be configured to drive at least two modes of vibration of an ultrasound transducer of the at least one surgical instrument. Accordingly, the generator may be configured to provide a waveform signal to the at least one surgical instrument, the waveform signal being responsive to at least one of the plurality of waveforms in the table. Note that the waveform signals provided to the two surgical instruments may include two or more waveforms. The table may include information related to multiple waveforms, and the table may be stored within the generator. In one aspect or example, the table may be a direct digital synthesis table and may be stored within the FPGA of the generator. The table may be addressed by any method convenient for categorizing waveforms. According to one aspect, the table, which may be a direct digital synthesis table, is addressed according to the frequency of the waveform signal. Additionally, information related to multiple waveforms may be stored in the table as digital information.
アナログ電気信号波形は、超音波変換器及び/若しくはRF電極、又はそれらの複数(例えば、2つ若しくはそれ以上の超音波変換器及び/又は2つ若しくはそれ以上のRF電極)の出力電流、出力電圧、又は出力電力のうち、少なくとも1つを制御するように構成されてよい。更に、外科用器具が超音波コンポーネントを備える場合、アナログ電気信号波形は、少なくとも1つの外科用器具の超音波変換器の少なくとも2つの振動モードを駆動させるように構成されてよい。したがって、発生器回路は、アナログ電気信号波形を少なくとも1つの外科用器具へと提供するように構成されてよく、アナログ電気信号波形は、ルックアップテーブル4104内に記憶された複数の波形の少なくとも1つの波形に対応する。なお、2つの外科用器具に提供されるアナログ電気信号波形は、2つ又はそれ以上の波形を含んでよい。ルックアップテーブル4104は、複数の波形に関連した情報を含んでよく、またルックアップテーブル4104は、発生器回路又は外科用器具のいずれかに記憶されてよい。一態様又は実施例では、ルックアップテーブル4104は、直接デジタル合成テーブルであってよく、これは発生器回路又は外科用器具のFPGAに記憶されてよい。ルックアップテーブル4104は、波形をカテゴリー化するために便利である任意の方法によってアドレス指定されてよい。一態様によれば、直接デジタル合成テーブルであり得るルックアップテーブル4104は、所望のアナログ電気信号波形の周波数に従ってアドレス指定される。更に、複数の波形に関係した情報は、デジタル情報としてルックアップテーブル4104に記憶されてよい。 The analog electrical signal waveform is the output current of an ultrasound transducer and/or an RF electrode, or a plurality thereof (e.g., two or more ultrasound transducers and/or two or more RF electrodes). It may be configured to control at least one of voltage or output power. Additionally, if the surgical instrument includes an ultrasound component, the analog electrical signal waveform may be configured to drive at least two modes of vibration of the ultrasound transducer of the at least one surgical instrument. Accordingly, the generator circuit may be configured to provide an analog electrical signal waveform to at least one surgical instrument, the analog electrical signal waveform being at least one of the plurality of waveforms stored in lookup table 4104. corresponds to two waveforms. Note that the analog electrical signal waveforms provided to the two surgical instruments may include two or more waveforms. Lookup table 4104 may include information related to multiple waveforms, and lookup table 4104 may be stored in either the generator circuit or the surgical instrument. In one aspect or example, lookup table 4104 may be a direct digital synthesis table, which may be stored in a generator circuit or FPGA of a surgical instrument. Lookup table 4104 may be addressed by any method that is convenient for categorizing waveforms. According to one aspect, lookup table 4104, which can be a direct digital synthesis table, is addressed according to the frequency of the desired analog electrical signal waveform. Additionally, information related to multiple waveforms may be stored as digital information in lookup table 4104.
計装システム及び通信システムにおけるデジタル技術の広範な使用を伴い、基準周波数から複数の周波数を発生させるデジタル的制御法が発展し、直接デジタル合成と呼ばれている。基本アーキテクチャが図35に示されている。簡略化された本ブロック図では、DDS回路は、発生器回路のプロセッサ、コントローラ、又は論理機構、及び外科システム1000の発生器回路内に位置するメモリ回路に結合されている。DDS回路4100は、アドレスカウンタ4102、ルックアップテーブル4104、レジスタ4106、DAC回路4108、及びフィルタ4112を備える。安定クロックfcは、アドレスカウンタ4102により受信され、レジスタ4106は、正弦波(又は他の任意の波形)のサイクルの1つ又は2つ以上の整数をルックアップテーブル4104内に記憶するプログラマブル読み出し専用メモリ(PROM)を駆動する。アドレスカウンタ4102が記憶場所をステップスルーすると、ルックアップテーブル4104内に記憶された値は、DAC回路4108に結合されたレジスタ4106に書き込まれる。ルックアップテーブル4104の記憶場所における信号の対応するデジタル振幅は、続いてアナログ出力信号4110を発生させるDAC回路4108を駆動する。アナログ出力信号4110のスペクトル純度は、主としてDAC回路4108により決定される。位相雑音は、基本的に基準クロックfcのものである。DAC回路4108から出力される第1のアナログ出力信号4110は、フィルタ4112によりフィルタリングされ、フィルタ4112により出力される第2のアナログ出力信号4114は、発生器回路の出力に結合された出力を有する増幅器へと提供される。第2のアナログ出力信号は、周波数foutを有する。With the widespread use of digital technology in instrumentation and communication systems, digital control methods have evolved to generate multiple frequencies from a reference frequency, referred to as direct digital synthesis. The basic architecture is shown in FIG. In this simplified block diagram, the DDS circuit is coupled to a processor, controller, or logic of the generator circuit and a memory circuit located within the generator circuit of
DDS回路4100は、サンプリングされたデータシステムであるため、量子化雑音、エイリアシング、フィルタリングなどのサンプリングに伴う問題を考慮しなければならない。例えば、位相ロックループ(phase-locked-loop、PLL)ベースのシンセサイザの出力の高次高調波がフィルタリングされ得るのに対して、DAC回路4108出力周波数の高次高調波はナイキスト帯域幅に折り返して、それらをフィルタリング不可にする。ルックアップテーブル4104は、サイクルの整数に関する信号データを含む。最終出力周波数foutは、基準クロック周波数fcを変更することで、又はPROMを再プログラミングすることによって変更することができる。Since the
DDS回路4100は、複数のルックアップテーブル4104を含んでもよく、ルックアップテーブル4104は、所定のサンプル数により表される波形を記憶し、サンプルは、所定の波形形状を画定する。したがって、独自の形状を有する複数の波形は、複数のルックアップテーブル4104内に記憶されて、器具設定又は組織フィードバックに基づく様々な組織処置を提供することができる。波形の例としては、表面組織凝固のための高い波高率のRF電気信号波形、より深い組織貫通のための低い波高率のRF電気信号波形、及び効果的な修正凝固を促進する電気信号波形が挙げられる。一態様では、DDS回路4100は、複数の波形ルックアップテーブル4104を作成することができ、組織処置手順の間(例えば、ユーザ入力又はセンサ入力に基づく「オンザフライ」又は実質実時間にて)、所望の組織効果及び/又は組織フィードバックに基づいて、個別のルックアップテーブル4104に記憶された様々な波形間で切り替えを行うことができる。
したがって、波形間の切り替えは、例えば、組織インピーダンス及び他の要素に基づくことができる。他の態様では、ルックアップテーブル4104は、サイクル毎に組織内へと送達される電力を最大化するよう形成される電気信号波形(すなわち、台形波又は方形波)を記憶することができる。他の態様では、ルックアップテーブル4104は、同期された波形を記憶することができ、その結果、この波形が、RF及び超音波駆動信号を送達しながら、外科システム1000の多機能型外科用器具による電力送達を最大化する。更に他の態様では、ルックアップテーブル4104は、超音波周波数のロックを維持しながら、超音波並びにRF治療用及び/又は治療量以下のエネルギーを同時に駆動する電気信号波形を記憶することができる。様々な器具及びそれらの組織効果に特有のカスタム波形は、発生器回路の不揮発性メモリ内、又は外科システム1000の不揮発性メモリ(例えば、EEPROM)内に記憶され得、また多機能型外科用器具を発生器回路に接続する際にフェッチされる。多くの高波高率「凝固」波形に使用される、指数関数的に減衰する正弦曲線の例を図37に示す。 Thus, switching between waveforms can be based on tissue impedance and other factors, for example. In other aspects, the lookup table 4104 can store an electrical signal waveform (ie, a trapezoidal wave or a square wave) that is shaped to maximize the power delivered into the tissue each cycle. In other aspects, the lookup table 4104 can store synchronized waveforms such that the waveforms are used to deliver RF and ultrasound drive signals to the multifunction surgical instrument of the
DDS回路4100のよりフレキシブルで効果的な実装は、数値制御発振器(NCO)と呼ばれるデジタル回路を用いる。DDS回路4200などの、よりフレキシブルで効果的なデジタル合成回路のブロック図を図36に示す。この簡略化されたブロック図では、DDS回路4200は、発生器のプロセッサ、コントローラ、又は論理機構に、及び発生器又は外科システム1000の外科用器具のうちのいずれかに位置するメモリ回路に結合されている。DDS回路4200は、負荷レジスタ4202、並列デルタ位相レジスタ4204、加算器回路4216、位相レジスタ4208、ルックアップテーブル4210(位相-振幅変換器)、DAC回路4212、及びフィルタ4214を備える。加算器回路4216及び位相レジスタ4208は、位相アキュムレータ4206の一部を形成する。クロック周波数fcは、位相レジスタ4208及びDAC回路4212に適用される。負荷レジスタ4202は、基準クロック周波数信号fcの分数としての出力周波数を特定する調整ワードを受信する。負荷レジスタ4202の出力は、調整ワードMと共に、並列デルタ位相レジスタ4204に提供される。A more flexible and effective implementation of
DDS回路4200は、クロック周波数fcを発生させるサンプルクロック、位相アキュムレータ4206、及びルックアップテーブル4210(例えば、位相-振幅変換器)を含む。位相アキュムレータ4206の内容は、クロックサイクルfc毎に一度更新される。位相アキュムレータ4206が更新されると、並列デルタ位相レジスタ4204内に記憶されたデジタル数Mは、加算器回路4216により位相レジスタ4208内の数に加算される。並列デルタ位相レジスタ4204内の数は、00...01であり、位相アキュムレータ4206の初期の内容は、00...00であると仮定する。位相アキュムレータ4206は、クロックサイクル毎に00...01と更新される。位相アキュムレータ4206が32-ビット幅である場合、位相アキュムレータ4206が00...00へと戻るまでに232クロックサイクル(40億超)が必要とされ、サイクルは繰り返される。
位相アキュムレータ4206の切り捨てられた出力4218は、位相-振幅変換器のルックアップテーブル4210へと提供され、またルックアップテーブル4210の出力はDAC回路4212に結合される。位相アキュムレータ4206の切り捨てられた出力4218は、正弦(又は余弦)ルックアップテーブルへのアドレスとして機能する。ルックアップテーブル内のアドレスは、正弦波における0°~360°の位相点に対応する。ルックアップテーブル4210は、正弦波の1つの完全サイクルの対応するデジタル振幅情報を含む。したがって、ルックアップテーブル4210は、位相情報を位相アキュムレータ4206からデジタル振幅ワードにマッピングし、続いてこれがDAC回路4212を駆動させる。DAC回路の出力は、第1のアナログ信号4220であり、フィルタ4214によりフィルタリングされる。フィルタ4214の出力は、発生器回路の出力に結合された電力増幅器へと提供される、第2のアナログ信号4222である。 The
一態様では、デジタル化され得る波形が、256(28)~281、474、976、710、656(248)の範囲(表1に示すように、nは正の整数である)の任意の好適な2n位相点の数であるにもかかわらず、電気信号波形を1024(210)位相点へとデジタル化してよい。電気信号波形はAn(θn)として表されてもよく、点nにおける正規化された振幅Anは位相角θnにより表され、点nにおける位相点と呼ばれる。個別の位相点nの数は、DDS回路4200(並びに図35に示すDDS回路4100)の調整分解能を決定する。In one aspect, the waveform that may be digitized is any suitable waveform in the range of 256 (28) to 281, 474, 976, 710, 656 (248), where n is a positive integer, as shown in Table 1. Although the number of phase points is 2n, the electrical signal waveform may be digitized into 1024 (210) phase points. The electrical signal waveform may be represented as An (θn ), where the normalized amplitude An at point n is represented by the phase angle θn and is referred to as the phase point at point n. The number of distinct phase points n determines the tuning resolution of DDS circuit 4200 (as well as
表1は、多数の位相点にデジタル化された電気信号波形を特定する。 Table 1 specifies an electrical signal waveform that is digitized into multiple phase points.
発生器回路アルゴリズム及びデジタル制御回路は、ルックアップテーブル4210内のアドレスを走査し、次にルックアップテーブル4210はフィルタ4214及び電力増幅器に給電するDAC回路4212に様々なデジタル入力値を提供する。アドレスは、目的の周波数に従って走査されてよい。ルックアップテーブルを使用することで、DAC回路4212によりアナログ出力信号へと変換され、フィルタ4214によりフィルタリングされ、発生器回路の出力に結合した電力増幅器により増幅され、RFエネルギーの形態で組織に供給されるか又は超音波変換器に供給され、かつ熱の形態でエネルギーを組織へと送達する超音波振動形態で組織に適用され得る、様々な種類の形状を発生させることが可能である。増幅器の出力は、例えば、単一のRF電極、同時に複数のRF電極、単一の超音波変換器、同時に複数の超音波変換器又はRF変換器及び超音波変換器の組み合わせに適用することができる。更に、複数の波形テーブルを作成し、記憶して、発生器回路から組織に適用することができる。 The generator circuit algorithm and digital control circuit scan the addresses in the lookup table 4210, which in turn provides various digital input values to the
再び図35を参照すると、n=32及びM=1の場合、位相アキュムレータ4206はオーバフローして再起動する前に、232個の可能な出力をステップスルーする。対応する出力波周波数は、232で除算された入力クロック周波数に等しい。M=2である場合は、位相レジスタ1708は2倍の速度で「ロールオーバー」し、出力周波数は倍増する。これは、以下のように一般化され得る。 Referring again to FIG. 35, for n=32 and M=1,
n-ビットを蓄積するように構成された位相アキュムレータ4206の場合(nは、一般にほとんどのDDSシステムで24~32の範囲であるが、前述したように、nは広範囲の選択肢から選択されてよい)、2nの可能な位相点が存在する。デルタ位相レジスタにおけるデジタルワードMは、位相アキュムレータがクロックサイクル毎に増分する量を表す。fcがクロック周波数である場合、出力正弦波の周波数は、以下に等しい。For a
上記の式は、DDS「調整方程式」として知られている。システムの周波数分解能は、 The above equation is known as the DDS "adjustment equation". The frequency resolution of the system is
電気信号波形は、所定周波数における電流、電圧、又は電力により特徴付けられてよい。更に、外科システム1000の外科用器具が超音波コンポーネントを備える場合、電気信号波形は、少なくとも1つの外科用器具の超音波変換器の少なくとも2つの振動モードを駆動させるように構成されてよい。したがって、発生器回路は、電気信号波形を少なくとも1つの外科用器具に提供するように構成されてよく、電気信号波形は、ルックアップテーブル4210(又は、図35のルックアップテーブル4104)内に記憶された所定の波形を特徴とする。なお、電気信号波形は、2つ又はそれ以上の波形の組み合わせであってよい。ルックアップテーブル4210は、複数の波形に関係した情報を含んでよい。一態様又は一実施例では、ルックアップテーブル4210はDDS回路4200により生成されてよく、直接デジタル合成テーブルと呼ばれることもある。DDSは、オンボードメモリにおける大きな反復波形の第1記憶動作により、作動する。波形(正弦、三角形、方形、任意)のサイクルは、テーブル1に示すように、所定の数の位相点によって表され、メモリに記憶され得る。一度波形がメモリ内部に記憶されると、非常に正確な周波数にて波形が発生され得る。直接デジタル合成テーブルは、発生器回路の不揮発性メモリ内に記憶され得、かつ/又は発生器回路内のFPGA回路と共に実装され得る。ルックアップテーブル4210は、波形をカテゴリー化するのに便利な任意の好適な技術によってアドレス指定されてよい。一態様によれば、ルックアップテーブル4210は、電気信号波形の周波数に従ってアドレス指定される。更に、複数の波形に関連する情報は、メモリ内のデジタル情報として、又はルックアップテーブル4210の一部として記憶されてよい。 An electrical signal waveform may be characterized by current, voltage, or power at a predetermined frequency. Additionally, if the surgical instruments of
一態様では、発生器回路は、電気信号波形を少なくとも2つの外科用器具へと同時に提供するように構成されてよい。発生器回路はまた、発生器回路の単一の出力チャネルを介して、2つの外科用器具へと同時に電気信号波形(2つ又はそれ以上の波形によって特徴付けられ得る)を提供するように構成されてもよい。例えば、一態様では、電気信号波形は、超音波変換器を駆動する第1の電気信号(例えば、超音波駆動信号)、第2のRF駆動信号及び/又はそれらの組み合わせを含む。更に、電気信号波形は、複数の超音波駆動信号、複数のRF駆動信号、並びに/又は複数の超音波駆動信号及びRF駆動信号の組み合わせを含んでよい。 In one aspect, the generator circuit may be configured to simultaneously provide electrical signal waveforms to at least two surgical instruments. The generator circuit is also configured to simultaneously provide electrical signal waveforms (which may be characterized by two or more waveforms) to two surgical instruments via a single output channel of the generator circuit. may be done. For example, in one aspect, the electrical signal waveform includes a first electrical signal (eg, an ultrasound drive signal) that drives an ultrasound transducer, a second RF drive signal, and/or a combination thereof. Furthermore, the electrical signal waveform may include multiple ultrasonic drive signals, multiple RF drive signals, and/or a combination of multiple ultrasonic drive signals and RF drive signals.
更に、本開示に従った発生器回路の操作方法は、電気信号波形を発生させること、及び発生した電気信号波形を外科システム1000の外科用器具のうちのいずれか1つに提供することを含み、電気信号波形を発生させることは、メモリから電気信号波形に関係した情報を受信することを含む。発生した電気信号波形は、少なくとも1つの波形を含む。更に、発生した電気信号波形を少なくとも1つの外科用器具へと提供することは、電気信号波形を少なくとも2つの外科用器具へと同時に提供することを含む。 Additionally, a method of operating a generator circuit according to the present disclosure includes generating an electrical signal waveform and providing the generated electrical signal waveform to any one of the surgical instruments of
本明細書に記載される発生器回路は、様々な種類の直接デジタル合成テーブルの生成を可能にし得る。発生器回路により発生する、種々の組織の処置に好適なRF/電気外科用信号の波形の例としては、高波高率を伴うRF信号(RFモードで表面凝固に使用され得る)、低波高率を伴うRF信号(より深い組織貫通のために使用され得る)及び効率的な修正凝固を促進する波形が挙げられる。発生器回路はまた、直接デジタル合成ルックアップテーブル4210を用いて複数の波形を発生させることができ、また、オンザフライで所望の組織効果に基づく特定の波形間で切り替えを行うことができる。切り替えは、組織インピーダンス及び/又は他の要素に基づいてよい。 The generator circuits described herein may enable generation of various types of direct digital synthesis tables. Examples of RF/electrosurgical signal waveforms generated by the generator circuit that are suitable for the treatment of various tissues include RF signals with high crest factors (which may be used for surface coagulation in RF mode), low crest factors; (which can be used for deeper tissue penetration) and waveforms that promote efficient modified coagulation. The generator circuit can also generate multiple waveforms using the direct digital synthesis lookup table 4210 and can switch between specific waveforms based on desired tissue effects on the fly. Switching may be based on tissue impedance and/or other factors.
従来の正弦/余弦波形に加えて、発生器回路は、サイクル毎の組織への電力を最大化する波形(複数可)(すなわち、台形波又は方形波)を発生させるように構成されてよい。発生器回路が、RF信号及び超音波信号を同時に駆動することを可能にする回路トポロジーを含むのであるならば、発生器回路は、RF信号及び超音波信号を同時に駆動する場合に、負荷へと送達される電力を最大化するように、かつ超音波周波数ロックを維持するように同期される波形(複数可)を提供することができる。更に、器具及びその組織効果に固有のカスタム波形は、不揮発性メモリ(NVM)内又は器具のEEPROM内に記憶され得、また外科システム1000の外科用器具のうちのいずれか1つを発生器回路に接続する際にフェッチされ得る。 In addition to conventional sine/cosine waveforms, the generator circuit may be configured to generate waveform(s) (i.e., trapezoidal or square waves) that maximize power to tissue per cycle. If the generator circuit includes a circuit topology that allows simultaneous driving of an RF signal and an ultrasonic signal, the generator circuit has a Waveform(s) can be provided that are synchronized to maximize delivered power and maintain ultrasound frequency lock. Additionally, custom waveforms specific to the instrument and its tissue effects may be stored in non-volatile memory (NVM) or in the instrument's EEPROM and may be used to connect any one of the surgical instruments of
DDS回路4200は、複数のルックアップテーブル4104を備えてよく、ルックアップテーブル4210は、所定数の位相点(サンプルと呼ばれる場合もある)により表される波形を記憶し、位相点は所定の波形の形状を画定する。したがって、独自の形状を有する複数の波形は、複数のルックアップテーブル4210内に記憶されて、器具設定又は組織フィードバックに基づく様々な組織処置を提供することができる。波形の例としては、表面組織凝固のための高い波高率のRF電気信号波形、より深い組織貫通のための低い波高率のRF電気信号波形、及び効果的な修正凝固を促進する電気信号波形が挙げられる。一態様では、DDS回路4200は、複数の波形ルックアップテーブル4210を作成することができ、組織処置手順の間(例えば、ユーザ入力又はセンサ入力に基づく「オンザフライ」又は実質実時間にて)、所望の組織効果及び/又は組織フィードバックに基づいて、様々なルックアップテーブル4210に記憶された様々な波形間で切り替えを行うことができる。
したがって、波形間の切り替えは、例えば、組織インピーダンス及び他の要素に基づくことができる。他の態様では、ルックアップテーブル4210は、サイクル毎に組織内へと送達される電力を最大化するよう形成される電気信号波形(すなわち、台形波又は方形波)を記憶することができる。他の態様では、ルックアップテーブル4210は、同期した波形を記憶することができ、その結果、この波形が、RF及び超音波駆動信号を送達するときに、外科システム1000の外科用器具のうちの任意の1つによる電力送達を最大化する。更に他の態様では、ルックアップテーブル4210は、超音波周波数のロックを維持しながら、超音波並びにRF治療用及び/又は治療量以下のエネルギーを同時に駆動する電気信号波形を記憶することができる。一般に、出力波形は、正弦波、余弦波、脈波、方形波などの形態であってもよい。それにもかかわらず、異なる器具及びそれらの組織効果に特有のより複雑なカスタム波形は、発生器回路の不揮発性メモリ内、又は外科用器具の不揮発性メモリ(例えば、EEPROM)内に記憶することができ、また外科用器具を発生器回路に接続する際にフェッチされ得る。カスタム波形の一例は、図37に示されるような、多くの高波高率「凝固」波形に使用される、指数関数的に減衰する正弦波形である。 Thus, switching between waveforms can be based on tissue impedance and other factors, for example. In other aspects, the look-up table 4210 can store an electrical signal waveform (ie, a trapezoidal wave or a square wave) that is shaped to maximize the power delivered into the tissue on a cycle-by-cycle basis. In other aspects, the lookup table 4210 can store synchronized waveforms such that when the waveforms deliver the RF and ultrasound drive signals, the Maximize power delivery by any one. In yet other aspects, lookup table 4210 can store electrical signal waveforms that simultaneously drive ultrasound and RF therapeutic and/or subtherapeutic energy while maintaining lock on ultrasound frequency. Generally, the output waveform may be in the form of a sine wave, cosine wave, pulse wave, square wave, etc. Nevertheless, more complex custom waveforms specific to different instruments and their tissue effects can be stored within the non-volatile memory of the generator circuit or within the non-volatile memory (e.g., EEPROM) of the surgical instrument. and can be fetched when connecting the surgical instrument to the generator circuit. An example of a custom waveform is the exponentially decaying sinusoidal waveform used in many high crest factor "coagulation" waveforms, as shown in FIG.
図37は、アナログ波形4304の本開示の少なくとも1つの態様による(比較目的のために離散時間デジタル電気信号波形4300に重ね合わされて示される)、離散時間デジタル電気信号波形4300の1サイクルを示す。水平軸は、時間(t)を表し、縦軸はデジタル位相点を表す。デジタル電気信号波形4300は、例えば、所望のアナログ波形4304のデジタル離散時間バージョンである。デジタル電気信号波形4300は、1サイクル又は期間ToにわたるクロックサイクルTclk毎の振幅を表す、振幅位相点4302を記憶することにより生成される。デジタル電気信号波形4300は、任意の好適なデジタル処理回路により、1期間Toにわたって生成される。振幅位相点は、メモリ回路内に記憶されたデジタルワードである。図35及び図36に示す実施例では、デジタルワードは、26又は64ビットの分解能を有する、振幅位相点を記憶することができる6ビットワードである。図35及び図36に示す実施例は、例証目的のためのものであり、実際の実装では分解能ははるかに高くなり得ることが理解されるであろう。1サイクルToにわたるデジタル振幅位相点4302は、例えば、図35及び図36に関連して記載されているようなルックアップテーブル4104、4210内のストリングワードのストリングとして、メモリ内に記憶される。これも図35及び図36に関して記載されるように、アナログバージョンのアナログ波形4304を発生させるために、振幅位相点4302は、クロックサイクルTclk毎に0~Toでメモリから順番に読み取られ、かつDAC回路4108、4212によって変換される。追加のサイクルは、所望され得るだけのサイクル又は期間にわたって0~Toで、デジタル電気信号波形4300の振幅位相点4302を繰り返し読み取ることによって生成することができる。平滑アナログバージョンのアナログ波形4304は、フィルタ4112、4214(図35及び図36)によってDAC回路4108、4212の出力をフィルタリングすることにより達成される。フィルタリングされたアナログ出力信号4114、4222(図35及び図36)は、電力増幅器の入力に適用される。FIG. 37 illustrates one cycle of a discrete-time digital electrical signal waveform 4300 (shown superimposed on the discrete-time digital
図38は、本開示の一態様による、変位部材が遠位方向に前進し、クランプアーム(例えば、アンビル)と結合したときに、閉鎖部材(例えば閉鎖管)の漸進的閉鎖を提供して、閉鎖部材上の閉鎖力負荷を所望の速度で低下させ、発射部材上の発射力負荷を減少させるように構成された、制御システム12950の図である。一態様では、制御システム12950は、ネスト化PIDフィードバックコントローラとして実装されてもよい。PIDコントローラは、所望の設定点と測定されたプロセス変数との間の差として誤差値を連続的に計算するための制御ループフィードバック機構(コントローラ)であり、比例、積分、及び微分項(それぞれP、I、及びDで示される場合がある)に基づいて補正を適用する。ネスト化PIDコントローラフィードバック制御システム12950は、一次(外側)フィードバックループ12954内の一次コントローラ12952と、二次(内側)フィードバックループ12956内の二次コントローラ12955と、を含む。一次コントローラ12952は、図39に示されるようなPIDコントローラ12972であってもよく、二次コントローラ12955もまた、図39に示されるようなPIDコントローラ12972であってもよい。一次コントローラ12952は、一次プロセス12958を制御し、二次コントローラ12955は二次プロセス12960を制御する。一次プロセス12958の出力12966は、第1の加算器12962によって一次設定値SP1から減算される。第1の加算器12962は、一次コントローラ12952に適用される単一の和出力信号を生成する。一次コントローラ12952の出力は、二次設定点SP2である。二次プロセス12960の出力12968は、第2の加算器12964によって二次設定点SP2から減算される。FIG. 38 illustrates providing gradual closure of a closure member (e.g., closure tube) when the displacement member is distally advanced and coupled with a clamp arm (e.g., an anvil), according to one aspect of the present disclosure; FIG. 12 is a diagram of a
閉鎖管の変位を制御する状況においては、制御システム12950は、一次設定値SP1が所望の閉鎖力値であり、一次コントローラ12952が、閉鎖モータの出力に結合されたトルクセンサから閉鎖力を受信して閉鎖モータの設定値SP2のモータ速度を決定するように構成されるように、構成されてもよい。他の態様では、閉鎖力は、歪みゲージ、ロードセル、又は他の好適な力センサで測定され得る。閉鎖モータ速度設定値SP2は、二次コントローラ12955によって決定される閉鎖管の実際の速度と比較される。閉鎖管の実際の速度は、位置センサを用いた閉鎖管の変位の測定と、タイマー/カウンタを用いた経過時間の測定とを比較することによって測定され得る。リニアエンコーダ又は回転エンコーダなどの他の技術を用いて、閉鎖管の変位を測定することができる。二次プロセス12960の出力12968は、閉鎖管の実際の速度である。この閉鎖管速度出力12968は、閉鎖管に作用する力を決定する一次プロセス12958に提供され、測定された閉鎖力を一次設定値SP1から減算する加算器12962にフィードバックされる。一次設定値SP1は、上限閾値又は下限閾値であってもよい。加算器12962の出力に基づいて、一次コントローラ12952は閉鎖モータの速度及び方向を制御する。二次コントローラ12955は、二次プロセス12960によって測定された閉鎖管の実際の速度、並びに実際の発射力と発射力の上限及び下限閾値との比較に基づく二次設定値SP2に基づいて、閉鎖モータの速度を制御する。In the situation of controlling the displacement of a closure tube, the
図39は、本開示の一態様による、PIDフィードバック制御システム12970を示す。一次コントローラ12952若しくは二次コントローラ12955、又はその両方は、PIDコントローラ12972として実装されてもよい。一態様では、PIDコントローラ12972は、比例要素12974(P)、積分要素12976(I)、及び微分要素12978(D)を含んでもよい。P要素12974、I要素12976、D要素12978の出力は加算器12986によって加算され、加算器12986は、制御変数μ(t)をプロセス12980に提供する。プロセス12980の出力は、プロセス変数y(t)である。加算器12984は、所望の設定値r(t)と測定されたプロセス変数y(t)との間の差を計算する。PIDコントローラ12972は、所望の設定点r(t)(例えば、閉鎖力閾値)と測定されたプロセス変数y(t)(例えば、閉鎖管の速度及び方向)との間の差として誤差値e(t)(例えば、閉鎖力閾値と測定された閉鎖力との差)を連続的に計算し、それぞれ比例要素12974(P)、積分要素12976(I)、及び微分要素12978(D)によって計算された比例、積分、及び微分項に基づいて補正を適用する。PIDコントローラ12972は、制御変数μ(t)(例えば、閉鎖管の速度及び方向)を調節することによって、経時的な誤差e(t)を最小限に抑えることを試みる。 FIG. 39 illustrates a PID
PIDアルゴリズムによると、「P」要素12974は、誤差の現在値の原因となる。例えば、誤差が大きくかつ正である場合、制御出力も大きくかつ正となる。本開示によれば、誤差項e(t)は、閉鎖管の所望の閉鎖力と測定された閉鎖力との間で異なる。「I」要素12976は、誤差の過去値の原因となる。例えば、電流出力が十分に強くない場合、誤差の積分は経時的に蓄積し、コントローラは、より強い動作を適用することによって応答する。「D」要素12978は、その現在の変化率に基づいて、可能な誤差の将来動向の原因となる。例えば、上記のPの例に戻ると、大きい正の制御出力が誤差をゼロに近付けることに成功すると、それはまた、プロセスを近い将来の大きな負の誤差に至る経路上に置く。この場合、微分は負になり、Dモジュールは、このオーバーシュートを防止するために動作の強さを低下させる。 According to the PID algorithm, the "P"
他の変数及び設定点は、フィードバック制御システム12950、12970に従って監視及び制御されてもよいことが理解されよう。例えば、本明細書に記載される適応型閉鎖部材速度制御アルゴリズムは、とりわけ、発射部材ストローク位置、発射部材負荷、切断要素の変位、切断要素の速度、閉鎖管ストローク位置、閉鎖管負荷のパラメータのうちの少なくとも2つを測定することができる。 It will be appreciated that other variables and set points may be monitored and controlled according to the
超音波メスなどの超音波外科用装置は、これらの固有の性能特性のために、外科処置においてますます広範な用途を見出されている。特定の装置構成及び動作パラメータにより、超音波外科用装置は組織の実質的に同時の横切開及び凝固によるホメオスタシスを提供することができ、望ましくは患者の外傷を最小化する。超音波外科用装置は、超音波変換器を含むハンドピース、並びに組織を切断及び封止するために、遠位に取り付けられたエンドエフェクタ(例えば、ブレード先端部)を有する超音波変換器に結合された器具を含み得る。いくつかの場合では、器具は、ハンドピースに恒久的に取り付けることができる。他の場合では、使い捨て器具又は交換式器具の場合におけるように、器具は、ハンドピースから取り外し可能であることができる。エンドエフェクタは、エンドエフェクタと接触する組織に超音波エネルギーを伝達し、切断及び封止作用を実現する。このような超音波外科用装置は、切開外科用途用、ロボット支援手術を含む腹腔鏡又は内視鏡手術用に構成することができる。 Ultrasonic surgical devices, such as ultrasonic scalpels, are finding increasingly widespread use in surgical procedures due to their unique performance characteristics. Depending on the particular device configuration and operating parameters, the ultrasonic surgical device can provide homeostasis through substantially simultaneous transsection and coagulation of tissue, desirably minimizing trauma to the patient. The ultrasonic surgical device is coupled to a handpiece that includes an ultrasonic transducer and a distally mounted end effector (e.g., a blade tip) for cutting and sealing tissue. may include equipment that has been In some cases, the instrument can be permanently attached to the handpiece. In other cases, the instrument may be removable from the handpiece, such as in the case of disposable or replaceable instruments. The end effector transmits ultrasonic energy to tissue in contact with the end effector to achieve the cutting and sealing action. Such ultrasonic surgical devices can be configured for open surgical applications, laparoscopic or endoscopic surgery, including robot-assisted surgery.
超音波エネルギーは、電気外科処置において使用されるものよりも低い温度を使用して組織を切断及び凝固し、ハンドピースと通信する超音波発生器によってエンドエフェクタに伝達され得る。超音波ブレードは、高周波(例えば、毎秒55,500サイクル)で振動して、組織中のタンパク質を変性させて粘着性の凝塊を形成する。ブレード表面によって組織に対して圧力をかけると血管が潰れ、凝塊が止血シールを形成することを可能にする。外科医は、エンドエフェクタによって組織に印加される力による切断速度及び凝固、力が印加される時間、並びに選択されるエンドエフェクタの実行レベルを制御することができる。 Ultrasonic energy cuts and coagulates tissue using lower temperatures than those used in electrosurgery and may be transmitted to the end effector by an ultrasound generator in communication with the handpiece. The ultrasonic blade vibrates at high frequencies (eg, 55,500 cycles per second) to denature proteins in the tissue and form sticky clots. Pressure applied against the tissue by the blade surface collapses the blood vessel, allowing the clot to form a hemostatic seal. The surgeon can control the rate of cutting and coagulation due to the force applied to the tissue by the end effector, the time the force is applied, and the level of performance of the end effector selected.
超音波変換器は、共振器の電気機械特性を規定する、静電容量を有する第1ブランチ、直列接続されたインダクタンス、抵抗、及び容量を有する第2「動作」ブランチを含む等価の回路としてモデル化され得る。既知の超音波発生器は、発生器駆動信号電流の実質的に全部が動作ブランチ内に流れるように、ある共振周波数において静電容量をチューンアウト(tuning out)するための調整インダクタを含み得る。したがって、調整インダクタを使用することにより、発生器の駆動信号電流は、動作ブランチ電流を表し、したがって発生器はその駆動信号を制御して超音波変換器の共振周波数を維持することができる。調整インダクタはまた、発生器の周波数固定能力を改善するために、超音波変換器の相インピーダンスプロットを変換することができる。しかしながら、調整インダクタは、動作共振周波数において、超音波変換器の特定の静電容量と適合しなくてはならない。換言すると、異なる静電容量を有する異なる超音波変換器は、異なる調整インダクタを必要とする。 The ultrasonic transducer is modeled as an equivalent circuit including a first branch with a capacitance, a second "working" branch with a series connected inductance, resistance, and capacitance, defining the electromechanical properties of the resonator. can be converted into Known ultrasound generators may include a tuning inductor to tune out the capacitance at a resonant frequency so that substantially all of the generator drive signal current flows into the operating branch. Therefore, by using a tuning inductor, the generator's drive signal current represents the operating branch current, and the generator can therefore control its drive signal to maintain the resonant frequency of the ultrasound transducer. The tuning inductor can also transform the phase impedance plot of the ultrasound transducer to improve the frequency fixing ability of the generator. However, the tuning inductor must match the specific capacitance of the ultrasound transducer at the operating resonant frequency. In other words, different ultrasound transducers with different capacitances require different tuning inductors.
加えて、いくつかの超音波発生器構造において、発生器駆動信号は、インピーダンス規模及び相測定を複雑化する非対称高調波歪みを呈する。例えば、インピーダンス相測定値の正確性は、電流信号及び電圧信号の高調波歪みにより低減し得る。 Additionally, in some ultrasound generator structures, the generator drive signal exhibits asymmetric harmonic distortion that complicates impedance magnitude and phase measurements. For example, the accuracy of impedance phase measurements may be reduced by harmonic distortion of the current and voltage signals.
その上、騒音環境における電磁干渉が、超音波変換器の共振周波数の固定を維持する発生器の能力を低減し、無効な制御アルゴリズム入力の可能性を増加させる。 Moreover, electromagnetic interference in a noisy environment reduces the generator's ability to maintain the ultrasound transducer's resonant frequency fixed, increasing the likelihood of invalid control algorithm inputs.
組織を処置かつ/又は破壊するために、組織に電気エネルギーを印加するための電気外科用装置はまた、外科手技において、ますます広範な用途が見出されている。電気外科用装置は、ハンドピース及び遠位に取り付けられたエンドエフェクタ(例えば、1つ又は2つ以上の電極)を有する器具を含み得る。エンドエフェクタは、電流が組織内に導入されるように、組織に対して位置決めすることができる。電気外科用装置は、双極又は単極動作用に構成することができる。双極動作中、電流はそれぞれ、エンドエフェクタの作動電極によって組織に導入され、エンドエフェクタの戻り電極によって組織から戻される。単極動作中、電流は、エンドエフェクタの活性電極によって組織に導入され、患者の体に別個に位置する戻り電極(例えば、接地パッド)を介して戻される。組織を流れる電流によって生成される熱は、組織内及び/又は組織間の止血封止を形成してもよく、したがって、例えば、血管を封止するために特に有用であってもよい。電気外科用装置のエンドエフェクタはまた、組織に対して可動である切断部材、及び組織を横切開するための電極を含み得る。 Electrosurgical devices for applying electrical energy to tissue to treat and/or destroy tissue are also finding increasingly widespread use in surgical procedures. An electrosurgical device may include an instrument having a handpiece and a distally attached end effector (eg, one or more electrodes). The end effector can be positioned relative to tissue such that electrical current is introduced into the tissue. Electrosurgical devices can be configured for bipolar or monopolar operation. During bipolar operation, current is introduced into the tissue by the end effector's working electrode and returned from the tissue by the end effector's return electrode, respectively. During monopolar operation, electrical current is introduced into the tissue by the active electrode of the end effector and returned through a return electrode (eg, a ground pad) located separately on the patient's body. The heat generated by the electrical current flowing through the tissue may form a hemostatic seal within and/or between tissues, and thus may be particularly useful, for example, for sealing blood vessels. The end effector of the electrosurgical device may also include a cutting member movable relative to the tissue and an electrode for transecting the tissue.
電気外科用装置によって適用される電気エネルギーは、ハンドピースと通信する発生器によって器具へと伝達され得る。電気エネルギーは、無線周波数(RF)エネルギーの形態であってもよい。RFエネルギーは、EN60601-2-2:2009+A11:2011,Definition 201.3.218-HIGH FREQUENCYで説明されているように、300kHz~1MHzの周波数範囲内であり得る電気エネルギーの形態である。例えば、単極RF用途における周波数は、典型的には、5MHz未満に制限される。しかしながら、双極RF用途においては、周波数は、ほぼどのような値であってもよい。200kHz超の周波数は、典型的には、低周波数の電流の使用から生じる神経及び筋肉の不必要な刺激を避けるために、単極用途に使用される。リスク分析が、神経筋刺激の可能性が許容可能なレベルにまで緩和されたと示す場合は、より低い周波数を双極技術に使用することができる。高周波数漏洩電流に関連する問題を最小限に抑えるために、5MHz超の周波数は、通常使用されない。一般に、10mAが、組織への熱効果の下側閾値であると認識されている。 Electrical energy applied by an electrosurgical device may be transmitted to the instrument by a generator in communication with the handpiece. The electrical energy may be in the form of radio frequency (RF) energy. RF energy is a form of electrical energy that can be within the frequency range of 300 kHz to 1 MHz, as described in EN60601-2-2:2009+A11:2011, Definition 201.3.218-HIGH FREQUENCY. For example, frequencies in unipolar RF applications are typically limited to less than 5 MHz. However, in bipolar RF applications, the frequency can be almost any value. Frequencies above 200 kHz are typically used for monopolar applications to avoid unnecessary stimulation of nerves and muscles resulting from the use of low frequency currents. Lower frequencies may be used for bipolar techniques if the risk analysis indicates that the potential for neuromuscular stimulation has been mitigated to an acceptable level. To minimize problems associated with high frequency leakage currents, frequencies above 5 MHz are typically not used. It is generally recognized that 10 mA is the lower threshold for thermal effects on tissue.
その動作中に、電気外科用装置は組織を通して低周波数RFエネルギーを伝達することができ、これによってイオン性攪拌又は摩擦、つまりは抵抗加熱が引き起こされ、組織の温度が上昇する。処置される組織とその周囲組織との間にはっきりとした境界が形成され得るため、外科医は隣接する非対象組織を犠牲にすることなく、高レベルの精度及び制御で手術をすることができる。RFエネルギーの低動作温度は、軟組織を除去、収縮、又は彫刻しつつ同時に血管を封止する上で有用であり得る。RFエネルギーは、主にコラーゲンから構成されて熱と接触すると収縮する結合組織に特によく作用し得る。 During its operation, the electrosurgical device can transmit low frequency RF energy through tissue, which causes ionic agitation or friction, or resistive heating, to increase the temperature of the tissue. Sharp boundaries can be formed between the treated tissue and its surrounding tissue, allowing the surgeon to operate with a high level of precision and control without sacrificing adjacent non-target tissue. The low operating temperature of RF energy can be useful in removing, shrinking, or sculpting soft tissue while simultaneously sealing blood vessels. RF energy can work particularly well on connective tissue, which is primarily composed of collagen and contracts when it comes in contact with heat.
これらの固有の駆動信号、感知及びフィードバックの必要性により、超音波及び電気外科用装置は、一般的に異なる発生器を必要とした。加えて、器具が使い捨てであるか又はハンドピースと互換可能である場合、超音波及び電気外科用発生器は、使用される特定の器具構成を認識し、したがって制御及び診断プロセスを最適化するそれらの能力を制限される。更に、発生器の非絶縁回路と患者絶縁回路との間の容量結合は、特により高い電圧及び周波数が使用される場合において、患者を許容不可能なレベルの漏れ電流に暴露する結果となり得る。 Because of their unique drive signal, sensing and feedback needs, ultrasound and electrosurgical devices generally require different generators. In addition, if the instrument is disposable or compatible with the handpiece, ultrasound and electrosurgical generators are aware of the specific instrument configuration used, thus optimizing the control and diagnostic process. ability is limited. Additionally, capacitive coupling between the generator's non-isolated circuits and the patient-isolated circuits can result in exposing the patient to unacceptable levels of leakage current, especially when higher voltages and frequencies are used.
更にこれらの固有の駆動信号、感知及びフィードバックの必要性により、超音波及び電気外科用装置は、一般的に様々な発生器のために様々なユーザインターフェースを必要としてきた。こうした従来の超音波及び電気外科用装置では、1つのユーザインターフェースが超音波器具と共に使用するように構成され、一方で、別のユーザインターフェースが電気外科用器具と共に使用するように構成される場合がある。こうしたユーザインターフェースとしては、手起動式スイッチ及び/又は足起動式スイッチなどの、手及び/又は足起動式ユーザインターフェースが挙げられる。超音波及び電気外科用器具の両方と共に使用するための組み合わせられた発生器の様々な態様が、後続の開示で想到されるため、超音波及び/又は電気外科用器具発生器の両方と共に動作するように構成された追加のユーザインターフェースもまた検討される。 Furthermore, due to their unique drive signal, sensing and feedback needs, ultrasound and electrosurgical devices have generally required different user interfaces for different generators. In these conventional ultrasound and electrosurgical devices, one user interface may be configured for use with an ultrasound instrument while another user interface is configured for use with an electrosurgical instrument. be. Such user interfaces include hand- and/or foot-activated user interfaces, such as hand-activated switches and/or foot-activated switches. Various embodiments of a combined generator for use with both ultrasonic and electrosurgical instruments are contemplated in subsequent disclosures to operate with both ultrasonic and/or electrosurgical instrument generators. Additional user interfaces configured as such are also contemplated.
超音波及び/又は電気外科用器具のいずれかの動作モード又は状態を示すフィードバックを提供するためにユーザ又はその他の機械のいずれかにフィードバックを提供するための追加のユーザインターフェースが後続の開示内で検討される。超音波及び/又は電気外科用器具の組み合わせを操作するためのユーザ及び/又は機械フィードバックを提供することは、ユーザに感覚フィードバックを提供すること、及び機械に電気/機械/電気機械的フィードバックを提供することを必要とする。組み合わせられた超音波及び/又は電気外科用器具で使用するために、視覚フィードバック装置(例えば、LCDディスプレイスクリーン、LEDインジケータ)、可聴フィードバック装置(例えば、スピーカ、ブザー)、又は触覚フィードバック装置(例えば、触覚アクチュエータ)を組み込むフィードバック装置が、後続の開示内で検討される。 Additional user interfaces for providing feedback to either the user or other machines to provide feedback indicating the operating mode or status of any of the ultrasonic and/or electrosurgical instruments are provided within subsequent disclosures. Will be considered. Providing user and/or machine feedback for operating a combination of ultrasound and/or electrosurgical instruments includes providing sensory feedback to the user and providing electrical/mechanical/electromechanical feedback to the machine. need to do. For use with combined ultrasound and/or electrosurgical instruments, visual feedback devices (e.g., LCD display screens, LED indicators), audible feedback devices (e.g., speakers, buzzers), or tactile feedback devices (e.g., Feedback devices incorporating tactile actuators) are discussed within subsequent disclosures.
他の電気外科用器具として、限定はしないが、とりわけ、不可逆性及び/若しくは可逆性電気穿孔法、並びに/又はマイクロ波技術が挙げられる。したがって、本明細書で開示する技術は、とりわけ、超音波、双極若しくは単極のRF(電気外科的)、不可逆性及び/若しくは可逆性電気穿孔、並びに/又はマイクロ波に基づく外科用器具に適用可能である。 Other electrosurgical instruments include, but are not limited to, irreversible and/or reversible electroporation, and/or microwave techniques, among others. Accordingly, the techniques disclosed herein apply to ultrasound, bipolar or monopolar RF (electrosurgical), irreversible and/or reversible electroporation, and/or microwave based surgical instruments, among others. It is possible.
様々な態様が、改善された超音波外科用装置、電気外科用装置、及びこれと共に使用するための発生器を対象とする。超音波外科用装置の態様は、例えば、外科処置中に組織を横切開及び/又は凝固するように構成され得る。電気外科用装置の態様は、例えば、外科処置中に、組織を横切開、凝固、スケーリング、溶接及び/又は乾燥させるように構成され得る。 Various aspects are directed to improved ultrasonic surgical devices, electrosurgical devices, and generators for use therewith. Aspects of the ultrasonic surgical device may be configured, for example, to transect and/or coagulate tissue during a surgical procedure. Aspects of the electrosurgical device may be configured, for example, to transect, coagulate, scale, weld, and/or dry tissue during a surgical procedure.
発生器の態様は、デジタル信号処理と共に、発生器駆動信号電流及び電圧の高速アナログ-デジタルサンプリング(例えば、周波数に応じておよそ200倍のオーバーサンプリング)を使用し、既知の発生器アーキテクチャに勝る多くの利点及び利益を提供する。一態様では、例えば、電流及び電圧フィードバックデータ、超音波変換器の静電容量値、並びに駆動信号周波数値に基づき、発生器は超音波変換器の動作ブランチ電流を決定し得る。これは、実質的に調整されたシステムの利益を提供し、任意の周波数で静電容量(例えば、図25のC0)のいずれかの値と同調される又は共振するシステムの存在をシミュレートする。したがって、動作ブランチ電流の制御は、調整インダクタを必要とせずに、静電容量の効果をチューンアウトすることによって実現され得る。加えて、調整インダクタの排除は、周波数固定が、電流及び電圧フィードバックデータを好適に処理することによって実現され得るため、発生器の周波数固定能力を悪化させない場合がある。Generator aspects use high-speed analog-to-digital sampling (e.g., approximately 200x oversampling depending on frequency) of the generator drive signal currents and voltages, along with digital signal processing, and offer many advantages over known generator architectures. provides benefits and benefits. In one aspect, the generator may determine the operating branch current of the ultrasound transducer based on, for example, current and voltage feedback data, capacitance values of the ultrasound transducer, and drive signal frequency values. This simulates the existence of a system that is tuned or resonant with any value of capacitance (e.g., C0 in Figure 25) at any frequency, providing the benefit of a substantially tuned system. do. Therefore, control of the operating branch current can be achieved by tuning out the capacitance effect without the need for regulating inductors. Additionally, elimination of the tuning inductor may not degrade the frequency fixing capability of the generator, since frequency fixing may be achieved by suitably processing current and voltage feedback data.
デジタル信号処理を伴う、発生器駆動信号電流及び電圧の高速アナログ-デジタルサンプリングはまた、サンプルの正確なデジタルフィルタリングを可能にし得る。例えば、発生器の態様は、基本駆動信号周波数と、二次高調波と、の間でロールオフするローパスデジタルフィルタ(例えば、有限インパルス応答(FIR)フィルタ)を使用し、電流及び電圧フィードバックサンプルの非対称高調波歪み及びEMI誘導ノイズを低減してもよい。フィルタリングされた電流及び電圧フィードバックサンプルは、実質的に基本駆動信号周波数を表し、したがって、基本駆動信号周波数に関する、より正確なインピーダンス相測定、及び共振周波数固定を維持する発生器の能力の改善を可能にする。インピーダンス位相測定の精度は、立ち下がりエッジ及び立ち上がりエッジ位相測定値を平均し、かつ測定されたインピーダンス位相を0°に調整することによって更に向上し得る。 High speed analog-to-digital sampling of generator drive signal currents and voltages with digital signal processing may also enable precise digital filtering of the samples. For example, embodiments of the generator use a low-pass digital filter (e.g., a finite impulse response (FIR) filter) that rolls off between the fundamental drive signal frequency and a second harmonic to control current and voltage feedback samples. Asymmetric harmonic distortion and EMI induced noise may be reduced. The filtered current and voltage feedback samples substantially represent the fundamental drive signal frequency, thus allowing for more accurate impedance phase measurements with respect to the fundamental drive signal frequency and improving the generator's ability to maintain a fixed resonant frequency. Make it. The accuracy of the impedance phase measurement can be further improved by averaging the falling edge and rising edge phase measurements and adjusting the measured impedance phase to 0°.
発生器の様々な態様もまた、デジタル信号処理と共に、発生器駆動信号電流及び電圧の高速アナログ-デジタルサンプリングを使用し、高精度で、実電力消費量及び他の数量を判定することができる。これは、発生器が、例えば、組織のインピーダンスが変化する際の組織に供給される電力量の制御、及び組織インピーダンス増加の一定の割合を維持するための電力供給の制御などの、多くの有用なアルゴリズムを実行することを可能にし得る。これらのアルゴリズムのいくつかは、発生器駆動信号電流と電圧信号との間の位相差を決定するために使用される。共振時、電流信号と電圧信号との間の位相差はゼロである。超音波システムがオフレゾナンスになると位相は変化する。様々なアルゴリズムを用いて、位相差を検出し、超音波システムが共振に戻る、すなわち、電流信号と電圧信号との間の位相差がゼロになるまで駆動周波数を調整してよい。位相情報は、超音波ブレードの状態を推定するためにも使用されてよい。以下で詳細に説明するように、位相は超音波ブレードの温度の関数として変化する。したがって、位相情報は、超音波ブレードの温度を制御するために用いられてもよい。これは、例えば、超音波ブレードが過度に高温で動作しているときは超音波ブレードに送達される電力を低減し、超音波ブレードが過度に低温で動作しているときは超音波ブレードに送達される電力を増加させることによって行われ得る。 Various aspects of the generator can also use high speed analog-to-digital sampling of generator drive signal currents and voltages, along with digital signal processing, to determine actual power consumption and other quantities with high accuracy. This allows the generator to perform many useful functions, such as controlling the amount of power delivered to tissue as the tissue impedance changes, and controlling the power delivery to maintain a constant rate of increase in tissue impedance. It may be possible to perform various algorithms. Some of these algorithms are used to determine the phase difference between the generator drive signal current and voltage signal. At resonance, the phase difference between the current and voltage signals is zero. When the ultrasound system goes off-resonance, the phase changes. Various algorithms may be used to detect the phase difference and adjust the drive frequency until the ultrasound system returns to resonance, ie, the phase difference between the current and voltage signals is zero. Phase information may also be used to estimate the state of the ultrasonic blade. As explained in detail below, the phase changes as a function of the temperature of the ultrasonic blade. Therefore, phase information may be used to control the temperature of the ultrasonic blade. This, for example, reduces the power delivered to the ultrasonic blade when the ultrasonic blade is operating at excessively high temperatures, and reduces the power delivered to the ultrasonic blade when the ultrasonic blade is operating at excessively low temperatures. This can be done by increasing the power applied.
発生器の様々な態様は、超音波外科用装置及び電気外科用装置の両方を駆動するために必要な、広範な周波数範囲及び増加した出力電力を有し得る。電気外科用装置のより低い電圧、より高い電流需要は、広帯域電力変圧器の専用タップによって満たされる場合があり、したがって、別個の電力増幅器及び出力変換器の必要性を排除する。更に、発生器の感知及びフィードバック回路は、最小限の歪みの超音波及び電気外科用途の両方の必要性に応じる、大きなダイナミックレンジをサポートし得る。 Various embodiments of the generator may have a wide frequency range and increased output power necessary to drive both ultrasonic and electrosurgical devices. The lower voltage, higher current demands of electrosurgical devices may be met by dedicated taps on broadband power transformers, thus eliminating the need for separate power amplifiers and output converters. Additionally, the generator's sensing and feedback circuitry can support a large dynamic range, meeting the needs of both ultrasonic and electrosurgical applications with minimal distortion.
様々な態様が、発生器が、既存の多導体発生器/ハンドピースケーブルを使用して、ハンドピースに取り付けられた器具内に配置されたデータ回路(例えば、商品名「1-Wire」で知られる1線式プロトコルEEPROMなどの、単線式バス装置)から読み出し、かつ任意によりこれに書き込むための単純で経済的な手段を提供し得る。このようにして、発生器は、ハンドピースに取り付けられた器具から、器具に固有のデータを読み出し、処理することができる。これは、発生器がより良い制御及び改善された診断及び誤差検出を提供することを可能にし得る。加えて、発生器が器具にデータを書き込む能力は、例えば、器具の使用を追跡し、動作データを捕捉する点において、可能な新しい機能性を生じる。加えて、周波数帯域の使用は、既存の発生器のバス装置を含む器具の後方互換性を可能にする。 Various embodiments provide that the generator uses existing multi-conductor generator/handpiece cables to connect data circuits (e.g., known under the trade name "1-Wire") located within the instrument attached to the handpiece. The present invention provides a simple and economical means for reading from, and optionally writing to, a single-wire bus device (such as a single-wire protocol EEPROM). In this way, the generator can read and process instrument-specific data from the instrument attached to the handpiece. This may allow the generator to provide better control and improved diagnostics and error detection. Additionally, the ability of the generator to write data to the instrument creates possible new functionality, for example in tracking instrument usage and capturing operational data. In addition, the use of frequency bands allows backward compatibility of equipment including existing generator bus devices.
発生器の開示される態様は、発生器の非絶縁回路と患者絶縁回路との間の、意図しない容量結合によって生じる、漏れ電流のアクティブ除去を提供する。患者のリスクを低減することに加え、漏れ電流の低減はまた、電磁放射を低減し得る。 The disclosed embodiments of the generator provide active removal of leakage currents caused by unintentional capacitive coupling between the generator's non-isolated circuits and the patient-isolated circuits. In addition to reducing patient risk, reducing leakage current may also reduce electromagnetic emissions.
図40は、本開示の少なくとも1つの態様による、複数の独立して動作する回路セグメント7402、7414、7416、7420、7424、7428、7434、7440を備えるセグメント化回路7401のシステム図7400である。セグメント化回路7401の複数の回路セグメントの回路セグメントは、1つ又は2つ以上の回路と、1つ又は2つ以上のメモリ装置に記憶された1つ又は2つ以上の機械実行可能命令のセットと、を含む。回路セグメントの1つ又は2つ以上の回路は、1つ又は2つ以上の有線又は無線接続媒体を通して電気通信のために結合される。複数の回路セグメントは、スリープモード、スタンバイモード及び動作モードを含む3つのモードの間で遷移するように構成される。 FIG. 40 is a system diagram 7400 of a
示される一態様では、複数の回路セグメント7402、7414、7416、7420、7424、7428、7434、7440は、第1にスタンバイモードで開始し、第2にスリープモードに移行し、第3に動作モードへ移行する。しかしながら、他の態様では、複数の回路セグメントは、3つのモードのうちのいずれか1つから、3つのモードのうちの任意の他の1つに遷移することができる。例えば、複数の回路セグメントは、スタンバイモードから動作モードに直接遷移することができる。個々の回路セグメントは、機械実行可能命令のプロセッサによる実行に基づいて、電圧制御回路7408によって特定の状態に置かれ得る。これらの状態は、非通電状態、低エネルギー状態及び通電状態を含む。非通電状態はスリープモードに対応し、低エネルギー状態はスタンバイモードに対応し、通電状態は動作モードに対応する。低エネルギー状態への遷移は、例えば、ポテンショメータの使用によって実現することができる。 In one aspect shown, the plurality of
一態様では、複数の回路セグメント7402、7414、7416、7420、7424、7428、7434、7440は、通電シーケンスに従ってスリープモード又はスタンバイモードから動作モードに移行することができる。複数の回路セグメントはまた、非通電シーケンスに従って動作モードからスタンバイモード又はスリープモードに遷移することができる。通電シーケンス及び非通電シーケンスは異なっていてもよい。いくつかの態様では、通電シーケンスは、複数の回路セグメントの回路セグメントのサブセットのみに通電することを含む。いくつかの態様では、非通電シーケンスは、複数の回路セグメントの回路セグメントのサブセットのみ通電を停止することを含む。 In one aspect, the plurality of
図40のシステム図7400を再び参照すると、セグメント化回路7401は、移行回路セグメント7402、プロセッサ回路セグメント7414、ハンドル回路セグメント7416、通信回路セグメント7420、ディスプレイ回路セグメント7424、モータ制御回路セグメント7428、エネルギー処置回路セグメント7434、及びシャフト回路セグメント7440を備える、複数の回路セグメントを備える。移行回路セグメントは、ウェイクアップ回路7404、ブースト電流回路7406、電圧制御回路7408、安全コントローラ7410、及びPOSTコントローラ7412を備える。移行回路セグメント7402は、非通電及び通電シーケンス、安全検出プロトコル、並びにPOSTを実装するように構成される。 Referring again to system diagram 7400 of FIG. 40,
いくつかの態様では、ウェイクアップ回路7404は、加速度計ボタンセンサ7405を備える。態様では、移行回路セグメント7402は、通電状態にあるように構成されるが、セグメント化回路7401の複数の回路セグメントの他の回路セグメントは、低エネルギー状態、非通電状態、又は通電状態にあるように構成される。加速度計ボタンセンサ7405は、本明細書に記載される外科用器具6480の移動又は加速を監視してもよい。例えば、移動は、外科用器具の配向の変化又は回転であり得る。外科用器具は、例えば、外科用器具のユーザによって、3次元ユークリッド空間に対して任意の方向に移動することができる。加速度計ボタンセンサ7405が移動又は加速を感知すると、加速度計ボタンセンサ7405は、電圧制御回路7408に信号を送り、電圧制御回路7408にプロセッサ回路セグメント7414に電圧を印加させて、プロセッサ及び揮発性メモリを通電状態に移行させる。態様では、電圧制御回路7409がプロセッサ及び揮発性メモリに電圧を印加する前は、プロセッサ及び揮発性メモリは通電状態にある。動作モードでは、プロセッサは、通電シーケンス又は非通電シーケンスを開始することができる。様々な態様では、加速度計ボタンセンサ7405はまた、プロセッサに信号を送り、プロセッサに通電シーケンス又は非通電シーケンスを開始させることができる。いくつかの態様では、個々の回路セグメントの大部分が低エネルギー状態又は非通電状態にあるとき、プロセッサは通電シーケンスを開始する。他の態様では、個々の回路セグメントの大部分が通電状態にあるとき、プロセッサは非通電シーケンスを開始する。 In some aspects, wake-
更に又はあるいは、加速度計ボタンセンサ7405は、外科用器具の所定の近傍内の外部移動を感知することができる。例えば、加速度計ボタンセンサ7405は、所定の近傍内でユーザの手を移動させる、本明細書に記載の外科用器具6480のユーザを感知することができる。加速度計ボタンセンサ7405がこの外部移動を感知すると、加速度計ボタンセンサ7405は、上述したように、電圧制御回路7408に信号を送り、かつプロセッサに信号を送ることができる。送られた信号を受信した後、プロセッサは、通電シーケンス又は非通電シーケンスを開始して、1つ又は2つ以上の回路セグメントを3つのモード間で移行させることができる。態様では、電圧制御回路7408に送られた信号は、プロセッサが動作モードにあることを検証するために送られる。いくつかの態様では、加速度計ボタンセンサ7405は、外科用器具が落下したときを感知し、感知された落下に基づいてプロセッサに信号を送ることができる。例えば、信号は、個々の回路セグメントの動作におけるエラーを示すことができる。1つ又は2つ以上のセンサは、影響を受けた個々の回路セグメントの損傷又は誤動作を感知することができる。感知された損傷又は誤動作に基づいて、POSTコントローラ7412は、対応する個々の回路セグメントのPOSTを実施することができる。 Additionally or alternatively,
通電シーケンス又は非通電シーケンスは、加速度計ボタンセンサ7405に基づいて定義され得る。例えば、加速度計ボタンセンサ7405は、複数の回路セグメントの特定の回路セグメントの選択を示す、特定の運動又は運動のシーケンスを感知することができる。感知された運動又は一連の感知された運動に基づいて、加速度計ボタンセンサ7405は、プロセッサが通電状態にあるときに、複数の回路セグメントのうちの1つ又は2つ以上の回路セグメントの指示を含む信号を、プロセッサに送信することができる。この信号に基づいて、プロセッサは、選択された1つ又は2つ以上の回路セグメントを含む通電シーケンスを決定する。更に又はあるいは、本明細書に記載される外科用器具6480のユーザは、回路セグメントの数及び順序を選択して、外科用器具のグラフィカルユーザインターフェース(GUI)との対話に基づいて、通電シーケンス又は非通電シーケンスを定義することができる。 An energizing or de-energizing sequence may be defined based on the
様々な態様では、加速度計ボタンセンサ7405は、加速度計ボタンセンサ7405が、本明細書に記載される外科用器具6480の移動、又は所定の閾値を上回る所定の近傍内の外部移動を検出したときにのみ、電圧制御回路7408に信号を送り、かつプロセッサに信号を送ることができる。例えば、移動が5秒以上感知された場合、又は外科用器具が5インチ以上移動された場合にのみ信号が送られ得る。他の態様では、加速度計ボタンセンサ7405は、加速度計ボタンセンサ7405が、外科用器具の振動移動を検出したときにのみ、電圧制御回路7408に信号を送り、かつプロセッサに信号を送ることができる。所定の閾値は、外科用器具の回路セグメントの不用意な遷移を低減する。前述のように、遷移は、通電シーケンスに従う動作モードへの遷移、非通電シーケンスに従う低エネルギーモードへの遷移又は非通電シーケンスに従うスリープモードへの遷移を含むことができる。いくつかの態様では、外科用器具は、外科用器具のユーザによって作動され得るアクチュエータを備える。この作動は、加速度計ボタンセンサ7405によって感知される。アクチュエータは、スライダ、トグルスイッチ、又は瞬間接触スイッチであってもよい。感知された作動に基づいて、加速度計ボタンセンサ7405は、電圧制御回路7408に信号を送り、かつプロセッサに信号を送ることができる。 In various aspects, the
ブースト電流回路7406は、電池に結合されている。ブースト電流回路7406は、リレー又はトランジスタなどの電流増幅器であり、個々の回路セグメントの電流の大きさを増幅するように構成されている。電流の初期の大きさは、電池によってセグメント化回路7401に提供される電源電圧に対応する。好適なリレーは、ソレノイドを含む。好適なトランジスタは、電界効果トランジスタ(FET)、MOSFET及び双極接合トランジスタ(bipolar junction transistor、BJT)を含む。ブースト電流回路7406は、本明細書に記載される外科用器具6480の動作中により多くの電流引き込みを必要とする、個々の回路セグメント又は回路に対応する電流の大きさ増幅させることができる。例えば、モータ制御回路セグメント7428に対する電流の増加は、外科用器具のモータがより多くの入力電力を必要とするときに提供され得る。個々の回路セグメントに提供される電流の増加は、別の回路セグメント又は複数の回路セグメントの対応する電流の減少を引き起こすことができる。更に又はあるいは、電流の増加は、電池と共に動作する追加の電圧源によって提供される電圧に対応し得る。 A boost
電圧制御回路7408は電池に結合されている。電圧制御回路7408は、複数の回路セグメントに電圧を提供するか、又はこれらから電圧を除去するように構成される。電圧制御回路7408はまた、セグメント化回路7401の複数の回路セグメントに提供される電圧を増加又は低減するようにも構成される。様々な態様では、電圧制御回路7408は、入力を選択するマルチプレクサ(MUX)などの組み合わせ論理回路、複数の電子スイッチ、及び複数の電圧変換器を備える。複数の電子スイッチの電子スイッチは、開放構成と閉鎖構成との間で切り換えて、個々の回路セグメントを電池から切断するか、又は電池に接続するように構成されてもよい。複数の電子スイッチは、トランジスタなどの固体装置、又は中でも特に、無線スイッチ、超音波スイッチ、加速度計、慣性センサなどの他のタイプのスイッチであってもよい。組み合わせ論理回路は、開放構成に切り換えて、対応する回路セグメントへの電圧の印加を可能にするために、個々の電子スイッチを選択するように構成されている。組み合わせ論理回路はまた、閉鎖構成に切り換えて、対応する回路セグメントからの電圧の除去を可能にするために、個々の電子スイッチを選択するように構成されている。複数の個々の電子スイッチを選択することにより、組み合わせ論理回路は、非通電シーケンス又は通電シーケンスを実装することができる。複数の電圧変換器は、複数の回路セグメントに昇圧電圧又は降圧電圧を提供することができる。電圧制御回路7408はまた、マイクロプロセッサ及びメモリ装置を含んでもよい。 Voltage control circuit 7408 is coupled to the battery. Voltage control circuit 7408 is configured to provide voltage to or remove voltage from multiple circuit segments. Voltage control circuit 7408 is also configured to increase or decrease the voltage provided to multiple circuit segments of
安全コントローラ7410は、回路セグメントの安全チェックを実施するように構成されている。いくつかの態様では、安全コントローラ7410は、1つ又は2つ以上の個々の回路セグメントが動作モードにあるとき、安全チェックを実施する。安全チェックは、回路セグメントの機能又は動作に任意のエラー又は欠陥があるかを決定するために実施されてもよい。安全コントローラ7410は、複数の回路セグメントのうちの1つ又は2つ以上のパラメータを監視することができる。安全コントローラ7410は、1つ又は2つ以上のパラメータを既定のパラメータと比較することによって、複数の回路セグメントの識別情報及び動作を検証することができる。例えば、RFエネルギーモダリティが選択されると、安全コントローラ7410は、シャフトの関節運動パラメータが既定の関節運動パラメータに一致していることを検証して、本明細書に記載される外科用器具6480のRFエネルギーモダリティの動作を検証することができる。いくつかの態様では、安全コントローラ7410は、センサによって、障害を検出するために外科用器具の1つ又は2つ以上の特性の間の所定の関係を監視してもよい。1つ又は2つ以上の特性が所定の関係に不一致であるときに、障害が生じ得る。安全コントローラ7410が、障害が存在するか、エラーが存在するか、又は複数の回路セグメントの一部の動作が検証されなかったと判断すると、安全コントローラ7410は、その障害、エラー、又は検証の失敗が発生した特定の回路セグメントの動作を防止するか又は無効にする。
POSTコントローラ7412は、複数の回路セグメントの適正な動作を検証するためのPOSTを実施する。いくつかの態様では、電圧制御回路7408が個々の回路セグメントに電圧を印加して個々の回路セグメントをスタンバイモード又はスリープモードから動作モードに移行させる前に、POSTが複数の回路セグメントの個々の回路セグメントに対して実施される。個々の回路セグメントがPOSTを通過しない場合、特定の回路セグメントは、スタンバイモード又はスリープモードから動作モードに遷移しない。ハンドル回路セグメント7416のPOSTは、例えば、ハンドル制御センサ7418が、本明細書に記載される外科用器具6480のハンドル制御の作動を感知するかどうかを試験することを含んでもよい。いくつかの態様では、POSTコントローラ7412は、加速度計ボタンセンサ7405に信号を送り、POSTの一部として個々の回路セグメントの動作を検証することができる。例えば、信号を受信した後、加速度計ボタンセンサ7405は、外科用器具のユーザに、外科用器具を複数の様々な位置に移動させて、外科用器具の動作を確認するように促すことができる。加速度計ボタンセンサ7405はまた、POSTの一部として回路セグメントの出力又は回路セグメントの回路を監視してもよい。例えば、加速度計ボタンセンサ7405は、モータ7432によって生成された増分モータパルスを感知して、動作を検証することができる。モータ制御回路7430のモータコントローラを使用して、モータ7432を制御して増分モータパルスを生成し得る。 POST controller 7412 performs POST to verify proper operation of multiple circuit segments. In some aspects, POST applies voltages to individual circuit segments of the plurality of circuit segments before voltage control circuit 7408 applies voltages to the individual circuit segments to transition the individual circuit segments from standby or sleep mode to operational mode. Performed on segments. If an individual circuit segment does not pass POST, the particular circuit segment will not transition from standby or sleep mode to operational mode. POST of
様々な態様では、本明細書に記載される外科用器具6480は、追加の加速度計ボタンセンサを備えてもよい。POSTコントローラ7412はまた、電圧制御回路7408のメモリ装置に記憶されている制御プログラムを実行してもよい。制御プログラムは、POSTコントローラ7412に、複数の回路セグメントから一致する暗号化パラメータを要求する信号を送信させることができる。個々の回路セグメントから一致する暗号化パラメータを受信するのに失敗することは、対応する回路セグメントが破損又は誤動作していることをPOSTコントローラ7412に示す。いくつかの態様では、POSTコントローラ7412が、POSTに基づいてプロセッサが破損又は誤動作していると判断する場合、POSTコントローラ7412は、1つ又は2つ以上の二次プロセッサに信号を送り、1つ又は2つ以上の二次プロセッサに、プロセッサが実施することができない限界機能を実施させることができる。いくつかの態様では、POSTコントローラ7412が、POSTに基づいて1つ又は2つ以上の回路セグメントが適切に動作していないと判断する場合、POSTコントローラ7412は、POSTに失敗したか、又は適切に動作していない回路セグメントをロックアウトしながら、適切に動作する回路セグメントの低性能モードを開始することができる。ロックアウトした回路セグメントは、スタンバイモード又はスリープモードの回路セグメントと同様に機能することができる。 In various aspects, the surgical instruments 6480 described herein may include additional accelerometer button sensors. POST controller 7412 may also execute a control program stored in a memory device of voltage control circuit 7408. The control program can cause the POST controller 7412 to send signals requesting matching encryption parameters from multiple circuit segments. Failure to receive matching encryption parameters from an individual circuit segment indicates to the POST controller 7412 that the corresponding circuit segment is corrupted or malfunctioning. In some aspects, if the POST controller 7412 determines that a processor is corrupted or malfunctioning based on the POST, the POST controller 7412 sends a signal to one or more secondary processors to Or, two or more secondary processors can perform marginal functions that a processor cannot perform. In some aspects, if POST controller 7412 determines that one or more circuit segments are not operating properly based on POST, POST controller 7412 determines that POST has failed or A lower performance mode can be initiated for properly operating circuit segments while locking out non-operating circuit segments. A locked out circuit segment may function similar to a circuit segment in standby or sleep mode.
プロセッサ回路セグメント7414は、プロセッサ及び揮発性メモリを含む。このプロセッサは、通電又は非通電シーケンスを開始するよう構成されている。通電シーケンスを開始するために、プロセッサは、電圧制御回路7408に通電信号を送信して、電圧制御回路7408に、通電シーケンスに従って複数の回路セグメント又は複数の回路セグメントのサブセットに電圧を印加させる。非通電シーケンスを開始するために、プロセッサは、電圧制御回路7408に非通電信号を送信して、電圧制御回路7408に、非通電シーケンスに従って複数の回路セグメント又は複数の回路セグメントのサブセットから電圧を除去させる。
ハンドル回路セグメント7416は、ハンドル制御センサ7418を備える。ハンドル制御センサ7418は、本明細書に記載される外科用器具6480の1つ又は2つ以上のハンドル制御部の作動を感知し得る。様々な態様では、1つ又は2つ以上のハンドル制御は、クランプ制御、解除ボタン、関節接合スイッチ、エネルギー起動ボタン、及び/又は任意の他の適切なハンドル制御を含む。ユーザは、エネルギー起動ボタンを起動して、RFエネルギーモード、超音波エネルギーモード、又はRFエネルギーモード及び超音波エネルギーモードの組み合わせを選択することができる。ハンドル制御センサ7418はまた、外科用器具へのモジュール式ハンドルの取り付けを容易にすることができる。例えば、ハンドル制御センサ7418は、外科用器具へのモジュール式ハンドルの適正な取り付けを感知して、外科用器具のユーザに感知した取り付けを示すことができる。LCDディスプレイ7426は、感知された取り付けのグラフィック表示を提供することができる。いくつかの態様では、ハンドル制御センサ7418は、1つ又は2つ以上のハンドル制御の作動を感知する。感知された作動に基づいて、プロセッサは、通電シーケンス又は非通電シーケンスのいずれかを開始することができる。 Handle
通信回路セグメント7420は、通信回路7422を備えている。通信回路7422は、複数の回路セグメントの個々の回路セグメント間の信号通信を容易にするための通信インターフェースを備える。いくつかの態様では、通信回路7422は、電気的に通信するために、本明細書に記載の外科用器具6480のモジュール式構成要素のための経路を提供する。例えば、モジュールシャフト及びモジュール変換器は、外科用器具のハンドルに対して一体に取り付けられると、通信回路7422を介して制御プログラムをハンドルにアップロードすることができる。
ディスプレイ回路セグメント7424は、LCDディスプレイ7426を備えている。LCDディスプレイ7426は、液晶ディスプレイスクリーン、LEDインジケータなどを備えることができる。いくつかの態様では、LCDディスプレイ7426は、有機発光ダイオード(organic light-emitting diode、OLED)スクリーンである。ディスプレイは、本明細書に記載される外科用器具6480の上に配置されても、埋め込まれても、又は遠隔に配置されてもよい。例えば、ディスプレイは、外科用器具のハンドル上に配置され得る。ディスプレイは、ユーザに感覚フィードバックを提供するように構成される。様々な態様では、LCDディスプレイ7426は、バックライトを更に備える。いくつかの態様では、外科用器具はまた、スピーカ又はブザーなどの可聴フィードバック装置と、触覚アクチュエータなどの触覚フィードバック装置とを備えることができる。
モータ制御回路セグメント7428は、モータ7432に結合されたモータ制御回路7430を備える。モータ7432は、ドライバ及びFETなどのトランジスタによってプロセッサに結合されている。様々な態様では、モータ制御回路7430は、プロセッサと信号通信するモータ電流センサを含み、モータの電流引き込みの測定値を示す信号をプロセッサに提供する。プロセッサは、ディスプレイに信号を送信する。ディスプレイは、この信号を受信して、モータ7432の電流引き込みの測定値を表示する。プロセッサは、信号を使用して、例えば、モータ7432の電流引き込みが許容範囲内に存在することを監視し、電流引き込みを複数の回路セグメントの1つ又は2つ以上のパラメータと比較し、かつ患者処置部位の1つ又は2つ以上のパラメータを決定することができる。様々な態様では、モータ制御回路7430は、モータの動作を制御するモータコントローラを備える。例えば、モータ制御回路7430は、例えばモータ7432の速度、トルク、及び加速度を調整することなどによって、様々なモータパラメータを制御する。この調整は、モータ電流センサにより測定されたモータ7432を通る電流に基づいて行われる。 Motor
様々な態様では、モータ制御回路7430は、モータ7432によって生成される力及びトルクを測定する力センサを備える。モータ7432は、本明細書に記載される外科用器具6480の機構を作動させるように構成される。例えば、モータ7432は、外科用器具のシャフトの作動を制御して、クランプ、回転、及び関節運動機能を実現するように構成される。例えば、モータ7432は、外科用器具のジョーとのクランプ運動を実現するようにシャフトを作動させることができる。モータコントローラは、ジョーによってクランプされた材料が、組織又は金属であるかを決定することができる。モータコントローラはまた、ジョーが材料をクランプする程度を決定してもよい。例えば、モータコントローラは、感知されたモータ電流又はモータ電圧の誘導体に基づいて、ジョーの開閉の程度を決定することができる。いくつかの態様では、モータ7432は、変換器を作動させて、変換器にトルクをハンドルに印加させるように、又は外科用器具の関節運動を制御させるように構成される。モータ電流センサは、モータコントローラと相互作用して、モータ電流制限を設定することができる。電流が既定の閾値制限を満たす場合、モータコントローラは、モータ制御動作の対応する変更を開始する。例えば、モータ電流制限を超えると、モータコントローラにモータの電流引き込みを低減させる。 In various aspects,
エネルギー処置回路セグメント7434は、本明細書に記載される外科用器具6480のエネルギーモジュール機能を実装するために、RF増幅器及び安全回路7436、並びに超音波信号発生器回路7438を含む。様々な態様では、RF増幅器及び安全回路7436は、RF信号を生成することによって外科用器具のRFモダリティを制御するように構成される。超音波信号発生器回路7438は、超音波信号を生成することによって超音波エネルギーモダリティを制御するように構成される。RF増幅器及び安全回路7436、並びに超音波信号発生器回路7438は、合同して組み合わせRF及び超音波エネルギーモダリティを制御するように動作することができる。 Energy
シャフト回路セグメント7440は、シャフトモジュールコントローラ7442、モジュール制御アクチュエータ7444、1つ又は2つ以上のエンドエフェクタセンサ7446、及び不揮発性メモリ7448を備える。シャフトモジュールコントローラ7442は、プロセッサによって実行される制御プログラムを含む複数のシャフトモジュールを制御するように構成される。複数のシャフトモジュールは、超音波、組み合わせ超音波及びRF、RF I-ブレード並びにRF対向可能なジョーなどのシャフトモダリティを実装する。シャフトモジュールコントローラ7442は、プロセッサが実行する対応するシャフトモジュールを選択することによって、シャフトモダリティを選択することができる。モジュール制御アクチュエータ7444は、選択されたシャフトモダリティに従ってシャフトを作動させるように構成される。作動が開始された後、シャフトは、選択されたシャフトモダリティ及び選択されたエンドエフェクタモダリティに固有の1つ又は2つ以上のパラメータ、ルーチン又はプログラムに従ってエンドエフェクタを関節接合する。エンドエフェクタに位置する1つ又は2つ以上のエンドエフェクタセンサ7446は、力センサ、温度センサ、電流センサ、又は運動センサを含むことができる。1つ又は2つ以上のエンドエフェクタセンサ7446は、エンドエフェクタによって実施されたエネルギーモダリティに基づいて、エンドエフェクタの1つ又は2つ以上の動作に関するデータを送信する。様々な態様では、エネルギーモデルは、超音波エネルギーモダリティ、RFエネルギーモダリティ又は超音波エネルギーモダリティ及びRFエネルギーモダリティとの組み合わせを含む。不揮発性メモリ7448は、シャフト制御プログラムを記憶する。制御プログラムは、シャフトに固有の1つ又は2つ以上のパラメータ、ルーチン又はプログラムを含む。様々な態様では、不揮発性メモリ7448は、ROM、EPROM、EEPROM、又はフラッシュメモリであってもよい。不揮発性メモリ7448は、本明細書に記載される外科用器具6480の選択されたシャフトに対応するシャフトモジュールを記憶する。シャフトモジュールは、動作中に使用される外科用器具シャフトに応じて、シャフトモジュールコントローラ7442によって不揮発性メモリ7448内で変更又はアップグレードされてもよい。
図41は、本開示の少なくとも1つの態様による、モータ制御機能を備える外科用器具の様々な構成要素の回路7925の回路図である。様々な態様では、本明細書に記載される外科用器具6480は、外科用器具6480に関連する種々の動作を実施するために、シャフト及び/又はギア構成要素を駆動するように構成されている駆動機構7930を含んでもよい。一態様では、駆動機構7930は、例えばエンドエフェクタを、ハンドルハウジングに対して長手方向軸線を中心に回転させるように構成された回転ドライブトレーン7932を含む。駆動機構7930は、ジョー部材を閉じてエンドエフェクタで組織を把持するように構成された閉鎖ドライブトレーン7934を更に含む。更に、駆動機構7930は、エンドエフェクタのクランプアーム部分を開閉して、エンドエフェクタで組織を把持するように構成された発射ドライブトレーン7936を含む。 FIG. 41 is a circuit diagram of a
駆動機構7930は、外科用器具のハンドルアセンブリ内に位置することができるセレクタギアボックスアセンブリ7938を含む。セレクタギアボックスアセンブリ7938の近位には、ドライブトレーン7932、7934、7936のうちの1つを選択的に位置決めして任意の第2のモータ7944及びモータ駆動回路7946(第2のモータ7944及びモータ駆動回路7946が任意の構成要素であることを示すように破線で示される)の入力駆動構成要素と係合させるためにセレクタギアボックスアセンブリ7938内でギア要素を選択的に移動させるように機能する、第1のモータ7942を含む機能選択モジュールがある。
引き続き図41を参照すると、モータ7942、7944は、モータ制御回路7946、7948にそれぞれ結合され、モータ制御回路7946、7948は電源7950からモータ7942、7944への電気エネルギーの流れを含む、モータ7942、7944の動作を制御するように構成されている。電源7950は、DC電池(例えば、再充電可能な鉛ベース、ニッケルベース、リチウムイオンベースの電池など)又は外科用器具に電気エネルギーを提供するために好適な任意の他の電源であってよい。 Still referring to FIG. 41, the
外科用器具は、マイクロコントローラ7952(「コントローラ」)を更に含む。特定の例では、コントローラ7952は、マイクロプロセッサ7954(「プロセッサ」)と、1つ又は2つ以上のコンピュータ可読媒体又はメモリユニット7956(「メモリ」)と、を含んでもよい。特定の例では、メモリ7956は、様々なプログラム命令を記憶することができ、それが実行されると、プロセッサ7954に、本明細書に記載される複数の機能及び/又は計算を実施させることができる。電源7950は、例えば、コントローラ7952に電力を供給するように構成することができる。 The surgical instrument further includes a microcontroller 7952 ("controller"). In certain examples,
プロセッサ7954は、モータ制御回路7946と通信し得る。更に、メモリ7956は、ユーザ入力7958又はフィードバック要素7960に応答してプロセッサ7954によって実行されると、モータ制御回路7946にモータ7942を刺激させて少なくとも1つの回転運動を発生させ、セレクタギアボックスアセンブリ7938内のギア要素を選択的に移動させて、ドライブトレーン7932、7934、7936のうちの1つを第2のモータ7944の入力駆動構成要素と係合するように選択的に位置決めすることができる、プログラム命令を記憶することができる。更に、プロセッサ7954は、モータ制御回路7948と通信し得る。メモリ7956はまた、ユーザ入力7958に応答してプロセッサ7954によって実行されたとき、モータ制御回路7948にモータ7944を刺激させて少なくとも1つの回転運動を発生させ、例えば、第2のモータ7948の入力駆動構成要素と係合されたドライブトレーンを駆動することができる、プログラム命令を記憶することができる。 Processor 7954 may communicate with
コントローラ7952及び/又は本開示の他のコントローラは、集積型及び/若しくは離散型のハードウェア要素、ソフトウェア要素、並びに/又は両方の組み合わせを使用して実装されてもよい。集積型ハードウェア要素の例としては、プロセッサ、マイクロプロセッサ、マイクロコントローラ、集積回路、ASIC、PLD、DSP、FPGA、論理ゲート、レジスタ、半導体素子、チップ、マイクロチップ、チップセット、マイクロコントローラ、システムオンチップ(SoC)、及び/又はシングルインラインパッケージ(single in-line package、SIP)が挙げられ得る。離散的なハードウェア要素の例としては、論理ゲート、電界効果トランジスタ、双極トランジスタ、抵抗器、コンデンサ、インダクタ、及び/若しくはリレーなど、回路並びに/又は回路素子が挙げられ得る。ある特定の例では、コントローラ7952は、例えば、1つ又は2つ以上の基板上に離散型及び集積型の回路素子又は構成要素を備えるハイブリッド回路を含んでもよい。
特定の例では、コントローラ7952及び/又は本開示の他のコントローラは、例えば、Texas Instrumentsから入手可能なLM 4F230H5QRであってもよい。特定の例では、Texas InstrumentsのLM4F230H5QRは、容易に利用可能な他の特性の中でも特に、最大40MHz、256KBの単一サイクルフラッシュメモリ若しくは他の不揮発性メモリのオンチップメモリ、40MHz超の性能を改善するプリフェッチバッファ、32KBの単一サイクルSRAM、StellarisWare(登録商標)ソフトウェアを搭載した内部ROM、2KBのEEPROM、1つ又は2つ以上のPWMモジュール、1つ又は2つ以上のQEIアナログ、12個のアナログ入力チャネルを備える1つ又は2つ以上の12ビットADCを含む、ARM Cortex-M4Fプロセッサコアである。他のマイクロコントローラが、本開示と共に使用するために容易に代用され得る。したがって、本開示は、この文脈に限定されるべきではない。 In a particular example,
様々な例では、本明細書に記載される様々な工程のうちの1つ又は2つ以上は、組み合わせ論理回路又は順序論理回路のいずれかを含む有限状態マシンによって実施可能であり、組み合わせ論理回路又は順序論理回路のいずれかが、少なくとも1つのメモリ回路に結合される。少なくとも1つのメモリ回路は、有限状態マシンの現在の状態を記憶する。組み合わせ又は順序論理回路は、有限状態マシンをこれらの工程に供するように構成される。順序論理回路は、同期又は非同期であってもよい。他の事例では、本明細書に記載される様々な工程のうちの1つ又は2つ以上は、例えば、プロセッサ7958と有限状態マシンとの組み合わせを含む回路によって実施され得る。 In various examples, one or more of the various steps described herein can be performed by a finite state machine that includes either combinatorial logic circuits or sequential logic circuits; or the sequential logic circuit is coupled to at least one memory circuit. At least one memory circuit stores a current state of the finite state machine. Combinatorial or sequential logic circuits are configured to provide finite state machines for these steps. Sequential logic circuits may be synchronous or asynchronous. In other cases, one or more of the various steps described herein may be performed by a circuit that includes, for example, a combination of processor 7958 and a finite state machine.
様々な例では、適切な機能を保証するために外科用器具の機能の状態を評価することが可能であることが有利であり得る。例えば、上で説明されたような、外科用器具の様々な動作を実施するために様々なモータ、ドライブトレーン及び/又はギア構成要素を含むように構成された駆動機構が、経時的に摩耗することが考えられる。これは、通常の使用を通じて起こり得るが、いくつかの例では、駆動機構は、酷使条件に起因してより早く摩耗し得る。ある特定の例では、外科用器具は、駆動機構及びその様々な構成要素の状態、例えば、健全さを決定するために自己評価を実施するように構成することができる。 In various instances, it may be advantageous to be able to assess the functional status of a surgical instrument to ensure proper functioning. For example, drive mechanisms configured to include various motors, drive trains, and/or gear components to perform various operations of surgical instruments, such as those described above, wear out over time. It is possible that Although this may occur through normal use, in some instances the drive mechanism may wear out faster due to abuse conditions. In certain examples, a surgical instrument can be configured to perform a self-assessment to determine the condition, e.g., health, of the drive mechanism and its various components.
例えば、自己診断を使用して、外科用器具が再滅菌前にその機能を実施することが可能である場合、又は構成要素のうちのいくつかを交換及び/又は修復すべき場合を決定することができる。回転ドライブトレーン7932、閉鎖ドライブトレーン7934、及び/又は発射ドライブトレーン7936を含むがこれらに限定されない駆動機構及びその構成要素の評価は、様々な方法で達成することができる。予測された性能からのずれの大きさを使用して、感知された故障の可能性及びそのような故障の深刻度を決定することができる。繰り返し可能に予測可能なイベントの周期的解析、予想される閾値を超えるピーク又はドロップ及び故障の幅を含む、いくつかのメトリックが使用され得る。 For example, using self-diagnosis to determine when a surgical instrument is capable of performing its function prior to resterilization, or when some of its components should be replaced and/or repaired. Can be done. Evaluation of drive mechanisms and their components, including but not limited to
様々な例では、適切に機能する駆動機構又はその構成要素のうちの1つ又は2つ以上の特徴的波形を用いて、駆動機構又はその構成要素のうちの1つ又は2つ以上の状態を評価することができる。1つ又は2つ以上の振動センサは、適切に機能する駆動機構又はその構成要素のうちの1つ又は2つ以上に対して配置して、適切に機能する駆動機構又はその構成要素のうちの1つ又は2つ以上の動作中に起こる様々な振動を記録することができる。記録された振動を用いて、特徴的な波形を生成することができる。将来の波形を特徴的な波形と比較して、駆動機構及びその構成要素の状態を評価することができる。 In various examples, characteristic waveforms of one or more of a properly functioning drive mechanism or its components are used to determine the state of the drive mechanism or one or more of its components. can be evaluated. The one or more vibration sensors are positioned relative to one or more of the properly functioning drive mechanism or its components to ensure that the properly functioning drive mechanism or its components Various vibrations occurring during one or more operations can be recorded. The recorded vibrations can be used to generate characteristic waveforms. Future waveforms can be compared to characteristic waveforms to assess the condition of the drive mechanism and its components.
引き続き図41を参照すると、外科用器具7930は、ドライブトレーン7932、7934、7936のうちの1つ又は2つ以上の、1つ又は2つ以上の音響出力を記録及び分析するように構成されたドライブトレーン故障検出モジュール7962を含む。プロセッサ7954は、モジュール7962と通信し得るか、又は他の方法で制御することができる。下でより詳細に説明されるように、モジュール7962は、回路、ハードウェア、処理装置(例えば、プロセッサ7954)によって実行可能なコンピュータ可読プログラム命令を記憶するコンピュータ可読媒体(例えば、メモリ7956)を備えるコンピュータプログラム製品、又はそれらのいくつかの組み合わせなどの様々な手段として具現化することができる。いくつかの態様では、プロセッサ36は、モジュール7962を含み得るか、又は他の方法で制御することができる。 With continued reference to FIG. 41, the
図42は、本開示の少なくとも1つの態様による、超音波電気機械システム132002の周波数を制御し、そのインピーダンスを検出するための代替的システム132000である。システム132000は発生器に組み込まれてもよい。メモリ132026に結合されたプロセッサ132004は、プログラム可能カウンタ132006をプログラムして、超音波電気機械システム132002の出力周波数foに同調させる。入力周波数は、水晶発振器132008によって生成され、周波数を好適な値にスケーリングするために固定カウンタ132010に入力される。固定カウンタ132010及びプログラム可能カウンタ132006の出力は、位相/周波数検出器132012に適用される。位相/周波数検出器132012の出力は、増幅器/アクティブフィルタ回路132014に印加されて、電圧制御式発振器132016(voltage controlled oscillator、VCO)に印加される調整電圧Vtを生成する。VCO132016は、同等な電気回路として本明細書にモデル化されて示される超音波電気機械システム132002の超音波変換器部分に出力周波数foを適用する。超音波変換器に印加される電圧信号及び電流信号は、電圧センサ132018及び電流センサ132020によって監視される。FIG. 42 is an
電圧センサ132018及び電流センサ13020の出力は、電圧センサ132018及び電流センサ13020によって測定される電圧と電流との間の位相角を決定するために、別の位相/周波数検出器132022に印加される。位相/周波数検出器132022の出力は、高速アナログ-デジタル変換器132024(ADC)の1つのチャネルに適用され、それを介してプロセッサ132004に提供される。任意で、超音波電気機械システム132002に印加される電圧信号と電流信号との間の位相角を決定するために、電圧センサ132018及び電流センサ132020の出力は、2チャネルADC132024のそれぞれのチャネルに印加されて、ゼロ交差、FFT、又は本明細書に記載される他のアルゴリズムのためにプロセッサ132004に提供されてもよい。 The outputs of
任意で、出力周波数foに比例する調整電圧Vtは、ADC132024を介してプロセッサ132004にフィードバックされてもよい。これは、出力周波数foと比例するフィードバック信号をプロセッサ132004に提供し、このフィードバックを使用して出力周波数foを調整及び制御することができる。Optionally, the regulated voltage Vt that is proportional to the output frequency fo may be fed back to the
温度推定
図43A~図43Bは、本開示の少なくとも1つの態様による、低温(室温)及び高温の超音波ブレードを備える同じ超音波装置の複素インピーダンススペクトルのグラフ表示133000、133010である。本明細書で使用するとき、低温超音波ブレードは、室温の超音波ブレードを指し、高温超音波ブレードは、使用中に摩擦により加熱された後の超音波ブレードを指す。図43Aは、低温及び高温の超音波ブレードを備える同じ超音波装置の共振周波数foの関数としてのインピーダンス位相角φのグラフ表示133000であり、図43Bは、低温及び高温超音波ブレードを備える同じ超音波装置の共振周波数foの関数としてのインピーダンスの大きさ|Z|のグラフ表示133010である。インピーダンス位相角φ及びインピーダンスの大きさ|Z|は、共振周波数foにおいて最小である。Temperature Estimation FIGS. 43A-43B are
超音波変換器インピーダンスZg(t)は、駆動信号発生器電圧Vg(t)及び電流Ig(t)駆動信号の比として測定することができる。The ultrasound transducer impedance Zg (t) can be measured as the ratio of the drive signal generator voltage Vg (t) and the current Ig (t) drive signal.
図43Aに示すように、超音波ブレードが、例えば室温などの低温で、摩擦により加熱されていないとき、超音波装置の電気機械的共振周波数foは約55,500Hzであり、超音波変換器の励起周波数は55,500Hzに設定される。したがって、超音波変換器が電気機械的共振周波数foで励起され、超音波ブレードが低温であるとき、位相角φは、低温ブレードプロット133002によって示されるように最小又は約0Radである。図43Bに示すように、超音波ブレードが低温であり、超音波変換器が電気機械的共振周波数foで励起されるとき、インピーダンスの大きさ|Z|は800Ωであり、例えば、インピーダンスの大きさ|Z|は最小インピーダンスであり、駆動信号振幅は、図25に示す超音波電気機械システムの直列共振等価回路のために最大である。As shown in FIG. 43A, when the ultrasonic blade is at a low temperature, such as room temperature, and is not heated by friction, the electromechanical resonant frequency fo of the ultrasonic device is approximately 55,500 Hz, and the ultrasonic transducer The excitation frequency of is set to 55,500Hz. Therefore, when the ultrasound transducer is excited at the electromechanical resonant frequency fo and the ultrasound blade is cold, the phase angle φ is at a minimum or about 0 Rad, as shown by the cold blade plot 133002. As shown in FIG. 43B, when the ultrasonic blade is cold and the ultrasonic transducer is excited at the electromechanical resonant frequencyfo , the impedance magnitude |Z| is 800Ω, e.g. |Z| is the minimum impedance and the drive signal amplitude is maximum due to the series resonant equivalent circuit of the ultrasonic electromechanical system shown in FIG.
ここで再び図43A及び図43Bを参照すると、超音波変換器が、発生器電圧Vg(t)信号及び発生器電流Ig(t)信号によって55,500Hzの電気機械的共振周波数foで駆動されると、発生器電圧Vg(t)信号と発生器電流Ig(t)信号との間の位相角φはゼロであり、インピーダンスの大きさ|Z|は最小インピーダンス、例えば800Ωであり、信号振幅は、超音波電気機械システムの直列共振等価回路のためにピーク又は最大である。超音波ブレードの温度が増加すると、使用中に発生する摩擦熱に起因して、超音波装置の電気機械的共振周波数fo’は減少する。超音波変換器は依然として発生器電圧Vg(t)信号及び発生器電流Ig(t)信号によって55,500Hzの前の(低温ブレード)電気機械的共振周波数foで駆動されるため、超音波装置はオフ共振fo’で動作し、発生器電圧Vg(t)信号と発生器電流Ig(t)信号との間の位相角φにシフトを引き起こす。また、55,500Hzの前の(低温ブレード)電気機械的共振周波数に対する駆動信号のインピーダンスの大きさ|Z|の上昇及びピーク大きさの低下も存在する。したがって、超音波ブレードの温度は、発生器電圧Vg(t)信号と発生器電流Ig(t)信号との間の位相角φを、超音波ブレードの温度変化による電気機械的共振周波数foの変化として測定することによって推定することができる。Referring again to FIGS. 43A and 43B, the ultrasonic transducer is driven at an electromechanical resonant frequency fo of 55,500 Hz by the generator voltage Vg (t) signal and the generator current Ig (t) signal. When driven, the phase angle φ between the generator voltage Vg (t) signal and the generator current Ig (t) signal is zero and the impedance magnitude |Z| is the minimum impedance, e.g. 800 Ω. , the signal amplitude is at its peak or maximum due to the series resonant equivalent circuit of the ultrasound electromechanical system. As the temperature of the ultrasonic blade increases, the electromechanical resonant frequencyfo ' of the ultrasonic device decreases due to the frictional heat generated during use. Since the ultrasound transducer is still driven by the generator voltage Vg(t) signal and the generator current Ig(t) signal at the previous (cold blade) electromechanical resonance frequency fo of 55,500 Hz, the ultrasound device operates at off-resonance fo ', causing a shift in the phase angle φ between the generator voltage Vg(t) and generator current Ig(t) signals. There is also an increase in the impedance magnitude |Z| and a decrease in the peak magnitude of the drive signal for the previous (cold blade) electromechanical resonant frequency of 55,500 Hz. Therefore, the temperature of the ultrasonic blade changes the phase angle φ between the generator voltage Vg (t) signal and the generator current Ig (t) signal to the electromechanical resonant frequency f due to the temperature change of the ultrasonic blade. It can be estimated by measuring the change ino .
上述したように、電気機械的超音波システムは、超音波変換器と、導波管と、超音波ブレードと、を含む。上述したように、超音波変換器は、静電容量を有する第1ブランチと、共振器の電気機械特性を規定する直列接続されたインダクタンス、抵抗、及び容量を有する第2「動作」ブランチと、を含む等価直列共振回路(図25を参照)としてモデル化されてもよい。電気機械的超音波システムは、超音波変換器、導波管、及び超音波ブレードの物理的特性によって定義される初期電気機械的共振周波数を有する。超音波変換器は、電気機械的共振周波数、例えば電気機械的超音波システムの共振周波数と等しい周波数での交流電圧Vg(t)及び電流Ig(t)信号によって励起される。電気機械的超音波システムが共振周波数で励起されると、電圧Vg(t)信号と電流Ig(t)信号との間の位相角φはゼロである。As mentioned above, an electromechanical ultrasound system includes an ultrasound transducer, a waveguide, and an ultrasound blade. As mentioned above, the ultrasonic transducer comprises a first branch having a capacitance and a second "operating" branch having a series connected inductance, resistance and capacitance defining the electromechanical properties of the resonator. may be modeled as an equivalent series resonant circuit (see FIG. 25) including: Electromechanical ultrasound systems have an initial electromechanical resonant frequency defined by the physical properties of the ultrasound transducer, waveguide, and ultrasound blade. The ultrasound transducer is excited by alternating voltage Vg (t) and current Ig (t) signals at an electromechanical resonant frequency, eg, a frequency equal to the resonant frequency of the electromechanical ultrasound system. When the electromechanical ultrasound system is excited at the resonant frequency, the phase angle φ between the voltage Vg (t) and current Ig (t) signals is zero.
別の言い方をすれば、共振時に、電気機械的超音波システムの相似の誘導性インピーダンスは、電気機械的超音波システムの相似の容量性インピーダンスに等しい。例えば組織との摩擦係合のために超音波ブレードが加熱すると、超音波ブレード(等価静電容量としてモデル化される)のコンプライアンスによって、電気機械的超音波システムの共振周波数が変化する。本実施例では、超音波ブレードの温度が上昇するにつれて、電気機械的超音波システムの共振周波数は低下する。したがって、電気機械的超音波システムの相似の誘導性インピーダンスは、電気機械的超音波システムの相似の容量性インピーダンスともはや等しくなく、それにより電気機械的超音波システムの駆動周波数と新たな共振周波数との間に不整合が引き起こされる。そのため、高温の超音波ブレードの場合、電気機械的超音波システムは「オフレゾナンス」を動作させる。駆動周波数と共振周波数との間の不整合は、超音波変換器に印加される電圧Vg(t)信号と電流Ig(t)信号との間の位相角φとして現れる。Stated another way, at resonance, the similar inductive impedance of the electromechanical ultrasound system is equal to the similar capacitive impedance of the electromechanical ultrasound system. As the ultrasound blade heats up, for example due to frictional engagement with tissue, the compliance of the ultrasound blade (modeled as an equivalent capacitance) changes the resonant frequency of the electromechanical ultrasound system. In this example, as the temperature of the ultrasound blade increases, the resonant frequency of the electromechanical ultrasound system decreases. Therefore, the similar inductive impedance of the electromechanical ultrasound system is no longer equal to the similar capacitive impedance of the electromechanical ultrasound system, thereby changing the driving frequency and the new resonant frequency of the electromechanical ultrasound system. Inconsistency is caused between. Therefore, for hot ultrasonic blades, electromechanical ultrasonic systems operate "off-resonance." The mismatch between the drive frequency and the resonant frequency manifests itself as a phase angle φ between the voltage Vg (t) and current Ig (t) signals applied to the ultrasound transducer.
上述したように、発生器電子機器は、超音波変換器に印加される電圧Vg(t)信号と電流Ig(t)信号との間の位相角φを容易に監視することができる。位相角φは、上述の技術の中でもとりわけ、フーリエ分析、加重最小二乗推定、カルマンフィルタリング、空間ベクトルベースの技術、ゼロ交差法、リサージュ図形、三電圧計法、交差コイル法、ベクトル電圧計及びベクトルインピーダンス法、位相標準機器、位相ロックループによって決定することができる。発生器は、位相角φを連続的に監視し、位相角φがゼロになるまで駆動周波数を調整することができる。この時点で、新しい駆動周波数は、電気機械的超音波システムの新しい共振周波数に等しい。位相角φ及び/又は発生器駆動周波数の変化は、超音波ブレードの温度の間接的又は推定測定値として使用することができる。As mentioned above, the generator electronics can easily monitor the phase angle φ between the voltage Vg (t) and current Ig (t) signals applied to the ultrasound transducer. The phase angle φ can be calculated using Fourier analysis, weighted least squares estimation, Kalman filtering, space vector-based techniques, zero-crossing methods, Lissajous diagrams, three-voltmeter methods, crossed-coil methods, vector voltmeters and vectors, among other techniques mentioned above. It can be determined by impedance methods, phase standard equipment, and phase locked loops. The generator can continuously monitor the phase angle φ and adjust the drive frequency until the phase angle φ is zero. At this point, the new drive frequency is equal to the new resonant frequency of the electromechanical ultrasound system. Changes in phase angle φ and/or generator drive frequency can be used as indirect or inferential measurements of ultrasonic blade temperature.
これらのスペクトルのデータから温度を推定するために、様々な技術が利用可能である。最も注目すべきことに、超音波ブレードの温度と測定されたインピーダンスとの間の動的関係をモデル化するために、発生器駆動周波数の範囲にわたって、時変の非線形状態空間方程式のセットを採用することができ、 Various techniques are available for estimating temperature from these spectral data. Most notably, we employ a set of time-varying nonlinear state-space equations over a range of generator drive frequencies to model the dynamic relationship between ultrasonic blade temperature and measured impedance. can,
温度推定の方法
超音波ブレードの温度を推定又は推測する1つの態様は、3つの工程を含み得る。第1に、時間及びエネルギー依存性の温度及び周波数の状態空間モデルを定義する。周波数成分の関数として温度をモデル化するために、一組の非線形状態空間方程式を使用して、電気機械的共振周波数と超音波ブレードの温度との間の関係をモデル化する。第2に、経時的に温度推定器及び状態空間モデルの精度を改善するためにカルマンフィルタを適用する。第3に、超音波変換器、及びひいては超音波ブレードに印加する電力を制御して超音波ブレードの温度を調節するために、カルマンフィルタのフィードバックループに状態推定器が設けられる。3つの工程を以下に記載する。Method of Temperature Estimation One aspect of estimating or inferring the temperature of an ultrasonic blade may include three steps. First, we define a time- and energy-dependent temperature and frequency state-space model. To model temperature as a function of frequency content, a set of nonlinear state-space equations is used to model the relationship between the electromechanical resonant frequency and the temperature of the ultrasonic blade. Second, we apply a Kalman filter to improve the accuracy of the temperature estimator and state-space model over time. Third, a state estimator is provided in the feedback loop of the Kalman filter to control the power applied to the ultrasonic transducer and thus the ultrasonic blade to adjust the temperature of the ultrasonic blade. The three steps are described below.
工程1
第1の工程は、時間及びエネルギー依存性の温度及び周波数の状態空間モデルを定義することである。周波数成分の関数として温度をモデル化するために、一組の非線形状態空間方程式を使用して、電気機械的共振周波数と超音波ブレードの温度との間の関係をモデル化する。一態様では、状態空間モデルは、以下の式によって与えられる。
The first step is to define a time- and energy-dependent temperature and frequency state-space model. To model temperature as a function of frequency content, a set of nonlinear state-space equations is used to model the relationship between the electromechanical resonant frequency and the temperature of the ultrasonic blade. In one aspect, the state-space model is given by the following equation:
状態空間モデルは、固有周波数Fn(t)、温度T(t)、エネルギーE(t)、及び時間tに対する、電気機械的超音波システムの固有周波数The state-space model describes the natural frequencies of an electromechanical ultrasound system with respect to natural frequencies Fn (t), temperature T(t), energy E(t), and time t.
工程2
第2の工程は、温度推定器及び状態空間モデルを改善するためにカルマンフィルタを適用することである。図44は、等式に従って、インピーダンスに基づいて温度推定器及び状態空間モデルを改善するためのカルマンフィルタ133020の図であり、
The second step is to apply a Kalman filter to improve the temperature estimator and state space model. FIG. 44 is an illustration of a
カルマンフィルタ133020は、温度推定性能を改善するために用いられてもよく、ノイズの多いデータの中で温度予測を改善するための外部センサ、モデル、又は事前情報の増強を可能にする。カルマンフィルタ133020は、レギュレータ133022及びプラント133024を含む。制御理論では、プラント133024は、プロセスとアクチュエータとの組み合わせである。プラント133024は、システムの入力信号と出力信号との間の関係を示す伝達関数と称され得る。レギュレータ133022は、状態推定器133026及びコントローラK133028を含む。状態レギュレータ133026は、フィードバックループ133030を含む。状態レギュレータ133026は、入力としてプラント133024の出力であるyと、フィードバック変数uと、を受信する。状態推定器133026は、システムの状態の真の値に収束する内部フィードバックシステムである。状態推定器133026の出力は、
線形二次推定(LQE)としても知られるカルマンフィルタリングは、統計ノイズ及び他の不正確さを含む、経時的に観察される一連の測定値を使用し、単各時間枠の変数にわたる結合確率分布を推定し、したがって実際の測定値の最大尤度推定値を計算することによって、単一の測定のみに基づくものよりも正確となる傾向がある未知の変数の推定値を生成する、アルゴリズムである。アルゴリズムは、2段階プロセスで機能する。予測工程では、カルマンフィルタ133020は、それらの不確実性と共に、現在の状態変数の推定値を生成する。次の測定の結果が観察されると(ランダムノイズを含むいくらかの量のエラーで必然的に破損する)、これらの推定値は加重平均を使用して更新され、より高い確実性の推定にはより高い重みが与えられる。アルゴリズムは再帰的であり、現在の入力測定値並びに以前に計算された状態及びその不確実性マトリックスのみを使用してリアルタイムで実行することができ、追加の過去の情報は必要とされない。 Kalman filtering, also known as Linear Quadratic Estimation (LQE), uses a set of measurements observed over time, including statistical noise and other inaccuracies, to create a joint probability distribution over the variables in a single time window. is an algorithm that generates estimates of unknown variables that tend to be more accurate than those based on a single measurement alone, by estimating and thus calculating the maximum likelihood estimate of the actual measurements. . The algorithm works in a two-step process. In the prediction step,
カルマンフィルタ133020は、電気機械的超音波システムの動的モデル、そのシステムへの既知の制御入力、並びに超音波変換器に適用された信号の固有周波数及び位相角(例えば、超音波変換器の電気インピーダンスの大きさ及び位相)の複数の連続測定値(観測)を使用して、電気機械的超音波システムの変化する量の推定値(その状態)を形成して電気機械的超音波システムの超音波ブレード部分の温度を予測し、これは、1つの測定値のみを使用して得られる推定値よりも良好である。したがって、カルマンフィルタ133020は、超音波ブレードの温度の最大尤度推定値を提供するためのセンサ及びデータ融合を含むアルゴリズムである。 The
カルマンフィルタ133020は、固有周波数及び位相シフトデータを測定するために、超音波変換器に適用された信号のノイズの多い測定値による不確実性を効果的に処理し、また、ランダムな外部要因による不確実性を効果的に処理する。カルマンフィルタ133020は、加重平均を使用したシステムの予測された状態と新たな測定値との平均として、電気機械的超音波システムの状態の推定値を生成する。加重値は、より良好な(即ち、より小さい)推定不確実性を提供し、非加重値よりも「信頼できる」ものである。加重は、システム状態の予測の推定された不確実性の尺度である共分散から算出され得る。加重平均の結果は、予測された状態と測定された状態との間に位置する新たな状態推定値であり、いずれか単独よりも良好な推定不確実性を有する。このプロセスは、全ての時間工程で繰り返され、新たな推定値及びその共分散は、以下の反復で使用される予測を提供する。カルマンフィルタ133020のこの再帰的性質は、新しい状態を計算するのに、電気機械的超音波システムの状態の全履歴ではなく最後の「最良の推測」のみを必要とする。 The
測定値及び現在状態推定値の相対的確実性は重要な考慮事項であり、カルマンフィルタ133020のゲインKに関するフィルタの応答について議論することが一般的である。カルマンゲインKは、測定値及び現在状態推定値に与えられる相対重みであり、特定の性能を達成するために「調整」され得る。高いゲインKの場合、カルマンフィルタ133020は、最新の測定値により多くの重みを配置し、そのため、最新の測定値に対してより応答的に従う。低いゲインKの場合、カルマンフィルタ133020は、モデル予測値に対してより厳密に従う。極値においては、1に近い高ゲインは、より変動的な推定軌道をもたらし、ゼロに近い低ゲインは、ノイズを除去するが応答性を低下させる。 The relative certainty of measurements and current state estimates is an important consideration, and it is common to discuss the response of the filter with respect to the gain K of the
カルマンフィルタ133020の実際の計算を実行するとき(後述するとおり)、状態推定値及び共分散は、単一の計算セットに関与する複数の次元を扱うためにマトリックスにコード化される。これにより、遷移モデル又は共分散のいずれかにおいて、様々な状態変数(位置、速度、及び加速度など)間の直線関係の表現を可能にする。カルマンフィルタ133020の使用は、誤差がガウスであると仮定しない。しかしながら、カルマンフィルタ133020は、全ての誤差がガウス分布である特別な場合における正確な条件的確率推定値をもたらす。 When performing the actual computation of the Kalman filter 133020 (as described below), the state estimates and covariances are encoded into a matrix to handle the multiple dimensions involved in a single set of computations. This allows the expression of linear relationships between various state variables (such as position, velocity, and acceleration), either in the transition model or in covariance. The use of
工程3
第3の工程は、超音波変換器、及びひいては超音波ブレードに印加される電力を制御して超音波ブレードの温度を調節するために、カルマンフィルタ133020のフィードバックループ133032内の状態推定器133026を使用する。
The third step uses the
図45は、本開示の少なくとも1つの態様による、推定値を最大化するために、図44に示すカルマンフィルタ133020の状態推定器133026によって採用される3つの確率分布のグラフ表示133040である。確率分布は、前確率分布133042、予測(状態)確率分布133044、及び観測確率分布133046を含む。3つの確率分布133042、133044、1330467は、本開示の少なくとも1つの態様による、様々な周波数で測定された超音波変換器にわたるインピーダンスに基づいて温度を調節するために、超音波変換器に印加される電力のフィードバック制御に使用される。インピーダンスに基づいて温度を調節するために超音波変換器に印加される電力のフィードバック制御に使用される推定器は、以下の式によって与えられ、 FIG. 45 is a
前確率分布133042は、次の式によって定義される状態変動を含む。 The
状態変動 state fluctuation
フィードバック制御
(状態推定器及びカルマンフィルタによって推定される)温度が制御されることを確実にするために、電力入力が低減される。Feedback Control Power input is reduced to ensure that the temperature (estimated by the state estimator and Kalman filter) is controlled.
一態様では、初期の概念実証は、電気機械的超音波システムの固有周波数と超音波ブレードの温度との間の静的直線関係を仮定した。電気機械的超音波システムの固有周波数の関数としての電力を低減すること(すなわち、フィードバック制御によって温度を調節すること)によって、超音波ブレード先端部の温度を直接制御することができる。この実施例では、超音波ブレードの遠位先端部の温度は、Teflonパッドの融点を超えないように制御され得る。 In one aspect, an initial proof of concept assumed a static linear relationship between the natural frequency of the electromechanical ultrasound system and the temperature of the ultrasound blade. By reducing the power as a function of the natural frequency of the electromechanical ultrasound system (ie, adjusting the temperature with feedback control), the temperature of the ultrasound blade tip can be directly controlled. In this example, the temperature of the distal tip of the ultrasonic blade may be controlled to not exceed the melting point of the Teflon pad.
図46Aは、温度フィードバック制御なしの超音波装置の温度対時間のグラフ表示133050である。超音波ブレードの温度(℃)が縦軸に沿って示され、時間(秒)が横軸に沿って示される。試験は、超音波装置のジョー内に配置されたセーム革を用いて実施した。一方のジョーは超音波ブレードであり、他方のジョーはTEFLONパッドを有するクランプアームである。超音波ブレードは、超音波ブレードとクランプアームとの間にクランプされたセーム革と摩擦係合する間に、共振周波数で励起された。経時的に、超音波ブレードの温度(℃)は、セーム革との摩擦係合に起因して上昇する。経時的に、超音波ブレードの温度プロファイル133052は、点133054に示される約19.5秒後の温度220℃においてセーム革試料が切断されるまで上昇する。温度フィードバック制御なしでは、セーム革試料が切断された後、超音波ブレードの温度はTEFLONの融点である約380℃を大きく超えて最大で約490℃の温度まで上昇する。点133056において、超音波ブレードの温度は、TEFLONパッドが完全に融解するまで490℃の最高温度に達する。超音波ブレードの温度は、パッドが完全に消滅した後、点133056におけるピーク温度からわずかに低下する。 FIG. 46A is a
図46Bは、本開示の少なくとも1つの態様による、温度フィードバック制御を伴う超音波装置の温度対時間のプロットである。超音波ブレードの温度(℃)が縦軸に沿って示され、時間(秒)が横軸に沿って示される。試験は、超音波装置のジョー内に配置されたセーム革試料を用いて実施した。一方のジョーは超音波ブレードであり、他方のジョーはTEFLONパッドを有するクランプアームである。超音波ブレードは、超音波ブレードとクランプアームパッドとの間にクランプされたセーム革と摩擦係合する間に、共振周波数で励起された。経時的に、超音波ブレードの温度プロファイル133062は、点133064に示される約23秒後の温度220℃においてセーム革試料が切断されるまで上昇する。温度フィードバック制御ありでは、超音波ブレードの温度は、点133066で示される、TEFLON融点のすぐ下にある約380℃の最高温度まで上昇し、続いて概して領域133068で示される平均約330℃まで下げられ、それによってTEFLONパッドが融解するのを防ぐ。 FIG. 46B is a plot of temperature versus time for an ultrasound device with temperature feedback control, according to at least one aspect of the present disclosure. The temperature of the ultrasonic blade (°C) is shown along the vertical axis and the time (seconds) is shown along the horizontal axis. The test was carried out with a chamois sample placed in the jaws of an ultrasound machine. One jaw is an ultrasonic blade and the other jaw is a clamp arm with a TEFLON pad. The ultrasonic blade was excited at a resonant frequency while in frictional engagement with the chamois clamped between the ultrasonic blade and the clamp arm pad. Over time, the
スマート超音波ブレード技術の適用
超音波ブレードが流体で満たされた手術野に浸漬されると、超音波ブレードは、起動中に冷却され、それと接触する組織を封止及び切断するための効果が減じられる。超音波ブレードの冷却は、十分な熱が組織に送達されないため、より長い起動時間及び/又は止血の問題をもたらし得る。超音波ブレードの冷却を克服するために、これらの流体浸漬条件下で横切開時間を短縮し、好適な止血を達成するために、より多くのエネルギー送達が必要とされ得る。周波数-温度フィードバック制御システムを使用して、超音波ブレード温度が、開始時に特定の温度を下回っているか、又は特定の期間、特定の温度を下回っている状態を維持しているかのいずれかであると検出された場合、発生器の出力電力は、手術野に存在する血液/生理食塩水/他の流体による冷却を相殺するために上昇され得る。Application of smart ultrasonic blade technology When the ultrasonic blade is immersed in a fluid-filled surgical field, the ultrasonic blade cools down during activation and becomes less effective for sealing and cutting tissue in contact with it. It will be done. Cooling the ultrasonic blade may result in longer start-up times and/or hemostasis problems because not enough heat is delivered to the tissue. To overcome cooling of the ultrasonic blade, more energy delivery may be required to reduce transverse incision time and achieve suitable hemostasis under these fluid immersion conditions. Using a frequency-temperature feedback control system, the ultrasonic blade temperature is either started below a certain temperature or remains below a certain temperature for a certain period of time. If detected, the output power of the generator may be increased to offset the cooling due to blood/saline/other fluids present in the surgical field.
したがって、本明細書に記載される周波数-温度フィードバック制御システムは、特に超音波ブレードが流体で満たされた手術野内に部分的又は全体的に位置するか又は浸漬されるときに、超音波装置の性能を改善することができる。本明細書に記載される周波数-温度フィードバック制御システムは、流体で満たされた手術野における、長い起動時間及び/又は超音波装置の性能に関する潜在的問題を最小化する。 Accordingly, the frequency-temperature feedback control system described herein is useful for controlling ultrasound devices, particularly when the ultrasound blade is partially or fully positioned or immersed within a fluid-filled surgical field. Performance can be improved. The frequency-temperature feedback control system described herein minimizes potential problems with long start-up times and/or ultrasound device performance in fluid-filled surgical fields.
前述したように、超音波ブレードの温度は、以下の式によって与えられる超音波変換器のインピーダンスを検出すること、 As mentioned earlier, the temperature of the ultrasonic blade can be determined by detecting the impedance of the ultrasonic transducer, which is given by the following equation:
図47Aは、本開示の少なくとも1つの態様による、時間の関数としての超音波電力出力133070のグラフ表示である。超音波発生器の電力出力が縦軸に沿って示され、時間(秒)が横軸に沿って示される。図47Bは、本開示の少なくとも1つの態様による、時間の関数としての超音波ブレード温度133080のグラフ表示である。超音波ブレード温度が縦軸に沿って示され、時間(秒)が横軸に沿って示される。超音波ブレードの温度は、図47Aに示されるように、一定電力133072を印加することによって上昇する。使用中、超音波ブレードの温度は急激に低下する。これは、様々な条件に起因し得るが、使用中に、超音波ブレードが流体で満たされた手術野(例えば、血液、生理食塩水、水など)に浸漬されたときに超音波ブレードの温度が低下すると推定され得る。時間t0において、超音波ブレードの温度は、所望の最低温度133082未満に低下し、周波数-温度フィードバック制御アルゴリズムは、温度の低下を検出し、超音波ブレードに送達される電力増加(power ramp)133074によって示される電力の上昇又は「増加(ramp up)」を開始して、超音波ブレードの温度を所望の最低温度133082を超えて上昇させ始める。FIG. 47A is a graphical representation of
図47A及び図47Bを参照すると、超音波ブレードの温度が所望の最低温度133082を超えた状態を維持する限り、超音波発生器は実質的に一定電力133072を出力する。t0において、発生器又は器具のプロセッサ若しくは制御回路又はその両方は、超音波ブレードの温度が所望の最低温度133072未満に低下するのを検出すると、周波数-温度フィードバック制御アルゴリズムを開始して、超音波ブレードの温度を最低の所望の温度133082より高く上昇させる。したがって、発生器の電力は、t0での超音波ブレードの温度の突然の低下の検出に対応するt1で増加を開始する(133074)。周波数-温度フィードバック制御アルゴリズムの下で、超音波ブレードの温度が所望の最低温度133082を超えるまで、電力は増加を続ける(133074)。47A and 47B, the ultrasonic generator outputs substantially
図48は、本開示の少なくとも1つの態様による、超音波ブレードの温度を制御するための制御プログラム又は論理構成を示すプロセスの論理フロー図133090である。このプロセスによれば、発生器又は器具のプロセッサ若しくは制御回路又はその両方が、図47A及び図47Bに関連して説明される周波数-温度フィードバック制御アルゴリズムの一態様を実行して、超音波変換器に電力レベルを印加して(133092)、超音波ブレードにおける所望の温度を達成する。発生器は、超音波変換器を駆動するために印加される電圧Vg(t)信号と電流Ig(t)信号との間の位相角φを監視する(133094)。位相角φに基づいて、発生器は、図43A~図45に関連して本明細書に記載される技術を使用して超音波ブレードの温度を推定する(133096)。発生器は、超音波ブレードの推定温度を所定の所望の温度と比較することによって、超音波ブレードの温度が所望の最低温度未満であるかどうかを判定する(133098)。次いで、発生器は、比較に基づいて超音波変換器に印加される電力レベルを調節する。例えば、超音波ブレードの温度が所望の最低温度以上であるとき、プロセスは「いいえ」分岐に沿って進み、超音波ブレードの温度が所望の最低温度未満であるときに、「はい」分岐に沿って進む。超音波ブレードの温度が所望の最低温度未満であるとき、発生器は、例えば、電圧Vg(t)信号及び/又は電流Ig(t)信号を上昇させることによって、超音波変換器への電力レベルを増加させて(133100)超音波ブレードの温度を上昇させ、超音波ブレードの温度が上昇して最低の所望の温度を超えるまで超音波変換器に印加される電力レベルを増加させ続ける。FIG. 48 is a process logic flow diagram 133090 illustrating a control program or logic configuration for controlling the temperature of an ultrasonic blade in accordance with at least one aspect of the present disclosure. According to this process, the processor and/or control circuitry of the generator or instrument executes one aspect of the frequency-temperature feedback control algorithm described in connection with FIGS. 47A and 47B to 133092 to achieve the desired temperature in the ultrasonic blade. The generator monitors the phase angle φ between the voltage Vg (t) signal and the current Ig (t) signal applied to drive the ultrasound transducer (133094). Based on the phase angle φ, the generator estimates the temperature of the ultrasonic blade using the techniques described herein in connection with FIGS. 43A-45 (133096). The generator determines whether the temperature of the ultrasonic blade is less than a desired minimum temperature by comparing the estimated temperature of the ultrasonic blade to a predetermined desired temperature (133098). The generator then adjusts the power level applied to the ultrasound transducer based on the comparison. For example, when the ultrasonic blade temperature is above the desired minimum temperature, the process proceeds along the "no" branch, and when the ultrasonic blade temperature is below the desired minimum temperature, the process proceeds along the "yes" branch. Proceed. When the temperature of the ultrasonic blade is below the desired minimum temperature, the generator applies a voltage to the ultrasonic transducer, e.g. by increasing the voltage Vg (t) signal and/or the current Ig (t) signal. The power level is increased (133100) to increase the temperature of the ultrasonic blade and the power level applied to the ultrasonic transducer continues to increase until the temperature of the ultrasonic blade increases and exceeds the lowest desired temperature.
適応型高度組織治療パッドセーバモード
図49は、本開示の少なくとも1つの態様による、血管発射中の時間の関数としての超音波ブレード温度のグラフ表示133110である。超音波ブレード温度のプロット133112は、水平軸に沿った時間の関数として垂直軸に沿ってグラフ化される。周波数-温度フィードバック制御アルゴリズムは、超音波ブレードフィードバック制御の温度をジョー感知能力と組み合わせる。周波数-温度フィードバック制御アルゴリズムは、装置の耐久性とのバランスがとれた最適な止血を提供し、クランプアームパッドを保護しながら、最良の封止のためにエネルギーをインテリジェントに送達することができる。Adaptive Advanced Tissue Treatment Pad Saver Mode FIG. 49 is a
図49に示すように、血管封止のための最適温度133114は、第1の標的温度T1とマークされ、「無限の」クランプアームパッド寿命のための最適温度133116は、第2の標的温度T2とマークされる。周波数-温度フィードバック制御アルゴリズムは、超音波ブレードの温度を推定し、超音波ブレードの温度を第1の標的温度閾値T1と第2の標的温度閾値T2との間に維持する。したがって、発生器電力出力は、血管を封止し、クランプアームパッドの寿命を延長するための最適な超音波ブレード温度を達成するように駆動される。As shown in FIG. 49, the
最初に、ブレードが加熱して超音波ブレードの温度が上昇し、最終的に第1の標的温度閾値T1を超えると、超音波ブレードの温度が上昇する。周波数-温度フィードバック制御アルゴリズムが引き継いで、血管横切開がt0で完了し(133118)、超音波ブレード温度が第2の標的温度閾値T2を下回るまで、ブレードの温度をT1に制御する。発生器又は器具のプロセッサ若しくは制御回路又はその両方は、超音波ブレードがクランプアームパッドと接触するときを検出する。血管横切開がt0で完了して検出されると、周波数-温度フィードバック制御アルゴリズムは、超音波ブレードの温度を第2の標的閾値T2に制御して、クラムアームパッドの寿命を延長することに切り替える。TEFLONクランプアームパッドに最適なクランプアームパッド寿命温度は約325℃である。一態様では、高度組織治療は、第2の起動トーンでユーザに告知され得る。Initially, the temperature of the ultrasonic blade increases as the blade heats up and finally exceeds the first target temperature threshold T1 . A frequency-temperature feedback control algorithm takes over and controls the blade temperature to T1 until the vessel transsection is completed at t0 (133118) and the ultrasound blade temperature is below a second target temperature threshold T2 . A processor and/or control circuit of the generator or instrument detects when the ultrasonic blade contacts the clamp arm pad. Once the vessel transsection is completed and detected at t0 , the frequency-temperature feedback control algorithm controls the temperature of the ultrasound blade to a second target threshold T2 to extend the life of the crumb arm pad. Switch to The optimal clamp arm pad life temperature for TEFLON clamp arm pads is approximately 325°C. In one aspect, advanced tissue treatment may be announced to the user with a second activation tone.
図50は、本開示の少なくとも1つの態様による、図49に示される2つの温度設定値間の超音波ブレードの温度を制御するための制御プログラム又は論理構成を示すプロセスの論理フロー図133120である。このプロセスによれば、発生器は、周波数-温度フィードバック制御アルゴリズムの一態様を実行して、例えば、超音波変換器に印加される電圧Vg(t)信号及び/又は電流Ig(t)信号を調節して、超音波ブレード温度を血管封止に最適化された第1の標的T1に設定することによって、超音波変換器に第1の電力レベルを印加する(133122)。前述したように、発生器は、超音波変換器に印加される電圧Vg(t)信号と電流Ig(t)信号との間の位相角φを監視し(133124)、位相角φに基づいて、発生器は、図43A~図45に関連して本明細書に記載される技術を使用して超音波ブレードの温度を推定する(133126)。周波数-温度フィードバック制御アルゴリズムに従い、発生器又は器具のプロセッサ若しくは制御回路又はその両方は、横切開が完了するまで、超音波ブレード温度を第1の標的温度T1に維持する。周波数-温度フィードバック制御アルゴリズムは、血管横切開プロセスの完了を検出するために用いられてもよい。発生器又は器具のプロセッサ若しくは制御回路又はその両方は、血管横切開が完了したときを判定する(133128)。このプロセスは、血管横切開が完了していないときには「いいえ」分岐に沿って進み、血管横切開が完了したときには「はい」分岐に沿って進む。FIG. 50 is a process logic flow diagram 133120 illustrating a control program or logic configuration for controlling the temperature of an ultrasonic blade between the two temperature setpoints shown in FIG. 49, in accordance with at least one aspect of the present disclosure. . According to this process, the generator executes an aspect of a frequency-temperature feedback control algorithm to generate, for example, a voltage Vg (t) signal and/or a current Ig (t) applied to the ultrasound transducer. A first power level is applied to the ultrasound transducer by adjusting the signal to set the ultrasound blade temperature to a first target T1 optimized for vessel sealing (133122). As previously mentioned, the generator monitors the phase angle φ between the voltage Vg (t) signal and the current Ig (t) signal applied to the ultrasound transducer (133124) and adjusts the phase angle φ to Based on this, the generator estimates the temperature of the ultrasonic blade using the techniques described herein in connection with FIGS. 43A-45 (133126). According to a frequency-temperature feedback control algorithm, the generator or instrument processor and/or control circuit maintains the ultrasonic blade temperature at the first target temperature T1 until the transsection is completed. A frequency-temperature feedback control algorithm may be used to detect completion of the vessel transsection process. The processor and/or control circuit of the generator or instrument determines when the vessel transsection is complete (133128). The process follows the "no" branch when the vessel transsection is not completed, and the "yes" branch when the vessel transsection is completed.
血管横切開が完了していない場合、発生器又は器具のプロセッサ若しくは制御回路又はその両方は、超音波ブレードの温度が、血管封止及び横切開のために最適化された温度T1に設定されているかを判定する(133130)。超音波ブレード温度がT1に設定されている場合、プロセスは「はい」分岐に沿って進み、発生器又は器具のプロセッサ若しくは制御回路又はその両方は、超音波変換器に印加され、位相角φに基づく、電圧Vg(t)信号と電流Ig(t)信号との間の位相角φの監視(133124)を継続する。超音波ブレード温度がT1に設定されていない場合、プロセスは「いいえ」分岐に沿って進み、発生器又は器具のプロセッサ若しくは制御回路又はその両方は継続して、超音波変換器に第1の電力レベルを印加する(133122)。If the vessel transect is not completed, the processor or control circuit of the generator or the instrument, or both, sets the temperature of the ultrasonic blade to a temperatureT1 optimized for vessel sealing and transect. (133130). If the ultrasonic blade temperature is set to T1 , the process proceeds along the "yes" branch, and the processor or control circuit of the generator or instrument, or both, is applied to the ultrasonic transducer and the phase angle φ Continue monitoring (133124) of the phase angle φ between the voltage Vg (t) signal and the current Ig (t) signal based on the current I g (t) signal. If the ultrasonic blade temperature is not set toT1 , the process proceeds along the "no" branch and the generator or instrument processor and/or control circuitry continues to direct the ultrasonic transducer to the first Apply a power level (133122).
血管横切開が完了すると、発生器又は器具のプロセッサ若しくは制御回路又はその両方は、超音波変換器に第2の電力レベルを印加して(133132)、超音波ブレードを、クランプアームパッドの寿命を維持又は延長するために最適化された第2の標的温度T2に設定する。発生器又は器具のプロセッサ若しくは制御回路又はその両方は、超音波ブレードの温度が設定温度T2であるかを判定する(133134)。超音波ブレードの温度がT2に設定されている場合、プロセスは血管横切開手順を完了する(133136)。Once the vessel transsection is complete, the processor and/or control circuit of the generator or instrument applies a second power level to the ultrasound transducer (133132) to cause the ultrasound blade to extend the life of the clamp arm pad. Set a second target temperature T2 optimized for maintenance or extension. The processor and/or control circuit of the generator or instrument determines (133134) whether the temperature of the ultrasonic blade is at the set point temperatureT2 . If the ultrasound blade temperature is set to T2, the process completes the vessel transsection procedure (133136).
ブレードの開始温度
横切開開始時の超音波ブレードの温度を知ることにより、発生器が、迅速な切断のためにブレードを加熱するために適切な量の電力を送達するか、又はブレードが既に高温である場合は、必要とされるだけの電力を追加することが可能となり得る。この技術は、より一貫した横切開時間を達成し、クラムアームパッド(例えば、TEFLONクランプアームパッド)の寿命を延ばすことができる。横切開の開始時の超音波ブレードの温度を知ることにより、発生器が超音波変換器に正しい量の電力を送達して、超音波ブレードの所望の量の変位をもたらす事が可能となり得る。Blade Start Temperature By knowing the temperature of the ultrasonic blade at the beginning of the transverse cut, the generator can deliver the appropriate amount of power to heat the blade for quick cutting, or if the blade is already hot. If so, it may be possible to add as much power as needed. This technique can achieve more consistent transverse cutting times and extend the life of crumb arm pads (eg, TEFLON clamp arm pads). Knowing the temperature of the ultrasonic blade at the beginning of the transverse cut may enable the generator to deliver the correct amount of power to the ultrasonic transducer to effect the desired amount of displacement of the ultrasonic blade.
図51は、本開示の少なくとも1つの態様による、超音波ブレードの初期温度を判定するための制御プログラム又は論理構成を示すプロセスの論理フロー図133140である。超音波ブレードの初期温度を判定するために、製造プラントにおいて、超音波ブレードの共振周波数が室温又は所定の周囲温度で測定される。ベースライン周波数値が、発生器若しくは器具又はその両方のルックアップテーブルに記録され、記憶される。ベースライン値は、伝達関数を生成するために使用される。超音波変換器起動サイクルの開始時に、発生器は、超音波ブレードの共振周波数を測定し(133142)、測定された共振周波数をベースライン共振周波数値と比較し(133144)、周波数の差(Δf)を判定する。Δfは、補正された超音波ブレード温度のルックアップテーブル又は伝達関数と比較される。超音波ブレードの共振周波数は、超音波変換器に印加される電圧Vg(t)信号及び電流Ig(t)信号の周波数を掃引することによって判定され得る。共振周波数は、本明細書に記載されるように、位相角φ電圧Vg(t)信号及び電流Ig(t)信号がゼロである周波数である。FIG. 51 is a process logic flow diagram 133140 illustrating a control program or logic configuration for determining an initial temperature of an ultrasonic blade in accordance with at least one aspect of the present disclosure. To determine the initial temperature of the ultrasonic blade, the resonant frequency of the ultrasonic blade is measured at room temperature or a predetermined ambient temperature at the manufacturing plant. The baseline frequency value is recorded and stored in a look-up table of the generator and/or instrument. The baseline value is used to generate the transfer function. At the beginning of the ultrasonic transducer start-up cycle, the generator measures the resonant frequency of the ultrasonic blade (133142), compares the measured resonant frequency with the baseline resonant frequency value (133144), and determines the frequency difference (Δf ) is determined. Δf is compared to a corrected ultrasonic blade temperature look-up table or transfer function. The resonant frequency of the ultrasonic blade may be determined by sweeping the frequencies of the voltage Vg (t) and current Ig (t) signals applied to the ultrasonic transducer. The resonant frequency is the frequency at which the phase angle φ voltage Vg (t) signal and current Ig (t) signal are zero, as described herein.
超音波ブレードの共振周波数が決定されたら、発生器又は器具のプロセッサ若しくは制御回路又はその両方が、測定された共振周波数とベースライン共振周波数との間の差に基づいて、超音波ブレードの初期温度を決定する(133146)。発生器は、例えば、超音波変換器を起動させる前に、電圧Vg(t)駆動信号若しくは電流Ig(t)駆動信号又はその両方を、以下の値のうちの1つに調節することによって、超音波変換器に送達される電力レベルを設定する。Once the resonant frequency of the ultrasonic blade is determined, the processor and/or control circuit of the generator or instrument determines the initial temperature of the ultrasonic blade based on the difference between the measured resonant frequency and the baseline resonant frequency. (133146). The generator may, for example, adjust the voltage Vg (t) drive signal or the current Ig (t) drive signal or both to one of the following values before activating the ultrasound transducer: sets the power level delivered to the ultrasound transducer.
発生器又は器具のプロセッサ若しくは制御回路又はその両方は、超音波ブレードの初期温度が低いか否かを判定する(133148)。超音波ブレードの初期温度が低い場合、プロセスは、「はい」分岐に沿って進み、発生器又は器具のプロセッサ若しくは制御回路又はその両方は、超音波変換器に高電力レベルを適用し(133152)、超音波ブレードの温度を上昇させ、血管横切開手順を完了する(133156)。 The processor and/or control circuit of the generator or instrument determines whether the initial temperature of the ultrasonic blade is low (133148). If the initial temperature of the ultrasonic blade is low, the process proceeds along the "yes" branch and the processor and/or control circuit of the generator or instrument applies a high power level to the ultrasonic transducer (133152). , increases the temperature of the ultrasound blade and completes the vessel transsection procedure (133156).
超音波ブレードの初期温度が低くない場合、プロセスは、「いいえ」分岐に沿って進み、発生器又は器具のプロセッサ若しくは制御回路又はその両方は、超音波ブレードの初期温度が高いか否かを判定する(133150)。超音波ブレードの初期温度が高い場合、プロセスは、「はい」分岐に沿って進み、発生器又は器具のプロセッサ若しくは制御回路又はその両方は、超音波変換器に低電力レベルを適用し(133154)、超音波ブレードの温度を低下させ、血管横切開手順を完了する(133156)。超音波ブレードの初期温度が高くない場合、プロセスは、「いいえ」分岐に沿って進み、発生器又は器具のプロセッサ若しくは制御回路又はその両方は、血管横切開を完了する(133156)。 If the initial temperature of the ultrasonic blade is not low, the process proceeds along the "no" branch and the processor and/or control circuit of the generator or instrument determines whether the initial temperature of the ultrasonic blade is high. (133150). If the initial temperature of the ultrasonic blade is high, the process proceeds along the "yes" branch and the processor and/or control circuit of the generator or instrument applies a lower power level to the ultrasonic transducer (133154). , lowers the temperature of the ultrasound blade and completes the vessel transsection procedure (133156). If the initial temperature of the ultrasound blade is not high, the process proceeds along the "no" branch and the generator or instrument processor and/or control circuit completes the vessel transsection (133156).
ブレードの不安定性を制御するためのスマートブレード技術
超音波ブレードの温度及び超音波エンドエフェクタのジョー内の内容物は、本明細書に記載の周波数-温度フィードバック制御アルゴリズムを使用して判定することができる。超音波ブレードの周波数/温度関係は、超音波ブレードの不安定性を温度によって制御するために用いられる。Smart Blade Technology to Control Blade Instability The temperature of the ultrasonic blade and the contents within the jaws of the ultrasonic end effector can be determined using the frequency-temperature feedback control algorithm described herein. can. The frequency/temperature relationship of the ultrasonic blade is used to control the instability of the ultrasonic blade with temperature.
本明細書に記載されるように、超音波ブレードにおける周波数と温度との間には周知の関係がある。いくつかの超音波ブレードは、温度上昇の存在下で、変位の不安定性又はモードの不安定性を呈する。この既知の関係を用いて、超音波ブレードが不安定に近づいているときを解釈し、次いで超音波変換器を駆動する電力レベルを調節して(例えば、超音波変換器に印加される駆動電圧Vg(t)信号若しくは電流Ig(t)信号又はその両方を調節することによって)、超音波ブレードの温度を変調して超音波ブレードの不安定性を防止することができる。As described herein, there is a well-known relationship between frequency and temperature in ultrasonic blades. Some ultrasonic blades exhibit displacement instability or modal instability in the presence of elevated temperatures. Using this known relationship, interpret when the ultrasonic blade is approaching instability and then adjust the power level driving the ultrasonic transducer (e.g., the drive voltage applied to the ultrasonic transducer). By adjusting the Vg (t) signal or the current Ig (t) signal, or both), the temperature of the ultrasonic blade can be modulated to prevent ultrasonic blade instability.
図52は、本開示の少なくとも1つの態様による、超音波ブレードが不安定性に近づいているときを判定し、続いて超音波変換器の不安定性を防止するために超音波変換器への電力を調節する、制御プログラム又は論理構成を示すプロセスの論理フロー図133160である。変位又はモードの不安定性を呈する超音波ブレードの周波数/温度関係は、超音波ブレードの温度にわたる駆動電圧Vg(t)信号若しくは電流Ig(t)信号又はその両方の周波数を掃引し、結果を記録することによってマッピングされる。発生器によって実行される制御アルゴリズムによって使用/解釈され得る関数又は関係が生成される。トリガ点はこの関係を使用して確立され、超音波ブレードが既知のブレード不安定性に近づいていることを発生器に通知することができる。発生器は、駆動電力レベルが低減されるように(例えば、超音波変換器に印加される駆動電圧Vg(t)若しくは電流Ig(t)又はその両方を低減することによって)、周波数-温度フィードバック制御アルゴリズム処理機能及び閉ループ応答を実行して、超音波ブレードの温度をトリガ点以下に変調させて、所与のブレードが不安定性に到達するのを防止する。FIG. 52 illustrates determining when an ultrasonic blade is approaching instability and subsequently reducing power to an ultrasonic transducer to prevent instability of the ultrasonic transducer, according to at least one aspect of the present disclosure. FIG. 133160 is a process logic flow diagram illustrating a control program or logical configuration that adjusts. The frequency/temperature relationship of an ultrasonic blade exhibiting displacement or modal instability is determined by sweeping the frequency of the drive voltage Vg (t) signal or current Ig (t) signal, or both, over the temperature of the ultrasonic blade, resulting in mapped by recording. A function or relationship is generated that can be used/interpreted by a control algorithm executed by the generator. A trigger point can be established using this relationship to notify the generator that the ultrasonic blade is approaching a known blade instability. The generator increases the frequency - such that the drive power level is reduced (e.g., by reducing the drive voltage Vg (t) or the current Ig (t), or both, applied to the ultrasound transducer). A temperature feedback control algorithm processing function and closed loop response is implemented to modulate the temperature of the ultrasonic blade below a trigger point to prevent a given blade from reaching instability.
利点としては、超音波ブレードの不安定特性を設計から除外する必要がなく、これを本発明の不安定制御技術を使用して補償することができるような、超音波ブレード構成の単純化が挙げられる。本発明の不安定性制御技術は、更に、新しい超音波ブレードの形状を可能にし、加熱された超音波ブレードの応力プロファイルを改善することができる。更に、超音波ブレードは、この技術を使用しない発生器と共に使用される場合、超音波ブレードの性能を低下させるように構成され得る。 Advantages include simplification of the ultrasonic blade configuration such that the instability characteristics of the ultrasonic blade do not have to be excluded from the design and can be compensated for using the instability control technique of the present invention. It will be done. The instability control techniques of the present invention can further enable new ultrasonic blade geometries and improve the stress profile of heated ultrasonic blades. Furthermore, the ultrasonic blade may be configured to reduce the performance of the ultrasonic blade when used with a generator that does not use this technology.
論理フロー図133160によって示されるプロセスによれば、発生器又は器具のプロセッサ若しくは制御回路又はその両方は、超音波変換器に印加される電圧Vg(t)信号と電流Ig(t)信号との間の位相角φを監視する(133162)。発生器又は器具のプロセッサ若しくは制御回路又はその両方は、超音波変換器に印加される電圧Vg(t)信号と電流Ig(t)信号との間の位相角φに基づいて、超音波ブレードの温度を推定する(133164)。発生器又は器具のプロセッサ若しくは制御回路又はその両方は、超音波ブレードの推定温度を超音波ブレード不安定性トリガ点閾値と比較する(133166)。発生器又は器具のプロセッサ若しくは制御回路又はその両方は、超音波ブレードが不安定性に近づいているかどうかを判定する(133168)。そうでない場合、プロセスは、「いいえ」分岐に沿って進み、位相角φを監視し(133162)、超音波ブレードの温度を推定し(133164)、超音波ブレードが不安定性に近づくまで超音波ブレードの推定温度を超音波ブレードの不安定性トリガ点閾値と比較する(133166)。次いで、プロセスは「はい」分岐に沿って進み、発生器又は器具のプロセッサ若しくは制御回路又はその両方が、超音波変換器に印加される電力レベルを調節して(133170)、超音波ブレードの温度を変調する。According to the process illustrated by logic flow diagram 133160, the generator or instrument processor and/or control circuitry determines the voltage Vg (t) signal and current Ig (t) signal applied to the ultrasound transducer. The phase angle φ between is monitored (133162). The processor and/or control circuit of the generator or instrument generates ultrasonic waves based on the phase angle φ between the voltage Vg (t) signal and the current Ig (t) signal applied to the ultrasonic transducer. Estimate the blade temperature (133164). The processor and/or control circuit of the generator or instrument compares the estimated temperature of the ultrasonic blade to an ultrasonic blade instability trigger point threshold (133166). The processor and/or control circuit of the generator or instrument determines whether the ultrasonic blade is approaching instability (133168). If not, the process proceeds along the "no" branch, monitors the phase angle φ (133162), estimates the temperature of the ultrasonic blade (133164), and continues using the ultrasonic blade until the ultrasonic blade approaches instability. The estimated temperature of is compared to the ultrasonic blade instability trigger point threshold (133166). The process then proceeds along the "yes" branch, where the processor and/or control circuit of the generator or instrument adjusts (133170) the power level applied to the ultrasonic transducer to adjust the temperature of the ultrasonic blade. Modulate.
温度制御を備える超音波封止アルゴリズム
超音波ブレード温度制御のための超音波封止アルゴリズムは、本明細書に記載される周波数-温度フィードバック制御アルゴリズムを用いて止血を改善して、超音波ブレードの周波数/温度関係を利用するために採用され得る。Ultrasonic Sealing Algorithm with Temperature Control The ultrasonic sealing algorithm for ultrasonic blade temperature control improves hemostasis using the frequency-temperature feedback control algorithm described herein to It can be employed to take advantage of the frequency/temperature relationship.
一態様では、本開示の様々な態様に記載されるように、周波数-温度フィードバック制御アルゴリズムを採用して、温度に関連する測定された共振周波数(分光法を使用して)に基づいて超音波変換器に印加される電力レベルを変更することができる。一態様では、周波数-温度フィードバック制御アルゴリズムは、超音波器具上のエネルギーボタンによって起動されてもよい。 In one aspect, as described in various aspects of this disclosure, a frequency-temperature feedback control algorithm is employed to generate ultrasonic waves based on measured resonant frequencies (using spectroscopy) related to temperature. The power level applied to the transducer can be varied. In one aspect, the frequency-temperature feedback control algorithm may be activated by an energy button on the ultrasound instrument.
最適な組織効果は、封止サイクルの初期に超音波変換器を駆動する電力レベルを増加させて(例えば、超音波変換器に印加される駆動電圧Vg(t)若しくは電流Ig(t)又はその両方を増加させることによって)組織を急速に加熱して乾燥させ、続いて超音波変換器を駆動する電力レベルを低下させて(例えば、超音波変換器に印加される駆動電圧Vg(t)若しくは電流Ig(t)又はその両方を低下させることによって)最終的な封止を徐々に形成させることによって得ることができるということは既知である。一態様では、本開示による周波数-温度フィードバック制御アルゴリズムは、高電力レベル段階中に組織が加熱するのにつれて組織が到達することのできる制限を温度閾値上に設定し、続いてクランプジョーパッド(例えばTEFLON)の融点に基づいて電力レベルを低下させて超音波ブレードの温度を制御して、封止を完了する。制御アルゴリズムは、止血アルゴリズムの複雑性を低減するための、より応答性/適応性の高い封止のための器具上のエネルギーボタンを作動させることによって実施することができる。Optimal tissue effect is obtained by increasing the power level driving the ultrasound transducer early in the sealing cycle (e.g., driving voltage Vg (t) or current Ig (t) applied to the ultrasound transducer). Rapidly heating and drying the tissue (by increasing Vg It is known that the final seal can be obtained by forming the final seal gradually (by lowering the current Ig (t) or the current I g (t) or both). In one aspect, a frequency-temperature feedback control algorithm according to the present disclosure sets a limit on a temperature threshold that the tissue can reach as it heats during the high power level phase and subsequently The temperature of the ultrasonic blade is controlled by reducing the power level based on the melting point of the TEFLON to complete the seal. The control algorithm can be implemented by actuating an energy button on the device for a more responsive/adaptive seal to reduce the complexity of the hemostasis algorithm.
図53は、本開示の少なくとも1つの態様による、温度制御を伴う超音波封止を提供するための制御プログラム又は論理構成を示すプロセスの論理フロー図133180である。制御アルゴリズムによれば、発生器又は器具のプロセッサ若しくは制御回路又はその両方は、分光法を用いた超音波ブレードの感知(例えばスマートブレード)を起動し(133182)、超音波ブレードの共振周波数(例えば超音波電気機械システムの共振周波数)を測定して(133184)、本明細書に記載される周波数-温度フィードバック制御アルゴリズム(分光法)を用いて超音波ブレードの温度を判定する。上述したように、超音波電気機械システムの共振周波数は、電気機械的超音波システムの共振周波数の関数として超音波ブレードの温度を得るようにマッピングされる。 FIG. 53 is a process logic flow diagram 133180 illustrating a control program or logic configuration for providing ultrasonic sealing with temperature control in accordance with at least one aspect of the present disclosure. According to the control algorithm, the processor and/or control circuit of the generator or instrument activates (133182) the sensing of the ultrasonic blade using spectroscopy (e.g. smart blade) and detects the resonant frequency of the ultrasonic blade (e.g. The resonant frequency of the ultrasonic electromechanical system is measured (133184) to determine the temperature of the ultrasonic blade using the frequency-temperature feedback control algorithm (spectroscopy) described herein. As mentioned above, the resonant frequency of the ultrasonic electromechanical system is mapped to obtain the temperature of the ultrasonic blade as a function of the resonant frequency of the electromechanical ultrasonic system.
超音波電気機械システムの第1の所望の共振周波数fxは、超音波ブレードの第1の所望の温度Z°に対応する。一態様では、第1の所望の超音波ブレード温度Z°は、組織凝固のための最適温度(例えば、450℃)である。超音波電気機械システムの第2の所望の周波数fYは、超音波ブレードの第2の所望の温度ZZ°に対応する。一態様では、第2の所望の超音波ブレード温度ZZ°は、330℃の温度であり、これは、TEFLONの場合に約380℃であるクランプアームパッドの融点よりも低い。The first desired resonant frequency fx of the ultrasonic electromechanical system corresponds to the first desired temperature Z° of the ultrasonic blade. In one aspect, the first desired ultrasonic blade temperature Z° is an optimal temperature for tissue coagulation (eg, 450° C.). The second desired frequency fY of the ultrasonic electromechanical system corresponds to the second desired temperature ZZ° of the ultrasonic blade. In one aspect, the second desired ultrasonic blade temperature ZZ° is a temperature of 330°C, which is lower than the melting point of the clamp arm pad, which is about 380°C for TEFLON.
発生器又は器具のプロセッサ若しくは制御回路又はその両方は、超音波電気機械システムの測定された共振周波数を第1の所望の周波数fxと比較する(133186)。換言すれば、プロセスは、超音波ブレードの温度が、最適な組織凝固のための温度よりも低いか否かを判定する。超音波電気機械システムの測定された共振周波数が第1の所望の周波数fxよりも低い場合、プロセスは、「いいえ」分岐に沿って進み、発生器又は器具のプロセッサ若しくは制御回路又はその両方は、超音波電気機械システムの測定された共振周波数が第1の所望の周波数fxを超えるまで、超音波変換器に印加される電力レベルを増加して(133188)超音波ブレードの温度を上昇させる。この場合、組織凝固プロセスが完了し、プロセスは、超音波ブレードの温度を、第2の所望の周波数fyに対応する第2の所望の温度に制御する。The processor and/or control circuit of the generator or instrument compares the measured resonant frequency of the ultrasound electromechanical system to the first desired frequency fx (133186). In other words, the process determines whether the temperature of the ultrasonic blade is below the temperature for optimal tissue coagulation. If the measured resonant frequency of the ultrasonic electromechanical system is lower than the first desired frequencyfx , the process proceeds along the "no" branch and the processor and/or control circuit of the generator or instrument , increasing the power level applied to the ultrasonic transducer (133188) to increase the temperature of the ultrasonic blade until the measured resonant frequency of the ultrasonic electromechanical system exceeds the first desired frequency fx . In this case, the tissue coagulation process is completed and the process controls the temperature of the ultrasonic blade to a second desired temperature corresponding to the second desired frequency fy .
プロセスは「はい」分岐に沿って進み、発生器又は器具のプロセッサ若しくは制御回路又はその両方が、超音波変換器に印加される電力レベルを低減させて(133190)、超音波ブレードの温度を低下させる。発生器又は器具のプロセッサ若しくは制御回路又はその両方は、超音波電気機械システムの共振周波数を測定し(133192)、測定された共振周波数を第2の所望の周波数fYと比較する。測定された共振周波数が第2の所望の周波数fY以上である場合、発生器又は器具のプロセッサ若しくは制御回路又はその両方は、測定された共振周波数が第2の所望の周波数fY未満となるまで超音波出力レベルを低下させる(133190)。周波数-温度フィードバック制御アルゴリズムは、超音波電気機械システムの測定された共振周波数を第2の所望の周波数fy未満に維持し(例えば、超音波ブレードの温度はクランプアームパッドの融点の温度未満である)、続いて、発生器は、超音波変換器に印加される電力レベルの増加を実行して、組織横切開プロセスが完了する(133196)まで超音波ブレードの温度を増加させる。The process proceeds along the "yes" branch, where the processor and/or control circuit of the generator or instrument reduces the power level applied to the ultrasonic transducer (133190) to reduce the temperature of the ultrasonic blade. let The processor and/or control circuit of the generator or instrument measures the resonant frequency of the ultrasound electromechanical system (133192) and compares the measured resonant frequency to a second desired frequencyfY . If the measured resonant frequency is greater than or equal to the second desired frequencyfY , the processor and/or control circuit of the generator or instrument causes the measured resonant frequency to be less than the second desired frequencyfY . (133190). The frequency-temperature feedback control algorithm maintains the measured resonant frequency of the ultrasonic electromechanical system below a second desired frequency fy (e.g., the temperature of the ultrasonic blade is below the temperature of the melting point of the clamp arm pad). ), the generator then performs an increase in the power level applied to the ultrasound transducer to increase the temperature of the ultrasound blade until the tissue traversing process is completed (133196).
図54は、本開示の少なくとも1つの態様による、時間の関数としての超音波変換器電流及び超音波ブレード温度のグラフ表示133200である。図54は、図53に記載された周波数-温度フィードバック制御アルゴリズムの適用の結果を示す。グラフ図133200は、時間の関数としての超音波変換器電流Ig(t)の第2のプロット133204に対する時間の関数としての超音波ブレード温度の第1のプロット133202を示す。示されるように、変換器Ig(t)は、超音波ブレード温度が最適な凝固温度である450℃に達するまで一定に維持される。超音波ブレード温度が450℃に達すると、周波数-温度フィードバック制御アルゴリズムは、例えば、超音波ブレードの温度が、例えばTEFLONパッドの融点未満である330℃未満に低下するまで、変換器電流Ig(t)を減少させる。FIG. 54 is a
組織の種類の識別又はパラメータ化
様々な態様において、外科用器具(例えば、超音波外科用器具)は、エンドエフェクタによって把持された組織を識別又はパラメータ化し、それに応じて外科用器具の様々な動作パラメータを調整するように構成される。組織の識別又はパラメータ化には、組織の種類(例えば、生理学的組織タイプ)、組織の物理的特性又は属性、組織組成、エンドエフェクタ内又はエンドエフェクタに対する組織の位置などを挙げることができる。以下でより詳細に論じられる一例では、超音波外科用器具は、エンドエフェクタのジョー内で検出された組織のコラーゲン/エラスチン比に従って、超音波ブレードの遠位先端部の変位振幅を調整するように構成されている。前述したように、超音波器具は、超音波導波管を介して超音波ブレードに音響的に結合された超音波変換器を備える。超音波ブレードの変位は、超音波変換器に印加される電力の関数であり、したがって、超音波変換器に供給される電力は、組織の検出されたコラーゲン/エラスチン比に従って変調することができる。以下でより詳細に論じられる別の例では、組織上にクランプアームによって及ぼされる力は、エンドエフェクタに対する組織の位置に従って変調することができる。組織を識別又はパラメータ化するための様々な技術が本明細書に記載されており、更なる詳細は、例えば、その開示が参照によりその全体が本明細書に組み込まれる、「SMART ENERGY DEVICES」と題する2018年6月30日出願の米国特許仮出願第62/692,768号に見出すことができる。Tissue Type Identification or Parameterization In various embodiments, a surgical instrument (e.g., an ultrasonic surgical instrument) identifies or parameterizes the tissue grasped by an end effector and responds to various operations of the surgical instrument. configured to adjust parameters; Tissue identification or parameterization can include tissue type (eg, physiological tissue type), tissue physical properties or attributes, tissue composition, tissue location within or relative to the end effector, and the like. In one example, discussed in more detail below, the ultrasonic surgical instrument is configured to adjust the displacement amplitude of the distal tip of the ultrasonic blade according to the collagen/elastin ratio of the tissue detected within the jaws of the end effector. It is configured. As previously mentioned, the ultrasonic instrument includes an ultrasonic transducer acoustically coupled to an ultrasonic blade via an ultrasonic waveguide. The displacement of the ultrasound blade is a function of the power applied to the ultrasound transducer, and thus the power delivered to the ultrasound transducer can be modulated according to the detected collagen/elastin ratio of the tissue. In another example, discussed in more detail below, the force exerted by the clamp arm on the tissue can be modulated according to the position of the tissue relative to the end effector. Various techniques for identifying or parameterizing tissue are described herein, and further details can be found, for example, in "SMART ENERGY DEVICES," the disclosure of which is incorporated herein by reference in its entirety. No. 62/692,768, filed June 30, 2018.
インピーダンス変化を介して組織の位置を決定
図23に戻って参照すると、本開示の少なくとも1つの態様による、超音波ブレード1128及びクランプアーム1140を備えるエンドエフェクタ1122が示されている。図55は、本開示の少なくとも1つの態様による、クランプアーム1140及び超音波ブレード1128を示し、超音波エンドエフェクタ1122内の組織の位置決めを描写する、超音波エンドエフェクタ1122の底面図である。クランプアーム1140と超音波ブレード1128との間の組織の位置決めは、遠位領域130420及び近位領域130422.など、組織が位置する領域又は区域に従って線引きされ得る。Determining Tissue Position Through Impedance Changes Referring back to FIG. 23, an
ここで図23及び図55を参照して、本明細書に記載されるように、超音波エンドエフェクタ1122は、超音波ブレード1128とクランプアーム1140との間に組織を把持する。組織が把持されると、超音波発生器(例えば、図22に関連して説明されている発生器1100)が、超音波導波管を介して超音波ブレード1128に音響的に結合されている超音波変換器に電力を印加するように起動され得る。超音波変換器に印加される電力は、治療的又は非治療的な範囲のエネルギーレベルであり得る。非治療的範囲の印加電力では、結果として生じる超音波ブレード1128の変位は、組織を凝固又は切断しないように、把持された組織に影響を及ぼさない、又は最小限影響するだけである。非治療的励起は、超音波変換器のインピーダンスを決定するのに特に有用であり得、これは、他の条件の中でも、例えば、組織の種類、エンドエフェクタ内の組織の位置、異なる組織の種類の比、及び超音波ブレードの温度を含めて、エンドエフェクタ1122に存在する様々な条件に基づいて変化する。様々なこれらの条件が、本明細書では説明される。超音波変換器のインピーダンスは、本明細書で説明されるように、 23 and 55, an
一態様では、本開示は、図23及び図55に示されるように、超音波エンドエフェクタ1122のジョー内(すなわち、クランプアーム1140と超音波ブレード1128との間)に位置する組織の厚さ及び種類を決定するためのアルゴリズムなどの制御プロセスを提供する。エンドエフェクタ1122によって把持された物体の様々な状態及び特性を検出することに関する更なる詳細は、下記の「ジョーの状態を決定する(DETERMINING JAW STATE)」の項で、及び「SMART ENERGY DEVICES」と題された米国特許仮出願第62/692,768号で論じられている。 In one aspect, the present disclosure describes the thickness and thickness of tissue located within the jaws of ultrasonic end effector 1122 (i.e., between
図56は、本開示の少なくとも1つの態様による、所定の超音波発生器電力レベルが増加する範囲にわたって超音波エンドエフェクタ1122内の組織の位置の関数としての超音波変換器インピーダンスの変化を示すグラフ表示130000である。水平軸130004は、組織の位置を表し、縦軸130002は、変換器インピーダンス(Ω)を表す。第1の又は近位限界130010及び第2の又は遠位限界130012などの水平軸130004に沿った様々な限界は、超音波エンドエフェクタ1122内に把持された組織の異なる位置を描写するか、又はそれらに対応し得る。近位及び遠位の組織位置の描写は、図55(すなわち、近位部分130422及び遠位部分130420)に模式的に示されている。プロット130006、130008は、超音波変換器に印加される電力が、最小又は第1の非治療電力レベルL1から最大又は第2の非治療電力レベルL2まで変化するときの変換器インピーダンスΩの変化を表す。変換器インピーダンスΩの変化が大きいほど、結果として得られるプロットは遠位限界130012に近い。したがって、組織の位置は、様々な限界(例えば、近位限界130010及び遠位限界130012)に対して得られたプロットの位置に対応する。第1のプロット130006において、δ1は、組織がエンドエフェクタ1122の近位部分130422に位置するときの変換器インピーダンスの変化を表す。これは、第1のプロット130006が近位限界130010を超えないという事実から見ることができる。第2のプロット130008において、δ2は、組織がエンドエフェクタ1122の遠位端130012に位置するときの変換器インピーダンスの変化を表す。これは、第1のプロット130006が近位限界130010を超え、かつ/又は遠位限界130012の近くに位置するという事実から見ることができる。プロット130006、130008によって示されるように、δ2は、δ1よりもはるかに大きい。FIG. 56 is a graph illustrating changes in ultrasound transducer impedance as a function of tissue position within
超音波変換器に電力(電圧及び電流)を印加して、超音波ブレード1128を非治療範囲(例えば、組織を切断又は凝固するのに十分ではない電力)で作動させるとき、得られる測定された変換器インピーダンス(Ω)は、図55に示されるような超音波ブレード1128の遠位端130420又は近位端130422にあるかにかかわらず、エンドエフェクタ1122のジョー内の組織の位置の有用な指標である。エンドエフェクタ1122内の組織の位置は、超音波変換器に印加される非治療電力レベルが最小電力レベル(例えば、L1)から最大電力レベル(例えば、L2)に変化するにつれて、変換器インピーダンスδの変化に基づいて決定することができる。いくつかの態様では、超音波変換器に印加される非治療的電力レベル(複数可)は、超音波ブレード1128を、感知振幅又は最小治療振幅未満(例えば、超音波ブレード1128の遠位端及び/又は近位端において35μm以下)で振動させることができる。インピーダンスの計算は、本開示において以前に論じられている。第1の電力レベルL1が印加されるときに第1の変換器インピーダンスZ1の測定値が取られ、これは初期測定値を提供し、印加される電力が第2の電力レベルL2まで増加されるときに後続のインピーダンスZ2の測定値が再び取られる。一態様では、第1の電力レベルL1=0.2A及び第2の電力レベルL2=0.4A又は第1の電力レベルL1の2倍であり、一方電圧は一定に維持されている。印加された電力レベルに基づく、超音波ブレード1128の得られた長手方向変位振幅は、エンドエフェクタ1122のジョー内の組織の位置の指標を提供する。一例示的な実装形態では、第1の電力レベルL1は、遠位端130420において35μmの長手方向変位振幅、及び近位端130422において15μmを生成する。更に、この例では、第2の電力レベルL2は、遠位端130420において70μmの長手方向振幅、及び近位端130422において35μmを生成する。アルゴリズムは、インピーダンスの変化ΔZg(t)を見出すために、第1測定値と第2測定値との間の変換器インピーダンスδの差を計算する。インピーダンスδの変化は、組織の位置に対してプロットされ、インピーダンスのより高い変化が、遠位端130012に分布した組織の位置を表し、インピーダンスのより低い変化が、エンドエフェクタ1122の近位端130010に分布した組織の位置を表すことを示す。要するに、電力レベルがL1からL2に増加するにつれてインピーダンスの大きな変化が存在する場合、組織はエンドエフェクタ1122内で遠位のみに位置付けられる。逆に、電力レベルがL1からL2に増加するにつれてインピーダンスのわずかな変化のみが存在する場合、組織はエンドエフェクタ1122内でより分散される。When applying power (voltage and current) to the ultrasound transducer to operate the
図57は、本開示の少なくとも1つの態様による、超音波エンドエフェクタ内の組織の位置に対する時間の関数としての超音波変換器インピーダンスの変化を示すグラフ表示130050である。水平軸130054は時間(t)を表し、縦軸130052は、第1測定値と第2測定値との間の変換器インピーダンス(δ)の変化を表す。プロット130060、130066は、クランプアーム1140の食込み内の組織の近位及び遠位位置に対する変換器インピーダンス(δ)対時間(t)の変化を示す。近位及び遠位の組織の位置に関して、クランプアーム1140の力が適用されて、超音波エンドエフェクタ1122内に組織を保持し、第1の低電力レベルが印加される前に遅延期間が適用され、変換器インピーダンスが測定される。続いて、システムは、第2のより高い電力レベルを印加し、再びインピーダンスを測定する。超音波変換器に印加される第1及び第2の電力レベルの両方は、非治療的電力レベルであることを理解されたい。発生器又は外科用器具のプロセッサ若しくは制御回路部分(例えば、図21のプロセッサ902又は図18の制御回路760)によって実行されるアルゴリズムは、近位及び遠位の組織の位置の第1の電力レベルと第2の電力レベルとの間の変換器インピーダンス(δ)の差を計算する。第1のプロット130060に関連して示されているように、変換器インピーダンス(δ)の差が第1の閾値130056を下回る場合、アルゴリズムは、組織がエンドエフェクタ1122の近位部分130422内に位置すると判定する。第1のプロット130060では、測定値間の変換器インピーダンスの差は、それが130064を第1の閾値130056を下回ってプラトーにするか、又は維持するまで130062を経時的に増加する。第1のプロット130066に関連して示されているように、変換器インピーダンス(δ)の差が第2の閾値130058を上回る場合、アルゴリズムは、組織がエンドエフェクタ1122の遠位部分130420内に位置すると判定する。第2のプロット130066では、測定値間の変換器インピーダンスの差は、それが130070を第2の閾値130058上回ってプラトーにするか、又は維持するまで130068を経時的に増加する。変換器インピーダンス(δ)の差が第1及び第2の閾値130056、130058の間にある場合、アルゴリズムは、組織がエンドエフェクタ1122の中央部分130424内、例えば、エンドエフェクタの近位部分と遠位部分との間、に位置すると判定する。 FIG. 57 is a
図58は、本開示の少なくとも1つの態様による、組織の位置決めを決定するために器具に印加される非治療範囲の電力における動作を特定するための制御プログラム又は論理構成を示す、プロセス130100の論理フロー図である。プロセス130100は、図18の制御回路760などの外科用器具の、又は図21のプロセッサ902などの発生器の、プロセッサ又は制御回路によって実行することができる。簡潔にするために、プロセス130100は、プロセッサによって実行されるものとして説明されるが、以下の説明は、前述の変形を包含することを理解されたい。 FIG. 58 illustrates the logic of a
プロセス130100の一態様によれば、プロセッサは、クランプアーム1140を閉鎖して、クランプアーム1140と超音波ブレード1128.との間に組織を捕捉するために制御信号を印加する。クランプアーム1140が組織上に閉じた後、プロセッサは所定の遅延期間待機して、組織を和らげ、水分をある程度放棄することを可能にする。遅延期間の後、プロセッサは、超音波変換器に印加される電力レベルを第1の非治療電力レベルに設定する(130102)。任意選択的に、プロセス130100の一態様は、第1の電力が治療電力レベルを下回って設定されていることを検証するために、フィードバック制御を使用することができることを含む。この態様では、プロセッサは、第1の電力レベルが治療電力レベル未満であるかどうかを判定する(130106)。第1の電力レベルが治療電力レベル以上である場合、プロセス130100は、「いいえ」の分岐に沿って進み、プロセッサは、印加された電力を減少させ(130108)、第1の電力レベルが治療電力レベル未満になるまでループを続行する。次いで、プロセス130100は、「はい」の分岐に沿って続行し、プロセッサは、第1の電力レベルに対応する超音波変換器の第1のインピーダンスZg1(t)を測定する(130110)。次いで、プロセッサは、超音波変換器に印加される電力レベルを第2の非治療電力レベルに設定し(130112)、第2の電力は第1の電力レベルよりも高く、治療電力レベルを下回る。ここでも、任意選択的に、フィードバック制御を使用して、第2の電力レベルが第1の電力レベルよりも高いだけでなく、治療電力レベルを下回ることを検証することができる。この態様では、プロセッサは、第2の電力レベルが治療電力レベル未満であるかどうかを判定する(130114)。第2の電力が治療電力レベルよりも大きい場合、プロセス130100は、「いいえ」の分岐に沿って進み、プロセッサは、第2の電力レベルを減少させ(130108)、それが治療電力レベル閾値を下回るまでループを続行する。次いで、プロセス130100は、「はい」の分岐に沿って続行し、プロセッサは、第2の電力レベルに対応する超音波変換器の第2のインピーダンスZg2(t)を測定する(130116)。超音波変換器のインピーダンスは、本明細書で論じられる様々な技術を使用して測定することができる。次いで、プロセッサは、印加された第1の電力レベルと第2の電力レベルとの間の変換器インピーダンスの差を計算する(130118)。
δ=Zg2(t)-Zg1(t)である。According to one aspect of
δ=Zg2 (t)−Zg1 (t).
次いで、プロセッサは、組織の位置の指標をユーザに提供する(130120)。プロセッサは、外科用器具の出力装置(例えば、図31に示されるディスプレイなどの視覚的フィードバック装置、音声フィードバック装置、及び/又は触覚フィードバック装置)、ディスプレイ135(図3)、又は外科用器具及び/又は発生器1100の出力装置2140(図27B)に通信可能に接続された外科用ハブ106の他の出力装置(例えば、視覚フィードバック装置、音声フィードバック装置、及び/又は触覚フィードバック装置)を介して組織の位置を示すことができる。 The processor then provides an indication of the location of the tissue to the user (130120). The processor may output the surgical instrument's output device (e.g., a visual, audio, and/or tactile feedback device such as the display shown in FIG. 31), the display 135 (FIG. 3), or the surgical instrument and/or the output device. or through other output devices (e.g., visual feedback devices, audio feedback devices, and/or tactile feedback devices) of
プロセッサは、変換器インピーダンスの差を第1及び第2の閾値と比較し、ここで、図57に示すように、変換器インピーダンスの差(δ)が第1の閾値130056を下回る場合、アルゴリズムは、組織がエンドエフェクタ1122の近位部分130422内に位置すると判定し、変換器インピーダンスの差(δ)が第2の閾値130058を上回る場合、アルゴリズムは、組織がエンドエフェクタ1122の遠位部分130420内に位置すると判定する。変換器インピーダンスの差(δ)が、第1及び第2の閾値130056、130058の間にある場合、アルゴリズムは、組織がエンドエフェクタ1122の中央部分130424内、例えば、エンドエフェクタ1122の近位部分及び遠位部分130422、130420の間に位置すると判定する。記載されたプロセスによれば、超音波変換器のインピーダンスを使用して、組織の何パーセントがエンドエフェクタ1122の遠位、近位、又は中間位置に位置するかを区別し、次いで好適な治療電力レベルを適用することができる。 The processor compares the transducer impedance difference to first and second thresholds, where if the transducer impedance difference (δ) is less than the
組織の位置決めに基づくスイッチレスモード
様々な態様において、超音波器具の反応は、組織がエンドエフェクタ内に存在するかどうか、エンドエフェクタ内に位置する組織の種類、又はエンドエフェクタ内に位置する組織の圧縮性若しくは組成に基づき得る。したがって、発生器又は超音波外科用器具は、エンドエフェクタのジョー内の組織をクランプすることと、組織を治療するための超音波変換器の起動との間の時間を制御するアルゴリズムを実施するための命令を収容及び/又は実行してもよい。組織が感知されない場合、超音波発生器起動ボタン又はペダルは、異なる機能を実行するために異なる意味を割り当てられてもよい。一態様では、高度なエネルギー装置は、超音波変換器を起動させるためのキューとしてエンドエフェクタのジョー内の組織の存在の検出を用いてもよく、それによって組織凝固サイクルを開始し得る。別の態様では、圧縮特性及び状況認識は、装置の自動起動を可能にし、感知された組織の種類に対するアルゴリズムのパラメータを調整することもできる。例えば、高度な発生器は、組織がエンドエフェクタのジョーと接触して感知されない限り、ボタン又は足部ペダルの起動を無視してもよい。この構成は、装置がより単純な様態で動作することを可能にする不注意な起動キューを排除する。Switchless Mode Based on Tissue Positioning In various embodiments, the response of the ultrasound instrument depends on whether tissue is present within the end effector, the type of tissue located within the end effector, or the type of tissue located within the end effector. It may be based on compressibility or composition. Thus, the generator or ultrasonic surgical instrument implements an algorithm that controls the time between clamping the tissue within the jaws of the end effector and activating the ultrasonic transducer to treat the tissue. may contain and/or execute instructions. When no tissue is sensed, the ultrasound generator activation button or pedal may be assigned a different meaning to perform a different function. In one aspect, the advanced energy device may use detection of the presence of tissue within the jaws of the end effector as a cue to activate the ultrasound transducer, thereby initiating a tissue coagulation cycle. In another aspect, the compression characteristics and situational awareness may also enable automatic activation of the device and adjust the parameters of the algorithm for the sensed tissue type. For example, advanced generators may ignore activation of a button or foot pedal unless tissue is sensed in contact with the end effector jaws. This configuration eliminates inadvertent activation queues allowing the device to operate in a simpler manner.
したがって、図1~図42に関連して説明される高度な発生器などの高度な発生器、及び/又は本開示全体を通して説明される超音波外科用器具などの外科用器具は、スイッチレスモードで動作するように構成されてもよい。スイッチレスモードモードでは、超音波装置は、エンドエフェクタのジョー内の組織の存在を感知又は検出すると、凝固モードで自動的に起動される。一態様では、自動エネルギー起動(又は「スイッチレス」モード)モードで動作しているとき、超音波外科用器具の起動を制御する制御アルゴリズムは、スイッチレスモードで動作していないときに起動される場合よりも、最初に超音波器具に印加するエネルギーが少なくなるように構成することができる。更に、超音波発生器又は器具は、エンドエフェクタのジョー内に位置する組織との接触及び組織の種類の両方を決定するように構成することができる。エンドエフェクタのジョー内の組織の存在を感知又は検出することに基づいて、発生器又は超音波器具のプロセッサ又は制御回路のいずれかによって実行される制御アルゴリズムは、超音波器具をスイッチレスモードで走らせることができ、エンドエフェクタのジョー内の組織の最良の全体凝固を達成するようにアルゴリズムを調節することができる。他の態様では、外科用器具及び/又は発生器を自動的に起動する代わりに、発生器又は超音波器具のプロセッサ又は制御回路によって実行される制御アルゴリズムは、エンドエフェクタ内で組織の存在が検出されない限り、発生器又は超音波器具の起動を防止することができる。 Accordingly, advanced generators, such as the advanced generators described in connection with FIGS. 1-42, and/or surgical instruments, such as the ultrasonic surgical instruments described throughout this disclosure, may be operated in a switchless mode. It may be configured to operate in In switchless mode, the ultrasound device is automatically activated in coagulation mode upon sensing or detecting the presence of tissue within the jaws of the end effector. In one aspect, a control algorithm that controls activation of an ultrasonic surgical instrument when operating in an automatic energy activation (or "switchless" mode) mode is activated when not operating in a switchless mode. The ultrasound instrument may be configured to initially apply less energy than otherwise. Further, the ultrasound generator or instrument can be configured to determine both the tissue contact and the type of tissue located within the jaws of the end effector. Based on sensing or detecting the presence of tissue within the jaws of the end effector, a control algorithm executed by either the generator or the ultrasonic instrument's processor or control circuitry causes the ultrasonic instrument to run in a switchless mode. The algorithm can be adjusted to achieve the best overall coagulation of tissue within the end effector jaws. In other aspects, instead of automatically activating the surgical instrument and/or generator, a control algorithm executed by a processor or control circuit of the generator or ultrasonic instrument detects the presence of tissue within the end effector. Activation of the generator or ultrasonic instrument may be prevented unless otherwise specified.
一態様では、本開示は、エンドエフェクタのジョー内に位置する組織の存在及び組織の種類を決定するために、発生器又は手持ち式超音波器具のいずれかに位置するプロセッサ又は制御回路によって実行されるアルゴリズムを提供する。一態様では、制御アルゴリズムは、「電極導通を介して組織の位置を決定する」の項で以下に記載されるような、組織の位置を決定するための本明細書に記載される技術を介して、組織がエンドエフェクタ内に位置することを決定するように構成することができる。例えば、制御アルゴリズムは、(以下に記載されるように)電極間に任意の導通があるかどうかに従って、組織がエンドエフェクタ内にあるかどうかを判定し、それに応じて、組織の検出時に自動的に外科器具を起動させる(例えば、外科用器具が結合されている発生器に、外科用器具への電力の印加を開始することによって)、又は外科器具の起動を可能にするように構成することができる。外科用器具及び/又は発生器がスイッチレスモードで動作されているとき、制御アルゴリズムは、外科用器具を特定の電力レベルで起動させるように更に構成することができ、これは、外科用器具の標準的な初期起動電力レベルとは異なっていても異なっていなくてもよい。いくつかの態様では、制御アルゴリズムは、例えば、「IR表面反射率及び放射率に応じて組織のコラーゲン対エラスチン比を決定する」の項で以下に記載される技術を介して検出することができる組織の特定の種類又は組成に従って、外科用器具の起動を起動又は許可するように構成することができる。例えば、制御アルゴリズムは、高コラーゲン組成を有する組織が把持されたときに外科用器具を起動するように構成することができるが、高エラスチン組成を有する組織が把持されたときに外科用器具を起動させるとは限らない。いくつかの態様では、制御アルゴリズムは、例えば、「電極導通を介して組織の位置を決定する」の項で以下に記載される技術を介して、把持された組織がエンドエフェクタ内の特定の位置に位置しているかどうか、又は特定の量の組織がエンドエフェクタによって把持されているかどうかに従って、外科用器具の起動を起動又は許可するように構成することができる。例えば、制御アルゴリズムは、把持された組織がエンドエフェクタの特定の割合をカバーするとき、外科用器具を起動するように構成することができる。別の例として、制御アルゴリズムは、把持された組織がエンドエフェクタの遠位端部に位置するとき、外科用器具を起動するように構成することができる。 In one aspect, the present disclosure provides a method for determining the presence of tissue and the type of tissue located within the jaws of an end effector, performed by a processor or control circuit located in either a generator or a handheld ultrasound instrument. We provide an algorithm for In one aspect, the control algorithm operates through the techniques described herein for determining tissue location, such as those described below in the section "Determining Tissue Location Via Electrode Conduction." may be configured to determine that tissue is located within the end effector. For example, the control algorithm determines whether tissue is within the end effector according to whether there is any continuity between the electrodes (as described below) and automatically upon detection of tissue accordingly. (e.g., by initiating application of power to the surgical instrument to a generator to which the surgical instrument is coupled) or configured to enable activation of the surgical instrument; Can be done. When the surgical instrument and/or generator is operated in a switchless mode, the control algorithm can be further configured to activate the surgical instrument at a particular power level, which It may or may not be different from the standard initial startup power level. In some embodiments, the control algorithm can detect, e.g., via the techniques described below in the section "Determining the Collagen to Elastin Ratio of Tissues as a Response to IR Surface Reflectance and Emissivity." It can be configured to activate or permit activation of the surgical instrument according to the particular type or composition of tissue. For example, the control algorithm may be configured to activate a surgical instrument when tissue with a high collagen composition is grasped, but not when tissue with a high elastin composition is grasped. Not necessarily. In some aspects, the control algorithm determines whether the grasped tissue is at a particular location within the end effector, e.g., through the techniques described below in the section "Determining Tissue Position Via Electrode Conduction." or whether a certain amount of tissue is being grasped by the end effector. For example, the control algorithm can be configured to activate the surgical instrument when the grasped tissue covers a certain percentage of the end effector. As another example, the control algorithm may be configured to activate the surgical instrument when grasped tissue is located at the distal end of the end effector.
他の態様では、制御アルゴリズムは、参照によりその全体が本明細書に組み込まれる、「METHOD OF HUB COMMUNICATION」と題する2018年4月19日出願の米国特許仮出願第62/659,900号に記載されているような、及び「状況認識(SITUATIONAL AWARENESS)」の項で記載されているような、状況認識システムを介して、組織がエンドエフェクタによって把持されているかどうか、組織の種類又は組成、及びエンドエフェクタ又は組織の他の特性を決定するように構成することができる。これらの態様では、外科用器具及び/又は発生器が接続される外科用ハブ106(図1~図11)は、外科用器具、発生器、及び/又は手術用室で利用される他の医療装置からデータを受信し、実施されている外科処置又はその特定の工程について推論することができる。したがって、状況認識システムは、任意の所与の瞬間又は工程でどの種類(複数可)の組織が手術されているかどうかを推定することができ、次に、制御アルゴリズムは、それに応じて外科器具を制御することができ、適宜外科器具を自動的に起動させることを含める。例えば、制御アルゴリズムは、エンドエフェクタによって把持された組織が、状況認識システムによって予想される組織の種類又は組織の組成に対応するときに、外科用器具の起動を自動的に起動又は許可するように構成することができる。 In other aspects, the control algorithm is described in U.S. Provisional Patent Application No. 62/659,900, filed April 19, 2018, entitled "METHOD OF HUB COMMUNICATION," which is incorporated herein by reference in its entirety. SITUATIONAL AWARENESS and whether tissue is being grasped by the end effector, the type or composition of the tissue, and It may be configured to determine end effector or other characteristics of the tissue. In these embodiments, the surgical hub 106 (FIGS. 1-11) to which surgical instruments and/or generators are connected may be connected to Data can be received from the device and inferences can be made about the surgical procedure being performed or specific steps thereof. Thus, the situational awareness system can estimate which type(s) of tissue is being operated on at any given moment or step, and the control algorithm can then adjust the surgical instruments accordingly. control, including automatically activating surgical instruments as appropriate. For example, the control algorithm may automatically activate or permit activation of the surgical instrument when the tissue grasped by the end effector corresponds to the tissue type or tissue composition expected by the situational awareness system. Can be configured.
器具が組織に接触しているか否か、及び接触しているときにどの種類の組織であるかを検出する能力を有することにより、超音波器具は動作のスイッチレスモードで動作することができ、超音波器具の感知能力に基づいて動作が許容される。いくつかの態様では、制御アルゴリズムは、組織が外科用器具のジョー/エンドエフェクタと接触して感知されない限り、発生器及び/又は超音波外科用器具に結合された起動ボタン、足部ペダル、及び他の入力装置の起動を無視するように構成することができ、それによって器具の意図しない起動を防止する。いくつかの態様では、制御アルゴリズムは、組織が外科用器具のジョー/エンドエフェクタと接触して感知されるかどうかに応じて、発生器及び/又は超音波外科用器具に結合された起動ボタン、足部ペダル、及び他の入力装置の入力に異なる意味を割り当てるように構成することができる。例えば、組織がエンドエフェクタ内に存在するとき、制御アルゴリズムは、起動される起動ボタンに応答して外科用器具を起動するように構成することができ、しかしながら、組織がエンドエフェクタ内に存在しないとき、制御アルゴリズムは、起動ボタンが起動されると、何か異なる又は二次的アクションを実行するように構成することができる。 Having the ability to detect whether the instrument is in contact with tissue and, if so, what type of tissue, allows the ultrasound instrument to operate in a switchless mode of operation; Operations are permitted based on the sensing capabilities of the ultrasound instrument. In some embodiments, the control algorithm controls the generator and/or the activation button coupled to the ultrasonic surgical instrument, the foot pedal, and the It can be configured to ignore activation of other input devices, thereby preventing unintentional activation of the instrument. In some aspects, the control algorithm includes an activation button coupled to the generator and/or the ultrasonic surgical instrument depending on whether tissue is sensed in contact with the jaws/end effector of the surgical instrument; Foot pedal and other input device inputs can be configured to assign different meanings. For example, the control algorithm may be configured to activate a surgical instrument in response to an activated activation button when tissue is present within the end effector, however, when tissue is not present within the end effector. , the control algorithm can be configured to perform some different or secondary action when the activation button is activated.
エンドエフェクタのジョー内に存在する組織の欠如を判定する能力は、器具がスイッチレスモードに変化し、次いで、組織が検出されるときに自動凝固サイクルの動作を開始することを可能にする許容的な役割を果たし、器具のより長い稼働時間の使用につながり、ユーザがその予測能力に基づいて続行することを可能にする。組織の存在を検出することに加えて、組織の種類を更に検出する能力は、アルゴリズムが最良の凝固機会を調節及び計算することを可能にする。 The ability to determine the absence of tissue present within the jaws of the end effector is permissive allowing the instrument to change to a switchless mode and then initiate operation of an automatic coagulation cycle when tissue is detected. plays an important role, leading to longer uptime usage of the instrument and allowing the user to proceed based on its predictive ability. In addition to detecting the presence of tissue, the ability to further detect tissue type allows the algorithm to adjust and calculate the best clotting opportunities.
組織組成に従って超音波システムを調整
様々な態様において、超音波外科用器具は、エンドエフェクタによって把持される又はエンドエフェクタで把持された組織の組成を検出し、それに応じて超音波変換器及び/又は超音波ブレードの動作パラメータを制御するための適応型超音波ブレード制御アルゴリズムを実行するプロセッサ又は制御回路を含むことができる。組織組成は、例えば、組織内のコラーゲンとエラスチンとの比、組織の硬さ、又は組織の厚さを含むことができる。適応型超音波ブレード制御アルゴリズムによって制御又は調節される動作パラメータには、例えば、超音波ブレードの振幅、超音波ブレードの温度又は熱流束などを含めることができる。適応型超音波ブレード制御アルゴリズムは、発生器又は外科用器具のいずれかに位置する制御回路又はプロセッサによって実行され得る。Adjusting the Ultrasonic System According to Tissue Composition In various embodiments, the ultrasonic surgical instrument detects the composition of the tissue grasped by or at the end effector and adjusts the ultrasonic transducer and/or the ultrasound system accordingly. A processor or control circuit may be included that executes an adaptive ultrasonic blade control algorithm to control operating parameters of the ultrasonic blade. Tissue composition can include, for example, the ratio of collagen to elastin within the tissue, the stiffness of the tissue, or the thickness of the tissue. Operating parameters controlled or adjusted by the adaptive ultrasonic blade control algorithm may include, for example, ultrasonic blade amplitude, ultrasonic blade temperature or heat flux, and the like. The adaptive ultrasonic blade control algorithm may be executed by a control circuit or processor located on either the generator or the surgical instrument.
以下に更に詳細に記載される一例では、適応型超音波ブレード制御アルゴリズムは、組織のコラーゲン対エラスチン比に従って超音波ブレードの振幅を制御するように構成することができる。組織のコラーゲン対エラスチン比は、以下に記載されるものなどの様々な技術を介して決定することができる。以下に更に詳細に記載される別の実施例では、適応型超音波ブレード制御アルゴリズムは、超音波変換器/超音波ブレードを制御して、より長い加温時間を提供し、超音波ブレードの終了温度が低いほど、組織のコラーゲン含有量が低くなるように構成することができる。 In one example, described in more detail below, an adaptive ultrasound blade control algorithm can be configured to control the amplitude of the ultrasound blade according to the collagen to elastin ratio of the tissue. The collagen to elastin ratio of a tissue can be determined through a variety of techniques, such as those described below. In another example, described in further detail below, an adaptive ultrasonic blade control algorithm controls the ultrasonic transducer/ultrasonic blade to provide a longer warming time and terminate the ultrasonic blade. The lower the temperature, the lower the collagen content of the tissue.
周波数シフトに従って組織のコラーゲン対エラスチン比を決定
様々な態様では、制御アルゴリズムは、超音波ブレードの固有周波数及び超音波ブレード波形のシフトを検出することによって、組織のコラーゲン対エラスチン比を決定する(例えば、超音波ブレードの遠位先端の振幅を調整する)ように構成することができる。例えば、図1~図54に関連して説明される技術は、超音波器具のエンドエフェクタ内に位置する組織のコラーゲン対エラスチンの比を検出するために用いられてもよい。一態様では、本開示は、超音波ブレードの固有周波数及び波形のシフトを検出して、超音波ブレードと接触する組織組成を検出するための適応型超音波ブレード制御アルゴリズムを提供する。別の態様では、適応型超音波ブレード制御アルゴリズムは、組織のコラーゲン及びエラスチン組成の含有量を検出し、検出された組織のコラーゲン含有量に基づいて超音波ブレードの治療的熱流束を調節するように構成されてもよい。超音波器具のエンドエフェクタのジョー内に位置する組織の種類に基づいて超音波ブレードの固有周波数の偏差を監視するための技術は、図1~図54に関連して本明細書に記載されている。したがって、開示を簡潔かつ明快にするため、そのような技術はここでは繰り返さない。Determining the Collagen to Elastin Ratio of the Tissue According to a Frequency Shift In various embodiments, the control algorithm determines the collagen to elastin ratio of the tissue by detecting the natural frequency of the ultrasound blade and the shift of the ultrasound blade waveform (e.g. , the amplitude of the distal tip of the ultrasonic blade). For example, the techniques described in connection with FIGS. 1-54 may be used to detect the collagen to elastin ratio of tissue located within the end effector of an ultrasound instrument. In one aspect, the present disclosure provides an adaptive ultrasound blade control algorithm for detecting shifts in the natural frequency and waveform of an ultrasound blade to detect tissue composition in contact with the ultrasound blade. In another aspect, an adaptive ultrasound blade control algorithm is configured to detect collagen and elastin composition content of the tissue and adjust the therapeutic heat flux of the ultrasound blade based on the detected collagen content of the tissue. may be configured. Techniques for monitoring deviations in the natural frequency of an ultrasonic blade based on the type of tissue located within the jaws of an end effector of an ultrasonic instrument are described herein in connection with FIGS. 1-54. There is. Therefore, in the interest of brevity and clarity of disclosure, such techniques are not repeated here.
コラーゲンに対するエラスチンの比率は、超音波ブレードの固有周波数のシフトを監視し、かつ固有周波数をルックアップテーブルと比較することによって決定され得る。ルックアップテーブルは、メモリ(例えば、図31のメモリ3326)に記憶することができ、コラーゲンに対するエラスチンの比率、及び経験的に決定される特定の比率に対応する固有周波数シフトを含む。 The elastin to collagen ratio can be determined by monitoring the shift in the natural frequency of the ultrasonic blade and comparing the natural frequency to a look-up table. A look-up table can be stored in memory (eg,
IR表面反射率及び放射率に従って組織のコラーゲン対エラスチン比を決定
様々な態様では、制御アルゴリズムは、組織のIR反射率を決定することによって、(例えば、超音波ブレードの遠位先端の振幅を調整するために)組織のコラーゲン対エラスチン比を決定するように構成することができる。例えば、図59は、超音波器具130150に結合された超音波発生器130152を備える超音波システム130164を示す。超音波器具130150は、超音波導波管130154.を介して超音波エンドエフェクタ130400に結合される。超音波発生器130152は、超音波器具130150と一体であってもよく、又は有線若しくは無線電気/電子結合技術を使用して超音波器具130150に接続されてもよい。超音波外科用器具130150のエンドエフェクタ130400は、本開示の少なくとも1つの態様による、クランプアーム130402(例えば、ジョー部材)上に位置するIRセンサを備える。超音波発生器130152及び/又は超音波器具130150は、図1~図11に関連して説明されるように、無線又は有線接続を介して、外科用ハブ130160及び/又はクラウド130162に結合されてもよい。Determining the Collagen to Elastin Ratio of the Tissue According to IR Surface Reflectance and Emissivity In various embodiments, the control algorithm adjusts the amplitude of the distal tip of the ultrasound blade (e.g., by determining the IR reflectance of the tissue). (in order to) determine the collagen to elastin ratio of a tissue. For example, FIG. 59 shows an
図60は、本開示の少なくとも1つの態様による、組織組成を検出するために超音波エンドエフェクタ130400のクランプアーム130402と一体に取り付けられるか、又は一体的に形成され得るIR反射率検出センサ回路130409を示す。IRセンサ回路130409は、IR源130416(例えば、IR送信機)及びIR検出器130418(例えば、IR受信機)を含む。IR源130416は、電圧源Vに結合されている。電流は、制御回路130420がスイッチSW1を閉じるときにR2を介して生成される。スイッチSW1が閉じられると、IR源130416は、組織130410(例えば、クランプアーム130402と超音波ブレード130404との間にクランプされた又は置かれた組織)に向かってIRエネルギーを放射する。放射されたIRエネルギーの一部は、組織130410によって吸収され、放射されたIRエネルギーの一部は組織130410を通って伝達され、放射されたIRエネルギーの一部は、組織130410によって反射される。IR検出器130418は、組織130410によって反射されたIRエネルギーを受け取り、処理のために制御回路130420に印加される出力電圧Vo又は信号を生成する。FIG. 60 shows an IR reflectance
図59及び図60を参照すると、一態様では、超音波発生器130152が、超音波エンドエフェクタ130400のクランプアーム130402上又はその内部に位置するIR源130416及びIR検出器130418を駆動するための制御回路130420を含む。他の態様では、超音波器具130150が、超音波エンドエフェクタ130400のクランプアーム130402上又はその内部に位置するIR源130416及びIR検出器130418を駆動するための制御回路130420を含む。いずれの態様においても、組織130410が超音波ブレード130404とクランプアーム130402との間に把持されるとき、IR源130416は、例えば、制御回路130420によってスイッチSW1を閉じることによって通電されて、組織をIRエネルギーで照射する。一態様では、IR検出器130418は、組織130410によって反射されたIRエネルギーに比例する電圧Voを生成する。IR源130416によって放射される全IRエネルギーは、組織130410によって反射されるIRエネルギーと、組織130410によって吸収されるIRエネルギーと、組織130410を通過するIRエネルギーと、任意の損失との合計に等しい。したがって、制御回路130420又はプロセッサは、IR源130416によって放射されるIRエネルギーの総量に対するIR検出器130418によって検出されたIRエネルギーの量によって、組織130410のコラーゲン含有量を検出するように構成され得る。アルゴリズムは、組織130410によって吸収され、かつ/又は組織130410を通って伝達されるエネルギーの量を考慮して、組織130410のコラーゲン含有量を決定する。IR源130416及びIR検出器130418並びにアルゴリズムは、IR反射率の原理を使用して、組織130410のコラーゲン含有量の有用な測定値を提供するように較正される。59 and 60, in one aspect, an
図60に示されるIR反射率検出センサ回路130409は、コラーゲンに対するエラスチンの比率を決定するためのIR表面反射率及び放射率を提供する。IR反射率は、超音波変換器の振幅を調整するための組織組成を決定するために用いられ得る。屈折率は、IR光の光関連の反射を制御する光学定数である。屈折率は、組織の種類を区別するために用いられ得る。例えば、屈折率コントラストは、正常な肝組織と肝転移とを区別することが示されている。屈折率は、組織分化の絶対測定又は比較測定として使用することができる。 The IR reflectance
比較方法は、例えば、超音波ブレード130404などのエネルギー切開装置を使用して、(上記に詳述されたように)正確な比率を決定し、次いで、その指標をベースラインとして使用して、全ての更なる作動のためのコラーゲン比を予測する。このようにして、内視鏡は、コラーゲン比に基づいて切開装置(例えば、超音波ブレード130404)を更新してもよい。切開装置は、実際のコラーゲン変性発射を行うために作動されるたびに、予測を微調整することができる。代替的な方法では、ルックアップテーブルを有する絶対屈折率を採用してもよく、それは表面の不規則性と表面下のコラーゲン濃度とを区別することができる。組織のIR屈折率特性に関する更なる情報は、「Visible To Near-Infrared Refractive Properties OF Freshly-Excised Human-Liver Tissues:Marking Hepatic Malignancies、Panagiotis Giannios、Konstantinos G.Toutouzas、Maria Matiatou、Konstantinos Stasinos、Manousos M.Konstadoulakis、George C.Zografos、及びKonstantinos Moutzourisa、Sci.Rep.2016、6:27910」に見いだすことができ、これは、参照により本明細書に組み込まれる。 A comparison method is to determine the exact ratio (as detailed above) using an energy dissection device, such as an
他の態様では、超音波切開装置は、超音波ブレード制御アルゴリズムの理想的な温度を、コラーゲン比に比例して変化させるように構成することができる。例えば、超音波ブレード温度制御アルゴリズムは、制御回路130420から受信したコラーゲン比に基づいて変更することができる。1つの特定の例として、超音波ブレード温度制御アルゴリズムは、超音波ブレード130404が維持される温度のセットを下げ、把持された組織130410内のコラーゲンのより高い濃度に対して超音波ブレード130404が組織130410と接触している保持時間を増加させるように構成することができる。別の例として、アルゴリズムが完全な活性化を繰り返す待機時間は、コラーゲン比に基づいて変更することができる。超音波ブレードの様々な温度制御アルゴリズムは、図43~図54に関連して説明されている。 In other aspects, the ultrasonic dissection device can be configured to vary the ideal temperature of the ultrasonic blade control algorithm proportionally to the collagen ratio. For example, the ultrasonic blade temperature control algorithm can be modified based on the collagen ratio received from
図61は、本開示の一態様による、クランプアーム130402及び超音波ブレード130404を備える超音波エンドエフェクタ130400の断面図である。クランプアーム130402は、組織130410の組成を検出するために超音波エンドエフェクタ130400のクランプアーム130402と一体に取り付けられるか、又は一体的に形成され得るIR反射率検出センサ回路130409a、130409bを備える。IR反射率検出センサ回路130409a、130409bは、図62に平面図で示されるフレキシブル回路基板130412上に取り付けられてもよい。フレキシブル回路基板130412は、IR反射率検出センサ回路130409a、130409b及びIRセンサ130414a、130414bが取り付けられる3つの細長い要素130408a、130408b、130408cを含む。IRセンサ130414a、130414bは、図60に示されるようなIR源130416及びIR検出器130418を含み得る。 FIG. 61 is a cross-sectional view of an
図63は、IR反射率を測定して組織組成を決定して超音波変換器の振幅を調整するための制御プログラム又は論理構成を示すプロセス130200の論理フロー図である。プロセス130200は、図18の制御回路760などの外科用器具の、又は図21のプロセッサ902などの発生器の、プロセッサ又は制御回路によって実行することができる。簡潔性のために、プロセス130200は、制御回路によって実行されるものとして説明されるが、以下の説明は前述の変形を包含することを理解されたい。 FIG. 63 is a logic flow diagram of a
したがって、図1~図54及び図59~図63を参照して、一態様では、制御回路は、IR源130416に通電して(130202)、超音波器具130150のエンドエフェクタ13400内にクランプされた組織130410にIRエネルギーを印加する。次いで、制御回路は、IR検出器130418を介して、組織130410によって反射されたIRエネルギーを検出する(130204)。したがって、制御回路は、組織130410によって反射された検出されたIRエネルギーに基づいて、組織130410のコラーゲンとエラスチンとの比を決定する(130206)。制御回路は、組織の決定されたコラーゲン対エラスチン比に基づいて、「SMART ENERGY DEVICES」題する米国特許仮出願第62/692,768号で論じられているように、超音波ブレード温度制御アルゴリズムを調節する(130208)。一態様では、組織130410のコラーゲン含有量は、IR光源130416の反射率に従って検出され得る。別の態様では、組織130410のコラーゲン含有量が低いほど、加温時間が長くなり、超音波ブレード130404の終了温度が低くなる。更に別の態様では、組織130410の組成は、組織の厚さ又は硬さであってもよく、超音波ブレード変換器制御プログラムに影響を及ぼすために使用され得る。 Accordingly, with reference to FIGS. 1-54 and 59-63, in one aspect, a control circuit energizes (130202) an
コラーゲンに対するエラスチンの比率は、組織のIR反射率を監視し、検出されたIR反射率をルックアップテーブルと比較することによって決定され得る。ルックアップテーブルは、メモリ(例えば、図31のメモリ3326)に記憶することができ、コラーゲンに対するエラスチンの比率、及び経験的に決定される特定の比率に対応するIR反射率を含む。 The ratio of elastin to collagen can be determined by monitoring the IR reflectance of the tissue and comparing the detected IR reflectance to a look-up table. A look-up table can be stored in memory (eg,
コラーゲン変態点に従って組織のコラーゲン対エラスチン比を決定
異なる種類の組織は、異なる特性を有する異なる種類の組織を提供するコラーゲン及びエラスチンなどの様々な量の構造タンパク質から構成される。熱が組織に印加されると(例えば、超音波ブレードによって)、構造タンパク質が変性し、組織の完全性及び他の組織特性に影響を及ぼす。しかしながら、構造タンパク質は、異なる既知の温度で変性する。例えば、エラスチンの前にコラーゲンが変性する。したがって、どの温度で組織の特性が変化するかを検出することによって、組織組成(例えば、組織内のコラーゲンとエラスチンとの比)を推定することができる。様々な態様では、制御アルゴリズムは、組織のコラーゲン変態点を判定することによって、組織のコラーゲン対エラスチンの比を決定するように構成することができる。制御アルゴリズムは、次に、決定された組織組成に従って、超音波ブレードの振幅などの外科用器具の様々な動作パラメータを制御することができる。一態様では、制御アルゴリズムは、クランプアーム上の負荷を一定に維持しながら、クランプアーム作動部材の位置及びその変位の変化率を測定することによって、組織のコラーゲン変態点を決定することができる。別の態様では、制御アルゴリズムは、組織/ブレード界面の温度を直接測定してコラーゲン/エラスチンの割合を特定することによって、組織のコラーゲン変態点を決定することができる。Determining the Collagen to Elastin Ratio of Tissues According to the Collagen Transformation Point Different types of tissues are composed of varying amounts of structural proteins such as collagen and elastin, providing different types of tissues with different properties. When heat is applied to tissue (eg, by an ultrasound blade), structural proteins are denatured, affecting tissue integrity and other tissue properties. However, structural proteins denature at different known temperatures. For example, collagen denatures before elastin. Therefore, by detecting at what temperature tissue properties change, tissue composition (eg, the ratio of collagen to elastin within a tissue) can be estimated. In various aspects, the control algorithm can be configured to determine the collagen to elastin ratio of the tissue by determining the collagen transformation point of the tissue. The control algorithm can then control various operating parameters of the surgical instrument, such as the amplitude of the ultrasound blade, according to the determined tissue composition. In one aspect, the control algorithm can determine the collagen transformation point of the tissue by measuring the position of the clamp arm actuating member and the rate of change of its displacement while maintaining a constant load on the clamp arm. In another aspect, the control algorithm can determine the collagen transformation point of the tissue by directly measuring the temperature of the tissue/blade interface to determine the collagen/elastin ratio.
図16~図19は、電動クランプアーム閉鎖機構を概略的に示す。図40は、本開示の一態様による、複数の独立して動作する回路セグメント7402、7414、7416、7420、7424、7428、7434、7440を備えるセグメント化回路7401のシステム図7400であり、図35は、本開示の一態様による、モータ制御機能を有する外科用器具の様々な構成要素の回路図である。例えば、図35は、ジョー部材を閉じてエンドエフェクタで組織を把持するように構成された閉鎖ドライブトレーン7934を含む駆動機構7930を示す。図38~図39は、超音波エンドエフェクタのクランプアーム部分などのジョー部材の閉鎖率を制御するための制御システム12950、12970を示し、ここで図38は、本開示の一態様による、クランプアームを閉じるために遠位に前進して、所望の速度で閉鎖力負荷をかけるときに、閉鎖部材の漸進的な閉鎖を提供するように構成された制御システム12950の図であり、図39は、本開示の一態様による、比例積分微分(PID)コントローラフィードバック制御システム12970を示す。したがって、クランプアームの閉鎖率及び/又は位置を制御するための電動クランプアームコントローラを備える超音波システムの以下の説明において、図16~図19及び図38~図41を参照するべきである。 16-19 schematically illustrate a motorized clamp arm closure mechanism. FIG. 40 is a system diagram 7400 of a
一態様では、制御アルゴリズムは、把持された組織のコラーゲン変態点を検出し、それに応じて、超音波変換器駆動信号の位相及び/又は振幅、若しくはクランプアームの閉鎖率を制御することによって、組織への超音波エネルギーの送達を制御するように構成することができる。例えば、一態様では、制御アルゴリズムは、コラーゲン変態点に従ってクランプアームによって組織に印加される力を制御するように構成することができる。これは、特定の器具タイプに対応する設定された動作範囲(例えば、130~180psi)内の接合圧力内でクランプアームの負荷を一定に維持しながら、クランプアーム作動部材の位置及びその変化率を測定することによって達成され得る。 In one aspect, the control algorithm detects the collagen transformation point of the grasped tissue and controls the phase and/or amplitude of the ultrasound transducer drive signal or the closure rate of the clamp arm accordingly. The device may be configured to control delivery of ultrasound energy to the device. For example, in one aspect, the control algorithm can be configured to control the force applied to the tissue by the clamp arm according to the collagen transformation point. This controls the position of the clamp arm actuating member and its rate of change while maintaining the clamp arm load constant within a bonding pressure within a set operating range (e.g., 130-180 psi) corresponding to the particular instrument type. This can be achieved by measuring.
図64Aは、本開示の少なくとも1つの態様による、クランプアーム1140が、コラーゲン変態点を特定するために閉じているときの、クランプアーム1140(図23)の変位対時間のグラフ表示130250である。図64Bは、図64Aに示すグラフ表示130250の拡大部分130256である。水平軸130254は、時間(例えば、秒)を表し、縦軸130252は、クランプアーム変位δ(例えば、mm)を表す。一態様では、制御アルゴリズムは、超音波ブレード1128(図23)が組織のコラーゲン変態点に従って組織を加熱するときに、(例えば、クランプアーム1140の閉鎖率を制御することによって)クランプアーム1140によって組織に加えられる負荷を制御するように構成することができる。そのような一態様では、制御アルゴリズムは、クランプアーム負荷が閾値に達するまでクランプアーム1140を閉鎖するように構成することができ、閾値は特定の値(例えば、4.5lbs)又は値の範囲(例えば、3.5~5lbsの範囲内)を含むことができる。その時点で、制御アルゴリズムは、クランプアーム変位の変化率閾値θを設定し、クランプアーム1140.の変位を監視する。クランプアーム変位の変化率が所定の負の制限(すなわち、閾値θ未満)内に留まる限り、制御アルゴリズムは、組織が変態温度未満であると判定することができる。図64A及び図64Bのグラフ表示に示されるように、制御アルゴリズムが、クランプアーム変位の変化率が閾値θを超えると判定すると、制御アルゴリズムは、コラーゲンの融解温度に到達したと判定することができる。 FIG. 64A is a
一態様では、制御アルゴリズムが転移温度に到達したと判定すると、制御アルゴリズムは、それに応じて超音波器具の動作を変えるように構成することができる。例えば、制御アルゴリズムは、外科用器具を(クランプアーム1140の)負荷制御から温度制御に切り替えることができる。別の態様では、制御アルゴリズムは、コラーゲン変態温度に到達した後もクランプアームの負荷制御を維持し、何時クランプアーム変位の変化率閾値に到達したかを監視することができる。第2のクランプアーム変位の変化率閾値は、例えば、エラスチンの転移温度に対応することができる。経時的なクランプアーム変位のプロット130258におけるコラーゲン及び/又はエラスチン転移温度の位置は、プロット130258において「膝」と呼ぶことができる。したがって、この態様では、制御アルゴリズムは、第2のクランプ率変位の変化率閾値(又はエラスチン「膝」)に到達し、それに応じて超音波器具の動作を変えるかどうかに従って、超音波器具の動作を変えるように構成することができる。例えば、制御アルゴリズムは、プロット130258内のエラスチン膝が検出されたときに、外科用器具を(クランプアーム1140の)負荷制御から温度制御に切り替えることができる。 In one aspect, when the control algorithm determines that the transition temperature is reached, the control algorithm can be configured to change the operation of the ultrasound instrument accordingly. For example, the control algorithm may switch the surgical instrument from load control (of clamp arm 1140) to temperature control. In another aspect, the control algorithm can maintain load control of the clamp arm after the collagen transformation temperature is reached and monitor when a rate of change threshold of clamp arm displacement is reached. The second clamp arm displacement rate of change threshold can correspond, for example, to the transition temperature of elastin. The location of the collagen and/or elastin transition temperature in the
コラーゲン変態は、コラーゲンに対する45℃と50℃との間の所与の熱流束に対して一定であるべきであり、エラスチンは異なる融解温度を有する。更に、コラーゲンが熱を吸収するにつれて、温度は平坦化されるべきである。いくつかの態様では、制御アルゴリズムは、監視される事象がいつ発生するかを正確に確認するために、特定の温度付近又は温度範囲(例えば、コラーゲン及び/又はエラスチン変態の予想される温度の範囲)内でより高い割合でクランプアーム及び/又はクランプアーム変位部材の位置をサンプリングするように構成することができる。 Collagen transformation should be constant for a given heat flux between 45°C and 50°C for collagen, and elastin has a different melting temperature. Additionally, the temperature should level out as the collagen absorbs heat. In some embodiments, the control algorithm is configured around a particular temperature or temperature range (e.g., the range of expected temperatures for collagen and/or elastin transformation) to ascertain exactly when the monitored event occurs. ) may be configured to sample the position of the clamp arm and/or clamp arm displacement member at a higher rate within ).
図64A及び図64Bに示される態様では、制御アルゴリズムは、コラーゲン変態点が時間tmにおいて検出されるときに、外科用器具を負荷制御から温度制御に変更するように作用する。外科用器具を温度制御に変更しないと、投影プロット130260に示されるように、クランプアーム変位は幾何学的に増加するであろう。一態様では、温度制御モードで動作する制御アルゴリズムは、超音波変換器駆動信号の振幅を低下させて、閾値θに達した後のプロット130258の平坦部分によって示されるように、超音波ブレード1128によって生成される熱流束を変化させる。いくつかの態様では、制御アルゴリズムは、例えば、温度上昇率を測定して、エラスチン変態温度に達したときを判定するために、特定の期間後に超音波変換器駆動信号の振幅を増加させるように構成することができる。したがって、クランプアームの閉鎖率が次の膝(すなわち、エラスチンの膝)に近づくにつれて、クランプアームの閉鎖率は減少し得る。クランプアーム1140の負荷制御は、場合によっては、血管の最良の封止を提供することができるため、有益であり得る。In the embodiment shown in FIGS. 64A and 64B, the control algorithm operates to change the surgical instrument from load control to temperature control when the collagen transformation point is detected at time tm . Without changing the surgical instrument to temperature control, the clamp arm displacement would increase geometrically, as shown in
図65は、本開示の少なくとも1つの態様による、コラーゲン変態点を検出して、クランプアームの閉鎖率又は超音波変換器の振幅を制御するための制御プログラム又は論理構成を示すプロセス130300の論理フロー図である。プロセス130300は、外科用器具又は発生器内に位置する制御回路又はプロセッサによって実行することができる。したがって、プロセス130300を実行する制御回路は、クランプ上の負荷を一定に維持しながら、クランプアーム作動部材の位置及びその変化率を測定する(130302)。前述したように、一態様では、クランプアーム上の負荷は、超音波外科用器具によって設定された好適な範囲(130~180psi)内の接合圧力内に維持される。ジョーが特定のクランプアーム負荷(例えば、4.5lbs)まで達すると、又はクランプアーム負荷が特定の範囲(例えば、3.5~5lbs)以内であると、制御回路は、クランプアーム変位の変化率を設定し、クランプアーム変位の変化率が事前定義された負の制限内に留まる(組織がコラーゲン変態温度未満であることに対応する)期間、クランプアーム作動部材の位置を監視する(130304)。したがって、制御は、クランプアーム変位の変化率が設定閾値を超えているかどうかを判定し、換言すれば、組織が転移温度に達したかどうかを判定する(130306)。転移温度に達した場合、プロセス130300は、「はい」の分岐に沿って進み、制御回路は、外科用器具を温度制御に切り替える(130308)(例えば、超音波変換器を制御して超音波ブレードの温度を低下又は維持する)。一態様では、制御回路は、コラーゲン変態温度の監視を継続する。あるいは、図65に示す態様において、転移温度に到達していない場合、次いで、プロセス130300は、「いいえ」の分岐に沿って進み、制御回路は、クランプアーム1140の負荷制御を維持し、把持された組織に対して次の転移点(例えば、エラスチン転移点)が発生するときを判定するためにクランプアーム変位の変化率を監視する(130310)。制御回路は、例えば、組織の温度がエラスチン変態温度を超えて上昇することを防止するために、これを行うことができる。 FIG. 65 is a logical flow of a
コラーゲン変態は、所与の熱流束(45℃~50℃)に対して一定であるべきであることを理解されたい。クランプアーム1140の負荷制御は、場合によっては、特定の種類の組織(例えば、血管)に対して最良の封止を提供することができることも理解されたい。コラーゲン変態が発生している期間中、コラーゲンが熱を吸収する間、組織の温度は平坦化されるべきである。制御回路は、データ点が特定の温度又は関心の温度(例えば、変態温度)の付近で収集される割合を変調するように構成することができる。更に、制御回路は、超音波変換器駆動信号の振幅を調整して、超音波ブレード1128によって生成される熱流束を外科処置における異なる点で制御することができる。例えば、制御回路は、コラーゲン変態の期間中に超音波変換器振幅を減少させることができる。別の例として、制御回路は、エラスチン膝が発生するときに温度が上昇する割合を測定するために、超音波変換器の振幅を増加させることができる。エラスチン膝が接近するにつれて、温度変化率は減少することを理解されたい。 It should be understood that collagen transformation should be constant for a given heat flux (45°C to 50°C). It should also be appreciated that load control of the
別の態様では、制御アルゴリズムは、コラーゲン変態温度を検出して、把持された組織のコラーゲン/エラスチンの割合を特定するように構成することができる。上述のように、制御アルゴリズムは、次いで、把持された組織の特定された組成に従って、外科用器具の様々な動作パラメータを制御することができる。 In another aspect, the control algorithm can be configured to detect the collagen transformation temperature to determine the collagen/elastin ratio of the grasped tissue. As discussed above, the control algorithm can then control various operating parameters of the surgical instrument according to the identified composition of the grasped tissue.
図66は、本開示の少なくとも1つの態様による、コラーゲン/エラスチン比を特定するためのコラーゲン変態温度点の識別のグラフ表示130350である。縦軸130352は超音波変換器インピーダンスを表し、水平軸130632は組織温度を表す。超音波変換器のインピーダンスの変化率がシフトする点が、経験的に決定された様態で組織のコラーゲン/組織組成に対応する。例えば、超音波変換器のインピーダンスの変化率が第1の温度130362でシフトする場合、組織組成は100%コラーゲンである。したがって、超音波変換器のインピーダンスの変化率が第2の温度130364でシフトする場合、組織組成は100%エラスチンである。超音波変換器のインピーダンスの変化率が第1の温度130362と第2の温度130364との間でシフトする場合、組織組成は、コラーゲンとエラスチンとの混合物である。 FIG. 66 is a
コラーゲン変態温度は、組織内のコラーゲン/エラスチンの割合を直接特定するために使用することができ、制御アルゴリズムは、それに応じて超音波装置の動作を調節するように構成することができる。図66に示すように、プロット130356は、超音波変換器インピーダンスと組織温度との間の経験的関係を表す。プロット130356によって示されるように、超音波変換器のインピーダンス(Z)は、組織接触面積における温度(T)の関数として、第1の変化率(勾配)で直線的に増加する。点130358のプロットに示されたコラーゲン転移温度において、温度(T)の関数としてのインピーダンス(Z)の変化率は、第2の変化率に減少する。プロット130356の勾配が変化する点130358では、コラーゲン対エラスチン比は、経験的に決定された温度130360に対応し得る(例えば、85%)。一態様では、前述のアルゴリズムを実行する制御回路又はプロセッサは、超音波変換器インピーダンスの率がどの温度で変化したかを判定し、次いで、メモリ(例えば、ルックアップテーブル)から対応する組織組成(例えば、コラーゲンの割合、エラスチンの割合、又はコラーゲン/エラスチン比)を検索するように構成することができる。 The collagen transformation temperature can be used to directly determine the collagen/elastin ratio within the tissue, and the control algorithm can be configured to adjust the operation of the ultrasound device accordingly. As shown in FIG. 66,
図67は、本開示の少なくとも1つの態様による、超音波変換器インピーダンスの変化に従って組織の組成を識別するためのプロセス130450の論理フロー図である。プロセス130450は、例えば、外科用器具又は発生器内に位置するプロセッサの制御回路によって実行することができる。したがって、制御回路は、温度(T)の関数として超音波変換器のインピーダンス(Z)を監視する(130452)。前述のように、組織と超音波ブレードとの界面における温度(T)は、本明細書に記載されるアルゴリズムによって推定され得る。制御回路は、超音波変換器インピーダンスの変化率ΔZ/ΔTを決定する(130454)。超音波ブレード/組織界面での温度が上昇するにつれて、インピーダンス(Z)は、図66に示すように、第1の率で直線的に増加する。したがって、制御回路は、勾配ΔZ/ΔTが変化したかどうか(例えば、減少したか)を判定する(130456)。勾配ΔZ/ΔTが変化していない場合、プロセス130450は、「いいえ」の分岐にそって進み、勾配ΔZ/ΔTを判定することを続ける(130454)。勾配ΔZ/ΔTが変化した場合、制御回路は、コラーゲン転移温度に到達したと判定する(130458)。 FIG. 67 is a logic flow diagram of a
コラーゲンに対するエラスチンの比率は、組織のコラーゲン変態点を監視し、検出されたコラーゲン変態点をルックアップテーブルと比較することによって決定され得る。ルックアップテーブルは、メモリ(例えば、図31のメモリ3326)に記憶することができ、コラーゲンに対するエラスチンの比率、及び経験的に決定される特定の比率に対応するコラーゲン変態点を含む。 The elastin to collagen ratio can be determined by monitoring the collagen transformation point of the tissue and comparing the detected collagen transformation point to a look-up table. A look-up table can be stored in memory (eg,
組織の位置に従ってクランプアーム力を調節
様々な態様では、制御アルゴリズムは、エンドエフェクタ内又はエンドエフェクタに対する組織の位置を判定し、それに応じてクランプアーム力を調節するように構成することができる。一態様では、組織は、クランプアーム上の圧縮力負荷及びジョー内の組織の位置、例えば、どこに組織が超音波ブレードの長さに沿って位置付けられているか、を測定することによって識別又はパラメータ化することができる。一態様では、クランプアーム上の初期測定負荷までの時間を測定し、次いで、組織上の圧縮比率を測定して、ジョーの長さにわたって位置する組織の量に対する組織の圧縮性を決定する。クランプアームアクチュエータの位置の変化率は、組織の圧縮性、したがって組織の種類/疾患の状態を判定する方法として、負荷制御中に監視される。Adjusting Clamp Arm Force According to Tissue Position In various aspects, the control algorithm can be configured to determine the position of tissue within or relative to the end effector and adjust the clamp arm force accordingly. In one aspect, the tissue is identified or parameterized by measuring the compressive force load on the clamp arm and the location of the tissue within the jaw, e.g., where the tissue is located along the length of the ultrasonic blade. can do. In one aspect, the time to initial measured load on the clamp arm is measured and the compression ratio on the tissue is then measured to determine the compressibility of the tissue relative to the amount of tissue located over the length of the jaw. The rate of change of position of the clamp arm actuator is monitored during load control as a way to determine tissue compressibility and thus tissue type/disease status.
図68は、本開示の少なくとも1つの態様による、超音波ブレード130404にわたる圧縮負荷の分布のグラフ表示130500である。縦軸130502は、クランプアーム1140によって組織に加えられる力を表し、水平軸130504は位置を表す。超音波ブレード130404は、ブレードの長さに沿って発生する周期的なノード及びアンチノードが存在するような寸法である。ノード/アンチノードの位置は、超音波変換器によって超音波ブレード130404内に誘発される超音波変位の波長によって決定される。超音波変換器は、好適な振幅及び周波数の電気信号によって駆動される。当該技術分野において既知であるように、ノードは超音波ブレード130404の最小又はゼロ変位点であり、アンチノードは超音波ブレード130404の最大変位点である。 FIG. 68 is a
グラフ表示130500において、超音波ブレード130404は、ノード及びアンチノードが水平軸130504に沿ったそれらの対応する位置と整列するように表される。グラフ表示130500は、第1のプロット130506と第2のプロット130508とを含んでいる。プロット130506、130508のいずれかによって表されるように、超音波ブレード130404に加えられる圧縮力は、超音波ブレード130404の近位端から超音波ブレード130404の遠位端まで指数関数的に低下する。したがって、超音波ブレード130404の遠位端に位置する組織130410は、超音波ブレード130404の近位端に近接して位置する組織130410と比較して、はるかに低い圧縮力を受ける。第1のプロット130506は、クランプアーム1140のデフォルトの閉鎖を表すことができ、遠位組織130410に加えられる結果として生じる力は、F1である。概して、クランプアーム1140によって組織130410に加えられる力の量は、超音波ブレード130404に沿って近位に位置する組織130410に過度の力が加えられる可能性があるため、考慮せずに広く増加させることはできない。しかしながら、超音波ブレード130404に沿った組織130410の位置を監視することによって(例えば、上記「インピーダンス変化を介して組織の位置を決定する」の項、及び下記「電極導通を介して組織の位置を決定する」の項で論じるように)、制御アルゴリズムは、図68に示される状況と同様に、組織130410が超音波ブレード130404の遠位端のみに位置する状況では、クランプアーム1140によって組織130410に加えられた力を増幅することができる。例えば、第2のプロット130508は、クランプアーム1140の修正された閉鎖を表すことができ、制御アルゴリズムは、組織130410が超音波ブレード130404の遠位端のみに位置すると判定し、それに対応して、クランプアーム1140によって遠位組織130410に加えられる力をF2(F2>F1)に増加させる。In the
図69は、本開示の一態様による、組織に加えられた圧力対時間のグラフ表示130520である。縦軸130522は、組織に加えられた圧力(例えば、N/mm2)を表し、水平軸130524は時間を表す。第1のプロット130526は、増幅せずに遠位組織130410に加えられる通常又はデフォルトの圧縮力を表す。クランプアーム1140のデフォルトの閉鎖中、組織130410に加えられる圧縮力は、初期のランプアップ期間の後、一定の値に維持される。第2のプロット130528は、遠位組織130410のみの存在を補償するために遠位組織130410に加えられた増幅された圧縮力を表す。クランプアーム1140の修正された閉鎖において、圧力は、デフォルトの閉鎖と比較して増加され(130530)、最終的に増幅された圧縮力が通常の圧縮レベルに戻り(130532)、クランプアーム1140パッドを通じた燃焼/融解を防止する。FIG. 69 is a graphical representation 130520 of pressure applied to tissue versus time in accordance with one aspect of the present disclosure.
電極導通を介して組織の位置を決定
様々な態様では、制御アルゴリズムは、エンドエフェクタのジョー又はジョー(複数)に沿って位置付けられた双極(すなわち、正及び負の)電極のアレイにわたる電気的導通に従って、エンドエフェクタ内又はエンドエフェクタに対する組織の位置を決定するように構成することができる。双極電極アレイによって検出可能な組織の位置は、ジョー(複数可)に対する組織の特定の位置、及び/又は組織によって覆われたジョー(複数可)の割合に対応することができる。一態様では、正及び負の電極は、組織が正及び負の電極とを橋絡するとき、電極間に電気的導通が確立されるように、物理的間隙によって分離されている。正及び負の電極は、マトリックス又はアレイに構成され、それにより、プロセッサ又は制御回路を、電極アレイを監視又は走査することによって、正電極と負電極との間で組織が位置する場所を検出するように構成することができる。一態様では、双極電極アレイは、エンドエフェクタの1つのジョーに沿って位置付けることができる。したがって、双極電極アレイに結合された制御回路又はプロセッサは、隣接する電極間の電気的導通を検出して、それに接する組織の存在を検出するように構成することができる。別の態様では、双極電極アレイは、エンドエフェクタの対向するジョーに沿って位置付けることができる。したがって、双極電極アレイに結合された制御回路又はプロセッサは、対向するジョー間の電気的導通を検出して、それらの間の組織の存在を検出するように構成することができる。Determining Tissue Position Via Electrode Conduction In various embodiments, the control algorithm determines electrical conduction across an array of bipolar (i.e., positive and negative) electrodes positioned along the jaw or jaws of the end effector. Accordingly, the position of the tissue within or relative to the end effector can be configured to be determined. The location of the tissue detectable by the bipolar electrode array may correspond to a particular location of the tissue relative to the jaw(s) and/or a percentage of the jaw(s) covered by the tissue. In one aspect, the positive and negative electrodes are separated by a physical gap such that when tissue bridges the positive and negative electrodes, electrical continuity is established between the electrodes. The positive and negative electrodes are arranged in a matrix or array, thereby causing a processor or control circuit to detect where tissue is located between the positive and negative electrodes by monitoring or scanning the electrode array. It can be configured as follows. In one aspect, a bipolar electrode array can be positioned along one jaw of the end effector. Accordingly, a control circuit or processor coupled to the bipolar electrode array may be configured to detect electrical continuity between adjacent electrodes to detect the presence of tissue adjacent thereto. In another aspect, a bipolar electrode array can be positioned along opposing jaws of the end effector. Accordingly, a control circuit or processor coupled to the bipolar electrode array may be configured to detect electrical continuity between opposing jaws to detect the presence of tissue therebetween.
ジョー(複数可)のどの表面積が組織で覆われているかを判定することにより、制御アルゴリズムが、エンドエフェクタによって把持された組織の量に対する適切な接合圧力を決定し、次いで、対応するクランプアーム負荷を計算することを可能にする。クランプアーム負荷は、印加圧力(例えば、130~180psi)又は印加力(例えば、3.5~5lbs又は名目上4.5lbs)の観点から表すことができる。いくつかの態様では、双極電極アレイは、単極又は双極RF電気外科用発生器から正及び負の電極に電力が送達され得る。発生器電力出力は、様々な定数、変数、若しくは最小値(例えば、45W、35W、又は5W)、外科用器具及び/又は発生器に関連付けられた様々な変数の関数(例えば、超音波ブレード又はクランプアーム力の振幅)であってもよく、又はその電力曲線に従って発生器を制御するためのアルゴリズムによって指示されてもよい(例えば、発生器のランプアップ中に)。 By determining which surface area of the jaw(s) is covered with tissue, a control algorithm determines the appropriate bonding pressure for the amount of tissue grasped by the end effector and then applies the corresponding clamp arm load. allows to calculate. Clamp arm loading can be expressed in terms of applied pressure (eg, 130-180 psi) or applied force (eg, 3.5-5 lbs or nominally 4.5 lbs). In some aspects, a bipolar electrode array may have power delivered to the positive and negative electrodes from a monopolar or bipolar RF electrosurgical generator. Generator power output may be a function of various constants, variables, or minimums (e.g., 45 W, 35 W, or 5 W), various variables associated with the surgical instrument and/or the generator (e.g., ultrasonic blade or clamp arm force amplitude) or may be directed by an algorithm to control the generator according to its power curve (eg, during ramp-up of the generator).
図70は、本開示の少なくとも1つの態様による、組織の位置を検出するための単一ジョー電極アレイを含むエンドエフェクタ130400を示す。図示の態様では、エンドエフェクタ130400は、その上に配設された電極アレイ130431を有する第1のジョー130430と、第2のジョー130432と、を含む。電極アレイ130431は、RF発生器などのエネルギー源に結合された電極130429を含む。エンドエフェクタ130400は、超音波外科用器具用のエンドエフェクタを含むことができ、第2のジョー130432は、例えば、超音波ブレード1128(図23)、電気外科用器具、外科用ステープル留め及び切断器具のためのエンドエフェクタなどである。第2のジョー130432は、例えば、超音波ブレード1128(図23)、又は電気外科用若しくは外科用ステープル留め及び切断器具の協働ジョーを含むことができる。図示の態様では、電極アレイ130431は、概ねヘリンボーン形状のパターンで配列された12個の電極130429を含む。しかしながら、電極アレイ130431内の電極130429の数、形状、及び配列は、単に例示の目的のために過ぎない。したがって、電極アレイ130431は、電極130429の様々な数、形状、及び/又は配列を含むことができる。例えば、電極130429の数は、組織の位置を検出するための所望の分解能に従って調整することができる。 FIG. 70 illustrates an
一態様では、電極アレイ130431は、物理的間隙によって分離され、極性が交互であり、又はエネルギー源の対向する端子(すなわち、供給端子及びリターン端子)に結合された電極130429を含むことができる。例えば、図示された態様では、偶数番号の電極130429は、第1の極性(例えば、正極性、又は電源の供給端子に結合)であることができ、奇数番号の電極130429は、第2の極性(例えば、負極性、又は電源のリターン端子に結合)であることができる。したがって、組織130410が隣接する電極130429に接触すると、組織130410は、双極電極130429を物理的及び電気的に橋絡し、それらの間に電流を流す。双極電極130429間の電流の流れは、電極アレイ130431に結合された制御回路又はプロセッサによって実行される制御アルゴリズムによって検出することができ、それによって、制御回路又はプロセッサが組織130410の存在を検出することを可能にする。 In one aspect,
電極アレイ130431による組織の検出は、活性化マトリックスによって図式的に表すことができる。例えば、図71は、図70に示す電極アレイ130431による組織130410の位置を示す活性化マトリックス130550を示す。縦軸130554及び水平軸130555は両方とも電極アレイ130431の電極130429を表し、軸130554、130555に沿った数は、対応する番号付けされた電極130429を表す。活性化領域130552は、対応する電極130429間に導通が存在する場所、すなわち、組織130410が存在する場所を示す。図70では、組織130410は、第1、第2、及び第3の電極130429にわたって存在し、上述したように、電極130429は、いくつかの態様では極性を交互にすることができる。したがって、第1及び第2の電極130429の間と第2及び第3の電極130429の間とに電気的導通が存在する。この説明される態様では、同じ極性であるため、第1及び第3の電極130429の間には導通は存在しないことに留意されたい。これらの電極130429間の導通は、活性化マトリックス130550内の活性化領域130552によって図式的に示されている。また、活性化領域130552によって境界された領域130553は活性化として示されていないが、これは、この説明される態様では、電極130429はそれ自体との導通を有し得ないためであることに留意されたい。電極アレイ130431に結合された制御回路又はプロセッサによって実行される制御アルゴリズムは、組織の位置が、電気的導通が確立されている特定の電極130429に対応しているので、エンドエフェクタ130400内の組織130410の位置(電極130429の位置が既知であるため)、組織130410によって覆われたエンドエフェクタ130400のジョー130430、130432の割合、などを推定するように構成することができる。 Tissue detection by
図72は、本開示の少なくとも1つの態様による、組織の位置を検出するためのデュアルジョー電極アレイを含むエンドエフェクタ130400を示す。図示の態様では、エンドエフェクタ130400は、その上に配設された第1の電極アレイ130431を有する第1のジョー130430と、その上に配設された第2の電極アレイ130433を有する第2のジョー130432とを含む。電極アレイ130431、130433は各々、RF発生器などのエネルギー源に結合された電極130429を含む。エンドエフェクタ130400は、電気外科用器具のエンドエフェクタ、外科用ステープル留め及び切断器具のためのエンドエフェクタ、などを含むことができる。上述したように、電極130429の数、形状、及び/又は配列は、様々な態様で変化し得る。例えば、図75では、電極アレイ130431、130433は、重なったタイル張り又は矩形パターンで配列されている。 FIG. 72 illustrates an
一態様では、電極アレイ130431、130433の対向する電極130429は、物理的間隙によって分離され、各電極アレイ130431、130433は、反対の極性であるか、又はエネルギー源の対向する端子(すなわち、供給端子及びリターン端子)に結合されている。例えば、図示された態様では、第1の電極アレイ130431は、第1の極性(例えば、正極性、又は電源の供給端子に結合)であることができ、第2の電極アレイ130433は、第2の極性(例えば、負極性、又は電源のリターン端子に結合)であることができる。したがって、組織130410が対向する電極アレイ130431、130433の各々の電極130429に接触すると、組織130410は、双極電極130429を物理的かつ電気的に橋絡し、それらの間に電流を流す。双極電極130429間の電流の流れは、電極アレイ130431、130433に結合された制御回路又はプロセッサによって実行される制御アルゴリズムによって検出することができ、それによって、制御回路又はプロセッサが組織130410の存在を検出することを可能にする。 In one aspect, opposing
上述のように、活性化マトリックスは、組織の存在を図式的に表すことができる。例えば、図73は、図74に示すような組織130410の位置を示す活性化マトリックス130556を示す。縦軸130557は、第1の電極アレイ130431の電極130429を表し、水平軸130558は、第2の電極アレイ130433の電極130429を表し、軸130557、130558に沿った数は、各電極アレイ130431、130433の対応する番号付けされた電極130429を表す。活性化領域130552は、対応する電極130429間に導通が存在する場所、すなわち、組織130410が存在する場所を示す。図74では、組織130410は、第1の電極アレイ130431の第1、第2、及び第3の電極130431a、130431b、130431c、並びに第2の電極アレイ130433の第1、第2、及び第3の電極130433a、130433b、130433cに接して位置付けられている。したがって、電流がこれらの対向する電極の組の間を流れることができるので、対向する電極アレイ130431、130433のこれらの組の電極の各々の間に電気的導通が存在する。把持された組織130410の位置に起因する導通が存在する電極は、図73の活性化マトリックス130556内の活性化領域130552によって図式的に示されている。更に、組織130410は、第1の電極アレイ130431の第4、第5、及び第6の電極130431d、130431e、130431f、並びに第2の電極アレイ130433の第4、第5、及び第6の電極130433d、130433e、130433fに対して位置付けされていないため、これらの電極間に電気的導通がない。電極アレイ130431、130433に結合された制御回路又はプロセッサによって実行される制御アルゴリズムは、組織の位置が、電気的導通が確立されている特定の電極130429に対応しているので、エンドエフェクタ130400内の組織130410の位置(図74に示されているように、電極130429の位置が既知であるため)、組織130410によって覆われたエンドエフェクタ130400のジョー130430、130432の割合、などを推定するように構成することができる。図示の実施例では、第1及び第2の電極アレイ130431、130433の活性化された電極は、重なり合い、かつそれらの間に置かれた組織130410が存在する、電極130429である。 As mentioned above, the activation matrix can graphically represent the presence of tissue. For example, FIG. 73 shows an
別の態様では、エンドエフェクタは、様々な周波数で複数の信号又はピングを送信するように構成することができ、電極アレイは、各々が特定の周波数信号又は周波数変換を介した信号を検出することができる対応するバンドパスフィルタを含む、回路に結合することができる。電極アレイ回路の様々な部分は、異なる周波数に同調されたバンドパスフィルタを含むことができる。したがって、エンドエフェクタによって把持された組織の位置は、特定の検出された信号に対応する。信号は、例えば、非治療的周波数で(例えば、RF電気外科用器具の治療周波数範囲を超える周波数で)送信することができる。電極アレイ回路は、例えば、フレックス回路を含むことができる。 In another aspect, the end effector can be configured to transmit multiple signals or pings at various frequencies, and the electrode array can each detect a particular frequency signal or signal through frequency conversion. can be coupled to a circuit, including a corresponding bandpass filter that can be used. Various parts of the electrode array circuit can include bandpass filters tuned to different frequencies. Therefore, the position of the tissue grasped by the end effector corresponds to a particular detected signal. The signal can be transmitted, for example, at a non-therapeutic frequency (eg, at a frequency above the therapeutic frequency range of the RF electrosurgical instrument). The electrode array circuit can include, for example, a flex circuit.
図75は、本開示の少なくとも1つの態様による、第1のセグメント化電極アレイ130431を有する第1のジョー130430と、第2のセグメント化電極アレイ130433を有する第2のジョー130432とを含むエンドエフェクタ130400を示す。更に、図76は、第2のジョー130432の上に置かれた、エンドエフェクタ130400によって把持される組織130410を示す。一態様では、第1の電極アレイ130431は、様々な周波数(例えば、非治療的周波数)で信号を送信するように構成され、第2の電極アレイ130433は、エンドエフェクタ130400によって把持された組織130410を通して信号を受信するように構成されている(すなわち、組織130410が電極アレイ130431、130433の両方に接触しているとき)。第2の電極アレイ130433は、図77に示すようなセグメント化電極アレイ回路130600を含むことができ、各回路セグメントは、第2の電極アレイ130433の各電極130602に結合されたバンドパスフィルタ130601を含む。各バンドパスフィルタ130601は、1つ又は2つ以上のコンデンサ130604及び1つ又は2つ以上のインダクタ130606を含むことができ、コンデンサ130604及びインダクタ130606の数、配列、及び値は、各バンドパスフィルタ130601を特定の周波数又は周波数帯域に同調するように選択することができる。組織130410は、電極アレイ130431、130433間の信号伝導媒体として機能し、第2の電極アレイ130433の異なる部分は、様々な周波数の信号を検出するように同調される(異なって同調されたバンドパスフィルタ130601を介して)ので、電極アレイ130431、130433に連結された制御回路又はプロセッサによって実行される制御アルゴリズムは、それによってどの信号が検出されるかに従って組織130410の位置を推定するように構成することができる。図示された態様では、電極アレイ130431、130433は、半円形の端部セグメントを有する概してタイル張りパターンに配列された6つの電極セグメント130602を含むが、しかしながら、電極アレイ130431、130433内の電極130602の数、形状、及び配列は、単に例示目的のためのものである。したがって、電極アレイ130431、130433は、電極130602の様々な数、形状、及び/又は配列を含むことができる。例えば、電極130602の数は、組織の位置を検出するための所望の分解能に従って調整することができる。 FIG. 75 shows an end effector including a
図78は、本開示の少なくとも1つの態様による、図76で把持された組織130410に対応する周波数応答のグラフ表示130650である。縦軸130652は振幅を表し、水平軸130654はRF周波数を表す。一態様では、第2の電極アレイ130433は、第1の中心周波数fS1(例えば、5MHz)によって規定される周波数帯域に同調された第1の電極回路セグメント130602a、第2の中心周波数fS2(例えば、10MHz)によって規定される周波数帯域に同調された第2の電極回路セグメント130602b、第3の中心周波数fS3(例えば、15MHz)によって規定される周波数帯域に同調された第3の電極回路セグメント130602c、及び第4の中心周波数fS4(例えば、20MHz)によって規定される周波数帯域に同調された第4の電極回路セグメント130602dを含む。図78に示すように、感知周波数帯は、fT1(例えば、300kHz)からfT2(例えば、500kHz)及び/又は好ましい治療周波数(例えば、350kHz)によって規定される治療周波数範囲130656より上の感知周波数範囲130658を規定する。一態様では、感知周波数範囲130658内の中心感知周波数fS1、fS2、fS3、fS4は各々、規定された周波数値(例えば、5MHz)だけ分離されている。更に、感知周波数範囲130658は、4つの感知周波数帯域を含むものとして示されているが、これは単に例示目的のために過ぎない。図示の実施例では、把持された組織130410は、第2、第3、及び第4の電極回路セグメント130602b、130602c、130602dに接触している。したがって、検出された周波数応答は、対応する周波数の各々におけるピーク130655b、130655c、130655dを含む。したがって、制御アルゴリズムは、検出された周波数応答から組織130410の位置を推定することができ、すなわち、制御回路は、組織130410が、第2、第3、及び第4の電極回路セグメント130602b、130602c、130602dに接触し、他の回路セグメントには接触しないように、エンドエフェクタ130400内に位置付けされていると判定することができる。したがって、制御アルゴリズムは、エンドエフェクタ130400のジョー130430、130432に対する組織130410の位置、及び/又は組織130410と接触するジョー130430、130432の割合を推定することができる。FIG. 78 is a
適応型超音波ブレード温度監視
一態様では、超音波ブレードの温度に基づいて、超音波システムの様々なパラメータを調節するために、適応型超音波ブレード制御アルゴリズムを用いてもよい。適応型超音波ブレード制御アルゴリズムによって制御又は調節される動作パラメータには、例えば、超音波ブレードの振幅、超音波変換器を駆動する制御信号、クランプアームによって印加される圧力、などを含めることができる。適応型超音波ブレード制御アルゴリズムは、発生器又は外科用器具のいずれかに位置する制御回路又はプロセッサによって実行され得る。Adaptive Ultrasonic Blade Temperature Monitoring In one aspect, an adaptive ultrasonic blade control algorithm may be used to adjust various parameters of the ultrasonic system based on the temperature of the ultrasonic blade. The operating parameters controlled or adjusted by the adaptive ultrasonic blade control algorithm may include, for example, the amplitude of the ultrasonic blade, the control signal driving the ultrasonic transducer, the pressure applied by the clamp arm, etc. . The adaptive ultrasonic blade control algorithm may be executed by a control circuit or processor located in either the generator or the surgical instrument.
以下に更に詳細に記載される一例では、適応型超音波ブレード制御アルゴリズムは、超音波ブレードの温度を動的に監視し、それに応じて超音波ブレードの振幅及び/又は超音波変換器に提供される信号を調節する。以下に更に詳細に記載される別の例では、適応型超音波ブレード制御アルゴリズムは、超音波ブレードの温度を動的に監視し、それに応じてクランプアーム圧力を調節する。適応型超音波ブレード制御アルゴリズムは、上記「温度推定」の項で論じたように、超音波変換器の周波数スペクトルを分析することによってなど、様々な技術を介して超音波ブレードの温度を測定することができる。超音波ブレードの温度を決定するための他の技術は、非接触撮像を用いる。これら及び他の技術は、本明細書で詳細に説明されており、追加の詳細は、「SMART ENERGY DEVICES」と題された米国特許仮出願第62/692,768号に見出すことができる。 In one example, described in more detail below, an adaptive ultrasonic blade control algorithm dynamically monitors the temperature of the ultrasonic blade and provides the amplitude of the ultrasonic blade and/or the ultrasonic transducer accordingly. Adjust the signal. In another example, described in more detail below, an adaptive ultrasonic blade control algorithm dynamically monitors the ultrasonic blade temperature and adjusts the clamp arm pressure accordingly. The adaptive ultrasonic blade control algorithm measures the temperature of the ultrasonic blade through various techniques, such as by analyzing the frequency spectrum of the ultrasonic transducer, as discussed in the "Temperature Estimation" section above. be able to. Other techniques for determining ultrasonic blade temperature use non-contact imaging. These and other techniques are described in detail herein, and additional details can be found in US Provisional Patent Application No. 62/692,768, entitled "SMART ENERGY DEVICES."
温度に従って超音波システムパラメータを調節
一態様では、適応型超音波ブレード制御アルゴリズムは、超音波ブレードの温度に基づいて、超音波システムの動作パラメータを調節するように構成することができる。「温度推定」の項で上述したように、超音波ブレード/変換器の固有周波数は温度と共に移動し、したがって、超音波ブレードの温度は、超音波変換器を駆動するために印加される電圧信号と電流信号との間の位相角から推定することができる。更に、超音波ブレード温度は、組織温度に対応する。いくつかの態様では、適応型超音波ブレード制御アルゴリズムは、超音波ブレード温度を検出し、その温度に従って外科用器具の動作パラメータを変調するように構成することができる。動作パラメータとしては、例えば、超音波変換器駆動信号の周波数、超音波ブレードの振幅(例えば、超音波変換器に供給される電流の大きさ又は振幅に対応することができる)、クランプアームによって印加される圧力、などを含むことができる。適応型超音波ブレード制御アルゴリズムは、発生器又は外科用器具のいずれかに位置する制御回路又はプロセッサによって実行され得る。Adjusting Ultrasonic System Parameters According to Temperature In one aspect, an adaptive ultrasound blade control algorithm can be configured to adjust operating parameters of the ultrasound system based on the temperature of the ultrasound blade. As mentioned above in the "Temperature Estimation" section, the natural frequency of the ultrasonic blade/transducer moves with temperature, and therefore the temperature of the ultrasonic blade depends on the voltage signal applied to drive the ultrasonic transducer. can be estimated from the phase angle between the current signal and the current signal. Furthermore, the ultrasound blade temperature corresponds to the tissue temperature. In some aspects, the adaptive ultrasonic blade control algorithm can be configured to detect ultrasonic blade temperature and modulate operating parameters of the surgical instrument according to the temperature. Operating parameters include, for example, the frequency of the ultrasonic transducer drive signal, the amplitude of the ultrasonic blade (which may correspond, for example, to the magnitude or amplitude of the current supplied to the ultrasonic transducer), applied by the clamp arm. pressure applied, etc. The adaptive ultrasonic blade control algorithm may be executed by a control circuit or processor located in either the generator or the surgical instrument.
したがって、一態様では、適応型超音波ブレード制御アルゴリズムは、「温度推定」の項で先に説明したように、超音波ブレードの共振周波数を検出し、その後、共振周波数波形のモーダルシフトを検出するために、共振周波数を経時的に監視する。共振波形のシフトは、超音波ブレードの温度の上昇などのシステム変化の発生と相関することができる。いくつかの態様では、適応型超音波ブレード制御アルゴリズムは、組織の温度を測定するために、超音波駆動信号の振幅、したがって超音波ブレード変位の振幅を調節するように構成することができる。他の態様では、適応型超音波ブレード制御アルゴリズムは、超音波ブレード及び/又は組織の温度を所定の温度又は所定の閾値内に保持するために(例えば、超音波ブレードの温度が高くなりすぎた場合に超音波ブレードを冷却することを可能にするために)、超音波ブレード及び/又は組織の温度に従って、超音波駆動信号の振幅、したがって超音波ブレード変位の振幅を制御するように構成することができる。更に他の態様では、適応型超音波ブレード制御アルゴリズムは、組織インピーダンス、組織温度、及び/又は超音波ブレード温度に従って、例えば、温度のオーバーシュートを最小限に抑えたり、超音波ブレードの熱流束を変更したりするために、電気外科用器具のRF電力及び波形を変調するように構成することができる。これら及び他の機能に関する更なる詳細は、例えば、図95~図100を参照して説明されている。 Thus, in one aspect, the adaptive ultrasonic blade control algorithm detects the resonant frequency of the ultrasonic blade and then detects a modal shift in the resonant frequency waveform, as described above in the "Temperature Estimation" section. To do this, the resonant frequency is monitored over time. A shift in the resonant waveform can be correlated with the occurrence of system changes, such as an increase in the temperature of the ultrasonic blade. In some aspects, the adaptive ultrasound blade control algorithm can be configured to adjust the amplitude of the ultrasound drive signal, and thus the amplitude of the ultrasound blade displacement, to measure tissue temperature. In other aspects, the adaptive ultrasound blade control algorithm is configured to maintain the temperature of the ultrasound blade and/or tissue within a predetermined temperature or a predetermined threshold (e.g., when the ultrasound blade temperature becomes too high). configured to control the amplitude of the ultrasonic drive signal and thus the amplitude of the ultrasonic blade displacement according to the temperature of the ultrasonic blade and/or the tissue, in order to allow the ultrasonic blade to cool in case) Can be done. In yet other aspects, the adaptive ultrasound blade control algorithm adjusts the heat flux of the ultrasound blade according to tissue impedance, tissue temperature, and/or ultrasound blade temperature, for example, to minimize temperature overshoot or adjust the ultrasound blade heat flux. The electrosurgical instrument can be configured to modulate the RF power and waveform to change the electrosurgical instrument. Further details regarding these and other features are described with reference to, for example, FIGS. 95-100.
図79は、本開示の少なくとも1つの態様による、駆動周波数及び超音波ブレード温度ドリフトの関数としての超音波変換器システムの周波数のグラフ表示130700である。水平軸130704は、超音波システム(例えば、超音波変換器及び/又は超音波ブレード)に印加される駆動周波数(例えば、Hz)を表し、縦軸130702は、結果として得られるインピーダンス位相角(例えば、ラジアン)を表す。第1のプロット130706は、通常又は周囲温度における超音波システムの特性共振波形を表す。第1のプロット130706で見ることができるように、超音波システムは、励起周波数feで駆動されるときに同相である(インピーダンス位相角が0ラジアン又は0ラジアン付近であるため)。したがって、feは、周囲温度における超音波システムの共振周波数を表す。第2のプロット130708は、超音波システムの温度が上昇したときの超音波システムの特性波形を表す。図79に示すように、超音波システムの温度が上昇するにつれて、超音波ブレード及び超音波変換器の特性波形(第1のプロット130706によって示されている)は、左に、例えば、より低い周波数レンジにシフトする。超音波システムの周波数波形のシフトにより、超音波システムは、励起周波数feで駆動されたときにもはや同相でなくなる。むしろ、共振周波数は、f’eに低くシフトしている。したがって、超音波システムに連結された制御回路は、超音波システムの共振周波数の変化を検出することによって、及び/又は以前に確立された共振周波数で駆動されたときに超音波システムが位相外れであることを検出することによって、超音波システムの温度変化を検出又は推定することができる。FIG. 79 is a
それに対応して、いくつかの態様では、超音波システムに連結された制御回路は、超音波システムを同相に維持するために、超音波システムの推定された温度に従って、発生器によって超音波システムに印加される駆動信号を制御するように構成することができる。超音波システムを同相に維持することは、例えば、超音波システムの温度を制御するために利用することができる。上述のように、超音波ブレード及び/又は超音波変換器の温度が上昇するにつれて、電圧及び電流信号が同相である共振周波数が通常温度でのfe(例えば、55.5kHz)からf’eへとシフトする。したがって、超音波システムの温度が上昇すると、制御回路は、発生器を制御して、超音波システムが駆動される周波数をfeからf’eにシフトして、超音波システムを発生器駆動信号と同相に維持することができる。適応型超音波ブレード制御アルゴリズムの更なる説明については、上記の図43A~図54に関連する説明を参照されたい。Correspondingly, in some aspects, a control circuit coupled to the ultrasound system controls the ultrasound system by the generator according to the estimated temperature of the ultrasound system to maintain the ultrasound system in phase. The drive signal may be configured to control the applied drive signal. Maintaining the ultrasound system in phase can be utilized, for example, to control the temperature of the ultrasound system. As mentioned above, as the temperature of the ultrasonic blade and/or ultrasonic transducer increases, the resonant frequency at which the voltage and current signals are in phase increases from fe (e.g., 55.5 kHz) at normal temperature to f'e Shift to. Therefore, when the temperature of the ultrasound system increases, the control circuit controls the generator to shift the frequency at which the ultrasound system is driven from fe to f'e , so that the ultrasound system is driven by the generator drive signal. can be maintained in phase with. For further explanation of the adaptive ultrasonic blade control algorithm, please refer to the discussion associated with FIGS. 43A-54 above.
図80は、本開示の少なくとも1つの態様による、時間の関数としての超音波変換器の温度のグラフ表示130750である。縦軸130752は、超音波変換器の温度を表し、水平軸130754は時間を表す。一態様では、超音波変換器温度(プロット130756によって表されている)が温度閾値T1を満たす又は超えるとき、適応型超音波ブレード制御アルゴリズムは、超音波変換器を制御して、超音波変換器の温度を閾値温度T1以下に維持する。適応型超音波ブレード制御アルゴリズムは、例えば、超音波変換器に印加される電力及び/又は駆動信号を変調することによって、超音波変換器の温度を制御することができる。超音波ブレード/変換器の温度を制御するためのアルゴリズム及び技術の更なる説明は、「フィードバック制御」及び「温度制御を備える超音波封止アルゴリズム」の項、及びその開示が参照により本明細書に組み込まれる、「TEMPERATURE CONTROL IN ULTRASONIC DEVICE AND CONTROL SYSTEM THEREFOR」と題する、2018年3月8日出願の米国特許仮出願第62/640,417号に見出すことができる。FIG. 80 is a
図81は、本開示の少なくとも1つの態様による、超音波ブレードの温度の関数として共振周波数を移動させる超音波ブレードの温度に基づく共振周波数のモーダルシフトのグラフ表示である。第1のグラフ130800では、縦軸130802は、共振周波数の変化(Δf)を表し、水平軸130804は、発生器の超音波変換器駆動周波数を表す。第2、第3、及び第4のグラフ130810、130820、130830において、縦軸130812、130822、130832はそれぞれ周波数(f)、電流(I)、及び温度(T)を表し、水平軸130814、130824、130834は時間(t)を表す。第1のグラフ130810は、温度変化に起因する超音波システムの周波数シフトを表す。第2のグラフ130820は、安定した周波数及び温度を保持するための、超音波変換器内の電流、又は振幅調整を表す。第3のグラフ130830は、組織及び/又は超音波システムの温度変化を表す。グラフ130800、130810、130820、130830のセットは、併せて、超音波システムの温度を制御するように構成された制御アルゴリズムの機能を実証する。 FIG. 81 is a graphical representation of a modal shift in resonant frequency based on the temperature of an ultrasonic blade that shifts the resonant frequency as a function of the temperature of the ultrasonic blade, in accordance with at least one aspect of the present disclosure. In the
制御アルゴリズムは、超音波システムの温度が温度閾値T1に近づいたときに超音波システム(例えば、超音波変換器及び/又は超音波ブレード)を制御するように構成することができる。一態様では、制御アルゴリズムは、超音波システムの共振周波数が閾値ΔfRだけ低下したかどうかに従って、温度閾値T1が近づいているか、又は到達したことを判定するように構成することができる。第1のグラフ130800によって示されるように、閾値温度T1に対応する周波数の変化閾値ΔfRは、同様に、(プロット130806によって表されるように)超音波システムの駆動周波数fDの関数であり得る。第2のグラフ130810及び第4のグラフ130830によって示されるように、組織及び/又は超音波ブレードの温度が上昇するにつれて(温度プロット130836によって表されている)、共振周波数はそれに応じて減少する(周波数プロット130816によって表されている)。温度プロット130836が時間t1で温度閾値T1(例えば、130℃)に近づくと、共振周波数がf1からf2まで低下し、共振周波数を制御アルゴリズムの周波数の変化閾値ΔfRに到達させ、それによって制御アルゴリズムに超音波システム温度を安定化させるように作用させる。超音波システムの共振周波数の変化を監視することにより、適応型超音波ブレード制御アルゴリズムは、これにより超音波システムの温度を監視することができる。更に、適応型超音波ブレード制御アルゴリズムは、温度が閾値T1を満たす又は超えるときに、組織及び/又は超音波ブレードの温度及び/又は共振周波数を安定化させるために、超音波変換器に印加される電流を調節する(例えば、減少させる)か、さもなければ超音波ブレードの振幅を調整するように構成することができる(電流プロット130826によって表されている)。The control algorithm can be configured to control the ultrasound system (e.g., the ultrasound transducer and/or the ultrasound blade) when the temperature of the ultrasound system approaches a temperature thresholdT1 . In one aspect, the control algorithm can be configured to determine that a temperature threshold T1 is approaching or reached according to whether the resonant frequency of the ultrasound system has decreased by a threshold ΔfR. As shown by the
別の態様では、適応型超音波ブレード制御アルゴリズムは、温度が閾値T1を満たす又は超えるときに、クランプアームによって組織に加えられる圧力を調節する(例えば、減少させる)ように構成することができる。様々な他の態様では、適応型超音波ブレード制御アルゴリズムは、温度に従って超音波システムと関連付けられた様々な他の動作パラメータを調節するように構成することができる。別の態様では、適応型超音波ブレード制御アルゴリズムは、複数の温度閾値を監視するように構成することができる。例えば、第2の温度閾値T2は、例えば、クランプアームの融解又は故障温度を表すことができる。したがって、適応型超音波ブレード制御アルゴリズムは、満たされた又は超過した特定の温度閾値に従って、同じ又は異なる動作をとるように構成することができる。In another aspect, the adaptive ultrasound blade control algorithm can be configured to adjust (e.g., decrease) the pressure applied to the tissue by the clamp arm when the temperature meets or exceeds the thresholdT1 . . In various other aspects, the adaptive ultrasound blade control algorithm can be configured to adjust various other operating parameters associated with the ultrasound system according to temperature. In another aspect, the adaptive ultrasonic blade control algorithm can be configured to monitor multiple temperature thresholds. For example, the second temperature threshold T2 may represent, for example, a melting or failure temperature of the clamp arm. Accordingly, the adaptive ultrasonic blade control algorithm can be configured to take the same or different actions according to a particular temperature threshold that is met or exceeded.
様々な態様では、非接触撮像を用いて、前述の技術に加えて又はその代わりに、超音波ブレードの温度を判定し得る。例えば、短波サーモグラフィを用いて、CMOS撮像センサを介して静止した周囲の場所からブレードを撮像することによってブレード温度を測定し得る。超音波導波管又は超音波ブレードの温度のサーモグラフィ非接触監視を用いて、組織温度を制御してもよい。他の態様では、非接触撮像を用いて、超音波ブレードの表面状態及び仕上げを判定し、近IR検出技術により組織及び/又は超音波ブレードの温度を改善し得る。 In various aspects, non-contact imaging may be used to determine the temperature of the ultrasonic blade in addition to or in place of the techniques described above. For example, shortwave thermography may be used to measure blade temperature by imaging the blade from a stationary surrounding location via a CMOS image sensor. Thermographic non-contact monitoring of the temperature of an ultrasound waveguide or blade may be used to control tissue temperature. In other aspects, non-contact imaging may be used to determine the surface condition and finish of the ultrasonic blade, and near-IR detection techniques may improve tissue and/or ultrasonic blade temperature.
ジョーの状態を決定
超音波エネルギー送達に伴う課題は、誤った材料又は誤った組織に適用された超音波音響が、装置の故障、例えば、クランプアームパッドの溶け落ち、又は超音波ブレードの破損という結果になり得ることである。また、ジョー内に追加のセンサを追加することなく、超音波装置のエンドエフェクタのジョー内に何が位置しているか、及びジョーの状態を検出することも望ましい。超音波エンドエフェクタのジョー内にセンサを位置決めすることは、信頼性、コスト、及び複雑性の課題を提起する。Determining Jaw Status A challenge with ultrasonic energy delivery is that ultrasonic sound applied to the wrong material or the wrong tissue can result in device failure, e.g. burn-through of the clamp arm pad, or breakage of the ultrasonic blade. This could be the result. It would also be desirable to detect what is located within the jaws of an end effector of an ultrasound device and the condition of the jaws without adding additional sensors within the jaws. Positioning sensors within the jaws of ultrasonic end effectors poses reliability, cost, and complexity challenges.
超音波分光法スマートブレードアルゴリズム技術が、本開示の少なくとも1つの態様による、超音波変換器ブレードを駆動するように構成された超音波変換器のインピーダンス Ultrasonic spectroscopy smart blade algorithm technology configured to drive an ultrasonic transducer blade according to at least one aspect of the present disclosure
動的機械分析(DMA)、動的機械分光法又は単純に機械的分光法としても知られている、は、材料を研究及び特性化するために使用される技術である。正弦波応力が材料に適用され、材料内の歪みが測定され、材料の複素弾性率の決定を可能にする。超音波装置に適用される分光法は、周波数の掃引(合成信号又は従来の周波数掃引)で超音波ブレードの先端を励起し、結果として得られる複素インピーダンスを各周波数で測定することを含む。周波数の範囲にわたる超音波変換器の複素インピーダンス測定値は、超音波エンドエフェクタの特性を推定するために分類子又はモデルで使用される。一態様では、本開示は、超音波装置の自動化を推進するために超音波エンドエフェクタ(クランプアーム、ジョー)の状態を決定するための技術を提供する(例えば、装置を保護するための電力の無効化、適応アルゴリズムの実行、情報の検索、組織の識別など)。 Dynamic mechanical analysis (DMA), also known as dynamic mechanical spectroscopy or simply mechanical spectroscopy, is a technique used to study and characterize materials. A sinusoidal stress is applied to the material and the strain within the material is measured, allowing determination of the material's complex modulus. Spectroscopy applied to ultrasound devices involves exciting the tip of an ultrasound blade with a sweep of frequencies (synthetic signal or conventional frequency sweep) and measuring the resulting complex impedance at each frequency. Complex impedance measurements of the ultrasound transducer over a range of frequencies are used in a classifier or model to estimate the properties of the ultrasound end effector. In one aspect, the present disclosure provides techniques for determining the state of ultrasound end effectors (clamp arms, jaws) to facilitate automation of ultrasound devices (e.g., power reduction to protect the device). disabling, running adaptive algorithms, retrieving information, identifying organizations, etc.).
図82は、本開示の少なくとも1つの態様による、インピーダンスZg(t)、大きさ|Z|、及び位相φが周波数fの関数としてプロットされている、エンドエフェクタの様々な異なる状態及び条件を有する超音波装置のスペクトル132030である。スペクトル132030は3次元空間にプロットされており、周波数(Hz)はx軸に沿ってプロットされ、位相(ラジアン)はy軸に沿ってプロットされ、大きさ(オーム)はz軸に沿ってプロットされている。FIG. 82 illustrates various different states and conditions of an end effector in which impedance Zg (t), magnitude |Z|, and phase φ are plotted as a function of frequency f, in accordance with at least one aspect of the present disclosure. This is the
異なるジョーバイト及び装置状態のスペクトル分析が、異なる条件及び状態の周波数範囲にわたって異なる複素インピーダンス特性パターン(指紋)を生成する。各状態又は条件は、プロットされたとき、3D空間において異なる特性パターンを有する。これらの特性パターンは、エンドエフェクタの条件及び状態を推定するために使用することができる。図82は、空気132032、クランプアームパッド132034、セーム革132036、ステープル132038、及び破損ブレード132040のスペクトルを示す。セーム革132036は、異なる種類の組織を特徴付けるために使用されて得る。 Spectral analysis of different jaw bites and equipment conditions produces different complex impedance characteristic patterns (fingerprints) over frequency ranges for different conditions and conditions. Each state or condition has a different characteristic pattern in 3D space when plotted. These characteristic patterns can be used to estimate the conditions and states of the end effector. FIG. 82 shows spectra for
スペクトル132030は、超音波変換器にわたって低電力電気信号を印加して、超音波ブレードの非治療的励起を生成することによって評価することができる。低電力電気信号は、FFTを使用して、直列(掃引)又は並列(合成信号)の周波数範囲で超音波変換器全体のインピーダンス The
新たなデータの分類の方法
各特性パターンに関して、パラメトリックラインは、多項式、フーリエ級数、又は便宜上規定され得るような任意の他の形態のパラメトリック方程式を使用して訓練に使用されるデータに適合させることができる。次いで、新たなデータ点が受信され、新たなデータ点から特性パターン訓練データにあてはめられた軌道までのユークリッド垂直距離を使用することによって分類される。新たなデータ点から各軌道(各軌道は異なる状態又は条件を表す)までの垂直距離は、点を状態又は条件に割り当てるために使用される。New Data Classification Methods For each characteristic pattern, a parametric line is fitted to the data used for training using polynomials, Fourier series, or any other form of parametric equations as may be conveniently defined. Can be done. New data points are then received and classified by using the Euclidean vertical distance from the new data points to the trajectory fitted to the characteristic pattern training data. The vertical distance from the new data point to each trajectory (each trajectory representing a different state or condition) is used to assign the point to a state or condition.
訓練データ内の各点からあてはめられた曲線までの距離の確率分布を使用して、正確に分類された新たなデータ点の確率を推定することができる。これは、あてはめられた軌道の各新たなデータ点においてあてはめられた軌道に垂直な平面内の2次元確率分布を本質的に構築する。次いで、新たなデータ点は、正しい分類の確率に基づいて訓練セットに含められ、状態の高周波変化を容易に検出するが、装置が汚れたりパッドが摩耗しているなど、システム性能において発生する偏差を遅らせるように適応する適応的な学習分類子を作製することができる。 The probability distribution of the distance from each point in the training data to the fitted curve can be used to estimate the probability of a new data point being correctly classified. This essentially constructs a two-dimensional probability distribution in the plane perpendicular to the fitted trajectory at each new data point of the fitted trajectory. New data points are then included in the training set based on their probability of correct classification, which easily detects high-frequency changes in condition, but also avoids deviations that occur in system performance, such as dirty equipment or worn pads. Adaptive learning classifiers can be created that adapt to slow down .
図83は、本開示の少なくとも1つの態様による、超音波変換器インピーダンスZg(t)、大きさ|Z|、及び位相φが周波数fの関数としてプロットされている、一組の3D訓練データセット(S)のプロット132042のグラフ表示である。3D訓練データセット(S)プロット132042は、位相(ラジアン)がx軸に沿ってプロットされ、周波数(Hz)がy軸に沿ってプロットされ、大きさ(オーム)がz軸に沿ってプロットされている3次元空間に図式的に示されており、パラメトリックフーリエ級数が3D訓練データセット(S)にあてはめられている。データを分類するための方法は、3D訓練データセットに基づいている(S0は、プロット132042を生成するために使用される)。FIG. 83 shows a set of 3D training data in which ultrasound transducer impedance Zg (t), magnitude |Z|, and phase φ are plotted as a function of frequency f, in accordance with at least one aspect of the present disclosure. 13 is a graphical representation of
3D訓練データセット(S)にあてはまるパラメトリックフーリエ級数は、次式によって与えられる。 The parametric Fourier series applied to the 3D training dataset (S) is given by:
新たな点 New points
D=D⊥
D=D⊥
Dの確率分布を使用して、グループSに属するデータ点 Data points belonging to group S using the probability distribution of D
対照
超音波変換器/超音波ブレードの起動前、起動中、又は起動後に測定されたデータの分類に基づいて、様々な自動化タスク及び安全対策を実施することができる。同様に、エンドエフェクタ内に位置する組織の状態及び超音波ブレードの温度もある程度推定することができ、超音波装置の状態をユーザによりよく知らせる、又は重要な構造物を保護するなどのために使用することもできる。超音波ブレードの温度制御は、その全体が参照により本明細書に組み込まれる、「TEMPERATURE CONTROL IN ULTRASONIC DEVICE AND CONTROL SYSTEM THEREFOR」と題する、2018年3月8日に出願された共同所有の米国特許仮出願第62/640,417号に記載されている。Control Based on the classification of the data measured before, during or after activation of the ultrasonic transducer/ultrasonic blade, various automation tasks and safety measures can be implemented. Similarly, the state of the tissue located within the end effector and the temperature of the ultrasound blade can also be estimated to some extent, which can be used to better inform the user of the state of the ultrasound device or to protect critical structures, etc. You can also. Temperature control of ultrasonic blades is disclosed in a co-owned U.S. patent provisional application filed March 8, 2018 entitled “TEMPERATURE CONTROL IN ULTRASONIC DEVICE AND CONTROL SYSTEM THEREFOR,” which is incorporated herein by reference in its entirety. No. 62/640,417.
同様に、超音波ブレードがクランプアームパッドに接触している可能性が高いとき(例えば、間に組織なしで)、又は超音波ブレードが破損している、又は超音波ブレードが金属(例えば、ステープル)に触れている確率がある場合には、電力送達を低減することができる。更に、ジョーが閉じられており、超音波ブレードとクランプアームパッドとの間に組織が検出されない場合、バックカットを禁じることができる。 Similarly, when the ultrasonic blade is likely to be in contact with the clamp arm pad (e.g., without tissue in between), or the ultrasonic blade is damaged, or the ultrasonic blade is attached to metal (e.g., staples) ), the power delivery can be reduced. Additionally, backcuts may be inhibited if the jaws are closed and no tissue is detected between the ultrasonic blade and the clamp arm pad.
分類を改善するための他のデータの統合
このシステムは、確率関数及びカルマンフィルタを使用して、このプロセスからのデータを前述のデータと組み合わせることによって、センサ、ユーザ、患者の測定基準、環境要因などによって提供される他の情報と共に使用することができる。カルマンフィルタは、様々な信頼性の過度の不確かな測定値を考慮して生じる状態又は条件の最大尤度を決定する。この方法は、新たに分類されたデータ点への確率の割り当てを可能にするため、このアルゴリズムの情報は、カルマンフィルタ内の他の測定値又は推定値を用いて実施することができる。Integration of other data to improve classification The system uses probability functions and Kalman filters to combine data from this process with previously described data such as sensor, user, patient metrics, environmental factors, etc. It can be used in conjunction with other information provided by. A Kalman filter determines the maximum likelihood of a state or condition occurring given excessively uncertain measurements of varying reliability. Since this method allows the assignment of probabilities to newly classified data points, the information in this algorithm can be implemented using other measurements or estimates within the Kalman filter.
図84は、本開示の少なくとも1つの態様による、複素インピーダンスパターン(指紋)に基づいて、ジョーの状態を決定するための制御プログラム又は論理構成を示すプロセスの論理フロー図132044である。複素インピーダンス特性パターン(指紋)に基づいてジョーの状態を決定する前に、データベースには、限定するものではないが、図82に示されるような、空気132032、クランプアームパッド132034、セーム革132036、ステープル132038、破損ブレード132040、並びに様々な組織の種類及び状態を含む、様々なジョーの状態を特徴付ける基準複素インピーダンス特性パターン又は訓練データセット(S)が投入されている。フルバイト又はチップの、乾いた又は湿ったセーム革が、異なる種類の組織を特徴付けるために使用されてもよい。基準複素インピーダンス特性パターン又は訓練データセット(S)を生成するために使用されるデータ点は、超音波変換器に治療レベル未満の駆動信号を適用し、所定の周波数範囲にわたって共振より下から共振より上に駆動周波数を掃引し、各周波数における複素インピーダンスを測定し、データ点を記録することによって得られる。次いで、データ点は、多項式曲線あてはめ、フーリエ級数、及び/又はパラメトリック方程式を含む様々な数値手法を使用して曲線にあてはめられる。基準複素インピーダンス特性パターン又は訓練データセット(S)にあてはまるパラメトリックフーリエ級数が、ここで説明される。 FIG. 84 is a process logic flow diagram 132044 illustrating a control program or logic configuration for determining the state of a jaw based on a complex impedance pattern (fingerprint) in accordance with at least one aspect of the present disclosure. Prior to determining the state of the jaws based on the complex impedance characteristic pattern (fingerprint), the database includes, but is not limited to,
基準複素インピーダンス特性パターン又は訓練データセット(S)が生成されると、超音波器具は新たなデータ点を測定し、新たな点を分類し、新たなデータ点を基準複素インピーダンス特性パターン又は訓練データセット(S)に追加すべきか否かを判定する。 Once the reference complex impedance characteristic pattern or training data set (S) is generated, the ultrasound instrument measures new data points, classifies the new points, and combines the new data points into the reference complex impedance characteristic pattern or training data set (S). Determine whether it should be added to the set (S).
ここで図84の論理フロー図を参照すると、一態様では、プロセッサ又は制御回路は、超音波変換器の複素インピーダンスを測定し(132046)、複素インピーダンスは、 Referring now to the logic flow diagram of FIG. 84, in one aspect, the processor or control circuit measures the complex impedance of the ultrasound transducer (132046), and the complex impedance is:
一態様では、プロセッサ又は制御回路は、プロセッサに連結されたデータベース又はメモリから、基準複素インピーダンス特性パターンを受信する。一態様では、プロセッサ又は制御回路は、以下のように、基準複素インピーダンス特性パターンを生成する。プロセッサ又は制御回路に連結された駆動回路は、初期周波数で開始し、最終周波数で終了し、それらの間の複数の周波数で、非治療的駆動信号を超音波変換器に印加する。プロセッサ又は制御回路は、各周波数における超音波変換器のインピーダンスを測定し、各インピーダンス測定値に対応するデータ点を記憶する。プロセッサ又は制御回路は、複数のデータ点を曲線あてはめして基準複素インピーダンス特性パターンを表す3次元曲線を生成し、ここで、大きさ|Z|及び位相φは、周波数fの関数としてプロットされる。曲線あてはめには、多項式曲線あてはめ、フーリエ級数、及び/又はパラメトリック方程式が含まれる。 In one aspect, a processor or control circuit receives a reference complex impedance characteristic pattern from a database or memory coupled to the processor. In one aspect, a processor or control circuit generates a reference complex impedance characteristic pattern as follows. A drive circuit coupled to the processor or control circuit applies a non-therapeutic drive signal to the ultrasound transducer starting at an initial frequency, ending at a final frequency, and at multiple frequencies therebetween. A processor or control circuit measures the impedance of the ultrasound transducer at each frequency and stores data points corresponding to each impedance measurement. The processor or control circuit curve-fits the plurality of data points to generate a three-dimensional curve representing the reference complex impedance characteristic pattern, where magnitude |Z| and phase φ are plotted as a function of frequency f. . Curve fitting includes polynomial curve fitting, Fourier series, and/or parametric equations.
一態様では、プロセッサ又は制御回路は、新たなインピーダンス測定データ点を受信し、新たなインピーダンス測定データ点から、基準複素インピーダンス特性パターンにあてはめられた軌道までのユークリッド垂直距離を使用して新たなインピーダンス測定データ点を分類する。プロセッサ又は制御回路は、新たなインピーダンス測定データ点が正しく分類される確率を推定する。プロセッサ又は制御回路は、新たなインピーダンス測定データ点の推定された正しい分類の確率に基づいて、新たなインピーダンス測定データ点を基準複素インピーダンス特性パターンに追加する。一態様では、プロセッサ又は制御回路は、訓練データセット(S)に基づいてデータを分類し、訓練データセット(S)は、複数の複素インピーダンス測定データを含み、かつパラメトリックフーリエ級数を使用して訓練データセット(S)を曲線あてはめし、Sはここで定義され、確率分布は、グループSに属する新しいインピーダンス測定データ点の確率を推定するために使用される。 In one aspect, a processor or control circuit receives a new impedance measurement data point and uses a Euclidean vertical distance from the new impedance measurement data point to a trajectory fitted to a reference complex impedance characteristic pattern to determine the new impedance measurement data point. Classify measurement data points. A processor or control circuit estimates the probability that the new impedance measurement data point will be correctly classified. A processor or control circuit adds the new impedance measurement data point to the reference complex impedance characteristic pattern based on the estimated probability of correct classification of the new impedance measurement data point. In one aspect, the processor or control circuit classifies the data based on a training dataset (S), the training dataset (S) includes a plurality of complex impedance measurements and is trained using a parametric Fourier series. A data set (S) is curve fitted, where S is defined and a probability distribution is used to estimate the probability of a new impedance measurement data point belonging to group S.
全体としてジョー又は外科用器具の状態を決定又は推定することに関する更なる詳細は、「SMART ENERGY DEVICES」と題された米国特許仮出願第62/692,768号に見出すことができる。 Further details regarding determining or estimating the condition of the jaws or surgical instruments as a whole can be found in US Provisional Patent Application No. 62/692,768, entitled "SMART ENERGY DEVICES."
状況認識
ここで図85を参照すると、例えば、外科用ハブ106又は206(図1~図11)などのハブの状況認識を示す時間線5200が示されている。時間線5200は例示的な外科処置、及び外科用ハブ106、206が、外科処置の各工程でデータソースから受信したデータから導き出すことができるコンテキスト情報である。時間線5200は、手術室を設置することから開始し、患者を術後回復室に移送することで終了する肺区域切除手術の過程で、看護師、外科医、及び他の医療関係者によって取られるであろう典型的な工程を示す。Situational Awareness Referring now to FIG. 85, a
状況認識外科用ハブ106、206は、外科処置の過程全体にわたって、医療関係者が外科用ハブ106、206とペアリングされたモジュール式装置を使用する度に生成されるデータを含むデータをデータソースから受信する。外科用ハブ106、206は、ペアリングされたモジュール式装置及び他のデータソースからこのデータを受信して、任意の所与の時間に処置のどの工程が実施されているかなどの新しいデータが受信されると、進行中の処置に関する推定(すなわち、コンテキスト情報)を継続的に導出することができる。外科用ハブ106、206の状況認識システムは、例えば、レポートを生成するために処置に関するデータを記録する、医療関係者によって取られている工程を検証する、特定の処置工程に関連し得るデータ又はプロンプトを(例えば、ディスプレイスクリーンを介して)提供する、コンテキストに基づいてモジュール式装置を調節する(例えば、モニタを起動する、医療用撮像装置の視界(FOV)を調節する、又は超音波外科用器具若しくはRF電気外科用器具のエネルギーレベルを変更するなど)、及び上記の任意の他のこうした動作を行うことが可能である。 The situational awareness
この例示的な処置における第1の工程5202として、病院職員は、病院のEMRデータベースから患者のEMRを読み出す。EMRにおける選択された患者データに基づいて、外科用ハブ106、206は、実行される処置が胸郭処置であることを判定する。 As a
第2の工程5204では、職員は、処置のために入来する医療用品をスキャンする。外科用ハブ106、206は、スキャンされた用品を様々な種類の処置で利用される用品のリストと相互参照し、用品の組み合わせ(mix of supplies)が胸郭処置に対応することを確認する。更に、外科用ハブ106、206はまた、処置が楔形処置ではないと判定することができる(入来する用品が、胸郭楔形処置に必要な特定の用品を含まないか、又は別の点で胸郭楔形処置に対応していないかのいずれかであるため)。 In the second step 5204, personnel scan incoming medical supplies for treatment. The
第3の工程5206では、医療関係者は、外科用ハブ106、206に通信可能に接続されたスキャナを介して患者のバンドをスキャンする。続いて、外科用ハブ106、206は、スキャンされたデータに基づいて患者の識別情報を確認することができる。 In a
第4の工程5208では、医療スタッフが補助装置をオンにする。利用される補助装置は、外科処置の種類及び外科医によって使用される技術に従って変わり得るが、この例示的な場合では、これらとしては、排煙器、吸入器、及び医療用撮像装置が挙げられる。起動されると、モジュール式装置である補助装置は、その初期化プロセスの一部として、モジュール式装置の特定の近傍内に位置する外科用ハブ106、206と自動的にペアリングすることができる。続いて、外科用ハブ106、206は、この術前又は初期化段階中にそれとペアリングされるモジュール式装置の種類を検出することによって、外科処置に関するコンテキスト情報を導出することができる。この特定の実施例では、外科用ハブ106、206は、ペアリングされたモジュール式装置のこの特定の組み合わせに基づいて、外科処置がVATS手術であると判定する。患者のEMRからのデータの組み合わせ、手術に用いられる医療用品のリスト、及びハブに接続するモジュール式装置の種類に基づいて、外科用ハブ106、206は、外科チームが実施する特定の処置を概ね推定することができる。外科用ハブ106、206が、何の特定の処置が実施されているかを知ると、続いて外科用ハブ106、206は、メモリから、又はクラウドからその処置の工程を読み出して、次に接続されたデータソース(例えば、モジュール式装置及び患者監視装置)からその後受信したデータを相互参照して、外科処置のどの工程を外科チームが実行しているかを推定することができる。 In the fourth step 5208, medical staff turns on the auxiliary device. The auxiliary equipment utilized may vary according to the type of surgical procedure and the technique used by the surgeon, but in this illustrative case these include a smoke evacuation device, an inhaler, and a medical imaging device. Once activated, an auxiliary device that is a modular device may automatically pair with a
第5の工程5210では、職員は、EKG電極及び他の患者監視装置を患者に取り付ける。EKG電極及び他の患者監視装置は、外科用ハブ106、206とペアリングすることができる。外科用ハブ106、206が患者監視装置からデータの受信を開始すると、外科用ハブ106、206は患者が手術室にいることを確認する。 In a
第6の工程5212では、医療関係者は患者に麻酔を誘発する。外科用ハブ106、206は、例えば、EKGデータ、血圧データ、ベンチレータデータ、又はこれらの組み合わせを含む、モジュール式装置及び/又は患者監視装置からのデータに基づいて、患者が麻酔下にあることを推定することができる。第6の工程5212が完了すると、肺区域切除手術の術前部分が完了し、手術部分が開始する。 In the
第7の工程5214では、操作されている患者の肺が虚脱される(換気が対側肺に切り替えられる間に)。外科用ハブ106、206は、例えば、患者の肺が虚脱されたことをベンチレータデータから推定することができる。外科用ハブ106、206は、患者の肺が虚脱したのを検出したことを、処置の予期される工程(事前にアクセス又は読み出すことができる)と比較することができるため、処置の手術部分が開始したことを推定して、それによって肺を虚脱させることがこの特定の処置における第1の手術工程であると判定することができる。 In the seventh step 5214, the patient's lung being manipulated is collapsed (while ventilation is switched to the contralateral lung). The
第8の工程5216では、医療用撮像装置(例えば、スコープ)が挿入され、医療用撮像装置からのビデオ映像が開始される。外科用ハブ106、206は、医療用撮像装置への接続を通じて医療用撮像装置データ(すなわち、ビデオ又は画像データ)を受信する。医療用撮像装置データを受信すると、外科用ハブ106、206は、外科処置の腹腔鏡部分が開始したことを判定することができる。更に、外科用ハブ106、206は、実施されている特定の処置が、肺葉切除とは対照的に区域切除術であると判定することができる(処置の第2の工程5204で受信したデータに基づいて、楔形処置は外科用ハブ106、206によって既に割り引かれていることに留意されたい)。医療用撮像装置124(図2)からのデータは、患者の解剖学的構造の可視化に関して配向されている医療用撮像装置の角度を判定することによる、用いられている(すなわち、起動されており、外科用ハブ106、206とペアリングされている)数又は医療用撮像装置を監視することによる、及び用いられている可視化装置の種類を監視することによる、ことを含む多くの異なる方法の中から実施されている処置の種類に関するコンテキスト情報を判定するために用いられ得る。例えば、VATS肺葉切除術を実施するための1つの技術は、カメラを患者の胸腔の前下方角部の横隔膜上方に配置し、一方、VATS区域切除術を実施するための1つの技術は、カメラを、区域裂に対して前肋間位置に配置する。例えば、パターン認識又は機械学習技術を使用して、状況認識システムは、患者の解剖学的構造の可視化に基づいて、医療用撮像装置の位置を認識するように訓練され得る。別の例として、VATS肺葉切除術を実施するための1つの技術は単一の医療用撮像装置を利用するが、VATS区域切除術を実施するための別の技術は複数のカメラを利用する。更に別の例として、VATS区域切除術を実施するための1つの技術は、区域裂を可視化するために赤外線光源(可視化システムの一部として外科用ハブに通信可能に結合され得る)を使用し、これはVATS肺葉切除術では使用されない。医療用撮像装置からのこのデータのいずれか又は全てを追跡することによって、外科用ハブ106、206は、実行中の特定の種類の外科処置、及び/又は特定の種類の外科処置に使用されている技術を判定することができる。 In an
第9の工程5218で、外科チームは、処置の切開工程を開始する。外科用ハブ106、206は、エネルギー器具が発射されていることを示すRF又は超音波発生器からのデータを受信するため、外科医が患者の肺を切開して分離するプロセスにあると推定することができる。外科用ハブ106、206は、受信されたデータを外科処置の読み出しされた工程と相互参照して、プロセスのこの時点(すなわち、上述された処置の工程が完了した後)で発射されているエネルギー器具が切開工程に対応していると判定することができる。特定の例では、エネルギー器具は、ロボット外科システムのロボットアームに取り付けられたエネルギーツールであり得る。 At a ninth step 5218, the surgical team begins the incision step of the procedure. The
第10の工程5220で、外科チームは、処置の結紮工程に進む。外科用ハブ106、206は、器具が発射されていることを示す外科用ステープル留め及び切断器具からのデータを受信するため、外科医が動脈及び静脈を結紮していると推定することができる。前工程と同様に、外科用ハブ106、206は、外科用ステープル留め及び切断器具からのデータの受信を、読み出しされたプロセス内の工程と相互参照することによって、この推定を導出することができる。特定の例では、外科用器具は、ロボット外科システムのロボットアームに取り付けられた外科用ツールであり得る。 In a
第11の工程5222では、処置の区域切除部分が実施される。外科用ハブ106、206は、そのカートリッジからのデータを含む外科用ステープル留め及び切断器具からのデータに基づいて、外科医が実質組織を横切開していると推定することができる。カートリッジのデータは、例えば、器具によって発射されるステープルのサイズ又は種類に対応することができる。異なる種類のステープルが異なる種類の組織に利用されているため、カートリッジのデータは、ステープル留め及び/又は横切開されている組織の種類を示すことができる。この場合、発射されるステープルの種類は実質組織(又は他の同様の組織種)に用いられ、これにより、外科用ハブ106、206は、処置の区域切除部分が実行されていると推定することができる。 In the
続いて第12の工程5224で、結節切開工程が実行される。外科用ハブ106、206は、RF又は超音波器具が発射されていることを示す発生器から受信したデータに基づいて、外科チームが結節を切開し、漏れ試験を実施していると推定することができる。この特定の処置の場合、実質組織が横切開された後に用いられるRF又は超音波器具は結節切開工程に対応しており、この結節切開工程により外科用ハブ106、206がこの推定を行うことが可能となる。異なる器具が特定の作業に対してより良好に適合するため、外科医は、処置中の特定の工程に応じて、定期的に外科用ステープル留め/切断器具と外科用エネルギー(すなわち、RF又は超音波)器具との間で交互に切り替えることに留意されたい。したがって、ステープル留め/切断器具及び外科用エネルギー器具が使用される特定のシーケンスは、外科医が処置のどの工程を実施中であるかを示すことができる。更に、特定の例では、外科処置中の1つ又は2つ以上の工程にロボットツールを使用することができ、かつ/又は外科処置中の1つ又は2つ以上の工程にハンドヘルド外科用器具を使用することができる。外科医(複数可)は、例えば、ロボットツールとハンドヘルド外科用器具とを順に交代させることができ、かつ/又は、例えば、装置を同時に使用することができる。第12の工程5224が完了すると、切開部が閉鎖され、処置の術後部分が開始する。 Subsequently, in a twelfth step 5224, a nodule dissection step is performed. The
第13の工程5226では、患者の麻酔が逆転される。外科用ハブ106、206は、例えば、ベンチレータデータに基づいて(すなわち、患者の呼吸速度が増加し始める)、患者が麻酔から覚醒しつつあると推定することができる。 In a thirteenth step 5226, the patient's anesthesia is reversed. The
最後に、第14の工程5228は、医療関係者が患者から様々な患者監視装置を除去することである。したがって、外科用ハブ106、206は、ハブがEKG、BP、及び患者監視装置からの他のデータを喪失したとき、患者が回復室に移送されていると推定することができる。この例示的な処置の説明から分かるように、外科用ハブ106、206と通信可能に結合された各種データソースから受信されたデータに基づいて、外科用ハブ106、206は、所与の外科処置の各工程が発生しているときを判定又は推定することができる。 Finally, the
状況認識については、その全体が参照により本明細書に組み込まれる、「METHOD OF HUB COMMUNICATION」と題する2018年4月19日出願の米国特許仮出願第62/659,900号で更に説明されている。特定の例では、例えば本明細書で開示される様々なロボット外科システムを含むロボット外科システムの動作は、その状況認識、及び/若しくはその構成要素からのフィードバックに基づいて、並びに/又はクラウド102からの情報に基づいて、ハブ106、206によって制御され得る。 Situational awareness is further described in U.S. Provisional Patent Application No. 62/659,900, filed April 19, 2018, entitled "METHOD OF HUB COMMUNICATION," which is incorporated herein by reference in its entirety. . In certain examples, the operation of a robotic surgical system, including, for example, the various robotic surgical systems disclosed herein, is based on its situational awareness and/or feedback from its components and/or from the
いくつかの形態が例示され説明されてきたが、添付の「特許請求の範囲」をそのような詳述に制限又は限定することは、本出願人が意図するところではない。多数の修正、変形、変化、置換、組み合わせ及びこれらの形態の等価物を実装することができ、本開示の範囲から逸脱することなく当業者により想到されるであろう。更に、記述する形態に関連した各要素の構造は、その要素によって行われる機能を提供するための手段として代替的に説明することができる。また、材料が特定の構成要素に関して開示されているが、他の材料が使用されてもよい。したがって、上記の説明文及び添付の特許請求の範囲は、全てのそのような修正、組み合わせ、及び変形を、開示される形態の範囲に含まれるものとして網羅することを意図としたものである点を理解されたい。添付の特許請求の範囲は、全てのそのような修正、変形、変化、置換、修正、及び等価物を網羅することを意図する。 While several embodiments have been illustrated and described, it is not the intention of the applicant to limit or limit the scope of the appended claims to such details. Numerous modifications, variations, changes, permutations, combinations and equivalents of these forms may be implemented and will occur to those skilled in the art without departing from the scope of this disclosure. Furthermore, the structure of each element in connection with the described form may alternatively be described as a means for providing the functionality performed by that element. Also, although materials are disclosed for particular components, other materials may be used. It is therefore intended that the foregoing description and appended claims cover all such modifications, combinations, and variations as falling within the scope of the disclosed forms. I want you to understand. The appended claims are intended to cover all such modifications, variations, changes, substitutions, modifications, and equivalents.
上記の詳細な説明は、ブロック図、フローチャート、及び/又は実施例を用いて装置及び/又はプロセスの様々な形態について記載してきた。そのようなブロック図、フローチャート、及び/又は実施例が1つ若しくは2つ以上の機能及び/又は動作を含む限り、当業者に理解されたいこととして、そのようなブロック図、フローチャート、及び/又は実施例に含まれる各機能及び/又は動作は、多様なハードウェア、ソフトウェア、ファームウェア、又はこれらの事実上の任意の組み合わせによって、個々にかつ/又は集合的に実装することができる。当業者には、本明細書で開示される形態のうちのいくつかの態様の全部又は一部が、1台以上のコンピュータ上で稼働する1つ又は2つ以上のコンピュータプログラムとして(例えば、1台以上のコンピュータシステム上で稼働する1つ又は2つ以上のプログラムとして)、1つ又は2つ以上のプロセッサ上で稼働する1つ又は2つ以上のプログラムとして(例えば、1つ又は2つ以上のマイクロプロセッサ上で稼働する1つ又は2つ以上のプログラムとして)、ファームウェアとして、又はこれらの実質的に任意の組み合わせとして集積回路上で等価に実現することができ、また、回路を設計すること、並びに/又はソフトウェア及び/若しくはファームウェアのコードを記述することは、本開示を鑑みれば当業者の技能の範囲内に含まれることが理解されよう。更に、当業者には理解されることとして、本明細書に記載した主題の機構は、多様な形式で1つ又は2つ以上のプログラム製品として配布されることが可能であり、本明細書に記載した主題の具体的な形態は、配布を実際に行うために使用される信号搬送媒体の特定の種類にかかわらず用いられる。 The detailed description above has described various forms of apparatus and/or processes using block diagrams, flowcharts, and/or example embodiments. To the extent that such block diagrams, flowcharts, and/or implementations include one or more features and/or operations, those skilled in the art will appreciate that such block diagrams, flowcharts, and/or implementations include one or more features and/or operations. Each feature and/or operation included in an embodiment may be implemented individually and/or collectively by a variety of hardware, software, firmware, or virtually any combination thereof. Those skilled in the art will appreciate that all or a portion of some aspects of the forms disclosed herein can be implemented as one or more computer programs running on one or more computers (e.g., one as one or more programs running on one or more computer systems), as one or more programs running on one or more processors (e.g. (as one or more programs running on a microprocessor), as firmware, or on an integrated circuit as virtually any combination thereof; , and/or software and/or firmware code is within the skill of those skilled in the art in light of this disclosure. Additionally, those skilled in the art will appreciate that the features of the subject matter described herein can be distributed as one or more program products in a variety of formats; The specific forms of the subject matter described are employed without regard to the particular type of signal-bearing medium used to actually effectuate the distribution.
様々な開示された態様を実行するように論理をプログラムするために使用される命令は、ダイナミックランダムアクセスメモリ(DRAM)、キャッシュ、フラッシュメモリ、又は他のストレージなどのシステム内メモリに記憶され得る。更に、命令は、ネットワークを介して、又は他のコンピュータ可読媒体によって分配され得る。したがって、機械可読媒体としては、機械(例えば、コンピュータ)によって読み出し可能な形態で情報を記憶又は送信するための任意の機構が挙げられ得るが、フロッピーディスケット、光ディスク、コンパクトディスク、読み出し専用メモリ(CD-ROM)、並びに磁気光学ディスク、読み出し専用メモリ(ROM)、ランダムアクセスメモリ(RAM)、消去可能プログラマブル読み出し専用メモリ(EPROM)、電気的消去可能プログラマブル読み出し専用メモリ(EEPROM)、磁気若しくは光カード、フラッシュメモリ、又は、電気的、光学的、音響的、若しくは他の形態の伝播信号(例えば、搬送波、赤外線信号、デジタル信号など)を介してインターネットを介した情報の送信に使用される有形機械可読ストレージに限定されない。したがって、非一時的コンピュータ可読媒体としては、機械(例えば、コンピュータ)によって読み出し可能な形態で電子命令又は情報を記憶又は送信するのに好適な任意の種類の有形機械可読媒体が挙げられる。 The instructions used to program the logic to perform the various disclosed aspects may be stored in memory within the system, such as dynamic random access memory (DRAM), cache, flash memory, or other storage. Additionally, the instructions may be distributed over a network or by other computer-readable media. Thus, a machine-readable medium may include any mechanism for storing or transmitting information in a form readable by a machine (e.g., a computer), including floppy diskettes, optical disks, compact disks, read-only memory (CDs), etc. - ROM), as well as magneto-optical disks, read only memory (ROM), random access memory (RAM), erasable programmable read only memory (EPROM), electrically erasable programmable read only memory (EEPROM), magnetic or optical cards, Flash memory or any tangible machine-readable device used to transmit information over the Internet via electrical, optical, acoustic, or other forms of propagating signals (e.g., carrier waves, infrared signals, digital signals, etc.) Not limited to storage. Thus, non-transitory computer-readable media includes any type of tangible machine-readable medium suitable for storing or transmitting electronic instructions or information in a form readable by a machine (eg, a computer).
本明細書の任意の態様で使用されるとき、「制御回路」という用語は、例えば、ハードワイヤード回路、プログラマブル回路(例えば、1つ又は2つ以上の個々の命令処理コアを含むコンピュータプロセッサ、処理ユニット、プロセッサ、マイクロコントローラ、マイクロコントローラユニット、コントローラ、デジタル信号プロセッサ(DSP)、プログラマブル論理機構(PLD)、プログラマブル論理アレイ(PLA)、又はフィールドプログラマブルゲートアレイ(FPGA))、状態機械回路、プログラマブル回路によって実行される命令を記憶するファームウェア、及びこれらの任意の組み合わせを指すことができる。制御回路は、集合的に又は個別に、例えば、集積回路(IC)、特定用途向け集積回路(ASIC)、システムオンチップ(SoC)、デスクトップコンピュータ、ラップトップコンピュータ、タブレットコンピュータ、サーバ、スマートフォンなどの、より大きなシステムの一部を形成する回路として具現化され得る。したがって、本明細書で使用するとき、「制御回路」としては、少なくとも1つの個別の電気回路を有する電気回路、少なくとも1つの集積回路を有する電気回路、少なくとも1つの特定用途向け集積回路を有する電気回路、コンピュータプログラムによって構成された汎用コンピューティング装置(例えば、本明細書で説明したプロセス及び/若しくは装置を少なくとも部分的に実行するコンピュータプログラムによって構成された汎用コンピュータ、又は本明細書で説明したプロセス及び/若しくは装置を少なくとも部分的に実行するコンピュータプログラムによって構成されたマイクロプロセッサ)を形成する電気回路、メモリ装置(例えば、ランダムアクセスメモリの形態)を形成する電気回路、及び/又は通信装置(例えばモデム、通信スイッチ、又は光-電気設備)を形成する電気回路が挙げられるが、これらに限定されない。当業者は、本明細書で述べた主題が、アナログ若しくはデジタルの形式又はこれらのいくつかの組み合わせで実現されてもよいことを認識するであろう。 As used in any aspect herein, the term "control circuit" refers to, for example, hard-wired circuits, programmable circuits (e.g., computer processors containing one or more individual instruction processing cores, processing unit, processor, microcontroller, microcontroller unit, controller, digital signal processor (DSP), programmable logic device (PLD), programmable logic array (PLA), or field programmable gate array (FPGA)), state machine circuit, programmable circuit and any combination thereof. Control circuits may be used, collectively or individually, in, for example, integrated circuits (ICs), application specific integrated circuits (ASICs), systems on chips (SoCs), desktop computers, laptop computers, tablet computers, servers, smartphones, etc. , may be implemented as a circuit that forms part of a larger system. Accordingly, as used herein, "control circuit" refers to an electrical circuit having at least one individual electrical circuit, an electrical circuit having at least one integrated circuit, an electrical circuit having at least one application specific integrated circuit. a circuit, a general-purpose computing device configured with a computer program (e.g., a general-purpose computer configured with a computer program that at least partially executes a process and/or device described herein, or a process described herein) and/or electrical circuits forming memory devices (e.g. in the form of random access memory), and/or communication devices (e.g. Examples include, but are not limited to, electrical circuits forming a modem, communications switch, or optical-electrical equipment. Those skilled in the art will recognize that the subject matter described herein may be implemented in analog or digital form or some combination thereof.
本明細書の任意の態様で使用される場合、「論理」という用語は、前述の動作のいずれかを実行するように構成されたアプリケーション、ソフトウェア、ファームウェア、及び/又は回路を指し得る。ソフトウェアは、非一時的コンピュータ可読記憶媒体上に記録されたソフトウェアパッケージ、コード、命令、命令セット、及び/又はデータとして具現化されてもよい。ファームウェアは、メモリ装置内のコード、命令、若しくは命令セット、及び/又はハードコードされた(例えば、不揮発性の)データとして具現化されてもよい。 As used in any aspect herein, the term "logic" may refer to applications, software, firmware, and/or circuitry configured to perform any of the operations described above. Software may be embodied as a software package, code, instructions, instruction sets, and/or data recorded on a non-transitory computer-readable storage medium. Firmware may be embodied as code, instructions, or a set of instructions in a memory device, and/or hard-coded (eg, non-volatile) data.
本明細書の任意の態様で使用するとき、「構成要素」、「システム」、「モジュール」などの用語は、ハードウェア、ハードウェアとソフトウェアとの組み合わせ、ソフトウェア、又は実行中のソフトウェアのどちらかであるコンピュータ関連エンティティを指すことができる。 As used in any aspect herein, terms such as "component," "system," and "module" refer to either hardware, a combination of hardware and software, software, or running software. can refer to a computer-related entity that is
本明細書の任意の態様で使用するとき、「アルゴリズム」とは、所望の結果につながる工程の自己無撞着シーケンスを指し、「工程」とは、必ずしも必要ではないが、記憶、転送、結合、比較、及び別様に操作されることが可能な電気又は磁気信号の形態をなすことができる物理量及び/又は論理状態の操作を指す。これらの信号を、ビット、値、要素、記号、文字、用語、番号などとして言及することが一般的な扱い方である。これらの及び類似の用語は、適切な物理量と関連付けられてもよく、また単に、これらの量及び/又は状態に適用される便利なラベルである。 As used in any aspect herein, an "algorithm" refers to a self-consistent sequence of steps leading to a desired result; a "step" may include, but does not require, storage, transfer, combination, Refers to the manipulation of physical quantities and/or logical states, which can take the form of electrical or magnetic signals, which can be compared and otherwise manipulated. It is common practice to refer to these signals as bits, values, elements, symbols, characters, terms, numbers, or the like. These and similar terms may be associated with the appropriate physical quantities or are simply convenient labels applied to these quantities and/or conditions.
ネットワークとしては、パケット交換ネットワークが挙げられ得る。通信装置は、選択されたパケット交換ネットワーク通信プロトコルを使用して、互いに通信することができる。1つの例示的な通信プロトコルとしては、伝送制御プロトコル/インターネットプロトコル(TCP/IP)を使用して通信を可能にすることができるイーサネット通信プロトコルを挙げることができる。イーサネットプロトコルは、Institute of Electrical and Electronics Engineers(IEEE)によって発行された2008年12月発行の表題「IEEE802.3 Standard」、及び/又は本規格の後のバージョンのイーサネット規格に準拠するか、又は互換性があり得る。代替的に又は追加的に、通信装置は、X.25通信プロトコルを使用して互いに通信することができる。X.25通信プロトコルは、International Telecommunication Union-Telecommunication Standardization Sector(ITU-T)によって公布された規格に準拠するか、又は互換性があり得る。代替的に又は追加的に、通信装置は、フレームリレー通信プロトコルを使用して互いに通信することができる。フレームリレー通信プロトコルは、Consultative Committee for International Telegraph and Telephone(CCITT)及び/又はthe American National Standards Institute(ANSI)によって公布された規格に準拠するか、又は互換性があり得る。代替的に又は追加的に、送受信機は、非同期転送モード(ATM)通信プロトコルを使用して互いに通信することが可能であり得る。ATM通信プロトコルは、ATM Forumによって「ATM-MPLS Network Interworking 2.0」という題で2001年8月に公開されたATM規格及び/又は本規格の後のバージョンに準拠するか、又は互換性があり得る。当然のことながら、異なる及び/又は後に開発されたコネクション型ネットワーク通信プロトコルは、本明細書で等しく企図される。 The network may include a packet switched network. The communication devices can communicate with each other using a selected packet-switched network communication protocol. One example communication protocol may include the Ethernet communication protocol, which may enable communication using Transmission Control Protocol/Internet Protocol (TCP/IP). The Ethernet protocol conforms to or is compatible with the Ethernet standard published by the Institute of Electrical and Electronics Engineers (IEEE) entitled "IEEE 802.3 Standard" published December 2008, and/or any later version of this standard. It can be sexual. Alternatively or additionally, the communication device is configured to support X. can communicate with each other using the X.25 communication protocol. X. The T.25 communication protocols may conform to or be compatible with standards promulgated by the International Telecommunication Union-Telecommunication Standardization Sector (ITU-T). Alternatively or additionally, the communication devices may communicate with each other using a frame relay communication protocol. The Frame Relay communication protocol is a protocol developed by the Consultative Committee for International Telegraph and Telephone (CCITT) and/or the American National Standards Institute ( may conform to or be compatible with standards promulgated by ANSI). Alternatively or additionally, the transceivers may be capable of communicating with each other using an asynchronous transfer mode (ATM) communication protocol. The ATM communications protocol shall comply with or be compatible with the ATM standard published by the ATM Forum in August 2001 under the title "ATM-MPLS Network Interworking 2.0" and/or with later versions of this standard. obtain. Of course, different and/or later developed connection-oriented network communication protocols are equally contemplated herein.
別段の明確な定めがない限り、前述の開示から明らかなように、前述の開示全体を通じて、「処理する」、「計算する」、「算出する」、「決定する」、「表示する」などの用語を使用する議論は、コンピュータシステムのレジスタ及びメモリ内で物理(電子的)量として表現されるデータを、コンピュータシステムのメモリ若しくはレジスタ又はそのような情報記憶、伝送、若しくは表示装置内で物理量として同様に表現される他のデータへと操作し変換する、コンピュータシステム又は類似の電子計算装置の動作及び処理を指していることが理解されよう。 Unless explicitly stated otherwise, it is clear from the foregoing disclosure that throughout the foregoing disclosure, terms such as "process", "calculate", "calculate", "determine", "display", etc. Discussion of the use of the term refers to data that is represented as a physical (electronic) quantity in the registers and memory of a computer system, and It will be understood to refer to the operations and processes of a computer system or similar electronic computing device that manipulate and convert other data into similarly represented data.
1つ又は2つ以上の構成要素が、本明細書中で、「ように構成される(configured to)」、「ように構成可能である(configurable to)」、「動作可能である/ように動作する(operable/operative to)」、「適合される/適合可能である(adapted/adaptable)」、「ことが可能である(able to)」、「準拠可能である/準拠する(conformable/conformed to)」などと言及され得る。当業者は、「ように構成される」は、一般に、文脈上他の意味に解釈すべき場合を除き、アクティブ状態の構成要素及び/又は非アクティブ状態の構成要素及び/又はスタンドバイ状態の構成要素を包含し得ることを理解するであろう。 One or more components are herein defined as "configured to," "configurable to," "operable/as such." "operable/operative to", "adapted/adaptable", "able to", "conformable/conformed" may be referred to as "to)". Those skilled in the art will understand that "configured to" generally refers to components in an active state and/or components in an inactive state and/or components in a standby state, unless the context requires otherwise. It will be understood that elements can be included.
「近位」及び「遠位」という用語は、本明細書では、外科用器具のハンドル部分を操作する臨床医を基準として使用される。「近位」という用語は、臨床医に最も近い部分を指し、「遠位」という用語は、臨床医から離れた位置にある部分を指す。便宜上及び明確性のために、「垂直」、「水平」、「上」、及び「下」などの空間的用語が、本明細書において図面に対して使用され得ることが更に理解されよう。しかしながら、外科用器具は、多くの向き及び位置で使用されるものであり、これらの用語は限定的及び/又は絶対的であることを意図したものではない。 The terms "proximal" and "distal" are used herein with reference to the clinician manipulating the handle portion of the surgical instrument. The term "proximal" refers to the part closest to the clinician, and the term "distal" refers to the part located away from the clinician. It will be further understood that for convenience and clarity, spatial terms such as "vertical," "horizontal," "above," and "below" may be used herein with respect to the drawings. However, surgical instruments may be used in many orientations and positions, and these terms are not intended to be limiting and/or absolute.
当業者は、一般に、本明細書で使用され、かつ特に添付の特許請求の範囲(例えば、添付の特許請求の範囲の本文)で使用される用語は、概して「オープンな」用語として意図されるものである(例えば、「含む(including)」という用語は、「~を含むが、それらに限定されない(including but not limited to)」と解釈されるべきであり、「有する(having)」という用語は「~を少なくとも有する(having at least)」と解釈されるべきであり、「含む(includes)」という用語は「~を含むが、それらに限定されない(includes but is not limited to)」と解釈されるべきであるなど)ことを理解するであろう。更に、導入された請求項記載(introduced claim recitation)において特定の数が意図される場合、かかる意図は当該請求項中に明確に記載され、またかかる記載がない場合は、かかる意図は存在しないことが、当業者には理解されるであろう。例えば、理解を助けるものとして、後続の添付の特許請求の範囲は、「少なくとも1つの(at least one)」及び「1つ又は2つ以上の(one or more)」という導入句を、請求項記載を導入するために含むことがある。しかしながら、かかる句の使用は、「a」又は「an」という不定冠詞によって請求項記載を導入した場合に、たとえ同一の請求項内に「1つ又は2つ以上の」又は「少なくとも1つの」といった導入句及び「a」又は「an」という不定冠詞が含まれる場合であっても、かかる導入された請求項記載を含むいかなる特定の請求項も、かかる記載事項を1つのみ含む請求項に限定されると示唆されるものと解釈されるべきではない(例えば、「a」及び/又は「an」は通常、「少なくとも1つの」又は「1つ又は2つ以上の」を意味するものと解釈されるべきである)。定冠詞を使用して請求項記載を導入する場合にも、同様のことが当てはまる。 Those skilled in the art will generally understand that the terms used herein, and particularly in the appended claims (e.g., the text of the appended claims), are generally intended as "open" terms. (For example, the term "including" should be interpreted as "including but not limited to," and the term "having" should be interpreted as "including but not limited to.") should be interpreted as “having at least” and the term “includes” should be interpreted as “includes but is not limited to.” should be done, etc.). Further, if a specific number is intended in an introduced claim recitation, such intent will be clearly stated in the claim, and if no such statement is made, no such intent exists. will be understood by those skilled in the art. For example, as an aid to understanding, the following appended claims contain the introductory phrases "at least one" and "one or more" in the claims. May be included to introduce the description. However, the use of such a phrase does not apply when a claim is introduced by the indefinite article "a" or "an," even if "one or more" or "at least one" are included in the same claim. Even if the introductory phrase and the indefinite article "a" or "an" are included, any particular claim containing such an introduced claim statement will be treated as a claim containing only one such statement. shall not be construed as suggesting limitation (e.g., "a" and/or "an" generally mean "at least one" or "one or more"). should be interpreted). The same applies when introducing claim statements using definite articles.
更に、導入された請求項記載において特定の数が明示されている場合であっても、かかる記載は、典型的には、少なくとも記載された数を意味するものと解釈されるべきであることが、当業者には認識されるであろう(例えば、他に修飾語のない、単なる「2つの記載事項」という記載がある場合、一般的に、少なくとも2つの記載事項、又は2つ以上の記載事項を意味する)。更に、「A、B、及びCなどのうちの少なくとも1つ」に類する表記が用いられる場合、一般に、かかる構文は、当業者がその表記を理解するであろう意味で意図されている(例えば、「A、B、及びCのうちの少なくとも1つを有するシステム」は、限定するものではないが、Aのみ、Bのみ、Cのみ、AとBの両方、AとCの両方、BとCの両方、及び/又はAとBとCの全てなどを有するシステムを含む)。「A、B、又はCなどのうちの少なくとも1つ」に類する表記が用いられる場合、一般に、かかる構文は、当業者がその表記を理解するであろう意味で意図されている(例えば、「A、B、又はCのうちの少なくとも1つを有するシステム」は、限定するものではないが、Aのみ、Bのみ、Cのみ、AとBの両方、AとCの両方、BとCの両方、及び/又はAとBとCの全てなどを有するシステムを含む)。更に、典型的には、2つ若しくは3つ以上の選択的な用語を表わすあらゆる選言的な語及び/又は句は、文脈上他の意味に解釈すべき場合を除いて、明細書内であろうと、請求の範囲内であろうと、あるいは図面内であろうと、それら用語のうちの1つ、それらの用語のうちのいずれか、又はそれらの用語の両方を含む可能性を意図すると理解されるべきであることが、当業者には理解されよう。例えば、「A又はB」という句は、典型的には、「A」又は「B」又は「A及びB」の可能性を含むものと理解されよう。 Furthermore, even if a particular number is specified in an introduced claim statement, such statement is typically to be construed to mean at least the recited number. , as will be recognized by those skilled in the art (e.g., a mere statement of "two entries" without any other modifiers generally means at least two entries, or two or more entries). (meaning a matter). Further, when a notation similar to "at least one of A, B, and C, etc." is used, such construction is generally intended in the sense that a person skilled in the art would understand the notation (e.g. , "a system having at least one of A, B, and C" includes, but is not limited to, A only, B only, C only, both A and B, both A and C, B and and/or all of A, B, and C, etc.). When a notation similar to "at least one of A, B, or C, etc." is used, such construction is generally intended in the sense that a person skilled in the art would understand the notation (e.g., " A system having at least one of A, B, or C includes, but is not limited to, A only, B only, C only, both A and B, both A and C, B and C. (including systems having both, and/or all of A, B, and C, etc.). Further, typically any disjunctive words and/or phrases representing two or more alternative terms are used in the specification unless the context requires otherwise. It is understood that the possibility is intended to include one, either, or both of these terms, whether in the claims or in the drawings. Those skilled in the art will understand that this should be the case. For example, the phrase "A or B" will typically be understood to include the possibilities "A" or "B" or "A and B."
添付の特許請求の範囲に関して、当業者は、本明細書における引用した動作は一般に、任意の順序で実施され得ることを理解するであろう。また、様々な動作のフロー図がシーケンス(複数可)で示されているが、様々な動作は、例示されたもの以外の順序で行われてもよく、又は同時に行われてもよいことが理解されるべきである。かかる代替の順序付けの例は、文脈上他の意味に解釈すべき場合を除いて、重複、交互配置、割り込み、再順序付け、増加的、予備的、追加的、同時、逆、又は他の異なる順序付けを含んでもよい。更に、「~に応答する」、「~に関連する」といった用語、又は他の過去時制の形容詞は、一般に、文脈上他の意味に解釈すべき場合を除き、かかる変化形を除外することが意図されるものではない。 With reference to the appended claims, those skilled in the art will appreciate that the acts recited herein may generally be performed in any order. Additionally, while flow diagrams of various operations are shown in sequence(s), it is understood that the various operations may be performed in an order other than that illustrated, or may be performed simultaneously. It should be. Examples of such alternative orderings include overlapping, interleaving, interpolating, reordering, incremental, preliminary, additional, simultaneous, reverse, or other different orderings, unless the context requires otherwise. May include. Additionally, terms such as "responsive to," "relating to," or other past tense adjectives generally exclude such variations unless the context requires otherwise. It's not intended.
「一態様」、「態様」、「例示」、「一例示」などへの任意の参照は、その態様に関連して記載される特定の機構、構造、又は特性が少なくとも1つの態様に含まれると意味することは特記に値する。したがって、本明細書の全体を通じて様々な場所に見られる語句「一態様では」、「態様では」、「例示では」、及び「一例示では」は、必ずしも全てが同じ態様を指すものではない。更に、特定の特徴、構造、又は特性は、1つ又は2つ以上の態様において任意の好適な様態で組み合わせることができる。 Any reference to "an aspect," "an aspect," "an example," "an example," etc. refers to the fact that the particular feature, structure, or characteristic described in connection with that aspect is included in at least one aspect. The meaning of this is worth noting. Thus, the phrases "in one aspect," "in an aspect," "in an example," and "in one example" appearing in various places throughout this specification do not necessarily all refer to the same aspect. Furthermore, the particular features, structures, or characteristics may be combined in any suitable manner in one or more aspects.
本明細書で参照され、かつ/又は任意の出願データシートに列挙される任意の特許出願、特許、非特許刊行物、又は他の開示資料は、組み込まれる資料が本明細書と矛盾しない範囲で、参照により本明細書に組み込まれる。それ自体、また必要な範囲で、本明細書に明瞭に記載される開示内容は、参考として本明細書に組み込まれているあらゆる矛盾する記載に優先するものとする。現行の定義、見解、又は本明細書に記載されるその他の開示内容と矛盾する任意の内容、又はそれらの部分は本明細書に参考として組み込まれるものとするが、参照内容と現行の開示内容との間に矛盾が生じない範囲においてのみ、参照されるものとする。 Any patent application, patent, non-patent publication, or other disclosure material referenced herein and/or listed in any application data sheet is incorporated by reference herein to the extent that the incorporated material is not inconsistent with this specification. , incorporated herein by reference. As such, and to the extent necessary, disclosure expressly set forth herein shall supersede any conflicting disclosure herein incorporated by reference. Any content, or portion thereof, that is inconsistent with current definitions, views, or other disclosures set forth herein shall be incorporated herein by reference, but the references and current disclosures shall be incorporated herein by reference. shall be referred to only to the extent that there is no conflict between them.
要約すると、本明細書に記載した構想を用いる結果として得られる多くの利益が記載されてきた。1つ又は2つ以上の形態の上述の記載は、例示及び説明を目的として提示されているものである。包括的であることも、開示された厳密な形態に限定することも意図されていない。上記の教示を鑑みて、修正又は変形が可能である。1つ又は2つ以上の形態は、原理及び実際の応用について例示し、それによって、様々な形態を様々な修正例と共に、想到される特定の用途に適するものとして当業者が利用できるようにするために、選択され記載されたものである。本明細書と共に提示される特許請求の範囲が全体的な範囲を定義することが意図される。 In summary, many benefits have been described that result from using the concepts described herein. The above description of one or more forms has been presented for purposes of illustration and description. It is not intended to be exhaustive or limited to the precise form disclosed. Modifications or variations are possible in light of the above teachings. The form or forms are illustrative of the principles and practical application, thereby enabling those skilled in the art to utilize the various forms, with various modifications, as appropriate for the particular application contemplated. It has been selected and described for this purpose. It is intended that the claims presented herewith define the overall scope.
本明細書に記載される主題の様々な態様は、以下の番号付けされた実施例において説明される。 Various aspects of the subject matter described herein are illustrated in the numbered examples below.
実施例1.超音波外科用器具のための超音波電気機械システム。超音波電気機械システムは、超音波ブレードと、超音波ブレードに音響的に結合された超音波変換器と、超音波変換器に結合された制御回路と、を備える。超音波変換器は、駆動信号に応答して超音波ブレードを超音波振動させるように構成されている。制御回路は、超音波電気機械システムの第1の共振周波数を決定するように、超音波ブレードが組織に対して振動するときの超音波電気機械システムの第2の共振周波数を決定するように、及び第1の共振周波数と第2の共振周波数の比較に従って、超音波外科用器具の状態を決定するように構成される。 Example 1. Ultrasonic electromechanical systems for ultrasonic surgical instruments. The ultrasonic electromechanical system includes an ultrasonic blade, an ultrasonic transducer acoustically coupled to the ultrasonic blade, and a control circuit coupled to the ultrasonic transducer. The ultrasonic transducer is configured to ultrasonically vibrate the ultrasonic blade in response to the drive signal. The control circuit is configured to determine a first resonant frequency of the ultrasonic electromechanical system and to determine a second resonant frequency of the ultrasonic electromechanical system as the ultrasonic blade vibrates against the tissue. and configured to determine a state of the ultrasonic surgical instrument according to a comparison of the first resonant frequency and the second resonant frequency.
実施例2.超音波外科用器具の状態が、超音波ブレードの温度を含む、実施例1に記載の超音波電気機械システム。 Example 2. The ultrasonic electromechanical system of Example 1, wherein the state of the ultrasonic surgical instrument includes a temperature of the ultrasonic blade.
実施例3.制御回路が、超音波変換器を制御して、超音波ブレードの温度に従って、超音波ブレードの振幅を調整するように構成されている、実施例2に記載の超音波外科用器具。 Example 3. The ultrasonic surgical instrument of Example 2, wherein the control circuit is configured to control the ultrasonic transducer to adjust the amplitude of the ultrasonic blade according to the temperature of the ultrasonic blade.
実施例4.制御回路が、超音波ブレードの振幅を調整して、超音波ブレードの温度を所定の温度に維持するように構成されている、実施例3に記載の超音波電気機械システム。 Example 4. The ultrasonic electromechanical system of Example 3, wherein the control circuit is configured to adjust the amplitude of the ultrasonic blade to maintain the temperature of the ultrasonic blade at a predetermined temperature.
実施例5.制御回路が、周波数範囲にわたって複数の周波数の駆動信号を超音波変換器に印加するように、並びに周波数範囲内の駆動信号の各周波数に対応する、超音波変換器の電圧信号及び電流信号を決定するように構成される、実施例1~4のいずれかに記載の超音波電気機械システム。第1の共振周波数は、電圧信号及び電流信号が同調している周波数に対応する。 Example 5. A control circuit applies drive signals of multiple frequencies to the ultrasound transducer over a frequency range and determines voltage and current signals for the ultrasound transducer corresponding to each frequency of the drive signal within the frequency range. The ultrasonic electromechanical system of any of Examples 1-4, configured to. The first resonant frequency corresponds to the frequency to which the voltage and current signals are tuned.
実施例6.制御回路は、超音波ブレードが振動するときに超音波変換器に印加された電圧信号及び電流信号を監視し、電圧信号及び電流信号が同調するまで駆動信号を調整するように構成されている、実施例1~5のいずれかに記載の超音波電気機械システム。第2の共振周波数は、電圧信号及び電流信号が同調している周波数に対応する。 Example 6. The control circuit is configured to monitor the voltage and current signals applied to the ultrasonic transducer as the ultrasonic blade vibrates and adjust the drive signal until the voltage and current signals are in phase. The ultrasonic electromechanical system according to any of Examples 1-5. The second resonant frequency corresponds to the frequency to which the voltage and current signals are tuned.
実施例7.制御回路に結合されたメモリを更に備える、実施例1~6のいずれかに記載の超音波電気機械システム。メモリは、共振周波数シフトによる超音波外科用器具の複数の状態を記憶する。制御回路は、超音波外科用器具の複数の状態のうちのどれが第1の共振周波数と第2の共振周波数の差に対応しているのかをメモリから検索することによって、超音波外科用器具の状態を決定するように構成されている。 Example 7. 7. The ultrasonic electromechanical system of any of Examples 1-6, further comprising a memory coupled to the control circuit. The memory stores multiple states of the ultrasonic surgical instrument due to the resonant frequency shift. The control circuit controls the ultrasonic surgical instrument by retrieving from memory which of the plurality of states of the ultrasonic surgical instrument corresponds to the difference between the first resonant frequency and the second resonant frequency. is configured to determine the state of the .
実施例8.超音波外科用器具の超音波電気機械システムに接続可能な超音波発生器。超音波電気機械システムは、超音波ブレードと、超音波ブレードに音響的に結合された超音波変換器と、を備える。超音波発生器は、超音波変換器に結合可能な制御回路を備える。制御回路は、駆動信号を超音波変換器に印加して、超音波ブレードを振動させるように、超音波電気機械システムの第1の共振周波数を決定するように、超音波ブレードが組織に対して振動するときの超音波電気機械システムの第2の共振周波数を決定するように、及び第1の共振周波数と第2の共振周波数の比較に従って、超音波外科用器具の状態を決定するように構成される。 Example 8. Ultrasonic generator connectable to the ultrasonic electromechanical system of an ultrasonic surgical instrument. The ultrasonic electromechanical system includes an ultrasonic blade and an ultrasonic transducer acoustically coupled to the ultrasonic blade. The ultrasound generator includes a control circuit coupled to the ultrasound transducer. The control circuit applies a drive signal to the ultrasonic transducer to cause the ultrasonic blade to vibrate and to determine a first resonant frequency of the ultrasonic electromechanical system to cause the ultrasonic blade to vibrate relative to the tissue. configured to determine a second resonant frequency of the ultrasonic electromechanical system when vibrating and to determine a state of the ultrasonic surgical instrument according to a comparison of the first resonant frequency and the second resonant frequency. be done.
実施例9.超音波外科用器具の状態が、超音波ブレードの温度を含む、実施例8に記載の超音波発生器。 Example 9. 9. The ultrasonic generator of Example 8, wherein the state of the ultrasonic surgical instrument includes a temperature of the ultrasonic blade.
実施例10.制御回路が、超音波変換器を制御して、超音波ブレードの温度に従って、超音波ブレードの振幅を調整するように構成されている、実施例9に記載の超音波発生器。 Example 10. The ultrasonic generator of Example 9, wherein the control circuit is configured to control the ultrasonic transducer to adjust the amplitude of the ultrasonic blade according to the temperature of the ultrasonic blade.
実施例11.制御回路が、超音波ブレードの振幅を調整して、超音波ブレードの温度を所定の温度に維持するように構成されている、実施例10に記載の超音波発生器。 Example 11. The ultrasonic generator of Example 10, wherein the control circuit is configured to adjust the amplitude of the ultrasonic blade to maintain the temperature of the ultrasonic blade at a predetermined temperature.
実施例12.制御回路が、周波数範囲にわたって複数の周波数の駆動信号を超音波変換器に印加するように、並びに周波数範囲内の駆動信号の各周波数に対応する、超音波変換器の電圧信号及び電流信号を決定するように構成されている、実施例8~11のいずれかに記載の超音波発生器。第1の共振周波数は、電圧信号及び電流信号が同調している周波数に対応する。 Example 12. A control circuit applies drive signals of multiple frequencies to the ultrasound transducer over a frequency range and determines voltage and current signals for the ultrasound transducer corresponding to each frequency of the drive signal within the frequency range. The ultrasonic generator according to any of Examples 8-11, configured to. The first resonant frequency corresponds to the frequency to which the voltage and current signals are tuned.
実施例13.制御回路は、超音波ブレードが振動するときに超音波変換器に印加された電圧信号及び電流信号を監視し、電圧信号及び電流信号が同調するまで駆動信号を調整するように構成される、実施例8~12のいずれかに記載の超音波発生器。第2の共振周波数は、電圧信号及び電流信号が同調している周波数に対応する。 Example 13. The control circuit is configured to monitor the voltage and current signals applied to the ultrasonic transducer as the ultrasonic blade vibrates and adjust the drive signal until the voltage and current signals are synchronized. The ultrasonic generator according to any of Examples 8 to 12. The second resonant frequency corresponds to the frequency to which the voltage and current signals are tuned.
実施例14.制御回路に結合されたメモリを更に備える、実施例8~13のいずれかに記載の超音波発生器。メモリは、共振周波数シフトによる超音波外科用器具の複数の状態を記憶する。制御回路は、超音波外科用器具の複数の状態のうちのどれが第1の共振周波数と第2の共振周波数の差に対応しているのかをメモリから検索することによって、超音波外科用器具の状態を決定するように構成されている。 Example 14. 14. The ultrasound generator of any of Examples 8-13, further comprising a memory coupled to the control circuit. The memory stores multiple states of the ultrasonic surgical instrument due to the resonant frequency shift. The control circuit controls the ultrasonic surgical instrument by retrieving from memory which of the plurality of states of the ultrasonic surgical instrument corresponds to the difference between the first resonant frequency and the second resonant frequency. is configured to determine the state of the .
実施例15.超音波外科用器具の超音波電気機械システムを制御する方法。超音波電気機械システムは、超音波ブレードと、超音波ブレードに音響的に結合された超音波変換器と、を備える。本方法は、超音波電気機械システムに結合された制御回路によって、超音波電気機械システムの固有共振周波数を決定することと、制御回路によって、超音波ブレードが振動するときの超音波電気機械システムの共振周波数を監視することと、制御回路によって、超音波電気機械システムの共振周波数が固有共振周波数から逸脱したかどうかに従って、超音波電気機械システムの状態の変化が発生したかどうかを判定することと、を含む。 Example 15. A method of controlling an ultrasonic electromechanical system of an ultrasonic surgical instrument. The ultrasonic electromechanical system includes an ultrasonic blade and an ultrasonic transducer acoustically coupled to the ultrasonic blade. The method includes determining, by a control circuit coupled to the ultrasonic electromechanical system, a natural resonant frequency of the ultrasonic electromechanical system; monitoring a resonant frequency and determining, by the control circuit, whether a change in state of the ultrasonic electromechanical system has occurred according to whether the resonant frequency of the ultrasonic electromechanical system has deviated from a natural resonant frequency; ,including.
実施例16.超音波外科用器具の状態の変化が、超音波ブレードの温度上昇を含む、実施例15に記載の方法。 Example 16. 16. The method of Example 15, wherein the change in state of the ultrasonic surgical instrument includes increasing the temperature of the ultrasonic blade.
実施例17.制御回路によって、超音波変換器を制御して、超音波ブレードの温度上昇に従って、超音波ブレードの振幅を調整することを更に含む、実施例16に記載の方法。 Example 17. 17. The method of example 16, further comprising controlling the ultrasonic transducer by the control circuit to adjust the amplitude of the ultrasonic blade in accordance with an increase in temperature of the ultrasonic blade.
実施例18.制御回路によって、超音波変換器を制御して、超音波ブレードの振幅を調整して、超音波ブレードの温度を所定の温度に維持することを更に含む、実施例17に記載の方法。 Example 18. 18. The method of example 17, further comprising controlling the ultrasonic transducer by the control circuit to adjust the amplitude of the ultrasonic blade to maintain the temperature of the ultrasonic blade at a predetermined temperature.
実施例19.制御回路によって、周波数範囲にわたって複数の周波数の駆動信号を超音波電気機械システムに印加して、超音波ブレードを振動させることと、制御回路によって、周波数範囲内の駆動信号の各周波数に対応する、超音波変換器の電圧信号及び電流信号を決定することと、を更に含む、実施例15~18のいずれか1つに記載の方法。固有共振周波数は、電圧信号及び電流信号が同調している周波数に対応する。 Example 19. the control circuit applying a plurality of frequencies of drive signals over a frequency range to the ultrasonic electromechanical system to cause the ultrasonic blade to vibrate; and the control circuit corresponding to each frequency of the drive signal within the frequency range; 19. The method of any one of Examples 15-18, further comprising: determining voltage and current signals of the ultrasound transducer. The natural resonant frequency corresponds to the frequency to which the voltage and current signals are tuned.
実施例20.制御回路によって、駆動信号を超音波電気機械システムに印加して、超音波ブレードを振動させることと、制御回路によって、超音波ブレードが振動するときに駆動信号から生じる、超音波電気機械システムの電圧信号及び電流信号を監視することと、制御回路によって、電圧信号及び電流信号が同調するまで駆動信号を調整することと、を更に含む、実施例15~19のいずれか1つに記載の方法。共振周波数は、電圧信号及び電流信号が同調している周波数に対応する。 Example 20. The control circuit applies a drive signal to the ultrasonic electromechanical system to cause the ultrasonic blade to vibrate, and the control circuit applies a voltage in the ultrasonic electromechanical system resulting from the drive signal as the ultrasonic blade vibrates. 20. The method as in any one of Examples 15-19, further comprising monitoring the signal and the current signal and adjusting the drive signal with the control circuit until the voltage and current signals are in phase. The resonant frequency corresponds to the frequency to which the voltage and current signals are tuned.
実施例21.制御回路に結合されたメモリから、共振周波数と固有共振周波数の差に対応する超音波外科用器具の状態を検索することと、超音波外科用器具の状態が超音波外科用器具の以前の状態に対応するかどうかに従って、状態の変化が発生したかどうかを判定することと、を更に含む、実施例15~20のいずれか1つに記載の方法。 Example 21. retrieving a state of the ultrasonic surgical instrument corresponding to the difference between the resonant frequency and the natural resonant frequency from a memory coupled to the control circuit; 21. The method of any one of Examples 15-20, further comprising: determining whether a change in state has occurred according to whether the change in state corresponds to a change in state.
〔実施の態様〕
(1) 超音波外科用器具のための超音波電気機械システムであって、前記超音波電気機械システムが、
超音波ブレードと、
前記超音波ブレードに音響的に結合された超音波変換器であって、前記超音波変換器が、駆動信号に応答して前記超音波ブレードを超音波振動させるように構成された、超音波変換器と、
前記超音波変換器に結合された制御回路であって、前記制御回路が、
前記超音波電気機械システムの第1の共振周波数を決定するように、
前記超音波ブレードが組織に対して振動するときの前記超音波電気機械システムの第2の共振周波数を決定するように、及び
前記第1の共振周波数と前記第2の共振周波数との比較に従って、前記超音波外科用器具の状態を決定するように構成された、制御回路と、を備える、超音波電気機械システム。
(2) 前記超音波外科用器具の前記状態が、前記超音波ブレードの温度を含む、実施態様1に記載の超音波電気機械システム。
(3) 前記制御回路が、前記超音波変換器を制御して、前記超音波ブレードの前記温度に従って、前記超音波ブレードの振幅を調整するように構成されている、実施態様2に記載の超音波電気機械システム。
(4) 前記制御回路が、前記超音波ブレードの前記振幅を調整して、前記超音波ブレードの前記温度を所定の温度に維持するように構成されている、実施態様3に記載の超音波電気機械システム。
(5) 前記制御回路が、
周波数範囲にわたって複数の周波数の前記駆動信号を前記超音波変換器に印加するように、並びに
前記周波数範囲内の前記駆動信号の各周波数に対応する、前記超音波変換器の電圧信号及び電流信号を決定するように構成され、
前記第1の共振周波数は、前記電圧信号及び前記電流信号が同調している周波数に対応する、実施態様1に記載の超音波電気機械システム。[Mode of implementation]
(1) An ultrasonic electromechanical system for an ultrasonic surgical instrument, the ultrasonic electromechanical system comprising:
ultrasonic blade,
an ultrasonic transducer acoustically coupled to the ultrasonic blade, the ultrasonic transducer configured to ultrasonically vibrate the ultrasonic blade in response to a drive signal; The vessel and
a control circuit coupled to the ultrasound transducer, the control circuit comprising:
determining a first resonant frequency of the ultrasonic electromechanical system;
determining a second resonant frequency of the ultrasonic electromechanical system when the ultrasonic blade vibrates against tissue; and according to a comparison of the first resonant frequency and the second resonant frequency; and a control circuit configured to determine a state of the ultrasonic surgical instrument.
2. The ultrasonic electromechanical system of
(3) The ultrasonic device of
(4) The ultrasonic electricity of
(5) The control circuit comprises:
applying a plurality of frequencies of the drive signal to the ultrasonic transducer over a frequency range; and applying voltage and current signals of the ultrasonic transducer corresponding to each frequency of the drive signal within the frequency range. configured to determine;
5. The ultrasonic electromechanical system of
(6) 前記制御回路が、
前記超音波ブレードが振動するときに前記超音波変換器に印加された電圧信号及び電流信号を監視するように、並びに
前記電圧信号及び前記電流信号が同調するまで前記駆動信号を調整するように構成され、
前記第2の共振周波数は、前記電圧信号及び前記電流信号が同調している周波数に対応する、実施態様1に記載の超音波電気機械システム。
(7) 前記制御回路に結合されたメモリを更に備え、前記メモリが、共振周波数シフトによる前記超音波外科用器具の複数の状態を記憶し、
前記制御回路は、前記超音波外科用器具の前記複数の状態のうちのどれが前記第1の共振周波数と前記第2の共振周波数の差に対応しているのかを前記メモリから検索することによって、前記超音波外科用器具の前記状態を決定するように構成されている、実施態様1に記載の超音波電気機械システム。
(8) 超音波外科用器具の超音波電気機械システムに接続可能な超音波発生器であって、前記超音波電気機械システムが、超音波ブレードと、前記超音波ブレードに音響的に結合された超音波変換器と、を備え、前記超音波発生器が、
前記超音波変換器に結合可能な制御回路であって、前記制御回路が、
駆動信号を前記超音波変換器に印加して、前記超音波ブレードを振動させるように、
前記超音波電気機械システムの第1の共振周波数を決定するように、
前記超音波ブレードが組織に対して振動するときの前記超音波電気機械システムの第2の共振周波数を決定するように、及び
前記第1の共振周波数と前記第2の共振周波数の比較に従って、前記超音波外科用器具の状態を決定するように構成された、制御回路、を備える、超音波発生器。
(9) 前記超音波外科用器具の前記状態が、前記超音波ブレードの温度を含む、実施態様8に記載の超音波発生器。
(10) 前記制御回路が、前記超音波変換器を制御して、前記超音波ブレードの前記温度に従って、前記超音波ブレードの振幅を調整するように構成されている、実施態様9に記載の超音波発生器。(6) The control circuit,
configured to monitor voltage and current signals applied to the ultrasonic transducer as the ultrasonic blade vibrates, and to adjust the drive signal until the voltage and current signals are in phase; is,
5. The ultrasonic electromechanical system of
(7) further comprising a memory coupled to the control circuit, the memory storing a plurality of states of the ultrasonic surgical instrument due to a resonant frequency shift;
The control circuit is configured by retrieving from the memory which of the plurality of states of the ultrasonic surgical instrument corresponds to a difference between the first resonant frequency and the second resonant frequency. , the ultrasonic electromechanical system configured to determine the state of the ultrasonic surgical instrument.
(8) An ultrasonic generator connectable to an ultrasonic electromechanical system of an ultrasonic surgical instrument, the ultrasonic electromechanical system having an ultrasonic blade and acoustically coupled to the ultrasonic blade. an ultrasonic transducer, the ultrasonic generator comprising:
a control circuit coupled to the ultrasound transducer, the control circuit comprising:
applying a drive signal to the ultrasonic transducer to cause the ultrasonic blade to vibrate;
determining a first resonant frequency of the ultrasonic electromechanical system;
determining a second resonant frequency of the ultrasonic electromechanical system when the ultrasonic blade vibrates against tissue; and according to a comparison of the first resonant frequency and the second resonant frequency. An ultrasonic generator comprising: a control circuit configured to determine a state of an ultrasonic surgical instrument.
9. The ultrasonic generator of embodiment 8, wherein the state of the ultrasonic surgical instrument includes a temperature of the ultrasonic blade.
(10) The ultrasonic device of embodiment 9, wherein the control circuit is configured to control the ultrasonic transducer to adjust the amplitude of the ultrasonic blade according to the temperature of the ultrasonic blade. Sound wave generator.
(11) 前記制御回路が、前記超音波ブレードの前記振幅を調整して、前記超音波ブレードの前記温度を所定の温度に維持するように構成されている、実施態様10に記載の超音波発生器。
(12) 前記制御回路が、
周波数範囲にわたって複数の周波数の前記駆動信号を前記超音波変換器に印加するように、並びに
前記周波数範囲内の前記駆動信号の各周波数に対応する、前記超音波変換器の電圧信号及び電流信号を決定するように構成され、
前記第1の共振周波数は、前記電圧信号及び前記電流信号が同調している周波数に対応する、実施態様8に記載の超音波発生器。
(13) 前記制御回路は、
前記超音波ブレードが振動するときに前記超音波変換器に印加された電圧信号及び電流信号を監視するように、並びに
前記電圧信号及び前記電流信号が同調するまで前記駆動信号を調整するように構成され、
前記第2の共振周波数は、前記電圧信号及び前記電流信号が同調している周波数に対応する、実施態様8に記載の超音波発生器。
(14) 前記制御回路に結合されたメモリを更に備え、前記メモリが、共振周波数シフトによる前記超音波外科用器具の複数の状態を記憶し、
前記制御回路は、前記超音波外科用器具の前記複数の状態のうちのどれが前記第1の共振周波数と前記第2の共振周波数の差に対応しているのかを前記メモリから検索することによって、前記超音波外科用器具の前記状態を決定するように構成されている、実施態様8に記載の超音波発生器。
(15) 超音波外科用器具の超音波電気機械システムを制御する方法であって、前記超音波電気機械システムが、超音波ブレードと、前記超音波ブレードに音響的に結合された超音波変換器と、を備え、前記方法が、
前記超音波電気機械システムに結合された制御回路によって、前記超音波電気機械システムの固有共振周波数を決定することと、
前記制御回路によって、前記超音波ブレードが振動するときの前記超音波電気機械システムの共振周波数を監視することと、
前記制御回路によって、前記超音波電気機械システムの前記共振周波数が前記固有共振周波数から逸脱したかどうかに従って、前記超音波電気機械システムの状態の変化が発生したかどうかを判定することと、を含む、方法。(11) The ultrasonic generator according to
(12) The control circuit,
applying a plurality of frequencies of the drive signal to the ultrasonic transducer over a frequency range; and applying voltage and current signals of the ultrasonic transducer corresponding to each frequency of the drive signal within the frequency range. configured to determine;
9. The ultrasound generator of embodiment 8, wherein the first resonant frequency corresponds to a frequency to which the voltage signal and the current signal are tuned.
(13) The control circuit includes:
configured to monitor voltage and current signals applied to the ultrasonic transducer as the ultrasonic blade vibrates, and to adjust the drive signal until the voltage and current signals are in phase; is,
9. The ultrasound generator of embodiment 8, wherein the second resonant frequency corresponds to a frequency to which the voltage signal and the current signal are tuned.
(14) further comprising a memory coupled to the control circuit, the memory storing a plurality of states of the ultrasonic surgical instrument due to a resonant frequency shift;
The control circuit is configured by retrieving from the memory which of the plurality of states of the ultrasonic surgical instrument corresponds to a difference between the first resonant frequency and the second resonant frequency. 9. The ultrasound generator of embodiment 8, wherein the ultrasound generator is configured to determine the state of the ultrasound surgical instrument.
(15) A method of controlling an ultrasonic electromechanical system of an ultrasonic surgical instrument, the ultrasonic electromechanical system comprising an ultrasonic blade and an ultrasonic transducer acoustically coupled to the ultrasonic blade. and the method comprises:
determining a natural resonant frequency of the ultrasonic electromechanical system by a control circuit coupled to the ultrasonic electromechanical system;
monitoring, by the control circuit, a resonant frequency of the ultrasonic electromechanical system as the ultrasonic blade vibrates;
determining, by the control circuit, whether a change in state of the ultrasonic electromechanical system has occurred according to whether the resonant frequency of the ultrasonic electromechanical system has deviated from the natural resonant frequency; ,Method.
(16) 前記超音波外科用器具の前記状態の変化が、前記超音波ブレードの温度上昇を含む、実施態様15に記載の方法。
(17) 前記制御回路によって、前記超音波変換器を制御して、前記超音波ブレードの前記温度上昇に従って、前記超音波ブレードの振幅を調整することを更に含む、実施態様16に記載の方法。
(18) 前記制御回路によって、前記超音波変換器を制御して、前記超音波ブレードの前記振幅を調整して、前記超音波ブレードの温度を所定の温度に維持することを更に含む、実施態様17に記載の方法。
(19) 前記制御回路によって、周波数範囲にわたって複数の周波数の駆動信号を前記超音波電気機械システムに印加して、前記超音波ブレードを振動させることと、
前記制御回路によって、前記周波数範囲内の前記駆動信号の各周波数に対応する、前記超音波変換器の電圧信号及び電流信号を決定することと、を更に含み、
前記固有共振周波数は、前記電圧信号及び前記電流信号が同調している周波数に対応する、実施態様15に記載の方法。
(20) 前記制御回路によって、駆動信号を前記超音波電気機械システムに印加して、前記超音波ブレードを振動させることと、
前記制御回路によって、前記超音波ブレードが振動するときに前記駆動信号から生じる、前記超音波電気機械システムの電圧信号及び電流信号を監視することと、
前記制御回路によって、前記電圧信号及び前記電流信号が同調するまで前記駆動信号を調整することと、を更に含み、
前記共振周波数は、前記電圧信号及び前記電流信号が同調している周波数に対応する、実施態様15に記載の方法。16. The method of
17. The method of
(18) An embodiment further comprising controlling the ultrasonic transducer by the control circuit to adjust the amplitude of the ultrasonic blade to maintain the temperature of the ultrasonic blade at a predetermined temperature. 17. The method described in 17.
(19) applying a drive signal of a plurality of frequencies over a frequency range to the ultrasonic electromechanical system by the control circuit to vibrate the ultrasonic blade;
determining, by the control circuit, voltage and current signals of the ultrasound transducer corresponding to each frequency of the drive signal within the frequency range;
16. The method of
(20) applying a drive signal to the ultrasonic electromechanical system by the control circuit to vibrate the ultrasonic blade;
monitoring, by the control circuit, voltage and current signals of the ultrasonic electromechanical system resulting from the drive signal as the ultrasonic blade vibrates;
adjusting the drive signal by the control circuit until the voltage signal and the current signal are in phase;
16. The method of
(21) 前記制御回路に結合されたメモリから、前記共振周波数と前記固有共振周波数との差に対応する前記超音波外科用器具の状態を検索することと、
前記超音波外科用器具の前記状態が前記超音波外科用器具の以前の状態に対応するかどうかに従って、前記状態の変化が発生したかどうかを判定することと、を更に含む、実施態様15に記載の方法。(21) retrieving a state of the ultrasonic surgical instrument corresponding to a difference between the resonant frequency and the natural resonant frequency from a memory coupled to the control circuit;
| Application Number | Priority Date | Filing Date | Title |
|---|---|---|---|
| US201762611341P | 2017-12-28 | 2017-12-28 | |
| US201762611340P | 2017-12-28 | 2017-12-28 | |
| US201762611339P | 2017-12-28 | 2017-12-28 | |
| US62/611,339 | 2017-12-28 | ||
| US62/611,341 | 2017-12-28 | ||
| US62/611,340 | 2017-12-28 | ||
| US201862721995P | 2018-08-23 | 2018-08-23 | |
| US62/721,995 | 2018-08-23 | ||
| US16/115,239US20190201042A1 (en) | 2017-12-28 | 2018-08-28 | Determining the state of an ultrasonic electromechanical system according to frequency shift |
| US16/115,239 | 2018-08-28 | ||
| PCT/IB2018/057938WO2019130106A1 (en) | 2017-12-28 | 2018-10-12 | Determining the state of an ultrasonic electromechanical system according to frequency shift |
| Publication Number | Publication Date |
|---|---|
| JP2021509601A JP2021509601A (en) | 2021-04-01 |
| JP7383615B2true JP7383615B2 (en) | 2023-11-20 |
| Application Number | Title | Priority Date | Filing Date |
|---|---|---|---|
| JP2020535205AActiveJP7383615B2 (en) | 2017-12-28 | 2018-10-12 | Determining the state of an ultrasonic electromechanical system by frequency shifting |
| Country | Link |
|---|---|
| JP (1) | JP7383615B2 (en) |
| CN (1) | CN111565658B (en) |
| MX (1) | MX2020006845A (en) |
| WO (1) | WO2019130106A1 (en) |
| Publication number | Priority date | Publication date | Assignee | Title |
|---|---|---|---|---|
| US12357080B2 (en) | 2019-06-21 | 2025-07-15 | The Research Foundation For The State University Of New York | System and method for toothbrush monitoring using magneto-inductive coil sensor |
| US11395653B2 (en)* | 2019-11-26 | 2022-07-26 | Covidien Lp | Surgical stapling device with impedance sensor |
| CN113274097B (en)* | 2020-11-03 | 2023-03-28 | 以诺康医疗科技(苏州)有限公司 | Ultrasonic knife self-adaptive control method and system for finishing tissue shearing |
| CN113274096B (en)* | 2020-11-03 | 2023-01-24 | 以诺康医疗科技(苏州)有限公司 | A self-adaptive control method and system of an ultrasonic knife for ending tissue shearing |
| KR20250031399A (en)* | 2023-08-28 | 2025-03-07 | 주식회사 엘에이치바이오메드 | Method for controlling frequency applied to probe of ultrasonic surgical device |
| CN119405415B (en)* | 2025-01-06 | 2025-04-18 | 中国人民解放军总医院第五医学中心 | A radiofrequency ablation system for solid tumors and a radiofrequency parameter control method |
| Publication number | Priority date | Publication date | Assignee | Title |
|---|---|---|---|---|
| JP2010535090A (en) | 2007-07-31 | 2010-11-18 | エシコン・エンド−サージェリィ・インコーポレイテッド | Improved surgical instrument |
| JP2010535087A (en) | 2007-07-31 | 2010-11-18 | エシコン・エンド−サージェリィ・インコーポレイテッド | Temperature-controlled ultrasonic surgical instrument |
| JP2013255793A (en) | 2012-06-11 | 2013-12-26 | Covidien Lp | Temperature estimation and tissue detection of ultrasonic dissector from frequency response monitoring |
| WO2018020553A1 (en) | 2016-07-25 | 2018-02-01 | オリンパス株式会社 | Energy control device and treatment system |
| Publication number | Priority date | Publication date | Assignee | Title |
|---|---|---|---|---|
| US7077853B2 (en)* | 2000-10-20 | 2006-07-18 | Ethicon Endo-Surgery, Inc. | Method for calculating transducer capacitance to determine transducer temperature |
| US7995045B2 (en) | 2007-04-13 | 2011-08-09 | Ethicon Endo-Surgery, Inc. | Combined SBI and conventional image processor |
| US7982776B2 (en) | 2007-07-13 | 2011-07-19 | Ethicon Endo-Surgery, Inc. | SBI motion artifact removal apparatus and method |
| BRPI1007522A2 (en) | 2009-01-30 | 2016-02-16 | Univ Columbia | controllable magnetic source for intracorporeal device fixation |
| US20140121569A1 (en)* | 2012-10-25 | 2014-05-01 | Solta Medical, Inc. | Ultrasonically heated probe |
| US10098527B2 (en) | 2013-02-27 | 2018-10-16 | Ethidcon Endo-Surgery, Inc. | System for performing a minimally invasive surgical procedure |
| US9345481B2 (en) | 2013-03-13 | 2016-05-24 | Ethicon Endo-Surgery, Llc | Staple cartridge tissue thickness sensor system |
| US10194973B2 (en) | 2015-09-30 | 2019-02-05 | Ethicon Llc | Generator for digitally generating electrical signal waveforms for electrosurgical and ultrasonic surgical instruments |
| US11607239B2 (en) | 2016-04-15 | 2023-03-21 | Cilag Gmbh International | Systems and methods for controlling a surgical stapling and cutting instrument |
| Publication number | Priority date | Publication date | Assignee | Title |
|---|---|---|---|---|
| JP2010535090A (en) | 2007-07-31 | 2010-11-18 | エシコン・エンド−サージェリィ・インコーポレイテッド | Improved surgical instrument |
| JP2010535087A (en) | 2007-07-31 | 2010-11-18 | エシコン・エンド−サージェリィ・インコーポレイテッド | Temperature-controlled ultrasonic surgical instrument |
| JP2013255793A (en) | 2012-06-11 | 2013-12-26 | Covidien Lp | Temperature estimation and tissue detection of ultrasonic dissector from frequency response monitoring |
| WO2018020553A1 (en) | 2016-07-25 | 2018-02-01 | オリンパス株式会社 | Energy control device and treatment system |
| Publication number | Publication date |
|---|---|
| CN111565658A (en) | 2020-08-21 |
| MX2020006845A (en) | 2020-09-03 |
| JP2021509601A (en) | 2021-04-01 |
| CN111565658B (en) | 2024-08-09 |
| BR112020013070A2 (en) | 2020-12-01 |
| WO2019130106A1 (en) | 2019-07-04 |
| Publication | Publication Date | Title |
|---|---|---|
| US12133660B2 (en) | Controlling a temperature of an ultrasonic electromechanical blade according to frequency | |
| JP7305651B2 (en) | Situational awareness of electrosurgical systems | |
| US11540855B2 (en) | Controlling activation of an ultrasonic surgical instrument according to the presence of tissue | |
| JP7463067B2 (en) | Temperature control of ultrasonic end effector and control system therefor | |
| JP7279051B2 (en) | Determining the state of the ultrasonic end effector | |
| US20190274716A1 (en) | Determining the state of an ultrasonic end effector | |
| JP7383615B2 (en) | Determining the state of an ultrasonic electromechanical system by frequency shifting | |
| JP7391852B2 (en) | Detecting the appearance of end effectors in liquids | |
| JP7350746B2 (en) | Temperature control of ultrasonic end effector and its control system | |
| JP7617215B2 (en) | Determining tissue composition via ultrasound systems | |
| JP7286654B2 (en) | Controlling the operation of ultrasonic surgical instruments according to the presence of tissue | |
| US20250082357A1 (en) | Controlling an ultrasonic surgical instrument according to tissue location | |
| JP7258892B2 (en) | Control of ultrasonic surgical instruments according to tissue location | |
| BR112020013070B1 (en) | ULTRASONIC ELECTROMECHANICAL SYSTEM FOR AN ULTRASONIC SURGICAL INSTRUMENT |
| Date | Code | Title | Description |
|---|---|---|---|
| A621 | Written request for application examination | Free format text:JAPANESE INTERMEDIATE CODE: A621 Effective date:20211012 | |
| A977 | Report on retrieval | Free format text:JAPANESE INTERMEDIATE CODE: A971007 Effective date:20220930 | |
| A131 | Notification of reasons for refusal | Free format text:JAPANESE INTERMEDIATE CODE: A131 Effective date:20221004 | |
| A521 | Request for written amendment filed | Free format text:JAPANESE INTERMEDIATE CODE: A523 Effective date:20221227 | |
| A131 | Notification of reasons for refusal | Free format text:JAPANESE INTERMEDIATE CODE: A131 Effective date:20230411 | |
| A601 | Written request for extension of time | Free format text:JAPANESE INTERMEDIATE CODE: A601 Effective date:20230711 | |
| A521 | Request for written amendment filed | Free format text:JAPANESE INTERMEDIATE CODE: A523 Effective date:20230831 | |
| TRDD | Decision of grant or rejection written | ||
| A01 | Written decision to grant a patent or to grant a registration (utility model) | Free format text:JAPANESE INTERMEDIATE CODE: A01 Effective date:20231010 | |
| A61 | First payment of annual fees (during grant procedure) | Free format text:JAPANESE INTERMEDIATE CODE: A61 Effective date:20231108 | |
| R150 | Certificate of patent or registration of utility model | Ref document number:7383615 Country of ref document:JP Free format text:JAPANESE INTERMEDIATE CODE: R150 |