





































本実施形態は、無線通信及び無線ネットワークシステム、ならびにRTLS(実時間位置特定サービス)及びLTEベースの位置特定サービスを含む、物体の無線周波数(RF)ベースの識別、追跡、及び位置特定のためのシステムに関する。 The present embodiments are for radio frequency (RF)-based identification, tracking, and location of objects, including wireless communication and wireless network systems, and RTLS (real-time location services) and LTE-based location services. Regarding the system.
関連出願の相互参照
  本出願は、PARTIALLY  SYNCHRONIZED  MULTILATERATION/TRILATERATION  METHOD  AND  SYSTEM  FOR  POSITIONAL  FINDING  USING  RFと題される、2014年8月1日に出願された米国仮特許出願第62/032,371号の利益を主張し、また、MULTI-PATH  MITIGATION  IN  RANGEFINDING  AND  TRACKING  OBJECTS  USING  REDUCED  ATTENUATION  RF  TECHNOLOGYと題される、2012年8月3日に出願された米国特許出願第13/566,993号の一部継続でもあり、この米国特許出願は、MULTI-PATH  MITIGATION  IN  RANGEFINDING  AND  TRACKING  OBJECTS  USING  REDUCED  ATTENUATION  RF  TECHNOLOGYと題される、2011年8月3日に出願された米国仮出願第61/514,839号、MULTI-PATH  MITIGATION  IN  RANGEFINDING  AND  TRACKING  OBJECTS  USING  REDUCED  ATTENUATION  RF  TECHNOLOGYと題される、2011年11月2日に出願された米国仮出願第61/554,945号、MULTI-PATH  MITIGATION  IN  RANGEFINDING  AND  TRACKING  OBJECTS  USING  REDUCED  ATTENUATION  RF  TECHNOLOGYと題される、2012年3月30日に出願された米国仮出願第61/618,472号、及びMULTI-PATH  MITIGATION  IN  RANGEFINDING  AND  TRACKING  OBJECTS  USING  REDUCED  ATTENUATION  RF  TECHNOLOGYと題される、2012年6月20日に出願された米国仮出願第61/662,270号の、35U.S.C.§119(e)下での利益を主張し、それらは、その全体が参照によって本明細書に組み込まれる。CROSS-REFERENCE TO RELATED APPLICATIONS This application is a benefit of U.S. Provisional Patent Application No. 62/032,371, filed Aug. 1, 2014, entitled PARTIALLY SYNCHRONIZED MULTILATERATION/TRILATERATION METHOD AND SYSTEM FOR POSITIONAL FINDING USING RF. and also in a continuation-in-part of U.S. patent application Ser. No. 61/514,839, filed Aug. 3, 2011, entitled MULTI-PATH MITIGATION IN RANGEFINDING AND TRACKING OBJECTS USING REDUCED ATTENUATION RF TECHNOLOGY, MULTI- PATH MITIGATION IN RANGEFINDING AND TRACKING OBJECTS USING REDUCED ATTENUATION RF TECHNOLOGYと題される、2011
米国特許出願第13/566,993号は、MULTI-PATH MITIGATION IN RANGEFINDING AND TRACKING OBJECTS USING REDUCED ATTENUATION RF TECHNOLOGYと題される、2011年5月17日に出願された米国特許出願第13/109,904号の一部継続であり、この米国特許出願は、METHODS AND SYSTEM FOR MULTI-PATH MITIGATION IN TRACKING OBJECTS USING REDUCED ATTENUATION RF TECHNOLOGYと題される、2011年1月18日に出願された米国特許出願第13/008,519号(現在では、2011年6月28日に発行された米国特許第7,969,311号)の継続であり、この米国特許出願は、METHODS AND SYSTEM FOR REDUCED ATTENUATION IN TRACKING OBJECTS USING RF TECHNOLOGYと題される、2009年7月14日に出願された米国特許出願第12/502,809号(現在では、2011年1月18日に発行された米国特許第7,872,583号)の一部継続であり、この米国特許出願は、METHODS AND SYSTEM FOR REDUCED ATTENUATION IN TRACKING OBJECTS USING RF TECHNOLOGYと題される、2006年12月14日に出願された米国特許出願第11/610,595号(現在では、2009年7月14日に発行された米国特許第7,561,048号)の継続であり、この米国特許出願は、METHOD AND SYSTEM FOR REDUCED ATTENUATION IN TRACKING OBJECTS USING MULTI-BAND RF TECHNOLOGYと題される、2005年12月15日に出願された米国仮特許出願第60/597,649号の、35U.S.C.§119(e)下での利益を主張し、それらは、それらの全体が参照によって本明細書に組み込まれる。 U.S. patent application Ser. No. 13, filed Jan. 18, 2011, entitled METHODS AND SYSTEM FOR MULTI-PATH MITIGATION IN TRACKING OBJECTS USING REDUCED ATTENUATION RF TECHNOLOGY /008,519 (now U.S. Pat. No. 7,969,311, issued Jun. 28, 2011), which U.S. patent application claims METHODS AND SYSTEM FOR REDUCED ATTENUATION IN TRACKING OBJECTS USING. US patent application Ser. No. 12/502,809, filed July 14, 2009, entitled RF TECHNOLOGY (now US Pat. ), which is a continuation-in-part of U.S. patent application Ser. (now U.S. Pat. No. 7,561,048, issued July 14, 2009), which U.S. patent application claims METHOD AND SYSTEM FOR REDUCED ATTENUATION IN TRACKING OBJECTS USING MULTI-BAND RF. 35 U.S. Provisional Patent Application No. 60/597,649, filed Dec. 15, 2005, entitled TECHNOLOGY. S. C. §119(e), which are hereby incorporated by reference in their entireties.
METHODS AND SYSTEM FOR REDUCED ATTENUATION IN TRACKING OBJECTS USING RF TECHNOLOGYと題される、2009年7月14日に出願された米国特許出願第12/502,809号はまた、METHODS AND SYSTEM FOR MULTI-PATH MITIGATION IN TRACKING OBJECTS USING REDUCED ATTENUATION RF TECHNOLOGYと題される、2008年10月7日に出願された米国仮出願第61/103,270号の35U.S.C.§119(e)下での利益も主張し、それらは、それらの全体が参照によって本明細書に組み込まれる。 U.S. patent application Ser. 35 U.S. Provisional Application No. 61/103,270, filed Oct. 7, 2008, entitled OBJECTS USING REDUCED ATTENUATION RF TECHNOLOGY. S. C. Benefits under §119(e) are also claimed, which are hereby incorporated by reference in their entireties.
物体の相対的または地理的位置の決定のためのRFベースの識別及び場所発見システムが、単一物体または物体のグループを追跡するために、ならびに個人を追跡するために一般に使用される。従来の場所発見システムは、開かれた、屋外環境における位置決定のために使用されている。RFベースの、全地球測位システム(GPS)/全地球航法衛星システム(GNSS)、及び補助GPS/GNSSが、典型的には使用される。しかしながら、従来の場所発見システムは、閉じられた(すなわち、屋内)環境、ならびに屋外において物体を位置特定するときの一定の不正確性に悩まされる。 RF-based identification and location systems for determination of relative or geographic position of objects are commonly used to track single objects or groups of objects, as well as to track individuals. Conventional place finding systems are used for position determination in open, outdoor environments. RF-based Global Positioning System (GPS)/Global Navigation Satellite System (GNSS) and auxiliary GPS/GNSS are typically used. However, conventional location-finding systems suffer from certain inaccuracies when locating objects in closed (ie, indoor) environments as well as outdoors.
  セルラー式無線通信システムは、屋内の、及びGPSにあまり適していない環境にあるユーザ機器(UE)位置を特定する様々な方法を提供する。最も正確な方法は、多辺測量/三辺測量法に基づく測位技法である。例えば、LTE(ロングタームエボリューション:Long  Term  Evolution)規格リリース(Release)9は、DL-OTDOA(ダウンリンクで観測される到着時間差:Downlink  Observed  Time  Difference  of  Arrival)を規定し、リリース11は、多辺測量/三辺測量法の導関数であるU-TDOA(アップリンクでの到着時間差:Uplink  Time  Difference  of  Arrival)技法を規定する。  Cellular wireless communication systems provide various methods of locating user equipment (UE) indoors and in environments that are not well suited for GPS. The most accurate methods are positioning techniques based on multilateration/trilateration. For example, LTE (Long Term Evolution)
時間同期誤差は位置特定の正確性に影響を及ぼすので、多辺測量/三辺測量ベースのシステムのための基本要件は、単一の共通基準時間に対するシステムの完全かつ精密な時間同期である。セルラー式ネットワークにおいて、DL-OTDOA及びU-TDOA位置特定方法はまた、DL-OTDOAの場合では、複数のアンテナからの伝送が時間同期されること、またはU-TDOAの場合では、複数の受信機が時間同期されることを要求する。 A fundamental requirement for multilateration/trilateration-based systems is perfect and precise time synchronization of the system to a single common reference time, as time synchronization errors affect location accuracy. In cellular networks, DL-OTDOA and U-TDOA localization methods also require that transmissions from multiple antennas are time-synchronized in the case of DL-OTDOA, or multiple receivers in the case of U-TDOA. are time-synchronized.
  LTE規格リリース9及びリリース11は、位置特定の目的のために時間同期の正確性を規定しておらず、これを無線/セルラー式サービスプロバイダに託している。一方、これらの規格は、レンジング(ranging)の正確性に制限をもたらす。例えば、10MHzのレンジング信号帯域幅を使用するとき、要件は、DL-OTDOAの場合には50メートルにおいて67%の信頼性であり、U-TDOAの場合には100メートルにおいて67%の信頼性である。
上記した制限は、レンジング測定誤差と、精密同期の欠如によって引き起こされる誤差、例えば、時間同期誤差との組み合わせの結果である。関連するLTE試験仕様(3GPP TS36.133バージョン10.1.0リリース10)及び他の文書から、同期誤差が均一に分布されることを仮定して、時間同期誤差を推定することが可能である。1つのかかる推定は、200ns(ピークからピークまで100ns)になる。ボイスオーバーLTE(VoLTE)機能もまた、同期誤差が均一に分布されることを仮定して、セルラー式ネットワーク同期を150ナノ秒(ピークからピークまで75ns)まで下げることを要求することに留意されたい。したがって、以後、LTEネットワークの時間同期の正確性が150ns以内であることが仮定される。 The limitations described above are the result of a combination of ranging measurement errors and errors caused by lack of fine synchronization, eg time synchronization errors. From the relevant LTE test specification (3GPP TS36.133 Version 10.1.0 Release 10) and other documents, it is possible to estimate the time synchronization error assuming that the synchronization error is uniformly distributed. . One such estimate would be 200ns (100ns peak to peak). Note that Voice over LTE (VoLTE) functionality also requires cellular network synchronization down to 150 ns (75 ns peak-to-peak), assuming evenly distributed synchronization errors. . Therefore, it is assumed hereinafter that the time synchronization accuracy of the LTE network is within 150 ns.
遠隔位置特定の正確性に関して、FCC指令のNG911は、50メートル及び100メートルの位置特定正確性要件を規定する。しかしながら、位置特定ベースのサービス(LBS)市場の場合、屋内の位置特定要件は、3メートルにおいて67%の信頼性と、はるかにより厳しい。そのようなものとして、150nsの時間同期誤差(43nsの標準偏差)によってもたらされるレンジング及び位置特定誤差は、3メートルのレンジング誤差(10nsの標準偏差)よりもはるかに大きい。 With respect to remote location accuracy, FCC Directive NG911 defines location accuracy requirements of 50 meters and 100 meters. However, for the location-based services (LBS) market, indoor location requirements are much more stringent, with 67% reliability at 3 meters. As such, the ranging and localization error caused by a 150 ns time synchronization error (43 ns standard deviation) is much larger than a 3 meter ranging error (10 ns standard deviation).
セルラー式ネットワークの時間同期は、義務的なFCC NG E911緊急時位置特定要件を満たすのに十分であり得るが、この同期正確性は、著しくより正確な位置特定を要求する、LBSまたはRTLSシステムユーザのニーズを満たさない。それゆえ、LBS及びRTLSを支援する目的のために、セルラー式/無線ネットワーク用の正確な時間同期の欠如によってもたらされる位置特定誤差を軽減するためのニーズが当分野において存在する。 While time synchronization of cellular networks may be sufficient to meet the mandatory FCC NG E911 emergency location requirements, this synchronization accuracy may compromise LBS or RTLS system users who require significantly more accurate location location. does not meet the needs of Therefore, there is a need in the art to mitigate positioning errors caused by lack of precise time synchronization for cellular/wireless networks for the purpose of supporting LBS and RTLS.
本開示は、既存のシステムと関連する欠点のうちの1つ以上を実質的に取り除く実時間位置特定サービス(RTLS)システムを含む、物体の無線周波数(RF)ベースの識別、追跡、及び位置特定のための方法ならびにシステムに関する。本方法及びシステムは、部分的に(時間において)同期される受信機及び/または送信機を使用することができる。ある実施形態によれば、RFベースの追跡及び位置特定が、セルラー式ネットワークにおいて実現されるが、任意の無線システム及びRTLS環境においても実現され得る。提案されるシステムは、ソフトウェアで実現されるデジタル信号処理及びソフトウェア定義無線技術(SDR)を使用することができる。デジタル信号処理(DSP)も同様に使用され得る。 The present disclosure includes a real-time location service (RTLS) system that substantially obviates one or more of the shortcomings associated with existing systems for radio frequency (RF)-based identification, tracking, and localization of objects. It relates to a method and system for The method and system can use receivers and/or transmitters that are partially (in time) synchronized. According to an embodiment, RF-based tracking and location is implemented in cellular networks, but can be implemented in any wireless system and RTLS environment. The proposed system may use software-implemented digital signal processing and software-defined radio technology (SDR). Digital signal processing (DSP) may be used as well.
本明細書に記載される1つのアプローチは、各クラスタ内で精密に時間同期される受信機及び/または送信機のクラスタを利用する一方で、クラスタ内時間同期は、正確性がかなり低い可能性があるか、または少しも要求されない可能性がある。本実施形態は、全ての無線システム/ネットワークにおいて使用され得、単信、半二重、及び全二重の動作モードを含むことができる。以下に記載される実施形態は、OFDM変調及び/またはその派生物を含む、様々な変調型を利用する無線ネットワークを用いて動作する。それゆえ、以下に記載される実施形態は、LTEネットワークを用いて動作し、また、他の無線システム/ネットワークに適用することができる。 While one approach described herein utilizes clusters of receivers and/or transmitters that are precisely time-synchronized within each cluster, intra-cluster time synchronization can be rather inaccurate. or may not be required at all. The present embodiments may be used in all wireless systems/networks and may include simplex, half-duplex, and full-duplex modes of operation. The embodiments described below operate with wireless networks that utilize various modulation types, including OFDM modulation and/or derivatives thereof. Therefore, the embodiments described below operate with LTE networks and can be applied to other wireless systems/networks.
一実施形態に記載されるように、3GPP LTEセルラー式ネットワーク上で実現されるRFベースの追跡及び位置特定は、精密に(時間を)同期される受信機及び/または送信機クラスタの恩恵をかなり受ける。提案されるシステムは、ソフトウェア及び/またはハードウェアで実現されるデジタル信号処理を使用することができる。 As described in one embodiment, RF-based tracking and location implemented on 3GPP LTE cellular networks greatly benefits from precisely (time) synchronized receiver and/or transmitter clusters. receive. The proposed system can use digital signal processing implemented in software and/or hardware.
実施形態の更なる特徴及び利点は、後続する記載に規定され、その記載から部分的に明らかになるか、または実施形態の実施によって習得され得る。実施形態の利点は、本記述及び本発明の特許請求の範囲ならびに添付図面において詳細に指摘された構造によって実現及び達成される。 Additional features and advantages of the embodiments are defined in the ensuing description, will be apparent in part from that description, or may be learned by practice of the embodiments. The advantages of the embodiments will be realized and attained by the structure particularly pointed out in the written description and claims hereof as well as the appended drawings.
前述の一般的な記載及び以下の発明を実施するための形態の両方は、例示的かつ説明的であって、特許請求されるような実施形態の更なる説明を提供することを意図することが理解される。 Both the foregoing general description and the following detailed description are exemplary and explanatory and are intended to provide further explanation of the embodiments as claimed. understood.
実施形態の更なる理解をもたらすように含まれ、本明細書の一部分に組み込まれると共にそれを構成する、添付図面は、実施形態を例示し、その記載と共に実施形態の原理を説明するのに役立つ。 The accompanying drawings, which are included to provide a further understanding of the embodiments, and are incorporated in and constitute a part of this specification, illustrate the embodiments and, together with the description, serve to explain the principles of the embodiments. .
次に、本実施形態の好ましい実施形態に対して参照が詳細になされ、それらの実施例が、添付図面に例示される。 Reference will now be made in detail to preferred embodiments of the present invention, examples of which are illustrated in the accompanying drawings.
本実施形態は、RTLSを含む、物体のRFベースの識別、追跡、及び位置特定のための方法ならびにシステムに関する。ある実施形態によれば、本方法及びシステムは、狭帯域幅レンジング信号を利用する。実施形態は、VHF帯域において動作するが、HF、LF、及びVLF帯域、ならびにUHF帯域及びそれより高い周波数においてもまた使用され得る。それは、マルチパス軽減プロセッサを利用する。マルチパス軽減プロセッサの利用は、システムによって実現される追跡及び位置特定の正確性を増大させる。 The present embodiments relate to methods and systems for RF-based identification, tracking, and localization of objects, including RTLS. According to one embodiment, the method and system utilize narrow bandwidth ranging signals. Embodiments operate in the VHF band, but can also be used in the HF, LF, and VLF bands, as well as the UHF band and higher. It utilizes multipath mitigation processors. The use of multipath mitigation processors increases the tracking and location accuracy achieved by the system.
実施形態は、ユーザが、複数の人間及び物体を追跡、位置特定、及び監視することを可能にする、小型で、携帯性の高いベースユニットを含む。各ユニットは、それ自体のIDを有する。各ユニットは、RF信号をそのIDと共にブロードキャストして、各ユニットは、リターン信号を送信し戻すことができ、その信号は、そのID、ならびに音声、データ、及び追加情報を含むことができる。各ユニットは、他のユニットから戻された信号を処理し、三角測量もしくは三辺測量法及び/または使用される他の方法に依存して、それらの相対的及び/または実際の場所を連続的に決定する。好ましい実施形態はまた、例えば、GPSデバイス、スマートホン、二方向無線機、及びPDAなどの製品と容易に一体化され得る。結果として生じる製品は、独立型デバイスの機能の全てを有すると同時に、既存の表示部、センサ(例えば、高度計、GPS、加速度計、及びコンパスなど)、ならびにそのホストの処理能力を活用する。例えば、本明細書に記載されるデバイス技術を用いるGPSデバイスは、マップ上にユーザの場所を提供することができるのみならず、グループの他のメンバーの場所をマッピングすることができる。 Embodiments include a small, highly portable base unit that allows users to track, locate, and monitor multiple people and objects. Each unit has its own ID. Each unit broadcasts an RF signal with its ID and each unit can transmit back a return signal, which can include its ID as well as voice, data and additional information. Each unit processes the signals returned from the other units and continuously determines their relative and/or actual locations depending on triangulation or trilateration and/or other methods used. to decide. Preferred embodiments can also be easily integrated with products such as GPS devices, smart phones, two-way radios, and PDAs, for example. The resulting product has all the functionality of a standalone device while leveraging existing displays, sensors (such as altimeters, GPS, accelerometers, and compasses), and processing power of its host. For example, a GPS device using the device technology described herein can not only provide the user's location on a map, but can also map the locations of other members of the group.
FPGA実現形態に基づく好ましい実施形態のサイズは、約2×4×1インチ~2×2×0.5インチであるか、または集積回路技術が向上するにつれて、それよりも小さくなる。使用される周波数に依存して、アンテナは、デバイスに一体化されるか、またはデバイス筐体から突き出る。ASIC(特定用途向け集積回路)ベース版型のデバイスは、FPGA及び他の電子構成要素の大部分の機能をユニットまたはタグ内に組み込むことができる。ASICベースの独立型製品は、1×0.5×0.5インチ以下のデバイスサイズを結果としてもたらす。アンテナサイズは、使用される周波数によって決定され、アンテナの部分は、筐体に一体化され得る。ASICベースの実施形態は、製品に一体化されるように設計され、チップセットから成り得るに過ぎない。マスタまたはタグユニット間に実質的な物理的サイズ差があるべきではない。 The size of a preferred embodiment based on an FPGA implementation is approximately 2×4×1 inch to 2×2×0.5 inch, or smaller as integrated circuit technology improves. Depending on the frequency used, the antenna is either integrated into the device or protrudes from the device housing. An ASIC (Application Specific Integrated Circuit) based version of the device can incorporate most of the functionality of the FPGA and other electronic components within a unit or tag. ASIC-based stand-alone products result in device sizes of 1 x 0.5 x 0.5 inches or less. Antenna size is determined by the frequency used and portions of the antenna may be integrated into the housing. ASIC-based embodiments are designed to be integrated into products and can only consist of chipsets. There should be no substantial physical size difference between master or tag units.
デバイスは、マルチパス軽減アルゴリズムの処理のために複数の周波数範囲(帯域)において動作する標準的なシステム構成要素(既製の構成要素)を使用することができる。デジタル信号処理用のソフトウェア及びソフトウェアで定義される無線通信が、使用され得る。最小限のハードウェアと組み合わされる信号処理ソフトウェアは、ソフトウェアによって定義された波形を伝送及び受信した無線通信の組み立てを可能にする。 Devices can use standard system components (off-the-shelf components) that operate in multiple frequency ranges (bands) for the processing of multipath mitigation algorithms. Software for digital signal processing and software defined wireless communication can be used. Signal processing software combined with minimal hardware allows the construction of wireless communications that transmit and receive waveforms defined by software.
特許文献1は、狭帯域幅レンジング信号システムを開示し、それによって、狭帯域幅レンジング信号が、例えば、(低帯域幅チャネルのうちのいくつかは、数十キロヘルツに広がり得るものの)数キロヘルツのみの幅である音声チャネルを使用して、低帯域幅チャネルに適合するように設計される。これは、数百キロヘルツから数十メガヘルツ幅までのチャネルを使用する従来の場所発見システムとは対照的である。 WO 2005/010001 discloses a narrow bandwidth ranging signal system whereby the narrow bandwidth ranging signal, for example, is only a few kilohertz (although some of the low bandwidth channels may extend to tens of kilohertz). It is designed to accommodate low-bandwidth channels with a voice channel that is as wide as . This is in contrast to conventional location-finding systems that use channels ranging from hundreds of kilohertz to tens of megahertz wide.
この狭帯域幅レンジング信号システムの利点は、以下のとおりである。すなわち、1)低動作周波数/帯域において、従来の場所発見システムのレンジング信号帯域幅は、搬送(動作)周波数値を超える。それゆえ、かかるシステムは、HFを含む、LF/VLF及び他のより低い周波数帯域において配備されることができない。従来の場所発見システムとは異なり、特許文献1に記載された狭帯域幅レンジング信号システムは、そのレンジング信号帯域幅が搬送周波数値をはるかに下回るので、LF、VLF、及び他の帯域上で成功裏に配備され得る。2)例えば、最大UHF帯域まで、RFスペクトル(いくつかのVLF、LF、HF、及びVHF帯域)の下端において、FCCが許容可能チャネル帯域幅(12~25kHz)を厳しく制限し、それは、従来のレンジング信号を使用不可能にさせるので、従来の場所発見システムは使用されることができない。従来の場所発見システムとは異なり、狭帯域幅レンジング信号システムのレンジング信号帯域幅は、FCC規制及び他の国際的なスペクトル規制機関に十分に準拠する。3)動作周波数/帯域とは独立して、狭帯域幅信号が、広帯域幅信号と比較して本質的に高いSNR(信号対雑音比)を有することは周知である(非特許文献1を参照)。これは、UHF帯域を含む、それが動作する周波数/帯域とは独立して、狭帯域幅レンジング信号場所発見システムの動作範囲を増大させる。 The advantages of this narrow bandwidth ranging signal system are as follows. 1) At low operating frequencies/bands, the ranging signal bandwidth of conventional location-finding systems exceeds the carrier (operating) frequency value. Therefore, such systems cannot be deployed in LF/VLF and other lower frequency bands, including HF. Unlike conventional location-finding systems, the narrow bandwidth ranging signal system described in US Pat. Can be deployed on the back. 2) At the lower end of the RF spectrum (some VLF, LF, HF, and VHF bands), for example, up to the UHF band, the FCC severely limits the allowable channel bandwidth (12-25 kHz), which is Conventional location-finding systems cannot be used because they render the ranging signal unusable. Unlike conventional location-finding systems, the ranging signal bandwidth of narrow-band ranging signal systems is fully compliant with FCC regulations and other international spectrum regulatory agencies. 3) Independent of the operating frequency/band, it is well known that narrow-bandwidth signals have an inherently higher SNR (signal-to-noise ratio) compared to wide-bandwidth signals (see Non-Patent Document 1). ). This increases the operating range of the narrow bandwidth ranging signal location system, independent of the frequencies/bands in which it operates, including the UHF band.
それゆえ、従来の場所発見システムとは異なり、狭帯域幅レンジング信号場所発見システムは、マルチパス現象があまり顕著ではない、RFスペクトル、例えば、LF/VLF帯域に至るまで、VHF及びより低い周波数帯域の下端上で、配備され得る。同時に、狭帯域幅レンジング場所発見システムはまた、UHF帯域上及びそれ以上で配備され得、レンジング信号SNRを改良し、結果として、場所発見システムの動作範囲を増大する。 Therefore, unlike conventional location-finding systems, narrow-bandwidth ranging signal location-finding systems can be used in the RF spectrum, for example, down to the LF/VLF bands, VHF and lower frequency bands, where multipath phenomena are less pronounced. can be deployed on the lower end of the At the same time, narrow bandwidth ranging location systems can also be deployed on the UHF band and beyond to improve ranging signal SNR and consequently increase the operating range of the location system.
マルチパス、例えば、RFエネルギー反射を最小限にするために、VLF/LF帯域上で動作することが望ましい。しかしながら、これらの周波数では、携帯型/モバイルアンテナの効率が非常に小さい(RF波長に対する小さなアンテナ長さ(サイズ)が原因で、約0.1%以下である)。加えて、これらの低周波数では、自然源及び人為源からの雑音レベルが、高周波数/帯域、例えばVHF上のものよりもかなり高い。これらの2つの現象は共に、場所発見システムの適用可能性、例えば、その動作範囲及び/または移動性/携帯性を制限し得る。したがって、動作範囲及び/または移動性/携帯性が非常に重要である一定用途の場合、より高いRF周波数/帯域、例えば、HF、VHF、UHF、及びUWBが使用され得る。 It is desirable to operate on the VLF/LF bands to minimize multipath, eg, RF energy reflections. However, at these frequencies, the efficiency of portable/mobile antennas is very low (below about 0.1% due to the small antenna length (size) relative to the RF wavelength). In addition, at these low frequencies the noise levels from natural and man-made sources are considerably higher than on high frequencies/bands, eg VHF. Together, these two phenomena can limit the applicability of a location-finding system, eg, its operating range and/or mobility/portability. Therefore, for certain applications where operating range and/or mobility/portability are very important, higher RF frequencies/bands such as HF, VHF, UHF, and UWB may be used.
VHF及びUHF帯域では、自然源及び人為源からの雑音レベルが、VLF、LF、及びHF帯域と比較して著しく低く、VHF及びHF周波数では、マルチパス現象(例えば、RFエネルギー反射)が、UHF及びより高い周波数におけるものほど厳しくない。また、VHFでは、アンテナ効率が、HF及びより低い周波数におけるものよりも著しく良く、VHFでは、RF貫通能力が、UHFにおけるものよりもかなり良い。それゆえ、VHF帯域は、良好な折衷案をモバイル/携帯型用途に提供する。一方、いくつかの特別な場合、例えば、VHF周波数(もしくはより低い周波数)が電離圏を貫通することができない(または偏向/屈折させられる)GPSでは、UHFが良い選択肢であり得る。しかしながら、いずれの場合(及び全ての場合/用途)において、狭帯域幅レンジング信号システムは、従来の広帯域幅レンジング信号場所発見システムよりも有利になる。 In the VHF and UHF bands, noise levels from natural and man-made sources are significantly lower than in the VLF, LF, and HF bands, and at VHF and HF frequencies, multipath phenomena (e.g., RF energy reflections) and less severe than at higher frequencies. Also, at VHF the antenna efficiency is significantly better than at HF and lower frequencies, and at VHF the RF penetration capability is much better than at UHF. Therefore, the VHF band offers a good compromise for mobile/portable applications. On the other hand, in some special cases, eg GPS, where VHF frequencies (or lower frequencies) cannot penetrate the ionosphere (or are deflected/refracted), UHF may be a good option. However, in any case (and all cases/applications), a narrow bandwidth ranging signal system will be advantageous over a conventional wide bandwidth ranging signal location system.
実際の用途(複数可)は、正確な技術仕様(例えば、電力、放射、帯域幅、及び動作周波数/帯域など)を決定する。狭帯域幅レンジングは、ユーザが、使用許諾を受信することもしくは使用許諾からの免除を受信すること、またはFCCに規定されるような使用許諾を得ていない帯域を使用することを可能にする。なぜなら、狭帯域レンジングは、FCCに規定される最も厳しい狭帯域幅、すなわち、6.25kHz、11.25kHz、12.5kHz、25kHz、及び50kHzを含む、多くの異なる帯域幅/周波数上の動作を可能にし、適切なセクションについての対応する技術的要件に準拠するからである。結果として、複数のFCCセクション及びかかるセクション内の免除が適用可能である。適用可能な主なFCC規制は、47CFR Part90-Private Land Mobile Radio Services、47CFR Part94 personal Radio Services、47CFR Part15-Radio Frequency Devicesである。(比較すると、この文脈における広帯域信号は、数百KHzから最大10~20MHzまでである) The actual application(s) will determine the exact technical specifications (eg, power, emissions, bandwidth, operating frequency/band, etc.). Narrow bandwidth ranging allows users to receive licenses or exemptions from licenses, or use unlicensed bands as defined by the FCC. Because narrowband ranging allows operation over many different bandwidths/frequencies, including the most stringent narrowbands specified by the FCC: 6.25 kHz, 11.25 kHz, 12.5 kHz, 25 kHz, and 50 kHz. allow and comply with the corresponding technical requirements for the appropriate section. As a result, multiple FCC sections and exemptions within such sections are applicable. The major applicable FCC regulations are 47 CFR Part 90 - Private Land Mobile Radio Services, 47 CFR Part 94 personal Radio Services, 47 CFR Part 15 - Radio Frequency Devices. (By comparison, wideband signals in this context range from a few hundred KHz up to 10-20 MHz.)
典型的には、Part90及Part94について、VHF実現形態は、ユーザが、一定の免除(低電力無線通信サービスが一例である)下でデバイスを最大100mWまで動作させることを可能にする。一定用途の場合、VHF帯域において許容可能な伝送される電力が2~5ワットである。900MHz(UHF帯域)の場合、それは1Wである。160kHz~190kHz周波数(LF帯域)上で、許容可能な伝送される電力は、1ワットである。 Typically, for Part 90 and Part 94, VHF implementations allow users to operate devices up to 100 mW under certain exemptions (low power wireless communication services being one example). For certain applications, the permissible transmitted power in the VHF band is 2-5 Watts. For 900 MHz (UHF band) it is 1 W. Over the 160 kHz-190 kHz frequency (LF band), the permissible transmitted power is 1 Watt.
狭帯域レンジングは、異なるスペクトル許容量のうちの全てではないが多くに準拠することができ、かつ正確なレンジングを可能にすると同時に、依然として、最も厳しい規制要件に準拠する。これは、FCCだけについてではなく、欧州、日本、及び韓国を含む世界全体にわたってスペクトルの使用を規制する他の国際機関についても、当てはまる。 Narrowband ranging can comply with many, if not all, of the different spectral allowances and allows for accurate ranging while still complying with the most stringent regulatory requirements. This is true not only for the FCC, but also for other international bodies that regulate spectrum usage throughout the world, including Europe, Japan, and South Korea.
以下は、使用される一般的な周波数のリストであり、典型的な電力使用量及び距離を用いて、タグは、実世界環境における別の読み取り機と通信することができる(非特許文献2を参照)。 Below is a list of common frequencies used, with typical power usage and distance, that the tag can communicate with another reader in a real-world environment (see Non-Patent Document 2). reference).
――――――――――――――――――――――――――――――――――――
915MHz    100mW    150フィート
2.4GHz    100mW    100フィート
5.6Ghz    100mW    75フィート
――――――――――――――――――――――――――――――――――――――――――――――――――――――――――――――――――――――――
 915MHz 100mW 150ft 2.4GHz 100mW 100ft 5.6GHz 100mW 75ft―――――――――――――――――――――――――――――――――――― ---
提案されるシステムは、VHF周波数で動作し、RF信号を送信及び処理するためのプロプライエタリ方法を利用する。より具体的には、それは、DSP技法及びソフトウェアで定義される無線(SDR)を使用して、VHF周波数における狭帯域幅要件の制限を克服する。 The proposed system operates at VHF frequencies and utilizes proprietary methods for transmitting and processing RF signals. More specifically, it uses DSP techniques and software-defined radio (SDR) to overcome the limitation of narrow bandwidth requirements at VHF frequencies.
より低い(VHF)周波数での動作は、散乱を削減し、かなり良好な壁貫通をもたらす。最終的な結果は、普通に使用される周波数を超える範囲で約10倍の増大である。例えば、プロトタイプの測定された範囲を、上記にリスト化したRFID技術のものと比較する。 Operation at lower (VHF) frequencies reduces scattering and provides much better wall penetration. The net result is an increase of about ten times over the range of frequencies commonly used. For example, compare the measured range of the prototype to that of the RFID technologies listed above.
――――――――――――――――――――――――――――――――――――
216MHz    100mW    700フィート
――――――――――――――――――――――――――――――――――――――――――――――――――――――――――――――――――――――――
 216MHz 100mW 700ft ――――――――――――――――――――――――――――――――――――
狭帯域レンジング技法を利用すると、普通に使用される周波数の範囲が、著しく増大することになり、典型的な電力使用量及び距離を用いて、タグ通信範囲は、実世界環境における別の読み取り機と通信すること可能になる。 Employing narrowband ranging techniques would significantly increase the range of commonly used frequencies, and with typical power usage and distance, tag communication range would exceed that of another reader in a real-world environment. be able to communicate with
――――――――――――――――――――――――――――――――――――
                                  から              まで
915MHz    100mW    150フィート    500フィート
2.4GHz    100mW    100フィート    450フィート
5.6Ghz    100mW      75フィート    400フィート
――――――――――――――――――――――――――――――――――――――――――――――――――――――――――――――――――――――――
 to 915MHz 100mW 150ft 500ft 2.4GHz 100mW 100ft 450ft 5.6Ghz 100mW 75ft 400ft ――――――――――
バッテリ消費は、設計、伝送される電力、及びデバイスのデューティサイクル、例えば、2つの連続する距離(場所)測定間の時間間隔と相関している。多くの用途において、デューティサイクルは、大きく、10X~1000Xである。大きなデューティサイクル、例えば100Xを用いる用途では、100mWの電力を伝送するFPGAバージョンが、約3週間の稼働時間を有する。ASICベースのバージョンは、稼働時間を10倍だけ増大することが予想される。また、ASICは、本質的により低い雑音レベルを有する。それゆえ、ASICベースのバージョンはまた、約40%だけ動作範囲を増大し得る。 Battery consumption is a function of design, transmitted power, and device duty cycle, eg, the time interval between two consecutive distance (location) measurements. In many applications, the duty cycle is large, 10X-1000X. For applications with a large duty cycle, eg 100X, the FPGA version delivering 100mW of power has an on-time of about 3 weeks. The ASIC-based version is expected to increase run time by a factor of ten. Also, ASICs inherently have lower noise levels. Therefore, the ASIC-based version can also increase the operating range by about 40%.
当業者は、実施形態が、システムの長い動作範囲に妥協しないものの、RFの厳しい環境(例えば、建物、都市回廊等)における場所発見の正確性を著しく増大させることを認識するであろう。 Those skilled in the art will recognize that embodiments significantly increase location accuracy in RF hostile environments (e.g., buildings, urban corridors, etc.) without compromising the long operating range of the system.
典型的には、追跡及び位置特定システムが、追跡-位置特定-ナビゲート方法を利用する。これらの方法は、到着時間(TOA)、到着時間差(DTOA)、ならびにTOA及びDTOAの組み合わせを含む。距離測定技法として到着時間(TOA)は、一般に、特許文献2に記載されている。TOA/DTOAベースのシステムは、RFレンジング信号の直接見通し線(DLOS:Direct-Line-Of-Site)飛行時間、例えば、時間遅延を測定し、それは、次いで、距離範囲に変換される。 Typically, tracking and locating systems utilize a track-locate-navigate method. These methods include time of arrival (TOA), time difference of arrival (DTOA), and a combination of TOA and DTOA. Time of arrival (TOA) as a distance measurement technique is generally described in US Pat. TOA/DTOA-based systems measure the Direct-Line-Of-Site (DLOS) time-of-flight, eg, time delay, of RF ranging signals, which is then converted to range.
RF反射(例えば、マルチパス)の場合では、様々な遅延時間を伴うRFレンジング信号の複数の複製が、DLOS RFレンジング信号の上に重畳させられる。狭帯域幅レンジング信号を使用する追跡-位置特定システムは、マルチパス軽減を用いずに、DLOS信号及び反射信号を区別することができない。結果として、これらの反射信号は、推定されるレンジング信号DLOS飛行時間において誤差を誘発し、それは、次いで、範囲推定の正確性に影響を及ぼす。 In the case of RF reflections (eg, multipath), multiple copies of the RF ranging signal with different delay times are superimposed on the DLOS RF ranging signal. Track-locate systems using narrow bandwidth ranging signals cannot distinguish between DLOS and reflected signals without multipath mitigation. As a result, these reflected signals induce errors in the estimated ranging signal DLOS time-of-flight, which in turn affects the accuracy of range estimation.
実施形態は、有利に、マルチパス軽減プロセッサを使用して、DLOS信号及び反射信号を分離する。それゆえ、実施形態は、推定されるレンジング信号DLOS飛行時間における誤差を著しく減らす。提案されるマルチパス軽減方法は、全てのRF帯域上で使用され得る。それはまた、広帯域幅レンジング信号場所発見システムと共に使用され得る。しかも、それは、拡散スペクトル技法、例えば、DSS(直接拡散スペクトル)及びFH(周波数ホッピング)などを含む、様々な変調/復調技法を支援することができる。 Embodiments advantageously use a multipath mitigation processor to separate the DLOS and reflected signals. Embodiments therefore significantly reduce the error in the estimated ranging signal DLOS time-of-flight. The proposed multipath mitigation method can be used on all RF bands. It can also be used with wide bandwidth ranging signal location systems. Moreover, it can support various modulation/demodulation techniques, including spread spectrum techniques such as DSS (Direct Spread Spectrum) and FH (Frequency Hopping).
それに加えて、雑音低減方法が、方法の正確性を更に改良するために適用されてもよい。これらの雑音低減方法は、限定されるものではないが、可干渉性加算、非干渉性加算、整合(Matched)フィルタリング、時間ダイバーシティ技法等を含むことができる。マルチパス干渉誤差の残りは、後処理技法、例えば、(例として、ビタビアルゴリズムのような)最尤推定、最小分散推定(カルマンフィルタ)等を適用することによって更に低減され得る。 Additionally, noise reduction methods may be applied to further improve the accuracy of the method. These noise reduction methods may include, but are not limited to, coherent summing, incoherent summing, matched filtering, time diversity techniques, and the like. The remainder of the multipath interference error can be further reduced by applying post-processing techniques such as maximum likelihood estimation (eg, the Viterbi algorithm), minimum variance estimation (Kalman filter), and the like.
実施形態は、単信、半二重、及び全二重動作モードを用いるシステムにおいて使用され得る。全二重動作は、RF送受信機に関する複雑性、費用、及びロジスティクスの観点から非常に多くを要求し、それは、携帯型/モバイルデバイス実現形態におけるシステム動作範囲を制限する。半二重動作モードでは、(「マスタ」と称されることが多い)読み取り機及び(場合によっては、「スレーブ」または「対象」とも称される)タグが、マスタまたはスレーブが任意の所与の時間のみに伝送することを可能にするプロトコルによって制御される。 Embodiments may be used in systems using simplex, half-duplex, and full-duplex modes of operation. Full-duplex operation is very demanding in terms of complexity, cost, and logistics for RF transceivers, which limits the system operating range in portable/mobile device implementations. In a half-duplex mode of operation, a reader (often referred to as a "master") and a tag (sometimes also referred to as a "slave" or "target") are capable of controlling any given controlled by a protocol that allows transmission only at times of
送信及び受信を交互にすることは、単一周波数が、距離測定において使用されることを可能にする。かかる配設は、全二重システムと比較して、システムの費用及び複雑性を減らす。単信動作モードは、概念的により単純であるが、レンジング信号シーケンスの開始を含む、マスタ及び対象ユニット(複数可)間の事象のより厳密な同期を要求する。 Alternating transmission and reception allows a single frequency to be used in the distance measurement. Such an arrangement reduces system cost and complexity compared to a full duplex system. The simplex mode of operation is conceptually simpler, but requires tighter synchronization of events between the master and target unit(s), including the initiation of ranging signal sequences.
本実施形態では、狭帯域幅レンジング信号マルチパス軽減プロセッサが、レンジング信号帯域幅を増大させない。それは、異なる周波数成分を使用して、有利に、狭帯域幅レンジング信号の伝搬を可能にする。更なるレンジング信号処理が、超分解能スペクトル推定アルゴリズム(MUSIC、rootMUSIC、ESPRIT)及び/またはRELAXのような統計的アルゴリズムを利用することによって周波数領域において、あるいは合成レンジング信号を比較的大きな帯域幅と組み立てて、更なる処理をこの信号に適用することによって時間領域において、実行され得る。狭帯域幅レンジング信号の異なる周波数成分は、擬似乱数的に選択され得、それはまた、周波数において連続的であるかまたは間隔を離され得、それは、周波数において均一及び/または不均一な間隔を有することができる。 In this embodiment, the narrow bandwidth ranging signal multipath mitigation processor does not increase the ranging signal bandwidth. It uses different frequency components to advantageously allow the propagation of narrow bandwidth ranging signals. Further ranging signal processing may be performed in the frequency domain by utilizing super-resolution spectral estimation algorithms (MUSIC, rootMUSIC, ESPRIT) and/or statistical algorithms such as RELAX or assembling the synthetic ranging signal with a relatively large bandwidth. , further processing can be performed in the time domain by applying further processing to this signal. The different frequency components of the narrow-band ranging signal may be pseudorandomly selected, and may also be contiguous or spaced in frequency, which may have uniform and/or non-uniform spacing in frequency. be able to.
実施形態は、マルチパス軽減技術を拡張する。狭帯域レンジングのための信号モデルは、(この文書の他に導入されるように)複素指数であり、その複素指数の周波数は、その範囲に同類項を足したものによって定義された遅延に正比例し、その同類の遅延は、マルチパスに関連した時間遅延によって定義される。そのモデルは、信号構造の実際の実現形態、例えば、段階的周波数、線形周波数変調等とは独立している。 Embodiments extend multipath mitigation techniques. The signal model for narrowband ranging is complex exponential (as introduced elsewhere in this document), and the frequency of that complex exponential is directly proportional to the delay defined by the range plus the like term. , whose like delay is defined by the time delay associated with multipath. The model is independent of the actual implementation of the signal structure, eg, frequency stepping, linear frequency modulation, etc.
直接パス及びマルチパス間の周波数分離は、名目上、極端に小さく、標準的な周波数領域処理は、直接パス範囲を推定するのに十分ではない。例えば、30メートル(100.07ナノ秒の遅延)の範囲における5MHz上での100KHzの段階的な率における段階的周波数レンジング信号は、0.062875ラジアン/秒の周波数を結果としてもたらす。35メートルのパス長でのマルチパス反射は、0.073355の周波数を結果としてもたらす。分離は、0.0104792である。50個のサンプル可観測量の周波数分解能は、0.12566Hzの固有の周波数分解能を有する。その結果として、反射されたパスからの直接パスの分離のために従来の周波数推定技法を使用して直接パス範囲を正確に推定することができない。 The frequency separation between the direct path and multipath is nominally extremely small and standard frequency domain processing is not sufficient to estimate the direct path range. For example, a stepped frequency ranging signal at a stepped rate of 100 KHz over 5 MHz over a range of 30 meters (100.07 ns delay) results in a frequency of 0.062875 rad/s. A multipath reflection with a path length of 35 meters results in a frequency of 0.073355. The separation is 0.0104792. The frequency resolution of the 50 sample observable has a unique frequency resolution of 0.12566 Hz. As a result, the direct path range cannot be accurately estimated using conventional frequency estimation techniques due to the separation of the direct path from the reflected path.
この制限を克服するために、実施形態は、部分空間分解高分解能スペクトル推定方法論及び多モードのクラスタ分析の実現形態の固有の組み合わせを使用する。部分空間分解技術は、観測されたデータの推定される共分散行列を2つの直交部分空間、雑音部分空間及び信号部分空間に分けることに頼る。部分空間分解方法論の裏にある理論は、雑音部分空間上への可観測量の投影が雑音のみから成り、信号部分空間上への可観測量の投影が信号のみから成ることである。 To overcome this limitation, embodiments use a unique combination of subspace-resolved high-resolution spectral estimation methodologies and implementations of multimodal cluster analysis. Subspace decomposition techniques rely on separating the estimated covariance matrix of the observed data into two orthogonal subspaces, the noise subspace and the signal subspace. The theory behind the subspace decomposition methodology is that the projection of observables onto the noise subspace consists only of noise, and the projection of observables onto the signal subspace consists of only signal.
超分解能スペクトル推定アルゴリズム及びRELAXアルゴリズムは、雑音の存在下で、スペクトル内の近くに位置する周波数(正弦波)を区別することができる。周波数は、調和関係にある必要はなく、デジタルフーリエ変換(DFT)とは異なり、信号モデルは、いかなる人工的な周期性も導入しない。所与の帯域幅について、これらのアルゴリズムは、フーリエ変換よりも著しく高い分解能を提供する。それゆえ、直接見通し線(DLOS)が、高い正確性で他のマルチパス(MP)と確実に区別され得る。同様に、人工的に作り出された合成広範囲帯域幅レンジング信号に、後に説明される閾値方法を適用することは、高い正確性でDLOSを他のパスと確実に区別することを可能にさせる。 Super-resolution spectrum estimation and RELAX algorithms are able to distinguish between closely located frequencies (sine waves) in the spectrum in the presence of noise. The frequencies do not have to be harmonically related, and unlike the Digital Fourier Transform (DFT), the signal model does not introduce any artificial periodicity. For a given bandwidth, these algorithms offer significantly higher resolution than the Fourier transform. Therefore, direct line of sight (DLOS) can be reliably distinguished from other multipaths (MP) with high accuracy. Similarly, applying the threshold method described later to an artificially produced synthetic wide-bandwidth ranging signal makes it possible to reliably distinguish DLOS from other paths with high accuracy.
実施形態に従って、デジタル信号処理(DSP)が、マルチパス軽減プロセッサによって利用され得、DLOSを他のMPパスと確実に区別する。種々の超分解能アルゴリズム/技法が、スペクトル分析(スペクトル推定)技術において存在する。実施例は、部分空間ベースの方法、すなわち、複数の信号特徴付け(MUSIC:MUltiple SIgnal Characterization)アルゴリズムまたはRoot-MUSICアルゴリズム、回転不変性技法アルゴリズムによる信号パラメータの推定(ESPRIT)、ピサレンコ高調波分解(PHD)アルゴリズム、RELAXアルゴリズム等を含む。 According to an embodiment, digital signal processing (DSP) may be utilized by the multipath mitigation processor to reliably distinguish DLOS from other MP paths. Various super-resolution algorithms/techniques exist in spectral analysis (spectral estimation) techniques. Examples include subspace-based methods, namely Multiple Signal Characterization (MUSIC) or Root-MUSIC algorithms, Estimation of Signal Parameters by Rotation Invariant Techniques Algorithm (ESPRIT), Pisarenko Harmonic Decomposition ( PHD) algorithm, RELAX algorithm, etc.
上記の超分解能アルゴリズムは、アンテナに影響を及ぼす信号が十分に相関させられないという前提で動く。それゆえ、性能は、マルチパス伝搬において遭遇され得るような大いに相関させられる信号環境において激しく低下する。マルチパス軽減技法は、空間平滑化と呼ばれる前処理方式を含み得る。結果として、マルチパス軽減プロセスは、コンピュータ計算集約的になり得、複雑になり得、すなわち、システム実現形態の複雑性を増大させる。システムコンピュータ計算費用及び実現形態の複雑度が低いマルチパス軽減が、超分解能行列束(MP)アルゴリズムを使用することによって達成され得る。MPアルゴリズムは、非検索手順として分類される。したがって、それは、コンピュータ計算的にあまり複雑ではなく、他の超分解能アルゴリズムに使用される検索手順において遭遇される問題を解消する。その上、MPアルゴリズムは、相関のある信号に対して敏感ではなく、単一チャネル推定のみを要求し、また、可干渉性マルチパス成分と関連付けられた遅延を推定することもできる。 The above super-resolution algorithms work on the assumption that the signals impinging on the antenna are not well correlated. Therefore, performance degrades severely in highly correlated signal environments such as may be encountered in multipath propagation. Multipath mitigation techniques may include a preprocessing scheme called spatial smoothing. As a result, the multipath mitigation process can be computationally intensive and complex, ie increasing the complexity of the system implementation. Multipath mitigation with low system computational cost and implementation complexity can be achieved by using a super-resolution matrix bundle (MP) algorithm. MP algorithms are classified as non-searching procedures. Therefore, it is computationally less complex and overcomes problems encountered in search procedures used in other super-resolution algorithms. Moreover, the MP algorithm is insensitive to correlated signals, requires only single channel estimation, and can also estimate delays associated with coherent multipath components.
上述した超分解能アルゴリズムの全てにおいて、入力(すなわち、受信)信号は、周波数の複素指数及びそれらの複素振幅の一次結合としてモデル化される。マルチパスの場合では、受信信号は、以下のとおりになる。 In all of the super-resolution algorithms described above, the input (ie received) signal is modeled as a linear combination of complex exponential frequencies and their complex amplitudes. In the multipath case, the received signal is:
  ここで、
パラメータαK及びτKは、建物内及び建物の周りの人間ならびに機器の動きを反映する無作為の時変関数である。しかしながら、それらの変動率は、測定時間間隔と比較して非常に遅いので、これらのパラメータは、所与の測定サイクル内の時変確率変数として取り扱われ得る。The parameters αK and τK are random, time-varying functions that reflect human and equipment movement in and around the building. However, since their rate of change is very slow compared to the measurement time interval, these parameters can be treated as time-varying random variables within a given measurement cycle.
これらのパラメータの全ては、周波数に依存する。なぜなら、それらは、無線信号特性、例えば、透過及び反射係数などに関連するからである。しかしながら、実施形態では、動作周波数は、ごくわずかしか変化しない。それゆえ、上述したパラメータは、周波数に依存しないと仮定され得る。 All of these parameters are frequency dependent. because they relate to radio signal properties such as transmission and reflection coefficients. However, in embodiments, the operating frequency varies only slightly. Therefore, the parameters mentioned above can be assumed to be frequency independent.
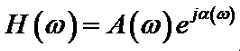
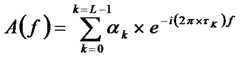
  式(1)は、
として周波数領域において表わされ得、ここで、A(f)は、受信信号の複素振幅であり、(2π×τK)は、超分解能アルゴリズムによって推定される人工的な「周波数」であり、動作周波数fは、独立変数であり、αKは、K番目のパス振幅である。Formula (1) is
 where A(f) is the complex amplitude of the received signal, (2π×τK ) is the artificial “frequency” estimated by the super-resolution algorithm, The operating frequency f is the independent variable and αK is the Kth pass amplitude.
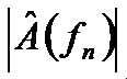
式(2)において、(2π×τK)の超分解能推定及び続いてτK値は、連続周波数に基づく。実際には、有限数の測定値が存在する。それゆえ、変数fは、連続的な変数ではなくて、むしろ不連続的なものになる。したがって、複素振幅A(f)は、以下のように計算され得る。In equation (2), the (2π×τK ) super-resolution estimate and subsequently the τK value are based on continuous frequencies. In practice, there are a finite number of measurements. Therefore, the variable f is discontinuous rather than continuous. Therefore, the complex amplitude A(f) can be calculated as follows.
  ここで、
  式(3)において、
  いくつかの場合では、実信号データ、例えば、
  これらの低い「周波数」は、ヒルベルト変換(または他の方法)実現形態に関する問題を引き起こす。それに加えて、振幅値(例えば、
  以下は、マルチパスの存在下で複素振幅
半二重動作モードでは、(「マスタ」として称されることが多い)読み取り機及び(「スレーブ」もしくは「対象」としても称される)タグが、マスタまたはスレーブが、任意の所与の時間にのみ伝送することを可能にするプロトコルによって制御される。この動作モードでは、タグ(対象デバイス)が、応答機として機能する。タグは、読み取り機(マスタデバイス)からレンジング信号を受信し、それをメモリ内に記憶し、次いで、一定時間(遅延)後、信号を再送してマスタに戻す。 In a half-duplex mode of operation, a reader (often referred to as a "master") and a tag (also referred to as a "slave" or "target") are controlled by a protocol that allows transmission only to In this mode of operation, the tag (target device) acts as a transponder. The tag receives the ranging signal from the reader (master device), stores it in memory, and then retransmits the signal back to the master after a certain time (delay).
レンジング信号の実施例は、図1及び図1Aに示される。例示的なレンジング信号は、連続的である異なる周波数成分を利用する。擬似ランダムを含む、周波数及び/もしくは時間において間隔を置かれた、または直交する等の他の波形がまた、レンジング信号帯域幅が狭いままである限り、使用され得る。図1では、全ての周波数成分についての期間Tfが、レンジング信号狭帯域幅特性を取得するのに十分長い。Examples of ranging signals are shown in FIGS. 1 and 1A. An exemplary ranging signal utilizes different frequency components that are continuous. Other waveforms, including pseudo-random, spaced in frequency and/or time, or orthogonal, etc., may also be used as long as the ranging signal bandwidth remains narrow. In FIG. 1, the period Tf for all frequency components is long enough to obtain the ranging signal narrow bandwidth characteristic.
異なる周波数成分を有するレンジング信号の別の変形が図2に示される。それは、個々の周波数を狭帯域にさせるために長い期間にわたって伝送される複数の周波数(f1、f2、f3、f4、fn)を含む。かかる信号は、より効率的であるが、それは、広帯域幅内を占め、広帯域幅レンジング信号は、SNRに影響を及ぼし、それは、次いで、動作範囲を減らす。また、かかる広帯域幅レンジング信号は、VHF帯域/またはより低い周波数帯域に関するFCC要件に違反する。しかしながら、一定用途では、この広帯域幅レンジング信号が、既存の信号及び伝送プロトコルへのより容易な統合を可能にする。また、かかる信号は、追跡-位置特定時間を減らす。Another variant of a ranging signal with different frequency components is shown in FIG. It contains multiple frequencies (f1 , f2 , f3 , f4 , fn ) that are transmitted over a long period of time to make the individual frequencies narrowband. Such a signal is more efficient, but it occupies a wide bandwidth and a wide bandwidth ranging signal affects the SNR, which in turn reduces the operating range. Also, such wide bandwidth ranging signals violate FCC requirements for the VHF band/or lower frequency bands. However, for certain applications, this wide bandwidth ranging signal allows easier integration into existing signaling and transmission protocols. Such signals also reduce track-to-locate time.
これらの複数の周波数(f1、f2、f3、f4、fn)バーストはまた、連続的及び/または擬似ランダムであってもよいし、周波数及び/または時間において間隔を置かれてもよいし、あるいは直交等であってもよい。These multiple frequency (f1 , f2 , f3 , f4 , fn ) bursts may also be continuous and/or pseudo-random, spaced apart in frequency and/or time. or orthogonal or the like.
狭帯域レンジングモードは、広帯域レンジングと比較して、瞬時の広帯域レンジングの形態で正確性をもたらすと同時に、この正確性が実現され得る範囲を増大させる。固定された伝送電力では、狭帯域レンジング信号の受信機における(適切な信号帯域幅内の)SNRが、広帯域レンジング信号の受信機におけるSNRよりも大きいので、この性能が達成される。SNR利得は、広帯域レンジング信号の総帯域幅及び狭帯域レンジング信号の各チャネルの帯域幅の比率に匹敵する。これは、例えば、静止している及びゆっくり動いている対象、例えば、歩いているまたは走っている人間などのために、非常に急速なレンジングが要求されないときに、良好なトレードオフを提供する。 Narrowband ranging mode provides accuracy in the form of instantaneous wideband ranging, as compared to broadband ranging, while increasing the range over which this accuracy can be achieved. This performance is achieved because, at a fixed transmit power, the SNR at the receiver of the narrowband ranging signal (within the appropriate signal bandwidth) is greater than the SNR at the receiver of the wideband ranging signal. The SNR gain is comparable to the ratio of the total bandwidth of the wideband ranging signal and the bandwidth of each channel of the narrowband ranging signal. This offers a good trade-off when very rapid ranging is not required, e.g. for stationary and slow moving objects, e.g. walking or running humans.
マスタデバイス及びタグデバイスは、同一であり、マスタまたは応答機モードのいずれかにおいて動作することができる。全てのデバイスは、データ/遠隔制御通信チャネルを含む。デバイスは、情報を交換することができ、マスタデバイス(複数可)は、タグデバイスを遠隔に制御することができる。図1に描写されるこの例では、マスタ(すなわち、読み取り機)の動作の間に、マルチパス軽減プロセッサが、タグ(複数可)へのレンジング信号を発生させて、一定遅延後、マスタ/読み取り機が、タグ(複数可)から繰り返されたレンジング信号を受信する。 The master and tag devices are identical and can operate in either master or responder mode. All devices include a data/remote control communication channel. The devices can exchange information and the master device(s) can remotely control the tag device. In this example depicted in FIG. 1, during operation of the master (i.e., reader), the multipath mitigation processor generates ranging signals to the tag(s) so that after a fixed delay, the master/reader receives repeated ranging signals from the tag(s).
  その後、マスタのマルチパス軽減プロセッサは、受信されたレンジング信号を、マスタから最初に送信されたものと比較して、全ての周波数成分fnについて振幅及び位相の形態における
  例えば、適合フィルタリング
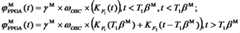
実施形態では、レンジングベースバンド信号が、図1に描写されているものと同じである。しかしながら、簡潔さの目的のために、本明細書では、レンジングベースバンド信号が、異なる周波数F1及びF2の余弦または正弦波の複数の周期をそれぞれ含有する2つの周波数成分のみから成ることが仮定される。F1=f1かつF2=f2であることに留意する。第1の周波数成分における周期数はLであり、第2の周波数成分における周期数はPである。Lは、Pに等しくてもよいし、またはPに等しくなくてもよいことに留意する。なぜなら、Tf=一定である場合、各周波数成分が異なる周期数を有し得るからである。また、各周波数成分間に時間の隔たりは存在せず、F1及びF2の両方が、ゼロに等しい初期位相から開始する。In an embodiment, the ranging baseband signal is the same as depicted in FIG. However, for the sake of brevity, it is herein assumed that the ranging baseband signal consists only of two frequency components, each containing multiple periods of cosine or sine waves of different frequenciesF1 andF2 . assumed. Note that F1 =f1 and F2 =f2 . The number of cycles is L in the first frequency component and the number of cycles is P in the second frequency component. Note that L may or may not equal P. This is because if Tf = constant, each frequency component can have a different number of cycles. Also, there is no time separation between each frequency component, and both F1 and F2 start with an initial phase equal to zero.
  図3A、3B及び3Cは、RFモバイル追跡及び位置特定システムのマスタまたはスレーブユニット(タグ)のブロック図を描写する。FOSCは、デバイスシステムクロック(図3Aにおける水晶発振器20)の周波数のことを言う。デバイス内で発生される全ての周波数は、このシステムクロック水晶発振器から発生される。以下の定義が使用される。すなわち、Mがマスタデバイス(ユニット)であり、AMがタグ(対象)デバイス(ユニット)である。タグデバイスは、応答機モードで動作しており、応答機(AM)ユニットとして称される。3A, 3B and 3C depict block diagrams of master or slave units (tags) of the RF mobile tracking and location system.FOSC refers to the frequency of the device system clock (
  好ましい実施形態では、デバイスが、RFフロントエンド及びRFバックエンドの、ベースバンドならびにマルチパス軽減プロセッサから成る。RFバックエンドの、ベースバンド及びマルチパス軽減プロセッサが、FPGA150において実現される(図3B及び3Cを参照)。システムクロック発生器20(図3Aを参照)は、FOSC=20MHz
またはωOSC=2π×20×106において発振する。これは、理想的な周波数である。なぜなら、実際のデバイスでは、システムクロック周波数が、必ずしも、20MHzに等しくなく、すなわち、
 Or oscillate at ωOSC =2π×20×106 . This is the ideal frequency. Because in real devices the system clock frequency is not necessarily equal to 20 MHz, i.e.
20MHz以外のFOSC周波数が、システム性能に何の影響も及ぼさずに使用され得ることに留意されたい。Note that FOSC frequencies other than 20 MHz can be used without any impact on system performance.
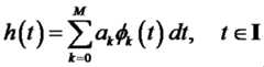
  ユニット(マスタ及びタグ)の電子構成は共に、同一であり、異なる動作モードが、ソフトウェアでプログラム可能である。ベースバンドレンジング信号は、マスタのFPGA150によってデジタル形態で発生される、ブロック155~180(図2Bを参照)。それは、異なる周波数の余弦または正弦波の複数の周期をそれぞれ含有する2つの周波数成分から成る。始まりにおいて、t=0であり、マスタデバイス内のFPGA150(図3B)は、デジタルベースバンドレンジング信号をI/Q  DAC120及び125経由でそのアップコンバータ50に出力する。FPGA150は、周波数F1で開始して、時間T1後に、期間T2にわたって周波数F2を発生し始める。The electronic configuration of both units (master and tag) is identical and the different operating modes are software programmable. The baseband ranging signals are generated in digital form by the
水晶発振器の周波数は、20MHzとは異なり得るので、FPGAによって発生される実際の周波数はF1γM及びF2γMになる。また、時間T1はT1βMになり、T2はT2βMになる。また、T1,T2,F1,F2は、F1γM*T1βM=F1T1及びF2γM*T2βM=F2T2であるようなものであり、ここで、F1T1及びF2T2の両方が整数であることが仮定される。それは、F1及びF2の初期位相がゼロに等しいことを意味する。Since the crystal oscillator frequency can differ from 20 MHz, the actual frequencies generated by the FPGA will be F1γM and F2γM . Also, time T1 becomes T1βM and T2 becomes T2βM . Also, T1 , T2 , F1 , F2 are such that F1 γM * T1 βM = F1 T1 and F2 γM * T2 βM = F2 T2 , where both F1 T1 and F2 T2 are assumed to be integers. That means that the initial phases ofF1 andF2 are equal to zero.
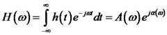
  全ての周波数は、システム水晶発振器20クロックから発生されるので、マスタのベースバンドI/Q  DAC(複数可)120及び125の出力は、以下のとおりである。
  マスタ(M)及び応答機(AM)は、半二重モードで動作する。マスタのRFフロントエンドは、マルチパス軽減プロセッサによって発生されたベースバンドレンジング信号を、直交アップコンバータ(すなわち、ミキサ)50を使用してアップコンバートして、このアップコンバートされた信号を伝送する。ベースバンド信号が伝送された後、マスタは、RFフロントエンドのTX/RXスイッチ15を使用して、TXからRXモードに切り換える。応答機は、信号を受信し、そのRFフロントエンドの(第1のIFを作り出す)ミキサ85及び(第2のIFを作り出す)ADC140を使用して受信信号をダウンコンバートし戻す。  The master (M) and answerer (AM) operate in half-duplex mode. The master RF front end upconverts the baseband ranging signal generated by the multipath mitigation processor using a quadrature upconverter (ie, mixer) 50 and transmits the upconverted signal. After the baseband signal is transmitted, the master switches from TX to RX mode using the TX/
  その後、この第2のIF信号は、デジタルフィルタ190を使用して、応答機RFバックエンドのプロセッサにおいてデジタル式にフィルタリングされて、RFバックエンドの直交ミキサ200、デジタルI/Qフィルタ210及び230、デジタル直交発振器220、ならびに加算器270を使用してベースバンドレンジング信号に更にダウンコンバートされる。このベースバンドレンジング信号は、ラムデータバスコントローラ195及び制御論理180を使用して、応答機のメモリ170内に記憶される。  This second IF signal is then digitally filtered in the processor of the transponder RF backend using
  その後、応答機は、RFフロントエンドのスイッチ15を使用してRXからTXモードに切り換え、一定の遅延tRTX後に、記憶されたベースバンド信号の再送を始める。遅延は、AM(応答機)システムクロックにおいて測定されることに留意する。それゆえ、
  その後、マスタは、マルチパス軽減プロセッサ逆正接ブロック250及び位相比較ブロック255を使用して、受信された(すなわち、リカバリされた)ベースバンド信号におけるF1及びF2間の位相差を計算する。振幅値は、RFバックエンドのRSSIブロック240から導出される。The master then uses multipath mitigation
  推定正確性を改良するために、常に、ブロック240からの振幅推定及びブロック255からの位相差推定のSNRを改良することが望ましい。好ましい実施形態では、マルチパス軽減プロセッサが、レンジング信号周波数成分期間(Tf)にわたる多くの時間例について振幅及び位相差推定を計算する。これらの値は、平均化されるときに、SNRを改良する。SNRの改良は、√Nに比例する目的であり得、ここで、Nは、振幅及び位相差値が取られた(すなわち、決定された)ときのいくつかの実例である。To improve estimation accuracy, it is always desirable to improve the SNR of the amplitude estimate from
  SNR改良への別のアプローチは、ある期間にわたって適合フィルタ技法を適用することによって振幅及び位相差値を決定することである。更なる別のアプローチは、受信された(すなわち、繰り返された)ベースバンドレンジング信号周波数成分の位相及び振幅を、それをサンプリングして、I/Q形式における元の(すなわち、マスタ/読み取り機によって送信された)ベースバンドレンジング信号周波数成分に対して周期T≦Tfにわたって統合することによって、推定することである。統合は、I/Q形式における振幅及び位相の複数の実例を平均化するという効果がある。その後、位相及び振幅値は、I/Q形式から
t=0において、マスタのマルチパスプロセッサ制御下で、マスタベースバンドプロセッサ(FPGA150における両方)が、ベースバンドレンジングシーケンスを開始することを仮定する。 Assume that at t=0, the master baseband processors (both in FPGA 150) initiate a baseband ranging sequence under the master's multipath processor control.
ここで、Tf≧T1βMである。where Tf ≧T1βM .
マスタのDAC(複数可)120及び125出力における位相は、以下のとおりである。 The phases at the master DAC(s) 120 and 125 outputs are:
  DAC120及び125は、システムクロックに依存しない内部伝搬遅延
  同様に、送信機回路構成要素15、30、40、及び50は、システムクロックに依存しない追加的な遅延
結果として、マスタによって伝送されたRF信号の位相は、以下のように計算される。 As a result, the phase of the RF signal transmitted by the master is calculated as follows.
マスタ(M)からのRF信号は、マスタ及びタグ間のマルチパス現象と相関する位相シフトφMULTを経験する。The RF signal from the master (M) experiences a phase shift φMULT that correlates with multipath phenomena between the master and tags.
φMULT値は、伝送される周波数、例えば、F1及びF2に依存する。応答機(AM)受信機のは、受信機のRF部分の制限された(すなわち、狭い)帯域幅が原因で、各パスを解明することができない。それゆえ、一定時間後、例えば、1マイクロ秒(約300メートルの飛行に相当)後、全ての反射信号が、受信機アンテナに到着したときに、以下の式を適用する。The φMULT value depends on the transmitted frequencies, eg F1 and F2 . The responder (AM) receiver cannot resolve each path due to the limited (ie, narrow) bandwidth of the RF portion of the receiver. Therefore, after a certain time, say 1 microsecond (corresponding to a flight of about 300 meters), when all reflected signals have arrived at the receiver antenna, the following formula applies.
  第1のダウンコンバータ、要素85におけるAM(応答機)受信機において、出力、例えば、第1のIF、信号の位相は、以下のとおりである。  At the first downconverter, AM (responder) receiver in
  受信機RF区分(要素15及び60~85)における伝搬遅延
  FPGA150では、(ADC出力からの)第2のIF信号が、RFバックエンドのデジタルフィルタ190によってフィルタリングされ、第3のダウンコンバータ(すなわち、直交ミキサ200、デジタルフィルタ230及び210、ならびにデジタル直交発振器220)によって更にダウンコンバートされてベースバンドレンジング信号に戻され、加算器270において加算され、メモリ170内に記憶される。第3のダウンコンバータ出力(すなわち、直交ミキサ)において、
  FIR区分190における伝搬遅延
  RXからTXの遅延後、(メモリ170内に)記憶されたマスタ(M)からのベースバンドレンジング信号が再送される。RXからのTX遅延
応答機からの信号が、マスタ(M)の受信機アンテナに到着する時までに、応答機(AM)からのRF信号は、マルチパスと相関する別の位相シフトφMULTを経験する。上述したように、この位相シフトは、全ての反射信号がマスタの受信機アンテナに到着したときの一定期間後に起こる。By the time the signal from the responder arrives at the receiver antenna of the master (M), the RF signal from the responder (AM) experiences another phase shift φMULT that correlates with multipath. As noted above, this phase shift occurs after a period of time when all reflected signals arrive at the master's receiver antenna.
マスタ受信機において、応答機からの信号は、応答機の受信機におけるものと同じダウンコンバージョンプロセスを経る。その結果は、マスタによって最初に送信されリカバリされたベースバンドレンジング信号である。 At the master receiver, the signal from the responder undergoes the same down-conversion process as at the responder's receiver. The result is the recovered baseband ranging signal originally transmitted by the master.
  第1の周波数成分F1について、
である。For the first frequency componentF1 ,
 is.
  第2の周波数成分F2について、
である。For the second frequency component F2,
 is.
  置換、
を行い、ここで、TD_M-AMは、マスタ(M)及び応答機(AM)回路を通る伝搬遅延である。permutation,
 whereTD_M-AM is the propagation delay through the master (M) and transponder (AM) circuits.
  ここで、φBB_M-AM(0)は、ADC(複数可)を含む、マスタ(M)及び応答機(AM)周波数ミキサからの、時間t=0における、LO位相シフトである。
また、
 again,
  第1の周波数成分F1について、
である。For the first frequency component F1,
 is.
  引き続き、第1の周波数成分F1について、
  第2の周波数成分F2について、
  引き続き、第2の周波数成分F2について、
  更に、置換、
  最終的な位相式は、
である。The final phase equation is
 is.
  式(5)から、
  例えば、時間例t1及びt2における差
ここで、TLB_M及びTLB_AMは、デバイスをループバックモードに置くことによって測定されるマスタ(M)及び応答機(AM)TXならびにRX回路を通る伝搬遅延である。マスタ及び応答機デバイスは、TLB_M及びTLB_AMを自動的に測定することができ、我々はまた、tRTX値を知っていることに留意する。where TLB_M and TLB_AM are the propagation delays through the master (M) and responder (AM) TX and RX circuits measured by placing the device in loopback mode. Note that the master and responder devices can automatically measure TLB_M and TLB_AM and we also know the tRTX value.
  上記式及びtRTX値から、TD_M-AMが決定され得、その結果として、所与のt1及びt2について
  または、βM=βAM=1であることを仮定して、
となる。Or, assuming βM =βAM =1,
 becomes.
式(6)から、動作周波数(複数可)レンジング信号(複数可)において、複素振幅値が、戻されたベースバンドレンジング信号を処理することから求められ得ることが結論付けられ得る。 From equation (6) it can be concluded that at the operating frequency(s) ranging signal(s), complex amplitude values can be obtained from processing the returned baseband ranging signal.
  部分空間アルゴリズムは、一定の位相オフセットに対して敏感ではないので、初期位相値
  好ましい実施形態では、戻されたベースバンドレンジング信号位相値
  式5及び6から、リカバリされた(すなわち、受信された)ベースバンドレンジング信号は、マスタによって送信された元のベースバンド信号と同じ周波数を有することが明白になる。それゆえ、マスタ(M)及び応答機(AM)システムクロックが異なり得るという事実に関わらず、周波数変換が存在しない。ベースバンド信号は、いくつかの周波数成分から成るので、各成分は、正弦波の複数の周期から成る。また、受信されたベースバンド信号の個々の周波数成分を、対応する元の(すなわち、マスタによって送信された)ベースバンド信号の個々の周波数成分と共にサンプリングすることによって、及び周期T≦Tfにわたって結果として生じる信号を統合することによって、受信されたレンジング信号の位相及び振幅を推定することも可能である。From
  この動作は、I/Q形式において受信されたレンジング信号の複素振幅値
  サンプリング、T≦Tfの周期にわたる統合、及びその後の、I/Q形式から
  レンジング信号帯域幅は狭いけれども、周波数差fn-f1は、比較的大きく、例えば、約数メガヘルツであり得る。結果として、受信機の帯域幅は、f1:fnレンジング信号周波数成分の全てを通過させるのに十分広く保たれる必要がある。この受信機の広帯域幅は、SNRに影響を及ぼす。受信機の実効帯域幅を減らしてSNRを改良するために、受信されたレンジング信号ベースバンド周波数成分が、受信されたベースバンドレンジング信号の個々の周波数成分について調整されたデジタル狭帯域幅フィルタによって、FPGA150内のRFバックエンドのプロセッサによってフィルタリングされ得る。しかしながら、この多数のデジタルフィルタ(フィルタの数は、個々の周波数成分の数nに等しい)は、FPGAリソースへの更なる負担となり、その費用、サイズ、及び電力消費を増大させる。Although the ranging signal bandwidth is narrow, the frequency difference fn −f1 may be relatively large, eg, on the order of several megahertz. As a result, the receiver bandwidth must be kept wide enough to pass all of the f1 :fn ranging signal frequency components. The wide bandwidth of this receiver affects the SNR. by a digital narrowband filter in which the received ranging signal baseband frequency components are adjusted for each individual frequency component of the received baseband ranging signal to reduce the receiver effective bandwidth and improve SNR; It can be filtered by the RF backend processor in
好ましい実施形態では、2つの狭帯域幅デジタルフィルタのみが使用される。すなわち、一方のフィルタが、常に、周波数成分f1について調整され、他方のフィルタが、全ての他の周波数成分、すなわちf2:fnについて調整され得る。レンジング信号の複数の実例が、マスタによって送信される。各実例は、2つの周波数f1:f2;f1:f3…;f1:fi;…;f1:fnのみから成る。類似の手法もまた可能である。In the preferred embodiment only two narrow bandwidth digital filters are used. That is, one filter can always be adjusted for frequency component f1 and the other filter for all other frequency components, ie f2 : fn . Multiple instances of ranging signals are sent by the master. Each example consists of only two frequenciesf1 :f2 ;f1 :f3 ...;f1 :fi ;...;f1 :fn . A similar approach is also possible.
また、ベースバンドレンジング信号成分を、周波数合成器の調整、例えば、KSYNの変更によって周波数成分の残りを発生する2つ(または1つ)のみに保つことも完全に可能であることに留意して頂きたい。アップコンバータ及びダウンコンバータミキサについてのLO信号が、直接デジタル合成(DDS)技術を使用して発生されることが望ましい。高VHF帯域周波数の場合、これは、送受信機/FPGAハードウェアへの所望されない負担をもたらし得る。しかしながら、より低い周波数の場合、これは、有用なアプローチである可能性がある。アナログ周波数合成器もまた使用され得るが、周波数が変更された後に安定させるために更なる時間がかかる可能性がある。また、アナログ合成器の場合では、同じ周波数における2つの測定が、アナログ合成器の周波数の変更後に起こり得る位相オフセットを解消するために行われる必要がある。Note also that it is perfectly possible to keep the baseband ranging signal components to only two (or one) generating the rest of the frequency components by adjusting the frequency synthesizer, e.g. changing KSYN . I want you to Preferably, the LO signals for the upconverter and downconverter mixers are generated using direct digital synthesis (DDS) techniques. For high VHF band frequencies, this may result in an undesirable burden on the transceiver/FPGA hardware. However, for lower frequencies this may be a useful approach. Analog frequency synthesizers can also be used, but may take more time to stabilize after the frequency is changed. Also, in the case of analog synthesizers, two measurements at the same frequency need to be made to eliminate possible phase offsets after changing the frequency of the analog synthesizer.
  上記式において使用される実際のTD_M-AMは、マスタ(M)及び応答機(AM)システムクロックの両方において測定され、例えば、TLB_AM及びtRTXが、応答機(AM)クロックにおいて計数され、TLB_Mが、マスタ(M)クロックにおいて計数される。しかしながら、
をもたらす。The actualTD_M-AM used in the above equation is measured at both the master (M) and responder (AM) system clocks, e.g., TLB_AM and tRTX are counted at the responder (AM) clock. ,TLB_M are counted in the master (M) clock. however,
 bring.
位相推定誤差(7)は、正確性に影響を及ぼす。したがって、この誤差を最小限にすることが必要である。βM=βAMである場合、換言すれば、全てのマスタ(複数可)及び応答機(タグ)システムクロックが同期される場合には、時間tRTXからの寄与が除去される。Phase estimation error (7) affects accuracy. Therefore, it is necessary to minimize this error. The contribution from time tRTX is removed if βM =βAM , in other words if all master(s) and responder (tag) system clocks are synchronized.
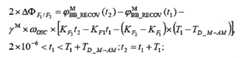
  好ましい実施形態では、マスタ及び応答機ユニット(デバイス)が、デバイスのいずれかとクロックを同期することができる。例えば、マスタデバイスは、基準として機能することができる。クロック同期は、遠隔制御通信チャネルを使用することによって達成され、それによって、FPGA150制御下で、温度補償水晶発振器TCXO20の周波数が調整される。周波数差は、選択された応答機デバイスが搬送信号を伝送している間に、マスタデバイスの加算器270の出力において測定される。  In preferred embodiments, the master and transponder units (devices) can synchronize clocks with any of the devices. For example, a master device can act as a reference. Clock synchronization is achieved by using a remote control communication channel to adjust the frequency of temperature compensated
  その後、マスタは、コマンドを応答機に送信して、TCXO周波数を増加/減少させる。この手順は、加算器270出力における周波数を最小限にすることによってより優れた正確性を達成するために数回繰り返されてもよい。理想的な場合では、加算器270出力における周波数がゼロに等しくなるべきであることに留意して頂きたい。代替の方法は、周波数差を測定して、応答機のTCXO周波数を調整することなく、推定された位相を訂正することである。  The master then sends a command to the transponder to increase/decrease the TCXO frequency. This procedure may be repeated several times to achieve better accuracy by minimizing the frequency at the
βM-βAMが著しく低減され得るものの、βM≠1である場合、位相推定誤差が存在する。この場合では、誤差の限界が、基準デバイス(通常、マスタ(M))クロック発生器の長期安定性に依存する。加えて、特に、現場の多数のユニットとのクロック同期のプロセスは、かなりの時間を取り得る。同期プロセスの間に、追跡-位置特定システムは、部分的または完全に動作不能になり、それは、システムの準備及び性能に悪影響を及ぼす。この場合では、応答機のTCXO周波数調整を要求しない上述の方法が好適である。Although βM −βAM can be significantly reduced, phase estimation error exists when βM ≠1. In this case, the margin of error depends on the long-term stability of the reference device (usually the master (M)) clock generator. Additionally, the process of clock synchronization, especially with multiple units in the field, can take a significant amount of time. During the synchronization process, the track-and-locate system becomes partially or completely inoperable, which adversely affects system readiness and performance. In this case, the method described above, which does not require a TCXO frequency adjustment of the transponder, is preferred.
市販の(在庫のある)TCXO構成要素は、高度な正確性及び安定性を有する。具体的に、GPS商業用途のためのTCXO構成要素は、非常に正確である。これらのデバイスを用いると、位置特定正確性への位相誤差の影響は、頻繁なクロック同期を必要とせずに1メートルよりも少なくすることができる。 Commercially available (off-the-shelf) TCXO components have a high degree of accuracy and stability. Specifically, TCXO components for GPS commercial applications are highly accurate. With these devices, the impact of phase error on localization accuracy can be less than 1 meter without the need for frequent clock synchronization.
  狭帯域幅レンジング信号マルチパス軽減プロセッサが、戻された狭帯域幅レンジング信号複素振幅
超分解能アルゴリズム(複数可)は、(2π×τK)「周波数」、例えば、τK値の推定を生じさせる。最終ステップにおいて、マルチパス軽減プロセッサは、最小値を有するτ(すなわち、DLOS遅延時間)を選択する。The super-resolution algorithm(s) produce an estimate of the (2π×τK ) “frequency”, eg, the τK value. In the final step, the multipath mitigation processor selects τ (ie, the DLOS delay time) with the smallest value.
レンジング信号狭帯域幅要件がある程度緩和される一定の場合では、DLOSパスが、(時間において)連続的なチャープを利用することによってMPパスから分離され得る。好ましい実施形態では、この連続的なチャープが、線形周波数変調(LFM)である。しかしながら、他のチャープ波形もまた使用されてもよい。 In certain cases where the ranging signal narrow bandwidth requirements are relaxed to some extent, the DLOS path can be separated from the MP path by utilizing a continuous (in time) chirp. In the preferred embodiment, this continuous chirp is linear frequency modulation (LFM). However, other chirp waveforms may also be used.
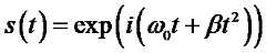
  マルチパス軽減プロセッサ制御下で、Bの帯域幅及びTの期間を有するチャープが伝送されることを仮定する。それは、毎秒
マルチパスプロセッサにおいて、それぞれの受信された単一チャープは、戻されたチャープが、興味のある領域の中間からになるように位置を調節される。 In the multipass processor each received single chirp is position adjusted so that the returned chirp is from the middle of the region of interest.
  チャープ波形式は、
単一遅延ラウンドトリップτ、例えば、マルチパスがない場合、戻された信号(cirp)は、s(t-τ)である。The chirp wave form is
 For a single delay round trip τ, eg, no multipath, the returned signal (cirp) is s(t−τ).
  マルチパス軽減プロセッサは、次いで、最初に伝送されたチャープとの複素共役混合の実行によってs(t-τ)を「デランプ(deramp)」する。結果として生じる信号は、複素正弦波
であり、
ここで、exp(-iw0τk)は振幅であり、2βτは周波数であり、0≦t≦Tである。最後の項は位相であり、それは無視してよいことに留意する。The multipath mitigation processor then “deramps” s(t−τ) by performing complex conjugate mixing with the originally transmitted chirp. The resulting signal is a complex sine wave
 and
 where exp(-iw0 τk ) is the amplitude, 2βτ is the frequency, and 0≦t≦T. Note that the last term is the phase, which can be ignored.
  マルチパスの場合では、デランプされた複合信号が、複数の複素正弦波
から成り、ここで、Lは、DLOSパスを含む、レンジング信号パスの数であり、0≦t≦Tである。In the multipath case, the deramped composite signal consists of multiple complex sinusoids
 where L is the number of ranging signal paths, including DLOS paths, and 0≤t≤T.
  複数のチャープが、伝送され、処理される。各チャープは、上記したように個々に取り扱われる/処理される。その後、マルチパス軽減プロセッサは、個々のチャープ処理の結果を組み立て、
ここで、Nは、チャープの数であり、
 where N is the number of chirps,
  式(10)において、
式(10)から、マルチパス軽減プロセッサは、更なる処理(すなわち、超分解能アルゴリズムの実行)において使用される時間領域においてαN個の複素振幅サンプルを生み出す。この更なる処理は、ソフトウェア構成要素において実現され、それは、マルチパス軽減プロセッサの一部分である。このソフトウェア構成要素は、マスタ(読み取り機)ホストコンピュータCPUによって、及び/またはFPGA150(図示しない)内に埋め込まれるマイクロプロセッサによって、あるいはその両方によって実行され得る。好ましい実施形態では、マルチパス軽減アルゴリズム(複数可)ソフトウェアが、マスタホストコンピュータCPUによって実行される。 From equation (10), the multipath mitigation processor produces αN complex amplitude samples in the time domain that are used in further processing (ie, running the super-resolution algorithm). This further processing is implemented in a software component, which is part of the multipath mitigation processor. This software component may be executed by a master (reader) host computer CPU and/or by a microprocessor embedded within FPGA 150 (not shown), or both. In the preferred embodiment, multipath mitigation algorithm(s) software is executed by the master host computer CPU.
超分解能アルゴリズム(複数可)は、2βτk「周波数」の推定、例えば、τK値を生み出す。最終ステップにおいて、マルチパス軽減プロセッサは、最小値を有するτ、すなわち、DLOS遅延時間を選択する。The super-resolution algorithm(s) produces estimates of 2βτk 'frequencies', eg, τK values. In the final step, the multipath mitigation processor selects τ with the smallest value, the DLOS delay time.
超分解能アルゴリズムに対する代替として機能することができ、「閾値技法」と呼ばれる、特別処理方法の説明がなされる。換言すれば、それは、人工的に発生された合成広帯域幅レンジング信号を使用して、他のMPパスからDLOSパスを区別する際の信頼性及び正確性を強化するために使用される。 A special processing method is described that can serve as an alternative to the super-resolution algorithm and is called the "threshold technique". In other words, it is used to enhance reliability and accuracy in distinguishing DLOS paths from other MP paths using artificially generated synthetic wide-bandwidth ranging signals.
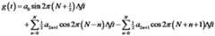
  図1及び図1Aに示される周波数領域ベースバンドレンジング信号は、時間領域ベースバンド信号s(t)、すなわち、
に変換され得る。s(t)は、周期1/Δtで周期的であること、及び任意の整数kについて、s(k/Δt)=2N+1であり、それは信号のピーク値であることが容易に実証される。ここで、図1及び図1Aにおいて、n=Nである。The frequency-domain baseband ranging signal shown in FIGS. 1 and 1A is the time-domain baseband signal s(t), i.e.
 can be converted to It is easily demonstrated that s(t) is periodic with
  図4は、N=11及びΔf=250kHzである場合のs(t)の2つの周期を示す。信号は、1/Δf=4マイクロ秒によって分離された高さ2N+1=23の一連のパルスとして出現する。パルス間には、可変振幅及び2N個のゼロを有する正弦波形がある。信号の広帯域幅は、高いパルスの狭さに起因し得る。帯域幅が、ゼロの周波数からNΔf=2.75MHzに及ぶこともまた見られ得る。  FIG. 4 shows two periods of s(t) for N=11 and Δf=250 kHz. The signal appears as a series of pulses of
好ましい実施形態に使用される閾値方法の基本的な考え方は、他のMPパスからDLOSパスを区別する際の、人工的に発生された合成広帯域幅レンジングの信頼性及び正確性を強化することである。閾値方法は、広帯域パルスの前縁の開始が受信機に到着したときを検出する。送信機及び受信機におけるフィルタリングが原因で、前縁は、瞬時に立ち上がらないが、滑らかに増加する傾斜で雑音無しで立ち上がる。前縁のTOAは、前縁が所定の閾値Tを超えるときを検出することによって測定される。 The basic idea of the threshold method used in the preferred embodiment is to enhance the reliability and accuracy of artificially generated synthetic wide-bandwidth ranging in distinguishing DLOS paths from other MP paths. be. The threshold method detects when the start of the leading edge of the wideband pulse arrives at the receiver. Due to filtering in the transmitter and receiver, the leading edge does not rise instantly, but rises noiselessly with a smoothly increasing slope. The TOA of the leading edge is measured by detecting when the leading edge exceeds a predetermined threshold T.
小さな閾値が望ましく、なぜなら、それは、より迅速に超えられることになり、パルスの真の開始と閾値超過との間の誤差遅延τが小さいからである。それゆえ、マルチパスに起因して到着する任意のパルス複製は、複製の開始がτよりも大きな遅延を有する場合に影響がない。しかしながら、雑音の存在は、閾値Tをどれほど小さくすることができるかについて制限を課す。遅延τを減らす1つの手法は、パルス自体の代わりに、受信されたパルスの導関数を使用することであり、なぜなら、導関数はより速く立ち上がるからである。二次導関数は、更に速い立ち上がりを有する。高次の導関数が使用され得るが、実際には、それらは、雑音レベルを容認できない値まで上げる可能性があり、それゆえ、閾値化された二次導関数が使用される。 A small threshold is desirable because it will be exceeded more quickly and the error delay τ between the true onset of the pulse and exceeding the threshold is small. Therefore, any pulse replication arriving due to multipath has no effect if the start of replication has a delay greater than τ. However, the presence of noise imposes a limit on how small the threshold T can be. One technique to reduce the delay τ is to use the derivative of the received pulse instead of the pulse itself, because the derivative rises faster. The second derivative has an even faster rise. Higher order derivatives can be used, but in practice they can raise the noise level to unacceptable values, so a thresholded second derivative is used.
図4に描写される2.75MHzの広範囲信号は、かなり広い帯域幅を有するが、それは、上述した方法によって範囲を測定するのに適していない。その方法は、伝送されたパルスがゼロの信号先行波をそれぞれ有することを要求する。しかしながら、パルス間の正弦波形が本質的にキャンセルされるように信号を修正することによってその目的を達成することができる。好ましい実施形態では、それは、高いパルス間の選択された区間上の信号にごく近い波形を構築して、次いで、元の信号からそれを減算することによって行われる。 The 2.75 MHz broadband signal depicted in FIG. 4 has a fairly wide bandwidth, which is not suitable for measuring range by the method described above. That method requires that the transmitted pulses each have a zero signal predecessor. However, the goal can be achieved by modifying the signal such that the sinusoidal waveform between pulses is essentially canceled. In the preferred embodiment, it is done by constructing a waveform that closely approximates the signal on selected intervals between high pulses, and then subtracting it from the original signal.
その技法は、それを信号に適用することによって、図1に例示され得る。波形上に示される2つの黒点は、第1の2つのパルス間に中心を置かれた区間Iの終点である。区間Iの左右の終点は、最良の結果をもたらすために実験的に決定されており、それぞれ、以下にある。 The technique can be illustrated in FIG. 1 by applying it to a signal. The two black dots shown on the waveform are the endpoints of interval I centered between the first two pulses. The left and right endpoints of interval I have been experimentally determined to give the best results and are respectively below.
この区間上で信号s(t)を本質的にキャンセルするが、区間の外側であまり害を及ぼさない関数g(t)を生成する試みが行われる。式(11)は、s(t)が1/sinπΔftによって変調される正弦波sinπ(2N+1)Δftであることを示すので、最初に、区間I上で1/sinπΔftにごく近い関数h(t)が見付けられ、次いで、g(t)を積として形成する。 An attempt is made to generate a function g(t) that essentially cancels the signal s(t) over this interval, but does less harm outside the interval. Equation (11) shows that s(t) is a sine wave sinπ(2N+1)Δft modulated by 1/sinπΔft, so first, a function h(t) that is very close to 1/sinπΔft over interval I is found, then form g(t) as the product.
h(t)は、以下の合計によって生成される。 h(t) is generated by summing:
  ここで、
      (15)
であり、係数akは、区間I上で、最小二乗誤差を最小限にするように選択される。here,
 (15)
 and the coefficients ak are chosen to minimize the least squared error on interval I.
解は、akに関して偏導関数Jを取ることによって、及びそれらをゼロに等しく設定することによって、容易に取得される。結果は、M+1個の線型方程式系である。The solution is easily obtained by taking the partial derivatives J with respect to ak and setting them equal to zero. The result is a system of M+1 linear equations.
  それは、akについて解かれ得、ここで、
である。It can be solved for ak , where
 is.
  次いで、
  (12)によって与えられた関数φk(t)の定義を使用して、
  g(t)は、関数r(t)を得るようにs(t)から減算され、それは、区間I上でs(t)を本質的にキャンセルするべきである。付属物に示されるように、式(20)における加算についての上限Mに適した選択は、M=2N+1である。この値及び付属物からの結果を使用すると、
ここで、
b0=1-(1/2)a2N+1
bk=2-(1/2)a2(N-k)+1  k=1,2,…,Nの場合
bk=-(1/2)a2(kーN)-1  k=N+1,N+2,…,2N+1の場合
c=-a0
      (22)here,
 b0 =1-(1/2)a2N+1
 bk =2−(1/2)a2(N−k)+1 for k=1, 2, . . . , N bk =−(1/2)a2(k−N)−1 k=N+1 , N+2, . . . , 2N+1, c=-a0
 (22)
式(17)から、(ゼロの周波数DC項を含む)2N+3の周波数の合計が、所望の信号r(t)を取得するために要求されることが分かる。図5は、図1に示される元の信号s(t)について結果として生じる信号r(t)を示し、ここで、N=11である。この場合では、r(t)の構築が、(DC項b0を含む)25個のキャリアを要求する。From equation (17) it can be seen that a total of 2N+3 frequencies (including the zero frequency DC term) are required to obtain the desired signal r(t). FIG. 5 shows the resulting signal r(t) for the original signal s(t) shown in FIG. 1, where N=11. In this case, the construction of r(t) requires 25 carriers (including the DC termb0 ).
上記に構築されるようなr(t)の重要な特徴は、以下のとおりである。 The key features of r(t) as constructed above are:
1.最低周波数は、ゼロHzであり、最高周波数は、(14)から分かるように、(2N+1)Δf[Hz]である。それゆえ、総帯域幅は、(2N+1)Δf[Hz]である。 1. The lowest frequency is zero Hz and the highest frequency is (2N+1)Δf [Hz] as can be seen from (14). Therefore, the total bandwidth is (2N+1)Δf [Hz].
2.全てのキャリアは、周波数(N+1/2)Δfに位置する正弦関数である、1つのキャリアを除いて、Δfだけ間隔を離された(DCを含む)余弦関数である。 2. All carriers are cosine functions (including DC) spaced apart by Δf except for one carrier, which is a sine function located at frequency (N+1/2)Δf.
  3.元の信号s(t)は周期1/Δfを有するが、r(t)は、周期2/Δfを有する。s(t)の全周期である、r(t)の各周期の前半は、信号のキャンセルされた部分を含み、r(t)の周期の後半は、大振動部分である。それゆえ、先行波のキャンセルは、s(t)の1つおきの周期においてのみ起こる。  3. The original signal s(t) has
これは、キャンセリング関数g(t)が実際には、1つおきの周期においてs(t)を強めるので、起こる。その理由は、g(t)が、s(t)の全てのピークにおいてその極性を逆にするのに対して、s(t)はそうではないことにある。3dBだけ処理利得を増加させるように、s(t)の全ての周期がキャンセルされる部分を含むようにする方法が、以下に記載される。 This occurs because the canceling function g(t) actually strengthens s(t) in every other period. The reason is that g(t) reverses its polarity in all peaks of s(t), whereas s(t) does not. A method for including a portion where all periods of s(t) are canceled to increase the processing gain by 3 dB is described below.
4.s(t)のキャンセルされる部分の長さは、1/Δfの約80~90%である。したがって、Δfは、この長さを、マルチパスに起因してr(t)の前のゼロではない部分から任意の残りの信号を除去するのに十分長くさせるように、十分小さくする必要がある。 4. The length of the canceled portion of s(t) is approximately 80-90% of 1/Δf. Therefore, Δf should be small enough to make this length long enough to remove any residual signal from the leading non-zero part of r(t) due to multipath. .
5.r(t)の各ゼロ部分の直後には、振動部分の第1のサイクルがある。好ましい実施形態では、上記したようなTOA測定方法において、このサイクルの前半が、TOA、具体的には、その立ち上がりの始まりを測定するために使用される。(主ピークと呼ばれる)この前半のサイクルのピーク値は、ほぼ同時点に位置するs(t)の対応するピークよりもある程度大きいことに注目されたい。前半のサイクルの幅は、NΔfに概ね逆比例する。 5. Immediately after each zero portion of r(t) is the first cycle of the oscillating portion. In a preferred embodiment, in the TOA measurement method as described above, the first half of this cycle is used to measure the TOA, specifically the beginning of its rise. Note that the peak value of this first half cycle (called the main peak) is somewhat larger than the corresponding peak in s(t) located at approximately the same time. The width of the first half cycle is roughly inversely proportional to NΔf.
6.大量の処理利得が、以下によって達成され得る。 6. A large amount of processing gain can be achieved by:
  (a)r(t)は、周期2/Δfで周期的であるので、信号r(t)の繰返しを使用すること。また、追加的な3dBの処理利得が、後に記載される方法によって可能である。  (a) Use a repetition of the signal r(t), since r(t) is periodic with
(b)狭帯域フィルタリング。2N+3のキャリアのそれぞれは、狭帯域信号であるので、信号の占有される帯域幅は、周波数の割り当てられた帯域全体にわたって広がる広帯域信号のものよりもかなり小さい。 (b) Narrow band filtering. Since each of the 2N+3 carriers is a narrowband signal, the occupied bandwidth of the signal is much smaller than that of a wideband signal spread over the entire allocated band of frequencies.
図5に示される信号r(t)について、ここで、N=11かつΔf=250kHz、s(t)のキャンセルされる部分の長さは、約3.7マイクロ秒または1,110メートルである。これは、マルチパスに起因してr(t)の前のゼロではない部分から残りの信号を除去するのに十分過ぎる。主ピークは、約35の値を有し、先行波(すなわち、キャンセル)領域における最大の大きさは、約0.02であり、それは、主ピークの65dB下である。これは、上記したようなTOA測定閾値技法を使用して良好な性能を得るために望ましい。 For the signal r(t) shown in FIG. 5, where N=11 and Δf=250 kHz, the length of the canceled portion of s(t) is approximately 3.7 microseconds or 1,110 meters. . This is more than enough to remove residual signal from the leading non-zero part of r(t) due to multipath. The main peak has a value of about 35 and the maximum magnitude in the precursor (ie, cancellation) region is about 0.02, which is 65 dB below the main peak. This is desirable for good performance using the TOA measurement threshold technique as described above.
より少数のキャリアの使用が図6に描写され、それは、全部で2N+3=9のキャリアのみについて、Δf=850kHz、N=3、及びM=2N+1=7を使用して発生される信号を例示する。この場合では、信号の周期は、周期が8マイクロ秒である、図5における信号と比較すると2/Δf≒2.35マイクロ秒だけである。この実施例は、単位時間毎により多くの周期を有するので、より多くの処理利得が達成され得ることが予想され得る。 The use of fewer carriers is depicted in FIG. 6, which illustrates a signal generated using Δf=850 kHz, N=3, and M=2N+1=7 for only 2N+3=9 carriers in all. . In this case the period of the signal is only 2/Δf≈2.35 microseconds compared to the signal in FIG. 5, which has a period of 8 microseconds. Since this embodiment has more cycles per unit time, it can be expected that more processing gain can be achieved.
しかしながら、より少数のキャリアが使用されるので、主ピークの振幅は、前の大きさの約1/3であり、それは、予想された余分な処理利得を解消する傾向がある。また、ゼロの信号先行波区分の長さは、より短い、約0.8マイクロ秒または240メートルである。これは、依然として、マルチパスに起因してr(t)の前のゼロではない部分から残りの信号を除去するのに十分なはずである。(2N+1)Δf=5.95MHzの総帯域幅は、前とほぼ同じであることと、主ピークの半分のサイクルの幅もまた、概ね同じであることと、に留意する。より少数のキャリアが使用されるので、各キャリアが受信機において狭帯域フィルタリングされるときに、いくつかの余分な処理利得が存在するはずである。その上、先行波(すなわち、キャンセル)領域における最大の大きさは、この際、主ピークの約75dB下になり、前の実施例から10dBの改良となる。 However, since fewer carriers are used, the amplitude of the main peak is about ⅓ of its previous magnitude, which tends to eliminate the extra processing gain expected. Also, the length of the zero signal predecessor segment is shorter, about 0.8 microseconds or 240 meters. This should still be sufficient to remove residual signal from the leading non-zero part of r(t) due to multipath. Note that the total bandwidth of (2N+1)Δf=5.95 MHz is approximately the same as before, and that the half-cycle width of the main peak is also approximately the same. Since fewer carriers are used, there should be some extra processing gain when each carrier is narrowband filtered at the receiver. Moreover, the maximum magnitude in the precursor (ie, cancellation) region is now approximately 75 dB below the main peak, an improvement of 10 dB from the previous example.
RF周波数における伝送。ここまで、r(t)が、簡潔さの目的のために、ベースバンド信号として記載されている。しかしながら、それは、最大RFまで変換され得、伝送され得、受信され得、次いで、受信機においてベースバンド信号として再構成され得る。例示するために、添え字jを有するマルチパス伝搬パスのうちの1つを経由して移動するベースバンド信号r(t)における周波数成分ωkのうちの1つに何が起こるかを考える(ラジアン/秒の周波数が、表記上の簡潔さのために使用される)。Transmission at RF frequencies. Heretofore, r(t) is described as a baseband signal for the sake of simplicity. However, it can be converted up to RF, transmitted, received and then reconstructed as a baseband signal at the receiver. To illustrate, consider what happens to one of the frequency components ωk in the baseband signal r(t) traveling through one of the multipath propagation paths with index j ( Frequency in radians/second is used for notational simplicity).
bkcosωkt  (送信機内のベースバントにおけるもの)
bkcos(ω+ωk)t  (最大RFまでの周波数ωだけ変換されたもの)
ajbkcos[(ω+ωk)(t-τj)+φj]  (受信機アンテナにおけるもの)
ajbkcos[ωk(t-τj)+φj+θ]  (ベースバンドまで周波数-ωだけ変換されたもの)
      (23)bk cos ωk t (at the baseband in the transmitter)
 bk cos(ω+ωk )t (transformed by frequency ω up to RF)
 aj bk cos[(ω+ωk )(t−τj )+φj ] (at the receiver antenna)
 aj bk cos [ωk (t−τj )+φj +θ] (translated by frequency −ω to baseband)
 (23)
ここで、送信機及び受信機が周波数同期されることが仮定される。パラメータbkは、r(t)についての式(21)におけるk番目の係数である。パラメータτj及びφjは、それぞれ、j番目の伝搬パスの(反射器の誘電特性に起因する)パス遅延及び位相シフトである。パラメータθは、受信機においてベースバンドへのダウンコンバートの際に起こる位相シフトである。類似の関数列が、式(21)の正弦成分について表わされ得る。Here it is assumed that the transmitter and receiver are frequency synchronized. The parameter bk is the kth coefficient in equation (21) for r(t). The parameters τj and φj are the path delay and phase shift (due to the reflector dielectric properties) of the j th propagation path, respectively. The parameter θ is the phase shift that occurs during downconversion to baseband at the receiver. A similar sequence of functions can be expressed for the sine component of equation (21).
r(t)におけるゼロの信号先行波が、最大の著しい伝搬遅延よりも十分に大きい長さを有する限り、式(20)における最終ベースバンド信号は、依然として、ゼロの信号先行波を有することに留意するのが重要である。勿論、全てのパス(添え字j)上の全ての周波数成分(添え字k)が結合されるとき、受信機におけるベースバンド信号は、全ての位相シフトを含む、r(t)の歪んだ形になる。 As long as the zero signal predecessor in r(t) has a length sufficiently greater than the maximum significant propagation delay, the final baseband signal in equation (20) will still have a zero signal predecessor. Important to note. Of course, when all frequency components (subscript k) on all paths (subscript j) are combined, the baseband signal at the receiver is a distorted form of r(t), including all phase shifts. become.
連続的なキャリア伝送及び信号再構築が、図1及び図1Aに例示される。送信機及び受信機が時間及び周波数同期され、2N+3の伝送されたキャリアが同時に伝送される必要はないことが仮定される。実施例として、そのベースバンド表現が図1A及び図6のものである信号の伝送を考える。 Continuous carrier transmission and signal reconstruction are illustrated in FIGS. 1 and 1A. It is assumed that the transmitter and receiver are time and frequency synchronized and that the 2N+3 transmitted carriers need not be transmitted simultaneously. As an example, consider the transmission of a signal whose baseband representation is that of FIGS. 1A and 6. FIG.
図6において、N=3であり、1ミリ秒について9個の周波数成分のそれぞれが連続的に伝送されると想定する。各周波数伝送についての開始及び終了時間は、受信機において既知であり、それゆえ、それは、各周波数成分のその受信を、それらのそれぞれの時間において連続的に開始及び終了することができる。信号伝搬時間は、1ミリ秒と比較して非常に短い(それは、通常、意図された用途において数マイクロ秒よりも少ない)ので、それぞれの受信された周波数成分の小さな部分は無視されるべきであり、受信機は、容易にそれを抜かすことができる。 In FIG. 6, it is assumed that N=3 and that each of the 9 frequency components is transmitted continuously for 1 millisecond. The start and end times for each frequency transmission are known at the receiver, so it can continuously start and end its reception of each frequency component at their respective times. Since the signal propagation time is very short compared to 1 millisecond (which is usually less than a few microseconds in intended applications), a small portion of each received frequency component should be ignored. Yes, the receiver can easily miss it.
9個の周波数成分を受信するプロセス全体が、処理利得を増大させるために追加的な受信の9ミリ秒のブロックにおいて繰り返され得る。1秒の総受信時間では、処理利得のために利用可能な約111のかかる9ミリ秒のブロックが存在することになる。加えて、各ブロック内には、0.009/(2/Δf)≒383の主ピークから利用可能な追加的な処理利得が存在することになる。 The entire process of receiving nine frequency components may be repeated in additional 9 ms blocks of reception to increase processing gain. With a total receive time of 1 second, there would be approximately 111 such 9 ms blocks available for processing gain. Additionally, within each block there will be additional processing gain available from the main peak of 0.009/(2/Δf)≈383.
  一般に、信号再構築は、非常に効率的に行われ得、全ての可能な処理利得を本質的に許可することは注目に値する。2N+3の受信された周波数のそれぞれについて、
1.その周波数に対応する一連の記憶されたベクトル(フェーザ)を形成するように、その周波数の各1ミリ秒の受信の位相及び振幅を測定する。
2.その周波数について記憶されたベクトルを平均する。
3.最終的に、2N+3の周波数について2N+3のベクトル平均を使用して、期間2/Δfを有するベースバンド信号の1周期を再構築し、その再構築を使用して、信号TOAを推定する。It is worth noting that in general signal reconstruction can be done very efficiently, essentially allowing all possible processing gains. For each of the 2N+3 received frequencies,
 1. The phase and amplitude of each 1 millisecond reception of that frequency are measured to form a series of stored vectors (phasors) corresponding to that frequency.
 2. Average the vectors stored for that frequency.
 3. Finally, one period of the baseband signal with
この方法は、1ミリ秒の伝送に限定されず、伝送の長さは、増加または減少されてもよい。しかしながら、全伝送についての合計時間は、受信機または送信機の任意の動きを止めるのに十分に短くなくてはならない。 This method is not limited to 1 millisecond transmissions, and the length of transmissions may be increased or decreased. However, the total time for all transmissions must be short enough to stop any movement of the receiver or transmitter.
キャンセリング関数g(t)の極性を単に逆にすることによって、r(t)の交互の半分のサイクル上でキャンセルを得て、r(t)が以前に振動性であった場合にs(t)のピーク間のキャンセルが可能である。しかしながら、s(t)の全てのピーク間のキャンセルを得るために、関数g(t)及びその極性を逆にしたものが、受信機に適用される必要があり、これは、受信機における係数重み付けを含む。 By simply reversing the polarity of the canceling function g(t), we obtain cancellation on alternate half-cycles of r(t) so that s( Cancellation between peaks of t) is possible. However, in order to obtain all peak-to-peak cancellation of s(t), the function g(t) and its polarity reversal must be applied to the receiver, which has the coefficient Includes weighting.
受信機における係数重み付け。所望される場合、式(21)における係数bkが、送信機におけるr(t)の構築のために使用され、その代わりに、受信機において導入されてもよい。これは、式(20)において信号のシーケンスを考えることによって容易に分かり、それにおいて、bkが最初における代わりに最後のステップにおいて導入される場合、最終信号が同じである。雑音を無視すると、値は、以下のとおりである。Coefficient weighting at the receiver. If desired, the coefficients bk in equation (21) may be used for the construction of r(t) at the transmitter and instead introduced at the receiver. This is easily seen by considering the sequence of signals in equation (20), where the final signal is the same ifbk is introduced at the last step instead of at the beginning. Ignoring noise, the values are:
cosωkt  (送信機内のベースバントにおけるもの)
cos(ω+ωk)t  (最大RFまでの周波数ωだけ変換されたもの)
ajcos[(ω+ωk)(t-τj)+φj]  (受信機アンテナにおけるもの)
ajcos[ωk(t-τj)+φj+θ]  (ベースバンドまで周波数-ωだけ変換されたもの)
ajbkcos[ωk(t-τj)+φj+θ]  (ベースバンドにおいて係数bkだけ重み付けされたもの)
      (24)cosωk t (at the baseband in the transmitter)
 cos(ω+ωk )t (transformed by frequency ω up to RF)
 aj cos[(ω+ωk )(t−τj )+φj ] (at the receiver antenna)
 aj cos[ωk (t−τj )+φj +θ] (translated by frequency −ω to baseband)
 aj bk cos[ωk (t−τj )+φj +θ] (weighted at baseband by factor bk)
 (24)
送信機は、次いで、同じ振幅で全ての周波数を伝送することができ、それは、その設計を単純にする。この方法はまた、各周波数において雑音を重み付け、その影響が考慮されるべきであることに留意されたい。係数重み付けが、使用可能な主ピークの2倍を得るようにg(t)の極性逆転をもたらすために、受信機において行われるべきであることにもまた留意されたい。 The transmitter can then transmit all frequencies with the same amplitude, which simplifies its design. Note that this method also weights the noise at each frequency and its effect should be considered. Note also that coefficient weighting should be done at the receiver to effect a polarity reversal of g(t) to obtain twice the dominant peak available.
チャネル内の中心周波数へのΔfのスケーリング。VHFまたはより低い周波数におけるFCC要件を満たすために、一定のチャネル間隔を有するチャネル化伝送が要求される。VHF及びより低い周波数帯域(複数可)についての場合である、全体的な割り当てられた帯域と比較して小さい一定のチャネル間隔を有するチャネル化伝送帯域では、Δfへの小さな調整が、必要に応じて、元の設計値からの性能を実質的に変更せずに、全ての伝送される周波数がチャネル中心にあることを可能にする。前に提示されたベースバンド信号の2つの実施例では、全ての周波数成分が、複数のΔf/2であり、それゆえ、チャネル間隔がΔf/2を分割する場合、最低のRF伝送される周波数が、1つのチャネル内に中心を置かれ得、1つおきの周波数が、それらのチャネルの中心に位置し得る。 Scaling of Δf to the center frequency in the channel. Channelized transmission with constant channel spacing is required to meet FCC requirements at VHF or lower frequencies. For channelized transmission bands with small constant channel spacing compared to the overall allocated band, which is the case for VHF and lower frequency band(s), small adjustments to Δf may be necessary , allowing all transmitted frequencies to be centered on the channel without substantially changing performance from the original design. In the two examples of baseband signals presented previously, all frequency components are a plurality of Δf/2, so if the channel spacing divides Δf/2, the lowest RF transmitted frequency may be centered within one channel, and every other frequency may be centered in those channels.
いくつかの無線周波数(RF)ベースの識別では、追跡及び位置特定システムが、距離測定機能を行うことに加えて、マスタユニット及びタグユニットの両方がまた、音声、データ、及び制御通信機能を行う。同様に、好ましい実施形態では、マスタユニット及びタグの両方が、距離測定機能に加えて、音声、データ、及び制御通信機能を行う。 In some radio frequency (RF) based identifications, in addition to the tracking and location system performing range finding functions, both the master unit and the tag unit also perform voice, data and control communication functions. . Similarly, in preferred embodiments, both the master unit and the tag perform voice, data and control communication functions in addition to range finding functions.
好ましい実施形態によれば、レンジング信号(複数可)は、マルチパス軽減を含む、幅広い高度な信号処理技法に従う。しかしながら、これらの技法は、音声、データ、及び制御信号に適していない可能性がある。結果として、提案されるシステム(ならびに他の既存のシステム)の動作範囲は、確実に及び正確に距離を測定するその能力によってではなくて、音声及び/またはデータならびに/あるいは制御通信の間の範囲外であることによって、制限され得る。 According to a preferred embodiment, the ranging signal(s) are subject to a wide range of advanced signal processing techniques, including multipath mitigation. However, these techniques may not be suitable for voice, data, and control signals. As a result, the operating range of the proposed system (as well as other existing systems) is limited by the range during voice and/or data and/or control communications, not by its ability to reliably and accurately measure distance. Being outside can be limited.
他の無線周波数(RF)ベースの識別、追跡、及び位置特定システムでは、距離測定機能が、音声、データ、及び制御通信機能から分離される。これらのシステムにおいて、別個のRF送受信機が、音声、データ、及び制御通信機能を行うために使用される。このアプローチの欠点は、システムの費用、複雑性、サイズ等の増加である。 Other radio frequency (RF)-based identification, tracking, and location systems separate the ranging function from the voice, data, and control communication functions. In these systems separate RF transceivers are used to perform voice, data and control communication functions. The drawback of this approach is the increased cost, complexity, size, etc. of the system.
上述した欠点を回避するために、好ましい実施形態では、狭帯域幅レンジング信号またはベースバンド狭帯域幅レンジング信号のいくつかの個々の周波数成分が、同一のデータ/制御信号を用いて及び音声の場合ではデジタル化された音声パケットデータを用いて変調される。受信機において、最高信号強度を有する個々の周波数成分が復調され、取得された情報信頼性が、情報冗長性を利用する「票決(voting」」または他の信号処理技法を行うことによって更に強化され得る。 To avoid the drawbacks mentioned above, in a preferred embodiment several individual frequency components of the narrowband ranging signal or the baseband narrowband ranging signal are controlled using the same data/control signal and in the case of speech. is modulated using digitized voice packet data. At the receiver, the individual frequency components with the highest signal strength are demodulated, and the reliability of the information obtained is further enhanced by performing "voting" or other signal processing techniques that exploit information redundancy. obtain.
この方法は、複数のパスから入って来るRF信号が、DLOSパス及び互いと破壊的に結合され、それゆえ、受信信号強度及びそれと関連付けられたSNRを著しく低減する、「ヌル(null)」現象を回避することを可能にする。その上、かかる方法は、1組の周波数であって、その周波数において、複数のパスから入って来る信号が、DLOSパス及び互いと破壊的に結合され、それゆえ、受信信号強度及びそれと関連付けられたSNRを増大させる、周波数を見付けることを可能にする。 This method results in a "null" phenomenon in which incoming RF signals from multiple paths are destructively combined with the DLOS paths and each other, thus significantly reducing the received signal strength and its associated SNR. make it possible to avoid Moreover, such a method provides a set of frequencies at which incoming signals from multiple paths are destructively combined with the DLOS paths and with each other, and thus the received signal strength and associated with it. It allows finding frequencies that increase the SNR obtained.
  前述したように、スペクトル推定ベースの超分解能アルゴリズムは、一般に、同じモデル、すなわち、周波数の複素指数及びそれらの複素振幅の一次結合を使用する。この複素振幅は、上記式3によって与えられる。  As mentioned above, spectral estimation-based super-resolution algorithms generally use the same model: complex exponentials of frequencies and linear combinations of their complex amplitudes. This complex amplitude is given by
スペクトル推定ベースの超分解能アルゴリズムの全ては、複素指数の数、すなわち、マルチパスのパス数の事前知識を要求する。複素指数のこの数は、モデルサイズと呼ばれ、式1~3に示されるようにマルチパス成分Lの数によって決定される。しかしながら、RF追跡-位置特定用途についての場合である、パス遅延を推定するとき、この情報は利用可能ではない。これは、別の次元、すなわち、モデルサイズの推定を、超分解能アルゴリズムによってスペクトル推定プロセスに追加する。 All spectral estimation-based super-resolution algorithms require prior knowledge of the number of complex exponents, ie, the number of passes in the multipath. This number of complex exponents is called the model size and is determined by the number of multipath components L as shown in equations 1-3. However, this information is not available when estimating path delays, which is the case for RF tracking-location applications. This adds another dimension to the spectral estimation process, namely estimation of model size, by means of super-resolution algorithms.
モデルサイズの過小推定の場合では、周波数推定の正確性が影響を受け、モデルサイズが過大推定される場合、アルゴリズムは、不要な、例えば、存在しない周波数を発生することが示されている(非特許文献3)。モデルサイズ推定の既存の方法、例えば、AIC(赤池情報量基準)、MDL(最小記述長)等は、信号(複素指数)間の相関関係に対して高い感度を有する。しかしながら、RFマルチパスの場合では、これは常である。更に、例えば、前向き-後向き平滑化アルゴリズムが適用された後、常に、相関関係の残量が存在する。 In the case of model size underestimation, the accuracy of frequency estimation is affected, and when the model size is overestimated, algorithms have been shown to generate unwanted, e.g., non-existent frequencies (non- Patent document 3). Existing methods of model size estimation, such as AIC (Akaike Information Criterion), MDL (Minimum Description Length), etc., have high sensitivity to correlations between signals (complex exponentials). However, in the case of RF multipath, this is always the case. Moreover, there is always a residual amount of correlation, eg, after a forward-backward smoothing algorithm has been applied.
非特許文献3の文書には、過大推定されたモデルを使用して、これらの信号電力(振幅)を推定することによって不要な周波数(信号)から実際の周波数(信号)を区別し、次いで、非常に低い電力を有する信号を拒否することが提案されている。この方法は、既存の方法を改良したものであるが、保証されない。発明者らは、非特許文献3の方法を実施して、より大きなモデルサイズを伴うより複雑な場合についてシミュレーションを行った。いくつかの場合では、不要な信号が、実際の信号振幅に非常に近い振幅を有し得ることが観測された。 [3] document uses an overestimated model to distinguish real frequencies (signals) from unwanted frequencies (signals) by estimating their signal power (amplitude), and then It has been proposed to reject signals with very low power. This method is an improvement over existing methods, but is not guaranteed. We implemented the method of [3] to simulate more complex cases with larger model sizes. It has been observed that in some cases the unwanted signal can have an amplitude very close to the actual signal amplitude.
スペクトル推定ベースの超分解能アルゴリズムの全ては、入って来る信号の複素振幅データを2つの部分空間、すなわち、雑音部分空間及び信号部分空間に分けることによって機能する。これらの部分空間が適切に定義される(分離される)場合には、モデルサイズは、信号部分空間サイズ(寸法)に等しい。 All spectral estimation-based super-resolution algorithms work by separating the complex amplitude data of the incoming signal into two subspaces: the noise subspace and the signal subspace. If these subspaces are properly defined (separated), the model size is equal to the signal subspace size (dimension).
一実施形態では、モデルサイズ推定が、「F」統計を使用して達成される。例えば、ESPRITアルゴリズムの場合、(前向き/後向きの相関関係平滑化を用いて)共分散行列の推定の特異値分解が、昇順に並べられる。その後、分割が行われ、それによって、(n+1)の固有値が、n番目の固有値によって分割される。この率は、「F」確率変数である。最悪の場合は、(1,1)の自由度の「F」確率変数である。(1,1)の自由度を伴う「F」確率変数についての95%の信頼区間は、161である。その値を閾値として設定することは、モデルサイズを決定する。また、雑音部分空間について、固有値は、雑音電力の推定を表現することにも留意する。 In one embodiment, model size estimation is accomplished using the "F" statistic. For example, for the ESPRIT algorithm, the singular value decompositions of the covariance matrix estimates (using forward/backward correlation smoothing) are ordered in ascending order. A division is then performed whereby the (n+1) eigenvalues are divided by the nth eigenvalue. This rate is an "F" random variable. The worst case is an 'F' random variable with (1,1) degrees of freedom. The 95% confidence interval for an “F” random variable with (1,1) degrees of freedom is 161. Setting that value as a threshold determines the model size. Also note that for the noise subspace, the eigenvalues represent an estimate of the noise power.
「F」統計を固有値の率に適用するこの方法は、モデルサイズのより正確な推定方法である。「F」統計における他の自由度もまた、閾値計算及びその結果としてモデルサイズ推定のために使用され得ることに留意されたい。 This method of applying the 'F' statistic to the rate of eigenvalues is a more accurate method of estimating model size. Note that other degrees of freedom in the 'F' statistic can also be used for threshold calculation and consequently model size estimation.
それにも関わらず、いくつかの場合では、2つ以上の(時間において)非常に近くに間隔を置かれた信号が、実世界の測定不完全性が原因で、1つの信号に縮退し得る。結果として、上述した方法は、信号の数、すなわち、モデルサイズを過小推定する。モデルサイズの過小推定は、周波数推定の正確性を減らすので、一定の数を追加することによってモデルサイズを増加させることが賢明である。この数は、実験的に及び/またはシミュレーションから決定され得る。しかしながら、信号が近くに間隔を置かれないとき、モデルサイズは、過大推定される。 Nevertheless, in some cases, two or more very closely spaced (in time) signals may degenerate into one signal due to real-world measurement imperfections. As a result, the method described above underestimates the number of signals, ie the model size. Underestimating the model size reduces the accuracy of frequency estimation, so it is advisable to increase the model size by adding a constant number. This number can be determined experimentally and/or from simulations. However, when the signals are not closely spaced, the model size is overestimated.
かかる場合では、不要な、すなわち、存在しない周波数が出現し得る。前述したように、不要な信号検出のために信号振幅を使用することが、必ずしも機能するとは限らない。なぜなら、いくつかの場合では、不要な信号(複数可)が、実際の信号(複数可)振幅に非常に近い振幅を有することが観測されたからである。したがって、振幅弁別に加えて、フィルタが、不要な周波数を除去する可能性を改良するために実現され得る。 In such cases, unwanted or nonexistent frequencies may appear. As mentioned above, using signal amplitude for unwanted signal detection does not always work. This is because in some cases it has been observed that the unwanted signal(s) have amplitudes very close to the actual signal(s) amplitude. Therefore, in addition to amplitude discrimination, filters can be implemented to improve the likelihood of removing unwanted frequencies.
超分解能アルゴリズムによって推定される周波数は、人工的な周波数(式2)である。実際、これらの周波数は、マルチパス環境の個々のパス遅延である。結果として、負の周波数は存在しないはずであり、超分解能アルゴリズムによって作り出される全ての負の周波数は、拒否される不要な周波数である。 The frequency estimated by the super-resolution algorithm is the artificial frequency (equation 2). In effect, these frequencies are individual path delays in a multipath environment. As a result, there should be no negative frequencies, and all negative frequencies produced by the super-resolution algorithm are unwanted frequencies that are rejected.
  なおその上に、DLOS距離範囲は、超分解能方法とは異なる方法を使用して、測定の間に取得される複素振幅
実施形態では、レンジング信号が、ラウンドトリップを行う。換言すれば、それは、両方向に移動する、すなわち、マスタ/読み取り機から対象/スレーブに及び対象/スレーブからマスタ/読み取り機に戻る。 In an embodiment, the ranging signal makes round trips. In other words, it moves in both directions, ie from master/reader to target/slave and from target/slave back to master/reader.
マスタは、音、すなわち、α×e-jωtを伝送する。ここで、ωは、動作帯域における動作周波数であり、αは、音信号振幅である。The master transmits sound, ie α×e−jωt . where ω is the operating frequency in the operating band and α is the sound signal amplitude.
対象の受信機において、受信信号(一方向)は、以下のとおりである。 At the receiver of interest, the received signal (one way) is:
ここで、Nは、マルチパス環境における信号パスの数であり、K0及びτ0は、DLOS信号の振幅及び飛行時間であり、|K0|=1、K0>0、|Km≠0|≦1であり、Km≠0は、正または負であり得る。where N is the number of signal paths in the multipath environment, K0 andτ0 are the amplitude and time-of-flight of the DLOS signal, |K0 |=1,K0 >0, |Km≠0 |≦1 and Km≠0 can be positive or negative.
  ここで、
対象は、受信信号を再送する。 The subject retransmits the received signal.
  マスタ受信機において、ラウンドトリップ信号は、
である。At the master receiver, the roundtrip signal is
 is.
  一方、式(26)及び(28)から、
  ここで、
  式29から、ラウンドトリップマルチパスチャネルは、一方向チャネルマルチパスよりも多くの数のパスを有する。なぜなら、τ0÷τNパス遅延に加えて式
これらの組み合わせは、信号(複素指数)の数を劇的に増大させる。これゆえ、(時間において)非常に近くに間隔を置かれた信号の確率もまた、増大し、モデルサイズの著しい過小推定をもたらし得る。それゆえ、一方向マルチパスRFチャネル伝達関数を取得することが望ましい。 These combinations dramatically increase the number of signals (complex exponents). Hence, the probability of very closely spaced (in time) signals also increases, which can lead to a significant underestimation of the model size. Therefore, it is desirable to obtain the unidirectional multipath RF channel transfer function.
  好ましい実施形態では、一方向振幅値
  しかしながら、ωの各値について、
この不明確さを解消する発明を実施するための形態は、以下に示される。レンジング信号の異なる周波数成分が互いに近い場合には、大部分について、一方向位相は、ラウンドトリップ位相を2で割ることによって見付けられ得る。例外は、位相は、小さな周波数ステップでさえも著しい変化を受け得る「ヌル」に近い領域を含む。「ヌル」現象は、複数のパスから入って来るRF信号が、DLOSパス及び互いと破壊的に結合している場合であり、それゆえ、受信信号強度及びそれと関連付けられたSNRを著しく低減することに留意する。 A detailed description that clears up this ambiguity is provided below. If the different frequency components of the ranging signal are close to each other, for the most part the unidirectional phase can be found by dividing the round-trip phase by two. The exception is phase, which includes regions near "nulls" where even small frequency steps can undergo significant changes. A "null" phenomenon is when incoming RF signals from multiple paths destructively combine with the DLOS paths and each other, thus significantly reducing the received signal strength and its associated SNR. Note
  h(t)を通信チャネルの一方向インパルス応答とする。周波数領域における対応する伝達関数は、
であり、
  ここで、A(ω)≧0は大きさであり、α(ω)は、伝達関数の位相である。一方向インパルス応答が、それが受信されるのと同じチャネルを通して再送されて戻される場合、結果として生じる二方向伝達関数は、
であり、
  ここで、B(ω)≧0である。二方向伝達関数G(ω)は、いくつかの開いた周波数区間(ω1,ω2)内の全てのωについて、既知であると想定する。g(ω)を生成した(ω1,ω2)上で定義される一方向伝達関数H(ω)を決定することが可能である?Let h(t) be the one-way impulse response of the communication channel. The corresponding transfer function in the frequency domain is
 and
 where A(ω)≧0 is the magnitude and α(ω) is the phase of the transfer function. If the one-way impulse response is retransmitted back through the same channel in which it was received, the resulting two-way transfer function is
 and
 where B(ω)≧0. The bidirectional transfer function G(ω) is assumed to be known for all ω within some open frequency interval (ω1 , ω2 ). Is it possible to determine the one-way transfer function H(ω) defined above (ω1 , ω2 ) that produced g(ω)?
  二方向伝達関数の大きさは、一方向の大きさの二乗であるので、
であることは明確である。Since the magnitude of the two-way transfer function is the square of the one-way magnitude,
 It is clear that
  しかしながら、G(ω)の観測から一方向伝達関数の位相を見出す試みにおいて、状況は、より把握し難い。ωの各値について、
であるように、位相α(ω)の2つの値が存在する。However, in attempting to find the phase of the one-way transfer function from observations of G(ω), the situation is more elusive. For each value of ω,
 There aretwo values of phase α(ω) such that .
多数の異なる解が、それぞれの異なる周波数ωについて、2つの可能な位相値のうちの1つを選択することによって独立して生成され得る。 A number of different solutions can be generated independently by choosing one of two possible phase values for each different frequency ω.
任意の一方向伝達関数が全ての周波数において連続的であることを仮定する、以下の定理は、この状況を解消するのに役立つ。 The following theorem, which assumes that any one-way transfer function is continuous at all frequencies, helps to resolve this situation.
  定理1  Iを、二方向伝達関数
証明  一方向伝達関数についての解の1つは、関数
H(ω)及びJ(ω)は、I上で連続的であり、かつゼロではないので、それらの比率は、I上で連続的であり、それゆえ、(34)の右辺は、I上で連続的である。条件β(ω)=2α(ω)=2γ(ω)は、各ω∈Iについて、α(ω)-γ(ω)が、0またはπのいずれかであることを暗示する。しかしながら、α(ω)-γ(ω)は、(34)の右辺に不連続性をもたらさずに、これらの2つの値間で転換することができない。それゆえ、全てのω∈Iについて、α(ω)-γ(ω)=0、または全てのω∈Iについて、α(ω)-γ(ω)=πのいずれかとなる。第1の場合では、J(ω)=H(ω)を得て、第2の場合では、J(ω)=-H(ω)を得る。 Since H(ω) and J(ω) are continuous on I and not zero, their ratio is continuous on I, so the right-hand side of (34) is is continuous with The condition β(ω)=2α(ω)=2γ(ω) implies that for each ω∈I, α(ω)−γ(ω) is either 0 or π. However, α(ω)−γ(ω) cannot be converted between these two values without introducing a discontinuity on the right-hand side of (34). Therefore, either α(ω)−γ(ω)=0 for all ωεI or α(ω)−γ(ω)=π for all ωεI. In the first case we have J(ω)=H(ω) and in the second we have J(ω)=−H(ω).
  この定理は、伝達関数
一方向解を見付けるための代替の手順は、以下の定理に基づく。 An alternative procedure for finding a one-way solution is based on the following theorem.
  定理2
証明  ω0を区間I内の周波数とする。図7において、複素値H(ω0)が、複素平面におけるある点として、及びH(ω0)≠0という仮説によって、プロットされている。ε>0を任意の小さな実数とし、図7に示される2つの角度ε、ならびに2つの線OA及びOBにおいて中心を置かれると共にそれらに接する円を考える。仮定によって、H(ω)は、全てのωについて連続的である。それゆえ、ωがω0に十分に近い場合、複素値H(ω)は円内にあり、
  定理3  Iを、二方向伝達関数
証明  この証明は、定理1の証明に類似する。我々は、一方向伝達関数についての解の1つは、関数
  仮説によって、γ(ω)はI上で連続的であり、定理2によって、α(ω)もまた、I上で連続的である。それゆえ、α(ω)-γ(ω)は、I上で連続的である。条件β(ω)=2α(ω)=2γα(ω)は、各ω∈Iについて、α(ω)-γ(ω)が、0またはπのいずれかであることを暗示する。しかしながら、α(ω)-γ(ω)は、I上で不連続的にならずに、これらの2つの値間で転換することができない。それゆえ、全てのω∈Iについて、α(ω)-γ(ω)=0であるか、または全てのω∈Iについて、α(ω)-γ(ω)=πのいずれかとなる。第1の場合では、J(ω)=H(ω)を得て、第2の場合では、J(ω)=-H(ω)を得る。  By hypothesis, γ(ω) is continuous on I, and by
  定理3は、伝達関数
上記定理は、二方向関数G(ω)を発生させる2つの一方向伝達関数をどのように再構築するかを示すが、それらは、G(ω)のゼロを含まない周波数区間I上のみにおいて有用である。一般に、G(ω)は、ゼロを含み得る周波数区間(ω1,ω2)上で観測される。以下は、この問題を回避し得る方法であり、(ω1,ω2)においてG(ω)の有限数のゼロのみが存在すること、かつ一方向伝達関数が、(ω1,ω2)上の全ての次数の導関数を有し、それらの全てが、任意の所与の周波数ωにおいてゼロになるとは限らないことを仮定する。The theorem above shows how to reconstruct the two one-way transfer functions that generate the two-way function G(ω), but only on the zero-free frequency interval I of G(ω). Useful. In general, G(ω) is observed over the frequency interval (ω1 , ω2 ), which may contain zeros. The following is a method that can circumvent this problem, requiring that there are only a finite number of zeros of G(ω) at (ω1 , ω2 ) and that the one-way transfer function is (ω1 , ω2 ) Suppose we have derivatives of all orders above, not all of them vanishing at any given frequency ω.
  H(ω)を区間(ω1,ω2)上でG(ω)を生成する一方向関数とし、G(ω)は、(ω1,ω2)上で少なくとも1つのゼロを有することを仮定する。G(ω)のゼロは、(ω1,ω2)を有限数の開いた隣接周波数区間J1,J2,・・・,Jnに分離する。かかる各区間上で、解H(ω)または-H(ω)が、定理1または定理3のいずれかを使用して見付けられる。転換された解が(ω1,ω2)の全てにわたってH(ω)または-H(ω)のいずれかであるように、これらの解を「共に転換」する必要がある。これを行うために、我々は、サブ区間から次のサブ区間へと移動する際に、H(ω)から-H(ω)または-H(ω)からH(ω)に転換しないように、2つの隣接サブ区間内の解をどのように対にするかを知る必要がある。Let H(ω) be a one-way function producing G(ω) on the interval (ω1 , ω2 ), and let G(ω) have at least one zero on (ω1 , ω2 ). Assume. The zeros in G(ω) separate (ω1 , ω2 ) into a finite number of open adjacent frequency intervals J1 , J2 , . . . , Jn . On each such interval, a solution H(ω) or −H(ω) is found using either
第1の2つの開いた隣接サブ区間J1及びJ2で開始する転換手順を例示する。これらのサブ区間は、G(ω)のゼロである周波数ω1において隣接する(勿論、ω1は、いずれのサブ区間内にも含まれない)。一方向伝達関数の特性に関する我々の上記仮定によって、H(n)(ω1)≠0であるように最小の正の整数nが存在する必要があり、ここで、上付き文字(n)は、n次導関数を示す。次いで、左からω→ω1としてJ1内の我々の一方向解のn次導関数の極限値は、J1内の我々の解がH(ω)または-H(ω)であるかどうかに従って、H(n)(ω1)または-H(n)(ω1)のいずれかになる。同様に、右からω→ω1として、J2内の我々の一方向解のn次導関数の極限値は、J2内の我々の解が、-H(ω)または-H(ω)であるかどうかに従って、H(n)(ω1)または-H(n)(ω1)のいずれかになる。H(n)(ω1)≠0であるので、2つの極限値は、J1及びJ2における解が共にH(ω)または共に-H(ω)である場合かつそうである場合にのみ、等しくなる。左及び右側の極限値が等しくない場合、我々は、サブ区間J2内の解を反転する。そうではない場合には、反転しない。We illustrate the diversion procedure starting with the first two open adjacent sub-intervalsJ1 andJ2 . These subintervals are adjacent at frequencyω1 , which is the zero of G(ω) (of course,ω1 is not contained within any subinterval). By our above assumptions about the properties of the one-way transfer function, there must be a smallest positive integer n such that H(n) (ω1 )≠0, where the superscript (n) is , denotes the nth derivative. Then, as ω→ω1 from the left, the limit of the n-th derivative of our one-way solution inJ1 is determined whether our solution inJ1 is H(ω) or −H(ω) , either H(n) (ω1 ) or -H(n) (ω1 ). Similarly, as ω→ω1 from the right, the limit of the nth derivative of our one-way solution inJ2 is that our solution inJ2 is −H(ω) or −H(ω) , either H(n) (ω1 ) or -H(n) (ω1 ). Since H(n) (ω1 ) ≠ 0, the two limits are if and only if the solutions in J1 and J2 are both H(ω) or both −H(ω) , will be equal to If the left and right limits are not equal, we flip the solution in subintervalJ2 . Otherwise, do not invert.
(必要に応じて)サブ区間J2内の解を反転した後、我々は、サブ区間J2及びJ3について同一の手順を行い、(必要に応じて)サブ区間J3内の解を反転する。このように続けると、我々は、区間(ω1,ω2)上で完全解を最終的に構築する。After flipping the solution in sub-intervalJ2 (optionally), we do the same procedure for sub-intervalsJ2 andJ3 , flipping the solution in sub-intervalJ3 (optionally) do. Continuing in this way, we finally construct a complete solution on the interval (ω1 , ω2 ).
H(ω)の高次導関数が、上記再構築手順において要求されないことが望ましいであろう。なぜなら、それらは、雑音の存在下で正確にコンピュータ計算することが困難であるからである。この問題が起こる可能性は低い。なぜなら、G(ω)の任意のゼロにおいて、H(ω)の一次導関数はゼロではない可能性が非常に高く、そうでない場合、二次導関数がゼロではない可能性が非常に高いように考えられるからである。 It would be desirable if higher derivatives of H(ω) were not required in the reconstruction procedure. because they are difficult to compute accurately in the presence of noise. This problem is unlikely. Because at any zero of G(ω), the first derivative of H(ω) is very likely non-zero, otherwise the second derivative is very likely non-zero. This is because
実用的な方式では、二方向伝達関数G(ω)が、不連続周波数において測定され、その周波数は、G(ω)のゼロに近い導関数のかなり正確なコンピュータ計算を可能にするために共に十分に近い必要がある。 In a practical manner, the two-way transfer function G(ω) is measured at discrete frequencies, which are combined to allow fairly accurate computation of the near-zero derivative of G(ω). Must be close enough.
RFベースの距離測定の場合、事前に知られた形状を有するレンジング信号の、近くに間隔を置かれた、重複する、及び雑音の入った未知数の反響を解消する必要がある。レンジング信号が狭帯域であることを仮定すると、周波数領域では、このRF現象は、各マルチパス成分毎の、ならびにパスの複素減衰及び伝搬遅延をそれぞれ伴う、いくつかの正弦波の合計として説明(モデル化)され得る。 For RF-based ranging, there is a need to resolve closely spaced, overlapping, and noisy unknown echoes of a ranging signal with a priori known shape. Assuming that the ranging signal is narrowband, in the frequency domain this RF phenomenon can be described as the sum of several sinusoids for each multipath component and with the complex attenuation and propagation delay of the path, respectively ( modeled).
上述した合計のフーリエ変換を行うことは、時間領域においてこのマルチパスモデルを表現する。この時間領域表現における時間及び周波数変数の役割を交換すると、このマルチパスモデルは、高調波信号スペクトルになり、それにおいて、パスの遅延伝搬が、高調波信号に変換される。 Taking the sum Fourier transform described above expresses this multipath model in the time domain. Swapping the roles of time and frequency variables in this time domain representation, this multipath model becomes a harmonic signal spectrum, in which the delay propagation of paths is transformed into harmonic signals.
超(高)分解能スペクトル推定方法は、スペクトル内の近くに位置する周波数を区別するように設計され、複数の高調波信号の個々の周波数、例えば、パス遅延を推定するために使用される。結果として、パス遅延が、正確に推定され得る。 Ultra (high) resolution spectral estimation methods are designed to distinguish closely located frequencies in the spectrum and are used to estimate individual frequencies, e.g. path delays, of multiple harmonic signals. As a result, path delays can be accurately estimated.
超分解能スペクトル推定は、ベースバンドレンジング信号サンプルの共分散行列の固有構造及び共分散行列の固有特性を使用して、個々の周波数、例えば、パス遅延の根本的な推定に対する解決策を提供する。固有構造特性のうちの1つは、固有値が、結合され得、その結果として、直交雑音及び信号固有ベクトル、別名、部分空間に分割され得ることである。別の固有構造特性は、回転不変信号部分空間特性である。 Super-resolution spectral estimation uses the eigenstructure of the covariance matrix of the baseband ranging signal samples and the eigenproperties of the covariance matrix to provide a solution to the underlying estimation of individual frequencies, eg, path delays. One of the eigenstructural properties is that the eigenvalues can be combined and consequently partitioned into orthogonal noise and signal eigenvectors, aka subspaces. Another inherent structural property is the rotation-invariant signal subspace property.
部分空間分解技術(MUSIC、rootMUSIC、ESPRIT等)は、観測されたデータの推定される共分散行列を2つの直交部分空間、雑音部分空間、及び信号部分空間に分けることに依存する。部分空間分解方法論の裏にある理論は、雑音部分空間上への可観測量の投影が雑音のみから成り、かつ信号部分空間上への可観測量の投影が信号のみから成ることである。 Subspace decomposition techniques (MUSIC, rootMUSIC, ESPRIT, etc.) rely on splitting the estimated covariance matrix of the observed data into two orthogonal subspaces, the noise subspace and the signal subspace. The theory behind the subspace decomposition methodology is that the projection of observables onto the noise subspace consists only of noise, and the projection of observables onto the signal subspace consists of only signal.
スペクトル推定方法は、信号が狭帯域であり、高調波信号の数もまた既知であり、すなわち、信号部分空間のサイズが既知である必要があることを仮定する。信号部分空間のサイズは、モデルサイズとして呼ばれる。一般に、それは、詳しく知られることができず、環境が変化する際に、特に屋内で、急速に変化する可能性がある。任意の部分空間分解アルゴリズムを適用するときに最も困難な及び難解な問題のうちの1つは、存在する周波数成分の数として見なされ得る信号部分空間の次元であり、それは、直接パスを足したマルチパス反射数である。実世界の測定不完全性が原因で、常に、モデルサイズ推定における誤差が存在し、それは、次いで、周波数推定、すなわち、距離の正確性を損なうことを結果としてもたらす。 The spectral estimation method assumes that the signal is narrowband and that the number of harmonic signals is also known, ie the size of the signal subspace must be known. The size of the signal subspace is called the model size. In general it is not well known and can change rapidly as the environment changes, especially indoors. One of the most difficult and intractable problems when applying any subspace decomposition algorithm is the dimension of the signal subspace, which can be viewed as the number of frequency components present, which is the direct path plus is the number of multipath reflections. Due to real-world measurement imperfections, there is always an error in model size estimation, which in turn results in a loss of frequency estimation, ie range accuracy.
距離測定の正確性を改良するために、一実施形態は、部分空間分解高分解能推定の先端技術の方法論を発展させる6つの特徴を含む。遅延パス決定の不明確さを更に減らす異なる固有構造特性を使用することによって、個々の周波数を推定する2つ以上のアルゴリズムを組み合わせることが、含まれる。 To improve the accuracy of range measurements, one embodiment includes six features that develop a state-of-the-art methodology for subspace-resolved high-resolution estimation. Combining two or more algorithms that estimate individual frequencies by using different eigenstructure properties that further reduce delay path determination ambiguity is included.
Root Musicは、可観測量が雑音部分空間上へ投影されるときに、投影のエネルギーを最小限にする個々の周波数を見付ける。ESPRITアルゴリズムは、回転演算子から個々の周波数を決定する。その上、多くの点で、この演算は、可観測量が信号部分空間上へ投影されるときに、投影のエネルギーを最大限にする周波数を見付けるという点で、Musicの共役である。 Root Music finds the individual frequencies that minimize the energy of the projection when the observable is projected onto the noise subspace. The ESPRIT algorithm determines individual frequencies from the rotation operator. Moreover, in many respects, this operation is the conjugate of Music in that it finds the frequencies that maximize the energy of the projection when the observables are projected onto the signal subspace.
モデルサイズは、これらのアルゴリズムの両方への鍵であり、実際には、例えば、屋内のレンジングなどにおいて見られるような、複素信号環境では、Music及びESPRITに最良の性能を提供するモデルサイズが、以下に記述される理由のために、一般に等しくない。 Model size is key to both of these algorithms, and in practice, in complex signal environments, such as those found in indoor ranging, the model size that provides the best performance for Music and ESPRIT is They are generally not equal, for reasons described below.
  Musicの場合、「信号固有値」(第1種過誤)として分解の基本要素を識別し過ぎるくらい識別することが望ましい。これは、雑音部分空間上へ投影される信号エネルギーの量を最小限にして、正確性を改良する。ESPRITの場合、逆が真であり、すなわち、「雑音固有値」として分解の基本要素を識別し過ぎるくらい識別することが望ましい。これは、再び、第1種過誤である。これは、信号部分空間上へ投影されるエネルギーへの雑音の影響を最小限にする。したがって、Musicの場合のモデルサイズは、一般に、ESPRITの場合よりもある程度大きい。  For Music, it is desirable to over-identify the basic elements of the decomposition as "signal eigenvalues" (type I error). This minimizes the amount of signal energy projected onto the noise subspace and improves accuracy. For ESPRIT, the opposite is true: it is desirable to over-identify the fundamental elements of the decomposition as "noise eigenvalues". This is again a
第二に、複素信号環境では、強い反射、及び直接パスが実際にマルチパス反射のうちのいくつかよりもかなり弱い可能性のせいで、モデルサイズが、十分な統計的信頼性を持って推定することが困難である場合が生じる。この問題は、Music及びESPRITの両方について「ベース」モデルサイズを推定することによって、ならびにそれぞれについてベースモデルサイズによって定義されたモデルサイズの窓内でMusic及びESPRITを使用して可観測データを処理することによって対処される。これは、各測定についての複数の測定を結果としてもたらす。 Second, in complex signal environments, due to strong reflections and the possibility that the direct path is actually much weaker than some of the multipath reflections, the model size cannot be estimated with sufficient statistical reliability. There are cases where it is difficult to This problem processes observable data using Music and ESPRIT by estimating a "base" model size for both Music and ESPRIT, and within a window of model sizes defined by the base model size for each. dealt with by This results in multiple measurements for each measurement.
  実施形態の第1の特徴は、モデルサイズを推定するためのF統計量の使用である(上記を参照)。第2の特徴は、Music及びESPRITについてのF統計量における異なる第1種過誤確率の使用である。これは、上述されるようにMusic及びESPRIT間の第1種過誤差を実現する。第3の特徴は、直接パスを検出する確率を最大限にするためのベースモデルサイズ及び窓の使用である。  A first feature of the embodiments is the use of the F-statistic to estimate the model size (see above). A second feature is the use of different type I error probabilities in the F-statistics for Music and ESPRIT. This implements a
潜在的に急速に変化する物理的及び電子環境が原因で、全ての測定が、確固たる解答を提供するとは限らない。これは、確固たる範囲推定を提供するために複数の測定へのクラスタ分析を使用することによって対処される。実施形態の第4の特徴は、複数の測定の使用である。 Due to the potentially rapidly changing physical and electronic environment, not all measurements provide robust answers. This is addressed by using cluster analysis on multiple measurements to provide robust range estimates. A fourth feature of embodiments is the use of multiple measurements.
複数の信号が存在するので、Music及びESPRIT実現形態の両方から複数のモデルサイズをそれぞれ使用して、複数の測定から結果として生じる複数の解答の確率分布は、多モードである。従来のクラスタ分析は、この適用に十分ではない。第5の特徴は、直接範囲及び反射されたマルチパス成分の同等範囲を推定するための多モードのクラスタ分析の展開である。第6の特徴は、クラスタ分析(範囲及び標準偏差、ならびに統計的に同一であるそれらの推定の組み合わせによって提供される範囲推定の統計量の分析である。これは、より正確な範囲推定を結果としてもたらす。 Since there are multiple signals, using multiple model sizes from both the Music and ESPRIT implementations respectively, the probability distributions of the multiple answers resulting from multiple measurements are multimodal. Conventional cluster analysis is not sufficient for this application. A fifth feature is the development of multimodal cluster analysis for estimating equivalent ranges of direct and reflected multipath components. A sixth feature is the analysis of the range estimate statistics provided by cluster analysis (range and standard deviation, and combinations of those estimates that are statistically identical. This results in more accurate range estimates. bring as
上述した方法はまた、広帯域幅レンジング信号場所発見システムにおいて使用され得る。 The methods described above may also be used in wide bandwidth ranging signal location systems.
  式(20)を用いて開始する、閾値方法におけるr(t)の導出のために、我々は、
を取得する。For the derivation of r(t) in the threshold method, starting with equation (20), we have
 to get
  ここで、三角関数恒等式
  a0を除外して、係数akは、偶数kの場合にゼロである。この理由は、区間I上で、我々が、h(t)で近似することを試みている関数1/sinπΔftは、Iの中心について偶数であるが、奇数k、k≠0の場合、基底関数sinkπΔftは、Iの中心について奇数であり、それゆえ、I上で1/sinπΔftに直交であることである。それゆえ、我々は、k=2n+1の置換を行うことができ、Mを奇数の正の整数とする。実際には、我々は、M=2N+1とする。この選択は、区間I内の振動のキャンセルの相当量を提供するために実験的に決定されている。Except for a0 , the coefficients ak are zero for even k. The reason for this is that on the interval I, the
  ここで、我々は、第1の加算において置換k=N-n及び第2の加算において置換k=N+n+1を行い、
を取得する。where we make the permutation k=N−n in the first addition and the permutation k=N+n+1 in the second addition,
 to get
  s(t)からg(t)の減算は、
を結果としてもたらす。The subtraction of g(t) from s(t) is
 results in
  ここで、
b0=1-(1/2)a2N+1
bk=2-(1/2)a2(N-k)+1  k=1,2,…,Nの場合
bk=-(1/2)a2(kーN)-1  k=N+1,N+2,…,2N+1の場合
c=-a0
      (A5)
とする。here,
 b0 =1-(1/2)a2N+1
 bk =2−(1/2)a2(N−k)+1 for k=1, 2, . . . , N bk =−(1/2)a2(k−N)−1 k=N+1 , N+2, . . . , 2N+1, c=-a0
 (A5)
 and
  次いで、(A4)は、
として書かれ得る。Then (A4) is
 can be written as
本実施形態は、関連技術の欠点のうちの1つ以上を実質的に取り除く無線通信及び他の無線ネットワークにおける測位/位置特定方法に関する。本実施形態は、有利に、特許文献3に記載されるマルチパス軽減プロセス、技法、及びアルゴリズムを利用することによって、複数の種類の無線ネットワークにおける追跡及び位置特定機能の正確性を改良する。これらの無線ネットワークは、無線パーソナルエリアネットワーク(WPGAN)、例えばZigBee及びBlue Tooth(登録商標)など、無線ローカルエリアネットワーク(WLAN)、例えばWiFi及びUWBなど、典型的には複数のWLANからなる無線メトロポリタンエリアネットワーク(WMAN)、主な実施例であるWiMax、無線ワイドエリアネットワーク(WAN)、例えばホワイトスペースTV帯域など、ならびに典型的には音声及びデータを伝送するために使用されるモバイルデバイスネットワーク(MDN)を含む。MDNは、典型的には、グローバルなモバイル通信システム(GSM(登録商標))及び個人通信サービス(PCS)規格に基づく。直近のMDNは、ロングタームエボリューション(LTE)規格に基づく。これらの無線ネットワークは、典型的には、基地局、デスクトップ、タブレット及びラップトップコンピュータ、ハンドセット、スマートホン、アクチュエータ、専用タグ、センサ、ならびに他の通信及びデータデバイス(一般に、これらのデバイスの全ては、「無線ネットワークデバイス」として称される)を含む、デバイスの組み合わせから成る。 The present embodiments relate to positioning/localization methods in wireless communications and other wireless networks that substantially obviate one or more of the shortcomings of the related art. The present embodiments advantageously improve the accuracy of tracking and location functions in multiple types of wireless networks by utilizing the multipath mitigation processes, techniques and algorithms described in US Pat. These wireless networks are wireless personal area networks (WPGAN), such as ZigBee and Blue Tooth®, wireless local area networks (WLAN), such as WiFi and UWB, and wireless metropolitan areas that typically consist of multiple WLANs. Area Networks (WMAN), of which WiMax is a prime example, Wireless Wide Area Networks (WAN), such as white space TV bands, and Mobile Device Networks (MDN), typically used to transmit voice and data. )including. MDN is typically based on the Global System for Mobile Communications (GSM) and Personal Communications Service (PCS) standards. The latest MDN is based on the Long Term Evolution (LTE) standard. These wireless networks typically include base stations, desktop, tablet and laptop computers, handsets, smartphones, actuators, specialized tags, sensors, and other communication and data devices (generally all of these devices are , referred to as “wireless network devices”).
既存の位置特定及び測位情報の解決策は、GPS、AGPS、携帯電話タワー三角測量、及びWi-Fiを含む、複数の技術ならびにネットワークを使用する。この位置特定情報を導出するために使用される方法のうちのいくつかは、RF指紋採取、RSSI、及びTDOAを含む。現在のE911要件に許容可能であるが、既存の位置特定及びレンジング方法は、来たるべきE911要件ならびにLBS及び/またはRTLS適用要件、特に屋内及び都市環境を支援するために要求される信頼性ならびに正確性を有さない。 Existing location and positioning information solutions use multiple technologies and networks, including GPS, AGPS, cell tower triangulation, and Wi-Fi. Some of the methods used to derive this location information include RF fingerprinting, RSSI, and TDOA. While acceptable for current E911 requirements, existing localization and ranging methods are not reliable and Not accurate.
特許文献3に記載された方法は、単一無線ネットワークまたは複数の無線ネットワークの組み合わせ内で対象デバイスを正確に位置特定及び追跡する能力を著しく改良する。実施形態は、DL-OTDOA(ダウンリンクOTDOA)、U-TDOA、UL-TDOA及び他のものを含む、強化型セル-IDならびにOTDOA(観測される到着時間差)を使用する無線ネットワークによって使用される追跡及び場所特定方法の既存の実現形態に対する著しい改良である。 The method described in US Pat. No. 6,200,301 significantly improves the ability to accurately locate and track a target device within a single wireless network or a combination of multiple wireless networks. Embodiments are used by wireless networks that use Enhanced Cell-ID and OTDOA (Observed Time Difference of Arrival), including DL-OTDOA (Downlink OTDOA), U-TDOA, UL-TDOA and others It is a significant improvement over existing implementations of tracking and localization methods.
セルID場所技法は、特定のセクタカバレッジ範囲の正確性を伴うユーザ(UE-ユーザ機器)の位置の推定を可能にする。それゆえ、達成可能な正確性は、セル(基地局)セクタ化方式及びアンテナビーム幅に依存する。正確性を改良するために、強化型セルID技法は、eNBからのRTT(ラウンドトリップ時間)測定を加える。ここで、RTTは、ダウンリンクDPCH-専用物理チャネル、(DPDCH)/DPCCH:専用物理データチャネル/専用物理制御チャネル)フレームの伝送と、対応するアップリンク物理フレームの開始との間の差を構成することに留意する。この実例では、上述したフレーム(複数可)が、レンジング信号として機能する。この信号がeNBからUEまでどのくらい伝搬するかという情報に基づいて、eNBからの距離が計算され得る(図10を参照)。 Cell-ID location techniques allow estimation of the location of a user (UE-user equipment) with the accuracy of specific sector coverage. Therefore, the achievable accuracy depends on the cell (base station) sectorization scheme and antenna beam width. To improve accuracy, the Enhanced Cell ID technique adds RTT (Round Trip Time) measurements from the eNB. Here, RTT constitutes the difference between the transmission of a downlink DPCH—Dedicated Physical Channel, (DPDCH)/DPCCH: Dedicated Physical Data Channel/Dedicated Physical Control Channel) frame and the start of the corresponding uplink physical frame. Note that In this example, the frame(s) described above serve as the ranging signal. Based on the information how far this signal travels from the eNB to the UE, the distance from the eNB can be calculated (see Figure 10).
観測される到着時間差(OTDOA)技法では、近隣基地局(eNB)から来る信号の到着時間が計算される。UE位置は、3つの基地局から信号が一旦受信されると、ハンドセット(UEベースの方法)においてまたはネットワーク(NTベースのUE支援型方法)において推定され得る。測定される信号は、CPICH(共通パイロットチャネル)である。信号の伝搬時間は、局所的に発生される複製に相関している。相関のピークは、測定された信号の伝搬の観測された時間を示す。2つの基地局間の到着時間差値は、双曲線を決定する。少なくとも3つの基準点が、2つの双曲線を定義するために必要である。UEの場所は、これらの2つの双曲線の交点にある(図11を参照)。 The Observed Time Difference of Arrival (OTDOA) technique calculates the time of arrival of signals coming from neighboring base stations (eNBs). UE position can be estimated at the handset (UE-based method) or at the network (NT-based UE-assisted method) once signals are received from three base stations. The signal to be measured is the CPICH (Common Pilot Channel). The signal propagation time is correlated to the locally generated replicas. The correlation peak indicates the observed time of propagation of the measured signal. The time difference of arrival values between two base stations determine a hyperbola. At least three reference points are required to define two hyperbolas. The UE location is at the intersection of these two hyperbolas (see Figure 11).
非活動(idle)期間ダウンリンク(IPDL)は、OTDOAを更に強化する。OTDOA-IPDL技法は、通常のOTDOA時間測定が非活動期間に行われるのと同じ測定に基づき、それにおいて、サービングeNBは、その伝送を終えて、このセルのカバレッジ内のUEが、遠方のeNB(複数可)から来るパイロットを聴くことを可能にする。サービングeNBは、連続またはバーストモードにおいて非活動期間を提供する。連続モードでは、1つの非活動期間が、ダウンリンク物理フレーム(10ミリ秒)毎に挿入される。バーストモードでは、非活動期間が、擬似ランダムに発生する。更なる改良が、時間整合IPDL(TA-IPDL)によって取得される。時間整合は、共通非活動期間を作り出し、その間に、各基地局が、その伝送を終えるか、または共通パイロットを伝送する。パイロット信号測定は、非活動期間において行われる。DL OTDOA-IPDL方法を更に強化し得るいくつかの他の技法、例えば、累積仮想ブランキング(Cumulative Virtual Blanking)、UTDOA(アップリンクTDOA)等が存在する。これらの技法の全ては、他の(非サービング)eNB(複数可)を聴く能力を改良する。 An idle period downlink (IPDL) further enhances OTDOA. The OTDOA-IPDL technique is based on the same measurements that normal OTDOA time measurements are made during periods of inactivity, in which the serving eNB has finished its transmission and a UE within the coverage of this cell Allows listening to pilots coming from(s). The serving eNB provides periods of inactivity in continuous or burst mode. In continuous mode, one period of inactivity is inserted every downlink physical frame (10 ms). In burst mode, periods of inactivity occur pseudorandomly. A further improvement is obtained with time-aligned IPDL (TA-IPDL). Time alignment creates a common period of inactivity during which each base station terminates its transmission or transmits a common pilot. Pilot signal measurements are taken during periods of inactivity. There are some other techniques that can further enhance the DL OTDOA-IPDL method, eg Cumulative Virtual Blanking, UTDOA (Uplink TDOA), etc. All of these techniques improve the ability to listen to other (non-serving) eNB(s).
OTDOAベースの技法の1つの著しい欠点は、この方法が実行可能であるために、基地局タイミング関係が既知であるまたは測定(同期)される必要があることである。非同期型UMTSネットワークについて、3GPP規格は、このタイミングがどのようにリカバリされ得るかを提案する。しかしながら、ネットワークオペレータは、かかる解決策を実施していない。結果として、CPICH信号測定の代わりにRTT測定を使用する代替案が提案された(特許文献4、John Carlson et al.、SYSTEM AND METHOD FOR NETWORK TIMING RECOVERY IN COMMUNICATIONS NETWORKSを参照)。 One significant drawback of the OTDOA-based technique is that the base station timing relationship needs to be known or measured (synchronized) for the method to be viable. For asynchronous UMTS networks, the 3GPP standard proposes how this timing can be recovered. However, network operators have not implemented such solutions. As a result, alternatives have been proposed to use RTT measurements instead of CPICH signal measurements (see US Pat. No. 6,300,003, John Carlson et al., SYSTEM AND METHOD FOR NETWORK TIMING RECOVERY IN COMMUNICATIONS NETWORKS).
上述した方法/技法の全ては、地上波信号到着時間及び/または到着時間差測定(RTT、CPICH等)に基づく。かかる測定に関する問題は、これらが、マルチパスによって激しく影響を及ぼされることである。これは、次いで、上述した方法/技法の位置特定/追跡正確性を著しく低下させる(非特許文献4を参照)。 All of the methods/techniques described above are based on terrestrial signal time-of-arrival and/or time-of-arrival measurements (RTT, CPICH, etc.). A problem with such measurements is that they are severely affected by multipath. This, in turn, significantly reduces the location/tracking accuracy of the methods/techniques described above (see Non-Patent Document 4).
1つのマルチパス軽減技法は、eNB(複数可)または無線基地局(RBS)の超過数からの検出/測定を使用する。最小数は3であるが、マルチパス軽減の場合、要求されるRBSの数は、少なくとも6~8にある(特許文献5、METHOD AND ARRANGEMENT FOR DL-OTDOA (DOWNLINK OBSERVED TIME DIFFERENCE OF ARRIVAL)POSITIONING IN A LTE(LONG TERM EVOLUTION)WIRELESS COMMUNICATIONS SYSTEMを参照)。しかしながら、UEがこの多数のeNB(複数可)から聴く確率は、3つのeNB(複数可)からよりもかなり低い。これは、多数のRBS(eNB)を用いると、UEから遠く離れたいくつかのものが存在し、これらのRBS(複数可)からの受信信号が、UE受信機感度レベルを下回り得るか、または受信信号が、低いSNRを有するからである。 One multipath mitigation technique uses detection/measurement from an excess number of eNB(s) or radio base stations (RBS). The minimum number is 3, but for multipath mitigation, the number of RBSs required is at least 6-8 (US Pat. A LTE (LONG TERM EVOLUTION) WIRELESS COMMUNICATIONS SYSTEM). However, the probability that a UE will hear from this large number of eNB(s) is much lower than from three eNB(s). This is because with a large number of RBSs (eNBs) there may be some far away from the UE and the received signal from these RBS(s) may be below the UE receiver sensitivity level, or This is because the received signal has a low SNR.
RF反射(例えば、マルチパス)の場合では、様々な遅延時間を有するRF信号の複数の複製が、DLOS(直接見通し線)信号の上に重畳させられる。RTT測定を含む、様々なセルID及びOTDOA方法/技法に使用されるCPICH、アップリンクDPCCH/DPDCH、及び他の信号は、限定された帯域幅のものであるので、DLOS信号及び反射信号は、適切なマルチパス処理/軽減無しで区別されることができず、その上、このマルチパス処理無しでは、これらの反射信号は、RTT測定を含む、推定される到着時間差(TDOA)及び到着時間(TOA)測定において誤差を誘発する。 In the case of RF reflections (eg, multipath), multiple copies of the RF signal with different delay times are superimposed on the DLOS (direct line of sight) signal. Since the CPICH, uplink DPCCH/DPDCH, and other signals used for various Cell-ID and OTDOA methods/techniques, including RTT measurements, are of limited bandwidth, the DLOS and reflected signals are Without proper multipath processing/mitigation, these reflected signals cannot be distinguished without proper multipath processing/mitigation and, moreover, without this multipath processing, these reflected signals are estimated time difference of arrival (TDOA) and time of arrival ( TOA) induce an error in the measurement.
例えば、3G TS25.515v.3.0.0(199-10)規格は、RTTを「…ダウンリンクDPCHフレーム(信号)の伝送と、UEからの対応するアップリンクDPCCH/DPDCHフレーム(信号)の開始(第1の有意のパス)の受信との間の差」として定義する。規格は、何がこの「第1の有意のパス」を構成するかを定義していない。規格は、「第1の有意のパスの定義が、更なる推敲を必要とする」ことを注記し続ける。例えば、厳しいマルチパス環境では、それは、一般的な出来事であり、それによって、第1の有意のパスであるDLOS信号が、1つ以上の反射信号(複数可)と比較して激しく減衰される(10dB~20dB)。「第1の有意のパス」が、信号強度の測定によって決定される場合、それは、反射信号(複数可)のうちの1つであり得、DLOS信号ではない可能性がある。これは、誤ったTOA/DTOA/RTT測定(複数可)及び位置特定正確性を損なうことを結果としてもたらす。For example, 3G TS25.515v. The 3.0.0 (199-10) standard defines RTT as "...the transmission of a downlink DPCH frame (signal) and the start of the corresponding uplink DPCCH/DPDCH frame (signal) from the UE (the first significant path) is defined as the "difference between The standard does not define what constitutes this "first significant path". The standard continues to note that "the definition of the first significant path needs further elaboration". For example, in severe multipath environments it is a common occurrence that the DLOS signal,the first significant path , is severely attenuated compared to one or more reflected signal(s). (10dB-20dB). If the "first significant path" is determined by a signal strength measurement, it may be one of the reflected signal(s) and not the DLOS signal. This results in erroneous TOA/DTOA/RTT measurement(s) and compromised location accuracy.
従来の無線ネットワーク世代では、位置特定正確性がまた、位置特定方法によって使用されるフレーム(信号)、すなわち、RTT、CPCIH、及び他の信号の低いサンプリングレートによって影響を受けていた。現在の第3の及び以下の無線ネットワーク世代は、かなり高いサンプリングレートを有する。結果として、これらのネットワークでは、位置特定正確性の現実の影響は、地上波RF伝搬現象(マルチパス)に由来する。 In previous generations of wireless networks, location accuracy was also affected by the low sampling rate of the frames (signals) used by the location methods, ie RTT, CPCIH and other signals. Current 3rd and subsequent wireless network generations have significantly higher sampling rates. As a result, in these networks the real impact of location accuracy comes from the terrestrial RF propagation phenomenon (multipath).
実施形態は、単信、半二重、及び全二重動作モードを含む、基準及び/もしくはパイロット信号、ならびに/または同期信号を利用する全ての無線ネットワークにおいて使用され得る。例えば、実施形態は、OFDM変調及び/またはその導関数を利用する無線ネットワークを用いて動作する。それゆえ、実施形態は、LTEネットワークを用いて動作する。 Embodiments may be used in all wireless networks that utilize reference and/or pilot signals and/or synchronization signals, including simplex, half-duplex, and full-duplex modes of operation. For example, embodiments operate with wireless networks that utilize OFDM modulation and/or derivatives thereof. Embodiments therefore operate with LTE networks.
それは、WiMax、WiFi、及びホワイトスペースを含む、他の無線ネットワークにもまた適用可能である。基準及び/もしくはパイロットまたは同期信号を使用しない他の無線ネットワークは、特許文献3に記載されるような以下の種類の代替の変調実施形態、すなわち、1)特許文献3に記載されるようにフレームの一部分が、レンジング信号/レンジング信号要素の専用である場合、2)レンジング信号要素(特許文献3)が伝送/受信信号フレーム(複数可)に埋め込まれる場合、及び3)(特許文献3に記載された)レンジング信号要素が、データと共に埋め込まれる場合のうちの1つ以上を利用してもよい。 It is also applicable to other wireless networks, including WiMax, WiFi, and whitespace. Other wireless networks that do not use reference and/or pilot or synchronization signals have the following types of alternative modulation embodiments as described in US Pat. is dedicated to the ranging signal/ranging signal element, 2) if the ranging signal element (US Pat. No. 3,800,000) is embedded in the transmitted/received signal frame(s), and 3) (as described in US Pat. One or more of the cases where the ranging signal element is embedded with the data may be utilized.
これらの代替の実施形態は、特許文献3に記載されたマルチパス軽減プロセッサ及びマルチパス軽減技法/アルゴリズムを利用し、単信、半二重、及び全二重の全動作モードにおいて使用され得る。 These alternative embodiments utilize the multipath mitigation processor and multipath mitigation techniques/algorithms described in US Pat.
また、複数の無線ネットワークが、同時に、好適な及び/または代替の実施形態を利用する可能性もある。実施例として、スマートホンが、複数のネットワーク上で同時に動作する能力を有するブルートゥース(登録商標)、WiFi、GSM(登録商標)、及びLTE機能を有し得る。アプリケーション要求及び/またはネットワーク利用可能性に依存して、異なる無線ネットワークが、測位/位置特定情報を提供するために利用され得る。 Also, multiple wireless networks may simultaneously utilize the preferred and/or alternative embodiments. As an example, a smart phone may have Bluetooth, WiFi, GSM, and LTE capabilities with the ability to operate on multiple networks simultaneously. Depending on application requirements and/or network availability, different wireless networks may be utilized to provide positioning/location information.
提案される実施形態方法及びシステムは、無線ネットワーク基準/パイロット及び/または同期信号を活用する。なおその上に、基準/パイロット信号/同期信号測定は、RTT(ラウンドトリップ時間)測定またはシステムタイミングと組み合わされてもよい。ある実施形態によれば、RFベースの追跡及び位置特定が、3GPP LTEセルラー式ネットワーク上で実現されるが、他の無線ネットワーク、例えば、種々の信号技法を利用するWiMax、Wi-Fi、LTE、センサネットワーク上などでもまた実現され得る。例示的な実施形態及び上述した代替の実施形態の両方が、特許文献3に記載されるマルチパス軽減方法/技法及びアルゴリズムを利用する。提案されるシステムは、ソフトウェアで実現されるデジタル信号処理を使用することができる。 The proposed embodiment methods and systems utilize wireless network reference/pilots and/or synchronization signals. Furthermore, reference/pilot signal/synchronization signal measurements may be combined with RTT (Round Trip Time) measurements or system timing. According to an embodiment, RF-based tracking and location is implemented over 3GPP LTE cellular networks, but other wireless networks such as WiMax, Wi-Fi, LTE, which utilize various signaling techniques. It can also be implemented on sensor networks and the like. Both the exemplary embodiment and the alternative embodiments described above utilize the multipath mitigation methods/techniques and algorithms described in US Pat. The proposed system can use digital signal processing implemented in software.
実施形態のシステムは、ユーザ機器(UE)、例えば、携帯電話またはスマートホン、ハードウェア/ソフトウェアのみならず、基地局(ノードB)/強化型基地局(eNB)ハードウェア/ソフトウェアを活用する。基地局は、一般に、供給線によってアンテナに接続される小屋またはキャビネット内の送信機及び受信機から成る。これらの基地局は、マイクロセル、ピコセル、マクロセル、アンブレラセル、携帯電話タワー、ルータ、及びフェムトセルを含む。結果として、UEデバイス及びシステム全体に対してわずかな増分費用が存在するかまたは増分費用が存在しない。同時に、位置特定正確性が、著しく改良される。 The system of embodiments leverages user equipment (UE), eg, mobile phones or smart phones, hardware/software as well as base station (NodeB)/enhanced base station (eNB) hardware/software. A base station generally consists of a transmitter and receiver in a shed or cabinet connected to an antenna by a feedline. These base stations include microcells, picocells, macrocells, umbrella cells, cell towers, routers, and femtocells. As a result, there is little or no incremental cost for the UE device and the overall system. At the same time, localization accuracy is significantly improved.
正確性の改良は、本実施形態及び特許文献3によって提供されるマルチパス軽減から生じる。実施形態は、マルチパス軽減アルゴリズム、ネットワーク基準/パイロット及び/または同期信号、ならびにネットワークノード(eNB)を使用する。これらには、RTT(ラウンド時間トリップ)測定が補足され得る。マルチパス軽減アルゴリズムは、UE及び/もしくは基地局(eNB)、またはUE及びeNBの両方において実現される。 The accuracy improvement results from the multipath mitigation provided by this embodiment and US Pat. Embodiments use multipath mitigation algorithms, network reference/pilots and/or synchronization signals, and network nodes (eNBs). These can be supplemented with RTT (Round Time Trip) measurements. Multipath mitigation algorithms are implemented in the UE and/or the base station (eNB) or both the UE and the eNB.
実施形態は、1つ以上の反射信号と比較してDLOS信号が著しく減衰される(10dB~20dBより低い)ときでさえも、DLOS信号及び反射信号の分離を可能にするマルチパス軽減プロセッサ/アルゴリズム(特許文献3を参照)を有利に使用する。それゆえ、実施形態は、推定されたレンジング信号DLOS飛行時間、ならびにその結果としてTOA、RTT、及びDTOA測定における誤差を著しく低減する。提案されるマルチパス軽減及びDLOS区別(認識)方法は、全てのRF帯域及び無線システム/ネットワーク上で使用され得る。更に、それは、スペクトル拡散技法、例えば、DSS(直接スペクトル拡散:Direct Spread Spectrum)及びFH(周波数ホッピング)などを含む、様々な変調/復調技法を支援することができる。 Embodiments provide multipath mitigation processors/algorithms that enable separation of DLOS and reflected signals even when the DLOS signal is significantly attenuated (below 10-20 dB) compared to one or more reflected signals. (cf. US Pat. No. 5,300,002) are advantageously used. Embodiments therefore significantly reduce the estimated ranging signal DLOS time-of-flight and the resulting errors in the TOA, RTT, and DTOA measurements. The proposed multipath mitigation and DLOS discrimination (recognition) method can be used on all RF bands and wireless systems/networks. Furthermore, it can support various modulation/demodulation techniques, including spread spectrum techniques such as DSS (Direct Spread Spectrum) and FH (Frequency Hopping).
それに加えて、雑音低減方法は、方法の正確性を更に改良するために適用され得る。これらの雑音低減方法は、限定されるものではないが、可干渉性加算、非干渉性加算、適合フィルタリング、時間ダイバーシティ技法等を含むことができる。マルチパス干渉誤差の残りは、後処理技法、例えば、最尤推定(例えば、ビタビアルゴリズム)、最小分散推定(カルマンフィルタ)等を適用することによって、更に低減され得る。 Additionally, noise reduction methods can be applied to further improve the accuracy of the method. These noise reduction methods may include, but are not limited to, coherent summing, incoherent summing, adaptive filtering, time diversity techniques, and the like. The residual multipath interference error can be further reduced by applying post-processing techniques such as maximum likelihood estimation (eg, Viterbi algorithm), minimum variance estimation (Kalman filter), and so on.
本実施形態では、マルチパス軽減プロセッサ及びマルチパス軽減技法/アルゴリズムが、RTT、CPCIH、及び他の信号及び/またはフレームを変えない。本実施形態は、チャネル応答/推定を取得するために使用される無線ネットワーク基準、パイロット、及び/または同期信号を活用する。発明は、UE及び/またはeNBによって生じられるチャネル推定統計量を使用する(特許文献6及び特許文献7、Iwamatsu et al.、APPARATUS FOR ESTIMATING PROPAGATION PATH CHARACTERISTICSを参照)。 In this embodiment, the multipath mitigation processor and multipath mitigation techniques/algorithms do not alter the RTT, CPCIH, and other signals and/or frames. The present embodiments leverage wireless network references, pilots, and/or synchronization signals used to obtain channel response/estimation. The invention uses channel estimation statistics produced by the UE and/or eNB (see US Pat.
LTEネットワークは、あらゆるダウンリンク及びアップリンクサブフレームにおいて伝送される特有の(非データ)基準/パイロット及び/または同期s信号(既知の信号)を使用し、セル帯域幅全体に及び得る。簡潔さのために、以後、基準/パイロット及び同期信号を基準信号と称する。LTE基準信号の実施例は、図9にある(これらの信号は、LTEリソース要素の間に点在している)。図2から、基準信号(シンボル)が、6個のサブキャリア置きに伝送される。更に、基準信号(シンボル)は、時間及び周波数の両方においてずらされる。全体で、基準信号は、3個のサブキャリア置きにカバーしている。 LTE networks use unique (non-data) reference/pilots and/or synchronization s-signals (known signals) that are transmitted in every downlink and uplink subframe and can span the entire cell bandwidth. For the sake of brevity, reference/pilot and synchronization signals will be referred to as reference signals hereinafter. An example of LTE reference signals is in FIG. 9 (these signals are interspersed between LTE resource elements). From FIG. 2, reference signals (symbols) are transmitted every 6 subcarriers. Furthermore, the reference signals (symbols) are shifted in both time and frequency. In total, the reference signal covers every third subcarrier.
これらの基準信号は、UEによる初期セル検索、ダウンリンク信号強度測定、スケジューリング、及びハンドオーバ等において使用される。可干渉性復調用のチャネル推定(応答決定)のためのUEに特有の基準信号が、基準信号に含まれる。UEに特有の基準信号に加えて、他の基準信号もまた、チャネル推定目的のために使用され得る(Chen et al.、特許文献8を参照)。 These reference signals are used by the UE in initial cell search, downlink signal strength measurement, scheduling, handover, and so on. UE-specific reference signals for channel estimation (response determination) for coherent demodulation are included in the reference signals. In addition to the UE-specific reference signals, other reference signals may also be used for channel estimation purposes (see Chen et al., US Pat. No. 6,300,000).
LTEは、OFDM(直交周波数分割多重)変調(技法)を利用する。LTEでは、マルチパスによって引き起こされるISI(符号間干渉)が、各OFDMシンボルの始まりにおいてサイクリックプレフィックス(CP)の挿入によって対処される。CPは、前のOFDMシンボルの遅延された反射信号が、次のOFDMシンボルに到達する前に消滅するように十分な遅延をもたらす。 LTE utilizes OFDM (Orthogonal Frequency Division Multiplexing) modulation (technique). In LTE, ISI (inter-symbol interference) caused by multipath is addressed by inserting a cyclic prefix (CP) at the beginning of each OFDM symbol. CP introduces enough delay so that the delayed reflected signal of the previous OFDM symbol vanishes before reaching the next OFDM symbol.
OFDMシンボルは、複数の非常に密接に間隔を置かれたサブキャリアから成る。OFDMシンボルの内側では(マルチパスによって引き起こされる)現在のシンボルの時間をずらされた複製が、キャリア間干渉(ICI)を結果としてもたらす。LTEでは、ICIが、マルチパスチャネル応答の決定によって、及び受信機におけるチャネル応答の訂正によって対処(軽減)される。 An OFDM symbol consists of multiple very closely spaced subcarriers. Inside an OFDM symbol, staggered copies of the current symbol (caused by multipath) result in inter-carrier interference (ICI). In LTE, ICI is addressed (mitigated) by determining the multipath channel response and by correcting the channel response at the receiver.
LTEでは、マルチパスチャネル応答(推定)が、基準シンボルを運ぶサブキャリアから受信機においてコンピュータ計算される。補間法が、残りのサブキャリア上のチャネル応答を推定するために使用される。チャネル応答は、チャネル振幅及び位相の形態で計算(推定)される。チャネル応答が(既知の基準信号の周期的な伝送によって)一旦決定されると、マルチパスによって引き起こされるチャネル歪みが、サブキャリア単位で振幅及び位相シフトを適用することによって軽減される(非特許文献5を参照)。 In LTE, the multipath channel response (estimate) is computed at the receiver from the subcarriers carrying the reference symbols. An interpolation method is used to estimate the channel response on the remaining subcarriers. The channel response is calculated (estimated) in the form of channel amplitude and phase. Once the channel response is determined (by periodic transmission of a known reference signal), multipath-induced channel distortion is mitigated by applying amplitude and phase shifts on a subcarrier-by-subcarrier basis. 5).
LTEマルチパス軽減は、(サイクリックプレフィックスの挿入によって)ISI及びICIを除去するように、ただし、反射信号からDLOS信号を分離しないように設計される。例えば、現在のシンボルの時間をずらされた複製は、それぞれの変調されたサブキャリア信号をやがて拡散させ、それゆえ、ICIを引き起こす。上述したLTE技法を使用するマルチパスチャネル応答の訂正は、変調されたサブキャリア信号をやがて減らすが、この種の訂正は、(OFDMシンボルの内側に)結果として生じる変調されたサブキャリア信号がDLOS信号であることを保証しない。DLOS変調されたサブキャリア信号が、遅延された反射信号(複数可)と比較して著しく減衰される場合、結果として生じる出力信号は、遅延された反射信号(複数可)となり、DLOS信号が失われる。 LTE multipath mitigation is designed to eliminate ISI and ICI (by cyclic prefix insertion), but not separate the DLOS signal from the reflected signal. For example, the time-shifted duplicates of the current symbol will spread the respective modulated subcarrier signals over time, thus causing ICI. Correction of the multipath channel response using the LTE techniques described above will eventually reduce the modulated subcarrier signal, but this type of correction will cause the resulting modulated subcarrier signal (inside the OFDM symbol) to be DLOS Not guaranteed to be a signal. If the DLOS modulated subcarrier signal is significantly attenuated compared to the delayed reflected signal(s), the resulting output signal will be the delayed reflected signal(s) and the DLOS signal will be lost. will be
LTEに準拠した受信機では、更なる信号処理が、DFT(デジタルフーリエ変換)を含む。DFT技法(複数可)は、信号及び/またはチャネル帯域幅に反比例する時間よりも長いあるいはそれに等しい時間について遅延される信号(複数可)の複製のみを解消(除去)することができることは周知である。この方法の正確性は、効率的なデータ転送に適している可能性があるが、厳しいマルチパス環境における精密な距離測定のために十分に正確ではない。例えば、30メートルの正確性を達成するために、信号及び受信機チャネル帯域幅は、十メガヘルツ(1/10MHz=100ns)よりも大きくまたはそれに等しくするべきである。より良い正確性のために、信号及び受信機チャネル帯域幅は、3メートルの場合、より広範囲の、百メガヘルツであるべきである。 In LTE compliant receivers, further signal processing includes DFT (Digital Fourier Transform). It is well known that the DFT technique(s) can only eliminate (remove) replicas of the signal(s) that are delayed for a time greater than or equal to the time inversely proportional to the signal and/or channel bandwidth. be. The accuracy of this method may be suitable for efficient data transfer, but it is not accurate enough for precise distance measurements in harsh multipath environments. For example, to achieve 30 meter accuracy, the signal and receiver channel bandwidth should be greater than or equal to ten megahertz (1/10 MHz=100 ns). For better accuracy, the signal and receiver channel bandwidth should be wider, 100 MHz for 3 meters.
しかしながら、RTT測定を含む、様々なセルID及びOTDOA方法/技法において使用されるCPICH、アップリンクDPCCH/DPDCH、及び他の信号、ならびにLTE受信信号サブキャリアは、十メガヘルツよりも著しく低い帯域幅を有する。結果として、(LTEにおいて)現在利用される方法/技法は、100メートルの範囲において位置特定誤差を生じる。 However, CPICH, uplink DPCCH/DPDCH, and other signals used in various Cell-ID and OTDOA methods/techniques, including RTT measurements, and LTE received signal subcarriers have bandwidths significantly lower than 10 MHz. have. As a result, currently utilized methods/techniques (in LTE) produce location errors in a range of 100 meters.
上記制限を克服するために、実施形態は、部分空間分解高分解能スペクトル推定方法論及び多モードのクラスタ分析の実現形態の固有の組み合わせを使用する。特許文献3に記載されるこの分析ならびに関連したマルチパス軽減方法/技法及びアルゴリズムは、他の反射信号パスからのDLOSパスの信頼できる及び正確な分離を可能にする。 To overcome the above limitations, embodiments use a unique combination of subspace-resolved high-resolution spectral estimation methodologies and implementations of multimodal cluster analysis. This analysis and related multipath mitigation methods/techniques and algorithms described in US Pat.
LTEに使用される方法/技法と比較して、厳しいマルチパス環境では、この方法/技法及びアルゴリズム(特許文献3)は、他のマルチパス(MP)のパスからのDLOSパスの信頼できる及び正確な分離によって、距離測定において20倍~50倍の正確性の改良を達成する。 Compared to the methods/techniques used in LTE, in a severe multipath environment, this method/technique and algorithm (US2004/0020002) provides reliable and accurate DLOS path extraction from other multipath (MP) paths. A 20- to 50-fold improvement in accuracy in distance measurement is achieved with a good separation.
特許文献3に記載される方法/技法及びアルゴリズムは、レンジング信号複素振幅推定を要求する。したがって、チャネル推定(応答決定)のために使用されるLTE基準信号ならびに(パイロット及び/または同期信号を含む他の基準信号はまた、特許文献3に記載される方法/技法及びアルゴリズムにおいてレンジング信号として解釈され得る。この場合では、レンジング信号複素振幅が、振幅及び位相の形態でLTE受信機によって計算(推定)されるチャネル応答である。換言すれば、LTE受信機によって計算(推定)されるチャネル応答統計量は、特許文献3に記載される方法/技法及びアルゴリズムによって要求される複素振幅情報を提供することができる。 The method/technique and algorithm described in US Pat. Therefore, LTE reference signals used for channel estimation (response determination) and other reference signals (including pilots and/or synchronization signals) can also be used as ranging signals in the methods/techniques and algorithms described in US Pat. In this case, the ranging signal complex amplitude is the channel response calculated (estimated) by the LTE receiver in the form of amplitude and phase, in other words the channel response calculated (estimated) by the LTE receiver Response statistics can provide the complex amplitude information required by the methods/techniques and algorithms described in US Pat.
マルチパスを伴わない理想的な開放空間RF伝搬環境では、受信信号(レンジング信号)の位相変化、例えば、チャネル応答位相が、信号の周波数に正比例する(直線)。かかる環境におけるRF信号飛行時間(伝搬遅延)は、周波数に対する位相依存性の一次導関数をコンピュータ計算することによって、周波数に対する位相依存性から直接的にコンピュータ計算され得る。結果は、伝搬遅延定数である。 In an ideal open-space RF propagation environment without multipath, the phase change of the received signal (ranging signal), eg, the channel response phase, is directly proportional to the frequency of the signal (linear). RF signal time-of-flight (propagation delay) in such environments can be computed directly from the phase dependence on frequency by computing the first derivative of the phase dependence on frequency. The result is the propagation delay constant.
この理想的な環境では、初期(または任意の)周波数における絶対位相値は重要ではなく、なぜなら、導関数は、位相絶対値によって影響を受けないからである。 In this ideal environment, the absolute phase value at the initial (or any) frequency is irrelevant, because the derivative is unaffected by the phase absolute value.
厳しいマルチパス環境では、受信信号の周波数に対する位相変化が、複雑な曲線(非直線)であり、一次導関数は、他の反射信号パスからのDLOSパスの正確な分離のために使用され得る情報を提供しない。これは、特許文献3に記載されるマルチパス軽減プロセッサ及び方法(複数可)/技法ならびにアルゴリズムを利用する理由である。 In severe multipath environments, the phase change with frequency of the received signal is a complex curve (non-linear) and the first derivative provides information that can be used for accurate separation of the DLOS path from other reflected signal paths. do not provide This is the reason for utilizing the multipath mitigation processor and method(s)/techniques and algorithms described in US Pat.
所与の無線ネットワーク/システムにおいて達成される位相及び周波数同期(位相可干渉性)が非常に良好である場合には、特許文献3に記載されるマルチパス軽減プロセッサ及び方法(複数可)/技法ならびにアルゴリズムは、他の反射信号パスからDLOSパスを正確に分離して、このDLOSパス長(飛行時間)を決定する。 If the phase and frequency synchronization (phase coherence) achieved in a given wireless network/system is very good, the multipath mitigation processor and method(s)/techniques described in US Pat. As well, the algorithm accurately separates the DLOS path from other reflected signal paths to determine its DLOS path length (time of flight).
この位相可干渉性ネットワーク/システムでは、追加測定が要求されない。換言すれば、一方向レンジング(単信レンジング)が実現され得る。 No additional measurements are required in this phase coherent network/system. In other words, unidirectional ranging (simplex ranging) can be achieved.
しかしながら、所与の無線ネットワーク/システムにおいて達成される同期(位相可干渉性)の度合いが十分に正確ではない場合には、厳しいマルチパス環境において、受信信号の周波数に対する位相及び振幅変化が、2つ以上の異なる場所(距離)において行われる測定に非常に類似し得る。この現象は、受信信号のDLOS距離(飛行時間)決定における不明確さへと導き得る。 However, if the degree of synchronization (phase coherence) achieved in a given wireless network/system is not precise enough, then in severe multipath environments the phase and amplitude variation with frequency of the received signal may be 2 It can be very similar to measurements made at one or more different locations (distances). This phenomenon can lead to ambiguity in the DLOS range (time of flight) determination of the received signal.
この不明確さを解消するために、少なくとも1つの周波数について実際の(絶対)位相値を知ることが必要である。 To resolve this ambiguity, it is necessary to know the actual (absolute) phase value for at least one frequency.
しかしながら、LTE受信機によってコンピュータ計算される周波数に対する振幅及び位相依存性は、実際の位相値を含まない。なぜなら、全ての振幅及び位相値は、例えば、互いに対して、ダウンリンク/アップリンク基準信号からコンピュータ計算されるからである。それゆえ、LTE受信機によって計算(推定)されるチャネル応答の振幅及び位相は、少なくとも1つの周波数(サブキャリア周波数)における実際の位相値を必要とする。 However, the amplitude and phase dependence on frequency computed by the LTE receiver does not contain the actual phase values. This is because all amplitude and phase values are computed from the downlink/uplink reference signals relative to each other, for example. Therefore, the amplitude and phase of the channel response calculated (estimated) by the LTE receiver requires the actual phase values at at least one frequency (subcarrier frequency).
LTEでは、この実際の位相値が、1つ以上のRTT測定(複数可)、TOA測定から、または、1つ以上の受信された基準信号のタイムスタンピングから、但し、1)eNBによってこれらの信号を伝送するこれらのタイムスタンプがまた、受信機において既知であり(または逆もまた同じであり)、2)受信機及びeNBクロックが、時間内にうまく同期され、及び/または3)多辺測量技法を使用することによって、決定され得る。 In LTE, this actual phase value is derived from one or more RTT measurement(s), TOA measurements, or from time stamping of one or more received reference signals provided that: 1) these signals are are also known at the receiver (or vice versa), 2) the receiver and eNB clocks are well synchronized in time, and/or 3) multilateration can be determined using techniques.
上記方法の全ては、1つ以上の基準信号の飛行時間値を提供する。これらの基準信号の飛行時間値及び周波数から、1つ以上の周波数における実際の位相値が計算され得る。 All of the above methods provide time-of-flight values for one or more reference signals. From the time-of-flight values and frequencies of these reference signals, the actual phase values at one or more frequencies can be calculated.
本実施形態は、特許文献3に記載されるマルチパス軽減プロセッサ、方法(複数可)/技法、及びアルゴリズムを、1)LTE UE及び/もしくはeNB受信機によってコンピュータ計算される周波数に対する振幅及び位相依存性、または2)LTE UE及び/もしくはeNB受信機によってコンピュータ計算される周波数に対する振幅及び位相依存性と、RTT及び/もしくはTOAを経て取得される1つ以上の周波数についての実際の位相値(複数可)の組み合わせ、ならびに/あるいはタイムスタンピング測定と組み合わせることによって、厳しいマルチパス環境における高度に正確なDLOS距離決定/位置特定を達成する。 The present embodiments apply the multipath mitigation processor, method(s)/techniques and algorithms described in US Pat. or 2) the amplitude and phase dependence on frequency computed by the LTE UE and/or eNB receiver and the actual phase value(s) for one or more frequencies obtained via RTT and/or TOA. possible) and/or time-stamping measurements achieve highly accurate DLOS ranging/localization in severe multipath environments.
これらの場合では、実際の位相値(複数可)が、マルチパスによって影響を受ける。しかしながら、これは、特許文献3に記載される方法/技法及びアルゴリズムの性能に影響を及ぼさない。 In these cases, the actual phase value(s) are affected by multipath. However, this does not affect the performance of the methods/techniques and algorithms described in US Pat.
DL-OTDOA、U-TDOA、UL-TDOA等を含む、LTE RTT/TOA/TDOA/OTDOAでは、測定が、5メートルの分解能で実行され得る。RTT測定は、専用の接続の間に実行される。それゆえ、複数の同時測定が、UEがハンドオーバ状態にあるとき、及びUEが測定を周期的に収集してUEに報告し戻す時に可能であり、その間に、DPCHフレームが、UE及び異なるネットワーク(基地局)間で交換される。RTTに類似して、TOA測定は、信号の飛行時間(伝搬遅延)を提供するが、TOA測定は、同時に行われることができない(非特許文献4)。 In LTE RTT/TOA/TDOA/OTDOA, including DL-OTDOA, U-TDOA, UL-TDOA, etc., measurements can be performed with a resolution of 5 meters. RTT measurements are performed during dedicated connections. Therefore, multiple simultaneous measurements are possible when the UE is in handover and when the UE periodically collects and reports measurements back to the UE, during which DPCH frames are transmitted to the UE and different networks ( base station). Similar to RTT, TOA measurements provide the time-of-flight (propagation delay) of the signal, but TOA measurements cannot be made simultaneously [4].
平面上のUEを位置特定するために、DLOS距離が、少なくとも3つのeNB(複数可)から/に対して決定される必要がある。三次元空間においてUEを位置特定するために、4つのeNB(複数可)から/に対して最低でも4つのDLOS距離が、(少なくとも1つのeNBが同一平面上にないことを仮定して)決定される必要がある。 To locate a UE on a plane, DLOS distances need to be determined from/to at least three eNB(s). In order to locate the UE in three-dimensional space, at least four DLOS distances from/to four eNB(s) are determined (assuming at least one eNB is not coplanar) need to be
UE測位方法の実施例は、図1に示される。 An example of a UE positioning method is shown in FIG.
非常に良好な同期の場合では、RTT測定が要求されない。 In case of very good synchronization no RTT measurement is required.
同期の度合いが十分に正確ではない場合には、OTDOA、セルID+RTT、及び他のもの、例えば、AOA(到着角)及び他の方法とのその組み合わせのような方法が、UE位置特定のために使用され得る。 If the degree of synchronization is not accurate enough, methods such as OTDOA, Cell ID+RTT, and others, e.g., AOA (Angle of Arrival) and its combination with other methods, may be used for UE localization. can be used.
セルID+RTT追跡-位置特定方法の正確性は、マルチパス(RTT測定)及びeNB(基地局)アンテナビーム幅によって影響を受ける。基地局のアンテナビーム幅は、33~65度にある。これらの広いビーム幅は、都市圏において50~150メートルの位置特定誤差を結果としてもたらす(非特許文献4)。厳しいマルチパス環境において、現在のLTE RTT距離測定平均誤差が約100メートルであることを考えると、LTEセルID+RTT方法によって現在利用される全予想平均位置特定誤差は、約150メートルである。 Cell ID + RTT Tracking - Accuracy of the location method is affected by multipath (RTT measurements) and eNB (base station) antenna beamwidth. The antenna beamwidth of the base station lies between 33 and 65 degrees. These wide beamwidths result in localization errors of 50-150 meters in metropolitan areas [4]. Given that the current LTE RTT ranging average error is about 100 meters in a severe multipath environment, the total expected average location error currently exploited by the LTE Cell ID+RTT method is about 150 meters.
実施形態のうちの1つは、AOA方法に基づくUE位置特定であり、それによって、UEからの1つ以上の基準信号が、UE位置特定目的のために使用される。それは、DLOS AOAを決定するためのAOA決定デバイス場所を含む。デバイスは、基地局と共に位置し得る及び/または基地局場所から独立した別の1つ以上の場所に設置され得る。これらの場所の座標は、推定上、既知である。変更は、UE側で要求されない。 One of the embodiments is the UE localization based AOA method, whereby one or more reference signals from the UE are used for UE localization purposes. It contains the AOA determination device location for determining the DLOS AOA. A device may be co-located with a base station and/or may be installed at one or more separate locations independent of the base station location. The coordinates of these locations are presumably known. No changes are required on the UE side.
このデバイスは、小さなアンテナアレイを含み、特許文献3に記載される同じマルチパス軽減プロセッサ、方法(複数可)/技法、及びアルゴリズムの変形に基づく。この1つの可能な実施形態は、UEユニットからのDLOS RFエネルギーのAOAの精密な決定(非常に狭いビーム幅)という利点を有する。 This device includes a small antenna array and is based on variations of the same multipath mitigation processor, method(s)/techniques and algorithms described in US Pat. This one possible embodiment has the advantage of precise determination of the AOA of the DLOS RF energy from the UE unit (very narrow beamwidth).
1つの他の選択肢では、この追加されるデバイスは、受信専用デバイスである。結果として、そのサイズ/重量及び費用は、非常に低い。 In one alternative, this added device is a receive-only device. As a result, its size/weight and cost are very low.
正確なDLOS距離測定が取得される実施形態と、正確なDLOS AOA決定が行われ得る実施形態との組み合わせは、セルID+RTT追跡-位置特定方法精度を大幅に、10倍以上改良する。このアプローチの別の利点は、UE場所が、単一タワーを用いていつでも決定され得ることである(UEをソフトハンドオーバモードに置くことを要求しない)。正確な場所の確定は、単一タワーを用いて取得され得るので、複数のセルタワーを同期する必要性がない。DLOS AOAを決定する別の選択肢は、既存のeNBアンテナアレイ及びeNB機器を使用することである。この選択肢は、改良されたセルID+RTT方法の実現形態の費用を更に低くし得る。しかしながら、eNBアンテナは、位置特定用途のために設計されないので、測位正確性は、低下させられる可能性がある。また、ネットワークオペレータは、基地局(ソフトウェア/ハードウェア)において要求された変更を実施しようとしない可能性がある。 Embodiments in which accurate DLOS range measurements are obtained combined with embodiments in which accurate DLOS AOA determinations can be made significantly improve the Cell ID + RTT Tracking-Location Method accuracy by a factor of 10 or more. Another advantage of this approach is that the UE location can be determined at any time with a single tower (not requiring the UE to be placed in soft handover mode). Accurate location determination can be obtained using a single tower, eliminating the need to synchronize multiple cell towers. Another option to determine the DLOS AOA is to use existing eNB antenna arrays and eNB equipment. This option may further lower the cost of implementing the improved Cell-ID+RTT method. However, since eNB antennas are not designed for location applications, positioning accuracy may be degraded. Also, the network operator may be unwilling to implement the requested changes in the base station (software/hardware).
  LTE(進化型ユニバーサル地上波無線通信アクセス(E-UTRA)、物理チャネル及び変調、3GPP  TS36.211リリース9技術仕様)では、測位基準信号(PRS)が追加された。これらの信号は、DL-OTDA(ダウンリンクOTDOA)測位のためにUEによって使用される。また、このリリース9は、eNB(複数可)が同期されることを要求する。それゆえ、OTDOA方法についての最後の障害を取り除く(上記段落274を参照)。PRSは、複数のeNBのUEにおけるUEの可聴性を改良する。リリース9は、eNB同期正確性を指定しなかったことに留意する(いくつかの提案では、100ns)。  LTE (Evolved Universal Terrestrial Radio Access (E-UTRA), Physical Channels and Modulations, 3GPP TS36.211
U-TDOA/UL-TDOAは、研究段階にあり、2011に規格化される。 U-TDOA/UL-TDOA is in the research stage and will be standardized in 2011.
  (リリース9における)DL-OTDOA方法は、特許文献9(Method  and  Apparatus  for  UE  positioning  in  LTE  networks、Chen,at  al.)に詳述されている。リリース9DL-OTDOAは、マルチパスに悩まされる。マルチパス軽減のうちのいくつかは、PRS信号帯域幅の増大によって達成され得る。しかしながら、その代償は、スケジューリング複雑性の増大及びUE位置確定間のより長い時間である。その上、限定された動作帯域幅、例えば10MHzを用いるネットワークの場合、最良の可能な正確性は100メートルであり、Chen、表1を参照。  The DL-OTDOA method (in Release 9) is detailed in US Pat.
上記数字は最良の可能な場合である。他の場合、特に、反射信号(複数可)強度と比較してDLOS信号強度が著しく低い(10~20dB)ときに、著しく大きな(2倍~4倍の)上述した位置特定/レンジング誤差を結果としてもたらす。 The numbers above are the best possible case. In other cases, especially when the DLOS signal strength is significantly lower (10-20 dB) compared to the reflected signal(s) strength, it results in significantly larger (2x-4x) localization/ranging errors as described above. bring as
  本明細書に記載される実施形態は、背景技術の欄に記載されたChen  et  al.のリリース9DL-OTDOA方法及びUL-PRS方法によって達成される性能を超える、所与の信号帯域幅について最大50倍までのレンジング/位置特定正確性の改良を可能にする。それゆえ、本明細書に記載される方法の実施形態をリリース9PRS処理に適用することは、全ての可能な場合の95%において3メートルまたはそれよりも良い方に至るまで位置特定誤差を低減させる。加えて、この正確性の増加は、スケジューリング複雑性及びUE位置確定間の時間を減らす。  Embodiments described herein are adapted from Chen et al. allows up to a 50-fold improvement in ranging/location accuracy for a given signal bandwidth over the performance achieved by the
本明細書に記載される実施形態を用いると、OTDOA方法のための更なる改良が可能である。例えば、サービングセルに対するレンジングが、他のサービングセルの信号から決定され得、それゆえ、近隣セルの可聴性を改良し、UE位置確定間の時間を含むスケジューリング複雑性を減らす。 Further improvements for the OTDOA method are possible with the embodiments described herein. For example, the ranging for the serving cell can be determined from other serving cells' signals, thus improving audibility of neighboring cells and reducing scheduling complexity, including the time between UE position fixes.
実施形態はまた、(背景技術に記載される)Chen et al.からU-TDOA方法及びUL-TDOAの正確性が、最大50時間まで改良されることを可能にする。実施形態をChenのUL-TDOAの変形に適用すると、全ての可能な場合の95%において3メートルまたはそれよりも良い方に至るまで位置特定誤差を低減する。その上、この正確性の増加は、スケジューリング複雑性及びUE位置確定間の時間を更に減らす。 Embodiments are also described in Chen et al. , the U-TDOA method and the accuracy of the UL-TDOA can be improved up to 50 hours. Applying embodiments to Chen's UL-TDOA variant reduces the localization error to 3 meters or better in 95% of all possible cases. Moreover, this increase in accuracy further reduces scheduling complexity and time between UE position fixes.
再度、本実施形態を用いると、ChenのUL-TDOA方法の正確性が、最大50倍まで改良され得る。それゆえ、本実施形態をChenのU-TDOA変形に適用することは、位置特定誤差を全ての可能な場合の95%における3メートルまたはそれよりも良い方に至るまで低減する。その上、この正確性の増加は、スケジューリング複雑性及びUE位置確定間の時間を更に減らす。 Again, using this embodiment, the accuracy of Chen's UL-TDOA method can be improved by up to 50-fold. Therefore, applying this embodiment to Chen's U-TDOA variant reduces the localization error to 3 meters or better in 95% of all possible cases. Moreover, this increase in accuracy further reduces scheduling complexity and time between UE position fixes.
上述したDL-TDOA及びU-TDOA/UL-TDOA方法は、一方向測定(レンジング)に頼る。本実施形態及び事実上全ての他のレンジング技術は、一方向レンジングのプロセスに使用されるPRS及び/または他の信号が、周波数及び位相可干渉性であることを要求する。LTEのようなOFDMベースのシステムは、周波数可干渉性である。しかしながら、UEユニット及びeNB(複数可)は、数ナノ秒に対して、UTCのような共通ソースによって位相または時間同期されず、例えば、ランダム位相加算器が存在する。 The DL-TDOA and U-TDOA/UL-TDOA methods described above rely on unidirectional measurements (ranging). This embodiment and virtually all other ranging techniques require that the PRS and/or other signals used in the process of unidirectional ranging be frequency and phase coherent. OFDM based systems like LTE are frequency coherent. However, the UE unit and eNB(s) are not phase or time synchronized by a common source such as UTC for a few nanoseconds, eg there is a random phase adder.
レンジング正確性に影響を及ぼす位相可干渉性を回避するために、マルチパスプロセッサの実施形態は、レンジング信号(複数可)間の異なる位相、例えば、基準信号、個々の成分(サブキャリア)を計算する。これは、ランダム位相項加算器を除去する。 To avoid phase coherence affecting ranging accuracy, multipath processor embodiments compute different phases between ranging signal(s), e.g., reference signal, individual components (subcarriers) do. This eliminates the random phase term adder.
Chen et al.の考察において上記で特定されたように、本明細書に記載される実施形態の適用は、Chen et al.によって達成される性能と比較して屋内環境における著しい正確性の改良を結果としてもたらす。例えば、Chen、et al.によれば、DL-OTDOA及び/またはU-TDOA/UL-TDOAは、主として屋外環境用であり、屋内(建物、構内等)では、DL-OTDOA及びU-TDOA技術は、うまく動作しない可能性がある。屋内で普通に利用される分散型アンテナシステム(DAS)を含み、それによって、各アンテナが固有IDを有さない、いくつかの理由が記される(Chen、#161~164を参照)。] Chen et al. As identified above in the discussion of Chen et al. results in significantly improved accuracy in indoor environments compared to the performance achieved by For example, Chen, et al. DL-OTDOA and/or U-TDOA/UL-TDOA are primarily for outdoor environments, indoors (buildings, premises, etc.), DL-OTDOA and U-TDOA technologies may not work well, according to There is Several reasons are noted (see Chen, #161-164), including distributed antenna systems (DAS) commonly used indoors, whereby each antenna does not have a unique ID. ]
以下に記載される実施形態は、OFDM変調及び/またはその導関数、ならびに基準/パイロット/及びまたは同期信号を利用する無線ネットワークを用いて動作する。それゆえ、以下に記載される実施形態は、LTEネットワークを用いて動作し、それはまた、基準/パイロット/及び/または同期信号を用いるあるいは用いない、他の種類の変調を含む、他の無線システムならびに他の無線ネットワークに適用可能である。 The embodiments described below operate with wireless networks that utilize OFDM modulation and/or its derivatives and reference/pilot/and/or synchronization signals. Therefore, the embodiments described below operate with LTE networks, as well as other wireless systems including other types of modulation with or without reference/pilot/and/or synchronization signals. as well as other wireless networks.
本明細書に記載されるアプローチはまた、WiMax、WiFi、及びホワイトスペースを含む、他の無線ネットワークに適用可能である。基準/パイロット及び/または同期信号を使用しない他の無線ネットワークは、特許文献3に記載されるような以下の種類の代替の変調実施形態、すなわち、1)フレームの一部分が、レンジング信号/レンジング信号要素の専用である場合、2)レンジング信号要素が、伝送/受信信号フレーム(複数可)に埋め込まれる場合、及び3)レンジング信号要素が、データと共に埋め込まれる場合のうちの1つ以上を利用し得る。 The approaches described herein are also applicable to other wireless networks, including WiMax, WiFi, and whitespace. Other wireless networks that do not use reference/pilot and/or synchronization signals use the following types of alternative modulation embodiments as described in US Pat. 2) the ranging signal element is embedded in the transmitted/received signal frame(s); and 3) the ranging signal element is embedded with the data. obtain.
本明細書に記載される(また、特許文献10及び特許文献11に記載される)マルチパス軽減範囲推定アルゴリズムの実施形態は、マルチパス反射に信号の直接パス(DLOS)を足したものから構成された集合で範囲の推定を提供することによって機能する。 An embodiment of the multipath mitigation range estimation algorithm described herein (and also described in US Pat. Nos. 6,300,000 and 6,000,000) consists of multipath reflections plus the direct path of the signal (DLOS). It works by providing an estimate of the bounds on the set.
LTE DASシステムは、モバイル受信機(UE)に対する様々な時間オフセットにおいて見られる同じ信号の複数の複製を作り出す。遅延は、アンテナ及びモバイル受信機の幾何学的関係を一意的に決定するために使用される。受信機によって見られる信号は、複数のDASアンテナからのオフセット信号の合計からの主「マルチパス」成分結果を除いて、マルチパス環境によって見られるものに類似する。 An LTE DAS system creates multiple copies of the same signal seen at different time offsets to the mobile receiver (UE). Delays are used to uniquely determine the geometry of the antenna and mobile receiver. The signal seen by the receiver resembles that seen by a multipath environment, except for the main "multipath" component resulting from the sum of the offset signals from multiple DAS antennas.
受信機によって見られる信号集合は、この場合では、主マルチパス成分が伝統的なマルチパスではないことを除いて、利用するように設計される信号集合実施形態の種類と同一である。本マルチパス軽減プロセッサ(アルゴリズム)は、DLOS及び各パス、例えば、反射(式1~3及び関連記載を参照)の減衰ならびに伝搬遅延を決定することができる。マルチパスは、分散的なRFチャネル(環境)が原因で存在し得るが、この信号集合における主マルチパス成分は、複数のアンテナからの伝送と関連付けられる。本マルチパスアルゴリズムの実施形態は、これらのマルチパス成分を推定し、受信機に対するDASアンテナの範囲を分離し、及び範囲データを(ソフトウェアにおいて実現される)位置特定プロセッサに提供することができる。アンテナ配置の幾何学的配列に依存して、この解決策は、X、Y及びX、Y、Zの両方の場所座標を提供することができる。 The signal ensemble seen by the receiver is identical to the kind of signal ensemble embodiment designed to utilize, except that in this case the dominant multipath component is not the traditional multipath. The present multipath mitigation processor (algorithm) can determine the attenuation and propagation delay of DLOS and each path, eg reflections (see Equations 1-3 and related discussion). Multipath may be present due to the dispersive RF channel (environment), but the dominant multipath component in this signal set is associated with transmissions from multiple antennas. Embodiments of the present multipath algorithm can estimate these multipath components, isolate the range of the DAS antenna to the receiver, and provide the range data to a location processor (implemented in software). Depending on the geometry of the antenna placement, this solution can provide both X,Y and X,Y,Z location coordinates.
結果として、本実施形態は、ハードウェア及び/または新たなネットワーク信号(複数可)の追加を要求しない。その上、測位正確性が、1)マルチパスを軽減すること、及び2)アクティブDASの場合では、測位誤差の下限が、劇的に低減され得、例えば、約50メートルから約3メートルに削減することなどによって、著しく改良され得る。 As a result, this embodiment does not require the addition of hardware and/or new network signal(s). Moreover, positioning accuracy can be dramatically reduced by 1) mitigating multipath, and 2) in the case of active DAS, the lower bound on positioning error can be dramatically reduced, e.g., from about 50 meters to about 3 meters. can be significantly improved, such as by
DASの各アンテナの位置(場所)が既知であることが仮定される。各アンテナの(または他のアンテナに対する)信号伝搬遅延がまた、決定される(既知である)必要がある。 It is assumed that the position (location) of each antenna in the DAS is known. The signal propagation delay for each antenna (or with respect to other antennas) must also be determined (known).
アクティブDASシステムの場合、信号伝搬遅延は、折返し技法を使用して、自動的に決定され得、それによって、既知の信号がラウンドトリップに送られ、このラウンドトリップ時間が測定される。この折返し技法はまた、温度、経時的等による信号伝搬遅延変化(ドリフト)を除去する。 For active DAS systems, signal propagation delays can be automatically determined using folding techniques whereby a known signal is sent round-trip and the round-trip time is measured. This folding technique also eliminates signal propagation delay variations (drift) due to temperature, aging, and the like.
複数のマクロセル及び関連アンテナを使用して、ピコセル及びマイクロセルは、追加基準点を提供することによって分解能を更に強化する。複数のアンテナからの複数の複製の信号集合における個々の範囲推定の上記した実施形態は、以下の2つの手法での信号伝送構造への変更によって更に強化され得る。第1に、各アンテナからの伝送を時間多重化することである。第2のアプローチは、アンテナのそれぞれについて周波数多重化することである。両方の強化を使用すると、時間及び周波数多重化が、同時に、システムのレンジング及び位置特定の正確性を更に改良する。別のアプローチは、伝搬遅延を各アンテナに追加することである。遅延値は、特定のDAS環境(チャネル)において遅延拡散を超えるほど十分長いように選択されるが、更なる遅延によって引き起こされるマルチパスが、ISI(符号間干渉)を結果としてもたらさないように、サイクリックプレフィックス(CP)長よりも小さい。 Using multiple macrocells and associated antennas, picocells and microcells further enhance resolution by providing additional reference points. The above-described embodiments of individual range estimation in multiple replica signal ensembles from multiple antennas can be further enhanced by modifications to the signal transmission structure in the following two ways. The first is to time multiplex the transmissions from each antenna. A second approach is to frequency multiplex each of the antennas. Using both enhancements, time and frequency multiplexing simultaneously further improve the ranging and localization accuracy of the system. Another approach is to add a propagation delay to each antenna. The delay value is chosen to be long enough to exceed the delay spread in the particular DAS environment (channel), but so that the multipath caused by the additional delay does not result in ISI (inter-symbol interference). Less than the cyclic prefix (CP) length.
各アンテナについての固有IDまたは固有識別子の追加は、結果として生じる解決策の効率を上げる。例えば、それは、プロセッサが、アンテナのそれぞれからの信号から範囲の全てを推定する必要性を無くす。 The addition of a unique ID or unique identifier for each antenna increases the efficiency of the resulting solution. For example, it eliminates the need for the processor to estimate all of the range from the signal from each of the antennas.
LTEダウンリンクを利用する一実施形態では、パイロット及びまたは同期信号(複数可)サブキャリアを含む、1つ以上の基準信号(複数可)サブキャリアが、サブキャリア位相及び振幅を決定するために使用され、そのキャリア位相及び振幅は、次いで、マルチパス干渉軽減と、範囲ベースの場所可観測量ならびに的外れな点を編集して削除するための多辺測量及び場所整合性アルゴリズムを使用する位置特定推定の発生のために、マルチパスプロセッサに適用される。 In one embodiment utilizing an LTE downlink, one or more reference signal(s) subcarriers, including pilot and/or synchronization signal(s) subcarriers, are used to determine subcarrier phase and amplitude. and its carrier phase and amplitude are then subjected to multipath interference mitigation and localization estimation using range-based location observables and multilateration and location consistency algorithms to edit out irrelevant points. It applies to multipath processors because of the generation of
  別の実施形態は、LTEアップリンク信号がまた、ベースに対するモバイルデバイス、基準信号を含み、それはまた、基準サブキャリアを含むという事実を活用する。事実、周波数帯域をアップリンクデバイスに割り当てるためにネットワークによって使用される全面的な探測モードから、基準サブキャリアが、チャネルインパルス応答を発生し、アップリンク信号等の復調を助けるために使用されるモードまでのこれらのサブキャリアを含む、2つ以上のモードが存在する。また、リリース9に追加されるDL  PRSと同様に、追加のUL基準信号が、来たるべき及び将来の標準的なリリースにおいて追加され得る。この実施形態では、アップリンク信号が、位相に対する同じ範囲、範囲に関連した可観測量を発生させるためのマルチパス軽減処理を使用して複数のベースユニット(eNB)によって処理される。この実施形態では、場所整合性アルゴリズムが、的外れな可観測点を編集して位置特定推定を発生させるために、多辺測量アルゴリズムによって確立されるように使用される。  Another embodiment takes advantage of the fact that the LTE uplink signal also includes a base to mobile device, reference signal, which also includes reference subcarriers. In fact, from the sweeping probing mode used by the network to allocate frequency bands to uplink devices, to the mode in which reference subcarriers are used to generate channel impulse responses and aid in demodulation of uplink signals, etc. There are two or more modes that contain these subcarriers up to . Also, similar to the DL PRS added in
更に別の実施形態、LTEダウンリンク及びLTEアップリンクの両方の(パイロット及び/または同期を含む)関連する1つ以上の基準サブキャリアが収集され、位相マッピングに対する範囲が適用され、マルチパス軽減が適用され、範囲に関連付けられた可観測量が推定される。これらのデータは、次いで、多辺測量アルゴリズム及び場所整合性アルゴリズムを使用して場所についてのより確固たる組の可観測量を提供するような手法で合わされる。利点は、ダウンリンク及びアップリンクの2つの異なる周波数帯域の故に、またはシステム可干渉性を改良するTDD(時間分割二重化)の場合では、正確性の改良を結果としてもたらす冗長性になる。 Yet another embodiment, one or more relevant reference subcarriers (including pilot and/or synchronization) for both LTE downlink and LTE uplink are collected, range for phase mapping is applied, multipath mitigation is Applied and bounded observables are estimated. These data are then combined in such a way as to provide a more robust set of observables about the location using multilateration and location consistency algorithms. The advantage is redundancy resulting in improved accuracy due to two different frequency bands for downlink and uplink, or in the case of TDD (Time Division Duplexing) which improves system coherence.
複数のアンテナがマイクロセルから同じダウンリンク信号を伝送するDAS(分散型アンテナシステム)環境では、場所整合性アルゴリズム(複数可)が、(パイロット及び/または同期を含む)基準信号(複数可)サブキャリアからマルチパス軽減処理によって発生された可観測量からDASアンテナの範囲を分離するように、ならびに複数のDASエミッタ(アンテナ)範囲から場所推定を取得するように、拡張される。 In a DAS (Distributed Antenna System) environment, where multiple antennas carry the same downlink signal from a micro-cell, the location consistency algorithm(s) may be applied to the reference signal(s) (including pilot and/or synchronization) sub- It is extended to separate the range of the DAS antenna from the observables generated by multipath mitigation processing from the carrier, as well as to obtain location estimates from multiple DAS emitter (antenna) ranges.
DASシステム(環境)では、正確な場所推定を取得することが、個々のアンテナからの信号パスが高い正確性で解明され得る場合にのみ可能であり、それによって、パス誤差が、アンテナ間の距離のごくわずかのみ(10メートルのまたはそれより良い正確性)となる。全ての既存の技法/方法は、厳しいマルチパス環境においてかかる正確性を提供することができない(複数のDASアンテナからの信号が、誘発された厳しいマルチパスとして出現する)ので、既存の技法/方法は、DAS環境において場所整合性アルゴリズム(複数可)及びこの位置特定方法/技法の上述した拡張をうまく利用することができない。 In a DAS system (environment), obtaining an accurate location estimate is only possible if the signal paths from individual antennas can be resolved with high accuracy, whereby the path error is reduced to the distance between the antennas. of only a fraction (10 meters or better accuracy). Since all existing techniques/methods cannot provide such accuracy in severe multipath environments (signals from multiple DAS antennas appear as induced severe multipath), existing techniques/methods cannot take advantage of the location consistency algorithm(s) and the above-described extensions of this localization method/technique in a DAS environment.
特許文献3に記載される、物体識別及び場所発見のための不可視性追跡(InvisiTrack)マルチパス軽減方法ならびにシステムが、信号位相マッピングに対する範囲、マルチパス干渉軽減、及びプロセスに適用され、LTEダウンリンク、アップリンク、及び/またはその両方(ダウンリンクとアップリンク)の1つ以上の基準信号(複数可)サブキャリアを利用して、かつ場所推定を発生させるために多辺測量及び場所整合性を使用して、範囲ベースの場所可観測量を発生させる。 InvisiTrack multipath mitigation method and system for object identification and location finding, described in US Pat. , uplink, and/or both (downlink and uplink), and using multilateration and location alignment to generate location estimates. Use to generate range-based location observables.
上記実施形態の全てにおいて、三辺測量測位アルゴリズムがまた、利用されてもよい。 In all of the above embodiments, a trilateration positioning algorithm may also be utilized.
  DL-OTDOA位置特定が、LTEリリース9、すなわち、進化型ユニバーサル地上波無線通信アクセス(E-UTRA)、物理チャネル及び変調、3GPP  TS36.211リリース9技術仕様に指定された。しかしながら、それは、無線オペレータ(キャリア)によって実施されていない。その一方で、ダウンリンク位置特定は、既存の物理層測定操作(複数可)を使用することによって、現在の、例えば、未修正の、LTEネットワーク環境内で実現され得る。  DL-OTDOA location was specified in the
LTEでは、UE及びeNBが、無線通信特徴の物理層測定を行うことを要求される。測定定義は、3GPP TS36.214に指定されている。これらの測定は、周期的に行われ、上位層に報告され、同一周波数内及び異周波数間ハンドオーバ、異なる無線通信間アクセス技術(インターRAT)ハンドオーバ、タイミング測定を含む、種々の目的、ならびにRRM(無線通信リソース管理)の支援における他の目的のために使用される。 In LTE, UEs and eNBs are required to perform physical layer measurements of radio communication characteristics. Measurement definitions are specified in 3GPP TS36.214. These measurements are taken periodically and reported to higher layers for a variety of purposes, including intra- and inter-frequency handovers, inter-radio access technology (inter-RAT) handovers, timing measurements, as well as RRM ( used for other purposes in support of radio resource management).
例えば、RSRP(基準信号受信電力)は、セル特有の基準信号を全帯域幅上で運ぶ全てのリソース要素の電力の平均である。 For example, RSRP (reference signal received power) is the average power of all resource elements carrying a cell-specific reference signal over the entire bandwidth.
別の実施例は、追加情報を提供するRSRQ(基準信号受信品質)測定である(RSRQは、信号強度のみならず干渉レベルを組み合わせる)。 Another example is the RSRQ (Reference Signal Received Quality) measurement that provides additional information (RSRQ combines interference level as well as signal strength).
LTEネットワークは、UEに(サービングeNBに対する)eNB近隣リストを提供する。ネットワーク知識構成に基づいて、(サービング)eNode(ノード)Bは、UEに近隣eNBの識別子等を提供する。UEは、次いで、それが受信することができる近隣の信号品質を測定する。UEは、eNodeBに結果を報告し戻す。UEはまた、サービングeNBの信号品質も測定することに留意する。 The LTE network provides the UE with an eNB neighbor list (for the serving eNB). Based on network knowledge configuration, the (serving) eNode B provides the UE with the identities of neighboring eNBs, etc. The UE then measures the signal quality of the neighbors it can receive. The UE reports results back to the eNodeB. Note that the UE also measures the signal quality of the serving eNB.
仕様によれば、RSRPは、考慮される測定周波数帯域幅内でセル特有の基準信号を運ぶリソース要素の電力寄与(単位[W])についての線形平均として定義される。RSRPを決定するためにUEによって使用される測定帯域幅は、対応する測定正確性要件が満たされる必要があるという制限を伴うUE実現形態に委ねられる。 According to the specification, RSRP is defined as the linear average over the power contribution (in [W]) of the resource elements carrying the cell-specific reference signal within the considered measurement frequency bandwidth. The measurement bandwidth used by the UE to determine RSRP is subject to the UE implementation with restrictions that corresponding measurement accuracy requirements need to be met.
測定帯域幅正確性要件を考慮すると、この帯域幅は、かなり大きく、RSRP測定において使用されるセル特有の基準信号は、これらの基準信号サブキャリア位相及び振幅を決定するために更に処理され得、その位相及び振幅は、次いで、マルチパス干渉軽減及び範囲ベースの場所可観測量の発生のためにマルチパスプロセッサに適用される。加えて、RSRP測定において使用される他の基準信号、例えばSSS(二次同期信号)もまた使用され得る。 Considering the measurement bandwidth accuracy requirements, this bandwidth is quite large and the cell-specific reference signals used in RSRP measurements can be further processed to determine these reference signal subcarrier phases and amplitudes, The phase and amplitude are then applied to a multipath processor for multipath interference mitigation and range-based location observable generation. Additionally, other reference signals used in RSRP measurements, such as SSS (Secondary Synchronization Signal) may also be used.
その後、3つ以上のセルからの範囲可観測量に基づいて、場所確定が、多辺測量及び場所整合性アルゴリズムを使用して推定され得る。 Then, based on range observables from three or more cells, a location fix can be estimated using multilateration and location consistency algorithms.
前述したように、RF指紋採取データベース不安定性のいくつかの原因が存在するが、主な原因のうちの1つは、マルチパスである(RF署名は、マルチパスに対して非常に敏感である)。結果として、RF指紋採取方法(複数可)/技術の位置特定正確性は、垂直方向の不確定性、すなわち、デバイスのZ-高さ及び/またはアンテナ配向に依存する100%未満の変動性を含む、マルチパス動力学、すなわち、経時的な変化、環境(例えば天候)、人間及び/または物体の動きによって大きく影響を受ける(非特許文献6を参照)。 As mentioned earlier, there are several causes of RF fingerprinting database instability, but one of the main causes is multipath (RF signatures are very sensitive to multipath). ). As a result, the localization accuracy of the RF fingerprinting method(s)/technique exhibits less than 100% variability depending on vertical uncertainty, i.e. device Z-height and/or antenna orientation. multipath dynamics, i.e. changes over time, environment (eg weather), human and/or object motion (see Non-Patent Document 6).
本実施形態は、著しく減衰されたDLOSを含む、個々のパスを見付ける及び特徴付ける機能(マルチパスプロセッサ)という理由で、RF指紋採取の位置特定正確性を著しく改良することができる。結果として、場所確定についてのRF指紋採取決定には、実時間マルチパス分布情報が補足され得る。 This embodiment can significantly improve the localization accuracy of RF fingerprinting because of the ability to find and characterize individual paths (multipath processors), including significantly attenuated DLOS. As a result, RF fingerprinting decisions for location determination can be supplemented with real-time multipath distribution information.
上述したように、位置特定確定は、時間における位置基準同期を要求する。無線ネットワークでは、これらの位置基準は、アクセス点、マクロ/ミニ/ピコ及びフェムトセルのみならず、いわゆるスモールセル(eNB)を含んでもよい。しかしながら、無線オペレータは、正確な位置確定に必要とされる同期正確性を実施しない。例えば、LTEの場合では、規格は、FDD(周波数分割二重化)ネットワークのためにeNB(複数可)間の時間同期を要求しない。LTE TDD(時間分割二重化)の場合、この時間同期正確性は、+/-1.5マイクロ秒の限界値にある。これは、400以上メートルの位置特定不確定性に等しい。要求されないものの、LTE FDDネットワークもまた同期されるが、(1.5マイクロ秒よりも)更に長い限界値を使用する。 As mentioned above, location determination requires location-based synchronization in time. In wireless networks, these location references may include access points, macro/mini/pico and femto cells, as well as so-called small cells (eNBs). However, wireless operators do not enforce the synchronization accuracy required for accurate position determination. For example, in the case of LTE, the standard does not require time synchronization between eNB(s) for FDD (Frequency Division Duplexing) networks. For LTE TDD (Time Division Duplexing), this time synchronization accuracy is in the limit of +/- 1.5 microseconds. This equates to a location uncertainty of over 400 meters. Although not required, LTE FDD networks are also synchronized, but use longer limits (than 1.5 microseconds).
無線LTEオペレータは、周波数及び時間においてeNB(複数可)を同期するためにGPS/GNSS信号を使用している。LTEeNBは、非常に正確なキャリア周波数、すなわち、マクロ/ミニセルの場合、0.05ppm、他の種類のセルの場合、わずかに正確性の低い(0.1~0.25ppm)を維持する必要があることに留意する。GPS/GNSS信号はまた、(位置特定のために)要求された時間同期の正確性を10ナノ秒よりも良くすることができ得る。しかしながら、ネットワークオペレータ及びネットワーク機器製造業者は、パケット移送/、例えば、NTP(ネットワーク時間プロトコル)及び/またはPTP(高精度時間プロトコル)、例えばIEEE1588v2PTPを利用することによるインターネット/イーサネット(登録商標)のネットワーキング時間同期を好んで、GPS/GNSSユニットと関連付けられた費用を削減することを試みている。 Wireless LTE operators are using GPS/GNSS signals to synchronize eNB(s) in frequency and time. LTE eNB needs to maintain a very precise carrier frequency, i.e. 0.05ppm for macro/minicells and slightly less accurate (0.1-0.25ppm) for other types of cells. Note that there is GPS/GNSS signals may also be able to achieve better than 10 nanoseconds of required time synchronization accuracy (for position location). However, network operators and network equipment manufacturers do not allow packet transport/internet/Ethernet networking by utilizing, for example, NTP (Network Time Protocol) and/or PTP (Precision Time Protocol), such as IEEE 1588v2PTP. We try to reduce the costs associated with GPS/GNSS units in favor of time synchronization.
IPネットワークベースの同期は、最低限の周波数及び時間要件を満たす可能性を有するが、位置確定のために必要とされるGPS/GNSS精度に欠ける。 IP network-based synchronization has the potential to meet the minimum frequency and time requirements, but lacks the GPS/GNSS accuracy required for position determination.
本明細書に記載されるアプローチは、GPS/GNSS信号と、eNB及び/もしくはAP、または他の無線ネットワーク機器によって発生された信号と、に基づく。それはまた、IPネットワーキング同期信号及びプロトコルと、eNB及び/もしくはAP、または他の無線ネットワーク機器によって発生された信号と、に基づき得る。このアプローチはまた、WiMax、WiFi、及びホワイトスペースを含む、他の無線ネットワークに適用可能である。 The approach described herein is based on GPS/GNSS signals and signals generated by eNBs and/or APs or other wireless network equipment. It may also be based on IP networking synchronization signals and protocols and signals generated by eNBs and/or APs or other wireless network equipment. This approach is also applicable to other wireless networks, including WiMax, WiFi, and whitespace.
eNB信号は、オペレータのeNB設備(図12)に設置された時間観測ユニット(TMO)によって受信される。TMOはまた、外部同期源入力を含む。 The eNB signal is received by a Time Observation Unit (TMO) installed in the operator's eNB equipment (Fig. 12). The TMO also includes an external sync source input.
eNB信号は、TMOによって処理され、外部同期源入力と同期されるクロックを使用してタイムスタンプされる。 The eNB signal is processed by the TMO and time-stamped using a clock that is synchronized with the external sync source input.
外部同期源は、GPS/GNSS及び/またはインターネット/イーサネット(登録商標)ネットワーキング、例えばPTPもしくはNTP等からであり得る。 External synchronization sources can be from GPS/GNSS and/or Internet/Ethernet networking, such as PTP or NTP.
タイムスタンプされた処理信号、例えば、LTEフレーム開始(特に他のネットワークでは、他の信号であり得る)はまた、全てのeNBのデータベースを生成、維持、及び更新する中央TMOサーバに対するインターネット/イーサネット(登録商標)バックホール経由で送信される、eNB(セル)場所及び/またはセルIDも含む。 A time-stamped processed signal, e.g. LTE start of frame (which could be other signals, especially in other networks), is also sent to the central TMO server (Internet/Ethernet) which generates, maintains and updates the database of all eNBs. It also contains the eNB (cell) location and/or cell ID, which is transmitted via the ® backhaul.
場所確定をレンジング及び取得するプロセスに関係のあるUE及び/またはeNB(複数可)は、TMOサーバにクワイヤし、サーバは、関係のあるeNB(複数可)間の時間同期オフセットを戻す。これらの時間同期オフセットは、場所確定を取得して場所確定を調整するプロセスに関係のあるUE及び/またはeNB(複数可)によって使用される。 The UE and/or eNB(s) involved in the process of ranging and obtaining location fix subscribe to the TMO server, which returns the time synchronization offsets between the eNB(s) involved. These time synchronization offsets are used by UE and/or eNB(s) involved in the process of obtaining location fix and coordinating location fix.
その代わりに、場所確定計算及び調整は、レンジングするプロセスに関係のあるUE及び/またはeNB(複数可)がまた、取得されたレンジング情報をTMOサーバに供給するときに、TMOサーバによって実行されてもよい。TMOサーバは、次いで、正確な(調整された)位置(場所決定)確定を戻す。 Instead, location determination calculations and adjustments are performed by the TMO server when the UE and/or eNB(s) involved in the ranging process also provide the obtained ranging information to the TMO server. good too. The TMO server then returns an accurate (coordinated) position (location fix) determination.
2つ以上のセルeNB機器が共に位置する場合、単一TMOが、全てのeNB(複数可)からの信号を処理してタイムスタンプすることができる。 If more than one cell eNB equipment is co-located, a single TMO can process and timestamp the signals from all eNB(s).
RTT(ラウンド時間トリップ)測定(レンジング)は、位置特定のために使用され得る。欠点は、RTTレンジングが、位置特定正確性に劇的に影響を及ぼすマルチパスにさらされることである。 RTT (Round Time Trip) measurements (ranging) can be used for localization. The drawback is that RTT ranging is subject to multipath, which dramatically affects location accuracy.
一方、RTT位置特定は、一般に、(時間における)位置基準同期、及びLTEの場合では特にeNBを要求しない。 RTT localization, on the other hand, generally does not require location-based synchronization (in time) and, in the case of LTE specifically, the eNB.
同時に、無線ネットワークのパイロット基準及び/または他の信号を用いで動作するときに、特許文献3に記載されるマルチパス軽減プロセッサ、方法(複数可)/技法、及びアルゴリズムは、RTT信号(複数可)のためにチャネル応答を決定すること、例えば、RTT信号(複数可)が通過しているマルチパスチャネルを識別することができる。これは、実際のDLOS時間が決定されるようなRTT測定の訂正を可能にする。 At the same time, when operating with wireless network pilot references and/or other signals, the multipath mitigation processor, method(s)/techniques, and algorithms described in US Pat. ), eg, identifying the multipath channel through which the RTT signal(s) is traversing. This allows correction of the RTT measurement as the actual DLOS time is determined.
既知のDLOS時間を用いると、eNBまたは時間における位置基準同期の必要性無しに、三辺測量及び/または類似の位置特定方法を使用して場所確定を取得することが可能になる。 With a known DLOS time, it is possible to obtain a location fix using trilateration and/or similar localization methods without the need for location reference synchronization in the eNB or time.
適所にあるTMO及びTMOサーバにも関わらず、不可視性追跡の技術統合は、マクロ/ミニ/ピコ及びスモールセルならびに/またはUE(携帯電話)の変更を要求する。これらの変更は、SW/FW(ソフトウェア/ファームウェア)に対してのみ限定されるが、それは、既存のインフラストラクチャを改造するために多くの労力を要する。また、いくつかの場合では、ネットワークオペレータ及び/またはUE/携帯電話製造業者/供給業者が、機器修正に反抗する。UEは、無線ネットワークユーザ機器であることに留意する。 Despite the TMO and TMO servers in place, technology integration of invisibility tracking requires macro/mini/pico and small cell and/or UE (mobile phone) changes. These changes are limited only to SW/FW (software/firmware), which requires a lot of effort to retrofit the existing infrastructure. Also, in some cases, network operators and/or UE/mobile phone manufacturers/suppliers oppose equipment modifications. Note that a UE is a radio network user equipment.
このSW/FW変更は、TMO及びTMOサーバ機能が不可視性追跡の位置特定技術を支援するように拡張される場合、完全に回避され得る。換言すれば、以下に記載される別の実施形態は、無線ネットワーク信号を用いて動作するが、無線ネットワーク機器/インフラストラクチャの修正を要求しない。それゆえ、以下に記載される実施形態は、LTEネットワークを用いて動作し、それはまた、Wi-Fiを含む、他の無線システム/ネットワークにも適用可能である。 This SW/FW change can be completely avoided if the TMO and TMO Server functions are extended to support invisibility tracking location techniques. In other words, another embodiment described below operates using wireless network signals, but does not require modification of wireless network equipment/infrastructure. Therefore, the embodiments described below work with LTE networks, and it is also applicable to other wireless systems/networks, including Wi-Fi.
本質的に、この実施形態は、場所確定を取得するために無線ネットワーク信号を使用する並列無線位置特定インフラストラクチャを作り出す。 Essentially, this embodiment creates a parallel wireless location infrastructure that uses wireless network signals to obtain location determination.
TMO及びTMOサーバと同様に、不可視性追跡の位置特定インフラストラクチャは、1つ以上の無線ネットワーク信号取得ユニット(NSAU)と、NSAU(複数可)からデータを収集してそれを分析し、範囲及び場所を決定し、それを例えば電話/UE ID及び場所の表に瞬時に変換する、1つ以上の位置特定サーバユニット(LSU)と、から成る。LSUは、ネットワークのAPI経由で無線ネットワークに対してインターフェースを取る。 Similar to the TMO and TMO server, the invisibility tracking location infrastructure includes one or more Wireless Network Signal Acquisition Units (NSAUs) and collects and analyzes data from the NSAU(s) to determine range and and one or more Location Server Units (LSUs) that determine the location and convert it to eg a table of phone/UE IDs and locations on the fly. The LSU interfaces to the wireless network via the network's API.
複数のこれらのユニットは、大型インフラストラクチャ内の様々な場所に配備され得る。NSAU(複数可)が可干渉性タイミングを有する場合、より良好な正確性を与える全てについての結果が使用され得る。 A plurality of these units may be deployed at various locations within a large infrastructure. If the NSAU(s) have coherent timing, results for all that give better accuracy can be used.
可干渉性タイミングは、GPSクロック及び/または他の安定したクロック源から得られ得る。 Coherent timing can be obtained from a GPS clock and/or other stable clock sources.
NSAUは、LAN(ローカルエリアネットワーク)、メトロエリアネットワーク(MAN)、及び/またはインターネット経由でLSUと通信する。 NSAUs communicate with LSUs via LANs (Local Area Networks), Metro Area Networks (MANs), and/or the Internet.
いくつかの設置/実例では、NSAU及びLSUが、単一ユニットに結合/一体化され得る。 In some installations/instances, the NSAU and LSU may be combined/integrated into a single unit.
LTEまたは他の無線ネットワークを使用して位置特定サービスを支援するために、送信機は、厳しい許容差内で同期されるクロック及び事象であることを要求される。通常、これは、GPSの1PPS信号に固定することによって達成される。これは、3ナノ秒1シグマ内までのローカルエリアにおけるタイミング同期を結果としてもたらす。 To support location services using LTE or other wireless networks, transmitters are required to be clock and event synchronized within tight tolerances. Typically, this is accomplished by locking onto the GPS 1PPS signal. This results in timing synchronization in the local area to within 3 ns 1 sigma.
しかしながら、この種の同期が実用的ではない場合の多くの実例が存在する。この本実施形態は、遅延補償値を位置特定プロセスに提供するために、ダウンリンク送信機間の時間オフセット推定及び時間オフセットの追跡を提供し、それゆえ、あたかも送信機が同期されたクロック及び事象であるかのように、位置特定プロセスが処理され得る。これは、既知の先験的なアンテナ場所を有する(任意の位置特定サービスのために要求される)伝送アンテナ及び受信機の事前知識によって達成される。同期ユニットと呼ばれるこの受信機は、ダウンリンク送信機の全てからのデータ及び所与の場所のその知識を収集し、事前に選択されたベースアンテナからオフセットタイミングを計算する。これらのオフセットは、ダウンリンク送信機にクロックドリフトを補償する追跡アルゴリズムの使用を通して、システムによって追跡される。受信データから擬似範囲を導出する処理は、(特許文献3に記載される)不可視性追跡マルチパス軽減アルゴリズムを利用することに留意する。それゆえ、同期は、マルチパスによって影響を受けない。 However, there are many instances where this kind of synchronization is impractical. This embodiment provides time offset estimation and tracking of time offsets between downlink transmitters in order to provide delay compensation values to the location process, thus as if the transmitters were clock and event synchronized. The location process can be treated as if . This is achieved by prior knowledge of the transmitting antenna (required for any location service) and the receiver with known a priori antenna locations. This receiver, called the synchronization unit, collects data from all of the downlink transmitters and their knowledge of a given location and calculates the offset timing from a preselected base antenna. These offsets are tracked by the system through the use of a tracking algorithm that compensates the downlink transmitter for clock drift. Note that the process of deriving pseudoranges from received data utilizes an invisibility tracking multipath mitigation algorithm (described in US Pat. Synchronization is therefore unaffected by multipath.
これらのオフセットデータは、各ダウンリンク送信機からのデータを適切に整合させるために位置特定プロセッサ(位置特定サーバ、LSU)によって使用され、その結果、それは、同期された送信機によって発生されているように見える。時間正確性は、最良の1-PPS追跡と互換性があり、3メートルの場所正確性(1シグマ)をサポートする。 These offset data are used by the location processor (location server, LSU) to properly align the data from each downlink transmitter so that it is being generated by synchronized transmitters. looks like. Time accuracy is compatible with best 1-PPS tracking and supports 3 meter location accuracy (1 sigma).
同期受信機及び/または受信機のアンテナは、最良性能のために最適なGDOPに基づいて位置付けられる。大型設置では、複数の同期受信機が、ネットワーク全体を通して同等の3ns1シグマ同期オフセットを提供するために利用され得る。同期受信機(複数可)を利用することによって、ダウンリンク送信機の同期のための要件が省かれる。 The synchronous receiver and/or receiver antennas are positioned based on the optimum GDOP for best performance. In large installations, multiple synchronization receivers can be utilized to provide equivalent 3ns1 sigma synchronization offsets throughout the network. By utilizing the synchronization receiver(s), the requirement for downlink transmitter synchronization is eliminated.
同期受信機ユニットは、NSAU及び/またはLSUと通信する独立型ユニットとすることができる。その代わりに、この同期受信機は、NSAUと一体化されてもよい。 A synchronous receiver unit may be a stand-alone unit that communicates with the NSAU and/or LSU. Alternatively, this synchronization receiver may be integrated with the NSAU.
例示的な無線ネットワーク位置特定機器図が、図13に描写される。 An exemplary wireless network locating equipment diagram is depicted in FIG.
  LTE信号を利用する、顧客ネットワーク投資ではない、完全に自律型のシステムの実施形態は、以下のモードにおいて動作する。
1.アップリンクモードは、位置特定の目的のために無線ネットワークアップリンク(UL)信号を使用する(図16及び17)。
2.ダウンリンクモードは、位置特定の目的のために無線ネットワークダウンリンク(DL)信号を使用する(図14及び15)。
3.二方向モード-は、位置特定のためにUL及びDL信号の両方を使用する。
アップリンクモードでは、複数のアンテナが、1つ以上のNSAUに接続される。これらのアンテナ場所は、無線ネットワークアンテナから独立しており、NSAU(複数可)アンテナ場所が、GDOP(幾何学的な精度の低下)を最小限にするように選択される。An embodiment of a fully autonomous, non-customer network investment, system utilizing LTE signals operates in the following modes.
 1. Uplink mode uses wireless network uplink (UL) signals for location purposes (FIGS. 16 and 17).
 2. Downlink mode uses wireless network downlink (DL) signals for location purposes (FIGS. 14 and 15).
 3. Bi-directional mode—uses both UL and DL signals for location.
 In uplink mode, multiple antennas are connected to one or more NSAUs. These antenna locations are independent of the radio network antenna, and the NSAU(s) antenna locations are chosen to minimize GDOP (Geometric Loss of Accuracy).
UE/携帯電話デバイスからのネットワークのRF信号は、NSAU(複数可)アンテナによって収集され、NSAU(複数可)によって処理され、興味のある全ての信号のうちの1つ以上の実例の捕獲に適している時間間隔の間に処理されたネットワークのRF信号のタイムスタンプされたサンプルを作り出す。 Network RF signals from UE/cellular devices are collected by the NSAU(s) antenna(s), processed by the NSAU(s) and suitable for capturing one or more instances of all signals of interest. produces time-stamped samples of the network RF signal processed during the time interval.
任意選択的に、NSAUはまた、追加情報を取得するために、例えばUE/電話ID等を決定するために、ダウンリンク信号のプロセス及びタイムスタンプされたサンプルを受信する。 Optionally, the NSAU also receives process and time-stamped samples of the downlink signal to obtain additional information, such as to determine UE/phone ID.
捕獲されたタイムスタンプされたサンプルから、各UE/携帯電話ID(複数可)と関連付けられた興味のあるタイムスタンプされた無線ネットワーク信号と共に、UE/携帯電話デバイス識別番号(ID)が決定(取得)される。この動作は、NSAUまたはLSUのいずれかによって行われ得る。 From the captured time-stamped samples, along with time-stamped wireless network signals of interest associated with each UE/mobile phone ID(s), a UE/mobile phone device identification number (ID) is determined. ) is done. This operation can be performed by either the NSAU or the LSU.
NSAUは、データをLSUに周期的に供給する。スケジュールされていないデータが1つ以上のUE/携帯電話ID(複数可)に必要とされる場合には、LSUは、追加データを要求する。 The NSAU periodically supplies data to the LSU. If unscheduled data is required for one or more UE/mobile ID(s), the LSU requests additional data.
変更/修正は、ULモード動作の場合、無線ネットワークインフラストラクチャ及び/または既存のUE/携帯電話において必要とされない。 No changes/modifications are required in the radio network infrastructure and/or existing UEs/mobile phones for UL mode operation.
ダウンリンク(DL)モードでは、不可視性追跡を使用可能なUEが要求される。また、携帯電話FWは、電話が場所確定を取得するために使用される場合、修正される必要がある。 Downlink (DL) mode requires a UE capable of invisibility tracking. Also, the mobile phone FW needs to be modified if the phone is used to obtain location determination.
いくつかの実例では、オペレータが、ベースバンド信号をBBU(複数可)(ベースバンドユニット)から利用可能にさせ得る。かかる場合では、NSAU(複数可)はまた、RF無線ネットワーク信号の代わりに、これらの利用可能なベースバンド無線ネットワーク信号を処理することができる。 In some instances, an operator may make baseband signals available from BBU(s) (baseband units). In such cases, the NSAU(s) may also process these available baseband wireless network signals instead of RF wireless network signals.
DLモードでは、UE/携帯電話IDを1つ以上の無線ネットワーク信号と関連付ける必要性はない。なぜなら、これらの信号はUE/携帯電話において処理されるか、またはUE/携帯電話が、処理されたネットワークのRF信号のタイムスタンプされたサンプルを周期的に生成し、これらをLSUに送信し、LSUが、結果(複数可)をUE/携帯電話に送信し戻すからである。 In DL mode, there is no need to associate a UE/mobile ID with one or more radio network signals. because these signals are processed at the UE/mobile phone, or the UE/mobile phone periodically generates time-stamped samples of the processed network RF signals and transmits them to the LSU, This is because the LSU will send the result(s) back to the UE/mobile phone.
DLモードでは、NSAUは、処理されたRFまたはベースバンド(利用可能な場合)無線ネットワーク信号を処理してタイムスタンプする。捕獲されたタイムスタンプされたサンプルから、ネットワークアンテナと関連付けられた無線ネットワーク信号DLフレーム開始が、決定(取得)され、これらのフレーム開始間の差(オフセット)が計算される。この動作は、NSAUまたはLSUのいずれかによって実行され得る。ネットワークアンテナについてのフレーム開始オフセットは、LSU上に記憶される。 In DL mode, the NSAU processes and timestamps processed RF or baseband (if available) wireless network signals. From the captured time-stamped samples, the wireless network signal DL frame starts associated with the network antennas are determined (obtained) and the difference (offset) between these frame starts is calculated. This operation can be performed by either the NSAU or the LSU. Frame start offsets for network antennas are stored on the LSU.
DLモードでは、デバイスが不可視性追跡技術を使用してそれ自体の場所確定を処理/決定する場合には、ネットワークアンテナのフレーム開始オフセットが、LSUからUE/電話デバイスに送信される。そうではなくて、UE/携帯電話デバイスが、処理されネットワークのRF信号のタイムスタンプされたサンプルをLSUに周期的に送信するとき、LSUは、デバイスの場所確定を決定し、場所確定データをデバイスに送信し戻す。 In DL mode, the frame start offset of the network antenna is transmitted from the LSU to the UE/telephone device when the device uses invisibility tracking techniques to process/determine its own location determination. Instead, when the UE/cellular device periodically transmits time-stamped samples of the processed network RF signal to the LSU, the LSU determines device location determination and sends location determination data to the device. Send back to
DLモードでは、無線ネットワークRF信号が、1つ以上の無線ネットワークアンテナから来る。結果の正確性に影響を及ぼすマルチパスを回避するために、RF信号が、アンテナまたは無線ネットワーク機器へのアンテナ接続から見付け出されなくてはならない。 In DL mode, wireless network RF signals come from one or more wireless network antennas. To avoid multipath affecting the accuracy of results, the RF signal must be found from the antenna or antenna connection to the wireless network equipment.
二方向モードは、UL及びDL動作の両方からの場所確定の決定を包含する。これは、位置特定正確性の更なる改良を可能にする。 Bi-directional mode encompasses location determination from both UL and DL operations. This allows for further improvements in localization accuracy.
いくつかの企業セットアップは、1つ以上の遠隔無線通信ヘッド(RRH)を供給する1つ以上のBBUであって、各RRHが、次いで、複数のアンテナに同じIDを供給する、1つ以上のBBUを使用する。かかる環境では、無線ネットワーク構成に依存して、ネットワークアンテナのDLモードフレーム開始オフセットの決定が、要求されない可能性がある。これは、単一BBUセットアップのみならず複数のBBUを含み、それによって、各BBUのアンテナが、一定のゾーンに割り当てられ、隣接ゾーンのカバレッジが、重複している。 Some enterprise setups are one or more BBUs feeding one or more Remote Radio Heads (RRHs), each RRH in turn feeding multiple antennas with the same ID. Use BBU. In such circumstances, depending on the wireless network configuration, determination of the network antenna DL mode frame start offset may not be required. This includes multiple BBUs as well as a single BBU setup, whereby each BBU's antennas are assigned to certain zones, and the coverage of adjacent zones overlaps.
一方、構成であって、それによって、複数のBBUから供給されるアンテナが同じゾーン内でインターリーブされる構成は、ネットワークアンテナのDLモードフレーム開始オフセットの決定を要求する。 On the other hand, configurations whereby antennas fed from multiple BBUs are interleaved within the same zone require determination of the DL mode frame start offset of the network antennas.
DAS環境におけるDL動作モードでは、複数のアンテナが、同じIDを共有してもよい。 In a DL mode of operation in a DAS environment, multiple antennas may share the same ID.
本実施形態では、場所整合性アルゴリズム(複数可)が、(パイロット及び/または同期を含む)基準信号(複数可)サブキャリアからのマルチパス軽減処理によって発生された可観測量からDASアンテナの範囲を分離するように、ならびに複数のDASエミッタ(アンテナ)範囲から場所推定を取得するように、拡張/開発される。 In this embodiment, the location consistency algorithm(s) is the range of the DAS antenna from the observables generated by multipath mitigation processing from the reference signal(s) subcarriers (including pilot and/or synchronization). , and to obtain location estimates from multiple DAS emitter (antenna) coverage.
  しかしながら、これらの整合性アルゴリズムは、同じIDを発するアンテナの数に限界がある。以下によって、同じIDを発するアンテナの数を削減することができる。
1.所与のカバレッジゾーンインターリーブの場合、セクタ化されたBBUの異なるセクタから供給されるアンテナ(BBUは、最大6つまでのセクタをサポートすることができる)
2.所与のカバレッジゾーンインターリーブの場合、セクタ化されたBBUの異なるセクタから供給されるアンテナ及び異なるBBUから供給されるアンテナ
3.伝搬遅延要素を各アンテナに追加すること。遅延値は、特定のDAS環境(チャネル)において遅延拡散を超えるのに十分大きいように、ただし、追加遅延によって引き起こされるマルチパスがISI(符号間干渉)を結果としてもたらさないように、サイクリックプレフィックス(CP)長よりも小さいように選択される。1つ以上のアンテナのための固有遅延IDの追加は、同じIDを発するアンテナの数を更に削減する。However, these matching algorithms are limited in the number of antennas emitting the same ID. The number of antennas emitting the same ID can be reduced by:
 1. For a given coverage zone interleaving, antennas fed from different sectors of a sectorized BBU (BBU can support up to 6 sectors)
 2. For a given coverage zone interleaving, antennas fed from different sectors of a sectorized BBU and antennas fed from different BBUs3. Add a propagation delay element to each antenna. The delay value is large enough to exceed the delay spread in a particular DAS environment (channel), but the multipath caused by the additional delay does not result in ISI (inter-symbol interference). (CP) is chosen to be less than the length. Adding a unique delay ID for more than one antenna further reduces the number of antennas emitting the same ID.
ある実施形態では、顧客ネットワーク投資を伴わない自律型システムが提案され得る。そのような実施形態では、システムが、LTE帯域以外の帯域上で動作することができる。例えば、ISM(産業科学及び医療用)帯域ならびに/またはホワイトスペース帯域は、LTEサービスが利用可能ではない場所において使用され得る。 In some embodiments, an autonomous system with no customer network investment may be proposed. In such embodiments, the system may operate on bands other than the LTE band. For example, ISM (Industrial, Scientific and Medical) bands and/or whitespace bands may be used in locations where LTE service is not available.
実施形態はまた、マクロ/ミニ/ピコ/フェムトステーション(複数可)及び/またはUE(携帯電話)機器と一体化され得る。一体化は、顧客ネットワーク投資を要求し得るが、それは、諸経費を削減することができ、かつTCO(総所有コスト)を劇的に改善することができる。 Embodiments may also be integrated with macro/mini/pico/femto station(s) and/or UE (mobile phone) equipment. Although consolidation may require customer network investment, it can reduce overheads and dramatically improve TCO (total cost of ownership).
  本明細書に上述したように、PRSは、ダウンリンクで観測される到着時間差(DL-OTDOA)測位のためにUEによって使用され得る。近隣基地局(eNB)の同期に関して、3GPP  TS36.305(E-UTRANにおけるユーザ機器(UE)測位のステージ(Stage)2機能的仕様)が、UEに対する転送タイミングを規定し、そのタイミングは、候補セル(例えば、近隣セル)のeノードBサービスに関連する。3GPP  TS36.305はまた、測定目的のために候補セルの物理セルID(PCI)及びグローバルセルID(GCI)を規定する。  As described herein above, PRS may be used by a UE for downlink observed time difference of arrival (DL-OTDOA) positioning. For neighbor base station (eNB) synchronization, 3GPP TS36.305 (
3GPP TS36.305によれば、この情報は、E-MLC(強化型サービングモバイル位置特定センター)サーバから届けられる。TS36.305は、上述したタイミング正確性を規定していないことに留意する。 According to 3GPP TS36.305, this information is delivered from an E-MLC (Enhanced Serving Mobile Location Center) server. Note that TS36.305 does not specify the timing accuracy mentioned above.
更に、3GPP TS36.305は、UEが、基準信号時間差(RSTD)測定を含むダウンリンク測定をE-MLCに戻すものとすることを規定する。 Furthermore, 3GPP TS36.305 specifies that the UE shall return downlink measurements to the E-MLC, including reference signal time difference (RSTD) measurements.
RSTDは、一対のeNB間で行われる測定である(TS36.214進化型ユニバーサル地上波無線通信アクセス(E-UTRA)、物理層測定、リリース9を参照)。測定は、近隣セルjから受信されたサブフレーム及びサービングセルiの対応するサブフレーム間の相対的タイミング差として定義される。測位基準信号が、これらの測定を行うために使用される。結果は、位置を計算する位置特定サーバに報告し戻される。 RSTD is a measurement made between a pair of eNBs (see TS 36.214 Evolved Universal Terrestrial Radio Access (E-UTRA), Physical Layer Measurements, Release 9). A measurement is defined as the relative timing difference between the subframes received from neighbor cell j and the corresponding subframes of serving cell i. A positioning reference signal is used to make these measurements. Results are reported back to the location server, which computes the location.
ある実施形態では、ハイブリッド方法が、新たに導入されたPRS及び既存の基準信号の両方に適応するように定義され得る。換言すれば、ハイブリッド方法は、PRSと共に、他の基準信号(例えば、セルもしくはノードに特有の基準信号(CRS))と共に、または両方の信号の種類と共に、使用/動作することができる。 In some embodiments, a hybrid method may be defined to accommodate both newly introduced PRS and existing reference signals. In other words, the hybrid method can be used/operated with PRS, with other reference signals (eg, cell or node specific reference signals (CRS)), or with both signal types.
  かかるハイブリッド方法は、ネットワークオペレータ(複数可)が、状況またはネットワークパラメータに依存して動作モードを動的に選択することを可能にするという利点をもたらす。例えば、PRSは、CRSより良好な可聴性を有するが、データスループットにおいて最大7%までの低減を結果としてもたらし得る。一方、CRS信号は、少しのスループット低減ももたらさない。それに加えて、CRS信号は、全ての以前のLTEリリース、例えばリリース8以下と後方互換性がある。そのように、ハイブリッド方法は、ネットワークオペレータに可聴性、スループット、及び互換性間でトレードオフするまたはバランスを取る能力を提供する。  Such a hybrid method offers the advantage of allowing the network operator(s) to dynamically select the mode of operation depending on the circumstances or network parameters. For example, PRS has better audibility than CRS, but can result in up to 7% reduction in data throughput. On the other hand, CRS signals do not result in any throughput reduction. In addition, CRS signaling is backwards compatible with all previous LTE releases, eg
ロングタームエボリューション(LTE)実現形態では、(セルまたは無線ノードによって発生され、本明細書において「ノード」と称される)LTEダウンリンクベースバンド信号が、一般に、ダウンリンクフレームに結合される。かかる信号を検出及び受信するための受信機は、複数の(2つ以上の)セルまたはノードからダウンリンクフレームを検出し得る。各ダウンリンクフレームは、複数のCRSまたは基準信号を含む。ダウンリンク(DL)フレームでは、これらの基準信号が、時間及び周波数において事前に決定された位置を有し、例えば、所与のフレームにおけるフレーム開始及び各CRS間に決定論的な時間オフセットが存在する。 In Long Term Evolution (LTE) implementations, LTE downlink baseband signals (generated by cells or radio nodes, referred to herein as "nodes") are typically combined into downlink frames. A receiver for detecting and receiving such signals may detect downlink frames from multiple (more than one) cells or nodes. Each downlink frame contains multiple CRSs or reference signals. In downlink (DL) frames, these reference signals have pre-determined positions in time and frequency, e.g., there is a deterministic time offset between the frame start and each CRS in a given frame. do.
更に、各CRSは、特殊符号を用いて変調される。変調及び符号もまた事前に決定される。CRS変調は、全ノードについて同じであるが、符号(シード:seed)は、ノードのID(識別)番号によって決定される。 Furthermore, each CRS is modulated with a special code. Modulation and code are also predetermined. The CRS modulation is the same for all nodes, but the code (seed) is determined by the node's ID (identification) number.
結果として、ノードID(複数可)を知ることによって、基準信号のスペクトルにおいて、各ノード(セル)から各フレームについてのフレーム開始時間の経過場所を推定することができる。そうするために、異なるノードから全DL信号についてフレーム開始時間またはフレーム開始をまず決定することが必要である。例えば、ある実施形態では、受信されたDLベースバンド信号を、(検出器及び/またはマルチパス軽減プロセッサによって内部に発生された)符号変調されたCRSの既知の複製と相関付けることによって、様々なノードから全CRSシーケンスまたは他の基準信号を見付けることができ、更に、この情報を用いて、全ての観測可能なノードの粗い場所フレーム開始を見付けることができる。ある実施形態では、検出器がまた、CRSを復調/復号し、次いで、復調/復号されたCRSをCRSに割り当てられるベースバンドサブキャリアと相関付けてもよい。 As a result, by knowing the node ID(s), it is possible to estimate where in the spectrum of the reference signal from each node (cell) the frame start time has elapsed for each frame. To do so, it is necessary to first determine the frame start time or frame start for all DL signals from different nodes. For example, in one embodiment, various A full CRS sequence or other reference signal can be found from a node, and this information can be used to find the coarse location frame start of all observable nodes. In some embodiments, the detector may also demodulate/decode the CRS and then correlate the demodulated/decoded CRS with the baseband subcarriers assigned to the CRS.
同時に、ある実施形態では、CRSがまた、マルチパス軽減プロセッサによってレンジング信号として使用されてもよい。したがって、粗いフレーム開始を見付けることに加えて、検出器の相関付けプロセスがまた、フレーム内の他の信号(例えばペイロードなど)から、それらの信号を変調するために使用された符号を使用して、CRSを分離することができる。その後、これらの分離されたCRS、及び関連付けられたフレーム開始が、レンジングのためにマルチパス軽減プロセッサに転送される。 At the same time, in some embodiments, the CRS may also be used as a ranging signal by the multipath mitigation processor. Therefore, in addition to finding the coarse frame start, the detector correlation process also extracts from other signals in the frame (such as the payload) using the code used to modulate those signals. , CRS can be separated. These separated CRSs and associated frame starts are then forwarded to the multipath mitigation processor for ranging.
類似のアプローチが、アップリンクモードにおいて使用され得、それによって、異なるノード受信機間のタイミングオフセットが決定され得る。 A similar approach can be used in uplink mode, whereby timing offsets between different node receivers can be determined.
ダウンリンク実施形態では、ネットワークと通信する1つ以上の無線ネットワークデバイスを追跡及び位置特定するためのシステムが、ネットワークと通信する2つ以上のノードから複数の信号を受信するように構成されたユーザ機器受信機であって、複数の信号が、複数の信号を伝送する2つ以上のノードの各ノードの識別によって決定された符号を用いて変調され、ユーザ機器受信機が、識別に基づいて複数の信号から基準信号を検出及び分離するように構成された検出器を含む、ユーザ機器受信機と、1つ以上の無線ネットワークデバイスを追跡及び位置特定するために各ノードからのレンジング信号として基準信号を使用するように構成されたプロセッサと、を備える。 In a downlink embodiment, a system for tracking and locating one or more wireless network devices communicating with a network is configured to receive a plurality of signals from two or more nodes communicating with the network. an equipment receiver, wherein a plurality of signals are modulated with a code determined by an identity of each node of two or more nodes transmitting the plurality of signals, and a user equipment receiver selects a plurality of nodes based on the identities; and a reference signal as a ranging signal from each node for tracking and locating one or more wireless network devices a processor configured to use
実施形態では、2つ以上のノードの各ノードからの複数の信号が、基準信号を含むフレームに結合され、検出器が、各ノードからフレーム開始の経過場所を推定するように更に構成される。 In an embodiment, multiple signals from each node of the two or more nodes are combined into a frame containing the reference signal, and the detector is further configured to estimate the elapsed location of the frame start from each node.
実施形態では、検出器が、基準信号をかかる基準信号の既知の複製と相関付けることによって、経過場所を推定するように更に構成される。 In embodiments, the detector is further configured to estimate the travel location by correlating the reference signal with known replicas of such reference signal.
実施形態では、検出器が、フレーム内の任意の他の信号から基準信号を分離するように更に構成され、検出器が、2つ以上のノードの各ノードについて基準信号を分離するように更に構成される。 In embodiments, the detector is further configured to separate the reference signal from any other signal in the frame, and the detector is further configured to separate the reference signal for each node of the two or more nodes. be done.
実施形態では、プロセッサが、少なくとも1つのマルチパス軽減プロセッサであり、マルチパス軽減プロセッサが、経過場所及び分離された基準信号を受信して、各ノードからのレンジング信号の相対的到着時間を推定するように構成される。 In an embodiment, the processor is at least one multipath mitigation processor, which receives the travel locations and the separated reference signals to estimate the relative time of arrival of the ranging signal from each node. configured as
実施形態では、プロセッサが、少なくとも1つのマルチパス軽減プロセッサである。 In embodiments, the processor is at least one multipath mitigation processor.
実施形態では、2つ以上のノードの各ノードからの複数の信号が、あるフレーム内にあり、検出器が、各ノードからのフレーム開始の経過場所を推定するように更に構成され、検出器が、フレーム内の任意の他の信号から基準信号を分離するように構成され、検出器が、2つ以上のノードの各ノードについて基準信号を分離するように更に構成され、検出器が、各ノードについての経過場所及び分離された基準信号をマルチパス軽減プロセッサに渡すように構成され、マルチパス軽減プロセッサが、経過場所及び分離された基準信号を受信して、各ノードからのレンジング信号の相対的到着時間を推定するように構成される。 In an embodiment, the multiple signals from each node of the two or more nodes are within a frame, the detector is further configured to estimate the elapsed location of the frame start from each node, and the detector is , configured to separate the reference signal from any other signal in the frame, a detector further configured to separate the reference signal for each node of the two or more nodes, the detector for each node to a multipath mitigation processor, the multipath mitigation processor receiving the elapsed locations and the isolated reference signals to determine the relative ranging signal from each node Configured to estimate time of arrival.
実施形態では、システムは、ノード受信機が1つ以上の無線ネットワークデバイスからデバイス信号を受信するように構成されたアップリンク実施形態を更に備え、デバイス信号が、デバイス信号を伝送する1つ以上の無線ネットワークデバイスの各無線ネットワークデバイスのデバイス識別によって決定されたデバイス符号を用いて変調され、ノード受信機が、デバイス識別に基づいてデバイス信号からデバイス基準信号を検出及び分離するように構成されたデバイス検出器を含み、第2のプロセッサが、1つ以上の無線ネットワークデバイスを追跡及び位置特定するために各無線ネットワークデバイスからデバイス基準信号をレンジング信号として使用するように構成される。 In embodiments, the system further comprises an uplink embodiment in which the node receiver is configured to receive device signals from one or more wireless network devices, the device signals transmitting device signals from one or more A device modulated with a device code determined by the device identification of each wireless network device of the wireless network devices, the node receiver configured to detect and separate the device reference signal from the device signal based on the device identification. A second processor, including a detector, is configured to use the device reference signal from each wireless network device as a ranging signal to track and locate the one or more wireless network devices.
ある実施形態では、ネットワークと通信する1つ以上の無線ネットワークデバイスを追跡及び位置特定するためのシステムが、ネットワークと通信する2つ以上のノードから複数の信号を受信するように構成されたユーザ機器受信機であって、複数の信号が、複数の信号を伝送する2つ以上のノードの各ノードの識別によって決定された符号を用いて変調される、ユーザ機器受信機と、識別に基づいて複数の信号から基準信号を検出及び分離するように、ならびに1つ以上の無線ネットワークデバイスを追跡及び位置特定するために各ノードからのレンジング信号として基準信号を使用するように構成されたプロセッサと、を備える。 In one embodiment, a system for tracking and locating one or more wireless network devices in communication with a network is user equipment configured to receive a plurality of signals from two or more nodes in communication with the network. a receiver, a user equipment receiver in which the plurality of signals are modulated with a code determined by the identity of each of the two or more nodes transmitting the plurality of signals; a processor configured to detect and isolate the reference signal from the signals of and to use the reference signal as a ranging signal from each node to track and locate one or more wireless network devices; Prepare.
実施形態では、2つ以上のノードの各ノードからの複数の信号が、基準信号を含むフレームに結合され、プロセッサが、各ノードからフレーム開始の経過場所を推定するように更に構成される。 In an embodiment, multiple signals from each node of the two or more nodes are combined into a frame containing the reference signal, and the processor is further configured to estimate from each node the elapsed location of the frame start.
実施形態では、プロセッサが、基準信号をその基準信号の既知の複製と相関付けることによって経過場所を推定するように更に構成される。 In an embodiment, the processor is further configured to estimate the travel location by correlating the reference signal with known replicas of the reference signal.
実施形態では、プロセッサが、経過場所及び分離された基準信号に基づいて、各ノードからレンジング信号の相対的到着時間を推定するように更に構成される。 In embodiments, the processor is further configured to estimate the relative time of arrival of the ranging signal from each node based on the location of travel and the isolated reference signal.
実施形態では、プロセッサが、フレーム内の任意の他の信号から基準信号を分離するように更に構成され、プロセッサが、2つ以上のノードの各ノードについて基準信号を分離するように更に構成される。 In embodiments, the processor is further configured to separate the reference signal from any other signals in the frame, and the processor is further configured to separate the reference signal for each node of the two or more nodes. .
実施形態では、2つ以上のノードの各ノードからの複数の信号が、あるフレーム内にあり、プロセッサが、基準信号をその基準信号の既知の複製と相関付けることによって、各ノードからフレーム開始の経過場所を推定するように更に構成され、プロセッサが、フレーム内の任意の他の信号から基準信号を分離するように、及び2つ以上のノードの各ノードについて基準信号を分離するように更に構成され、プロセッサが、経過場所及び分離された基準信号に基づいて、各ノードからレンジング信号の相対的到着時間を推定するように更に構成される。 In an embodiment, multiple signals from each node of the two or more nodes are within a frame, and the processor determines the start of frame from each node by correlating the reference signal with known replicas of the reference signal. Further configured to estimate the elapsed location, the processor further configured to separate the reference signal from any other signals in the frame, and to separate the reference signal for each node of the two or more nodes. and the processor is further configured to estimate the relative time of arrival of the ranging signal from each node based on the location of travel and the isolated reference signal.
ある実施形態では、ネットワークと通信する1つ以上の無線ネットワークデバイスの追跡及び位置特定のためのシステムが、ネットワークと通信する2つ以上のノードから複数の信号を受信するように構成された検出器であって、複数の信号が、複数の信号を伝送する2つ以上のノードの各ノードの識別によって決定された符号を用いて変調され、識別に基づいて複数の信号から基準信号を検出及び分離するように構成された、検出器と、1つ以上の無線ネットワークデバイスを追跡及び位置特定するために各ノードからのレンジング信号として基準信号を使用するように構成されたプロセッサと、を備える。 In one embodiment, a system for tracking and locating one or more wireless network devices in communication with a network has a detector configured to receive a plurality of signals from two or more nodes in communication with the network. wherein the plurality of signals are modulated with a code determined by the identity of each node of the two or more nodes carrying the plurality of signals, and detecting and separating the reference signal from the plurality of signals based on the identity and a processor configured to use the reference signal as a ranging signal from each node to track and locate one or more wireless network devices.
実施形態では、2つ以上のノードの各ノードからの複数の信号が、基準信号を含むフレームに結合され、検出器が、各ノードからフレーム開始の経過場所を推定するように更に構成される。 In an embodiment, multiple signals from each node of the two or more nodes are combined into a frame containing the reference signal, and the detector is further configured to estimate the elapsed location of the frame start from each node.
実施形態では、検出器が、基準信号をかかる基準信号の既知の複製と相関付けることによって経過場所を推定するように更に構成される。 In embodiments, the detector is further configured to estimate the travel location by correlating the reference signal with known replicas of such reference signal.
実施形態では、検出器が、フレーム内の任意の他の信号から基準信号を分離するように更に構成され、検出器が、2つ以上のノードの各ノードについて基準信号を分離するように更に構成される。 In embodiments, the detector is further configured to separate the reference signal from any other signal in the frame, and the detector is further configured to separate the reference signal for each node of the two or more nodes. be done.
実施形態では、プロセッサが、少なくとも1つのマルチパス軽減プロセッサであり、マルチパス軽減プロセッサが、経過場所及び分離された基準信号を受信して、各ノードからのレンジング信号の相対的到着時間を推定するように構成される。 In an embodiment, the processor is at least one multipath mitigation processor, which receives the travel locations and the separated reference signals to estimate the relative time of arrival of the ranging signal from each node. configured as
実施形態では、プロセッサが、少なくとも1つのマルチパス軽減プロセッサである。 In embodiments, the processor is at least one multipath mitigation processor.
実施形態では、2つ以上のノードの各ノードからの複数の信号が、あるフレーム内にあり、検出器が、各ノードからのフレーム開始の経過場所を推定するように更に構成され、検出器が、フレーム内の任意の他の信号から基準信号を分離するように構成され、検出器が、2つ以上のノードの各ノードについて基準信号を分離するように更に構成され、検出器が、各ノードについての経過場所及び分離された基準信号をマルチパス軽減プロセッサに渡すように構成され、マルチパス軽減プロセッサが、経過場所及び分離された基準信号を受信して、各ノードからのレンジング信号の相対的到着時間を推定するように構成される。 In an embodiment, the multiple signals from each node of the two or more nodes are within a frame, the detector is further configured to estimate the elapsed location of the frame start from each node, and the detector is , configured to separate the reference signal from any other signal in the frame, a detector further configured to separate the reference signal for each node of the two or more nodes, the detector for each node to a multipath mitigation processor, the multipath mitigation processor receiving the elapsed locations and the isolated reference signals to determine the relative ranging signal from each node Configured to estimate time of arrival.
ある実施形態では、ネットワークと通信する1つ以上の無線デバイスを追跡及び位置特定するためのシステムが、1つ以上の無線ネットワークデバイスからデバイス信号を受信するように構成されたノード受信機であって、デバイス信号が、デバイス信号を伝送する1つ以上の無線ネットワークデバイスの各無線ネットワークデバイスのデバイス識別によって決定されたデバイス符号を用いて変調され、ノード受信機が、デバイス識別に基づいてデバイス信号からデバイス基準信号を検出及び分離するように構成されたデバイス検出器を含む、ノード受信機と、1つ以上の無線ネットワークデバイスを追跡及び位置特定するために、各無線ネットワークデバイスからのレンジング信号としてデバイス基準信号を使用するように構成されたプロセッサと、を備える。 In one embodiment, a system for tracking and locating one or more wireless devices communicating with a network is a node receiver configured to receive device signals from one or more wireless network devices, , the device signal is modulated with a device code determined by the device identification of each of the one or more wireless network devices transmitting the device signal, and a node receiver modulates the device signal from the device signal based on the device identification; A node receiver including a device detector configured to detect and isolate device reference signals and devices as ranging signals from each wireless network device to track and locate one or more wireless network devices. a processor configured to use the reference signal.
なおその上に、ハイブリッド方法は、LTE UE測位アーキテクチャに対して透過的であり得る。例えば、ハイブリッド方法は、3GPP TS36.305フレームワークにおいて動作することができる。 Furthermore, the hybrid method may be transparent to the LTE UE positioning architecture. For example, the hybrid method can operate in the 3GPP TS36.305 framework.
ある実施形態では、RSTDが測定され得、3GPP TS36.305に従って、UEからE-SMLCに転送され得る。 In an embodiment, RSTD may be measured and transferred from the UE to the E-SMLC according to 3GPP TS36.305.
UL-TDOA(U-TDOA)は、現在、研究段階にあり、来たるべきリリース11に規格化されることが予想される。 UL-TDOA (U-TDOA) is currently in the research stage and is expected to be standardized in the upcoming Release 11.
UL-TDOA(アップリンク)の実施形態が、本明細書に上記され、また図16及び17に示される。本明細書において以下に記載される図18及び19は、UL-TDOAの代替の実施形態例を提供する。 UL-TDOA (Uplink) embodiments are described herein above and shown in FIGS. Figures 18 and 19, described herein below, provide alternative example embodiments of UL-TDOA.
図18は、1つ以上のDAS及び/またはフェムト/スモールセルアンテナを含み得る環境を表わす。この実施形態例では、各NSAUが、単一アンテナを装備している。描写されるように、少なくとも3つのNSAUが要求される。しかしながら、各UEは、少なくとも3つのNSAUによって「聴かれる」必要があるので、追加のNSAUが、可聴性を改良するために追加され得る。 FIG. 18 represents an environment that may include one or more DAS and/or femto/small cell antennas. In this example embodiment, each NSAU is equipped with a single antenna. As depicted, at least three NSAUs are required. However, since each UE needs to be "heard" by at least three NSAUs, additional NSAUs can be added to improve audibility.
なおその上に、NSAU(複数可)は、受信機として構成され得る。例えば、各NSAUは、無線で情報を受信するが、その情報を伝送しない。動作中、各NSAUは、UEから無線アップリンクネットワーク信号をリッスンすることができる。UEのそれぞれは、携帯電話、タグ、及び/または別のUEデバイスであり得る。 Furthermore, the NSAU(s) may be configured as a receiver. For example, each NSAU receives information over the air, but does not transmit that information. In operation, each NSAU can listen to radio uplink network signals from UEs. Each of the UEs may be a mobile phone, tag, and/or another UE device.
その上、NSAUは、インターフェース、例えば、有線サービスまたはLANなど上で位置特定サーバユニット(LSU)と通信するように構成され得る。次いで、LSUは、無線またはLTEネットワークと通信することができる。通信は、ネットワークAPI経由であり得、ここで、LSUは、例えば、LTEネットワークのE-SMLCと通信することができ、有線サービス、例えばLAN及び/またはWANなどを使用することができる。 Additionally, the NSAU may be configured to communicate with a Location Server Unit (LSU) over an interface, such as a wireline service or LAN. The LSU can then communicate with a wireless or LTE network. Communication may be via a network API, where the LSU may, for example, communicate with an E-SMLC in an LTE network and may use wireline services such as LAN and/or WAN.
任意選択的に、LSUはまた、DAS基地局(複数可)及び/またはフェムト/スモールセルと直接的に通信してもよい。この通信は、同じまたは修正されたネットワークAPIを使用することができる。 Optionally, the LSU may also communicate directly with the DAS base station(s) and/or femto/small cells. This communication may use the same or modified network APIs.
この実施形態では、サウンディング(Sounding)基準信号(SRS)が、位置特定目的のために使用され得る。しかしながら、他の信号もまた、利用されてもよい。 In this embodiment, Sounding Reference Signals (SRS) may be used for location purposes. However, other signals may also be used.
NSAUは、UEアップリンク伝送信号をデジタル形態、例えばI/Qサンプルに変換することができ、いくつかの変換された信号を、タイムスタンプを用いてLSUに周期的に送信することができる。 The NSAU can convert the UE uplink transmission signal into digital form, eg, I/Q samples, and periodically send some converted signals with timestamps to the LSU.
  DAS基地局(複数可)及び/またはフェムト/スモールセルは、以下のデータのうちの1つまたは全てをLSUに渡すことができる。
  1)SRS、I/Qサンプル、及びタイムスタンプ、
  2)供給されたUEのIDのリスト、ならびに
  3)UEのIDを有するUE毎のSRSスケジュールであって、SRSスケジューリング要求コンフィグ(Config)情報及びSRS-UL-コンフィグ情報を含む、SRSスケジュール。The DAS base station(s) and/or femto/small cells can pass one or all of the following data to the LSU.
 1) SRS, I/Q samples and timestamps;
 2) a list of provided UE IDs; and 3) an SRS schedule for each UE with the UE ID, including SRS scheduling request Config information and SRS-UL-Config information.
LSUに渡される情報は、上述の情報によって限定されない可能性がある。それは、各UEデバイスアップリンク信号、例えばUE SRSなどを各UEのIDと相関付けるのに必要な任意の情報を含むことができる。 The information passed to the LSU may not be limited by the above information. It may contain any information necessary to correlate each UE device uplink signal, eg, UE SRS, with each UE's ID.
LSU機能は、レンジング計算及びUEの場所確定の取得を含み得る。これらの決定/計算は、NSAU、DASベースステーション、及び/またはフェムト/スモールセルからLSUに渡される情報に基づき得る。 LSU functions may include ranging calculations and obtaining location determination for the UE. These decisions/calculations may be based on information passed to the LSU from the NSAU, DAS base stations, and/or femto/small cells.
LSUはまた、NSAUからLSUに渡される利用可能なダウンリンク伝送情報からタイミングオフセットを決定してもよい。 The LSU may also determine the timing offset from available downlink transmission information passed to the LSU from the NSAU.
次いで、LSUは、無線またはLTEネットワークにUE場所確定ならびに他の計算及びデータを提供することができる。かかる情報は、ネットワークAPI経由で通信され得る。 The LSU can then provide UE location determination and other calculations and data to the wireless or LTE network. Such information may be communicated via network APIs.
同期目的のために、各NSAUは、ダウンリンク信号のサンプルを受信、処理、及びタイムスタンプしてもよい。各NSAUはまた、タイムスタンプ(複数可)を含む、いくつかのかかるサンプルをLSUに周期的に送信してもよい。 For synchronization purposes, each NSAU may receive, process, and timestamp samples of the downlink signal. Each NSAU may also periodically send a number of such samples, including timestamp(s), to the LSU.
更に、各NSAUは、外部信号(複数可)との同期のために構成された入力を含んでもよい。 Additionally, each NSAU may include an input configured for synchronization with external signal(s).
図19は、UL-TDOAの別の実施形態を描写する。図18の下で描写される構成要素に加えて、この実施形態の環境は、DAS基地局及び/またはフェムト/スモールセルの代わりに使用され得る1つ以上のセルタワーを含み得る。1つ以上のセルタワーからのデータは、UEの場所確定を取得するために使用され得る。 FIG. 19 depicts another embodiment of UL-TDOA. In addition to the components depicted under FIG. 18, the environment of this embodiment may include one or more cell towers that may be used in place of DAS base stations and/or femto/small cells. Data from one or more cell towers may be used to obtain location determination for the UE.
そのように、この実施形態の利点は、単一セルタワー(eNB)のみを用いる場所確定を取得することを含む。加えて、この実施形態は、1つ以上のeNBがDAS基地局及び/またはフェムト/スモールセルと交換できることを除いて、図18の下で記載されたものと類似の様態で動作するように構成され得る。 As such, advantages of this embodiment include obtaining location determination using only a single cell tower (eNB). Additionally, this embodiment is configured to operate in a manner similar to that described under FIG. 18, except that one or more eNBs can replace DAS base stations and/or femto/small cells can be
  UEのアップリンク位置特定の1つの方法は、セル識別方法(CID)である。基本的なCID方法では、UE位置が、セルレベルで決定され得る。この方法は、純粋にネットワークベースのものである。結果として、UE、例えば、ハンドセットは、それが追跡されているという事実に気付かない。これは比較的単純な方法であるが、位置特定の不確定性がセル直径に等しいので、それは正確性に欠ける。例えば、図20に例示されるように、サービングセルタワー2004のセル直径2002内のハンドセット2000のいずれも、それらが同じ場所にないにも関わらず、実質的に同じ場所を有する。CID方法の正確性は、サービングセクタ識別(セクタID)知識と組み合わされるときに改良され得る。例えば、図21に例示されるように、セクタID2100は、セル直径2002の他のセクタにおける他のハンドセット2000とは異なる場所を有することが知られているいくつかのハンドセット2104を含むセル直径2002内の区分2102を識別する。  One method of UE uplink location is the Cell Identification Method (CID). In the basic CID method, UE location can be determined at the cell level. This method is purely network-based. As a result, the UE, eg the handset, is unaware of the fact that it is being tracked. Although this is a relatively simple method, it lacks accuracy because the localization uncertainty is equal to the cell diameter. For example, as illustrated in FIG. 20, any of the
  CID方法に対する更なる強化は、強化型セルID(E-CID)方法を通して可能であり得、それは、更なる改善点を上記した基本的なCID方法に提供する。1つの強化は、どのくらいUEがeNB(ネットワークノード)から遠く離れているかを計算するためにタイミング測定を使用する。この距離は、ラウンドトリップ時間(RTT)の半分、またはLTEにおけるタイミングアドバンス(TA)(LTE  TA)に光速を掛けたものとして計算され得る。UEが接続される場合には、RTTまたはTAが、距離推定のために使用され得る。この場合では、(サービングeNBコマンド直後に)サービングセルタワーまたはセクタ及びUEの両方が、Rxサブフレーム及びTxサブフレーム間のタイミング差を測定する。UEは、その測定をeNBに(また、eNB制御下で)報告する。LTEリリース9は、ランダムアクセス手順の間にPRACHプリアンブルを受信することから推定されるタイミングアドバンスに頼るTAタイプ2測定を追加することに留意されたい。PRACH(物理/パケットランダムアクセスチャネル)プリアンブルは、追跡されているUEから応答が受信されないときに、1つのPRACHランピング(ramping)サイクルの間に送信されるプリアンブルの最大数を規定する。LTEタイプ1TA測定は、以下のように、RTT測定に等しい。
    RTT=TA(タイプ1)=eNB(Rx-Tx)+UE(Rx-Tx)
eNBの座標及びサービングセルタワーアンテナの高さの知識を用いて、UEの位置が、ネットワークによって計算され得る。Further enhancements to the CID method may be possible through the Enhanced Cell-ID (E-CID) method, which provides further improvements to the basic CID method described above. One enhancement uses timing measurements to calculate how far the UE is from the eNB (network node). This distance can be calculated as half the round trip time (RTT), or the timing advance (TA) in LTE (LTE TA) multiplied by the speed of light. When the UE is connected, RTT or TA may be used for range estimation. In this case, both the serving cell tower or sector and the UE (immediately after the serving eNB command) measure the timing difference between the Rx and Tx subframes. The UE reports its measurements to the eNB (and under eNB control). Note that
 RTT = TA (type 1) = eNB (Rx - Tx) + UE (Rx - Tx)
 With knowledge of the eNB's coordinates and the height of the serving cell tower antenna, the UE's location can be calculated by the network.
しかしながら、一次元では、位置特定正確性が、セクタ幅及びサービングセルタワーからの距離に依存し、他の次元では、誤差が、TA(RTT)測定正確性に依存するので、E-CID位置特定方法は、依然として限定される。セクタ幅は、ネットワークトポロジと共に変動し、伝搬現象、具体的にはマルチパスによって影響を受ける。セクタ正確性推定は、200メートルから500メートルを超えて変動する。LTE TA測定分解能は4Tsであり、それは、39メートルの最大誤差に相当する。しかしながら、LTE TA測定における実際の誤差は、較正不正確及び伝搬現象(マルチパス)に起因して更に大きく、200メートルほどに達し得る。 However, since in one dimension the location accuracy depends on the sector width and distance from the serving cell tower, and in the other dimension the error depends on the TA (RTT) measurement accuracy, the E-CID location method is still limited. Sector width varies with network topology and is affected by propagation phenomena, specifically multipath. Sector accuracy estimates vary from 200 meters to over 500 meters. The LTE TA measurement resolution is 4Ts, which corresponds to a maximum error of 39 meters. However, the actual error in LTE TA measurements is much larger due to calibration inaccuracies and propagation phenomena (multipath) and can reach as much as 200 meters.
  図22に例示されるように、E-CID方法は、到着角(AoA)として既知の特徴の追加を用いて更に改良され得る。ENBは、方向であって、その方向からUEが、均等に間隔を置かれたアンテナ要素2200の線形アレイを使用して伝送している方向を推定する。典型的には、基準信号がAoA決定のために使用される。基準信号が、2つの隣接アンテナ要素2200においてUEから受信されるとき、基準信号が、図23に示されるように、AoA、キャリア周波数、及び要素間隔に依存する量だけ、相回転され得る。AoAは、各eNBがアンテナアレイ/適応アンテナを装備することを要求する。それはまた、マルチパス及びトポロジ変動にさらされる。それにも関わらず、精巧なアンテナアレイは、セクタ2100の幅2202を著しく削減することができ、それは、良好な位置特定正確性へと導き得る。その上、図23に例示されるように、2つ以上のサービングセルタワー2300(方向性アンテナアレイを装備するeNBの基地局)が、ハンドセットAoA決定を行うために使用され得る場合には、正確性が大幅に改良され得る。そのような場合では、正確性は、依然として、マルチパス/伝搬現象にさらされる。  As illustrated in FIG. 22, the E-CID method can be further improved with the addition of a feature known as the Angle of Arrival (AoA). The ENB estimates the direction from which the UE is transmitting using a linear array of evenly spaced
アンテナアレイ/適応アンテナを複数のLTE帯域上でネットワーク全体にわたって配備することは、資本、時間、保守等の観点から途方もない努力を要求する。結果として、アンテナアレイ/適応アンテナは、UE位置特定の目的のために配備されていない。他のアプローチ、例えば、信号強度に基づく方法などは、大幅な正確性の改良をもたらさない。1つのかかる信号強度アプローチは指紋採取であり、それは、膨大で、(時間において)連続的に変化する指紋採取データベース、例えば、大資本を生成して連続的に更新すること、及び大幅な正確性の改良なしで出費を再発生させることを要求する。その上、指紋採取は、UEに基づく技術であり、それによって、UE位置は、UEアプリケーションレベルでのUEの支援なしで決定されることができない。 Deploying antenna arrays/adaptive antennas over multiple LTE bands across a network requires a tremendous effort in terms of capital, time, maintenance, and so on. As a result, antenna arrays/adaptive antennas are not deployed for UE localization purposes. Other approaches, such as those based on signal strength, do not provide significant accuracy improvements. One such signal strength approach is fingerprinting, which requires a large, continuously changing (in time) fingerprinting database, e.g. Requires reincurrence of spending without improvement of Moreover, fingerprinting is a UE-based technique, whereby the UE location cannot be determined without UE assistance at the UE application level.
他のアップリンク位置特定方法の限定に対する解決策は、アンテナアレイ/適応アンテナの必要性なしでのAoA機能の使用を含む。かかる実施形態は、AoA決定のためにTDOA(到着時間差)位置特定技法を利用してもよく、それは、複数の受信機におけるソースからの信号の到着時間における差の推定に基づき得る。時間差推定の個々の値は、UEと通信する2つの受信機間の双曲線を定義する。受信アンテナ間の距離がエミッタ(ハンドセット)が位置している距離に対して小さいときには、TDOAが、センサ(受信機のアンテナ)の基線及びエミッタからの入射RFエネルギー間の角度に等しい。基線及び真北間の角度が既知である場合には、方位線(LOB)及び/またはAoAが決定され得る。 Solutions to the limitations of other uplink localization methods include using AoA functionality without the need for antenna arrays/adaptive antennas. Such embodiments may utilize a TDOA (time difference of arrival) localization technique for AoA determination, which may be based on estimates of differences in arrival times of signals from sources at multiple receivers. Each value of the time difference estimate defines a hyperbola between two receivers communicating with the UE. When the distance between the receiving antennas is small relative to the distance at which the emitter (handset) is located, TDOA is equal to the angle between the baseline of the sensor (receiver's antenna) and the incident RF energy from the emitter. If the angle between the baseline and true north is known, the line of bearing (LOB) and/or AoA can be determined.
TDOAまたはLOB(AoAとしても既知である)のいずれかを使用する一般的な位置特定方法は既知であるが、TDOA基準点は、かかる技法の正確性を許容可能にさせるには互いに近すぎるので、TDOA位置特定方法は、LOBを決定するために使用されていない。むしろ、LOBは、通常、方向性アンテナ及び/またはビームフォーミングアンテナを使用して決定される。しかしながら、本明細書に記載される超分解能方法は、LOB決定のためにTDOAを使用する一方で、劇的に正確性を改良することを可能にする。更に、本明細書に記載される基準信号処理技法を用いないと、例えば、非サービングセクタ及び/またはアンテナによって、サービングセクタの外側のUEから来る基準信号を「聴く」こと、例えば、検出することができない可能性がある。本明細書に記載される分解能及び処理機能を用いないと、少なくとも2つの基準点、例えば、2つ以上のセクタ及び/またはアンテナ)が必要とされるので、LOB決定のためにTDOAを利用することができない可能性がある。同様に、UEは、サービングセクタ以外から、例えば、非サービングセクタ及び/またはアンテナからUEに来る基準信号を検出することができない可能性がある。 Although common localization methods using either TDOA or LOB (also known as AoA) are known, the TDOA reference points are too close together to make the accuracy of such techniques acceptable. , the TDOA location method has not been used to determine LOBs. Rather, LOBs are typically determined using directional and/or beamforming antennas. However, the super-resolution method described herein allows dramatically improved accuracy while using TDOA for LOB determination. Furthermore, without the reference signal processing techniques described herein, it would be impossible to "listen", e.g., detect, reference signals coming from UEs outside the serving sector, e.g., by non-serving sectors and/or antennas. may not be possible. Utilizing TDOA for LOB determination, because without the resolution and processing capabilities described herein, at least two reference points (e.g., two or more sectors and/or antennas) are required may not be possible. Similarly, the UE may not be able to detect reference signals coming to the UE from non-serving sectors, eg, non-serving sectors and/or antennas.
  例えば、図24には、2つのアンテナ分離シナリオ、すなわち、大きく開いた分離及び近い(小さな)分離が例示される。両シナリオにおいて、双曲線2400及び入射線2402は、ハンドセット2000の場所において交差しているが、アンテナ2404分離が大きく開いている場合には、これは、より急な角度で発生し、それは、次いで、位置特定誤差を実質的に低減する。同時に、アンテナ2404が互いに近い場合には、双曲線2400が、RFエネルギーの入射線2402またはLOB/AoAと交換可能になる。  For example, FIG. 24 illustrates two antenna separation scenarios: wide open separation and close (small) separation. In both scenarios, the
  以下に規定される式は、エミッタからの入射RFエネルギーを決定するために使用され得、ここで、2つのアンテナ(センサ)間のRFエネルギーの到着時間における時間差は、
  ここで、
  Δtは、秒単位の、時間差であり、
  xは、メートル単位の、2つのセンサ間の距離であり、
  Θは、度単位の、センサの基線及び入射RF波間の角度であり、
  cは、光速である。The formula defined below can be used to determine the incident RF energy from the emitter, where the time difference in the arrival times of the RF energy between the two antennas (sensors) is:
 here,
 Δt is the time difference, in seconds;
 x is the distance between the two sensors in meters;
 Θ is the angle in degrees between the sensor baseline and the incident RF wave;
 c is the speed of light.
いくつかの位置特定手法は、(1)2つ以上のサービングセル間のTDOA測定(多辺測量)が利用可能である、例えば、大きく開いた分離であるとき、(2)TDOA測定が、1つ以上のサービングセルにおける2つ以上のセクタのみから、例えば、小さなアンテナ分離、かかるLOB/AoAのみからであるとき、(3)手法(2)及び(3)の組み合わせ、ならびに(4)TA測定及び手法(1)~(3)の組み合わせ、例えば、改良されE-CIDを含む、TDOA位置特定実施形態の使用を通して利用可能である。 Some localization techniques are: (1) TDOA measurements between two or more serving cells (multi-lateration) are available, e.g., when there is a wide open separation; (3) a combination of techniques (2) and (3), and (4) TA measurements and techniques when only from two or more sectors in the serving cell above, e.g., small antenna separation, such LOB/AoA only Combinations of (1)-(3) are available through the use of TDOA localization embodiments, including, for example, improved E-CID.
以下に更に説明されるように、近くに位置付けられたアンテナの場合では、TDOA位置特定実施形態は、2つ以上のアンテナからの信号が同じセルタワーからのものであるときに、方位線を使用し得る。これらの信号は、受信された複合信号において検出され得る。各セクタ及び/またはアンテナのタワーの場所ならびに方位角を知ることによって、方位線及び/またはAoAが、位置特定プロセスにおいて計算及び利用され得る。LOB/AoA正確性は、マルチパス、雑音(SNR)等によって影響を受け得る。しかしながら、この影響は、上記した進歩的な信号処理及びマルチパス軽減処理技法によって軽減され得、それは、超分解能技術に基づき得る。かかる進歩的な信号処理は、限定されるものではないが、信号相関/相関付け、フィルタリング、平均化、同期平均化、及び他の方法/技法を含む。 As explained further below, in the case of closely positioned antennas, the TDOA locating embodiment uses bearing lines when the signals from two or more antennas are from the same cell tower. obtain. These signals can be detected in the received composite signal. By knowing the location and azimuth angle of each sector and/or antenna tower, a azimuth line and/or AoA can be calculated and utilized in the location process. LOB/AoA accuracy can be affected by multipath, noise (SNR), and so on. However, this effect can be mitigated by the advanced signal processing and multipath mitigation processing techniques described above, which can be based on super-resolution techniques. Such advanced signal processing includes, but is not limited to, signal correlation/correlation, filtering, averaging, synchronous averaging, and other methods/techniques.
  サービングセルタワー2500は、典型的には、図25に例示されるように、複数のセクタから成り、それらは、3つのセクタ(セクタA、セクタB、及びセクタC)構成を示す。例示される3つのセクタ配備は、セクタ毎に1つ以上のアンテナ2502を含み得る。単一セクタ、例えば、セクタAなどは、ハンドセット伝送がセクタAの主ローブ内にある(主ローブの中心は、セクタ方位角と合致する)ので、UE(ハンドセット)の管理下にあり得る。同時に、ハンドセット伝送は、セクタB及びCの主ローブの外側、例えば、アンテナの副ローブの中に属する。それゆえ、ハンドセット信号は、依然として、セクタB及びCの出力信号スペクトルに存在するが、セクタBまたはセクタCの主ローブに位置する他のハンドセット(複数可)からの信号に対して著しく減衰される。それにも関わらず、上記及び下記のように、進歩した信号処理の使用を通して、レンジング信号上で十分な処理利得を取得し、それらを近隣セクタの副ローブ、例えば、セクタB及びセクタCの副ローブなどから検出可能にさせることができる。ネットワークベースの位置特定目的のために、LTEアップリンクSRS(サウンディング基準信号)が、レンジング信号として利用されてもよい。  Serving
換言すれば、UEアップリンク基準信号は、近隣セクタ(複数可)アンテナの副ローブ内にあり得るが、本明細書に記載される基準信号処理方法による処理利得は、2つ(またはそれ以上)のセクタアンテナ間のTDOAの計算を可能にするのに十分であり得る。この実施形態の正確性は、上記したマルチパス軽減処理アルゴリズムによって著しく強化され得る。それゆえ、LTE TAタイミングによって計算される環状部と交差するLOB/AOAは、約20メートル×100メートルの誤差楕円内までUE場所を提供し得る。 In other words, the UE uplink reference signal may be within the sidelobes of the neighboring sector(s) antenna, but the processing gain with the reference signal processing methods described herein is two (or more). may be sufficient to allow calculation of TDOA between sector antennas. The accuracy of this embodiment can be significantly enhanced by the multipath mitigation processing algorithm described above. Therefore, a LOB/AOA that intersects the annulus calculated by LTE TA timing may provide UE location to within an error ellipse of approximately 20 meters by 100 meters.
更なる位置特定誤差低減は、UEが2つ以上のLTEタワーによって聴かれ得るときに達成され得、それは、上記した処理利得及びマルチパス軽減技術を用いる可能性が極めて高い。かかる場合では、TDOA双曲線及び1つ以上のLOB/AoA線の交差が、(2つのセクタセルタワーの場合)30×20メートルの誤差楕円を結果としてもたらし得る。各セルタワーが3つ以上のセクタをサポートする場合には、誤差楕円は、10~15メートルに至るまで更に減らされ得る。UEが3つ以上のeNBの(セルタワー)によって聴かれる場合には、5~10メートルの正確性が達成され得る。高価値エリア、例えば、モール、オフィスパーク、及び同様の場所などでは、追加的なスモールセルまたはパッシブリスニングデバイスが、必要なカバレッジを生み出すために使用されてもよい。 Further location error reduction can be achieved when the UE can be heard by more than one LTE tower, which most likely uses the processing gain and multipath mitigation techniques described above. In such a case, the intersection of the TDOA hyperbola and one or more LOB/AoA lines may result in an error ellipse of 30x20 meters (for two sector cell towers). If each cell tower supports more than two sectors, the error ellipse can be further reduced to 10-15 meters. Accuracy of 5-10 meters can be achieved if the UE is listened to by 3 or more eNB's (cell towers). In high value areas, such as malls, office parks, and similar locations, additional small cells or passive listening devices may be used to produce the necessary coverage.
  前述したように、セルタワー2500の上記各セクタは、1つ以上のアンテナ2502を含み得る。典型的な設置では、所与のセクタについて、各アンテナからの信号が、セクタの受信機入力において結合される。結果として、位置特定目的のために、2つ以上のセクタアンテナが、複合方向性パターン、方位角、及び高度を有する単一アンテナとして見られ得る。仮想アンテナ複合方向性ならびにその(主ローブの)方位角及び高度がまた、セクタ自体に割り当てられ得る。  As previously described, each such sector of
ある実施形態では、各サービングセルタワー及び近隣サービングセルタワーの全てのセクタからの(デジタル形式にある)受信信号が、場所決定のために位置特定サーバユニット(LSU)に送信される。また、それぞれの供給されたUE毎のSRSスケジュール及びTA測定が、各サービングセルタワーから各サービングセクタによってLSUに提供される。各サービングセルタワー及び各近隣セルタワー場の所座標、各仮想(複合)セクタアンテナの方位角及び高度を有するタワー毎のセクタの数、ならびにセルタワーにおける各セクタ位置が既知であると仮定して、LSUは、サービングセルタワー及び/または近隣セルタワーに対する各UE位置を決定し得る。上述した情報の全ては、1つ以上の規格化またはプロプライエタリインターフェースを使用して、有線ネットワーク、例えばLAN、WAN等を通して送信され得る。LSUはまた、規格化インターフェース及び/またはネットワークキャリアの定義されたインターフェース/APIを使用して無線ネットワークインフラストラクチャとインターフェースを取ってもよい。場所決定はまた、ネットワークノード及びLSU間で分配されてもよいし、またはネットワークノードにおいて単独で行われてもよい。 In one embodiment, received signals (in digital form) from all sectors of each serving cell tower and neighboring serving cell towers are sent to a Location Server Unit (LSU) for location determination. Also, the SRS schedule and TA measurements for each served UE are provided to the LSU by each serving sector from each serving cell tower. Assuming that the location coordinates of each serving cell tower and each neighboring cell tower field, the number of sectors per tower with each virtual (composite) sector antenna azimuth and altitude, and the location of each sector in the cell tower are known, the LSU is , the serving cell tower and/or the neighboring cell towers. All of the information described above may be transmitted over wired networks, such as LANs, WANs, etc., using one or more standardized or proprietary interfaces. The LSU may also interface with the wireless network infrastructure using standardized interfaces and/or network carrier defined interfaces/APIs. Location determination may also be distributed between network nodes and LSUs, or may be performed solely at network nodes.
ある実施形態では、場所決定が、UEにおいて行われてもよいし、またはUE及びLSUまたはネットワークノード間で分配されてもよい。かかる場合では、UEは、標準的なネットワーキングプロトコル/インターフェースを使用して無線で通信し得る。更に、場所決定が、UE、LSU、及び/もしくはネットワークノードの組み合わせを通して行われ得、またはLSU機能が、SUPLサーバ、E-SMLCサーバ、及び/またはLCS(位置特定(LoCation)サービス)システム内に実現され(埋め込まれ)得、それらは、次いで、LSUの代わりに使用され得る。 In some embodiments, the location determination may be made at the UE or distributed between the UE and LSU or network nodes. In such cases, the UE may communicate wirelessly using standard networking protocols/interfaces. Additionally, location determination may be made through a combination of UE, LSU and/or network nodes, or the LSU function may reside within the SUPL Server, E-SMLC Server, and/or LCS (LoCation Service) system. can be implemented (embedded) and they can then be used instead of LSUs.
ダウンリンク(DL)位置特定方法の実施形態は、上記したアップリンク(UL)位置特定実施形態に相反する。DL実施形態では、セクタが、セクタの受信された方向性、方位角、及び高度に適合する伝送パターン、方位角、及び高度を有する送信機になり得る。アップリンク実施形態とは異なり、DL実施形態では、UEが、典型的には、単一受信アンテナを有する。それゆえ、UEのために、RF波入射を決定するために使用され得るセンサ基線が存在しない。しかしながら、UEは、異なるセクタ間のTDOA(複数可)及び、その結果として、セクタ間の双曲線(複数可)(多辺測量)を決定することができ、同じセルタワーのセクタは互いに近いので、双曲線は、図24に関して上記したように、RFエネルギー入射線またはLOB/AoAと交換可能になる。LOB/AoAの正確性は、マルチパス、雑音(SNR)等によって影響を受け得るが、この影響は、上記した超分解能技術に基づく、進歩した信号処理及びマルチパス軽減処理の使用を通して軽減され得る。 The downlink (DL) location method embodiments are contrary to the uplink (UL) location embodiments described above. In a DL embodiment, a sector may be a transmitter with a transmission pattern, azimuth and altitude matching the received directionality, azimuth and altitude of the sector. Unlike uplink embodiments, in DL embodiments the UE typically has a single receive antenna. Therefore, for the UE there is no sensor baseline that can be used to determine RF wave incidence. However, the UE can determine the TDOA(s) between different sectors and consequently the hyperbola(s) between sectors (multilateration), since sectors of the same cell tower are close to each other, hyperbolic becomes interchangeable with RF energy incident line or LOB/AoA as described above with respect to FIG. LOB/AoA accuracy can be affected by multipath, noise (SNR), etc., but this impact can be mitigated through the use of advanced signal processing and multipath mitigation processing based on the super-resolution techniques described above. .
上記したように、UE DL位置特定は、RF波入射角が上記式から決定されることができないことを除いて、UEアップリンク位置特定に類似する手法で達成され得る。代わりに、多辺測量技法が、各サービングセルタワーについてLOB/AoAを決定するために使用されてもよい。 As noted above, UE DL localization can be accomplished in a similar manner to UE uplink localization, except that the RF wave incidence angle cannot be determined from the above equation. Alternatively, multilateration techniques may be used to determine the LOB/AoA for each serving cell tower.
  UE  DL位置特定実施形態はまた、基準信号を利用する。DLの場合では、かかるネットワークベースの位置特定のための1つのアプローチが、LTEセル特有基準信号(CRS)をレンジング信号として利用することであり得る。また、LTEリリース9に導入された位置基準信号(PRS)が使用されてもよい。それゆえ、位置特定は、CRSのみ、PRSのみ、またはCRS及びPRSの両方を使用して行われ得る。  UE DL location embodiments also utilize reference signals. In the DL case, one approach for such network-based location may be to utilize LTE cell-specific reference signals (CRS) as ranging signals. Also, the Position Reference Signal (PRS) introduced in
UEアップリンク位置特定実施形態のように、UEダウンリンク位置特定実施形態の場合、デジタル形式でUE受信信号のスナップショットが、処理のためにLSUに送信されてもよい。UEはまた、TA測定を取得し得、それらをLSUに提供する。任意選択的に、それぞれ供給されたUE毎のTA測定が、各サービングセルタワー(ネットワークノード)から各サービングセクタによってLSUに提供されてもよい。前述したように、各サービングセルタワー及び各近隣セルタワーの場所座標、各セクタ伝送パターン方位角及び高度を有するタワー毎のセクタの数、ならびにタワーにおける各セクタ位置が既知であることを仮定して、LSUは、サービングセルタワー及び/または近隣セルタワーに対する各UE位置を決定し得る。実施形態では、場所決定が、UEにおいて行われてもよいし、またはUE及びLSUもしくはネットワークノード間で分配されてもよい。実施形態では、全ての場所決定が、LSUまたはネットワークノードにおいて行われ得るか、またはそれらの2つの間で分配され得る。 As in the UE uplink localization embodiment, for the UE downlink localization embodiment, a snapshot of the UE received signal in digital form may be sent to the LSU for processing. The UE may also obtain TA measurements and provide them to the LSU. Optionally, each supplied per-UE TA measurement may be provided to the LSU by each serving sector from each serving cell tower (network node). As previously described, the LSU may determine each UE's location relative to the serving cell tower and/or neighboring cell towers. In embodiments, the location determination may be made at the UE or distributed between the UE and LSU or network nodes. In embodiments, all location determination may be made at the LSU or network node, or distributed between the two.
UEは、標準的な無線プロトコル/インターフェースを使用して測定結果及び他の情報を無線で通信/受信する。LSU及びネットワークノード(複数可)間の情報交換は、プロプライエタリ及び/または1つ以上の規格化インターフェースを使用して、有線ネットワーク、例えばLAN、WAN等を通してもよい。LSUは、規格化インターフェース及び/またはネットワークキャリアの定義されたインターフェース/APIを使用して無線ネットワークインフラストラクチャとインターフェースを取ってもよい。場所決定はまた、ネットワークノード及びLSU間で分配されてもよいし、またはネットワークノードにおいて単独で行われてもよい。 The UE wirelessly communicates/receives measurements and other information using standard wireless protocols/interfaces. Information exchange between the LSU and network node(s) may be over a wired network, eg, LAN, WAN, etc., using proprietary and/or one or more standardized interfaces. The LSU may interface with the wireless network infrastructure using standardized interfaces and/or network carrier defined interfaces/APIs. Location determination may also be distributed between network nodes and LSUs, or may be performed solely at network nodes.
上記したUE DL位置特定実施形態の場合、アンテナポートマッピング情報がまた、場所を決定するために使用され得る。3GPP TS36.211LTE規格が、DLについてのアンテナポートを定義する。別個の基準信号(パイロット信号)が、各アンテナポートについてのLTE規格において定義される。それゆえ、DL信号はまた、アンテナポート情報を運ぶ。この情報は、PDSCH(物理ダウンリンク共有チャネル)に含まれる。PDSCHは、以下のアンテナポート、すなわち、0、0及び1、0、1、2、及び3)、または5を使用する。これらの論理アンテナポートは、図26に例示されるように、物理伝送アンテナに割り当てられる(マッピングされる)。結果として、このアンテナポート情報は、アンテナ識別(アンテナID)のために使用され得る。 For the UE DL location embodiments described above, antenna port mapping information may also be used to determine location. The 3GPP TS36.211 LTE standard defines antenna ports for DL. A separate reference signal (pilot signal) is defined in the LTE standard for each antenna port. Therefore, the DL signal also carries antenna port information. This information is contained in the PDSCH (Physical Downlink Shared Channel). PDSCH uses the following antenna ports: 0, 0 and 1, 0, 1, 2, and 3), or 5. These logical antenna ports are assigned (mapped) to physical transmit antennas as illustrated in FIG. As a result, this antenna port information can be used for antenna identification (Antenna ID).
例えば、アンテナポートマッピング情報は、(アンテナ場所が既知であることを仮定して)アンテナ間のRF波入射及び双曲線(複数可)(多辺測量)を決定するために使用され得る。場所決定が行われる場所に応じて、アンテナマッピング情報が、LSUもしくはUE、またはネットワークノードに利用可能である必要がある。アンテナポートは、異なる時間スロット及び異なるリソース要素内にCRS信号を配置することによって示されることに留意されたい。1つのCRS信号のみが、DLアンテナポート毎に伝送される。 For example, antenna port mapping information can be used to determine RF wave incidence and hyperbola(s) (multilateration) between antennas (assuming antenna locations are known). Depending on where the location determination is made, antenna mapping information needs to be available to the LSU or UE or network node. Note that antenna ports are indicated by placing the CRS signals in different time slots and different resource elements. Only one CRS signal is transmitted per DL antenna port.
eNBまたはネットワークノードにおけるMIMO(複数入力複数出力)配備の場合には、受信機(複数可)が、所与のUEからの到着時間差を決定することができ得る。アンテナの場所を含む、受信機(複数可)マッピング、例えば、MIMOマッピングに対するアンテナの知識を用いると、アンテナに対するRF波入射(LOB/AoA)及び所与のeNBアンテナについての双曲線(複数可)(多辺測量)を決定することもできる。同様に、UEにおいて、UE受信機(複数可)は、2つ以上のeNBまたはネットワークノード、及びMIMOアンテナからの到着時間差(複数可)を決定することができる。eNBアンテナの場所及びアンテナマッピングの知識を用いると、アンテナからのRF波入射(LOB/AoA)及び所与のeNBアンテナについての双曲線(複数可)(多辺測量)を決定することが可能になる。場所決定が行われる場所に依存して、アンテナマッピング情報は、LSUもしくはUE、またはネットワークノードに対して利用可能である必要がある。 In the case of MIMO (multiple-input multiple-output) deployments at eNBs or network nodes, the receiver(s) may be able to determine the time difference of arrival from a given UE. With knowledge of the antenna to receiver(s) mapping, e.g., MIMO mapping, including antenna location, the RF wave incident on the antenna (LOB/AoA) and the hyperbola(s) for a given eNB antenna ( multilateration) can also be determined. Similarly, at the UE, the UE receiver(s) can determine the time difference(s) of arrival from two or more eNBs or network nodes and MIMO antennas. With knowledge of eNB antenna locations and antenna mapping, it is possible to determine the RF wave incidence (LOB/AoA) from the antennas and the hyperbola(s) (multilateration) for a given eNB antenna. . Depending on where the location determination is made, antenna mapping information needs to be available to the LSU or UE or network node.
MIMOの部分集合、例えば、単一入力複数出力(SIMO)、単一出力複数入力(SOMI)、単一入力単一出力(SISO)等である他の構成が存在する。これらの構成の全ては、位置特定目的のためにアンテナポートマッピング及び/またはMIMOアンテナマッピング情報によって定義/決定され得る。 Other configurations exist that are subsets of MIMO, eg, single-input multiple-output (SIMO), single-output multiple-input (SOMI), single-input single-output (SISO), and so on. All of these configurations may be defined/determined by antenna port mapping and/or MIMO antenna mapping information for location purposes.
ある態様では、本実施形態が、RTLSを含む、物体のRFベースの識別、追跡、及び位置特定のための方法ならびにシステムに関する。一実施形態によれば、方法及びシステムは、各クラスタ内で、時間において精密に、例えば10nsまたはそれより良い範囲内で、同期された受信機及び/または送信機の地理的に分散されたクラスタを利用するが、クラスタ間の時間同期は、かなり正確ではないまたは少しも要求されない可能性がある。10nsのまたはそれより良い精密な同期時間が、ある特定の実施形態に関して記載されるが、正確な位置特定を達成するために要求された所定の同期時間は、利用されている機器に依存することに留意するのが重要である。例えば、いくつかの無線システム機器について、3mの正確性が、正確な場所決定のために要求される場合、所定の時間は、10nsであるまたはそれより良い必要があり得るが、他の無線システム機器では、50mの場所の正確性は、十分過ぎる可能性がある。それゆえ、所定の時間は、無線システムのための所望の場所正確性に基づく。開示される方法及びシステムは、追跡及び位置特定DL-OTDOAならびにU-TDOA技法の既存の実現形態に対する著しい改良であり、それは、地理的に分散された独立型(個々の)送信機及び/または受信機に頼る。 In one aspect, the present embodiments relate to methods and systems for RF-based identification, tracking, and localization of objects, including RTLS. According to one embodiment, the method and system provide for geographically dispersed clusters of receivers and/or transmitters that are synchronized precisely in time, eg, within 10 ns or better, within each cluster. , but time synchronization between clusters may not be very accurate or required at all. Precise synchronization times of 10 ns or better are described for certain embodiments, but the predetermined synchronization time required to achieve accurate position determination will depend on the equipment being utilized. It is important to note that For example, for some wireless system equipment, if an accuracy of 3m is required for accurate location determination, the predetermined time may need to be 10ns or better, whereas other wireless systems For instruments, a 50m location accuracy may be more than sufficient. The predetermined time is therefore based on the desired location accuracy for the wireless system. The disclosed methods and systems are significant improvements over existing implementations of tracking and localization DL-OTDOA and U-TDOA techniques, which include geographically dispersed standalone (individual) transmitters and/or rely on the receiver.
例えば、DL-OTDOA技法では、近隣基地局(eNB)から来る信号間の相対的タイミング差が計算され、UE位置が、UE支援を用いるまたは用いないUE(ハンドセット)を有するネットワークにおいて、あるいはネットワーク支援(SUPLベースのみでのコントロールプレーンもしくはユーザプレーン)を用いるまたはネットワーク支援を用いないUE(ハンドセット)において推定され得る。DL-OTDOAでは、3つ以上の基地局からの信号が一旦受信されると、UEは、一対の基地局から来る信号間の相対的タイミング差を測定して、双曲線の位置線(LOP)を作り出す。少なくとも3つの基準点(直線に属していない基地局)が、2つの双曲線を定義するために必要である。UEの場所(位置確定)は、これらの2つの双曲線の交点にある(図11を参照)。UEの位置確定は、基地局のRFエミッタの(アンテナ)場所に関連する。ある実施例として、LPP(LTE測位プロトコル、リリース9)を使用するとき、DL-OTDOA位置特定は、UE支援型であり、E-SMLC(進化型サービングモバイル位置特定センター)は、サーバベースである。 For example, in the DL-OTDOA technique, the relative timing difference between signals coming from neighboring base stations (eNBs) is calculated and the UE position is determined either in networks with UEs (handsets) with or without UE assistance, or with network assistance. It can be estimated at the UE (handset) with (SUPL-based only control plane or user plane) or without network assistance. In DL-OTDOA, once signals from three or more base stations have been received, the UE measures the relative timing difference between the signals coming from a pair of base stations to create a hyperbolic line of position (LOP). produce. At least three reference points (base stations not belonging to a straight line) are required to define two hyperbolas. The UE location (position fix) is at the intersection of these two hyperbolas (see Figure 11). UE position fix is related to the (antenna) location of the base station's RF emitter. As an example, when using LPP (LTE Positioning Protocol, Release 9), DL-OTDOA location is UE assisted and E-SMLC (Evolved Serving Mobile Location Center) is server-based .
U-TDOA技法は、DL-OTDOAに類似するが、役割は逆にされる。ここで、近隣場所管理ユニット(LMU)が、UE(ハンドセット)から来るアップリンク信号の相対的到着時間を計算して、UEの位置が、UEの支援なしでネットワークにおいて推定され得る。それゆえ、U-TDOAは、LMU支援型であり、E-SMLC(進化型サービングモバイル位置特定センター)は、サーバベースである。3つ以上のLMUからの相対的到着時間値が一旦利用可能になると、ネットワークのE-SMLCサーバは、UEの双曲線の位置線(LOP)及び場所(位置確定)を作り出す(図27を参照)。UEの位置確定は、LMUアンテナ場所に関連する。ある態様では、DL-OTDOAとは異なり、U-TDOAの場合ではeNBの(基地局の)時間同期は必要ではなく、LMU(複数可)のみが、位置特定目的のために高精度の時間同期を必要とする。ある実施例として、LMUは、本質的に、コンピュータ計算機能を有する受信機である。更なる実施例として、LMU受信機が、SDR(ソフトウェア定義無線通信)技術を利用する。更なる実施例では、LMUが、スモールセル、マクロセル、または単に受信だけする特殊用途スモールセル型デバイスであってもよい。 The U-TDOA technique is similar to DL-OTDOA, but the roles are reversed. Here, a neighborhood management unit (LMU) calculates the relative arrival times of uplink signals coming from a UE (handset) so that the UE's position can be estimated in the network without the UE's assistance. Hence, U-TDOA is LMU-assisted and E-SMLC (Evolved Serving Mobile Location Center) is server-based. Once relative time-of-arrival values from three or more LMUs are available, the network's E-SMLC server creates a hyperbolic line of position (LOP) and location (location fix) for the UE (see Figure 27). . UE position determination is related to the LMU antenna location. In an aspect, unlike DL-OTDOA, no eNB (base station) time synchronization is required in the U-TDOA case, and only the LMU(s) need high-precision time synchronization for location purposes. need. In one embodiment, the LMU is essentially a receiver with computational capabilities. As a further example, an LMU receiver utilizes SDR (Software Defined Radio) technology. In further embodiments, the LMU may be a small cell, a macro cell, or a special purpose small cell type device that only receives.
実現形態に関係なく、ネットワークによって準備されるように、特定のUEについてのSRSの場所の相関付けが、UEの識別及び位置特定を可能にする。SRSの位置特定は、ネットワークレベルにおいて、またはローカルセクタ、例えば、建物についてのDAS、スモールセル、もしくは特定のエリアを扱うスモールセル及びマクロセルの組み合わせなど内で行われてもよい。UEについてのSRSの場所が先験的に既知ではない場合、解決策は、カバーエリアを通してUEの場所を相関付けることができ得る。そのような相関付けは、UEが移動した場所の履歴を示す。いくつかの状況では、ネットワークが、SRSが特定のUEについて位置する場所の指示を提供しない場合でさえも、UEの場所を決定することが望ましい場合がある。UEの場所は、既知点に対するUEの場所または近傍を決定することによってSRSと相関付けられ得、それによって、UEを、それが伝送しているSRSと相関付ける。かかる位置特定は、他の場所/近傍の解明、例えばWi-Fi及びブルートゥース(登録商標)などを通して達成され得る。ユーザはまた、場所の解明に対してそれらのUEを識別するために、UEアプリケーション経由でまたは所定の場所まで歩くことによって、それらの場所を識別し得る。 Regardless of the implementation, correlation of the SRS location for a particular UE, as provisioned by the network, enables identification and location of the UE. SRS location may be done at the network level or within a local sector, such as a DAS for a building, a small cell, or a combination of small and macro cells serving a particular area. If the SRS location for the UE is not known a priori, a solution may be able to correlate the UE's location throughout the coverage area. Such correlation shows the history of where the UE has moved. In some situations, it may be desirable for the network to determine the UE's location even if the SRS does not provide an indication of where the particular UE is located. A UE's location may be correlated with SRS by determining the UE's location or proximity relative to a known point, thereby correlating the UE with the SRS it is transmitting. Such localization can be accomplished through other location/nearby resolutions, such as Wi-Fi and Bluetooth®. Users may also identify their location via the UE application or by walking to a predetermined location to identify their UE for location resolution.
図11及び27には、マクロ基地局のみが示される。また、図27は、LMUが、基地局と共に位置していることを描写する。これらの描写は、有効な選択肢であるが、LTE規格は、LMU配置が多辺測量/三辺測量要件を満たす限り、LMUが配置され得る場所を規定しない。 11 and 27 only macro base stations are shown. FIG. 27 also depicts the LMU co-located with the base station. These depictions are valid options, but the LTE standard does not prescribe where LMUs can be placed, as long as the LMU placement meets multilateration/trilateration requirements.
ある態様では、屋内環境についての一般的な配備が、DAS(分散型アンテナシステム)及び/またはスモールセルであり、それらは、RFと高度に一体化された安価な基地局である。LMU(複数可)は、屋内及び/または構内型環境内にも同様に配置され得、例えば、U-TDOAが、DAS及び/またはスモールセル環境内で使用され得る。別の態様では、U-TDOAベースの正確な屋内位置特定が、例えば、DAS及び/またはスモールセルを配備する必要性無しで、屋内に位置付けられたLMU及び外側に位置付けられたマクロセルの組み合わせを用いて達成され得るか、あるいは削減された数のスモールセルを有し得る。それゆえ、LMUは、DAS及び/またはスモールセルが存在してまたは存在せずに、配備され得る。更なる態様では、LMUは、DAS及び/またはスモールセルが存在してまたは存在せずに、セルラー式信号増幅器/ブースタが使用される環境内に配置され得る。 In an aspect, common deployments for indoor environments are DAS (Distributed Antenna Systems) and/or small cells, which are highly RF integrated and inexpensive base stations. The LMU(s) may be deployed in indoor and/or campus-type environments as well, eg, U-TDOA may be used in DAS and/or small cell environments. In another aspect, U-TDOA-based accurate indoor positioning uses a combination of indoor-located LMUs and outdoor-located macrocells, e.g., without the need to deploy DAS and/or small cells. or may have a reduced number of small cells. Therefore, LMUs may be deployed with or without the presence of DAS and/or small cells. In a further aspect, the LMU may be deployed in environments where cellular signal amplifiers/boosters are used, with or without the presence of DAS and/or small cells.
LTEリリース11はまた、単一ユニットへのLMU及びeNBの一体化を意図する。しかしながら、これは、特に、屋内及び/または他のGPS/GNSS拒否環境において、個々のスモールセルeNBが地理的に分散される場合に、無線/セルラー式サービスプロバイダが満たす準備のできていない、スモールセル間の時間同期要件に更なる負担をかける。 LTE Release 11 also contemplates integration of LMU and eNB into a single unit. However, this is a small, unprepared area for wireless/cellular service providers to meet, especially when individual small cell eNBs are geographically distributed, especially in indoor and/or other GPS/GNSS-denial environments. It further burdens the time synchronization requirements between cells.
DASシステムは、地理的に分散されたマクロ/ミニ/スモールセル/LMUよりもかなり高い度合い(精度)まで本質的に時間同期される。DL-DTOAの解決策を使用すると、DAS環境において、時間同期問題を緩和するが、DAS環境では、複数のアンテナが、同じセルID(識別番号)を有する同じダウンリンク信号を伝送するように、単一基地局が、多数の分散型アンテナを扱う。結果として、異なるIDを有する信号を発生する識別可能な近隣セル(アンテナ)が存在しないので、伝統的なDL-OTDOAアプローチは失敗する。それにも関わらず、特許文献3に記載されるようなマルチパス軽減プロセッサ及びマルチパス軽減技法/アルゴリズムを利用するときに、DL-OTDOA技法を使用すること、ならびに2012年8月3日に出願され、MULTI-PATH MITIGATION IN RANGEFINDING AND TRACKING OBJECTS USING REDUCED ATTENUATION RF TECHNOLOGYと題された特許文献12に記載されるような場所整合性アルゴリズム(複数可)の使用を拡張することができ、それらは、それらの全体が参照によって本明細書に組み込まれる。しかしながら、これらの整合性アルゴリズムは、同じIDを有する信号(複数可)を発するアンテナの数に限界がある。1つの解決策は、同じIDを発するアンテナの数を削減すること、例えば、多数のDASアンテナを異なるIDを有する2つ以上の時間同期されたクラスタに分配することである。かかる配設は、システム費用を増やし(基地局の数を増やし)、かつハンドセット/UEに上述した技術をサポートすることを要求する。 DAS systems are inherently time-synchronized to a much higher degree (accuracy) than geographically dispersed macro/mini/small cell/LMUs. Using the DL-DTOA solution alleviates the time synchronization problem in a DAS environment, but in a DAS environment multiple antennas carry the same downlink signal with the same cell ID (identification number), A single base station serves multiple distributed antennas. As a result, the traditional DL-OTDOA approach fails because there are no identifiable neighboring cells (antennas) generating signals with different IDs. Nevertheless, using DL-OTDOA techniques when utilizing multipath mitigation processors and multipath mitigation techniques/algorithms as described in US Pat. , MULTI-PATH MITIGATION IN RANGE FINDING AND TRACKING OBJECTS USING REDUCED ATTENUATION RF TECHNOLOGY, which can extend the use of location integrity algorithm(s) such as those described in US Pat. The entirety is incorporated herein by reference. However, these matching algorithms are limited in the number of antennas emitting signal(s) with the same ID. One solution is to reduce the number of antennas emitting the same ID, eg, distribute multiple DAS antennas into two or more time-synchronized clusters with different IDs. Such a deployment increases system cost (increases the number of base stations) and requires handsets/UEs to support the technologies described above.
DAS環境内でU-TDOAを利用することはまた、LMUユニットの追加/設置に関連する費用を追加する。しかしながら、UE(ハンドセット)に対する変更は何も必要とされず、基地局ソフトウェアのみが、U-TDOA機能をサポートするようにアップグレードされる必要がある。また、複数のLMUをDASシステムと(に)一体化することができる。したがって、LMUを用いるU-TDOA方法の使用は、屋内で、構内環境において、及び他のGPS/GNSSの厳しい、地理的に限定された環境において利用されるときに多くの利点がある。 Utilizing U-TDOA within a DAS environment also adds costs associated with adding/installing LMU units. However, no changes to the UE (handset) are required, only the base station software needs to be upgraded to support the U-TDOA functionality. Also, multiple LMUs can be (into) integrated with a DAS system. Therefore, the use of the U-TDOA method with LMUs has many advantages when used indoors, in campus environments, and in other GPS/GNSS harsh, geographically confined environments.
地理的に分散された複数の基地局及び/またはスモールセルならびに/あるいは屋内及び他のGPS/GNSS拒否環境におけるLMUの中での精密な時間同期は、マクロセル及び/または屋外のマクロセル、例えば、GPS/GNSSフレンドリな環境において使用されるLMU機器の時間同期よりも複雑である。これは、屋外環境におけるマクロセルが、高置される及び戸外にあるアンテナを有するからである。結果として、GPS/GNSS信号(複数可)品質は、非常に良好であり、マクロセルアンテナ伝送及び/またはLMU受信機は、十分に大きなエリアにわたって、GPS/GNSSを使用して非常に高い正確性、すなわち、標準偏差10nsまで同期され得る。 Precise time synchronization among geographically distributed base stations and/or small cells and/or LMUs in indoor and other GPS/GNSS-rejected environments can be achieved by macrocells and/or outdoor macrocells, e.g., GPS It is more complex than time synchronization of LMU equipment used in /GNSS friendly environments. This is because macrocells in outdoor environments have antennas that are elevated and outdoors. As a result, the GPS/GNSS signal(s) quality is very good, and the macrocell antenna transmission and/or LMU receiver uses GPS/GNSS over a sufficiently large area with very high accuracy, That is, it can be synchronized up to a standard deviation of 10 ns.
ある態様では、屋内及び他のGPS/GNSS拒否環境のために、複数の分散された基地局及び/またはスモールセル/LMUの間での時間同期が、多くの基地局ならびに/あるいはスモールセル及び/またはLMUによって共有される同期信号を生成する外部同期源を使用することによって達成される。この同期信号は、GPS/GNSS、例えば、1PPS信号、及び/またはインターネット/イーサネット(登録商標)ネットワーキング、例えばPTPもしくはNTP等から導出され得る。後者は、低費用の解決策であるが、それは、正確な位置特定のために要求された時間同期精度を提供することができず、GPS/GNSSから導出された外部同期信号(複数可)は、より精密な、20nsに至る標準偏差であるが、追加的なハードウェア及び設置要件、例えば、これらの信号の配線をつなぐことを要求し、より複雑で/高価である。また、基地局及び/またはスモールセルハードウェア/低レベルファームウェアに対する変更が、外部同期信号をより高いレベルの精度に適応するために必要とされ得る。更に、20nsの標準偏差は、3メートルの要件、例えば、約10nsの標準偏差を満たすのに十分に正確ではない。 In certain aspects, for indoor and other GPS/GNSS-rejected environments, time synchronization among multiple distributed base stations and/or small cells/LMUs may require many base stations and/or small cells and/or or by using an external sync source that generates a sync signal shared by the LMUs. This synchronization signal may be derived from GPS/GNSS, eg, 1PPS signals, and/or Internet/Ethernet networking, eg, PTP or NTP, or the like. The latter is a low-cost solution, but it cannot provide the required time synchronization accuracy for precise localization, and the GPS/GNSS-derived external synchronization signal(s) , is more precise, with standard deviations down to 20 ns, but requires additional hardware and installation requirements, such as wiring these signals, and is more complicated/expensive. Also, changes to the base station and/or small cell hardware/low level firmware may be required to adapt the external synchronization signal to higher levels of accuracy. Furthermore, a standard deviation of 20 ns is not accurate enough to meet the 3 meter requirement, eg, a standard deviation of about 10 ns.
  上述した限定を克服するために、図28のマルチチャネルLMU高レベルブロック図によって例示されるように、一実施形態は、複数の受信アンテナ2802及び信号チャネル2804を有するLMUデバイス2800を使用する。ある実施例として、1つ以上の信号チャネル2804が、信号処理構成要素、例えばRFE(RFフロントエンド)2806、RFダウンコンバータ2808、及び/またはアップリンク位置特定プロセッサ2810などを含むことができる。他の構成要素及び構成が使用されてもよい。ある態様では、信号チャネル2804が、LMUデバイス2800内に共に位置し、密接に時間同期される(例えば、約3ns~約10nsの標準偏差)。別の実施例では、各LMU信号チャネル2804からのアンテナ2802が、(例えば、DASと同様に)地理的に分散される。更なる実施例として、外部時間同期構成要素(例えば、GPS/GNSS、インターネット/イーサネット(登録商標)等)が、LMUデバイス2800と通信し得る。精密な時間同期は、いくつかの地理的に分散されたデバイスの密接な同期を試みることによるものよりもデバイス(例えば、LMUデバイス2800)の内側でより容易に達成される。  To overcome the limitations described above, one embodiment uses an LMU device 2800 with multiple receive
ある実施例として、2つ以上のマルチチャネルLMU(例えば、LMUデバイス2800)が配備されるとき、これらのLMU間の時間同期は、低費用及び低複雑性アプローチが(外部源信号を使用して)いくつかの分散型マルチチャネルLMUを同期するために使用され得るように緩和され得る。例えば、インターネット/イーサネット(登録商標)ネットワーキング同期が使用され得るか、または共通センサ(デバイス)が、異なるマルチチャネルLMU間のタイミング同期を提供するように配備され得る。 As an example, when two or more multi-channel LMUs (e.g., LMU device 2800) are deployed, time synchronization between these LMUs is a low-cost and low-complexity approach (using external source signals ) can be relaxed so that it can be used to synchronize several distributed multi-channel LMUs. For example, Internet/Ethernet networking synchronization may be used, or a common sensor (device) may be deployed to provide timing synchronization between different multi-channel LMUs.
一方、マルチチャネルLMUアプローチは、位置確定を決定する際に使用され得る双曲線の位置線(LOP)の数を減らすが、時間同期の改良は、この不足分(以下の説明及び実施例を参照)を克服する。 On the other hand, the multi-channel LMU approach reduces the number of hyperbolic lines of position (LOPs) that can be used in determining position fix, but improved time synchronization fills this gap (see discussion below and examples). overcome.
  多辺測量/三辺測量法を使用すると、UE測位正確性は、2つの要因、すなわち、マクロセルタワー/スモールセル/LMUの幾何学的配設に起因する幾何学的な精度の低下(GDOP)、及び単一レンジング
GDOPは、伝送アンテナ(DL-OTDOAの場合)または受信アンテナ(U-TDOAの場合)の地理的分散と相関している。規則的に配置されたアンテナの場合では、二次元GDOP推定が、2/√Nに等しい(H.B.LEE、ACCURACY LIMITATIONS OF HYPERBOLIC MULTILATERATION SYSTEMS、1973)。ここで、セルラー式ネットワークの場合、Nは、UE(DL-OTDOAの場合)によって「可聴な」エミッタ(マクロセルタワー/スモールセル/DASアンテナ)の数、またはUEアップリンク伝送(U-TDOAの場合)を「聴く」ことができるLMU/LMU受信チャネルの数である。したがって、UE位置誤差の標準偏差は、以下のように計算され得る。 GDOP is correlated with the geographical dispersion of transmit antennas (for DL-OTDOA) or receive antennas (for U-TDOA). In the case of regularly spaced antennas, the two-dimensional GDOP estimate is equal to 2/√N (HB LEE, ACCURACY LIMITATIONS OF HYPERBOLIC MULTILATION SYSTEMS, 1973). where, for cellular networks, N is the number of emitters (macrocell tower/small cell/DAS antennas) 'audible' by the UE (for DL-OTDOA) or UE uplink transmissions (for U-TDOA) ) is the number of LMU/LMU receive channels that can "listen". Therefore, the standard deviation of the UE position error can be calculated as follows.
  8つの地理的に(屋内に)分散された(規則的に配置された)単一受信チャネルLMUは、UEアップリンク伝送を検出しており、これらのLMUが、1PPS信号(例えば、20nsの標準偏差)によって同期されることを仮定する。この場合、N=8であり、UE位置確定のために使用され得る7つの独立したLOPが存在する。更に、レンジング誤差標準偏差、σRが3メートル(約10ns)であり、次いで、単一レンジング測定の正確性は、
であり、ここで、σSYNCが、外部時間同期信号標準偏差(20ns)であることを仮定する。この場合(N=8)では、単一レンジング測定及びUE位置誤差の標準偏差σPOSが、4.74メートルに等しい。Eight geographically (indoor) distributed (regularly spaced) single-receive-channel LMUs are detecting UE uplink transmissions, and these LMUs provide a 1PPS signal (e.g., 20ns standard deviation). In this case N=8 and there are 7 independent LOPs that can be used for UE position determination. Furthermore, the ranging error standard deviation, σR is 3 meters (about 10 ns), then the accuracy of a single ranging measurement is
 , where σSYNC is assumed to be the external time synchronization signal standard deviation (20 ns). In this case (N=8), the standard deviation σPOS of the single ranging measurement and UE position error is equal to 4.74 meters.
ある実施例として、規則的に配置された分散型アンテナを有する、2つの、4つの受信チャネルLMU(例えば、マルチチャネルLMUデバイス2800)が、UEアップリンク伝送を検出している場合には、各LMUが、1組の3つの密接に時間同期されたLOP(例えば、約3nsの標準偏差)を生じさせ、3つの独立したLOPの場合、N=4である。この場合では、それぞれ3.12メートルの標準偏差誤差σPOSを有する、2つのUE位置確定が発生される。平均化及び/または他の手段/方法によってこれらの2つの位置確定を組み合わせることは、UE位置確定誤差を更に低減する。1つの推定は、誤差の低減がUE位置確定の数の平方根に比例することである。本開示では、この数が2に等しく、最終的なUE位置確定誤差σPOS_FINALは、2.21メートルであり、3.12/√2として取得される。As an example, if two, four receive channel LMUs (e.g., multi-channel LMU device 2800) with regularly spaced distributed antennas are detecting UE uplink transmissions, each An LMU produces a set of 3 closely time-synchronized LOPs (eg, about 3 ns standard deviation), and for 3 independent LOPs, N=4. In this case, two UE position fixes are generated, each with a standard deviation error σPOS of 3.12 meters. Combining these two position fixes by averaging and/or other means/methods further reduces the UE position fix error. One estimate is that the error reduction is proportional to the square root of the number of UE position fixes. In this disclosure, this number equals 2 and the final UE position fix error σPOS_FINAL is 2.21 meters, taken as 3.12/√2.
ある態様では、いくつかのマルチチャネルLMU(例えば、LMUデバイス2800)が、これらのマルチチャネルLMU間の緩和された同期を伴って、屋内及び他のGPS/GNSS拒否環境のために使用され得る。ある実施例として、マルチチャネルLMUデバイス内で、LMUは、密接に同期され得る(例えば、約3ns~約10nsの標準偏差)。別の実施形態は、いくつかの単一チャネルスモールセル/LMU及び/または一体型LMUデバイス電子機器を有する(LMU機能がeNBに埋め込まれる)スモールセルが、ラックマウント筐体(図31、図32、及び図33)及び/またはキャビネット、例えば、19インチのラック内にクラスタ化され得る(例えば、一体化され得る、共に位置し得る等)という事実を活用する。各単一チャネルデバイスアンテナは、DASにおけるように、地理的に分散され得る。クラスタ内のデバイスは、密接に時間同期され得る(例えば、10ns以下の標準偏差)。複数のラックマウント筐体が、通信要件、例えばVoLTE毎に同期され得、それによって、低費用及び低複雑性のアプローチが使用され得る。ラックマウント筐体/キャビネットの内側にクラスタ化(一体化)されたいくつかのデバイス間の精密な(厳格な)時間同期が、いくつかの地理的に分散されたデバイスを密接に時間同期する場合よりも、より容易に達成され、費用が少ない。 In certain aspects, several multi-channel LMUs (eg, LMU device 2800) may be used for indoor and other GPS/GNSS-rejected environments, with relaxed synchronization between these multi-channel LMUs. As an example, within a multi-channel LMU device, the LMUs can be closely synchronized (eg, standard deviation of about 3 ns to about 10 ns). Another embodiment is that several single-channel small cells/LMUs and/or small cells with integrated LMU device electronics (LMU functionality embedded in the eNB) are mounted in a rack-mount enclosure (FIGS. 31, 32). , and FIG. 33) and/or take advantage of the fact that they can be clustered (eg, integrated, co-located, etc.) within a cabinet, eg, a 19″ rack. Each single-channel device antenna may be geographically distributed as in a DAS. Devices within a cluster can be closely time-synchronized (eg, standard deviation of 10 ns or less). Multiple rackmount enclosures can be synchronized per communication requirement, eg VoLTE, whereby a low cost and low complexity approach can be used. Precise (rigorous) time synchronization between several devices clustered (integrated) inside a rackmount enclosure/cabinet to closely time-synchronize several geographically dispersed devices more easily accomplished and less expensive than
別の態様では、複数のLMUが、図34に例示されるようにDASシステムと(に)一体化され得る。ある実施例として、LMU受信機が、各DASアンテナによって発生された受信信号(複数可)を共有する、例えば、DASアンテナを共有することができる。これらの受信信号の実際の分布は、DAS実現形態、すなわち、アクティブDAS対パッシブDASに依存する。しかしながら、LMU及びDAS一体型の実施形態は、各DASアンテナによって発生された受信信号(複数可)をLMU受信機チャネルと共有することと、各DASアンテナ座標を対応するLMU/LMU受信機チャネルと適合させる(相関させる)暦を生成することと、を必要とする。再び、クラスタ化のアプローチ及び/またはマルチチャネルLMU(複数可)の利用は、LMU及びDASの一体化に好ましい手法である。 Alternatively, multiple LMUs may be integrated with (into) the DAS system as illustrated in FIG. As an example, the LMU receivers may share the received signal(s) generated by each DAS antenna, eg, share the DAS antennas. The actual distribution of these received signals depends on the DAS implementation, active versus passive DAS. However, the combined LMU and DAS embodiment shares the received signal(s) generated by each DAS antenna with the LMU receiver channel and each DAS antenna coordinate with the corresponding LMU/LMU receiver channel. Generating matching (correlating) almanacs. Again, clustering approaches and/or utilization of multi-channel LMU(s) are preferred approaches for LMU and DAS integration.
また、類似の態様では、LMU受信機チャネルを有する各スモールセルアンテナによって発生された受信信号(複数可)を共有することができる。ここで、スモールセルの時間同期は緩和され得、例えば、位置特定要件を満たす必要はなく、一方で、LMU/LMUチャネルは、高精度の時間同期を要求する。クラスタ化のアプローチ及び/またはマルチチャネルLMU(複数可)の利用は、かかる選択肢のためのLMU(複数可)に好ましい手法である。 Also, in a similar manner, the received signal(s) generated by each small cell antenna with an LMU receiver channel can be shared. Here, the small cell time synchronization may be relaxed, e.g., it does not have to meet the location requirements, while the LMU/LMU channel requires high precision time synchronization. A clustering approach and/or the use of multi-channel LMU(s) are the preferred LMU(s) approaches for such options.
LMU及びeNBの単一ユニットへの一体化は、独立型eNB及びLMUデバイスの組み合わせよりも費用の利点がある。しかしながら、一体型LMU及びeNB受信機とは異なり、独立型LMU受信チャネルは、UEからのデータペイロードを処理する必要がない。なおその上に、UEアップリンクレンジング信号(LTEの場合では、SRS、サウンディング基準信号)は、繰返し可能であり、(サービングセルに対して)時間同期されるので、各独立型LMU受信チャネルは、2つ以上のアンテナをサポートし得(それらと時間多重化され得)、例えば2つ以上のスモールセルを扱うことができる。これは、次いで、(スモールセル/DAS及び/または他のU-TDOA位置特定環境において)LMUの数を減らすことができ、システムの費用を削減できる(図28も参照)。 Integrating the LMU and eNB into a single unit has a cost advantage over the combination of standalone eNB and LMU devices. However, unlike the integrated LMU and eNB receiver, the standalone LMU receive channel does not need to process the data payload from the UE. Furthermore, since the UE uplink ranging signal (SRS, Sounding Reference Signal in the case of LTE) is repeatable and time-synchronized (with respect to the serving cell), each standalone LMU receive channel has 2 It may support (and be time multiplexed with) more than one antenna, and may serve, for example, more than one small cell. This in turn can reduce the number of LMUs (in small cell/DAS and/or other U-TDOA location environments) and reduce system cost (see also FIG. 28).
無線/セルラー式ネットワークE-SMLCサーバが、DL-OTDOA及び/またはU-TDOA技法のために要求される機能に欠けている場合、この機能は、UE及び/またはLMUと通信することができる位置特定サービスサーバならびに無線/セルラー式ネットワークインフラストラクチャ及び/または位置特定サーバによって実行され得る(図29及び図30を参照)。他の構成が使用されてもよい。 If the wireless/cellular network E-SMLC server lacks the functionality required for the DL-OTDOA and/or U-TDOA techniques, this functionality is located where it can communicate with the UE and/or LMU. It may be performed by a specific service server and wireless/cellular network infrastructure and/or location server (see Figures 29 and 30). Other configurations may be used.
  別の態様では、1つ以上のLMUデバイス(例えば、LMU2802)が、例えば、図35に例示されるように、WiFiインフラストラクチャを用いて配備され得る。その代わりに、リスニングデバイスが、WiFiインフラストラクチャと同じ様態においてLMUアンテナを監視するために使用され得る。そのように、LMUデバイス及び/またはLMUにサービス提供するチャネルアンテナが、1つ以上のWiFi/リスニングデバイス3500、例えば、1つ以上のWiFiアクセス点(AP)などと共に位置し得る。ある実施例として、WiFiデバイス3500が、地理的に分散され得る。  In another aspect, one or more LMU devices (eg, LMU 2802) may be deployed using a WiFi infrastructure, eg, as illustrated in FIG. Instead, listening devices can be used to monitor the LMU antenna in the same manner as the WiFi infrastructure. As such, LMU devices and/or channel antennas serving LMUs may be co-located with one or more WiFi/
  一実施形態では、WiFiデバイス3500が電源に接続され得る。1つ以上のLMUデバイスまたはチャネルのRFアナログ部分3502(例えば、回路)は、RFアナログ部分3502がWiFiデバイス3500と電源を共有するように、LMUアンテナと一体化され得る(図35を参照)。ある実施例として、LMUデバイスまたはチャネルのRFアナログ部分3502は、ケーブル経由でアップリンク位置特定プロセッサ回路(例えば、アップリンク位置特定プロセッサ2810)に接続され得、それは、ベースバンド信号処理を含むことができる。更なる実施例として、RFアナログ部分3502及びベースバンド回路間には、アンテナと相互接続ケーブルの間に信号増幅が存在し得るので、かかる実施形態は、信号対雑音比(SNR)の改良を容易にする。その上、RFアナログ部分3502は、受信信号を(例えば、ベースバンドに至るまで)ダウンコンバートすることができ、ベースバンド信号周波数は、アンテナにおける受信信号よりもいくらか小さな大きさであるので、ケーブル要件が緩和され得る。ケーブル要件のかかる緩和は、接続費用の低減になり得、伝送距離を著しく増加させることができる。  In one embodiment,
レンジング信号は、SRSのみに限定されず、MIMO、CRS(セル特有基準信号)等を含む他の基準信号を利用することができることが理解される。 It is understood that the ranging signal is not limited to SRS only, but can utilize other reference signals including MIMO, CRS (cell specific reference signal), etc.
それゆえ、システム及び方法の異なる実施形態を記載したが、記載された方法及び装置の一定の利点が実現されていることが、当業者に明らかなはずである。特に、物体を追跡及び位置特定するためのシステムが、非常に小さな費用増分においてFGPAまたはASIC及び標準的な信号処理ソフトウェア/ハードウェアの組み合わせを使用して組み立てられ得ることが当業者によって認識されるはずである。かかるシステムは、種々の用途、例えば、屋内または屋外環境における、厳しい及び不利な環境等における人間の位置特定において有用である。 Thus, having described different embodiments of systems and methods, it should be apparent to those skilled in the art that certain advantages of the described methods and apparatus have been realized. In particular, it will be appreciated by those skilled in the art that a system for tracking and locating objects can be constructed using a combination of FGPA or ASIC and standard signal processing software/hardware at very small cost increments. should be. Such systems are useful in a variety of applications, such as locating humans in hostile and hostile environments, such as in indoor or outdoor environments.
また、様々な修正、適合、及びそれらの代替の実施形態が、本発明の範囲及び趣旨内でなされ得ることも認識されるはずである。 It should also be recognized that various modifications, adaptations, and alternative embodiments thereof may be made within the scope and spirit of the invention.
| Application Number | Priority Date | Filing Date | Title | 
|---|---|---|---|
| US201462032371P | 2014-08-01 | 2014-08-01 | |
| US62/032,371 | 2014-08-01 | ||
| JP2019110504AJP2019194607A (en) | 2014-08-01 | 2019-06-13 | Partially synchronized multi-side/tri-side survey method and system for position finding using rf | 
| Application Number | Title | Priority Date | Filing Date | 
|---|---|---|---|
| JP2019110504ADivisionJP2019194607A (en) | 2014-08-01 | 2019-06-13 | Partially synchronized multi-side/tri-side survey method and system for position finding using rf | 
| Publication Number | Publication Date | 
|---|---|
| JP2022008675A JP2022008675A (en) | 2022-01-13 | 
| JP7256241B2true JP7256241B2 (en) | 2023-04-11 | 
| Application Number | Title | Priority Date | Filing Date | 
|---|---|---|---|
| JP2017505477AActiveJP6557849B2 (en) | 2014-08-01 | 2015-07-31 | Partially synchronized multi-side / tri-side survey method and system for position finding using RF | 
| JP2019110504APendingJP2019194607A (en) | 2014-08-01 | 2019-06-13 | Partially synchronized multi-side/tri-side survey method and system for position finding using rf | 
| JP2021160815AActiveJP7256241B2 (en) | 2014-08-01 | 2021-09-30 | Partially synchronized multilateration/trilateration method and system for position finding using RF | 
| Application Number | Title | Priority Date | Filing Date | 
|---|---|---|---|
| JP2017505477AActiveJP6557849B2 (en) | 2014-08-01 | 2015-07-31 | Partially synchronized multi-side / tri-side survey method and system for position finding using RF | 
| JP2019110504APendingJP2019194607A (en) | 2014-08-01 | 2019-06-13 | Partially synchronized multi-side/tri-side survey method and system for position finding using rf | 
| Country | Link | 
|---|---|
| EP (1) | EP3175668A4 (en) | 
| JP (3) | JP6557849B2 (en) | 
| KR (1) | KR102166578B1 (en) | 
| CN (1) | CN106922219B (en) | 
| WO (1) | WO2016019354A1 (en) | 
| Publication number | Priority date | Publication date | Assignee | Title | 
|---|---|---|---|---|
| US20230184963A1 (en)* | 2018-08-07 | 2023-06-15 | Taber Innovations Group LLC | Personnel location and monitoring system | 
| Publication number | Priority date | Publication date | Assignee | Title | 
|---|---|---|---|---|
| US10834531B2 (en) | 2005-12-15 | 2020-11-10 | Polte Corporation | Multi-path mitigation in rangefinding and tracking objects using reduced attenuation RF technology | 
| US9913244B2 (en) | 2005-12-15 | 2018-03-06 | Polte Corporation | Partially synchronized multilateration or trilateration method and system for positional finding using RF | 
| US10281557B2 (en) | 2005-12-15 | 2019-05-07 | Polte Corporation | Partially synchronized multilateration/trilateration method and system for positional finding using RF | 
| US9288623B2 (en) | 2005-12-15 | 2016-03-15 | Invisitrack, Inc. | Multi-path mitigation in rangefinding and tracking objects using reduced attenuation RF technology | 
| US11835639B2 (en) | 2011-08-03 | 2023-12-05 | Qualcomm Technologies, Inc. | Partially synchronized multilateration or trilateration method and system for positional finding using RF | 
| US11125850B2 (en) | 2011-08-03 | 2021-09-21 | Polte Corporation | Systems and methods for determining a timing offset of emitter antennas in a wireless network | 
| US10863313B2 (en) | 2014-08-01 | 2020-12-08 | Polte Corporation | Network architecture and methods for location services | 
| US10440512B2 (en) | 2012-08-03 | 2019-10-08 | Polte Corporation | Angle of arrival (AOA) positioning method and system for positional finding and tracking objects using reduced attenuation RF technology | 
| US10845453B2 (en) | 2012-08-03 | 2020-11-24 | Polte Corporation | Network architecture and methods for location services | 
| KR102145095B1 (en)* | 2014-10-24 | 2020-08-18 | 폴테 코포레이션 | Partially synchronized multilateration or trilateration method and system for positional finding using rf | 
| CN106102161B (en)* | 2016-05-30 | 2019-10-15 | 天津大学 | Indoor Positioning Method Based on Clustering Algorithm Analysis Data Optimization | 
| EP3255851B1 (en) | 2016-06-08 | 2019-08-07 | Nxp B.V. | Processing module for a communication device and method therefor | 
| NL2017621B1 (en)* | 2016-10-14 | 2018-04-24 | Repoint B V | Method for operating a system comprising a plurality of nodes, corresponding system and medical equipment provided with a node | 
| EP3321712B1 (en)* | 2016-11-11 | 2024-06-05 | Nxp B.V. | Processing module and associated method | 
| WO2018103858A1 (en)* | 2016-12-09 | 2018-06-14 | Nokia Technologies Oy | Location related application management | 
| EP3682260B1 (en)* | 2017-09-15 | 2025-09-03 | Fraunhofer-Gesellschaft zur Förderung der angewandten Forschung e.V. | Communication apparatus, method and cellular network usable in a localization of a user equipment using a phase estimate | 
| CN107644220B (en)* | 2017-09-30 | 2021-03-05 | 上海摩软通讯技术有限公司 | Fingerprint identification method and system of mobile terminal | 
| JP2021508367A (en)* | 2017-10-12 | 2021-03-04 | ユー−ブロックス、アクチエンゲゼルシャフトu−blox AG | Phase comparison of multi-frequency transmission to assist in determining position or time | 
| JP2019128313A (en)* | 2018-01-26 | 2019-08-01 | 沖電気工業株式会社 | Wireless communication device, wireless communication system, and program | 
| US10838430B2 (en)* | 2018-03-05 | 2020-11-17 | Mitsubishi Electric Research Laboratories, Inc. | Clock synchronization for time sensitive networking in vehicular communication environment | 
| US11255945B2 (en) | 2018-03-27 | 2022-02-22 | Polte Corporation | Multi-path mitigation in tracking objects using compressed RF data | 
| WO2020065894A1 (en)* | 2018-09-27 | 2020-04-02 | 三菱電機株式会社 | Base station, terminal device and positioning method | 
| WO2020133997A1 (en)* | 2018-12-28 | 2020-07-02 | Huawei Technologies Co., Ltd. | Selectively driven ultra-wideband antenna arrays | 
| CN111526484A (en)* | 2019-02-02 | 2020-08-11 | 索尼公司 | Apparatus, method and storage medium for wireless communication system | 
| CN109856596B (en)* | 2019-02-21 | 2021-05-07 | 上海迹寻科技有限公司 | A method, computer-readable storage medium and device for collecting wireless node signal location fingerprints in high-speed mobile state | 
| WO2020172819A1 (en)* | 2019-02-27 | 2020-09-03 | Qualcomm Incorporated | User equipment position determination using an uplink random access channel message | 
| JP7437877B2 (en)* | 2019-03-29 | 2024-02-26 | 日本信号株式会社 | Mobile object position detection device | 
| CN114424081B (en)* | 2019-09-26 | 2025-03-21 | 华为技术有限公司 | Positioning method, device, system, chip and storage medium | 
| CN111585683B (en)* | 2020-05-11 | 2021-11-23 | 上海交通大学 | High-reliability clock synchronization system and method for time-sensitive network | 
| CN111398897B (en)* | 2020-06-02 | 2020-08-25 | 江苏东大集成电路系统工程技术有限公司 | Bluetooth Beacon positioning method using sector model and differential technology | 
| CN112532547B (en)* | 2020-11-21 | 2022-03-01 | 北京邮电大学 | Channel estimation and channel identification method in intelligent reflector communication system | 
| CN113438733B (en)* | 2021-06-21 | 2022-10-11 | 中国电信股份有限公司 | System and method for realizing indoor positioning based on 5G and WIFI and electronic equipment | 
| WO2023004694A1 (en)* | 2021-07-29 | 2023-02-02 | 华为技术有限公司 | Reference signal arrival time estimation method and device, and chip | 
| KR20230033285A (en)* | 2021-09-01 | 2023-03-08 | 삼성전자주식회사 | Display device and method for controlling the same | 
| EP4319173A4 (en) | 2021-09-01 | 2024-12-11 | Samsung Electronics Co., Ltd. | DISPLAY DEVICE AND CONTROL METHOD THEREOF | 
| CN113766424B (en)* | 2021-09-23 | 2023-11-03 | 成都工业职业技术学院 | Unmanned aerial vehicle indoor positioning method, unmanned aerial vehicle indoor positioning device, computer equipment and storage medium | 
| JP2023122332A (en)* | 2022-02-22 | 2023-09-01 | 京セラ株式会社 | Mobile communication system and base station | 
| US20230319742A1 (en)* | 2022-04-05 | 2023-10-05 | Meta Platforms, Inc. | Peripheral time server device | 
| CN114938536B (en)* | 2022-06-08 | 2025-04-08 | 南京航空航天大学 | A direct positioning method for quasi-stationary signals in nested arrays | 
| WO2024221219A1 (en)* | 2023-04-25 | 2024-10-31 | Mediatek Inc. | Method of configurating reference signal for range estimation using super-resolution sensing algorithms | 
| CN118101076B (en)* | 2024-04-23 | 2024-09-13 | 浙江大学 | Optical fiber communication multipath interference suppression method and system | 
| Publication number | Priority date | Publication date | Assignee | Title | 
|---|---|---|---|---|
| JP2013537624A (en) | 2010-07-23 | 2013-10-03 | トゥルーポジション・インコーポレーテッド | Network base localization of mobile transmitter | 
| Publication number | Priority date | Publication date | Assignee | Title | 
|---|---|---|---|---|
| KR100378124B1 (en)* | 1998-12-10 | 2003-06-19 | 삼성전자주식회사 | Device and method for estimating the position of terminal in mobile communication system | 
| EP1245967A1 (en)* | 2001-03-29 | 2002-10-02 | Société Européenne des Satellites S.A. | Ranging system for determining ranging information of a spacecraft | 
| US6996392B2 (en)* | 2002-09-03 | 2006-02-07 | Trueposition, Inc. | E911 overlay solution for GSM, for use in a wireless location system | 
| US20060193371A1 (en)* | 2003-03-21 | 2006-08-31 | Irena Maravic | Synchronization And Channel Estimation With Sub-Nyquist Sampling In Ultra-Wideband Communication Systems | 
| CN101238648B (en)* | 2005-06-14 | 2013-03-20 | 高通股份有限公司 | Method and apparatus for broadcasting and multicasting from a cellular radio network | 
| US7411937B2 (en)* | 2005-08-09 | 2008-08-12 | Agilent Technologies, Inc. | Time synchronization system and method for synchronizing locating units within a communication system using a known external signal | 
| US9507007B2 (en)* | 2005-12-15 | 2016-11-29 | Polte Corporation | Multi-path mitigation in rangefinding and tracking objects using reduced attenuation RF technology | 
| US9699607B2 (en)* | 2005-12-15 | 2017-07-04 | Polte Corporation | Multi-path mitigation in rangefinding and tracking objects using reduced attenuation RF technology | 
| US7974627B2 (en)* | 2008-11-11 | 2011-07-05 | Trueposition, Inc. | Use of radio access technology diversity for location | 
| EP3334226B1 (en)* | 2009-02-05 | 2020-03-25 | Apple Inc. | Method and system for user equipment location determination on a wireless transmission system | 
| US8401111B2 (en)* | 2009-03-13 | 2013-03-19 | Qualcomm Incorporated | Method and apparatus for sequencing and correlating a positioning reference signal | 
| US8730925B2 (en)* | 2009-04-09 | 2014-05-20 | Motorola Mobility Llc | Method and apparatus for generating reference signals for accurate time-difference of arrival estimation | 
| US8238941B2 (en)* | 2010-07-08 | 2012-08-07 | Global Business Software Development Technologies, Inc. | System and method for determining a location for a mobile device | 
| US9538493B2 (en)* | 2010-08-23 | 2017-01-03 | Finetrak, Llc | Locating a mobile station and applications therefor | 
| US8776246B2 (en)* | 2011-03-11 | 2014-07-08 | Abbott Point Of Care, Inc. | Systems, methods and analyzers for establishing a secure wireless network in point of care testing | 
| US8554246B2 (en)* | 2011-11-21 | 2013-10-08 | Trueposition, Inc. | Combination of multiple baselines for location estimation | 
| CN104904145B (en)* | 2012-10-01 | 2017-06-20 | 瑞典爱立信有限公司 | Method and device, device and management system for RF performance metric estimation | 
| US10588107B2 (en)* | 2012-10-26 | 2020-03-10 | Telefonaktiebolaget Lm Ericsson (Publ) | Methods of positioning in a system comprising measuring nodes with multiple receiving points | 
| EP2932740B1 (en)* | 2012-12-12 | 2020-04-29 | PoLTE Corporation | Multi-path mitigation in rangefinding and tracking objects using reduced attenuation rf technology | 
| Publication number | Priority date | Publication date | Assignee | Title | 
|---|---|---|---|---|
| JP2013537624A (en) | 2010-07-23 | 2013-10-03 | トゥルーポジション・インコーポレーテッド | Network base localization of mobile transmitter | 
| Title | 
|---|
| Polaris Wireless, Inc.,Comparisons of OTDOA and RTT Location Methods in LTE[online], 3GPP TSG-RAN WG1#57b R1-092596,インターネット<URL:http://www.3gpp.org/ftp/tsg_ran/WG1_RL1/TSGR1_57b/Docs/R1-092596.zip>,2009年07月03日,1-10頁 | 
| Publication number | Priority date | Publication date | Assignee | Title | 
|---|---|---|---|---|
| US20230184963A1 (en)* | 2018-08-07 | 2023-06-15 | Taber Innovations Group LLC | Personnel location and monitoring system | 
| US11828862B2 (en)* | 2018-08-07 | 2023-11-28 | Taber Innovations Group LLC | Personnel location and monitoring system | 
| Publication number | Publication date | 
|---|---|
| WO2016019354A1 (en) | 2016-02-04 | 
| KR20170042613A (en) | 2017-04-19 | 
| JP2017531934A (en) | 2017-10-26 | 
| EP3175668A1 (en) | 2017-06-07 | 
| EP3175668A4 (en) | 2018-08-15 | 
| JP6557849B2 (en) | 2019-08-14 | 
| CN106922219A (en) | 2017-07-04 | 
| CN106922219B (en) | 2020-12-04 | 
| JP2022008675A (en) | 2022-01-13 | 
| KR102166578B1 (en) | 2020-10-19 | 
| JP2019194607A (en) | 2019-11-07 | 
| Publication | Publication Date | Title | 
|---|---|---|
| JP7256241B2 (en) | Partially synchronized multilateration/trilateration method and system for position finding using RF | |
| JP7269287B2 (en) | Multipath Mitigation in Object Tracking and Ranging Using Low-Attenuation RF Technologies | |
| US11474188B2 (en) | Partially synchronized multilateration or trilateration method and system for positional finding using RF | |
| US10863313B2 (en) | Network architecture and methods for location services | |
| JP6697451B2 (en) | Partially synchronized multilateration or trilateration method and system for localization using RF | |
| US10117218B2 (en) | Partially synchronized multilateration or trilateration method and system for positional finding using RF | |
| US11835639B2 (en) | Partially synchronized multilateration or trilateration method and system for positional finding using RF | |
| WO2015116322A2 (en) | Multi-path mitigation in rangefinding and tracking objects using reduced attenuation rf technology | |
| HK40042706A (en) | Network architecture and methods for location services | |
| HK1246857B (en) | Partially synchronized multilateration or trilateration method and system for positional finding using rf | |
| HK1240742B (en) | Partially synchronized multilateration/trilateration method and system for positional finding using rf | |
| HK1240742A1 (en) | Partially synchronized multilateration/trilateration method and system for positional finding using rf | |
| HK1246856B (en) | Partially synchronized multilateration or trilateration method and system for positional finding using rf | 
| Date | Code | Title | Description | 
|---|---|---|---|
| A621 | Written request for application examination | Free format text:JAPANESE INTERMEDIATE CODE: A621 Effective date:20211029 | |
| A711 | Notification of change in applicant | Free format text:JAPANESE INTERMEDIATE CODE: A711 Effective date:20221209 | |
| TRDD | Decision of grant or rejection written | ||
| RD02 | Notification of acceptance of power of attorney | Free format text:JAPANESE INTERMEDIATE CODE: A7422 Effective date:20230125 | |
| A01 | Written decision to grant a patent or to grant a registration (utility model) | Free format text:JAPANESE INTERMEDIATE CODE: A01 Effective date:20230322 | |
| A61 | First payment of annual fees (during grant procedure) | Free format text:JAPANESE INTERMEDIATE CODE: A61 Effective date:20230330 | |
| R150 | Certificate of patent or registration of utility model | Ref document number:7256241 Country of ref document:JP Free format text:JAPANESE INTERMEDIATE CODE: R150 | |
| S111 | Request for change of ownership or part of ownership | Free format text:JAPANESE INTERMEDIATE CODE: R313113 | |
| R350 | Written notification of registration of transfer | Free format text:JAPANESE INTERMEDIATE CODE: R350 |