



本発明は、液晶フィルム、偏光板、円偏光板および画像表示装置に関する。 The present invention relates to a liquid crystal film, a polarizing plate, a circularly polarizing plate and an image display device.
  従来、重合性液晶化合物を用いて形成した液晶層を有する液晶フィルムが位相差フィルムや高機能フィルムとして利用されている。このような液晶フィルムは、例えば、基材上に光配向層を設け、この光配向層の上に重合性液晶化合物を含む組成物を塗布して、光配向層の配向規制力によって整列した重合性液晶化合物を重合させて配向状態を固定することで作製される。その際、重合性液晶化合物の選択やその配向状態の制御によって、所望の光学特性を備える液晶層を有する液晶フィルムを得ることができる。
  例えば、特許文献1には、液晶化合物に一定の配向を付与した層を形成し光学異方性層とすることが記載されている。Conventionally, liquid crystal films having a liquid crystal layer formed using a polymerizable liquid crystal compound have been used as retardation films and high-performance films. Such a liquid crystal film is produced, for example, by providing a photo-alignment layer on a base material, coating a composition containing a polymerizable liquid crystal compound on the photo-alignment layer, and polymerizing aligned by the alignment regulating force of the photo-alignment layer. It is produced by polymerizing a polar liquid crystal compound to fix the alignment state. At that time, a liquid crystal film having a liquid crystal layer having desired optical properties can be obtained by selecting a polymerizable liquid crystal compound and controlling its alignment state.
 For example,
  また、欠陥の少ない液晶フィルムを得るために、特許文献2に記載されるように、従来用いられてきたラビング配向層に代えて光配向層を用いることが提案されている。光配向層を用いる場合には、光配向層に配向規制力を付与するプロセスを非接触で行うことができる。そのため、ラビングに伴う異物に起因するムラおよび欠陥を抑えることができる。  Moreover, in order to obtain a liquid crystal film with few defects, as described in
ところで、液晶フィルムが適用される表示装置として、例えば液晶表示装置や有機EL表示装置が挙げられる。これらの表示装置は高精細化、ハイダイナミックレンジ化が絶え間なく行われ、画素ピッチはより細かく、白輝度はより高く、黒表示性能はより黒くという要求が絶えず行われている。また、屋外の日差しや明るい照明の下等でも視認できることが求められている。 Display devices to which liquid crystal films are applied include, for example, liquid crystal display devices and organic EL display devices. These display devices are constantly being improved in definition and dynamic range, and there is a constant demand for finer pixel pitch, higher white luminance, and blacker black display performance. In addition, it is required to be visible even in outdoor sunlight or under bright lighting.
こうした表示装置の高性能化に伴い、液晶フィルムにおいて異物による欠陥の他に、種々の要因によって発生する位相差ムラが及ぼす表示装置の表示品質への影響が無視できないものとなりつつある。そのため、液晶フィルムの位相差ムラを抑制する方法が種々提案されている。 Along with such high performance of the display device, the influence of retardation unevenness caused by various factors on the display quality of the display device in addition to defects due to foreign matter in the liquid crystal film is becoming unignorable. Therefore, various methods for suppressing the retardation unevenness of the liquid crystal film have been proposed.
  例えば、特許文献3には、長尺基材上に溶剤と液晶性化合物とを含む塗布液を塗設し、次いで、該塗膜中の液晶性化合物の配向を固定化し、光学異方性層を形成する光学補償フィルムの製造方法において、基材や光配向層の表面電位や、塗布液や塗布環境温度、風速、および、塗膜中の残存溶剤量や配向の制御条件を種々に調整することによりムラやばらつきの無い光学補償フィルムを得ることが記載されている。  For example, in
また、特許文献4には、配向膜層が形成された透明な帯状フィルム上に液晶性化合物を含む塗布液を塗布した後、塗布層を乾燥させ、乾燥させた塗布層を硬化させる工程を備えた光学補償フィルムの製造方法において、塗布層中の固形分濃度が80%以上となるまで乾燥させた後から塗布層の硬化が終了するまでの工程は、帯状フィルムの塗布層近傍における帯状フィルムの幅方向の乾燥風成分の風速を0.7m/秒以下にする光学補償フィルムの製造方法が記載されている。これにより、乾燥風による液晶化合物の配列状態の乱れを抑制して遅相軸のズレやばらつきを低減することが記載されている。 Further, Patent Document 4 includes a step of applying a coating liquid containing a liquid crystalline compound on a transparent strip-shaped film having an alignment film layer formed thereon, drying the coating layer, and curing the dried coating layer. In the method for producing an optical compensation film, the process from drying until the solid content concentration in the coating layer reaches 80% or more until curing of the coating layer is completed, the strip film in the vicinity of the coating layer of the strip film. A method for producing an optical compensation film is disclosed in which the wind speed of the drying wind component in the width direction is set to 0.7 m/sec or less. It is described that this suppresses the disturbance of the arrangement state of the liquid crystal compound due to the dry air, and reduces the deviation and variation of the slow axis.
近年は単に優れた表示性能のみならず、薄型軽量、あるいは、折り曲げ可能な表示装置が求められるようになってきた。こうした表示装置の実現のため、液晶フィルムは自己支持性と基材の薄さの両立が求められている。発明者らは、従来使用困難とされてきた薄手基材を用いて液晶フィルムを得るべく鋭意検討する中で、従来は見られなかった微細な配向ムラが生じることを知見した。 In recent years, not only excellent display performance but also thin, lightweight, or bendable display devices have been required. In order to realize such a display device, liquid crystal films are required to have both self-supporting properties and thin base materials. The inventors have made intensive studies to obtain a liquid crystal film using a thin base material, which has been considered difficult to use, and have found that a fine alignment unevenness, which has not been seen in the past, occurs.
そのため、上述したハイダイナミックレンジ化した表示装置や従来想定されていなかった極端に明るい環境下での使用においては、色味変化が強調されて視認されやすくなるという問題があることがわかった。 For this reason, it has been found that there is a problem that the change in color tone is emphasized and easily recognized when used in a display device with a high dynamic range as described above or in an extremely bright environment that has not been assumed in the past.
従って本発明の課題は、上記従来技術の問題点を解消し、薄手で、かつ、配向ムラが少なく面内均一性の高い液晶フィルム、偏光板、円偏光板および画像表示装置を提供することにある。 Accordingly, an object of the present invention is to provide a thin liquid crystal film, a polarizing plate, a circularly polarizing plate, and an image display device which are thin and have high in-plane uniformity with less uneven alignment. be.
発明者らは、上述した課題の解決に取り組んだ結果、下記の構成よって上記課題を解決できることを見出した。すなわち、本発明は以下のとおりである。 As a result of working to solve the above problems, the inventors have found that the above problems can be solved by the following configuration. That is, the present invention is as follows.
[1]  透明基材上に光配向層と液晶層とをこの順に含み、
  透明基材の厚さが10μm~25μmであり、
  光配向層は帯電防止剤を含む光配向層形成用組成物から形成されている、液晶フィルム。
[2]  光配向層形成用組成物は光配向性のポリマーを含む、[1]に記載の液晶フィルム。
[3]  光配向性のポリマーがアクリレート骨格、メタクリレート骨格、シロキサン骨格、および、ポリスチレン骨格のいずれかからなる[2]に記載の液晶フィルム。
[4]  光配向性のポリマーがアクリレート骨格、メタクリレート骨格、および、シロキサン骨格のいずれかを有する[2]または[3]に記載の液晶フィルム。
[5]  光配向性のポリマーがアクリレート骨格またはメタクリレート骨格を含む[2]~[4]のいずれかに記載の液晶フィルム。
[6]  光配向層形成用組成物はさらに架橋剤と、架橋促進剤および架橋開始剤の少なくとも何れか一方とを含む、[2]~[5]のいずれかに記載の液晶フィルム。
[7]  光配向層形成用組成物はさらに酸クエンチャーを含む、[2]~[6]のいずれかに記載の液晶フィルム。
[8]  帯電防止剤は、低分子イオン性化合物である、[1]~[7]のいずれかに記載の液晶フィルム。
[9]  低分子イオン性化合物が、無機カチオンまたは有機カチオンと有機アニオンからなる、[8]に記載の液晶フィルム。
[10]  有機アニオンが、ビス(フルオロアルキルスルホニル)イミドである、[9]に記載の液晶フィルム。
[11]  透明基材と光配向層とが直接接している、[1]~[10]のいずれかに記載の液晶フィルム。
[12]  透明基材が、ポリエステル添加剤または糖エステル化合物を含むセルロースアシレートフィルムである、[1]~[11]のいずれかに記載の液晶フィルム。
[13]  前記透明基材のRe(550)が10nm以下であるか、または、前記透明基材のRth(550)が-20nm~20nmである、[12]に記載の液晶フィルム。
[14]  Re(550)が100nm~250nmである、[1]~[13]のいずれかに記載の液晶フィルム。
[15]  [14]に記載の液晶フィルムと、偏光子とを含み、透明基材と偏光子とが直接または接着層を介して接している、偏光板。
[16]  液晶フィルムのRe(550)が120nm~160nmであり、下記式(1)および式(2)を満たす、[15]に記載の偏光板。
    0.6<Re(450)/Re(550)<1.0      (1)
    1.0<Re(650)/Re(550)<1.2      (2)
[17]  [16]に記載の偏光板において、液晶フィルムの遅相軸と、偏光子の吸収軸とが40°~50°で交差して配置されてなる、円偏光板。
[18]  [17]に記載の円偏光板を含む反射防止フィルムを備える、画像表示装置。[1] including a photo-alignment layer and a liquid crystal layer in this order on a transparent substrate;
 The thickness of the transparent substrate is 10 μm to 25 μm,
 A liquid crystal film, wherein the photo-alignment layer is formed from a composition for forming a photo-alignment layer containing an antistatic agent.
 [2] The liquid crystal film of [1], wherein the composition for forming a photo-alignment layer contains a photo-aligning polymer.
 [3] The liquid crystal film of [2], wherein the photo-orientable polymer comprises any one of an acrylate skeleton, a methacrylate skeleton, a siloxane skeleton, and a polystyrene skeleton.
 [4] The liquid crystal film of [2] or [3], wherein the photo-alignable polymer has any one of an acrylate skeleton, a methacrylate skeleton, and a siloxane skeleton.
 [5] The liquid crystal film according to any one of [2] to [4], wherein the photo-alignable polymer contains an acrylate skeleton or a methacrylate skeleton.
 [6] The liquid crystal film according to any one of [2] to [5], wherein the composition for forming a photo-alignment layer further contains a cross-linking agent and at least one of a cross-linking accelerator and a cross-linking initiator.
 [7] The liquid crystal film according to any one of [2] to [6], wherein the composition for forming a photo-alignment layer further contains an acid quencher.
 [8] The liquid crystal film according to any one of [1] to [7], wherein the antistatic agent is a low molecular weight ionic compound.
 [9] The liquid crystal film of [8], wherein the low-molecular-weight ionic compound comprises an inorganic cation or an organic cation and an organic anion.
 [10] The liquid crystal film of [9], wherein the organic anion is bis(fluoroalkylsulfonyl)imide.
 [11] The liquid crystal film according to any one of [1] to [10], wherein the transparent substrate and the photo-alignment layer are in direct contact.
 [12] The liquid crystal film of any one of [1] to [11], wherein the transparent substrate is a cellulose acylate film containing a polyester additive or a sugar ester compound.
 [13] The liquid crystal film of [12], wherein Re(550) of the transparent substrate is 10 nm or less, or Rth(550) of the transparent substrate is -20 nm to 20 nm.
 [14] The liquid crystal film according to any one of [1] to [13], wherein Re(550) is 100 nm to 250 nm.
 [15] A polarizing plate comprising the liquid crystal film of [14] and a polarizer, wherein the transparent substrate and the polarizer are in contact directly or via an adhesive layer.
 [16] The polarizing plate of [15], wherein Re(550) of the liquid crystal film is 120 nm to 160 nm and satisfies the following formulas (1) and (2).
 0.6<Re(450)/Re(550)<1.0 (1)
 1.0<Re(650)/Re(550)<1.2 (2)
 [17] The circularly polarizing plate of [16], wherein the slow axis of the liquid crystal film and the absorption axis of the polarizer intersect at 40° to 50°.
 [18] An image display device comprising an antireflection film containing the circularly polarizing plate of [17].
本発明によれば、薄手で、かつ、配向ムラが少なく液晶フィルム、偏光板、画像表示装置を提供することができる。 According to the present invention, it is possible to provide a liquid crystal film, a polarizing plate, and an image display device which are thin and have less uneven alignment.
  以下、本発明の実施の形態を挙げて詳細に説明する。なお、本明細書において「~」を用いて表される数値範囲は、その前後に記載される数値を下限値および上限値として含む範囲を意味する。
  また、角度について「直交」および「平行」とは、厳密な角度±10°の範囲を意味するものとし、角度について「同一」および「異なる」は、その差が5°未満であるか否かを基準に判断できる。
  また、本明細書では、「可視光」とは、380nm~780nmのことをいう。また、本明細書では、測定波長について特に付記がない場合は、測定波長は550nmである。
  次に、本明細書で用いられる用語について説明する。BEST MODE FOR CARRYING OUT THE INVENTION Hereinafter, embodiments of the present invention will be described in detail. In this specification, a numerical range represented by "-" means a range including the numerical values described before and after it as a lower limit and an upper limit.
 In addition, "perpendicular" and "parallel" with respect to angles shall mean a strict angle range of ± 10 °, and "same" and "different" with respect to angles shall mean whether the difference is less than 5 ° can be judged on the basis of
 In this specification, "visible light" means 380 nm to 780 nm. In this specification, the measurement wavelength is 550 nm unless otherwise specified.
 Next, the terms used in this specification will be explained.
<遅相軸>
  本明細書において、「遅相軸」とは、面内において屈折率が最大となる方向を意味する。なお、位相差フィルムの遅相軸という場合は、位相差フィルム全体の遅相軸を意図する。<Lagging axis>
 As used herein, the term “slow axis” means the direction in which the refractive index is maximized within the plane. The slow axis of the retardation film means the slow axis of the entire retardation film.
<Re(λ)、Rth(λ)>
  面内レターデーションおよび厚み方向のレターデーションの値は、AxoScanOPMF-1(オプトサイエンス社製)を用い、測定波長の光を用いて測定した値をいう。
  具体的には、AxoScan OPMF-1にて、平均屈折率((nx+ny+nz)/3)と膜厚(d(μm))を入力することにより、
  遅相軸方向(°)
  Re(λ)=R0(λ)
  Rth(λ)=((nx+ny)/2-nz)×d
が算出される。
  なお、R0(λ)は、AxoScan OPMF-1で算出される数値として表示されるものであるが、Re(λ)を意味している。<Re(λ), Rth(λ)>
 The values of the in-plane retardation and the retardation in the thickness direction are the values measured using AxoScan OPMF-1 (manufactured by Optoscience) using light of the measurement wavelength.
 Specifically, by inputting the average refractive index ((nx+ny+nz)/3) and film thickness (d (μm)) into AxoScan OPMF-1,
 Slow axis direction (°)
 Re(λ)=R0(λ)
 Rth(λ)=((nx+ny)/2−nz)×d
 is calculated.
 Note that R0(λ), which is displayed as a numerical value calculated by AxoScan OPMF-1, means Re(λ).
〔液晶フィルム〕
  本発明の液晶フィルムは、透明基材上に光配向層と液晶層とをこの順に含み、
  透明基材の厚さが10μm~25μmであり、
  光配向層は帯電防止剤を含む光配向層形成用組成物から形成されている。
  また、本発明の液晶フィルムは、好ましい構成として、長尺状の透明基材上に、各々長尺状に設けられた光配向層、液晶層とをこの順に含んでいる。[Liquid crystal film]
 The liquid crystal film of the present invention comprises a photo-alignment layer and a liquid crystal layer in this order on a transparent substrate,
 The thickness of the transparent substrate is 10 μm to 25 μm,
 The photo-alignment layer is formed from a composition for forming a photo-alignment layer containing an antistatic agent.
 Moreover, the liquid crystal film of the present invention preferably comprises a long transparent substrate, a photo-alignment layer and a liquid crystal layer provided in this order on a long transparent substrate.
この液晶フィルムについて、以下詳細に説明する。なお、後述する位相差値や厚み等の物性値については、通常その後の使用に供する部分(典型的には幅方向の中央領域)におけるものとする。 This liquid crystal film will be described in detail below. Note that physical property values such as a retardation value and thickness, which will be described later, are those of a portion (typically, the central region in the width direction) that is usually used thereafter.
  図1は、本発明の液晶フィルムの一例を模式的に示す断面図である。図1は液晶フィルムの長手方向に垂直な方向の断面図である。図1に示す液晶フィルム10は、透明基材1(以下、基材ともいう)と、光配向層2、液晶層3がこの順に積層された構成を有する。
  なお、図1においては、基材1、光配向層2、液晶層3は等幅に描画されているが、実際の製造上は、基材1は光配向層2より幅広であり、液晶層3は光配向層2より幅狭に設けるのが一般的である。ただし、必要に応じ、液晶層3が光配向層2より幅広であり、基材1よりは幅狭であるように設けてもよい。
  なお、以下の説明において、液晶フィルムが延在する方向を長手方向とし、長手方向に直交する方向を幅方向とする。FIG. 1 is a cross-sectional view schematically showing an example of the liquid crystal film of the present invention. FIG. 1 is a cross-sectional view in a direction perpendicular to the longitudinal direction of the liquid crystal film. The
 In FIG. 1, the
 In the following description, the direction in which the liquid crystal film extends is defined as the longitudinal direction, and the direction orthogonal to the longitudinal direction is defined as the width direction.
一般に、液晶フィルムは基材上に配向膜、液晶層をこの順に積層して製造する。配向膜は液晶層を形成する液晶性組成物が塗工される前に配向処理が行われて配向規制力が付与され、その配向規制力によって液晶分子の配向を制御することにより所望の光学特性を得る。これらの工程を生産性良く実施し、高品質かつ均一な液晶フィルムを得るためには、ロールトゥロールプロセスを適用するのが一般的である。先述したように、ロールトゥロールプロセスにおいて均一でムラの無い塗膜を得るために、塗工方法の工夫や各ゾーンでの風速の制御が行われている。また、組成物の構成や温度条件を精密に制御することで液晶分子の配向を厳密に制御することが行われている。 Generally, a liquid crystal film is produced by laminating an alignment film and a liquid crystal layer on a substrate in this order. The alignment film is subjected to an alignment treatment before the liquid crystalline composition forming the liquid crystal layer is applied, and an alignment control force is imparted to the alignment film. get In order to carry out these steps with good productivity and obtain a high-quality and uniform liquid crystal film, it is common to apply a roll-to-roll process. As mentioned above, in order to obtain a uniform and even coating film in the roll-to-roll process, the coating method is devised and the wind speed is controlled in each zone. Also, the alignment of liquid crystal molecules is strictly controlled by precisely controlling the composition and temperature conditions of the composition.
また、ロールトゥロールプロセスでは、基材ロールから基材を送り出す際、搬送ロールからウェブが離脱する際、および、各種塗布液が塗工ヘッドからウェブへ移行する際等に剥離帯電が生じやすい。こうした剥離帯電は防爆上の問題をもたらすばかりでなく、放電の際に意図せぬ面状故障(凹凸の発生や物質の変性)を引き起こすため、ウェブの表面を除電処理する等の措置を講じてウェブの帯電を抑制することが行われる。 In the roll-to-roll process, peeling electrification is likely to occur when the substrate is fed from the substrate roll, when the web is separated from the transport roll, and when various coating liquids are transferred from the coating head to the web. Such peeling electrification not only causes explosion-proof problems, but also causes unintended surface defects (unevenness and material denaturation) during discharge. Suppression of web charging is performed.
しかしながら、発明者らは、薄手の基材を用いて液晶フィルムを製造する検討において、従来知られたこれらの措置を講じることにより従来知られた配向ムラの発生は抑制できるにも関わらず、微細な配向ムラが解消できないことを見出した。この微細な配向ムラを詳細に解析したところ、各層の凹凸や、物質の変性あるいは偏在等を伴わずに、液晶層の配向軸だけが意図しない方向へ変化していた。 However, in the study of manufacturing a liquid crystal film using a thin base material, the inventors found that the occurrence of conventionally known alignment unevenness can be suppressed by taking these conventionally known measures. It was found that the orientation unevenness could not be eliminated. A detailed analysis of this fine alignment unevenness revealed that only the alignment axis of the liquid crystal layer changed in an unintended direction, without the unevenness of each layer, the denaturation or uneven distribution of substances, and the like.
この現象がいかにして発生するかは定かでないが、発明者らは、基材が薄手になるとウェブの配向層側の表面とその反対側の面とにそれぞれ生じた帯電が互いに影響しあうため除電の効果が限定的なものとなり、局所的な帯電が残りやすくなった結果、光配向層の配向規制力の方向あるいは重合性液晶組成物中の液晶分子の配向方向が、残存帯電による電場の影響を受けてずれてしまうことで、微細な配向ムラが誘起されていると考えている。 Although it is not clear how this phenomenon occurs, the inventors believe that when the base material becomes thin, the electrification generated on the surface of the web on the orientation layer side and the surface on the opposite side affect each other. As a result, the direction of the alignment control force of the photo-alignment layer or the alignment direction of the liquid crystal molecules in the polymerizable liquid crystal composition is affected by the electric field caused by the residual charge. It is thought that fine alignment unevenness is induced by being affected and shifted.
これに対し、本発明の液晶フィルムは、光配向層(光配向層形成用組成物)が帯電防止剤を含有するものである。これにより、基材の帯電による微細な配向ムラの発生を抑制して、薄手の基材でも従来の基材を用いた時と同様に配向ムラの無い均一な配向状態を得ることができる。従って、薄手で、かつ、表示装置に組み込んだ際のパネル色味変化が少なく、面内均一性の高い液晶フィルムを得ることができる。 In contrast, in the liquid crystal film of the present invention, the photo-alignment layer (composition for forming a photo-alignment layer) contains an antistatic agent. As a result, it is possible to suppress the occurrence of fine alignment unevenness due to electrification of the base material, and to obtain a uniform alignment state without alignment unevenness even with a thin base material, as in the case of using a conventional base material. Therefore, it is possible to obtain a liquid crystal film which is thin, exhibits little change in panel color when incorporated in a display device, and has high in-plane uniformity.
本発明の液晶フィルムは、少なくともRe(550)が10nm以上の面内位相差を有してもよい。好ましくは、Re(550)が100nm~250nmの範囲であり、この範囲であると種々の光学補償フィルムや波長板として利用することができる。より好ましくは、Re(550)が120nm~160nmの範囲であり、この範囲であると、λ/4波長板として利用することができる。 The liquid crystal film of the present invention may have an in-plane retardation of at least Re(550) of 10 nm or more. Preferably, Re(550) is in the range of 100 nm to 250 nm, and within this range, it can be used as various optical compensation films and wavelength plates. More preferably, Re(550) is in the range of 120 nm to 160 nm, and within this range, it can be used as a λ/4 wavelength plate.
また、液晶フィルムの面内位相差について、各波長での面内位相差が次の関係を満たしていることが好ましい。 Further, with respect to the in-plane retardation of the liquid crystal film, it is preferable that the in-plane retardation at each wavelength satisfies the following relationship.
    0.6<Re(450)/Re(550)<1.0
    1.0<Re(650)/Re(550)<1.20.6<Re(450)/Re(550)<1.0
 1.0<Re(650)/Re(550)<1.2
この関係を満たしていると、広帯域にわたり均一な偏光変換が可能であり、種々の光学補償フィルムや波長板として用いる際に色味変化の少ない良好な性能を発揮することができる。 When this relationship is satisfied, uniform polarization conversion is possible over a wide band, and when used as various optical compensation films or wavelength plates, good performance with little color change can be exhibited.
  <透明基材>
  透明基材1は、その厚さが10μm~25μmであり、透明である。連続生産に適し、均一かつ高品質な液晶フィルムが得られる点で、長尺状であることが好ましい。<Transparent substrate>
 The
  こうした透明な基材として、セルロースアシレートフィルム、アクリルフィルム、ポリカーボネートフィルム、シクロオレフィンフィルム、ポリエチレンテレフタレートフィルム、および、硝子による透明フィルム材等が挙げられる。薄さと強度、柔軟性とを兼ね備える観点から、透明基材1は、セルロースアシレートフィルム、アクリルフィルム、ポリカーボネートフィルム、シクロオレフィンフィルム、および、ポリエチレンテレフタレートフィルム等の樹脂フィルムであることが好ましい。  Examples of such transparent substrates include cellulose acylate films, acrylic films, polycarbonate films, cycloolefin films, polyethylene terephthalate films, and transparent film materials made of glass. From the viewpoint of thinness, strength, and flexibility, the
  透明基材1は、偏光板保護フィルムとして用いる場合に偏光状態を制御しやすくする観点から、面内位相差Re(550)が10nm以下であることが好ましく、5nm以下であることがより好ましく、3nm以下であることがさらに好ましい。下限は特に制限されないが、0nmが挙げられる。
  また、斜視方向の光学的影響を抑える観点から、透明基材1の厚み方向位相差Rth(550)は、-20nm~20nmの範囲であることが好ましく、-10nm~10nmの範囲であることがより好ましく、-5nm~5nmの範囲であることがさらに好ましい。The
 Further, from the viewpoint of suppressing the optical influence in the oblique direction, the thickness direction retardation Rth (550) of the
  透明基材1の厚みは、上述のように10μm~25μmである。より好ましくは、15μm~23μmである。この範囲であると、ウェブハンドリングを工夫することで従来の厚み(典型的には40μm以上)の基材を用いた場合と同様の塗工性を担保することができる。  The thickness of the
  また、透明基材1が長尺状である場合、その長さは、100m~10000mであることが好ましく、250m~7000mがより好ましく、1000m~6000mがさらに好ましい。また、幅は400mm~3000mmであることが好ましく、500mm~2500mmがより好ましく、600mm~1750mmであることがさらに好ましい。この範囲であると、ロールトゥロールプロセスにおける経済性を担保しつつ、従来知られた40μm~80μmの厚みを有する基材に比べ自己支持性が劣る薄手の基材であっても、ウェブハンドリングや巻取り形態の工夫により長手方向、幅手方向の均一性に優れ、ロール状態で生じるブロッキングや擦れによる面状欠陥発生を抑えた液晶フィルムを製造することができる。  Further, when the
(セルロースアシレートフィルム)
  本発明に用いる基材として、セルロースアシレートフィルムを用いることができる。透明性と強度を兼ね備え、薄手であっても他の素材に比べて自立性に富む点で好ましく用いられる。セルロースアシレートフィルムとしては、セルロースアシレート樹脂を含み、さらに必要に応じて添加剤を含むフィルムを用いることができる。セルロースアシレートフィルムは、溶液製膜により作製することができ、また、溶融製膜を用いて作製してもよい。(cellulose acylate film)
 A cellulose acylate film can be used as the substrate used in the present invention. It is preferably used because it has both transparency and strength, and even though it is thin, it is more self-supporting than other materials. As the cellulose acylate film, a film containing a cellulose acylate resin and, if necessary, additives can be used. The cellulose acylate film can be produced by solution film forming, or may be produced by melt film forming.
セルロースアシレート樹脂としては、トリアセチルセルロース、ジアセチルセルロース、および、アセチル基の一部を高級アシル基、芳香族アシル基、アルコキシ基、または、置換アルコキシ基で置換したセルロースを用いることができる。セルロースアシレートにおいて、セルロースの水酸基への置換度については特に限定されないが、適度な透湿性や吸湿性を付与するため、セルロースの水酸基へのアシル置換度が2.00~3.00であることが好ましい。更には置換度が2.30~2.98であることが好ましく、2.70~2.96であることがより好ましく、2.80~2.94であることが更に好ましい。 As the cellulose acylate resin, triacetyl cellulose, diacetyl cellulose, and cellulose in which a part of the acetyl group is substituted with a higher acyl group, an aromatic acyl group, an alkoxy group, or a substituted alkoxy group can be used. In the cellulose acylate, the degree of substitution of hydroxyl groups of cellulose is not particularly limited, but in order to impart appropriate moisture permeability and hygroscopicity, the degree of acyl substitution of hydroxyl groups of cellulose should be 2.00 to 3.00. is preferred. Furthermore, the degree of substitution is preferably 2.30 to 2.98, more preferably 2.70 to 2.96, even more preferably 2.80 to 2.94.
添加剤としては、例えば特開2005-154764号公報、特開2013-228720号公報、特開2014-081619号公報、特開2014-178519号公報、特開2015-227956号公報、特開2016-006439号公報、特開2016-164668号公報、特開2017-106975号公報に記載の各種添加剤を用いることができる。 As additives, for example, JP-A-2005-154764, JP-A-2013-228720, JP-A-2014-081619, JP-A-2014-178519, JP-A-2015-227956, JP-A-2016- Various additives described in JP-A-2016-164668 and JP-A-2017-106975 can be used.
添加剤の好ましい一例として、下記一般式(1)で表される繰り返し単位を有するポリエステル添加剤が挙げられる。 A preferred example of the additive is a polyester additive having a repeating unit represented by the following general formula (1).
一般式(1)General formula (1)
(一般式(1)中、X、Yは2価の連結基を表す。)(In general formula (1), X and Y represent a divalent linking group.)
  Xとしては、置換基を有していてもよい、炭素数2~20のアルキレン基、ポリオキシアルキレン基、アルケニレン基、フェニレン基、ナフチレン基、または、2価の複素環芳香族基が挙げられる。なお、上記アルキレン基、アルケニレン基、および、ポリオキシアルキレン基中のアルキレン基は、脂環構造を有していてもよい。
  Yとしては、置換基を有していてもよい、炭素数2~20のアルキレン基、ポリオキシアルキレン基、アルケニレン基、フェニレン基、ナフチレン基、または、2価の複素環芳香族基が挙げられる。なお、上記アルキレン基、アルケニレン基、および、ポリオキシアルキレン基中のアルキレン基は、脂環構造を有していてもよい。
  これらの2価の連結基中に酸素原子、窒素原子等の炭素以外の分子を含んでもよい。上述した置換基としては、アルキル基、アルコキシ基、水酸基、アルコキシ置換アルキル基、カルボキシル基等が挙げられる。X includes an alkylene group, polyoxyalkylene group, alkenylene group, phenylene group, naphthylene group, or divalent heterocyclic aromatic group having 2 to 20 carbon atoms, which may have a substituent. . The alkylene group, the alkenylene group, and the alkylene group in the polyoxyalkylene group may have an alicyclic structure.
 Y includes an alkylene group having 2 to 20 carbon atoms, a polyoxyalkylene group, an alkenylene group, a phenylene group, a naphthylene group, or a divalent heterocyclic aromatic group, which may have a substituent. . The alkylene group, the alkenylene group, and the alkylene group in the polyoxyalkylene group may have an alicyclic structure.
 These divalent linking groups may contain molecules other than carbon such as oxygen atoms and nitrogen atoms. Examples of the substituents described above include alkyl groups, alkoxy groups, hydroxyl groups, alkoxy-substituted alkyl groups, carboxyl groups, and the like.
上述した一般式(1)で表される繰り返し単位として、位相差特性とフィルムの弾性率に優れる点で、Xは炭素数2~10の非環状の2価の連結基を表し、Yは3~6員環の脂環構造を含む炭素数3~12の連結基を表すものであることが好ましい。脂環構造は、3~6員環が好ましく、5~6員環がより好ましく、具体的には、シクロプロピレン基、1,2-シクロブチレン基、1,3-シクロブチレン基、1,2-シクロペンチレン基、1,3-シクロペンチレン基、1,2-シクロへキシレン基、1,3-シクロへキシレン基、および、1,4-シクロへキシレン基等が挙げられる。 As the repeating unit represented by the above-described general formula (1), X represents an acyclic divalent linking group having 2 to 10 carbon atoms, and Y represents 3 in terms of excellent retardation properties and elastic modulus of the film. It preferably represents a linking group having 3 to 12 carbon atoms including an alicyclic structure of up to 6-membered rings. The alicyclic structure is preferably a 3- to 6-membered ring, more preferably a 5- to 6-membered ring. Specifically, cyclopropylene group, 1,2-cyclobutylene group, 1,3-cyclobutylene group, 1,2 -cyclopentylene group, 1,3-cyclopentylene group, 1,2-cyclohexylene group, 1,3-cyclohexylene group, and 1,4-cyclohexylene group.
上記一般式(1)で表される繰り返し単位を有するポリエステル添加剤の水酸基末端の水素原子は、モノカルボン酸由来のアシル基(以下、モノカルボン酸残基とも言う)で置換されていてもよい(以下、水酸基末端の水素原子が封止されているとも言う)。このとき、上記ポリエステルの両末端はモノカルボン酸残基となっている。末端を疎水性官能基で保護することにより、添加剤の凝集力が抑えられてフィルムへの相溶性や化合物の取扱性が良好となり、また温湿度安定性、偏光板の偏光子耐久性に優れたフィルムを得ることができる。 The hydrogen atom at the hydroxyl group terminal of the polyester additive having a repeating unit represented by the general formula (1) may be substituted with an acyl group derived from a monocarboxylic acid (hereinafter also referred to as a monocarboxylic acid residue). (Hereinafter, it is also said that the hydrogen atom at the terminal of the hydroxyl group is blocked). At this time, both ends of the polyester are monocarboxylic acid residues. By protecting the terminal with a hydrophobic functional group, the cohesive force of the additive is suppressed, the compatibility with the film and the handleability of the compound are improved. You can get a good film.
ここで、残基とは、上記ポリエステルの部分構造で、上記ポリエステルを形成している単量体の特徴を有する部分構造を表す。例えばモノカルボン酸R-COOHより形成されるモノカルボン酸残基はR-CO-である。Rとしては、置換基を有していてもよい炭素数1~10のアルキル基、脂環アルキル基、および、芳香族基が挙げられる。好ましくは脂肪族モノカルボン酸残基であり、モノカルボン酸残基が炭素数2~10の脂肪族モノカルボン酸残基であることがより好ましく、炭素数2~3の脂肪族モノカルボン酸残基であることがさらに好ましく、炭素数2の脂肪族モノカルボン酸残基であることが特に好ましい。 Here, the term "residue" means a partial structure of the polyester and represents a partial structure having the characteristics of the monomers forming the polyester. For example, the monocarboxylic acid residue formed from the monocarboxylic acid R--COOH is R--CO--. Examples of R include an optionally substituted alkyl group having 1 to 10 carbon atoms, an alicyclic alkyl group, and an aromatic group. Preferably, it is an aliphatic monocarboxylic acid residue, more preferably the monocarboxylic acid residue is an aliphatic monocarboxylic acid residue having 2 to 10 carbon atoms, and an aliphatic monocarboxylic acid residue having 2 to 3 carbon atoms. A group is more preferred, and an aliphatic monocarboxylic acid residue having 2 carbon atoms is particularly preferred.
上記ポリエステルの水酸基価が10mgKOH/g以下であることが偏光子耐久性を改善する観点から好ましく、5mgKOH/g以下であることがより好ましく、0mgKOH/gであることが特に好ましい。また、上記ポリエステルの数平均分子量(Mw)は500~3000が好ましく、700~2000がより好ましい。この範囲であると相溶性にすぐれ、かつ、フィルム製造時や使用時の添加剤の揮散が少なく安定したフィルムを得ることができる。 From the viewpoint of improving the durability of the polarizer, the hydroxyl value of the polyester is preferably 10 mgKOH/g or less, more preferably 5 mgKOH/g or less, and particularly preferably 0 mgKOH/g. The number average molecular weight (Mw) of the polyester is preferably 500-3000, more preferably 700-2000. Within this range, it is possible to obtain a stable film with excellent compatibility and less volatilization of additives during film production and use.
また、添加剤の好ましい別の一例として、糖骨格構造中の置換可能な基(例えば、水酸基、カルボキシル基)の少なくとも1つと、少なくとも1種の置換基とがエステル結合されている化合物(糖エステル化合物)を用いることができる。より具体的には、ピラノース構造またはフラノース構造の少なくとも1種を1~12個有する化合物(M)、もしくは、フラノース構造もしくはピラノース構造の少なくとも1種を2個結合した化合物(D)の水酸基(以下、単にOH基という)の全てもしくは一部をアルキルエステル化した糖エステル化合物が好ましく用いられる。 Another preferred example of the additive is a compound (sugar ester compound) can be used. More specifically, a compound (M) having 1 to 12 at least one of a pyranose structure or a furanose structure, or a hydroxyl group of a compound (D) in which two at least one of a furanose structure or a pyranose structure are bonded (hereinafter , simply referred to as OH groups) are preferably used.
  化合物(M)の例としては、グルコース、ガラクトース、マンノース、フルクトース、キシロース、および、アラビノースが挙げられ、好ましくはグルコース、フルクトースであり、より好ましくはグルコースである。
  化合物(D)の例としては、ラクトース、スクロース、ニストース、1F-フラクトシルニストース、スタキオース、マルチトール、ラクチトール、ラクチュロース、セロビオース、マルトース、セロトリオース、マルトトリオース、ラフィノース、および、ケストースが挙げられる。このほか、ゲンチオビオース、ゲンチオトリオース、ゲンチオテトラオース、キシロトリオース、および、ガラクトシルスクロースも挙げられる。中でも、グルコース、スクロース、または、ラクトースが好ましい。Examples of compound (M) include glucose, galactose, mannose, fructose, xylose and arabinose, preferably glucose and fructose, more preferably glucose.
 Examples of compound (D) include lactose, sucrose, nystose, 1F-fructosylnystose, stachyose, maltitol, lactitol, lactulose, cellobiose, maltose, cellotriose, maltotriose, raffinose and kestose. Also included are gentiobiose, gentiotriose, gentiotetraose, xylotriose, and galactosylsucrose. Among them, glucose, sucrose or lactose is preferred.
化合物(M)および化合物(D)中のOH基の全てもしくは一部をアルキルエステル化するために脂肪族モノカルボン酸、脂環構造を有するモノカルボン酸、芳香族モノカルボン酸を用いることが好ましい。こうしたモノカルボン酸として、酢酸、プロピオン酸、酪酸、イソ酪酸、安息香酸、および、シクロヘキサンカルボン酸等が挙げられる。これらモノカルボン酸を2種類以上併用してもよい。 It is preferable to use an aliphatic monocarboxylic acid, a monocarboxylic acid having an alicyclic structure, or an aromatic monocarboxylic acid to alkyl-esterify all or part of the OH groups in compound (M) and compound (D). . Such monocarboxylic acids include acetic acid, propionic acid, butyric acid, isobutyric acid, benzoic acid, cyclohexanecarboxylic acid, and the like. Two or more of these monocarboxylic acids may be used in combination.
その他の添加剤として、可塑剤、紫外線吸収剤、架橋剤、マット剤(気相合成シリカ等の無機微粒子)、酸化防止剤、および、ラジカルスカベンジャー等を加えてもよい。後述するように本発明の位相差フィルムの基材に偏光板保護フィルムを兼ねさせて偏光板を構成する場合においては、偏光子の耐久性を向上させる作用を付与する観点で、さらに下記一般式(2)で表される化合物を含むことが好ましい。 As other additives, a plasticizer, an ultraviolet absorber, a cross-linking agent, a matting agent (inorganic fine particles such as vapor-phase synthetic silica), an antioxidant, a radical scavenger, and the like may be added. As will be described later, in the case where the substrate of the retardation film of the present invention also serves as a polarizing plate protective film to form a polarizing plate, from the viewpoint of imparting the effect of improving the durability of the polarizer, the following general formula It preferably contains a compound represented by (2).
一般式(2)general formula (2)
(一般式(2)中、R11、R13およびR15は、各々独立に、水素原子、炭素数1~20のアルキル基、炭素数3~20のシクロアルキル基、炭素数2~20のアルケニル基または炭素数6~20の芳香族基を表す。)
  こうした化合物は、例えば国際公開公報WO2014/112575号公報に記載のものを使用することができる。(In general formula (2), R11 , R13 and R15 each independently represent a hydrogen atom, an alkyl group having 1 to 20 carbon atoms, a cycloalkyl group having 3 to 20 carbon atoms, or a represents an alkenyl group or an aromatic group having 6 to 20 carbon atoms.)
 As such compounds, those described in, for example, International Publication WO2014/112575 can be used.
  本発明で用いられるセルロースアシレートフィルムは、発明協会公開技報(公技番号2001-1745、発明協会)に記載の方法を用いて作製できる。
  これらのセルロースアシレートフィルムは、必要に応じ一軸、または二軸に延伸処理して得ることができ、好ましくは幅手方向に延伸したものを用いることができる。また、斜め方向に延伸したものであることもできる。一方向への延伸倍率としては1.02倍~1.50倍が好ましく、1.05倍~1.30倍がより好ましい。延伸することで延伸方向への強度が増すため、薄手でもウェブハンドリング性を改善することができる。The cellulose acylate film used in the present invention can be produced using the method described in the Technical Bulletin published by the Institute of Invention and Innovation (public technical number 2001-1745, Institute of Invention and Innovation).
 These cellulose acylate films can be obtained by stretching uniaxially or biaxially as necessary, and preferably stretched in the transverse direction. Moreover, it can also be stretched in an oblique direction. The draw ratio in one direction is preferably 1.02 times to 1.50 times, more preferably 1.05 times to 1.30 times. Stretching increases the strength in the stretching direction, so even if the web is thin, the web handleability can be improved.
セルロースアシレートフィルムにおいては、ガラス転移温度(Tg)が140℃~200℃であることができ、170℃~200℃であることが好ましく、180℃~200℃であることがさらに好ましく、185℃~200℃であることがより好ましく、190℃~200℃であることが最も好ましい。この範囲であると、熱たわみへの耐性がより優れたものとなり、加熱等を伴う液晶フィルムの製造工程において、基材が薄手であっても特段の困難なく均一で配向状態が精密に制御された液晶フィルムを作成することができる。ガラス転移温度は、動的粘弾性測定装置により、そのtanδのピーク値として求めることができる。 The cellulose acylate film may have a glass transition temperature (Tg) of 140°C to 200°C, preferably 170°C to 200°C, more preferably 180°C to 200°C, and 185°C. ~200°C is more preferred, and 190°C to 200°C is most preferred. Within this range, the resistance to heat deflection is more excellent, and even if the base material is thin, the alignment state can be controlled precisely and uniformly without any particular difficulty in the liquid crystal film manufacturing process involving heating or the like. It is possible to create a liquid crystal film. The glass transition temperature can be obtained as the peak value of tan δ with a dynamic viscoelasticity measuring device.
  <光配向層>
  本発明に用いられる光配向層2は、帯電防止剤を含む光配向層形成用組成物から形成されている。光配向層2は、基材1の上に形成され、その配向規制力により、光配向層2の上に形成される液晶層3の液晶化合物を配向させるための層である。<Photo-alignment layer>
 The photo-
光配向層の厚さは、配向機能を発揮することができれば特に限定されないが、0.01μm~5μmであることが好ましく、0.05μm~2μmであることがより好ましく、0.1μm~0.5μmであることがさらに好ましい。この範囲であると優れた配向規制力が発揮でき異物欠陥を抑制する効果が高い。 The thickness of the photo-alignment layer is not particularly limited as long as the alignment function can be exhibited, but it is preferably 0.01 μm to 5 μm, more preferably 0.05 μm to 2 μm, and more preferably 0.1 μm to 0.1 μm. More preferably, it is 5 μm. Within this range, an excellent orientation regulating force can be exhibited, and the effect of suppressing foreign matter defects is high.
  基材1および光配向層2は、直接に接して設けられてもよいし、基材1と光配向層2との間に機能層を介在させてもよい。こうした機能層として、バリア層、衝撃緩和層、および、易接着層等が挙げられる。  The
  光配向層は、光配向層形成用組成物の塗工乾燥により、光配向層となる材料層を基材1上に形成した後、直線偏光による紫外線の照射により形成することが好ましい。なおこの光配向層となる材料(光配向材料)は、光配向の手法を適用可能な各種の材料を適用することができ、好ましい実施形態として、例えば光二量化型の材料、特に桂皮酸誘導体を含む化合物が使用できる。また、アゾ化合物等の光異性化材料も好適に用いることができる。  The photo-alignment layer is preferably formed by applying and drying a composition for forming a photo-alignment layer to form a layer of material that will become the photo-alignment layer on the
重合性液晶組成物の塗膜の下であっても配向規制力を維持する観点で、光配向層は重合性液晶組成物に含まれる溶媒によって溶解、膨潤されにくい材料であることが好ましい。こうした一例として、光配向性基を有するポリマーと、必要に応じて架橋剤、また必要に応じ架橋促進剤や架橋反応開始剤を含む光配向層形成用組成物を用いて形成することが好ましい。また、光配向層と液晶層との密着を図る観点では、液晶層に近い疎水性を有する、光配向性基を有するポリマーを用いることが好ましい。例えば、特開平6-289374号公報、特表平10-506420号公報、特表2009-501238号公報、特開2012-078421号公報、特開2015-106062号公報、特開2016-079189号公報等に記載の光配向性のアクリレート重合体、特開2012-037868号公報、特開2014-026261号公報、特開2015-026050号公報等に記載の光配向性ポリシロキサン、特開2015-151548号公報、特開2015-151549号公報、特開2016-098249号公報等に記載の光配向性のポリスチレン-アクリレート共重合体、特開2012-027471号公報、特表2015-533883号公報等に記載の光配向性のポリノルボルネン重合体等を用いることができる。 From the viewpoint of maintaining the alignment regulating force even under the coating film of the polymerizable liquid crystal composition, the photo-alignment layer is preferably made of a material that is difficult to dissolve and swell by the solvent contained in the polymerizable liquid crystal composition. As such an example, it is preferable to form a photo-alignment layer-forming composition containing a polymer having a photo-alignment group, a cross-linking agent as necessary, and a cross-linking accelerator and a cross-linking reaction initiator as necessary. Moreover, from the viewpoint of achieving close adhesion between the photo-alignment layer and the liquid crystal layer, it is preferable to use a polymer having a photo-alignment group, which has a hydrophobicity close to that of the liquid crystal layer. For example, JP-A-6-289374, JP-A-10-506420, JP-A-2009-501238, JP-A-2012-078421, JP-A-2015-106062, JP-A-2016-079189 Photo-alignable acrylate polymer described in, etc., JP-A-2012-037868, JP-A-2014-026261, JP-A-2015-026050, photo-alignable polysiloxane described in JP-A-2015-151548 JP, JP 2015-151549, JP 2016-098249, etc. Photo-orientable polystyrene-acrylate copolymer described in JP 2012-027471, JP 2015-533883, etc. The described photo-alignable polynorbornene polymer and the like can be used.
光配向性基を有するポリマーが有する光配向性基としては、異方性を有する光(例えば、平面偏光等)の照射により、再配列または異方的な化学反応が誘起される光配向機能を有する基をいい、配向の均一性に優れ、熱的安定性および化学的安定性も良好となる点から、光の作用により二量化および異性化の少なくとも一方が生じる光配向性基が好ましい。 The photo-alignment group possessed by the polymer having a photo-alignment group has a photo-alignment function that induces rearrangement or an anisotropic chemical reaction by irradiation with anisotropic light (e.g., plane polarized light). A photo-orienting group is preferable, which causes at least one of dimerization and isomerization by the action of light, from the viewpoint of excellent uniformity of orientation and good thermal and chemical stability.
  光の作用により二量化する光配向性基としては、例えば、桂皮酸誘導体(M. Schadt et al., J. Appl. Phys., vol. 31, No. 7, page 2155 (1992))、クマリン誘導体(M. Schadt et al., Nature., vol. 381, page 212 (1996))、カルコン誘導体(小川俊博他、液晶討論会講演予稿集,2AB03(1997))、マレイミド誘導体、および、ベンゾフェノン誘導体(Y. K. Jang et al., SID Int. Symposium Digest, P-53(1997))からなる群から選択される少なくとも1種の誘導体の骨格を有する基等が好適に挙げられる。
  一方、光の作用により異性化する光配向性基としては、例えば、アゾベンゼン化合物(K. Ichimura et al.,Mol.Cryst.Liq.Cryst ., 298, 221 (1997))、スチルベン化合物(J.G.Victor and J.M.Torkelson,Macromolecules, 20, 2241 (1987))、スピロピラン化合物(K. Ichimura et al., Chemistry Letters, page 1063 (1992) ;K.Ichimura et al., Thin Solid Films, vol. 235, page 101 (1993) )、桂皮酸化合物(K.Ichimura et al.,Macromolecules, 30, 903 (1997))、および、ヒドラゾノ-β-ケトエステル化合物(S. Yamamura et al., Liquid Crystals, vol. 13, No. 2, page 189 (1993))からなる群から選択される少なくとも1種の化合物の骨格を有する基等が好適に挙げられる。Photoalignable groups that dimerize under the action of light include, for example, cinnamic acid derivatives (M. Schadt et al., J. Appl. Phys., vol. 31, No. 7, page 2155 (1992)), coumarin Derivatives (M. Schadt et al., Nature., vol. 381, page 212 (1996)), chalcone derivatives (Toshihiro Ogawa et al., Lecture Proceedings of the Liquid Crystal Symposium, 2AB03 (1997)), Maleimide Derivatives, and Benzophenone Derivatives (YK Jang et al., SID Int. Symposium Digest, P-53 (1997)).
 On the other hand, examples of photoorientable groups that are isomerized by the action of light include azobenzene compounds (K. Ichimura et al., Mol.Cryst.Liq.Cryst., 298, 221 (1997)), stilbene compounds (JGVictor and JM Torkelson, Macromolecules, 20, 2241 (1987)), spiropyran compounds (K. Ichimura et al., Chemistry Letters, page 1063 (1992); K. Ichimura et al., Thin Solid Films, vol. 235, page 101 (1993) )), cinnamic acid compounds (K. Ichimura et al., Macromolecules, 30, 903 (1997)), and hydrazono-β-ketoester compounds (S. Yamamura et al., Liquid Crystals, vol. 13, No. 2 , page 189 (1993)).
光配向性基としては、桂皮酸誘導体、クマリン誘導体、カルコン誘導体およびマレイミド誘導体、アゾベンゼン化合物、スチルベン化合物、および、スピロピラン化合物からなる群から選択される少なくとも1種の誘導体の骨格を有する基が好ましく、桂皮酸誘導体骨格、または、クマリン誘導体骨格を有する基がより好ましい。 The photo-orientation group is preferably a group having a skeleton of at least one derivative selected from the group consisting of cinnamic acid derivatives, coumarin derivatives, chalcone derivatives, maleimide derivatives, azobenzene compounds, stilbene compounds, and spiropyran compounds. A group having a cinnamic acid derivative skeleton or a coumarin derivative skeleton is more preferable.
  光配向性基を有するポリマーの主鎖の構造は特に限定されず、公知の構造が挙げられ、例えば、アクリレート骨格、メタクリレート骨格、シロキサン骨格、および、ポリスチレン骨格が挙げられ、アクリレート骨格、メタクリレート骨格、または、シロキサン骨格が好ましく、アクリレート骨格、または、メタクリレート骨格がより好ましい。
  なお、アクリレート骨格は、アクリレート化合物(アクリロイル基を有する化合物)由来の繰り返し単位からなる骨格である。つまり、光配向性基を有するポリマーは、光配向性基を有するアクリレート化合物由来の繰り返し単位を含むポリマーであることが好ましい。
  また、メタクリレート骨格は、メタクリレート化合物(メタクリロイル基を有する化合物)由来の繰り返し単位からなる骨格である。つまり、光配向性基を有するポリマーは、光配向性基を有するメタクリレート化合物由来の繰り返し単位を含むポリマーであることが好ましい。
  また、ポリスチレン骨格とは、スチレン由来の繰り返し単位からなる骨格である。つまり、つまり、光配向性基を有するポリマーは、光配向性基を有するスチレン化合物由来の繰り返し単位を含むポリマーであることが好ましい。
  また、シロキサン骨格は、ポリマー主鎖がSi-O結合で構成される骨格である。The structure of the main chain of the polymer having a photoalignment group is not particularly limited, and includes known structures such as acrylate skeleton, methacrylate skeleton, siloxane skeleton, and polystyrene skeleton, acrylate skeleton, methacrylate skeleton, Alternatively, a siloxane skeleton is preferred, and an acrylate skeleton or methacrylate skeleton is more preferred.
 The acrylate skeleton is a skeleton composed of repeating units derived from an acrylate compound (a compound having an acryloyl group). That is, the polymer having a photo-alignment group is preferably a polymer containing a repeating unit derived from an acrylate compound having a photo-orientation group.
 A methacrylate skeleton is a skeleton composed of repeating units derived from a methacrylate compound (a compound having a methacryloyl group). That is, the polymer having a photo-alignment group is preferably a polymer containing repeating units derived from a methacrylate compound having a photo-alignment group.
 A polystyrene skeleton is a skeleton composed of repeating units derived from styrene. In other words, the polymer having a photo-alignment group is preferably a polymer containing repeating units derived from a styrene compound having a photo-alignment group.
 In addition, the siloxane skeleton is a skeleton in which the polymer main chain is composed of Si—O bonds.
光配向性基を有するポリマーとしては、式(A)で表される繰り返し単位を有するポリマーが好ましい。 A polymer having a repeating unit represented by formula (A) is preferable as the polymer having a photo-orientation group.
  上記式(A)中、RA1は、水素原子またはメチル基を表す。
  LA1は、単結合または2価の連結基を表す。
  LA1で表される2価の連結基としては、例えば、置換基を有していてもよい2価の炭化水素基(例えば、炭素数1~10(好ましくは、1~5)のアルキレン基、炭素数1~10のアルケニレン基、および、炭素数1~10のアルキニレン基等の2価の脂肪族炭化水素基、アリーレン基等の2価の芳香族炭化水素基)、2価の複素環基、-O-、-S-、-N(Q)-、-CO-、または、これらを組み合わせた基(例えば、-O-2価の炭化水素基-、-(O-2価の炭化水素基)p-O-(pは、1以上の整数を表す)、および、-2価の炭化水素基-O-CO-等)が挙げられる。Qは、水素原子または置換基を表す。
  なかでも、LA1で表される2価の連結基としては、置換基を有していてもよい炭素数1~10の直鎖状、分岐鎖状または環状のアルキレン基、置換基を有していてもよい炭素数6~12のアリーレン基、-O-、-CO-、および、-N(Q)-からなる群から選択される少なくとも2以上の基を組み合わせた2価の連結基であることが好ましい。Qは、水素原子または置換基を表す。In formula (A) above, RA1 represents a hydrogen atom or a methyl group.
 LA1 represents a single bond or a divalent linking group.
 The divalent linking group represented by LA1 includes, for example, a divalent hydrocarbon group optionally having a substituent (e.g., an alkylene group having 1 to 10 carbon atoms (preferably 1 to 5) , an alkenylene group having 1 to 10 carbon atoms, and a divalent aliphatic hydrocarbon group such as an alkynylene group having 1 to 10 carbon atoms, a divalent aromatic hydrocarbon group such as an arylene group), a divalent heterocyclic ring groups, -O-, -S-, -N(Q)-, -CO-, or groups combining these (e.g., -O-divalent hydrocarbon group -, -(O-divalent hydrocarbon hydrogen group)p -O- (p represents an integer of 1 or more), and -divalent hydrocarbon group -O-CO-, etc.). Q represents a hydrogen atom or a substituent.
 Among them, the divalent linking group represented by LA1 is a linear, branched or cyclic alkylene group having 1 to 10 carbon atoms which may have a substituent, and a substituent. an arylene group having 6 to 12 carbon atoms, which may be substituted, -O-, -CO-, and -N(Q)-. Preferably. Q represents a hydrogen atom or a substituent.
  RA2、RA3、RA4、RA5およびRA6は、それぞれ独立に、水素原子または置換基を表す。
  RA2、RA3、RA4、RA5およびRA6としては、それぞれ独立に、ハロゲン原子、炭素数1~20の直鎖状、分岐鎖状もしくは環状のアルキル基、炭素数1~20の直鎖状のハロゲン化アルキル基、炭素数1~20のアルコキシ基、炭素数6~20のアリール基、炭素数6~20のアリールオキシ基、シアノ基、アミノ基、または、下記式(3)で表される基が好ましい。RA2 , RA3 , RA4 , RA5 and RA6 each independently represent a hydrogen atom or a substituent.
 RA2 , RA3 , RA4 , RA5 and RA6 each independently represent a halogen atom, a linear, branched or cyclic alkyl group having 1 to 20 carbon atoms, or a linear alkyl group having 1 to 20 carbon atoms. A chain-like halogenated alkyl group, an alkoxy group having 1 to 20 carbon atoms, an aryl group having 6 to 20 carbon atoms, an aryloxy group having 6 to 20 carbon atoms, a cyano group, an amino group, or the following formula (3) The groups represented are preferred.
  ここで、上記式(3)中、*は結合位置を表す。
  RA7は、1価の有機基を表す。RA7が表す1価の有機基としては、例えば、炭素数1~20の直鎖状または環状のアルキル基が挙げられる。Here, in the above formula (3), * represents a bonding position.
RA7 represents a monovalent organic group. Examples of monovalent organic groups represented by RA7 include linear or cyclic alkyl groups having 1 to 20 carbon atoms.
  光配向材料は、後述する架橋剤と反応し得る架橋性基を有することが好ましい。架橋性基の種類は特に制限されず、水酸基、カルボキシル基、アミノ基、ラジカル重合性基(例えば、アクリロイル基、メタクリロイル基、ビニル基、スチリル基、および、アリル基)、および、カチオン重合性基(例えば、エポキシ基、エポキシシクロヘキシル基、および、オキセタニル基)が挙げられる。
  光配向材料が上述した光配向性基を有するポリマーである場合、ポリマーは架橋性基を有する繰り返し単位を有していてもよいし、上述した光配向性基を有する繰り返し単位がさらに架橋性基を有していてもよい。The photo-alignment material preferably has a cross-linkable group capable of reacting with a cross-linking agent described below. The types of crosslinkable groups are not particularly limited, and include hydroxyl groups, carboxyl groups, amino groups, radically polymerizable groups (e.g., acryloyl groups, methacryloyl groups, vinyl groups, styryl groups, and allyl groups), and cationically polymerizable groups. (eg, epoxy group, epoxycyclohexyl group, and oxetanyl group).
 When the photo-alignment material is a polymer having a photo-alignment group as described above, the polymer may have a repeating unit having a cross-linkable group, or the repeating unit having a photo-orientation group as described above is further a cross-linkable group. may have
(架橋剤)
  本発明に用いる光配向膜重合性液晶組成物に含まれる溶媒による溶解、膨潤を抑え、膜の機械強度を付与するために、必要に応じ架橋剤を添加することができる。架橋剤としては連鎖重合可能なモノマーであってもよく、また、重付加型の組成物であってもよい。また、上述の光配向性のポリマーを架橋反応に参加させるものであってもよい。(crosslinking agent)
 In order to suppress dissolution and swelling due to the solvent contained in the photo-alignment film polymerizable liquid crystal composition used in the present invention and to impart mechanical strength to the film, a cross-linking agent can be added as necessary. The cross-linking agent may be a monomer capable of chain polymerization, or may be a polyaddition type composition. Moreover, the above-mentioned photo-orientable polymer may participate in the cross-linking reaction.
連鎖重合可能なモノマーとしては(メタ)アクリレート化合物、エポキシ化合物、オキセタン化合物等が挙げられる。膜強度を高める点では多官能性のモノマーであることが好ましい。また、上述した光配向性のポリマーを共重合可能な官能基で修飾することにより、これらの架橋剤と共重合可能としてもよい。 Examples of chain-polymerizable monomers include (meth)acrylate compounds, epoxy compounds, oxetane compounds, and the like. A polyfunctional monomer is preferable from the viewpoint of increasing the film strength. In addition, by modifying the photo-orientable polymer described above with a copolymerizable functional group, it may be made copolymerizable with these cross-linking agents.
架橋反応に際し、架橋反応を促進する架橋促進剤、あるいは、架橋反応そのものを開始する架橋開始剤を必要に応じて添加することができる。上述の架橋剤を用いる場合、フィルムの生産性を高め安定して均一な光配向膜を得る観点から、架橋促進剤または架橋開始剤の少なくともいずれか一方を含むことが好ましい。特に連鎖重合可能なモノマーを用いる場合、架橋開始剤として各種の重合開始剤を併用することが好ましい。(メタ)アクリレート化合物であれば、光ラジカル発生剤、熱ラジカル発生剤を用いることができる。また、エポキシ化合物、オキセタン化合物であれば、光カチオン発生剤、熱カチオン発生剤、熱アニオン発生剤を用いることができる。また、光ラジカル発生剤、光カチオン発生剤を用いる場合、増感剤を併用することができる。 In the cross-linking reaction, a cross-linking accelerator that accelerates the cross-linking reaction or a cross-linking initiator that initiates the cross-linking reaction itself can be added as necessary. When using the above-mentioned cross-linking agent, it is preferable to include at least one of a cross-linking accelerator and a cross-linking initiator from the viewpoint of increasing the productivity of the film and obtaining a stable and uniform photo-alignment film. In particular, when using a monomer capable of chain polymerization, it is preferable to use various polymerization initiators together as a cross-linking initiator. If it is a (meth)acrylate compound, a photo-radical generator and a thermal radical generator can be used. Moreover, if it is an epoxy compound and an oxetane compound, a photocation generator, a thermal cation generator, and a thermal anion generator can be used. Moreover, when using a photo-radical generator and a photo-cation generator, a sensitizer can be used together.
  架橋剤の添加量としては、光配向層形成用組成物の全固形分量に対して、25~70質量%が好ましく、40~60質量%がより好ましい。
  なお、固形分とは、溶媒を除いた光配向層を構成する材料を意味し、その性状が液状であっても固形分として計算する。The amount of the cross-linking agent to be added is preferably 25 to 70% by mass, more preferably 40 to 60% by mass, based on the total solid content of the composition for forming a photo-alignment layer.
 In addition, solid content means the material which comprises the photo-alignment layer except a solvent, and even if the property is liquid, it is calculated as solid content.
(帯電防止剤)
  本発明で用いる光配向層形成用組成物に添加する帯電防止剤は、光配向層との相溶性に優れ、透明性および耐久信頼性に影響を与えることなく、層表面の電気抵抗を低減して帯電の局在を抑制しうる帯電防止剤であれば種々の化合物を利用することができる。一例としては、導電性ポリマー、イオン性側鎖を有するポリマー、カチオン(例えば、有機カチオンまたは無機カチオン)とアニオン(好ましくは、有機アニオン)とを有する低分子イオン性化合物等が利用できる。化合物の色相や光配向層への相溶性の観点から、低分子イオン性化合物が好ましい。
  低分子イオン性化合物とは、分子量が1000以下のイオン性化合物を意味する。また、イオン性化合物とは、カチオンとアニオンとから構成される化合物(塩)である。(Antistatic agent)
 The antistatic agent added to the composition for forming the photo-alignment layer used in the present invention has excellent compatibility with the photo-alignment layer, and reduces the electrical resistance of the layer surface without affecting the transparency and durability reliability. Various compounds can be used as long as they are antistatic agents capable of suppressing the localization of electrostatic charges. As an example, a conductive polymer, a polymer having an ionic side chain, a low-molecular-weight ionic compound having a cation (for example, an organic cation or an inorganic cation) and an anion (preferably an organic anion), and the like can be used. A low-molecular-weight ionic compound is preferred from the viewpoint of the hue of the compound and compatibility with the photo-alignment layer.
 A low molecular weight ionic compound means an ionic compound having a molecular weight of 1000 or less. An ionic compound is a compound (salt) composed of a cation and an anion.
低分子イオン性化合物を構成するアニオンとしては、メチルベンゼンスルホネート(CH3(C6H4)SO3-)、カルボキシベンゼンスルホネート(COOH(C6H4)SO3-)、ベンゾエート(C6H5COO-)、ペルクロラート(ClO4-)、ヒドロキシド(OH-)、トリフルオロアセテート(CF3COO-)、トリフルオロメタンスルホネート(CF3SO2-)、テトラフルオロボレート(BF4-)、テトラベンジルボレート(B(C6H5)4-)、ヘキサフルオロホスフェート(PF6-)、ビス(トリフルオロメタンスルホニル)イミド(N(SO2CF3)2-)、ビス(ペンタフルオロエタンスルホニル)イミド(N(SOC2F5)2-)、ビス(ペンタフルオロエタンカルボニル)イミド(N(COC2F5)2-)、ビス(ペルフルオロブタンスルホニル)イミド(N(SO2C4F9)2-)、ビス(ペルフルオロブタンカルボニル)イミド(N(COC4F9)2-)、トリス(トリフルオロメタンスルホニル)メチド(C(SO2CF3)3-)、およびトリス(トリフルオロメタンカルボニル)メチド(C(SO2CF3)3-)からなる群から選択することができる。ビス(トリフルオロメタンスルホニル)イミドが、帯電防止能に優れる点で好ましい。Examples of anions constituting the low molecular weight ionic compound include methylbenzenesulfonate (CH3 (C6 H4 )SO3− ), carboxybenzenesulfonate (COOH(C6 H4 )SO3− ), benzoate (C6 H5 COO− ), perchlorate (ClO4− ), hydroxide (OH− ), trifluoroacetate (CF3 COO− ), trifluoromethanesulfonate (CF3 SO2− ), tetrafluoroborate (BF4− ), tetra benzylborate (B(C6 H5 )4− ), hexafluorophosphate (PF6− ), bis(trifluoromethanesulfonyl)imide (N(SO2 CF3 )2− ), bis(pentafluoroethanesulfonyl)imide (N(SOC2 F5 )2− ), bis(pentafluoroethanecarbonyl) imide (N(COC2 F5 )2− ), bis(perfluorobutanesulfonyl) imide (N(SO2 C4 F9 )2− ), bis(perfluorobutanecarbonyl)imide (N(COC4 F9 )2− ), tris(trifluoromethanesulfonyl)methide (C(SO2 CF3 )3− ), and tris(trifluoromethanecarbonyl)methide ( C(SO2 CF3 )3− ). Bis(trifluoromethanesulfonyl)imide is preferred because of its excellent antistatic performance.
  有機カチオンまたは無機カチオンとしては、リチウムイオン、ナトリウムイオン、および、カリウムイオン等のアルカリ金属元素イオン類、ならびに、4級アンモニウム系カチオン、4級ホスホニウム系カチオン、イミダゾリウム系カチオン、ピリジニウム系カチオン、および、ピロリジニウム系カチオン等の窒素原子またはリン原子を有する有機オニウムカチオンからなる群から選択することができるが、帯電防止性の観点からマトリクス中の移動度が高くなる分子量の小さいカチオンのほうが良好である。
  なかでも、無機カチオンが好ましく、リチウムイオンがより好ましい。Examples of organic cations or inorganic cations include alkali metal element ions such as lithium ions, sodium ions, and potassium ions, and quaternary ammonium cations, quaternary phosphonium cations, imidazolium cations, pyridinium cations, and , organic onium cations having a nitrogen atom or a phosphorus atom, such as pyrrolidinium-based cations. From the viewpoint of antistatic properties, cations with a small molecular weight that increase the mobility in the matrix are preferable. .
 Among them, inorganic cations are preferred, and lithium ions are more preferred.
  帯電防止剤の添加量としては、光配向層形成用組成物の全固形分量に対して0.5質量%~10質量%が好ましく、1質量%~7質量%がより好ましく、1質量%~5質量%がさらに好ましい。この範囲であると十分な配向ムラの抑制効果が得られ、かつ、重合性液晶組成物の塗膜内における液晶分子の配向状態を無添加の場合と同等に保つことができる。
  なお、固形分とは、溶媒を除いた光配向層を構成する材料を意味し、その性状が液状であっても固形分として計算する。The amount of the antistatic agent added is preferably 0.5% by mass to 10% by mass, more preferably 1% by mass to 7% by mass, and 1% by mass to the total solid content of the composition for forming a photo-alignment layer. 5% by mass is more preferred. Within this range, a sufficient effect of suppressing alignment unevenness can be obtained, and the alignment state of the liquid crystal molecules in the coating film of the polymerizable liquid crystal composition can be maintained at the same level as in the case of no additive.
 In addition, solid content means the material which comprises the photo-alignment layer except a solvent, and even if the property is liquid, it is calculated as solid content.
  (酸クエンチャー)
  本発明で用いる光配向層形成用組成物には必要に応じ、酸クエンチャーを含んでいてもよい。メカニズムは定かでないが、酸クエンチャーを含むことにより、光配向膜形成用組成物中あるいは光配向膜中で経時による物性変化を抑制して安定した配向規制力を発現させることができる。酸クエンチャーとしては低求核性のルイス塩基を用いることができる。(acid quencher)
 The composition for forming a photo-alignment layer used in the present invention may contain an acid quencher, if necessary. Although the mechanism is not clear, the inclusion of the acid quencher suppresses changes in physical properties over time in the composition for forming a photo-alignment film or in the photo-alignment film, and a stable alignment regulating force can be expressed. A low nucleophilic Lewis base can be used as the acid quencher.
  低求核性のルイス塩基としては、含窒素化合物が挙げられ、例えば、アミン化合物(1級アミン化合物、2級アミン化合物、3級アミン化合物)が挙げられる。より具体的には、ジイソプロピルエチルアミン、ジエチルプロピルアミン、および、ベンジルジメチルアミン等の高級3級アミン類、アルキルピペリジン、N、N-ジメチルピペラジン、トリエチレンジアミン、ジアザビシクロウンデセン、および、ジアザビシクロノネン等の環状3級アミン類、アルキル置換イミダゾール等が利用できる。また、系中で生じる(あるはそのように推定されうる)酸成分に比べpKaが高いカチオンを有するオニウム塩類も利用できる。
  なかでも、酸クエンチャーとしては、含窒素化合物が好ましく、アミン化合物がより好ましい。Low nucleophilic Lewis bases include nitrogen-containing compounds such as amine compounds (primary amine compounds, secondary amine compounds, tertiary amine compounds). More specifically, higher tertiary amines such as diisopropylethylamine, diethylpropylamine, and benzyldimethylamine, alkylpiperidine, N,N-dimethylpiperazine, triethylenediamine, diazabicycloundecene, and diazabicyclo Cyclic tertiary amines such as nonene, alkyl-substituted imidazoles, and the like can be used. Also available are onium salts having cations with a higher pKa than the acid component that occurs (or can be assumed to be) in the system.
 Among them, the acid quencher is preferably a nitrogen-containing compound, more preferably an amine compound.
  上述したように、酸クエンチャーとして、オニウム塩を用いることもできる。
  上記オニウム塩を構成するカチオンとしては、アンモニウムカチオン、スルホニウムカチオン、または、ヨードニウムカチオンが挙げられる。
  オニウム塩としては、一般式(d1-1)~(d1-3)で表される化合物が好ましい。As mentioned above, onium salts can also be used as acid quenchers.
 Examples of cations constituting the onium salt include ammonium cations, sulfonium cations, and iodonium cations.
 Preferred onium salts are compounds represented by general formulas (d1-1) to (d1-3).
式中、R51は置換基を有していてもよい炭化水素基であり、Z2cは置換基(例えば、フッ素原子)を有していてもよい炭素数1~30の炭化水素基であり、R52は有機基であり、Y3は直鎖状、分岐鎖状若しくは環状のアルキレン基又はアリーレン基であり、Rfはフッ素原子を含む炭化水素基であり、M+は、それぞれ独立に、アンモニウムカチオン、スルホニウムカチオンまたはヨードニウムカチオンである。In the formula, R51 is a hydrocarbon group which may have a substituent, Z2c is a hydrocarbon group having 1 to 30 carbon atoms which may have a substituent (eg fluorine atom) , R52 is an organic group, Y3 is a linear, branched or cyclic alkylene group or arylene group, Rf is a hydrocarbon group containing a fluorine atom, M+ is each independently ammonium, sulfonium or iodonium cations.
酸クエンチャーの添加量としては、光配向層形成用組成物の全固形分量に対して0.01質量%~1.5質量%であることが好ましく、0.05質量%~1質量%であることがより好ましく、0.15質量%~0.75質量%であることがさらに好ましい。 The amount of the acid quencher added is preferably 0.01% by mass to 1.5% by mass, more preferably 0.05% by mass to 1% by mass, based on the total solid content of the composition for forming a photo-alignment layer. more preferably 0.15% by mass to 0.75% by mass.
光配向層形成用組成物には、さらに各種の添加剤を加えてもよい。こうした添加剤として、酸発生剤(例えば、熱酸発生剤)、UV(紫外線)吸収剤、光配向性基の反応増感剤、レベリング剤、および、低分子量の光反応性基含有化合物等が挙げられる。 Various additives may be further added to the composition for forming a photo-alignment layer. Examples of such additives include acid generators (e.g., thermal acid generators), UV (ultraviolet) absorbers, reaction sensitizers for photoalignment groups, leveling agents, and low-molecular-weight photoreactive group-containing compounds. mentioned.
  <液晶層>
  液晶層3は、液晶化合物を含む重合性液晶組成物を用いて基材1(光配向層2)上に形成された層である。液晶層3は、光配向層2の配向規制力によって、液晶層3となる液晶化合物が配向された状態で硬化させて形成される。そのため、液晶層3は、液晶化合物の配向状態に応じた光学特性を有する。<Liquid crystal layer>
 The
  液晶層3は、少なくともRe(550)が10nm以上の面内位相差を有することができる。好ましくは、Re(550)が100nm~250nmの範囲であり、この範囲であると種々の光学補償フィルムや波長板として利用することができる。より好ましくは、Re(550)が120nm~160nmの範囲であり、この範囲であると、λ/4波長板として利用することができる。
  液晶層3が長尺状に製造されるλ/4波長板の場合には、同じく長尺状に製造される偏光子フィルム(一般的に、吸収軸は長手方向に平行もしくは幅手方向に平行に設けられる)と組み合わせる際に円偏光板を得やすいことから、その遅相軸が基材1の長手方向に対して40°~50°をなしていることが好ましく、45°をなしているのがより好ましい。The
 In the case of a λ/4 wavelength plate in which the
  液晶層3の波長550nmにおける屈折率異方性Δnは、0.03~0.25の範囲が好ましく、0.05~0.20の範囲がより好ましい。この範囲であると、薄い液晶層で目的とする高い位相差を得ることが可能である。また、液晶層3の厚みは屈折率異方性および目的とする位相差値により適宜設定されうるが、典型的には0.5μm~7μmの範囲であり、より好ましくは0.7μm~5μm、さらに好ましくは1.0μm~3.0μmの範囲である。  The refractive index anisotropy Δn of the
  液晶層3の面内位相差Reについて、各波長での面内位相差が、Re(450)<Re(550)<Re(650)の関係を満たしていることが好ましい。
  この関係を満たしていると、広帯域にわたり均一な偏光変換が可能であり、種々の光学補償フィルムや波長板として用いる際に色味付きの少ない良好な性能を発揮することができる。より好ましくは、下記式(1)および(2)の関係を満たしていることが好ましい。このような液晶層は、後述する逆波長分散性の重合性液晶化合物を利用すること等で得ることができる。Regarding the in-plane retardation Re of the
 When this relationship is satisfied, uniform polarization conversion is possible over a wide band, and when used as various optical compensation films or wavelength plates, good performance with little tint can be exhibited. More preferably, it satisfies the relationships of the following formulas (1) and (2). Such a liquid crystal layer can be obtained by using a reverse wavelength dispersion polymerizable liquid crystal compound described later.
    0.6<Re(450)/Re(550)<1.0
    1.0<Re(650)/Re(550)<1.20.6<Re(450)/Re(550)<1.0
 1.0<Re(650)/Re(550)<1.2
  <<重合性液晶組成物>>
  本発明に用いられる重合性液晶組成物は、液晶性を示し、分子内に重合性官能基を有する重合性液晶化合物のほか、その他の重合性化合物、配向安定剤、重合開始剤、および、溶媒等を含んでいてもよい。<<polymerizable liquid crystal composition>>
 The polymerizable liquid crystal composition used in the present invention exhibits liquid crystallinity and includes a polymerizable liquid crystal compound having a polymerizable functional group in the molecule, other polymerizable compounds, an alignment stabilizer, a polymerization initiator, and a solvent. etc. may be included.
  (重合性液晶化合物)
  重合性液晶組成物に含まれる重合性液晶化合物は、屈折率異方性を有し、光配向層2の配向規制力により規則的に配列することにより、所望の位相差性を付与する機能を有する。重合性液晶化合物として、例えば、ネマチック相、スメクチック相等の液晶相を示す材料が挙げられる。また、棒状液晶化合物、円盤状液晶化合物等、種々の構造を有する重合性液晶分子を用いることができる。(Polymerizable liquid crystal compound)
 The polymerizable liquid crystal compound contained in the polymerizable liquid crystal composition has refractive index anisotropy and is regularly aligned by the alignment control force of the photo-
本実施形態において用いられる重合性液晶化合物として、特開平8-050206号公報、特開2007-002220号公報、特開2010-244038号公報、特開2008-019240号公報、特開2013-166879号公報、特開2014-078036号公報、特開2014-198813号公報、特開2011-006360号公報、特開2011-6361号公報、特開2011-207765号公報、特開2008-273925号公報、特開2015-200877号公報に記載された化合物等を使用することができる。相転移温度の調整や重合性液晶化合物の結晶化抑制を行ってより面状に優れた液晶フィルムを得る観点から、複数の異なる重合性液晶化合物を混合して用いることができる。 As the polymerizable liquid crystal compound used in the present embodiment, JP-A-8-050206, JP-A-2007-002220, JP-A-2010-244038, JP-A-2008-019240, JP-A-2013-166879 Publications, JP 2014-078036, JP 2014-198813, JP 2011-006360, JP 2011-6361, JP 2011-207765, JP 2008-273925, Compounds and the like described in JP-A-2015-200877 can be used. A plurality of different polymerizable liquid crystal compounds can be mixed and used from the viewpoint of obtaining a liquid crystal film having a more excellent surface state by adjusting the phase transition temperature and suppressing the crystallization of the polymerizable liquid crystal compound.
本発明の液晶フィルムを波長板等に用いる場合は、重合性液晶化合物として逆波長分散性を有する重合性液晶化合物を用いることができる。逆波長分散性を有する重合性液晶化合物とは、これを用いて作製された位相差層の特定波長(可視光範囲)における位相差、典型的には面内のレターデーション(Re)値を測定した際に、測定波長が大きくなるにつれてRe値が同等または高くなるものをいい、前述のとおり、Re(450)<Re(550)<Re(650)の関係を満たすものをいう。 When the liquid crystal film of the present invention is used as a wave plate or the like, a polymerizable liquid crystal compound having reverse wavelength dispersion can be used as the polymerizable liquid crystal compound. A polymerizable liquid crystal compound having reverse wavelength dispersion is used to measure the retardation at a specific wavelength (visible light range) of the retardation layer produced using this, typically the in-plane retardation (Re) value. When measured, the Re value becomes equal or higher as the measurement wavelength increases, and as described above, it means a substance that satisfies the relationship Re(450)<Re(550)<Re(650).
逆波長分散性の液晶化合物は、例えば、特開2008-297210号公報に記載の一般式(I)で表される化合物(特に、段落番号[0034]~[0039]に記載の化合物)、特開2010-084032号公報に記載の一般式(1)で表される化合物(特に、段落番号[0067]~[0073]に記載の化合物)、後述する一般式(II)で表される液晶化合物等を用いることができる。 Reverse wavelength dispersion liquid crystal compounds are, for example, compounds represented by general formula (I) described in JP-A-2008-297210 (especially compounds described in paragraphs [0034] to [0039]), Compounds represented by the general formula (1) described in JP-A-2010-084032 (in particular, compounds described in paragraph numbers [0067] to [0073]), liquid crystal compounds represented by the general formula (II) described later etc. can be used.
上述した逆波長分散性の液晶化合物は、逆波長分散性により優れるという観点から、下記一般式(II)で表される液晶化合物を含むことが好ましい。 From the viewpoint of being more excellent in reverse wavelength dispersion, the reverse wavelength dispersion liquid crystal compound described above preferably contains a liquid crystal compound represented by the following general formula (II).
L1-G1-D1-Ar-D2-G2-L2 ・・・一般式(II)L1 -G1 -D1 -Ar-D2 -G2 -L2 General formula (II)
  上記一般式(II)中、D1およびD2はそれぞれ独立に、単結合、-O-、-CO-O-、-C(=S)O-、-CR1R2-、-CR1R2-CR3R4-、-O-CR1R2-、-CR1R2-O-CR3R4-、-CO-O-CR1R2-、-O-CO-CR1R2-、-CR1R2-O-CO-CR3R4-、-CR1R2-CO-O-CR3R4-、-NR1-CR2R3-または-CO-NR1-を表す。
  R1、R2、R3およびR4はそれぞれ独立に、水素原子、フッ素原子または炭素数1~4のアルキル基を表す。R1、R2、R3およびR4のそれぞれが複数存在する場合には、複数のR1、複数のR2、複数のR3および複数のR4はそれぞれ、互いに同一でも異なっていてもよい。
  G1およびG2はそれぞれ独立に、炭素数5~8の2価の脂環式炭化水素基を表し、上記脂環式炭化水素基に含まれるメチレン基は、-O-、-S-、または、-NH-で置換されていてもよい。
  L1およびL2はそれぞれ独立に、1価の有機基を表し、L1およびL2からなる群から選ばれる少なくとも1種が、重合性基を有する1価の基を表す。
  Arは、下記一般式(II-1)、一般式(II-2)、一般式(II-3)または一般式(II-4)で表される2価の芳香環基を表す。In the above general formula (II), D1 and D2 are each independently a single bond, -O-, -CO-O-, -C(=S)O-, -CR1 R2 -, -CR1 R2 -CR3 R4 -, -O-CR1 R 2 -, -CR 1 R 2 -O-CR 3 R 4 -, -CO-O-CR 1R 2-,-O-CO- CR1 R2 -, -CR1 R2 -O-CO-CR3 R4 -, -CR1 R2 -CO-O-CR3 R4 -, -NR1 -CR2 R3 - or -CO-NR1 represents -.
 R1 , R2 , R3 and R4 each independently represent a hydrogen atom, a fluorine atom or an alkyl group having 1 to 4 carbon atoms. When there are a plurality of each of R1 , R2 , R3 and R4 , the plurality of R1 s, the plurality of R2 , the plurality of R3 and the plurality of R4 may be the same or different from each other. good.
 G1 and G2 each independently represent a divalent alicyclic hydrocarbon group having 5 to 8 carbon atoms, and the methylene groups contained in the alicyclic hydrocarbon groups are —O—, —S—, Alternatively, it may be substituted with -NH-.
 L1 and L2 each independently represent a monovalent organic group, and at least one selected from the group consisting of L1 and L2 represents a monovalent group having a polymerizable group.
 Ar represents a divalent aromatic ring group represented by the following general formula (II-1), general formula (II-2), general formula (II-3) or general formula (II-4).
  上記一般式(II-1)~(II-4)中、Q1は、-S-、-O-、または-NR11-を表し、
  R11は、水素原子または炭素数1~6のアルキル基を表し、
  Y1は、炭素数6~12の芳香族炭化水素基、または、炭素数3~12の芳香族複素環基を表し(なお、上記芳香族炭化水素基および上記芳香族複素環基は置換基を有していてもよい)、
  Z1、Z2およびZ3はそれぞれ独立に、水素原子または炭素数1~20の脂肪族炭化水素基、炭素数3~20の脂環式炭化水素基、1価の炭素数6~20の芳香族炭化水素基、ハロゲン原子、シアノ基、ニトロ基、-NR12R13または-SR12を表し、
  Z1およびZ2は、互いに結合して芳香環または芳香族複素環を形成してもよく、R12およびR13はそれぞれ独立に、水素原子または炭素数1~6のアルキル基を表し、
  A1およびA2はそれぞれ独立に、-O-、-NR21-、-S-および-CO-からなる群から選ばれる基であって、R21は、水素原子または置換基を表し、Xは、水素原子または置換基が結合していてもよい第14族~第16族の非金属原子(好ましくは、=O、=S、=NR’、=C(R’)R’が挙げられる(ここでR’は置換基を表す))を表し、
  Axは、芳香族炭化水素環および芳香族複素環からなる群から選ばれる少なくとも一つの芳香環を有する、炭素数2~30の有機基を表し、好ましくは、芳香族炭化水素環基;芳香族複素環基;芳香族炭化水素環および芳香族複素環からなる群から選ばれる少なくとも一つの芳香環を有する、炭素数3~20のアルキル基;芳香族炭化水素環および芳香族複素環からなる群から選ばれる少なくとも一つの芳香環を有する、炭素数3~20のアルケニル基;芳香族炭化水素環および芳香族複素環からなる群から選ばれる少なくとも一つの芳香環を有する、炭素数3~20のアルケニル基が挙げられ、
  Ayは、水素原子、置換基を有していてもよい炭素数1~6のアルキル基、または、芳香族炭化水素環および芳香族複素環からなる群から選ばれる少なくとも一つの芳香環を有する炭素数2~30の有機基を表し、この有機基の好適態様は、上記Axの有機基の好適態様と同じであり、
  AxおよびAyにおける芳香環はそれぞれ、置換基を有していてもよく、AxとAyは結合して、環を形成していてもよく、
  Q2は、水素原子、または、置換基を有していてもよい炭素数1~6のアルキル基を表す。
  なお、置換基としては、ハロゲン原子、アルキル基、ハロゲン化アルキル基、アルケニル基、アリール基、シアノ基、アミノ基、ニトロ基、ニトロソ基、カルボキシ基、炭素数1~6のアルキルスルフィニル基、炭素数1~6のアルキルスルホニル基、炭素数1~6のフルオロアルキル基、炭素数1~6のアルコキシ基、炭素数1~6のアルキルスルファニル基、炭素数1~6のN-アルキルアミノ基、炭素数2~12のN,N-ジアルキルアミノ基、炭素数1~6のN-アルキルスルファモイル基、炭素数2~12のN,N-ジアルキルスルファモイル基、またはこれらを組み合わせた基等が挙げられる。In general formulas (II-1) to (II-4) above, Q1 represents -S-, -O-, or -NR11 -,
 R11 represents a hydrogen atom or an alkyl group having 1 to 6 carbon atoms,
 Y1 represents an aromatic hydrocarbon group having 6 to 12 carbon atoms or an aromatic heterocyclic group having 3 to 12 carbon atoms (the above aromatic hydrocarbon group and the above aromatic heterocyclic group are substituents ),
 Z1 , Z2 and Z3 are each independently a hydrogen atom, an aliphatic hydrocarbon group having 1 to 20 carbon atoms, an alicyclic hydrocarbon group having 3 to 20 carbon atoms, a monovalent represents an aromatic hydrocarbon group, a halogen atom, a cyano group, a nitro group, —NR12 R13 or —SR12 ,
 Z1 and Z2 may combine with each other to form an aromatic ring or an aromatic heterocyclic ring, R12 and R13 each independently represent a hydrogen atom or an alkyl group having 1 to 6 carbon atoms,
 A1 and A2 are each independently a group selected from the group consisting of —O—, —NR21 —, —S— and —CO—, wherein R21 represents a hydrogen atom or a substituent, and X is a hydrogen atom or a nonmetallic atom of groups 14 to 16 to which a substituent may be bound (preferably =O, =S, =NR', =C(R')R' (where R ' represents a substituent)),
 Ax represents an organic group having 2 to 30 carbon atoms having at least one aromatic ring selected from the group consisting of an aromatic hydrocarbon ring and an aromatic heterocyclic ring, preferably an aromatic hydrocarbon ring group; A heterocyclic group; an alkyl group having 3 to 20 carbon atoms having at least one aromatic ring selected from the group consisting of an aromatic hydrocarbon ring and an aromatic heterocyclic ring; a group consisting of an aromatic hydrocarbon ring and an aromatic heterocyclic ring An alkenyl group having 3 to 20 carbon atoms having at least one aromatic ring selected from; Alkenyl groups include
 Ay is a hydrogen atom, an optionally substituted alkyl group having 1 to 6 carbon atoms, or a carbon having at least one aromatic ring selected from the group consisting of an aromatic hydrocarbon ring and an aromatic heterocyclic ring represents an organic group of
 each of the aromatic rings in Ax and Ay may have a substituent, and Ax and Ay may combine to form a ring,
 Q2 represents a hydrogen atom or an optionally substituted alkyl group having 1 to 6 carbon atoms.
 The substituents include halogen atoms, alkyl groups, halogenated alkyl groups, alkenyl groups, aryl groups, cyano groups, amino groups, nitro groups, nitroso groups, carboxy groups, alkylsulfinyl groups having 1 to 6 carbon atoms, carbon an alkylsulfonyl group having 1 to 6 carbon atoms, a fluoroalkyl group having 1 to 6 carbon atoms, an alkoxy group having 1 to 6 carbon atoms, an alkylsulfanyl group having 1 to 6 carbon atoms, an N-alkylamino group having 1 to 6 carbon atoms, N,N-dialkylamino group having 2 to 12 carbon atoms, N-alkylsulfamoyl group having 1 to 6 carbon atoms, N,N-dialkylsulfamoyl group having 2 to 12 carbon atoms, or a combination thereof etc.
一般式(II)で表される液晶化合物の各置換基の定義および好ましい範囲については、特開2012-21068号公報に記載の化合物(A)に関するD1、D2、G1、G2、L1、L2、R4、R5、R6、R7、X1、Y1、Q1、Q2に関する記載をそれぞれD1、D2、G1、G2、L1、L2、R1、R2、R3、R4、Q1、Y1、Z1、およびZ2について参照でき、特開2008-107767号公報に記載の一般式(I)で表される化合物についてのA1、A2、およびXに関する記載をそれぞれA1、A2、およびXについて参照でき、国際公開第2013/018526号に記載の一般式(I)で表される化合物についてのAx、Ay、Q1に関する記載をそれぞれAx、Ay、Q2について参照できる。Z3については特開2012-21068号公報に記載の化合物(A)に関するQ1の記載を参照できる。For the definition and preferred range of each substituent of the liquid crystal compound represented by general formula (II), D1 , D2 , G1 , G2 , The descriptions of L1 , L2 , R4 , R5 , R6 , R7 , X1 , Y1 , Q1 and Q2 are respectively D1 , D2 , G1 , G2 , L1 and L2 , R1 , R2 , R3 , R4 , Q1 , Y1 , Z1 , and Z2 , and for compounds represented by general formula (I) described in JP-A-2008-107767 A1 , A2 , and X can be referred to for A1 , A2 , and X, respectively, and Ax, Ay for compounds represented by general formula (I) described in WO 2013/018526 , Q1 can be referred to for Ax, Ay, Q2 respectively. For Z3 , the description of Q1 regarding compound (A) described in JP-A-2012-21068 can be referred to.
  特に、L1、L2で示される有機基としては、それぞれ、特に、-D3-G3-Sp-P3で表される基であることが好ましい。
  D3は、D1と同義である。
  G3は、単結合、炭素数6~12の2価の芳香環基もしくは複素環基、または炭素数5~8の2価の脂環式炭化水素基を表し、上記脂環式炭化水素基に含まれるメチレン基は、-O-、-S-、または、-NR7-で置換されていてもよく、ここでR7は水素原子または炭素数1~6のアルキル基を表す。
  Spは、単結合、-(CH2)n-、-(CH2)n-O-、-(CH2-O-)n-、-(CH2CH2-O-)m、-O-(CH2)n-、-O-(CH2)n-O-、-O-(CH2-O-)n-、-O-(CH2CH2-O-)m、-C(=O)-O-(CH2)n-、-C(=O)-O-(CH2)n-O-、-C(=O)-O-(CH2-O-)n-、-C(=O)-O-(CH2CH2-O-)m、-C(=O)-N(R8)-(CH2)n-、-C(=O)-N(R8)-(CH2)n-O-、-C(=O)-N(R8)-(CH2-O-)n-、-C(=O)-N(R8)-(CH2CH2-O-)m、-(CH2)n-O-(C=O)-(CH2)n-C(=O)-O-(CH2)n-で表されるスペーサー基を表す。ここで、nは2~12の整数を表し、mは2~6の整数を表し、R8は水素原子または炭素数1~6のアルキル基を表す。また、上記各基における-CH2-の水素原子は、メチル基で置換されていてもよい。
  P3は重合性基を示す。In particular, the organic groups represented by L1 and L2 are each preferably a group represented by -D3 -G3 -Sp-P3 .
D3 issynonymous with D1.
 G3 represents a single bond, a divalent aromatic or heterocyclic group having 6 to 12 carbon atoms, or a divalent alicyclic hydrocarbon group having 5 to 8 carbon atoms, and the above alicyclic hydrocarbon group The methylene group contained in may be substituted with —O—, —S—, or —NR7 —, where R7 represents a hydrogen atom or an alkyl group having 1 to 6 carbon atoms.
 Sp is a single bond, -(CH2 )n -, -(CH2 )n -O-, -(CH2 -O-)n -, -(CH2 CH2 -O-)m , -O- (CH2 )n —, —O—(CH2 )n —O—, —O—(CH2 —O—)n —, —O—(CH2 CH2 —O—)m , —C(= O)-O-(CH2 )n -, -C(=O)-O-(CH2 )n -O-, -C(=O)-O-(CH2 -O-)n -,- C(=O)-O-(CH2 CH2 -O-)m , -C(=O)-N(R8 )-(CH2 )n -, -C(=O)-N(R8 )-(CH2 )n -O-, -C(=O)-N(R8 )-(CH2 -O-)n -, -C(=O)-N(R8 )-(CH2 a spacer group represented by CH2 —O—)m , —(CH2 )n —O—(C=O)—(CH2 )n —C(=O)—O—(CH2 )n — show. Here, n represents an integer of 2 to 12, m represents an integer of 2 to 6, and R8 represents a hydrogen atom or an alkyl group having 1 to 6 carbon atoms. Also, the hydrogen atom of —CH2 — in each of the above groups may be substituted with a methyl group.
P3 represents a polymerizable group.
  重合性基は、特に限定されないが、ラジカル重合またはカチオン重合可能な重合性基が好ましい。
  ラジカル重合性基としては、一般に知られているラジカル重合性基を用いることができ、好適なものとして、アクリロイル基またはメタクリロイル基を挙げることができる。この場合、重合速度はアクリロイル基が一般的に速いことが知られており、生産性向上の観点からアクリロイル基が好ましいが、メタクリロイル基も高複屈折性液晶の重合性基として同様に使用することができる。
  カチオン重合性基としては、一般に知られているカチオン重合性を用いることができ、具体的には、脂環式エーテル基、環状アセタール基、環状ラクトン基、環状チオエーテル基、スピロオルソエステル基、および、ビニルオキシ基を挙げることができる。中でも、脂環式エーテル基、ビニルオキシ基が好適であり、エポキシ基、オキセタニル基、ビニルオキシ基が特に好ましい。
  特に好ましい重合性基の例としては下記が挙げられる。The polymerizable group is not particularly limited, but is preferably a polymerizable group capable of radical polymerization or cationic polymerization.
 As the radically polymerizable group, generally known radically polymerizable groups can be used, and acryloyl groups and methacryloyl groups can be mentioned as suitable groups. In this case, it is known that acryloyl groups generally have a high polymerization rate, and acryloyl groups are preferable from the viewpoint of improving productivity. can be done.
 As the cationically polymerizable group, generally known cationically polymerizable groups can be used. Specifically, alicyclic ether groups, cyclic acetal groups, cyclic lactone groups, cyclic thioether groups, spiroorthoester groups, and , a vinyloxy group. Among them, an alicyclic ether group and a vinyloxy group are preferable, and an epoxy group, an oxetanyl group and a vinyloxy group are particularly preferable.
 Examples of particularly preferred polymerizable groups include the following.
なお、本明細書において、「アルキル基」は、直鎖状、分枝鎖状、または環状のいずれでもよく、例えば、メチル基、エチル基、n-プロピル基、イソプロピル基、n-ブチル基、イソブチル基、sec-ブチル基、tert-ブチル基、n-ペンチル基、イソペンチル基、ネオペンチル基、1,1-ジメチルプロピル基、n-ヘキシル基、イソヘキシル基、シクロプロピル基、シクロブチル基、シクロペンチル基、および、シクロヘキシル基等が挙げられる。 In this specification, the "alkyl group" may be linear, branched, or cyclic, and examples thereof include methyl, ethyl, n-propyl, isopropyl, n-butyl, isobutyl group, sec-butyl group, tert-butyl group, n-pentyl group, isopentyl group, neopentyl group, 1,1-dimethylpropyl group, n-hexyl group, isohexyl group, cyclopropyl group, cyclobutyl group, cyclopentyl group, and a cyclohexyl group and the like.
一般式(II)で表される液晶化合物の好ましい例を以下に示すが、これらの液晶化合物に限定されるものではない。 Preferred examples of the liquid crystal compound represented by formula (II) are shown below, but the liquid crystal compound is not limited to these.
なお、上記式中、「*」は結合位置を表す。 In addition, in the above formula, "*" represents a bonding position.
上述した逆波長分散性の重合性液晶化合物は、相転移温度の調節や波長分散性の度合いを制御すること、また、膜質を制御することを目的に、異なる重合性液晶化合物を併用することが好ましい。併用する重合性液晶化合物としては特に制限はなく、公知の重合性液晶化合物、および、上述した逆波長分散性の重合性液晶化合物の異なる種類同士を組み合わせることができる。液晶性を有する化合物を複数種使用することで、析出性を抑制することができる。3種類以上の液晶を混合することが好ましく、5種類以上の液晶を混合することがより好ましい。 The reverse wavelength dispersion polymerizable liquid crystal compound described above can be used in combination with different polymerizable liquid crystal compounds for the purpose of adjusting the phase transition temperature, controlling the degree of wavelength dispersion, and controlling the film quality. preferable. The polymerizable liquid crystal compound to be used in combination is not particularly limited, and different kinds of known polymerizable liquid crystal compounds and the reverse wavelength dispersion polymerizable liquid crystal compounds described above can be combined. Precipitation can be suppressed by using a plurality of types of compounds having liquid crystallinity. It is preferable to mix three or more kinds of liquid crystals, and it is more preferable to mix five or more kinds of liquid crystals.
  (その他の重合性化合物)
  重合性液晶組成物に含まれる重合性化合物としては、好ましくは、非液晶性の多官能重合性化合物を有することができる。こうした非液晶性多官能重合性化合物として、公知の多価アルコール類と(メタ)アクリル酸のエステル化合物類を挙げることができる。これらの化合物の添加により重合性液晶組成物の流動性が増してレベリングが促進されるため、より位相差ムラの少ない液晶層3を得ることができる。加えて、その重合性官能基数を調整することにより液晶層3の湿熱耐久性の向上や、耐傷性や膜強度を高めることもできる。(Other polymerizable compounds)
 As the polymerizable compound contained in the polymerizable liquid crystal composition, a non-liquid crystal polyfunctional polymerizable compound can be preferably included. Examples of such non-liquid crystalline polyfunctional polymerizable compounds include known ester compounds of polyhydric alcohols and (meth)acrylic acid. Addition of these compounds increases the fluidity of the polymerizable liquid crystal composition and promotes leveling, so that the
(配向安定剤)
  重合性液晶組成物は、配向安定剤を含んでいてもよい。配向安定剤の使用により、種々のかく乱要因が抑制されて液晶性化合物の配向が安定化され位相差ムラの少ない液晶層3を得ることができる。また、配向安定剤の構造を適切に選ぶことにより、液晶層の配向を水平配向、垂直配向、ハイブリッド配向、コレステリック配向等の任意の配向に調整できる。配向安定化とレベリングの両立の観点から、特に好ましくは、フルオロ脂肪族を側鎖に有するアクリル重合体(特開2008-257205号公報の段落0022~0063、特開2006-91732号公報の段落0017~0124に記載)を添加することができる。(Orientation stabilizer)
 The polymerizable liquid crystal composition may contain an alignment stabilizer. By using an alignment stabilizer, various disturbing factors are suppressed, the alignment of the liquid crystalline compound is stabilized, and the
(重合開始剤)
  液晶層を形成する重合性液晶組成物は、重合開始剤を含んでいてもよい。
  使用する重合開始剤は、紫外線照射によって重合反応を開始可能な光重合開始剤であるのが好ましい。
  光重合開始剤としては、例えば、α-カルボニル化合物(米国特許第2367661号、同2367670号の各明細書記載)、アシロインエーテル(米国特許第2448828号明細書記載)、α-炭化水素置換芳香族アシロイン化合物(米国特許第2722512号明細書記載)、多核キノン化合物(米国特許第3046127号、同2951758号の各明細書記載)、トリアリールイミダゾールダイマーとp-アミノフェニルケトンとの組み合わせ(米国特許第3549367号明細書記載)、アクリジンおよびフェナジン化合物(特開昭60-105667号公報、米国特許第4239850号明細書記載)およびオキサジアゾール化合物(米国特許第4212970号明細書記載)、アシルフォスフィンオキシド化合物(特公昭63-40799号公報、特公平5-29234号公報、特開平10-95788号公報、特開平10-29997号公報記載)等が挙げられる。(Polymerization initiator)
 The polymerizable liquid crystal composition forming the liquid crystal layer may contain a polymerization initiator.
 The polymerization initiator used is preferably a photopolymerization initiator capable of initiating the polymerization reaction by irradiation with ultraviolet rays.
 Examples of photopolymerization initiators include α-carbonyl compounds (described in US Pat. Nos. 2,367,661 and 2,367,670), acyloin ethers (described in US Pat. No. 2,448,828), and α-hydrocarbon-substituted aromatic compounds. group acyloin compounds (described in US Pat. No. 2,722,512), polynuclear quinone compounds (described in US Pat. No. 3549367), acridine and phenazine compounds (Japanese Patent Application Laid-Open No. 60-105667, US Pat. No. 4,239,850) and oxadiazole compounds (US Pat. No. 4,212,970), acylphosphine Oxide compounds (described in JP-B-63-40799, JP-B-5-29234, JP-A-10-95788, JP-A-10-29997) and the like.
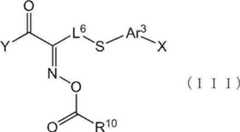
本発明においては、液晶層の耐久性がより良好となる理由から、重合開始剤がオキシム型の重合開始剤(米国特許第5496482号明細書記載)であるのが好ましく、具体的には、下記式(III)で表される重合開始剤であるのがより好ましい。 In the present invention, the polymerization initiator is preferably an oxime-type polymerization initiator (described in U.S. Pat. No. 5,496,482) because the durability of the liquid crystal layer is improved. A polymerization initiator represented by formula (III) is more preferred.
  ここで、上記式(III)中、Xは、水素原子またはハロゲン原子を表し、Yは、1価の有機基を表す。
  また、Ar3は、2価の芳香族基を表し、L6は、炭素数1~12の2価の有機基を表し、R10は、炭素数1~12のアルキル基を表す。Here, in the above formula (III), X represents a hydrogen atom or a halogen atom, and Y represents a monovalent organic group.
 Ar3 represents a divalent aromatic group, L6 represents a divalent organic group having 1 to 12 carbon atoms, and R10 represents an alkyl group having 1 to 12 carbon atoms.
  上記式(III)中、Xが示すハロゲン原子としては、例えば、フッ素原子、塩素原子、臭素原子、ヨウ素原子等が挙げられ、なかでも、塩素原子であるのが好ましい。
  また、上記式(III)中、Ar3が示す2価の芳香族基としては、上記式(II)中のAr2として例示した芳香族炭化水素環および芳香族複素環からなる群から選ばれる少なくとも1つの芳香環を有する2価の基等が挙げられる。
  また、上記式(III)中、L6が示す炭素数1~12の2価の有機基としては、例えば、炭素数1~12の直鎖状もしくは分岐状のアルキレン基が挙げられ、具体的には、メチレン基、エチレン基、プロピレン基等が好適に挙げられる。
  また、上記式(III)中、R10が示す炭素数1~12のアルキル基としては、具体的には、例えば、メチル基、エチル基、および、プロピル基等が好適に挙げられる。
  また、上記式(III)中、Yが示す1価の有機基としては、例えば、ベンゾフェノン骨格((C6H5)2CO)を含む官能基が挙げられる。具体的には、下記式(2a)および下記式(2b)で表される基のように、末端のベンゼン環が無置換または1置換であるベンゾフェノン骨格を含む官能基が好ましい。In the above formula (III), the halogen atom represented by X includes, for example, a fluorine atom, a chlorine atom, a bromine atom, an iodine atom, etc. Among them, a chlorine atom is preferred.
 In the above formula (III), the divalent aromatic group represented by Ar3 is selected from the group consisting of the aromatic hydrocarbon rings and aromatic heterocycles exemplified as Ar2 in the above formula (II). A divalent group having at least one aromatic ring and the like are included.
 In the above formula (III), the divalent organic group having 1 to 12 carbon atoms represented by L6 includes, for example, a linear or branched alkylene group having 1 to 12 carbon atoms. preferably includes a methylene group, an ethylene group, a propylene group, and the like.
 Further, in the above formula (III), specific examples of the alkyl group having 1 to 12 carbon atoms represented by R10 preferably include a methyl group, an ethyl group, and a propyl group.
 In the above formula (III), the monovalent organic group represented by Y includes, for example, a functional group containing a benzophenone skeleton ((C6 H5 )2 CO). Specifically, a functional group containing a benzophenone skeleton having an unsubstituted or monosubstituted terminal benzene ring, such as groups represented by the following formulas (2a) and (2b), is preferred.
ここで、上記式(3a)および上記式(3b)中、*は結合位置、すなわち、上記式(III)におけるカルボニル基の炭素原子との結合位置を表す。 Here, in the above formulas (3a) and (3b), * represents the bonding position, that is, the bonding position with the carbon atom of the carbonyl group in the above formula (III).
上記式(III)で表されるオキシム型の重合開始剤としては、例えば、下記式S-1で表される化合物や、下記式S-2で表される化合物等が挙げられる。 Examples of the oxime-type polymerization initiator represented by the formula (III) include compounds represented by the following formula S-1 and compounds represented by the following formula S-2.
本発明においては、上記重合開始剤の含有量は特に限定されないが、重合開始剤の含有量は、本発明の重合性液晶組成物に含まれる液晶化合物100質量部に対して、0.1質量部~10質量部であることが好ましく、0.2質量部~1質量部であることがより好ましい。 In the present invention, the content of the polymerization initiator is not particularly limited. parts to 10 parts by mass, more preferably 0.2 parts to 1 part by mass.
(溶媒)
  重合性液晶組成物は、液晶層を形成する作業性等の観点から、有機溶媒を含むのが好ましい。
  有機溶媒としては、具体的には、例えば、ケトン類(例えば、アセトン、2-ブタノン、メチルエチルケトン、メチルイソブチルケトン、シクロヘキサノン、シクロペンタノン等)、エーテル類(例えば、ジオキサン、テトラヒドロフラン等)、脂肪族炭化水素類(例えば、ヘキサン等)、脂環式炭化水素類(例えば、シクロヘキサン等)、芳香族炭化水素類(例えば、トルエン、キシレン、トリメチルベンゼン等)、ハロゲン化炭素類(例えば、ジクロロメタン、ジクロロエタン、ジクロロベンゼン、クロロトルエン等)、エステル類(例えば、酢酸メチル、酢酸エチル、酢酸ブチル等)、水、アルコール類(例えば、エタノール、イソプロパノール、ブタノール、シクロヘキサノール等)、セロソルブ類(例えば、メチルセロソルブ、エチルセロソルブ等)、セロソルブアセテート類、スルホキシド類(例えば、ジメチルスルホキシド等)、アミド類(例えば、ジメチルホルムアミド、ジメチルアセトアミド等)等が挙げられ、これらを1種単独で用いてもよく、2種以上を併用してもよい。(solvent)
 The polymerizable liquid crystal composition preferably contains an organic solvent from the viewpoint of workability for forming a liquid crystal layer.
 Specific examples of organic solvents include ketones (eg, acetone, 2-butanone, methyl ethyl ketone, methyl isobutyl ketone, cyclohexanone, cyclopentanone, etc.), ethers (eg, dioxane, tetrahydrofuran, etc.), aliphatic Hydrocarbons (e.g., hexane, etc.), alicyclic hydrocarbons (e.g., cyclohexane, etc.), aromatic hydrocarbons (e.g., toluene, xylene, trimethylbenzene, etc.), halogenated carbons (e.g., dichloromethane, dichloroethane, etc.) , dichlorobenzene, chlorotoluene, etc.), esters (e.g., methyl acetate, ethyl acetate, butyl acetate, etc.), water, alcohols (e.g., ethanol, isopropanol, butanol, cyclohexanol, etc.), cellosolves (e.g., methyl cellosolve , ethyl cellosolve, etc.), cellosolve acetates, sulfoxides (e.g., dimethylsulfoxide, etc.), amides (e.g., dimethylformamide, dimethylacetamide, etc.). The above may be used in combination.
重合性液晶性組成物中の溶媒量は、組成物全量に対して50質量%~90質量%の間であることが好ましく、60質量%~85質量%の範囲がさらに好ましい。この範囲であると、優れたレベリング性を示しかつ適度な粘度を有することで外的要因のかく乱を受けにくくなり、膜厚ムラに起因する膜厚変動を効果的に抑制できる。 The amount of solvent in the polymerizable liquid crystalline composition is preferably between 50% and 90% by mass, more preferably between 60% and 85% by mass, relative to the total amount of the composition. Within this range, the film exhibits excellent leveling properties and has an appropriate viscosity, so that it is less likely to be disturbed by external factors, and film thickness variations due to film thickness unevenness can be effectively suppressed.
(その他の成分)
  重合性液晶組成物は、上記以外の他の成分を含有してもよく、例えば、可塑剤、紫外線吸収剤、色素、ラジカルクエンチャー等が挙げられる。(other ingredients)
 The polymerizable liquid crystal composition may contain components other than those mentioned above, and examples thereof include plasticizers, ultraviolet absorbers, dyes, radical quenchers, and the like.
〔液晶フィルムの製造方法〕
  本発明の液晶フィルムの製造方法は特に制限されず、公知の方法が挙げられる。
  典型的には、
  透明基材上に直接、または、必要に応じ機能層を介して、上記光配向層形成用組成物を塗布して塗膜を形成し、得られた塗膜に偏光照射を行うことで配向規制力を付与し光配向膜を得る工程、
  得られた光配向膜上に上記重合性液晶組成物を塗布して塗膜を形成し、得られた塗膜に対して硬化処理(活性エネルギー線の照射(光照射処理)および/または加熱処理)を施す工程、
  をこの順に行うことにより、本発明の液晶フィルムを製造できる。これらの工程を生産性良く実施し、高品質かつ均一な液晶フィルムを得るためには、ロールトゥロールプロセスを適用し、長尺状の透明基材に一連の工程を連続的に行い長尺状の液晶フィルムを製造することが好ましい。[Method for producing liquid crystal film]
 The method for producing the liquid crystal film of the present invention is not particularly limited, and includes known methods.
 Typically,
 The composition for forming a photo-alignment layer is applied directly onto a transparent substrate or, if necessary, via a functional layer to form a coating film, and the resulting coating film is irradiated with polarized light to regulate the alignment. a step of applying a force to obtain a photo-alignment film;
 The polymerizable liquid crystal composition is applied on the obtained photo-alignment film to form a coating film, and the resulting coating film is subjected to curing treatment (irradiation of active energy rays (light irradiation treatment) and / or heat treatment ),
 are performed in this order, the liquid crystal film of the present invention can be produced. In order to carry out these processes with good productivity and obtain a high-quality and uniform liquid crystal film, a roll-to-roll process is applied, and a series of processes are continuously performed on a long transparent substrate to form a long transparent substrate. It is preferable to produce a liquid crystal film of
  図2は、本発明の液晶フィルムの製造方法を実施するロールトゥロール製造装置を模式的に表した図である。
  図2に示す製造装置30は、回転軸60と、塗布部32と、加熱部33と、光源34と、バックアップロール38と、塗布部35と、加熱部36と、光源37と、巻取り軸62とを有する。
  この製造装置30は、基材1を長手方向に所定の搬送経路で搬送しつつ、光配向層2および液晶層3を順に形成するものである。FIG. 2 is a diagram schematically showing a roll-to-roll manufacturing apparatus for carrying out the liquid crystal film manufacturing method of the present invention.
 This
  回転軸60は、基材1を巻回した基材ロール31を装填するものである。また、巻取り軸62は、光配向層2および液晶層3形成後の基材1を巻き取る、公知の長尺物の巻取り軸である。バックアップロール38は、光配向層2の形成(光照射)の際に長尺基材1を裏面側から支持するバックアップロールである。  The rotating
  塗布部32は、光配向層2となる塗工液を基材1上に塗工(塗布)する部位である。また、塗布部35は、液晶層3となる塗布液を基材1上に形成された光配向層2の上に塗布する部位である。
  塗布部32および塗布部35における塗布方法としては限定はなく、それぞれ光配向層2および液晶層3を所望の厚みに塗布可能な塗布方法を用いればよい。したがって、ダイコート法、ディップコート法、エアーナイフコート法、カーテンコート法、ローラーコート法、ワイヤーバーコート法、グラビアコート法、および、スライドコート法等の公知の塗布方法が、全て利用可能である。
  中でも、非接触で塗布液を塗布できるので基材1の表面を損傷しない、ビードの形成により基材1の表面の凹凸等の包埋性に優れる、等の理由で、ダイコート法は、好適に利用される。The
 The coating method for the
 Among them, the die coating method is preferable because the coating liquid can be applied in a non-contact manner, so that the surface of the
  加熱部33および加熱部36はそれぞれ、基材1上に塗布された光配向層2となる塗工液層、または、液晶層3となる塗布液層を加熱して乾燥する部位である。
  加熱部33および加熱部36による乾燥方法には、限定はなく、塗工液層または塗布液層を乾燥して有機溶剤の除去等を行って、架橋が可能な状態にできるものであれば、公知の乾燥手段が全て利用可能である。一例として、ヒータによる加熱乾燥、温風による加熱乾燥等が例示される。The
 The drying method by the
  光源34および光源37はそれぞれ、乾燥後の塗工液層または塗布液層に紫外線あるいは可視光等を照射して、塗工液層、塗布液層に含まれるモノマー等の有機化合物を架橋して硬化し、光配向層2または液晶層3とするものである。
  光源が照射する光の波長は塗工液に含まれる材料、塗布液に含まれる材料等に応じて設定すればよい。光源としては設定した波長の光を照射可能なものであれば限定はなく、液晶フィルムの製造装置で用いられる公知の光源が適宜利用可能である。The
 The wavelength of the light emitted by the light source may be set according to the material contained in the coating liquid, the material contained in the coating liquid, and the like. The light source is not limited as long as it can irradiate light of a set wavelength, and known light sources used in liquid crystal film manufacturing apparatuses can be used as appropriate.
  なお、製造装置30は、図示した部材以外にも、搬送ローラ、基材1の幅方向の位置を規制するガイド部材、各種のセンサ、および、除電装置等、長尺状の基材を搬送しつつ、液晶層を形成する公知の装置に設けられる各種の部材を有していてもよい。  In addition to the illustrated members, the
  次に、図2に示した製造装置30で実施される本発明の液晶フィルムの製造方法の各工程について説明する。
  まず、準備工程として、厚さ10μm~25μmの透明基材1を巻き回した基材ロール31を準備する。
  基材ロール31を回転軸60にセットし、基材ロール31から基材1を引き出して回転軸60から巻取り軸62に至る所定の搬送経路に通される。Next, each step of the manufacturing method of the liquid crystal film of the present invention performed by the
 First, as a preparation step, a
 The
  また、予め準備した、光配向層2となる光配向層形成用組成物を塗布部32に供給する。同様に、予め準備した、液晶層3となる重合性液晶組成物を塗布部35に供給する。  Moreover, the composition for forming the photo-
  製造装置30において、基材ロール31からの基材1の送り出しと、巻取り軸62における液晶層3形成済みの基材1の巻取りとを同期して行って、基材1を所定の搬送経路で長手方向に搬送しつつ、光配向層2の形成(配向工程)、液晶層3の形成(塗布工程、液晶層形成工程)を連続的に行なう。  In the
  製造装置30において、配向工程を実施することで光配向層2が形成される。
  具体的には、基材1の搬送経路の途中に配置された塗布部32が、光配向層2となる塗工液を基材1に塗工する。次に、塗布部32の下流側に配置された加熱部33が、塗工された光配向層2となる塗工液層を加熱、乾燥する。次に、加熱部33の下流側に配置された光源34が、直線偏光した紫外線を照射して塗工液層を硬化させ、これにより光配向層2を形成する。この際、光源34からの露光はバックアップロール38を用いてウェブが振動しないようにされている。The photo-
 Specifically, the
  次に、塗布工程として、光源34の下流側に配置された塗布部35が、液晶層3となる塗布液を基材1(光配向層2)の上に塗布する。
  次に、液晶層形成工程として、塗布部35の下流側に配置された加熱部36が、塗布された液晶層3となる塗布液層を加熱、乾燥する。必要に応じ、さらに加熱や冷却を行って、重合性液晶性組成物に含まれる液晶化合物の配向を促進したり、配向状態を調整したりすることができる。Next, as a coating step, the
 Next, as a liquid crystal layer forming step, the
これら一連の工程のうち、搬送ロールからの脱離部や、塗布ビードが接触するエリアの前後に除電装置を設け、透明基材や光配向膜の表面電位を制御することができる。こうした処置は防爆安全性を高めるために一般に行われ得る範囲として行われ得るものであるが、ウェブの帯電を抑制することは、本発明の配向ムラ抑制効果をさらに高めるため、適宜除電装置の設置場所や除電にかかる各種条件を調整することができる。 Among these series of steps, the surface potential of the transparent base material and the photo-alignment film can be controlled by providing static eliminators before and after the separation part from the transport roll and the area where the coating bead contacts. Such measures can be carried out as a range that can be generally carried out in order to improve explosion-proof safety. It is possible to adjust the location and various conditions for static elimination.
  さらに、加熱部36の下流側に配置された光源37が紫外線を照射し、光配向層2の配向規制力により液晶化合物を配向させた状態で硬化させ、液晶層3を形成する。ここで、光源37による紫外線の照射においては、液晶層3となる塗布液層の側から実行され、これにより塗布液層に効率良く紫外線を照射して液晶層3を形成することができる。紫外線の照射にあたっては、窒素で雰囲気を置換してもよい。  Furthermore, the
  次に、巻取り工程として、光配向層2および液晶層3が形成された基材1、すなわち、液晶フィルム10は、巻取り軸62に巻き取られる。
  巻き取られた液晶フィルムロール39は、必要に応じて次の工程に供される。Next, as a winding step, the
 The wound liquid
  なお、図2に示す例では、光配向層2と液晶層3とを1回の搬送経路中で連続的に形成する構成としたが、これに限定はされず、光配向層2と液晶層3とは別の製造装置でそれぞれ形成される構成としてもよい。  In the example shown in FIG. 2, the photo-
  ここで、前述のとおり、基材ロールから基材を送り出す際、搬送ロールから基材が離脱する際等に剥離帯電が生じる。特に透明基材1が薄いと、基材同士あるいは基材とロールとが張り付きやすくなるため、基材1の剥離時に、剥離帯電が生じやすくなる。また、基材が薄手になると、除電の効果が限定的なものとなり、局所的な帯電が残りやすくなるため、光配向層の配向あるいは重合性液晶組成物中の液晶分子の配向が、残存帯電による電場の影響を受けて乱れてしまうことで微細な配向ムラが誘起されてしまう。  Here, as described above, separation electrification occurs when the substrate is delivered from the substrate roll, when the substrate is separated from the transport roll, or the like. In particular, when the
これに対して、本発明の液晶フィルムは、光配向層を形成するための光配向層形成用組成物が帯電防止剤を含有するものである。これにより、基材の帯電による微細な配向ムラの発生を抑制して、薄手の基材でも配向ムラの無い均一な配向状態を得ることができる。 In contrast, in the liquid crystal film of the present invention, the composition for forming a photo-alignment layer contains an antistatic agent. As a result, it is possible to suppress the occurrence of fine alignment unevenness due to electrification of the base material, and to obtain a uniform alignment state without alignment unevenness even with a thin base material.
〔光学部品〕
  本発明の液晶フィルムは、偏光子と組み合わせることにより、各種表示装置に用いることができる光学部品(例えば、偏光板)として利用することができる。組合せにおいては各種の接着剤を利用して貼合することができる。このような接着剤としては、例えば紫外線硬化性樹脂、熱硬化性樹脂、および、感圧性接着剤等を例示することができる。[Optical parts]
 By combining with a polarizer, the liquid crystal film of the present invention can be used as an optical component (for example, a polarizing plate) that can be used in various display devices. In combination, various adhesives can be used for lamination. Examples of such adhesives include ultraviolet curable resins, thermosetting resins, and pressure-sensitive adhesives.
<偏光板>
  本発明の偏光板は、上述した液晶フィルムと、偏光子とを有する。
  図3は、本発明の偏光板の一例を示す模式図である。
  図3に示す偏光板20は、液晶フィルム10と、液晶フィルム10の透明基材1側に積層される偏光子21とを有する。<Polarizing plate>
 The polarizing plate of the present invention has the liquid crystal film described above and a polarizer.
 FIG. 3 is a schematic diagram showing an example of the polarizing plate of the present invention.
 A
  このように、本発明の液晶フィルムと偏光子とを積層することにより、偏光板20を構成することができる。例えば、偏光板20を円偏光板として構成する場合、本発明の液晶フィルムの面内位相差Re(550)は120nm~160nmの範囲が好ましく、130nm~150nmの範囲がより好ましい。また、本発明の液晶フィルムの遅相軸を、直線偏光板の吸収軸と40°~50°で交差するように配置するのが好ましい。より好ましくは、液晶フィルムの遅相軸と、直線偏光板の吸収軸とが45°となるよう配置する。本発明の液晶フィルムが長尺状である場合、液晶フィルムの遅相軸を、搬送方向に対して45°とし、幅方向に吸収軸を有する長尺状偏光子21、もしくは、搬送方向に吸収軸を有する長尺状偏光子21と積層することで長尺状の円偏光板を生産性良く製造することができる。加えて、本発明の液晶フィルムが上述の式(1)および式(2)を満たすことにより、本発明の円偏光板は広帯域で均一な円偏光を与える円偏光板として利用することができる。  Thus, the
本発明の偏光板の構成は上記に限定されることはなく、本発明の液晶フィルムの遅相軸と偏光子の吸収軸を直交または平行に配置し、面内位相差Re(550)や厚み方向位相差Rth(550)、波長分散性を種々制御することで、各種の光学補償フィルムとしても利用することができる。 The structure of the polarizing plate of the present invention is not limited to the above. By variously controlling the directional retardation Rth(550) and wavelength dispersion, it can be used as various optical compensation films.
  本発明の偏光板に用いる偏光子21は、典型的には、偏光子としての機能を担う光学機能層と、必要に応じ保護フィルムとから構成される。ここで保護フィルムの材料としては、TAC(トリアセチルセルロース)、ポリ(メタ)アクリル酸メチルおよびその共重合体等のアクリル樹脂、エポキシ化合物、(メタ)アクリレート化合物等の架橋重合体樹脂、シクロオレフィン樹脂、ポリカーボネート樹脂等の樹脂、ならびに、硝子等を適用することができる。典型的には、一対の保護フィルムによって延伸PVAにヨウ素を吸着させた光学機能層を挟み、接着層を介して積層したものが利用できる。  The
  本発明の偏光板を構成する際、液晶フィルムの基材を係る保護フィルムとして使用し、光学機能層(偏光子)、透明基材1、光配向層2、液晶層3の順に積層されるようにしてもよい。光学機能層は、典型的には上述のようにポリビニルアルコール(PVA)によるフィルム材にヨウ素化合物分子を吸着配向させて作製されるが、その他にヨウ素化合物分子に代えて有機二色性色素を用いたフィルム、有機二色性色素を液晶組成物中に配合して配向させた層、液晶性有機二色性色素を配向させた層等を用いてもよい。積層に係る接着層(図示せず)は先述した各種公知の接着剤を利用することができる。  When constructing the polarizing plate of the present invention, the substrate of the liquid crystal film is used as a protective film, and the optical function layer (polarizer), the
  本発明の偏光板は、さらに、波長550nmにおける厚み方向のレターデーション(Rth(550))が-150nm~-50nmであるポジティブCプレートを含んでいてもよい。ポジティブCプレートを含むことにより、表示装置の斜視方向の光漏れおよび色味付きをさらに抑制することができる。
  ポジティブCプレートの波長550nmにおける厚み方向のレターデーション(Rth(550))は、-150nm~-50nmであり、-130nm~-60nmが好ましく、-120nm~-70nmがより好ましい。The polarizing plate of the present invention may further include a positive C plate having a thickness direction retardation (Rth(550)) of −150 nm to −50 nm at a wavelength of 550 nm. By including the positive C plate, it is possible to further suppress light leakage and coloring in the oblique direction of the display device.
 The thickness direction retardation (Rth(550)) of the positive C plate at a wavelength of 550 nm is -150 nm to -50 nm, preferably -130 nm to -60 nm, more preferably -120 nm to -70 nm.
ポジティブCプレートの厚みは、特に制限されないが、薄型化の点から、0.5μm~10μmが好ましく、0.5μm~5μmがより好ましい。また、ポジティブCプレートを設けるに際して、ポジティブCプレートのみを転写、もしくは塗布等により単独に設けてもよいが、必要に応じポジティブCプレートとともに他の機能層を設けてもよい。かかる機能層としては、保護フィルム、ハードコート層、および、クッション層が挙げられる。保護フィルムとしては、上述した偏光子の保護フィルムとして挙げた各フィルムを利用することができる。 Although the thickness of the positive C plate is not particularly limited, it is preferably 0.5 μm to 10 μm, more preferably 0.5 μm to 5 μm, from the viewpoint of thinning. When providing the positive C plate, only the positive C plate may be provided independently by transfer or coating, but other functional layers may be provided together with the positive C plate as necessary. Such functional layers include protective films, hard coat layers, and cushion layers. As the protective film, each film exemplified as the protective film for the polarizer described above can be used.
ポジティブCプレートを構成する材料は特に制限されないが、液晶化合物を含む組成物から形成されることが好ましい。重合性液晶化合物を含む重合性液晶組成物から形成することが、経時耐久性や配向秩序度が高くなる点で好ましい。このようなポジティブCプレートは、典型的には、重合性液晶組成物に含まれる棒状の重合性液晶化合物を垂直配向させて配向状態を重合により固定して得ることができる。また、液晶化合物として側鎖型高分子液晶化合物を含む組成物から形成することもできる。 Although the material constituting the positive C plate is not particularly limited, it is preferably formed from a composition containing a liquid crystal compound. Forming from a polymerizable liquid crystal composition containing a polymerizable liquid crystal compound is preferable from the viewpoint of increasing the durability over time and the degree of alignment order. Such a positive C plate can typically be obtained by vertically aligning a rod-like polymerizable liquid crystal compound contained in a polymerizable liquid crystal composition and fixing the alignment state by polymerization. Moreover, it can also be formed from a composition containing a side-chain type polymer liquid crystal compound as the liquid crystal compound.
  (その他の光学部品)
  本発明の液晶フィルムは、円偏光板に限らず、種々の光学部品に応用することができる。例えば、液晶表示装置の光学補償層付偏光板や、偏光サングラス、輝度向上板、加飾フィルム、視野角制限フィルム、および、調光フィルム等である。本発明の液晶フィルムの光学特性や平均遅相軸方向は、本発明の趣旨を逸脱しない範囲で、用途に合わせて種々に変更することが可能である。(other optical components)
 The liquid crystal film of the present invention can be applied not only to circularly polarizing plates but also to various optical components. Examples thereof include polarizing plates with optical compensation layers for liquid crystal display devices, polarized sunglasses, brightness enhancement plates, decorative films, viewing angle limiting films, and light control films. The optical properties and the average slow axis direction of the liquid crystal film of the present invention can be changed variously according to the application without departing from the gist of the present invention.
〔画像表示装置〕
  本発明の画像表示装置は、上記偏光板を含む画像表示装置である。偏光板を適宜裁断して表示装置に実装することにより、表示品質に優れた画像表示装置を構成することができる。例えば液晶表示パネルと偏光子との間に配置することにより光学補償フィルムとして、液晶表示装置の視野角特性の改良を図ることができる。また、有機EL表示装置に設けて内部反射光を防止する反射防止フィルムとして用いることができる。[Image display device]
 The image display device of the present invention is an image display device including the polarizing plate. By appropriately cutting the polarizing plate and mounting it on the display device, an image display device with excellent display quality can be configured. For example, by arranging it between a liquid crystal display panel and a polarizer, it is possible to improve the viewing angle characteristics of the liquid crystal display device as an optical compensation film. Moreover, it can be used as an antireflection film provided in an organic EL display device to prevent internal reflected light.
  図4は、本発明の画像表示装置の一例を模式的に示す断面図である。図4に示す画像表示装置50は、画像表示パネル51のパネル面(視聴者側面)に、偏光板20から切り出した反射防止フィルム52が配置される。反射防止フィルム52は上述した本発明の液晶フィルムを含む円偏光板であり、内部反射光を防止する。
  ここで画像表示パネル51は、例えば有機ELパネルであり、所望のカラー画像を表示する。なお画像表示パネル51は、有機ELパネルに限らず、液晶表示パネル等、種々の画像表示パネルを広く適用することができる。FIG. 4 is a cross-sectional view schematically showing an example of the image display device of the present invention. The
 The
  反射防止フィルム52は、典型的には、接着層53により画像表示パネル51のパネル面に貼り付けられて保持される。反射防止フィルム52は、直線偏光子21と、λ/4波長板の特性を有する液晶フィルム10とを、接着層22により積層一体化して構成される。接着層53、および、接着層22としては公知の接着剤を用いることができる。  The
以上、本発明の液晶フィルム、偏光板、円偏光板および画像表示装置について詳細に説明したが、本発明は上記実施形態に限定はされず、本発明の要旨を逸脱しない範囲において、各種の改良および変更を行ってもよい。 The liquid crystal film, polarizing plate, circularly polarizing plate, and image display device of the present invention have been described in detail above, but the present invention is not limited to the above embodiments, and various improvements can be made without departing from the scope of the present invention. and may make changes.
以下、実施例を以って発明を詳細に説明する。 The invention will be described in detail below with reference to examples.
〔セルロースアシレートフィルム1の作製〕
(コア層セルロースアシレートドープの作製)
  下記の組成物をミキシングタンクに投入し、攪拌して、各成分を溶解し、コア層セルロースアシレートドープ1として用いるセルロースアセテート溶液を調製した。
──────────────────────────────────
コア層セルロースアシレートドープ1
──────────────────────────────────
・アセチル置換度2.88のセルロースアセテート          100質量部
・特開2015-227955号公報の実施例に
  記載されたポリエステル化合物B                          12質量部
・下記の化合物F                                            2質量部
・メチレンクロライド(第1溶媒)                        500質量部
・メタノール(第2溶剤)                                  75質量部
──────────────────────────────────[Preparation of Cellulose Acylate Film 1]
 (Preparation of Core Layer Cellulose Acylate Dope)
 The following composition was put into a mixing tank and stirred to dissolve each component to prepare a cellulose acetate solution used as the core layer
 ──────────────────────────────────
 Core layer
 ──────────────────────────────────
・100 parts by mass of cellulose acetate having a degree of acetyl substitution of 2.88 ・12 parts by mass of polyester compound B described in Examples of JP-A-2015-227955 ・2 parts by mass of compound F below ・Methylene chloride (first solvent) 500 parts by mass, methanol (second solvent) 75 parts by mass────────────────────────────────────
  化合物F
(外層セルロースアシレートドープの作製)
  上記のコア層セルロースアシレートドープ90質量部に下記のマット剤溶液を10質量部加え、外層セルロースアシレートドープとして用いるセルロースアセテート溶液を調製した。
──────────────────────────────────
マット剤溶液
──────────────────────────────────
・平均粒子サイズ20nmのシリカ粒子
(AEROSIL R972、日本アエロジル(株)製)        2質量部
・メチレンクロライド(第1溶媒)                          76質量部
・メタノール(第2溶媒)                                  11質量部
・上記のコア層セルロースアシレートドープ                    1質量部
──────────────────────────────────(Preparation of outer layer cellulose acylate dope)
 To 90 parts by mass of the core layer cellulose acylate dope was added 10 parts by mass of the following matting agent solution to prepare a cellulose acetate solution used as the outer layer cellulose acylate dope.
 ──────────────────────────────────
 Matting agent solution ────────────────────────────────────
・Silica particles with an average particle size of 20 nm (AEROSIL R972, manufactured by Nippon Aerosil Co., Ltd.) 2 parts by mass ・Methylene chloride (first solvent) 76 parts by mass ・Methanol (second solvent) 11 parts by mass ・The above core layer cellulose
(セルロースアシレートフィルム1の製膜)
  上記コア層セルロースアシレートドープ1と上記外層セルロースアシレートドープを平均孔径34μmのろ紙および平均孔径10μmの焼結金属フィルターでろ過した後、上記コア層セルロースアシレートドープ1とその両側に外層セルロースアシレートドープとを3層同時に流延口から20℃の金属バンド上に流延した(バンド流延機)。(Formation of Cellulose Acylate Film 1)
 The core layer
  流延後、形成された膜(フィルム)を溶剤含有率略20質量%の状態で金属バンドから剥ぎ取り、フィルムの幅方向の両端をテンタークリップで固定し、横方向に延伸倍率1.1倍で延伸しつつ乾燥した。その後、得られたフィルムを熱処理装置のロール間を搬送することによりさらに乾燥し、これを巻き取って厚み20μmの長尺状のセルロースアシレートフィルム1を作製した。フィルムのコア層は厚み16μm、コア層の両側に配置された外層はそれぞれ厚み2μmであった。得られたセルロースアシレートフィルム1の面内レターデーションは0nmであった。Tgは182℃であった。  After casting, the formed membrane (film) is peeled off from the metal band in a state where the solvent content is about 20% by mass, both ends of the film in the width direction are fixed with tenter clips, and the film is stretched in the horizontal direction at a magnification of 1.1 times. It was dried while being stretched at Thereafter, the obtained film was further dried by being transported between rolls of a heat treatment apparatus, and wound up to prepare a long
  (セルロースアシレートフィルム2の作製)
  コア層用ドープの処方を下記のように変えた以外はセルロースアシレートフィルム1と同様にして、セルロースアシレートフィルム2を作製した。得られたセルロースアシレートフィルム1の面内レターデーションは2nmであった。また、Tgは193℃であった。
──────────────────────────────────
コア層セルロースアシレートドープ2
──────────────────────────────────
・アセチル置換度2.88のセルロースアセテート          100質量部
・特開2015-227955号公報の実施例に
  記載されたポリエステル化合物B                          11質量部
・メチレンクロライド(第1溶媒)                        500質量部
・メタノール(第2溶媒)                                  75質量部
──────────────────────────────────(Preparation of cellulose acylate film 2)
 ──────────────────────────────────
 Core layer
 ──────────────────────────────────
・100 parts by mass of cellulose acetate having a degree of acetyl substitution of 2.88 ・11 parts by mass of polyester compound B described in Examples of JP-A-2015-227955 ・500 parts by mass of methylene chloride (first solvent) ・Methanol (second Solvent) 75 parts by mass ────────────────────────────────────
  (セルロースアシレートフィルム3の作製)
  コア層用ドープの処方を下記のように変えた以外はセルロースアシレートフィルム1と同様にして、セルロースアシレートフィルム3を作製した。得られたセルロースアシレートフィルム1の面内レターデーションは0nmであった。また、Tgは185℃であった。
──────────────────────────────────
コア層セルロースアシレートドープ3
──────────────────────────────────
・アセチル置換度2.88のセルロースアセテート          100質量部
・糖エステル化合物S1                                  9.3質量部
・糖エステル化合物S2                                  3.1質量部
・メチレンクロライド(第1溶媒)                        500質量部
・メタノール(第2溶媒)                                  75質量部
──────────────────────────────────(Preparation of Cellulose Acylate Film 3)
 ──────────────────────────────────
 Core layer
 ──────────────────────────────────
 - Cellulose acetate having a degree of acetyl substitution of 2.88 100 parts by mass - Sugar ester compound S1 9.3 parts by mass - Sugar ester compound S2 3.1 parts by mass - Methylene chloride (first solvent) 500 parts by mass - Methanol (second solvent ) 75 parts by mass──────────────────────────────────
  (セルロースアシレートフィルム4の作製)
  コア層用ドープの処方を下記のように変えた以外はセルロースアシレートフィルム1と同様にして、セルロースアシレートフィルム3を作製した。得られたセルロースアシレートフィルム1の面内レターデーションは0nmであった。またTgは175℃であった。
──────────────────────────────────
コア層セルロースアシレートドープ4
──────────────────────────────────
・アセチル置換度2.88のセルロースアセテート          100質量部
・トリフェニルフォスフェート                            9.5質量部
・ビフェニルジフェニルフォスフェート                    4.5質量部
・メチレンクロライド(第1溶媒)                        500質量部
・メタノール(第2溶媒)                                  75質量部
──────────────────────────────────(Preparation of Cellulose Acylate Film 4)
 ──────────────────────────────────
 Core layer cellulose acylate dope 4
 ──────────────────────────────────
・100 parts by mass of cellulose acetate having a degree of acetyl substitution of 2.88 ・9.5 parts by mass of triphenyl phosphate ・4.5 parts by mass of biphenyldiphenyl phosphate ・500 parts by mass of methylene chloride (first solvent) ・Methanol (second solvent ) 75 parts by mass──────────────────────────────────
(光配向性基を有する重合体A1の合成)
  冷却管および攪拌機を備えたフラスコに、重合開始剤として2,2’-アゾビス(イソブチロニトリル)1質量部、および、溶媒としてジエチレングリコールメチルエチルエーテル180質量部を仕込んだ。ここに、3,4-エポキシシクロヘキシルメチルメタアクリレート100質量部を加え、フラスコ内を窒素置換した後、緩やかに攪拌をした。溶液温度を80℃に上昇させ、この温度を5時間維持することにより、エポキシ基を有するポリメタクリレートを約35重量%含有する重合体溶液を得た。得られたエポキシ含有ポリメタクリレートの重量平均分子量Mwは25,000であった。
  次いで、別の反応容器中に、上記で得たエポキシ含有ポリメタクリレートを含む溶液286質量部(ポリメタクリレートに換算して100質量部)、特開2015-026050号公報の合成例1の方法で得られた桂皮酸誘導体120質量部、触媒としてテトラブチルアンモニウムブロミド20質量部、および、希釈溶媒としてプロピレングリコールモノメチルエーテルアセテート150質量部を仕込み、窒素雰囲気下、90℃において12時間、撹拌下に反応を行った。反応終了後、反応混合物にプロピレングリコールモノメチルエーテルアセテート100質量部を加えて希釈し、これを3回水洗した。水洗後の有機相を大過剰のメタノール中に投入して重合体を沈殿させ、回収した沈殿物を40℃において12時間真空乾燥することにより、光配向性基を有する下記重合体A1を得た。(Synthesis of polymer A1 having photoalignable group)
 A flask equipped with a condenser and a stirrer was charged with 1 part by mass of 2,2′-azobis(isobutyronitrile) as a polymerization initiator and 180 parts by mass of diethylene glycol methyl ethyl ether as a solvent. 100 parts by mass of 3,4-epoxycyclohexylmethyl methacrylate was added thereto, and the inside of the flask was replaced with nitrogen, followed by gentle stirring. The solution temperature was raised to 80° C. and maintained at this temperature for 5 hours to obtain a polymer solution containing about 35% by weight of polymethacrylate having epoxy groups. The weight average molecular weight Mw of the resulting epoxy-containing polymethacrylate was 25,000.
 Next, in another reaction vessel, 286 parts by mass of the solution containing the epoxy-containing polymethacrylate obtained above (100 parts by mass in terms of polymethacrylate) obtained by the method of Synthesis Example 1 of JP-A-2015-026050. 120 parts by mass of the obtained cinnamic acid derivative, 20 parts by mass of tetrabutylammonium bromide as a catalyst, and 150 parts by mass of propylene glycol monomethyl ether acetate as a dilution solvent were charged, and the reaction was allowed to proceed under a nitrogen atmosphere at 90°C for 12 hours with stirring. gone. After completion of the reaction, the reaction mixture was diluted by adding 100 parts by mass of propylene glycol monomethyl ether acetate, and washed with water three times. The organic phase after washing with water was poured into a large excess of methanol to precipitate the polymer, and the collected precipitate was vacuum-dried at 40° C. for 12 hours to obtain the following polymer A1 having a photoalignable group. .
  (実施例1)
〔液晶フィルムの作製〕
  上記で作製したセルロースアシレートフィルム1の片側の面に、下記の光配向膜用組成物1をバーコーターで連続的に塗布した。塗布後、120℃の加熱ゾーンにて1分間乾燥して溶剤を除去し、厚さ0.3μmの光異性化組成物層を形成した。続けて、鏡面処理バックアプロールに巻きかけながら、長手方向に偏光軸が45°の角度を成すように偏光紫外線照射(10mJ/cm2、超高圧水銀ランプ使用)することで、長尺状の光配向膜を形成した。(Example 1)
 [Preparation of liquid crystal film]
 On one side of the
─────────────────────────────────
光学配向膜用組成物1
─────────────────────────────────
上記の光配向性基を有する重合体A1                    100質量部
ノムコートTAB(日清オイリオ(株)製)            15.2質量部
架橋剤(エポリードGT401、ダイセル社製)
                                                      122質量部
熱酸発生剤(サンエイドSI-60、三新化学工業(株)製)
                                                      5.5質量部
トリフルオロメタンスルホン酸スルホニウム塩
  (CPI-110TF、サンアプロ(株)製)          1.0質量部
リチウムビス(トリフルオロメタンスルホニル)イミド    5.0質量部
酢酸ブチル                                          3000質量部
―――――――――――――――――――――――――――――――――──────────────────────────────────
 ──────────────────────────────────
 100 parts by mass of the polymer A1 having a photo-orientable group Nomcoat TAB (manufactured by Nisshin OilliO Co., Ltd.) 15.2 parts by weight of a cross-linking agent (Epolead GT401, manufactured by Daicel Corporation)
 122 parts by mass Thermal acid generator (San-Aid SI-60, manufactured by Sanshin Chemical Industry Co., Ltd.)
 5.5 parts by mass Trifluoromethanesulfonic acid sulfonium salt (CPI-110TF, manufactured by San-Apro Co., Ltd.) 1.0 parts by mass Lithium bis(trifluoromethanesulfonyl)imide 5.0 parts by mass Butyl acetate 3000 parts by mass ---- ――――――――――――――――――――――――――――
ノムコートTABNOMCOAT TAB
  引き続き、長尺状に形成された光配向膜上に、予め調製した下記の重合性液晶組成物1をダイコーターで塗布し、液晶層(未硬化)を形成した。  Subsequently, a previously prepared polymerizable
―――――――――――――――――――――――――――――――――
重合性液晶組成物(液晶1)
―――――――――――――――――――――――――――――――――
・下記液晶性化合物L-3                          42.00質量部
・下記液晶性化合物L-4                          42.00質量部
・下記重合性化合物A-1                          16.00質量部
・下記重合開始剤S-1(オキシム型)                0.50質量部
・レベリング剤(下記化合物G-1)                  0.20質量部
・ハイソルブMTEM(東邦化学工業社製)            2.00質量部
・NKエステルA-200(新中村化学工業社製)      1.00質量部
・メチルエチルケトン                              305.9質量部
・シクロペンタノン                                118.9質量部
―――――――――――――――――――――――――――――――――
  なお、下記液晶性化合物L-3およびL-4のアクリロイルオキシ基に隣接する基は、プロピレン基(メチル基がエチレン基に置換した基)を表し、下記液晶性化合物L-3およびL-4は、メチル基の位置が異なる位置異性体の混合物を表す。―――――――――――――――――――――――――――――――――
 Polymerizable liquid crystal composition (liquid crystal 1)
 ―――――――――――――――――――――――――――――――――
 42.00 parts by mass of the following liquid crystalline compound L-3 42.00 parts by mass of the following liquid crystalline compound L-4 16.00 parts by mass of the following polymerizable compound A-1 The following polymerization initiator S-1 (oxime type ) 0.50 parts by mass Leveling agent (Compound G-1 below) 0.20 parts by mass Hisolve MTEM (manufactured by Toho Chemical Industry Co., Ltd.) 2.00 parts by mass NK Ester A-200 (manufactured by Shin-Nakamura Chemical Industry Co., Ltd.) 1.00 parts by mass Methyl ethyl ketone 305.9 parts by mass Cyclopentanone 118.9 parts by mass ――――――――――――――――――――――――――――― ――――
 The group adjacent to the acryloyloxy group in the liquid crystal compounds L-3 and L-4 below represents a propylene group (a group in which a methyl group is substituted with an ethylene group), and the liquid crystal compounds L-3 and L-4 below. represents a mixture of positional isomers that differ in the position of the methyl group.
液晶化合物 L-3Liquid crystal compound L-3
液晶化合物 L-4Liquid crystal compound L-4
重合性化合物 A-1Polymerizable compound A-1
重合開始剤 S-1Polymerization initiator S-1
化合物 G-1Compound G-1
  形成した液晶層(未硬化)を加熱ゾーンにていったん110℃まで加熱した後、75℃に冷却させて配向を安定化させた。
  その後、75℃に保ち、窒素雰囲気下(酸素濃度100ppm)で紫外線照射(500mJ/cm2、超高圧水銀ランプ使用)によって配向を固定化し、厚さ2.3μmの液晶層(硬化済)を形成し、これを巻取り軸に巻き取って、液晶フィルムを作製した。
  得られた液晶フィルムの平均面内レターデーションRe(550)は140nmでRe(450)/Re(550)<1.0かつ1.0<Re(650)/Re(550)を満たしており、平均遅相軸方向は長手方向に対して45°であった。The formed liquid crystal layer (uncured) was once heated to 110° C. in a heating zone and then cooled to 75° C. to stabilize the alignment.
 After that, the temperature is maintained at 75° C., and the orientation is fixed by ultraviolet irradiation (500 mJ/cm2 , using an ultra-high pressure mercury lamp) in a nitrogen atmosphere (oxygen concentration: 100 ppm) to form a liquid crystal layer (hardened) with a thickness of 2.3 μm. Then, this was wound up on a winding shaft to produce a liquid crystal film.
 The average in-plane retardation Re(550) of the obtained liquid crystal film satisfies Re(450)/Re(550)<1.0 and 1.0<Re(650)/Re(550) at 140 nm, The average slow axis direction was 45° with respect to the longitudinal direction.
[実施例2~25、比較例1]
  光配向層形成用組成物に用いる各成分の比率を表1に示すように変更した以外は実施例1と同様にして液晶フィルムを作製した。
  なお、リチウムビス(トリフルオロメタンスルホニル)イミドはLi-TFSIと略した。[Examples 2 to 25, Comparative Example 1]
 A liquid crystal film was produced in the same manner as in Example 1, except that the ratio of each component used in the composition for forming a photo-alignment layer was changed as shown in Table 1.
 Lithium bis(trifluoromethanesulfonyl)imide is abbreviated as Li-TFSI.
なお、表1中において、光配向膜形成用組成物のポリマーのA2は、以下の共重合体A2である。また、実施例12では、光配向膜形成用組成物のポリマーとして、A1に代えて、特開2016-098249号公報に記載の製造例1のポリマーを用いた。また、実施例13では、光配向膜形成用組成物のポリマーとして、A1に代えて、特開2014-026261号公報に記載の液晶配向剤A-4を用いた。また、実施例14では、光配向膜形成用組成物のポリマーとして、A1に代えて、Rolic社製ROP-103を用いた。 In addition, in Table 1, the polymer A2 of the composition for forming a photo-alignment film is the following copolymer A2. In Example 12, the polymer of Production Example 1 described in JP-A-2016-098249 was used instead of A1 as the polymer of the composition for forming a photo-alignment film. Further, in Example 13, the liquid crystal aligning agent A-4 described in JP-A-2014-026261 was used instead of A1 as the polymer of the composition for forming a photo-alignment film. Further, in Example 14, ROP-103 manufactured by Rolic Co., Ltd. was used instead of A1 as the polymer of the composition for forming a photo-alignment film.
共重合体A2(重量平均分子量Mw:35000) Copolymer A2 (weight average molecular weight Mw: 35000)
  また、表1中において、光配向膜形成用組成物の帯電防止剤のK-FSIは、カリウムビス(フルオロスルホニル)イミドである。
  また、実施例4~20、比較例1においては、光配向膜形成用組成物の酸クエンチャーとして、CPI-110TFに代えて、ジイソプロピルエチルアミンを用いた。In Table 1, K-FSI of the antistatic agent of the composition for forming a photo-alignment film is potassium bis(fluorosulfonyl)imide.
 In Examples 4 to 20 and Comparative Example 1, diisopropylethylamine was used as the acid quencher of the composition for forming a photo-alignment film instead of CPI-110TF.
  また、表1中において液晶2~液晶4で表される重合性液晶組成物は以下の組成である。  The polymerizable liquid crystal compositions represented by
―――――――――――――――――――――――――――――――――
重合性液晶組成物(液晶2)
―――――――――――――――――――――――――――――――――
・下記液晶性化合物4                              100.0質量部
・上記重合開始剤S-1                                1.0質量部
・レベリング剤(上記化合物G-1)                  0.40質量部
・シクロペンタノン                                    259質量部
――――――――――――――――――――――――――――――――――――――――――――――――――――――――――――――――――
 Polymerizable liquid crystal composition (liquid crystal 2)
 ―――――――――――――――――――――――――――――――――
・The following liquid crystalline compound 4 100.0 parts by mass ・The above polymerization initiator S-1 1.0 parts by mass ・Leveling agent (the above compound G-1) 0.40 parts by mass ・Cyclopentanone 259 parts by mass ―――――――――――――――――――――――――――――
液晶性化合物4Liquid crystalline compound 4
―――――――――――――――――――――――――――――――
重合性液晶組成物(液晶3)
―――――――――――――――――――――――――――――――
・重合性液晶化合物L-1                      39.00質量部
・重合性液晶化合物L-2                      39.00質量部
・重合性液晶化合物L-5                      17.00質量部
・重合性液晶化合物A-1                        5.00質量部
・下記重合開始剤S-1                          0.50質量部
・レベリング剤(G-1)                        0.20質量部
・シクロペンタノン                          235.00質量部
――――――――――――――――――――――――――――――――――――――――――――――――――――――――――――――
 Polymerizable liquid crystal composition (liquid crystal 3)
 ―――――――――――――――――――――――――――――――
・Polymerizable liquid crystal compound L-1 39.00 parts by mass ・Polymerizable liquid crystal compound L-2 39.00 parts by mass ・Polymerizable liquid crystal compound L-5 17.00 parts by mass ・Polymerizable liquid crystal compound A-1 5.00 Parts by mass · 0.50 parts by mass of the following polymerization initiator S-1 · Leveling agent (G-1) 0.20 parts by mass · Cyclopentanone 235.00 parts by mass ――――――――――――― ――――――――――――――――――
重合性液晶化合物L-1 Polymerizable liquid crystal compound L-1
重合性液晶化合物L-2 Polymerizable liquid crystal compound L-2
重合性液晶化合物L-5 Polymerizable liquid crystal compound L-5
―――――――――――――――――――――――――――――――――
重合性液晶組成物(液晶4)
―――――――――――――――――――――――――――――――――
・上記液晶性化合物L-1                          10.00質量部
・上記液晶性化合物L-2                          10.00質量部
・上記液晶性化合物L-3                          30.00質量部
・上記液晶性化合物L-4                          40.00質量部
・上記重合性化合物A-1                          10.00質量部
・上記重合開始剤S-1(オキシム型)                0.50質量部
・レベリング剤(上記化合物G-1)                  0.20質量部
・ハイソルブMTEM(東邦化学工業社製)            2.00質量部
・NKエステルA-200(新中村化学工業社製)      1.00質量部
・KAYARAD  DPHA(日本化薬社製)            5.00質量部
・メチルエチルケトン                              305.9質量部
・シクロペンタノン                                118.9質量部
――――――――――――――――――――――――――――――――――――――――――――――――――――――――――――――――――
 Polymerizable liquid crystal composition (liquid crystal 4)
 ―――――――――――――――――――――――――――――――――
・The liquid crystalline compound L-1 10.00 parts by mass ・The liquid crystalline compound L-2 10.00 parts by mass ・The liquid crystalline compound L-3 30.00 parts by mass ・The liquid crystalline compound L-4 40.00 Parts by mass Polymerizable compound A-1 10.00 parts by mass Polymerization initiator S-1 (oxime type) 0.50 parts by mass Leveling agent (Compound G-1 above) 0.20 parts by mass Hisolve MTEM (manufactured by Toho Chemical Industry Co., Ltd.) 2.00 parts by mass NK Ester A-200 (manufactured by Shin-Nakamura Chemical Co., Ltd.) 1.00 parts by mass KAYARAD DPHA (manufactured by Nippon Kayaku Co., Ltd.) 5.00 parts by mass Methyl ethyl ketone 305. 9 parts by mass Cyclopentanone 118.9 parts by mass ――――――――――――――――――――――――――――――――――
[実施例1a~25a、比較例1a]
  それぞれの実施例および比較例で用いた光配向層形成用組成物を、調製後すぐに窒素充填した密閉遮光容器内に封入した上で10日間保管してから使用した以外は各々の実施例、比較例と同様にして光配向層、液晶フィルムを作成した。[Examples 1a to 25a, Comparative Example 1a]
 Each example except that the composition for forming a photo-alignment layer used in each example and comparative example was sealed in a nitrogen-filled sealed light-shielding container immediately after preparation and stored for 10 days before use. A photo-alignment layer and a liquid crystal film were prepared in the same manner as in the comparative example.
[評価]
  各実施例および比較例で得られた液晶フィルムから幅40mm、長さ40mmのフィルムを切り出した。試料をクロスニコル下の偏光顕微鏡(10倍の対物レンズ使用)で観察し液晶配向を確認した。[evaluation]
 A film having a width of 40 mm and a length of 40 mm was cut out from the liquid crystal film obtained in each example and comparative example. The sample was observed with a polarizing microscope (using a 10-fold objective lens) under crossed Nicols to confirm liquid crystal alignment.
(配向ムラの評価)
  各実施例および比較例の液晶フィルムの1.5m2の面積をシャーカステンで観察した際の配向ムラの数をカウントした。
  a:全く見られない
  b:1個以上10個以下
  c:11個以上30個以下
  d:31個以上
  a~cは実用上問題ない。(Evaluation of orientation unevenness)
 The number of alignment irregularities was counted when an area of 1.5 m2 of the liquid crystal film of each example and comparative example was observed with a Schaukasten.
 a: not seen at all b: 1 to 10 c: 11 to 30 d: 31 or more a to c have no practical problem.
(OLEDパネル実装での評価)
  得られた実施例1の液晶フィルムを、液晶フィルムのセルロースアシレートフィルム側を偏光板側とし、セルロースアシレートフィルム1が偏光板保護フィルムを兼ねる形でロールトゥロールプロセスにより長尺状の直線偏光板(吸収軸が長手方向にある)と貼合した後、一旦巻き取り、本発明の偏光板1を作製した。さらに偏光板1を巻きだして所定の形状に裁断して円偏光板1を得た。得られた円偏光板1の液晶層側の表面に、特開2015-200861号公報の実施例0124段落~0127段落に記載のポジティブCプレート(ただし、550nmにおけるRthが-65nmとなるように、ポジティブCプレートの厚さは制御している)を転写貼合し、積層体1を得た。位相差フィルムの面内遅相軸と、直線偏光板の透過軸の成す角度は45°であった。(Evaluation in OLED panel mounting)
 The obtained liquid crystal film of Example 1 was subjected to a roll-to-roll process with the cellulose acylate film side of the liquid crystal film facing the polarizing plate side, and the
  次に、有機ELパネル搭載のSAMSUNG社製GALAXY SIIを分解し、円偏光板を剥離して、上記で作製した積層体1から、取りだした円偏光板と同じ形状、同じ透過軸方向になるよう切り出した積層体片をポジティブCプレート側がパネル側となるよう粘着剤を介して貼合し、OLED表示装置を作製した。  Next, the GALAXY SII manufactured by SAMSUNG equipped with an organic EL panel is disassembled, the circularly polarizing plate is peeled off, and the same shape and the same transmission axis direction as the circularly polarizing plate taken out from the
実施例1の位相差フィルムに代えて、実施例2~20および1a~20a、比較例1および1aで得られた各液晶フィルムを用いた以外は上記と同様にしてOLED表示装置での実装評価を行った。 Instead of the retardation film of Example 1, except that each liquid crystal film obtained in Examples 2 to 20 and 1a to 20a, Comparative Examples 1 and 1a was used in the same manner as described above Mounting evaluation in an OLED display device did
(反射率)
  作製したOLED表示装置について、明光下にて反射率を評価した。測色計(コニカミノルタ製、CM-2022)を用い、SCE(Specular component excluded)モードで測定し、得られたY値を実施例20を基準として、下記基準で評価した。
  反射率が低いほど液晶フィルムの光漏れが少ないことを意味する。すなわち、液晶フィルムの液晶層における液晶分子の配向状態が良好であることを意味する。(Reflectance)
 The reflectance of the produced OLED display device was evaluated under bright light. Using a calorimeter (CM-2022, manufactured by Konica Minolta), measurement was performed in SCE (Specular component excluded) mode, and the obtained Y value was evaluated according to the following criteria based on Example 20.
 A lower reflectance means less light leakage from the liquid crystal film. That is, it means that the alignment state of the liquid crystal molecules in the liquid crystal layer of the liquid crystal film is good.
A:実施例20でのY値に対し、Y値の割合が70%以下である場合
B:実施例20でのY値に対し、Y値の割合が70%超90%以下である場合
C:実施例20でのY値に対し、Y値の割合が90%超である場合A: With respect to the Y value in Example 20, when the ratio of the Y value is 70% or less B: With respect to the Y value in Example 20, when the ratio of the Y value is more than 70% and 90% or less C : When the ratio of the Y value is more than 90% with respect to the Y value in Example 20
形成した液晶層(未硬化)を加熱ゾーンにていったん110℃まで加熱した際のシワの発生の様子を観察し、シワ発生するとシワ跡が残留する。 When the formed liquid crystal layer (uncured) was once heated to 110° C. in a heating zone, the appearance of wrinkles was observed.
(搬送性)
  各実施例および比較例の液晶フィルムの作製時に搬送によるシワの発生の有無を確認した。搬送性を以下の基準で評価した。
A:搬送時にシワ発生が見られない
B:搬送時に振幅1cm未満の弱いシワが断続的にみられる
C:搬送時に振幅1cm未満の弱いシワが連続的に見られる
D:搬送時に振幅1cm以上の強いシワが見られる。
  結果を表2に示す。(transportability)
 The presence or absence of wrinkles due to transport was checked during the production of the liquid crystal films of each of the examples and comparative examples. Transportability was evaluated according to the following criteria.
 A: No wrinkles during transportation B: Intermittent weak wrinkles with an amplitude of less than 1 cm during transportation C: Continuous weak wrinkles with an amplitude of less than 1 cm during transportation D: Amplitude of 1 cm or more during transportation A strong wrinkle is seen.
 Table 2 shows the results.
表1および表2から、光配向膜形成用組成物に帯電防止剤を含む実施例1~20は、比較例1に比べて配向ムラが少ないことがわかる。 From Tables 1 and 2, it can be seen that Examples 1 to 20 containing an antistatic agent in the photo-alignment film-forming composition have less alignment unevenness than Comparative Example 1.
  また、実施例1、2、4および20等対比から、帯電防止剤の含有量は、光配向層形成用組成物の全固形分量に対して15%以下であることが好ましいことがわかる。
  また、実施例7と実施例16との対比から、帯電防止剤としては、カチオンとしてリチウムイオンを含有する帯電防止剤が好ましいことがわかる。
  また、実施例7、12~14、17の対比から、光配向性のポリマーは、アクリレート骨格、メタクリレート骨格、シロキサン骨格、および、ポリスチレン骨格のいずれかを含むのが好ましいことがわかる。Moreover, from the comparison with Examples 1, 2, 4 and 20, etc., it can be seen that the content of the antistatic agent is preferably 15% or less with respect to the total solid content of the composition for forming a photo-alignment layer.
 Moreover, from the comparison between Example 7 and Example 16, it is found that the antistatic agent containing lithium ions as cations is preferable as the antistatic agent.
 Further, from the comparison of Examples 7, 12 to 14, and 17, it can be seen that the photoalignable polymer preferably contains any one of an acrylate skeleton, a methacrylate skeleton, a siloxane skeleton, and a polystyrene skeleton.
また、実施例15a、21a~23aの対比から、酸クエンチャーを含有するのが好ましいことがわかる。 Further, from the comparison of Examples 15a and 21a to 23a, it can be seen that it is preferable to contain an acid quencher.
  また、透明基材の種類の対比からTgが高いほど搬送性に優れることがわかる。
  以上の結果から本発明の効果は明らかである。Also, from the comparison of the types of transparent substrates, it can be seen that the higher the Tg, the better the transportability.
 From the above results, the effect of the present invention is clear.
  1  透明基材
  2  光配向層
  3  液晶層
  10  液晶フィルム
  20  偏光板
  21  偏光子(光学機能層)
  22  接着層
  30  液晶フィルムの製造装置
  31  基材ロール
  32、35  塗布部
  33、36  加熱部
  34、37  光源
  38  バックアップロール
  39  液晶フィルムロール
  50  画像表示装置
  51  画像表示パネル
  52  反射防止フィルム
  53  接着層
  60  回転軸
  62  巻取り軸
REFERENCE SIGNS
 22
| Application Number | Priority Date | Filing Date | Title | 
|---|---|---|---|
| JP2018170815 | 2018-09-12 | ||
| JP2018170815 | 2018-09-12 | ||
| PCT/JP2019/035555WO2020054720A1 (en) | 2018-09-12 | 2019-09-10 | Liquid crystal film, polarizing plate, circularly polarizing plate, and image display device | 
| Publication Number | Publication Date | 
|---|---|
| JPWO2020054720A1 JPWO2020054720A1 (en) | 2021-09-16 | 
| JP7162068B2true JP7162068B2 (en) | 2022-10-27 | 
| Application Number | Title | Priority Date | Filing Date | 
|---|---|---|---|
| JP2020546035AActiveJP7162068B2 (en) | 2018-09-12 | 2019-09-10 | Liquid crystal film, polarizing plate, circularly polarizing plate and image display device | 
| Country | Link | 
|---|---|
| JP (1) | JP7162068B2 (en) | 
| KR (1) | KR20210030465A (en) | 
| CN (1) | CN112639553B (en) | 
| WO (1) | WO2020054720A1 (en) | 
| Publication number | Priority date | Publication date | Assignee | Title | 
|---|---|---|---|---|
| JP7181376B2 (en)* | 2019-03-07 | 2022-11-30 | 富士フイルム株式会社 | Copolymer, composition for photo-alignment film, photo-alignment film, optically anisotropic element and polarizing element | 
| JP7692324B2 (en)* | 2021-09-29 | 2025-06-13 | 富士フイルム株式会社 | Retardation plate, circular polarizing plate, image display device | 
| WO2025004656A1 (en)* | 2023-06-29 | 2025-01-02 | 富士フイルム株式会社 | Optical film, polarizing plate, and image display device | 
| Publication number | Priority date | Publication date | Assignee | Title | 
|---|---|---|---|---|
| JP2007249108A (en) | 2006-03-20 | 2007-09-27 | Fujifilm Corp | Optical compensation sheet, and polarizing plate and liquid crystal display device using the same | 
| WO2008039194A1 (en) | 2006-09-29 | 2008-04-03 | Chemimage Corporation | Wavelength discrimination filter for infrared wavelengths | 
| JP2013033249A (en) | 2011-07-07 | 2013-02-14 | Sumitomo Chemical Co Ltd | Polarization element, circularly polarizing plate and method of manufacturing those | 
| JP2014199413A (en) | 2013-03-14 | 2014-10-23 | 富士フイルム株式会社 | Method for producing optical compensation film, optical compensation film, polarizing plate, and liquid crystal display device | 
| JP2015031823A (en) | 2013-08-02 | 2015-02-16 | 大阪有機化学工業株式会社 | Composition for photo-alignment film and novel polymer | 
| JP2016009105A (en) | 2014-06-25 | 2016-01-18 | Jnc株式会社 | Composition for optical alignment film | 
| WO2016136231A1 (en) | 2015-02-25 | 2016-09-01 | 富士フイルム株式会社 | Laminate and optical film | 
| WO2018003380A1 (en) | 2016-06-30 | 2018-01-04 | 富士フイルム株式会社 | Optical device and display device | 
| WO2018101250A1 (en) | 2016-11-30 | 2018-06-07 | 日本ゼオン株式会社 | Optical laminate, circularly polarizing plate, touch panel, and image display device | 
| WO2018142689A1 (en) | 2017-01-31 | 2018-08-09 | 富士フイルム株式会社 | Composite film and organic electroluminescence device | 
| KR20190089084A (en) | 2013-08-23 | 2019-07-29 | 닛토덴코 가부시키가이샤 | Polarizing film with adhesive layer, and image display device | 
| Publication number | Priority date | Publication date | Assignee | Title | 
|---|---|---|---|---|
| JP3421443B2 (en) | 1994-09-29 | 2003-06-30 | 富士写真フイルム株式会社 | Elliptical polarizing plate and liquid crystal display | 
| JP2000086786A (en) | 1998-09-09 | 2000-03-28 | Fuji Photo Film Co Ltd | Production of sheet having oriented film and production of long optical compensatory sheet | 
| JP4581274B2 (en) | 2001-03-22 | 2010-11-17 | コニカミノルタホールディングス株式会社 | Method for producing optical compensation film | 
| JP2006178359A (en)* | 2004-12-24 | 2006-07-06 | Fuji Photo Film Co Ltd | Optical compensation film, polarizing plate and liquid crystal display | 
| JP4716036B2 (en) | 2007-03-12 | 2011-07-06 | 富士フイルム株式会社 | Method for producing optical compensation film | 
| KR101047925B1 (en)* | 2007-04-19 | 2011-07-08 | 주식회사 엘지화학 | Acrylic pressure-sensitive adhesive composition and a polarizing plate comprising the same | 
| JP5267919B2 (en)* | 2008-08-06 | 2013-08-21 | 住友化学株式会社 | Polarizing plate, optical member, and liquid crystal display device | 
| KR20120031500A (en)* | 2009-07-22 | 2012-04-03 | 코니카 미놀타 옵토 인코포레이티드 | Optical anisotropy film, polarization plate, and liquid crystal display device | 
| JP2012247574A (en)* | 2011-05-26 | 2012-12-13 | Nitto Denko Corp | Adhesion type polarizing plate and image display device | 
| KR102084644B1 (en)* | 2013-12-27 | 2020-03-04 | 동우 화인켐 주식회사 | Adhesive composition containing ionic antistatic agent | 
| JP6987429B2 (en)* | 2017-01-20 | 2022-01-05 | 日東電工株式会社 | A method for manufacturing a protective film for a polarizing element, a protective film for a polarizing element, and an apparatus for manufacturing a protective film for a polarizing element. | 
| Publication number | Priority date | Publication date | Assignee | Title | 
|---|---|---|---|---|
| JP2007249108A (en) | 2006-03-20 | 2007-09-27 | Fujifilm Corp | Optical compensation sheet, and polarizing plate and liquid crystal display device using the same | 
| WO2008039194A1 (en) | 2006-09-29 | 2008-04-03 | Chemimage Corporation | Wavelength discrimination filter for infrared wavelengths | 
| JP2013033249A (en) | 2011-07-07 | 2013-02-14 | Sumitomo Chemical Co Ltd | Polarization element, circularly polarizing plate and method of manufacturing those | 
| JP2014199413A (en) | 2013-03-14 | 2014-10-23 | 富士フイルム株式会社 | Method for producing optical compensation film, optical compensation film, polarizing plate, and liquid crystal display device | 
| JP2015031823A (en) | 2013-08-02 | 2015-02-16 | 大阪有機化学工業株式会社 | Composition for photo-alignment film and novel polymer | 
| KR20190089084A (en) | 2013-08-23 | 2019-07-29 | 닛토덴코 가부시키가이샤 | Polarizing film with adhesive layer, and image display device | 
| JP2016009105A (en) | 2014-06-25 | 2016-01-18 | Jnc株式会社 | Composition for optical alignment film | 
| WO2016136231A1 (en) | 2015-02-25 | 2016-09-01 | 富士フイルム株式会社 | Laminate and optical film | 
| WO2018003380A1 (en) | 2016-06-30 | 2018-01-04 | 富士フイルム株式会社 | Optical device and display device | 
| WO2018101250A1 (en) | 2016-11-30 | 2018-06-07 | 日本ゼオン株式会社 | Optical laminate, circularly polarizing plate, touch panel, and image display device | 
| WO2018142689A1 (en) | 2017-01-31 | 2018-08-09 | 富士フイルム株式会社 | Composite film and organic electroluminescence device | 
| Publication number | Publication date | 
|---|---|
| JPWO2020054720A1 (en) | 2021-09-16 | 
| KR20210030465A (en) | 2021-03-17 | 
| CN112639553A (en) | 2021-04-09 | 
| WO2020054720A1 (en) | 2020-03-19 | 
| CN112639553B (en) | 2022-09-13 | 
| Publication | Publication Date | Title | 
|---|---|---|
| KR20230008679A (en) | Laminate | |
| JP6896890B2 (en) | Light absorption anisotropic film, optical laminate and image display device | |
| JP6811846B2 (en) | Polarizing element, circular polarizing plate and image display device | |
| KR20180132644A (en) | Optical anisotropic layer and manufacturing method thereof, optically anisotropic laminate and manufacturing method thereof, optically anisotropic transfer body, polarizing plate, and image display device | |
| JP7162068B2 (en) | Liquid crystal film, polarizing plate, circularly polarizing plate and image display device | |
| EP3144721A1 (en) | Optical film, manufacturing method thereof and display device using the same | |
| KR20180096615A (en) | An optically anisotropic layer and its production method, optically anisotropic laminate and circular polarizer | |
| JP6916900B2 (en) | Long retardation film, long laminate, image display device | |
| KR20170012102A (en) | Composition and display device | |
| CN114450330B (en) | Optically anisotropic layer, optical film, polarizing plate, and image display device | |
| CN114051586A (en) | Long film | |
| JP7027531B2 (en) | Polarizing element, circular polarizing plate and image display device | |
| JP2024031796A (en) | Laminated body and organic EL display device | |
| WO2019022121A1 (en) | Layered body, method for manufacturing layered body, and image display device | |
| TWI747133B (en) | Method for producing optically anisotropic film | |
| CN110244494A (en) | Liquid crystal display device, manufacturing method thereof, and monomer material for retardation layer | |
| KR20150143568A (en) | Method for producing optically anisotropic film | |
| KR102183678B1 (en) | Liquid crystal composition and uses thereof | |
| WO2022270199A1 (en) | Light absorption anisotropic film, optical film, and image display device | |
| KR20240146577A (en) | Laminate, polarizing plate and image display device | |
| KR20240146578A (en) | Laminate, polarizing plate and image display device | |
| KR20240146579A (en) | Laminate, polarizing plate and image display device | |
| KR20240146576A (en) | Laminate, polarizing plate and image display device | |
| TW202445181A (en) | Optical films, optical laminates and windings | |
| WO2024042818A1 (en) | Laminate and organic el display device | 
| Date | Code | Title | Description | 
|---|---|---|---|
| A521 | Request for written amendment filed | Free format text:JAPANESE INTERMEDIATE CODE: A523 Effective date:20210305 | |
| A621 | Written request for application examination | Free format text:JAPANESE INTERMEDIATE CODE: A621 Effective date:20210305 | |
| A131 | Notification of reasons for refusal | Free format text:JAPANESE INTERMEDIATE CODE: A131 Effective date:20220426 | |
| A521 | Request for written amendment filed | Free format text:JAPANESE INTERMEDIATE CODE: A523 Effective date:20220609 | |
| TRDD | Decision of grant or rejection written | ||
| A01 | Written decision to grant a patent or to grant a registration (utility model) | Free format text:JAPANESE INTERMEDIATE CODE: A01 Effective date:20221004 | |
| A61 | First payment of annual fees (during grant procedure) | Free format text:JAPANESE INTERMEDIATE CODE: A61 Effective date:20221017 | |
| R150 | Certificate of patent or registration of utility model | Ref document number:7162068 Country of ref document:JP Free format text:JAPANESE INTERMEDIATE CODE: R150 | |
| R250 | Receipt of annual fees | Free format text:JAPANESE INTERMEDIATE CODE: R250 |