


















本開示は、被検物(例えば、眼)のOCTデータを得るOCT装置に関する。 The present disclosure relates to an OCT apparatus for obtaining OCT data of a subject (eg, eye).
被検物のOCTデータを得るOCT装置として、例えば、OCT光学系から出力されるスペクトル干渉信号を処理してOCTデータを取得可能な装置が知られており、近年では、広範囲の断層画像を得るための構成が開示されている。例えば、前眼部と眼底の両方を撮像可能な全眼球OCTが提案されている。 As an OCT apparatus for obtaining OCT data of a subject, for example, an apparatus capable of obtaining OCT data by processing a spectral interference signal output from an OCT optical system is known. An arrangement for is disclosed. For example, whole-eye OCT that can image both the anterior segment and the fundus has been proposed.
例えば、特許文献1の装置では、測定光路又は参照光路のいずれかに設けられた基準部による基準干渉信号を基準として異なる深さ情報の位置関係を設定し、合成断層画像を得ている。 For example, in the apparatus of Patent Literature 1, the positional relationship of different depth information is set on the basis of a reference interference signal from a reference portion provided in either the measurement optical path or the reference optical path, and a composite tomographic image is obtained.
しかしながら、特許文献1の装置の場合、以下のような問題が考えられる。例えば、複数の参照光路を用いる場合、参照光路を切換選択する必要があるため、複数の基準干渉信号を同時に取得することが困難である。この結果、光源等の揺らぎによる影響を受ける可能性がありうる。また、基準光学系が直列的に配置されており、基準光学系からの信号が減衰してしまう可能性も考えられる。 However, in the case of the apparatus disclosed in Patent Document 1, the following problems are conceivable. For example, when using a plurality of reference optical paths, it is necessary to switch and select the reference optical paths, which makes it difficult to simultaneously acquire a plurality of reference interference signals. As a result, it may be affected by fluctuations in the light source or the like. Also, since the reference optical system is arranged in series, there is a possibility that the signal from the reference optical system is attenuated.
また複数の参照光路を用いる方法は、基準光学系からの多重反射の影響や、特にSSの場合はコヒーレンスリバイバルによる偽信号による影響を受けやすく、特定の信号のみを検出することが難しい。 In addition, the method using multiple reference optical paths is susceptible to the effects of multiple reflections from the reference optical system and, especially in the case of SS, false signals due to coherence revival, making it difficult to detect only specific signals.
本件発明は、従来技術の少なくとも一つの問題点を解決できるOCT装置であって、広範囲の断層画像を良好に取得できるOCT装置を提供することを技術課題とする。 A technical object of the present invention is to provide an OCT apparatus that can solve at least one of the problems of the prior art and that can satisfactorily acquire tomographic images over a wide range.
上記課題を解決するために、本発明は以下のような構成を備えることを特徴とする。 In order to solve the above problems, the present invention is characterized by having the following configuration.
  (1)  OCT光源からの光を測定光路と参照光路に分割するための第1の光分割器を有し、測定光路を介して被検物に導かれた測定光と参照光路からの参照光とのスペクトル干渉信号を検出するOCT光学系を備え、前記OCT光学系から出力されるスペクトル干渉信号を処理して被検物のOCTデータを取得可能なOCT装置であって、
  前記OCT光学系は、
  前記参照光路としての、第1の参照光路と前記第1の参照光路とは異なる第2の参照光路と、
  前記第1の参照光路からの参照光と前記測定光との第1の干渉信号を検出するための第1の検出器と、
  前記第1の検出器とは異なる第2の検出器であって、前記第2の参照光路からの参照光と前記測定光との第2の干渉信号を検出するための第2の検出器と、
  FPN信号を発生させる光学部材を少なくとも一つ備え、FPN信号を生成するためのFPN生成光学系と、
  前記測定光路を被検物に向かう光路とFPN生成光学系の光路に分割すると共に、被検物からの光とFPN生成光学系からの光を、前記第1の光分割器を介さずに前記第1の検出器に向かう光路と、前記第1の光分割器を介して前記第2の検出器に向かう光路とに分割するための第2の光分割器と、を備え、
  前記第1の検出器と前記第2の検出器は、前記FPN信号を検出可能であり、前記FPN信号に基づいてそれぞれ補正された2つのOCTデータを同時取得可能であり、
  前記第2の光分割器による被検物からの反射光の光量分割比は、前記第1の検出器に向かう光路<前記第1の光分割器を介して前記第2の検出器に向かう光路であることを特徴とする。
(1) Having a first light splitter for splitting the light from the OCT light source into the measurement optical path and the reference optical path, the measurement light guided to the test object via the measurement optical path and the reference light from the reference optical path An OCT apparatus comprising an OCT optical system for detecting a spectral interference signal from the OCT optical system and capable of acquiring OCT data of a subject by processing the spectral interference signal output from the OCT optical system,
 The OCT optical system is
 a first reference optical path as the reference optical path and a second reference optical path different from the first reference optical path;
 a first detector for detecting a first interference signal between the reference light from the first reference optical path and the measurement light;
 a second detector different from the first detector for detecting a second interference signal between the reference light from the second reference optical path and the measurement light; ,
 an FPN generation optical system for generating an FPNsignal , comprising at least one optical member for generating an FPN signal;
 The measurement optical path is divided into an optical path toward the test object and an optical path of the FPN generation optical system, and the light from the test object and the light from the FPN generation optical system are separated without passing through the first optical splitter. a second light splitter for splitting into a light path towards a first detector and a light path through said first light splitter towards said second detector;
 The first detector and the second detector are capable of detecting the FPN signal, and capable of simultaneously acquiring two pieces of OCT data each corrected based on the FPN signal,
 The light amount division ratio of the reflected light from the test object by the second light splitter is: optical path toward the first detector<optical path toward the second detector via the first light splitter It is characterized by
本開示によれば、従来技術の少なくとも一つの問題点を解決し、広範囲の断層画像を良好に取得できる。 According to the present disclosure, it is possible to solve at least one problem of the conventional technology and obtain a wide range tomographic image satisfactorily.
本開示の実施形態の一例について図面に基づいて説明する。図1~図19は本実施形態の実施例に係る図である。なお、以下の<>にて分類された項目は、独立又は関連して利用されうる。 An example of an embodiment of the present disclosure will be described based on the drawings. 1 to 19 are diagrams according to examples of the present embodiment. In addition, the items classified by <> below can be used independently or in association with each other.
本実施形態に係るOCT装置は、OCT光学系を備え、OCT光学系の検出器から出力されるスペクトル干渉信号を処理してOCTデータを取得可能であってもよい。この場合、OCT光学系は、例えば、フーリエドメインOCT光学系(SS-OCT光学系、SD-OCT光学系)であってもよく、OCT光学系は、OCT光源からの光を測定光路と参照光路に分割するための光分割器を有し、測定光路を介して被検物に導かれた測定光と参照光路からの参照光とのスペクトル干渉信号を検出してもよい。 The OCT apparatus according to this embodiment may include an OCT optical system and be capable of acquiring OCT data by processing spectral interference signals output from detectors of the OCT optical system. In this case, the OCT optical system may be, for example, a Fourier domain OCT optical system (SS-OCT optical system, SD-OCT optical system). and detecting a spectral interference signal between the measurement light directed to the test object via the measurement light path and the reference light from the reference light path.
  <複数検出器、FPN光学系>
  OCT光学系は、複数の参照光路を備えてもよく、例えば、第1の参照光路と第1の参照光路とは異なる第2の参照光路を備えてもよい。この場合、例えば、OCT光学系は、第1の参照光路からの参照光と測定光との第1の干渉信号を検出するための第1の検出器と、第1の検出器とは異なる第2の検出器であって、第2の参照光路からの参照光と測定光との第2の干渉信号を検出するための第2の検出器と、を備えてもよい。<Multiple detectors, FPN optical system>
 The OCT optical system may comprise multiple reference optical paths, for example, a first reference optical path and a second reference optical path different from the first reference optical path. In this case, for example, the OCT optical system includes a first detector for detecting a first interference signal between the reference light and the measurement light from the first reference optical path, and a second detector different from the first detector. Two detectors may be provided, a second detector for detecting a second interference signal between the reference light and the measurement light from the second reference optical path.
  <FPN光学系>
  OCT光学系は、FPN信号を生成するためのFPN生成光学系を設けられてもよく、例えば、FPN生成光学系は、FPNを発生させる光学部材を少なくとも一つ備えてもよい。FPN生成光学系は、測定光路に配置されてもよいし、参照光路に配置されてもよい。なお、FPNは、Fixed Pattern Noiseであり、例えば、OCTデータ上において固定的なノイズ信号として発生される。<FPN optical system>
 The OCT optics may be provided with FPN generation optics for generating FPN signals, for example, the FPN generation optics may comprise at least one optical member for generating FPN. The FPN generation optical system may be arranged in the measurement optical path or may be arranged in the reference optical path. Note that FPN is Fixed Pattern Noise, which is generated as a fixed noise signal on OCT data, for example.
第1の検出器と第2の検出器の少なくとも一つは、FPN信号を検出可能であり、FPN信号を用いてOCTデータを補正できる(例えば、画像合成、マッピング状態の補正等)。FPN信号が用いられることで、良好なOCTデータが得られる。この場合、第1の検出器と第2の検出器の両方が、FPN信号を検出可能であってもよく、これにより、FPN信号を用いた処理をより高精度に行うことができる。 At least one of the first detector and the second detector can detect FPN signals and can use the FPN signals to correct OCT data (eg, image synthesis, correction of mapping conditions, etc.). Good OCT data can be obtained by using the FPN signal. In this case, both the first detector and the second detector may be capable of detecting the FPN signal, so that processing using the FPN signal can be performed with higher accuracy.
  <第2の光分割器>
  OCT光学系は、第2の光分割器を備えてもよく、例えば、第2の光分割器は、測定光路を、被検物に向かう光路とFPN生成光学系の光路に分割するために設けられてもよい。例えば、第2の光分割器は、さらに、被検物からの光とFPN生成光学系からの光を、第1の検出器に向かう光路と、第1の光分割器を介して第2の検出器に向かう光路とに分割してもよい。<Second optical splitter>
 The OCT optics may comprise a second light splitter, for example a second light splitter provided for splitting the measurement light path into the light path towards the test object and the light path of the FPN generation optics. may be For example, the second optical splitter further divides the light from the test object and the light from the FPN generation optical system into an optical path toward the first detector and a second optical path through the first optical splitter. and a light path towards the detector.
ここで、OCT光学系が、被検物からの反射光を第1の光分割器を介さず第2の光分割器を介して第1の検出器に導く第1の光路と、被検物からの反射光を第2の光分割器及び第1分割器を介して第2の検出器に導く第2の光路とを備えることによって、被検物からの反射光を効率よく複数の検出器に導くことができる。 Here, the OCT optical system has a first optical path that guides the reflected light from the test object to the first detector via the second light splitter without passing through the first light splitter; and a second optical path that guides the reflected light from the test object to the second detector via the second optical splitter and the first splitter. can lead to
なお、OCT光学系としては、上記構成に限定されず、被検物からの反射光を第1の光分割器を介さず第2の光分割器を介して第1の検出器と第2の検出器に導く光路を備える構成であってもよく、この場合、OCT光学系は、第2の光分割器よりも検出器側において、被検物からの反射光を、第1の検出器に向かう光路と、第2の検出器に向かう光路とに分割する第3の光分割器を備えてもよい。 Note that the OCT optical system is not limited to the above configuration, and the reflected light from the test object passes through the first detector and the second light splitter without passing through the first light splitter. It may be configured to have an optical path leading to the detector. In this case, the OCT optical system directs the reflected light from the test object to the first detector on the detector side of the second light splitter. A third light splitter may be provided to split the light path into a light path towards the second detector and a light path towards the second detector.
  <光量分割比>
  前述の第2の光分割器による被検物からの反射光の光量分割比に関して、光量分割比が、第1の検出器に向かう光路<第1の光分割器を介して第2の検出器に向かう光路となるように設定されてもよい。これによって、第1の検出器にて検出される第1の干渉信号と、第2の検出器にて検出される第2の干渉信号とを、適度なバランスにて検出できる。<Light amount division ratio>
 Regarding the light amount division ratio of the reflected light from the test object by the second light splitter, the light amount division ratio is such that the light path toward the first detector < the second detector via the first light splitter may be set so as to be an optical path directed to . Thereby, the first interference signal detected by the first detector and the second interference signal detected by the second detector can be detected with an appropriate balance.
また、第2の光分割器の光量分割比に関して、光量分割比が、光源に向かう光路<第2検出器に向かう光路となるように設定されてもよい。これによって、被検物からの反射光を効率よく第2の検出器に導くことができる。 Further, the light amount division ratio of the second light splitter may be set such that the light path toward the light source<the light path toward the second detector. Thereby, reflected light from the test object can be efficiently guided to the second detector.
なお、第1の光分割器及び第2の光分割器の光量分割比に関して、結果として、第1の検出器に向かう光路と第2の検出器に向かう光路との光量比が同一となるように互いに設定されてもよい。これによって、第1の干渉信号と第2の干渉信号の強度を均一化できるので、結果として、各干渉信号に基づく良好なOCTデータを取得できる。 Regarding the light amount division ratio of the first light splitter and the second light splitter, as a result, the light amount ratio of the light path toward the first detector and the light amount of the light path toward the second detector are the same. may be set to each other. This makes it possible to equalize the intensities of the first interference signal and the second interference signal, and as a result, it is possible to obtain good OCT data based on each interference signal.
また、第1の光分割器及び第2の光分割器の光量分割比に関して、第1の検出器と第2の検出器によって検出されるOCTデータの撮影部位での反射光量の違いを考慮して、光量分割比が設定されてもよい。 In addition, regarding the light amount division ratio of the first light splitter and the second light splitter, the difference in the reflected light amount at the imaging site of the OCT data detected by the first detector and the second detector is taken into consideration. , the light amount division ratio may be set.
  <FPNを用いた画像合成>
  OCT装置は、例えば、OCT光学系から出力されるスペクトル干渉信号を処理して被検物のOCTデータを取得するための演算処理部(例えば、プロセッサ)を備えてもよい。この場合、演算処理部は、例えば、第1の干渉信号に基づく第1のOCTデータと、第2の干渉信号に基づく第2のOCTデータとを、第1の検出器によって検出されたFPNと第2の検出器によって検出されたFPNとに基づいて合成することによって合成OCTデータを得てもよい。これによって、複数のOCTデータを精度よく合成できる。合成によって、一つのOCTデータでは足りない領域が補われる。<Image synthesis using FPN>
 The OCT apparatus may include, for example, a processing unit (eg, processor) for processing spectral interference signals output from the OCT optics to obtain OCT data of the subject. In this case, the arithmetic processing unit, for example, combines the first OCT data based on the first interference signal and the second OCT data based on the second interference signal with the FPN detected by the first detector. Synthetic OCT data may be obtained by synthesizing based on the FPN detected by the second detector. Thereby, a plurality of OCT data can be synthesized with high accuracy. The synthesis compensates for areas lacking in one piece of OCT data.
この場合、演算処理部は、FPN発生用の光学部材によって生成されたFPNを、OCTデータの合成に利用することによって、二つのOCTデータの相対的な位置情報を得て、データの合成を正確に行うことができる。例えば、演算処理部は、FPN発生用の光学部材の表面反射によって生成されたFPNを、OCTデータの合成に利用してもよく、この結果として、FPNの信号強度(SNR)の低下等を軽減できる。もちろん、演算処理部は、裏面反射や、コーティング等が施された面によって生成されたFPNを用いてOCTデータを合成してもよく、この場合、信号強度が減衰しているが、データ合成として一定の効果は得られる。 In this case, the arithmetic processing unit obtains relative position information of the two OCT data by using the FPN generated by the optical member for FPN generation to synthesize the OCT data, and synthesizes the data accurately. can be done. For example, the arithmetic processing unit may use the FPN generated by the surface reflection of the optical member for FPN generation to synthesize the OCT data. can. Of course, the arithmetic processing unit may synthesize OCT data using FPN generated by back surface reflection or a coated surface. In this case, the signal intensity is attenuated, but as data synthesis A certain effect can be obtained.
上記構成において、例えば、FPN生成光学系は、第1のFPNを発生させる第1の光学部材と、第1のFPNとは異なる位置に第2のFPNを発生させる第2の光学部材と、を少なくとも備え、少なくとも2つのFPN信号を生成するためのFPN生成光学系であってもよい。 In the above configuration, for example, the FPN generation optical system includes a first optical member that generates a first FPN and a second optical member that generates a second FPN at a position different from the first FPN. FPN generation optics for at least comprising and generating at least two FPN signals.
  この場合、演算処理部は、例えば、第1の干渉信号に基づく第1のOCTデータと、第2の干渉信号に基づく第2のOCTデータとを、第1の検出器によって検出された第1の光学部材によるFPNと第2の検出器によって検出された第2の光学部材によるFPNとに基づいて合成することによって合成OCTデータを得てもよい。これによれば、例えば、深さ方向の撮像レンジを広くできる。この場合、例えば、第1の光学部材によるFPNと第2の光学部材によるFPNとの離間に基づいて、第1のOCTデータと第2のOCTデータとが位置合わせされてもよい。
例えば、二つのOCT系で共通の部分のある範囲を撮影する場合は、異なるデータ間の重複領域を少なくすることが出来る。更に、二つの撮影領域の間には不連続な領域があってもよい。前眼部の撮影時に、第1のOCTデータは角膜前面から水晶体前面までを含み、第2のOCTデータは水晶体後面のみといった構成であってもよい。このような構成は、二つのOCT系で検出器を変えて、深さレンジが異なるような場合に特に有用である。In this case, the arithmetic processing unit, for example, combines the first OCT data based on the first interference signal and the second OCT data based on the second interference signal with the first data detected by the first detector. Synthetic OCT data may be obtained by combining based on the FPN due to the first optical member and the FPN due to the second optical member detected by the second detector. According to this, for example, the imaging range in the depth direction can be widened. In this case, for example, the first OCT data and the second OCT data may be aligned based on the distance between the FPN by the first optical member and the FPN by the second optical member.
 For example, when imaging a certain range of a common portion with two OCT systems, overlapping regions between different data can be reduced. Furthermore, there may be a discontinuous area between the two imaging areas. When imaging the anterior segment, the first OCT data may include the anterior surface of the cornea to the anterior surface of the lens, and the second OCT data may include only the posterior surface of the lens. Such a configuration is particularly useful when the two OCT systems have different detectors and different depth ranges.
なお、FPN生成光学系は、光路分割部材を備えてもよく、第1の光学部材は、光路分割部材によって分割された第1の光路に配置され、第2の光学部材は、光路分割部材によって分割された第2の光路に配置されてもよい。二つのFPN信号を用いる場合、感度が低い信号は精度を下げてしまうので、それぞれの信号強度は同程度に高いことが好ましく、これによって、各光学部材からの光を独立に制御することが可能となる。この場合、例えば、第1の光路と第2の光路は、互いに異なる光路長を持つと共に、第1の光路の分散量と、第2の光路の分散量とが等しくてもよい。これによって、各FPN信号における分散の影響を均一化でき、各FPN信号を均一よく検出でき、画像合成を精度よく行うことができる。また、前記の光路長差は、第1または第2のOCTデータの取得レンジに両方が収まる程度に小さければいっそう良い。両方が取得レンジ内に収まるようなOCTデータを取得し、これを解析することで、任意のタイミングで二つのFPNの離間をキャリブレーションすることが出来る。例えばFPNの位置そのものは、装置の使用環境(温度など)によって変動してしまう上、FPNの離間も光源の経年劣化に伴う波長ズレ等の影響によって、変動してしまうことが考えうる。しかし、本実施形態に係る合成に際してはFPN同士の離間情報を用い、またそれを任意のタイミングで測定・キャリブレーションを行うことで、像を長く安定に合成するよう保つことが出来る。 The FPN generation optical system may include an optical path dividing member, the first optical member is arranged in the first optical path divided by the optical path dividing member, and the second optical member is arranged in the first optical path divided by the optical path dividing member. It may be arranged in a split second optical path. When two FPN signals are used, the signal strength of each should be equally high, as the less sensitive signal will reduce the accuracy, so that the light from each optical element can be controlled independently. becomes. In this case, for example, the first optical path and the second optical path may have different optical path lengths, and the amount of dispersion in the first optical path may be equal to the amount of dispersion in the second optical path. As a result, the effect of dispersion on each FPN signal can be made uniform, each FPN signal can be uniformly detected, and image synthesis can be performed with high accuracy. Moreover, it is even better if the optical path length difference is small enough to fit both within the acquisition range of the first or second OCT data. By acquiring and analyzing OCT data such that both are within the acquisition range, the separation of the two FPNs can be calibrated at arbitrary timing. For example, the position of the FPN itself may fluctuate depending on the operating environment (temperature, etc.) of the apparatus, and the separation of the FPN may also fluctuate due to the influence of wavelength shifts due to aged deterioration of the light source. However, by using information about the distance between FPNs when synthesizing according to the present embodiment, and by performing measurement and calibration at arbitrary timing, images can be stably synthesized for a long time.
なお、第1の光路と第2の光路は、少なくとも片方のOCTチャンネルのDepth-rangeに収まる範囲で互いに異なる光路長を持つと共に、第1の光路の分散量と、前記第2の光路の分散量とが等しくてもよい。これによって、片方のOCTチャネルで精度よくキャリブレーションを行うことができる。 The first optical path and the second optical path have different optical path lengths within the depth-range of at least one of the OCT channels, and the dispersion amount of the first optical path and the dispersion of the second optical path are may be equal in quantity. This allows accurate calibration in one OCT channel.
なお、上記説明においては、少なくとも2つのFPN信号を生成するためのFPN生成光学系を用いたデータ合成を示したが、これに限定されず、例えば、演算処理部は、互いに共通する一つの光学部材によるFPN信号を用いて、異なるOCTデータを生成してもよい。この場合、FPN生成光学系の構成を簡略化できる。 In the above description, data synthesis using an FPN generation optical system for generating at least two FPN signals is shown, but the present invention is not limited to this. Different OCT data may be generated using FPN signals from members. In this case, the configuration of the FPN generation optical system can be simplified.
  <波数マッピング補正>
  演算処理部は、FPN信号を、OCTデータの合成と、各波数成分のマッピング状態を補正するための補正情報の取得とで、兼用してもよい。これによって、波数マッピングの補正情報を精度よく取得でき、合成OCTデータを好適に取得できる。<Wavenumber mapping correction>
 The arithmetic processing unit may use the FPN signal both to synthesize OCT data and to obtain correction information for correcting the mapping state of each wavenumber component. Thereby, the correction information of the wave number mapping can be acquired with high accuracy, and the synthetic OCT data can be preferably acquired.
この場合、例えば、演算処理部は、第1の検出器及び第2の検出器によって検出されたFPN信号を処理し、FPN信号に基づく各波数成分のマッピング情報に基づいて、各波数成分のマッピング状態を補正するための補正情報を得ると共に、第1の干渉信号に基づく第1のOCTデータと、第2の干渉信号に基づく第2のOCTデータとを補正情報を用いて取得してもよい。さらに、演算処理部は、第1の検出器によって検出されたFPNと第2の検出器によって検出されたFPNとに基づいて合成してもよい。 In this case, for example, the arithmetic processing unit processes the FPN signals detected by the first detector and the second detector, and maps each wavenumber component based on the mapping information of each wavenumber component based on the FPN signal. Correction information for correcting the condition may be obtained, and first OCT data based on the first interference signal and second OCT data based on the second interference signal may be obtained using the correction information. . Furthermore, the arithmetic processing unit may synthesize based on the FPN detected by the first detector and the FPN detected by the second detector.
  <偏波調整機構>
  OCT光学系の光路には、例えば、偏光調整部(ポラライザ)が設けられてもよく、偏光調整部は、測定光と参照光の少なくともいずれかの偏光状態を調整するために設けられてもよい。偏光調整部は、測定光の光路と参照光の光路の少なくともいずれかに配置されてもよい。なお、偏光調整部は、測定光の光路と参照光の光路が分岐される後の光路に配置され、測定光と参照光の偏光状態を一致させるために用いられてもよい。<Polarization adjustment mechanism>
 For example, a polarization adjuster (polarizer) may be provided in the optical path of the OCT optical system, and the polarization adjuster may be provided to adjust the polarization state of at least one of the measurement light and the reference light. . The polarization adjuster may be arranged in at least one of the optical path of the measurement light and the optical path of the reference light. The polarization adjuster may be arranged in an optical path after the optical path of the measurement light and the optical path of the reference light are branched, and used to match the polarization states of the measurement light and the reference light.
例えば、偏光調整部は、光路中の光ファイバーを回転させたり圧力を加えて、偏光方向を調整してもよい。また、偏光調整部は、1/2波長板又は1/4波長板を用いて偏光方向を調整してもよい。また、偏光調整部は、1/2波長板又は1/4波長板と同様の効果を持つプリズム(例えば、フレネルロム)等を組み合わせて実現してもよい。なお、偏光調整部は、少なくとも、S偏光の直線偏光、P偏光の直線偏光、円偏光との間で偏光方向を調整可能な構成であってもよい。 For example, the polarization adjuster may rotate the optical fiber in the optical path or apply pressure to adjust the polarization direction. Also, the polarization adjusting section may adjust the polarization direction using a half-wave plate or a quarter-wave plate. Also, the polarization adjusting section may be realized by combining a prism (for example, a Fresnel Rhomb) or the like having the same effect as a half-wave plate or a quarter-wave plate. The polarization adjusting section may be configured to be able to adjust the polarization direction between at least linearly polarized S-polarized light, linearly polarized P-polarized light, and circularly polarized light.
偏光調整部は、例えば、第1の参照光路と第2の参照光路の少なくともいずれかに配置され、参照光の偏光状態を調整してもよい。この場合、例えば、複数の偏光調整部が設けられてもよく、第1例として、偏光調整部は、第1の参照光路と第2の参照光路にそれぞれ配置され、第1の参照光路を通過する参照光の偏光状態と、第2の参照光路を通過する参照光の偏光状態とを、それぞれ調整してもよい。また、第2例として、偏光調整部は、第1の参照光路と第2の参照光路のいずれか一方と、測定光路とに配置され、第1の参照光路と第2の参照光路のいずれか一方を通過する参照光の偏光状態と、測定光路を通過する測定光の偏光状態とを、それぞれ調整してもよい。このように偏光調整部が複数設けられることによって、例えば、第1の検出器に基づく第1のOCTデータと、第2の検出器に基づく第2に基づく第2のOCTデータと、をそれぞれ適正に検出可能となる。 The polarization adjuster may be arranged, for example, in at least one of the first reference optical path and the second reference optical path, and adjust the polarization state of the reference light. In this case, for example, a plurality of polarization adjustment units may be provided. The polarization state of the reference light passing through the second reference light path and the polarization state of the reference light passing through the second reference light path may be adjusted. Further, as a second example, the polarization adjustment section is arranged in either one of the first reference optical path and the second reference optical path and the measurement optical path, and is arranged in either the first reference optical path or the second reference optical path. The polarization state of the reference light passing through one and the polarization state of the measurement light passing through the measurement optical path may be adjusted. By providing a plurality of polarization adjustment units in this way, for example, the first OCT data based on the first detector and the second OCT data based on the second detector can be properly adjusted. detectable at
OCT装置において、偏光調整部を制御する偏光制御部が設けられてもよく、例えば、制御部は、複数の偏光調整部を制御し、第1の検出器に基づく第1のOCTデータと、第2の検出器に基づく第2に基づく第2のOCTデータとがそれぞれ、所定の許容条件を満たすように偏光状態を調整してもよい。この場合、所定の許容条件としては、例えば、OCTデータが所定の信号強度に達した状態、又は、OCTデータの信号強度がピーク付近に達した状態であってもよい。この場合、第1のOCTデータに基づいて偏光状態を調整すると共に、第2のOCTに基づいて偏光状態を調整することで、各OCTデータを良好な状態で取得できる。この場合、例えば、偏光状態が変更される毎に、信号強度を評価するための評価値が算出され、評価値に基づいて偏光状態が調整されてもよい。 In the OCT apparatus, a polarization controller may be provided for controlling the polarization adjusters, for example, the controller controls the plurality of polarization adjusters to obtain first OCT data from a first detector and a first The polarization state may be adjusted such that the second OCT data based on the two detectors each meet predetermined tolerances. In this case, the predetermined permissible condition may be, for example, a state in which the OCT data reaches a predetermined signal strength, or a state in which the signal strength of the OCT data reaches near its peak. In this case, by adjusting the polarization state based on the first OCT data and adjusting the polarization state based on the second OCT data, each OCT data can be acquired in a favorable state. In this case, for example, an evaluation value for evaluating the signal intensity may be calculated each time the polarization state is changed, and the polarization state may be adjusted based on the evaluation value.
また、例えば、偏光制御部は、偏光調整部を制御し、第1の検出器によって検出されたFPNと第2の検出器によって検出されたFPNとの間の信号強度比が所定の許容条件を満たすように偏光状態を調整してもよい。この場合、所定の許容条件としては、例えば、信号強度比が所定の信号強度比に達した状態、又は、信号強度の差異が最も小さい状態であってもよい。この場合、例えば、偏光状態が変更される毎に、信号強度を評価するための評価値が算出され、評価値に基づいて偏光状態が調整されてもよい。また、第1または第2のOCTデータでFPN信号の分散が等しい場合は、信号の広がり(PSF)の類似度によって評価するのでも良い。例えば、各FPNは光源の分布によって特有のサイドローブを持つが、ピーク高さが一致するように係数倍を行ったときに、両者の相関(重なり具合)がどれだけかによって、偏光の一致度合いを判断するのでもよい。 Also, for example, the polarization control unit controls the polarization adjustment unit so that the signal intensity ratio between the FPN detected by the first detector and the FPN detected by the second detector satisfies a predetermined allowable condition. The polarization state may be adjusted to satisfy. In this case, the predetermined permissible condition may be, for example, a state in which the signal strength ratio reaches a predetermined signal strength ratio, or a state in which the signal strength difference is the smallest. In this case, for example, an evaluation value for evaluating the signal intensity may be calculated each time the polarization state is changed, and the polarization state may be adjusted based on the evaluation value. Moreover, when the variance of the FPN signal is equal in the first or second OCT data, the similarity of the signal spread (PSF) may be used for evaluation. For example, each FPN has a unique sidelobe due to the distribution of the light source, but when the peak heights are multiplied by a factor, the correlation (degree of overlap) between the two will determine the degree of matching of the polarization. may be judged.
なお、偏光調整部は、例えば、FPN生成光学系の光路に配置され、FPN生成光学系を通過する光の偏光状態を調整するために設けられてもよい。この場合、例えば、偏光制御部は、偏光調整部を制御し、二つのOCT系のうちのいずれかで取得される、FPN信号の信号強度を調整してもよい。これによって、FPN信号を適正な信号強度にて取得できるので、FPN信号を用いた各種処理を適正に行うことができる。その後更に他方のOCT系がもう一つの偏光調整部材を持つ場合は、これを制御して同FPNが所定の強度比またはPSF特性に従い、偏光調整を行ってもよい。 Note that the polarization adjustment unit may be arranged, for example, in the optical path of the FPN generation optical system and provided to adjust the polarization state of light passing through the FPN generation optical system. In this case, for example, the polarization controller may control the polarization adjuster to adjust the signal strength of the FPN signal acquired by either of the two OCT systems. As a result, the FPN signal can be obtained with an appropriate signal strength, so various processes using the FPN signal can be properly performed. After that, if the other OCT system has another polarization adjustment member, this may be controlled so that the same FPN performs polarization adjustment according to a predetermined intensity ratio or PSF characteristic.
  <実施例>
  本実施例では、OCT装置として、図1に示される光コヒーレンストモグラフィー(OCT)装置が用いられる。本実施例に係るOCT装置は、例えば、波長掃引式OCT(SS-OCT:Swept Source-OCT)を基本的構成とし、波長可変光源102、干渉光学系(OCT光学系)100、演算制御器(演算制御部)70と、を含む。その他、OCT装置には、メモリ72、表示部75、図示無き正面像観察系及び固視標投影系が設けられてもよい。演算制御器(以下、制御部)70は、波長可変光源102、干渉光学系100、メモリ72、表示部75に接続されている。<Example>
 In this embodiment, an optical coherence tomography (OCT) apparatus shown in FIG. 1 is used as the OCT apparatus. The OCT apparatus according to the present embodiment has, for example, a wavelength-swept OCT (SS-OCT: Swept Source-OCT) as a basic configuration, a variable wavelength
  干渉光学系100は、導光光学系150によって測定光を眼Eに導く。干渉光学系100は、参照光学系110に参照光を導く。干渉光学系100は、眼Eによって反射された測定光と参照光との干渉、によって取得される干渉信号光を検出器(受光素子)120に受光させる。さらに、本実施例の干渉光学系100は、FPN生成光学系200を備える(詳しくは後述する)。なお、干渉光学系100は、図示無き筐体(装置本体)内に搭載され、ジョイスティック等の操作部材を介して周知のアライメント移動機構により眼Eに対して筐体を3次元的に移動させることによって被検眼に対するアライメントが行われてもよい。  The interference
  干渉光学系100には、SS-OCT方式が用いられ、光源102として出射波長を時間的に高速で変化させる波長可変光源(波長走査型光源)が用いられる。光源102は、例えば、レーザ媒体、共振器、及び波長選択フィルタによって構成される。そして、波長選択フィルタとして、例えば、回折格子とポリゴンミラーの組み合わせ、ファブリー・ペローエタロンを用いたフィルタが挙げられる。また、光源102として、VCSEL式波長可変光源が用いられてもよい。  The interference
  カップラ(スプリッタ)104は、第1の光分割器として用いられ、光源102から出射された光を測定光路と参照光路に分割する。カップラー104は、例えば、光源102からの光を測定光路側の光ファイバー105に導光すると共に、参照光路側の参照光学系110に導光する。  A coupler (splitter) 104 is used as a first light splitter and splits the light emitted from the
  カップラ(スプリッタ)130は、第2の光分割器として用いられ、光ファイバー105からの光(測定光)を、導光光学系150の光路とFPN生成光学系200の光路に分割する。つまり、測定光路には、導光光学系150とFPN生成光学系200が設けられている。カップラ(スプリッタ)130は、ビームスプリッタであってもよいし、サーキュレータであってもよい。  A coupler (splitter) 130 is used as a second optical splitter and splits the light (measurement light) from the
  <導光光学系>
  導光光学系150は、測定光を眼Eに導くために設けられる。導光光学系150には、例えば、光ファイバー152、カップラー153、コリメータレンズ154、光スキャナ156、及び対物レンズ系158が順次設けられてもよい。この場合、測定光は、光ファイバー152、カップラー153を介して、コリメータレンズ154によって平行ビームとなり、光スキャナ156に向かう。光スキャナ156を通過した光は、対物レンズ系158を介して、眼Eに照射される。測定光は、前眼部及び後眼部の両方に照射され、各組織にて散乱・反射される。<Light guide optical system>
 A light guide
  光スキャナ156は、眼E上でXY方向(横断方向)に測定光を走査させてもよい。光スキャナ156は、例えば、2つのガルバノミラーであり、その反射角度が駆動機構によって任意に調整される。光源102から出射された光束は、その反射(進行)方向が変化され、眼底上で任意の方向に走査される。光スキャナ156としては、例えば、反射ミラー(ガルバノミラー、ポリゴンミラー、レゾナントスキャナ)の他、光の進行(偏向)方向を変化させる音響光学素子(AOM)等が用いられてもよい。  The
  この場合、測定光による眼Eからの散乱光(反射光)は、対物レンズ系158、光スキャナ156、コリメータレンズ154、カップラー153、光ファイバー152を経た後、カップラ―130に達する。カップラ130は、光ファイバー152からの光を、第1の検出器120aに向かう光路(例えば、光ファイバー115~カップラー350a)と、第2の検出器120bに向かう光路(例えば、光ファイバー105~カップラー104~光ファイバー117~カップラー350b)に分割する。  In this case, scattered light (reflected light) from the eye E due to the measurement light reaches the
  カップラー130によって分割された測定光のうち、第1の検出器120aに向かう光路を経由した測定光は、カップラ350aにて、第1の参照光路110aからの参照光と合波されて干渉する。また、第2の検出器120bに向かう光路を経由した測定光は、カップラ350bにて、第2の参照光路110bからの参照光と合波されて干渉する。  Of the measurement light split by the
  <参照光学系>
  参照光学系110は、眼Eでの測定光の反射によって取得される反射光と合成される参照光を生成する。参照光学系110を経由した参照光は、カップラ(例えば、カップラ350a、350b)にて測定光路からの光と合波されて干渉する。参照光学系110は、マイケルソンタイプであってもよいし、マッハツェンダタイプであってもよい。<Reference optical system>
 The reference
  参照光学系110は、例えば、反射光学系によって形成され、カップラー104からの光を反射光学系により反射することにより検出器120に導いてもよい。参照光学系110は、透過光学系によって形成されてもよい。この場合、参照光学系110は、カップラー104からの光を戻さず透過させることにより検出器120へと導く。
  なお、測定光路と参照光路の少なくともいずれかには、測定光と参照光との光路長差を調整するための光学部材が配置されてもよい。例えば、コリメータレンズ154とカップラー153とが一体的に移動されることで、測定光の光路長が調整され、結果として、測定光と参照光との光路長差が調整されてもよい。もちろん、参照光路に配置された光学部材が移動されることによって、結果として、測定光と参照光との光路長差が調整されてもよい。  At least one of the measurement light path and the reference light path may be provided with an optical member for adjusting the optical path length difference between the measurement light and the reference light. For example, by integrally moving the
  本実施例において、参照光学系110として、複数の参照光路が設けられてもよく、例えば、第1の参照光路110aと、第2の参照光路110bとが設けられてもよい。  In this embodiment, a plurality of reference optical paths may be provided as the reference
  参照光学系110は、例えば、参照光路を第1の参照光路110aと、第2の参照光路110bに分割するための光分割器(例えば、カップラ111)が設けられてもよい。第1の参照光路110aと、第2の参照光路110bの少なくともいずれかには、例えば、参照光の光路長を変更するために移動される光学部材112が設けられてもよい。光学部材112は、制御部70によって制御される図示なき駆動部によって移動されてもよい。  The reference
  例えば、カップラ104からの参照光は、カップラ111によって第1の参照光路110aと第2の参照光路110bに分割される。第1の参照光路110aを経由した参照光は、カップラ350aにて、光ファイバ115からの測定光と合波されて干渉する。第2の参照光路110bを経由した参照光は、カップラ350bにて、光ファイバ117からの測定光と合波されて干渉する。  For example, the reference beam from
  第1の参照光路110aと、第2の参照光路110bは、互いに異なる光路長に設定されてもよい。これによって、例えば、互いに異なる深さ領域に対応する干渉信号を同時に取得でき、結果として、広範囲のOCTデータを同時に取得できる。  The first reference
  例えば、第1の参照光路110aが、被検眼における第1の深さ領域(例えば、水晶体、眼底)に対応する干渉信号を得るために設けられ、第2の参照光路110bは、被検眼における第2の深さ領域(例えば、角膜)に対応する干渉信号を得るために設けられてもよい。この場合、第2の深さ領域は、第1の深さ領域に対して異なる領域に設定される。この場合、第1の深さ領域と第2の深さ領域は、互いに分離した領域であってもよいし、互いに隣接した領域であってもよいし、一部が重複した領域であってもよい。  For example, a first reference
  なお、第1の参照光路110aと、第2の参照光路110bは、同じ光路長に設定されてもよい。これによって、例えば、同一の深さ領域に対応する干渉信号を同時に取得でき、結果として、同一領域に関する複数のOCTデータを同時に取得できる。  Note that the first reference
  <光検出器>
  検出器120は、測定光路からの光と参照光路からの光による干渉を検出するために設けられている。なお、検出器120は、受光素子であってもよく、例えば、受光部が一つのみからなるポイントセンサであって、例えば、アバランシェ・フォト・ダイオードが用いられてもよい。<Photodetector>
 A
  本実施例では、検出器120として、第1の検出器120aと、第1の検出器120aとは異なる第2の検出器120bと、が設けられてもよい。第1の検出器120aは、第1の参照光路110aからの参照光と光ファイバー115からの測定光との第1の干渉信号を検出するための検出器として設けられてもよい。第2の検出器120bは、第2の参照光路110bからの参照光と光ファイバ117からの測定光との第2の干渉信号を検出するための検出器として設けられてもよい。この場合、第1の検出器120aにて第1の干渉信号を検出すると同時に、第2の検出器120bにて第2の干渉信号を検出することによって、第1の干渉信号と第2の干渉信号を同時に検出可能である。  In this embodiment, as the
  なお、第1の検出器120a、第2の検出器120bは、それぞれ平衡検出器であってもよい。この場合、第1の検出器120a、第2の検出器120bは、複数の受光素子をそれぞれ備え、第1受光素子からの干渉信号と第2受光素子からの干渉信号との差分を得て、干渉信号に含まれる不要なノイズを削減できる。  Note that the
  <FPN生成光学系>
  FPN生成光学系200は、FPN信号を生成するために設けられてもよい。FPN生成光学系200は、FPNを発生させる光学部材(例えば、第1の光学部材204又は第2の光学部材206)を少なくとも一つ備えてもよい。本実施例において、FPN生成光学系200は、測定光が被検眼に向かう光路から分岐された位置に配置されている。<FPN generation optical system>
  FPN生成光学系200としては、例えば、反射光学系であってもよく、FPN発生用光学部材としては、例えば、光反射部材(例えば、ミラー)が用いられてもよい。なお、本実施例においては、FPNを発生させる光学部材を複数設けたが、これに限定されず、FPN生成光学系200は、FPNを発生させる光学部材を一つ備える構成であってもよい。  The FPN generating
  第1の検出器120aには、第1の干渉信号と共にFPN信号が検出され、第2の検出器120bには、第2の干渉信号と共にFPN信号が検出される。FPN信号は、例えば、第1の干渉信号に基づく第1のOCTデータと、第2の干渉信号に基づく第2のOCTデータとの合成(詳しくは後述する)、各干渉信号の波数マッピング補正、偏光調整等に用いられてもよい。  The
  例えば、FPN生成光学系200は、第1のFPN信号と第2のFPN信号を生成するために設けられてもよい。例えば、FPN生成光学系200は、第1のFPNを発生させる第1の光学部材204と、第2のFPNを発生させる第2の光学部材206と、を少なくとも備えてもよい。第2の光学部材206は、第2の光学部材を経由した光が、第1の光学部材204を経由した光による光路長とは異なるように配置されてもよい。これによって、第2のFPNは、第1のFPNに対して異なる位置に発生される。なお、後述するゼロディレイ位置は、OCTデータ上において、測定光の光路長と参照光の光路長とが一致する位置に対応する。  For example,
  第1の光学部材204と第2の光学部材206とが同時に使用されることによって、2つのFPN信号を同時に生成することが可能であり、これによって、2つのFPN信号を処理する際の時間的なずれの影響を軽減できる。なお、FPN光学系200は、3つ以上のFPN発生用光学部材を備えてもよく、これらが同時に使用されることによって、3つ以上のFPN信号を同時に生成することが可能である。  The simultaneous use of the first
  FPN生成光学系200としては、例えば、反射光学系であってもよく、FPN発生用光学部材としては、例えば、光反射部材(例えば、ミラー)が用いられてもよい。本実施例では、第1のFPN発生用光学部材204、第2のFPN発生用光学部材206としてミラーが用いられているが、これに限定されない。  The FPN generating
  この場合、カップラ130からの光は、第1の光学部材204又は第2の光学部材206を経由した後、カップラ130に戻され、導光光学系150からの光と同様の経路を経て、カップラ350a,カップラ350bに達する。FPN生成光学系200からの光は、カップラ350a,350bにて参照光と合波されて干渉する。なお、光源102~FPN生成光学系200~カップラ350a,350bの光路長と、光源102~参照光学系110~カップラ350a,350bまでの光路長は、ほぼ同じ長さに設定されてもよい。  In this case, the light from the
  例えば、第1の光学部材204を経由した光が参照光と干渉することによって、第1のFPNに対応する干渉信号光が生成され、検出器120には第1のFPN信号が生成され、第2の光学部材206を経由した光が参照光と干渉することによって、第2のFPNに対応する干渉信号光が生成され、検出器120には第2のFPN信号が生成される。結果として、例えば、検出器120には、第1のFPN信号と第2のFPN信号の両方が同時に検出される。  For example, interference signal light corresponding to the first FPN is generated by the light passing through the first
  FPN信号を所定の処理に用いる場合、検出器120a、検出器120bのそれぞれにおいて、第1のFPN信号と第2のFPN信号の両方が同時に検出されてもよいし、検出器120aにおいて一方のFPN信号が検出され、検出器120bにおいて他方のFPN信号が検出されてもよい。また、検出器120a、検出器120bの一方において、第1のFPN信号と第2のFPN信号の両方が同時に検出され、検出器120a、検出器120bの他方において第1のFPN信号と第2のFPN信号の一方が検出されてもよい。また、検出器120a、検出器120bの一方において、少なくとも一つのFPN信号が検出され、また、検出器120a、検出器120bの他方において、FPN信号が検出されなくてもよい。  When the FPN signal is used for predetermined processing, both the first FPN signal and the second FPN signal may be detected simultaneously in each of the
  なお、FPN生成光学系200には、光量モニタ210が配置されてもよく、光源102からの光は、ビームスプリッタ208を介して光量モニタ120によって検出される。光量モニタ120からの出力信号は、光源102の出射光量が適正か否かを判定するために用いられてもよい。  A light amount monitor 210 may be arranged in the FPN generation
  <光量分岐比>
  ここで、カップラー130は、カップラー104からの光を、導光光学系150の光路とFPN生成光学系200の光路に分割すると共に、導光光学系150及びFPN生成光学系200からの光を、第1の検出器350aへと向かう光路(例えば、光ファイバー115~カップラー350a)と、カップラー104へと向かう光路(例えば、光ファイバー105~カップラー104~光ファイバー117~カップラー350b)と、に分割する。<Light amount branching ratio>
 Here, the
  ファイバー105からの光を分割する際のカップラー130の光量分割比S1は、導光光学系150よりもFPN生成光学系200に多くの光が導かれるように設定されてもよい。この場合、ファイバー105からの光がカップラ130―によって分割される光量比は、導光光学系150<FPN生成光学系200となる。  The light amount division ratio S1 of the
  導光光学系150からの光を分割する際のカップラー130の光量分割比S2は、光量分割比S1に依存する。この結果、導光光学系150からの光に関し、第1の検出器120aに向かう光路よりも、第2の検出器120aに向かう光路に、多くの光が導かれる。この場合、導光光学系150からの光がカップラー130によって分割される光量比は、第1の検出器120aに向かう光路<カップラー104に向かう光路となる。  The light quantity splitting ratio S2 of the
  第1の検出器120aに向かう光路を経由した測定光は、第1の参照光路110aからの光と干渉した後、第1の検出器120aにて第1の干渉信号として検出される。一方、カップラー104に向かう測定光は、カップラー104によって、光源102に向かう光路と、第2の検出器120bに向かう光路(例えば、光ファイバー117~カップラー350b)に分割される。カップラー130からの光を分割する際の光量分割比S4は、光源102からの光を測定光路と参照光路とに分割する際の光量分割比S3に依存する。光量分割比S3が、測定光路よりも参照光路に多くの光が導かれるように設定された場合、カップラー130からの光がカップラー104によって分割される光量比は、光源102に向かう光路<第2の検出器120bに向かう光路となる。この結果、カップラ130からの光に関し、光源102に向かう光路よりも、第2の検出器120bに向かう光路に多くの光が導かれる。第2の検出器120bに向かう光路を経由した測定光は、第2の参照光路110bからの光と干渉した後、第2の検出器120bにて第2の干渉信号として検出される。  After the measurement light passing through the optical path toward the
  上記構成をまとめると、カップラー130の光量分割比S2に関して、第1の検出器120aに向かう光路<カップラー104に向かう光路であり、カップラー104の光量分割比S4に関して、光源102に向かう光路<第2の検出器120bに向かう光路にて設定されている。  To summarize the above configuration, with respect to the light amount division ratio S2 of the
  この結果として、第1の検出器120aにて検出される第1の干渉信号と、第2の検出器120bにて検出される第2の干渉信号と、を適度なバランスにて検出できる。つまり、カップラー104を経由して第2の検出器120bに向かう光路の場合、導光光学系150からの光は、複数の光分割器(例えば、カップラ130、カップラー104)を経由するので、光量減衰の回数が多いのに対し、第1の検出器120aに向かう光路の場合、導光光学系150からの光は、カップラー130を経由して第1の検出器120aに達するので、光量減衰の回数が相対的に少ない。  As a result, the first interference signal detected by the
  そこで、カップラー130の光量分割比S2に関して、第1の検出器120aに向かう光路<カップラー104に向かう光路であり、カップラー104の光量分割比S4に関して、光源102に向かう光路<第2の検出器120bに向かう光路であることで、光量減衰が複数回行われたとしても、光量減衰を軽減でき、結果として、第1の検出器120aと第2の検出器120bとの間で信号強度の差異を少なくできる。したがって、第1の検出器120aによって得られるOCTデータと第2の検出器120bによって得られるOCTデータとの信号強度の差異が少なくなり、それぞれ適正なOCTデータを取得できる。  Therefore, with respect to the light amount division ratio S2 of the
  なお、カップラー130の光量分割比S2と、カップラー104の光量分割比S4に関して、第1の検出器120aに向かう光路と第2の検出器120bに向かう光路との光量比が同一となるように設定されてもよい。その一例としては、カップラー130の光量分割比S2に関して、第1の検出器120aに向かう光路:カップラー104に向かう光路=6:4、カップラー102の光量分割比S4に関して、光源102に向かう光路:第2の検出器120bに向かう光路=1:2となるように設定されてもよい。  The light amount division ratio S2 of the
  上記限定されず、カップラー130の光量分割比S2と、カップラー104の光量分割比S4に関して、第1の検出器120aと第2の検出器120bによって検出されるOCTデータの撮影部位での反射光量の違いを考慮して、光量分割比が設定されてもよい。つまり、被検眼の角膜からの反射光は、反射光量が大きいが、水晶体及び眼底からの光は、反射光量が相対的に少ない。そこで、撮影部位による反射光量比を考慮して、結果として、第1の検出器120aと第2の検出器120bとの間でのOCTデータの信号強度が同一となるように、カップラー130の光量分割比S2と、カップラー104の光量分割比S4が設定されてもよい。  Not limited to the above, regarding the light amount division ratio S2 of the
  なお、本実施例において、導光光学系150からの光を複数の検出器に導光させる際、1つの光分割器(例えば、カップラー130)を介して第1の検出器120aに向かう光と、複数のカップラー(例えば、カップラー130、カップラー104)を介して第2の検出器120bに向かう光に分けたのは、導光光学系150からの光をより多く効率的に各検出器に導かれるためである。このような光学配置は、光源120の出射光量が限られており、被検眼からの反射光が微弱であるような場合に、特に有利である。  In this embodiment, when the light from the light guide
  図2は、本実施例に係るFPN生成光学系の一例を示す図である。FPN生成光学系200は、例えば、第1の光学部材204を備える第1の光路203と、第2の光学部材206を備える第2の光路205とを少なくとも備えてもよい。ここで、第1の光路203と第2の光路205との間において、第1の光路203の光路長と第2の光路205の光路長が異なることによって、第2のFPNは、第1のFPNとは異なる位置に生成される。例えば、第2の光路205の光路長が第1の光路203の光路長よりも長いことによって、第1のFPNよりもゼロディレイから離れた位置に生成される。  FIG. 2 is a diagram showing an example of the FPN generating optical system according to this embodiment. The
  FPN生成光学系200は、光路分割部材202(例えば、ビームスプリッタ)を備えてもよく、光路分割部材202は、光源側の光路を、第1の光路203と第2の光路205とに分割するために設けられてもよい。第1の光学部材204は、光路分割部材202によって分割された第1の光路203に配置されており、第2の光学部材206は、光路分割部材202によって分割された第2の光路に配置されている。  The FPN generation
  第1の光路203と第2の光路205は、互いに異なる光路長を持つ。つまり、光路分割部材202の分岐位置から第1の光学部材204までの光路長と、光路分割部材202の分岐位置から第2の光学部材206までの光路長は異なる。この結果として、第1の光学部材204によって形成される第1のFPNと、第2の光学部材206によって形成される第2のFPNは、OCT画像上において深さ方向に異なる位置に形成される。なお、深さ方向における第1のFPNと第2のFPNとの間の距離は、第1の光路203と第2の光路205との間の光路長差に起因する。  The first
  また、第1の光路203と第2の光路205は、互いに等しい光学的分散量に設定(構築)されている。この結果として、第1のFPNを用いて算出される各波数成分のマッピング情報(以下、第1の波数マッピング情報)と、第2のFPNを用いて算出される各波数成分のマッピング情報(以下、第2の波数マッピング情報)との間の差分に基づいて、各波数成分のマッピング状態を補正するための補正情報を演算により求める際、各マッピング情報に含まれる分散成分を適正にキャンセルできるので、補正情報を精度よく求めることができる(詳しくは、後述する)。この場合、互いに等しい分散量としては、厳密に同一である必要は必ずしもなく、一定の精度を確保し、分散成分を適正にキャンセルできればよい。  Also, the first
  <偏波調整機構>
  本実施例のOCT光学系100において、複数の偏光調整部が設けられてもよく、例えば、OCT光学系100の光路には、第1の偏光調整部300、第2の偏光調整部302、第3の偏光調整部304が設けられてもよい(図1参照)。<Polarization adjustment mechanism>
 In the OCT
  第1の偏光調整部300は、第1の参照光路110aの光路に配置され、第1の参照光路110aを経由する参照光の偏光状態を調整するために設けられてもよい。第2の偏光調整部302は、第2の参照光路110bの光路に配置され、第2の参照光路110bを経由する参照光の偏光状態を調整するために設けられてもよい。第3の偏光調整部304は、FPN生成光学系200の光路に配置され、FPN生成光学系200の光路を経由する光の偏光状態を調整するために設けられてもよい。  The first
  <深さ情報の取得>
  光源102により出射波長が変化されると、これに対応する干渉信号光が検出器120に受光され、結果的に、スペクトル信号として検出器120によって検出される。制御部70は、検出器120によって検出されたスペクトル信号を処理(フーリエ解析)し、被検眼のOCTデータを得る。<Acquisition of depth information>
 When the emitted wavelength is changed by the
スペクトル信号(スペクトルデータ)は、波長λの関数として書き換えられ、波数k(=2π/λ)に関して等間隔な関数I(k)に変換されてもよい。あるいは、初めから波数kに関して等間隔な関数I(k)として取得されてもよい(K―CLOCK技術)。演算制御器は、波数k空間でのスペクトル信号をフーリエ変換することにより深さ(Z)領域におけるOCTデータを得てもよい。 The spectral signal (spectral data) may be rewritten as a function of wavelength λ and transformed into a function I(k) equally spaced with respect to wavenumber k (=2π/λ). Alternatively, it may be acquired as a function I(k) equally spaced with respect to wavenumber k from the beginning (K-CLOCK technique). The arithmetic controller may obtain OCT data in the depth (Z) domain by Fourier transforming the spectral signal in wavenumber k-space.
  さらに、フーリエ変換後の情報は、Z空間での実数成分と虚数成分を含む信号として表されてもよい。制御部70は、Z空間での信号における実数成分と虚数成分の絶対値を求めることによりOCTデータを得てもよい。  Furthermore, information after Fourier transformation may be represented as a signal containing real and imaginary components in Z space. The
  本実施例では、制御部70は、第1の検出器120aによって検出された第1の干渉信号を処理して第1のOCTデータを得ると共に、第2の検出器120bによって検出された第2の干渉信号を処理して第2のOCTデータを得てもよい。ここで、第1の参照光路110aと第2の参照光路120bとが異なる光路長に設定される場合、第1のOCTデータと第2のOCTデータは、深さ方向に関して少なくとも一部が異なる領域のOCTデータが取得され、第1の参照光路110aと第2の参照光路120bとが同じ光路長に設定される場合、第1のOCTデータと第2のOCTデータは、深さ方向に関して同じ領域のOCTデータが取得される。  In this embodiment, the
  <制御系>
  制御部70は、CPU(プロセッサ)、RAM、ROM等を備えてもよい(図1参照)。例えば、制御部70のCPUは、OCT装置の制御を司ってもよい。RAMは、各種情報を一時的に記憶する。制御部70のROMには、OCT装置の動作を制御するための各種プログラム、初期値等が記憶されてもよい。<Control system>
 The
  制御部70には、記憶部としての不揮発性メモリ(以下、メモリに省略する)72、表示部75等が電気的に接続されてもよい。メモリ72には、電源の供給が遮断されても記憶内容を保持できる非一過性の記憶媒体が用いられてもよい。例えば、ハードディスクドライブ、フラッシュROM、および、OCT装置に着脱可能に装着されるUSBメモリ等をメモリ72として使用することができる。メモリ72には、OCTデータの取得及びOCT画像の撮影を制御するための制御プログラムが記憶されてもよいし、FPNを用いてOCT画像を合成するための演算処理プログラム、各波数成分のマッピング状態を補正するための補正情報を得る演算処理プログラム等が記憶されてもよい。また、メモリ72には、OCTデータから生成されるOCT画像の他、撮影に関する各種情報が記憶されてもよい。表示部75は、OCTデータから生成されるOCT画像を表示してもよい。  The
  <FPNを用いた画像合成>
  制御部70は、第1の干渉信号に基づく第1のOCTデータと、第2の干渉信号に基づく第2のOCTデータとを、第1の検出器120aによって検出されたFPN信号と第2の検出器120bによって検出されたFPN信号とに基づいて合成することによって合成OCTデータを得てもよい(図3~図5参照)。つまり、FPN信号は、複数のOCTデータを合成するための基準信号として用いられてもよい。ここで、第2のOCTデータは、第1のOCTデータに対して被検眼上の深さ領域の少なくとも一部が異なってもよい。<Image synthesis using FPN>
 The
  一例としては、FPN生成光学系200においてFPN発生用の光学部材(例えば、光学部材204、206)の配置位置は既知であるから、第1のOCTデータと第2のOCTデータとの位置関係をFPN信号を用いて設定してもよい。  As an example, since the arrangement positions of the optical members for FPN generation (for example, the
  これによって、第1のOCTデータと第2のOCTデータとの位置関係を適正に設定できる。なお、本実施例では、第1のOCTデータが第1の検出器120aにて検出されると同時に、第2のOCTデータが第2の検出器120bにて検出されるので、被検眼の移動などによる位置ズレも軽減できる。  This makes it possible to properly set the positional relationship between the first OCT data and the second OCT data. In this embodiment, the first OCT data is detected by the
  例えば、FPN生成光学系200は、第1のFPNを発生させる第1の光学部材(例えば、第1の光学部材204)と、第1のFPNとは異なる位置に第2のFPNを発生させる第2の光学部材(例えば、第2の光学部材206)と、を少なくとも備え、少なくとも2つのFPN信号を生成するためのFPN生成光学系であってもよい。  For example, the FPN generation
  制御部70は、第1の干渉信号に基づく第1のOCTデータと、第2の干渉信号に基づく第2のOCTデータとを、第1の検出器120aによって検出された第1の光学部材によるFPNと第2の検出器120bによって検出された第2の光学部材によるFPNとに基づいて合成することによって合成OCTデータを得てもよい。  The
  図3、4はFPN信号を用いて複数のOCTデータを合成する場合のデータの一例を示す図であり、図3は合成前、図4は合成後のイメージ図である。FPN1は、第1の光学部材204によって生成されたFPN信号であり、FPN2は、第2の光学部材206によって生成されたFPN信号である。  3 and 4 are diagrams showing an example of data when a plurality of OCT data are synthesized using FPN signals, FIG. 3 is an image diagram before synthesis, and FIG. 4 is an image diagram after synthesis. FPN1 is the FPN signal generated by the first
  図3においては、第1のOCTデータには、FPN1が形成され、第2のOCTデータ
には、FPN2が形成される。第1のOCTデータは、第1の参照光路110a及び第1の検出器110aを用いて取得され、第2のOCTデータは、第2の参照光路110b及び第2の検出器110bを用いて取得されてもよい。In FIG. 3, FPN1 is formed in the first OCT data, and FPN2 is formed in the second OCT data. First OCT data is acquired using a first reference
  FPN信号を用いてOCTデータ間の位置関係を設定する場合、制御部70は、例えば、第1のOCTデータに含まれるFPN1と第2のOCTデータに含まれるFPN2を用いてOCTデータ間の位置関係を設定してもよい。ここで、制御部70は、深さ方向におけるFPNの位置を検出し、FPNの検出位置を基準として複数のOCTデータを合成してもよい(図4参照)。  When setting the positional relationship between OCT data using the FPN signal, the
  ここで、第1の光学部材204と第2の光学部材204との間の位置関係は既知であるから(例えば、光路長ΔD)、制御部70は、第1のOCTデータと第2のOCTデータとを合成する場合、FPN1とFPN2の位置を検出し、FPN1の検出位置とFPN2の検出位置とが光路長ΔD分離間するように合成してもよい。なお、複数のOCTデータ間の重複部分に関する合成について、いずれか一方のOCTデータを用いるようにしてもよいし、両方のOCTデータの平均を求めるようにしてもよい。  Here, since the positional relationship between the first
  制御部70は、上記のようにして合成された合成OCTデータに基づいて被検眼の寸法(例えば、前房深度、眼軸長等)を測定してもよく、さらに、得られた測定結果を表示部75上に表示してもよい。  The
  図5は、FPN信号を用いて複数のOCTデータを合成する場合のデータの変容例を示す図であり、第3のOCTデータには、FPN1とFPN2が形成されている。ここで、第3のOCTデータは、第1の参照光路110a及び第1の検出器110aを用いて取得されてもよく、第1の参照光路110aの光路長が調整されることで、第3のOCTデータが取得されてもよい。  FIG. 5 is a diagram showing an example of transformation of data when combining a plurality of OCT data using an FPN signal. FPN1 and FPN2 are formed in the third OCT data. Here, the third OCT data may be acquired using the first reference
  ここで、制御部70は、第3のOCTデータを利用して、第1のOCTデータと第2のOCTデータとの位置関係を設定してもよい。この場合、制御部70は、例えば、第1のOCTデータ上でのFPN1の検出位置と、第3のOCTデータ上でのFPN1の検出位置が、深さ方向に関して同じ位置となるように位置関係を設定してもよく、さらに、制御部70は、例えば、第2のOCTデータ上でのFPN2の検出位置と、第3のOCTデータ上でのFPN2の検出位置が、深さ方向に関して同じ位置となるように位置関係を設定してもよい。これによれば、仮に、FPN発生用の光学部材の位置が経年変化によって変動したとしても、実際の位置関係を利用できるので、第1のOCTデータと第2のOCTデータとの位置関係をより安定的に設定可能である。  Here, the
  なお、深さ方向におけるFPNの位置を検出する場合、例えば、制御部70は、検出器120a、120bにて取得されたOCTデータを処理し、FPN発生用の光学部材(例えば、第1の光学部材204又は第2の光学部材206)によるFPN信号を抽出してもよい。FPN信号の信号強度は既知であるから、制御部70は、例えば、OCTデータの各輝度信号に対し、FPN信号を得るために設定された閾値を超えるか否を判定することによって、FPN発生用の光学部材に対応するFPN信号(基準信号)を抽出できる。なお、FPN1とFPN2は、既知の配置を利用して判別可能である。  When detecting the position of FPN in the depth direction, for example, the
  なお、上記手法に限定されず、図5の第3のOCTデータを第1のOCTデータとし、図5の第2のOCTデータとして、これらを合成するようにしてもよい(図6参照)。この場合、第1のOCTデータには、FPN1とFPN2が形成され、第2のOCTデータには、FPN2が形成される。第1のOCTデータは、第1の参照光路110a及び第1の検出器110aを用いて取得され、第2のOCTデータは、第2の参照光路110b及び第2の検出器110bを用いて取得されてもよい。  The method is not limited to the above method, and the third OCT data in FIG. 5 may be used as the first OCT data and the second OCT data in FIG. 5 may be synthesized (see FIG. 6). In this case, FPN1 and FPN2 are formed in the first OCT data, and FPN2 is formed in the second OCT data. First OCT data is acquired using a first reference
  この場合、制御部70は、FPN2の位置を検出し、その検出位置を利用してOCTデータ間の位置関係を設定してもよいし、第1のOCTデータのFPN2と、第2のOCTデータのFPN2とを画像処理によってマッチングさせることによって位置関係を設定してもよい。この場合、制御部70は、合成OCTデータにおいて、第1のOCTデータのFPN1と第2のOCTデータのFPN1とが深さ方向において一致するように合成を行ってもよい。  In this case, the
  なお、本実施例において、FPN生成光学系200について、第1の光学部材204が配置された第1の光路203と、第2の光学部材206が配置された第2の光路205は、互いに等しい光学的分散量に設定(構築)されている。この結果として、FPNによるPSF信号は相似形となるので、例えば光源の質が悪く、PSFが単峰性でない場合などでも、相応するピーク位置を検出しやすく、離間を容易に決定することが出来る。  In this embodiment, in the FPN generation
  図6は、一つのFPNを用いて画像合成を行う一例として考えることも可能である。FPN1の生成は必ずしも必須ではない。つまり、本実施例のFPN光学系200が、一つのFPN発生用の光学部材を備える場合であっても、画像合成は可能であり、装置の構成の簡略化が可能だが、複数のFPN信号を用いる場合と比較して深さ方向の撮像レンジが狭くなると共に、異なるOCTデータ間での重複領域が多くなる。一方、共通領域を設ける場合は、複数のFPN信号を用いることで、深さ方向の撮像レンジが広くできると共に、異なるOCTデータ間での重複領域を少なくできる。その他、間に不連続な領域を含んでもよい。この場合も、両者の離間が正確にわかるので、例えば眼の調節機能を調べたりする場合に有用である。  FIG. 6 can also be considered as an example of image synthesis using one FPN. Generation of FPN1 is not necessarily essential. In other words, even if the FPN
  なお、本実施例に係るFPN生成光学系200について、OCTデータの合成に用いるFPN発生用の光学部材(例えば、第1の光学部材204、第2の光学部材206)は空気中に配置されており、その表面反射によって生成されたFPNが画像合成に利用されるので、この結果として、FPNの信号強度(SNR)の低下等を軽減できるので、FPNを用いたOCTデータの合成を正確に行うことができる。  In the FPN generation
なお、FPN信号を得るタイミングとしては、例えば、電源投入時に実施されてもよいし、被検者が変更される毎に実施されてもよい。また、OCT光学系における撮影条件を最適化する最適化制御の際に実施されてもよい。もちろん、これに限定されず、常時実施されてもよい。例えば、制御部は、FPN信号を含むOCTデータを予め取得しておき、予め取得されたFPN信号を用いて、後に取得されたOCTデータの合成、マッピング状態の補正、偏光調整等を行うようにしてもよい。 As for the timing of obtaining the FPN signal, for example, it may be performed when the power is turned on, or may be performed each time the subject is changed. Also, it may be performed during optimization control for optimizing the imaging conditions in the OCT optical system. Of course, it is not limited to this, and may be performed all the time. For example, the control unit acquires OCT data including an FPN signal in advance, and uses the FPN signal acquired in advance to perform synthesis of OCT data acquired later, correction of the mapping state, polarization adjustment, and the like. may
  <遮光部材>
  なお、FPN生成光学系200の光路に遮光部材又は減光部材が配置されることによって、被検眼の観察又は撮影に用いるOCTデータのFPN信号を軽減するようにしてもよい。この場合、第1の光路と第2の光路との少なくともいずれかが遮光又は減光されることで、OCTデータ上でのFPN信号を軽減するようにしてもよい。これらは、診断・観察等に用いるOCTデータを得る場合において有効である。また、これに限定されず、OCTデータに含まれるFPN信号を信号処理によって除去するようにしてもよい。<Light shielding member>
 A light shielding member or a light reducing member may be placed in the optical path of the FPN generating
  例えば、FPN生成光学系200の光路には、第1の光路を遮光するための第1の遮光部材210と、第2の光路を遮光するための第2の遮光部材212と、が各光路に対して挿脱可能に配置されてもよい。  For example, in the optical path of the FPN generation
  <波数マッピングの補正>
  図7は、本実施例に係るOCTデータの一例を示す図であり、OCTデータ上には、第1のFPN信号と第2のFPN信号とが同時に形成されている。なお、OCTデータ上には、被検眼のOCT画像が含まれていてもよい。<Correction of wavenumber mapping>
 FIG. 7 is a diagram showing an example of OCT data according to the present embodiment, in which a first FPN signal and a second FPN signal are simultaneously formed on the OCT data. Note that the OCT data may include an OCT image of the subject's eye.
  この場合、制御部70は、第1のFPNと第2のFPNの両方を同時に含む信号を処理して、各波数成分のマッピング状態を補正するための補正情報を取得しても追い。つまり、制御部70は、例えば、補正情報を得る演算処理器として用いられてもよい。また、OCT光学系を駆動させる制御部とは異なるプロセッサによって、補正情報が取得されてもよい。なお、制御部70は、例えば、OCT画像の撮影中ないし撮影前に、光源102により波長が掃引されることに伴う少なくとも2つのFPN信号の位相差情報を利用して、補正情報を生成してもよい。  In this case, the
  より詳細には、制御部70は、サンプリングポイントpに対する各波長成分(波数成分)のマッピング状態(波数サンプリングマッピング)を、FPN生成光学系200によって生成される少なくとも2つのFPN信号に基づいて補正してもよい。  More specifically, the
  制御部70は、例えば、FPNの強度レベルを解析することによって、FPNに対応する位置でのスペクトル信号におけるφ(k)を求めてもよい。φ(k)は、掃引波長(波数)に応じたスペクトル信号の位相φの変化を示す。φ(k)は、横軸:波数k、縦軸:位相φである関数で表されてもよい。信号強度(振幅)の大きい波数k領域でのφ(k)に関して多項式フィッティングを行い、信号強度が小さい波数k領域でのφ(k)を外挿又は内挿によって求めてもよい。例えば、φ(k)は、FPNに対応する深さ位置におけるフーリエ変換値(強度値)Fの実数部RealFと虚数部ImagFの比のArc Tangent(逆正接)から求められてもよい。ここで、Arc Tangent処理によってフーリエ変換値の実数部と虚数部の比の逆正接が算出され、φ(k)が得られる。  The
  少なくとも2つのFPN信号を同時に得た場合、制御部70は、第1のFPNを処理して第1の波数マッピング情報φ1(k)を求めると共に、第2のFPNを処理して第2の波数マッピング情報φ2(k)を求めてもよい(図8参照)。この場合、各波数マッピング情報は、各波数成分の位相情報として求められてもよい。  When at least two FPN signals are obtained simultaneously, the
  さらに、制御部70は、第1の波数マッピング情報φ1(k)と第2の波数マッピング情報φ2(k)との間の差分情報Δφ(k)を求めてもよい(図5参照)。なお、差分情報は、各波数成分の位相差情報として求められてもよい。差分情報Δφ(k)を得る場合、第2のFPNの方が位相の進みが早いので、Δφ(k)=φ2(k)-φ1(k)にて差分情報が得られてもよい。なお、差分情報を求めることで、各波数マッピング情報に含まれる分散成分をキャンセルできる。この場合、前述したように、第1の光路203と第2の光路205との間の分散量を等しくしておくことが好ましい。  Furthermore, the
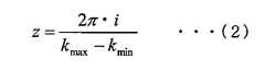
ここで、第1のFPNと第2のFPNとの間の光学的距離(光路長差)をΔZとし、仮に、差分情報Δφ(k)が理想的であれば、以下の式(1) Here, if the optical distance (optical path length difference) between the first FPN and the second FPN is ΔZ, and if the difference information Δφ(k) is ideal, the following equation (1)
ここでΔZは次のように求められる。干渉成分はexp(ikz)と一般化でき、kとzにはkz=2πの関係がある。これから、zはNをサンプリングポイント数、kmaxとkminを各サンプリングポイントで検出されるk値の最大・最小値として、以下の式(2) Here, ΔZ is obtained as follows. The interference component can be generalized as exp(ikz), where k and z are related by kz=2π. From this, z is the following equation (2) where N is the number of sampling points, kmax and kmin are the maximum and minimum values of k values detected at each sampling point
  ここで、ΔZに相当する干渉信号が、i(ΔZ)に対応するサンプリングポイントで検出されるとすると、ΔZは以下の式(3)
 Here, if an interference signal corresponding to ΔZ is detected at a sampling point corresponding to i(ΔZ), ΔZ is given by the following equation (3)
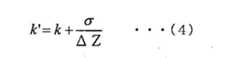
Δφ(k)は理想的には傾きΔZ、切片0の直線になるはずなので、2次、3次の非線形項をσとすると、kは以下の式(4) Δφ(k) should ideally be a straight line with a slope of ΔZ and an intercept of 0;
なお、図9は、補正演算を行うことにより、補正されるスペクトル信号のマッピングを模式的に示した図である。また、補正されたΔφ(kmin)、Δφ(kmax)の値が、理想値であるz(peak)・kmin、z(peak)・kmaxから所定の許容範囲内(例えば、1E-5程度)であれば収束したと判断し、この条件が満たされなければ、上述の補正されたλ´を用いて再度同様の演算を繰り返す。Note that FIG. 9 is a diagram schematically showing the mapping of spectral signals corrected by performing the correction calculation. In addition, the corrected Δφ (kmin) and Δφ (kmax) values are within a predetermined allowable range (for example, about 1E-5 ) from the ideal values of z (peak) · kmin and z (peak) · kmax If so, it is determined that convergence has occurred, and if this condition is not met, the above-described corrected λ' is used to repeat the same calculation again.
  上記のようにして、制御部70は、FPN生成光学系200を用いて生成される少なくとも2つのFPN信号から補正情報を演算により求め、得られた補正情報をメモリ72に記憶させてもよい。これにより、検出器120にて検出された各波長成分と、各サンプリングポイントとの対応関係がより正確に求められる。得られた補正情報は、OCTデータの取得に用いられてもよい。なお、FPNからφ(k)を求める手法、波数マッピング情報を求める手法については、特開2013-156229号、特開2015-68775号公報等を参考になされたい。  As described above, the
  なお、上記説明においては、SS-OCTにおいて波数マッピング情報を補正する場合を示したが、これに限定されず、SD-OCTにおいて波数マッピング情報を補正する場合においても、本実施例の適用は可能である。この場合、例えば、制御部70は、スペクトロメータの各受光素子に対する各波長(波数)分のマッピング状態を、FPN生成光学系200によって生成される少なくとも2つのFPN信号に基づいて補正してもよい。この場合、特開2010-220774号公報が参考されてもよい。  In the above description, the case of correcting the wavenumber mapping information in SS-OCT is shown, but it is not limited to this, and the present embodiment can be applied even when correcting the wavenumber mapping information in SD-OCT. is. In this case, for example, the
なお、本実施例に係る波数マッピング補正については、特願2017-017156を参照されたい。 For the wavenumber mapping correction according to this embodiment, see Japanese Patent Application No. 2017-017156.
なお、各波数成分のマッピング状態を補正するための補正情報を取得するタイミングとしては、例えば、電源投入時に実施されてもよいし、被検者が変更される毎に実施されてもよい。また、OCT光学系における撮影条件を最適化する最適化制御の際に実施されてもよい。もちろん、これに限定されず、常時実施されてもよい。なお、マッピング状態の補正後、ノイズ除去処理によってOCT画像上のFPNが除去されてもよい。 The timing of acquiring the correction information for correcting the mapping state of each wavenumber component may be, for example, when the power is turned on, or may be performed each time the subject is changed. Also, it may be performed during optimization control for optimizing the imaging conditions in the OCT optical system. Of course, it is not limited to this, and may be performed all the time. After the mapping state is corrected, the FPN on the OCT image may be removed by noise removal processing.
  また、上記説明においては、測定光路から分岐した位置にFPN生成光学系が設けられたが、これに限定されず、OCT光学系の光路中であれば、これに限定されない。例えば、OCT光学系の参照光路から分岐した位置にFPN生成光学系が配置されてもよい。この場合、例えば、FPN生成光学系からの光と参照光(又は測定光)との干渉によるFPN信号が得られてもよい。また、例えば、測定光路と参照光路とが合流した後の光路から分岐した位置にFPN生成光学系が配置されてもよい。この場合、例えば、干渉光の光路に直接向かう干渉光と、干渉光の光路から分岐された位置に設けられたFPN生成光学系からの干渉光との干渉によるFPN信号が得られ、検出器120によって検出されてもよい。なお、検出器120が第1の検出器120aと第2の検出器120bを備える場合、各検出器の光路に分割される前に、FPN生成光学系が配置されることで、各検出器に同様のFPN信号が検出されてもよい。  Also, in the above description, the FPN generation optical system is provided at a position branched from the measurement optical path, but the present invention is not limited to this, and is not limited to this as long as it is in the optical path of the OCT optical system. For example, the FPN generation optical system may be arranged at a position branched from the reference optical path of the OCT optical system. In this case, for example, an FPN signal may be obtained by interference between the light from the FPN generation optical system and the reference light (or measurement light). Further, for example, the FPN generation optical system may be arranged at a position branched from the optical path after the measurement optical path and the reference optical path join. In this case, for example, an FPN signal is obtained by interference between interference light directly directed to the optical path of the interference light and interference light from the FPN generation optical system provided at a position branched from the optical path of the interference light. may be detected by In addition, when the
  <被検眼への適用例>
  本装置は、被検眼のOCTデータを取得するための眼科用OCT装置であってもよい。例えば、眼科用OCT装置としては、眼底のOCTデータと、角膜及び水晶体を含む前眼部のOCTデータと、を取得可能な構成であってもよく、さらに、角膜及び眼底のOCTデータに基づいて眼軸長を測定可能な構成であってもよい。<Example of application to eye to be examined>
 The apparatus may be an ophthalmic OCT apparatus for acquiring OCT data of an eye to be examined. For example, the ophthalmologic OCT apparatus may be configured to acquire OCT data of the fundus and OCT data of the anterior segment including the cornea and lens. The configuration may be such that the axial length can be measured.
  例えば、眼科用OCT装置は、自動又は手動によるモード切換信号に応じて、OCT光学系100の光学配置を切換可能な構成であってもよい。以下、眼底撮影モード、前眼部撮影モード、眼軸長測定モードとの間でモード切換を行う場合の一例について説明する。  For example, the ophthalmic OCT apparatus may be configured to switch the optical arrangement of the OCT
  <眼底撮影モード>
  眼底撮影モードに設定された場合、制御部70は、導光光学系150を制御し、眼底のOCTデータを得るための光学配置に切り替えてもよい。この場合、例えば、制御部70は、被検眼瞳孔上に測定光の旋回点が形成されると共に、測定光の集光位置が眼底上に形成されるように、導光光学系150の光学配置を切り換えてもよい。なお、導光光学系150の光学配置の切換に係る構成については、例えば、特開2016-209577号公報を参照されたい。<Fundus photography mode>
 When the fundus imaging mode is set, the
  眼底撮影モードに設定された場合、制御部70は、測定光と参照光の少なくともいずれかの光路長を調整し、OCTデータの取得領域を眼底に設定してもよい。この場合、例えば、制御部70は、複数の参照光路の少なくともいずれかを経由した参照光の光路長が、眼底を経由した測定光の光路長と一致するように、測定光と参照光との間の光路長差を調整してもよい。なお、光路長差が調整される場合、ゼロディレイ位置よりも網膜が奥側に形成された状態でOCTデータが取得されるように調整されてもよいし、ゼロディレイ位置よりも脈絡膜が前側に形成された状態でOCTデータが取得されるように調整されてもよい。  When the fundus imaging mode is set, the
  本実施例では、例えば、眼底からの測定光の光路長と、第1の参照光路110aからの参照光とが一致するように、測定光路に配置された光学部材が移動されることによって、測定光の光路長が調整されてもよい。これによって、少なくとも、第1の検出器110aからの出力信号に基づいて得られる第1のOCTデータには、眼底のOCTデータが含まれる。  In the present embodiment, for example, the optical member arranged in the measurement light path is moved so that the optical path length of the measurement light from the fundus and the reference light from the first
  図10は眼底撮影モードにおいて取得されるOCTデータの一例を示す図である。制御部70は、光学部材112を移動させ、第1の参照光路110aと同一の光路長となるように、第2の参照光路110bの光路長を調整してもよい。この結果、第1の検出器110aに基づく第1のOCTデータと、第2の検出器110bに基づく第2のOCTデータとが、眼底の同一領域となる。この場合、制御部70は、第1のOCTデータと第2のOCTデータとに基づく合成OCTデータ(例えば、加算平均画像、超解像画像、等)を得てもよい。これによって、短時間で、所定の撮像領域に関する良好な眼底のOCTデータが得られる。  FIG. 10 is a diagram showing an example of OCT data acquired in the fundus imaging mode. The
  <眼軸長測定モード>
  眼軸長測定モードに設定された場合、制御部70は、導光光学系150を制御し、前述の眼底撮影モードと同一の光学配置に切り替えてもよい。この場合、例えば、制御部70は、瞳孔上に測定光の旋回点が形成される共に、測定光の集光位置が眼底上に形成されるように、導光光学系150の光学配置を切り換えられてもよい。これによって、眼軸長測定の際に得られるOCTデータにおいて、眼底の形態情報(例えば、黄斑付近の情報)を詳細に取得でき、結果として、被検眼の眼軸長を精度よく測定可能となる。<Axial length measurement mode>
 When the axial length measurement mode is set, the
  眼軸長測定モードに設定された場合、制御部70は、測定光と参照光の少なくともいずれかの光路長を調整し、第1の検出器120aと第2の検出器120bの一方によるOCTデータの取得領域を眼底に設定し、第1の検出器120aと第2の検出器120bの他方によるOCTデータの取得領域を角膜に設定してもよい。  When the eye axial length measurement mode is set, the
  図11は眼軸長撮影モードにおいて取得されるOCTデータの一例を示す図である。本実施例では、例えば、眼底からの測定光の光路長と、第1の参照光路110aからの参照光とが一致するように、測定光路に配置された光学部材が移動されることによって、測定光の光路長が調整されてもよい。これによって、少なくとも、第1の検出器110aからの出力信号に基づいて得られる第1のOCTデータには、眼底のOCTデータが含まれる。  FIG. 11 is a diagram showing an example of OCT data acquired in the axial length imaging mode. In the present embodiment, for example, the optical member arranged in the measurement light path is moved so that the optical path length of the measurement light from the fundus and the reference light from the first
  第1のOCTデータに眼底のOCTデータが含まれるように、測定光路に配置された光学部材の位置が調整された状態において、例えば、制御部70は、角膜からの測定光の光路長と、第2の参照光路110bからの参照光とが一致するように、第2の参照光路110bに配置された光学部材112が移動されることによって、第2の参照光路110bの参照光の光路長が調整されてもよい。これによって、第2の検出器110bからの出力信号に基づいて得られる第2のOCTデータには、角膜のOCTデータが含まれる。  In a state where the positions of the optical members arranged in the measurement optical path are adjusted so that the OCT data of the fundus are included in the first OCT data, for example, the
  眼底のOCTデータと角膜のOCTデータが取得されると、制御部70は、眼底のOCTデータに基づいて網膜位置を検出すると共に、角膜のOCTデータに基づいて角膜位置を検出してもよい。制御部70は、網膜位置の検出結果と、角膜位置の検出結果と、第1の参照光路110aと第2の参照光路110bとの光路長差を利用して眼軸長を測定してもよい。  When the OCT data of the fundus and the OCT data of the cornea are acquired, the
  この場合、例えば、第1の参照光路110aと第2の参照光路110bとの光路長差は、光学部材112を移動させるための駆動部の駆動位置によって求められてもよいし、光学部材112の位置に基づいて検出されてもよい。なお、第1の参照光路110aと第2の参照光路110bとの光路長差が固定の場合、既知の光路長差が用いられてもよい。また、これに限定されず、FPN生成光学系200において、角膜に対応するFPN信号を生成するためのFPN発生用光学部材と眼底に対応するFPN信号を生成するFPN発生用光学部材を備える構成とし、既知の光学部材の位置を利用して、光路長差を取得してもよい。この場合、光路長差に対応すべく、3つ以上のFPN発生用光学部材が用いられてもよい。  In this case, for example, the optical path length difference between the first reference
  <前眼部撮影モード>
  前眼部撮影モードに設定された場合、制御部70は、導光光学系150を制御し、角膜及び水晶体を含む前眼部のOCTデータを得るための光学配置に切り替えてもよい。この場合、被検眼瞳孔よりも装置側に測定光の旋回点が形成されると共に、測定光の集光位置が前眼部上に形成されるように、導光光学系150の光学配置を切り換えてもよい。なお、導光光学系150の光学配置の切換に係る構成については、例えば、特開2016-209577号公報を参照されたい。<Anterior segment imaging mode>
 When the anterior segment imaging mode is set, the
  前眼部撮影モードに設定された場合、制御部70は、制御部70は、測定光と参照光の少なくともいずれかの光路長を調整し、第1の検出器120aと第2の検出器120bの一方によるOCTデータの取得領域を水晶体に設定し、第1の検出器120aと第2の検出器120bの他方によるOCTデータの取得領域を角膜に設定してもよい。ここで、第1の検出器120aによって取得されるOCTデータと、第2の検出器120bによって取得されるOCTデータとは、被検眼上の取得領域の少なくとも一部が深さ方向に関して異なる。これによって、角膜領域を含むOCTデータと、水晶体領域を含むOCTデータが取得されてもよい。この場合、角膜領域を含むOCTデータに、角膜及び水晶体前面が少なくとも含まれ、水晶体領域を含むOCTデータに、水晶体後面が少なくとも含まれてもよい。つまり、前眼部領域における前側領域のOCTデータと、前眼部領域における後側領域のOCTデータとが、それぞれ別々に取得されてもよい。  When the anterior segment imaging mode is set, the
  なお、制御部70は、例えば、水晶体領域を含むOCTデータと、角膜領域を含むOCTデータとを合成してもよい。この場合、前述のFPN信号を用いた合成処理が用いられてもよく、角膜及び水晶体からの測定光の光路長と、FPN生成光学系200を経由した測定光の光路長が一致するように、FPN生成光学系200の光路長が設定されてもよい。いいかえれば、角膜領域を含むOCTデータと水晶体領域を含むOCTデータとを取得できるように導光光学系150の測定光と参照光との光路長差が設定された状態において、各OCTデータにFPN信号が含まれるように、FPN生成光学系200が設定されてもよい。  Note that the
  なお、光路長差が調整される場合、ゼロディレイ位置よりも角膜前面が奥側に形成された状態で角膜領域を含むOCTデータが取得されるように調整され、ゼロディレイ位置よりも水晶体後面が前側に形成された状態で水晶体領域を含むOCTデータが取得されるように調整されてもよい。これにより、画像合成時のミラーイメージによる影響を回避できる。また、第1のOCTデータと第2のOCTデータとの間において、深さ方向において被検眼上の取得領域の一部が重複するように、第1の参照光路110aと第2の参照光路110bの光路長差が設定されてもよい。これによって、画像合成における連結をスムーズに行うことができる。  When the optical path difference is adjusted, it is adjusted so that the OCT data including the corneal region is acquired in a state where the anterior corneal surface is formed deeper than the zero-delay position, and the posterior surface of the lens is adjusted more than the zero-delay position. Arrangements may be made to acquire OCT data that includes the lens region in the anteriorly formed state. As a result, it is possible to avoid the influence of the mirror image when synthesizing the images. In addition, between the first OCT data and the second OCT data, the first reference
  図12は前眼部撮影モードにおいて取得されるOCTデータの一例を示す図である。本実施例では、例えば、水晶体からの測定光の光路長と、第1の参照光路110aからの参照光とが一致するように、測定光路に配置された光学部材が移動されることによって、測定光の光路長が調整されてもよい。これによって、少なくとも、第1の検出器110aからの出力信号に基づいて得られる第1のOCTデータには、水晶体領域のOCTデータが含まれる。  FIG. 12 is a diagram showing an example of OCT data acquired in the anterior segment imaging mode. In the present embodiment, for example, the optical member arranged in the measurement light path is moved so that the optical path length of the measurement light from the crystalline lens and the reference light from the first
  第1のOCTデータに水晶体のOCTデータが含まれるように、測定光路に配置された光学部材の位置が調整された状態において、例えば、制御部70は、角膜からの測定光の光路長と、第2の参照光路110bからの参照光とが一致するように、第2の参照光路110bに配置された光学部材112が移動されることによって、第2の参照光路110bの参照光の光路長が調整されてもよい。これによって、第2の検出器110bからの出力信号に基づいて得られる第2のOCTデータには、角膜のOCTデータが含まれる。  In a state where the positions of the optical members arranged in the measurement optical path are adjusted so that the first OCT data includes the OCT data of the lens, for example, the
  水晶体のOCTデータと角膜のOCTデータが取得されると、例えば、制御部70は、水晶体のOCTデータと角膜のOCTデータを合成し、合成OCTデータを取得してもよい。さらに、制御部70は、合成OCTデータに基づいて角膜位置、水晶体位置等を検出し、被検眼の前房深度、水晶体厚等を測定してもよい。  When the OCT data of the lens and the OCT data of the cornea are acquired, for example, the
  <他のOCTデータに含まれるFPN信号を用いたOCTデータの補正>
  制御部70は、第1のOCTデータと第2のOCTデータの一方にてFPN信号を含むOCTデータを取得し、第1のOCTデータと第2のOCTデータの他方においてFPN信号を含まないOCTデータを取得してもよい。また、制御部70は、FPN信号を含むOCTデータにおけるFPN信号に基づいて波数マッピング情報を得て、FPN信号を含まないOCTデータを補正するようにしてもよい。当該構成によれば、複数の検出器を用いる場合において、各検出器に応じてFPN生成光学系を設ける必要が必ずしもなくなる。この場合、制御部70は、FPN信号を含まないOCTデータをリアルタイムで補正するようにしてもよく、これによれば、OCTデータの補正をさらに精度よく補正できる。<Correction of OCT data using FPN signal included in other OCT data>
 The
  この場合、例えば、制御部70は、測定光と参照光の少なくともいずれかの光路長を調整し、第1の検出器120aと第2の検出器120bの一方によるOCTデータの取得領域を所定の撮影部位(例えば、眼底、角膜、水晶体)に設定してもよい。また、制御部70は、第1の検出器120aと第2の検出器120bの他方によるOCTデータの取得領域をFPN生成光学系200の光学部材(例えば、光学部材204、光学部材206)に設定する。  In this case, for example, the
  図13は眼底撮影モードにおいてリアルタイム補正を適用する場合の一例を示す図である。例えば、制御部70は、測定光と参照光の少なくともいずれかの光路長を調整し、第1の検出器120aと第2の検出器120bの一方によるOCTデータの取得領域を眼底に設定する(上記眼底撮影モード参照)。  FIG. 13 is a diagram showing an example of applying real-time correction in the fundus imaging mode. For example, the
  また、制御部70は、第1の検出器120aと第2の検出器120bの他方によるOCTデータの取得領域をFPN生成光学系200の光学部材(例えば、光学部材204、光学部材206)に設定する。この場合、FPN生成光学系200の光路長は、眼底を経由して検出器120aに達した測定光の光路長とは異なる長さに設定される。例えば、制御部70は、複数の参照光路の少なくともいずれかを経由した参照光の光路長が、FPN生成光学系200を経由した測定光の光路長と一致するように、測定光と参照光との間の光路長差を調整してもよい。  In addition, the
  本実施例では、例えば、眼底からの測定光の光路長と、第1の参照光路110aからの参照光とが一致するように、測定光路に配置された光学部材が移動されることによって、測定光の光路長が調整されてもよい。これによって、少なくとも、第1の検出器110aからの出力信号に基づいて得られる第1のOCTデータには、眼底のOCTデータが含まれる。  In the present embodiment, for example, the optical member arranged in the measurement light path is moved so that the optical path length of the measurement light from the fundus and the reference light from the first
  また、制御部70は、第1のOCTデータに眼底のOCTデータが含まれるように、測定光路に配置された光学部材の位置が調整された状態において、例えば、制御部70は、FPN生成光学系200の光学部材からの測定光の光路長と、第2の参照光路110bからの参照光とが一致するように、第2の参照光路110bに配置された光学部材112が移動されることによって、第2の参照光路110bの参照光の光路長が調整されてもよい。これによって、第2の検出器110bからの出力信号に基づいて得られる第2のOCTデータには、FPN信号を含むOCTデータが含まれる。この場合、結果として、FPN信号に加えて、角膜、水晶体等の信号が含まれてもよい。  Further, in a state in which the positions of the optical members arranged in the measurement optical path are adjusted so that the OCT data of the fundus oculi is included in the first OCT data, the
なお、上記説明においては、眼底撮影モードでの適用例を示したが、これに限定されず、他の撮影モードにおいて、上記構成が適用されてもよい。 In the above description, an example of application in the fundus photographing mode is shown, but the present invention is not limited to this, and the above configuration may be applied to other photographing modes.
  なお、上記説明において、第1のOCTデータと第2のOCTデータの一方にてFPN信号(例えば、FPN信号のみ)を含むOCTデータを取得し、第1のOCTデータと第2のOCTデータの他方にてFPN信号を含まない被検眼のOCTデータを取得するような場合、上記のような光路長調整に限定されず、遮光部材が用いられてもよい。例えば、制御部70は、遮光部材210を第1の光路中に配置することによって、FPN(例えば、FPN1)を含まない第1のOCTデータを得てもよい。この場合、第2の光路中から遮光部材212が外されているので、FPN(例えば、FPN2)を含む第2のOCTデータが得られる。なお、FPN信号のみが得られる場合、FPN信号を用いた補正を精度よく行うことができる。  In the above description, OCT data containing an FPN signal (for example, only the FPN signal) is obtained from one of the first OCT data and the second OCT data, and the first OCT data and the second OCT data are obtained. On the other hand, when acquiring OCT data of an eye to be examined that does not include an FPN signal, the optical path length adjustment is not limited to that described above, and a light shielding member may be used. For example, the
  <偏光調整>
  制御部70は、偏光調整部(例えば、第1の偏光調整部300、第2の偏光調整部302、第3の偏光調整部304)を制御し、OCTデータを得る際の偏光状態を調整するようにしてもよい。なお、偏光状態を調整するタイミングとしては、例えば、電源投入時に実施されてもよいし、被検者が変更される毎に実施されてもよい。また、OCT光学系における撮影条件を最適化する最適化制御の際に実施されてもよい。<Polarization adjustment>
 The
  以下、前眼部撮影モードにおける偏光状態の調整を例として説明する。図14は、前眼部撮影モードにおいて偏光調整を行う場合のOCTデータの一例を示す図である。まず、制御部70は、第2の偏光調整部302を制御し、第2のOCTデータにおける角膜像の信号強度が最大となるように偏光状態を調整する。これによって、第2のOCTデータにおける角膜像が良好な信号強度で取得される。  Hereinafter, the adjustment of the polarization state in the anterior segment imaging mode will be described as an example. FIG. 14 is a diagram showing an example of OCT data when polarization adjustment is performed in the anterior segment imaging mode. First, the
  図15はFPNの信号強度の一例を示す図である。次に、制御部70は、第3の偏光調整部304を制御し、第2のOCTデータにおけるFPN信号の信号強度が最大となるように偏光状態を調整する。これによって、第2のOCTデータにおけるFPN信号が良好な信号強度で取得される。この結果、第2のOCTデータにおける角膜像とFPN信号とが良好な信号強度で取得される。  FIG. 15 is a diagram showing an example of FPN signal strength. Next, the
  次に、制御部70は、第1の偏光調整部300を制御し、第2のOCTデータにおけるFPN信号と第1のOCTデータにおけるFPN信号との間の信号強度比が、所定の信号強度比(例えば、互いの信号強度比が等しい状態)となるように偏光状態を調整する。これによって、第1のOCTデータにおけるFPN信号が良好な信号強度で取得されると共に、第1のOCTデータにおける水晶体像が良好な信号強度で取得される。  Next, the
上記のような制御によれば、第1のOCTデータと第2のOCTデータとの間での信号強度のバランスを調整できる。さらに、水晶体を含むOCTデータに関する偏光状態の調整において、第2のOCTデータにおけるFPN信号と第1のOCTデータにおけるFPN信号との間の信号強度比を用いることで、水晶体像を用いて偏光状態を調整するよりも、精度よく偏光状態が調整される。つまり、この場合の水晶体像は、水晶体後面の情報のみに限定される可能性があり、画像としての情報量が比較的少ないため、信号評価値としての精度が低くなる可能性がある。その結果、良好な偏光状態に調整できない場合がある。これに対し、FPN信号が用いられることで、安定的な信号強度を確保できるので、信号評価値としての精度を確保でき、偏光状態を良好に調整できる。 According to the control as described above, it is possible to adjust the signal strength balance between the first OCT data and the second OCT data. Furthermore, in adjusting the polarization state for OCT data including the lens, the signal intensity ratio between the FPN signal in the second OCT data and the FPN signal in the first OCT data is used to obtain the polarization state using the lens image. The polarization state is adjusted more accurately than adjusting . In other words, the crystalline lens image in this case may be limited to information on the posterior surface of the crystalline lens, and the amount of information as an image is relatively small, so the accuracy as a signal evaluation value may be low. As a result, it may not be possible to adjust to a good polarization state. On the other hand, by using the FPN signal, stable signal strength can be ensured, so accuracy as a signal evaluation value can be ensured, and the polarization state can be adjusted satisfactorily.
加えて、水晶体後面の情報のみに最適化された偏光状態である場合、第1のOCTデータと第2のOCTデータとの間で検出している偏光のミスマッチが生じ、これにより両者の接続領域で強度信号のギャップが生じてしまう。これは例えば、水晶体がギャップ位置にある場合などに顕著である。すなわち水晶体の(一般には弱い)強度信号が不連続になるということであり、混濁具合などを定量評価しようとした場合に致命的となりうる。一方、本実施例により第1のOCTデータと第2のOCTデータとの間で検出している偏光のミスマッチが解消されていれば、このようなギャップは生じない。 In addition, if the polarization state is optimized only for information on the posterior surface of the lens, there will be a polarization mismatch detected between the first OCT data and the second OCT data, resulting in a connecting region between the two. A gap occurs in the intensity signal. This is noticeable, for example, when the lens is at the gap position. In other words, the (generally weak) intensity signal of the lens becomes discontinuous, which can be fatal when trying to quantitatively evaluate the degree of opacity. On the other hand, if the polarization mismatch detected between the first OCT data and the second OCT data is eliminated by this embodiment, such a gap will not occur.
また、上記説明において、FPN生成光学系の偏光状態が調整されることで、FPN信号を精度よく検出できるので、FPN信号を用いた各種処理を適正に行うことができる。 Further, in the above description, by adjusting the polarization state of the FPN generation optical system, the FPN signal can be detected with high accuracy, so various processes using the FPN signal can be properly performed.
なお、上記説明においては、FPN信号を用いて水晶体を含むOCTデータに関する偏光状態を調整したが、これに限定されず、OCTデータにおける水晶体像全体の信号強度を用いて偏光状態を調整してもよい。 In the above description, the FPN signal is used to adjust the polarization state of the OCT data including the lens, but the present invention is not limited to this, and the polarization state may be adjusted using the signal intensity of the entire lens image in the OCT data. good.
  なお、上記説明においては、第1の検出器120aと第2の検出器120bを用いる場合に、第1の検出器120aによって得られるOCTデータと、第2の検出器120bによって得られるOCTデータのそれぞれに関して、偏光状態を調整することで、各OCTデータを良好な信号強度にて取得できる。もちろん、これに限定されず、一方のOCTデータに関してのみ、偏光状態が調整されてもよい。  In the above description, when the
  また、第1の検出器120aと第2の検出器120bのいずれか一方を用いる場合には、例えば、使用される検出器によって得られるOCTデータに関して、偏光状態が調整されてもよい。  Also, when using either the
  <OCT信号を用いたアライメント検出>
  例えば、制御部70は、測定光と参照光の少なくともいずれかの光路長を調整し、第1の検出器120aと第2の検出器120bの一方によるOCTデータの取得領域を、角膜と瞳孔(又は虹彩)の少なくともいずれかを含む前眼部に設定すると共に、OCTデータ上の特徴部位の位置に基づいて被検眼に対する装置本体の相対位置情報を検出してもよい。この場合、OCT光学系100における測定光と参照光の光路長差は、予め取得可能であり(予めメモリに記憶されてもよいし、光学部材の位置等に基づいて検出されてもよい。)ゼロディレイ位置は既知であるから、ゼロディレイ位置に対する特徴部位の位置を検出することによって、被検眼に対する装置本体の相対位置情報を検出可能である。<Alignment detection using OCT signal>
 For example, the
相対位置情報としては、例えば、被検眼に対する装置本体の作動距離が検出されてもよいし、被検眼に対する装置本体の上下左右方向に関する距離が検出されてもよいし、被検眼に対する装置本体の位置が3次元的に検出されてもよい。この場合、例えば、適正なアライメント位置からのずれ量が検出されてもよい。 As the relative position information, for example, the working distance of the apparatus main body with respect to the eye to be examined may be detected, the distance of the apparatus main body with respect to the eye to be examined in the vertical and horizontal directions may be detected, and the position of the apparatus main body with respect to the eye may be detected. may be detected three-dimensionally. In this case, for example, the amount of deviation from the proper alignment position may be detected.
  例えば、制御部70は、前眼部のOCTデータを解析して被検眼の特徴部位(例えば、角膜頂点、瞳孔中心)の位置を検出し、検出された特徴部位に対して装置本体を自動的に移動させる自動アライメントを行うようにしてもよい。この場合、制御部70は、特徴部位の位置を3次元的に検出し、検出された特徴部位に対する3次元的な自動アライメントを行うようにしてもよい。これによれば、OCTデータにて3次元的な位置を精度よく検出できるので、被検眼に対するアライメントを精度よく行うことができる。  For example, the
特徴部位を検出する場合、例えば、エッジ検出等の画像処理を行った上で、特徴部位に対応する画像領域を探索し、特徴部位に対応する画像領域が検出された位置を、特徴部位の位置として検出してもよい。なお、自動アライメント制御においては、装置本体を3次元的に移動させるための駆動機構が設けられてもよい。 When detecting a characteristic part, for example, after performing image processing such as edge detection, an image area corresponding to the characteristic part is searched, and the position where the image area corresponding to the characteristic part is detected is called the position of the characteristic part. may be detected as In addition, in the automatic alignment control, a drive mechanism for three-dimensionally moving the apparatus body may be provided.
  以下、前眼部データを用いてアライメント検出を行う場合の一例を示す。例えば、制御部70は、光スキャナ156を制御し、被検眼前眼部に対してクロススキャンを繰り返し行う。クロススキャンは、各走査ラインが互いに直交する走査パターンであってもよく、例えば、X方向のラインスキャンとY方向のラインスキャンとが互いに直交する走査パターンであってもよい。  An example of alignment detection using anterior segment data will be described below. For example, the
図16、図17は、クロススキャンによって取得される各OCTデータの一例であり、図16の左図は、X方向のラインスキャンによって取得されるOCTデータであり、図16の右図は、Y方向のラインスキャンによって取得されるOCTデータである。図16は、アライメント完了前、図17はアライメント完了時の例である。 16 and 17 are examples of OCT data obtained by cross scanning. The left diagram in FIG. 16 is OCT data obtained by line scanning in the X direction, and the right diagram in FIG. OCT data acquired by directional line scan. FIG. 16 shows an example before completion of alignment, and FIG. 17 shows an example after completion of alignment.
  この場合、アライメント適正位置において、OCTデータにおける特徴部位(例えば、角膜頂点)が、OCTデータ中の所定位置に形成されるように、光スキャナ156(例えば、ガルバノの中心電圧)、OCT光学系100の光路長等を調整(キャリブレーション)しておく。調整時の光学配置及び所定位置に関する座標データは、メモリに予め記憶されてもよい。アライメント適正位置としては、例えば、被検眼に対してOCT光学系100の光軸及び前後方向の距離が適正なアライメント位置であってもよい。  In this case, the optical scanner 156 (eg, the central voltage of the galvanometer) and the OCT
  制御部70は、例えば、OCTデータにおける特徴部位の位置を画像処理により検出すると共に、予め設定された所定位置に対する特徴部位の偏位量に基づいて自動アライメントを行うようにしてもよい。この場合、X方向のラインスキャンによって得られるOCTデータからX方向の偏位量が検出され、Y方向のラインスキャンによって得られるOCTデータからY方向の偏位量が検出されてもよい。また、Z方向の偏位量については、X方向のラインスキャンとY方向のラインスキャンの少なくともいずれかによって得られたOCTデータが用いられてもよい。  For example, the
前眼部のOCTデータが取得されるまでのラフな位置合わせは、図示無き前眼部観察用撮像素子からの撮像信号に基づいて自動的に行われてもよい。前眼部観察用撮像素子を用いた自動アライメントでは、前眼部に投影されたアライメント指標が用いられてもよい。 Rough alignment until the OCT data of the anterior segment is acquired may be automatically performed based on an imaging signal from an imaging device for observing the anterior segment (not shown). In the automatic alignment using the anterior segment observation imaging device, an alignment index projected onto the anterior segment may be used.
  また、制御部70は、走査範囲を変更することで、ラフなアライメントとシビアなアライメントを行ってもよい。例えば、制御部70は、ラフなアライメントを行う際、測定光の走査画角を広くし、シビアなアライメントを行う際、測定光の走査画角を狭くするようにしてもよい。  Further, the
  なお、上記説明においては、クロススキャンの場合を例示したが、1方向の走査でもある程度のアライメントが可能である。例えば、制御部70は、X方向のラインスキャンにて得られるOCTデータにおいて角膜の断層像が左右対称となるようにX方向に関する自動アライメントを行った後、その法線方向(例えば、Y方向)に関して角膜曲率が最大となるまでに装置本体を移動させるようにしてもよい。  In the above description, the case of cross-scanning is illustrated, but alignment in one direction is also possible to some extent. For example, the
また、図16の説明においては、特徴部位として角膜頂点が設定された場合を例示したが、これに限定されず、例えば、画像処理によって虹彩部分を検出することによって、瞳孔位置、瞳孔径を検出し、瞳孔位置と瞳孔径の少なくともいずれかの検出結果に基づいて自動アライメントを行うようにしてもよい。 In addition, in the description of FIG. 16, the case where the corneal vertex is set as the characteristic part is illustrated, but the present invention is not limited to this. For example, the pupil position and the pupil diameter are detected by detecting the iris part by image processing. However, automatic alignment may be performed based on the detection result of at least one of the pupil position and the pupil diameter.
  OCT信号を用いたアライメント検出を行う場合、第1の検出器120aと第2の検出器120bの他方によるOCTデータの取得領域として、例えば、眼底が設定されてもよい。これによって、眼底に対するアライメントを精度よく行うことができる。その他、制御部70は、前述のように検出される前眼部に対する装置本体の相対位置情報と、第1の参照光路110aと第2の参照光路110bとの光路長差を利用して、被検眼眼底に対する装置本体の相対位置情報を検出してもよい。この場合、OCTデータ上での眼底の位置が検出されてもよい。また、眼底に限定されず、第1の検出器120aと第2の検出器120bの他方によるOCTデータの取得領域として、眼底とは異なる撮像部位が設定されてもよく、例えば、水晶体が設定されてもよい。  When performing alignment detection using OCT signals, for example, the fundus may be set as the OCT data acquisition region by the other of the
  <被検物の深さに応じた光路長差調整機能>
  なお、本実施例において、第1の参照光路110aと第2の参照光路110bの少なくともいずれかに配置され、第1の参照光路110aと第2の参照光路110bとの光路長差を変化させる光路長差変更部が設けられてもよい。光路長差変更部は、第1の参照光路110aと第2の参照光路110bの少なくともいずれかの光路長を変更可能な構成であってもよい。<Optical path length difference adjustment function according to the depth of the object>
 In this embodiment, the optical path is arranged in at least one of the first reference
  図18は、被検物の深さに応じて光路長差が調整された後の合成OCTデータの一例を示す図である。この場合、制御部70は、光路長差変更部によって変更された後に取得される第1のOCTデータと第2のOCTデータとを合成することによって、被検眼の所定部位(例えば、前眼部)の深さに応じた合成OCTデータを取得してもよい。これにより、被検眼の所定部位の深さに関わらず、良好な合成OCTデータを取得できる。  FIG. 18 is a diagram showing an example of synthesized OCT data after the optical path length difference has been adjusted according to the depth of the object. In this case, the
取得したい前眼部の深さレンジに対して、あらかじめ設定された合成OCTデータの深さレンジ(撮像可能範囲)が適切でない可能性がある。例えば、あらかじめ設定された合成OCTデータの深さレンジが一般的な眼の角膜前面から水晶体後面までを充分に撮像できる範囲の深さとされた場合、以下のような状況になり得る。例えば、子供の眼、正常眼よりも短い眼、IOL眼などの病理眼(水晶体の厚さ、前房の厚さ、角膜の形状が一般的でない)のように角膜前面から水晶体後面までが短い被検眼を撮影する場合、固視標の位置を変える等により、近見状態(水晶体厚)、遠見状態(水晶体薄)となった眼の前眼部を角膜前面から水晶体後面まで撮影する場合、ゼロディレイ位置に対する角膜又は水晶体後面までの距離が離れてしまうことによって、感度減衰の影響のため、前眼部像が良好に画像化できない可能性がある。 There is a possibility that the preset depth range (imageable range) of the synthesized OCT data is not appropriate for the depth range of the anterior segment that is desired to be acquired. For example, if the preset depth range of synthetic OCT data is set to a depth range that allows sufficient imaging from the anterior surface of the cornea to the posterior surface of the crystalline lens of a typical eye, the following situation may occur. For example, children's eyes, eyes shorter than normal eyes, pathological eyes such as IOL eyes (lens thickness, anterior chamber thickness, and corneal shape are not common), where the distance from the anterior cornea to the posterior lens is short. When photographing the subject's eye, changing the position of the fixation target, etc., for near vision (lens thickness) and distance vision (lens thinness). Due to the distance to the cornea or the posterior surface of the lens with respect to the zero delay position, there is a possibility that the anterior segment image cannot be imaged satisfactorily due to the influence of sensitivity attenuation.
  そこで、例えば、制御部70は、一度またはリアルタイムで更新された前眼部のOCTデータに基づいて、一方のOCTデータに含まれる前眼部における最も浅い特徴部位の位置(例えば、角膜位置)と、他方のOCTデータに含まれる最も深い特徴部位の位置(例えば、水晶体後面の位置)の少なくともいずれかを画像処理によって検出してもよい。次に、制御部70は、光路長差変更部を制御し、検出された特徴部位がゼロディレイ位置に対して所定の位置に配置されるように第1の参照光路110aと第2の参照光路110bとの光路長差を変化させてもよい。これによって、例えば、ゼロディレイ位置から前眼部の特徴部位までの距離を最適付近にすることができるため、前述の前眼部撮影モードにおいて、第1のOCTデータと第2のOCTデータを合成する場合、より高感度の合成前眼部OCTデータが得られる。  Therefore, for example, based on the OCT data of the anterior segment that has been updated once or in real time, the
なお、第1のOCTデータと第2のOCTデータを合成する場合、例えば、FPNが用いられてもよい。なお、光路長差が調整された場合、FPNが第1のOCTデータと第2のOCTデータの深さレンジ内にFPNが発生させられる範囲であれば、FPNを合成に使用できる。 In addition, when combining the first OCT data and the second OCT data, for example, FPN may be used. It should be noted that when the optical path length difference is adjusted, the FPN can be used for synthesis as long as the FPN is within the depth range of the first OCT data and the second OCT data.
  <前眼部全体撮影と水晶体撮影の切換機能>
  前述の前眼部撮影モードにおいて、前眼部全体を撮影するための第1の前眼部撮影モードと、水晶体を撮影するための第2の前眼部撮影モードとが設けられてもよい。<Function to switch between full anterior segment imaging and crystalline lens imaging>
 In the anterior segment imaging modes described above, a first anterior segment imaging mode for imaging the entire anterior segment and a second anterior segment imaging mode for imaging the crystalline lens may be provided.
  例えば、制御部70は、第1の前眼部撮影モードにおいて、第1の検出器120aに基づく第1のOCTデータと第2の検出器120bに基づく第2のOCTデータの一方が角膜及び水晶体前面を含むOCTデータとして取得され、第1の検出器120aに基づく第1のOCTデータと第2の検出器120bに基づく第2のOCTデータの他方が水晶体後面を含むOCTデータとして取得されるように、第1の参照光路110aと第2の参照光路110bとの光路長差を調整してもよい(例えば、図4参照)。  For example, in the first anterior segment imaging mode, the
  図19は水晶体を撮影するための第2の前眼部撮影モードで得られたOCTデータの一例を示す図である。例えば、制御部70は、第2の前眼部撮影モードにおいて、第1の検出器120aに基づく第1のOCTデータと第2の検出器120bに基づく第2のOCTデータの一方が水晶体前面を含むOCTデータとして取得され、第1の検出器120aに基づく第1のOCTデータと第2の検出器120bに基づく第2のOCTデータの他方が水晶体後面を含むOCTデータとして取得されるように、第1の参照光路110aと第2の参照光路110bとの光路長差を調整してもよい。この場合、ゼロディレイ位置が、角膜と水晶体前面との間に配置されるように光路長差が設定されてもよい。  FIG. 19 is a diagram showing an example of OCT data obtained in the second anterior segment imaging mode for imaging the crystalline lens. For example, in the second anterior segment imaging mode, the
  制御部70は、第1の前眼部撮影モードにて取得された第1のOCTデータと第2のOCTデータを合成することによって、角膜と水晶体前面及び後面を含む広範囲の合成前眼部OCTデータを取得してもよい。また、制御部70は、第2の前眼部撮影モードにて取得された第1のOCTデータと第2のOCTデータを合成することによって、水晶体前面及び後面を含む局所的な合成水晶体OCTデータを取得してもよい。  By synthesizing the first OCT data and the second OCT data acquired in the first anterior segment imaging mode, the
これによれば、例えば、第1の前眼部撮影モードにおいて、前房深度が長い等の影響によって水晶体前面の画質が不鮮明のような場合、第2の前眼部撮影モードにて、水晶体前面の画質を確保することが可能となる。 According to this, for example, in the first anterior segment imaging mode, when the image quality of the front surface of the lens is unclear due to the influence of the depth of the anterior chamber being long, etc., in the second anterior segment imaging mode, the front surface of the lens is image quality can be ensured.
なお、上記説明においては、SS-OCTを例としたが、これに限定されず、SD-OCTにおいて本実施例が適用されてもよい。この場合、複数の検出器として、複数のスペクトロメータが用いられてもよい。 In the above description, SS-OCT is taken as an example, but the present embodiment may be applied to SD-OCT without being limited to this. In this case, multiple spectrometers may be used as multiple detectors.
なお、上記説明においては、被検眼を撮影するためのOCT装置を例としたが、これに限定されず、被検物のOCTデータを撮影するためのOCT装置において、本実施形態が適用されてもよい。また、被検物は、例えば、眼(前眼部、眼底等)、皮膚など生体のほか、生体以外の材料であってもよい。 In the above description, an OCT apparatus for imaging an eye to be inspected is taken as an example, but the invention is not limited to this, and the present embodiment is applied to an OCT apparatus for imaging OCT data of an object to be inspected. good too. In addition, the test object may be, for example, an eye (anterior ocular segment, ocular fundus, etc.), a living body such as skin, or a material other than a living body.
  70  演算制御器
  100  OCT光学系
  110  参照光学系
  120  検出器
  200  FPN光学系
  300、302、304  偏光調整部70
| Application Number | Priority Date | Filing Date | Title | 
|---|---|---|---|
| JP2017070039AJP7119286B2 (en) | 2017-03-31 | 2017-03-31 | OCT device | 
| US15/941,902US10674905B2 (en) | 2017-03-31 | 2018-03-30 | OCT apparatus | 
| Application Number | Priority Date | Filing Date | Title | 
|---|---|---|---|
| JP2017070039AJP7119286B2 (en) | 2017-03-31 | 2017-03-31 | OCT device | 
| Publication Number | Publication Date | 
|---|---|
| JP2018173301A JP2018173301A (en) | 2018-11-08 | 
| JP2018173301A5 JP2018173301A5 (en) | 2020-04-30 | 
| JP7119286B2true JP7119286B2 (en) | 2022-08-17 | 
| Application Number | Title | Priority Date | Filing Date | 
|---|---|---|---|
| JP2017070039AActiveJP7119286B2 (en) | 2017-03-31 | 2017-03-31 | OCT device | 
| Country | Link | 
|---|---|
| JP (1) | JP7119286B2 (en) | 
| Publication number | Priority date | Publication date | Assignee | Title | 
|---|---|---|---|---|
| JP7323148B2 (en) | 2018-09-28 | 2023-08-08 | 株式会社トーメーコーポレーション | ophthalmic equipment | 
| US11892290B2 (en) | 2018-11-12 | 2024-02-06 | Nec Corporation | Optical coherence tomography apparatus, imaging method, and non-transitory computer readable medium storing imaging program | 
| Publication number | Priority date | Publication date | Assignee | Title | 
|---|---|---|---|---|
| JP2004325286A (en) | 2003-04-25 | 2004-11-18 | Mtex Matsumura Co | Image signal synchronization mechanism in optical coherence tomographic imaging system | 
| JP2010220774A (en) | 2009-03-23 | 2010-10-07 | Nidek Co Ltd | Ophthalmic photographing apparatus and calibration method for ophthalmic photographing apparatus | 
| JP2010261858A (en) | 2009-05-08 | 2010-11-18 | Canon Inc | Optical coherence tomography system | 
| JP2011214969A (en) | 2010-03-31 | 2011-10-27 | Canon Inc | Imaging apparatus and imaging method | 
| JP2013160699A (en) | 2012-02-08 | 2013-08-19 | Hitachi High-Technologies Corp | Optical tomographic image measuring device | 
| JP2015068775A (en) | 2013-09-30 | 2015-04-13 | 株式会社ニデック | Optical coherence tomography device | 
| JP2016032609A (en) | 2014-07-31 | 2016-03-10 | 株式会社ニデック | Ophthalmic equipment | 
| JP2016077666A (en) | 2014-10-20 | 2016-05-16 | 株式会社トプコン | Data processing method and oct apparatus | 
| JP2016144503A (en) | 2015-02-06 | 2016-08-12 | キヤノン株式会社 | Optical adjustment mechanism, tomographic imaging apparatus including the same, and optical adjustment method | 
| Publication number | Priority date | Publication date | Assignee | Title | 
|---|---|---|---|---|
| JP2004325286A (en) | 2003-04-25 | 2004-11-18 | Mtex Matsumura Co | Image signal synchronization mechanism in optical coherence tomographic imaging system | 
| JP2010220774A (en) | 2009-03-23 | 2010-10-07 | Nidek Co Ltd | Ophthalmic photographing apparatus and calibration method for ophthalmic photographing apparatus | 
| JP2010261858A (en) | 2009-05-08 | 2010-11-18 | Canon Inc | Optical coherence tomography system | 
| JP2011214969A (en) | 2010-03-31 | 2011-10-27 | Canon Inc | Imaging apparatus and imaging method | 
| JP2013160699A (en) | 2012-02-08 | 2013-08-19 | Hitachi High-Technologies Corp | Optical tomographic image measuring device | 
| JP2015068775A (en) | 2013-09-30 | 2015-04-13 | 株式会社ニデック | Optical coherence tomography device | 
| JP2016032609A (en) | 2014-07-31 | 2016-03-10 | 株式会社ニデック | Ophthalmic equipment | 
| JP2016077666A (en) | 2014-10-20 | 2016-05-16 | 株式会社トプコン | Data processing method and oct apparatus | 
| JP2016144503A (en) | 2015-02-06 | 2016-08-12 | キヤノン株式会社 | Optical adjustment mechanism, tomographic imaging apparatus including the same, and optical adjustment method | 
| Publication number | Publication date | 
|---|---|
| JP2018173301A (en) | 2018-11-08 | 
| Publication | Publication Date | Title | 
|---|---|---|
| US10674905B2 (en) | OCT apparatus | |
| US9820645B2 (en) | Ophthalmologic apparatus | |
| US8472028B2 (en) | Optical coherence tomographic apparatus | |
| JP5255524B2 (en) | Optical tomographic imaging device, optical tomographic image processing device. | |
| JP6160827B2 (en) | Optical coherence tomography device | |
| JP7620998B2 (en) | Ophthalmic Equipment | |
| JP7031205B2 (en) | OCT device | |
| JP6221516B2 (en) | Ophthalmic photographing apparatus and ophthalmic photographing program | |
| JP7243023B2 (en) | OCT device | |
| JP7009823B2 (en) | OCT device | |
| JP2016022010A (en) | Image processing device, image processing method, and program | |
| JP2018186930A (en) | Ophthalmic imaging equipment | |
| JP7043790B2 (en) | OCT device | |
| JP2018171168A (en) | Oct apparatus | |
| JP2020036717A (en) | Ophthalmologic imaging apparatus | |
| JP7119286B2 (en) | OCT device | |
| JP2017029483A (en) | Ophthalmologic imaging device | |
| JP2018201858A (en) | Spectacle-wearing parameter acquisition apparatus, spectacle-wearing parameter acquisition method, and spectacle-wearing parameter acquisition program | |
| JP7187777B2 (en) | OCT device and OCT control program | |
| JP7279379B2 (en) | OCT device and OCT image processing program | |
| JP6790879B2 (en) | OCT device | |
| JP7124270B2 (en) | ophthalmic imaging equipment | |
| JP6988133B2 (en) | OCT device | |
| JP7452042B2 (en) | fundus imaging device | |
| JP7329308B2 (en) | OCT device and optical attachment | 
| Date | Code | Title | Description | 
|---|---|---|---|
| A521 | Request for written amendment filed | Free format text:JAPANESE INTERMEDIATE CODE: A523 Effective date:20200313 | |
| A621 | Written request for application examination | Free format text:JAPANESE INTERMEDIATE CODE: A621 Effective date:20200313 | |
| A977 | Report on retrieval | Free format text:JAPANESE INTERMEDIATE CODE: A971007 Effective date:20201228 | |
| A131 | Notification of reasons for refusal | Free format text:JAPANESE INTERMEDIATE CODE: A131 Effective date:20210302 | |
| A601 | Written request for extension of time | Free format text:JAPANESE INTERMEDIATE CODE: A601 Effective date:20210506 | |
| A521 | Request for written amendment filed | Free format text:JAPANESE INTERMEDIATE CODE: A523 Effective date:20210614 | |
| A131 | Notification of reasons for refusal | Free format text:JAPANESE INTERMEDIATE CODE: A131 Effective date:20211102 | |
| A601 | Written request for extension of time | Free format text:JAPANESE INTERMEDIATE CODE: A601 Effective date:20211228 | |
| A521 | Request for written amendment filed | Free format text:JAPANESE INTERMEDIATE CODE: A523 Effective date:20220225 | |
| TRDD | Decision of grant or rejection written | ||
| A01 | Written decision to grant a patent or to grant a registration (utility model) | Free format text:JAPANESE INTERMEDIATE CODE: A01 Effective date:20220705 | |
| A61 | First payment of annual fees (during grant procedure) | Free format text:JAPANESE INTERMEDIATE CODE: A61 Effective date:20220718 | |
| R150 | Certificate of patent or registration of utility model | Ref document number:7119286 Country of ref document:JP Free format text:JAPANESE INTERMEDIATE CODE: R150 |