












本発明は、制御装置、制御方法及びプログラムに関する。 The present invention relates to control devices, control methods and programs.
  特許文献1及び2には、油圧制御装置で油圧アクチュエータの駆動方向及び駆動速度を制御することで、ブームの先端に取り付けられた作業部の位置を制御する技術が開示されている。特許文献1には、操作レバーの傾動操作に基づき、作業部の移動方向並びに速度に関連する信号を発生し、発生させた作業部の移動方向及び速度を、三角関数を用いて起伏及び伸縮の移動方向及び速度に変換することが開示されている。
  特許文献3には、ブームの先端位置を、超音波を発信する位置指令発信機の存する位置に追従移動させる技術が開示されている。
本発明は、ブームの先端をなめらかに動かす技術を提供することを課題とする。 An object of the present invention is to provide a technique for smoothly moving the tip of a boom.
  本発明によれば、
  入力受付部と、
  前記入力受付部が受付けた入力内容に基づき、伸縮、起伏及び旋回可能なブームの先端を移動させる方向及び速度を3次元座標系で示す速度ベクトルを生成する速度ベクトル生成部と、
  前記速度ベクトルに左からヤコビ行列の逆行列を掛けることで、又は、前記ヤコビ行列の逆行列を用いて得られた算出式を用いて、前記速度ベクトルを、前記ブームの伸縮、起伏及び旋回各々の動作方向及び速度を示す動作ベクトルに変換する変換部と、
  前記ブームを伸縮させるアクチュエータ、前記ブームを起伏させるアクチュエータ及び前記ブームを旋回させるアクチュエータを、前記動作ベクトルで示される動作方向及び速度で動作させるアクチュエータ制御部と、
を有し、
  前記入力受付部は、前記速度ベクトルを指定する入力を受付け、
  前記速度ベクトル生成部は、
    移動開始位置と前記入力受付部が受付けた入力内容とに基づき、制御周期毎の前記ブームの先端の目標位置を算出し、
    第n(nは2以上の整数)の制御周期に対応して前記入力受付部が受付けた入力内容に基づき決定される第1の速度ベクトルと、第n-1の制御周期後の前記ブームの先端の位置から第n-1の制御周期の前記ブームの先端の目標位置に向かう第2の速度ベクトルとを足し合わせた合成ベクトルを、第nの制御周期における前記速度ベクトルとして生成し、
  前記アクチュエータ制御部は、
    前記動作ベクトルで示される前記ブームの伸縮、起伏及び旋回の内、前記第1の速度ベクトルを変換した第1の動作ベクトルで示される前記ブームの伸縮、起伏及び旋回各々と動作方向が一致する動作は実行させ、前記動作方向が異なる動作は実行させない制御装置が提供される。According to the present invention
 Input reception department and
 Based on the input contents received by the input receiving unit, a speed vector generating unit that generates a speed vector indicating the direction and speed of moving the tip of the boom that can be expanded / contracted, undulated, and swiveled in a three-dimensional coordinate system.
 By multiplying the velocity vector from the left by the inverse matrix of the Jacobian determinant, or by using the calculation formula obtained by using the inverse matrix of the Jacobian determinant, the velocity vector is obtained by expanding / contracting, undulating, and turning the boom. A converter that converts to an motion vector that indicates the motion direction and speed of
 An actuator control unit that operates the actuator that expands and contracts the boom, the actuator that raises and lowers the boom, and the actuator that swivels the boom in the operation direction and speed indicated by the operation vector.
Have,
The input receiving unit receives an input that specifies the speed vector, and receives the input.
The velocity vector generator is
Based on the movement start position and the input content received by the input receiving unit, the target position of the tip of the boom is calculated for each control cycle.
The first velocity vector determined based on the input content received by the input receiving unit corresponding to the nth (n is an integer of 2 or more) control cycle, and the boom after the n-1th control cycle. A composite vector obtained by adding the second velocity vector from the tip position toward the target position of the boom tip in the n-1th control cycle is generated as the velocity vector in the nth control cycle.
The actuator control unit is
Of the expansion / contraction, undulation and turning of the boom indicated by the motion vector, the motion in which the motion direction coincides with each of the expansion / contraction, undulation and swivel of the boom indicated by the first motion vector obtained by converting the first velocity vector. Is provided, and a control device is provided which does not execute the operation in which the operation direction is different .
  また、本発明によれば、
  コンピュータが、
  入力受付工程と、
  前記入力受付工程で受付けた入力内容に基づき、伸縮、起伏及び旋回可能なブームの先端を移動させる方向及び速度を3次元座標系で示す速度ベクトルを生成する速度ベクトル生成工程と、
  前記速度ベクトルに左からヤコビ行列の逆行列を掛けることで、又は、前記ヤコビ行列の逆行列を用いて得られた算出式を用いて、前記速度ベクトルを、前記ブームの伸縮、起伏及び旋回各々の動作方向及び速度を示す動作ベクトルに変換する変換工程と、
  前記ブームを伸縮させるアクチュエータ、前記ブームを起伏させるアクチュエータ及び前記ブームを旋回させるアクチュエータを、前記動作ベクトルで示される動作方向及び速度で動作させるアクチュエータ制御工程と、
を実行し、
  前記入力受付工程では、前記速度ベクトルを指定する入力を受付け、
  前記速度ベクトル生成工程では、
    移動開始位置と前記入力受付部が受付けた入力内容とに基づき、制御周期毎の前記ブームの先端の目標位置を算出し、
    第n(nは2以上の整数)の制御周期に対応して前記入力受付部が受付けた入力内容に基づき決定される第1の速度ベクトルと、第n-1の制御周期後の前記ブームの先端の位置から第n-1の制御周期の前記ブームの先端の目標位置に向かう第2の速度ベクトルとを足し合わせた合成ベクトルを、第nの制御周期における前記速度ベクトルとして生成し、
  前記アクチュエータ制御工程では、
    前記動作ベクトルで示される前記ブームの伸縮、起伏及び旋回の内、前記第1の速度ベクトルを変換した第1の動作ベクトルで示される前記ブームの伸縮、起伏及び旋回各々と動作方向が一致する動作は実行させ、前記動作方向が異なる動作は実行させない制御方法が提供される。Further, according to the present invention,
 The computer
 Input reception process and
 A speed vector generation step of generating a speed vector indicating the direction and speed of moving the tip of the boom that can be expanded / contracted, undulated, and swiveled in a three-dimensional coordinate system based on the input contents received in the input receiving step.
 By multiplying the velocity vector from the left by the inverse matrix of the Jacobian determinant, or by using the calculation formula obtained by using the inverse matrix of the Jacobian determinant, the velocity vector is obtained by expanding / contracting, undulating, and turning the boom. A conversion process that converts to an motion vector indicating the motion direction and speed of
 An actuator control step of operating the actuator for expanding and contracting the boom, the actuator for raising and lowering the boom, and the actuator for turning the boom in the operation direction and speed indicated by the operation vector.
And
In the input receiving process, an input specifying the speed vector is received, and the input is received.
In the velocity vector generation step,
Based on the movement start position and the input content received by the input receiving unit, the target position of the tip of the boom is calculated for each control cycle.
The first velocity vector determined based on the input content received by the input receiving unit corresponding to the nth (n is an integer of 2 or more) control cycle, and the boom after the n-1th control cycle. A composite vector obtained by adding the second velocity vector from the tip position toward the target position of the boom tip in the n-1th control cycle is generated as the velocity vector in the nth control cycle.
In the actuator control process,
Of the expansion / contraction, undulation and turning of the boom indicated by the motion vector, the motion in which the motion direction coincides with each of the expansion / contraction, undulation and swivel of the boom indicated by the first motion vector obtained by converting the first velocity vector. Is provided, and a control method is provided which does not execute the operation in which the operation direction is different .
  また、本発明によれば、
  コンピュータを、
  入力受付手段、
  前記入力受付手段が受付けた入力内容に基づき、伸縮、起伏及び旋回可能なブームの先端を移動させる方向及び速度を3次元座標系で示す速度ベクトルを生成する速度ベクトル生成手段、
  前記速度ベクトルに左からヤコビ行列の逆行列を掛けることで、又は、前記ヤコビ行列の逆行列を用いて得られた算出式を用いて、前記速度ベクトルを、前記ブームの伸縮、起伏及び旋回各々の動作方向及び速度を示す動作ベクトルに変換する変換手段、
  前記ブームを伸縮させるアクチュエータ、前記ブームを起伏させるアクチュエータ及び前記ブームを旋回させるアクチュエータを、前記動作ベクトルで示される動作方向及び速度で動作させるアクチュエータ制御手段、
として機能させ、
  前記入力受付手段は、前記速度ベクトルを指定する入力を受付け、
  前記速度ベクトル生成手段は、
    移動開始位置と前記入力受付部が受付けた入力内容とに基づき、制御周期毎の前記ブームの先端の目標位置を算出し、
    第n(nは2以上の整数)の制御周期に対応して前記入力受付部が受付けた入力内容に基づき決定される第1の速度ベクトルと、第n-1の制御周期後の前記ブームの先端の位置から第n-1の制御周期の前記ブームの先端の目標位置に向かう第2の速度ベクトルとを足し合わせた合成ベクトルを、第nの制御周期における前記速度ベクトルとして生成し、
  前記アクチュエータ制御手段は、
    前記動作ベクトルで示される前記ブームの伸縮、起伏及び旋回の内、前記第1の速度ベクトルを変換した第1の動作ベクトルで示される前記ブームの伸縮、起伏及び旋回各々と動作方向が一致する動作は実行させ、前記動作方向が異なる動作は実行させないプログラムが提供される。
Further, according to the present invention,
 Computer,
 Input reception method,
 A velocity vector generation means for generating a velocity vector indicating in a three-dimensional coordinate system the direction and velocity for moving the tip of a boom that can be expanded / contracted, undulated, and swiveled based on the input content received by the input receiving means.
 By multiplying the velocity vector from the left by the inverse matrix of the Jacobi matrix, or by using the calculation formula obtained by using the inverse matrix of the Jacobi matrix, the velocity vector can be expanded, contracted, undulated, and swiveled by the boom. A conversion means for converting into an motion vector indicating the motion direction and speed of
 An actuator control means for operating the actuator for expanding and contracting the boom, the actuator for raising and lowering the boom, and the actuator for turning the boom in the operation direction and speed indicated by the operation vector.
 To functionas
The input receiving means receives an input specifying the speed vector, and receives the input.
The velocity vector generation means is
Based on the movement start position and the input content received by the input receiving unit, the target position of the tip of the boom is calculated for each control cycle.
The first velocity vector determined based on the input content received by the input receiving unit corresponding to the nth (n is an integer of 2 or more) control cycle, and the boom after the n-1th control cycle. A composite vector obtained by adding the second velocity vector from the tip position toward the target position of the boom tip in the n-1th control cycle is generated as the velocity vector in the nth control cycle.
The actuator control means is
Of the expansion / contraction, undulation and turning of the boom indicated by the motion vector, the motion in which the motion direction coincides with each of the expansion / contraction, undulation and swivel of the boom indicated by the first motion vector obtained by converting the first velocity vector. Is provided, and the operation in which the operation direction is different is not executed .
本発明によれば、ブームの先端をなめらかに動かすことができる。 According to the present invention, the tip of the boom can be moved smoothly.
<第1の実施形態>
  図1に、本実施形態の制御装置10の機能ブロック図の一例を示す。図示するように、制御装置10は、入力受付部11と、速度ベクトル生成部12と、変換部13と、アクチュエータ制御部14とを有する。<First Embodiment>
 FIG. 1 shows an example of a functional block diagram of the
  入力受付部11は、各種入力を受付ける。速度ベクトル生成部12は、入力受付部11が受付けた入力内容に基づき、伸縮、起伏及び旋回可能なブームの先端を移動させる方向及び速度を3次元座標系で示す速度ベクトルを生成する。変換部13は、生成された速度ベクトルに左からヤコビ行列の逆行列を掛けることで、又は、ヤコビ行列の逆行列を用いて得られた算出式を用いて、ブームの伸縮、起伏及び旋回各々の動作方向及び速度を示す動作ベクトルを算出する。アクチュエータ制御部14は、ブームを伸縮させるアクチュエータ、ブームを起伏させるアクチュエータ及びブームを旋回させるアクチュエータを、動作ベクトルで示される動作方向及び速度で動作させる。  The
  このような制御装置10により、ブームの先端をなめらかに動かす動作を実現する。以下、制御装置10の詳細を説明する。  Such a
  まず、制御装置10のハードウエア構成の一例について説明する。本実施形態の制御装置10が備える各機能部は、任意のコンピュータのCPU(Central Processing Unit)、メモリ、メモリにロードされるプログラム、そのプログラムを格納するハードディスク等の記憶ユニット(あらかじめ装置を出荷する段階から格納されているプログラムのほか、CD(Compact Disc)等の記憶媒体やインターネット上のサーバ等からダウンロードされたプログラムをも格納できる)、ネットワーク接続用インターフェイスを中心にハードウエアとソフトウエアの任意の組合せによって実現される。そして、その実現方法、装置にはいろいろな変形例があることは、当業者には理解されるところである。  First, an example of the hardware configuration of the
  図2は、本実施形態の制御装置10のハードウエア構成を例示するブロック図である。図2に示すように、制御装置10は、プロセッサ1A、メモリ2A、入出力インターフェイス3A、周辺回路4A、バス5Aを有する。周辺回路4Aには、様々なモジュールが含まれる。なお、制御装置10は物理的及び/又は論理的に分かれた複数の装置で構成されてもよい。この場合、複数の装置各々が、プロセッサ1A、メモリ2A、入出力インターフェイス3A、周辺回路4A、バス5Aを有してもよい。  FIG. 2 is a block diagram illustrating a hardware configuration of the
  バス5Aは、プロセッサ1A、メモリ2A、周辺回路4A及び入出力インターフェイス3Aが相互にデータを送受信するためのデータ伝送路である。プロセッサ1Aは、例えばCPUやGPU(Graphics Processing Unit)などの演算処理装置である。メモリ2Aは、例えばRAM(Random Access Memory)やROM(Read Only Memory)などのメモリである。入出力インターフェイス3Aは、入力装置(例:キーボード、マウス、マイク、物理キー、タッチパネルディスプレイ、コードリーダ等)、外部装置、外部サーバ、外部センサ等から情報を取得するためのインターフェイスや、出力装置(例:ディスプレイ、スピーカ、プリンター、メーラ等)、外部装置、外部サーバ等に情報を出力するためのインターフェイスなどを含む。プロセッサ1Aは、各モジュールに指令を出し、それらの演算結果をもとに演算を行うことができる。  The
  次に、本実施形態の制御装置10に制御されるブームを備える作業機について説明する。なお、作業機と制御装置10とは物理的及び/又は論理的に一体となって構成されてもよいし、物理的及び/又は論理的に分かれて構成されてもよい。  Next, a working machine including a boom controlled by the
作業機は、ブームを伸縮させるアクチュエータ(例:ブーム伸縮シリンダ)、ブームを起伏させるアクチュエータ(例:ブーム起伏シリンダ)、及び、ブームを旋回させるアクチュエータ(例:ブーム旋回モータ)を有する。複数のアクチュエータの少なくとも1つ(例:複数のアクチュエータの全て)は油圧制御される。 The working machine has an actuator for expanding and contracting the boom (eg, boom telescopic cylinder), an actuator for raising and lowering the boom (eg, boom undulating cylinder), and an actuator for turning the boom (eg, boom turning motor). At least one of the plurality of actuators (eg, all of the plurality of actuators) is hydraulically controlled.
ブームの動作は、制御弁及びスプールで制御される。すなわち、制御弁からの圧油の吐出量をスプールで変位させて調節することで、各アクチュエータへの圧油の供給量を調節する。各アクチュエータへの圧油の供給量を調節することで、各アクチュエータの動作方向及び速度を調節する。そして、各アクチュエータの動作を調節することで、ブームの先端の移動方向及び速度を調節する。 The operation of the boom is controlled by the control valve and the spool. That is, the amount of pressure oil supplied from the control valve is adjusted by displacing the amount of pressure oil discharged from the spool with the spool to adjust the amount of pressure oil supplied to each actuator. By adjusting the amount of pressure oil supplied to each actuator, the operating direction and speed of each actuator are adjusted. Then, by adjusting the operation of each actuator, the moving direction and speed of the tip of the boom are adjusted.
ここで、図3を用いて本実施形態の作業機が備えるスプールの特性を説明する。図3は、スプール変位とシリンダ速度の関係の一例を示す。この特性カーブに基づき、アクチュエータを所望の速度で動かすためのスプール変位を求めることができる。例えば、アクチュエータを定格の20%の速度で動かしたい場合はスプールの変位を最大変位の51%に設定する。また、アクチュエータを定格の80%の速度で動かしたい場合はスプールの変位を最大変位の94%に設定する。 Here, the characteristics of the spool included in the working machine of the present embodiment will be described with reference to FIG. FIG. 3 shows an example of the relationship between spool displacement and cylinder speed. Based on this characteristic curve, the spool displacement for moving the actuator at a desired speed can be obtained. For example, if you want to move the actuator at a speed of 20% of the rating, set the displacement of the spool to 51% of the maximum displacement. If the actuator is to be moved at a speed of 80% of the rating, the displacement of the spool is set to 94% of the maximum displacement.
ブームを伸縮させるアクチュエータ、ブームを起伏させるアクチュエータ、及び、ブームを旋回させるアクチュエータ各々の動作により、ブームの長さ(ブーム長)、起伏角度及び旋回角度が決定される。各アクチュエータの速度は、ブームの伸縮速度(単位時間当たりのブーム長の変化量)、起伏角速度(単位時間当たりのブームの起伏角の変化量)、及び、旋回角速度(単位時間当たりのブームの旋回角の変化量)に相当する。 The boom length (boom length), the undulation angle, and the turning angle are determined by the operations of the actuator that expands and contracts the boom, the actuator that raises and lowers the boom, and the actuator that turns the boom. The speed of each actuator is the expansion / contraction speed of the boom (the amount of change in the boom length per unit time), the undulation angular velocity (the amount of change in the undulation angle of the boom per unit time), and the turning angular velocity (the amount of change in the boom undulating angle per unit time). Corresponds to the amount of change in the angle).
なお、図3に示すように、制御弁のスプールはその中立付近の一定のストローク範囲内で「一定の不感帯域」を持つ。すなわち、スプール変位が不感帯に収まっている間、アクチュエータに圧油が供給されず、アクチュエータは動かない。アクチュエータに圧油を供給し、動かすためには、スプール変位が不感帯域の外に出なければならない。 As shown in FIG. 3, the spool of the control valve has a "constant dead band" within a constant stroke range near its neutrality. That is, while the spool displacement is within the dead zone, pressure oil is not supplied to the actuator and the actuator does not move. In order to supply and move the pressure oil to the actuator, the spool displacement must be out of the dead zone.
図4に、線形で表したシリンダの目標速度の時間変化と、その目標速度を実現するためのスプール変位の時間変化との関係を示す。シリンダの目標速度は、所望の速度でブームの先端を移動させるためのシリンダの速度であり、一定速に安定後の終端速度と定義する。 FIG. 4 shows the relationship between the time change of the target speed of the cylinder represented linearly and the time change of the spool displacement for achieving the target speed. The target speed of the cylinder is the speed of the cylinder for moving the tip of the boom at a desired speed, and is defined as the terminal velocity after stabilizing at a constant speed.
また、作業機は、スプールの変位及び速度を検出する手段(差動トランス)を有する。さらに、作業機は、ブームの長さを検出するブーム長検出器、ブームの起伏角度を検出するブーム角度検出器、及び、ブームの旋回角度を検出する旋回角度検出器を有する。 The working machine also has means (differential transformer) for detecting the displacement and speed of the spool. Further, the working machine has a boom length detector for detecting the length of the boom, a boom angle detector for detecting the undulation angle of the boom, and a turning angle detector for detecting the turning angle of the boom.
  次に、制御装置10について説明する。制御装置10は、アクチュエータの動作を制御する。図1の機能ブロック図に示すように、制御装置10は、入力受付部11と、速度ベクトル生成部12と、変換部13と、アクチュエータ制御部14とを有する。  Next, the
  入力受付部11は、操作レバー(入力装置)を介して、ブームの先端を移動させる方向及び速度を指定する入力を受付ける。なお、入力受付部11は、タッチパネルディスプレイ、物理ボタン、マイク、キーボード、マウス等の他の入力装置を介して、ブームの先端を移動させる方向及び速度を指定する入力を受付けてもよい。  The
  入力受付部11は、制御周期毎に、操作レバーの操作内容を検出し、検出した操作レバーの操作内容をブームの先端を移動させる方向及び速度を示す速度ベクトルに変換し、出力する。速度ベクトルは、作業機の所定位置を原点とし、作業機の所定方向をx軸(水平方向の軸)、y軸(水平方向の軸)及びz軸(垂直方向の軸)とした3次元座標系(以下、「作業機座標系」という場合がある)で示される。制御周期は、例えば1ミリ秒から100ミリ秒である。  The
  入力受付部11は、操作レバーを傾ける方向に基づきブームの先端を移動させる方向を決定し、操作レバーを傾ける角度に基づきブームの先端を移動させる速度を決定する。例えば、予め、操作レバーを傾ける方向と、作業機座標系の所定の方向とが対応づけられていてもよい。また、予め、操作レバーを傾ける角度と、ブームの先端を移動させる速度とが対応付けられていてもよい。そして、入力受付部11は、当該対応関係に基づき、検出した操作レバーの操作内容を、ブームの先端を移動させる方向及び速度を示す速度ベクトルに変換してもよい。例えば、2つの操作レバーを用意し、第1の操作レバーで水平方向の移動方向及び速度を指定し、第2の操作レバーで垂直方向の移動方向及び速度を指定できてもよい。  The
  速度ベクトル生成部12は、制御周期毎に、入力受付部11が受付けた入力内容に基づき、伸縮、起伏及び旋回可能なブームの先端を移動させる方向及び速度を3次元座標系(作業機座標系)で示す速度ベクトルを生成し、出力する。以下、速度ベクトル生成部12により生成された速度ベクトルを、指示速度ベクトルという。  The speed
ここで、指示速度ベクトルの生成例を説明する。 Here, an example of generating the indicated velocity vector will be described.
「指示速度ベクトル生成例1」
  速度ベクトル生成部12は、入力受付部11により出力された速度ベクトルを、そのまま指示速度ベクトルとすることができる。"Instructed speed vector generation example 1"
 The speed
「指示速度ベクトル生成例2」
  速度ベクトル生成部12は、指示速度ベクトルの移動方向として、入力受付部11により出力された速度ベクトルで示される移動方向をそのまま採用することができる。そして、指示速度ベクトルの速度を、以下のようにして決定してもよい。"Instructed speed vector generation example 2"
 The speed
  「(ブームの先端の現在の速度)<(入力受付部11により出力された速度ベクトルで示される速度)」を満たす場合、速度ベクトル生成部12は、「(指示速度ベクトルの速度)=(ブームの先端の現在の速度)+(加速度)×(制御周期分の時間)」で算出してもよい。加速度は、予め与えられる固定値であってもよい。  When "(current speed at the tip of the boom) <(speed indicated by the speed vector output by the input receiving unit 11)" is satisfied, the speed
ブームの動作を開始した直後等はブームの先端の速度が小さいため、当該条件を満たしやすくなる。この場合、上述のように指示速度ベクトルの速度を決定することで、急激な速度上昇を抑制し、滑らかな動作が実現される。 Immediately after the boom operation is started, the speed at the tip of the boom is low, so that the condition can be easily satisfied. In this case, by determining the speed of the indicated speed vector as described above, a sudden speed increase is suppressed and smooth operation is realized.
  一方、「(ブームの先端の現在の速度)≧(入力受付部11により出力された速度ベクトルで示される速度)」を満たす場合、速度ベクトル生成部12は、入力受付部11により出力された速度ベクトルで示される速度を指示速度ベクトルの速度として採用してもよい。ブームの動作を開始してからある程度の時間が経過し、ブームの先端の移動速度が安定している頃には当該条件を満たしやすくなる。  On the other hand, when "(current speed at the tip of the boom) ≥ (speed indicated by the speed vector output by the input receiving unit 11)" is satisfied, the speed
  変換部13は、速度ベクトル生成部12により出力された指示速度ベクトルに左からヤコビ行列の逆行列を掛けることで、指示速度ベクトルを、ブームの伸縮、起伏及び旋回各々の動作方向及び速度を示す動作ベクトルに変換する(以下の式(2)、(14)参照)。なお、変換部13は、ヤコビ行列の逆行列を用いて得られた算出式を用いて、指示速度ベクトルを動作ベクトルに変換してもよい(以下の式(15)参照)。  The
ここで、ヤコビ行列の逆行列について説明する。 Here, the inverse matrix of the Jacobian determinant will be described.
ブームに伸縮、起伏、旋回を実行させると、ブームの先端が所定の方向に所定の速度で移動する。すなわち、ブームの先端に速度ベクトルが生じる。伸縮、起伏、旋回の中の複数を同時に行った場合は、各動作によってブームの先端に生じる速度ベクトルを足し合わせることによって、ブームの先端の速度ベクトルを求めることができる。 When the boom is expanded, contracted, undulated, and swiveled, the tip of the boom moves in a predetermined direction at a predetermined speed. That is, a velocity vector is generated at the tip of the boom. When a plurality of expansion / contraction, undulation, and turning are performed at the same time, the velocity vector at the tip of the boom can be obtained by adding the velocity vectors generated at the tip of the boom by each operation.
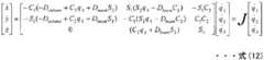
ブームの動作ベクトルと、ブームの先端の速度ベクトルとは、ヤコビ行列Jを用いて式(1)のように示される。 The motion vector of the boom and the velocity vector at the tip of the boom are expressed by the Jacobian determinant J as shown in equation (1).
xの上に黒点を付した文字は、作業機座標系におけるブームの先端のx軸方向の移動の速度成分を示す。明細書中では、当該速度成分を「x´」と表す。yの上に黒点を付した文字は、作業機座標系におけるブームの先端のy軸方向の移動の速度成分を示す。明細書中では、当該速度成分を「y´」と表す。zの上に黒点を付した文字は、作業機座標系におけるブームの先端のz軸方向の移動の速度成分を示す。明細書中では、当該速度成分を「z´」と表す。 The letters with black dots above x indicate the velocity component of the movement of the tip of the boom in the x-axis direction in the work equipment coordinate system. In the specification, the velocity component is referred to as "x'". The letters with black dots on y indicate the velocity component of the movement of the tip of the boom in the y-axis direction in the work equipment coordinate system. In the specification, the velocity component is referred to as "y'". The letters with black dots above z indicate the velocity component of the movement of the tip of the boom in the z-axis direction in the work equipment coordinate system. In the specification, the velocity component is referred to as "z'".
q1の上に黒点を付した文字は、ブームの旋回の角速度(旋回角の単位時間当たりの変化量)を示す。明細書中では、当該速度成分を「q1´」と表す。q2の上に黒点を付した文字は、ブームの起伏の角速度(起伏角の単位時間当たりの変化量)を示す。明細書中では、当該速度成分を「q2´」と表す。q3の上に黒点を付した文字は、ブームの伸縮速度(ブーム長の単位時間当たりの変化量)を示す。明細書中では、当該速度成分を「q3´」と表す。The letters with black dots on q1 indicate the angular velocity of the boom turning (the amount of change in the turning angle per unit time). In the specification, the velocity component is expressed as "q1 '". The letters with black dots on q2 indicate the angular velocity of the undulation of the boom (the amount of change in the undulation angle per unit time). In the specification, the velocity component is expressed as "q2 '". The letters with black dots on q3 indicate the expansion / contraction speed of the boom (the amount of change in the boom length per unit time). In the specification, the velocity component is expressed as "q3 '".
ブームの伸縮、起伏、旋回の速度とブームの先端の速度の自由度が同じ(Jが正方行列)であり、かつ、ブームが特異姿勢でないとき、逆行列J-1を用いることで、式(2)に示すようにブームの先端の速度ベクトルから動作ベクトルを求めることができる。なお、ブームの特異姿勢とは、例えばブームが真上や真下を向いた状態をいう。When the degree of freedom of expansion / contraction, undulation, and turning speed of the boom and the speed of the tip of the boom are the same (J is a square matrix), and the boom is not in a singular posture, the equation (J-1) is used by using the inverse matrix J-1 . As shown in 2), the motion vector can be obtained from the velocity vector at the tip of the boom. The peculiar posture of the boom means, for example, a state in which the boom faces directly upward or downward.
行列計算を展開すると、式(3)のようになる。 When the matrix calculation is expanded, it becomes as shown in Eq. (3).
ここで、逆行列J-1を求めると以下のようになる。Here, the inverse matrix J-1 is obtained as follows.
「同次変換行列を使った順運動学計算(q1、q2、q3→x、y、z)」
  まず、図5及び式(4)に示すように変数及び定数を定義する。Houtrigger、Hcolumn、Dcolumn、及び、Dboomは、作業機の構成に基づき定まる固定値である。"Forward kinematics calculation using the same-order transformation matrix (q1 , q2 , q3 → x, y, z)"
 First, variables and constants are defined as shown in FIG. 5 and equation (4). Houtrigger , Hvolume , Dvolume , and Dboom are fixed values determined based on the configuration of the working machine.
基準座標系→ターンテーブル座標系の同次変換行列は、式(5)のようになる。基準座標系は、図5に示すΣ0座標系である。コラム回転中心直下の地面を原点とし、車両左側方をX0軸方向、車両後方をY0軸方向、鉛直上方をZ0軸方向としている。ターンテーブル座標系は、図5に示すΣ1座標系であり、ターンテーブル中央を原点とし、ブームの方位角がY1軸と一致するよう基準座標系を並進移動およびZ1軸周りに回転したものである。式(5)は、Z0軸方向にHoutrigger並進移動し、Z1軸回りにq1回転することを意味する。The homogeneous transformation matrix from the reference coordinate system to the turntable coordinate system is as shown in Eq. (5). The reference coordinate system is theΣ0 coordinate system shown in FIG. The origin is the ground directly below the center of rotation of the column, the left side of the vehicle is in theX0 axis direction, the rear of the vehicle is in theY0 axis direction, and the vertically upper direction is in theZ0 axis direction. The turntable coordinate system is theΣ1 coordinate system shown in FIG.5 , with the center of the turntable as the origin, and the reference coordinate system is translated and rotated around theZ1 axis so that the azimuth angle of the boom coincides with the Y1 axis. It is a thing. Equation (5) means that the Houtrigger translates in theZ0 axis direction and makesq1 rotation around theZ1 axis.
ターンテーブル座標系→コラム座標系の同次変換行列は、式(6)のようになる。コラム座標系は、図5に示すΣ2座標系であり、ブームフートピン中央を原点とし、ブーム長手方向がY2軸方向と一致するようターンテーブル座標系を並進移動およびX2軸周りに回転したものである。式(6)は、Z1軸方向にHoutrigger、Y1軸方向に-Dcolumn並進移動し、X2軸回りにq2回転することを意味する。The homogeneous transformation matrix from the turntable coordinate system to the column coordinate system is as shown in Eq. (6). The column coordinate system is theΣ2 coordinate system shown inFIG .5 , with the center of the boom foot pin as the origin, and the turntable coordinate system is translated and rotated around the X2 axis so that the boom longitudinal direction coincides with the Y2 axis direction. It was done. Equation (6) means Houtrigger in the Z1 -axis direction, -Dvolume translational movement in the Y- axis direction, and q2 rotations around the X2 -axis.
コラム座標系→トップシーブ座標系の同次変換行列は、式(7)のようになる。トップシーブ座標系は、図5に示すΣ3座標系であり、トップシーブ中央が原点となるようコラム座標系を並進移動したものである。式(7)は、Z2軸方向に-Dboom、Y2軸方向にq3並進移動することを意味する。The homogeneous transformation matrix from the column coordinate system to the top sheave coordinate system is as shown in Eq. (7). The top sheave coordinate system is the Σ3 coordinate system shown in FIG.5 , and is a translational movement of the column coordinate system so that the center of the top sheave is the origin. Equation (7) means -Dboom in the Z2 -axis direction and q3 translational movement in the Y2 -axis direction.
基準座標系→トップシーブ座標系の同次変換行列は、式(8)のようになる。 The homogeneous transformation matrix from the reference coordinate system to the top sheave coordinate system is as shown in Eq. (8).
式(8)を使ってトップシーブ座標系の原点(0、0、0)を基準座標系で表すと、式(9)のようになる。 When the origin (0, 0, 0) of the top sheave coordinate system is expressed by the reference coordinate system using the equation (8), it becomes as shown in the equation (9).
式(9)の各係数を計算し展開すると、式(10)のようになる。 When each coefficient of the equation (9) is calculated and expanded, it becomes as shown in the equation (10).
「ヤコビ行列の逆行列を使った逆運動学計算(x´、y´、z´→q1´、q2´、q3´)」
  x、y、zをそれぞれ時間微分してq1´、q2´、q3´についてまとめると、式(11)のようになる。"Inverse kinematics calculation using the inverse matrix of Jacobian determinant (x', y', z'→ q1 ', q2 ', q3 ')"
 Equation (11) is obtained by time-differentiating x, y, and z, respectively, and summarizing q1 ′, q2 ′, and q3 ′.
これを行列表記にすると、式(12)のようになる。 When this is expressed in a matrix, it becomes as shown in Eq. (12).
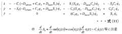
両辺に左からJ-1を掛けて、左辺及び右辺を入れ替えると式(13)のようになる。Multiplying both sides by J-1 from the left and swapping the left and right sides gives equation (13).
J-1を計算すると、式(14)のようになる。When J-1 is calculated, it becomes as shown in Eq. (14).
式(13)のJ-1に式(14)を代入して展開すると、式(15)のようになる。式(15)を利用することで、ブームの先端を所定の方向に所定の速度で移動させるための複数のアクチュエータ各々の動作方向及び速度(動作ベクトル)が求まる。Substituting Eq. (14) for J-1 of Eq. (13) and expanding it gives Eq. (15). By using the equation (15), the operation direction and speed (operation vector) of each of the plurality of actuators for moving the tip of the boom in a predetermined direction at a predetermined speed can be obtained.
  図1に戻り、アクチュエータ制御部14は、ブームを伸縮させるアクチュエータ、ブームを起伏させるアクチュエータ及びブームを旋回させるアクチュエータを、動作ベクトルで示される方向及び速度で動作させる。  Returning to FIG. 1, the
  すなわち、アクチュエータ制御部14は、変換部13で算出された「動作ベクトル」と、予め保持している「スプール変位とアクチュエータの速度との関係を示す情報(例:関数、テーブル等)」とに基づき、動作ベクトルで示される方向に動作ベクトルで示される速度で動かすためのスプール変位を求める。そして、求めた通りにスプールの変位を設定する。  That is, the
  ここで、参考までに、図6に、本実施形態の制御装置10の構成の一例を示す。なお、あくまで一例であり、これに限定されない。  Here, for reference, FIG. 6 shows an example of the configuration of the
  次に、図7を用いて、本実施形態の制御装置10による処理の流れの一例及びそれに応じたブームの先端の移動を説明する。図7は、ブームを上方から観察した模式図である。ブームの先端は(1)→(2)→(3)→(4)の順に移動するものとする。1回の制御周期で(1)→(2)の変化がおき、次の制御周期で(2)→(3)の変化がおき、次の制御周期で(3)→(4)の変化がおきるものとする。なお、これらの前提は、以下で説明する図8、図12及び図13も同様である。  Next, with reference to FIG. 7, an example of the processing flow by the
  図7において、ブームの先端の位置が(1)で停止しているとき、入力受付部11は、最初の制御周期(第1の制御周期)の指示入力待ち状態となっている。そして、オペレータにより操作レバーを所定の方向に所定角度傾ける操作がなされると、入力受付部11は操作レバーの操作内容を検出する。そして、入力受付部11は、検出した操作レバーの操作内容を、ブームの先端を移動させる方向及び速度を示す速度ベクトルに変換し、第1の制御周期の速度ベクトルとして出力する。ここでは、(1)のブームの先端から延びる矢印で示される方向の速度ベクトルが出力されたものとする。  In FIG. 7, when the position of the tip of the boom is stopped at (1), the
  その後、速度ベクトル生成部12は、上述した指示速度ベクトル生成例1乃至3の何れかに基づき、第1の制御周期の指示速度ベクトルを生成し、出力する。  After that, the velocity
  その後、変換部13は、指示速度ベクトルに左からヤコビ行列の逆行列を掛けることで、第1の制御周期の指示速度ベクトルを、ブームの伸縮、起伏及び旋回各々の動作方向及び速度を示す動作ベクトルに変換する(式(2)、(14)参照)。なお、変換部13は、ヤコビ行列の逆行列を用いて得られた算出式を用いて、第1の制御周期の指示速度ベクトルを動作ベクトル(第1の制御周期の動作ベクトル)に変換してもよい(式(15)参照)。  After that, the
  その後、アクチュエータ制御部14は、「第1の制御周期の動作ベクトル」と、予め保持している「スプール変位とアクチュエータの速度との関係を示す情報(例:関数、テーブル等)」とに基づき、第1の制御周期の動作ベクトルで示される方向に当該動作ベクトルで示される速度で動かすためのスプール変位を求める。そして、求めた通りにスプールの変位を設定する。  After that, the
結果、第1の制御周期の間ブームの先端は移動し、第1の制御周期後のブームの先端の位置は図示する(2)になる。なお、図示するように、ブームの動作の誤差等により、指示速度ベクトルで示される方向からズレが発生する場合がある。図の場合、図中の上下方向のズレが発生している。 As a result, the tip of the boom moves during the first control cycle, and the position of the tip of the boom after the first control cycle is shown in (2). As shown in the figure, a deviation may occur from the direction indicated by the indicated speed vector due to an error in the operation of the boom or the like. In the case of the figure, there is a vertical deviation in the figure.
  入力受付部11は、第1の制御周期に対応する操作レバーの操作を検出した後の任意のタイミング以降に、次の制御周期(第2の制御周期)の指示入力待ち状態となる。そして、オペレータにより操作レバーを所定の方向に所定角度傾ける操作がなされると、入力受付部11は操作レバーの操作内容を検出する。そして、入力受付部11は、検出した操作レバーの操作内容を、ブームの先端を移動させる方向及び速度を示す速度ベクトルに変換し、第2の制御周期の速度ベクトルとして出力する。なお、オペレータは、操作レバーを継続的に所定の方向に所定の角度で傾け続けておいてもよい。  The
  その後、速度ベクトル生成部12は、上述した指示速度ベクトル生成例1乃至3の何れかに基づき、第1の制御周期の指示速度ベクトルを生成し、出力する。  After that, the velocity
  その後、変換部13は、指示速度ベクトルに左からヤコビ行列の逆行列を掛けることで、第2の制御周期の指示速度ベクトルを、ブームの伸縮、起伏及び旋回各々の動作方向及び速度を示す動作ベクトルに変換する(式(2)、(14)参照)。なお、変換部13は、ヤコビ行列の逆行列を用いて得られた算出式を用いて、第2の制御周期の指示速度ベクトルを動作ベクトル(第2の制御周期の動作ベクトル)に変換してもよい(式(15)参照)。  After that, the
  その後、アクチュエータ制御部14は、「第2の制御周期の動作ベクトル」と、予め保持している「スプール変位とアクチュエータの速度との関係を示す情報(例:関数、テーブル等)」とに基づき、第2の制御周期の動作ベクトルで示される方向に当該動作ベクトルで示される速度で動かすためのスプール変位を求める。そして、第1の制御周期終了後(第1の制御周期の動作ベクトルで制御し始めてから所定時間が経過後)に、第2の制御周期の動作ベクトルに基づき求めた通りにスプールの変位を設定する。  After that, the
結果、第2の制御周期の間ブームの先端は移動し、第2の制御周期後のブームの先端の位置は図示する(3)になる。なお、図示するように、ブームの動作の誤差等により、指示速度ベクトルで示される方向からズレが発生する場合がある。図の場合、図中の上下方向のズレが発生している。 As a result, the tip of the boom moves during the second control cycle, and the position of the tip of the boom after the second control cycle is shown in (3). As shown in the figure, a deviation may occur from the direction indicated by the indicated speed vector due to an error in the operation of the boom or the like. In the case of the figure, there is a vertical deviation in the figure.
以降、同様の処理を繰り返す。なお、制御周期は例えば1ミリ秒から100ミリ秒である。 After that, the same process is repeated. The control cycle is, for example, 1 millisecond to 100 milliseconds.
  次に、本実施形態の制御装置10の作用効果を説明する。  Next, the operation and effect of the
「第1の作用効果」
  まず、ブームの先端を目的地まで直線的に動かす制御方法として、ブームの先端の位置を繰り返し制御する手段(位置フィードバック)が考えられる。これは、本実施形態の制御手法と異なる手段である。"First action effect"
 First, as a control method for linearly moving the tip of the boom to the destination, a means (position feedback) for repeatedly controlling the position of the tip of the boom can be considered. This is a means different from the control method of the present embodiment.
位置フィードバックによる制御を行う場合、例えば、ブームの先端の現在位置と目標位置を比較し、現在位置が目標位置に到達していない場合は正の出力を出し、現在位置が目標位置を超えた場合は負の出力を出すことで、目標位置と現在位置を一致させる。目標位置は、例えば、操作レバーの操作内容(傾ける方向、傾ける角度)に基づき、スプール変位から演算される。 When controlling by position feedback, for example, comparing the current position of the tip of the boom with the target position, if the current position has not reached the target position, a positive output is output, and if the current position exceeds the target position. Outputs a negative output to match the target position with the current position. The target position is calculated from the spool displacement, for example, based on the operation content (tilting direction, tilting angle) of the operating lever.
ここで、位置フィードバックで、図8のように旋回と伸縮でブームの先端を図の右方向に移動し続ける場合を考える。なお、この条件における基本動作方向は旋回が「右」、伸縮は「伸」である。「基本動作方向」は、操作レバーの操作内容で指定されたブームの先端の移動(図8の場合、右方向)を実現するためのブームの動作方向である。 Here, consider a case where the tip of the boom continues to move to the right in the figure by turning and expanding and contracting as shown in FIG. 8 by position feedback. In this condition, the basic operating direction is "right" for turning and "extending" for expansion and contraction. The "basic operation direction" is the operation direction of the boom for realizing the movement of the tip of the boom (in the case of FIG. 8, the right direction) specified by the operation content of the operation lever.
位置フィードバックの場合、図示するように制御周期毎に目標位置を定め、制御周期毎にブームの先端の位置を目標位置と一致させる。現在位置が目標位置に到達していない場合は正の出力を出し、現在位置が目標位置を超えた場合は負の出力を出すことで、目標位置と現在位置を一致させる。 In the case of position feedback, the target position is set for each control cycle as shown in the figure, and the position of the tip of the boom is matched with the target position for each control cycle. If the current position has not reached the target position, a positive output is output, and if the current position exceeds the target position, a negative output is output to match the target position with the current position.
(2)乃至(4)各々の現在位置→目標位置の補正は次の通りである。(2)では、旋回補正は「左」、伸縮補正は「縮」となる。(3)では、旋回補正は「左」、伸縮補正は「伸」となる。(4)では、旋回補正は「右」、伸縮補正は「縮」となる。 The correction of each current position → target position in (2) to (4) is as follows. In (2), the turning correction is "left" and the expansion / contraction correction is "contraction". In (3), the turning correction is "left" and the expansion / contraction correction is "extension". In (4), the turning correction is "right" and the expansion / contraction correction is "contraction".
位置フィードバックの場合、このように、タイミング毎に各動作の補正の方向が反転する場合がある。また、上述の通り基本動作方向は「旋回:右、伸縮:伸」に対して、補正の方向が基本動作方向から反転している場合がある。 In the case of position feedback, in this way, the direction of correction of each operation may be reversed at each timing. Further, as described above, the correction direction may be reversed from the basic operation direction with respect to "turn: right, expansion / contraction: extension" as the basic operation direction.
位置制御の性能を向上させるために制御周期を短くした場合や、補正ゲインを大きくした場合、また、基本動作による移動速度が遅い場合は、基本動作方向に対する補正方向が反転する可能性が高くなり、また、制御周期毎に補正方向が反転する可能性も高まる。また、補正のために目標速度は微小なものとなる。ここで、図9に、微小な目標速度が発生した場合にこの目標速度を満足するためのスプール変位を示す。 If the control cycle is shortened to improve the performance of position control, the correction gain is increased, or the movement speed due to the basic operation is slow, there is a high possibility that the correction direction with respect to the basic operation direction will be reversed. In addition, the possibility that the correction direction is reversed for each control cycle is increased. In addition, the target speed becomes very small due to the correction. Here, FIG. 9 shows the spool displacement for satisfying the target speed when a minute target speed is generated.
図9に示すように目標速度が0近傍で細かく変化した場合、目標速度の符号に併せて正側の閾値と負側の閾値を超えるように目標スプール位置が激しく変化する。なお、正側の閾値及び負側の閾値は、各々、図3に示す不感帯の上限及び下限である。産業用マニピューレタのように交流電流を使用しての電気制御の場合は印加電圧やインバータの周波数などを激しく変化させることが可能だが、スプールを介して油圧を制御する場合はスプールの応答速度を超えるためスプール変位に応答遅れやオーバーシュートが発生する(図10参照)。応答遅れとオーバーシュートが生じたスプールに対して図3の特性が現れるため、実際のアクチュエータの速度は図11のように振動的になる。 As shown in FIG. 9, when the target speed changes finely in the vicinity of 0, the target spool position changes drastically so as to exceed the positive threshold value and the negative threshold value according to the sign of the target speed. The threshold on the positive side and the threshold on the negative side are the upper limit and the lower limit of the dead zone shown in FIG. 3, respectively. In the case of electric control using alternating current like an industrial manipulator, it is possible to drastically change the applied voltage and the frequency of the inverter, but when controlling the hydraulic pressure via the spool, it exceeds the response speed of the spool. Therefore, response delay and overshoot occur in the spool displacement (see FIG. 10). Since the characteristics of FIG. 3 appear for the spool in which the response delay and overshoot occur, the actual speed of the actuator becomes oscillating as shown in FIG.
図11のように動作方向が激しく入れ替わるような内容でアクチュエータを動作させた場合、例えばブームがしなるなどさらに大きなオーバーランが発生し、制御系が発振する原因となる。 When the actuator is operated in such a manner that the operation directions are violently changed as shown in FIG. 11, a larger overrun occurs, for example, a boom occurs, which causes the control system to oscillate.
これに対し、本実施形態では、図7を用いて説明したように、ブームの先端の速度をベースとした制御を行う。ブームの先端を右に動かし続けるために、単位時間(1回の制御周期)当たりにおいてブームの先端で右方向に速度が発生するような旋回及び伸縮の速度を求め、これを満たすように制御する。ブームの先端の速度を満たす旋回及び伸縮の速度はブームの現姿勢によるため、制御周期毎に更新することができる。 On the other hand, in the present embodiment, as described with reference to FIG. 7, control is performed based on the speed at the tip of the boom. In order to keep the tip of the boom moving to the right, the speed of turning and expansion and contraction so that the speed is generated to the right at the tip of the boom per unit time (one control cycle) is obtained and controlled to satisfy this. .. Since the speed of turning and expansion / contraction that satisfies the speed of the tip of the boom depends on the current posture of the boom, it can be updated every control cycle.
  ブームの姿勢が大きく変わらない限り、ブームの先端の目標速度に対する旋回及び伸縮の目標速度は大きく変化せず、基本動作方向も変わらない。したがって、例えば旋回及び伸縮の速度が目標速度を超えた場合は自動車のアクセル制御のように減速することで補正され、旋回及び伸縮の動作方向の符号を変える必要はない。スプール位置についても、速度0~最大速度の範囲で制御し、反転を考慮する必要がないため、不感帯から最大速度の範囲で制御するだけでよい。目標速度が急激に変化しない限り、スプール変位量のフィードバック値もずれが発生せず、安定した制御をすることができる。  Unless the posture of the boom changes significantly, the target speed of turning and expansion / contraction with respect to the target speed of the tip of the boom does not change significantly, and the basic operating direction does not change. Therefore, for example, when the speed of turning and expansion and contraction exceeds the target speed, it is corrected by decelerating like the accelerator control of an automobile, and it is not necessary to change the sign of the operation direction of turning and expansion and contraction. The spool position is also controlled in the range of
「第2の作用効果」
  速度ベースで制御するための速度の算出手段として、制御周期毎の目標位置を定め、現在位置と目標位置との差分により速度を求める手段(比較例の算出手段)が考えられる。これは、本実施形態の手段と異なる手段である。"Second action effect"
 As a speed calculation means for speed-based control, a means (calculation means of a comparative example) in which a target position for each control cycle is determined and the speed is obtained by the difference between the current position and the target position can be considered. This is a means different from the means of the present embodiment.
しかし、比較例の算出手段の場合、浮動小数点型の演算における微小な計算誤差による影響が問題となる。例えば、ブームの先端を垂直に上昇させたい場合、旋回を行う必要がない。しかし、比較例の算出手段の場合、浮動小数点型の演算における丸め込み等の誤差により、動作不要な旋回に対して符号が頻繁に変化する形で微小な目標速度が発生する。計算誤差の他に、ブームのガタ等により旋回位置に微小量分の狂いが生じた場合にも微小な目標速度が発生する可能性がある。符号の変化を伴う微小な目標速度は制御弁の制御に悪影響を与える。なお、他の動作に対しても浮動小数点型の演算における誤差は発生するが、基本動作速度に対して微小であるため大きな影響はない。 However, in the case of the calculation means of the comparative example, the influence of a small calculation error in the floating-point type calculation becomes a problem. For example, if you want to raise the tip of the boom vertically, you do not need to make a turn. However, in the case of the calculation means of the comparative example, a minute target speed is generated in a form in which the sign frequently changes with respect to a turn that does not require operation due to an error such as rounding in the floating-point type operation. In addition to the calculation error, there is a possibility that a minute target speed will occur even if a minute amount of deviation occurs in the turning position due to backlash of the boom or the like. A small target speed with a change in sign adversely affects the control of the control valve. Although an error occurs in the floating-point type operation for other operations, it does not have a large effect because it is small with respect to the basic operation speed.
また、比較例の算出手段で旋回や起伏の角速度を求める場合、平方根を用いて演算する必要がある。このため、計算コストが大きくなる。 Further, when the angular velocity of turning or undulation is obtained by the calculation means of the comparative example, it is necessary to calculate using the square root. Therefore, the calculation cost becomes large.
  これに対し、本実施形態の制御装置10は、式(14)に示すヤコビ行列の逆行列に基づいて、ブームの先端を移動させる方向及び速度を示す速度ベクトルを、ブームの伸縮、起伏及び旋回各々の動作方向及び速度を示す動作ベクトルに変換する。  On the other hand, the
式(14)に示すヤコビ行列の逆行列の各要素は三角関数の四則演算で構成され、平方根が含まれていない。このため、各要素を求めるための計算コストは大きくならない。また、式(15)に示すように、ヤコビ行列の逆行列を用いて得られた算出式も平方根を含まない。このため、式(15)に基づく計算コストも大きくならない。 Each element of the inverse matrix of the Jacobian determinant shown in equation (14) is composed of four arithmetic operations of trigonometric functions and does not include a square root. Therefore, the calculation cost for obtaining each element does not increase. Further, as shown in the equation (15), the calculation equation obtained by using the inverse matrix of the Jacobian determinant does not include the square root. Therefore, the calculation cost based on the equation (15) does not increase.
また、式(15)より、x´及びy´を0とすると、旋回の速度ベクトルを示すq1´は0となる。すなわち、クレーンの先端を垂直方向に移動させる場合には、旋回の速度ベクトルを0にできる。このため、比較例の算出手段のように演算誤差による微小な目標速度が発生する不都合を回避できる。Further, from the equation (15), if x ′ and y ′ are 0, q1 ′ indicating the speed vector of turning becomes 0. That is, when the tip of the crane is moved in the vertical direction, the speed vector of turning can be set to 0. Therefore, it is possible to avoid the inconvenience that a minute target speed is generated due to a calculation error as in the calculation means of the comparative example.
また、式(15)より、積と和によって動作ベクトルが求まるため、計算コストが小さい。また、動作ベクトルの解が一意に求まる。 Further, from the equation (15), the operation vector is obtained by the product and the sum, so that the calculation cost is small. In addition, the solution of the motion vector can be uniquely obtained.
  このような本実施形態の制御装置10によれば、ブームの先端を目的地まで直線的にかつなめらかに動かすことができる。  According to the
<第2の実施形態>
  本実施形態の制御装置10は、速度ベクトル生成部12の構成が第1の実施形態と異なる。その他の構成は、第1の実施形態と同様である。また、作業機の構成も第1の実施形態と同様である。<Second embodiment>
 The
  第1の実施形態の場合、図7を用いて説明したように、ブームの先端の移動方向が目標とする方向からずれる可能性があった。本実施形態の速度ベクトル生成部12は、当該ずれを補正するように、指示速度ベクトルを生成する。  In the case of the first embodiment, as described with reference to FIG. 7, there is a possibility that the moving direction of the tip of the boom deviates from the target direction. The velocity
  まず、速度ベクトル生成部12は、入力受付部11により出力された速度ベクトルに基づき、制御周期毎に、ブームの先端の目標位置を決定する。目標位置は、作業機座標系で示される。  First, the velocity
  例えば、速度ベクトル生成部12は、移動開始時点のブームの先端の位置情報(作業機座標系で示すもの)を保持しておき、当該位置を起点として入力受付部11により出力された速度ベクトルで示される方向に当該速度ベクトルで示される速度で制御周期の間移動した後の位置を、最初の制御周期の目標位置として決定する。  For example, the velocity
  その後は、速度ベクトル生成部12は、第n-1の制御周期の目標位置から第nの制御周期に対応して入力受付部11により出力された速度ベクトルで示される方向に当該速度ベクトルで示される速度で制御周期の間移動した後の位置を、第nの制御周期の目標位置として決定する(nは2以上の整数)。  After that, the speed
  そして、速度ベクトル生成部12は、第nの制御周期に対応して入力受付部11が受付けた入力内容に基づき決定される第1の速度ベクトルと、第n-1の制御周期後のブームの先端の位置から第n-1の制御周期のブームの先端の目標位置に向かう第2の速度ベクトルとを足し合わせた合成ベクトルを、第nの制御周期における指示速度ベクトルとして生成する。第1の速度ベクトルは、第nの制御周期に対応して入力受付部11が受付けた入力内容に基づき、上述した指示速度ベクトル生成例1乃至3の何れかに基づき生成された指示速度ベクトルである。  Then, the velocity
図12を用いて具体例を説明する。移動開始時点のブームの先端の位置を(1)とし、第1の制御周期後の状態を(2)、第2の制御周期後の状態を(3)、第3の制御周期後の状態を(4)とする。 A specific example will be described with reference to FIG. The position of the tip of the boom at the start of movement is (1), the state after the first control cycle is (2), the state after the second control cycle is (3), and the state after the third control cycle is. (4).
  (2)より、第1の制御周期の目標位置に対して、第1の制御周期後の現在位置が異なっていることが分かる。速度ベクトル生成部12は、第2の制御周期の指示速度ベクトルとして、第2の制御周期に対応して決定した第1の速度ベクトルと、第1の制御周期後のブームの先端の位置から第1の制御周期のブームの先端の目標位置に向かう第2の速度ベクトルとを足し合わせた合成ベクトルを決定する。  From (2), it can be seen that the current position after the first control cycle is different from the target position in the first control cycle. The velocity
  同様に、(3)より、第2の制御周期の目標位置に対して、第2の制御周期後の現在位置が異なっていることが分かる。速度ベクトル生成部12は、第3の制御周期の指示速度ベクトルとして、第3の制御周期に対応して決定した第1の速度ベクトルと、第2の制御周期後のブームの先端の位置から第2の制御周期のブームの先端の目標位置に向かう第2の速度ベクトルとを足し合わせた合成ベクトルを決定する。  Similarly, from (3), it can be seen that the current position after the second control cycle is different from the target position in the second control cycle. The velocity
  図より、合成ベクトルは、ブームの先端位置を目標軌道上に戻す方向のベクトルとなる。なお、速度ベクトル生成部12は所定の係数を掛けた第2の速度ベクトルと第1の速度ベクトルとを足し合わせた合成ベクトルを、指示速度ベクトルとしてもよい。係数を調整することで、目標軌道上に戻す補正の大きさを調整できる。係数は、予め与えられていてもよい。  From the figure, the composite vector is a vector in the direction of returning the tip position of the boom to the target orbit. The velocity
  次に、本実施形態の変形例を説明する。アクチュエータ制御部14は、上記合成ベクトルを変換した動作ベクトルで示されるブームの伸縮、起伏及び旋回の内、上記第1の速度ベクトルを変換した第1の動作ベクトルで示されるブームの伸縮、起伏及び旋回各々と動作方向が一致する動作は実行させ、動作方向が異なる動作は実行させないように制御してもよい。  Next, a modification of the present embodiment will be described. The
第1の動作ベクトルは、第1の速度ベクトルに左からヤコビ行列の逆行列を掛けることで(式(2)、(14)参照)、又は、ヤコビ行列の逆行列を用いて得られた算出式を用いて(式(15)参照)、第1の速度ベクトルを変換した動作ベクトルである。 The first motion vector is calculated by multiplying the first velocity vector by the inverse matrix of the Jacobian determinant from the left (see equations (2) and (14)) or by using the inverse matrix of the Jacobian determinant. It is an operation vector obtained by converting the first velocity vector using the equation (see equation (15)).
  次に、本実施形態の作用効果を説明する。本実施形態の制御装置10は、第1の実施形態と同様の作用効果を実現できる。  Next, the action and effect of this embodiment will be described. The
  また、図7に示す第1の実施形態の制御の場合、位置誤差が蓄積する可能性がある。上述した合成ベクトルを指示速度ベクトルとする本実施形態の制御装置10によれば、位置誤差を軽減することができる。  Further, in the case of the control of the first embodiment shown in FIG. 7, a position error may be accumulated. According to the
なお、目標軌道上を厳密に動かしたい場合は、現時点で生じている位置誤差を直ちに(例:次制御周期で)解消する必要がある。しかし、当該制御を行った場合、ブームの各動作の動作方向や速度が大きく変化する可能性がある。結果、ブームのなめらかな動きが実現されなくなる。 If you want to move exactly on the target orbit, it is necessary to immediately eliminate the position error occurring at the present time (eg, in the next control cycle). However, when the control is performed, the operation direction and speed of each operation of the boom may change significantly. As a result, the smooth movement of the boom cannot be realized.
本実施形態の場合、位置誤差を直ちに(例:次制御周期で)解消するのでなく、複数回の制御周期で位置誤差を少しずつ解消するように制御する。このため、位置誤差を解消しつつ、ブームのなめらかな動きを実現できる。 In the case of the present embodiment, the position error is not eliminated immediately (eg, in the next control cycle), but is controlled so as to gradually eliminate the position error in a plurality of control cycles. Therefore, it is possible to realize a smooth movement of the boom while eliminating the position error.
また、第2の速度ベクトルで位置補正を行う本実施形態の場合、オペレータの入力内容に基づき決定される各アクチュエータの動作方向と、動作ベクトルで示される各アクチュエータの動作方向とが反転する可能性がある。しかし、上記変形例を採用することで、オペレータの入力内容に基づき決定される各アクチュエータの動作方向と異なる方向に動作させる不都合を回避できる。結果、ブームのなめらかの動きが実現される。 Further, in the case of the present embodiment in which the position is corrected by the second velocity vector, the operation direction of each actuator determined based on the input content of the operator and the operation direction of each actuator indicated by the operation vector may be reversed. There is. However, by adopting the above modification, it is possible to avoid the inconvenience of operating each actuator in a direction different from the operation direction determined based on the input content of the operator. As a result, the smooth movement of the boom is realized.
<第3の実施形態>
  本実施形態の制御装置10は、入力受付部11及び速度ベクトル生成部12の構成が第1及び第2の実施形態と異なる。その他の構成は、第1及び第2の実施形態と同様である。また、作業機の構成も第1及び第2の実施形態と同様である。<Third embodiment>
 In the
  入力受付部11は、ブームの先端の最終目標位置を指定する入力を受付ける。最終目標位置は、作業機座標系で示される。例えば、特許文献3に記載の技術を利用してもよい。すなわち、作業機に複数の超音波受信ユニットを設置し、最終目標位置に超音波発信機を設置する。入力受付部11は、超音波発信時刻と超音波受信時刻の時間差の入力を受付ける。そして、入力受付部11は、入力された情報に基づき、ブームの先端の最終目標位置を算出し、出力する。  The
  速度ベクトル生成部12は、制御周期毎に、ブームの先端の現在位置から最終目標位置に向かう指示速度ベクトルを生成する。  The velocity
  すなわち、速度ベクトル生成部12は、各制御周期後のブームの先端の現在位置を取得する。当該現在位置は、作業機座標系で示される。そして、速度ベクトル生成部12は、第nの制御周期の指示速度ベクトルとして、第n-1の制御周期後のブームの現在位置から最終目標位置に向かう速度ベクトルを決定する。図13に本実施形態の制御の概念図を示す。ブームの先端の現在位置から最終目標位置に向かう指示速度ベクトルが生成されている。  That is, the velocity
ここで、指示速度ベクトルの速度の決定例を説明する。 Here, an example of determining the speed of the indicated speed vector will be described.
「指示速度ベクトルの速度決定例1」
  予め、固定値が与えられていてもよい。そして、速度ベクトル生成部12は当該固定値を、指示速度ベクトルの速度としてもよい。"Example 1 of speed determination of indicated speed vector"
 A fixed value may be given in advance. Then, the velocity
「指示速度ベクトルの速度決定例2」
  入力受付部11が速度を指定する入力を、任意の手段でオペレータから受付けてもよい。そして、速度ベクトル生成部12は、当該入力の内容に基づき、指示速度ベクトルの速度を決定してもよい。"Example 2 of speed determination of indicated speed vector"
 The
「指示速度ベクトルの速度決定例3」
  「(最終目標位置とブームの現在位置との間の距離)≦(閾値)」を満たす場合、速度ベクトル生成部12は、「(指示速度ベクトルの速度)=(ブームの先端の現在の速度)-(加速度)×(制御周期分の時間)」で算出してもよい。加速度は、予め与えられる固定値であってもよい。"Example 3 of speed determination of indicated speed vector"
 When "(distance between the final target position and the current position of the boom) ≤ (threshold)" is satisfied, the velocity
ブームの先端が最終目標位置に近づいている場合、当該条件を満たすこととなる。この場合、上述のように指示速度ベクトルの速度を決定することで、最終目標位置に到達するタイミングが近付くと、徐々に速度を減少させることができる。結果、滑らかな動作が実現される。 If the tip of the boom is approaching the final target position, the condition is met. In this case, by determining the speed of the indicated speed vector as described above, the speed can be gradually reduced when the timing of reaching the final target position approaches. As a result, smooth operation is realized.
  一方、「(最終目標位置とブームの現在位置との間の距離)>(閾値)」を満たす場合、速度ベクトル生成部12は、速度ベクトル生成部12は、指示速度ベクトルの速度決定例1又は2で、指示速度ベクトルの速度を決定してもよい。最終目標位置までの距離がある程度大きい場合、当該条件を満たすこととなる。  On the other hand, when "(distance between the final target position and the current position of the boom)> (threshold)" is satisfied, the velocity
閾値は、例えば、「現在速度から一定の減速度で減速し、停止するまでに要する距離」であってもよい。一例として、「(閾値)=(現在速度)×(現在速度から一定の減速度で減速した場合に停止するまでに要する時間)/2」で算出してもよい。または、「(閾値)=(現在速度)×(現在速度)/(2×減速度)」で算出してもよい。なお、「現在速度から一定の減速度で減速した場合に停止するまでに要する時間」は、「(現在速度から一定の減速度で減速した場合に停止するまでに要する時間)=(現在速度)/(減速度)」で算出してもよい。 The threshold value may be, for example, "the distance required to decelerate from the current speed at a constant deceleration and stop." As an example, it may be calculated by "(threshold value) = (current speed) x (time required to stop when decelerating from the current speed at a constant deceleration) / 2". Alternatively, it may be calculated by "(threshold value) = (current speed) x (current speed) / (2 x deceleration)". The "time required to stop when decelerating from the current speed at a constant deceleration" is "(time required to stop when decelerating from the current speed at a constant deceleration) = (current speed). / (Deceleration) ”may be calculated.
「指示速度ベクトルの速度決定例4」
  「(ブームの先端の現在の速度)<(指示速度ベクトルの速度決定例1又は2で決定された速度)」を満たす場合、速度ベクトル生成部12は、「(指示速度ベクトルの速度)=(ブームの先端の現在の速度)+(加速度)×(制御周期分の時間)」で算出してもよい。加速度は、予め与えられる固定値であってもよい。"Example 4 of speed determination of indicated speed vector"
 When "(current velocity at the tip of the boom) <(velocity determined in the velocity determination example 1 or 2 of the indicated velocity vector)" is satisfied, the velocity
ブームの動作を開始した直後等はブームの先端の速度が小さいため、当該条件を満たしやすくなる。この場合、上述のように指示速度ベクトルの速度を決定することで、急激な速度上昇を抑制し、滑らかな動作が実現される。 Immediately after the boom operation is started, the speed at the tip of the boom is low, so that the condition can be easily satisfied. In this case, by determining the speed of the indicated speed vector as described above, a sudden speed increase is suppressed and smooth operation is realized.
  一方、「(ブームの先端の現在の速度)≧(指示速度ベクトルの速度決定例1又は2で決定された速度)」を満たす場合、速度ベクトル生成部12は、指示速度ベクトルの速度として、指示速度ベクトルの速度決定例1又は2で決定された速度を決定してもよい。ブームの動作を開始してからある程度の時間が経過し、ブームの先端の移動速度が安定している頃には当該条件を満たしやすくなる。  On the other hand, when "(current velocity at the tip of the boom) ≥ (velocity determined in the velocity determination example 1 or 2 of the indicated velocity vector)" is satisfied, the velocity
本実施形態によれば、第1及び第2の実施形態と同様の作用効果を実現できる。また、本実施形態によれば、制御周期毎にブームの先端の現在位置を取得し、そこから最終目標位置に向かう指示速度ベクトルを生成することができる。このため、移動方向が最終目標位置に向かう方向から大きく外れることなく、ブームの先端をなめらかに移動させることができる。 According to the present embodiment, the same effects as those of the first and second embodiments can be realized. Further, according to the present embodiment, the current position of the tip of the boom can be acquired for each control cycle, and the indicated speed vector toward the final target position can be generated from the current position. Therefore, the tip of the boom can be smoothly moved without the moving direction deviating significantly from the direction toward the final target position.
  以下、参考形態の例を付記する。
1.  入力受付部と、
  前記入力受付部が受付けた入力内容に基づき、伸縮、起伏及び旋回可能なブームの先端を移動させる方向及び速度を3次元座標系で示す速度ベクトルを生成する速度ベクトル生成部と、
  前記速度ベクトルに左からヤコビ行列の逆行列を掛けることで、又は、前記ヤコビ行列の逆行列を用いて得られた算出式を用いて、前記速度ベクトルを、前記ブームの伸縮、起伏及び旋回各々の動作方向及び速度を示す動作ベクトルに変換する変換部と、
  前記ブームを伸縮させるアクチュエータ、前記ブームを起伏させるアクチュエータ及び前記ブームを旋回させるアクチュエータを、前記動作ベクトルで示される動作方向及び速度で動作させるアクチュエータ制御部と、
を有する制御装置。
2.  1に記載の制御装置において、
  前記ヤコビ行列の逆行列は、
  C1=cos(q1)、C2=cos(q2)、S1=sin(q1)、S2=sin(q2)、q1は前記ブームの旋回角、q2は前記ブームの起伏角、q3は前記ブームの長さ、Dboomは前記ブームの軸とトップシーブのオフセット距離、Dcolumnはコラム回転軸と接続ピンの水平オフセット距離である制御装置。
3.  1又は2に記載の制御装置において、
  前記入力受付部は、制御周期毎に、前記速度ベクトルを指定する入力を受付け、
  前記速度ベクトル生成部は、前記制御周期毎に、前記入力受付部が受付けた入力内容に基づき前記速度ベクトルを生成する制御装置。
4.  1又は2に記載の制御装置において、
  前記入力受付部は、前記ブームの先端の最終目標位置を指定する入力を受付け、
  前記速度ベクトル生成部は、制御周期毎に、前記ブームの先端の現在位置から前記最終目標位置に向かう前記速度ベクトルを生成する制御装置。
5.  1又は2に記載の制御装置において、
  前記入力受付部は、前記速度ベクトルを指定する入力を受付け、
  前記速度ベクトル生成部は、
    移動開始位置と前記入力受付部が受付けた入力内容とに基づき、制御周期毎の前記ブームの先端の目標位置を算出し、
    第n(nは2以上の整数)の制御周期に対応して前記入力受付部が受付けた入力内容に基づき決定される第1の速度ベクトルと、第n-1の制御周期後の前記ブームの先端の位置から第n-1の制御周期の前記ブームの先端の目標位置に向かう第2の速度ベクトルとを足し合わせた合成ベクトルを、第nの制御周期における前記速度ベクトルとして生成する制御装置。
6.  5に記載の制御装置において、
  前記アクチュエータ制御部は、
    前記動作ベクトルで示される前記ブームの伸縮、起伏及び旋回の内、前記第1の速度ベクトルを変換した第1の動作ベクトルで示される前記ブームの伸縮、起伏及び旋回各々と動作方向が一致する動作は実行させ、前記動作方向が異なる動作は実行させない制御装置。
7.  1から6のいずれかに記載の制御装置において、
  複数の前記アクチュエータは油圧制御される制御装置。
8.  コンピュータが、
  入力受付工程と、
  前記入力受付工程で受付けた入力内容に基づき、伸縮、起伏及び旋回可能なブームの先端を移動させる方向及び速度を3次元座標系で示す速度ベクトルを生成する速度ベクトル生成工程と、
  前記速度ベクトルに左からヤコビ行列の逆行列を掛けることで、又は、前記ヤコビ行列の逆行列を用いて得られた算出式を用いて、前記速度ベクトルを、前記ブームの伸縮、起伏及び旋回各々の動作方向及び速度を示す動作ベクトルに変換する変換工程と、
  前記ブームを伸縮させるアクチュエータ、前記ブームを起伏させるアクチュエータ及び前記ブームを旋回させるアクチュエータを、前記動作ベクトルで示される動作方向及び速度で動作させるアクチュエータ制御工程と、
を実行する制御方法。
9.  コンピュータを、
  入力受付手段、
  前記入力受付手段が受付けた入力内容に基づき、伸縮、起伏及び旋回可能なブームの先端を移動させる方向及び速度を3次元座標系で示す速度ベクトルを生成する速度ベクトル生成手段、
  前記速度ベクトルに左からヤコビ行列の逆行列を掛けることで、又は、前記ヤコビ行列の逆行列を用いて得られた算出式を用いて、前記速度ベクトルを、前記ブームの伸縮、起伏及び旋回各々の動作方向及び速度を示す動作ベクトルに変換する変換手段、
  前記ブームを伸縮させるアクチュエータ、前記ブームを起伏させるアクチュエータ及び前記ブームを旋回させるアクチュエータを、前記動作ベクトルで示される動作方向及び速度で動作させるアクチュエータ制御手段、
として機能させるプログラム。Hereinafter, an example of the reference form will be added.
 1. 1. Input reception department and
 Based on the input contents received by the input receiving unit, a speed vector generating unit that generates a speed vector indicating the direction and speed of moving the tip of the boom that can be expanded / contracted, undulated, and swiveled in a three-dimensional coordinate system.
 By multiplying the velocity vector from the left by the inverse matrix of the Jacobian determinant, or by using the calculation formula obtained by using the inverse matrix of the Jacobian determinant, the velocity vector is obtained by expanding / contracting, undulating, and turning the boom. A converter that converts to an motion vector that indicates the motion direction and speed of
 An actuator control unit that operates the actuator that expands and contracts the boom, the actuator that raises and lowers the boom, and the actuator that swivels the boom in the operation direction and speed indicated by the operation vector.
 Control device with.
 2. 2. In the control device according to 1.
 The inverse matrix of the Jacobian determinant is
 C1 = cos (q1 ), C2 = cos (q2 ), S1 = sin (q1 ), S2 = sin (q 2), q1 is the turning angle of the boom, q2 is the boom The undulation angle, q3 is the length of the boom, Dboom is the offset distance between the boom axis and the top sheave, and D volume is the horizontal offset distance between thecolumn rotation axis and the connecting pin.
 3. 3. In the control device according to 1 or 2.
 The input receiving unit receives an input for designating the speed vector for each control cycle.
 The speed vector generation unit is a control device that generates the speed vector based on the input contents received by the input reception unit for each control cycle.
 4. In the control device according to 1 or 2.
 The input receiving unit receives an input for designating the final target position of the tip of the boom.
 The velocity vector generation unit is a control device that generates the velocity vector from the current position of the tip of the boom toward the final target position in each control cycle.
 5. In the control device according to 1 or 2.
 The input receiving unit receives an input that specifies the speed vector, and receives the input.
 The velocity vector generator is
 Based on the movement start position and the input content received by the input receiving unit, the target position of the tip of the boom is calculated for each control cycle.
 The first velocity vector determined based on the input content received by the input receiving unit corresponding to the nth (n is an integer of 2 or more) control cycle, and the boom after the n-1th control cycle. A control device that generates a composite vector obtained by adding a second velocity vector from a tip position toward a target position at the tip of the boom in the n-1th control cycle as the velocity vector in the nth control cycle.
 6. In the control device according to 5.
 The actuator control unit is
 Of the expansion and contraction, undulation and turning of the boom indicated by the motion vector, the motion in which the motion direction coincides with each of the expansion and contraction, undulation and swivel of the boom indicated by the first motion vector obtained by converting the first velocity vector. Is a control device that does not execute the operation in which the operation direction is different.
 7. In the control device according to any one of 1 to 6.
 The plurality of actuators are hydraulically controlled control devices.
 8. The computer
 Input reception process and
 A speed vector generation step of generating a speed vector indicating the direction and speed of moving the tip of the boom that can be expanded / contracted, undulated, and swiveled in a three-dimensional coordinate system based on the input contents received in the input receiving step.
 By multiplying the velocity vector from the left by the inverse matrix of the Jacobian determinant, or by using the calculation formula obtained by using the inverse matrix of the Jacobian determinant, the velocity vector is obtained by expanding / contracting, undulating, and turning the boom. A conversion process that converts to an motion vector indicating the motion direction and speed of
 An actuator control step of operating the actuator for expanding and contracting the boom, the actuator for raising and lowering the boom, and the actuator for turning the boom in the operation direction and speed indicated by the operation vector.
 Control method to execute.
 9. Computer,
 Input reception method,
 A velocity vector generation means for generating a velocity vector indicating in a three-dimensional coordinate system the direction and velocity for moving the tip of a boom that can be expanded / contracted, undulated, and swiveled based on the input content received by the input receiving means.
 By multiplying the velocity vector from the left by the inverse matrix of the Jacobi matrix, or by using the calculation formula obtained by using the inverse matrix of the Jacobi matrix, the velocity vector can be expanded, contracted, undulated, and swiveled by the boom. A conversion means for converting into an motion vector indicating the motion direction and speed of
 An actuator control means for operating the actuator for expanding and contracting the boom, the actuator for raising and lowering the boom, and the actuator for turning the boom in the operation direction and speed indicated by the operation vector.
 A program that functions as.
  1A    プロセッサ
  2A    メモリ
  3A    入出力I/F
  4A    周辺回路
  5A    バス
  10    制御装置
  11    入力受付部
  12    速度ベクトル生成部
  13    変換部
  14    アクチュエータ制御部
 4A
| Application Number | Priority Date | Filing Date | Title | 
|---|---|---|---|
| JP2017224828AJP7082476B2 (en) | 2017-11-22 | 2017-11-22 | Controls, control methods and programs | 
| Application Number | Priority Date | Filing Date | Title | 
|---|---|---|---|
| JP2017224828AJP7082476B2 (en) | 2017-11-22 | 2017-11-22 | Controls, control methods and programs | 
| Publication Number | Publication Date | 
|---|---|
| JP2019094176A JP2019094176A (en) | 2019-06-20 | 
| JP7082476B2true JP7082476B2 (en) | 2022-06-08 | 
| Application Number | Title | Priority Date | Filing Date | 
|---|---|---|---|
| JP2017224828AActiveJP7082476B2 (en) | 2017-11-22 | 2017-11-22 | Controls, control methods and programs | 
| Country | Link | 
|---|---|
| JP (1) | JP7082476B2 (en) | 
| Publication number | Priority date | Publication date | Assignee | Title | 
|---|---|---|---|---|
| US20040267404A1 (en) | 2001-08-31 | 2004-12-30 | George Danko | Coordinated joint motion control system | 
| JP2014014901A (en) | 2012-07-09 | 2014-01-30 | Toshiba Corp | Robot controller | 
| Publication number | Priority date | Publication date | Assignee | Title | 
|---|---|---|---|---|
| JPH0367309A (en)* | 1990-02-06 | 1991-03-22 | Hitachi Ltd | Industrial robot controller | 
| JPH07197485A (en)* | 1993-12-28 | 1995-08-01 | Komatsu Ltd | Work machine control device for construction machinery | 
| JP3967394B2 (en)* | 1995-10-31 | 2007-08-29 | 石川島播磨重工業株式会社 | Workpiece assembly method and apparatus | 
| Publication number | Priority date | Publication date | Assignee | Title | 
|---|---|---|---|---|
| US20040267404A1 (en) | 2001-08-31 | 2004-12-30 | George Danko | Coordinated joint motion control system | 
| JP2014014901A (en) | 2012-07-09 | 2014-01-30 | Toshiba Corp | Robot controller | 
| Publication number | Publication date | 
|---|---|
| JP2019094176A (en) | 2019-06-20 | 
| Publication | Publication Date | Title | 
|---|---|---|
| JP7082477B2 (en) | Controls, control methods and programs | |
| US6430473B1 (en) | Power assist apparatus and control method for same | |
| Henry et al. | Cargo pendulation reduction on ship-mounted cranes via boom-luff angle actuation | |
| US8396594B2 (en) | Robot, control device for robot, and control method of robot | |
| JP5868580B2 (en) | Crane for handling loads lifted by cables | |
| US8918215B2 (en) | Telematic interface with control signal scaling based on force sensor feedback | |
| JP5011525B2 (en) | Inverse kinematics of 6-degree-of-freedom robot arm by sequential search method, and robot system, control method, and program using the same | |
| WO2013038544A1 (en) | Robotic system and robot controller | |
| JP2020032481A (en) | Robot control device, robot device, parameter adjustment method for robot control, and program | |
| US20160158936A1 (en) | Collision avoidance method, control device, and program | |
| WO2010140390A1 (en) | Numerical control device and production system | |
| WO2001038048A1 (en) | Robot controller | |
| JPH02310609A (en) | Manipulator position and force coordination control device | |
| US20180093868A1 (en) | Anti-sway crane control method with a third-order filter | |
| JP6898649B2 (en) | Vibration control device, vibration control method, vibration control system, program and recording medium | |
| CN110621446A (en) | Robot system and control method for robot system | |
| JP2007098507A (en) | Work assistance device | |
| Boschetti et al. | Moving the suspended load of an overhead crane along a pre-specified path: A non-time based approach | |
| KR101448465B1 (en) | Unified Motion-Based Bilateral Teleoperation Controller and Bilateral Teleoperation Control method | |
| JP7082476B2 (en) | Controls, control methods and programs | |
| KR102188157B1 (en) | Tactile stimulation device and driving method thereof | |
| CN111331577A (en) | Robot control device and control method | |
| KR102774932B1 (en) | Robotic accessory operation | |
| JP4407083B2 (en) | Command value generation method and command value generation system | |
| JP7300854B2 (en) | ROBOT CONTROL DEVICE AND ROBOT CONTROL METHOD | 
| Date | Code | Title | Description | 
|---|---|---|---|
| A621 | Written request for application examination | Free format text:JAPANESE INTERMEDIATE CODE: A621 Effective date:20201007 | |
| A977 | Report on retrieval | Free format text:JAPANESE INTERMEDIATE CODE: A971007 Effective date:20210929 | |
| A131 | Notification of reasons for refusal | Free format text:JAPANESE INTERMEDIATE CODE: A131 Effective date:20211102 | |
| A521 | Request for written amendment filed | Free format text:JAPANESE INTERMEDIATE CODE: A523 Effective date:20211217 | |
| TRDD | Decision of grant or rejection written | ||
| A01 | Written decision to grant a patent or to grant a registration (utility model) | Free format text:JAPANESE INTERMEDIATE CODE: A01 Effective date:20220510 | |
| A61 | First payment of annual fees (during grant procedure) | Free format text:JAPANESE INTERMEDIATE CODE: A61 Effective date:20220527 | |
| R150 | Certificate of patent or registration of utility model | Ref document number:7082476 Country of ref document:JP Free format text:JAPANESE INTERMEDIATE CODE: R150 | |
| R250 | Receipt of annual fees | Free format text:JAPANESE INTERMEDIATE CODE: R250 |