Movatterモバイル変換


[0]ホーム

URL:


JP2023016037A - Salt, acid generator, resist composition and method for producing resist pattern - Google Patents

Salt, acid generator, resist composition and method for producing resist pattern
Download PDF

Info

Publication number
JP2023016037A
JP2023016037AJP2022115576AJP2022115576AJP2023016037AJP 2023016037 AJP2023016037 AJP 2023016037AJP 2022115576 AJP2022115576 AJP 2022115576AJP 2022115576 AJP2022115576 AJP 2022115576AJP 2023016037 AJP2023016037 AJP 2023016037A
Authority
JP
Japan
Prior art keywords
group
carbon atoms
salt
formula
groups
Prior art date
Legal status (The legal status is an assumption and is not a legal conclusion. Google has not performed a legal analysis and makes no representation as to the accuracy of the status listed.)
Pending
Application number
JP2022115576A
Other languages
Japanese (ja)
Inventor
雅彦 嶋田
Masahiko Shimada
幸司 市川
Koji Ichikawa
Current Assignee (The listed assignees may be inaccurate. Google has not performed a legal analysis and makes no representation or warranty as to the accuracy of the list.)
Sumitomo Chemical Co Ltd
Original Assignee
Sumitomo Chemical Co Ltd
Priority date (The priority date is an assumption and is not a legal conclusion. Google has not performed a legal analysis and makes no representation as to the accuracy of the date listed.)
Filing date
Publication date
Application filed by Sumitomo Chemical Co LtdfiledCriticalSumitomo Chemical Co Ltd
Publication of JP2023016037ApublicationCriticalpatent/JP2023016037A/en
Pendinglegal-statusCriticalCurrent

Links

Classifications

Landscapes

Abstract

Translated fromJapanese

【課題】良好なラインエッジラフネスを有するレジストパターンを製造することができる塩、酸発生剤及びこれを含むレジスト組成物を提供する。【解決手段】式(I)で表される塩、酸発生剤及びレジスト組成物。TIFF2023016037000186.tif60159[式中、R1からR3はそれぞれ*-O-L10-CO-O-R10等を表す。L10はアルカンジイル基を表す。R10は環状炭酸エステル構造を有する基を表す。R4からR9はそれぞれハロゲン原子等を表す。A1からA3はそれぞれ炭化水素基を表す。]【選択図】なしA salt, an acid generator, and a resist composition containing the same are provided, which are capable of producing a resist pattern having good line edge roughness. A salt represented by formula (I), an acid generator and a resist composition. TIFF2023016037000186.tif60159 [In the formula, R1 to R3 each represent *-OL10-CO-O-R10 and the like. L10 represents an alkanediyl group. R10 represents a group having a cyclic carbonate structure. R4 to R9 each represent a halogen atom or the like. A1 to A3 each represent a hydrocarbon group. ] [Selection figure] None

Description

Translated fromJapanese

本発明は、塩、酸発生剤、レジスト組成物及びレジストパターンの製造方法に関する。 The present invention relates to a salt, an acid generator, a resist composition, and a method for producing a resist pattern.

特許文献1には、下記式で表される塩及び該塩を酸発生剤として含有するレジスト組成物が記載されている。

Figure 2023016037000001
特許文献2には、下記式で表される塩及び該塩を酸発生剤として含有するレジスト組成物が記載されている。
Figure 2023016037000002
特許文献3には、下記式で表される塩及び該塩を酸発生剤として含有するレジスト組成物が記載されている。
Figure 2023016037000003
特許文献4には、下記式で表される塩及び該塩を酸発生剤として含有するレジスト組成物が記載されている。
Figure 2023016037000004
Patent Document 1 describes a salt represented by the following formula and a resist composition containing the salt as an acid generator.
Figure 2023016037000001
Patent Document 2 describes a salt represented by the following formula and a resist composition containing the salt as an acid generator.
Figure 2023016037000002
Patent Document 3 describes a salt represented by the following formula and a resist composition containing the salt as an acid generator.
Figure 2023016037000003
Patent Document 4 describes a salt represented by the following formula and a resist composition containing the salt as an acid generator.
Figure 2023016037000004

特開2012-236816号公報JP 2012-236816 A特開2011-085878号公報JP 2011-085878 A特開2011-186248号公報JP 2011-186248 A特開2020-015713号公報JP 2020-015713 A

本発明は、上記の塩を含有するレジスト組成物から形成されたレジストパターンよりも、ラインエッジラフネス(LER)が良好なレジストパターンを形成する塩を提供することを課題とする。 An object of the present invention is to provide a salt that forms a resist pattern with better line edge roughness (LER) than a resist pattern formed from a resist composition containing the above salt.

本発明は、以下の発明を含む。
[1]式(I)で表される塩を含有する酸発生剤。

Figure 2023016037000005
[式(I)中、
、R及びRは、それぞれ独立に、*-O-R10、*-O-CO-R10、*-O-CO-O-R10又は*-O-L10-CO-O-R10を表し、*は、ベンゼン環との結合部位を表す。
10は、炭素数1~6のアルカンジイル基を表す。
10は、環状炭酸エステル構造を有する基を表す。
、R、R、R、R及びRは、それぞれ独立に、ハロゲン原子、炭素数1~12のハロアルキル基又は炭素数1~18の炭化水素基を表し、該炭化水素基は、置換基を有してもよく、該ハロアルキル基及び該炭化水素基に含まれる-CH2-は、-O-、-S-、-CO-又は-SO-で置き換わっていてもよい。
、A及びAは、それぞれ独立に、炭素数2~20の炭化水素基を表し、該炭化水素基は、置換基を有してもよく、該炭化水素基に含まれる-CH2-は、-O-、-CO-、-S-又は-SO-で置き換わっていてもよい。
m1は、0~5のいずれかの整数を表し、m1が2以上のとき、複数の括弧内の基は互いに同一であっても異なってもよい。
m2は、0~4のいずれかの整数を表し、m2が2以上のとき、複数の括弧内の基は互いに同一であっても異なってもよい。
m3は、0~4のいずれかの整数を表し、m3が2以上のとき、複数の括弧内の基は互いに同一であっても異なってもよい。
m4は、0~4のいずれかの整数を表し、m4が2以上のとき、複数のRは互いに同一であっても異なってもよい。
m5は、0~4のいずれかの整数を表し、m5が2以上のとき、複数のRは互いに同一であっても異なってもよい。
m6は、0~4のいずれかの整数を表し、m6が2以上のとき、複数のRは互いに同一であっても異なってもよい。
m7は、0~5のいずれかの整数を表し、m7が2以上のとき、複数のRは互いに同一であっても異なってもよい。
m8は、0~4のいずれかの整数を表し、m8が2以上のとき、複数のRは互いに同一であっても異なってもよい。
m9は、0~4のいずれかの整数を表し、m9が2以上のとき、複数のRは互いに同一であっても異なってもよい。
但し、0≦m1+m7≦5、0≦m2+m8≦4、0≦m3+m9≦4であり、m1、m2、m3の少なくとも一つは、1以上の整数を表す。
は、単結合、-CH2-、-O-、-S-、-CO-、-SO-又は-SO-を表す。
AIは、有機アニオンを表す。]
[2]Aが、*-X01-L01-又は*-L01-X01-であり、Aが、*-X02-L02-又は*-L02-X02-であり、Aが、*-X03-L03-又は*-L03-X03-である(X01、X02及びX03は、それぞれ独立に、-O-、-CO-、-S-又は-SO-を表す。L01、L02及びL03は、それぞれ独立に、炭素数1~19の炭化水素基を表し、該炭化水素基は、置換基を有してもよく、該炭化水素基に含まれる-CH2-は、-O-、-CO-、-S-又は-SO-で置き換わっていてもよい。*は、R、R又はRが結合するベンゼン環との結合部位を表す。)[1]に記載の酸発生剤。
[3]X01、X02及びX03が、それぞれ独立に、-O-又は-S-である[2]に記載の酸発生剤。
[4]L01、L02及びL03が、それぞれ独立に、炭素数1~6のアルカンジイル基(該アルカンジイル基に含まれる-CH2-は、-O-又は-CO-で置き換わっていてもよい。)である[2]又は[3]に記載の酸発生剤。
[5]R10の環状炭酸エステル構造を有する基が、式(Ix)で表される基である[1]~[4]のいずれかに記載の酸発生剤。
Figure 2023016037000006
[式(Ix)中、
環Wは、置換基を有していてもよい環状炭酸エステル構造の環を表す。
12は、単結合又は置換基を有していてもよい炭素数1~36の炭化水素基を表し、該炭化水素基に含まれる-CH2-は、-O-、-S-、-CO-又は-SO-に置き換わっていてもよい。
*は、結合部位を表す。]
[6]AIが、スルホン酸アニオン、スルホニルイミドアニオン又はスルホニルメチドアニオンである[1]~[5]のいずれかに記載の酸発生剤。
[7]AIはスルホン酸アニオンであり、スルホン酸アニオンは式(I-A)で表されるアニオンである[1]~[6]のいずれかに記載の酸発生剤。
Figure 2023016037000007
[式(I-A)中、
及びQは、それぞれ独立に、水素原子、フッ素原子、炭素数1~6のアルキル基又は炭素数1~6のペルフルオロアルキル基を表す。
は、炭素数1~24の飽和炭化水素基を表し、該飽和炭化水素基に含まれる-CH-は、-O-又は-CO-に置き換わっていてもよく、該飽和炭化水素基に含まれる水素原子は、フッ素原子又はヒドロキシ基で置換されていてもよい。
は、置換基を有していてもよいメチル基又は置換基を有していてもよい炭素数3~24の脂環式炭化水素基を表し、該脂環式炭化水素基に含まれる-CH-は、-O-、-S-、-SO-又は-CO-に置き換わっていてもよい。]
[8][1]~[7]のいずれかに記載の酸発生剤と酸不安定基を有する樹脂とを含有するレジスト組成物。
[9]酸不安定基を有する樹脂が、式(a1-0)で表される構造単位、式(a1-1)で表される構造単位及び式(a1-2)で表される構造単位からなる群より選ばれる少なくとも1種を含む[8]に記載のレジスト組成物。
Figure 2023016037000008
[式(a1-0)、式(a1-1)及び式(a1-2)中、
a01、La1及びLa2は、それぞれ独立に、-O-又は*-O-(CHk1-CO-O-を表し、k1は1~7のいずれかの整数を表し、*は-CO-との結合部位を表す。
a01、Ra4及びRa5は、それぞれ独立に、水素原子、ハロゲン原子又はハロゲン原子を有していてもよい炭素数1~6のアルキル基を表す。
a02、Ra03及びRa04は、それぞれ独立に、炭素数1~8のアルキル基、炭素数3~18の脂環式炭化水素基、炭素数6~18の芳香族炭化水素基又はこれらを組み合わせた基を表す。
a6及びRa7は、それぞれ独立に、炭素数1~8のアルキル基、炭素数2~8のアルケニル基、炭素数3~18の脂環式炭化水素基、炭素数6~18の芳香族炭化水素基又はこれらを組合せることにより形成される基を表す。
m1は0~14のいずれかの整数を表す。
n1は0~10のいずれかの整数を表す。
n1’は0~3のいずれかの整数を表す。]
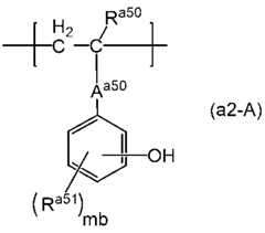
[10]酸不安定基を有する樹脂が、式(a2-A)で表される構造単位を含む[8]又は[9]に記載のレジスト組成物。
Figure 2023016037000009
[式(a2-A)中、
a50は、水素原子、ハロゲン原子又はハロゲン原子を有していてもよい炭素数1~6のアルキル基を表す。
a51は、ハロゲン原子、ヒドロキシ基、炭素数1~6のアルキル基、炭素数1~6のアルコキシ基、炭素数2~12のアルコキシアルキル基、炭素数2~12のアルコキシアルコキシ基、炭素数2~4のアルキルカルボニル基、炭素数2~4のアルキルカルボニルオキシ基、アクリロイルオキシ基又はメタクリロイルオキシ基を表す。
a50は、単結合又は-Xa51-(Aa52-Xa52nb-を表し、*は-Ra50が結合する炭素原子との結合部位を表す。
a52は、炭素数1~6のアルカンジイル基を表す。
a51及びXa52は、それぞれ独立に、-O-、-CO-O-又は-O-CO-を表す。
nbは、0又は1を表す。
mbは0~4のいずれかの整数を表す。mbが2以上のいずれかの整数である場合、複数のRa51は互いに同一であっても異なっていてもよい。]
[11]酸発生剤から発生する酸よりも酸性度の弱い酸を発生する塩をさらに含有する[8]~[10]のいずれかに記載のレジスト組成物。
[12](1)[8]~[11]のいずれかに記載のレジスト組成物を基板上に塗布する工程、
(2)塗布後の組成物を乾燥させて組成物層を形成する工程、
(3)組成物層に露光する工程、
(4)露光後の組成物層を加熱する工程、及び
(5)加熱後の組成物層を現像する工程、を含むレジストパターンの製造方法。
[13]式(I)で表される塩。
Figure 2023016037000010
[式(I)中、
、R及びRは、それぞれ独立に、*-O-R10、*-O-CO-R10、*-O-CO-O-R10又は*-O-L10-CO-O-R10を表し、*は、ベンゼン環との結合部位を表す。
10は、炭素数1~6のアルカンジイル基を表す。
10は、環状炭酸エステル構造を有する基を表す。
、R、R、R、R及びRは、それぞれ独立に、ハロゲン原子、炭素数1~12のハロアルキル基又は炭素数1~18の炭化水素基を表し、該炭化水素基は、置換基を有してもよく、該ハロアルキル基及び該炭化水素基に含まれる-CH2-は、-O-、-S-、-CO-又は-SO-で置き換わっていてもよい。
、A及びAは、それぞれ独立に、炭素数2~20の炭化水素基を表し、該炭化水素基は、置換基を有してもよく、該炭化水素基に含まれる-CH2-は、-O-、-CO-、-S-又は-SO-で置き換わっていてもよい。
m1は、0~5のいずれかの整数を表し、m1が2以上のとき、複数の括弧内の基は互いに同一であっても異なってもよい。
m2は、0~4のいずれかの整数を表し、m2が2以上のとき、複数の括弧内の基は互いに同一であっても異なってもよい。
m3は、0~4のいずれかの整数を表し、m3が2以上のとき、複数の括弧内の基は互いに同一であっても異なってもよい。
m4は、0~4のいずれかの整数を表し、m4が2以上のとき、複数のRは互いに同一であっても異なってもよい。
m5は、0~4のいずれかの整数を表し、m5が2以上のとき、複数のRは互いに同一であっても異なってもよい。
m6は、0~4のいずれかの整数を表し、m6が2以上のとき、複数のRは互いに同一であっても異なってもよい。
m7は、0~5のいずれかの整数を表し、m7が2以上のとき、複数のRは互いに同一であっても異なってもよい。
m8は、0~4のいずれかの整数を表し、m8が2以上のとき、複数のRは互いに同一であっても異なってもよい。
m9は、0~4のいずれかの整数を表し、m9が2以上のとき、複数のRは互いに同一であっても異なってもよい。
但し、0≦m1+m7≦5、0≦m2+m8≦4、0≦m3+m9≦4であり、m1、m2、m3の少なくとも一つは、1以上の整数を表す。
は、単結合、-CH2-、-O-、-S-、-CO-、-SO-又は-SO-を表す。
AIは、有機アニオンを表す。]
[14]Aが、*-X01-L01-又は*-L01-X01-であり、Aが、*-X02-L02-又は*-L02-X02-であり、Aが、*-X03-L03-又は*-L03-X03-である(X01、X02及びX03は、それぞれ独立に、-O-、-CO-、-S-又は-SO-を表す。L01、L02及びL03は、それぞれ独立に、炭素数1~19の炭化水素基を表し、該炭化水素基は、置換基を有してもよく、該炭化水素基に含まれる-CH2-は、-O-、-CO-、-S-又は-SO-で置き換わっていてもよい。*は、R、R又はRが結合するベンゼン環との結合部位を表す。)[13]に記載の塩。
[15]X01、X02及びX03が、それぞれ独立に、-O-又は-S-である[14]に記載の塩。
[16]L01、L02及びL03が、それぞれ独立に、炭素数1~6のアルカンジイル基(該アルカンジイル基に含まれる-CH2-は、-O-又は-CO-で置き換わっていてもよい。)である[14]又は[15]に記載の塩。
[17]R10の環状炭酸エステル構造を有する基が、式(Ix)で表される基である[13]~[16]のいずれかに記載の塩。
Figure 2023016037000011
[式(Ix)中、
環Wは、置換基を有していてもよい環状炭酸エステル構造の環を表す。
12は、単結合又は置換基を有していてもよい炭素数1~36の炭化水素基を表し、該炭化水素基に含まれる-CH2-は、-O-、-S-、-CO-又は-SO-に置き換わっていてもよい。
*は、結合部位を表す。]
[18]AIが、スルホン酸アニオン、スルホニルイミドアニオン又はスルホニルメチドアニオンである[13]~[17]のいずれかに記載の塩。
[19]AIはスルホン酸アニオンであり、スルホン酸アニオンは式(I-A)で表されるアニオンである[13]~[18]のいずれかに記載の塩。
Figure 2023016037000012
[式(I-A)中、
及びQは、それぞれ独立に、水素原子、フッ素原子、炭素数1~6のアルキル基又は炭素数1~6のペルフルオロアルキル基を表す。
は、炭素数1~24の飽和炭化水素基を表し、該飽和炭化水素基に含まれる-CH-は、-O-又は-CO-に置き換わっていてもよく、該飽和炭化水素基に含まれる水素原子は、フッ素原子又はヒドロキシ基で置換されていてもよい。
は、置換基を有していてもよいメチル基又は置換基を有していてもよい炭素数3~24の脂環式炭化水素基を表し、該脂環式炭化水素基に含まれる-CH-は、-O-、-S-、-SO-又は-CO-に置き換わっていてもよい。]The present invention includes the following inventions.
[1] An acid generator containing a salt represented by formula (I).
Figure 2023016037000005
[in the formula (I),
R1 , R2 and R3 are each independently *-OR10 , *-O-CO-R 10, *-O-CO-OR10 or *-OL10 -CO- represents OR10 , and * represents the binding site to the benzene ring.
L10 represents an alkanediyl group having 1 to 6 carbon atoms.
R10 represents a group having a cyclic carbonate structure.
R4 , R5 , R6 , R7 , R8 and R9 each independently represent a halogen atom, a haloalkyl group having 1 to 12 carbon atoms or a hydrocarbon group having 1 to 18 carbon atoms, and the hydrocarbon The group may have a substituent, and —CH2 — contained in the haloalkyl group and the hydrocarbon group may be replaced with —O—, —S—, —CO— or —SO2 —. good.
A1 , A2 and A3 each independently represent a hydrocarbon group having 2 to 20 carbon atoms, the hydrocarbon group may have a substituent, and the —CH2- may be replaced by -O-, -CO-, -S- or -SO2 -.
m1 represents an integer of 0 to 5, and when m1 is 2 or more, groups in parentheses may be the same or different.
m2 represents an integer of 0 to 4, and when m2 is 2 or more, groups in parentheses may be the same or different.
m3 represents an integer of 0 to 4, and when m3 is 2 or more, groups in parentheses may be the same or different.
m4 represents an integer of 0 to 4, and when m4 is 2 or more, multipleR4 's may be the same or different.
m5 represents an integer of 0 to 4, and when m5 is 2 or more, multiple R5's may be thesame or different.
m6 represents an integer of 0 to 4, and when m6 is 2 or more, a plurality of R6 may be thesame or different.
m7 represents an integer of 0 to 5, and when m7 is 2 or more, multiple R7 may be the same or different.
m8 represents an integer of 0 to 4, and when m8 is 2 or more, multiple R8s may be the same or different.
m9 represents an integer of 0 to 4, and when m9 is 2 or more, multiple R9s may be the same or different.
However, 0≤m1+m7≤5, 0≤m2+m8≤4, 0≤m3+m9≤4, and at least one of m1, m2, and m3 represents an integer of 1 or more.
X4 represents a single bond, -CH2 -, -O-, -S-, -CO-, -SO- or -SO2 -.
AI represents an organic anion. ]
[2] A1 is *-X01 -L01 - or *-L01 -X01 - and A2 is *-X02 -L02 - or *-L02 -X02 - , A3 is *-X03 -L03 - or *-L03 -X03 - (X01 , X02 and X03 are each independently -O-, -CO-, -S- or —SO2 —, L01 , L02 and L03 each independently represent a hydrocarbon group having 1 to 19 carbon atoms, and the hydrocarbon group may have a substituent; —CH2 — contained in the hydrocarbon group may be replaced with —O—, —CO—, —S— or —SO2 — * indicates benzene to which R1 , R2 or R3 is attached represents a bonding site with a ring.) The acid generator described in [1].
[3] The acid generator according to [2], wherein X01 , X02 and X03 are each independently -O- or -S-.
[4] L01 , L02 and L03 are each independently an alkanediyl group having 1 to 6 carbon atoms (-CH2 - contained in the alkanediyl group is replaced with -O- or -CO-; The acid generator according to [2] or [3], which is .
[5] The acid generator according to any one of [1] to [4], wherein the group having a cyclic carbonate structure of R10 is a group represented by formula (Ix).
Figure 2023016037000006
[In the formula (Ix),
Ring Wx represents a ring of a cyclic carbonate structure which may have a substituent.
L12 represents a single bond or an optionally substituted hydrocarbon group having 1 to 36 carbon atoms, and —CH2 — contained in the hydrocarbon group is —O—, —S—, — CO- or -SO2 - may be substituted.
* represents the binding site. ]
[6] The acid generator according to any one of [1] to [5], wherein AI is a sulfonate anion, a sulfonylimide anion or a sulfonylmethide anion.
[7] The acid generator according to any one of [1] to [6], wherein AI- is a sulfonate anion,and the sulfonate anion is an anion represented by formula (IA).
Figure 2023016037000007
[In the formula (IA),
Q1 and Q2 each independently represent a hydrogen atom, a fluorine atom, an alkyl group having 1 to 6 carbon atoms or a perfluoroalkyl group having 1 to 6 carbon atoms.
L1 represents a saturated hydrocarbon group having 1 to 24 carbon atoms, and —CH2 — contained in the saturated hydrocarbon group may be replaced with —O— or —CO—; A hydrogen atom contained in may be substituted with a fluorine atom or a hydroxy group.
Y1 represents an optionally substituted methyl group or an optionally substituted alicyclic hydrocarbon group having 3 to 24 carbon atoms, and is included in the alicyclic hydrocarbon group -CH2 - may be replaced by -O-, -S-, -SO2 - or -CO-. ]
[8] A resist composition containing the acid generator according to any one of [1] to [7] and a resin having an acid-labile group.
[9] The resin having an acid-labile group is a structural unit represented by formula (a1-0), a structural unit represented by formula (a1-1), and a structural unit represented by formula (a1-2). The resist composition according to [8], containing at least one selected from the group consisting of:
Figure 2023016037000008
[In formula (a1-0), formula (a1-1) and formula (a1-2),
La01 , La1 and La2 each independently represent —O— or *—O—(CH2 )k1 —CO—O—, k1 represents an integer of 1 to 7, * is represents the binding site with -CO-.
Ra01 , Ra4 and Ra5 each independently represent a hydrogen atom, a halogen atom or an optionally halogenated alkyl group having 1 to 6 carbon atoms.
Ra02 , Ra03 and Ra04 each independently represent an alkyl group having 1 to 8 carbon atoms, an alicyclic hydrocarbon group having 3 to 18 carbon atoms, an aromatic hydrocarbon group having 6 to 18 carbon atoms, or Represents a combined group.
Ra6 and Ra7 each independently represents an alkyl group having 1 to 8 carbon atoms, an alkenyl group having 2 to 8 carbon atoms, an alicyclic hydrocarbon group having 3 to 18 carbon atoms, or an aromatic group having 6 to 18 carbon atoms. It represents a hydrocarbon group or a group formed by combining these groups.
m1 represents any integer from 0 to 14;
n1 represents any integer from 0 to 10;
n1' represents an integer of 0 to 3; ]
[10] The resist composition of [8] or [9], wherein the resin having an acid-labile group contains a structural unit represented by formula (a2-A).
Figure 2023016037000009
[In the formula (a2-A),
Ra50 represents a hydrogen atom, a halogen atom or an alkyl group having 1 to 6 carbon atoms which may have a halogen atom.
Ra51 is a halogen atom, a hydroxy group, an alkyl group having 1 to 6 carbon atoms, an alkoxy group having 1 to 6 carbon atoms, an alkoxyalkyl group having 2 to 12 carbon atoms, an alkoxyalkoxy group having 2 to 12 carbon atoms, an alkoxyalkoxy group having 2 to 12 carbon atoms, It represents an alkylcarbonyl group having 2 to 4 carbon atoms, an alkylcarbonyloxy group having 2 to 4 carbon atoms, an acryloyloxy group or a methacryloyloxy group.
Aa50 represents a single bond or* -Xa51 -(Aa52 -Xa52 )nb -, and * represents a bonding site with the carbon atom to which -Ra50 bonds.
Aa52 represents an alkanediyl group having 1 to 6 carbon atoms.
Xa51 and Xa52 each independently represent -O-, -CO-O- or -O-CO-.
nb represents 0 or 1;
mb represents an integer from 0 to 4; When mb is any integer of 2 or more, multiple Ra51 may be the same or different. ]
[11] The resist composition according to any one of [8] to [10], further comprising a salt that generates an acid weaker in acidity than the acid generated from the acid generator.
[12] (1) a step of applying the resist composition according to any one of [8] to [11] onto a substrate;
(2) a step of drying the applied composition to form a composition layer;
(3) exposing the composition layer;
(4) a step of heating the composition layer after exposure; and (5) a step of developing the composition layer after heating.
[13] A salt represented by the formula (I).
Figure 2023016037000010
[in the formula (I),
R1 , R2 and R3 are each independently *-OR10 , *-O-CO-R 10, *-O-CO-OR10 or *-OL10 -CO- represents OR10 , and * represents the binding site to the benzene ring.
L10 represents an alkanediyl group having 1 to 6 carbon atoms.
R10 represents a group having a cyclic carbonate structure.
R4 , R5 , R6 , R7 , R8 and R9 each independently represent a halogen atom, a haloalkyl group having 1 to 12 carbon atoms or a hydrocarbon group having 1 to 18 carbon atoms, and the hydrocarbon The group may have a substituent, and —CH2 — contained in the haloalkyl group and the hydrocarbon group may be replaced with —O—, —S—, —CO— or —SO2 —. good.
A1 , A2 and A3 each independently represent a hydrocarbon group having 2 to 20 carbon atoms, the hydrocarbon group may have a substituent, and the —CH2- may be replaced by -O-, -CO-, -S- or -SO2 -.
m1 represents an integer of 0 to 5, and when m1 is 2 or more, groups in parentheses may be the same or different.
m2 represents an integer of 0 to 4, and when m2 is 2 or more, groups in parentheses may be the same or different.
m3 represents an integer of 0 to 4, and when m3 is 2 or more, groups in parentheses may be the same or different.
m4 represents an integer of 0 to 4, and when m4 is 2 or more, multipleR4 's may be the same or different.
m5 represents an integer of 0 to 4, and when m5 is 2 or more, multiple R5's may be thesame or different.
m6 represents an integer of 0 to 4, and when m6 is 2 or more, a plurality of R6 may be thesame or different.
m7 represents an integer of 0 to 5, and when m7 is 2 or more, multiple R7 may be the same or different.
m8 represents an integer of 0 to 4, and when m8 is 2 or more, multiple R8s may be the same or different.
m9 represents an integer of 0 to 4, and when m9 is 2 or more, multiple R9s may be the same or different.
However, 0≤m1+m7≤5, 0≤m2+m8≤4, 0≤m3+m9≤4, and at least one of m1, m2, and m3 represents an integer of 1 or more.
X4 represents a single bond, -CH2 -, -O-, -S-, -CO-, -SO- or -SO2 -.
AI represents an organic anion. ]
[14] A1 is *-X01 -L01 - or *-L01 -X01 - and A2 is *-X02 -L02 - or *-L02 -X02 - , A3 is *-X03 -L03 - or *-L03 -X03 - (X01 , X02 and X03 are each independently -O-, -CO-, -S- or —SO2 —, L01 , L02 and L03 each independently represent a hydrocarbon group having 1 to 19 carbon atoms, and the hydrocarbon group may have a substituent; —CH2 — contained in the hydrocarbon group may be replaced with —O—, —CO—, —S— or —SO2 — * indicates benzene to which R1 , R2 or R3 is attached represents the binding site to the ring.) The salt of [13].
[15] The salt of [14], wherein X01 , X02 and X03 are each independently -O- or -S-.
[16] L01 , L02 and L03 are each independently an alkanediyl group having 1 to 6 carbon atoms (-CH2 - contained in the alkanediyl group is replaced with -O- or -CO- The salt according to [14] or [15], which is
[17] The salt according to any one of [13] to [16], wherein the group having a cyclic carbonate structure for R10 is a group represented by formula (Ix).
Figure 2023016037000011
[In the formula (Ix),
Ring Wx represents a ring of a cyclic carbonate structure which may have a substituent.
L12 represents a single bond or an optionally substituted hydrocarbon group having 1 to 36 carbon atoms, and —CH2 — contained in the hydrocarbon group is —O—, —S—, — CO- or -SO2 - may be substituted.
* represents the binding site. ]
[18] The salt according to any one of [13] to [17], wherein AI is a sulfonate anion, a sulfonylimide anion or a sulfonylmethide anion.
[19] The salt according to any one of [13] to [18], wherein AI- is a sulfonate anion,and the sulfonate anion is an anion represented by formula (IA).
Figure 2023016037000012
[In the formula (IA),
Q1 and Q2 each independently represent a hydrogen atom, a fluorine atom, an alkyl group having 1 to 6 carbon atoms or a perfluoroalkyl group having 1 to 6 carbon atoms.
L1 represents a saturated hydrocarbon group having 1 to 24 carbon atoms, and —CH2 — contained in the saturated hydrocarbon group may be replaced with —O— or —CO—; A hydrogen atom contained in may be substituted with a fluorine atom or a hydroxy group.
Y1 represents an optionally substituted methyl group or an optionally substituted alicyclic hydrocarbon group having 3 to 24 carbon atoms, and is included in the alicyclic hydrocarbon group -CH2 - may be replaced by -O-, -S-, -SO2 - or -CO-. ]

本発明の塩を含有するレジスト組成物を用いることにより、良好なラインエッジラフネス(LER)でレジストパターンを製造することができる。 By using the resist composition containing the salt of the present invention, a resist pattern with good line edge roughness (LER) can be produced.

本明細書において、「(メタ)アクリル系モノマー」とは、「アクリル系モノマー及びメタクリル系モノマーの少なくとも1種」を意味する。「(メタ)アクリレート」及び「(メタ)アクリル酸」等の表記も同様の意味を表す。本明細書中に記載する基において、直鎖構造と分岐構造の両方をとり得るものについては、そのいずれでもよい。炭化水素基等に含まれる-CH2-が-O-、-S-、-CO-又は-SO-で置き換わる場合、各基において同様の例を適用するものとする。「組み合わせた基」とは、例示した基を2種以上結合させた基を意味し、それら基の価数は結合形態によって適宜変更してもよい。「由来する」又は「誘導される」とは、その分子中に含まれる重合性C=C結合が重合により-C-C-基(単結合)となることを指す。立体異性体が存在する場合は、全ての立体異性体を含む。
本明細書において、「レジスト組成物の固形分」とは、レジスト組成物の総量から、後述する溶剤(E)を除いた成分の合計を意味する。
As used herein, "(meth)acrylic monomer" means "at least one of acrylic monomer and methacrylic monomer". Notations such as "(meth)acrylate" and "(meth)acrylic acid" have the same meaning. Any of the groups described in this specification that can have both a linear structure and a branched structure may be used. When —CH2 — contained in a hydrocarbon group or the like is replaced with —O—, —S—, —CO— or —SO2 —, the same examples apply to each group. A "combined group" means a group in which two or more of the exemplified groups are combined, and the valences of these groups may be appropriately changed depending on the bonding form. "Derived from" or "derived from" refers to the polymerization of a polymerizable C=C bond contained in the molecule to a -C-C- group (single bond). Where stereoisomers exist, all stereoisomers are included.
As used herein, "the solid content of the resist composition" means the total amount of components excluding the solvent (E) described below from the total amount of the resist composition.

〔式(I)で表される塩〕
本発明は、式(I)で表される塩(以下「塩(I)」という場合がある)に関する。
塩(I)のうち、負電荷を有する側を「アニオン(I)」、正電荷を有する側を「カチオン(I)」と称することがある。

Figure 2023016037000013
[式中、全ての符号は、それぞれ前記と同じ意味を表す。][Salt Represented by Formula (I)]
The present invention relates to a salt represented by formula (I) (hereinafter sometimes referred to as "salt (I)").
In the salt (I), the negatively charged side is sometimes called "anion (I)", and the positively charged side is sometimes called "cation (I)".
Figure 2023016037000013
[In the formula, all symbols have the same meanings as described above. ]

〔カチオン(I)〕
式(I)で表される塩のカチオン(I)は、式(I-C)で表されるカチオンである。

Figure 2023016037000014
[式(I-C)中、全ての符号は、式(I)と同じ意味を表す。][Cation (I)]
The cation (I) of the salt of formula (I) is the cation of formula (IC).
Figure 2023016037000014
[In formula (IC), all symbols have the same meanings as in formula (I). ]

式(I)において、R、R及びRに含まれるL10におけるアルカンジイル基としては、メチレン基、エチレン基、プロパン-1,3-ジイル基、ブタン-1,4-ジイル基、ペンタン-1,5-ジイル基、ヘキサン-1,6-ジイル基等の直鎖状アルカンジイル基;及び
エタン-1,1-ジイル基、プロパン-1,1-ジイル基、プロパン-1,2-ジイル基、プロパン-2,2-ジイル基、ペンタン-2,4-ジイル基、2-メチルプロパン-1,3-ジイル基、2-メチルプロパン-1,2-ジイル基、ペンタン-1,4-ジイル基、2-メチルブタン-1,4-ジイル基等の分岐状アルカンジイル基が挙げられる。
10は、炭素数1~3のアルカンジイル基であることが好ましく、メチレン基であることがより好ましい。
In formula (I), the alkanediyl group in L10 contained in R1 , R2 and R3 includes methylene group, ethylene group, propane-1,3-diyl group, butane-1,4-diyl group, Linear alkanediyl groups such as pentane-1,5-diyl group and hexane-1,6-diyl group; and ethane-1,1-diyl group, propane-1,1-diyl group and propane-1,2 -diyl group, propane-2,2-diyl group, pentane-2,4-diyl group, 2-methylpropane-1,3-diyl group, 2-methylpropane-1,2-diyl group, pentane-1, Branched alkanediyl groups such as 4-diyl group and 2-methylbutane-1,4-diyl group can be mentioned.
L10 is preferably an alkanediyl group having 1 to 3 carbon atoms, more preferably a methylene group.

、R及びRに含まれるR10の環状炭酸エステル構造は、環を構成する原子として-O-CO-O-を有する構造を意味する。環状炭酸エステル構造は、単環式でも多環式でもよく、炭酸エステル構造を形成する酸素原子以外に、酸素原子、硫黄原子、窒素原子等のヘテロ原子を有していてもよい。
環状炭酸エステル構造の炭素数は、2~30が挙げられ、好ましくは2~24であり、より好ましくは2~18であり、さらに好ましくは2~16であり、さらにより好ましくは3~12である。環状炭酸エステル構造の環は、好ましくは3員環~18員環、より好ましくは3員環~16員環、さらに好ましくは4員環~12員環、より一層好ましくは4員環~10員環、さらに一層好ましくは5員環~8員環、さらにより好ましくは5員環である。
The cyclic carbonate structure of R10 included in R1 , R2 and R3 means a structure having —O—CO—O— as a ring-constituting atom. The cyclic carbonate structure may be monocyclic or polycyclic, and may have a heteroatom such as an oxygen atom, a sulfur atom, or a nitrogen atom in addition to the oxygen atoms forming the carbonate structure.
The number of carbon atoms in the cyclic carbonate structure is 2 to 30, preferably 2 to 24, more preferably 2 to 18, still more preferably 2 to 16, still more preferably 3 to 12. be. The ring of the cyclic carbonate structure is preferably a 3- to 18-membered ring, more preferably a 3- to 16-membered ring, still more preferably a 4- to 12-membered ring, still more preferably a 4- to 10-membered ring. It is a ring, even more preferably a 5- to 8-membered ring, even more preferably a 5-membered ring.

環状炭酸エステル構造としては、式(x1)~式(x16)で表される構造が挙げられ、式(x1)~式(x3)、式(x9)及び式(x16)のいずれかで表される構造が好ましく、式(x1)~式(x3)のいずれかで表される構造がより好ましく、式(x1)で表される構造がさらに好ましい。結合部位は、任意の位置とすることができる。

Figure 2023016037000015
The cyclic carbonate structure includes structures represented by formulas (x1) to (x16), and represented by any one of formulas (x1) to (x3), formula (x9) and formula (x16). is preferred, a structure represented by any one of formulas (x1) to (x3) is more preferred, and a structure represented by formula (x1) is even more preferred. The binding site can be at any position.
Figure 2023016037000015

環状炭酸エステル構造は、置換基を有していてもよく、置換基としては、炭素数1~12のアルキル基、炭素数3~12の脂環式炭化水素基、ヒドロキシ基、炭素数1~6のアルコキシ基及びこれらのうち2種以上を組み合わせた基等が挙げられる。
アルキル基としては、メチル基、エチル基、プロピル基、イソプロピル基、ブチル基、イソブチル基、tert-ブチル基、ペンチル基、ヘキシル基等が挙げられる。アルキル基の炭素数は、好ましくは1~6であり、より好ましくは1~4であり、さらに好ましくは1~3である。
脂環式炭化水素基は、単環式、多環式及びスピロ環のいずれでもよい。脂環式炭化水素基としては、シクロプロピル基、シクロブチル基、シクロペンチル基、シクロへキシル基、シクロオクチル基、シクロノニル基、シクロデシル基、シクロドデシル基等の単環式シクロアルキル基、ノルボルニル基、アダマンチル基等の多環式シクロアルキル基が挙げられる。脂環式炭化水素基の炭素数は、好ましくは3~18であり、より好ましくは3~16であり、さらに好ましくは3~12である。
アルコキシ基としては、メトキシ基、エトキシ基、プロポキシ基、ブトキシ基、ペンチルオキシ基、ヘキシルオキシ基等が挙げられる。アルコキシ基の炭素数は、好ましくは1~4であり、より好ましくは1~3である。
The cyclic carbonate structure may have a substituent. Examples of substituents include alkyl groups having 1 to 12 carbon atoms, alicyclic hydrocarbon groups having 3 to 12 carbon atoms, hydroxy groups, and 1 to 1 carbon atoms. 6 alkoxy groups and groups in which two or more of these groups are combined.
Examples of alkyl groups include methyl, ethyl, propyl, isopropyl, butyl, isobutyl, tert-butyl, pentyl and hexyl groups. The number of carbon atoms in the alkyl group is preferably 1-6, more preferably 1-4, even more preferably 1-3.
Alicyclic hydrocarbon groups may be monocyclic, polycyclic or spirocyclic. The alicyclic hydrocarbon group includes monocyclic cycloalkyl groups such as cyclopropyl, cyclobutyl, cyclopentyl, cyclohexyl, cyclooctyl, cyclononyl, cyclodecyl, and cyclododecyl, norbornyl, and adamantyl. and polycyclic cycloalkyl groups such as The number of carbon atoms in the alicyclic hydrocarbon group is preferably 3-18, more preferably 3-16, still more preferably 3-12.
Alkoxy groups include methoxy, ethoxy, propoxy, butoxy, pentyloxy, and hexyloxy groups. The number of carbon atoms in the alkoxy group is preferably 1-4, more preferably 1-3.

環状炭酸エステル構造を有する基としては、式(Ix)で表される基であることが好ましい。

Figure 2023016037000016
[式(Ix)中、
環Wは、置換基を有していてもよい環状炭酸エステル構造の環を表す。
12は、単結合又は置換基を有していてもよい炭素数1~36の炭化水素基を表し、該炭化水素基に含まれる-CH2-は、-O-、-S-、-CO-又は-SO-に置き換わっていてもよい。
*は、結合部位を表す。]The group having a cyclic carbonate structure is preferably a group represented by formula (Ix).
Figure 2023016037000016
[In the formula (Ix),
Ring Wx represents a ring of a cyclic carbonate structure which may have a substituent.
L12 represents a single bond or an optionally substituted hydrocarbon group having 1 to 36 carbon atoms, and —CH2 — contained in the hydrocarbon group is —O—, —S—, — CO- or -SO2 - may be substituted.
* represents the binding site. ]

環状炭酸エステル構造を有する基としては、下記構造が挙げられる。下記基における*は結合部位である。

Figure 2023016037000017
Examples of groups having a cyclic carbonate structure include the following structures. * in the following groups is a binding site.
Figure 2023016037000017

12の炭素数1~36の炭化水素基としては、脂肪族炭化水素基(アルカンジイル基、アルケンジイル基、アルキンジイル基等の鎖式炭化水素基及び単環式又は多環式の脂環式炭化水素基)、芳香族炭化水素基等が挙げられ、これらの基のうち2種以上を組み合わせた炭化水素基であってもよい。L12における炭化水素基に含まれる-CH2-は、-O-、-S-、-CO-又は-SO-に置き換わっていてもよい。Examples of hydrocarbon groups having 1 to 36 carbon atoms for L12 include aliphatic hydrocarbon groups (chain hydrocarbon groups such as alkanediyl groups, alkenediyl groups and alkynediyl groups, and monocyclic or polycyclic alicyclic hydrocarbon groups. hydrogen groups), aromatic hydrocarbon groups, etc., and hydrocarbon groups in which two or more of these groups are combined may be used. --CH2 -- contained in the hydrocarbon group in L12 may be replaced with --O--, --S--, --CO-- or --SO2 --.

アルカンジイル基としては、メチレン基、エチレン基、プロパン-1,3-ジイル基、ブタン-1,4-ジイル基、ペンタン-1,5-ジイル基、ヘキサン-1,6-ジイル基、ヘプタン-1,7-ジイル基、オクタン-1,8-ジイル基、ノナン-1,9-ジイル基、デカン-1,10-ジイル基、ウンデカン-1,11-ジイル基、ドデカン-1,12-ジイル基等の直鎖状アルカンジイル基;
エタン-1,1-ジイル基、プロパン-1,1-ジイル基、プロパン-1,2-ジイル基、プロパン-2,2-ジイル基、ペンタン-2,4-ジイル基、2-メチルプロパン-1,3-ジイル基、2-メチルプロパン-1,2-ジイル基、ペンタン-1,4-ジイル基、2-メチルブタン-1,4-ジイル基等の分岐状アルカンジイル基
が挙げられる。
アルケンジイル基としては、エテンジイル基、プロペンジイル基、イソプロペンジイル基、ブテンジイル基、イソブテンジイル基、tert-ブテンジイル基、ペンテンジイル基、ヘキセンジイル基、ヘプテンジイル基、オクテンジイル基、イソオクテンジイル基、ノネンジイル基が挙げられる。
アルキンジイル基としては、エチンジイル基、プロピンジイル基、イソプロピンジイル基、ブチンジイル基、イソブチンジイル基、tert-ブチンジイル基、ペンチンジイル基、ヘキシンジイル基、オクチンジイル基、ノニンジイル基等が挙げられる。
鎖式炭化水素基の炭素数は、好ましくは1~24であり、より好ましくは1~18であり、さらに好ましくは1~12であり、より一層好ましくは1~9であり、さらに一層好ましくは1~6であり、さらにより好ましくは1~4であり、さらにより一層好ましくは1~3である。
The alkanediyl groups include methylene, ethylene, propane-1,3-diyl, butane-1,4-diyl, pentane-1,5-diyl, hexane-1,6-diyl, heptane- 1,7-diyl group, octane-1,8-diyl group, nonane-1,9-diyl group, decane-1,10-diyl group, undecane-1,11-diyl group, dodecane-1,12-diyl group linear alkanediyl groups such as groups;
ethane-1,1-diyl group, propane-1,1-diyl group, propane-1,2-diyl group, propane-2,2-diyl group, pentane-2,4-diyl group, 2-methylpropane- Branched alkanediyl groups such as 1,3-diyl group, 2-methylpropane-1,2-diyl group, pentane-1,4-diyl group and 2-methylbutane-1,4-diyl group can be mentioned.
Alkenediyl groups include ethenediyl, propenediyl, isopropenediyl, butenediyl, isobutenediyl, tert-butenediyl, pentenediyl, hexenediyl, heptenediyl, octenediyl, isooctenediyl, and nonenediyl groups. .
Examples of alkynediyl groups include ethynediyl, propynediyl, isopropynediyl, butynediyl, isobutynediyl, tert-butynediyl, pentynediyl, hexynediyl, octynediyl, and nonynediyl groups.
The chain hydrocarbon group preferably has 1 to 24 carbon atoms, more preferably 1 to 18 carbon atoms, still more preferably 1 to 12 carbon atoms, still more preferably 1 to 9 carbon atoms, and still more preferably 1-6, even more preferably 1-4, even more preferably 1-3.

アルカンジイル基に含まれる-CH2-が、-O-、-S-、-CO-又は-SO-に置き換わった基としては、ヒドロキシ基(メチル基中に含まれる-CH2-が、-O-に置き換わった基)、カルボキシ基(エチル基中に含まれる-CH2-CH2-が、-O-CO-に置き換わった基)、オキシ基(メチレン基中に含まれる-CH2-が、-O-に置き換わった基)、カルボニル基(メチレン基中に含まれる-CH2-が、-CO-に置き換わった基)、チオ基(メチレン基中に含まれる-CH2-が、-S-に置き換わった基)、スルホニル基(メチレン基中に含まれる-CH2-が、-SO-に置き換わった基)、チオール基(メチル基中に含まれる-CH2-が、-S-に置き換わった基)、アルカンジイルオキシ基(アルカンジイル基中に含まれる任意の位置の-CH2-が、-O-に置き換わった基)、アルカンジイルオキシカルボニル基(アルカンジイル基中に含まれる任意の位置の-CH2-CH2-が、-O-CO-に置き換わった基)、アルカンジイルカルボニル基(アルカンジイル基中に含まれる任意の位置の-CH2-が、-CO-に置き換わった基)、アルカンジイルカルボニルオキシ基(アルカンジイル基中に含まれる任意の位置の-CH2-CH2-が、-CO-O-に置き換わった基)、アルカンジイルチオ基(アルカンジイル基中に含まれる任意の位置の-CH2-が、-S-に置き換わった基)、アルカンジイルスルホニル基(アルカンジイル基中に含まれる任意の位置の-CH2-が、-SO-に置き換わった基)等が挙げられる。
アルカンジイルオキシ基としては、炭素数1~35のアルカンジイルオキシ基が挙げられ、例えば、メチレンオキシ基、エチレンオキシ基、プロパンジイルオキシ基、ブタンジイルオキシ基、ペンタンジイルオキシ基、ヘキサンジイルオキシ基、オクタンジイルオキシ基、2-エチルヘキサンジイルオキシ基、ノナンジイルオキシ基、デカンジイルオキシ基、ウンデカンジイルオキシ基等が挙げられる。アルカンジイルオキシ基の炭素数は、好ましくは1~17であり、より好ましくは1~12であり、さらに好ましくは1~8であり、さらにより好ましくは1~5である。
アルカンジイルオキシカルボニル基としては、炭素数2~35のアルカンジイルオキシカルボニル基が挙げられ、例えば、メチレンオキシカルボニル基、エチレンオキシカルボニル基、プロパンジイルオキシカルボニル基、ブタンジイルオキシカルボニル基、ペンタンジイルオキシカルボニル基、ヘキサンジイルオキシカルボニル基、オクタンジイルオキシカルボニル基、2-エチルヘキサンジイルオキシカルボニル基、ノナンジイルオキシカルボニル基、デカンジイルオキシカルボニル基、ウンデカンジイルオキシカルボニル基等が挙げられる。アルカンジイルオキシカルボニル基の炭素数は、好ましくは2~17であり、より好ましくは2~12であり、さらに好ましくは2~8であり、さらにより好ましくは2~5である。
アルカンジイルカルボニル基としては、炭素数2~36のアルカンジイルカルボニル基が挙げられ、例えば、メチレンカルボニル基、エチレンカルボニル基、プロパンジイルカルボニル基、ブタンジイルカルボニル基、ペンタンジイルカルボニル基、ヘキサンジイルカルボニル基、オクタンジイルカルボニル基、2-エチルヘキサンジイルカルボニル基、ノナンジイルカルボニル基、デカンジイルカルボニル基、ウンデカンジイルカルボニル基等が挙げられる。アルカンジイルカルボニル基の炭素数は、好ましくは2~18であり、より好ましくは2~12であり、さらに好ましくは2~8であり、さらにより好ましくは2~5である。
アルカンジイルカルボニルオキシ基としては、炭素数2~35のアルカンジイルカルボニルオキシ基が挙げられ、例えば、メチレンカルボニルオキシ基、エチレンカルボニルオキシ基、プロパンジイルカルボニルオキシ基、ブタンジイルカルボニルオキシ基、ペンタンジイルカルボニルオキシ基、ヘキサンジイルカルボニルオキシ基、オクタンジイルカルボニルオキシ基、2-エチルヘキサンジイルカルボニルオキシ基、ノナンジイルカルボニルオキシ基、デカンジイルカルボニルオキシ基、ウンデカンジイルカルボニルオキシ基等が挙げられる。アルカンジイルカルボニルオキシ基の炭素数は、好ましくは2~17であり、より好ましくは2~12であり、さらに好ましくは2~8であり、さらにより好ましくは2~5である。
アルカンジイルチオ基としては、炭素数1~35のアルカンジイルチオ基が挙げられ、メチレンチオ基、エチレンチオ基、プロパンジイルチオ基、ブタンジイルチオ基、ペンタンジイルチオ基、ヘキサンジイルチオ基、ヘプタンジイルチオ基、オクタンジイルチオ基、ノナンジイルチオ基、デカンジイルチオ基、ウンデカンジイルチオ基、ドデカンジイルチオ基、2-メチルプロパンジイルチオ基等が挙げられる。アルカンジイルチオ基の炭素数は、好ましくは1~17であり、より好ましくは1~12であり、さらに好ましくは1~8であり、さらにより好ましくは1~5である。
アルカンジイルスルホニル基としては、炭素数1~35のアルカンジイルスルホニル基が挙げられ、例えば、メチレンスルホニル基、エチレンスルホニル基、プロピレンスルホニル基等が挙げられる。アルカンジイルスルホニル基の炭素数は、好ましくは1~17であり、より好ましくは1~12であり、さらに好ましくは1~8であり、さらにより好ましくは1~5である。
なお、アルケンジイル基、アルキンジイル基における置き換わりは、上述したアルカンジイル基における置き換わりの例示において、任意の位置に炭素-炭素二重結合又は炭素-炭素三重結合を含むものとすることができる。
The group in which —CH2 — contained in the alkanediyl group is replaced with —O—, —S—, —CO— or —SO2 — includes a hydroxy group (the —CH2 — contained in the methyl group, -O-), carboxy group (group in which -CH2 -CH2 - contained in the ethyl group is replaced by -O-CO-), oxy group (-CH2 in the methylene group - is replaced by -O-), carbonyl group (group in which -CH2 - contained in the methylene group is replaced by -CO-), thio group (group in which -CH2 - contained in the methylene group is , a group substituted for -S-), a sulfonyl group (a group substituted for -SO2 - for -CH2 - contained in a methylene group), a thiol group (a group substituted for -CH2 - contained in a methyl group, —S—), alkanediyloxy group (group in which —CH2 — at any position in the alkanediyl group is replaced with —O—), alkanediyloxycarbonyl group (in the alkanediyl group A group in which —CH2 —CH2 — at any position contained in is replaced with —O—CO—), alkanediylcarbonyl group (where —CH2 — at any position contained in an alkanediyl group is replaced by — a group substituted for CO--), an alkanediylcarbonyloxy group (a group wherein -CH2 -CH2 - at any position in the alkanediyl group is substituted with -CO-O-), an alkanediylthio group ( —CH2 — at any position in the alkanediyl group is substituted with —S—), alkanediylsulfonyl group (where —CH2 — at any position in the alkanediyl group is replaced with —SO2 --substituted group) and the like.
The alkanediyloxy group includes alkanediyloxy groups having 1 to 35 carbon atoms, such as methyleneoxy, ethyleneoxy, propanediyloxy, butanediyloxy, pentanediyloxy, and hexanediyloxy. , octanediyloxy group, 2-ethylhexanediyloxy group, nonanediyloxy group, decanediyloxy group, undecanediyloxy group and the like. The alkanediyloxy group preferably has 1 to 17 carbon atoms, more preferably 1 to 12 carbon atoms, still more preferably 1 to 8 carbon atoms, and still more preferably 1 to 5 carbon atoms.
The alkanediyloxycarbonyl group includes alkanediyloxycarbonyl groups having 2 to 35 carbon atoms, such as methyleneoxycarbonyl, ethyleneoxycarbonyl, propanediyloxycarbonyl, butanediyloxycarbonyl, pentanediyloxy carbonyl group, hexanediyloxycarbonyl group, octanediyloxycarbonyl group, 2-ethylhexanediyloxycarbonyl group, nonanediyloxycarbonyl group, decanediyloxycarbonyl group, undecanediyloxycarbonyl group and the like. The alkanediyloxycarbonyl group preferably has 2 to 17 carbon atoms, more preferably 2 to 12 carbon atoms, still more preferably 2 to 8 carbon atoms, and still more preferably 2 to 5 carbon atoms.
The alkanediylcarbonyl group includes alkanediylcarbonyl groups having 2 to 36 carbon atoms, such as methylenecarbonyl, ethylenecarbonyl, propanediylcarbonyl, butanediylcarbonyl, pentanediylcarbonyl and hexanediylcarbonyl groups. , an octanediylcarbonyl group, a 2-ethylhexanediylcarbonyl group, a nonanediylcarbonyl group, a decanediylcarbonyl group, an undecanediylcarbonyl group, and the like. The alkanediylcarbonyl group preferably has 2 to 18 carbon atoms, more preferably 2 to 12 carbon atoms, still more preferably 2 to 8 carbon atoms, and still more preferably 2 to 5 carbon atoms.
The alkanediylcarbonyloxy group includes alkanediylcarbonyloxy groups having 2 to 35 carbon atoms, such as methylenecarbonyloxy, ethylenecarbonyloxy, propanediylcarbonyloxy, butanediylcarbonyloxy, and pentanediylcarbonyl. oxy group, hexanediylcarbonyloxy group, octanediylcarbonyloxy group, 2-ethylhexanediylcarbonyloxy group, nonanediylcarbonyloxy group, decanediylcarbonyloxy group, undecanediylcarbonyloxy group and the like. The alkanediylcarbonyloxy group preferably has 2 to 17 carbon atoms, more preferably 2 to 12 carbon atoms, still more preferably 2 to 8 carbon atoms, and still more preferably 2 to 5 carbon atoms.
The alkanediylthio group includes alkanediylthio groups having 1 to 35 carbon atoms, such as methylenethio, ethylenethio, propanediylthio, butanediylthio, pentanediylthio, hexanediylthio, heptanediylthio, octanediylthio group, nonanediylthio group, decanediylthio group, undecanediylthio group, dodecanediylthio group, 2-methylpropanediylthio group and the like. The alkanediylthio group preferably has 1 to 17 carbon atoms, more preferably 1 to 12 carbon atoms, still more preferably 1 to 8 carbon atoms, and still more preferably 1 to 5 carbon atoms.
The alkanediylsulfonyl group includes an alkanediylsulfonyl group having 1 to 35 carbon atoms, such as a methylenesulfonyl group, an ethylenesulfonyl group, a propylenesulfonyl group and the like. The alkanediylsulfonyl group preferably has 1 to 17 carbon atoms, more preferably 1 to 12 carbon atoms, still more preferably 1 to 8 carbon atoms, and still more preferably 1 to 5 carbon atoms.
The substitution in the alkenediyl group and alkynediyl group can include a carbon-carbon double bond or carbon-carbon triple bond at any position in the examples of substitution in the alkanediyl group described above.

脂環式炭化水素基としては、単環式又は多環式のいずれでもよく、以下に表される基等が挙げられる。結合部位は任意の位置とすることができる。

Figure 2023016037000018
具体的には、単環式の脂環式炭化水素基としては、シクロブタン-1,3-ジイル基、シクロペンタン-1,3-ジイル基、シクロヘキサン-1,4-ジイル基、シクロヘキセン-3,6-ジイル基、シクロオクタン-1,5-ジイル基等の単環式シクロアルカンジイル基等、多環式の脂環式炭化水素基としては、ノルボルナン-1,4-ジイル基、ノルボルナン-2,5-ジイル基、5-ノルボルネン-2,3-ジイル基、アダマンタン-1,5-ジイル基、アダマンタン-2,6-ジイル基等の多環式シクロアルカンジイル基、スピロシクロヘキサン-1,2’-シクロペンタン基、スピロアダマンタン-2,3’-シクロペンタン基等のシクロアルキル基、ノルボニル基もしくはアダマンチル基とそれぞれにスピロで結合したシクロアルキル基を有するスピロ環等が挙げられる。
脂環式炭化水素基の炭素数は、好ましくは3~24であり、より好ましくは3~18であり、さらに好ましくは3~16であり、さらにより好ましくは3~12である。
また、脂環式炭化水素基に含まれる-CH-が、-O-、-S-、-CO-又は-SO-で置き換わった基としては、以下に表される基等が挙げられる。以下に表される基の-O-又は-CO-は、-S-又は-SO-に置き換わってもよい。結合部位は任意の位置とすることができる。
Figure 2023016037000019
芳香族炭化水素基としては、フェニレン基、ナフチレン基、アントリレン基、ビフェニレン基、フェナントリレン基等が挙げられる。芳香族炭化水素基の炭素数は、好ましくは6~24であり、より好ましくは6~18であり、さらに好ましくは6~14であり、さらにより好ましくは6~10である。
炭化水素基に含まれる-CH-が、-O-、-S-、-CO-又は-SO-で置き換わっている場合、置き換わる前の炭素数を該炭化水素基の総炭素数とする。また、その数は、1つでもよいし、2以上でもよい。The alicyclic hydrocarbon group may be either monocyclic or polycyclic, and includes the groups shown below. The binding site can be at any position.
Figure 2023016037000018
Specifically, the monocyclic alicyclic hydrocarbon groups include cyclobutane-1,3-diyl group, cyclopentane-1,3-diyl group, cyclohexane-1,4-diyl group, cyclohexene-3, Polycyclic alicyclic hydrocarbon groups such as monocyclic cycloalkanediyl groups such as 6-diyl group and cyclooctane-1,5-diyl group include norbornane-1,4-diyl group and norbornane-2 ,5-diyl group, 5-norbornene-2,3-diyl group, adamantane-1,5-diyl group, adamantane-2,6-diyl group and other polycyclic cycloalkanediyl groups, spirocyclohexane-1,2 cycloalkyl groups such as '-cyclopentane group and spiroadamantane-2,3'-cyclopentane group; and spiro rings having a cycloalkyl group spiro-bonded to a norbornyl group or adamantyl group.
The alicyclic hydrocarbon group preferably has 3 to 24 carbon atoms, more preferably 3 to 18 carbon atoms, still more preferably 3 to 16 carbon atoms, and still more preferably 3 to 12 carbon atoms.
In addition, the group in which —CH2 — contained in the alicyclic hydrocarbon group is replaced with —O—, —S—, —CO— or —SO2 — includes groups represented below. . -O- or -CO- in the groups represented below may be replaced with -S- or -SO2 -. The binding site can be at any position.
Figure 2023016037000019
The aromatic hydrocarbon group includes phenylene group, naphthylene group, anthrylene group, biphenylene group, phenanthrylene group and the like. The number of carbon atoms in the aromatic hydrocarbon group is preferably 6-24, more preferably 6-18, even more preferably 6-14, still more preferably 6-10.
When —CH2 — contained in a hydrocarbon group is replaced with —O—, —S—, —CO— or —SO2 —, the number of carbon atoms before replacement is taken as the total number of carbon atoms in the hydrocarbon group. . Moreover, the number may be one, or two or more.

2種以上の基を組み合わせた炭化水素基としては、アルカンジイル基と脂環式炭化水素基及び/又は芳香族炭化水素基とを組み合わせた基等が挙げられ、組み合わせにおいて、脂環式炭化水素基、芳香族炭化水素基、鎖式炭化水素基は、それぞれ2種以上を組み合わせてもよい。例えば、-脂環式炭化水素基-アルカンジイル基-、-アルカンジイル基-脂環式炭化水素基-、-アルカンジイル基-脂環式炭化水素基-アルカンジイル基-、-アルカンジイル基-芳香族炭化水素基-、-芳香族炭化水素基-アルカンジイル基-等が挙げられる。いずれの基が酸素原子又はカルボニル基に結合していてもよい。 Examples of hydrocarbon groups in which two or more groups are combined include groups in which an alkanediyl group and an alicyclic hydrocarbon group and/or an aromatic hydrocarbon group are combined. The groups, aromatic hydrocarbon groups, and chain hydrocarbon groups may each be used in combination of two or more. For example, -alicyclic hydrocarbon group-alkanediyl group-, -alkanediyl group-alicyclic hydrocarbon group-, -alkanediyl group-alicyclic hydrocarbon group-alkanediyl group-, -alkanediyl group- aromatic hydrocarbon group-, -aromatic hydrocarbon group-alkanediyl group-, and the like. Any group may be attached to an oxygen atom or a carbonyl group.

12の炭化水素基が有する置換基としては、ハロゲン原子、シアノ基、ヒドロキシ基、カルボキシ基、炭素数1~12のアルコキシ基、炭素数2~13のアルコキシカルボニル基、炭素数2~13のアルキルカルボニル基、炭素数2~13のアルキルカルボニルオキシ基、炭素数2~13のアルコキシカルボニル基、炭素数2~13のアルキルカルボニル基、炭素数2~13のアルキルカルボニルオキシ基等が挙げられる。
ハロゲン原子としては、フッ素原子、塩素原子、臭素原子及びヨウ素原子等が挙げられる。
炭素数1~12のアルコキシ基としては、メトキシ基、エトキシ基、プロポキシ基、ブトキシ基、ペンチルオキシ基、ヘキシルオキシ基、オクチルオキシ基、2-エチルヘキシルオキシ基、ノニルオキシ基、デシルオキシ基、ウンデシルオキシ基、ドデシルオキシ基等が挙げられる。
炭素数2~13のアルコキシカルボニル基、炭素数2~13のアルキルカルボニル基及び炭素数2~13のアルキルカルボニルオキシ基は、上述したアルキル基又はアルコキシ基にカルボニル基又はカルボニルオキシ基が結合した基を表す。
炭素数2~13のアルコキシカルボニル基としては、メトキシカルボニル基、エトキシカルボニル基、ブトキシカルボニル基等が挙げられ、炭素数2~13のアルキルカルボニル基としては、アセチル基、プロピオニル基及びブチリル基等が挙げられ、炭素数2~13のアルキルカルボニルオキシ基としては、アセチルオキシ基、プロピオニルオキシ基、ブチリルオキシ基等が挙げられる。
12における炭化水素基は、1つの置換基又は複数の置換基を有していてもよい。
Examples of substituents possessed by the hydrocarbon group of L12 include a halogen atom, a cyano group, a hydroxy group, a carboxy group, an alkoxy group having 1 to 12 carbon atoms, an alkoxycarbonyl group having 2 to 13 carbon atoms, and an alkoxycarbonyl group having 2 to 13 carbon atoms. Examples include an alkylcarbonyl group, an alkylcarbonyloxy group having 2 to 13 carbon atoms, an alkoxycarbonyl group having 2 to 13 carbon atoms, an alkylcarbonyl group having 2 to 13 carbon atoms, an alkylcarbonyloxy group having 2 to 13 carbon atoms, and the like.
Halogen atoms include fluorine, chlorine, bromine and iodine atoms.
Examples of alkoxy groups having 1 to 12 carbon atoms include methoxy, ethoxy, propoxy, butoxy, pentyloxy, hexyloxy, octyloxy, 2-ethylhexyloxy, nonyloxy, decyloxy, and undecyloxy. group, dodecyloxy group, and the like.
An alkoxycarbonyl group having 2 to 13 carbon atoms, an alkylcarbonyl group having 2 to 13 carbon atoms and an alkylcarbonyloxy group having 2 to 13 carbon atoms are groups in which a carbonyl group or a carbonyloxy group is bonded to the alkyl group or alkoxy group described above. represents
The alkoxycarbonyl group having 2 to 13 carbon atoms includes methoxycarbonyl group, ethoxycarbonyl group, butoxycarbonyl group and the like, and the alkylcarbonyl group having 2 to 13 carbon atoms includes acetyl group, propionyl group, butyryl group and the like. Examples of the alkylcarbonyloxy group having 2 to 13 carbon atoms include acetyloxy group, propionyloxy group and butyryloxy group.
The hydrocarbon group in L12 may have one substituent or multiple substituents.

12は、単結合、炭素数1~6のアルカンジイル基(該アルカンジイル基に含まれる-CH2-は、-O-、-S-、-SO-又は-CO-に置き換わっていてもよい。)、炭素数3~18の脂環式炭化水素基(該脂環式炭化水素基に含まれる-CH2-は、-O-、-S-、-SO-又は-CO-に置き換わっていてもよい。)又は炭素数1~6のアルカンジイル基と炭素数3~18の脂環式炭化水素基を組み合わせた基(該アルカンジイル基及び該脂環式炭化水素基に含まれる-CH2-は、-O-、-S-、-SO-又は-CO-に置き換わっていてもよい。)であることが好ましく、炭素数1~6のアルカンジイル基であることがより好ましく、炭素数1~3のアルカンジイル基であることがさらに好ましく、メチレン基であることがさらにより好ましい。
、R及びRは、*-O-CO-R10、*-O-CO-O-R10又は*-O-L10-CO-O-R10であることが好ましく、*-O-CO-O-R10又は*-O-L10-CO-O-R10であることがより好ましい。*は、ベンゼン環との結合部位を表す。
、R及びRのベンゼン環への結合位置は、それぞれ独立に、A、A及びAの結合位置に対して、о位、m位、p位のいずれでもよい。なかでも、R、R及びRは、それぞれ独立に、A、A及びAの結合位置に対して、p位又はm位に結合していることが好ましく、p位に結合していることがより好ましい。
L12 is a single bond or an alkanediyl group having 1 to 6 carbon atoms (-CH2 - contained in the alkanediyl group is replaced with -O-, -S-, -SO2 - or -CO- ), an alicyclic hydrocarbon group having 3 to 18 carbon atoms (-CH2 - contained in the alicyclic hydrocarbon group is -O-, -S-, -SO2 - or -CO- ) or a combination of an alkanediyl group having 1 to 6 carbon atoms and an alicyclic hydrocarbon group having 3 to 18 carbon atoms (included in the alkanediyl group and the alicyclic hydrocarbon group --CH2 -- may be substituted with --O--, --S--, --SO2 -- or --CO--), and is preferably an alkanediyl group having 1 to 6 carbon atoms. More preferably, it is an alkanediyl group having 1 to 3 carbon atoms, and even more preferably a methylene group.
R1 , R2 and R3 are preferably *-O-CO-R10 , *-O-CO-O-R10 or *-OL10 -CO-O-R10 , * —O—CO—OR10 or *—OL10 —CO—OR10 is more preferred. * represents a bonding site with a benzene ring.
The bonding positions of R1 , R2 and R3 to the benzene ring may each independently be any of the o-position, m-position and p-position with respect to the bonding positions of A1 , A2 and A3 . Among them, R1 , R2 and R3 are each independently preferably bonded at the p-position or m-position with respect to the bonding position of A1 , A2 and A3 , It is more preferable to have

、R、R、R、R及びRのハロゲン原子としては、フッ素原子、塩素原子、臭素原子及びヨウ素原子等が挙げられる。
、R、R、R、R及びRの炭素数1~12のハロアルキル基とは、ハロゲン原子を有する炭素数1~12のアルキル基を表し、炭素数1~12のフッ化アルキル基、炭素数1~12の塩化アルキル基、炭素数1~12の臭化アルキル基、炭素数1~12のヨウ化アルキル基等が挙げられる。ハロアルキル基としては、炭素数1~12のペルフルオロアルキル基(トリフルオロメチル基、ペンタフルオロエチル基、ヘプタフルオロプロピル基、ノナフルオロブチル基等)、2,2,2-トリフルオロエチル基、3,3,3-トリフルオロプロピル基、4,4,4-トリフルオロブチル基、及び3,3,4,4,4-ペンタフルオロブチル基、クロロメチル基、ブロモメチル基、ヨードメチル基等が挙げられる。ハロアルキル基の炭素数は、好ましくは1~9であり、より好ましくは1~6であり、さらに好ましくは1~4であり、さらにより好ましくは1~3である。
、R、R、R、R及びRの炭素数1~18の炭化水素基としては、アルキル基等の鎖式炭化水素基、脂環式炭化水素基、芳香族炭化水素基及びこれらを組み合わせることにより形成される基が挙げられる。
アルキル基としては、メチル基、エチル基、n-プロピル基、イソプロピル基、n-ブチル基、sec-ブチル基、tert-ブチル基、ペンチル基、ヘキシル基、ヘプチル基、2-エチルヘキシル基、オクチル基、ノニル基、デシル基、ウンデシル基及びドデシル基等が挙げられる。
鎖式炭化水素基の炭素数は、好ましくは1~12であり、より好ましくは1~9であり、さらに好ましくは1~6であり、より一層好ましくは1~4であり、さらに一層好ましくは1~3である。
脂環式炭化水素基としては、単環式又は多環式のいずれでもよく、以下に表される基等が挙げられる。結合部位は任意の位置とすることができる。

Figure 2023016037000020
具体的には、単環式の脂環式炭化水素基としては、シクロプロピル基、シクロブチル基、シクロペンチル基、シクロヘキシル基、シクロヘプチル基、シクロオクチル基、シクロデシル基等の単環式シクロアルキル基が挙げられる。多環式の脂環式炭化水素基としては、デカヒドロナフチル基、アダマンチル基、ノルボルニル基等の多環式シクロアルキル基が挙げられる。脂環式炭化水素基の炭素数は、好ましくは3~18であり、より好ましくは3~16であり、さらに好ましくは3~12である。
芳香族炭化水素基としては、フェニル基、ナフチル基、ビフェニル基、アントリル基、フェナントリル基、ビナフチル基等が挙げられる。芳香族炭化水素基の炭素数は、好ましくは6~18であり、より好ましくは6~14であり、さらに好ましくは6~10である。
組み合わせることにより形成される基としては、芳香族炭化水素基と鎖式炭化水素基とを組み合わせた基(例えば、芳香族炭化水素基-アルカンジイル基-*、アルキル基-芳香族炭化水素基-*)、脂環式炭化水素基と鎖式炭化水素基とを組み合わせた基(例えば、脂環式炭化水素基-アルカンジイル基-*、アルキル基-脂環式炭化水素基-*)、芳香族炭化水素基と脂環式炭化水素基とを組み合わせた基(例えば、芳香族炭化水素基-脂環式炭化水素基-*、脂環式炭化水素基-芳香族炭化水素基-*)が挙げられる。*は結合部位を表す。ここで、アルカンジイル基、アルキル基等の鎖式炭化水素基、芳香族炭化水素基、脂環式炭化水素基に含まれる-CH-は、-O-、-CO-、-S-又は-SO-に置き換わっていてもよい。
芳香族炭化水素基-アルカンジイル基-*としては、ベンジル基、フェネチル基等のアラルキル基が挙げられる。
アルキル基-芳香族炭化水素基-*としては、トリル基、キシリル基、クメニル基等が挙げられる。
脂環式炭化水素基-アルカンジイル基-*としては、シクロヘキシルメチル基、シクロヘキシルエチル基、1-(アダマンタン-1-イル)メチル基、1-(アダマンタン-1-イル)-1-メチルエチル基等のシクロアルキルアルキル基等が挙げられる。
アルキル基-脂環式炭化水素基-*としては、メチルシクロヘキシル基、ジメチルシクロヘキシル基、2-アルキルアダマンタン-2-イル基等のアルキル基を有するシクロアルキル基等が挙げられる。
芳香族炭化水素基-脂環式炭化水素基-*としては、フェニルシクロヘキシル基等が挙げられる。
脂環式炭化水素基-芳香族炭化水素基-*としては、シクロヘキシルフェニル基等が挙げられる。
なお、組み合わせにおいて、脂環式炭化水素基、芳香族炭化水素基、鎖式炭化水素基は、それぞれ2種以上を組み合わせてもよい。また、いずれの基がベンゼン環に結合していてもよい。
ハロアルキル基及び炭化水素基に含まれる-CH2-が、-O-、-S-、-CO-又は-SO-に置き換わった基としては、ヒドロキシ基(メチル基中に含まれる-CH2-が、-O-に置き換わった基)、チオール基(メチル基中に含まれる-CH2-が、-S-に置き換わった基)、カルボキシ基(エチル基中に含まれる-CH2-CH2-が、-O-CO-に置き換わった基)、アルコキシ基(アルキル基中に含まれる任意の位置の-CH2-が、-O-に置き換わった基)、アルキルチオ基(アルキル基中に含まれる任意の位置の-CH2-が、-S-に置き換わった基)、アルコキシカルボニル基(アルキル基中に含まれる任意の位置の-CH2-CH2-が、-O-CO-に置き換わった基)、アルキルカルボニル基(アルキル基中に含まれる任意の位置の-CH2-が、-CO-に置き換わった基)、アルキルスルホニル基(アルキル基中に含まれる任意の位置の-CH2-が、-SO-に置き換わった基)、アルキルカルボニルオキシ基(アルキル基中に含まれる任意の位置の-CH2-CH2-が、-CO-O-に置き換わった基)、オキシ基(メチレン基中に含まれる-CH2-が、-O-に置き換わった基)、カルボニル基(メチレン基中に含まれる-CH2-が、-CO-に置き換わった基)、チオ基(メチレン基中に含まれる-CH2-が、-S-に置き換わった基)、スルホニル基(メチレン基中に含まれる-CH2-が、-SO-に置き換わった基)、アルカンジイルオキシ基(アルカンジイル基中に含まれる任意の位置の-CH2-が、-O-に置き換わった基)、アルカンジイルオキシカルボニル基(アルカンジイル基中に含まれる任意の位置の-CH2-CH2-が、-O-CO-に置き換わった基)、アルカンジイルカルボニル基(アルカンジイル基中に含まれる任意の位置の-CH2-が、-CO-に置き換わった基)、アルカンジイルカルボニルオキシ基(アルカンジイル基中に含まれる任意の位置の-CH2-CH2-が、-CO-O-に置き換わった基)、アルカンジイルチオ基(アルカンジイル基中に含まれる任意の位置の-CH2-が、-S-に置き換わった基)、アルカンジイルスルホニル基(アルカンジイル基中に含まれる任意の位置の-CH2-が、-SO-に置き換わった基)、シクロアルコキシ基、シクロアルキルアルコキシ基、アルコキシカルボニルオキシ基、芳香族炭化水素基-カルボニルオキシ基、芳香族炭化水素基-カルボニル基、芳香族炭化水素基-オキシ基、ハロアルコキシ基(ハロアルキル基中に含まれる任意の位置の-CH2-が、-O-に置き換わった基)、ハロアルコキシカルボニル基(ハロアルキル基中に含まれる任意の位置の-CH2-CH2-が、-O-CO-に置き換わった基)、ハロアルキルカルボニル基(ハロアルキル基中に含まれる任意の位置の-CH2-が、-CO-に置き換わった基)、ハロアルキルカルボニルオキシ基(ハロアルキル基中に含まれる任意の位置の-CH2-CH2-が、-CO-O-に置き換わった基)、これらの基のうち2種以上を組み合わせた基等が挙げられる。
アルコキシ基としては、炭素数1~17のアルコキシ基が挙げられ、例えば、メトキシ基、エトキシ基、プロポキシ基、ブトキシ基、ペンチルオキシ基、ヘキシルオキシ基、オクチルオキシ基、2-エチルヘキシルオキシ基、ノニルオキシ基、デシルオキシ基、ウンデシルオキシ基等が挙げられる。アルコキシ基の炭素数は、好ましくは1~11であり、より好ましくは1~6であり、さらに好ましくは1~4であり、さらにより好ましくは1~3である。
アルキルチオ基としては、炭素数1~17のアルキルチオ基が挙げられ、例えば、メチルチオ基、エチルチオ基、プロピルチオ基、ブチルチオ基、ペンチルチオ基、ヘキシルチオ基、オクチルチオ基、2-エチルヘキシルチオ基、ノニルチオ基、デシルチオ基、ウンデシルチオ基等が挙げられる。アルキルチオ基の炭素数は、好ましくは1~11であり、より好ましくは1~6であり、さらに好ましくは1~4であり、さらにより好ましくは1~3である。
アルコキシカルボニル基、アルキルカルボニル基及びアルキルカルボニルオキシ基は、上述したアルキル基又はアルコキシ基にカルボニル基又はカルボニルオキシ基が結合した基を表す。
アルコキシカルボニル基としては、炭素数2~17のアルコキシカルボニル基が挙げられ、例えば、メトキシカルボニル基、エトキシカルボニル基、ブトキシカルボニル基等が挙げられる。アルキルカルボニル基としては、炭素数2~18のアルキルカルボニル基が挙げられ、例えば、アセチル基、プロピオニル基及びブチリル基等が挙げられる。アルキルカルボニルオキシ基としては、炭素数2~17のアルキルカルボニルオキシ基が挙げられ、例えば、アセチルオキシ基、プロピオニルオキシ基、ブチリルオキシ基等が挙げられる。アルコキシカルボニル基の炭素数は、好ましくは2~11であり、より好ましくは2~6であり、さらに好ましくは2~4であり、さらにより好ましくは2又は3である。アルキルカルボニル基の炭素数は、好ましくは2~12であり、より好ましくは2~6であり、さらに好ましくは2~4であり、さらにより好ましくは2又は3である。アルキルカルボニルオキシ基の炭素数は、好ましくは2~11であり、より好ましくは2~6であり、さらに好ましくは2~4であり、さらにより好ましくは2又は3である。
アルキルスルホニル基としては、炭素数1~17のアルキルスルホニル基が挙げられ、例えば、メチルスルホニル基、エチルスルホニル基、プロピルスルホニル基、ブチルスルホニル基、ペンチルスルホニル基、ヘキシルスルホニル基、オクチルスルホニル基、2-エチルヘキシルスルホニル基、ノニルスルホニル基、デシルスルホニル基、ウンデシルスルホニル基等が挙げられる。アルキルスルホニル基の炭素数は、好ましくは1~11であり、より好ましくは1~6であり、さらに好ましくは1~4であり、さらにより好ましくは1~3である。
アルカンジイルオキシ基としては、炭素数1~17のアルカンジイルオキシ基が挙げられ、例えば、メチレンオキシ基、エチレンオキシ基、プロパンジイルオキシ基、ブタンジイルオキシ基、ペンタンジイルオキシ基等が挙げられる。アルカンジイルオキシ基の炭素数は、好ましくは1~11であり、より好ましくは1~6であり、さらに好ましくは1~4であり、さらにより好ましくは1~3である。
アルカンジイルオキシカルボニル基としては、炭素数2~17のアルカンジイルオキシカルボニル基が挙げられ、例えば、メチレンオキシカルボニル基、エチレンオキシカルボニル基、プロパンジイルオキシカルボニル基、ブタンジイルオキシカルボニル基等が挙げられる。アルカンジイルカルボニル基としては、炭素数2~18のアルカンジイルカルボニル基が挙げられ、例えば、メチレンカルボニル基、エチレンカルボニル基、プロパンジイルカルボニル基、ブタンジイルカルボニル基、ペンタンジイルカルボニル基等が挙げられる。アルカンジイルカルボニルオキシ基としては、炭素数2~17のアルカンジイルカルボニルオキシ基が挙げられ、例えば、メチレンカルボニルオキシ基、エチレンカルボニルオキシ基、プロパンジイルカルボニルオキシ基、ブタンジイルカルボニルオキシ基等が挙げられる。アルカンジイルオキシカルボニル基の炭素数は、好ましくは2~11であり、より好ましくは2~6であり、さらに好ましくは2~4であり、さらにより好ましくは2又は3である。アルカンジイルカルボニル基の炭素数は、好ましくは2~12であり、より好ましくは2~6であり、さらに好ましくは2~4であり、さらにより好ましくは2又は3である。アルカンジイルカルボニルオキシ基の炭素数は、好ましくは2~11であり、より好ましくは2~6であり、さらに好ましくは2~4であり、さらにより好ましくは2又は3である。
アルカンジイルチオ基としては、炭素数1~17のアルカンジイルチオ基が挙げられ、例えば、メチレンチオ基、エチレンチオ基、プロピレンチオ基等が挙げられる。アルカンジイルチオ基の炭素数は、好ましくは1~11であり、より好ましくは1~6であり、さらに好ましくは1~4であり、さらにより好ましくは1~3である。
アルカンジイルスルホニル基としては、炭素数1~17のアルカンジイルスルホニル基が挙げられ、例えば、メチレンスルホニル基、エチレンスルホニル基、プロピレンスルホニル基等が挙げられる。アルカンジイルスルホニル基の炭素数は、好ましくは1~11であり、より好ましくは1~6であり、さらに好ましくは1~4であり、さらにより好ましくは1~3である。
シクロアルコキシ基としては、炭素数3~17のシクロアルコキシ基が挙げられ、例えば、シクロヘキシルオキシ基等が挙げられる。シクロアルキルアルコキシ基としては、炭素数4~17のシクロアルキルアルコキシ基が挙げられ、例えば、シクロヘキシルメトキシ基等が挙げられる。アルコキシカルボニルオキシ基としては、炭素数2~16のアルコキシカルボニルオキシ基が挙げられ、例えば、ブトキシカルボニルオキシ基等が挙げられる。芳香族炭化水素基-カルボニルオキシ基としては、炭素数7~17の芳香族炭化水素基-カルボニルオキシ基が挙げられ、例えば、ベンゾイルオキシ基等が挙げられる。芳香族炭化水素基-カルボニル基としては、炭素数7~17の芳香族炭化水素基-カルボニル基が挙げられ、例えば、ベンゾイル基等が挙げられる。芳香族炭化水素基-オキシ基としては、炭素数6~16の芳香族炭化水素基-オキシ基が挙げられ、例えば、フェニルオキシ基等が挙げられる。
ハロアルコキシ基、ハロアルコキシカルボニル基、ハロアルキルカルボニル基、ハロアルキルカルボニルオキシ基としては、炭素数1~11のハロアルコキシ基、炭素数2~11のハロアルコキシカルボニル基、炭素数2~12のハロアルキルカルボニル基、炭素数2~11のハロアルキルカルボニルオキシ基が挙げられ、例えば、上記に例示した基の1以上の水素原子をハロゲン原子に置き換えた基が挙げられる。
また、脂環式炭化水素基に含まれる-CH-が、-O-、-S-、-CO-又は-SO-で置き換わった基としては、以下に表される基等が挙げられる。以下に表される基の-O-又は-CO-は、-S-又は-SO-に置き換わってもよい。結合部位は任意の位置とすることができる。
Figure 2023016037000021
ハロアルキル基及び炭化水素基に含まれる-CH-が、-O-、-S-、-CO-又は-SO-で置き換わっている場合、置き換わる前の炭素数を該炭化水素基の総炭素数とする。また、その数は、1つでもよいし、2以上でもよい。
、R、R、R、R及びRの炭化水素基が有していてもよい置換基としては、ハロゲン原子、シアノ基、炭素数1~12のアルキル基(該アルキル基に含まれる-CH2-は、-O-又は-CO-に置き換わっていてもよい)が挙げられる。
ハロゲン原子としては、上述した基と同様の基が挙げられる。
炭素数1~12のアルキル基としては、上述した基と同様の基が挙げられる。
置換基として、アルキル基に含まれる-CH2-は、-O-又は-CO-に置き換わっている場合、置き換わる前の炭素数を該アルキル基の総炭素数とする。置き換わった基としては、ヒドロキシ基、カルボキシ基、アルコキシ基、アルコキシカルボニル基、アルキルカルボニル基、アルキルカルボニルオキシ基等が挙げられる。
アルコキシ基、アルコキシカルボニル基、アルキルカルボニル基及びアルキルカルボニルオキシ基としては、炭素数1~11のアルコキシ基、炭素数2~11のアルコキシカルボニル基、炭素数2~12のアルキルカルボニル基及び炭素数2~11のアルキルカルボニルオキシ基が挙げられ、上述した基と同様の基が挙げられる。
炭化水素基は、1つの置換基又は複数の置換基を有していてもよい。Halogen atoms for R4 , R5 , R6 , R7 , R8 and R9 include fluorine, chlorine, bromine and iodine atoms.
The haloalkyl group having 1 to 12 carbon atoms of R4 , R5 , R6 , R7 , R8 and R9 represents an alkyl group having 1 to 12 carbon atoms and having a halogen atom. Examples include a fluorinated alkyl group, a chlorinated alkyl group having 1 to 12 carbon atoms, an alkyl bromide group having 1 to 12 carbon atoms, an iodinated alkyl group having 1 to 12 carbon atoms, and the like. Haloalkyl groups include perfluoroalkyl groups having 1 to 12 carbon atoms (trifluoromethyl group, pentafluoroethyl group, heptafluoropropyl group, nonafluorobutyl group, etc.), 2,2,2-trifluoroethyl group, 3, 3,3-trifluoropropyl group, 4,4,4-trifluorobutyl group, 3,3,4,4,4-pentafluorobutyl group, chloromethyl group, bromomethyl group, iodomethyl group and the like. The haloalkyl group preferably has 1 to 9 carbon atoms, more preferably 1 to 6 carbon atoms, still more preferably 1 to 4 carbon atoms, and still more preferably 1 to 3 carbon atoms.
Examples of hydrocarbon groups having 1 to 18 carbon atoms for R4 , R5 , R6 , R7 , R8 and R9 include chain hydrocarbon groups such as alkyl groups, alicyclic hydrocarbon groups and aromatic hydrocarbon groups. Hydrogen groups and groups formed by combining them are included.
Alkyl groups include methyl group, ethyl group, n-propyl group, isopropyl group, n-butyl group, sec-butyl group, tert-butyl group, pentyl group, hexyl group, heptyl group, 2-ethylhexyl group and octyl group. , nonyl group, decyl group, undecyl group and dodecyl group.
The chain hydrocarbon group preferably has 1 to 12 carbon atoms, more preferably 1 to 9 carbon atoms, still more preferably 1 to 6 carbon atoms, still more preferably 1 to 4 carbon atoms, and still more preferably 1 to 3.
The alicyclic hydrocarbon group may be either monocyclic or polycyclic, and includes the groups shown below. The binding site can be at any position.
Figure 2023016037000020
Specifically, monocyclic alicyclic hydrocarbon groups include monocyclic cycloalkyl groups such as cyclopropyl, cyclobutyl, cyclopentyl, cyclohexyl, cycloheptyl, cyclooctyl, and cyclodecyl groups. mentioned. Polycyclic alicyclic hydrocarbon groups include polycyclic cycloalkyl groups such as decahydronaphthyl, adamantyl and norbornyl groups. The number of carbon atoms in the alicyclic hydrocarbon group is preferably 3-18, more preferably 3-16, still more preferably 3-12.
Aromatic hydrocarbon groups include phenyl, naphthyl, biphenyl, anthryl, phenanthryl, and binaphthyl groups. The number of carbon atoms in the aromatic hydrocarbon group is preferably 6-18, more preferably 6-14, still more preferably 6-10.
Examples of the group formed by combining include groups in which an aromatic hydrocarbon group and a chain hydrocarbon group are combined (e.g., aromatic hydrocarbon group-alkanediyl group-*, alkyl group-aromatic hydrocarbon group- *), a group combining an alicyclic hydrocarbon group and a chain hydrocarbon group (e.g., alicyclic hydrocarbon group-alkanediyl group-*, alkyl group-alicyclic hydrocarbon group-*), aromatic A group combining a group hydrocarbon group and an alicyclic hydrocarbon group (e.g., aromatic hydrocarbon group-alicyclic hydrocarbon group-*, alicyclic hydrocarbon group-aromatic hydrocarbon group-*) mentioned. * represents a binding site. Here, —CH2 — contained in chain hydrocarbon groups such as alkanediyl groups and alkyl groups, aromatic hydrocarbon groups, and alicyclic hydrocarbon groups is —O—, —CO—, —S—, or —SO2 — may be substituted.
The aromatic hydrocarbon group-alkanediyl group-* includes aralkyl groups such as benzyl group and phenethyl group.
Alkyl group-aromatic hydrocarbon group-* includes tolyl group, xylyl group, cumenyl group and the like.
Alicyclic hydrocarbon group-alkanediyl group-* includes cyclohexylmethyl group, cyclohexylethyl group, 1-(adamantan-1-yl)methyl group, 1-(adamantan-1-yl)-1-methylethyl group cycloalkylalkyl groups such as
Examples of alkyl group-alicyclic hydrocarbon group-* include cycloalkyl groups having an alkyl group such as methylcyclohexyl group, dimethylcyclohexyl group and 2-alkyladamantan-2-yl group.
The aromatic hydrocarbon group-alicyclic hydrocarbon group-* includes a phenylcyclohexyl group and the like.
The alicyclic hydrocarbon group-aromatic hydrocarbon group-* includes a cyclohexylphenyl group and the like.
In combination, the alicyclic hydrocarbon group, the aromatic hydrocarbon group, and the chain hydrocarbon group may each be combined with two or more kinds. Also, any group may be bonded to the benzene ring.
Examples of groups in which —CH2 — contained in haloalkyl groups and hydrocarbon groups are replaced with —O—, —S—, —CO— or —SO2 — include hydroxy groups (-CH2 - is replaced by -O-), thiol group (group in which -CH2 - contained in the methyl group is replaced by -S-), carboxy group (-CH2 -CH contained in the ethyl group2- is replaced with -O-CO-), alkoxy group (group in which any position of -CH2 - contained in the alkyl group is replaced with -O-), alkylthio group (in the alkyl group -CH2 - at any position contained is replaced with -S-), alkoxycarbonyl group (where -CH2 -CH2 - at any position contained in an alkyl group is substituted with -O-CO- substituted group), alkylcarbonyl group (group in which -CH2 - at any position contained in the alkyl group is replaced with -CO-), alkylsulfonyl group (-CH at any position contained in the alkyl group2- is replaced with -SO2 -), alkylcarbonyloxy group (group in which any position of -CH2 -CH2 - contained in the alkyl group is replaced with -CO-O-), oxy group (group in which —CH2 — contained in the methylene group is replaced by —O—), carbonyl group (group in which —CH2 — contained in the methylene group is replaced by —CO—), thio group ( -CH2 - contained in a methylene group is replaced with -S-), sulfonyl group (group in which -CH2 - contained in a methylene group is replaced with -SO2 -), alkanediyloxy group (A group in which —CH2 — at any position in the alkanediyl group is replaced with —O—), alkanediyloxycarbonyl group (—CH2 —CH2 at any position in the alkanediyl group - is replaced with -O-CO-), alkanediylcarbonyl group (group in which any position of -CH2 - contained in the alkanediyl group is replaced with -CO-), alkanediylcarbonyloxy group (a group in which —CH2 —CH2 — at any position in the alkanediyl group is replaced with —CO—O—), alkanediylthio group (—CH at any position in the alkanediyl group)2- is a group substituted for -S-), alkanediylsulfonyl group (any position contained in the alkanediyl group of —CH2 — is replaced with —SO2 —), cycloalkoxy group, cycloalkylalkoxy group, alkoxycarbonyloxy group, aromatic hydrocarbon group-carbonyloxy group, aromatic hydrocarbon group-carbonyl group, Aromatic hydrocarbon group -oxy group, haloalkoxy group (group in which -CH2 - at any position contained in haloalkyl group is replaced with -O-), haloalkoxycarbonyl group (any position contained in haloalkyl group) -CH2 -CH2 - at position is replaced with -O-CO-), haloalkylcarbonyl group (haloalkyl group at any position -CH2 - is replaced with -CO- ), a haloalkylcarbonyloxy group (a group in which —CH2 —CH2 — at any position contained in a haloalkyl group is replaced with —CO—O—), a combination of two or more of these groups, etc. is mentioned.
The alkoxy group includes alkoxy groups having 1 to 17 carbon atoms, such as methoxy, ethoxy, propoxy, butoxy, pentyloxy, hexyloxy, octyloxy, 2-ethylhexyloxy, nonyloxy. group, decyloxy group, undecyloxy group, and the like. The alkoxy group preferably has 1 to 11 carbon atoms, more preferably 1 to 6 carbon atoms, still more preferably 1 to 4 carbon atoms, and still more preferably 1 to 3 carbon atoms.
The alkylthio group includes alkylthio groups having 1 to 17 carbon atoms, such as methylthio, ethylthio, propylthio, butylthio, pentylthio, hexylthio, octylthio, 2-ethylhexylthio, nonylthio, decylthio. group, undecylthio group, and the like. The number of carbon atoms in the alkylthio group is preferably 1-11, more preferably 1-6, even more preferably 1-4, still more preferably 1-3.
An alkoxycarbonyl group, an alkylcarbonyl group and an alkylcarbonyloxy group represent groups in which a carbonyl group or a carbonyloxy group is bonded to the above alkyl group or alkoxy group.
The alkoxycarbonyl group includes alkoxycarbonyl groups having 2 to 17 carbon atoms, such as methoxycarbonyl, ethoxycarbonyl and butoxycarbonyl groups. The alkylcarbonyl group includes alkylcarbonyl groups having 2 to 18 carbon atoms, such as acetyl group, propionyl group and butyryl group. The alkylcarbonyloxy group includes alkylcarbonyloxy groups having 2 to 17 carbon atoms, such as acetyloxy, propionyloxy and butyryloxy groups. The alkoxycarbonyl group preferably has 2 to 11 carbon atoms, more preferably 2 to 6 carbon atoms, still more preferably 2 to 4 carbon atoms, and still more preferably 2 or 3 carbon atoms. The alkylcarbonyl group preferably has 2 to 12 carbon atoms, more preferably 2 to 6 carbon atoms, still more preferably 2 to 4 carbon atoms, and still more preferably 2 or 3 carbon atoms. The alkylcarbonyloxy group preferably has 2 to 11 carbon atoms, more preferably 2 to 6 carbon atoms, still more preferably 2 to 4 carbon atoms, and still more preferably 2 or 3 carbon atoms.
The alkylsulfonyl group includes alkylsulfonyl groups having 1 to 17 carbon atoms, such as methylsulfonyl, ethylsulfonyl, propylsulfonyl, butylsulfonyl, pentylsulfonyl, hexylsulfonyl, octylsulfonyl, 2 -ethylhexylsulfonyl group, nonylsulfonyl group, decylsulfonyl group, undecylsulfonyl group and the like. The number of carbon atoms in the alkylsulfonyl group is preferably 1-11, more preferably 1-6, even more preferably 1-4, still more preferably 1-3.
The alkanediyloxy group includes alkanediyloxy groups having 1 to 17 carbon atoms, such as methyleneoxy, ethyleneoxy, propanediyloxy, butanediyloxy, and pentanediyloxy groups. The alkanediyloxy group preferably has 1 to 11 carbon atoms, more preferably 1 to 6 carbon atoms, still more preferably 1 to 4 carbon atoms, and still more preferably 1 to 3 carbon atoms.
The alkanediyloxycarbonyl group includes an alkanediyloxycarbonyl group having 2 to 17 carbon atoms, such as a methyleneoxycarbonyl group, an ethyleneoxycarbonyl group, a propanediyloxycarbonyl group, a butanediyloxycarbonyl group, and the like. . The alkanediylcarbonyl group includes alkanediylcarbonyl groups having 2 to 18 carbon atoms, such as methylenecarbonyl, ethylenecarbonyl, propanediylcarbonyl, butanediylcarbonyl and pentanediylcarbonyl groups. The alkanediylcarbonyloxy group includes an alkanediylcarbonyloxy group having 2 to 17 carbon atoms, such as a methylenecarbonyloxy group, an ethylenecarbonyloxy group, a propanediylcarbonyloxy group, a butanediylcarbonyloxy group, and the like. . The alkanediyloxycarbonyl group preferably has 2 to 11 carbon atoms, more preferably 2 to 6 carbon atoms, still more preferably 2 to 4 carbon atoms, and still more preferably 2 or 3 carbon atoms. The alkanediylcarbonyl group preferably has 2 to 12 carbon atoms, more preferably 2 to 6 carbon atoms, still more preferably 2 to 4 carbon atoms, and still more preferably 2 or 3 carbon atoms. The alkanediylcarbonyloxy group preferably has 2 to 11 carbon atoms, more preferably 2 to 6 carbon atoms, still more preferably 2 to 4 carbon atoms, and still more preferably 2 or 3 carbon atoms.
The alkanediylthio group includes alkanediylthio groups having 1 to 17 carbon atoms, such as methylenethio, ethylenethio and propylenethio groups. The alkanediylthio group preferably has 1 to 11 carbon atoms, more preferably 1 to 6 carbon atoms, still more preferably 1 to 4 carbon atoms, and still more preferably 1 to 3 carbon atoms.
The alkanediylsulfonyl group includes an alkanediylsulfonyl group having 1 to 17 carbon atoms, such as a methylenesulfonyl group, an ethylenesulfonyl group, a propylenesulfonyl group and the like. The alkanediylsulfonyl group preferably has 1 to 11 carbon atoms, more preferably 1 to 6 carbon atoms, still more preferably 1 to 4 carbon atoms, and still more preferably 1 to 3 carbon atoms.
The cycloalkoxy group includes a cycloalkoxy group having 3 to 17 carbon atoms, such as a cyclohexyloxy group. The cycloalkylalkoxy group includes a cycloalkylalkoxy group having 4 to 17 carbon atoms, such as a cyclohexylmethoxy group. The alkoxycarbonyloxy group includes an alkoxycarbonyloxy group having 2 to 16 carbon atoms, such as a butoxycarbonyloxy group. The aromatic hydrocarbon group-carbonyloxy group includes an aromatic hydrocarbon group-carbonyloxy group having 7 to 17 carbon atoms, such as a benzoyloxy group. The aromatic hydrocarbon group-carbonyl group includes an aromatic hydrocarbon group-carbonyl group having 7 to 17 carbon atoms, such as a benzoyl group. The aromatic hydrocarbon group-oxy group includes an aromatic hydrocarbon group-oxy group having 6 to 16 carbon atoms, such as a phenyloxy group.
The haloalkoxy group, haloalkoxycarbonyl group, haloalkylcarbonyl group and haloalkylcarbonyloxy group include a haloalkoxy group having 1 to 11 carbon atoms, a haloalkoxycarbonyl group having 2 to 11 carbon atoms and a haloalkylcarbonyl group having 2 to 12 carbon atoms. , and haloalkylcarbonyloxy groups having 2 to 11 carbon atoms, such as groups in which one or more hydrogen atoms in the above-exemplified groups are replaced with halogen atoms.
In addition, the group in which —CH2 — contained in the alicyclic hydrocarbon group is replaced with —O—, —S—, —CO— or —SO2 — includes groups represented below. . -O- or -CO- in the groups represented below may be replaced with -S- or -SO2 -. The binding site can be at any position.
Figure 2023016037000021
When —CH2 — contained in a haloalkyl group or a hydrocarbon group is replaced with —O—, —S—, —CO— or —SO2 —, the total number of carbon atoms in the hydrocarbon group before replacement is number. Moreover, the number may be one, or two or more.
Examples of substituents which the hydrocarbon groups of R4 , R5 , R6 , R7 , R8 and R9 may have include halogen atoms, cyano groups, alkyl groups having 1 to 12 carbon atoms (the alkyl —CH2 — contained in the group may be replaced with —O— or —CO—.
Halogen atoms include the same groups as those described above.
Examples of the alkyl group having 1 to 12 carbon atoms include the same groups as those described above.
When —CH2 — contained in an alkyl group as a substituent is replaced with —O— or —CO—, the number of carbon atoms before the replacement is taken as the total number of carbon atoms in the alkyl group. Substituted groups include hydroxy groups, carboxy groups, alkoxy groups, alkoxycarbonyl groups, alkylcarbonyl groups, alkylcarbonyloxy groups, and the like.
The alkoxy group, alkoxycarbonyl group, alkylcarbonyl group and alkylcarbonyloxy group include an alkoxy group having 1 to 11 carbon atoms, an alkoxycarbonyl group having 2 to 11 carbon atoms, an alkylcarbonyl group having 2 to 12 carbon atoms and an alkylcarbonyl group having 2 carbon atoms. to 11 alkylcarbonyloxy groups, including the same groups as those described above.
The hydrocarbon group may have one substituent or multiple substituents.

、A及びAの炭化水素基としては、直鎖状又は分岐状の鎖式炭化水素基(例えば、アルカンジイル基等)、単環式又は多環式の脂環式炭化水素基、芳香族炭化水素基が挙げられ、これらの基のうち2種以上を組み合わせたものでもよい。炭化水素基の炭素数は、好ましくは2~19であり、より好ましくは2~18であり、さらに好ましくは2~16であり、より一層好ましくは2~14であり、さらに一層好ましくは2~12である。
鎖式炭化水素基としては、メチレン基、エチレン基、プロパン-1,3-ジイル基、ブタン-1,4-ジイル基、ペンタン-1,5-ジイル基、ヘキサン-1,6-ジイル基、ヘプタン-1,7-ジイル基、オクタン-1,8-ジイル基、ノナン-1,9-ジイル基、デカン-1,10-ジイル基、ウンデカン-1,11-ジイル基、ドデカン-1,12-ジイル基、トリデカン-1,13-ジイル基、テトラデカン-1,14-ジイル基、ペンタデカン-1,15-ジイル基、ヘキサデカン-1,16-ジイル基及びヘプタデカン-1,17-ジイル基等の直鎖状アルカンジイル基及び
エタン-1,1-ジイル基、プロパン-1,1-ジイル基、プロパン-1,2-ジイル基、プロパン-2,2-ジイル基、ペンタン-2,4-ジイル基、2-メチルプロパン-1,3-ジイル基、2-メチルプロパン-1,2-ジイル基、ペンタン-1,4-ジイル基、2-メチルブタン-1,4-ジイル基等の分岐状アルカンジイル基が挙げられる。
鎖式炭化水素基の炭素数は、好ましくは2~18であり、より好ましくは2~12であり、さらに好ましくは2~9であり、より一層好ましくは2~6であり、さらに一層好ましくは2~4であり、さらにより好ましくは2又は3である。
脂環式炭化水素基としては、単環式又は多環式のいずれでもよく、以下に表される基等が挙げられる。結合部位は任意の位置とすることができる。

Figure 2023016037000022
具体的には、シクロブタン-1,3-ジイル基、シクロペンタン-1,3-ジイル基、シクロヘキサン-1,4-ジイル基、シクロオクタン-1,5-ジイル基等の単環式シクロアルカンジイル基である単環式の脂環式炭化水素基及び
ノルボルナン-1,4-ジイル基、ノルボルナン-2,5-ジイル基、アダマンタン-1,5-ジイル基、アダマンタン-2,6-ジイル基等の多環式シクロアルカンジイル基である多環式の脂環式炭化水素基が挙げられる。
脂環式炭化水素基の炭素数は、好ましくは3~18であり、より好ましくは3~16であり、さらに好ましくは3~12であり、さらにより好ましくは3~10である。
芳香族炭化水素基としては、フェニレン基、ナフチレン基、アントリレン基、ビフェニレン基、フェナントリレン基等のアリーレン基等の芳香族炭化水素基が挙げられる。芳香族炭化水素基の炭素数は、好ましくは6~18であり、より好ましくは6~14であり、さらに好ましくは6~10である。
組み合わせることにより形成される基としては、脂環式炭化水素基とアルカンジイル基とを組み合わせた基、芳香族炭化水素基とアルカンジイル基とを組み合わせた基及び脂環式炭化水素基と芳香族炭化水素基とを組み合わせた基が挙げられる。ここで、脂環式炭化水素基及び/又は芳香族炭化水素基との組み合わせにおけるアルカンジイル基は、メチレン基を含んでいてもよい。組み合わせにおいて、鎖式炭化水素基、脂環式炭化水素基、芳香族炭化水素基は、それぞれ2種以上を組み合わせてもよい。また、いずれの基がR、R又はRが結合するベンゼン環に結合していてもよい。
脂環式炭化水素基とアルカンジイル基とを組み合わせた基としては、例えば、-2価の脂環式炭化水素基-アルカンジイル基-、-アルカンジイル基-2価の脂環式炭化水素基-アルカンジイル基-、-アルカンジイル基-2価の脂環式炭化水素基-等が挙げられる。
芳香族炭化水素基とアルカンジイル基とを組み合わせた基としては、例えば、-2価の芳香族炭化水素基-アルカンジイル基-、-アルカンジイル基-2価の芳香族炭化水素基-アルカンジイル基-、-アルカンジイル基-2価の芳香族炭化水素基-等が挙げられる。
脂環式炭化水素基と芳香族炭化水素基とを組み合わせた基としては、-芳香族炭化水素基-脂環式炭化水素基-、-脂環式炭化水素基-芳香族炭化水素基-、-脂環式炭化水素基-芳香族炭化水素基-脂環式炭化水素基-等が挙げられる。Hydrocarbon groups for A1 , A2 and A3 include linear or branched chain hydrocarbon groups (e.g., alkanediyl groups, etc.), monocyclic or polycyclic alicyclic hydrocarbon groups. , and aromatic hydrocarbon groups, and combinations of two or more of these groups may also be used. The number of carbon atoms in the hydrocarbon group is preferably 2 to 19, more preferably 2 to 18, still more preferably 2 to 16, still more preferably 2 to 14, still more preferably 2 to 12.
Chain hydrocarbon groups include methylene group, ethylene group, propane-1,3-diyl group, butane-1,4-diyl group, pentane-1,5-diyl group, hexane-1,6-diyl group, heptane-1,7-diyl group, octane-1,8-diyl group, nonane-1,9-diyl group, decane-1,10-diyl group, undecane-1,11-diyl group, dodecane-1,12 -diyl group, tridecane-1,13-diyl group, tetradecane-1,14-diyl group, pentadecane-1,15-diyl group, hexadecane-1,16-diyl group and heptadecane-1,17-diyl group Linear alkanediyl group and ethane-1,1-diyl group, propane-1,1-diyl group, propane-1,2-diyl group, propane-2,2-diyl group, pentane-2,4-diyl group branched alkanes such as groups, 2-methylpropane-1,3-diyl groups, 2-methylpropane-1,2-diyl groups, pentane-1,4-diyl groups, and 2-methylbutane-1,4-diyl groups A diyl group is mentioned.
The chain hydrocarbon group preferably has 2 to 18 carbon atoms, more preferably 2 to 12 carbon atoms, still more preferably 2 to 9 carbon atoms, still more preferably 2 to 6 carbon atoms, and still more preferably 2 to 4, and more preferably 2 or 3.
The alicyclic hydrocarbon group may be either monocyclic or polycyclic, and includes the groups shown below. The binding site can be at any position.
Figure 2023016037000022
Specifically, monocyclic cycloalkanediyl groups such as cyclobutane-1,3-diyl group, cyclopentane-1,3-diyl group, cyclohexane-1,4-diyl group and cyclooctane-1,5-diyl group monocyclic alicyclic hydrocarbon groups and norbornane-1,4-diyl groups, norbornane-2,5-diyl groups, adamantane-1,5-diyl groups, adamantane-2,6-diyl groups, etc. and a polycyclic alicyclic hydrocarbon group which is a polycyclic cycloalkanediyl group.
The number of carbon atoms in the alicyclic hydrocarbon group is preferably 3-18, more preferably 3-16, even more preferably 3-12, still more preferably 3-10.
Examples of aromatic hydrocarbon groups include aromatic hydrocarbon groups such as phenylene groups, naphthylene groups, anthrylene groups, biphenylene groups, and arylene groups such as phenanthrylene groups. The number of carbon atoms in the aromatic hydrocarbon group is preferably 6-18, more preferably 6-14, still more preferably 6-10.
Groups formed by combining include a group formed by combining an alicyclic hydrocarbon group and an alkanediyl group, a group formed by combining an aromatic hydrocarbon group and an alkanediyl group, and a group formed by combining an alicyclic hydrocarbon group and an aromatic A group combined with a hydrocarbon group can be mentioned. Here, the alkanediyl group in combination with the alicyclic hydrocarbon group and/or the aromatic hydrocarbon group may contain a methylene group. Combination WHEREIN: A chain|strand hydrocarbon group, an alicyclic hydrocarbon group, and an aromatic hydrocarbon group may each combine 2 or more types. Also, any group may be bonded to the benzene ring to which R1 , R2 or R3 is bonded.
Groups in which an alicyclic hydrocarbon group and an alkanediyl group are combined include, for example, -divalent alicyclic hydrocarbon group-alkanediyl group-, -alkanediyl group-bivalent alicyclic hydrocarbon group -alkanediyl group-, -alkanediyl group-divalent alicyclic hydrocarbon group- and the like.
Groups in which an aromatic hydrocarbon group and an alkanediyl group are combined include, for example, -divalent aromatic hydrocarbon group-alkanediyl group-, -alkanediyl group-divalent aromatic hydrocarbon group-alkanediyl group-, -alkanediyl group-divalent aromatic hydrocarbon group- and the like.
Groups in which an alicyclic hydrocarbon group and an aromatic hydrocarbon group are combined include -aromatic hydrocarbon group-alicyclic hydrocarbon group-, -alicyclic hydrocarbon group-aromatic hydrocarbon group-, - alicyclic hydrocarbon group - aromatic hydrocarbon group - alicyclic hydrocarbon group - and the like.

炭化水素基に含まれる-CH2-が、-O-、-CO-、-S-又は-SO-に置き換わっている場合、置き換わる前の炭素数を該炭化水素基の総炭素数とする。また、その数は、1つでもよいし、2以上でもよい。
炭化水素基に含まれる-CH2-が、-O-、-CO-、-S-又は-SO-に置き換わった基としては、ヒドロキシ基(メチル基中に含まれる-CH2-が、-O-に置き換わった基)、カルボキシ基(エチル基中に含まれる-CH2-CH2-が、-O-CO-に置き換わった基)、チオール基(メチル基中に含まれる-CH2-が、-S-に置き換わった基)、アルコキシ基(アルキル基中に含まれる任意の位置の-CH2-が、-O-に置き換わった基)、アルコキシカルボニル基(アルキル基中に含まれる任意の位置の-CH2-CH2-が、-O-CO-に置き換わった基)、アルキルカルボニル基(アルキル基中に含まれる任意の位置の-CH2-が、-CO-に置き換わった基)、アルキルカルボニルオキシ基(アルキル基中に含まれる任意の位置の-CH2-CH2-が、-CO-O-に置き換わった基)、アルキルチオ基(アルキル基中に含まれる任意の位置の-CH2-が、-S-に置き換わった基)、アルキルスルホニル基(アルキル基中に含まれる任意の位置の-CH2-が、-SO-に置き換わった基)、オキシ基(メチレン基中に含まれる-CH2-が、-O-に置き換わった基)、カルボニル基(メチレン基中に含まれる-CH2-が、-CO-に置き換わった基)、チオ基(メチレン基中に含まれる-CH2-が、-S-に置き換わった基)、スルホニル基(メチレン基中に含まれる-CH2-が、-SO-に置き換わった基)、アルカンジイルオキシ基(アルカンジイル基中に含まれる任意の位置の-CH2-が、-O-に置き換わった基)、アルカンジイルオキシカルボニル基(アルカンジイル基中に含まれる任意の位置の-CH2-CH2-が、-O-CO-に置き換わった基)、アルカンジイルカルボニル基(アルカンジイル基中に含まれる任意の位置の-CH2-が、-CO-に置き換わった基)、アルカンジイルカルボニルオキシ基(アルカンジイル基中に含まれる任意の位置の-CH2-CH2-が、-CO-O-に置き換わった基)、アルカンジイルスルホニル基(アルカンジイル基中に含まれる任意の位置の-CH2-が、-SO-に置き換わった基)、アルカンジイルチオ基(アルカンジイル基中に含まれる任意の位置の-CH2-が、-S-に置き換わった基)、シクロアルコキシ基、シクロアルキルアルコキシ基、アルコキシカルボニルオキシ基、芳香族炭化水素基-カルボニルオキシ基、芳香族炭化水素基-カルボニル基、芳香族炭化水素基-オキシ基、これらの基のうち2種以上を組み合わせた基等が挙げられる。
アルコキシ基としては、炭素数1~17のアルコキシ基が挙げられ、例えば、メトキシ基、エトキシ基、プロポキシ基、ブトキシ基、ペンチルオキシ基、ヘキシルオキシ基、オクチルオキシ基、2-エチルヘキシルオキシ基、ノニルオキシ基、デシルオキシ基、ウンデシルオキシ基等が挙げられる。アルコキシ基の炭素数は、好ましくは1~11であり、より好ましくは1~6であり、さらに好ましくは1~4であり、さらにより好ましくは1~3である。
アルコキシカルボニル基、アルキルカルボニル基及びアルキルカルボニルオキシ基は、上述したアルキル基又はアルコキシ基にカルボニル基又はカルボニルオキシ基が結合した基を表す。
アルコキシカルボニル基としては、炭素数2~17のアルコキシカルボニル基が挙げられ、例えば、メトキシカルボニル基、エトキシカルボニル基、ブトキシカルボニル基等が挙げられる。アルキルカルボニル基としては、炭素数2~18のアルキルカルボニル基が挙げられ、例えば、アセチル基、プロピオニル基及びブチリル基等が挙げられる。アルキルカルボニルオキシ基としては、炭素数2~17のアルキルカルボニルオキシ基が挙げられ、例えば、アセチルオキシ基、プロピオニルオキシ基、ブチリルオキシ基等が挙げられる。アルコキシカルボニル基の炭素数は、好ましくは2~11であり、より好ましくは2~6であり、さらに好ましくは2~4であり、さらにより好ましくは2又は3である。アルキルカルボニル基の炭素数は、好ましくは2~12であり、より好ましくは2~6であり、さらに好ましくは2~4であり、さらにより好ましくは2又は3である。アルキルカルボニルオキシ基の炭素数は、好ましくは2~11であり、より好ましくは2~6であり、さらに好ましくは2~4であり、さらにより好ましくは2又は3である。
アルキルチオ基としては、炭素数1~17のアルキルチオ基が挙げられ、例えば、メチルチオ基、エチルチオ基、プロピルチオ基、ブチルチオ基、ペンチルチオ基、ヘキシルチオ基、オクチルチオ基、2-エチルヘキシルチオ基、ノニルチオ基、デシルチオ基、ウンデシルチオ基等が挙げられる。アルキルチオ基の炭素数は、好ましくは1~11であり、より好ましくは1~6であり、さらに好ましくは1~4であり、さらにより好ましくは1~3である。
アルキルスルホニル基としては、炭素数1~17のアルキルスルホニル基が挙げられ、例えば、メチルスルホニル基、エチルスルホニル基、プロピルスルホニル基、ブチルスルホニル基、ペンチルスルホニル基、ヘキシルスルホニル基、オクチルスルホニル基、2-エチルヘキシルスルホニル基、ノニルスルホニル基、デシルスルホニル基、ウンデシルスルホニル基等が挙げられる。アルキルスルホニル基の炭素数は、好ましくは1~11であり、より好ましくは1~6であり、さらに好ましくは1~4であり、さらにより好ましくは1~3である。
アルカンジイルオキシ基としては、炭素数1~17のアルカンジイルオキシ基が挙げられ、例えば、メチレンオキシ基、エチレンオキシ基、プロパンジイルオキシ基、ブタンジイルオキシ基、ペンタンジイルオキシ基等が挙げられる。アルカンジイルオキシ基の炭素数は、好ましくは1~11であり、より好ましくは1~6であり、さらに好ましくは1~4であり、さらにより好ましくは1~3である。
アルカンジイルオキシカルボニル基としては、炭素数2~17のアルカンジイルオキシカルボニル基が挙げられ、例えば、メチレンオキシカルボニル基、エチレンオキシカルボニル基、プロパンジイルオキシカルボニル基、ブタンジイルオキシカルボニル基等が挙げられる。アルカンジイルカルボニル基としては、炭素数2~18のアルカンジイルカルボニル基が挙げられ、例えば、メチレンカルボニル基、エチレンカルボニル基、プロパンジイルカルボニル基、ブタンジイルカルボニル基、ペンタンジイルカルボニル基等が挙げられる。アルカンジイルカルボニルオキシ基としては、炭素数2~17のアルカンジイルカルボニルオキシ基が挙げられ、例えば、メチレンカルボニルオキシ基、エチレンカルボニルオキシ基、プロパンジイルカルボニルオキシ基、ブタンジイルカルボニルオキシ基等が挙げられる。アルカンジイルオキシカルボニル基の炭素数は、好ましくは2~11であり、より好ましくは2~6であり、さらに好ましくは2~4であり、さらにより好ましくは2又は3である。アルカンジイルカルボニル基の炭素数は、好ましくは2~12であり、より好ましくは2~6であり、さらに好ましくは2~4であり、さらにより好ましくは2又は3である。アルカンジイルカルボニルオキシ基の炭素数は、好ましくは2~11であり、より好ましくは2~6であり、さらに好ましくは2~4であり、さらにより好ましくは2又は3である。
アルカンジイルスルホニル基としては、炭素数1~17のアルカンジイルスルホニル基が挙げられ、例えば、メチレンスルホニル基、エチレンスルホニル基、プロピレンスルホニル基等が挙げられる。アルカンジイルスルホニル基の炭素数は、好ましくは1~11であり、より好ましくは1~6であり、さらに好ましくは1~4であり、さらにより好ましくは1~3である。
アルカンジイルチオ基としては、炭素数1~17のアルカンジイルチオ基が挙げられ、例えば、メチレンチオ基、エチレンチオ基、プロピレンチオ基等が挙げられる。アルカンジイルチオ基の炭素数は、好ましくは1~11であり、より好ましくは1~6であり、さらに好ましくは1~4であり、さらにより好ましくは1~3である。
シクロアルコキシ基としては、炭素数3~17のシクロアルコキシ基が挙げられ、例えば、シクロヘキシルオキシ基等が挙げられる。シクロアルキルアルコキシ基としては、炭素数4~17のシクロアルキルアルコキシ基が挙げられ、例えば、シクロヘキシルメトキシ基等が挙げられる。アルコキシカルボニルオキシ基としては、炭素数2~16のアルコキシカルボニルオキシ基が挙げられ、例えば、ブトキシカルボニルオキシ基等が挙げられる。芳香族炭化水素基-カルボニルオキシ基としては、炭素数7~17の芳香族炭化水素基-カルボニルオキシ基が挙げられ、例えば、ベンゾイルオキシ基等が挙げられる。芳香族炭化水素基-カルボニル基としては、炭素数7~17の芳香族炭化水素基-カルボニル基が挙げられ、例えば、ベンゾイル基等が挙げられる。芳香族炭化水素基-オキシ基としては、炭素数6~16の芳香族炭化水素基-オキシ基が挙げられ、例えば、フェニルオキシ基等が挙げられる。
When —CH2 — contained in a hydrocarbon group is replaced with —O—, —CO—, —S— or —SO2 —, the number of carbon atoms before replacement is taken as the total number of carbon atoms in the hydrocarbon group. . Moreover, the number may be one, or two or more.
The group in which -CH2 - contained in the hydrocarbon group is replaced by -O-, -CO-, -S- or -SO2 - includes a hydroxy group (-CH2 - contained in the methyl group, -O-), carboxy group (group in which -CH2 -CH2 - contained in the ethyl group is replaced by -O-CO-), thiol group (-CH2 contained in the methyl group - is replaced with -S-), alkoxy group (group in which any position of -CH2 - contained in the alkyl group is replaced with -O-), alkoxycarbonyl group (contained in the alkyl group A group in which —CH2 —CH2 — at any position is replaced with —O—CO—), an alkylcarbonyl group (a group in which —CH2 — at any position in an alkyl group is replaced with —CO— group), alkylcarbonyloxy group (group in which —CH2 —CH2 — at any position in the alkyl group is replaced with —CO—O-), alkylthio group (any position in the alkyl group -CH2 - is replaced with -S-), alkylsulfonyl group (group in which any position of -CH2 - contained in an alkyl group is replaced with -SO2 -), oxy group (methylene -CH2 - contained in the group is replaced with -O-), carbonyl group (group in which the -CH2 - contained in the methylene group is replaced by -CO-), thio group (in the methylene group -CH2 - contained in is replaced by -S-), sulfonyl group (group in which -CH2 - contained in the methylene group is replaced by -SO2 -), alkanediyloxy group (alkanediyl a group in which —CH2 — at any position contained in the group is replaced with —O—), alkanediyloxycarbonyl group (where —CH2 —CH2 — at any position contained in the alkanediyl group —O—CO—), alkanediylcarbonyl group (group in which —CH2 — at any position in the alkanediyl group is replaced with —CO—), alkanediylcarbonyloxy group (alkanediyl a group in which —CH2 —CH2 — at any position contained in the group is replaced with —CO—O—), alkanediylsulfonyl group (where —CH2 — at any position contained in the alkanediyl group , a group substituted for —SO2 —), an alkanediylthio group (a —CH2- is a group substituted with -S-), cycloalkoxy group, cycloalkylalkoxy group, alkoxycarbonyloxy group, aromatic hydrocarbon group-carbonyloxy group, aromatic hydrocarbon group-carbonyl group, aromatic hydrocarbon A group-oxy group, a group obtained by combining two or more of these groups, and the like can be mentioned.
The alkoxy group includes alkoxy groups having 1 to 17 carbon atoms, such as methoxy, ethoxy, propoxy, butoxy, pentyloxy, hexyloxy, octyloxy, 2-ethylhexyloxy, nonyloxy. group, decyloxy group, undecyloxy group, and the like. The alkoxy group preferably has 1 to 11 carbon atoms, more preferably 1 to 6 carbon atoms, still more preferably 1 to 4 carbon atoms, and still more preferably 1 to 3 carbon atoms.
An alkoxycarbonyl group, an alkylcarbonyl group and an alkylcarbonyloxy group represent groups in which a carbonyl group or a carbonyloxy group is bonded to the above alkyl group or alkoxy group.
The alkoxycarbonyl group includes alkoxycarbonyl groups having 2 to 17 carbon atoms, such as methoxycarbonyl, ethoxycarbonyl and butoxycarbonyl groups. The alkylcarbonyl group includes alkylcarbonyl groups having 2 to 18 carbon atoms, such as acetyl group, propionyl group and butyryl group. The alkylcarbonyloxy group includes alkylcarbonyloxy groups having 2 to 17 carbon atoms, such as acetyloxy, propionyloxy and butyryloxy groups. The alkoxycarbonyl group preferably has 2 to 11 carbon atoms, more preferably 2 to 6 carbon atoms, still more preferably 2 to 4 carbon atoms, and still more preferably 2 or 3 carbon atoms. The alkylcarbonyl group preferably has 2 to 12 carbon atoms, more preferably 2 to 6 carbon atoms, still more preferably 2 to 4 carbon atoms, and still more preferably 2 or 3 carbon atoms. The alkylcarbonyloxy group preferably has 2 to 11 carbon atoms, more preferably 2 to 6 carbon atoms, still more preferably 2 to 4 carbon atoms, and still more preferably 2 or 3 carbon atoms.
The alkylthio group includes alkylthio groups having 1 to 17 carbon atoms, such as methylthio, ethylthio, propylthio, butylthio, pentylthio, hexylthio, octylthio, 2-ethylhexylthio, nonylthio, decylthio. group, undecylthio group, and the like. The number of carbon atoms in the alkylthio group is preferably 1-11, more preferably 1-6, even more preferably 1-4, still more preferably 1-3.
The alkylsulfonyl group includes alkylsulfonyl groups having 1 to 17 carbon atoms, such as methylsulfonyl, ethylsulfonyl, propylsulfonyl, butylsulfonyl, pentylsulfonyl, hexylsulfonyl, octylsulfonyl, 2 -ethylhexylsulfonyl group, nonylsulfonyl group, decylsulfonyl group, undecylsulfonyl group and the like. The number of carbon atoms in the alkylsulfonyl group is preferably 1-11, more preferably 1-6, even more preferably 1-4, still more preferably 1-3.
The alkanediyloxy group includes alkanediyloxy groups having 1 to 17 carbon atoms, such as methyleneoxy, ethyleneoxy, propanediyloxy, butanediyloxy, and pentanediyloxy groups. The alkanediyloxy group preferably has 1 to 11 carbon atoms, more preferably 1 to 6 carbon atoms, still more preferably 1 to 4 carbon atoms, and still more preferably 1 to 3 carbon atoms.
The alkanediyloxycarbonyl group includes an alkanediyloxycarbonyl group having 2 to 17 carbon atoms, such as a methyleneoxycarbonyl group, an ethyleneoxycarbonyl group, a propanediyloxycarbonyl group, a butanediyloxycarbonyl group, and the like. . The alkanediylcarbonyl group includes alkanediylcarbonyl groups having 2 to 18 carbon atoms, such as methylenecarbonyl, ethylenecarbonyl, propanediylcarbonyl, butanediylcarbonyl and pentanediylcarbonyl groups. The alkanediylcarbonyloxy group includes an alkanediylcarbonyloxy group having 2 to 17 carbon atoms, such as a methylenecarbonyloxy group, an ethylenecarbonyloxy group, a propanediylcarbonyloxy group, a butanediylcarbonyloxy group, and the like. . The alkanediyloxycarbonyl group preferably has 2 to 11 carbon atoms, more preferably 2 to 6 carbon atoms, still more preferably 2 to 4 carbon atoms, and still more preferably 2 or 3 carbon atoms. The alkanediylcarbonyl group preferably has 2 to 12 carbon atoms, more preferably 2 to 6 carbon atoms, still more preferably 2 to 4 carbon atoms, and still more preferably 2 or 3 carbon atoms. The alkanediylcarbonyloxy group preferably has 2 to 11 carbon atoms, more preferably 2 to 6 carbon atoms, still more preferably 2 to 4 carbon atoms, and still more preferably 2 or 3 carbon atoms.
The alkanediylsulfonyl group includes an alkanediylsulfonyl group having 1 to 17 carbon atoms, such as a methylenesulfonyl group, an ethylenesulfonyl group, a propylenesulfonyl group and the like. The alkanediylsulfonyl group preferably has 1 to 11 carbon atoms, more preferably 1 to 6 carbon atoms, still more preferably 1 to 4 carbon atoms, and still more preferably 1 to 3 carbon atoms.
The alkanediylthio group includes alkanediylthio groups having 1 to 17 carbon atoms, such as methylenethio, ethylenethio and propylenethio groups. The alkanediylthio group preferably has 1 to 11 carbon atoms, more preferably 1 to 6 carbon atoms, still more preferably 1 to 4 carbon atoms, and still more preferably 1 to 3 carbon atoms.
The cycloalkoxy group includes a cycloalkoxy group having 3 to 17 carbon atoms, such as a cyclohexyloxy group. The cycloalkylalkoxy group includes a cycloalkylalkoxy group having 4 to 17 carbon atoms, such as a cyclohexylmethoxy group. The alkoxycarbonyloxy group includes an alkoxycarbonyloxy group having 2 to 16 carbon atoms, such as a butoxycarbonyloxy group. The aromatic hydrocarbon group-carbonyloxy group includes an aromatic hydrocarbon group-carbonyloxy group having 7 to 17 carbon atoms, such as a benzoyloxy group. The aromatic hydrocarbon group-carbonyl group includes an aromatic hydrocarbon group-carbonyl group having 7 to 17 carbon atoms, such as a benzoyl group. The aromatic hydrocarbon group-oxy group includes an aromatic hydrocarbon group-oxy group having 6 to 16 carbon atoms, such as a phenyloxy group.

また、脂環式炭化水素基に含まれる-CH-が、-O-、-CO-、-S-又は-SO-で置き換わった基としては、以下に表される基等が挙げられる。以下に表される基の-O-又は-CO-は、-S-又は-SO-に置き換わってもよい。結合部位は任意の位置とすることができる。

Figure 2023016037000023
、A及びAの炭化水素基が有していてもよい置換基としては、R~Rで挙げた基と同様の基が挙げられる。In addition, the groups in which —CH2 — contained in the alicyclic hydrocarbon group is replaced with —O—, —CO—, —S— or —SO2 — include the groups represented below. . -O- or -CO- in the groups represented below may be replaced with -S- or -SO2 -. The binding site can be at any position.
Figure 2023016037000023
Examples of substituents that the hydrocarbon groups of A1 , A2 and A3 may have include the same groups as those listed for R4 to R9 .

、A及びAは、それぞれ独立に、炭素数2~20の炭化水素基(該炭化水素基は、置換基を有してもよく、該炭化水素基に含まれる-CH2-は、-O-、-CO-、-S-又は-SO-で置き換わっていてもよい。但し、該炭化水素基に含まれる-CH2-の少なくとも1つは、-O-、-CO-、-S-又は-SO-で置き換わっている。)であることが好ましい。具体的には、Aは、*-L011-X01-L012-であり、Aは、*-L021-X02-L022-であり、Aは、*-L031-X03-L032-である(X01、X02及びX03は、それぞれ独立に、-O-、-CO-、-S-又は-SO-を表す。L011、L012、L021、L022、L031及びL032は、それぞれ独立に、単結合又は炭素数1~19の炭化水素基を表し、該炭化水素基は、置換基を有してもよく、該炭化水素基に含まれる-CH2-は、-O-、-CO-、-S-又は-SO-で置き換わっていてもよい。但し、L011とL012との炭素数合計は、1~19であり、L021とL022との炭素数合計は、1~19であり、L031とL032との炭素数合計は、1~19である。*は、R、R又はRが結合するベンゼン環との結合部位を表す。)ことがより好ましく、Aは、*-X01-L01-又は*-L01-X01-であり、Aは、*-X02-L02-又は*-L02-X02-であり、Aは、*-X03-L03-又は*-L03-X03-である(X01、X02及びX03は、それぞれ独立に、-O-、-CO-、-S-又は-SO-を表す。L01、L02及びL03は、それぞれ独立に、炭素数1~19の炭化水素基を表し、該炭化水素基は、置換基を有してもよく、該炭化水素基に含まれる-CH2-は、-O-、-CO-、-S-又は-SO-で置き換わっていてもよい。*は、R、R又はRが結合するベンゼン環との結合部位を表す。)ことがさらに好ましい。
011、L012、L021、L022、L031、L032、L01、L02及びL03の炭素数1~19の炭化水素基(該炭化水素基は、置換基を有してもよく、該炭化水素基に含まれる-CH2-は、-O-、-CO-、-S-又は-SO-で置き換わっていてもよい。)としては、炭素数が1~19の範囲で、A、A及びAで挙げた基と同様の基が挙げられる。
01、X02及びX03は、それぞれ独立に、-O-又は-S-であることが好ましく、-O-であることがより好ましい。
011、L012、L021、L022、L031及びL032は、それぞれ独立に、単結合又は炭素数1~18の炭化水素基(該炭化水素基に含まれる-CH2-は、-O-、-CO-、-S-又は-SO-で置き換わっていてもよい。)であることが好ましく、単結合又は炭素数1~14の炭化水素基(該炭化水素基に含まれる-CH2-は、-O-、-CO-、-S-又は-SO-で置き換わっていてもよい。)であることがより好ましく、単結合、炭素数1~9の鎖式炭化水素基、炭素数3~12の脂環式炭化水素基又は炭素数1~4の鎖式炭化水素基と炭素数3~10の脂環式炭化水素基とを組み合わせた基(該鎖式炭化水素基及び該脂環式炭化水素基に含まれる-CH2-は、-O-、-CO-、-S-又は-SO-で置き換わっていてもよい。)であることがさらに好ましく、単結合又は炭素数1~6のアルカンジイル基(該アルカンジイル基に含まれる-CH2-は、-O-又は-CO-で置き換わっていてもよい。)であることがより一層好ましく、単結合又は炭素数1~4のアルカンジイル基(該アルカンジイル基に含まれる-CH2-は、-O-又は-CO-で置き換わっていてもよい。)であることがさらに一層好ましく、単結合又は炭素数1~3のアルカンジイル基(該アルカンジイル基に含まれる-CH2-は、-O-又は-CO-で置き換わっていてもよい。)であることがさらにより好ましい。中でも、単結合、メチレン基、エタン-1,1-ジイル基、プロパン-1,1-ジイル基、プロパン-2,2-ジイル基、カルボニル基、カルボニルオキシ基、カルボニルオキシメチレン基、エチレンオキシ基、メチレンカルボニルオキシメチレン基又はエチレンオキシカルボニル基であることが好ましく、単結合、メチレン基、エタン-1,1-ジイル基、プロパン-1,1-ジイル基、プロパン-2,2-ジイル基又はカルボニル基であることがより好ましい。但し、L011とL012との炭素数合計は、1~19であり、L021とL022との炭素数合計は、1~19であり、L031とL032との炭素数合計は、1~19である。
01、L02及びL03は、それぞれ独立に、炭素数1~18の炭化水素基(該炭化水素基に含まれる-CH2-は、-O-、-CO-、-S-又は-SO-で置き換わっていてもよい。)であることが好ましく、炭素数1~14の炭化水素基(該炭化水素基に含まれる-CH2-は、-O-、-CO-、-S-又は-SO-で置き換わっていてもよい。)であることがより好ましく、炭素数1~9の鎖式炭化水素基、炭素数3~12の脂環式炭化水素基又は炭素数1~4の鎖式炭化水素基と炭素数3~10の脂環式炭化水素基とを組み合わせた基(該鎖式炭化水素基及び該脂環式炭化水素基に含まれる-CH2-は、-O-、-CO-、-S-又は-SO-で置き換わっていてもよい。)であることがさらに好ましく、炭素数1~6のアルカンジイル基(該アルカンジイル基に含まれる-CH2-は、-O-又は-CO-で置き換わっていてもよい。)であることがより一層好ましく、炭素数1~4のアルカンジイル基(該アルカンジイル基に含まれる-CH2-は、-O-又は-CO-で置き換わっていてもよい。)であることがさらに一層好ましく、炭素数1~3のアルカンジイル基(該アルカンジイル基に含まれる-CH2-は、-O-又は-CO-で置き換わっていてもよい。)であることがさらにより好ましい。中でも、メチレン基、エタン-1,1-ジイル基、プロパン-1,1-ジイル基、プロパン-2,2-ジイル基、カルボニル基、カルボニルオキシ基、カルボニルオキシメチレン基、エチレンオキシ基、メチレンカルボニルオキシメチレン基又はエチレンオキシカルボニル基であることが好ましく、メチレン基、エタン-1,1-ジイル基、プロパン-1,1-ジイル基、プロパン-2,2-ジイル基又はカルボニル基であることがより好ましい。
A1 , A2 and A3 are each independently a hydrocarbon group having 2 to 20 carbon atoms (the hydrocarbon group may have a substituent, and the —CH2 — may be replaced with —O—, —CO—, —S— or —SO2 —, provided that at least one —CH2 — contained in the hydrocarbon group is —O—, —CO -, -S- or -SO2 -). Specifically, A1 is *-L011 -X01 -L012 -, A2 is *-L021 -X02 -L022 -, and A3 is *-L031 - X03 -L032 - (X01 , X02 and X03 each independently represent -O-, -CO-, -S- or -SO2 -. L011 , L012 , L021 , L022 , L031 and L032 each independently represent a single bond or a hydrocarbon group having 1 to 19 carbon atoms, the hydrocarbon group may have a substituent, and the hydrocarbon group -CH2 - contained may be replaced with -O-, -CO-, -S- or -SO2 - provided that the total carbon number of L011 and L012 is 1-19; , the total carbon number of L021 and L022 is 1 to 19, and the total carbon number of L031 and L032 is 1 to 19. * indicates that R1 , R2 or R3 is bonded represents the binding site with the benzene ring that binds to the benzene ring) is more preferable, A1 is *-X01 -L01 - or *-L01 -X01 -, and A2 is *-X02 -L02 - or *-L02 -X02 -, and A3 is *-X03 -L03 - or *-L03 -X03 - (X01 , X02 and X03 are each independently represents —O—, —CO—, —S— or —SO2 —, L01 , L02 and L03 each independently represent a hydrocarbon group having 1 to 19 carbon atoms, and the hydrocarbon The group may have a substituent, and —CH2 — contained in the hydrocarbon group may be replaced with —O—, —CO—, —S— or —SO2 —. , represents the binding site to the benzene ring to which R1 , R2 or R3 binds.) is more preferable.
L011 , L012 , L021 , L022 , L031 , L032 , L01 , L02 and L03 hydrocarbon groups having 1 to 19 carbon atoms (the hydrocarbon group may have a substituent --CH2 -- contained in the hydrocarbon group may be replaced with --O--, --CO--, --S-- or --SO2 --.) has 1 to 19 carbon atoms. and the same groups as those exemplified for A1 , A2 and A3 can be mentioned.
X01 , X02 and X03 are each independently preferably -O- or -S-, more preferably -O-.
L011 , L012 , L021 , L022 , L031 and L032 are each independently a single bond or a hydrocarbon group having 1 to 18 carbon atoms (-CH2 - contained in the hydrocarbon group is - O—, —CO—, —S— or —SO2 —. CH2 — may be replaced with —O—, —CO—, —S— or —SO2 —.), a single bond, a chain hydrocarbon group having 1 to 9 carbon atoms , an alicyclic hydrocarbon group having 3 to 12 carbon atoms or a group obtained by combining a chain hydrocarbon group having 1 to 4 carbon atoms and an alicyclic hydrocarbon group having 3 to 10 carbon atoms (the chain hydrocarbon group and —CH2 — contained in the alicyclic hydrocarbon group may be replaced with —O—, —CO—, —S— or —SO2 —.), and a single bond or an alkanediyl group having 1 to 6 carbon atoms (-CH2 - contained in the alkanediyl group may be replaced with -O- or -CO-), and a single bond or An alkanediyl group having 1 to 4 carbon atoms (-CH2 - contained in the alkanediyl group may be replaced with -O- or -CO-) is even more preferable, and a single bond or carbon An alkanediyl group having 1 to 3 numbers (-CH2 - contained in the alkanediyl group may be replaced with -O- or -CO-) is even more preferable. Among them, single bond, methylene group, ethane-1,1-diyl group, propane-1,1-diyl group, propane-2,2-diyl group, carbonyl group, carbonyloxy group, carbonyloxymethylene group, ethyleneoxy group , a methylenecarbonyloxymethylene group or an ethyleneoxycarbonyl group, a single bond, a methylene group, an ethane-1,1-diyl group, a propane-1,1-diyl group, a propane-2,2-diyl group or A carbonyl group is more preferred. However, the total carbon number of L011 and L012 is 1 to 19, the total carbon number of L021 and L022 is 1 to 19, and the total carbon number of L031 and L032 is 1-19.
L01 , L02 and L03 are each independently a hydrocarbon group having 1 to 18 carbon atoms (-CH2 - contained in the hydrocarbon group is -O-, -CO-, -S- or - SO2 — may be substituted), and a hydrocarbon group having 1 to 14 carbon atoms (—CH2 — contained in the hydrocarbon group includes —O—, —CO—, —S — or —SO2 —. 4 and an alicyclic hydrocarbon group having 3 to 10 carbon atoms (-CH2 - contained in the chain hydrocarbon group and the alicyclic hydrocarbon group is - O—,—CO— , —S— or —SO2 —. - may be replaced with -O- or -CO-), and is more preferably an alkanediyl group having 1 to 4 carbon atoms (-CH2 - contained in the alkanediyl group is - alkanediyl group having 1 to 3 carbon atoms (-CH2 - contained in the alkanediyl group is -O- or - may be substituted with CO—) is even more preferred. Among them, methylene group, ethane-1,1-diyl group, propane-1,1-diyl group, propane-2,2-diyl group, carbonyl group, carbonyloxy group, carbonyloxymethylene group, ethyleneoxy group, methylenecarbonyl It is preferably an oxymethylene group or an ethyleneoxycarbonyl group, and is preferably a methylene group, an ethane-1,1-diyl group, a propane-1,1-diyl group, a propane-2,2-diyl group or a carbonyl group. more preferred.

のSが結合するベンゼン環への結合位置は、Sの結合位置に対して、о位、m位、p位のいずれでもよい。なかでも、m1が1の場合、Aは、Sの結合位置に対して、p位又はm位に結合していることが好ましく、p位に結合していることがより好ましい。m1が2の場合、Aは、それぞれ独立に、Sの結合位置に対して、1つがо位又はm位に結合しており、1つがо位又はm位に結合していることが好ましく、2つがm位に結合していることがより好ましい。m1が3の場合、Aは、それぞれ独立に、Sの結合位置に対して、2つがо位又はm位に結合しており、1つがp位又はm位に結合していることが好ましく、2つがm位に結合しており、1つがp位に結合していることがより好ましい。m1が4の場合、Aは、それぞれ独立に、Sの結合位置に対して、2つがо位又はm位に結合しており、2つがp位又はm位に結合していることが好ましく、2つがо位に結合しており、2つがm位に結合していることがより好ましい。
及びAのSが結合するベンゼン環への結合位置は、それぞれ独立に、Sの結合位置に対して、о位、m位、p位のいずれでもよい。なかでも、m2及びm3が1の場合、A及びAは、それぞれ独立に、Sの結合位置に対して、p位又はm位に結合していることが好ましく、p位に結合していることがより好ましい。m2及びm3が2の場合、A及びAは、それぞれ独立に、Sの結合位置に対して、1つがо位又はm位に結合しており、1つがо位又はm位に結合していることが好ましく、2つがm位に結合していることがより好ましい。m2及びm3が3の場合、A及びAは、それぞれ独立に、Sの結合位置に対して、2つがо位又はm位に結合しており、1つがp位又はm位に結合していることが好ましく、2つがm位に結合しており、1つがp位に結合していることがより好ましい。
m1は、0、1、2、3又は4であることが好ましく、0、1、2又は3であることがより好ましく、0、1又は2であることがさらに好ましく、0又は1であることがより一層好ましく、1であることがさらに一層好ましい。
m2は、0、1、2又は3であることが好ましく、0、1又は2であることがより好ましく、0又は1であることがさらに好ましく、0であることがさらにより好ましい。
m3は、0、1、2又は3であることが好ましく、0、1又は2であることがより好ましく、0又は1であることがさらに好ましく、0であることがさらにより好ましい。
m4は、0、1、2又は3であることが好ましく、0、1又は2であることがより好ましい。
m5は、0、1、2又は3であることが好ましく、0、1又は2であることがより好ましい。
m6は、0、1、2又は3であることが好ましく、0、1又は2であることがより好ましい。
m7は、0、1、2、3又は4であることが好ましく、0、1、2又は3であることがより好ましく、0、1又は2であることがさらに好ましく、0又は1であることがさらにより好ましい。
m8は、0、1、2又は3であることが好ましく、0、1又は2であることがより好ましく、0又は1であることがさらに好ましい。
m9は、0、1、2又は3であることが好ましく、0、1又は2であることがより好ましく、0又は1であることがさらに好ましい。
なかでも、m8及びm9の少なくとも1つが1以上の整数であることが好ましく、m8及びm9の双方が1以上の整数であることがより好ましい。
、R及びRは、それぞれ独立に、ハロゲン原子、炭素数1~6のフッ化アルキル基又は炭素数1~6のアルキル基(該アルキル基に含まれる-CH2-は、-O-又は-CO-で置き換わっていてもよい。)であることが好ましく、ハロゲン原子、炭素数1~4のフッ化アルキル基又は炭素数1~4のアルキル基(該アルキル基に含まれる-CH2-は、-O-又は-CO-で置き換わっていてもよい。)であることがより好ましく、フッ素原子、ヨウ素原子、炭素数1~4のペルフルオロアルキル基又は炭素数1~4のアルキル基(該アルキル基に含まれる-CH2-は、-O-又は-CO-で置き換わっていてもよい。)であることがさらに好ましく、フッ素原子、ヨウ素原子、ヒドロキシ基、メトキシ基又はトリフルオロメチル基であることがより一層好ましい。
、R及びRのベンゼン環への結合位置は、それぞれ独立に、A、A及びAの結合位置に対して、о位、m位、p位のいずれでもよい。なかでも、m4、m5及びm6が1の場合、R、R及びRは、それぞれ独立に、A、A及びAの結合位置に対して、p位又はm位に結合していることが好ましく、m位に結合していることがより好ましい。m4、m5及びm6が2の場合、R、R及びRは、それぞれ独立に、A、A及びAの結合位置に対して、1つがо位又はm位に結合しており、1つがp位又はm位に結合していることが好ましく、2つがm位に結合していることがより好ましい。m4、m5及びm6が3の場合、R、R及びRは、それぞれ独立に、A、A及びAの結合位置に対して、2つがо位又はm位に結合しており、1つがp位又はm位に結合していることが好ましく、1つがо位に結合しており、2つがm位に結合していることがより好ましい。m4、m5及びm6が4の場合、R、R及びRは、それぞれ独立に、A、A及びAの結合位置に対して、2つがо位又はm位に結合しており、2つがp位又はm位に結合していることが好ましく、2つがо位に結合しており、2つがm位に結合していることがより好ましい。
、R及びRは、それぞれ独立に、ハロゲン原子、炭素数1~6のフッ化アルキル基又は炭素数1~6のアルキル基(該アルキル基に含まれる-CH2-は、-O-又は-CO-で置き換わっていてもよい。)であることが好ましく、ハロゲン原子、炭素数1~4のフッ化アルキル基又は炭素数1~4のアルキル基(該アルキル基に含まれる-CH2-は、-O-又は-CO-で置き換わっていてもよい。)であることがより好ましく、フッ素原子、ヨウ素原子、炭素数1~4のペルフルオロアルキル基又は炭素数1~4のアルキル基(該アルキル基に含まれる-CH2-は、-O-又は-CO-で置き換わっていてもよい。)であることがさらに好ましく、フッ素原子、ヨウ素原子、トリフルオロメチル基、ヒドロキシ基、メトキシ基、メチル基又はt-ブチル基であることがより一層好ましい。
のベンゼン環への結合位置は、Sの結合位置に対して、о位、m位、p位のいずれでもよい。なかでも、m7が1の場合、Rは、Sの結合位置に対して、p位又はm位に結合していることが好ましく、p位に結合していることがより好ましい。m7が2の場合、Rは、それぞれ独立に、Sの結合位置に対して、1つがо位又はm位に結合しており、1つがp位又はm位に結合していることが好ましく、1つがm位に結合しており、1つがp位又はm位に結合していることがより好ましい。m7が3の場合、Rは、それぞれ独立に、Sの結合位置に対して、2つがо位又はm位に結合しており、1つがp位又はm位に結合していることが好ましく、2つがm位に結合しており、1つがp位に結合していることがより好ましい。m7が4の場合、Rは、それぞれ独立に、Sの結合位置に対して、2つがо位又はm位に結合しており、2つがp位又はm位に結合していることが好ましく、2つがm位に結合しており、1つがо位に結合しており、1つがp位に結合していることがより好ましい。
及びRのベンゼン環への結合位置は、それぞれ独立に、Sの結合位置に対して、о位、m位、p位のいずれでもよい。なかでも、m8及びm9が1の場合、R及びRは、それぞれ独立に、Sの結合位置に対して、p位又はm位に結合していることが好ましく、p位に結合していることがより好ましい。m8及びm9が2の場合、R及びRは、それぞれ独立に、Sの結合位置に対して、1つがо位又はm位に結合しており、1つがp位又はm位に結合していることが好ましく、1つがm位に結合しており、1つがp位又はm位に結合していることがより好ましい。m8及びm9が3の場合、R及びRは、それぞれ独立に、Sの結合位置に対して、2つがо位又はm位に結合しており、1つがp位又はm位に結合していることが好ましく、2つがm位に結合しており、1つがp位に結合していることがより好ましい。
は、単結合、-CH2-、-O-、-S-が好ましく、単結合、-O-がより好ましく、単結合がさらに好ましい。
The binding position of A1 to the benzene ring to which S+ binds may be any of the o-position, m-position, and p-position with respect to the binding position of S+ . Among them, when m1 is 1, A1 is preferably bound at the p-position or m-position relative to the binding position of S+ , and more preferably at the p-position. When m1 is 2, it is confirmed thatone A1 is independently bound at the o-position or m-position and one is bound at the o-position or m-position with respect to the binding position of S+ . Preferably, two are bonded at the m-position, more preferably. When m1 is 3, two of A1 are independently bound at the o- or m-position andone is bound at the p- or m-position with respect to the binding position of S+ . Preferably, two are bound at the m-position and one is more preferably bound at the p-position. When m1 is 4, two A1 are independently bound at the o-position or m-position and two are bound at the p- or m-position with respect to the binding position of S+ Preferably, two are bonded at the o-position, and two are more preferably bonded at the m-position.
The binding positions of A2 and A3 to the benzene ring to which S+ binds may each independently be any of the o-position, m-position, and p-position with respect to the binding position of S+ . Among them, when m2 and m3 are 1, A2 and A3 are each independently preferably bound at the p-position or the m-position relative to the binding position of S+ , and are bound at the p-position. more preferably. When m2 and m3 are 2, A2 and A3 are each independentlybound to the S It is preferable that the two are bonded at the m-position. When m2 and m3 are 3, A2 and A3 are each independently bound to the position of S+ with two bound at the o-position or m-position and one bound at the p- or m-position. It is preferable that two are bonded to the m-position and one is bonded to the p-position.
m1 is preferably 0, 1, 2, 3 or 4, more preferably 0, 1, 2 or 3, further preferably 0, 1 or 2, and 0 or 1 is more preferred, and 1 is even more preferred.
m2 is preferably 0, 1, 2 or 3, more preferably 0, 1 or 2, even more preferably 0 or 1, even more preferably 0.
m3 is preferably 0, 1, 2 or 3, more preferably 0, 1 or 2, even more preferably 0 or 1, even more preferably 0.
m4 is preferably 0, 1, 2 or 3, more preferably 0, 1 or 2.
m5 is preferably 0, 1, 2 or 3, more preferably 0, 1 or 2.
m6 is preferably 0, 1, 2 or 3, more preferably 0, 1 or 2.
m7 is preferably 0, 1, 2, 3 or 4, more preferably 0, 1, 2 or 3, further preferably 0, 1 or 2, and 0 or 1 is even more preferred.
m8 is preferably 0, 1, 2 or 3, more preferably 0, 1 or 2, even more preferably 0 or 1.
m9 is preferably 0, 1, 2 or 3, more preferably 0, 1 or 2, even more preferably 0 or 1.
Among them, at least one of m8 and m9 is preferably an integer of 1 or more, and more preferably both m8 and m9 are an integer of 1 or more.
R4 , R5 and R6 each independently represents a halogen atom, a fluorinated alkyl group having 1 to 6 carbon atoms or an alkyl group having 1 to 6 carbon atoms (the —CH2 — contained in the alkyl group is — It may be substituted with O- or -CO-.), a halogen atom, a fluorinated alkyl group having 1 to 4 carbon atoms or an alkyl group having 1 to 4 carbon atoms (included in the alkyl group - CH2 — may be replaced with —O— or —CO—.) is more preferably a fluorine atom, an iodine atom, a perfluoroalkyl group having 1 to 4 carbon atoms or an alkyl group having 1 to 4 carbon atoms. (-CH2 - contained in the alkyl group may be replaced with -O- or -CO-), which is more preferably a fluorine atom, an iodine atom, a hydroxy group, a methoxy group or a trifluoro A methyl group is even more preferred.
The bonding positions of R4 , R5 and R6 to the benzene ring may each independently be any of the o-position, m-position and p-position with respect to the bonding positions of A1 , A2 and A3 . Among them, when m4, m5 and m6 are 1, R4 , R5 and R6 are each independently bound at the p- or m-position relative to the binding positions of A1 , A2 and A3 It is preferable that it is bonded at the m-position. When m4, m5 and m6 are 2, each of R4 , R5 and R6 is independently bonded to the bonding position of A1 , A2 and A3 at the o-position or m-position; preferably one is bonded to the p-position or the m-position, and more preferably two are bonded to the m-position. When m4, m5 and m6 are 3, two of R4 , R5 and R6 are each independently bonded at the o-position or m-position relative to the bonding position of A1 , A2 and A3 One is preferably bonded to the p-position or the m-position, one is bonded to the o-position, and two are more preferably bonded to the m-position. When m4, m5 and m6 are 4, two of R4 , R5 and R6 are each independently bonded at the o-position or m-position relative to the bonding position of A1 , A2 and A3 and two are preferably bonded at the p-position or the m-position, and more preferably two are bonded at the o-position and two are bonded at the m-position.
R7 , R8 and R9 each independently represents a halogen atom, a fluorinated alkyl group having 1 to 6 carbon atoms or an alkyl group having 1 to 6 carbon atoms (the —CH2 — contained in the alkyl group is — It may be substituted with O- or -CO-.), a halogen atom, a fluorinated alkyl group having 1 to 4 carbon atoms or an alkyl group having 1 to 4 carbon atoms (included in the alkyl group - CH2 — may be replaced with —O— or —CO—.) is more preferably a fluorine atom, an iodine atom, a perfluoroalkyl group having 1 to 4 carbon atoms or an alkyl group having 1 to 4 carbon atoms. (-CH2 - contained in the alkyl group may be replaced with -O- or -CO-), which is more preferably a fluorine atom, an iodine atom, a trifluoromethyl group, a hydroxy group, A methoxy group, a methyl group or a t-butyl group is even more preferred.
The bonding position of R7 to the benzene ring may be any of the o-position, m-position, and p-position with respect to the bonding position of S+ . Among them, when m7 is 1, R7 is preferably bound at the p-position or m-position relative to the binding position of S+ , and more preferably at the p-position. When m7 is 2, one R7 is independently bound at the o-position or m-position and one is bound at the p-position or m-position with respect to the binding position of S+ . Preferably, one is bonded to the m-position, and one is more preferably bonded to the p- or m-position. When m7 is 3, two R7 are independently bound at the o-position or m-position and one is bound at the p- or m-position with respect to the binding position of S+ . Preferably, two are bound at the m-position and one is more preferably bound at the p-position. When m7 is 4, two R7 are independently bound at the o-position or m-position and two are bound at the p- or m-position with respect to the binding position of S+ . Preferably, two are bonded at the m-position, one is bonded at the o-position, and one is more preferably bonded at the p-position.
The bonding positions of R8 and R9 to the benzene ring may each independently be any of o-position, m-position and p-position with respect to the bonding position of S+ . Among them, when m8 and m9 are 1, R8 and R9 are preferably each independently bonded at the p-position or the m-position relative to the bonding position of S+ , and are preferably bonded at the p-position. more preferably. When m8 and m9 are 2, each of R8 and R9 is independently bound to the S+ binding position, one at the o-position or m-position and one at the p- or m-position. It is preferable that one is bonded to the m-position and one is bonded to the p- or m-position. When m8 and m9 are 3, two of R8 and R9 are each independently bound at the o-position or m-position and one is bound at the p- or m-position relative to the binding position of S+ It is preferable that two are bonded to the m-position and one is bonded to the p-position.
X4 is preferably a single bond, -CH2 -, -O- or -S-, more preferably a single bond or -O-, still more preferably a single bond.

式(I-C)で表されるカチオン(I)としては、式(I-C-1)で表されるカチオン(以下「カチオン(I-C-1)」という場合がある)が挙げられる。

Figure 2023016037000024
[式(I-C-1)中、
、R、R、R、R、R、R、R、R、X、m1、m2、m3、m4、m5、m6、m7、m8及びm9は、式(I)と同じ意味を表す。
、L及びLは、それぞれ独立に、炭素数1~18の炭化水素基を表し、該炭化水素基は、置換基を有してもよく、該炭化水素基に含まれる-CH2-は、-O-、-CO-、-S-又は-SO-で置き換わっていてもよい。
、X及びXは、それぞれ独立に、-O-又は-S-を表す。]Examples of the cation (I) represented by the formula (IC) include cations represented by the formula (IC-1) (hereinafter sometimes referred to as "cation (IC-1)"). .
Figure 2023016037000024
[In the formula (IC-1),
R1 , R2 , R3 , R4 , R5 , R6 , R7 , R8 , R9 , X4 , m1, m2, m3, m4, m5, m6, m7, m8 and m9 are represented by the formula It has the same meaning as (I).
L1 , L2 and L3 each independently represent a hydrocarbon group having 1 to 18 carbon atoms, the hydrocarbon group may have a substituent, and the —CH2- may be replaced by -O-, -CO-, -S- or -SO2 -.
X1 , X2 and X3 each independently represent -O- or -S-. ]

、L及びLの炭素数1~18の炭化水素基(該炭化水素基は、置換基を有してもよく、該炭化水素基に含まれる-CH2-は、-O-、-CO-、-S-又は-SO-で置き換わっていてもよい。)としては、炭素数が1~18の範囲で、A、A及びAで挙げた基と同様の基が挙げられる。
は、-O-であることが好ましい。
は、-O-であることが好ましい。
は、-O-であることが好ましい。
のベンゼン環への結合位置は、Sの結合位置に対して、о位、m位、p位のいずれでもよい。なかでも、AのSが結合するベンゼン環への結合位置と同様の結合位置であることが好ましい。
及びXのベンゼン環への結合位置は、Sの結合位置に対してо位、m位、p位のいずれでもよい。なかでも、A及びAのSが結合するベンゼン環への結合位置と同様の結合位置であることが好ましい。
、L及びLは、それぞれ独立に、炭素数1~16の炭化水素基(該炭化水素基に含まれる-CH2-は、-O-、-CO-、-S-又は-SO-で置き換わっていてもよい。)であることが好ましく、炭素数1~14の炭化水素基(該炭化水素基に含まれる-CH2-は、-O-、-CO-、-S-又は-SO-で置き換わっていてもよい。)であることがより好ましく、炭素数1~9の鎖式炭化水素基、炭素数3~12の脂環式炭化水素基又は炭素数1~4の鎖式炭化水素基と炭素数3~10の脂環式炭化水素基とを組み合わせた基(該鎖式炭化水素基及び該脂環式炭化水素基に含まれる-CH2-は、-O-、-CO-、-S-又は-SO-で置き換わっていてもよい。)であることがさらに好ましく、炭素数1~6のアルカンジイル基(該アルカンジイル基に含まれる-CH2-は、-O-又は-CO-で置き換わっていてもよい。)であることがより一層好ましく、炭素数1~4のアルカンジイル基(該アルカンジイル基に含まれる-CH2-は、-O-又は-CO-で置き換わっていてもよい。)であることがさらに一層好ましく、炭素数1~3のアルカンジイル基(該アルカンジイル基に含まれる-CH2-は、-O-又は-CO-で置き換わっていてもよい。)であることがさらにより好ましい。中でも、メチレン基、エタン-1,1-ジイル基、プロパン-1,1-ジイル基、プロパン-2,2-ジイル基、カルボニル基、カルボニルオキシ基、カルボニルオキシメチレン基、エチレンオキシ基、メチレンカルボニルオキシメチレン基又はエチレンオキシカルボニル基であることが好ましく、メチレン基、エタン-1,1-ジイル基、プロパン-1,1-ジイル基、プロパン-2,2-ジイル基又はカルボニル基であることがより好ましい。
L1 , L2 and L3 are hydrocarbon groups having 1 to 18 carbon atoms (the hydrocarbon group may have a substituent, and —CH2 — contained in the hydrocarbon group is —O— , —CO—, —S— or —SO2 —) is a group similar to the groups listed for A1 , A2 and A3 and having 1 to 18 carbon atoms. are mentioned.
X1 is preferably -O-.
X2 is preferably -O-.
X3 is preferably -O-.
The bonding position of X1 to the benzene ring may be any of the o-position, m-position, and p-position with respect to the bonding position of S+ . Among them, the bonding position similar to the bonding position to the benzene ring to which S+ of A1 is bonded is preferable.
The bonding positions of X2 and X3 to the benzene ring may be o-position, m-position, or p-position with respect to the bonding position of S+ . Among them, the bonding position similar to the bonding position to the benzene ring to which S+ of A2 and A3 are bonded is preferable.
L1 , L2 and L3 are each independently a hydrocarbon group having 1 to 16 carbon atoms (-CH2 - contained in the hydrocarbon group is -O-, -CO-, -S- or - SO2 — may be substituted), and a hydrocarbon group having 1 to 14 carbon atoms (—CH2 — contained in the hydrocarbon group includes —O—, —CO—, —S — or —SO2 —. 4 and an alicyclic hydrocarbon group having 3 to 10 carbon atoms (-CH2 - contained in the chain hydrocarbon group and the alicyclic hydrocarbon group is - O—,—CO— , —S— or —SO2 —. - may be replaced with -O- or -CO-), and is more preferably an alkanediyl group having 1 to 4 carbon atoms (-CH2 - contained in the alkanediyl group is - alkanediyl group having 1 to 3 carbon atoms (-CH2 - contained in the alkanediyl group is -O- or - may be substituted with CO—) is even more preferred. Among them, methylene group, ethane-1,1-diyl group, propane-1,1-diyl group, propane-2,2-diyl group, carbonyl group, carbonyloxy group, carbonyloxymethylene group, ethyleneoxy group, methylenecarbonyl It is preferably an oxymethylene group or an ethyleneoxycarbonyl group, and is preferably a methylene group, an ethane-1,1-diyl group, a propane-1,1-diyl group, a propane-2,2-diyl group or a carbonyl group. more preferred.

塩(I)のカチオン(I)としては、以下の式(I-c-1)~式(I-c-76)で表されるカチオン等が挙げられる。

Figure 2023016037000025
Examples of the cation (I) of the salt (I) include cations represented by the following formulas (Ic-1) to (Ic-76).
Figure 2023016037000025

Figure 2023016037000026
Figure 2023016037000026

Figure 2023016037000027
Figure 2023016037000027

Figure 2023016037000028
Figure 2023016037000028

Figure 2023016037000029
Figure 2023016037000029

Figure 2023016037000030
Figure 2023016037000030

Figure 2023016037000031
Figure 2023016037000031

〔アニオン(I)〕
式(I)で表される塩のアニオン(I)は、AIで表される有機アニオンである。
AIで表される有機アニオンとしては、スルホン酸アニオン、スルホニルイミドアニオン及びスルホニルメチドアニオン等が挙げられる。AIで表される有機アニオンは、スルホン酸アニオンが好ましく、式(I-A)で表されるアニオンであることがより好ましい。

Figure 2023016037000032
[式(I-A)中、
及びQは、それぞれ独立に、水素原子、フッ素原子、炭素数1~6のアルキル基又は炭素数1~6のペルフルオロアルキル基を表す。
は、炭素数1~24の飽和炭化水素基を表し、該飽和炭化水素基に含まれる-CH-は、-O-又は-CO-に置き換わっていてもよく、該飽和炭化水素基に含まれる水素原子は、フッ素原子又はヒドロキシ基で置換されていてもよい。
は、置換基を有していてもよいメチル基又は置換基を有していてもよい炭素数3~24の脂環式炭化水素基を表し、該脂環式炭化水素基に含まれる-CH-は、-O-、-S-、-SO-又は-CO-に置き換わっていてもよい。][Anion (I)]
The anion (I) of the salt of formula (I) is an organic anion of AI .
Organic anions represented by AI- include sulfonate anions, sulfonylimide anionsand sulfonylmethide anions. The organic anion represented by AI is preferably a sulfonate anion, more preferably an anion represented by formula (IA).
Figure 2023016037000032
[In the formula (IA),
Q1 and Q2 each independently represent a hydrogen atom, a fluorine atom, an alkyl group having 1 to 6 carbon atoms or a perfluoroalkyl group having 1 to 6 carbon atoms.
L1 represents a saturated hydrocarbon group having 1 to 24 carbon atoms, and —CH2 — contained in the saturated hydrocarbon group may be replaced with —O— or —CO—; A hydrogen atom contained in may be substituted with a fluorine atom or a hydroxy group.
Y1 represents an optionally substituted methyl group or an optionally substituted alicyclic hydrocarbon group having 3 to 24 carbon atoms, and is included in the alicyclic hydrocarbon group -CH2 - may be replaced by -O-, -S-, -SO2 - or -CO-. ]

式(I-A)において、飽和炭化水素基に含まれる-CH-が-O-又は-CO-に置き換わっている場合、置き換わる前の炭素数を該飽和炭化水素基の炭素数とする。また、脂環式炭化水素基に含まれる-CH-が-O-、-S-、-SO-又は-CO-に置き換わっている場合、置き換わる前の炭素数を該脂環式炭化水素基の炭素数とする。In formula (IA), when —CH2 — contained in a saturated hydrocarbon group is replaced with —O— or —CO—, the number of carbon atoms before replacement is the number of carbon atoms in the saturated hydrocarbon group. In addition, when —CH2 — contained in an alicyclic hydrocarbon group is replaced with —O—, —S—, —SO2 — or —CO—, the number of carbon atoms before replacement is The number of carbon atoms in the group.

及びQの炭素数1~6のペルフルオロアルキル基としては、トリフルオロメチル基、ペルフルオロエチル基、ペルフルオロプロピル基、ペルフルオロイソプロピル基、ペルフルオロブチル基、ペルフルオロsec-ブチル基、ペルフルオロtert-ブチル基、ペルフルオロペンチル基及びペルフルオロヘキシル基等が挙げられる。

及びQのアルキル基としては、メチル基、エチル基、プロピル基、イソプロピル基、ブチル基、sec-ブチル基、tert-ブチル基、ペンチル基、ヘキシル基等が挙げられる。
及びQは、少なくとも一方に、フッ素原子又はペルフルオロアルキル基を含むことが好ましく、少なくとも一方が、フッ素原子又はペルフルオロアルキル基であることがより好ましく、それぞれ独立に、フッ素原子又はトリフルオロメチル基であることがさらに好ましく、ともにフッ素原子であることがさらにより好ましい。
The perfluoroalkyl group having 1 to 6 carbon atoms for Q1 and Q2 includes a trifluoromethyl group, a perfluoroethyl group, a perfluoropropyl group, a perfluoroisopropyl group, a perfluorobutyl group, a perfluorosec-butyl group, and a perfluorotert-butyl group. , perfluoropentyl group and perfluorohexyl group.

Examples of alkyl groups for Q1 and Q2 include methyl, ethyl, propyl, isopropyl, butyl, sec-butyl, tert-butyl, pentyl and hexyl groups.
At least one of Q1 and Q2 preferably contains a fluorine atom or a perfluoroalkyl group, more preferably at least one is a fluorine atom or a perfluoroalkyl group, each independently a fluorine atom or a trifluoromethyl more preferably a group, and more preferably both fluorine atoms.

における2価の飽和炭化水素基としては、直鎖状アルカンジイル基、分岐状アルカンジイル基、単環式又は多環式の2価の脂環式飽和炭化水素基が挙げられ、これらの基のうち2種以上を組合せることにより形成される基でもよい。
具体的には、メチレン基、エチレン基、プロパン-1,3-ジイル基、ブタン-1,4-ジイル基、ペンタン-1,5-ジイル基、ヘキサン-1,6-ジイル基、ヘプタン-1,7-ジイル基、オクタン-1,8-ジイル基、ノナン-1,9-ジイル基、デカン-1,10-ジイル基、ウンデカン-1,11-ジイル基、ドデカン-1,12-ジイル基、トリデカン-1,13-ジイル基、テトラデカン-1,14-ジイル基、ペンタデカン-1,15-ジイル基、ヘキサデカン-1,16-ジイル基及びヘプタデカン-1,17-ジイル基等の直鎖状アルカンジイル基;
エタン-1,1-ジイル基、プロパン-1,1-ジイル基、プロパン-1,2-ジイル基、プロパン-2,2-ジイル基、ペンタン-2,4-ジイル基、2-メチルプロパン-1,3-ジイル基、2-メチルプロパン-1,2-ジイル基、ペンタン-1,4-ジイル基、2-メチルブタン-1,4-ジイル基等の分岐状アルカンジイル基;
シクロブタン-1,3-ジイル基、シクロペンタン-1,3-ジイル基、シクロヘキサン-1,4-ジイル基、シクロオクタン-1,5-ジイル基等のシクロアルカンジイル基である単環式の2価の脂環式飽和炭化水素基;
ノルボルナン-1,4-ジイル基、ノルボルナン-2,5-ジイル基、アダマンタン-1,5-ジイル基、アダマンタン-2,6-ジイル基等の多環式の2価の脂環式飽和炭化水素基等が挙げられる。
で表される2価の飽和炭化水素基に含まれる-CH-が-O-又は-CO-で置き換わった基としては、例えば、式(b1-1)~式(b1-3)のいずれかで表される基が挙げられる。なお、式(b1-1)~式(b1-3)で表される基及びそれらの具体例である式(b1-4)~式(b1-11)で表される基において、*及び**は結合部位を表し、*は-Yとの結合部位を表す。
The divalent saturated hydrocarbon group for L1 includes a linear alkanediyl group, a branched alkanediyl group, a monocyclic or polycyclic bivalent alicyclic saturated hydrocarbon group, and these A group formed by combining two or more of the groups may also be used.
Specifically, methylene group, ethylene group, propane-1,3-diyl group, butane-1,4-diyl group, pentane-1,5-diyl group, hexane-1,6-diyl group, heptane-1 ,7-diyl group, octane-1,8-diyl group, nonane-1,9-diyl group, decane-1,10-diyl group, undecane-1,11-diyl group, dodecane-1,12-diyl group , tridecane-1,13-diyl group, tetradecane-1,14-diyl group, pentadecane-1,15-diyl group, hexadecane-1,16-diyl group and heptadecane-1,17-diyl group. alkanediyl group;
ethane-1,1-diyl group, propane-1,1-diyl group, propane-1,2-diyl group, propane-2,2-diyl group, pentane-2,4-diyl group, 2-methylpropane- Branched alkanediyl groups such as 1,3-diyl group, 2-methylpropane-1,2-diyl group, pentane-1,4-diyl group, and 2-methylbutane-1,4-diyl group;
monocyclic 2 which is a cycloalkanediyl group such as cyclobutane-1,3-diyl group, cyclopentane-1,3-diyl group, cyclohexane-1,4-diyl group, cyclooctane-1,5-diyl group; alicyclic saturated hydrocarbon group;
Polycyclic divalent alicyclic saturated hydrocarbons such as norbornane-1,4-diyl group, norbornane-2,5-diyl group, adamantane-1,5-diyl group, and adamantane-2,6-diyl group and the like.
Groups in which —CH2 — contained in the divalent saturated hydrocarbon group represented by L1 is replaced with —O— or —CO— include, for example, formulas (b1-1) to (b1-3) The group represented by any one of is mentioned. In addition, in the groups represented by formulas (b1-1) to (b1-3) and the groups represented by formulas (b1-4) to (b1-11) which are specific examples thereof, * and * * represents the binding site and * represents the binding site with-Y1 .

Figure 2023016037000033
[式(b1-1)中、
b2は、単結合又は炭素数1~22の2価の飽和炭化水素基を表し、該飽和炭化水素基に含まれる水素原子は、フッ素原子に置換されていてもよい。
b3は、単結合又は炭素数1~22の2価の飽和炭化水素基を表し、該飽和炭化水素基に含まれる水素原子は、フッ素原子又はヒドロキシ基に置換されていてもよく、該飽和炭化水素基に含まれる-CH-は、-O-又は-CO-に置き換わっていてもよい。
ただし、Lb2とLb3との炭素数合計は、22以下である。
式(b1-2)中、
b4は、単結合又は炭素数1~22の2価の飽和炭化水素基を表し、該飽和炭化水素基に含まれる水素原子は、フッ素原子に置換されていてもよい。
b5は、単結合又は炭素数1~22の2価の飽和炭化水素基を表し、該飽和炭化水素基に含まれる水素原子は、フッ素原子又はヒドロキシ基に置換されていてもよく、該飽和炭化水素基に含まれる-CH-は、-O-又は-CO-に置き換わっていてもよい。
ただし、Lb4とLb5との炭素数合計は、22以下である。
式(b1-3)中、
b6は、単結合又は炭素数1~23の2価の飽和炭化水素基を表し、該飽和炭化水素基に含まれる水素原子は、フッ素原子又はヒドロキシ基に置換されていてもよい。
b7は、単結合又は炭素数1~23の2価の飽和炭化水素基を表し、該飽和炭化水素基に含まれる水素原子は、フッ素原子又はヒドロキシ基に置換されていてもよく、該飽和炭化水素基に含まれる-CH-は、-O-又は-CO-に置き換わっていてもよい。
ただし、Lb6とLb7との炭素数合計は、23以下である。]
Figure 2023016037000033
[In formula (b1-1),
Lb2 represents a single bond or a divalent saturated hydrocarbon group having 1 to 22 carbon atoms, and a hydrogen atom contained in the saturated hydrocarbon group may be substituted with a fluorine atom.
Lb3 represents a single bond or a divalent saturated hydrocarbon group having 1 to 22 carbon atoms, a hydrogen atom contained in the saturated hydrocarbon group may be substituted with a fluorine atom or a hydroxy group, and the saturated —CH2 — contained in the hydrocarbon group may be replaced with —O— or —CO—.
However, the total number of carbon atoms of Lb2 and Lb3 is 22 or less.
In formula (b1-2),
Lb4 represents a single bond or a divalent saturated hydrocarbon group having 1 to 22 carbon atoms, and a hydrogen atom contained in the saturated hydrocarbon group may be substituted with a fluorine atom.
Lb5 represents a single bond or a divalent saturated hydrocarbon group having 1 to 22 carbon atoms, a hydrogen atom contained in the saturated hydrocarbon group may be substituted with a fluorine atom or a hydroxy group, and the saturated —CH2 — contained in the hydrocarbon group may be replaced with —O— or —CO—.
However, the total number of carbon atoms of Lb4 and Lb5 is 22 or less.
In formula (b1-3),
Lb6 represents a single bond or a divalent saturated hydrocarbon group having 1 to 23 carbon atoms, and a hydrogen atom contained in the saturated hydrocarbon group may be substituted with a fluorine atom or a hydroxy group.
Lb7 represents a single bond or a divalent saturated hydrocarbon group having 1 to 23 carbon atoms, a hydrogen atom contained in the saturated hydrocarbon group may be substituted with a fluorine atom or a hydroxy group, and the saturated —CH2 — contained in the hydrocarbon group may be replaced with —O— or —CO—.
However, the total number of carbon atoms of Lb6 and Lb7 is 23 or less. ]

式(b1-1)~式(b1-3)で表される基においては、飽和炭化水素基に含まれる-CH-が-O-又は-CO-に置き換わっている場合、置き換わる前の炭素数を該飽和炭化水素基の炭素数とする。
2価の飽和炭化水素基としては、Lの2価の飽和炭化水素基と同様のものが挙げられる。
b2は、好ましくは単結合、メチレン基、-CH(CF)-、-C(CF-である。
b3は、好ましくは炭素数1~4の2価の飽和炭化水素基である。
b4は、好ましくは炭素数1~8の2価の飽和炭化水素基であり、該2価の飽和炭化水素基に含まれる水素原子はフッ素原子に置換されていてもよく、メチレン基、-CH(CF)-、-C(CF-であることが好ましい。
b5は、好ましくは単結合又は炭素数1~8の2価の飽和炭化水素基である。
b6は、好ましくは単結合又は炭素数1~4の2価の飽和炭化水素基であり、該飽和炭化水素基に含まれる水素原子はフッ素原子に置換されていてもよい。
b7は、好ましくは単結合又は炭素数1~18の2価の飽和炭化水素基であり、該飽和炭化水素基に含まれる水素原子はフッ素原子又はヒドロキシ基に置換されていてもよく、該2価の飽和炭化水素基に含まれる-CH-は-O-又は-CO-に置き換わっていてもよい。
で表される2価の飽和炭化水素基に含まれる-CH-が-O-又は-CO-で置き換わった基としては、式(b1-1)又は式(b1-3)で表される基が好ましい。
In the groups represented by formulas (b1-1) to (b1-3), when —CH2 — contained in the saturated hydrocarbon group is replaced with —O— or —CO—, carbon before replacement Let the number be the number of carbon atoms of the saturated hydrocarbon group.
As the divalent saturated hydrocarbon group, the same divalent saturated hydrocarbon group as that ofL1 can be mentioned.
Lb2 is preferably a single bond, a methylene group, —CH(CF3 )—, —C(CF3 )2 —.
Lb3 is preferably a divalent saturated hydrocarbon group having 1 to 4 carbon atoms.
Lb4 is preferably a divalent saturated hydrocarbon group having 1 to 8 carbon atoms, hydrogen atoms contained in the divalent saturated hydrocarbon group may be substituted with fluorine atoms, methylene group, - CH(CF3 )—, —C(CF3 )2 — are preferred.
Lb5 is preferably a single bond or a divalent saturated hydrocarbon group having 1 to 8 carbon atoms.
Lb6 is preferably a single bond or a divalent saturated hydrocarbon group having 1 to 4 carbon atoms, and a hydrogen atom contained in the saturated hydrocarbon group may be substituted with a fluorine atom.
Lb7 is preferably a single bond or a divalent saturated hydrocarbon group having 1 to 18 carbon atoms, a hydrogen atom contained in the saturated hydrocarbon group may be substituted with a fluorine atom or a hydroxy group; —CH2 — contained in the divalent saturated hydrocarbon group may be replaced with —O— or —CO—.
The group in which —CH2 — contained in the divalent saturated hydrocarbon group represented by L1 is replaced with —O— or —CO— is represented by formula (b1-1) or formula (b1-3). are preferred.

式(b1-1)で表される基としては、式(b1-4)~式(b1-8)でそれぞれ表される基が挙げられる。

Figure 2023016037000034
[式(b1-4)中、
b8は、単結合又は炭素数1~22の2価の飽和炭化水素基を表し、該飽和炭化水素基に含まれる水素原子は、フッ素原子又はヒドロキシ基に置換されていてもよい。
式(b1-5)中、
b9は、炭素数1~20の2価の飽和炭化水素基を表し、該2価の飽和炭化水素基に含まれる-CH-は-O-又は-CO-に置き換わっていてもよい。
b10は、単結合又は炭素数1~19の2価の飽和炭化水素基を表し、該2価の飽和炭化水素基に含まれる水素原子は、フッ素原子又はヒドロキシ基に置換されていてもよい。
ただし、Lb9及びLb10の合計炭素数は20以下である。
式(b1-6)中、
b11は、炭素数1~21の2価の飽和炭化水素基を表す。
b12は、単結合又は炭素数1~20の2価の飽和炭化水素基を表し、該2価の飽和炭化水素基に含まれる水素原子は、フッ素原子又はヒドロキシ基に置換されていてもよい。
ただし、Lb11及びLb12の合計炭素数は21以下である。
式(b1-7)中、
b13は、炭素数1~19の2価の飽和炭化水素基を表す。
b14は、単結合又は炭素数1~18の2価の飽和炭化水素基を表し、該2価の飽和炭化水素基に含まれる-CH-は-O-又は-CO-に置き換わっていてもよい。
b15は、単結合又は炭素数1~18の2価の飽和炭化水素基を表し、該2価の飽和炭化水素基に含まれる水素原子は、フッ素原子又はヒドロキシ基に置換されていてもよい。
ただし、Lb13~Lb15の合計炭素数は19以下である。
式(b1-8)中、
b16は、炭素数1~18の2価の飽和炭化水素基を表し、該2価の飽和炭化水素基に含まれる-CH-は-O-又は-CO-に置き換わっていてもよい。
b17は、炭素数1~18の2価の飽和炭化水素基を表す。
b18は、単結合又は炭素数1~17の2価の飽和炭化水素基を表し、該2価の飽和炭化水素基に含まれる水素原子は、フッ素原子又はヒドロキシ基に置換されていてもよい。
ただし、Lb16~Lb18の合計炭素数は19以下である。]
b8は、好ましくは炭素数1~4の2価の飽和炭化水素基である。
b9は、好ましくは炭素数1~8の2価の飽和炭化水素基である。
b10は、好ましくは単結合又は炭素数1~19の2価の飽和炭化水素基であり、より好ましくは単結合又は炭素数1~8の2価の飽和炭化水素基である。
b11は、好ましくは炭素数1~8の2価の飽和炭化水素基である。
b12は、好ましくは単結合又は炭素数1~8の2価の飽和炭化水素基である。
b13は、好ましくは炭素数1~12の2価の飽和炭化水素基である。
b14は、好ましくは単結合又は炭素数1~6の2価の飽和炭化水素基である。
b15は、好ましくは単結合又は炭素数1~18の2価の飽和炭化水素基であり、より好ましくは単結合又は炭素数1~8の2価の飽和炭化水素基である。
b16は、好ましくは炭素数1~12の2価の飽和炭化水素基である。
b17は、好ましくは炭素数1~6の2価の飽和炭化水素基である。
b18は、好ましくは単結合又は炭素数1~17の2価の飽和炭化水素基であり、より好ましくは単結合又は炭素数1~4の2価の飽和炭化水素基である。Examples of the group represented by formula (b1-1) include groups represented by formulas (b1-4) to (b1-8).
Figure 2023016037000034
[In formula (b1-4),
Lb8 represents a single bond or a divalent saturated hydrocarbon group having 1 to 22 carbon atoms, and a hydrogen atom contained in the saturated hydrocarbon group may be substituted with a fluorine atom or a hydroxy group.
In formula (b1-5),
Lb9 represents a divalent saturated hydrocarbon group having 1 to 20 carbon atoms, and —CH2 — contained in the divalent saturated hydrocarbon group may be replaced with —O— or —CO—.
Lb10 represents a single bond or a divalent saturated hydrocarbon group having 1 to 19 carbon atoms, and a hydrogen atom contained in the divalent saturated hydrocarbon group may be substituted with a fluorine atom or a hydroxy group. .
However, the total carbon number of Lb9 and Lb10 is 20 or less.
In formula (b1-6),
Lb11 represents a divalent saturated hydrocarbon group having 1 to 21 carbon atoms.
Lb12 represents a single bond or a divalent saturated hydrocarbon group having 1 to 20 carbon atoms, and a hydrogen atom contained in the divalent saturated hydrocarbon group may be substituted with a fluorine atom or a hydroxy group. .
However, the total carbon number of Lb11 and Lb12 is 21 or less.
In formula (b1-7),
Lb13 represents a divalent saturated hydrocarbon group having 1 to 19 carbon atoms.
Lb14 represents a single bond or a divalent saturated hydrocarbon group having 1 to 18 carbon atoms, and —CH2 — contained in the divalent saturated hydrocarbon group is replaced with —O— or —CO— good too.
Lb15 represents a single bond or a divalent saturated hydrocarbon group having 1 to 18 carbon atoms, and a hydrogen atom contained in the divalent saturated hydrocarbon group may be substituted with a fluorine atom or a hydroxy group. .
However, the total carbon number of Lb13 to Lb15 is 19 or less.
In formula (b1-8),
Lb16 represents a divalent saturated hydrocarbon group having 1 to 18 carbon atoms, and —CH2 — contained in the divalent saturated hydrocarbon group may be replaced with —O— or —CO—.
Lb17 represents a divalent saturated hydrocarbon group having 1 to 18 carbon atoms.
Lb18 represents a single bond or a divalent saturated hydrocarbon group having 1 to 17 carbon atoms, and a hydrogen atom contained in the divalent saturated hydrocarbon group may be substituted with a fluorine atom or a hydroxy group. .
However, the total carbon number of Lb16 to Lb18 is 19 or less. ]
Lb8 is preferably a divalent saturated hydrocarbon group having 1 to 4 carbon atoms.
Lb9 is preferably a divalent saturated hydrocarbon group having 1 to 8 carbon atoms.
Lb10 is preferably a single bond or a C 1-19 divalent saturated hydrocarbon group, more preferably a single bond or a C 1-8 divalent saturated hydrocarbon group.
Lb11 is preferably a divalent saturated hydrocarbon group having 1 to 8 carbon atoms.
Lb12 is preferably a single bond or a divalent saturated hydrocarbon group having 1 to 8 carbon atoms.
Lb13 is preferably a divalent saturated hydrocarbon group having 1 to 12 carbon atoms.
Lb14 is preferably a single bond or a divalent saturated hydrocarbon group having 1 to 6 carbon atoms.
Lb15 is preferably a single bond or a C 1-18 divalent saturated hydrocarbon group, more preferably a single bond or a C 1-8 divalent saturated hydrocarbon group.
Lb16 is preferably a divalent saturated hydrocarbon group having 1 to 12 carbon atoms.
Lb17 is preferably a divalent saturated hydrocarbon group having 1 to 6 carbon atoms.
Lb18 is preferably a single bond or a C 1-17 divalent saturated hydrocarbon group, more preferably a single bond or a C 1-4 divalent saturated hydrocarbon group.

式(b1-3)で表される基としては、式(b1-9)~式(b1-11)でそれぞれ表される基が挙げられる。

Figure 2023016037000035
[式(b1-9)中、
b19は、単結合又は炭素数1~23の2価の飽和炭化水素基を表し、該飽和炭化水素基に含まれる水素原子は、フッ素原子に置換されていてもよい。
b20は、単結合又は炭素数1~23の2価の飽和炭化水素基を表し、該飽和炭化水素基に含まれる水素原子は、フッ素原子、ヒドロキシ基又はアルキルカルボニルオキシ基に置換されていてもよい。該アルキルカルボニルオキシ基に含まれる-CH2-は、-O-又は-CO-に置き換わっていてもよく、該アルキルカルボニルオキシ基に含まれる水素原子は、ヒドロキシ基に置換されていてもよい。
ただし、Lb19及びLb20の合計炭素数は23以下である。
式(b1-10)中、
b21は、単結合又は炭素数1~21の2価の飽和炭化水素基を表し、該飽和炭化水素基に含まれる水素原子は、フッ素原子に置換されていてもよい。
b22は、単結合又は炭素数1~21の2価の飽和炭化水素基を表す。
b23は、単結合又は炭素数1~21の2価の飽和炭化水素基を表し、該飽和炭化水素基に含まれる水素原子は、フッ素原子、ヒドロキシ基又はアルキルカルボニルオキシ基に置換されていてもよい。該アルキルカルボニルオキシ基に含まれる-CH2-は、-O-又は-CO-に置き換わっていてもよく、該アルキルカルボニルオキシ基に含まれる水素原子は、ヒドロキシ基に置換されていてもよい。
ただし、Lb21、Lb22及びLb23の合計炭素数は21以下である。
式(b1-11)中、
b24は、単結合又は炭素数1~20の2価の飽和炭化水素基を表し、該飽和炭化水素基に含まれる水素原子は、フッ素原子に置換されていてもよい。
b25は、炭素数1~21の2価の飽和炭化水素基を表す。
b26は、単結合又は炭素数1~20の2価の飽和炭化水素基を表し、該飽和炭化水素基に含まれる水素原子は、フッ素原子、ヒドロキシ基又はアルキルカルボニルオキシ基に置換されていてもよい。該アルキルカルボニルオキシ基に含まれる-CH2-は、-O-又は-CO-に置き換わっていてもよく、該アルキルカルボニルオキシ基に含まれる水素原子は、ヒドロキシ基に置換されていてもよい。
ただし、Lb24、Lb25及びLb26の合計炭素数は21以下である。]
なお、式(b1-9)で表される基から式(b1-11)で表される基においては、飽和炭化水素基に含まれる水素原子がアルキルカルボニルオキシ基に置換されている場合、置き換わる前の炭素数を該飽和炭化水素基の炭素数とする。
アルキルカルボニルオキシ基としては、アセチルオキシ基、プロピオニルオキシ基、ブチリルオキシ基、シクロヘキシルカルボニルオキシ基、アダマンチルカルボニルオキシ基等が挙げられる。Examples of the group represented by formula (b1-3) include groups represented by formulas (b1-9) to (b1-11).
Figure 2023016037000035
[In the formula (b1-9),
Lb19 represents a single bond or a divalent saturated hydrocarbon group having 1 to 23 carbon atoms, and a hydrogen atom contained in the saturated hydrocarbon group may be substituted with a fluorine atom.
Lb20 represents a single bond or a divalent saturated hydrocarbon group having 1 to 23 carbon atoms, a hydrogen atom contained in the saturated hydrocarbon group being substituted with a fluorine atom, a hydroxy group or an alkylcarbonyloxy group; good too. --CH2 -- contained in the alkylcarbonyloxy group may be replaced with --O-- or --CO--, and a hydrogen atom contained in the alkylcarbonyloxy group may be substituted with a hydroxy group.
However, the total carbon number of Lb19 and Lb20 is 23 or less.
In formula (b1-10),
Lb21 represents a single bond or a divalent saturated hydrocarbon group having 1 to 21 carbon atoms, and a hydrogen atom contained in the saturated hydrocarbon group may be substituted with a fluorine atom.
Lb22 represents a single bond or a divalent saturated hydrocarbon group having 1 to 21 carbon atoms.
Lb23 represents a single bond or a divalent saturated hydrocarbon group having 1 to 21 carbon atoms, and a hydrogen atom contained in the saturated hydrocarbon group is substituted with a fluorine atom, a hydroxy group or an alkylcarbonyloxy group; good too. --CH2 -- contained in the alkylcarbonyloxy group may be replaced with --O-- or --CO--, and a hydrogen atom contained in the alkylcarbonyloxy group may be substituted with a hydroxy group.
However, the total carbon number of Lb21 , Lb22 and Lb23 is 21 or less.
In formula (b1-11),
Lb24 represents a single bond or a divalent saturated hydrocarbon group having 1 to 20 carbon atoms, and a hydrogen atom contained in the saturated hydrocarbon group may be substituted with a fluorine atom.
Lb25 represents a divalent saturated hydrocarbon group having 1 to 21 carbon atoms.
Lb26 represents a single bond or a divalent saturated hydrocarbon group having 1 to 20 carbon atoms, and a hydrogen atom contained in the saturated hydrocarbon group is substituted with a fluorine atom, a hydroxy group or an alkylcarbonyloxy group; good too. --CH2 -- contained in the alkylcarbonyloxy group may be replaced with --O-- or --CO--, and a hydrogen atom contained in the alkylcarbonyloxy group may be substituted with a hydroxy group.
However, the total carbon number of Lb24 , Lb25 and Lb26 is 21 or less. ]
In addition, in the group represented by formula (b1-9) to the group represented by formula (b1-11), when the hydrogen atom contained in the saturated hydrocarbon group is substituted with an alkylcarbonyloxy group, it is substituted Let the previous carbon number be the carbon number of this saturated hydrocarbon group.
The alkylcarbonyloxy group includes an acetyloxy group, a propionyloxy group, a butyryloxy group, a cyclohexylcarbonyloxy group, an adamantylcarbonyloxy group and the like.

式(b1-4)で表される基としては、以下のものが挙げられる。

Figure 2023016037000036
Examples of the group represented by formula (b1-4) include the following.
Figure 2023016037000036

式(b1-5)で表される基としては、以下のものが挙げられる。

Figure 2023016037000037
Examples of the group represented by formula (b1-5) include the following.
Figure 2023016037000037

式(b1-6)で表される基としては、以下のものが挙げられる。

Figure 2023016037000038
Examples of the group represented by formula (b1-6) include the following.
Figure 2023016037000038

式(b1-7)で表される基としては、以下のものが挙げられる。

Figure 2023016037000039
Examples of the group represented by formula (b1-7) include the following.
Figure 2023016037000039

式(b1-8)で表される基としては、以下のものが挙げられる。

Figure 2023016037000040
Examples of the group represented by formula (b1-8) include the following.
Figure 2023016037000040

式(b1-2)で表される基としては、以下のものが挙げられる。

Figure 2023016037000041
Examples of the group represented by formula (b1-2) include the following.
Figure 2023016037000041

式(b1-9)で表される基としては、以下のものが挙げられる。

Figure 2023016037000042
Examples of the group represented by formula (b1-9) include the following.
Figure 2023016037000042

式(b1-10)で表される基としては、以下のものが挙げられる。

Figure 2023016037000043
Examples of the group represented by formula (b1-10) include the following.
Figure 2023016037000043

式(b1-11)で表される基としては、以下のものが挙げられる。

Figure 2023016037000044
Examples of the group represented by formula (b1-11) include the following.
Figure 2023016037000044

で表される脂環式炭化水素基に含まれる-CH-が-O-、-S-、-SO-又は-CO-に置き換わっていない脂環式炭化水素基としては、例えば、式(Y1)~式(Y11)、式(Y36)~式(Y38)で表される基が挙げられる。
で表される脂環式炭化水素基に含まれる-CH-が-O-、-S-、-SO-又は-CO-で置き換わる場合、その数は1つでもよいし、2以上でもよい。そのような基としては、式(Y12)~式(Y35)、式(Y39)~式(Y43)で表される基が挙げられる。式(Y12)~式(Y35)、式(Y39)~式(Y43)で表される基の-O-又は-CO-は、-S-又は-SO-に置き換わっていてもよい。*はLとの結合部位を表す。

Figure 2023016037000045
Examples of alicyclic hydrocarbon groups in which —CH2 — contained in the alicyclic hydrocarbon group represented by Y1 is not replaced with —O—, —S—, —SO2 — or —CO— include , groups represented by formulas (Y1) to (Y11) and formulas (Y36) to (Y38).
When —CH2 — contained in the alicyclic hydrocarbon group represented by Y1 is replaced with —O—, —S—, —SO2 — or —CO—, the number may be 1, or 2 It can be more than that. Such groups include groups represented by formulas (Y12) to (Y35) and formulas (Y39) to (Y43). —O— or —CO— in groups represented by formulas (Y12) to (Y35) and formulas (Y39) to (Y43) may be replaced with —S— or —SO2 —. * represents the binding site withL1 .
Figure 2023016037000045

で表される脂環式炭化水素基としては、好ましくは式(Y1)~式(Y20)、式(Y26)、式(Y27)、式(Y30)、式(Y31)、式(Y39)~式(Y43)のいずれかで表される基であり、より好ましくは式(Y11)、式(Y15)、式(Y16)、式(Y20)、式(Y26)、式(Y27)、式(Y30)、式(Y31)、式(Y39)、式(Y40)、式(Y42)又は式(Y43)で表される基であり、さらに好ましくは式(Y11)、式(Y15)、式(Y20)、式(Y26)、式(Y27)、式(Y30)、式(Y31)、式(Y39)、式(Y40)、式(Y42)又は式(Y43)で表される基である。
で表される脂環式炭化水素基が式(Y28)~式(Y35)、式(Y39)、式(Y40)、式(Y42)又は式(Y43)等の酸素原子を有するスピロ環である場合には、2つの酸素原子間のアルカンジイル基は、1以上のフッ素原子を有することが好ましい。また、ケタール構造に含まれるアルカンジイル基のうち、酸素原子に隣接するメチレン基には、フッ素原子が置換されていないのが好ましい。
The alicyclic hydrocarbon group represented by Y1 is preferably represented by formulas (Y1) to (Y20), formula (Y26), formula (Y27), formula (Y30), formula (Y31) and formula (Y39). ) to a group represented by any one of formula (Y43), more preferably formula (Y11), formula (Y15), formula (Y16), formula (Y20), formula (Y26), formula (Y27), a group represented by formula (Y30), formula (Y31), formula (Y39), formula (Y40), formula (Y42) or formula (Y43), more preferably formula (Y11), formula (Y15), a group represented by formula (Y20), formula (Y26), formula (Y27), formula (Y30), formula (Y31), formula (Y39), formula (Y40), formula (Y42) or formula (Y43) be.
The alicyclic hydrocarbon group represented by Y1 is a spiro ring having an oxygen atom such as formulas (Y28) to (Y35), formula (Y39), formula (Y40), formula (Y42) or formula (Y43) , the alkanediyl group between the two oxygen atoms preferably has one or more fluorine atoms. Further, among the alkanediyl groups contained in the ketal structure, the methylene group adjacent to the oxygen atom is preferably not substituted with a fluorine atom.

で表されるメチル基の置換基としては、ハロゲン原子、ヒドロキシ基、炭素数3~16の脂環式炭化水素基、炭素数6~18の芳香族炭化水素基、グリシジルオキシ基、-(CHja-CO-O-Rb1基又は-(CHja-O-CO-Rb1基(式中、Rb1は、炭素数1~16のアルキル基、炭素数3~16の脂環式炭化水素基、炭素数6~18の芳香族炭化水素基又はこれらを組み合わせた基を表す。jaは、0~4のいずれかの整数を表す。該アルキル基及び該脂環式炭化水素基に含まれる-CH-は、-O-、-SO-又は-CO-で置き換わっていてもよく、該アルキル基、該脂環式炭化水素基及び該芳香族炭化水素基に含まれる水素原子は、ヒドロキシ基又はフッ素原子に置き換わっていてもよい。)等が挙げられる。
で表される脂環式炭化水素基の置換基としては、ハロゲン原子、ヒドロキシ基、ヒドロキシ基で置換されていてもよい炭素数1~16のアルキル基(該アルキル基に含まれる-CH-は、-O-又は-CO-で置き換わっていてもよい。)、炭素数3~16の脂環式炭化水素基、炭素数6~18の芳香族炭化水素基、炭素数7~21のアラルキル基、グリシジルオキシ基、-(CHja-CO-O-Rb1基又は-(CHja-O-CO-Rb1基(式中、Rb1は、炭素数1~16のアルキル基、炭素数3~16の脂環式炭化水素基、炭素数6~18の芳香族炭化水素基又はこれらを組み合わせた基を表す。jaは、0~4のいずれかの整数を表す。該アルキル基及び該脂環式炭化水素基に含まれる-CH-は、-O-、-SO-又は-CO-で置き換わっていてもよく、該アルキル基、該脂環式炭化水素基及び該芳香族炭化水素基に含まれる水素原子は、ヒドロキシ基又はフッ素原子に置き換わっていてもよい。)等が挙げられる。
Examples of substituents of the methyl group represented by Y1 include a halogen atom, a hydroxy group, an alicyclic hydrocarbon group having 3 to 16 carbon atoms, an aromatic hydrocarbon group having 6 to 18 carbon atoms, a glycidyloxy group, - (CH2 )ja —CO—O—Rb1 group or —(CH2 )ja —O—CO—Rb1 group (wherein Rb1 is an alkyl group having 1 to 16 carbon atoms, an alicyclic hydrocarbon group, an aromatic hydrocarbon group having 6 to 18 carbon atoms, or a group combining these, ja represents any integer of 0 to 4. The alkyl group and the alicyclic —CH2 — contained in the hydrocarbon group may be replaced with —O—, —SO2 — or —CO—, and the alkyl group, the alicyclic hydrocarbon group and the aromatic hydrocarbon group The contained hydrogen atoms may be replaced with hydroxy groups or fluorine atoms.) and the like.
Substituents for the alicyclic hydrocarbon group represented by Y1 include halogen atoms, hydroxy groups, and alkyl groups having 1 to 16 carbon atoms optionally substituted by hydroxy groups (-CH2- may be replaced with -O- or -CO-), alicyclic hydrocarbon group having 3 to 16 carbon atoms, aromatic hydrocarbon group having 6 to 18 carbon atoms, 7 to 21 carbon atoms aralkyl group, glycidyloxy group, —(CH2 )ja —CO—O—Rb1 group or —(CH2 )ja —O—CO—Rb1 group (wherein Rb1 has 1 to 16 carbon atoms an alkyl group, an alicyclic hydrocarbon group having 3 to 16 carbon atoms, an aromatic hydrocarbon group having 6 to 18 carbon atoms, or a group combining these, ja represents any integer of 0 to 4 —CH2 — contained in the alkyl group and the alicyclic hydrocarbon group may be replaced with —O—, —SO2 — or —CO—, and the alkyl group and the alicyclic hydrocarbon A hydrogen atom contained in the group and the aromatic hydrocarbon group may be replaced with a hydroxy group or a fluorine atom.) and the like.

ハロゲン原子としては、フッ素原子、塩素原子、臭素原子及びヨウ素原子等が挙げられる。
脂環式炭化水素基としては、例えば、シクロペンチル基、シクロへキシル基、メチルシクロヘキシル基、ジメチルシクロへキシル基、シクロヘプチル基、シクロオクチル基、ノルボルニル基、アダマンチル基等が挙げられる。脂環式炭化水素基は、鎖式炭化水素基を有していてもよく、メチルシクロヘキシル基、ジメチルシクロへキシル基等が挙げられる。脂環式炭化水素基の炭素数は、好ましくは3~12であり、より好ましくは3~10である。
芳香族炭化水素基としては、例えば、フェニル基、ナフチル基、アントリル基、ビフェニル基、フェナントリル基等のアリール基等が挙げられる。芳香族炭化水素基は、鎖式炭化水素基又は脂環式炭化水素基を有していてもよく、炭素数1~18の鎖式炭化水素基を有する芳香族炭化水素基(トリル基、キシリル基、クメニル基、メシチル基、p-メチルフェニル基、p-エチルフェニル基、p-tert-ブチルフェニル基、2,6-ジエチルフェニル基、2-メチル-6-エチルフェニル基等)、及び炭素数3~18の脂環式炭化水素基を有する芳香族炭化水素基(p-シクロへキシルフェニル基、p-アダマンチルフェニル基等)等が挙げられる。芳香族炭化水素基の炭素数は、好ましくは6~14であり、より好ましくは6~10である。
アルキル基としては、例えば、メチル基、エチル基、プロピル基、イソプロピル基、ブチル基、sec-ブチル基、tert-ブチル基、ペンチル基、ヘキシル基、ヘプチル基、2-エチルヘキシル基、オクチル基、ノニル基、デシル基、ウンデシル基、ドデシル基等が挙げられる。アルキル基の炭素数は、好ましくは1~12であり、より好ましくは1~6であり、さらに好ましくは1~4である。
ヒドロキシ基で置換されているアルキル基としては、ヒドロキシメチル基、ヒドロキシエチル基等のヒドロキシアルキル基が挙げられる。
アラルキル基としては、ベンジル基、フェネチル基、フェニルプロピル基、ナフチルメチル基及びナフチルエチル基等が挙げられる。
アルキル基に含まれる-CH-が-O-、-SO-又は-CO-等で置き換わった基としては、アルコキシ基、アルキルスルホニル基、アルコキシカルボニル基、アルキルカルボニル基、アルキルカルボニルオキシ基又はこれらを組み合わせた基などが挙げられる。
アルコキシ基としては、メトキシ基、エトキシ基、プロポキシ基、ブトキシ基、ペンチルオキシ基、ヘキシルオキシ基、ヘプチルオキシ基、オクチルオキシ基、デシルオキシ基及びドデシルオキシ基等が挙げられる。アルコキシ基の炭素数は、好ましくは1~12であり、より好ましくは1~6であり、さらに好ましくは1~4である。
アルキルスルホニル基としては、メチルスルホニル基、エチルスルホニル基、プロピルスルホニル基等が挙げられる。アルキルスルホニル基の炭素数は、好ましくは1~12であり、より好ましくは1~6であり、さらに好ましくは1~4である。
アルコキシカルボニル基としては、例えば、メトキシカルボニル基、エトキシカルボニル基、ブトキシカルボニル基等が挙げられる。アルコキシカルボニル基の炭素数は、好ましくは2~12であり、より好ましくは2~6であり、さらに好ましくは2~4である。
アルキルカルボニル基としては、例えば、アセチル基、プロピオニル基及びブチリル基等が挙げられる。アルキルカルボニル基の炭素数は、好ましくは2~12であり、より好ましくは2~6であり、さらに好ましくは2~4である。
アルキルカルボニルオキシ基としては、例えば、アセチルオキシ基、プロピオニルオキシ基、ブチリルオキシ基等が挙げられる。アルキルカルボニルオキシ基の炭素数は、好ましくは2~12であり、より好ましくは2~6であり、さらに好ましくは2~4である。
組み合わせた基としては、例えば、アルコキシ基とアルキル基とを組み合わせた基、アルコキシ基とアルコキシ基とを組み合わせた基、アルコキシ基とアルキルカルボニル基とを組み合わせた基、アルコキシ基とアルキルカルボニルオキシ基とを組み合わせた基等が挙げられる。
アルコキシ基とアルキル基とを組み合わせた基としては、例えば、メトキシメチル基、メトキシエチル基、エトキシエチル基、エトキシメチル基等のアルコキシアルキル基等が挙げられる。アルコキシアルキル基の炭素数は、好ましくは2~12であり、より好ましくは2~6であり、さらに好ましくは2~4である。
アルコキシ基とアルコキシ基とを組み合わせた基としては、メトキシメトキシ基、メトキシエトキシ基、エトキシメトキシ基、エトキシエトキシ基等のアルコキシアルコキシ基等が挙げられる。アルコキシアルコキシ基の炭素数は、好ましくは2~12であり、より好ましくは2~6であり、さらに好ましくは2~4である。
アルコキシ基とアルキルカルボニル基とを組み合わせた基としては、メトキシアセチル基、メトキシプロピオニル基、エトキシアセチル基、エトキシプロピオニル基等のアルコキシアルキルカルボニル基等が挙げられる。アルコキシアルキルカルボニル基の炭素数は、好ましくは3~13であり、より好ましくは3~7であり、さらに好ましくは3~5である。
アルコキシ基とアルキルカルボニルオキシ基とを組み合わせた基としては、メトキシアセチルオキシ基、メトキシプロピオニルオキシ基、エトキシアセチルオキシ基、エトキシプロピオニルオキシ基等のアルコキシアルキルカルボニルオキシ基等が挙げられる。アルコキシアルキルカルボニルオキシ基の炭素数は、好ましくは3~13であり、より好ましくは3~7であり、さらに好ましくは3~5である。
脂環式炭化水素基に含まれる-CH-が-O-、-SO-又は-CO-等で置き換わった基としては、式(Y12)~式(Y35)、式(Y39)~式(Y43)で表される基等が挙げられる。
Halogen atoms include fluorine, chlorine, bromine and iodine atoms.
Examples of alicyclic hydrocarbon groups include cyclopentyl, cyclohexyl, methylcyclohexyl, dimethylcyclohexyl, cycloheptyl, cyclooctyl, norbornyl and adamantyl groups. The alicyclic hydrocarbon group may have a chain hydrocarbon group, such as a methylcyclohexyl group and a dimethylcyclohexyl group. The number of carbon atoms in the alicyclic hydrocarbon group is preferably 3-12, more preferably 3-10.
Examples of aromatic hydrocarbon groups include aryl groups such as phenyl, naphthyl, anthryl, biphenyl, and phenanthryl groups. The aromatic hydrocarbon group may have a chain hydrocarbon group or an alicyclic hydrocarbon group, and an aromatic hydrocarbon group having a chain hydrocarbon group having 1 to 18 carbon atoms (tolyl group, xylyl group, cumenyl group, mesityl group, p-methylphenyl group, p-ethylphenyl group, p-tert-butylphenyl group, 2,6-diethylphenyl group, 2-methyl-6-ethylphenyl group, etc.), and carbon Examples thereof include aromatic hydrocarbon groups having alicyclic hydrocarbon groups of numbers 3 to 18 (p-cyclohexylphenyl group, p-adamantylphenyl group, etc.). The number of carbon atoms in the aromatic hydrocarbon group is preferably 6-14, more preferably 6-10.
Examples of alkyl groups include methyl group, ethyl group, propyl group, isopropyl group, butyl group, sec-butyl group, tert-butyl group, pentyl group, hexyl group, heptyl group, 2-ethylhexyl group, octyl group and nonyl. group, decyl group, undecyl group, dodecyl group and the like. The number of carbon atoms in the alkyl group is preferably 1-12, more preferably 1-6, still more preferably 1-4.
Alkyl groups substituted with a hydroxy group include hydroxyalkyl groups such as a hydroxymethyl group and a hydroxyethyl group.
Aralkyl groups include benzyl, phenethyl, phenylpropyl, naphthylmethyl and naphthylethyl groups.
The groups in which —CH2 — contained in the alkyl group is replaced with —O—, —SO2 —, —CO—, etc. include an alkoxy group, an alkylsulfonyl group, an alkoxycarbonyl group, an alkylcarbonyl group, an alkylcarbonyloxy group, or Groups in which these are combined, and the like are included.
Alkoxy groups include methoxy, ethoxy, propoxy, butoxy, pentyloxy, hexyloxy, heptyloxy, octyloxy, decyloxy and dodecyloxy groups. The alkoxy group preferably has 1 to 12 carbon atoms, more preferably 1 to 6 carbon atoms, and still more preferably 1 to 4 carbon atoms.
The alkylsulfonyl group includes a methylsulfonyl group, an ethylsulfonyl group, a propylsulfonyl group and the like. The number of carbon atoms in the alkylsulfonyl group is preferably 1-12, more preferably 1-6, still more preferably 1-4.
Examples of alkoxycarbonyl groups include methoxycarbonyl, ethoxycarbonyl and butoxycarbonyl groups. The alkoxycarbonyl group preferably has 2 to 12 carbon atoms, more preferably 2 to 6 carbon atoms, and still more preferably 2 to 4 carbon atoms.
Examples of alkylcarbonyl groups include acetyl group, propionyl group and butyryl group. The number of carbon atoms in the alkylcarbonyl group is preferably 2-12, more preferably 2-6, still more preferably 2-4.
The alkylcarbonyloxy group includes, for example, an acetyloxy group, a propionyloxy group, a butyryloxy group and the like. The number of carbon atoms in the alkylcarbonyloxy group is preferably 2-12, more preferably 2-6, still more preferably 2-4.
Examples of the combined group include, for example, a group in which an alkoxy group and an alkyl group are combined, a group in which an alkoxy group and an alkoxy group are combined, a group in which an alkoxy group and an alkylcarbonyl group are combined, an alkoxy group and an alkylcarbonyloxy group, and and the like.
Examples of groups in which an alkoxy group and an alkyl group are combined include alkoxyalkyl groups such as a methoxymethyl group, a methoxyethyl group, an ethoxyethyl group and an ethoxymethyl group. The alkoxyalkyl group preferably has 2 to 12 carbon atoms, more preferably 2 to 6 carbon atoms, and still more preferably 2 to 4 carbon atoms.
Groups in which an alkoxy group and an alkoxy group are combined include alkoxyalkoxy groups such as a methoxymethoxy group, a methoxyethoxy group, an ethoxymethoxy group, and an ethoxyethoxy group. The alkoxyalkoxy group preferably has 2 to 12 carbon atoms, more preferably 2 to 6 carbon atoms, and still more preferably 2 to 4 carbon atoms.
Groups in which an alkoxy group and an alkylcarbonyl group are combined include alkoxyalkylcarbonyl groups such as a methoxyacetyl group, a methoxypropionyl group, an ethoxyacetyl group and an ethoxypropionyl group. The number of carbon atoms in the alkoxyalkylcarbonyl group is preferably 3-13, more preferably 3-7, still more preferably 3-5.
Groups in which an alkoxy group and an alkylcarbonyloxy group are combined include alkoxyalkylcarbonyloxy groups such as a methoxyacetyloxy group, a methoxypropionyloxy group, an ethoxyacetyloxy group, and an ethoxypropionyloxy group. The number of carbon atoms in the alkoxyalkylcarbonyloxy group is preferably 3-13, more preferably 3-7, still more preferably 3-5.
Groups in which —CH2 — contained in the alicyclic hydrocarbon group is replaced with —O—, —SO2 —, —CO—, etc. include formulas (Y12) to (Y35), formulas (Y39) to formulas A group represented by (Y43) and the like can be mentioned.

は、好ましくは置換基を有していてもよい炭素数3~24の脂環式炭化水素基であり、より好ましくは置換基を有していてもよい炭素数3~20の脂環式炭化水素基であり、さらに好ましくは置換基を有していてもよい炭素数3~18の脂環式炭化水素基であり、さらにより好ましくは置換基を有していてもよいアダマンチル基又は置換基を有していてもよいノルボルニル基であり、該脂環式炭化水素基、アダマンチル基又はノルボルニル基を構成する-CH-は-O-、-S-、-SO-又は-CO-に置き換わっていてもよい。具体的には、以下のものが挙げられる。

Figure 2023016037000046
Y1 is preferably an optionally substituted alicyclic hydrocarbon group having 3 to 24 carbon atoms, more preferably an optionally substituted alicyclic ring having 3 to 20 carbon atoms. a hydrocarbon group of the formula, more preferably an optionally substituted alicyclic hydrocarbon group having 3 to 18 carbon atoms, still more preferably an optionally substituted adamantyl group or —CH2 — constituting the alicyclic hydrocarbon group, adamantyl group or norbornyl group, which is an optionally substituted norbornyl group, is —O—, —S—, —SO2 — or —CO - may be replaced. Specifically, the following are mentioned.
Figure 2023016037000046

Figure 2023016037000047
なかでも、Yは、好ましくはアダマンチル基、ヒドロキシアダマンチル基、オキソアダマンチル基、ノルボルナンラクトン基又は式(Y42)、式(Y100)~式(Y114)、式(Y134)~式(Y139)で表される基であり、特に好ましくは、ヒドロキシアダマンチル基、オキソアダマンチル基、これらを含む基又は式(Y42)、式(Y100)~式(Y114)、式(Y134)~式(Y139)で表される基である。
Figure 2023016037000047
Among them, Y1 is preferably an adamantyl group, a hydroxyadamantyl group, an oxoadamantyl group, a norbornanelactone group or represented by formula (Y42), formula (Y100) to formula (Y114), formula (Y134) to formula (Y139). is a group, particularly preferably a hydroxyadamantyl group, an oxoadamantyl group, a group containing these or represented by formula (Y42), formula (Y100) to formula (Y114), formula (Y134) to formula (Y139) is a group.

式(I-A)で表されるアニオンとしては、式(I-A-1)~式(I-A-65)で表されるアニオン〔以下、式番号に応じて「アニオン(I-A-1)」等という場合がある。〕が好ましく、式(I-A-1)~式(I-A-4)、式(I-A-9)、式(I-A-10)、式(I-A-24)~式(I-A-33)、式(I-A-36)~式(I-A-40)、式(I-A-47)~式(I-A-65)のいずれかで表されるアニオンがより好ましい。

Figure 2023016037000048
Examples of the anion represented by formula (IA) include anions represented by formulas (IA-1) to (IA-65) [hereinafter referred to as "anion (IA -1)”, etc. ] is preferable, formula (IA-1) ~ formula (IA-4), formula (IA-9), formula (IA-10), formula (IA-24) ~ formula (IA-33), formula (IA-36) ~ formula (IA-40), represented by any of formula (IA-47) ~ formula (IA-65) Anions are more preferred.
Figure 2023016037000048

Figure 2023016037000049
Figure 2023016037000049

Figure 2023016037000050
Figure 2023016037000050

ここでRi2~Ri7は、それぞれ独立に、例えば、炭素数1~4のアルキル基、好ましくはメチル基又はエチル基である。Ri8は、例えば、炭素数1~12の鎖式炭化水素基、好ましくは炭素数1~4のアルキル基、炭素数5~12の脂環式炭化水素基又はこれらを組合せることにより形成される基、より好ましくはメチル基、エチル基、シクロヘキシル基又はアダマンチル基である。LA41は、単結合又は炭素数1~4のアルカンジイル基である。Q及びQは、上記と同じ意味を表す。
式(I-A)で表されるアニオンとしては、具体的には、特開2010-204646号公報に記載されたアニオンが挙げられる。
Here, Ri2 to Ri7 are each independently, for example, an alkyl group having 1 to 4 carbon atoms, preferably a methyl group or an ethyl group. Ri8 is, for example, a chain hydrocarbon group having 1 to 12 carbon atoms, preferably an alkyl group having 1 to 4 carbon atoms, an alicyclic hydrocarbon group having 5 to 12 carbon atoms, or a combination thereof. group, more preferably a methyl group, an ethyl group, a cyclohexyl group or an adamantyl group. LA41 is a single bond or an alkanediyl group having 1 to 4 carbon atoms. Q1 and Q2 have the same meanings as above.
Specific examples of the anion represented by formula (IA) include anions described in JP-A-2010-204646.

式(I-A)で表されるアニオンとして好ましくは、式(I-a-1)~式(I-a-43)でそれぞれ表されるアニオンが挙げられる。

Figure 2023016037000051
The anions represented by formula (IA) are preferably anions represented by formulas (Ia-1) to (Ia-43).
Figure 2023016037000051

Figure 2023016037000052
Figure 2023016037000052

なかでも、式(I-a-1)~式(I-a-4)、式(I-a-7)~式(I-a-11)、式(I-a-14)~式(I-a-30)及び式(I-a-35)~式(I-a-41)のいずれかで表されるアニオンが好ましい。 Among them, formula (Ia-1) ~ formula (Ia-4), formula (Ia-7) ~ formula (Ia-11), formula (Ia-14) ~ formula ( Ia-30) and anions represented by any of formulas (Ia-35) to (Ia-41) are preferred.

AIで表されるスルホニルイミドアニオンとしては、以下のものが挙げられる。

Figure 2023016037000053
スルホニルメチドアニオンとしては、以下のものが挙げられる。
Figure 2023016037000054
The sulfonylimide anions represented by AI include the following.
Figure 2023016037000053
Sulfonylmethide anions include the following.
Figure 2023016037000054

塩(I)の具体例として、上記したカチオンとアニオンとを任意に組み合わせた塩が挙げられる。塩(I)の具体例を下記表に示す。
下記表において、各符号は、上述のアニオンやカチオンを表す構造に付した符号を表し、「~」は、塩(I)とアニオン(I)又はカチオン(I)とのそれぞれが対応することを示す。たとえば、塩(I-1)は、式(I-a-1)で示されるアニオンと式(I-c-1)で示されるカチオンとからなる塩、塩(I-2)は、式(I-a-2)で示されるアニオンと式(I-c-1)で示されるカチオンとからなる塩、塩(I-39)は、式(I-a-1)で示されるアニオンと式(I-c-2)で示されるカチオンとからなる塩を示す。また、塩(I-2889)は、式(I-a-39)で示されるアニオンと式(I-c-1)で示されるカチオンとからなる塩、塩(I-2890)は、式(I-a-39)で示されるアニオンと式(I-c-2)で示されるカチオンとからなる塩、塩(I-2965)は、式(I-a-40)で示されるアニオンと式(I-c-1)で示されるカチオンとからなる塩を示す。

Figure 2023016037000055
Figure 2023016037000056


Figure 2023016037000057
Specific examples of salt (I) include salts in which the above-described cations and anions are arbitrarily combined. Specific examples of salt (I) are shown in the table below.
In the table below, each code represents the code attached to the structure representing the anion or cation described above, and "~" indicates that the salt (I) corresponds to the anion (I) or the cation (I) respectively. show. For example, salt (I-1) is a salt consisting of an anion represented by formula (Ia-1) and a cation represented by formula (Ic-1), and salt (I-2) is represented by formula ( A salt consisting of an anion represented by Ia-2) and a cation represented by formula (Ic-1), a salt (I-39) is an anion represented by formula (Ia-1) and a formula A salt consisting of the cation shown by (Ic-2). Further, the salt (I-2889) is a salt consisting of the anion represented by the formula (Ia-39) and the cation represented by the formula (Ic-1), and the salt (I-2890) is represented by the formula ( Ia-39) a salt consisting of an anion represented by formula (Ic-2) and a cation represented by formula (Ic-2), a salt (I-2965) is an anion represented by formula (Ia-40) and a formula (Ic-1) and a cation represented by (Ic-1).
Figure 2023016037000055
Figure 2023016037000056


Figure 2023016037000057

中でも、塩(I)は、式(I-a-1)~式(I-a-4)、式(I-a-7)~式(I-a-11)、式(I-a-14)~式(I-a-30)及び式(I-a-35)~式(I-a-41)のいずれかで表されるアニオンと式(I-c-1)~式(I-c-76)のいずれかで表されるカチオンとを組み合わせた塩が好ましく、具体的には、塩(I-1)~塩(I-4)、塩(I-7)~塩(I-11)、塩(I-14)~塩(I-30)、塩(I-35)~塩(I-38)、塩(I-39)~塩(I-42)、塩(I-45)~塩(I-49)、塩(I-52)~塩(I-68)、塩(I-73)~塩(I-76)、塩(I-77)~塩(I-80)、塩(I-83)~塩(I-87)、塩(I-90)~塩(I-106)、塩(I-111)~塩(I-114)、塩(I-115)~塩(I-118)、塩(I-121)~塩(I-125)、塩(I-128)~塩(I-144)、塩(I-149)~塩(I-152)、塩(I-153)~塩(I-156)、塩(I-159)~塩(I-163)、塩(I-166)~塩(I-182)、塩(I-187)~塩(I-190)、塩(I-191)~塩(I-194)、塩(I-197)~塩(I-201)、塩(I-204)~塩(I-220)、塩(I-225)~塩(I-228)、塩(I-229)~塩(I-232)、塩(I-235)~塩(I-239)、塩(I-242)~塩(I-258)、塩(I-263)~塩(I-266)、塩(I-267)~塩(I-270)、塩(I-273)~塩(I-277)、塩(I-280)~塩(I-296)、塩(I-301)~塩(I-304)、塩(I-305)~塩(I-308)、塩(I-311)~塩(I-315)、塩(I-318)~塩(I-334)、塩(I-339)~塩(I-342)、塩(I-343)~塩(I-346)、塩(I-349)~塩(I-353)、塩(I-356)~塩(I-372)、塩(I-377)~塩(I-380)、塩(I-381)~塩(I-384)、塩(I-387)~塩(I-391)、塩(I-394)~塩(I-410)、塩(I-415)~塩(I-418)、塩(I-419)~塩(I-422)、塩(I-425)~塩(I-429)、塩(I-432)~塩(I-448)、塩(I-453)~塩(I-456)、塩(I-457)~塩(I-460)、塩(I-463)~塩(I-467)、塩(I-470)~塩(I-486)、塩(I-491)~塩(I-494)、塩(I-495)~塩(I-498)、塩(I-501)~塩(I-505)、塩(I-508)~塩(I-524)、塩(I-529)~塩(I-532)、塩(I-533)~塩(I-536)、塩(I-539)~塩(I-543)、塩(I-546)~塩(I-562)、塩(I-567)~塩(I-570)、塩(I-571)~塩(I-574)、塩(I-577)~塩(I-581)、塩(I-584)~塩(I-600)、塩(I-605)~塩(I-608)、塩(I-609)~塩(I-612)、塩(I-615)~塩(I-619)、塩(I-622)~塩(I-638)、塩(I-643)~塩(I-646)、塩(I-647)~塩(I-650)、塩(I-653)~塩(I-657)、塩(I-660)~塩(I-676)、塩(I-681)~塩(I-684)、塩(I-685)~塩(I-688)、塩(I-691)~塩(I-695)、塩(I-698)~塩(I-714)、塩(I-719)~塩(I-722)、塩(I-723)~塩(I-726)、塩(I-729)~塩(I-733)、塩(I-736)~塩(I-752)、塩(I-757)~塩(I-760)、塩(I-761)~塩(I-764)、塩(I-767)~塩(I-771)、塩(I-774)~塩(I-790)、塩(I-795)~塩(I-798)、塩(I-799)~塩(I-802)、塩(I-805)~塩(I-809)、塩(I-812)~塩(I-828)、塩(I-833)~塩(I-836)、塩(I-837)~塩(I-840)、塩(I-843)~塩(I-847)、塩(I-850)~塩(I-866)、塩(I-871)~塩(I-874)、塩(I-875)~塩(I-878)、塩(I-881)~塩(I-885)、塩(I-888)~塩(I-904)、塩(I-909)~塩(I-912)、塩(I-913)~塩(I-916)、塩(I-919)~塩(I-923)、塩(I-926)~塩(I-942)、塩(I-947)~塩(I-950)、塩(I-951)~塩(I-954)、塩(I-957)~塩(I-961)、塩(I-964)~塩(I-980)、塩(I-985)~塩(I-988)、塩(I-989)~塩(I-992)、塩(I-995)~塩(I-999)、塩(I-1002)~塩(I-1018)、塩(I-1023)~塩(I-1026)、塩(I-1027)~塩(I-1030)、塩(I-1033)~塩(I-1037)、塩(I-1040)~塩(I-1056)、塩(I-1061)~塩(I-1064)、塩(I-1065)~塩(I-1068)、塩(I-1071)~塩(I-1075)、塩(I-1078)~塩(I-1094)、塩(I-1099)~塩(I-1102)、塩(I-1103)~塩(I-1106)、塩(I-1109)~塩(I-1113)、塩(I-1116)~塩(I-1132)、塩(I-1137)~塩(I-1140)、塩(I-1141)~塩(I-1144)、塩(I-1147)~塩(I-1151)、塩(I-1154)~塩(I-1170)、塩(I-1175)~塩(I-1178)、塩(I-1179)~塩(I-1182)、塩(I-1185)~塩(I-1189)、塩(I-1192)~塩(I-1208)、塩(I-1213)~塩(I-1216)、塩(I-1217)~塩(I-1220)、塩(I-1223)~塩(I-1227)、塩(I-1230)~塩(I-1246)、塩(I-1251)~塩(I-1254)、塩(I-1255)~塩(I-1258)、塩(I-1261)~塩(I-1265)、塩(I-1268)~塩(I-1284)、塩(I-1289)~塩(I-1292)、塩(I-1293)~塩(I-1296)、塩(I-1299)~塩(I-1303)、塩(I-1306)~塩(I-1322)、塩(I-1327)~塩(I-1330)、塩(I-1331)~塩(I-1334)、塩(I-1337)~塩(I-1341)、塩(I-1344)~塩(I-1360)、塩(I-1365)~塩(I-1368)、塩(I-1369)~塩(I-1372)、塩(I-1375)~塩(I-1379)、塩(I-1382)~塩(I-1398)、塩(I-1403)~塩(I-1406)、塩(I-1407)~塩(I-1410)、塩(I-1413)~塩(I-1417)、塩(I-1420)~塩(I-1436)、塩(I-1441)~塩(I-1444)、塩(I-1445)~塩(I-1448)、塩(I-1451)~塩(I-1455)、塩(I-1458)~塩(I-1474)、塩(I-1479)~塩(I-1482)、塩(I-1483)~塩(I-1486)、塩(I-1489)~塩(I-1493)、塩(I-1496)~塩(I-1512)、塩(I-1517)~塩(I-1520)、塩(I-1521)~塩(I-1524)、塩(I-1527)~塩(I-1531)、塩(I-1534)~塩(I-1550)、塩(I-1555)~塩(I-1558)、塩(I-1559)~塩(I-1562)、塩(I-1565)~塩(I-1569)、塩(I-1572)~塩(I-1588)、塩(I-1593)~塩(I-1596)、塩(I-1597)~塩(I-1600)、塩(I-1603)~塩(I-1607)、塩(I-1610)~塩(I-1626)、塩(I-1631)~塩(I-1634)、塩(I-1635)~塩(I-1638)、塩(I-1641)~塩(I-1645)、塩(I-1648)~塩(I-1664)、塩(I-1669)~塩(I-1672)、塩(I-1673)~塩(I-1676)、塩(I-1679)~塩(I-1683)、塩(I-1686)~塩(I-1702)、塩(I-1707)~塩(I-1710)、塩(I-1711)~塩(I-1714)、塩(I-1717)~塩(I-1721)、塩(I-1724)~塩(I-1740)、塩(I-1745)~塩(I-1748)、塩(I-1749)~塩(I-1752)、塩(I-1755)~塩(I-1759)、塩(I-1762)~塩(I-1778)、塩(I-1783)~塩(I-1786)、塩(I-1787)~塩(I-1790)、塩(I-1793)~塩(I-1797)、塩(I-1800)~塩(I-1816)、塩(I-1821)~塩(I-1824)、塩(I-1825)~塩(I-1828)、塩(I-1831)~塩(I-1835)、塩(I-1838)~塩(I-1854)、塩(I-1859)~塩(I-1862)、塩(I-1863)~塩(I-1866)、塩(I-1869)~塩(I-1873)、塩(I-1876)~塩(I-1892)、塩(I-1897)~塩(I-1900)、塩(I-1901)~塩(I-1904)、塩(I-1907)~塩(I-1911)、塩(I-1914)~塩(I-1930)、塩(I-1935)~塩(I-1938)、塩(I-1939)~塩(I-1942)、塩(I-1945)~塩(I-1949)、塩(I-1952)~塩(I-1968)、塩(I-1973)~塩(I-1976)、塩(I-1977)~塩(I-1980)、塩(I-1983)~塩(I-1987)、塩(I-1990)~塩(I-2006)、塩(I-2011)~塩(I-2014)、塩(I-2015)~塩(I-2018)、塩(I-2021)~塩(I-2025)、塩(I-2028)~塩(I-2044)、塩(I-2049)~塩(I-2052)、塩(I-2053)~塩(I-2056)、塩(I-2059)~塩(I-2063)、塩(I-2066)~塩(I-2082)、塩(I-2087)~塩(I-2090)、塩(I-2091)~塩(I-2094)、塩(I-2097)~塩(I-2101)、塩(I-2104)~塩(I-2120)、塩(I-2125)~塩(I-2128)、塩(I-2129)~塩(I-2132)、塩(I-2135)~塩(I-2139)、塩(I-2142)~塩(I-2158)、塩(I-2163)~塩(I-2166)、塩(I-2167)~塩(I-2170)、塩(I-2173)~塩(I-2177)、塩(I-2180)~塩(I-2196)、塩(I-2201)~塩(I-2204)、塩(I-2205)~塩(I-2208)、塩(I-2211)~塩(I-2215)、塩(I-2218)~塩(I-2234)、塩(I-2239)~塩(I-2242)、塩(I-2243)~塩(I-2246)、塩(I-2249)~塩(I-2253)、塩(I-2256)~塩(I-2272)、塩(I-2277)~塩(I-2280)、塩(I-2281)~塩(I-2284)、塩(I-2287)~塩(I-2291)、塩(I-2294)~塩(I-2310)、塩(I-2315)~塩(I-2318)、塩(I-2319)~塩(I-2322)、塩(I-2325)~塩(I-2329)、塩(I-2332)~塩(I-2348)、塩(I-2353)~塩(I-2356)、塩(I-2357)~塩(I-2360)、塩(I-2363)~塩(I-2367)、塩(I-2370)~塩(I-2386)、塩(I-2391)~塩(I-2394)、塩(I-2395)~塩(I-2398)、塩(I-2401)~塩(I-2405)、塩(I-2408)~塩(I-2424)、塩(I-2429)~塩(I-2432)、塩(I-2433)~塩(I-2436)、塩(I-2439)~塩(I-2443)、塩(I-2446)~塩(I-2462)、塩(I-2467)~塩(I-2470)、塩
(I-2471)~塩(I-2474)、塩(I-2477)~塩(I-2481)、塩(I-2484)~塩(I-2500)、塩(I-2505)~塩(I-2508)、塩(I-2509)~塩(I-2512)、塩(I-2515)~塩(I-2519)、塩(I-2522)~塩(I-2538)、塩(I-2543)~塩(I-2546)、塩(I-2547)~塩(I-2550)、塩(I-2553)~塩(I-2557)、塩(I-2560)~塩(I-2576)、塩(I-2581)~塩(I-2584)、塩(I-2585)~塩(I-2588)、塩(I-2591)~塩(I-2595)、塩(I-2598)~塩(I-2614)、塩(I-2619)~塩(I-2622)、塩(I-2623)~塩(I-2626)、塩(I-2629)~塩(I-2633)、塩(I-2636)~塩(I-2652)、塩(I-2657)~塩(I-2660)、塩(I-2661)~塩(I-2664)、塩(I-2667)~塩(I-2671)、塩(I-2674)~塩(I-2690)、塩(I-2695)~塩(I-2698)、塩(I-2699)~塩(I-2702)、塩(I-2705)~塩(I-2709)、塩(I-2712)~塩(I-2728)、塩(I-2733)~塩(I-2736)、塩(I-2737)~塩(I-2740)、塩(I-2743)~塩(I-2747)、塩(I-2750)~塩(I-2766)、塩(I-2771)~塩(I-2774)、塩(I-2775)~塩(I-2778)、塩(I-2781)~塩(I-2785)、塩(I-2788)~塩(I-2804)、塩(I-2809)~塩(I-2812)、塩(I-2813)~塩(I-2816)、塩(I-2819)~塩(I-2823)、塩(I-2826)~塩(I-2842)、塩(I-2847)~塩(I-2850)、塩(I-2851)~塩(I-2854)、塩(I-2857)~塩(I-2861)、塩(I-2864)~塩(I-2880)、塩(I-2885)~塩(I-2888)、塩(I-2889)~塩(I-3116)であることが好ましい。
Among them, the salt (I) is represented by formulas (Ia-1) to (Ia-4), formulas (Ia-7) to (Ia-11), formulas (Ia- 14) ~ Formula (Ia-30) and Formula (Ia-35) ~ Formula (Ia-41) and the anion represented by any one of Formula (Ic-1) ~ Formula (I -c-76) is preferably a salt combined with a cation represented by any one, specifically, salt (I-1) to salt (I-4), salt (I-7) to salt (I -11), salt (I-14) to salt (I-30), salt (I-35) to salt (I-38), salt (I-39) to salt (I-42), salt (I- 45) ~ Salt (I-49), Salt (I-52) ~ Salt (I-68), Salt (I-73) ~ Salt (I-76), Salt (I-77) ~ Salt (I-80) ), salt (I-83) to salt (I-87), salt (I-90) to salt (I-106), salt (I-111) to salt (I-114), salt (I-115) to salt (I-118), salt (I-121) to salt (I-125), salt (I-128) to salt (I-144), salt (I-149) to salt (I-152), Salt (I-153) ~ Salt (I-156), Salt (I-159) ~ Salt (I-163), Salt (I-166) ~ Salt (I-182), Salt (I-187) ~ Salt (I-190), salt (I-191) to salt (I-194), salt (I-197) to salt (I-201), salt (I-204) to salt (I-220), salt ( I-225) ~ Salt (I-228), Salt (I-229) ~ Salt (I-232), Salt (I-235) ~ Salt (I-239), Salt (I-242) ~ Salt (I -258), salt (I-263) to salt (I-266), salt (I-267) to salt (I-270), salt (I-273) to salt (I-277), salt (I- 280) to salt (I-296), salt (I-301) to salt (I-304), salt (I-305) to salt (I-308), salt (I-311) to salt (I-315) ), salt (I-318) to salt (I-334), salt (I-339) to salt (I-342), salt (I-343) to salt (I-346), salt (I-349) ~ Salt (I-353), Salt (I-356) ~ Salt (I-372), Salt (I-377) ~ Salt (I-380), Salt (I-381) ~ Salt (I-384), Salt (I-387) ~ Salt (I-391), Salt (I-394) ~ Salt (I-410), Salt (I-415) ~ Salt (I-418), Salt (I-419) ~ Salt (I-422), salt (I-425) to salt (I-429), salt (I-432) to salt (I-448), salt (I-453) to salt (I-456), salt ( I-4 57) ~ Salt (I-460), Salt (I-463) ~ Salt (I-467), Salt (I-470) ~ Salt (I-486), Salt (I-491) ~ Salt (I-494) ), salt (I-495) to salt (I-498), salt (I-501) to salt (I-505), salt (I-508) to salt (I-524), salt (I-529) ~ Salt (I-532), Salt (I-533) ~ Salt (I-536), Salt (I-539) ~ Salt (I-543), Salt (I-546) ~ Salt (I-562), Salt (I-567) ~ Salt (I-570), Salt (I-571) ~ Salt (I-574), Salt (I-577) ~ Salt (I-581), Salt (I-584) ~ Salt (I-600), salt (I-605) to salt (I-608), salt (I-609) to salt (I-612), salt (I-615) to salt (I-619), salt ( I-622) ~ Salt (I-638), Salt (I-643) ~ Salt (I-646), Salt (I-647) ~ Salt (I-650), Salt (I-653) ~ Salt (I -657), salt (I-660) to salt (I-676), salt (I-681) to salt (I-684), salt (I-685) to salt (I-688), salt (I- 691) to salt (I-695), salt (I-698) to salt (I-714), salt (I-719) to salt (I-722), salt (I-723) to salt (I-726) ), salt (I-729) to salt (I-733), salt (I-736) to salt (I-752), salt (I-757) to salt (I-760), salt (I-761) ~ Salt (I-764), Salt (I-767) ~ Salt (I-771), Salt (I-774) ~ Salt (I-790), Salt (I-795) ~ Salt (I-798), Salt (I-799) ~ Salt (I-802), Salt (I-805) ~ Salt (I-809), Salt (I-812) ~ Salt (I-828), Salt (I-833) ~ Salt (I-836), salt (I-837) to salt (I-840), salt (I-843) to salt (I-847), salt (I-850) to salt (I-866), salt ( I-871) ~ Salt (I-874), Salt (I-875) ~ Salt (I-878), Salt (I-881) ~ Salt (I-885), Salt (I-888) ~ Salt (I -904), salt (I-909) to salt (I-912), salt (I-913) to salt (I-916), salt (I-919) to salt (I-923), salt (I- 926) to salt (I-942), salt (I-947) to salt (I-950), salt (I-951) to salt (I-954), salt (I-957) to salt (I-961) ), salt (I-964) ~ salt (I-980), salt (I-985) ~ salt (I-98 8), salt (I-989) to salt (I-992), salt (I-995) to salt (I-999), salt (I-1002) to salt (I-1018), salt (I-1023 ) to salt (I-1026), salt (I-1027) to salt (I-1030), salt (I-1033) to salt (I-1037), salt (I-1040) to salt (I-1056) , Salt (I-1061) ~ Salt (I-1064), Salt (I-1065) ~ Salt (I-1068), Salt (I-1071) ~ Salt (I-1075), Salt (I-1078) ~ Salt (I-1094), Salt (I-1099) to Salt (I-1102), Salt (I-1103) to Salt (I-1106), Salt (I-1109) to Salt (I-1113), Salt (I-1116) to salt (I-1132), salt (I-1137) to salt (I-1140), salt (I-1141) to salt (I-1144), salt (I-1147) to salt ( I-1151), salt (I-1154) to salt (I-1170), salt (I-1175) to salt (I-1178), salt (I-1179) to salt (I-1182), salt (I -1185) to salt (I-1189), salt (I-1192) to salt (I-1208), salt (I-1213) to salt (I-1216), salt (I-1217) to salt (I- 1220), salt (I-1223) to salt (I-1227), salt (I-1230) to salt (I-1246), salt (I-1251) to salt (I-1254), salt (I-1255 ) to salt (I-1258), salt (I-1261) to salt (I-1265), salt (I-1268) to salt (I-1284), salt (I-1289) to salt (I-1292) , Salt (I-1293) ~ Salt (I-1296), Salt (I-1299) ~ Salt (I-1303), Salt (I-1306) ~ Salt (I-1322), Salt (I-1327) ~ Salt (I-1330), Salt (I-1331) to Salt (I-1334), Salt (I-1337) to Salt (I-1341), Salt (I-1344) to Salt (I-1360), Salt (I-1365) to salt (I-1368), salt (I-1369) to salt (I-1372), salt (I-1375) to salt (I-1379), salt (I-1382) to salt ( I-1398), salt (I-1403) to salt (I-1406), salt (I-1407) to salt (I-1410), salt (I-1413) to salt (I-1417), salt (I -1420) to salt (I-1436), salt (I-1441) to salt (I-1444), salt (I-1445) to salt (I-1448), salt (I-1451) to salt (I- 1455), salt (I-1458) to salt (I-1474), salt (I-1479) to salt (I-1482), salt (I-1483) to salt (I-1486), salt (I-1489) to salt ( I-1493), salt (I-1496) to salt (I-1512), salt (I-1517) to salt (I-1520), salt (I-1521) to salt (I-1524), salt (I -1527) to salt (I-1531), salt (I-1534) to salt (I-1550), salt (I-1555) to salt (I-1558), salt (I-1559) to salt (I- 1562), salt (I-1565) to salt (I-1569), salt (I-1572) to salt (I-1588), salt (I-1593) to salt (I-1596), salt (I-1597 ) to salt (I-1600), salt (I-1603) to salt (I-1607), salt (I-1610) to salt (I-1626), salt (I-1631) to salt (I-1634) , Salt (I-1635) ~ Salt (I-1638), Salt (I-1641) ~ Salt (I-1645), Salt (I-1648) ~ Salt (I-1664), Salt (I-1669) ~ Salt (I-1672), Salt (I-1673) to Salt (I-1676), Salt (I-1679) to Salt (I-1683), Salt (I-1686) to Salt (I-1702), Salt (I-1707) to salt (I-1710), salt (I-1711) to salt (I-1714), salt (I-1717) to salt (I-1721), salt (I-1724) to salt ( I-1740), salt (I-1745) to salt (I-1748), salt (I-1749) to salt (I-1752), salt (I-1755) to salt (I-1759), salt (I -1762) to salt (I-1778), salt (I-1783) to salt (I-1786), salt (I-1787) to salt (I-1790), salt (I-1793) to salt (I- 1797), salt (I-1800) to salt (I-1816), salt (I-1821) to salt (I-1824), salt (I-1825) to salt (I-1828), salt (I-1831 ) to salt (I-1835), salt (I-1838) to salt (I-1854), salt (I-1859) to salt (I-1862), salt (I-1863) to salt (I-1866) , Salt (I-1869) ~ Salt (I-1873), Salt (I-1876) ~ Salt (I-1892), Salt (I-1897) ~ Salt (I-1900), Salt (I-1901) ~ Salt (I-1904), Salt (I-1907) to Salt (I-1911), Salt (I-1914) to Salt (I-1930), Salt (I-1935) to Salt (I-1938), Salt (I-1939) to salt (I-1942), salt (I-1945) to salt (I-1949), salt (I-1952) to salt (I-1968), salt (I-1973) to salt ( I-1976), salt (I-1977) to salt (I-1980), salt (I-1983) to salt (I-1987), salt (I-1990) to salt (I-2006), salt (I -2011) to salt (I-2014), salt (I-2015) to salt (I-2018), salt (I-2021) to salt (I-2025), salt (I-2028) to salt (I- 2044), salt (I-2049) to salt (I-2052), salt (I-2053) to salt (I-2056), salt (I-2059) to salt (I-2063), salt (I-2066 ) to salt (I-2082), salt (I-2087) to salt (I-2090), salt (I-2091) to salt (I-2094), salt (I-2097) to salt (I-2101) , Salt (I-2104) ~ Salt (I-2120), Salt (I-2125) ~ Salt (I-2128), Salt (I-2129) ~ Salt (I-2132), Salt (I-2135) ~ Salt (I-2139), Salt (I-2142) to Salt (I-2158), Salt (I-2163) to Salt (I-2166), Salt (I-2167) to Salt (I-2170), Salt (I-2173) ~ salt (I-2177), salt (I-2180) ~ salt (I-2196), salt (I-2201) ~ salt (I-2204), salt (I-2205) ~ salt ( I-2208), salt (I-2211) to salt (I-2215), salt (I-2218) to salt (I-2234), salt (I-2239) to salt (I-2242), salt (I -2243) to salt (I-2246), salt (I-2249) to salt (I-2253), salt (I-2256) to salt (I-2272), salt (I-2277) to salt (I- 2280), salt (I-2281) to salt (I-2284), salt (I-2287) to salt (I-2291), salt (I-2294) to salt (I-2310), salt (I-2315 ) to salt (I-2318), salt (I-2319) to salt (I-2322), salt (I-2325) to salt (I-2329), salt (I-2332) to salt (I-2348) , Salt (I-2353) ~ Salt (I-2356), Salt (I-2357) ~ Salt (I-2360), Salt (I-2363) ~ Salt (I-2367), Salt (I-2370) ~ Salt (I-2386), Salt (I-2391) to Salt (I-2394), Salt (I-2395) to Salt (I-2398), Salt (I-2401) to Salt (I-2405), Salt (I-2408) to salt (I-2424), salt (I-2429) to salt (I-2432), salt (I-2433) to salt (I-2436), salt (I-2439) to salt ( I-2443), salt (I-2446) to salt (I-2462), salt (I-2467) to salt (I-2470), salt (I-2471) to salt (I-2474), salt (I -2477) ~ Salt (I-2481), Salt (I-2484) ~ Salt (I-2500), Salt (I-2505) ~ Salt (I-2508), Salt (I-2509) ~ Salt (I- 2512), salt (I-2515) to salt (I-2519), salt (I-2522) to salt (I-2538), salt (I-2543) to salt (I-2546), salt (I-2547 ) to salt (I-2550), salt (I-2553) to salt (I-2557), salt (I-2560) to salt (I-2576), salt (I-2581) to salt (I-2584) , Salt (I-2585) ~ Salt (I-2588), Salt (I-2591) ~ Salt (I-2595), Salt (I-2598) ~ Salt (I-2614), Salt (I-2619) ~ Salt (I-2622), Salt (I-2623) to Salt (I-2626), Salt (I-2629) to Salt (I-2633), Salt (I-2636) to Salt (I-2652), Salt (I-2657) to salt (I-2660), salt (I-2661) to salt (I-2664), salt (I-2667) to salt (I-2671), salt (I-2674) to salt ( I-2690), salt (I-2695) to salt (I-2698), salt (I-2699) to salt (I-2702), salt (I-2705) to salt (I-2709), salt (I -2712) to salt (I-2728), salt (I-2733) to salt (I-2736), salt (I-2737) to salt (I-2740), salt (I-2743) to salt (I- 2747), salt (I-2750) to salt (I-2766), salt (I-2771) to salt (I-2774), salt (I-2775) to salt (I-2778), salt (I-2781) ) to salt (I-2785), salt (I-2788) to salt (I-2804), salt (I-2809) to salt (I-2812), salt (I-2813) to salt (I-2816) , Salt (I-2819) ~ Salt (I-2823), Salt (I-2826) ~ Salt (I-2842), Salt (I-2847) ~ Salt (I-2850), Salt (I-2851) ~ Salt (I-2854), Salt (I-2857) to Salt (I-2861), Salt (I-2864) to Salt (I-2880), Salt (I-2885) to Salt (I-2888), Salt (I-2889) to salt (I-3116) are preferred.

<塩(I)の製造方法>
塩(I)は、式(I-a)で表される塩と、式(I-b)で表される塩とを、溶剤中で反応させることにより製造することができる。

Figure 2023016037000058
[式中、全ての符号は、それぞれ前記と同じ意味を表す。RA、RB及びRCは、それぞれ独立に、炭素数1~12の炭化水素基を表すか、又は、RA、RB及びRCが一緒になって芳香環を形成してもよい。RDは、水素原子又は炭素数1~12の炭化水素基を表す。]
溶剤としては、クロロホルム、モノクロロベンゼン、アセトニトリル、水などが挙げられる。
反応温度は、通常15℃~80℃であり、反応時間は、通常0.5~24時間である。<Method for producing salt (I)>
Salt (I) can be produced by reacting a salt represented by formula (Ia) with a salt represented by formula (Ib) in a solvent.
Figure 2023016037000058
[In the formula, all symbols have the same meanings as described above. RA , RB and RC each independently represent a hydrocarbon group having 1 to 12 carbon atoms, or RA , RB and RC together may form an aromatic ring. . RD represents a hydrogen atom or a hydrocarbon group having 1 to 12 carbon atoms. ]
Solvents include chloroform, monochlorobenzene, acetonitrile, water and the like.
The reaction temperature is generally 15° C. to 80° C., and the reaction time is generally 0.5 to 24 hours.

式(I-b)で表される塩としては、下記式で表される塩等が挙げられる。これらの塩は、特開2011-116747号公報、特開2016-047815号公報に記載の方法と同様の方法、又は、公知の製法により容易に製造することができる。

Figure 2023016037000059
Examples of the salt represented by formula (Ib) include salts represented by the following formula. These salts can be easily produced by methods similar to those described in JP-A-2011-116747 and JP-A-2016-047815, or by known production methods.
Figure 2023016037000059

塩(I-a)において、R、R及びRが、*-O-L10-CO-O-R10である塩(式(I-a1)で表される塩)は、式(I-c)で表される塩と式(I-d)で表される化合物とを、塩基触媒存在下、溶剤中で反応させることにより製造することができる。

Figure 2023016037000060
[式中、全ての符号は、それぞれ前記と同じ意味を表す。]
塩基としては、炭酸カリウム、ヨウ化カリウム、ピリジン、トリエチルアミンなどが挙げられる。
溶剤としては、クロロホルム、モノクロロベンゼン、ジメチルホルムアミド、アセトニトリル、酢酸エチル、水などが挙げられる。
反応温度は、通常15℃~80℃であり、反応時間は、通常0.5~24時間である。In salt (Ia), R1 , R2 and R3 are *—OL10 —CO—OR10 (salt represented by formula (I-a1)) is represented by the formula It can be produced by reacting a salt represented by (Ic) with a compound represented by formula (Id) in the presence of a base catalyst in a solvent.
Figure 2023016037000060
[In the formula, all symbols have the same meanings as described above. ]
Bases include potassium carbonate, potassium iodide, pyridine, triethylamine and the like.
Solvents include chloroform, monochlorobenzene, dimethylformamide, acetonitrile, ethyl acetate, water and the like.
The reaction temperature is generally 15° C. to 80° C., and the reaction time is generally 0.5 to 24 hours.

式(I-d)で表される化合物は、例えば、以下で表される化合物などが挙げられ、市場より容易に入手することができ、また、公知の製法により容易に製造することもできる。

Figure 2023016037000061
Compounds represented by formula (Id) include, for example, compounds represented by the following, are readily available on the market, and can be easily produced by known production methods.
Figure 2023016037000061

式(I-c)で表される塩は、式(I-e)で表される塩と、式(I-f1)で表される化合物と、式(I-f2)で表される化合物と、式(I-f3)で表される化合物とを、触媒存在下、溶剤中で反応させることにより製造することができる。

Figure 2023016037000062
[式中、全ての符号は、それぞれ前記と同じ意味を表す。]
触媒としては、炭酸カリウム、水素化ナトリウムなどが挙げられる。
溶剤としては、クロロホルム、モノクロロベンゼン、アセトニトリル、水などが挙げられる。
反応温度は、通常15℃~100℃であり、反応時間は、通常0.5~24時間である。The salt represented by formula (Ic) is a salt represented by formula (Ie), a compound represented by formula (If1), and a compound represented by formula (I-f2). and a compound represented by formula (I-f3) in the presence of a catalyst in a solvent.
Figure 2023016037000062
[In the formula, all symbols have the same meanings as described above. ]
Examples of catalysts include potassium carbonate and sodium hydride.
Solvents include chloroform, monochlorobenzene, acetonitrile, water and the like.
The reaction temperature is generally 15° C. to 100° C., and the reaction time is generally 0.5 to 24 hours.

式(I-e)で表される塩としては、下記式で表される塩等が挙げられ、市場より容易に入手することができる。

Figure 2023016037000063
Examples of the salt represented by the formula (Ie) include salts represented by the following formula, etc., which are readily available on the market.
Figure 2023016037000063

式(I-f1)で表される化合物、式(I-f2)で表される化合物及び式(I-f3)で表される化合物としては、以下で表される化合物等が挙げられ、市場より容易に入手することができる。

Figure 2023016037000064
Examples of the compound represented by the formula (I-f1), the compound represented by the formula (I-f2) and the compound represented by the formula (I-f3) include compounds represented by the following. more readily available.
Figure 2023016037000064

式(I-c)で表される塩は、式(I-e)で表される塩と、式(I-f4)で表される化合物と、式(I-f5)で表される化合物と、式(I-f6)で表される化合物とを、炭酸カリウムの存在下、溶剤中で反応させた後、酸処理することにより製造することもできる。

Figure 2023016037000065
[式中、全ての符号は、それぞれ前記と同じ意味を表す。
acは、酸不安定基を表す。]
溶剤としては、クロロホルム、モノクロロベンゼン、アセトニトリル、水などが挙げられる。
反応温度は、通常15℃~100℃であり、反応時間は、通常0.5~24時間である。
酸としては、p-トルエンスルホン酸、塩酸などが挙げられる。The salt represented by formula (Ic) is a salt represented by formula (Ie), a compound represented by formula (I-f4), and a compound represented by formula (I-f5). and a compound represented by formula (I-f6) in the presence of potassium carbonate in a solvent, followed by acid treatment.
Figure 2023016037000065
[In the formula, all symbols have the same meanings as described above.
Rac represents an acid labile group. ]
Solvents include chloroform, monochlorobenzene, acetonitrile, water and the like.
The reaction temperature is generally 15° C. to 100° C., and the reaction time is generally 0.5 to 24 hours.
Examples of acids include p-toluenesulfonic acid and hydrochloric acid.

式(I-f4)で表される化合物、式(I-f5)で表される化合物及び式(I-f6)で表される化合物としては、以下で表される化合物等が挙げられ、市場より容易に入手することができる。

Figure 2023016037000066
The compound represented by the formula (I-f4), the compound represented by the formula (I-f5) and the compound represented by the formula (I-f6) include the compounds represented by the following, etc. more readily available.
Figure 2023016037000066

塩(I-a)において、R、R及びRが、*-O-R10である塩(式(I-a2)で表される塩)は、式(I-c)で表される塩と式(I-d2)で表される化合物とを、塩基触媒存在下、溶剤中で反応させることにより製造することができる。

Figure 2023016037000067
[式中、全ての符号は、それぞれ前記と同じ意味を表す。]
塩基としては、水酸化ナトリウム、水酸化カリウムなどが挙げられる。
溶剤としては、クロロホルム、モノクロロベンゼン、ジメチルホルムアミド、アセトニトリル、酢酸エチル、水などが挙げられる。
反応温度は、通常15℃~80℃であり、反応時間は、通常0.5~24時間である。In the salt (Ia), the salt in which R1 , R2 and R3 are *-OR10 (the salt represented by the formula (I-a2)) is represented by the formula (Ic) It can be produced by reacting a salt of formula (I-d2) with a compound represented by formula (I-d2) in the presence of a base catalyst in a solvent.
Figure 2023016037000067
[In the formula, all symbols have the same meanings as described above. ]
Bases include sodium hydroxide, potassium hydroxide and the like.
Solvents include chloroform, monochlorobenzene, dimethylformamide, acetonitrile, ethyl acetate, water and the like.
The reaction temperature is generally 15° C. to 80° C., and the reaction time is generally 0.5 to 24 hours.

式(I-d2)で表される化合物は、例えば、以下で表される化合物などが挙げられ、市場より容易に入手することができ、また、公知の製法により容易に製造することもできる。

Figure 2023016037000068
Compounds represented by formula (I-d2) include, for example, compounds represented by the following, which are readily available on the market and can be easily produced by known production methods.
Figure 2023016037000068

塩(I-a)において、R、R及びRが、*-O-CO-O-R10である塩(式(I-a3)で表される塩)は、式(I-c)で表される塩と式(I-d2)で表される化合物とを、カルボニルジイミダゾール存在下、溶剤中で反応させることにより製造することができる。

Figure 2023016037000069
[式中、全ての符号は、それぞれ前記と同じ意味を表す。]
溶剤としては、クロロホルム、モノクロロベンゼン、ジメチルホルムアミド、アセトニトリル、酢酸エチル、水などが挙げられる。
反応温度は、通常15℃~80℃であり、反応時間は、通常0.5~24時間である。Thesalt(I- It can be produced by reacting a salt represented by c) with a compound represented by formula (I-d2) in the presence of carbonyldiimidazole in a solvent.
Figure 2023016037000069
[In the formula, all symbols have the same meanings as described above. ]
Solvents include chloroform, monochlorobenzene, dimethylformamide, acetonitrile, ethyl acetate, water and the like.
The reaction temperature is generally 15° C. to 80° C., and the reaction time is generally 0.5 to 24 hours.

塩(I-a)において、R、R及びRが、*-O-CO-R10である塩(式(I-a4)で表される塩)は、式(I-d4)で表される化合物とカルボニルジイミダゾールとを溶剤中で反応させた後、さらに、式(I-c)で表される塩を反応させることにより製造することができる。

Figure 2023016037000070
[式中、全ての符号は、それぞれ前記と同じ意味を表す。]
溶剤としては、クロロホルム、モノクロロベンゼン、ジメチルホルムアミド、アセトニトリル、酢酸エチル、水などが挙げられる。
反応温度は、通常15℃~80℃であり、反応時間は、通常0.5~24時間である。In salt (Ia), R1 , R2 and R3 are *—O—CO—R10 (salt represented by formula (I-a4)) is represented by formula (I-d4) It can be produced by reacting a compound represented by and carbonyldiimidazole in a solvent, and then reacting a salt represented by formula (Ic).
Figure 2023016037000070
[In the formula, all symbols have the same meanings as described above. ]
Solvents include chloroform, monochlorobenzene, dimethylformamide, acetonitrile, ethyl acetate, water and the like.
The reaction temperature is generally 15° C. to 80° C., and the reaction time is generally 0.5 to 24 hours.

式(I-d4)で表される化合物は、例えば、以下で表される化合物などが挙げられ、市場より容易に入手することができ、また、公知の製法により容易に製造することもできる。

Figure 2023016037000071
Compounds represented by formula (I-d4) include, for example, compounds represented by the following, which are readily available on the market and can be easily produced by known production methods.
Figure 2023016037000071

塩(I-a)において、R、R及びRが、*-O-CO-R10である塩(式(I-a4)で表される塩)は、式(I-c)で表される塩と式(I-d5)で表される化合物とを、塩基触媒存在下、溶剤中で反応させることにより製造することもできる。

Figure 2023016037000072
[式中、全ての符号は、それぞれ前記と同じ意味を表す。]
塩基としては、炭酸カリウム、ヨウ化カリウム、ピリジン、トリエチルアミンなどが挙げられる。
溶剤としては、クロロホルム、モノクロロベンゼン、ジメチルホルムアミド、アセトニトリル、酢酸エチル、水などが挙げられる。
反応温度は、通常15℃~80℃であり、反応時間は、通常0.5~24時間である。In salt (Ia), R1 , R2 and R3 are *—O—CO—R10 (salt represented by formula (I-a4)) is represented by formula (Ic) It can also be produced by reacting a salt represented by with a compound represented by formula (I-d5) in the presence of a base catalyst in a solvent.
Figure 2023016037000072
[In the formula, all symbols have the same meanings as described above. ]
Bases include potassium carbonate, potassium iodide, pyridine, triethylamine and the like.
Solvents include chloroform, monochlorobenzene, dimethylformamide, acetonitrile, ethyl acetate, water and the like.
The reaction temperature is generally 15° C. to 80° C., and the reaction time is generally 0.5 to 24 hours.

式(I-d5)で表される化合物は、例えば、以下で表される化合物などが挙げられ、市場より容易に入手することができ、また、公知の製法により容易に製造することもできる。

Figure 2023016037000073
Compounds represented by formula (I-d5) include, for example, compounds represented by the following, which are readily available on the market and can be easily produced by known production methods.
Figure 2023016037000073

<酸発生剤>
本発明の酸発生剤は、塩(I)を含有する酸発生剤である。塩(I)を1種含んでいてもよいし、塩(I)を2種以上含んでいてもよい。
本発明の酸発生剤は、塩(I)に加えて、レジスト分野で公知の酸発生剤(以下「酸発生剤(B)」という場合がある)を含有していてもよい。酸発生剤(B)は、単独で用いてもよいし、2種以上を組み合わせて用いてもよい。
<Acid generator>
The acid generator of the present invention is an acid generator containing salt (I). 1 type of salt (I) may be included, and 2 or more types of salt (I) may be included.
The acid generator of the present invention may contain an acid generator known in the resist field (hereinafter sometimes referred to as "acid generator (B)") in addition to salt (I). The acid generator (B) may be used alone or in combination of two or more.

酸発生剤(B)は、非イオン系又はイオン系のいずれを用いてもよい。非イオン系酸発生剤としては、スルホネートエステル類(例えば2-ニトロベンジルエステル、芳香族スルホネート、オキシムスルホネート、N-スルホニルオキシイミド、スルホニルオキシケトン、ジアゾナフトキノン 4-スルホネート)、スルホン類(例えばジスルホン、ケトスルホン、スルホニルジアゾメタン)等が挙げられる。イオン系酸発生剤としては、オニウムカチオンを含むオニウム塩(例えばジアゾニウム塩、ホスホニウム塩、スルホニウム塩、ヨードニウム塩)が代表的である。オニウム塩のアニオンとしては、スルホン酸アニオン、スルホニルイミドアニオン、スルホニルメチドアニオン等が挙げられる。 The acid generator (B) may be either nonionic or ionic. Nonionic acid generators include sulfonate esters (eg 2-nitrobenzyl ester, aromatic sulfonate, oxime sulfonate, N-sulfonyloxyimide, sulfonyloxyketone, diazonaphthoquinone 4-sulfonate), sulfones (eg disulfone, ketosulfone, sulfonyldiazomethane) and the like. Typical ionic acid generators are onium salts containing onium cations (eg, diazonium salts, phosphonium salts, sulfonium salts, iodonium salts). The anions of the onium salts include sulfonate anions, sulfonylimide anions, sulfonylmethide anions, and the like.

酸発生剤(B)としては、特開昭63-26653号、特開昭55-164824号、特開昭62-69263号、特開昭63-146038号、特開昭63-163452号、特開昭62-153853号、特開昭63-146029号、米国特許第3,779,778号、米国特許第3,849,137号、独国特許第3914407号、欧州特許第126,712号等に記載の放射線によって酸を発生する化合物を使用することができる。また、公知の方法で製造した化合物を使用してもよい。酸発生剤(B)は、2種以上を組み合わせて用いてもよい。 Examples of the acid generator (B) include JP-A-63-26653, JP-A-55-164824, JP-A-62-69263, JP-A-63-146038, JP-A-63-163452, JP-A-62-153853, JP-A-63-146029, US Pat. No. 3,779,778, US Pat. A compound that generates an acid upon exposure to radiation as described in 1. above can be used. Moreover, you may use the compound manufactured by the well-known method. The acid generator (B) may be used in combination of two or more.

酸発生剤(B)は、好ましくは式(B1)で表される塩(以下「酸発生剤(B1)」という場合がある。但し、塩(I)を除く。)である。

Figure 2023016037000074
[式(B1)中、
b1及びQb2は、それぞれ独立に、水素原子、フッ素原子、炭素数1~6のアルキル基又は炭素数1~6のペルフルオロアルキル基を表す。
b1は、炭素数1~24の2価の飽和炭化水素基を表し、該2価の飽和炭化水素基に含まれる-CH-は、-O-又は-CO-に置き換わっていてもよく、該2価の飽和炭化水素基に含まれる水素原子は、フッ素原子又はヒドロキシ基で置換されていてもよい。
Yは、置換基を有していてもよいメチル基又は置換基を有していてもよい炭素数3~24の脂環式炭化水素基を表し、該脂環式炭化水素基に含まれる-CH-は、-O-、-S-、-SO-又は-CO-に置き換わっていてもよい。
Z1は、有機カチオンを表す。]Acid generator (B) is preferably a salt represented by formula (B1) (hereinafter sometimes referred to as "acid generator (B1)", excluding salt (I)).
Figure 2023016037000074
[In the formula (B1),
Qb1 and Qb2 each independently represent a hydrogen atom, a fluorine atom, an alkyl group having 1 to 6 carbon atoms or a perfluoroalkyl group having 1 to 6 carbon atoms.
Lb1 represents a divalent saturated hydrocarbon group having 1 to 24 carbon atoms, and —CH2 — contained in the divalent saturated hydrocarbon group may be replaced with —O— or —CO— , a hydrogen atom contained in the divalent saturated hydrocarbon group may be substituted with a fluorine atom or a hydroxy group.
Y represents an optionally substituted methyl group or an optionally substituted alicyclic hydrocarbon group having 3 to 24 carbon atoms, included in the alicyclic hydrocarbon group- CH2 - may be replaced by -O-, -S-, -SO2 - or -CO-.
Z1+ represents an organic cation. ]

式(B1)におけるQb1、Qb2、Lb1及びYは、それぞれ上述した式(I-A)におけるQ、Q、L及びYと、同様のものが挙げられる。
式(B1)におけるスルホン酸アニオンとしては、式(I-A)で表されるアニオンと同様のものが挙げられる。
Qb1 , Qb2 , Lb1 and Y in formula (B1) are respectively the same as Q1 , Q2 , L1 and Y1 in formula (IA) described above.
Examples of the sulfonate anion in formula (B1) include those similar to the anion represented by formula (IA).

Z1の有機カチオンとしては、有機オニウムカチオン、有機スルホニウムカチオン、有機ヨードニウムカチオン、有機アンモニウムカチオン、ベンゾチアゾリウムカチオン及び有機ホスホニウムカチオン等が挙げられる。これらの中でも、有機スルホニウムカチオン及び有機ヨードニウムカチオンが好ましく、アリールスルホニウムカチオンがより好ましい。具体的には、式(b2-1)~式(b2-4)のいずれかで表されるカチオン(以下、式番号に応じて「カチオン(b2-1)」等という場合がある。)が挙げられる。

Figure 2023016037000075
式(b2-1)~式(b2-4)において、
b4~Rb6は、それぞれ独立に、炭素数1~30の鎖式炭化水素基、炭素数3~36の脂環式炭化水素基又は炭素数6~36の芳香族炭化水素基を表し、該鎖式炭化水素基に含まれる水素原子は、ヒドロキシ基、炭素数1~12のアルコキシ基、炭素数3~12の脂環式炭化水素基又は炭素数6~18の芳香族炭化水素基で置換されていてもよく、該脂環式炭化水素基に含まれる水素原子は、ハロゲン原子、炭素数1~18の脂肪族炭化水素基、炭素数2~4のアルキルカルボニル基又はグリシジルオキシ基で置換されていてもよく、該芳香族炭化水素基に含まれる水素原子は、ハロゲン原子、ヒドロキシ基、炭素数1~18の脂肪族炭化水素基、炭素数1~12のフッ化アルキル基又は炭素数1~12のアルコキシ基で置換されていてもよい。
b4とRb5とは、互いに結合してそれらが結合する硫黄原子と一緒になって環を形成してもよく、該環に含まれる-CH2-は、-O-、-S-又は-CO-に置き換わってもよい。
b7及びRb8は、それぞれ独立に、ハロゲン原子、ヒドロキシ基、炭素数1~12の脂肪族炭化水素基、炭素数1~12のフッ化アルキル基又は炭素数1~12のアルコキシ基を表す。
m2及びn2は、それぞれ独立に0~5のいずれかの整数を表す。
m2が2以上のとき、複数のRb7は同一でも異なってもよく、n2が2以上のとき、複数のRb8は同一でも異なってもよい。
b9及びRb10は、それぞれ独立に、炭素数1~36の鎖式炭化水素基又は炭素数3~36の脂環式炭化水素基を表す。
b9とRb10とは、互いに結合してそれらが結合する硫黄原子と一緒になって環を形成してもよく、該環に含まれる-CH2-は、-O-、-S-又は-CO-に置き換わってもよい。
b11は、水素原子、炭素数1~36の鎖式炭化水素基、炭素数3~36の脂環式炭化水素基又は炭素数6~18の芳香族炭化水素基を表す。
b12は、炭素数1~12の鎖式炭化水素基、炭素数3~18の脂環式炭化水素基又は炭素数6~18の芳香族炭化水素基を表し、該鎖式炭化水素基に含まれる水素原子は、炭素数6~18の芳香族炭化水素基で置換されていてもよく、該芳香族炭化水素基に含まれる水素原子は、炭素数1~12のアルコキシ基又は炭素数1~12のアルキルカルボニルオキシ基で置換されていてもよい。
b11とRb12とは、互いに結合してそれらが結合する-CH-CO-を含めて環を形成していてもよく、該環に含まれる-CH2-は、-O-、-S-又は-CO-に置き換わってもよい。
b13~Rb18は、それぞれ独立に、ハロゲン原子、ヒドロキシ基、炭素数1~12の脂肪族炭化水素基、炭素数1~12のフッ化アルキル基又は炭素数1~12のアルコキシ基を表す。
b13とRb14とは、互いに結合してそれらが結合するベンゼン環と一緒になって硫黄原子を含む環を形成してもよく、該環に含まれる-CH2-は、-O-、-S-又は-CO-に置き換わってもよい。
b31は、硫黄原子又は酸素原子を表す。
o2、p2、s2、及びt2は、それぞれ独立に、0~5のいずれかの整数を表す。
q2及びr2は、それぞれ独立に、0~4のいずれかの整数を表す。
u2は0又は1を表す。
o2が2以上のとき、複数のRb13は同一又は相異なり、p2が2以上のとき、複数のRb14は同一又は相異なり、q2が2以上のとき、複数のRb15は同一又は相異なり、r2が2以上のとき、複数のRb16は同一又は相異なり、s2が2以上のとき、複数のRb17は同一又は相異なり、t2が2以上のとき、複数のRb18は同一又は相異なる。
u2が0のとき、o2、p2、q2及びr2のうちいずれか1つは1以上であり、Rb13~Rb16のうち少なくとも1つはハロゲン原子であることが好ましく、u2が1のとき、o2、p2、s2、t2、q2及びr2のうちいずれか1つは1以上であり、Rb13~Rb18のうち少なくとも1つはハロゲン原子であることが好ましい。
さらに、u2が0のとき、r2は1以上であることが好ましく、1であることがさらに好ましい。また、u2が0、かつ、r2が1以上のとき、Rb16がハロゲン原子であることが好ましい。
脂肪族炭化水素基とは、鎖式炭化水素基及び脂環式炭化水素基を表す。
鎖式炭化水素基としては、メチル基、エチル基、プロピル基、イソプロピル基、ブチル基、sec-ブチル基、tert-ブチル基、ペンチル基、ヘキシル基、オクチル基及び2-エチルヘキシル基のアルキル基が挙げられる。
特に、Rb9~Rb12の鎖式炭化水素基は、好ましくは炭素数1~12である。
脂環式炭化水素基としては、単環式又は多環式のいずれでもよく、単環式の脂環式炭化水素基としては、シクロプロピル基、シクロブチル基、シクロペンチル基、シクロへキシル基、シクロヘプチル基、シクロオクチル基、シクロデシル基等のシクロアルキル基が挙げられる。多環式の脂環式炭化水素基としては、デカヒドロナフチル基、アダマンチル基、ノルボルニル基及び下記の基等が挙げられる。
Figure 2023016037000076
特に、Rb9~Rb12の脂環式炭化水素基は、好ましくは炭素数3~18、より好ましくは炭素数4~12である。
水素原子が脂肪族炭化水素基で置換された脂環式炭化水素基としては、メチルシクロヘキシル基、ジメチルシクロへキシル基、2-メチルアダマンタン-2-イル基、2-エチルアダマンタン-2-イル基、2-イソプロピルアダマンタン-2-イル基、メチルノルボルニル基、イソボルニル基等が挙げられる。水素原子が脂肪族炭化水素基で置換された脂環式炭化水素基においては、脂環式炭化水素基と脂肪族炭化水素基との合計炭素数が好ましくは20以下である。
フッ化アルキル基とは、フッ素原子を有する炭素数1~12のアルキル基を表し、フルオロメチル基、ジフルオロメチル基、トリフルオロメチル基、ペルフルオロブチル基等が挙げられる。フッ化アルキル基の炭素数は、好ましくは1~9であり、より好ましくは1~6であり、さらに好ましくは1~4である。Organic cations of Z1+ include organic onium cations, organic sulfonium cations, organic iodonium cations, organic ammonium cations, benzothiazolium cations and organic phosphonium cations. Among these, organic sulfonium cations and organic iodonium cations are preferred, and arylsulfonium cations are more preferred. Specifically, a cation represented by any one of formulas (b2-1) to (b2-4) (hereinafter sometimes referred to as "cation (b2-1)" etc. depending on the formula number) is mentioned.
Figure 2023016037000075
In formulas (b2-1) to (b2-4),
Rb4 to Rb6 each independently represent a chain hydrocarbon group having 1 to 30 carbon atoms, an alicyclic hydrocarbon group having 3 to 36 carbon atoms or an aromatic hydrocarbon group having 6 to 36 carbon atoms; The hydrogen atom contained in the chain hydrocarbon group is a hydroxy group, an alkoxy group having 1 to 12 carbon atoms, an alicyclic hydrocarbon group having 3 to 12 carbon atoms, or an aromatic hydrocarbon group having 6 to 18 carbon atoms. It may be substituted, and the hydrogen atom contained in the alicyclic hydrocarbon group is a halogen atom, an aliphatic hydrocarbon group having 1 to 18 carbon atoms, an alkylcarbonyl group having 2 to 4 carbon atoms, or a glycidyloxy group. It may be substituted, and the hydrogen atom contained in the aromatic hydrocarbon group is a halogen atom, a hydroxy group, an aliphatic hydrocarbon group having 1 to 18 carbon atoms, a fluorinated alkyl group having 1 to 12 carbon atoms, or a carbon It may be substituted with 1 to 12 alkoxy groups.
Rb4 and Rb5 may be bonded to each other to form a ring together with the sulfur atom to which they are bonded, and —CH2 — contained in the ring may be —O—, —S— or -CO- may be substituted.
Rb7 and Rb8 each independently represents a halogen atom, a hydroxy group, an aliphatic hydrocarbon group having 1 to 12 carbon atoms, a fluorinated alkyl group having 1 to 12 carbon atoms or an alkoxy group having 1 to 12 carbon atoms. .
m2 and n2 each independently represent an integer of 0 to 5;
When m2 is 2 or more, multiple Rb7 may be the same or different, and when n2 is 2 or more, multiple Rb8 may be the same or different.
Rb9 and Rb10 each independently represent a chain hydrocarbon group having 1 to 36 carbon atoms or an alicyclic hydrocarbon group having 3 to 36 carbon atoms.
Rb9 and Rb10 may be bonded to each other to form a ring together with the sulfur atom to which they are bonded, and —CH2 — contained in the ring may be —O—, —S— or -CO- may be substituted.
Rb11 represents a hydrogen atom, a chain hydrocarbon group having 1 to 36 carbon atoms, an alicyclic hydrocarbon group having 3 to 36 carbon atoms or an aromatic hydrocarbon group having 6 to 18 carbon atoms.
Rb12 represents a chain hydrocarbon group having 1 to 12 carbon atoms, an alicyclic hydrocarbon group having 3 to 18 carbon atoms or an aromatic hydrocarbon group having 6 to 18 carbon atoms, and the chain hydrocarbon group The hydrogen atoms contained may be substituted with an aromatic hydrocarbon group having 6 to 18 carbon atoms, and the hydrogen atoms contained in the aromatic hydrocarbon groups are alkoxy groups having 1 to 12 carbon atoms or 1 carbon atoms. It may be optionally substituted with ˜12 alkylcarbonyloxy groups.
Rb11 and Rb12 may be bonded to each other to form a ring including —CH—CO— to which they are bonded, and —CH2 — contained in the ring may be —O—, —S - or -CO- may be substituted.
Rb13 to Rb18 each independently represents a halogen atom, a hydroxy group, an aliphatic hydrocarbon group having 1 to 12 carbon atoms, a fluorinated alkyl group having 1 to 12 carbon atoms or an alkoxy group having 1 to 12 carbon atoms. .
Rb13 and Rb14 may be bonded to each other to form a ring containing a sulfur atom together with the benzene ring to which they are bonded, and —CH2 — contained in the ring may be —O—, -S- or -CO- may be substituted.
Lb31 represents a sulfur atom or an oxygen atom.
o2, p2, s2, and t2 each independently represent an integer of 0 to 5;
q2 and r2 each independently represent an integer of 0 to 4;
u2 represents 0 or 1;
When o2 is 2 or more, multiple Rb13 are the same or different, when p2 is 2 or more, multiple Rb14 are the same or different, and when q2 is 2 or more, multiple Rb15 are the same or different. , when r2 is 2 or more, the plurality of Rb16 are the same or different; when s2 is 2 or more, the plurality of Rb17 are the same or different; when t2 is 2 or more, the plurality of Rb18 are the same or different; different.
When u2 is 0, any one of o2, p2, q2 and r2 is 1 or more, and at least one of Rb13 to Rb16 is preferably a halogen atom; Any one of o2, p2, s2, t2, q2 and r2 is 1 or more, and at least one of Rb13 to Rb18 is preferably a halogen atom.
Furthermore, when u2 is 0, r2 is preferably 1 or more, more preferably 1. Further, when u2 is 0 and r2 is 1 or more,Rb16 is preferably a halogen atom.
An aliphatic hydrocarbon group represents a chain hydrocarbon group and an alicyclic hydrocarbon group.
Chain hydrocarbon groups include alkyl groups such as methyl group, ethyl group, propyl group, isopropyl group, butyl group, sec-butyl group, tert-butyl group, pentyl group, hexyl group, octyl group and 2-ethylhexyl group. mentioned.
In particular, chain hydrocarbon groups of Rb9 to Rb12 preferably have 1 to 12 carbon atoms.
The alicyclic hydrocarbon group may be either monocyclic or polycyclic, and the monocyclic alicyclic hydrocarbon group includes a cyclopropyl group, a cyclobutyl group, a cyclopentyl group, a cyclohexyl group, a cyclo Cycloalkyl groups such as a heptyl group, a cyclooctyl group, and a cyclodecyl group can be mentioned. The polycyclic alicyclic hydrocarbon group includes decahydronaphthyl group, adamantyl group, norbornyl group and the following groups.
Figure 2023016037000076
In particular, the alicyclic hydrocarbon groups of Rb9 to Rb12 preferably have 3 to 18 carbon atoms, more preferably 4 to 12 carbon atoms.
Alicyclic hydrocarbon groups in which hydrogen atoms are substituted with aliphatic hydrocarbon groups include methylcyclohexyl group, dimethylcyclohexyl group, 2-methyladamantan-2-yl group, and 2-ethyladamantan-2-yl group. , 2-isopropyladamantan-2-yl group, methylnorbornyl group, isobornyl group and the like. In the alicyclic hydrocarbon group in which a hydrogen atom is substituted with an aliphatic hydrocarbon group, the total carbon number of the alicyclic hydrocarbon group and the aliphatic hydrocarbon group is preferably 20 or less.
A fluorinated alkyl group represents an alkyl group having 1 to 12 carbon atoms and having a fluorine atom, and includes a fluoromethyl group, a difluoromethyl group, a trifluoromethyl group, a perfluorobutyl group, and the like. The number of carbon atoms in the fluorinated alkyl group is preferably 1-9, more preferably 1-6, still more preferably 1-4.

芳香族炭化水素基としては、フェニル基、ビフェニル基、ナフチル基、フェナントリル基等のアリール基が挙げられる。芳香族炭化水素基は、鎖式炭化水素基又は脂環式炭化水素基を有していてもよく、炭素数1~18の鎖式炭化水素基を有する芳香族炭化水素基(トリル基、キシリル基、クメニル基、メシチル基、p-エチルフェニル基、p-tert-ブチルフェニル基、2,6-ジエチルフェニル基、2-メチル-6-エチルフェニル基等)、及び炭素数3~18の脂環式炭化水素基を有する芳香族炭化水素基(p-シクロへキシルフェニル基、p-アダマンチルフェニル基等)等が挙げられる。なお、芳香族炭化水素基が、鎖式炭化水素基又は脂環式炭化水素基を有する場合は、炭素数1~18の鎖式炭化水素基及び炭素数3~18の脂環式炭化水素基が好ましい。
水素原子がアルコキシ基で置換された芳香族炭化水素基としては、p-メトキシフェニル基等が挙げられる。
水素原子が芳香族炭化水素基で置換された鎖式炭化水素基としては、ベンジル基、フェネチル基、フェニルプロピル基、トリチル基、ナフチルメチル基、ナフチルエチル基等のアラルキル基が挙げられる。
アルコキシ基としては、メトキシ基、エトキシ基、プロポキシ基、ブトキシ基、ペンチルオキシ基、ヘキシルオキシ基、ヘプチルオキシ基、オクチルオキシ基、デシルオキシ基及びドデシルオキシ基等が挙げられる。
アルキルカルボニル基としては、アセチル基、プロピオニル基及びブチリル基等が挙げられる。
ハロゲン原子としては、フッ素原子、塩素原子、臭素原子及びヨウ素原子等が挙げられる。
アルキルカルボニルオキシ基としては、メチルカルボニルオキシ基、エチルカルボニルオキシ基、プロピルカルボニルオキシ基、イソプロピルカルボニルオキシ基、ブチルカルボニルオキシ基、sec-ブチルカルボニルオキシ基、tert-ブチルカルボニルオキシ基、ペンチルカルボニルオキシ基、ヘキシルカルボニルオキシ基、オクチルカルボニルオキシ基及び2-エチルヘキシルカルボニルオキシ基等が挙げられる。
b4とRb5とが互いに結合してそれらが結合する硫黄原子と一緒になって形成する環は、単環式、多環式、芳香族性、非芳香族性、飽和及び不飽和のいずれの環であってもよい。この環は、炭素数3~18の環が挙げられ、好ましくは炭素数4~18の環である。また、硫黄原子を含む環は、3員環~12員環が挙げられ、好ましくは3員環~7員環であり、例えば下記の環が挙げられる。*は結合部位を表す。

Figure 2023016037000077
b9とRb10とが一緒になって形成する環は、単環式、多環式、芳香族性、非芳香族性、飽和及び不飽和のいずれの環であってもよい。この環は、3員環~12員環が挙げられ、好ましくは3員環~7員環である。例えば、チオラン-1-イウム環(テトラヒドロチオフェニウム環)、チアン-1-イウム環、1,4-オキサチアン-4-イウム環等が挙げられる。
b11とRb12とが一緒になって形成する環は、単環式、多環式、芳香族性、非芳香族性、飽和及び不飽和のいずれの環であってもよい。この環は、3員環~12員環が挙げられ、好ましくは3員環~7員環である。オキソシクロヘプタン環、オキソシクロヘキサン環、オキソノルボルナン環、オキソアダマンタン環等が挙げられる。The aromatic hydrocarbon group includes aryl groups such as phenyl group, biphenyl group, naphthyl group and phenanthryl group. The aromatic hydrocarbon group may have a chain hydrocarbon group or an alicyclic hydrocarbon group, and an aromatic hydrocarbon group having a chain hydrocarbon group having 1 to 18 carbon atoms (tolyl group, xylyl group, cumenyl group, mesityl group, p-ethylphenyl group, p-tert-butylphenyl group, 2,6-diethylphenyl group, 2-methyl-6-ethylphenyl group, etc.), and lipids having 3 to 18 carbon atoms. Examples thereof include aromatic hydrocarbon groups having a cyclic hydrocarbon group (p-cyclohexylphenyl group, p-adamantylphenyl group, etc.). In addition, when the aromatic hydrocarbon group has a chain hydrocarbon group or an alicyclic hydrocarbon group, a chain hydrocarbon group having 1 to 18 carbon atoms and an alicyclic hydrocarbon group having 3 to 18 carbon atoms is preferred.
Aromatic hydrocarbon groups in which a hydrogen atom is substituted with an alkoxy group include a p-methoxyphenyl group and the like.
Chain hydrocarbon groups in which hydrogen atoms are substituted with aromatic hydrocarbon groups include aralkyl groups such as benzyl, phenethyl, phenylpropyl, trityl, naphthylmethyl and naphthylethyl groups.
Alkoxy groups include methoxy, ethoxy, propoxy, butoxy, pentyloxy, hexyloxy, heptyloxy, octyloxy, decyloxy and dodecyloxy groups.
An acetyl group, a propionyl group, a butyryl group, etc. are mentioned as an alkylcarbonyl group.
Halogen atoms include fluorine, chlorine, bromine and iodine atoms.
The alkylcarbonyloxy group includes a methylcarbonyloxy group, an ethylcarbonyloxy group, a propylcarbonyloxy group, an isopropylcarbonyloxy group, a butylcarbonyloxy group, a sec-butylcarbonyloxy group, a tert-butylcarbonyloxy group and a pentylcarbonyloxy group. , hexylcarbonyloxy group, octylcarbonyloxy group and 2-ethylhexylcarbonyloxy group.
The ring formed by Rb4 and Rb5 bonded together with the sulfur atom to which they are bonded may be monocyclic, polycyclic, aromatic, non-aromatic, saturated or unsaturated. may be a ring of This ring includes a ring having 3 to 18 carbon atoms, preferably a ring having 4 to 18 carbon atoms. Further, the ring containing a sulfur atom includes a 3- to 12-membered ring, preferably a 3- to 7-membered ring, and examples thereof include the following rings. * represents a binding site.
Figure 2023016037000077
The ring formed by Rb9 and Rb10 together may be a monocyclic, polycyclic, aromatic, non-aromatic, saturated or unsaturated ring. This ring includes a 3- to 12-membered ring, preferably a 3- to 7-membered ring. Examples include thiolan-1-ium ring (tetrahydrothiophenium ring), thian-1-ium ring, 1,4-oxathian-4-ium ring and the like.
The ring formed by Rb11 and Rb12 together may be a monocyclic, polycyclic, aromatic, non-aromatic, saturated or unsaturated ring. This ring includes a 3- to 12-membered ring, preferably a 3- to 7-membered ring. oxocycloheptane ring, oxocyclohexane ring, oxonorbornane ring, oxoadamantane ring and the like.

カチオン(b2-1)~カチオン(b2-4)の中でも、好ましくは、カチオン(b2-1)である。
カチオン(b2-1)としては、以下のカチオンが挙げられる。

Figure 2023016037000078
Among the cations (b2-1) to (b2-4), the cation (b2-1) is preferred.
Examples of the cation (b2-1) include the following cations.
Figure 2023016037000078

カチオン(b2-2)としては、以下のカチオンが挙げられる。

Figure 2023016037000079
Examples of the cation (b2-2) include the following cations.
Figure 2023016037000079

カチオン(b2-3)としては、以下のカチオンが挙げられる。

Figure 2023016037000080
Examples of the cation (b2-3) include the following cations.
Figure 2023016037000080

カチオン(b2-4)としては、以下のカチオンが挙げられる。

Figure 2023016037000081
Examples of the cation (b2-4) include the following cations.
Figure 2023016037000081

酸発生剤(B)は、上述のアニオン及び上述の有機カチオンの組合せであり、これらは任意に組合せることができる。酸発生剤(B)としては、好ましくは式(I-a-1)~式(I-a-4)、式(I-a-7)~式(I-a-11)、式(I-a-14)~式(I-a-30)及び式(I-a-35)~式(I-a-41)のいずれかで表されるアニオンと、カチオン(b2-1)、カチオン(b2-2)、カチオン(b2-3)又はカチオン(b2-4)との組合せが挙げられる。 The acid generator (B) is a combination of the aforementioned anions and the aforementioned organic cations, and these can be combined arbitrarily. As the acid generator (B), preferably formula (Ia-1) to formula (Ia-4), formula (Ia-7) to formula (Ia-11), formula (I -a-14) ~ formula (Ia-30) and formula (Ia-35) ~ formula (Ia-41) an anion represented by any one, cation (b2-1), cation (b2-2), cations (b2-3) or combinations with cations (b2-4).

酸発生剤(B)としては、好ましくは式(B1-1)~式(B1-60)でそれぞれ表されるものが挙げられる。中でもアリールスルホニウムカチオンを含むものが好ましく、式(B1-1)~式(B1-3)、式(B1-5)~式(B1-7)、式(B1-11)~式(B1-14)、式(B1-20)~式(B1-26)、式(B1-29)、式(B1-31)~式(B1-60)で表されるものがとりわけ好ましい。

Figure 2023016037000082
As the acid generator (B), those represented by formulas (B1-1) to (B1-60) are preferred. Among them, those containing an arylsulfonium cation are preferable, and formulas (B1-1) to (B1-3), formulas (B1-5) to (B1-7), formulas (B1-11) to (B1-14) ), formulas (B1-20) to (B1-26), formulas (B1-29), and formulas (B1-31) to (B1-60) are particularly preferred.
Figure 2023016037000082

Figure 2023016037000083
Figure 2023016037000083

Figure 2023016037000084
Figure 2023016037000084

酸発生剤として塩(I)及び酸発生剤(B)を含有する場合、塩(I)と酸発生剤(B)との含有量の比(質量比;塩(I):酸発生剤(B))は、通常、1:99~99:1であり、好ましくは2:98~98:2であり、より好ましくは5:95~95:5であり、さらに好ましくは10:90~90:10であり、特に好ましくは15:85~85:15である。 When salt (I) and acid generator (B) are contained as acid generators, the ratio of the contents of salt (I) and acid generator (B) (mass ratio; salt (I): acid generator ( B)) is generally 1:99 to 99:1, preferably 2:98 to 98:2, more preferably 5:95 to 95:5, still more preferably 10:90 to 90 :10, particularly preferably 15:85 to 85:15.

<レジスト組成物>
本発明のレジスト組成物は、塩(I)を含む酸発生剤と、酸不安定基を有する樹脂(以下「樹脂(A)」という場合がある)とを含有する。ここで、「酸不安定基」とは、脱離基を有し、酸との接触により脱離基が脱離して、構成単位が親水性基(例えば、ヒドロキシ基又はカルボキシ基)を有する構成単位に変換する基を意味する。
本発明のレジスト組成物は、酸発生剤から発生する酸よりも酸性度の弱い酸を発生する塩等のクエンチャー(以下「クエンチャー(C)」という場合がある)を含有することが好ましく、溶剤(以下「溶剤(E)」という場合がある)を含有することが好ましい。
<Resist composition>
The resist composition of the present invention contains an acid generator containing salt (I) and a resin having an acid-labile group (hereinafter sometimes referred to as "resin (A)"). Here, the term "acid-labile group" refers to a structure having a leaving group, the leaving group being eliminated by contact with an acid, and having a constitutional unit having a hydrophilic group (for example, a hydroxy group or a carboxy group). means a group that converts into units.
The resist composition of the present invention preferably contains a quencher (hereinafter sometimes referred to as "quencher (C)") such as a salt that generates an acid that is weaker in acidity than the acid generated by the acid generator. , a solvent (hereinafter sometimes referred to as "solvent (E)").

<酸発生剤>
本発明のレジスト組成物においては、酸発生剤の合計の含有率は、後述の樹脂(A)100質量部に対して、好ましくは1質量部以上45質量部以下、より好ましくは1質量部以上40質量部以下、さらに好ましくは3質量部以上40質量部以下である。
<Acid generator>
In the resist composition of the present invention, the total content of the acid generator is preferably 1 part by mass or more and 45 parts by mass or less, more preferably 1 part by mass or more, relative to 100 parts by mass of the resin (A) described later. It is 40 parts by mass or less, more preferably 3 parts by mass or more and 40 parts by mass or less.

<樹脂(A)>
樹脂(A)は、酸不安定基を有する構造単位(以下「構造単位(a1)」という場合がある)を含む。樹脂(A)は、さらに、構造単位(a1)以外の構造単位を含むことが好ましい。構造単位(a1)以外の構造単位としては、酸不安定基を有さない構造単位(以下「構造単位(s)」という場合がある)、構造単位(a1)及び構造単位(s)以外の構造単位(例えば、後述するハロゲン原子を有する構造単位(以下「構造単位(a4)」という場合がある)、後述する非脱離炭化水素基を有する構造単位(以下「構造単位(a5)」という場合がある)及びその他の当該分野で公知のモノマーに由来する構造単位等が挙げられる。
<Resin (A)>
The resin (A) contains a structural unit having an acid-labile group (hereinafter sometimes referred to as "structural unit (a1)"). The resin (A) preferably further contains structural units other than the structural unit (a1). Structural units other than the structural unit (a1) include structural units having no acid-labile group (hereinafter sometimes referred to as "structural unit (s)"), structural units other than the structural unit (a1) and the structural unit (s). Structural units (for example, structural units having a halogen atom described later (hereinafter sometimes referred to as "structural unit (a4)"), structural units having a non-eliminating hydrocarbon group described later (hereinafter referred to as "structural unit (a5)" in some cases) and other structural units derived from monomers known in the art.

〈構造単位(a1)〉
構造単位(a1)は、酸不安定基を有するモノマー(以下「モノマー(a1)」という場合がある)から導かれる。
樹脂(A)に含まれる酸不安定基は、式(1)で表される基(以下、基(1)とも記す)及び/又は式(2)で表される基(以下、基(2)とも記す)が好ましい。

Figure 2023016037000085
[式(1)中、Ra1、Ra2及びRa3は、それぞれ独立に、炭素数1~8のアルキル基、炭素数2~8のアルケニル基、炭素数3~20の脂環式炭化水素基、炭素数6~18の芳香族炭化水素基又はこれらを組み合わせた基を表すか、Ra1及びRa2は互いに結合してそれらが結合する炭素原子とともに炭素数3~20の脂環式炭化水素基を形成する。
ma及びnaは、それぞれ独立して、0又は1を表し、ma及びnaの少なくとも一方は1を表す。
*は結合部位を表す。]
Figure 2023016037000086
[式(2)中、Ra1’及びRa2’は、それぞれ独立に、水素原子又は炭素数1~12の炭化水素基を表し、Ra3’は、炭素数1~20の炭化水素基を表すか、Ra2’及びRa3’は互いに結合してそれらが結合する炭素原子及びXとともに炭素数3~20の複素環基を形成し、該炭化水素基及び該複素環基に含まれる-CH-は、-O-又は-S-で置き換わってもよい。
Xは、酸素原子又は硫黄原子を表す。
na’は、0又は1を表す。
*は結合部位を表す。]<Structural unit (a1)>
The structural unit (a1) is derived from a monomer having an acid-labile group (hereinafter sometimes referred to as "monomer (a1)").
The acid-labile group contained in the resin (A) is a group represented by formula (1) (hereinafter also referred to as group (1)) and/or a group represented by formula (2) (hereinafter referred to as group (2 )) is preferable.
Figure 2023016037000085
[In formula (1), Ra1 , Ra2 and Ra3 are each independently an alkyl group having 1 to 8 carbon atoms, an alkenyl group having 2 to 8 carbon atoms, or an alicyclic hydrocarbon having 3 to 20 carbon atoms. or an aromatic hydrocarbon group having 6 to 18 carbon atoms or a combination thereof, or Ra1 and Ra2 are bonded to each other and together with the carbon atom to which they are bonded, an alicyclic carbonization having 3 to 20 carbon atoms Form a hydrogen group.
ma and na each independently represent 0 or 1, and at least one of ma and na represents 1;
* represents a binding site. ]
Figure 2023016037000086
[In formula (2), Ra1′ and Ra2′ each independently represent a hydrogen atom or a hydrocarbon group having 1 to 12 carbon atoms, and Ra3′ represents a hydrocarbon group having 1 to 20 carbon atoms. or Ra2′ and Ra3′ are bonded to each other to form a heterocyclic group having 3 to 20 carbon atoms together with the carbon atom to which they are bonded and X, and the hydrocarbon group and the heterocyclic group include— CH2 - may be replaced by -O- or -S-.
X represents an oxygen atom or a sulfur atom.
na' represents 0 or 1;
* represents a binding site. ]

a1、Ra2及びRa3におけるアルキル基としては、メチル基、エチル基、プロピル基、ブチル基、ペンチル基、ヘキシル基、ヘプチル基、オクチル基等が挙げられる。
a1、Ra2及びRa3におけるアルケニル基としては、エテニル基、プロペニル基、イソプロペニル基、ブテニル基、イソブテニル基、tert-ブテニル基、ペンテニル基、ヘキセニル基、ヘプテニル基、オクテニル基、イソオクテニル基、ノネニル基が挙げられる。
a1、Ra2及びRa3における脂環式炭化水素基は、単環式及び多環式のいずれでもよい。単環式の脂環式炭化水素基としては、シクロペンチル基、シクロへキシル基、シクロヘプチル基、シクロオクチル基等のシクロアルキル基が挙げられる。多環式の脂環式炭化水素基としては、デカヒドロナフチル基、アダマンチル基、ノルボルニル基及び下記の基(*は結合部位を表す。)等が挙げられる。Ra1、Ra2及びRa3の脂環式炭化水素基の炭素数は、好ましくは3~16である。

Figure 2023016037000087
a1、Ra2及びRa3における芳香族炭化水素基としては、フェニル基、ナフチル基、アントリル基、ビフェニル基、フェナントリル基等のアリール基が挙げられる。
組み合わせた基としては、上述したアルキル基と脂環式炭化水素基とを組み合わせた基(例えば、メチルシクロヘキシル基、ジメチルシクロへキシル基、メチルノルボルニル基、シクロヘキシルメチル基、アダマンチルメチル基、アダマンチルジメチル基、ノルボルニルエチル基等のアルキルシクロアルキル基又はシクロアルキルアルキル基)、ベンジル基等のアラルキル基、アルキル基を有する芳香族炭化水素基(p-メチルフェニル基、p-tert-ブチルフェニル基、トリル基、キシリル基、クメニル基、メシチル基、2,6-ジエチルフェニル基、2-メチル-6-エチルフェニル基等)、脂環式炭化水素基を有する芳香族炭化水素基(p-シクロヘキシルフェニル基、p-アダマンチルフェニル基等)、フェニルシクロヘキシル基等のアリール-シクロアルキル基等が挙げられる。
好ましくは、maは0であり、naは1である。
a1及びRa2が互いに結合して脂環式炭化水素基を形成する場合の-C(Ra1)(Ra2)(Ra3)としては、下記の基が挙げられる。脂環式炭化水素基は、好ましくは炭素数3~12である。*は-O-との結合部位を表す。
Figure 2023016037000088
Examples of alkyl groups for Ra1 , Ra2 and Ra3 include methyl group, ethyl group, propyl group, butyl group, pentyl group, hexyl group, heptyl group and octyl group.
The alkenyl group for Ra1 , Ra2 and Ra3 includes ethenyl, propenyl, isopropenyl, butenyl, isobutenyl, tert-butenyl, pentenyl, hexenyl, heptenyl, octenyl, isooctenyl, A nonenyl group is mentioned.
The alicyclic hydrocarbon groups for Ra1 , Ra2 and Ra3 may be either monocyclic or polycyclic. The monocyclic alicyclic hydrocarbon group includes cycloalkyl groups such as cyclopentyl group, cyclohexyl group, cycloheptyl group and cyclooctyl group. Examples of polycyclic alicyclic hydrocarbon groups include decahydronaphthyl group, adamantyl group, norbornyl group and the following groups (* represents a bonding site). The alicyclic hydrocarbon groups of Ra1 , Ra2 and Ra3 preferably have 3 to 16 carbon atoms.
Figure 2023016037000087
Examples of aromatic hydrocarbon groups for Ra1 , Ra2 and Ra3 include aryl groups such as phenyl, naphthyl, anthryl, biphenyl and phenanthryl groups.
Examples of the combined group include groups obtained by combining the above alkyl groups and alicyclic hydrocarbon groups (e.g., methylcyclohexyl group, dimethylcyclohexyl group, methylnorbornyl group, cyclohexylmethyl group, adamantylmethyl group, adamantyl a dimethyl group, an alkylcycloalkyl group such as a norbornylethyl group or a cycloalkylalkyl group), an aralkyl group such as a benzyl group, an aromatic hydrocarbon group having an alkyl group (p-methylphenyl group, p-tert-butylphenyl group, tolyl group, xylyl group, cumenyl group, mesityl group, 2,6-diethylphenyl group, 2-methyl-6-ethylphenyl group, etc.), an aromatic hydrocarbon group having an alicyclic hydrocarbon group (p- cyclohexylphenyl group, p-adamantylphenyl group, etc.), aryl-cycloalkyl groups such as phenylcyclohexyl group, and the like.
Preferably, ma is 0 and na is 1.
Examples of —C(Ra1 )(Ra2 )(Ra3 ) when Ra1 and Ra2 combine to form an alicyclic hydrocarbon group include the following groups. The alicyclic hydrocarbon group preferably has 3-12 carbon atoms. * represents a binding site with -O-.
Figure 2023016037000088

a1’、Ra2’及びRa3’における炭化水素基としては、アルキル基、脂環式炭化水素基、芳香族炭化水素基及びこれらを組み合わせることにより形成される基等が挙げられる。
アルキル基、脂環式炭化水素基、芳香族炭化水素基及び組み合わせた基は、Ra1、Ra2及びRa3で挙げた基と同様のものが挙げられる。
a2’及びRa3’が互いに結合してそれらが結合する炭素原子及びXとともに複素環基を形成する場合、-C(Ra1’)(Ra2’)-X-Ra3’としては、下記の基が挙げられる。*は、結合部位を表す。

Figure 2023016037000089
a1’及びRa2’のうち、少なくとも1つは水素原子であることが好ましい。
na’は、好ましくは0である。Examples of hydrocarbon groups for Ra1′ , Ra2′ and Ra3′ include alkyl groups, alicyclic hydrocarbon groups, aromatic hydrocarbon groups and groups formed by combining these groups.
Alkyl groups, alicyclic hydrocarbon groups, aromatic hydrocarbon groups and combined groups include the same groups as those listed for Ra1 , Ra2 and Ra3 .
When Ra2′ and Ra3′ are bonded to each other to form a heterocyclic group together with the carbon atom to which they are bonded and X, —C(Ra1′ )(Ra2′ )—X—Ra3′ is The following groups may be mentioned. * represents the binding site.
Figure 2023016037000089
At least one of Ra1′ and Ra2′ is preferably a hydrogen atom.
na' is preferably zero.

基(1)としては、以下の基が挙げられる。
式(1)においてRa1、Ra2及びRa3がアルキル基であり、ma=0であり、na=1である基。当該基としては、tert-ブトキシカルボニル基が好ましい。
式(1)において、Ra1、Ra2が、これらが結合する炭素原子と一緒になってアダマンチル基を形成し、Ra3がアルキル基であり、ma=0であり、na=1である基。
式(1)において、Ra1及びRa2がそれぞれ独立してアルキル基であり、Ra3がアダマンチル基であり、ma=0であり、na=1である基。
基(1)としては、具体的には以下の基が挙げられる。*は結合部位を表す。

Figure 2023016037000090
Group (1) includes the following groups.
A group of formula (1) wherein Ra1 , Ra2 and Ra3 are alkyl groups, ma=0 and na=1. The group is preferably a tert-butoxycarbonyl group.
In formula (1), Ra1 and Ra2 form an adamantyl group together with the carbon atoms to which they are attached, Ra3 is an alkyl group, ma = 0 and na = 1. .
A group in which Ra1 and Ra2 are each independently an alkyl group, Ra3 is an adamantyl group, ma=0 and na=1 in formula (1).
Specific examples of the group (1) include the following groups. * represents a binding site.
Figure 2023016037000090

基(2)の具体例としては、以下の基が挙げられる。*は結合部位を表す。

Figure 2023016037000091
Specific examples of group (2) include the following groups. * represents a binding site.
Figure 2023016037000091

モノマー(a1)は、好ましくは、酸不安定基とエチレン性不飽和結合とを有するモノマー、より好ましくは酸不安定基を有する(メタ)アクリル系モノマーである。 Monomer (a1) is preferably a monomer having an acid labile group and an ethylenically unsaturated bond, more preferably a (meth)acrylic monomer having an acid labile group.

酸不安定基を有する(メタ)アクリル系モノマーのうち、好ましくは、炭素数5~20の脂環式炭化水素基を有するものが挙げられる。脂環式炭化水素基のような嵩高い構造を有するモノマー(a1)に由来する構造単位を有する樹脂(A)をレジスト組成物に使用すれば、レジストパターンの解像度を向上させることができる。 Among (meth)acrylic monomers having an acid-labile group, those having an alicyclic hydrocarbon group having 5 to 20 carbon atoms are preferred. When the resin (A) having a structural unit derived from the monomer (a1) having a bulky structure such as an alicyclic hydrocarbon group is used in the resist composition, the resolution of the resist pattern can be improved.

基(1)を有する(メタ)アクリル系モノマーに由来する構造単位として、好ましくは、式(a1-0)で表される構造単位(以下、構造単位(a1-0)という場合がある。)、式(a1-1)で表される構造単位(以下、構造単位(a1-1)という場合がある。)又は式(a1-2)で表される構造単位(以下、構造単位(a1-2)という場合がある。)が挙げられる。好ましくは、構造単位(a1-0)、構造単位(a1-1)及び構造単位(a1-2)からなる群から選ばれる少なくとも1種又は2種の構造単位であり、より好ましくは、構造単位(a1-1)及び構造単位(a1-2)からなる群から選ばれる少なくとも1種又は2種の構造単位である。これらは単独で使用してもよく、2種以上を併用してもよい。

Figure 2023016037000092
[式(a1-0)、式(a1-1)及び式(a1-2)中、
a01、La1及びLa2は、それぞれ独立に、-O-又は*-O-(CHk1-CO-O-を表し、k1は1~7のいずれかの整数を表し、*は-CO-との結合部位を表す。
a01、Ra4及びRa5は、それぞれ独立に、水素原子、ハロゲン原子又はハロゲン原子を有していてもよい炭素数1~6のアルキル基を表す。
a02、Ra03及びRa04は、それぞれ独立に、炭素数1~8のアルキル基、炭素数3~18の脂環式炭化水素基、炭素数6~18の芳香族炭化水素基又はこれらを組み合わせた基を表す。
a6及びRa7は、それぞれ独立に、炭素数1~8のアルキル基、炭素数2~8のアルケニル基、炭素数3~18の脂環式炭化水素基、炭素数6~18の芳香族炭化水素基又はこれらを組合せることにより形成される基を表す。
m1は0~14のいずれかの整数を表す。
n1は0~10のいずれかの整数を表す。
n1’は0~3のいずれかの整数を表す。]The structural unit derived from a (meth)acrylic monomer having group (1) is preferably a structural unit represented by formula (a1-0) (hereinafter sometimes referred to as structural unit (a1-0).) , a structural unit represented by formula (a1-1) (hereinafter sometimes referred to as structural unit (a1-1)) or a structural unit represented by formula (a1-2) (hereinafter, structural unit (a1- 2) may be mentioned). Preferably, at least one or two structural units selected from the group consisting of structural unit (a1-0), structural unit (a1-1) and structural unit (a1-2), more preferably structural unit It is at least one or two structural units selected from the group consisting of (a1-1) and structural unit (a1-2). These may be used alone or in combination of two or more.
Figure 2023016037000092
[In formula (a1-0), formula (a1-1) and formula (a1-2),
La01 , La1 and La2 each independently represent —O— or *—O—(CH2 )k1 —CO—O—, k1 represents an integer of 1 to 7, * is represents the binding site with -CO-.
Ra01 , Ra4 and Ra5 each independently represent a hydrogen atom, a halogen atom or an optionally halogenated alkyl group having 1 to 6 carbon atoms.
Ra02 , Ra03 and Ra04 each independently represent an alkyl group having 1 to 8 carbon atoms, an alicyclic hydrocarbon group having 3 to 18 carbon atoms, an aromatic hydrocarbon group having 6 to 18 carbon atoms, or Represents a combined group.
Ra6 and Ra7 each independently represents an alkyl group having 1 to 8 carbon atoms, an alkenyl group having 2 to 8 carbon atoms, an alicyclic hydrocarbon group having 3 to 18 carbon atoms, or an aromatic group having 6 to 18 carbon atoms. It represents a hydrocarbon group or a group formed by combining these groups.
m1 represents any integer from 0 to 14;
n1 represents an integer from 0 to 10;
n1' represents an integer of 0 to 3; ]

a01、Ra4及びRa5は、好ましくは水素原子又はメチル基であり、より好ましくはメチル基である。
a01、La1及びLa2は、好ましくは酸素原子又は*-O-(CHk01-CO-O-であり(但し、k01は、好ましくは1~4のいずれかの整数、より好ましくは1である。)、より好ましくは酸素原子である。
a02、Ra03、Ra04、Ra6及びRa7におけるアルキル基、アルケニル基、脂環式炭化水素基、芳香族炭化水素基及びこれらを組合せた基としては、式(1)のRa1、Ra2及びRa3で挙げた基と同様の基が挙げられる。
a02、Ra03、及びRa04におけるアルキル基は、好ましくは炭素数1~6のアルキル基であり、より好ましくはメチル基又はエチル基であり、さらに好ましくはメチル基である。
a6及びRa7におけるアルキル基は、好ましくは炭素数1~6のアルキル基であり、より好ましくはメチル基、エチル基、イソプロピル基又はt-ブチル基であり、さらに好ましくはエチル基、イソプロピル基又はt-ブチル基である。
a6及びRa7におけるアルケニル基は、好ましくは炭素数2~6のアルケニル基であり、より好ましくはエテニル基、プロペニル基、イソプロペニル基又はブテニル基である。
a02、Ra03、Ra04、Ra6及びRa7の脂環式炭化水素基の炭素数は、好ましくは5~12であり、より好ましくは5~10である。
a02、Ra03、Ra04、Ra6及びRa7の芳香族炭化水素基の炭素数は、好ましくは6~12であり、より好ましくは6~10である。
アルキル基と脂環式炭化水素基とを組合せた基は、これらアルキル基と脂環式炭化水素基とを組合せた合計炭素数が、18以下であることが好ましい。
アルキル基と芳香族炭化水素基とを組合せた基は、これらアルキル基と芳香族炭化水素基とを組合せた合計炭素数が、18以下であることが好ましい。
a02及びRa03は、好ましくは炭素数1~6のアルキル基又は炭素数6~12の芳香族炭化水素基であり、より好ましくはメチル基、エチル基、フェニル基又はナフチル基である。
a04は、好ましくは炭素数1~6のアルキル基又は炭素数5~12の脂環式炭化水素基であり、より好ましくはメチル基、エチル基、シクロヘキシル基又はアダマンチル基である。
a6及びRa7は、好ましくは炭素数1~6のアルキル基、炭素数2~6のアルケニル基又は炭素数6~12の芳香族炭化水素基であり、より好ましくはメチル基、エチル基、イソプロピル基、t-ブチル基、エテニル基、フェニル基又はナフチル基であり、さらに好ましくはエチル基、イソプロピル基、t-ブチル基、エテニル基又はフェニル基である。
m1は、好ましくは0~3のいずれかの整数であり、より好ましくは0又は1である。
n1は、好ましくは0~3のいずれかの整数であり、より好ましくは0又は1である。
n1’は好ましくは0又は1である。
Ra01 , Ra4 and Ra5 are preferably a hydrogen atom or a methyl group, more preferably a methyl group.
La01 , La1 and La2 are preferably an oxygen atom or *—O—(CH2 )k01 —CO—O— (provided that k01 is preferably any integer of 1 to 4, more preferably is 1.), more preferably an oxygen atom.
Ra02 , Ra03 , Ra04 , Ra6 and Ra7 are alkyl groups, alkenyl groups, alicyclic hydrocarbon groups, aromatic hydrocarbon groups and groups in which these groups are combined, and Ra1 of formula (1), The same groups as those mentioned for Ra2 and Ra3 can be mentioned.
The alkyl group for Ra02 , Ra03 and Ra04 is preferably an alkyl group having 1 to 6 carbon atoms, more preferably a methyl group or an ethyl group, still more preferably a methyl group.
The alkyl group for Ra6 and Ra7 is preferably an alkyl group having 1 to 6 carbon atoms, more preferably a methyl group, an ethyl group, an isopropyl group or a t-butyl group, still more preferably an ethyl group or an isopropyl group. or a t-butyl group.
The alkenyl group for Ra6 and Ra7 is preferably an alkenyl group having 2 to 6 carbon atoms, more preferably an ethenyl group, propenyl group, isopropenyl group or butenyl group.
The alicyclic hydrocarbon groups of Ra02 , Ra03 , Ra04 , Ra6 and Ra7 preferably have 5 to 12 carbon atoms, more preferably 5 to 10 carbon atoms.
The aromatic hydrocarbon groups of Ra02 , Ra03 , Ra04 , Ra6 and Ra7 preferably have 6 to 12 carbon atoms, more preferably 6 to 10 carbon atoms.
It is preferable that the combined group of an alkyl group and an alicyclic hydrocarbon group have a total carbon number of 18 or less.
It is preferable that the combined group of an alkyl group and an aromatic hydrocarbon group have a total carbon number of 18 or less.
Ra02 and Ra03 are preferably an alkyl group having 1 to 6 carbon atoms or an aromatic hydrocarbon group having 6 to 12 carbon atoms, more preferably methyl group, ethyl group, phenyl group or naphthyl group.
Ra04 is preferably an alkyl group having 1 to 6 carbon atoms or an alicyclic hydrocarbon group having 5 to 12 carbon atoms, more preferably a methyl group, an ethyl group, a cyclohexyl group or an adamantyl group.
Ra6 and Ra7 are preferably an alkyl group having 1 to 6 carbon atoms, an alkenyl group having 2 to 6 carbon atoms or an aromatic hydrocarbon group having 6 to 12 carbon atoms, more preferably a methyl group, an ethyl group, isopropyl group, t-butyl group, ethenyl group, phenyl group or naphthyl group, more preferably ethyl group, isopropyl group, t-butyl group, ethenyl group or phenyl group.
m1 is preferably an integer from 0 to 3, more preferably 0 or 1.
n1 is preferably an integer from 0 to 3, more preferably 0 or 1.
n1' is preferably 0 or 1.

構造単位(a1-0)としては、例えば、式(a1-0-1)~式(a1-0-18)のいずれかで表される構造単位及び構造単位(a1-0)におけるRa01に相当するメチル基が水素原子、ハロゲン原子、ハロアルキル基(ハロゲン原子を有するアルキル基)又は他のアルキル基に置き換わった構造単位が挙げられ、式(a1-0-1)~式(a1-0-10)、式(a1-0-13)、式(a1-0-14)のいずれかで表される構造単位が好ましい。

Figure 2023016037000093
As the structural unit (a1-0), for example, a structural unit represented by any one of formulas (a1-0-1) to (a1-0-18) and Ra01 in the structural unit (a1-0) Structural units in which the corresponding methyl group is replaced with a hydrogen atom, a halogen atom, a haloalkyl group (an alkyl group having a halogen atom) or other alkyl groups, and examples of formulas (a1-0-1) to (a1-0- 10), a structural unit represented by formula (a1-0-13) or formula (a1-0-14) is preferred.
Figure 2023016037000093

構造単位(a1-1)としては、例えば、特開2010-204646号公報に記載されたモノマーに由来する構造単位が挙げられる。中でも、式(a1-1-1)~式(a1-1-7)のいずれかで表される構造単位及び構造単位(a1-1)におけるRa4に相当するメチル基が水素原子、ハロゲン原子、ハロアルキル基又は他のアルキル基に置き換わった構造単位が好ましく、式(a1-1-1)~式(a1-1-4)のいずれかで表される構造単位がより好ましい。

Figure 2023016037000094
Examples of structural units (a1-1) include structural units derived from monomers described in JP-A-2010-204646. Among them, a structural unit represented by any one of formulas (a1-1-1) to (a1-1-7) and a methyl group corresponding to Ra4 in structural unit (a1-1) is a hydrogen atom or a halogen atom. , a haloalkyl group or other alkyl group is preferred, and a structural unit represented by any one of formulas (a1-1-1) to (a1-1-4) is more preferred.
Figure 2023016037000094

構造単位(a1-2)としては、式(a1-2-1)~式(a1-2-14)のいずれかで表される構造単位及び構造単位(a1-2)におけるRa5に相当するメチル基が水素原子、ハロゲン原子、ハロアルキル基又は他のアルキル基に置き換わった構造単位が挙げられ、式(a1-2-2)、式(a1-2-5)、式(a1-2-6)及び式(a1-2-10)~式(a1-2-14)のいずれかで表される構造単位が好ましい。

Figure 2023016037000095
The structural unit (a1-2) corresponds to a structural unit represented by any one of formulas (a1-2-1) to (a1-2-14) and Ra5 in the structural unit (a1-2). Structural units in which a methyl group is replaced with a hydrogen atom, a halogen atom, a haloalkyl group or another alkyl group include formula (a1-2-2), formula (a1-2-5), formula (a1-2-6 ) and structural units represented by any one of formulas (a1-2-10) to (a1-2-14) are preferred.
Figure 2023016037000095

樹脂(A)が構造単位(a1-0)及び/又は構造単位(a1-1)及び/又は構造単位(a1-2)を含む場合、これらの合計含有率は、樹脂(A)の全構造単位に対して、10モル%以上が挙げられ、好ましくは15モル%以上であり、より好ましくは20モル%以上であり、さらに好ましくは25モル%以上であり、さらにより好ましくは30モル%以上である。また、95モル%以下が挙げられ、好ましくは90モル%以下であり、より好ましくは85モル%以下であり、さらに好ましくは70モル%以下である。具体的には、10~95モル%が挙げられ、好ましくは15~90モル%であり、より好ましくは20~85モル%であり、さらに好ましくは25~70モル%であり、さらにより好ましくは30~70モル%である。
樹脂(A)が構造単位(a1-0)を含む場合、その含有率は、樹脂(A)の全構造単位に対して、5モル%以上が挙げられ、好ましくは10モル%以上である。また、80モル%以下が挙げられ、好ましくは75モル%以下であり、より好ましくは70モル%以下である。具体的には、5~80モル%が挙げられ、好ましくは5~75モル%であり、より好ましくは10~70モル%である。
樹脂(A)が構造単位(a1-1)及び/又は構造単位(a1-2)を含む場合、これらの合計含有率は、樹脂(A)の全構造単位に対して、10モル%以上が挙げられ、好ましくは15モル%以上であり、より好ましくは20モル%以上である。また、90モル%以下が挙げられ、好ましくは85モル%以下であり、より好ましくは80モル%以下であり、さらに好ましくは75モル%以下であり、より一層好ましくは70モル%以下である。具体的には、10~90モル%が挙げられ、好ましくは15~85モル%であり、より好ましくは20~80モル%であり、さらに好ましくは20~75モル%であり、さらにより好ましくは20~70モル%である。
When the resin (A) contains the structural unit (a1-0) and/or the structural unit (a1-1) and/or the structural unit (a1-2), the total content of these is the total structure of the resin (A) 10 mol % or more, preferably 15 mol % or more, more preferably 20 mol % or more, still more preferably 25 mol % or more, still more preferably 30 mol % or more, relative to the unit is. Further, it is 95 mol % or less, preferably 90 mol % or less, more preferably 85 mol % or less, still more preferably 70 mol % or less. Specifically, it is 10 to 95 mol%, preferably 15 to 90 mol%, more preferably 20 to 85 mol%, still more preferably 25 to 70 mol%, still more preferably 30 to 70 mol %.
When the resin (A) contains the structural unit (a1-0), its content is 5 mol % or more, preferably 10 mol % or more, based on the total structural units of the resin (A). Also, it is 80 mol % or less, preferably 75 mol % or less, and more preferably 70 mol % or less. Specifically, it is 5 to 80 mol %, preferably 5 to 75 mol %, more preferably 10 to 70 mol %.
When the resin (A) contains the structural unit (a1-1) and/or the structural unit (a1-2), the total content of these units is 10 mol% or more with respect to the total structural units of the resin (A). preferably 15 mol % or more, more preferably 20 mol % or more. Also, it is 90 mol % or less, preferably 85 mol % or less, more preferably 80 mol % or less, still more preferably 75 mol % or less, and even more preferably 70 mol % or less. Specifically, it is 10 to 90 mol%, preferably 15 to 85 mol%, more preferably 20 to 80 mol%, still more preferably 20 to 75 mol%, still more preferably 20 to 70 mol %.

構造単位(a1)において基(2)を有する構造単位としては、式(a1-4)で表される構造単位(以下、「構造単位(a1-4)」という場合がある。)が挙げられる。

Figure 2023016037000096
[式(a1-4)中、
a32は、水素原子、ハロゲン原子、又は、ハロゲン原子を有していてもよい炭素数1~6のアルキル基を表す。
a33は、ハロゲン原子、ヒドロキシ基、炭素数1~6のアルキル基、炭素数1~6のアルコキシ基、炭素数2~12のアルコキシアルキル基、炭素数2~12のアルコキシアルコキシ基、炭素数2~4のアルキルカルボニル基、炭素数2~4のアルキルカルボニルオキシ基、アクリロイルオキシ基又はメタクリロイルオキシ基を表す。
a30は、単結合又は-Xa31-(Aa32-Xa32nc-を表し、*は-Ra32が結合する炭素原子との結合部位を表す。
a32は、炭素数1~6のアルカンジイル基を表す。
a31及びXa32は、それぞれ独立に、-O-、-CO-O-又は-O-CO-を表す。
ncは、0又は1を表す。
laは0~4のいずれかの整数を表す。laが2以上のいずれかの整数である場合、複数のRa33は互いに同一であっても異なっていてもよい。
a34及びRa35はそれぞれ独立に、水素原子又は炭素数1~12の炭化水素基を表し、Ra36は、炭素数1~20の炭化水素基を表すか、Ra35及びRa36は互いに結合してそれらが結合する-C-O-とともに炭素数2~20の2価の炭化水素基を形成し、該炭化水素基及び該2価の炭化水素基に含まれる-CH2-は、-O-又は-S-で置き換わってもよい。]Structural units having group (2) in structural unit (a1) include structural units represented by formula (a1-4) (hereinafter sometimes referred to as “structural unit (a1-4)”). .
Figure 2023016037000096
[In the formula (a1-4),
Ra32 represents a hydrogen atom, a halogen atom, or an alkyl group having 1 to 6 carbon atoms which may have a halogen atom.
Ra33 is a halogen atom, a hydroxy group, an alkyl group having 1 to 6 carbon atoms, an alkoxy group having 1 to 6 carbon atoms, an alkoxyalkyl group having 2 to 12 carbon atoms, an alkoxyalkoxy group having 2 to 12 carbon atoms, and a carbon number It represents an alkylcarbonyl group having 2 to 4 carbon atoms, an alkylcarbonyloxy group having 2 to 4 carbon atoms, an acryloyloxy group or a methacryloyloxy group.
Aa30 represents a single bond or* -Xa31 -(Aa32 -Xa32 )nc -, and * represents a bonding site with the carbon atom to which -Ra32 is bonded.
Aa32 represents an alkanediyl group having 1 to 6 carbon atoms.
Xa31 and Xa32 each independently represent -O-, -CO-O- or -O-CO-.
nc represents 0 or 1;
la represents an integer of 0 to 4; When la is any integer of 2 or more, the plurality of Ra33 may be the same or different.
Ra34 and Ra35 each independently represent a hydrogen atom or a hydrocarbon group having 1 to 12 carbon atoms, Ra36 represents a hydrocarbon group having 1 to 20 carbon atoms, or Ra35 and Ra36 are bonded to each other to form a C2-C20 divalent hydrocarbon group together with -C-O- to which they are bonded, and -CH2 - contained in the hydrocarbon group and the divalent hydrocarbon group is - O- or -S- may be substituted. ]

a32及びRa33におけるハロゲン原子としては、フッ素原子、塩素原子及び臭素原子等が挙げられる。
a32におけるハロゲン原子を有していてもよい炭素数1~6のアルキル基としては、トリフルオロメチル基、ジフルオロメチル基、メチル基、ペルフルオロエチル基、2,2,2-トリフルオロエチル基、1,1,2,2-テトラフルオロエチル基、エチル基、ペルフルオロプロピル基、2,2,3,3,3-ペンタフルオロプロピル基、プロピル基、ペルフルオロブチル基、1,1,2,2,3,3,4,4-オクタフルオロブチル基、ブチル基、ペルフルオロペンチル基、2,2,3,3,4,4,5,5,5-ノナフルオロペンチル基、ペンチル基、ヘキシル基及びペルフルオロヘキシル基が挙げられる。
a32は、水素原子又は炭素数1~4のアルキル基が好ましく、水素原子、メチル基又はエチル基がより好ましく、水素原子又はメチル基がさらに好ましい。
a33におけるアルキル基としては、メチル基、エチル基、プロピル基、イソプロピル基、ブチル基、sec-ブチル基、tert-ブチル基、ペンチル基、ヘキシル基が挙げられる。アルキル基は、炭素数1~4のアルキル基が好ましく、メチル基又はエチル基がより好ましく、メチル基がさらに好ましい。
a33におけるアルコキシ基としては、メトキシ基、エトキシ基、プロポキシ基、イソプロポキシ基、ブトキシ基、sec-ブトキシ基、tert-ブトキシ基、ペンチルオキシ基、ヘキシルオキシ基が挙げられる。アルコキシ基は、炭素数1~4のアルコキシ基が好ましく、メトキシ基又はエトキシ基がより好ましく、メトキシ基がさらに好ましい。
a33におけるアルコキシアルキル基としては、メトキシメチル基、エトキシエチル基、プロポキシメチル基、イソプロポキシメチル基、ブトキシメチル基、sec-ブトキシメチル基、tert-ブトキシメチル基が挙げられる。アルコキシアルキル基は、炭素数2~8のアルコキシアルキル基が好ましく、メトキシメチル基又はエトキシエチル基がより好ましく、メトキシメチル基がさらに好ましい。
a33におけるアルコキシアルコキシ基としては、メトキシメトキシ基、メトキシエトキシ基、エトキシメトキシ基、エトキシエトキシ基、プロポキシメトキシ基、イソプロポキシメトキシ基、ブトキシメトキシ基、sec-ブトキシメトキシ基、tert-ブトキシメトキシ基が挙げられる。アルコキシアルコキシ基は、炭素数2~8のアルコキシアルコキシ基が好ましく、メトキシエトキシ基又はエトキシエトキシ基がより好ましい。
a33におけるアルキルカルボニル基としては、アセチル基、プロピオニル基及びブチリル基等が挙げられる。アルキルカルボニル基は、炭素数2~3のアルキルカルボニル基が好ましく、アセチル基がより好ましい。
a33におけるアルキルカルボニルオキシ基としては、アセチルオキシ基、プロピオニルオキシ基及びブチリルオキシ基が挙げられる。アルキルカルボニルオキシ基は、炭素数2~3のアルキルカルボニルオキシ基が好ましく、アセチルオキシ基がより好ましい。
a33は、ハロゲン原子、ヒドロキシ基、炭素数1~4のアルキル基、炭素数1~4のアルコキシ基又は炭素数2~8のアルコキシアルコキシ基が好ましく、フッ素原子、ヨウ素原子、ヒドロキシ基、メチル基、メトキシ基、エトキシ基、エトキシエトキシ基又はエトキシメトキシ基がより好ましく、フッ素原子、ヨウ素原子、ヒドロキシ基、メチル基、メトキシ基又はエトキシエトキシ基がさらに好ましい。
Halogen atoms in Ra32 and Ra33 include fluorine, chlorine and bromine atoms.
Examples of the alkyl group having 1 to 6 carbon atoms which may have a halogen atom for Ra32 include a trifluoromethyl group, a difluoromethyl group, a methyl group, a perfluoroethyl group, a 2,2,2-trifluoroethyl group, 1,1,2,2-tetrafluoroethyl group, ethyl group, perfluoropropyl group, 2,2,3,3,3-pentafluoropropyl group, propyl group, perfluorobutyl group, 1,1,2,2, 3,3,4,4-octafluorobutyl group, butyl group, perfluoropentyl group, 2,2,3,3,4,4,5,5,5-nonafluoropentyl group, pentyl group, hexyl group and perfluoro A hexyl group is mentioned.
Ra32 is preferably a hydrogen atom or an alkyl group having 1 to 4 carbon atoms, more preferably a hydrogen atom, a methyl group or an ethyl group, even more preferably a hydrogen atom or a methyl group.
Examples of alkyl groups for Ra33 include methyl, ethyl, propyl, isopropyl, butyl, sec-butyl, tert-butyl, pentyl and hexyl groups. The alkyl group is preferably an alkyl group having 1 to 4 carbon atoms, more preferably a methyl group or an ethyl group, and even more preferably a methyl group.
The alkoxy group for Ra33 includes methoxy, ethoxy, propoxy, isopropoxy, butoxy, sec-butoxy, tert-butoxy, pentyloxy and hexyloxy groups. The alkoxy group is preferably an alkoxy group having 1 to 4 carbon atoms, more preferably a methoxy group or an ethoxy group, and still more preferably a methoxy group.
Alkoxyalkyl groups for Ra33 include methoxymethyl, ethoxyethyl, propoxymethyl, isopropoxymethyl, butoxymethyl, sec-butoxymethyl and tert-butoxymethyl groups. The alkoxyalkyl group is preferably an alkoxyalkyl group having 2 to 8 carbon atoms, more preferably a methoxymethyl group or an ethoxyethyl group, even more preferably a methoxymethyl group.
The alkoxyalkoxy group for Ra33 includes a methoxymethoxy group, a methoxyethoxy group, an ethoxymethoxy group, an ethoxyethoxy group, a propoxymethoxy group, an isopropoxymethoxy group, a butoxymethoxy group, a sec-butoxymethoxy group and a tert-butoxymethoxy group. mentioned. The alkoxyalkoxy group is preferably an alkoxyalkoxy group having 2 to 8 carbon atoms, more preferably a methoxyethoxy group or an ethoxyethoxy group.
The alkylcarbonyl group for Ra33 includes an acetyl group, a propionyl group and a butyryl group. The alkylcarbonyl group is preferably an alkylcarbonyl group having 2 to 3 carbon atoms, more preferably an acetyl group.
The alkylcarbonyloxy group for Ra33 includes an acetyloxy group, a propionyloxy group and a butyryloxy group. The alkylcarbonyloxy group is preferably an alkylcarbonyloxy group having 2 to 3 carbon atoms, more preferably an acetyloxy group.
Ra33 is preferably a halogen atom, a hydroxy group, an alkyl group having 1 to 4 carbon atoms, an alkoxy group having 1 to 4 carbon atoms or an alkoxyalkoxy group having 2 to 8 carbon atoms, a fluorine atom, an iodine atom, a hydroxy group, a methyl A group, a methoxy group, an ethoxy group, an ethoxyethoxy group or an ethoxymethoxy group is more preferable, and a fluorine atom, an iodine atom, a hydroxy group, a methyl group, a methoxy group or an ethoxyethoxy group is more preferable.

*-Xa31-(Aa32-Xa32nc-としては、*-O-、*-CO-O-、*-O-CO-、*-CO-O-Aa32-CO-O-、*-O-CO-Aa32-O-、*-O-Aa32-CO-O-、*-CO-O-Aa32-O-CO-、*-O-CO-Aa32-O-CO-、が挙げられる。なかでも、*-CO-O-、*-CO-O-Aa32-CO-O-又は*-O-Aa32-CO-O-が好ましい。
a32におけるアルカンジイル基としては、メチレン基、エチレン基、プロパン-1,3-ジイル基、プロパン-1,2-ジイル基、ブタン-1,4-ジイル基、ペンタン-1,5-ジイル基、ヘキサン-1,6-ジイル基、ブタン-1,3-ジイル基、2-メチルプロパン-1,3-ジイル基、2-メチルプロパン-1,2-ジイル基、ペンタン-1,4-ジイル基及び2-メチルブタン-1,4-ジイル基等が挙げられる。
a32は、メチレン基又はエチレン基であることが好ましい。
a30は、単結合、*-CO-O-又は*-CO-O-Aa32-CO-O-であることが好ましく、単結合、*-CO-O-又は*-CO-O-CH2-CO-O-であることがより好ましく、単結合又は*-CO-O-であることがさらに好ましい。
laは0、1又は2が好ましく、0又は1がより好ましく、0がさらに好ましい。
a34、Ra35及びRa36における炭化水素基としては、アルキル基、脂環式炭化水素基、芳香族炭化水素基及びこれらを組み合わせた基が挙げられる。
アルキル基としては、メチル基、エチル基、プロピル基、ブチル基、ペンチル基、ヘキシル基、ヘプチル基、オクチル基等が挙げられる。
脂環式炭化水素基は、単環式及び多環式のいずれでもよい。単環式の脂環式炭化水素基としては、シクロペンチル基、シクロへキシル基、シクロヘプチル基、シクロオクチル基等のシクロアルキル基が挙げられる。多環式の脂環式炭化水素基としては、デカヒドロナフチル基、アダマンチル基、ノルボルニル基及び下記の基(*は結合部位を表す。)等が挙げられる。

Figure 2023016037000097
芳香族炭化水素基としては、フェニル基、ナフチル基、アントリル基、ビフェニル基、フェナントリル基等のアリール基等が挙げられる。
組み合わせた基としては、上述したアルキル基と脂環式炭化水素基とを組み合わせた基(例えば、メチルシクロヘキシル基、ジメチルシクロへキシル基、メチルノルボルニル基、シクロヘキシルメチル基、アダマンチルメチル基、アダマンチルジメチル基、ノルボルニルエチル基等のアルキルシクロアルキル基又はシクロアルキルアルキル基)、ベンジル基等のアラルキル基、アルキル基を有する芳香族炭化水素基(p-メチルフェニル基、p-tert-ブチルフェニル基、トリル基、キシリル基、クメニル基、メシチル基、2,6-ジエチルフェニル基、2-メチル-6-エチルフェニル基等)、脂環式炭化水素基を有する芳香族炭化水素基(p-シクロヘキシルフェニル基、p-アダマンチルフェニル基等)、フェニルシクロヘキシル基等のアリール-シクロアルキル基等が挙げられる。特に、Ra36としては、炭素数1~18のアルキル基、炭素数3~18の脂環式炭化水素基、炭素数6~18の芳香族炭化水素基又はこれらを組み合わせることにより形成される基が挙げられる。*-Xa31 -(Aa32 -Xa32 )nc - includes *-O-, *-CO-O-, *-O-CO-, *-CO-O-Aa32 -CO-O-, *-O-CO-Aa32 -O-, *-O-Aa32 -CO-O-, *-CO-O-Aa32 -O-CO-, *-O-CO-Aa32 -O-CO -, are included. Among them, *-CO-O-, *-CO-O-Aa32 -CO-O- or *-O-Aa32 -CO-O- is preferred.
Alkanediyl group for Aa32 includes methylene group, ethylene group, propane-1,3-diyl group, propane-1,2-diyl group, butane-1,4-diyl group and pentane-1,5-diyl group. , hexane-1,6-diyl group, butane-1,3-diyl group, 2-methylpropane-1,3-diyl group, 2-methylpropane-1,2-diyl group, pentane-1,4-diyl and 2-methylbutane-1,4-diyl group.
Aa32 is preferably a methylene group or an ethylene group.
Aa30 is preferably a single bond, *-CO-O- or *-CO-O-Aa32 -CO-O-, a single bond, *-CO-O- or *-CO-O-CH2 -CO-O- is more preferred, and a single bond or *-CO-O- is even more preferred.
la is preferably 0, 1 or 2, more preferably 0 or 1, and still more preferably 0.
Hydrocarbon groups for Ra34 , Ra35 and Ra36 include alkyl groups, alicyclic hydrocarbon groups, aromatic hydrocarbon groups and groups in which these are combined.
Examples of alkyl groups include methyl, ethyl, propyl, butyl, pentyl, hexyl, heptyl and octyl groups.
The alicyclic hydrocarbon group may be either monocyclic or polycyclic. The monocyclic alicyclic hydrocarbon group includes cycloalkyl groups such as cyclopentyl group, cyclohexyl group, cycloheptyl group and cyclooctyl group. Examples of polycyclic alicyclic hydrocarbon groups include decahydronaphthyl group, adamantyl group, norbornyl group and the following groups (* represents a bonding site).
Figure 2023016037000097
Examples of the aromatic hydrocarbon group include aryl groups such as phenyl group, naphthyl group, anthryl group, biphenyl group and phenanthryl group.
Examples of the combined group include groups obtained by combining the above alkyl groups and alicyclic hydrocarbon groups (e.g., methylcyclohexyl group, dimethylcyclohexyl group, methylnorbornyl group, cyclohexylmethyl group, adamantylmethyl group, adamantyl a dimethyl group, an alkylcycloalkyl group such as a norbornylethyl group or a cycloalkylalkyl group), an aralkyl group such as a benzyl group, an aromatic hydrocarbon group having an alkyl group (p-methylphenyl group, p-tert-butylphenyl group, tolyl group, xylyl group, cumenyl group, mesityl group, 2,6-diethylphenyl group, 2-methyl-6-ethylphenyl group, etc.), an aromatic hydrocarbon group having an alicyclic hydrocarbon group (p- cyclohexylphenyl group, p-adamantylphenyl group, etc.), aryl-cycloalkyl groups such as phenylcyclohexyl group, and the like. In particular, Ra36 is an alkyl group having 1 to 18 carbon atoms, an alicyclic hydrocarbon group having 3 to 18 carbon atoms, an aromatic hydrocarbon group having 6 to 18 carbon atoms, or a group formed by combining these groups. are mentioned.

a34は、好ましくは、水素原子である。
a35は、好ましくは、水素原子、炭素数1~12のアルキル基又は炭素数3~12の脂環式炭化水素基であり、より好ましくはメチル基又はエチル基である。
a36の炭化水素基は、好ましくは、炭素数1~18のアルキル基、炭素数3~18の脂環式炭化水素基、炭素数6~18の芳香族炭化水素基又はこれらを組み合わせることにより形成される基であり、より好ましくは、炭素数1~18のアルキル基、炭素数3~18の脂環式炭化水素基又は炭素数7~18のアラルキル基である。Ra36におけるアルキル基及び脂環式炭化水素基は、無置換であることが好ましい。Ra36における芳香族炭化水素基は、炭素数6~10のアリールオキシ基を有する芳香環が好ましい。
Ra34 is preferably a hydrogen atom.
Ra35 is preferably a hydrogen atom, an alkyl group having 1 to 12 carbon atoms or an alicyclic hydrocarbon group having 3 to 12 carbon atoms, more preferably a methyl group or an ethyl group.
The hydrocarbon group of Ra36 is preferably an alkyl group having 1 to 18 carbon atoms, an alicyclic hydrocarbon group having 3 to 18 carbon atoms, an aromatic hydrocarbon group having 6 to 18 carbon atoms, or a combination of these A group to be formed, more preferably an alkyl group having 1 to 18 carbon atoms, an alicyclic hydrocarbon group having 3 to 18 carbon atoms or an aralkyl group having 7 to 18 carbon atoms. The alkyl group and alicyclic hydrocarbon group in Ra36 are preferably unsubstituted. The aromatic hydrocarbon group for Ra36 is preferably an aromatic ring having an aryloxy group having 6 to 10 carbon atoms.

構造単位(a1-4)における-OC(Ra34)(Ra35)-O-Ra36は、酸(例えばp-トルエンスルホン酸)と接触して脱離し、ヒドロキシ基を形成する。
-OC(Ra34)(Ra35)-O-Ra36は、ベンゼン環のo-位又はp-位に結合することが好ましく、p-位に結合することがより好ましい。
--OC(Ra34 )(Ra35 )-ORa36 in the structural unit (a1-4) is eliminated upon contact with an acid (eg, p-toluenesulfonic acid) to form a hydroxy group.
—OC(Ra34 )(Ra35 )—ORa36 preferably bonds to the o-position or p-position of the benzene ring, more preferably to the p-position.

構造単位(a1-4)としては、例えば、特開2010-204646号公報に記載されたモノマー由来の構造単位が挙げられる。好ましくは、式(a1-4-1)~式(a1-4-24)でそれぞれ表される構造単位及び構造単位(a1-4)におけるRa32に相当する水素原子が、ハロゲン原子、ハロアルキル基又はアルキル基に置き換わった構造単位が挙げられ、より好ましくは、式(a1-4-1)~式(a1-4-5)、式(a1-4-10)、式(a1-4-13)、式(a1-4-14)、式(a1-4-19)、式(a1-4-20)でそれぞれ表される構造単位が挙げられる。

Figure 2023016037000098
Examples of structural units (a1-4) include structural units derived from monomers described in JP-A-2010-204646. Preferably, the hydrogen atom corresponding to Ra32 in structural units and structural units (a1-4) represented by formulas (a1-4-1) to (a1-4-24) is a halogen atom or a haloalkyl group. or a structural unit substituted with an alkyl group, more preferably formula (a1-4-1) ~ formula (a1-4-5), formula (a1-4-10), formula (a1-4-13 ), formula (a1-4-14), formula (a1-4-19), and formula (a1-4-20).
Figure 2023016037000098

樹脂(A)が、構造単位(a1-4)を含む場合、その含有率は、樹脂(A)の全構造単位の合計に対して、10~95モル%であることが好ましく、15~90モル%であることがより好ましく、20~85モル%であることがさらに好ましく、20~70モル%であることがより一層好ましく、20~60モル%であることがさらに一層好ましい。 When the resin (A) contains the structural unit (a1-4), the content thereof is preferably 10 to 95 mol%, preferably 15 to 90 mol%, based on the total of all structural units of the resin (A). It is more preferably 20 to 85 mol %, even more preferably 20 to 70 mol %, even more preferably 20 to 60 mol %.

基(2)を有する(メタ)アクリル系モノマーに由来する構造単位としては、式(a1-5)で表される構造単位(以下「構造単位(a1-5)」という場合がある)も挙げられる。

Figure 2023016037000099
式(a1-5)中、
a8は、ハロゲン原子を有していてもよい炭素数1~6のアルキル基、水素原子又はハロゲン原子を表す。
a1は、単結合又は*-(CH2h3-CO-L54-を表し、h3は1~4のいずれかの整数を表し、*は、L51との結合部位を表す。
51、L52、L53及びL54は、それぞれ独立に、-O-又は-S-を表す。
s1は、1~3のいずれかの整数を表す。
s1’は、0~3のいずれかの整数を表す。Structural units derived from (meth)acrylic monomers having group (2) include structural units represented by formula (a1-5) (hereinafter sometimes referred to as “structural unit (a1-5)”). be done.
Figure 2023016037000099
In formula (a1-5),
Ra8 represents an alkyl group having 1 to 6 carbon atoms which may have a halogen atom, a hydrogen atom or a halogen atom.
Za1 represents a single bond or *—(CH2 )h3 —CO—L54 —, h3 represents an integer of 1 to 4, and * represents a binding site with L51 .
L51 , L52 , L53 and L54 each independently represent -O- or -S-.
s1 represents any integer from 1 to 3;
s1′ represents any integer from 0 to 3;

ハロゲン原子としては、フッ素原子及び塩素原子が挙げられ、フッ素原子が好ましい。
ハロゲン原子を有してもよい炭素数1~6のアルキル基としては、メチル基、エチル基、プロピル基、ブチル基、ペンチル基、ヘキシル基、ヘプチル基、オクチル基、フルオロメチル基及びトリフルオロメチル基が挙げられる。
式(a1-5)においては、Ra8は、水素原子、メチル基又はトリフルオロメチル基が好ましい。
51は、酸素原子が好ましい。
52及びL53のうち、一方が-O-であり、他方が-S-であることが好ましい。
s1は、1が好ましい。
s1’は、0~2のいずれかの整数が好ましい。
a1は、単結合又は*-CH2-CO-O-が好ましい。
Halogen atoms include fluorine atoms and chlorine atoms, with fluorine atoms being preferred.
Examples of the alkyl group having 1 to 6 carbon atoms which may have a halogen atom include methyl group, ethyl group, propyl group, butyl group, pentyl group, hexyl group, heptyl group, octyl group, fluoromethyl group and trifluoromethyl. groups.
In formula (a1-5), Ra8 is preferably a hydrogen atom, a methyl group or a trifluoromethyl group.
L51 is preferably an oxygen atom.
Preferably, one of L52 and L53 is —O— and the other is —S—.
As for s1, 1 is preferable.
s1' is preferably an integer of 0-2.
Za1 is preferably a single bond or *—CH2 —CO—O—.

構造単位(a1-5)としては、例えば、特開2010-61117号公報に記載されたモノマー由来の構造単位が挙げられる。中でも、式(a1-5-1)~式(a1-5-4)でそれぞれ表される構造単位が好ましく、式(a1-5-1)又は式(a1-5-2)で表される構造単位がより好ましい。

Figure 2023016037000100
Examples of structural units (a1-5) include structural units derived from monomers described in JP-A-2010-61117. Among them, structural units represented by formulas (a1-5-1) to (a1-5-4) are preferable, and represented by formula (a1-5-1) or formula (a1-5-2) Structural units are more preferred.
Figure 2023016037000100

樹脂(A)が、構造単位(a1-5)を含む場合、その含有率は、樹脂(A)の全構造単位に対して、1~50モル%が好ましく、3~45モル%がより好ましく、5~40モル%がさらに好ましく、5~30モル%がさらにより好ましい。 When the resin (A) contains the structural unit (a1-5), its content is preferably 1 to 50 mol%, more preferably 3 to 45 mol%, based on the total structural units of the resin (A). , more preferably 5 to 40 mol %, and even more preferably 5 to 30 mol %.

また、構造単位(a1)としては、以下の構造単位も挙げられる。

Figure 2023016037000101
The structural unit (a1) also includes the following structural units.
Figure 2023016037000101

樹脂(A)が上記、(a1-3-1)~(a1-3-7)のような構造単位を含む場合、その含有率は、樹脂(A)の全構造単位に対して、10~95モル%が好ましく、15~90モル%がより好ましく、20~85モル%がさらに好ましく、20~70モル%がさらにより好ましく、20~60モル%が特に好ましい。 When the resin (A) contains structural units such as the above (a1-3-1) to (a1-3-7), the content is 10 to 10 to the total structural units of the resin (A). 95 mol % is preferred, 15 to 90 mol % is more preferred, 20 to 85 mol % is even more preferred, 20 to 70 mol % is even more preferred, and 20 to 60 mol % is particularly preferred.

〈構造単位(s)〉
構造単位(s)は、酸不安定基を有さないモノマー(以下「モノマー(s)」という場合がある)から導かれる。構造単位(s)を導くモノマーは、レジスト分野で公知の酸不安定基を有さないモノマーを使用できる。
構造単位(s)としては、ヒドロキシ基又はラクトン環を有するのが好ましい。ヒドロキシ基を有し、かつ酸不安定基を有さない構造単位(以下「構造単位(a2)」という場合がある)及び/又はラクトン環を有し、かつ酸不安定基を有さない構造単位(以下「構造単位(a3)」という場合がある)を含む樹脂を本発明のレジスト組成物に使用すれば、レジストパターンの解像度及び基板との密着性を向上させることができる。
<Structural unit (s)>
Structural unit (s) is derived from a monomer having no acid-labile group (hereinafter sometimes referred to as "monomer (s)"). As a monomer leading to the structural unit (s), a monomer having no acid-labile group known in the field of resists can be used.
The structural unit (s) preferably has a hydroxy group or a lactone ring. A structural unit having a hydroxy group and no acid-labile group (hereinafter sometimes referred to as "structural unit (a2)") and/or a structure having a lactone ring and no acid-labile group When a resin containing a unit (hereinafter sometimes referred to as "structural unit (a3)") is used in the resist composition of the present invention, the resolution of the resist pattern and adhesion to the substrate can be improved.

〈構造単位(a2)〉
構造単位(a2)が有するヒドロキシ基は、アルコール性ヒドロキシ基でも、フェノール性ヒドロキシ基でもよい。
本発明のレジスト組成物からレジストパターンを製造するとき、露光光源としてKrFエキシマレーザ(248nm)、電子線又はEUV(超紫外光)等の高エネルギー線を用いる場合には、構造単位(a2)として、フェノール性ヒドロキシ基を有する構造単位(a2)が好ましく、後述する構造単位(a2-A)を用いることがより好ましい。また、ArFエキシマレーザ(193nm)等を用いる場合には、構造単位(a2)として、アルコール性ヒドロキシ基を有する構造単位(a2)が好ましく、後述する構造単位(a2-1)を用いることがより好ましい。構造単位(a2)としては、1種を単独で含んでいてもよく、2種以上を含んでいてもよい。
<Structural unit (a2)>
The hydroxy group possessed by the structural unit (a2) may be an alcoholic hydroxy group or a phenolic hydroxy group.
When producing a resist pattern from the resist composition of the present invention, when using a high-energy beam such as a KrF excimer laser (248 nm), an electron beam, or EUV (extreme ultraviolet light) as an exposure light source, the structural unit (a2) , a structural unit (a2) having a phenolic hydroxy group is preferable, and it is more preferable to use a structural unit (a2-A) described later. When using an ArF excimer laser (193 nm) or the like, the structural unit (a2) is preferably a structural unit (a2) having an alcoholic hydroxy group, and more preferably a structural unit (a2-1) described later. preferable. As the structural unit (a2), one type may be contained alone, or two or more types may be contained.

構造単位(a2)においてフェノール性ヒドロキシ基を有する構造単位としては式(a2-A)で表される構造単位(以下「構造単位(a2-A)」という場合がある)が挙げられる。

Figure 2023016037000102
[式(a2-A)中、
a50は、水素原子、ハロゲン原子又はハロゲン原子を有していてもよい炭素数1~6のアルキル基を表す。
a51は、ハロゲン原子、ヒドロキシ基、炭素数1~6のアルキル基、炭素数1~6のアルコキシ基、炭素数2~12のアルコキシアルキル基、炭素数2~12のアルコキシアルコキシ基、炭素数2~4のアルキルカルボニル基、炭素数2~4のアルキルカルボニルオキシ基、アクリロイルオキシ基又はメタクリロイルオキシ基を表す。
a50は、単結合又は*-Xa51-(Aa52-Xa52nb-を表し、*は-Ra50が結合する炭素原子との結合部位を表す。
a52は、炭素数1~6のアルカンジイル基を表す。
a51及びXa52は、それぞれ独立に、-O-、-CO-O-又は-O-CO-を表す。
nbは、0又は1を表す。
mbは0~4のいずれかの整数を表す。mbが2以上のいずれかの整数である場合、複数のRa51は互いに同一であっても異なっていてもよい。]Structural units having a phenolic hydroxy group in structural units (a2) include structural units represented by formula (a2-A) (hereinafter sometimes referred to as “structural unit (a2-A)”).
Figure 2023016037000102
[In the formula (a2-A),
Ra50 represents a hydrogen atom, a halogen atom or an alkyl group having 1 to 6 carbon atoms which may have a halogen atom.
Ra51 is a halogen atom, a hydroxy group, an alkyl group having 1 to 6 carbon atoms, an alkoxy group having 1 to 6 carbon atoms, an alkoxyalkyl group having 2 to 12 carbon atoms, an alkoxyalkoxy group having 2 to 12 carbon atoms, an alkoxyalkoxy group having 2 to 12 carbon atoms, It represents an alkylcarbonyl group having 2 to 4 carbon atoms, an alkylcarbonyloxy group having 2 to 4 carbon atoms, an acryloyloxy group or a methacryloyloxy group.
Aa50 represents a single bond or *-Xa51 -(Aa52 -Xa52 )nb -, and * represents a bonding site with the carbon atom to which -Ra50 bonds.
Aa52 represents an alkanediyl group having 1 to 6 carbon atoms.
Xa51 and Xa52 each independently represent -O-, -CO-O- or -O-CO-.
nb represents 0 or 1;
mb represents an integer of 0 to 4; When mb is any integer of 2 or more, multiple Ra51 may be the same or different. ]

a50及びRa51におけるハロゲン原子としては、フッ素原子、塩素原子及び臭素原子等が挙げられる。
a50におけるハロゲン原子を有していてもよい炭素数1~6のアルキル基としては、トリフルオロメチル基、ジフルオロメチル基、メチル基、ペルフルオロエチル基、2,2,2-トリフルオロエチル基、1,1,2,2-テトラフルオロエチル基、エチル基、ペルフルオロプロピル基、2,2,3,3,3-ペンタフルオロプロピル基、プロピル基、ペルフルオロブチル基、1,1,2,2,3,3,4,4-オクタフルオロブチル基、ブチル基、ペルフルオロペンチル基、2,2,3,3,4,4,5,5,5-ノナフルオロペンチル基、ペンチル基、ヘキシル基及びペルフルオロヘキシル基が挙げられる。
a50は、水素原子又は炭素数1~4のアルキル基が好ましく、水素原子、メチル基又はエチル基がより好ましく、水素原子又はメチル基がさらに好ましい。
a51におけるアルキル基としては、メチル基、エチル基、プロピル基、イソプロピル基、ブチル基、sec-ブチル基、tert-ブチル基、ペンチル基、ヘキシル基が挙げられる。アルキル基は、炭素数1~4のアルキル基が好ましく、メチル基又はエチル基がより好ましく、メチル基がさらに好ましい。
a51におけるアルコキシ基としては、メトキシ基、エトキシ基、プロポキシ基、イソプロポキシ基、ブトキシ基、sec-ブトキシ基、tert-ブトキシ基が挙げられる。アルコキシ基は、炭素数1~4のアルコキシ基が好ましく、メトキシ基又はエトキシ基がより好ましく、メトキシ基がさらに好ましい。
a51におけるアルコキシアルキル基としては、メトキシメチル基、エトキシエチル基、プロポキシメチル基、イソプロポキシメチル基、ブトキシメチル基、sec-ブトキシメチル基、tert-ブトキシメチル基が挙げられる。アルコキシアルキル基は、炭素数2~8のアルコキシアルキル基が好ましく、メトキシメチル基又はエトキシエチル基がより好ましく、メトキシメチル基がさらに好ましい。
a51におけるアルコキシアルコキシ基としては、メトキシメトキシ基、メトキシエトキシ基、エトキシメトキシ基、エトキシエトキシ基、プロポキシメトキシ基、イソプロポキシメトキシ基、ブトキシメトキシ基、sec-ブトキシメトキシ基、tert-ブトキシメトキシ基が挙げられる。アルコキシアルコキシ基は、炭素数2~8のアルコキシアルコキシ基が好ましく、メトキシエトキシ基又はエトキシエトキシ基がより好ましい。
a51におけるアルキルカルボニル基としては、アセチル基、プロピオニル基及びブチリル基等が挙げられる。アルキルカルボニル基は、炭素数2~3のアルキルカルボニル基が好ましく、アセチル基がより好ましい。
a51におけるアルキルカルボニルオキシ基としては、アセチルオキシ基、プロピオニルオキシ基及びブチリルオキシ基が挙げられる。アルキルカルボニルオキシ基は、炭素数2~3のアルキルカルボニルオキシ基が好ましく、アセチルオキシ基がより好ましい。
a51は、ハロゲン原子、ヒドロキシ基、炭素数1~4のアルキル基、炭素数1~4のアルコキシ基又は炭素数2~8のアルコキシアルコキシ基が好ましく、フッ素原子、ヨウ素原子、ヒドロキシ基、メチル基、メトキシ基、エトキシ基、エトキシエトキシ基又はエトキシメトキシ基がより好ましく、フッ素原子、ヨウ素原子、ヒドロキシ基、メチル基、メトキシ基又はエトキシエトキシ基がさらに好ましい。
Halogen atoms in Ra50 and Ra51 include fluorine, chlorine and bromine atoms.
Examples of the alkyl group having 1 to 6 carbon atoms which may have a halogen atom for Ra50 include a trifluoromethyl group, a difluoromethyl group, a methyl group, a perfluoroethyl group, a 2,2,2-trifluoroethyl group, 1,1,2,2-tetrafluoroethyl group, ethyl group, perfluoropropyl group, 2,2,3,3,3-pentafluoropropyl group, propyl group, perfluorobutyl group, 1,1,2,2, 3,3,4,4-octafluorobutyl group, butyl group, perfluoropentyl group, 2,2,3,3,4,4,5,5,5-nonafluoropentyl group, pentyl group, hexyl group and perfluoro A hexyl group is mentioned.
Ra50 is preferably a hydrogen atom or an alkyl group having 1 to 4 carbon atoms, more preferably a hydrogen atom, a methyl group or an ethyl group, even more preferably a hydrogen atom or a methyl group.
Examples of alkyl groups for Ra51 include methyl, ethyl, propyl, isopropyl, butyl, sec-butyl, tert-butyl, pentyl and hexyl groups. The alkyl group is preferably an alkyl group having 1 to 4 carbon atoms, more preferably a methyl group or an ethyl group, and even more preferably a methyl group.
Alkoxy groups for Ra51 include methoxy, ethoxy, propoxy, isopropoxy, butoxy, sec-butoxy and tert-butoxy groups. The alkoxy group is preferably an alkoxy group having 1 to 4 carbon atoms, more preferably a methoxy group or an ethoxy group, and still more preferably a methoxy group.
Alkoxyalkyl groups for Ra51 include methoxymethyl, ethoxyethyl, propoxymethyl, isopropoxymethyl, butoxymethyl, sec-butoxymethyl and tert-butoxymethyl groups. The alkoxyalkyl group is preferably an alkoxyalkyl group having 2 to 8 carbon atoms, more preferably a methoxymethyl group or an ethoxyethyl group, even more preferably a methoxymethyl group.
The alkoxyalkoxy group for Ra51 includes a methoxymethoxy group, a methoxyethoxy group, an ethoxymethoxy group, an ethoxyethoxy group, a propoxymethoxy group, an isopropoxymethoxy group, a butoxymethoxy group, a sec-butoxymethoxy group and a tert-butoxymethoxy group. mentioned. The alkoxyalkoxy group is preferably an alkoxyalkoxy group having 2 to 8 carbon atoms, more preferably a methoxyethoxy group or an ethoxyethoxy group.
The alkylcarbonyl group for Ra51 includes an acetyl group, a propionyl group and a butyryl group. The alkylcarbonyl group is preferably an alkylcarbonyl group having 2 to 3 carbon atoms, more preferably an acetyl group.
The alkylcarbonyloxy group for Ra51 includes an acetyloxy group, a propionyloxy group and a butyryloxy group. The alkylcarbonyloxy group is preferably an alkylcarbonyloxy group having 2 to 3 carbon atoms, more preferably an acetyloxy group.
Ra51 is preferably a halogen atom, a hydroxy group, an alkyl group having 1 to 4 carbon atoms, an alkoxy group having 1 to 4 carbon atoms or an alkoxyalkoxy group having 2 to 8 carbon atoms, a fluorine atom, an iodine atom, a hydroxy group, a methyl A group, methoxy group, ethoxy group, ethoxyethoxy group or ethoxymethoxy group is more preferable, and fluorine atom, iodine atom, hydroxy group, methyl group, methoxy group or ethoxyethoxy group is more preferable.

*-Xa51-(Aa52-Xa52nb-としては、*-O-、*-CO-O-、*-O-CO-、*-CO-O-Aa52-CO-O-、*-O-CO-Aa52-O-、*-O-Aa52-CO-O-、*-CO-O-Aa52-O-CO-、*-O-CO-Aa52-O-CO-、が挙げられる。なかでも、*-CO-O-、*-CO-O-Aa52-CO-O-又は*-O-Aa52-CO-O-が好ましい。
a52におけるアルカンジイル基としては、メチレン基、エチレン基、プロパン-1,3-ジイル基、プロパン-1,2-ジイル基、ブタン-1,4-ジイル基、ペンタン-1,5-ジイル基、ヘキサン-1,6-ジイル基、ブタン-1,3-ジイル基、2-メチルプロパン-1,3-ジイル基、2-メチルプロパン-1,2-ジイル基、ペンタン-1,4-ジイル基及び2-メチルブタン-1,4-ジイル基等が挙げられる。
a52は、メチレン基又はエチレン基であることが好ましい。
a50は、単結合、*-CO-O-又は*-CO-O-Aa52-CO-O-であることが好ましく、単結合、*-CO-O-又は*-CO-O-CH2-CO-O-であることがより好ましく、単結合又は*-CO-O-であることがさらに好ましい。
mbは0、1又は2が好ましく、0又は1がより好ましく、0がさらに好ましい。
ヒドロキシ基は、少なくとも1つが、ベンゼン環のメタ位又はパラ位に結合することが好ましく、メタ位に結合することがより好ましい。フェニル基が2つ以上のヒドロキシ基を有する場合、2つのヒドロキシ基は、メタ位とパラ位にそれぞれ結合していることが好ましい。
*-Xa51 -(Aa52 -Xa52 )nb - includes *-O-, *-CO-O-, *-O-CO-, *-CO-O-Aa52 -CO-O-, *-O-CO-Aa52 -O-, *-O-Aa52 -CO-O-, *-CO-O-Aa52 -O-CO-, *-O-CO-Aa52 -O-CO -, are included. Among them, *-CO-O-, *-CO-OAa52 -CO-O- or *-OA a52 -CO-O- is preferred.
The alkanediyl group for Aa52 includes methylene group, ethylene group, propane-1,3-diyl group, propane-1,2-diyl group, butane-1,4-diyl group, and pentane-1,5-diyl group. , hexane-1,6-diyl group, butane-1,3-diyl group, 2-methylpropane-1,3-diyl group, 2-methylpropane-1,2-diyl group, pentane-1,4-diyl and 2-methylbutane-1,4-diyl group.
Aa52 is preferably a methylene group or an ethylene group.
Aa50 is preferably a single bond, *—CO—O— or *—CO—O—Aa52 —CO—O—, a single bond, *—CO—O— or *—CO—O—CH2 -CO-O- is more preferred, and a single bond or *-CO-O- is even more preferred.
mb is preferably 0, 1 or 2, more preferably 0 or 1, and still more preferably 0.
At least one hydroxy group is preferably bonded to the meta-position or para-position of the benzene ring, and more preferably bonded to the meta-position. When the phenyl group has two or more hydroxy groups, the two hydroxy groups are preferably bonded to the meta and para positions, respectively.

構造単位(a2-A)としては、特開2010-204634号公報、特開2012-12577号公報に記載されているモノマー由来の構造単位が挙げられる。
構造単位(a2-A)としては、式(a2-2-1)~式(a2-2-24)で表される構造単位及び式(a2-2-1)~式(a2-2-24)で表される構造単位において、構造単位(a2-A)におけるRa50に相当するメチル基が水素原子、ハロゲン原子、ハロアルキル基又は他のアルキル基に置き換わった構造単位が挙げられる。構造単位(a2-A)は、式(a2-2-1)~式(a2-2-4)で表される構造単位、式(a2-2-6)で表される構造単位、式(a2-2-8)で表される構造単位、式(a2-2-12)~式(a2-2-18)で表される構造単位及び式(a2-2-1)~式(a2-2-4)で表される構造単位、式(a2-2-6)で表される構造単位、式(a2-2-8)で表される構造単位、式(a2-2-12)~式(a2-2-18)で表される構造単位において、構造単位(a2-A)におけるRa50に相当するメチル基が水素原子に置き換わった構造単位であることが好ましく、式(a2-2-3)で表される構造単位、式(a2-2-4)で表される構造単位、式(a2-2-8)で表される構造単位、式(a2-2-12)~式(a2-2-14)で表される構造単位、式(a2-2-18)で表される構造単位及び式(a2-2-3)で表される構造単位、式(a2-2-4)で表される構造単位、式(a2-2-8)で表される構造単位、式(a2-2-12)~式(a2-2-14)で表される構造単位、式(a2-2-18)で表される構造単位において、構造単位(a2-A)におけるRa50に相当するメチル基が水素原子に置き換わった構造単位であることがより好ましく、式(a2-2-3)で表される構造単位、式(a2-2-4)で表される構造単位、式(a2-2-8)で表される構造単位及び式(a2-2-3)で表される構造単位、式(a2-2-4)で表される構造単位、式(a2-2-8)で表される構造単位において、構造単位(a2-A)におけるRa50に相当するメチル基が水素原子に置き換わった構造単位であることがさらに好ましい。

Figure 2023016037000103
Examples of the structural unit (a2-A) include structural units derived from monomers described in JP-A-2010-204634 and JP-A-2012-12577.
The structural unit (a2-A) includes structural units represented by formulas (a2-2-1) to (a2-2-24) and formulas (a2-2-1) to (a2-2-24). ) in which the methyl group corresponding to Ra50 in the structural unit (a2-A) is replaced with a hydrogen atom, a halogen atom, a haloalkyl group or another alkyl group. Structural unit (a2-A) includes structural units represented by formulas (a2-2-1) to (a2-2-4), structural units represented by formula (a2-2-6), and structural units represented by formula ( a2-2-8), structural units represented by formulas (a2-2-12) to (a2-2-18) and formulas (a2-2-1) to (a2- 2-4), a structural unit represented by formula (a2-2-6), a structural unit represented by formula (a2-2-8), and formulas (a2-2-12) to In the structural unit represented by formula (a2-2-18), it is preferably a structural unit in which the methyl group corresponding to Ra50 in structural unit (a2-A) is replaced with a hydrogen atom. -3), structural unit represented by formula (a2-2-4), structural unit represented by formula (a2-2-8), formula (a2-2-12) to formula A structural unit represented by (a2-2-14), a structural unit represented by formula (a2-2-18) and a structural unit represented by formula (a2-2-3), a structural unit represented by formula (a2-2- 4), structural units represented by formula (a2-2-8), structural units represented by formulas (a2-2-12) to (a2-2-14), and formula ( a2-2-18), the structural unit is more preferably a structural unit in which the methyl group corresponding to Ra50 in the structural unit (a2-A) is replaced with a hydrogen atom, and the structural unit represented by the formula (a2-2- 3), a structural unit represented by formula (a2-2-4), a structural unit represented by formula (a2-2-8) and a structural unit represented by formula (a2-2-3) the structural unit represented by formula (a2-2-4), the structural unit represented by formula (a2-2-8), the methyl group corresponding to Ra50 in structural unit (a2-A) is more preferably a structural unit in which is replaced with a hydrogen atom.
Figure 2023016037000103

樹脂(A)中に構造単位(a2-A)が含まれる場合の構造単位(a2-A)の含有率は、全構造単位に対して、好ましくは5モル%以上であり、より好ましくは10モル%以上であり、さらに好ましくは15モル%以上であり、より一層好ましくは20モル%以上である。また、好ましくは80モル%以下であり、より好ましくは70モル%以下であり、さらに好ましくは65モル%以下である。具体的には、好ましくは5~80モル%であり、より好ましくは10~70モル%であり、さらに好ましくは15~65モル%であり、さらにより好ましくは20~65モル%である。
構造単位(a2-A)は、例えば構造単位(a1-4)を用いて重合した後、p-トルエンスルホン酸等の酸で処理することにより、樹脂(A)に含ませることができる。また、アセトキシスチレン等を用いて重合した後、テトラメチルアンモニウムヒドロキシド等のアルカリで処理することにより、構造単位(a2-A)を樹脂(A)に含ませることができる。
When the structural unit (a2-A) is contained in the resin (A), the content of the structural unit (a2-A) is preferably 5 mol% or more, more preferably 10 mol%, based on the total structural units. It is mol % or more, more preferably 15 mol % or more, and still more preferably 20 mol % or more. Also, it is preferably 80 mol % or less, more preferably 70 mol % or less, and still more preferably 65 mol % or less. Specifically, it is preferably 5 to 80 mol %, more preferably 10 to 70 mol %, even more preferably 15 to 65 mol %, still more preferably 20 to 65 mol %.
The structural unit (a2-A) can be included in the resin (A), for example, by polymerizing the structural unit (a1-4) and then treating with an acid such as p-toluenesulfonic acid. Further, the structural unit (a2-A) can be included in the resin (A) by polymerizing with acetoxystyrene or the like and then treating with an alkali such as tetramethylammonium hydroxide.

構造単位(a2)においてアルコール性ヒドロキシ基を有する構造単位としては、式(a2-1)で表される構造単位(以下「構造単位(a2-1)」という場合がある。)が挙げられる。

Figure 2023016037000104
式(a2-1)中、
a3は、-O-又は*-O-(CH2k2-CO-O-を表し、
k2は1~7のいずれかの整数を表す。*は-CO-との結合部位を表す。
a14は、水素原子又はメチル基を表す。
a15及びRa16は、それぞれ独立に、水素原子、メチル基又はヒドロキシ基を表す。
o1は、0~10のいずれかの整数を表す。A structural unit having an alcoholic hydroxy group in the structural unit (a2) includes a structural unit represented by formula (a2-1) (hereinafter sometimes referred to as "structural unit (a2-1)").
Figure 2023016037000104
In formula (a2-1),
La3 represents -O- or *-O-(CH2 )k2 -CO-O-,
k2 represents any integer from 1 to 7; * represents a bonding site with -CO-.
Ra14 represents a hydrogen atom or a methyl group.
Ra15 and Ra16 each independently represent a hydrogen atom, a methyl group or a hydroxy group.
o1 represents any integer from 0 to 10;

式(a2-1)では、La3は、好ましくは、-O-、-O-(CH2f1-CO-O-であり(前記f1は、1~4のいずれかの整数を表す)、より好ましくは-O-である。
a14は、好ましくはメチル基である。
a15は、好ましくは水素原子である。
a16は、好ましくは水素原子又はヒドロキシ基である。
o1は、好ましくは0~3のいずれかの整数、より好ましくは0又は1である。
In formula (a2-1), La3 is preferably -O-, -O-(CH2 )f1 -CO-O- (f1 represents an integer of 1 to 4) , and more preferably -O-.
Ra14 is preferably a methyl group.
Ra15 is preferably a hydrogen atom.
Ra16 is preferably a hydrogen atom or a hydroxy group.
o1 is preferably any integer from 0 to 3, more preferably 0 or 1.

構造単位(a2-1)としては、例えば、特開2010-204646号公報に記載されたモノマーに由来する構造単位が挙げられる。式(a2-1-1)~式(a2-1-6)のいずれかで表される構造単位が好ましく、式(a2-1-1)~式(a2-1-4)のいずれかで表される構造単位がより好ましく、式(a2-1-1)又は式(a2-1-3)で表される構造単位がさらに好ましい。

Figure 2023016037000105
Examples of structural units (a2-1) include structural units derived from monomers described in JP-A-2010-204646. Structural units represented by any one of formulas (a2-1-1) to (a2-1-6) are preferred, and any one of formulas (a2-1-1) to (a2-1-4) Structural units represented by the formula (a2-1-1) or (a2-1-3) are more preferable.
Figure 2023016037000105

樹脂(A)が構造単位(a2-1)を含む場合、その含有率は、樹脂(A)の全構造単位に対して、1モル%以上が挙げられ、2モル%以上が好ましい。また、45モル%以下が挙げられ、好ましくは40モル%以下であり、より好ましくは35モル%以下であり、さらに好ましくは20モル%以下であり、より一層好ましくは10モル%以下である。具体的には、1~45モル%が挙げられ、好ましくは1~40モル%であり、より好ましくは1~35モル%であり、さらに好ましくは1~20モル%であり、さらにより好ましくは1~10モル%である。 When the resin (A) contains the structural unit (a2-1), the content thereof may be 1 mol % or more, preferably 2 mol % or more, based on the total structural units of the resin (A). Also, it is 45 mol % or less, preferably 40 mol % or less, more preferably 35 mol % or less, still more preferably 20 mol % or less, and even more preferably 10 mol % or less. Specifically, it is 1 to 45 mol%, preferably 1 to 40 mol%, more preferably 1 to 35 mol%, still more preferably 1 to 20 mol%, still more preferably It is 1 to 10 mol %.

〈構造単位(a3)〉
構造単位(a3)が有するラクトン環は、β-プロピオラクトン環、γ-ブチロラクトン環、δ-バレロラクトン環のような単環でもよく、単環式のラクトン環と他の環との縮合環でもよい。好ましくは、γ-ブチロラクトン環、アダマンタンラクトン環、又は、γ-ブチロラクトン環構造を含む橋かけ環(例えば下式(a3-2)で表される構造単位)が挙げられる。
<Structural unit (a3)>
The lactone ring of the structural unit (a3) may be a monocyclic ring such as a β-propiolactone ring, γ-butyrolactone ring, δ-valerolactone ring, or a condensed ring of a monocyclic lactone ring and another ring. It's okay. Preferable examples include a γ-butyrolactone ring, an adamantanelactone ring, or a bridged ring containing a γ-butyrolactone ring structure (for example, a structural unit represented by the following formula (a3-2)).

構造単位(a3)は、好ましくは、式(a3-1)、式(a3-2)、式(a3-3)又は式(a3-4)で表される構造単位である。これらの1種を単独で含有してもよく、2種以上を含有してもよい。

Figure 2023016037000106
[式(a3-1)、式(a3-2)、式(a3-3)及び式(a3-4)中、
a4、La5及びLa6は、それぞれ独立に、-O-又は*-O-(CHk3-CO-O-(k3は1~7のいずれかの整数を表す。)で表される基を表す。
a7は、-O-、*-O-La8-O-、*-O-La8-CO-O-、*-O-La8-CO-O-La9-CO-O-又は*-O-La8-O-CO-La9-O-を表す。
a8及びLa9は、それぞれ独立に、炭素数1~6のアルカンジイル基を表す。
*はカルボニル基との結合部位を表す。
a18、Ra19及びRa20は、それぞれ独立に、水素原子又はメチル基を表す。
a24は、水素原子、ハロゲン原子又はハロゲン原子を有していてもよい炭素数1~6のアルキル基を表す。
a3は、-CH-又は酸素原子を表す。
a21は炭素数1~4の脂肪族炭化水素基を表す。
a22、Ra23及びRa25は、それぞれ独立に、カルボキシ基、シアノ基又は炭素数1~4の脂肪族炭化水素基を表す。
p1は0~5のいずれかの整数を表す。
q1は、0~3のいずれかの整数を表す。
r1は、0~3のいずれかの整数を表す。
w1は、0~8のいずれかの整数を表す。
p1、q1、r1及び/又はw1が2以上のとき、複数のRa21、Ra22、Ra23及び/又はRa25は互いに同一であってもよく、異なっていてもよい。]Structural unit (a3) is preferably a structural unit represented by formula (a3-1), formula (a3-2), formula (a3-3) or formula (a3-4). One of these may be contained alone, or two or more may be contained.
Figure 2023016037000106
[In formula (a3-1), formula (a3-2), formula (a3-3) and formula (a3-4),
La4 , La5 and La6 are each independently represented by —O— or *—O—(CH2 )k3 —CO—O— (k3 represents an integer of 1 to 7); represents a group.
La7 is -O-, *-OL a8 -O-, *-OL a8 -CO-O-, *-OL a8 -CO-OL a9 -CO-O- or * -OLa8 -O-CO-La9 -O-.
La8 and La9 each independently represent an alkanediyl group having 1 to 6 carbon atoms.
* represents a bonding site with a carbonyl group.
Ra18 , Ra19 and Ra20 each independently represent a hydrogen atom or a methyl group.
Ra24 represents a hydrogen atom, a halogen atom or an alkyl group having 1 to 6 carbon atoms which may have a halogen atom.
Xa3 represents —CH2 — or an oxygen atom.
Ra21 represents an aliphatic hydrocarbon group having 1 to 4 carbon atoms.
Ra22 , Ra23 and Ra25 each independently represent a carboxy group, a cyano group or an aliphatic hydrocarbon group having 1 to 4 carbon atoms.
p1 represents any integer from 0 to 5;
q1 represents an integer of 0 to 3;
r1 represents an integer of 0 to 3;
w1 represents any integer from 0 to 8;
When p1, q1, r1 and/or w1 are 2 or more, a plurality of Ra21 , Ra22 , Ra23 and/or Ra25 may be the same or different. ]

a21、Ra22、Ra23及びRa25における脂肪族炭化水素基としては、メチル基、エチル基、プロピル基、イソプロピル基、ブチル基、sec-ブチル基及びtert-ブチル基等のアルキル基が挙げられる。
a24におけるハロゲン原子としては、フッ素原子、塩素原子、臭素原子及びヨウ素原子が挙げられる。
a24におけるアルキル基としては、メチル基、エチル基、プロピル基、イソプロピル基、ブチル基、sec-ブチル基、tert-ブチル基、ペンチル基及びヘキシル基等が挙げられ、好ましくは炭素数1~4のアルキル基が挙げられ、より好ましくはメチル基又はエチル基が挙げられる。
a24におけるハロゲン原子を有するアルキル基としては、トリフルオロメチル基、ペルフルオロエチル基、ペルフルオロプロピル基、ペルフルオロイソプロピル基、ペルフルオロブチル基、ペルフルオロsec-ブチル基、ペルフルオロtert-ブチル基、ペルフルオロペンチル基、ペルフルオロヘキシル基、トリクロロメチル基、トリブロモメチル基、トリヨードメチル基等が挙げられる。
a8及びLa9におけるアルカンジイル基としては、メチレン基、エチレン基、プロパン-1,3-ジイル基、プロパン-1,2-ジイル基、ブタン-1,4-ジイル基、ペンタン-1,5-ジイル基、ヘキサン-1,6-ジイル基、ブタン-1,3-ジイル基、2-メチルプロパン-1,3-ジイル基、2-メチルプロパン-1,2-ジイル基、ペンタン-1,4-ジイル基及び2-メチルブタン-1,4-ジイル基等が挙げられる。
Examples of the aliphatic hydrocarbon group for Ra21 , Ra22 , Ra23 and Ra25 include alkyl groups such as methyl group, ethyl group, propyl group, isopropyl group, butyl group, sec-butyl group and tert-butyl group. be done.
Halogen atoms in Ra24 include fluorine, chlorine, bromine and iodine atoms.
Examples of the alkyl group for Ra24 include methyl group, ethyl group, propyl group, isopropyl group, butyl group, sec-butyl group, tert-butyl group, pentyl group and hexyl group, preferably having 1 to 4 carbon atoms. and more preferably a methyl group or an ethyl group.
The alkyl group having a halogen atom for Ra24 includes a trifluoromethyl group, a perfluoroethyl group, a perfluoropropyl group, a perfluoroisopropyl group, a perfluorobutyl group, a perfluorosec-butyl group, a perfluorotert-butyl group, a perfluoropentyl group, and a perfluoro A hexyl group, a trichloromethyl group, a tribromomethyl group, a triiodomethyl group and the like can be mentioned.
The alkanediyl group for La8 and La9 includes methylene group, ethylene group, propane-1,3-diyl group, propane-1,2-diyl group, butane-1,4-diyl group, pentane-1,5 -diyl group, hexane-1,6-diyl group, butane-1,3-diyl group, 2-methylpropane-1,3-diyl group, 2-methylpropane-1,2-diyl group, pentane-1, 4-diyl group, 2-methylbutane-1,4-diyl group and the like.

式(a3-1)~式(a3-3)において、La4~La6は、それぞれ独立に、好ましくは-O-又は、*-O-(CHk3-CO-O-において、k3が1~4のいずれかの整数である基、より好ましくは-O-及び、*-O-CH-CO-O-、さらに好ましくは酸素原子である。
a18~Ra21は、好ましくはメチル基である。
a22及びRa23は、それぞれ独立に、好ましくはカルボキシ基、シアノ基又はメチル基である。
p1、q1及びr1は、それぞれ独立に、好ましくは0~2のいずれかの整数であり、より好ましくは0又は1である。
In formulas (a3-1) to (a3-3), La4 to La6 are each independently preferably —O— or *—O—(CH2 )k3 —CO—O—, k3 is an integer of 1 to 4, more preferably -O- and *-O-CH2 -CO-O-, more preferably an oxygen atom.
Ra18 to Ra21 are preferably methyl groups.
Ra22 and Ra23 are each independently preferably a carboxy group, a cyano group or a methyl group.
p1, q1 and r1 are each independently preferably an integer of 0 to 2, more preferably 0 or 1.

式(a3-4)において、Ra24は、好ましくは水素原子又は炭素数1~4のアルキル基であり、より好ましくは水素原子、メチル基又はエチル基であり、さらに好ましくは水素原子又はメチル基である。
a25は、好ましくはカルボキシ基、シアノ基又はメチル基である。
a7は、好ましくは-O-又は*-O-La8-CO-O-であり、より好ましくは-O-、-O-CH-CO-O-又は-O-C-CO-O-である。
w1は、好ましくは0~2のいずれかの整数であり、より好ましくは0又は1である。
特に、式(a3-4)は、式(a3-4)’が好ましい。

Figure 2023016037000107
(式中、Ra24、La7は、上記と同じ意味を表す。)In formula (a3-4), Ra24 is preferably a hydrogen atom or an alkyl group having 1 to 4 carbon atoms, more preferably a hydrogen atom, a methyl group or an ethyl group, still more preferably a hydrogen atom or a methyl group is.
Ra25 is preferably a carboxy group, a cyano group or a methyl group.
La7 is preferably -O- or *-OLa8 -CO-O-, more preferably -O-, -O-CH2 -CO-O- or -O-C2 H4 - It is CO—O—.
w1 is preferably an integer from 0 to 2, more preferably 0 or 1.
In particular, formula (a3-4) is preferably formula (a3-4)'.
Figure 2023016037000107
(In the formula, Ra24 and La7 have the same meanings as above.)

構造単位(a3)としては、特開2010-204646号公報に記載されたモノマー、特開2000-122294号公報に記載されたモノマー、特開2012-41274号公報に記載されたモノマーに由来の構造単位が挙げられる。構造単位(a3)としては、式(a3-1-1)、式(a3-1-2)、式(a3-2-1)、式(a3-2-2)、式(a3-3-1)、式(a3-3-2)及び式(a3-4-1)~式(a3-4-12)のいずれかで表される構造単位及び、前記構造単位において、式(a3-1)~式(a3-4)におけるRa18、Ra19、Ra20及びRa24に相当するメチル基が水素原子に置き換わった構造単位が好ましい。

Figure 2023016037000108
As the structural unit (a3), the monomer described in JP-A-2010-204646, the monomer described in JP-A-2000-122294, the structure derived from the monomer described in JP-A-2012-41274 units. As the structural unit (a3), formula (a3-1-1), formula (a3-1-2), formula (a3-2-1), formula (a3-2-2), formula (a3-3- 1), a structural unit represented by any one of formulas (a3-3-2) and formulas (a3-4-1) to (a3-4-12), and in said structural unit, formula (a3-1 ) to Ra18 , Ra19 , Ra20 and Ra24 in formulas (a3-4) are preferably structural units in which methyl groups are replaced with hydrogen atoms.
Figure 2023016037000108

樹脂(A)が構造単位(a3)を含む場合、その合計含有率は、樹脂(A)の全構造単位に対して、1モル%以上が挙げられ、好ましくは3モル%以上であり、より好ましくは5モル%以上であり、さらに好ましくは10モル%以上である。また、70モル%以下が挙げられ、好ましくは65モル%以下であり、より好ましくは60モル%以下である。具体的には、1~70モル%が挙げられ、好ましくは3~65モル%であり、より好ましくは5~60モル%である。
また、構造単位(a3-1)、構造単位(a3-2)、構造単位(a3-3)又は構造単位(a3-4)の含有率は、それぞれ、樹脂(A)の全構造単位に対して、好ましくは1モル%以上であり、より好ましくは3モル%以上であり、さらに好ましくは5モル%以上である。また、好ましくは60モル%以下であり、より好ましくは55モル%以下であり、さらに好ましくは50モル%以下である。具体的には、1~60モル%が好ましく、3~55モル%がより好ましく、5~50モル%がさらに好ましい。
When the resin (A) contains the structural unit (a3), the total content thereof may be 1 mol% or more, preferably 3 mol% or more, relative to the total structural units of the resin (A). It is preferably 5 mol % or more, more preferably 10 mol % or more. Also, it is 70 mol % or less, preferably 65 mol % or less, and more preferably 60 mol % or less. Specifically, it is 1 to 70 mol %, preferably 3 to 65 mol %, more preferably 5 to 60 mol %.
Further, the content of structural unit (a3-1), structural unit (a3-2), structural unit (a3-3) or structural unit (a3-4) is is preferably 1 mol % or more, more preferably 3 mol % or more, still more preferably 5 mol % or more. Also, it is preferably 60 mol % or less, more preferably 55 mol % or less, and still more preferably 50 mol % or less. Specifically, it is preferably 1 to 60 mol %, more preferably 3 to 55 mol %, even more preferably 5 to 50 mol %.

〈構造単位(a4)〉
構造単位(a4)としては、以下の構造単位が挙げられる。

Figure 2023016037000109
[式(a4)中、
41は、水素原子又はメチル基を表す。
42は、炭素数1~24のフッ素原子を有する飽和炭化水素基を表し、該飽和炭化水素基に含まれる-CH2-は、-O-又は-CO-に置き換わっていてもよい。]
42で表される飽和炭化水素基は、鎖式炭化水素基及び単環又は多環の脂環式炭化水素基、並びに、これらを組み合わせることにより形成される基等が挙げられる。<Structural unit (a4)>
Structural units (a4) include the following structural units.
Figure 2023016037000109
[In formula (a4),
R41 represents a hydrogen atom or a methyl group.
R42 represents a saturated hydrocarbon group having 1 to 24 fluorine atoms, and -CH2 - contained in the saturated hydrocarbon group may be replaced with -O- or -CO-. ]
Examples of saturated hydrocarbon groups represented by R42 include chain hydrocarbon groups, monocyclic or polycyclic alicyclic hydrocarbon groups, and groups formed by combining these groups.

鎖式炭化水素基としては、メチル基、エチル基、プロピル基、ブチル基、ペンチル基、ヘキシル基、ヘプチル基、オクチル基、デシル基、ドデシル基、ペンタデシル基、ヘキサデシル基、ヘプタデシル基及びオクタデシル基が挙げられる。単環又は多環の脂環式炭化水素基としては、シクロペンチル基、シクロへキシル基、シクロヘプチル基、シクロオクチル基等のシクロアルキル基;デカヒドロナフチル基、アダマンチル基、ノルボルニル基及び下記の基(*は結合部位を表す。)等の多環式の脂環式炭化水素基が挙げられる。

Figure 2023016037000110
組み合わせにより形成される基としては、1以上のアルキル基又は1以上のアルカンジイル基と、1以上の脂環式炭化水素基とを組み合わせることにより形成される基が挙げられ、-アルカンジイル基-脂環式炭化水素基、-脂環式炭化水素基-アルキル基、-アルカンジイル基-脂環式炭化水素基-アルキル基等が挙げられる。Chain hydrocarbon groups include methyl, ethyl, propyl, butyl, pentyl, hexyl, heptyl, octyl, decyl, dodecyl, pentadecyl, hexadecyl, heptadecyl and octadecyl groups. mentioned. Monocyclic or polycyclic alicyclic hydrocarbon groups include cycloalkyl groups such as cyclopentyl, cyclohexyl, cycloheptyl and cyclooctyl; decahydronaphthyl, adamantyl, norbornyl and the following groups (* represents a binding site.) and other polycyclic alicyclic hydrocarbon groups.
Figure 2023016037000110
Groups formed by combination include groups formed by combining one or more alkyl groups or one or more alkanediyl groups with one or more alicyclic hydrocarbon groups, and -alkanediyl groups- Alicyclic hydrocarbon group, -alicyclic hydrocarbon group-alkyl group, -alkanediyl group-alicyclic hydrocarbon group-alkyl group and the like.

構造単位(a4)としては、式(a4-0)、式(a4-1)、式(a4-2)、式(a4-3)及び式(a4-4)からなる群から選択される少なくとも1つで表される構造単位が挙げられる。

Figure 2023016037000111
[式(a4-0)中、
5は、水素原子又はメチル基を表す。
4aは、単結合又は炭素数1~4の2価の脂肪族飽和炭化水素基を表す。
3aは、炭素数1~8のペルフルオロアルカンジイル基又は炭素数3~12のペルフルオロシクロアルカンジイル基を表す。
6は、水素原子又はフッ素原子を表す。]The structural unit (a4) is at least selected from the group consisting of formula (a4-0), formula (a4-1), formula (a4-2), formula (a4-3) and formula (a4-4) Structural units represented by one are exemplified.
Figure 2023016037000111
[In the formula (a4-0),
R5 represents a hydrogen atom or a methyl group.
L4a represents a single bond or a divalent aliphatic saturated hydrocarbon group having 1 to 4 carbon atoms.
L3a represents a perfluoroalkanediyl group having 1 to 8 carbon atoms or a perfluorocycloalkanediyl group having 3 to 12 carbon atoms.
R6 represents a hydrogen atom or a fluorine atom. ]

4aにおける2価の脂肪族飽和炭化水素基としては、メチレン基、エチレン基、プロパン-1,3-ジイル基、ブタン-1,4-ジイル基等の直鎖状アルカンジイル基、エタン-1,1-ジイル基、プロパン-1,2-ジイル基、ブタン-1,3-ジイル基、2-メチルプロパン-1,3-ジイル基及び2-メチルプロパン-1,2-ジイル基等の分岐状アルカンジイル基が挙げられる。
3aにおけるペルフルオロアルカンジイル基としては、ジフルオロメチレン基、ペルフルオロエチレン基、ペルフルオロプロパン-1,1-ジイル基、ペルフルオロプロパン-1,3-ジイル基、ペルフルオロプロパン-1,2-ジイル基、ペルフルオロプロパン-2,2-ジイル基、ペルフルオロブタン-1,4-ジイル基、ペルフルオロブタン-2,2-ジイル基、ペルフルオロブタン-1,2-ジイル基、ペルフルオロペンタン-1,5-ジイル基、ペルフルオロペンタン-2,2-ジイル基、ペルフルオロペンタン-3,3-ジイル基、ペルフルオロヘキサン-1,6-ジイル基、ペルフルオロヘキサン-2,2-ジイル基、ペルフルオロヘキサン-3,3-ジイル基、ペルフルオロヘプタン-1,7-ジイル基、ペルフルオロヘプタン-2,2-ジイル基、ペルフルオロヘプタン-3,4-ジイル基、ペルフルオロヘプタン-4,4-ジイル基、ペルフルオロオクタン-1,8-ジイル基、ペルフルオロオクタン-2,2-ジイル基、ペルフルオロオクタン-3,3-ジイル基、ペルフルオロオクタン-4,4-ジイル基等が挙げられる。
3aにおけるペルフルオロシクロアルカンジイル基としては、ペルフルオロシクロヘキサンジイル基、ペルフルオロシクロペンタンジイル基、ペルフルオロシクロヘプタンジイル基、ペルフルオロアダマンタンジイル基等が挙げられる。
The divalent aliphatic saturated hydrocarbon group for L4a includes linear alkanediyl groups such as methylene, ethylene, propane-1,3-diyl, butane-1,4-diyl, ethane-1 , 1-diyl group, propane-1,2-diyl group, butane-1,3-diyl group, 2-methylpropane-1,3-diyl group and 2-methylpropane-1,2-diyl group, etc. alkanediyl groups.
The perfluoroalkanediyl group for L3a includes a difluoromethylene group, a perfluoroethylene group, a perfluoropropane-1,1-diyl group, a perfluoropropane-1,3-diyl group, a perfluoropropane-1,2-diyl group, and a perfluoropropane group. -2,2-diyl group, perfluorobutane-1,4-diyl group, perfluorobutane-2,2-diyl group, perfluorobutane-1,2-diyl group, perfluoropentane-1,5-diyl group, perfluoropentane -2,2-diyl group, perfluoropentane-3,3-diyl group, perfluorohexane-1,6-diyl group, perfluorohexane-2,2-diyl group, perfluorohexane-3,3-diyl group, perfluoroheptane -1,7-diyl group, perfluoroheptane-2,2-diyl group, perfluoroheptane-3,4-diyl group, perfluoroheptane-4,4-diyl group, perfluorooctane-1,8-diyl group, perfluorooctane -2,2-diyl group, perfluorooctane-3,3-diyl group, perfluorooctane-4,4-diyl group and the like.
The perfluorocycloalkanediyl group for L3a includes a perfluorocyclohexanediyl group, a perfluorocyclopentanediyl group, a perfluorocycloheptanediyl group, a perfluoroadamantanediyl group, and the like.

4aは、好ましくは単結合、メチレン基又はエチレン基であり、より好ましくは、単結合、メチレン基である。
3aは、好ましくは炭素数1~6のペルフルオロアルカンジイル基であり、より好ましくは炭素数1~3のペルフルオロアルカンジイル基である。
L4a is preferably a single bond, a methylene group or an ethylene group, more preferably a single bond or a methylene group.
L3a is preferably a C 1-6 perfluoroalkanediyl group, more preferably a C 1-3 perfluoroalkanediyl group.

構造単位(a4-0)としては、以下に示す構造単位及び下記構造単位中の構造単位(a4-0)におけるRに相当するメチル基が水素原子に置き換わった構造単位が挙げられる。

Figure 2023016037000112
Examples of the structural unit (a4-0) include structural units shown below and structural units in which the methyl group corresponding to R5 in the structural unit (a4-0) in the following structural units is replaced with a hydrogen atom.
Figure 2023016037000112

構造単位(a4)としては、式(a4-1)で表される構造単位が挙げられる。

Figure 2023016037000113
[式(a4-1)中、
a41は、水素原子又はメチル基を表す。
a42は、置換基を有していてもよい炭素数1~20の飽和炭化水素基を表し、該飽和炭化水素基に含まれる-CH-は、-O-又は-CO-に置き換わっていてもよい。
a41は、置換基を有していてもよい炭素数1~6のアルカンジイル基又は式(a-g1)で表される基を表す。ただし、Aa41及びRa42のうち少なくとも1つは、置換基としてハロゲン原子(好ましくはフッ素原子)を有する。
Figure 2023016037000114
〔式(a-g1)中、
sは0又は1を表す。
a42及びAa44は、それぞれ独立に、置換基を有していてもよい炭素数1~5の2価の飽和炭化水素基を表す。
a43は、単結合又は置換基を有していてもよい炭素数1~5の2価の脂肪族炭化水素基を表す。
a41及びXa42は、それぞれ独立に、-O-、-CO-、-CO-O-又は-O-CO-を表す。
ただし、Aa42、Aa43、Aa44、Xa41及びXa42の炭素数の合計は7以下である。〕
*は結合部位であり、右側の*が-O-CO-Ra42との結合部位である。]Structural units (a4) include structural units represented by formula (a4-1).
Figure 2023016037000113
[In formula (a4-1),
Ra41 represents a hydrogen atom or a methyl group.
Ra42 represents an optionally substituted saturated hydrocarbon group having 1 to 20 carbon atoms, and —CH2 — contained in the saturated hydrocarbon group is replaced with —O— or —CO— may
Aa41 represents an optionally substituted alkanediyl group having 1 to 6 carbon atoms or a group represented by formula (a-g1). However, at least one of Aa41 and Ra42 has a halogen atom (preferably a fluorine atom) as a substituent.
Figure 2023016037000114
[In formula (a-g1),
s represents 0 or 1;
Aa42 and Aa44 each independently represent an optionally substituted divalent saturated hydrocarbon group having 1 to 5 carbon atoms.
Aa43 represents a single bond or an optionally substituted C 1-5 divalent aliphatic hydrocarbon group.
Xa41 and Xa42 each independently represent -O-, -CO-, -CO-O- or -O-CO-.
However, the total number of carbon atoms of Aa42 , Aa43 , Aa44 , Xa41 and Xa42 is 7 or less. ]
* is a binding site, and * on the right side is a binding site with --O--CO--Ra42 . ]

a42における飽和炭化水素基としては、鎖式飽和炭化水素基及び単環又は多環の脂環式飽和炭化水素基、並びに、これらを組み合わせることにより形成される基等が挙げられる。
鎖式飽和炭化水素基としては、メチル基、エチル基、プロピル基、ブチル基、ペンチル基、ヘキシル基、ヘプチル基、オクチル基、デシル基、ドデシル基、ペンタデシル基、ヘキサデシル基、ヘプタデシル基及びオクタデシル基が挙げられる。
単環又は多環の脂環式飽和炭化水素基としては、シクロペンチル基、シクロへキシル基、シクロヘプチル基、シクロオクチル基等のシクロアルキル基;デカヒドロナフチル基、アダマンチル基、ノルボルニル基及び下記の基(*は結合部位を表す。)等の多環式の脂環式飽和炭化水素基が挙げられる。

Figure 2023016037000115
組み合わせにより形成される基としては、1以上のアルキル基又は1以上のアルカンジイル基と、1以上の脂環式飽和炭化水素基とを組み合わせることにより形成される基が挙げられ、-アルカンジイル基-脂環式飽和炭化水素基、-脂環式飽和炭化水素基-アルキル基、-アルカンジイル基-脂環式飽和炭化水素基-アルキル基等が挙げられる。Examples of saturated hydrocarbon groups for Ra42 include chain saturated hydrocarbon groups, monocyclic or polycyclic saturated alicyclic hydrocarbon groups, groups formed by combining these groups, and the like.
Chain saturated hydrocarbon groups include methyl group, ethyl group, propyl group, butyl group, pentyl group, hexyl group, heptyl group, octyl group, decyl group, dodecyl group, pentadecyl group, hexadecyl group, heptadecyl group and octadecyl group. is mentioned.
Examples of monocyclic or polycyclic saturated alicyclic hydrocarbon groups include cyclopentyl, cyclohexyl, cycloheptyl, cyclooctyl and other cycloalkyl groups; decahydronaphthyl, adamantyl, norbornyl and the following polycyclic alicyclic saturated hydrocarbon groups such as groups (* represents a bonding site).
Figure 2023016037000115
Groups formed by combination include groups formed by combining one or more alkyl groups or one or more alkanediyl groups and one or more alicyclic saturated hydrocarbon groups, and -alkanediyl groups Examples include - alicyclic saturated hydrocarbon group, - alicyclic saturated hydrocarbon group - alkyl group, - alkanediyl group - alicyclic saturated hydrocarbon group - alkyl group, and the like.

a42が有していてもよい置換基としては、ハロゲン原子及び式(a-g3)で表される基からなる群より選択される少なくとも1種が挙げられる。ハロゲン原子としては、フッ素原子、塩素原子、臭素原子及びヨウ素原子が挙げられ、好ましくはフッ素原子である。

Figure 2023016037000116
[式(a-g3)中、
a43は、酸素原子、カルボニル基、*-O-CO-又は*-CO-O-を表す。
a45は、ハロゲン原子を有していてもよい炭素数1~17の脂肪族炭化水素基を表す。*はRa42との結合部位を表す。]
ただし、Ra42-Xa43-Aa45において、Ra42がハロゲン原子を有しない場合は、Aa45は、少なくとも1つのハロゲン原子を有する炭素数1~17の脂肪族炭化水素基を表す。The substituent that Ra42 may have includes at least one selected from the group consisting of halogen atoms and groups represented by formulas (a-g3). A halogen atom includes a fluorine atom, a chlorine atom, a bromine atom and an iodine atom, preferably a fluorine atom.
Figure 2023016037000116
[In the formula (a-g3),
Xa43 represents an oxygen atom, a carbonyl group, *--O--CO-- or *--CO--O--.
Aa45 represents an aliphatic hydrocarbon group having 1 to 17 carbon atoms which may have a halogen atom. * represents the binding site withRa42 . ]
However, in Ra42 -Xa43 -Aa45 , when Ra42 does not have a halogen atom, Aa45 represents an aliphatic hydrocarbon group having 1 to 17 carbon atoms and having at least one halogen atom.

a45における脂肪族炭化水素基としては、メチル基、エチル基、プロピル基、ブチル基、ペンチル基、ヘキシル基、ヘプチル基、オクチル基、デシル基、ドデシル基、ペンタデシル基、ヘキサデシル基、ヘプタデシル基及びオクタデシル基等のアルキル基;
シクロペンチル基、シクロへキシル基、シクロヘプチル基、シクロオクチル基等の単環式の脂環式炭化水素基;並びにデカヒドロナフチル基、アダマンチル基、ノルボルニル基及び下記の基(*は結合部位を表す。)等の多環式の脂環式炭化水素基が挙げられる。

Figure 2023016037000117
組み合わせにより形成される基としては、1以上のアルキル基又は1以上のアルカンジイル基と、1以上の脂環式炭化水素基とを組み合わせることにより形成される基が挙げられ、-アルカンジイル基-脂環式炭化水素基、-脂環式炭化水素基-アルキル基、-アルカンジイル基-脂環式炭化水素基-アルキル基等が挙げられる。Aliphatic hydrocarbon groups for Aa45 include methyl, ethyl, propyl, butyl, pentyl, hexyl, heptyl, octyl, decyl, dodecyl, pentadecyl, hexadecyl, heptadecyl and an alkyl group such as an octadecyl group;
Monocyclic alicyclic hydrocarbon groups such as cyclopentyl group, cyclohexyl group, cycloheptyl group and cyclooctyl group; decahydronaphthyl group, adamantyl group, norbornyl group and the following groups ) and other polycyclic alicyclic hydrocarbon groups.
Figure 2023016037000117
Groups formed by combination include groups formed by combining one or more alkyl groups or one or more alkanediyl groups and one or more alicyclic hydrocarbon groups, and -alkanediyl groups- Alicyclic hydrocarbon group, -alicyclic hydrocarbon group-alkyl group, -alkanediyl group-alicyclic hydrocarbon group-alkyl group and the like.

a42は、ハロゲン原子を有してもよい脂肪族炭化水素基が好ましく、ハロゲン原子を有するアルキル基及び/又は式(a-g3)で表される基を有する脂肪族炭化水素基がより好ましい。
a42がハロゲン原子を有する脂肪族炭化水素基である場合、好ましくはフッ素原子を有する脂肪族炭化水素基であり、より好ましくはペルフルオロアルキル基又はペルフルオロシクロアルキル基であり、さらに好ましくは炭素数が1~6のペルフルオロアルキル基であり、特に好ましくは炭素数1~3のペルフルオロアルキル基である。ペルフルオロアルキル基としては、ペルフルオロメチル基、ペルフルオロエチル基、ペルフルオロプロピル基、ペルフルオロブチル基、ペルフルオロペンチル基、ペルフルオロヘキシル基、ペルフルオロヘプチル基及びペルフルオロオクチル基等が挙げられる。ペルフルオロシクロアルキル基としては、ペルフルオロシクロヘキシル基等が挙げられる。
a42が、式(a-g3)で表される基を有する脂肪族炭化水素基である場合、式(a-g3)で表される基に含まれる炭素数を含めて、Ra42の総炭素数は、15以下が好ましく、12以下がより好ましい。式(a-g3)で表される基を置換基として有する場合、その数は1個が好ましい。
Ra42 is preferably an aliphatic hydrocarbon group which may have a halogen atom, more preferably an alkyl group having a halogen atom and/or an aliphatic hydrocarbon group having a group represented by formula (a-g3) .
When Ra42 is an aliphatic hydrocarbon group having a halogen atom, it is preferably an aliphatic hydrocarbon group having a fluorine atom, more preferably a perfluoroalkyl group or a perfluorocycloalkyl group, further preferably having a carbon number of It is a perfluoroalkyl group having 1 to 6 carbon atoms, particularly preferably a perfluoroalkyl group having 1 to 3 carbon atoms. Perfluoroalkyl groups include perfluoromethyl, perfluoroethyl, perfluoropropyl, perfluorobutyl, perfluoropentyl, perfluorohexyl, perfluoroheptyl and perfluorooctyl groups. A perfluorocyclohexyl group etc. are mentioned as a perfluorocycloalkyl group.
When Ra42 is an aliphatic hydrocarbon group having a group represented by formula (a-g3), the total number of Ra42 including the number of carbon atoms contained in the group represented by formula (a-g3) The number of carbon atoms is preferably 15 or less, more preferably 12 or less. When it has a group represented by formula (a-g3) as a substituent, the number thereof is preferably one.

a42が式(a-g3)で表される基を有する脂肪族炭化水素基である場合、Ra42は、さらに好ましくは式(a-g2)で表される基である。

Figure 2023016037000118
[式(a-g2)中、
a46は、ハロゲン原子を有していてもよい炭素数1~17の2価の脂肪族炭化水素基を表す。
a44は、**-O-CO-又は**-CO-O-を表す(**はAa46との結合部位を表す)。
a47は、ハロゲン原子を有していてもよい炭素数1~17の脂肪族炭化水素基を表す。
ただし、Aa46、Aa47及びXa44の炭素数の合計は18以下であり、Aa46及びAa47のうち、少なくとも一方は、少なくとも1つのハロゲン原子を有する。
*はカルボニル基との結合部位を表す。]When Ra42 is an aliphatic hydrocarbon group having a group represented by formula (a-g3), Ra42 is more preferably a group represented by formula (a-g2).
Figure 2023016037000118
[In the formula (a-g2),
Aa46 represents a divalent aliphatic hydrocarbon group having 1 to 17 carbon atoms which may have a halogen atom.
Xa44 represents **-O-CO- or **-CO-O- (** represents a binding site with Aa46 ).
Aa47 represents an aliphatic hydrocarbon group having 1 to 17 carbon atoms which may have a halogen atom.
However, the total number of carbon atoms of Aa46 , Aa47 and Xa44 is 18 or less, and at least one of Aa46 and Aa47 has at least one halogen atom.
* represents a bonding site with a carbonyl group. ]

a46の脂肪族炭化水素基の炭素数は1~6が好ましく、1~3がより好ましい。
a47の脂肪族炭化水素基の炭素数は4~15が好ましく、5~12がより好ましく、Aa47は、シクロヘキシル基又はアダマンチル基がさらに好ましい。
The number of carbon atoms in the aliphatic hydrocarbon group of Aa46 is preferably 1-6, more preferably 1-3.
The number of carbon atoms in the aliphatic hydrocarbon group of Aa47 is preferably 4 to 15, more preferably 5 to 12, and Aa47 is more preferably a cyclohexyl group or an adamantyl group.

式(a-g2)で表される基の好ましい構造は、以下の構造である(*はカルボニル基との結合部位である)。

Figure 2023016037000119
A preferred structure of the group represented by formula (a-g2) is the following structure (* is a bonding site with a carbonyl group).
Figure 2023016037000119

a41におけるアルカンジイル基としては、メチレン基、エチレン基、プロパン-1,3-ジイル基、ブタン-1,4-ジイル基、ペンタン-1,5-ジイル基、ヘキサン-1,6-ジイル基等の直鎖状アルカンジイル基;プロパン-1,2-ジイル基、ブタン-1,3-ジイル基、2-メチルプロパン-1,2-ジイル基、1-メチルブタン-1,4-ジイル基、2-メチルブタン-1,4-ジイル基等の分岐状アルカンジイル基が挙げられる。
a41のアルカンジイル基における置換基としては、ヒドロキシ基及び炭素数1~6のアルコキシ基等が挙げられる。
a41は、好ましくは炭素数1~4のアルカンジイル基であり、より好ましくは炭素数2~4のアルカンジイル基であり、さらに好ましくはエチレン基である。
Alkanediyl group for Aa41 includes methylene group, ethylene group, propane-1,3-diyl group, butane-1,4-diyl group, pentane-1,5-diyl group and hexane-1,6-diyl group. straight-chain alkanediyl groups such as; Branched alkanediyl groups such as 2-methylbutane-1,4-diyl group can be mentioned.
Examples of substituents on the alkanediyl group of Aa41 include a hydroxy group and an alkoxy group having 1 to 6 carbon atoms.
Aa41 is preferably an alkanediyl group having 1 to 4 carbon atoms, more preferably an alkanediyl group having 2 to 4 carbon atoms, and still more preferably an ethylene group.

式(a-g1)で表される基におけるAa42、Aa43及びAa44の表す2価の飽和炭化水素基としては、直鎖又は分岐のアルカンジイル基及び単環又は多環の2価の脂環式炭化水素基、並びに、アルカンジイル基及び2価の脂環式炭化水素基を組合せることにより形成される基等が挙げられる。具体的には、メチレン基、エチレン基、プロパン-1,3-ジイル基、プロパン-1,2-ジイル基、ブタン-1,4-ジイル基、1-メチルプロパン-1,3-ジイル基、2-メチルプロパン-1,3-ジイル基、2-メチルプロパン-1,2-ジイル基等が挙げられる。
a42、Aa43及びAa44の表す2価の飽和炭化水素基の置換基としては、ヒドロキシ基及び炭素数1~6のアルコキシ基等が挙げられる。
sは、0であることが好ましい。
The divalent saturated hydrocarbon groups represented by Aa42 , Aa43 and Aa44 in the group represented by the formula (a-g1) include linear or branched alkanediyl groups and monocyclic or polycyclic divalent Examples thereof include alicyclic hydrocarbon groups and groups formed by combining an alkanediyl group and a divalent alicyclic hydrocarbon group. Specifically, methylene group, ethylene group, propane-1,3-diyl group, propane-1,2-diyl group, butane-1,4-diyl group, 1-methylpropane-1,3-diyl group, 2-methylpropane-1,3-diyl group, 2-methylpropane-1,2-diyl group and the like.
Substituents of the divalent saturated hydrocarbon groups represented by Aa42 , Aa43 and Aa44 include a hydroxy group and an alkoxy group having 1 to 6 carbon atoms.
s is preferably zero.

式(a-g1)で表される基において、Xa42が-O-、-CO-、-CO-O-又は-O-CO-である基としては、以下の基等が挙げられる。以下の例示において、*及び**はそれぞれ結合部位を表し、**が-O-CO-Ra42との結合部位である。

Figure 2023016037000120
Among the groups represented by the formula (a-g1), examples of groups in which Xa42 is -O-, -CO-, -CO-O- or -O-CO- include the following groups. In the following examples, * and ** each represent a binding site, and ** is the binding site for --O--CO--Ra42 .
Figure 2023016037000120

式(a4-1)で表される構造単位としては、以下に示す構造単位及び下記構造単位中の式(a4-1)で表される構造単位におけるRa41に相当するメチル基が水素原子に置き換わった構造単位が挙げられる。

Figure 2023016037000121
As the structural unit represented by formula (a4-1), the following structural units and the methyl group corresponding to Ra41 in the structural unit represented by formula (a4-1) in the following structural units is replaced with a hydrogen atom. Structural units replaced are included.
Figure 2023016037000121

構造単位(a4)としては、式(a4-2)で表される構造単位が挙げられる。

Figure 2023016037000122
[式(a4-2)中、
f5は、水素原子又はメチル基を表す。
44は、炭素数1~6のアルカンジイル基を表し、該アルカンジイル基に含まれる-CH2-は、-O-又は-CO-に置き換わっていてもよい。
f6は、炭素数1~20のフッ素原子を有する飽和炭化水素基を表す。
ただし、L44及びRf6の合計炭素数の上限は21である。]Structural units (a4) include structural units represented by formula (a4-2).
Figure 2023016037000122
[In formula (a4-2),
Rf5 represents a hydrogen atom or a methyl group.
L44 represents an alkanediyl group having 1 to 6 carbon atoms, and --CH2 -- contained in the alkanediyl group may be replaced with --O-- or --CO--.
Rf6 represents a saturated hydrocarbon group having 1 to 20 carbon atoms and a fluorine atom.
However, the upper limit of the total carbon number of L44 and Rf6 is 21. ]

44の炭素数1~6のアルカンジイル基は、Aa41におけるアルカンジイル基で例示したものと同様の基が挙げられる。
f6の飽和炭化水素基は、Ra42で例示したものと同様の基が挙げられる。
44における炭素数1~6のアルカンジイル基としては、炭素数2~4のアルカンジイル基が好ましく、エチレン基がより好ましい。
Examples of the alkanediyl group having 1 to 6 carbon atoms for L44 include the same alkanediyl groups as exemplified for A a41 .
Examples of the saturated hydrocarbon group for Rf6 include the same groups as those exemplified for Ra42 .
The alkanediyl group having 1 to 6 carbon atoms in L44 is preferably an alkanediyl group having 2 to 4 carbon atoms, and more preferably an ethylene group.

式(a4-2)で表される構造単位としては、例えば、式(a4-1-1)~式(a4-1-11)でそれぞれ表される構造単位が挙げられる。構造単位(a4-2)におけるRf5に相当するメチル基が水素原子に置き換わった構造単位も式(a4-2)で表される構造単位として挙げられる。Examples of structural units represented by formula (a4-2) include structural units represented by formulas (a4-1-1) to (a4-1-11). A structural unit in which the methyl group corresponding to Rf5 in the structural unit (a4-2) is replaced with a hydrogen atom is also included as the structural unit represented by the formula (a4-2).

構造単位(a4)としては、式(a4-3)で表される構造単位が挙げられる。

Figure 2023016037000123
[式(a4-3)中、
f7は、水素原子又はメチル基を表す。
5は、炭素数1~6のアルカンジイル基を表す。
f13は、フッ素原子を有していてもよい炭素数1~18の2価の飽和炭化水素基を表す。
f12は、*-O-CO-又は*-CO-O-を表す(*はAf13との結合部位を表す。)。
f14は、フッ素原子を有していてもよい炭素数1~17の飽和炭化水素基を表す。
但し、Af13及びAf14の少なくとも1つは、フッ素原子を有し、L5、Af13及びAf14の合計炭素数の上限は20である。]Structural units (a4) include structural units represented by formula (a4-3).
Figure 2023016037000123
[In formula (a4-3),
Rf7 represents a hydrogen atom or a methyl group.
L5 represents an alkanediyl group having 1 to 6 carbon atoms.
Af13 represents a C 1-18 divalent saturated hydrocarbon group which may have a fluorine atom.
Xf12 represents *--O--CO-- or *--CO--O-- (* represents a binding site with Af13 ).
Af14 represents a C 1-17 saturated hydrocarbon group which may have a fluorine atom.
However, at least one of Af13 and Af14 has a fluorine atom, and the upper limit of the total carbon number of L5 , Af13 and Af14 is 20. ]

5におけるアルカンジイル基としては、Aa41におけるアルカンジイル基で例示したものと同様の基が挙げられる。
f13におけるフッ素原子を有していてもよい2価の飽和炭化水素基としては、好ましくはフッ素原子を有していてもよい2価の鎖式飽和炭化水素基及びフッ素原子を有していてもよい2価の脂環式飽和炭化水素基であり、より好ましくはペルフルオロアルカンジイル基である。
フッ素原子を有していてもよい2価の鎖式飽和炭化水素基としては、メチレン基、エチレン基、プロパンジイル基、ブタンジイル基及びペンタンジイル基等のアルカンジイル基;ジフルオロメチレン基、ペルフルオロエチレン基、ペルフルオロプロパンジイル基、ペルフルオロブタンジイル基及びペルフルオロペンタンジイル基等のペルフルオロアルカンジイル基等が挙げられる。
フッ素原子を有していてもよい2価の脂環式飽和炭化水素基は、単環式及び多環式のいずれでもよい。単環式の基としては、シクロヘキサンジイル基及びペルフルオロシクロヘキサンジイル基等が挙げられる。多環式の基としては、アダマンタンジイル基、ノルボルナンジイル基、ペルフルオロアダマンタンジイル基等が挙げられる。
f14の飽和炭化水素基及びフッ素原子を有していてもよい飽和炭化水素基は、Ra42で例示したものと同様の基が挙げられる。なかでも、トリフルオロメチル基、ジフルオロメチル基、メチル基、ペルフルオロエチル基、2,2,2-トリフルオロエチル基、1,1,2,2-テトラフルオロエチル基、エチル基、ペルフルオロプロピル基、2,2,3,3,3-ペンタフルオロプロピル基、プロピル基、ペルフルオロブチル基、1,1,2,2,3,3,4,4-オクタフルオロブチル基、ブチル基、ペルフルオロペンチル基、2,2,3,3,4,4,5,5,5-ノナフルオロペンチル基、ペンチル基、ヘキシル基、ペルフルオロヘキシル基、ヘプチル基、ペルフルオロヘプチル基、オクチル基及びペルフルオロオクチル基等のフッ化アルキル基、シクロプロピルメチル基、シクロプロピル基、シクロブチルメチル基、シクロペンチル基、シクロヘキシル基、ペルフルオロシクロヘキシル基、アダマンチル基、アダマンチルメチル基、アダマンチルジメチル基、ノルボルニル基、ノルボルニルメチル基、ペルフルオロアダマンチル基、ペルフルオロアダマンチルメチル基等が好ましい。
The alkanediyl group forL5 includes the same groups as those exemplified for the alkanediyl group for Aa41.
The divalent saturated hydrocarbon group which may have a fluorine atom in Af13 preferably has a divalent chain saturated hydrocarbon group which may have a fluorine atom and a fluorine atom is a divalent saturated alicyclic hydrocarbon group, more preferably a perfluoroalkanediyl group.
Examples of the divalent chain saturated hydrocarbon group which may have a fluorine atom include alkanediyl groups such as a methylene group, an ethylene group, a propanediyl group, a butanediyl group and a pentanediyl group; a difluoromethylene group, a perfluoroethylene group, perfluoroalkanediyl groups such as perfluoropropanediyl group, perfluorobutanediyl group and perfluoropentanediyl group;
The divalent saturated alicyclic hydrocarbon group which may have a fluorine atom may be either monocyclic or polycyclic. Monocyclic groups include a cyclohexanediyl group, a perfluorocyclohexanediyl group, and the like. Examples of polycyclic groups include an adamantanediyl group, a norbornanediyl group, a perfluoroadamantanediyl group, and the like.
Examples of saturated hydrocarbon groups and optionally fluorine-containing saturated hydrocarbon groups for Af14 include the same groups as those exemplified for Ra42 . Among them, trifluoromethyl group, difluoromethyl group, methyl group, perfluoroethyl group, 2,2,2-trifluoroethyl group, 1,1,2,2-tetrafluoroethyl group, ethyl group, perfluoropropyl group, 2,2,3,3,3-pentafluoropropyl group, propyl group, perfluorobutyl group, 1,1,2,2,3,3,4,4-octafluorobutyl group, butyl group, perfluoropentyl group, Fluorination such as 2,2,3,3,4,4,5,5,5-nonafluoropentyl, pentyl, hexyl, perfluorohexyl, heptyl, perfluoroheptyl, octyl and perfluorooctyl groups Alkyl group, cyclopropylmethyl group, cyclopropyl group, cyclobutylmethyl group, cyclopentyl group, cyclohexyl group, perfluorocyclohexyl group, adamantyl group, adamantylmethyl group, adamantyldimethyl group, norbornyl group, norbornylmethyl group, perfluoroadamantyl group , a perfluoroadamantylmethyl group, and the like.

式(a4-3)において、L5は、エチレン基が好ましい。
f13の2価の飽和炭化水素基は、炭素数1~6の2価の鎖式飽和炭化水素基及び炭素数3~12の2価の脂環式飽和炭化水素基を含む基が好ましく、炭素数2~3の2価の鎖式飽和炭化水素基がさらに好ましい。
f14の飽和炭化水素基は、炭素数3~12の鎖式飽和炭化水素基及び炭素数3~12の脂環式飽和炭化水素基を含む基が好ましく、炭素数3~10の鎖式飽和炭化水素基及び炭素数3~10の脂環式飽和炭化水素基を含む基がさらに好ましい。なかでも、Af14は、好ましくは炭素数3~12の脂環式飽和炭化水素基を含む基であり、より好ましくは、シクロプロピルメチル基、シクロペンチル基、シクロヘキシル基、ノルボルニル基及びアダマンチル基である。
In formula (a4-3), L5 is preferably an ethylene group.
The divalent saturated hydrocarbon group of Af13 is preferably a group containing a divalent chain saturated hydrocarbon group having 1 to 6 carbon atoms and a divalent alicyclic saturated hydrocarbon group having 3 to 12 carbon atoms, A divalent chain saturated hydrocarbon group having 2 to 3 carbon atoms is more preferred.
The saturated hydrocarbon group of Af14 is preferably a group containing a chain saturated hydrocarbon group having 3 to 12 carbon atoms and an alicyclic saturated hydrocarbon group having 3 to 12 carbon atoms, and a saturated chain hydrocarbon group having 3 to 10 carbon atoms. Groups containing a hydrocarbon group and an alicyclic saturated hydrocarbon group having 3 to 10 carbon atoms are more preferred. Among them, Af14 is preferably a group containing an alicyclic saturated hydrocarbon group having 3 to 12 carbon atoms, more preferably a cyclopropylmethyl group, a cyclopentyl group, a cyclohexyl group, a norbornyl group and an adamantyl group. .

式(a4-3)で表される構造単位としては、例えば、式(a4-1’-1)~式(a4-1’-11)でそれぞれ表される構造単位が挙げられる。構造単位(a4-3)におけるRf7に相当するメチル基が水素原子に置き換わった構造単位も式(a4-3)で表される構造単位として挙げられる。Examples of structural units represented by formula (a4-3) include structural units represented by formulas (a4-1′-1) to (a4-1′-11). A structural unit in which the methyl group corresponding to Rf7 in the structural unit (a4-3) is replaced with a hydrogen atom is also included as the structural unit represented by the formula (a4-3).

構造単位(a4)としては、式(a4-4)で表される構造単位も挙げられる。

Figure 2023016037000124
[式(a4-4)中、
f21は、水素原子又はメチル基を表す。
f21は、-(CH2j1-、-(CH2j2-O-(CH2j3-又は-(CH2j4-CO-O-(CH2j5-を表す。
j1~j5は、それぞれ独立に、1~6のいずれかの整数を表す。
f22は、フッ素原子を有する炭素数1~10の飽和炭化水素基を表す。]Structural units (a4) also include structural units represented by formula (a4-4).
Figure 2023016037000124
[In the formula (a4-4),
Rf21 represents a hydrogen atom or a methyl group.
Af21 represents -(CH2 )j1 -, -(CH2 )j2 -O-(CH2 )j3 - or -(CH2 )j4 -CO-O-(CH2 )j5 -.
j1 to j5 each independently represent an integer of 1 to 6;
Rf22 represents a C 1-10 saturated hydrocarbon group having a fluorine atom. ]

f22の飽和炭化水素基は、Ra42で表される飽和炭化水素基と同じものが挙げられる。Rf22は、フッ素原子を有する炭素数1~10のアルキル基又はフッ素原子を有する炭素数1~10の脂環式炭化水素基が好ましく、フッ素原子を有する炭素数1~10のアルキル基がより好ましく、フッ素原子を有する炭素数1~6のアルキル基がさらに好ましい。The saturated hydrocarbon group represented by Rf22 includes the same saturated hydrocarbon group represented by R a42. Rf22 is preferably an alkyl group having 1 to 10 carbon atoms having a fluorine atom or an alicyclic hydrocarbon group having 1 to 10 carbon atoms having a fluorine atom, more preferably an alkyl group having 1 to 10 carbon atoms having a fluorine atom. An alkyl group having 1 to 6 carbon atoms and having a fluorine atom is more preferred.

式(a4-4)においては、Af21としては、-(CH2j1-が好ましく、エチレン基又はメチレン基がより好ましく、メチレン基がさらに好ましい。In formula (a4-4), Af21 is preferably --(CH2 )j1 --, more preferably an ethylene group or a methylene group, and still more preferably a methylene group.

式(a4-4)で表される構造単位としては、例えば、以下の構造単位及び以下の式で表される構造単位において、構造単位(a4-4)におけるRf21に相当するメチル基が水素原子に置き換わった構造単位が挙げられる。

Figure 2023016037000125
As the structural unit represented by formula (a4-4), for example, in structural units represented by the following structural units and structural units represented by the following formulas, the methyl group corresponding to Rf21 in structural unit (a4-4) is hydrogen Structural units replaced with atoms are included.
Figure 2023016037000125

樹脂(A)が、構造単位(a4)を含む場合、その含有率は、樹脂(A)の全構造単位に対して、1~20モル%が好ましく、2~15モル%がより好ましく、3~10モル%がさらに好ましい。 When the resin (A) contains the structural unit (a4), its content is preferably 1 to 20 mol%, more preferably 2 to 15 mol%, based on the total structural units of the resin (A). ~10 mol% is more preferred.

〈構造単位(a5)〉
構造単位(a5)が有する非脱離炭化水素基としては、直鎖、分岐又は環状の炭化水素基を有する基が挙げられる。なかでも、構造単位(a5)は、脂環式炭化水素基を有する基が好ましい。
構造単位(a5)としては、例えば、式(a5-1)で表される構造単位が挙げられる。

Figure 2023016037000126
[式(a5-1)中、
51は、水素原子又はメチル基を表す。
52は、炭素数3~18の脂環式炭化水素基を表し、該脂環式炭化水素基に含まれる水素原子は炭素数1~8の脂肪族炭化水素基で置換されていてもよい。
55は、単結合又は炭素数1~18の2価の飽和炭化水素基を表し、該飽和炭化水素基に含まれる-CH-は、-O-又は-CO-に置き換わっていてもよい。]<Structural unit (a5)>
Examples of non-leaving hydrocarbon groups possessed by the structural unit (a5) include groups having linear, branched or cyclic hydrocarbon groups. Among them, the structural unit (a5) is preferably a group having an alicyclic hydrocarbon group.
Examples of the structural unit (a5) include structural units represented by formula (a5-1).
Figure 2023016037000126
[In the formula (a5-1),
R51 represents a hydrogen atom or a methyl group.
R52 represents an alicyclic hydrocarbon group having 3 to 18 carbon atoms, and a hydrogen atom contained in the alicyclic hydrocarbon group may be substituted with an aliphatic hydrocarbon group having 1 to 8 carbon atoms. .
L55 represents a single bond or a divalent saturated hydrocarbon group having 1 to 18 carbon atoms, and —CH2 — contained in the saturated hydrocarbon group may be replaced with —O— or —CO— . ]

52における脂環式炭化水素基としては、単環式及び多環式のいずれでもよい。単環式の脂環式炭化水素基としては、例えば、シクロプロピル基、シクロブチル基、シクロペンチル基及びシクロヘキシル基が挙げられる。多環式の脂環式炭化水素基としては、例えば、アダマンチル基及びノルボルニル基等が挙げられる。
炭素数1~8の脂肪族炭化水素基は、例えば、メチル基、エチル基、プロピル基、イソプロピル基、ブチル基、sec-ブチル基、tert-ブチル基、ペンチル基、ヘキシル基、オクチル基及び2-エチルヘキシル基等のアルキル基が挙げられる。
置換基を有する脂環式炭化水素基としては、3-メチルアダマンチル基などが挙げられる。
52は、好ましくは、無置換の炭素数3~18の脂環式炭化水素基であり、より好ましくは、アダマンチル基、ノルボルニル基又はシクロヘキシル基である。
55における2価の飽和炭化水素基としては、2価の鎖式飽和炭化水素基及び2価の脂環式飽和炭化水素基が挙げられ、好ましくは2価の鎖式飽和炭化水素基である。
2価の鎖式飽和炭化水素基としては、例えば、メチレン基、エチレン基、プロパンジイル基、ブタンジイル基及びペンタンジイル基等のアルカンジイル基が挙げられる。
2価の脂環式飽和炭化水素基は、単環式及び多環式のいずれでもよい。単環式の脂環式飽和炭化水素基としては、シクロペンタンジイル基及びシクロヘキサンジイル基等のシクロアルカンジイル基が挙げられる。多環式の2価の脂環式飽和炭化水素基としては、アダマンタンジイル基及びノルボルナンジイル基等が挙げられる。
The alicyclic hydrocarbon group for R52 may be either monocyclic or polycyclic. Examples of monocyclic alicyclic hydrocarbon groups include cyclopropyl, cyclobutyl, cyclopentyl and cyclohexyl groups. Examples of polycyclic alicyclic hydrocarbon groups include adamantyl groups and norbornyl groups.
Aliphatic hydrocarbon groups having 1 to 8 carbon atoms are, for example, methyl group, ethyl group, propyl group, isopropyl group, butyl group, sec-butyl group, tert-butyl group, pentyl group, hexyl group, octyl group and 2 - alkyl groups such as ethylhexyl groups.
A 3-methyladamantyl group etc. are mentioned as an alicyclic hydrocarbon group which has a substituent.
R52 is preferably an unsubstituted alicyclic hydrocarbon group having 3 to 18 carbon atoms, more preferably an adamantyl group, a norbornyl group or a cyclohexyl group.
The divalent saturated hydrocarbon group for L55 includes a divalent saturated chain hydrocarbon group and a saturated divalent alicyclic hydrocarbon group, preferably a saturated chain divalent hydrocarbon group. .
Examples of divalent saturated chain hydrocarbon groups include alkanediyl groups such as methylene, ethylene, propanediyl, butanediyl and pentanediyl groups.
The bivalent alicyclic saturated hydrocarbon group may be either monocyclic or polycyclic. The monocyclic alicyclic saturated hydrocarbon group includes cycloalkanediyl groups such as cyclopentanediyl group and cyclohexanediyl group. The polycyclic divalent alicyclic saturated hydrocarbon group includes an adamantanediyl group and a norbornanediyl group.

55の表す2価の飽和炭化水素基に含まれる-CH-が、-O-又は-CO-で置き換わった基としては、例えば、式(L1-1)~式(L1-4)で表される基が挙げられる。下記式中、*及び**は各々結合部位を表し、*は酸素原子との結合部位を表す。

Figure 2023016037000127
式(L1-1)中、
x1は、*-O-CO-又は*-CO-O-を表す(*はLx1との結合部位を表す。)。
x1は、炭素数1~16の2価の脂肪族飽和炭化水素基を表す。
x2は、単結合又は炭素数1~15の2価の脂肪族飽和炭化水素基を表す。
ただし、Lx1及びLx2の合計炭素数は、16以下である。
式(L1-2)中、
x3は、炭素数1~17の2価の脂肪族飽和炭化水素基を表す。
x4は、単結合又は炭素数1~16の2価の脂肪族飽和炭化水素基を表す。
ただし、Lx3及びLx4の合計炭素数は、17以下である。
式(L1-3)中、
x5は、炭素数1~15の2価の脂肪族飽和炭化水素基を表す。
x6及びLx7は、それぞれ独立に、単結合又は炭素数1~14の2価の脂肪族飽和炭化水素基を表す。
ただし、Lx5、Lx6及びLx7の合計炭素数は、15以下である。
式(L1-4)中、
x8及びLx9は、単結合又は炭素数1~12の2価の脂肪族飽和炭化水素基を表す。
x1は、炭素数3~15の2価の脂環式飽和炭化水素基を表す。
ただし、Lx8、Lx9及びWx1の合計炭素数は、15以下である。Groups in which —CH2 — contained in the divalent saturated hydrocarbon group represented by L55 is replaced with —O— or —CO— include, for example, formulas (L1-1) to (L1-4) and the group represented by In the following formulas, * and ** each represent a bonding site, and * represents a bonding site with an oxygen atom.
Figure 2023016037000127
In formula (L1-1),
Xx1 represents *-O-CO- or *-CO-O- (* represents a binding site with Lx1 ).
Lx1 represents a divalent aliphatic saturated hydrocarbon group having 1 to 16 carbon atoms.
Lx2 represents a single bond or a divalent aliphatic saturated hydrocarbon group having 1 to 15 carbon atoms.
However, the total carbon number of Lx1 and Lx2 is 16 or less.
In formula (L1-2),
Lx3 represents a divalent aliphatic saturated hydrocarbon group having 1 to 17 carbon atoms.
Lx4 represents a single bond or a divalent aliphatic saturated hydrocarbon group having 1 to 16 carbon atoms.
However, the total carbon number of Lx3 and Lx4 is 17 or less.
In formula (L1-3),
Lx5 represents a divalent aliphatic saturated hydrocarbon group having 1 to 15 carbon atoms.
Lx6 and Lx7 each independently represent a single bond or a divalent saturated aliphatic hydrocarbon group having 1 to 14 carbon atoms.
However, the total carbon number of Lx5 , Lx6 and Lx7 is 15 or less.
In formula (L1-4),
Lx8 and Lx9 each represent a single bond or a divalent aliphatic saturated hydrocarbon group having 1 to 12 carbon atoms.
Wx1 represents a divalent saturated alicyclic hydrocarbon group having 3 to 15 carbon atoms.
However, the total carbon number of Lx8 , Lx9 and Wx1 is 15 or less.

x1は、好ましくは、炭素数1~8の2価の脂肪族飽和炭化水素基、より好ましくは、メチレン基又はエチレン基である。
x2は、好ましくは、単結合又は炭素数1~8の2価の脂肪族飽和炭化水素基、より好ましくは、単結合である。
x3は、好ましくは、炭素数1~8の2価の脂肪族飽和炭化水素基である。
x4は、好ましくは、単結合又は炭素数1~8の2価の脂肪族飽和炭化水素基である。
x5は、好ましくは、炭素数1~8の2価の脂肪族飽和炭化水素基、より好ましくは、メチレン基又はエチレン基である。
x6は、好ましくは、単結合又は炭素数1~8の2価の脂肪族飽和炭化水素基、より好ましくは、メチレン基又はエチレン基である。
x7は、好ましくは、単結合又は炭素数1~8の2価の脂肪族飽和炭化水素基である。
x8は、好ましくは、単結合又は炭素数1~8の2価の脂肪族飽和炭化水素基、より好ましくは、単結合又はメチレン基である。
x9は、好ましくは、単結合又は炭素数1~8の2価の脂肪族飽和炭化水素基、より好ましくは、単結合又はメチレン基である。
x1は、好ましくは、炭素数3~10の2価の脂環式飽和炭化水素基、より好ましくは、シクロヘキサンジイル基又はアダマンタンジイル基である。
Lx1 is preferably a C 1-8 divalent aliphatic saturated hydrocarbon group, more preferably a methylene group or an ethylene group.
Lx2 is preferably a single bond or a C 1-8 divalent aliphatic saturated hydrocarbon group, more preferably a single bond.
Lx3 is preferably a divalent aliphatic saturated hydrocarbon group having 1 to 8 carbon atoms.
Lx4 is preferably a single bond or a divalent aliphatic saturated hydrocarbon group having 1 to 8 carbon atoms.
Lx5 is preferably a C 1-8 divalent aliphatic saturated hydrocarbon group, more preferably a methylene group or an ethylene group.
Lx6 is preferably a single bond or a C 1-8 divalent aliphatic saturated hydrocarbon group, more preferably a methylene group or an ethylene group.
Lx7 is preferably a single bond or a divalent aliphatic saturated hydrocarbon group having 1 to 8 carbon atoms.
Lx8 is preferably a single bond or a divalent saturated aliphatic hydrocarbon group having 1 to 8 carbon atoms, more preferably a single bond or a methylene group.
Lx9 is preferably a single bond or a divalent saturated aliphatic hydrocarbon group having 1 to 8 carbon atoms, more preferably a single bond or a methylene group.
Wx1 is preferably a divalent saturated alicyclic hydrocarbon group having 3 to 10 carbon atoms, more preferably a cyclohexanediyl group or an adamantanediyl group.

式(L1-1)で表される基としては、例えば、以下に示す2価の基が挙げられる。

Figure 2023016037000128
Examples of the group represented by formula (L1-1) include the divalent groups shown below.
Figure 2023016037000128

式(L1-2)で表される基としては、例えば、以下に示す2価の基が挙げられる。

Figure 2023016037000129
Examples of the group represented by formula (L1-2) include the divalent groups shown below.
Figure 2023016037000129

式(L1-3)で表される基としては、例えば、以下に示す2価の基が挙げられる。

Figure 2023016037000130
Examples of the group represented by formula (L1-3) include the divalent groups shown below.
Figure 2023016037000130

式(L1-4)で表される基としては、例えば、以下に示す2価の基が挙げられる。

Figure 2023016037000131
Examples of the group represented by formula (L1-4) include the divalent groups shown below.
Figure 2023016037000131

55は、好ましくは、単結合又は式(L1-1)で表される基である。L55 is preferably a single bond or a group represented by formula (L1-1).

構造単位(a5-1)としては、以下に示す構造単位及び下記構造単位中の構造単位(a5-1)におけるR51に相当するメチル基が水素原子に置き換わった構造単位が挙げられる。

Figure 2023016037000132
樹脂(A)が、構造単位(a5)を含む場合、その含有率は、樹脂(A)の全構造単位に対して、1~30モル%が好ましく、2~20モル%がより好ましく、3~15モル%がさらに好ましい。Examples of the structural unit (a5-1) include the structural units shown below and structural units in which the methyl group corresponding to R51 in the structural unit (a5-1) in the following structural units is replaced with a hydrogen atom.
Figure 2023016037000132
When the resin (A) contains the structural unit (a5), the content thereof is preferably 1 to 30 mol%, more preferably 2 to 20 mol%, based on the total structural units of the resin (A). ~15 mol% is more preferred.

〈構造単位(a6)〉
構造単位(a6)は、-SO-基を有する構造単位であり、-SO-基を側鎖に有することが好ましい。
-SO-基を有する構造単位は、-SO-基を有する直鎖状構造を有していてもよいし、-SO-基を有する分岐状構造を有していてもよいし、-SO-基を有する環状構造(単環及び多環構造)を有していてもよい。好ましくは、-SO-基を有する環状構造を有する構造単位であり、より好ましくは、-SO-O-を含む環状構造(スルトン環)を有する構造単位である。
<Structural unit (a6)>
Structural unit (a6) is a structural unit having a —SO2 — group, and preferably has a —SO2 — group in its side chain.
A structural unit having a —SO2 — group may have a linear structure having a —SO2 — group, or may have a branched structure having a —SO2 — group, It may have a cyclic structure (monocyclic and polycyclic structures) having a —SO2 — group. Structural units having a cyclic structure containing —SO2 — groups are preferred, and structural units having a cyclic structure (sultone ring) containing —SO2 —O— are more preferred.

スルトン環としては、下記式(T-1)、式(T-2)、式(T-3)及び式(T-4)で表される環が挙げられる。結合部位は任意の位置とすることができる。スルトン環は、単環式であってもよいが、多環式であることが好ましい。多環式のスルトン環とは、環を構成する原子団として-SO-O-を含む橋かけ環を意味し、式(T-1)及び式(T-2)で表される環が挙げられる。スルトン環は、式(T-2)で表される環のように、環を構成する原子団として、-SO-O-以外に、さらにヘテロ原子を含んでいてもよい。ヘテロ原子としては、酸素原子、硫黄原子又は窒素原子が挙げられ、好ましくは酸素原子である。

Figure 2023016037000133
The sultone ring includes rings represented by the following formulas (T1 -1), (T1 -2), (T1 -3) and (T1 -4). The binding site can be at any position. The sultone ring may be monocyclic, but preferably polycyclic. A polycyclic sultone ring means a bridged ring containing —SO2 —O— as an atomic group constituting the ring, and is represented by formulas (T1 -1) and (T1 -2). ring. The sultone ring may further contain a heteroatom in addition to —SO2 —O— as an atomic group constituting the ring, like the ring represented by formula (T1 -2). A heteroatom includes an oxygen atom, a sulfur atom or a nitrogen atom, preferably an oxygen atom.
Figure 2023016037000133

スルトン環は置換基を有してもよく、置換基としては、ハロゲン原子又はヒドロキシ基を有していてもよい炭素数1~12のアルキル基、ハロゲン原子、ヒドロキシ基、シアノ基、炭素数1~12のアルコキシ基、炭素数6~12のアリール基、炭素数7~12のアラルキル基、グリシジルオキシ基、炭素数2~12のアルコキシカルボニル基及び炭素数2~4のアルキルカルボニル基等が挙げられる。 The sultone ring may have a substituent, and examples of the substituent include a halogen atom, an alkyl group having 1 to 12 carbon atoms optionally having a hydroxy group, a halogen atom, a hydroxy group, a cyano group, and 1 carbon atom. alkoxy groups of up to 12 carbon atoms, aryl groups of 6 to 12 carbon atoms, aralkyl groups of 7 to 12 carbon atoms, glycidyloxy groups, alkoxycarbonyl groups of 2 to 12 carbon atoms and alkylcarbonyl groups of 2 to 4 carbon atoms, and the like. be done.

ハロゲン原子としては、フッ素原子、塩素原子、臭素原子及びヨウ素原子が挙げられる。
アルキル基としては、メチル基、エチル基、プロピル基、ブチル基、ペンチル基、ヘキシル基、オクチル基及びデシル基が挙げられ、好ましくは炭素数1~6のアルキル基であり、より好ましくはメチル基である。
ハロゲン原子を有するアルキル基としては、トリフルオロメチル基、ペルフルオロエチル基、ペルフルオロプロピル基、ペルフルオロイソプロピル基、ペルフルオロブチル基、ペルフルオロsec-ブチル基、ペルフルオロtert-ブチル基、ペルフルオロペンチル基、ペルフルオロヘキシル基、トリクロロメチル基、トリブロモメチル基及びトリヨードメチル基が挙げられ、好ましくはトリフルオロメチル基が挙げられる。
ヒドロキシ基を有するアルキル基としては、ヒドロキシメチル基及び2-ヒドロキシエチル基のヒドロキシアルキル基が挙げられる。
アルコキシ基としては、メトキシ基、エトキシ基、プロポキシ基、ブトキシ基、ペンチルオキシ基、ヘキシルオキシ基、ヘプチルオキシ基、オクチルオキシ基、デシルオキシ基及びドデシルオキシ基が挙げられる。
アリール基としては、フェニル基、ナフチル基、アントリル基、p-メチルフェニル基、p-tert-ブチルフェニル基、p-アダマンチルフェニル基、トリル基、キシリル基、クミル基、メシチル基、ビフェニル基、フェナントリル基、2,6-ジエチルフェニル基及び2-メチル-6-エチルフェニル基が挙げられる。
アラルキル基としては、ベンジル基、フェネチル基、フェニルプロピル基、ナフチルメチル基及びナフチルエチル基が挙げられる。
アルコキシカルボニル基としては、メトキシカルボニル基、エトキシカルボニル基等のアルコキシ基とカルボニル基とが結合した基が挙げられ、好ましくは炭素数6以下のアルコキシカルボニル基が挙げられ、より好ましくはメトキシカルボニル基が挙げられる。
アルキルカルボニル基としては、アセチル基、プロピオニル基及びブチリル基が挙げられる。
構造単位(a6)を導くモノマーの製造が容易であるという観点から、置換基を有さないスルトン環が好ましい。
Halogen atoms include fluorine, chlorine, bromine and iodine atoms.
Alkyl groups include methyl, ethyl, propyl, butyl, pentyl, hexyl, octyl and decyl groups, preferably alkyl groups having 1 to 6 carbon atoms, more preferably methyl groups. is.
The alkyl group having a halogen atom includes a trifluoromethyl group, a perfluoroethyl group, a perfluoropropyl group, a perfluoroisopropyl group, a perfluorobutyl group, a perfluorosec-butyl group, a perfluorotert-butyl group, a perfluoropentyl group, a perfluorohexyl group, trichloromethyl group, tribromomethyl group and triiodomethyl group, preferably trifluoromethyl group.
Alkyl groups having a hydroxy group include hydroxyalkyl groups such as a hydroxymethyl group and a 2-hydroxyethyl group.
Alkoxy groups include methoxy, ethoxy, propoxy, butoxy, pentyloxy, hexyloxy, heptyloxy, octyloxy, decyloxy and dodecyloxy groups.
Aryl groups include phenyl, naphthyl, anthryl, p-methylphenyl, p-tert-butylphenyl, p-adamantylphenyl, tolyl, xylyl, cumyl, mesityl, biphenyl, and phenanthryl groups. groups, 2,6-diethylphenyl groups and 2-methyl-6-ethylphenyl groups.
Aralkyl groups include benzyl, phenethyl, phenylpropyl, naphthylmethyl and naphthylethyl groups.
The alkoxycarbonyl group includes groups in which an alkoxy group and a carbonyl group such as a methoxycarbonyl group and an ethoxycarbonyl group are bonded, preferably an alkoxycarbonyl group having 6 or less carbon atoms, more preferably a methoxycarbonyl group. mentioned.
Alkylcarbonyl groups include acetyl, propionyl and butyryl groups.
A sultone ring having no substituent is preferred from the viewpoint of facilitating the production of the monomer leading to the structural unit (a6).

スルトン環としては、以下の式(T1’)で表される環が好ましい。

Figure 2023016037000134
[式(T1’)中、
11は、酸素原子、硫黄原子又はメチレン基を表す。
41は、ハロゲン原子もしくはヒドロキシ基を有していてもよい炭素数1~12のアルキル基、ハロゲン原子、ヒドロキシ基、シアノ基、炭素数1~12のアルコキシ基、炭素数6~12のアリール基、炭素数7~12のアラルキル基、グリシジルオキシ基、炭素数2~12のアルコキシカルボニル基又は炭素数2~4のアルキルカルボニル基を表す。
maは、0~9のいずれかの整数を表す。maが2以上のとき、複数のR41は同一であっても異なってもよい。
結合部位は任意の位置である。]
11は、好ましくは酸素原子又はメチレン基であり、より好ましくはメチレン基である。
41としては、上述したスルトン環の置換基と同様のものが挙げられ、ハロゲン原子又はヒドロキシ基を有していてもよい炭素数1~12のアルキル基が好ましい。
maは、好ましくは0又は1であり、より好ましくは0である。As the sultone ring, a ring represented by the following formula (T1') is preferable.
Figure 2023016037000134
[in the formula (T1′),
X11 represents an oxygen atom, a sulfur atom or a methylene group.
R41 is an alkyl group having 1 to 12 carbon atoms which may have a halogen atom or a hydroxy group, a halogen atom, a hydroxy group, a cyano group, an alkoxy group having 1 to 12 carbon atoms, or an aryl group having 6 to 12 carbon atoms. aralkyl group having 7 to 12 carbon atoms, glycidyloxy group, alkoxycarbonyl group having 2 to 12 carbon atoms or alkylcarbonyl group having 2 to 4 carbon atoms.
ma represents any integer from 0 to 9; When ma is 2 or more, multiple R41 may be the same or different.
The binding site can be any position. ]
X11 is preferably an oxygen atom or a methylene group, more preferably a methylene group.
Examples of R41 include the same substituents as those described above for the sultone ring, and preferably an alkyl group having 1 to 12 carbon atoms which may have a halogen atom or a hydroxy group.
ma is preferably 0 or 1, more preferably 0.

式(T1’)で表される環としては、以下の環が挙げられる。結合部位は任意の位置である。

Figure 2023016037000135
スルトン環を有する構造単位は、下記の基を有することが好ましい。下記基における*は結合部位を表す。
Figure 2023016037000136
The ring represented by formula (T1′) includes the following rings. The binding site can be any position.
Figure 2023016037000135
A structural unit having a sultone ring preferably has the following groups. * in the following groups represents a binding site.
Figure 2023016037000136

-SO-基を有する構造単位は、さらに、重合性基に由来する基を有することが好ましい。重合性基としては、ビニル基、アクリロイル基、メタクリロイル基、アクリロイルオキシ基、メタクリロイルオキシ基、アクリロイルアミノ基、メタクリロイルアミノ基、アクリロイルチオ基、メタクリロイルチオ基等が挙げられる。
中でも、構造単位(a6)を導くモノマーは、好ましくはエチレン性不飽和結合を有するモノマーであり、より好ましくは(メタ)アクリル系モノマーである。
A structural unit having a —SO2 — group preferably further has a group derived from a polymerizable group. Examples of the polymerizable group include vinyl group, acryloyl group, methacryloyl group, acryloyloxy group, methacryloyloxy group, acryloylamino group, methacryloylamino group, acryloylthio group and methacryloylthio group.
Among them, the monomer leading to the structural unit (a6) is preferably a monomer having an ethylenically unsaturated bond, more preferably a (meth)acrylic monomer.

構造単位(a6)は、好ましくは、式(Ix)で表される構造単位である。

Figure 2023016037000137
[式(Ix)中、Rは、ハロゲン原子を有してもよい炭素数1~6のアルキル基、水素原子又はハロゲン原子を表す。
xxは、酸素原子、-N(R)-又は硫黄原子を表す。
は、単結合又は炭素数1~18の2価の飽和炭化水素基を表し、該飽和炭化水素基に含まれる-CH-は、-O-、-CO-又は-N(R)-に置き換わっていてもよい。
11、R41及びmaは、上記と同じ意味を表す。
及びRは、互いに独立に、水素原子又は炭素数1~6のアルキル基を表す。]Structural unit (a6) is preferably a structural unit represented by formula (Ix).
Figure 2023016037000137
[In formula (Ix), Rx represents an alkyl group having 1 to 6 carbon atoms which may have a halogen atom, a hydrogen atom or a halogen atom.
Axx represents an oxygen atom, -N(Rc )- or a sulfur atom.
Ax represents a single bond or a divalent saturated hydrocarbon group having 1 to 18 carbon atoms, and —CH2 — contained in the saturated hydrocarbon group is —O—, —CO— or —N(Rd )- may be substituted.
X11 , R41 and ma have the same meanings as above.
Rc and Rd each independently represent a hydrogen atom or an alkyl group having 1 to 6 carbon atoms. ]

のハロゲン原子としては、フッ素原子、塩素原子、臭素原子及びヨウ素原子が挙げられる。
のアルキル基としては、例えば、メチル基、エチル基、n-プロピル基、イソプロピル基、n-ブチル基、sec-ブチル基、tert-ブチル基、n-ペンチル基及びn-ヘキシル基等が挙げられ、好ましくは炭素数1~4のアルキル基であり、より好ましくはメチル基又はエチル基である。
のハロゲン原子を有するアルキル基としては、例えば、トリフルオロメチル基、ペルフルオロエチル基、ペルフルオロプロピル基、ペルフルオロイソプロピル基、ペルフルオロブチル基、ペルフルオロsec-ブチル基、ペルフルオロtert-ブチル基、ペルフルオロペンチル基、ペルフルオロヘキシル基、トリクロロメチル基、トリブロモメチル基及びトリヨードメチル基などが挙げられる。
は、好ましくは水素原子又は炭素数1~4のアルキル基であり、より好ましくは水素原子、メチル基又はエチル基であり、さらに好ましくは水素原子又はメチル基である。
Halogen atoms for Rx include fluorine, chlorine, bromine and iodine atoms.
The alkyl group for Rx includes, for example, methyl group, ethyl group, n-propyl group, isopropyl group, n-butyl group, sec-butyl group, tert-butyl group, n-pentyl group and n-hexyl group. and preferably an alkyl group having 1 to 4 carbon atoms, more preferably a methyl group or an ethyl group.
The alkyl group having a halogen atom for Rx includes, for example, a trifluoromethyl group, a perfluoroethyl group, a perfluoropropyl group, a perfluoroisopropyl group, a perfluorobutyl group, a perfluorosec-butyl group, a perfluorotert-butyl group, and a perfluoropentyl group. , perfluorohexyl group, trichloromethyl group, tribromomethyl group and triiodomethyl group.
Rx is preferably a hydrogen atom or an alkyl group having 1 to 4 carbon atoms, more preferably a hydrogen atom, a methyl group or an ethyl group, still more preferably a hydrogen atom or a methyl group.

の2価の飽和炭化水素基としては、直鎖状アルカンジイル基、分岐状アルカンジイル基、単環式又は多環式の2価の脂環式飽和炭化水素基が挙げられ、これらの基のうち2種以上を組合せたものでもよい。
具体的には、メチレン基、エチレン基、プロパン-1,3-ジイル基、プロパン-1,2-ジイル基、ブタン-1,4-ジイル基、ペンタン-1,5-ジイル基、ヘキサン-1,6-ジイル基、ヘプタン-1,7-ジイル基、オクタン-1,8-ジイル基、ノナン-1,9-ジイル基、デカン-1,10-ジイル基、ウンデカン-1,11-ジイル基、ドデカン-1,12-ジイル基、トリデカン-1,13-ジイル基、テトラデカン-1,14-ジイル基、ペンタデカン-1,15-ジイル基、ヘキサデカン-1,16-ジイル基、ヘプタデカン-1,17-ジイル基、エタン-1,1-ジイル基、プロパン-1,1-ジイル基及びプロパン-2,2-ジイル基等の直鎖状アルカンジイル基;
ブタン-1,3-ジイル基、2-メチルプロパン-1,3-ジイル基、2-メチルプロパン-1,2-ジイル基、ペンタン-1,4-ジイル基、2-メチルブタン-1,4-ジイル基等の分岐状アルカンジイル基;
シクロブタン-1,3-ジイル基、シクロペンタン-1,3-ジイル基、シクロヘキサン-1,4-ジイル基、シクロオクタン-1,5-ジイル基等のシクロアルカンジイル基である単環式の2価の脂環式飽和炭化水素基;
ノルボルナン-1,4-ジイル基、ノルボルナン-2,5-ジイル基、アダマンタン-1,5-ジイル基、アダマンタン-2,6-ジイル基等の多環式の2価の脂環式飽和炭化水素基等が挙げられる。
The divalent saturated hydrocarbon group for Ax includes a linear alkanediyl group, a branched alkanediyl group, and a monocyclic or polycyclic bivalent alicyclic saturated hydrocarbon group. A combination of two or more of the groups may also be used.
Specifically, methylene group, ethylene group, propane-1,3-diyl group, propane-1,2-diyl group, butane-1,4-diyl group, pentane-1,5-diyl group, hexane-1 ,6-diyl group, heptane-1,7-diyl group, octane-1,8-diyl group, nonane-1,9-diyl group, decane-1,10-diyl group, undecane-1,11-diyl group , dodecane-1,12-diyl group, tridecane-1,13-diyl group, tetradecane-1,14-diyl group, pentadecane-1,15-diyl group, hexadecane-1,16-diyl group, heptadecane-1, linear alkanediyl groups such as 17-diyl group, ethane-1,1-diyl group, propane-1,1-diyl group and propane-2,2-diyl group;
butane-1,3-diyl group, 2-methylpropane-1,3-diyl group, 2-methylpropane-1,2-diyl group, pentane-1,4-diyl group, 2-methylbutane-1,4- a branched alkanediyl group such as a diyl group;
monocyclic 2 which is a cycloalkanediyl group such as cyclobutane-1,3-diyl group, cyclopentane-1,3-diyl group, cyclohexane-1,4-diyl group, cyclooctane-1,5-diyl group; alicyclic saturated hydrocarbon group;
Polycyclic divalent alicyclic saturated hydrocarbons such as norbornane-1,4-diyl group, norbornane-2,5-diyl group, adamantane-1,5-diyl group, and adamantane-2,6-diyl group and the like.

構造単位(a6)としては、以下の構造単位が挙げられる。

Figure 2023016037000138
Structural units (a6) include the following structural units.
Figure 2023016037000138

なかでも、式(a6-1)、式(a6-2)、式(a6-6)、式(a6-7)、式(a6-8)及び式(a6-12)で表される構造単位が好ましく、式(a6-1)、式(a6-2)、式(a6-7)及び(a6-8)で表される構造単位がより好ましい。
樹脂(A)が、構造単位(a6)を有する場合、その含有率は、樹脂(A)の全構造単位に対して、1~50モル%が好ましく、2~40モル%がより好ましく、3~30モル%がさらに好ましい。
Among them, structural units represented by formula (a6-1), formula (a6-2), formula (a6-6), formula (a6-7), formula (a6-8) and formula (a6-12) are preferred, and structural units represented by formulas (a6-1), (a6-2), (a6-7) and (a6-8) are more preferred.
When the resin (A) has the structural unit (a6), the content thereof is preferably 1 to 50 mol%, more preferably 2 to 40 mol%, based on the total structural units of the resin (A), and 3 ~30 mol% is more preferred.

<構造単位(II)>
樹脂(A)は、さらに、露光により分解して酸を発生する構造単位(以下、「構造単位(II)」という場合がある)を含有してもよい。構造単位(II)としては、具体的には特開2016-79235号公報に記載の構造単位が挙げられ、側鎖にスルホナート基若しくはカルボキシレート基と有機カチオンとを有する構造単位又は側鎖にスルホニオ基と有機アニオンとを有する構造単位であることが好ましい。
<Structural unit (II)>
The resin (A) may further contain a structural unit that is decomposed by exposure to generate an acid (hereinafter sometimes referred to as "structural unit (II)"). Specific examples of the structural unit (II) include structural units described in JP-A-2016-79235. A structural unit having a group and an organic anion is preferred.

側鎖にスルホナート基若しくはカルボキシレート基と有機カチオンとを有する構造単位は、式(II-2-A’)で表される構造単位であることが好ましい。

Figure 2023016037000139
[式(II-2-A’)中、
III3は、炭素数1~18の2価の飽和炭化水素基を表し、該飽和炭化水素基に含まれる-CH-は、-O-、-S-又は-CO-に置き換わっていてもよく、該飽和炭化水素基に含まれる水素原子は、ハロゲン原子、ハロゲン原子を有していてもよい炭素数1~6のアルキル基又はヒドロキシ基で置き換わっていてもよい。
x1は、炭素数1~8のアルカンジイル基を表し、該アルカンジイル基に含まれる水素原子は、フッ素原子又は炭素数1~6のペルフルオロアルキル基で置換されていてもよい。
RAは、スルホナート基又はカルボキシレート基を表す。
III3は、水素原子、ハロゲン原子又はハロゲン原子を有していてもよい炭素数1~6のアルキル基を表す。
ZAは、有機カチオンを表す。]A structural unit having a sulfonate group or carboxylate group and an organic cation in a side chain is preferably a structural unit represented by formula (II-2-A').
Figure 2023016037000139
[In the formula (II-2-A '),
XIII3 represents a divalent saturated hydrocarbon group having 1 to 18 carbon atoms, and —CH2 — contained in the saturated hydrocarbon group may be replaced with —O—, —S— or —CO— A hydrogen atom contained in the saturated hydrocarbon group may be replaced with a halogen atom, an alkyl group having 1 to 6 carbon atoms which may have a halogen atom, or a hydroxy group.
Ax1 represents an alkanediyl group having 1 to 8 carbon atoms, and a hydrogen atom contained in the alkanediyl group may be substituted with a fluorine atom or a perfluoroalkyl group having 1 to 6 carbon atoms.
RA- represents a sulfonate groupor a carboxylate group.
RIII3 represents a hydrogen atom, a halogen atom or an alkyl group having 1 to 6 carbon atoms which may have a halogen atom.
ZA+ represents an organic cation. ]

III3で表されるハロゲン原子としては、フッ素原子、塩素原子、臭素原子及びヨウ素原子等が挙げられる。
III3で表されるハロゲン原子を有していてもよい炭素数1~6のアルキル基としては、Ra8で表されるハロゲン原子を有していてもよい炭素数1~6のアルキル基と同じものが挙げられる。
x1で表される炭素数1~8のアルカンジイル基としては、メチレン基、エチレン基、プロパン-1,3-ジイル基、ブタン-1,4-ジイル基、ペンタン-1,5-ジイル基、ヘキサン-1,6-ジイル基、エタン-1,1-ジイル基、プロパン-1,1-ジイル基、プロパン-1,2-ジイル基、プロパン-2,2-ジイル基、ペンタン-2,4-ジイル基、2-メチルプロパン-1,3-ジイル基、2-メチルプロパン-1,2-ジイル基、ペンタン-1,4-ジイル基、2-メチルブタン-1,4-ジイル基等が挙げられる。
X1において置換されていてもよい炭素数1~6のペルフルオロアルキル基としては、トリフルオロメチル基、ペルフルオロエチル基、ペルフルオロプロピル基、ペルフルオロイソプロピル基、ペルフルオロブチル基、ペルフルオロsec-ブチル基、ペルフルオロtert-ブチル基、ペルフルオロペンチル基、ペルフルオロヘキシル基等が挙げられる。
III3で表される炭素数1~18の2価の飽和炭化水素基としては、直鎖又は分岐状アルカンジイル基、単環式又は多環式の2価の脂環飽和炭化水素基が挙げられ、これらの組み合わせてあってもよい。
具体的には、メチレン基、エチレン基、プロパン-1,3-ジイル基、プロパン-1,2-ジイル基、ブタン-1,4-ジイル基、ペンタン-1,5-ジイル基、ヘキサン-1,6-ジイル基、ヘプタン-1,7-ジイル基、オクタン-1,8-ジイル基、ノナン-1,9-ジイル基、デカン-1,10-ジイル基、ウンデカン-1,11-ジイル基、ドデカン-1,12-ジイル基等の直鎖状アルカンジイル基;ブタン-1,3-ジイル基、2-メチルプロパン-1,3-ジイル基、2-メチルプロパン-1,2-ジイル基、ペンタン-1,4-ジイル基、2-メチルブタン-1,4-ジイル基等の分岐状アルカンジイル基;シクロブタン-1,3-ジイル基、シクロペンタン-1,3-ジイル基、シクロヘキサン-1,4-ジイル基、シクロオクタン-1,5-ジイル基等のシクロアルカンジイル基;ノルボルナン-1,4-ジイル基、ノルボルナン-2,5-ジイル基、アダマンタン-1,5-ジイル基、アダマンタン-2,6-ジイル基等の2価の多環式脂環式飽和炭化水素基等が挙げられる。
飽和炭化水素基に含まれる-CH-が、-O-、-S-又は-CO-で置き換わったものとしては、例えば式(X1)~式(X53)で表される2価の基が挙げられる。ただし、飽和炭化水素基に含まれる-CH-が、-O-、-S-又は-CO-で置き換わる前の炭素数はそれぞれ17以下である。下記式において、*及び**は結合部位を表し、*はAx1との結合部位を表す。

Figure 2023016037000140
Halogen atoms represented by RIII3 include fluorine, chlorine, bromine and iodine atoms.
The alkyl group having 1 to 6 carbon atoms and optionally having a halogen atom represented by RIII3 includes an alkyl group having 1 to 6 carbon atoms and optionally having a halogen atom represented by Ra8 . The same can be mentioned.
The alkanediyl group having 1 to 8 carbon atoms represented by Ax1 includes methylene group, ethylene group, propane-1,3-diyl group, butane-1,4-diyl group and pentane-1,5-diyl group. , hexane-1,6-diyl group, ethane-1,1-diyl group, propane-1,1-diyl group, propane-1,2-diyl group, propane-2,2-diyl group, pentane-2, 4-diyl group, 2-methylpropane-1,3-diyl group, 2-methylpropane-1,2-diyl group, pentane-1,4-diyl group, 2-methylbutane-1,4-diyl group, etc. mentioned.
The perfluoroalkyl group having 1 to 6 carbon atoms which may be substituted in AX1 includes a trifluoromethyl group, a perfluoroethyl group, a perfluoropropyl group, a perfluoroisopropyl group, a perfluorobutyl group, a perfluorosec-butyl group, and a perfluorotert -butyl group, perfluoropentyl group, perfluorohexyl group and the like.
Examples of the divalent saturated hydrocarbon group having 1 to 18 carbon atoms represented by XIII3 include a linear or branched alkanediyl group and a monocyclic or polycyclic divalent alicyclic saturated hydrocarbon group. and may be a combination of these.
Specifically, methylene group, ethylene group, propane-1,3-diyl group, propane-1,2-diyl group, butane-1,4-diyl group, pentane-1,5-diyl group, hexane-1 ,6-diyl group, heptane-1,7-diyl group, octane-1,8-diyl group, nonane-1,9-diyl group, decane-1,10-diyl group, undecane-1,11-diyl group , dodecane-1,12-diyl group and other linear alkanediyl groups; butane-1,3-diyl group, 2-methylpropane-1,3-diyl group, 2-methylpropane-1,2-diyl group , pentane-1,4-diyl group, 2-methylbutane-1,4-diyl group and other branched alkanediyl groups; cyclobutane-1,3-diyl group, cyclopentane-1,3-diyl group, cyclohexane-1 ,4-diyl group, cycloalkanediyl group such as cyclooctane-1,5-diyl group; norbornane-1,4-diyl group, norbornane-2,5-diyl group, adamantane-1,5-diyl group, adamantane Divalent polycyclic alicyclic saturated hydrocarbon groups such as -2,6-diyl group and the like can be mentioned.
Examples of saturated hydrocarbon groups in which —CH2 — is replaced with —O—, —S— or —CO— include divalent groups represented by formulas (X1) to (X53). mentioned. However, -CH2 - contained in the saturated hydrocarbon group has 17 or less carbon atoms before being replaced with -O-, -S- or -CO-. In the formula below, * and ** represent binding sites, and * represents a binding site withAx1 .
Figure 2023016037000140

3は、2価の炭素数1~16の飽和炭化水素基を表す。
4は、2価の炭素数1~15の飽和炭化水素基を表す。
5は、2価の炭素数1~13の飽和炭化水素基を表す。
6は、2価の炭素数1~14の飽和炭化水素基を表す。
7は、3価の炭素数1~14の飽和炭化水素基を表す。
8は、2価の炭素数1~13の飽和炭化水素基を表す。
X3 represents a divalent saturated hydrocarbon group having 1 to 16 carbon atoms.
X4 represents a divalent saturated hydrocarbon group having 1 to 15 carbon atoms.
X5 represents a divalent saturated hydrocarbon group having 1 to 13 carbon atoms.
X6 represents a divalent saturated hydrocarbon group having 1 to 14 carbon atoms.
X7 represents a trivalent saturated hydrocarbon group having 1 to 14 carbon atoms.
X8 represents a divalent saturated hydrocarbon group having 1 to 13 carbon atoms.

式(II-2-A’)中のZAは、式(B1)で表される塩におけるカチオンZ1と同様のものが挙げられる。ZA+ in formula (II-2-A′) includes the same cations as Z1+ in the salt represented by formula (B1).

式(II-2-A’)で表される構造単位は、式(II-2-A)で表される構造単位であることが好ましい。

Figure 2023016037000141
[式(II-2-A)中、
III3、XIII3及びZAは、上記と同じ意味を表す。
z2Aは、0~6のいずれかの整数を表す。
III2及びRIII4は、それぞれ独立して、水素原子、フッ素原子又は炭素数1~6のペルフルオロアルキル基を表し、z2Aが2以上のとき、複数のRIII2及びRIII4は互いに同一であってもよいし、異なっていてもよい。
及びQは、それぞれ独立して、フッ素原子又は炭素数1~6のペルフルオロアルキル基を表す。]
III2、RIII4、Q及びQで表される炭素数1~6のペルフルオロアルキル基としては、前述のQb1で表される炭素数1~6のペルフルオロアルキル基と同じものが挙げられる。The structural unit represented by formula (II-2-A') is preferably a structural unit represented by formula (II-2-A).
Figure 2023016037000141
[In the formula (II-2-A),
RIII3 , XIII3 and ZA+ have the same meanings as above.
z2A represents an integer of 0-6.
RIII2 and RIII4 each independently represent a hydrogen atom, a fluorine atom or a perfluoroalkyl group having 1 to 6 carbon atoms, and when z2A is 2 or more, a plurality of RIII2 and RIII4 are the same may be different.
Qa and Qb each independently represent a fluorine atom or a C 1-6 perfluoroalkyl group. ]
Examples of the perfluoroalkyl group having 1 to 6 carbon atoms represented by RIII2 , RIII4 , Qa and Qb include the same perfluoroalkyl groups having 1 to 6 carbon atoms represented by Qb1 described above. .

式(II-2-A)で表される構造単位は、式(II-2-A-1)で表される構造単位であることが好ましい。

Figure 2023016037000142
[式(II-2-A-1)中、
III2、RIII3、RIII4、Qa、Qb及びZAは、上記と同じ意味を表す。
III5は、炭素数1~12の飽和炭化水素基を表す。
z2A1は、0~6のいずれかの整数を表す。
I2は、炭素数1~11の2価の飽和炭化水素基を表し、該飽和炭化水素基に含まれる-CH-は、-O-、-S-又は-CO-に置き換わっていてもよく、該飽和炭化水素基に含まれる水素原子は、ハロゲン原子又はヒドロキシ基で置換されていてもよい。]
III5で表される炭素数1~12の飽和炭化水素基としては、メチル基、エチル基、プロピル基、イソプロピル基、ブチル基、sec-ブチル基、tert-ブチル基、ペンチル基、ヘキシル基、ヘプチル基、オクチル基、ノニル基、デシル基、ウンデシル基及びドデシル基等の直鎖又は分岐のアルキル基が挙げられる。
I2で表される2価の飽和炭化水素基としては、XIII3で表される2価の飽和炭化水素基と同様のものが挙げられる。The structural unit represented by formula (II-2-A) is preferably a structural unit represented by formula (II-2-A-1).
Figure 2023016037000142
[In formula (II-2-A-1),
RIII2 , RIII3 , RIII4 , Qa , Qb and ZA+ have the same meanings as above.
RIII5 represents a saturated hydrocarbon group having 1 to 12 carbon atoms.
z2A1 represents an integer of 0-6.
XI2 represents a divalent saturated hydrocarbon group having 1 to 11 carbon atoms, and —CH2 — contained in the saturated hydrocarbon group may be replaced with —O—, —S— or —CO—. A hydrogen atom contained in the saturated hydrocarbon group may be substituted with a halogen atom or a hydroxy group. ]
Examples of saturated hydrocarbon groups having 1 to 12 carbon atoms represented by RIII5 include methyl group, ethyl group, propyl group, isopropyl group, butyl group, sec-butyl group, tert-butyl group, pentyl group, hexyl group, Linear or branched alkyl groups such as heptyl group, octyl group, nonyl group, decyl group, undecyl group and dodecyl group can be mentioned.
The divalent saturated hydrocarbon group represented by XI2 includes the same divalent saturated hydrocarbon groups as those represented by XIII3 .

式(II-2-A-1)で表される構造単位としては、式(II-2-A-2)で表される構造単位が好ましい。

Figure 2023016037000143
[式(II-2-A-2)中、
III3、RIII5及びZAは、上記と同じ意味を表す。
m及びnAは、互いに独立に、1又は2を表す。]As the structural unit represented by formula (II-2-A-1), a structural unit represented by formula (II-2-A-2) is preferable.
Figure 2023016037000143
[In the formula (II-2-A-2),
RIII3 , RIII5 and ZA+ have the same meanings as above.
m and nA each independently represent 1 or 2; ]

式(II-2-A’)で表される構造単位としては、例えば、以下の構造単位、RIII3のメチル基に相当する基が水素原子、ハロゲン原子(例えば、フッ素原子)又はハロゲン原子を有していてもよい炭素数1~6のアルキル基(例えば、トリフルオロメチル基等)に置き換わった構造単位及び国際公開第2012/050015号記載の構造単位が挙げられる。ZAは、有機カチオンを表す。

Figure 2023016037000144
Structural units represented by formula (II-2-A′) include, for example, the following structural units in which a group corresponding to a methyl group in RIII3 is a hydrogen atom, a halogen atom (e.g., a fluorine atom) or a halogen atom Structural units substituted with an optionally substituted alkyl group having 1 to 6 carbon atoms (eg, trifluoromethyl group, etc.) and structural units described in WO 2012/050015 can be mentioned. ZA+ represents an organic cation.
Figure 2023016037000144

側鎖にスルホニオ基と有機アニオンとを有する構造単位は、式(II-1-1)で表される構造単位であることが好ましい。

Figure 2023016037000145
[式(II-1-1)中、
II1は、単結合又は2価の連結基を表す。
II1は、炭素数6~18の2価の芳香族炭化水素基を表す。
II2及びRII3は、それぞれ独立して、炭素数1~18の炭化水素基を表し、RII2及びRII3は互いに結合してそれらが結合する硫黄原子とともに環を形成していてもよい。
II4は、水素原子、ハロゲン原子又はハロゲン原子を有してもよい炭素数1~6のアルキル基を表す。
は、有機アニオンを表す。]
II1で表される炭素数6~18の2価の芳香族炭化水素基としては、フェニレン基及びナフチレン基等が挙げられる。
II2及びRII3で表される炭化水素基としては、アルキル基、脂環式炭化水素基、芳香族炭化水素基及びこれらを組み合わせることにより形成される基等が挙げられる。
アルキル基及び脂環式炭化水素基は、上記と同様のものが挙げられる。
芳香族炭化水素基としては、フェニル基、ナフチル基、アントリル基、ビフェニル基、フェナントリル基等のアリール基が挙げられる。
組み合わせた基としては、上述したアルキル基と脂環式炭化水素基とを組み合わせた基、ベンジル基等のアラルキル基、アルキル基を有する芳香族炭化水素基(p-メチルフェニル基、p-tert-ブチルフェニル基、トリル基、キシリル基、クメニル基、メシチル基、2,6-ジエチルフェニル基、2-メチル-6-エチルフェニル基等)、脂環式炭化水素基を有する芳香族炭化水素基(p-シクロヘキシルフェニル基、p-アダマンチルフェニル基等)、フェニルシクロヘキシル基等のアリール-シクロアルキル基等が挙げられる。
II4で表されるハロゲン原子としては、フッ素原子、塩素原子、臭素原子及びヨウ素原子等が挙げられる。
II4で表されるハロゲン原子を有していてもよい炭素数1~6のアルキル基としては、Ra8で表されるハロゲン原子を有していてもよい炭素数1~6のアルキル基と同じものが挙げられる。
II1で表される2価の連結基としては、例えば、炭素数1~18の2価の飽和炭化水素基が挙げられ、該2価の飽和炭化水素基に含まれる-CH-は、-O-、-S-又は-CO-で置き換わっていてもよい。具体的には、XIII3で表される炭素数1~18の2価の飽和炭化水素基と同じものが挙げられる。A structural unit having a sulfonio group and an organic anion in a side chain is preferably a structural unit represented by formula (II-1-1).
Figure 2023016037000145
[In the formula (II-1-1),
AII1 represents a single bond or a divalent linking group.
RII1 represents a divalent aromatic hydrocarbon group having 6 to 18 carbon atoms.
RII2 and RII3 each independently represent a hydrocarbon group having 1 to 18 carbon atoms, and RII2 and RII3 may be bonded to each other to form a ring together with the sulfur atom to which they are bonded.
RII4 represents a hydrogen atom, a halogen atom or an alkyl group having 1 to 6 carbon atoms which may have a halogen atom.
A represents an organic anion. ]
Examples of the divalent aromatic hydrocarbon group having 6 to 18 carbon atoms represented by RII1 include a phenylene group and a naphthylene group.
The hydrocarbon groups represented by RII2 and RII3 include alkyl groups, alicyclic hydrocarbon groups, aromatic hydrocarbon groups and groups formed by combining these groups.
Examples of the alkyl group and the alicyclic hydrocarbon group are the same as those described above.
Aromatic hydrocarbon groups include aryl groups such as phenyl, naphthyl, anthryl, biphenyl, and phenanthryl groups.
Examples of the combined group include a group obtained by combining an alkyl group and an alicyclic hydrocarbon group described above, an aralkyl group such as a benzyl group, an aromatic hydrocarbon group having an alkyl group (p-methylphenyl group, p-tert- butylphenyl group, tolyl group, xylyl group, cumenyl group, mesityl group, 2,6-diethylphenyl group, 2-methyl-6-ethylphenyl group, etc.), aromatic hydrocarbon groups having alicyclic hydrocarbon groups ( p-cyclohexylphenyl group, p-adamantylphenyl group, etc.), aryl-cycloalkyl groups such as phenylcyclohexyl group, and the like.
Halogen atoms represented byRII4 include fluorine, chlorine, bromine and iodine atoms.
The alkyl group having 1 to 6 carbon atoms which may have a halogen atom represented by RII4 includes an alkyl group having 1 to 6 carbon atoms which may have a halogen atom represented by Ra8 . The same can be mentioned.
The divalent linking group represented by AII1 includes, for example, a divalent saturated hydrocarbon group having 1 to 18 carbon atoms, and —CH2 — contained in the divalent saturated hydrocarbon group is -O-, -S- or -CO- may be substituted. Specific examples thereof include the same divalent saturated hydrocarbon groups having 1 to 18 carbon atoms represented by XIII3 .

式(II-1-1)中のカチオンを含む構造単位としては、以下で表される構造単位及びRII4のメチル基に相当する基が、水素原子、ハロゲン原子(例えば、フッ素原子)又はハロゲン原子を有していてもよい炭素数1~6のアルキル基(例えば、トリフルオロメチル基等)等に置き換わった構造単位などが挙げられる。

Figure 2023016037000146
As the structural unit containing a cation in formula (II-1-1), the structural unit represented below and a group corresponding to a methyl group in RII4 are a hydrogen atom, a halogen atom (e.g., a fluorine atom) or a halogen Structural units substituted with alkyl groups having 1 to 6 carbon atoms which may have atoms (eg, trifluoromethyl group, etc.) and the like can be mentioned.
Figure 2023016037000146

で表される有機アニオンとしては、スルホン酸アニオン、スルホニルイミドアニオン、スルホニルメチドアニオン及びカルボン酸アニオン等が挙げられる。Aで表される有機アニオンは、スルホン酸アニオンが好ましく、スルホン酸アニオンとしては、前述の式(B1)で表される塩に含まれるアニオンであることがより好ましい。スルホニルイミドアニオン及びスルホニルメチドアニオンは、前述の式(I)で表される塩に含まれるアニオンAIであることがより好ましい。
カルボン酸アニオンとしては、以下のものが挙げられる。

Figure 2023016037000147
Organic anions represented by A include sulfonate anions, sulfonylimide anions, sulfonylmethide anions and carboxylate anions. The organic anion represented by A is preferably a sulfonate anion, and the sulfonate anion is more preferably an anion contained in the salt represented by the above formula (B1). The sulfonylimide anion and the sulfonylmethide anion are more preferably the anion AI contained in the salt represented by formula (I) above.
Carboxylate anions include the following.
Figure 2023016037000147

式(II-1-1)で表される構造単位としては、以下で表される構造単位などが挙げられる。

Figure 2023016037000148
Examples of structural units represented by formula (II-1-1) include structural units represented below.
Figure 2023016037000148

樹脂(A)中に、構造単位(II)を含有する場合の構造単位(II)の含有率は、樹脂(A)の全構造単位に対して、好ましくは1~20モル%であり、より好ましくは2~15モル%であり、さらに好ましくは3~10モル%である。 When the resin (A) contains the structural unit (II), the content of the structural unit (II) is preferably 1 to 20 mol% of the total structural units of the resin (A), and more It is preferably 2 to 15 mol %, more preferably 3 to 10 mol %.

樹脂(A)は、好ましくは、構造単位(a1)と構造単位(s)とからなる樹脂、すなわち、モノマー(a1)とモノマー(s)との共重合体である。
構造単位(a1)は、好ましくは構造単位(a1-0)、構造単位(a1-1)及び構造単位(a1-2)(好ましくはシクロヘキシル基、又はシクロペンチル基を有する該構造単位)からなる群から選ばれる少なくとも一種であり、より好ましくは少なくとも二種であり、さらに好ましくは、構造単位(a1-1)及び構造単位(a1-2)からなる群から選ばれる少なくとも二種である。
構造単位(s)は、好ましくは構造単位(a2)及び構造単位(a3)からなる群から選ばれる少なくとも一種である。構造単位(a2)は、好ましくは構造単位(a2-1)又は構造単位(a2-A)である。構造単位(a3)は、好ましくは式(a3-1)で表される構造単位、式(a3-2)で表される構造単位及び式(a3-4)で表される構造単位からなる群から選ばれる少なくとも一種である。
樹脂(A)を構成する各構造単位は、1種のみ又は2種以上を組み合わせて用いてもよく、これら構造単位を導くモノマーを用いて、公知の重合法(例えばラジカル重合法)によって製造することができる。樹脂(A)が有する各構造単位の含有率は、重合に用いるモノマーの使用量で調整できる。
樹脂(A)の重量平均分子量は、好ましくは、2,000以上(より好ましくは2,500以上、さらに好ましくは3,000以上)、50,000以下(より好ましくは30,000以下、さらに好ましくは15,000以下)である。本明細書では、重量平均分子量は、ゲルパーミエーションクロマトグラフィーで実施例に記載の条件により求めた値である。
Resin (A) is preferably a resin composed of structural unit (a1) and structural unit (s), that is, a copolymer of monomer (a1) and monomer (s).
Structural unit (a1) is preferably a group consisting of structural unit (a1-0), structural unit (a1-1) and structural unit (a1-2) (preferably the structural unit having a cyclohexyl group or a cyclopentyl group) is at least one selected from, more preferably at least two, still more preferably at least two selected from the group consisting of the structural unit (a1-1) and the structural unit (a1-2).
Structural unit (s) is preferably at least one selected from the group consisting of structural unit (a2) and structural unit (a3). Structural unit (a2) is preferably structural unit (a2-1) or structural unit (a2-A). Structural unit (a3) is preferably a group consisting of a structural unit represented by formula (a3-1), a structural unit represented by formula (a3-2) and a structural unit represented by formula (a3-4) is at least one selected from
Each structural unit that constitutes the resin (A) may be used alone or in combination of two or more, and is produced by a known polymerization method (e.g., radical polymerization method) using a monomer that leads to these structural units. be able to. The content of each structural unit in the resin (A) can be adjusted by adjusting the amount of monomer used for polymerization.
The weight average molecular weight of the resin (A) is preferably 2,000 or more (more preferably 2,500 or more, still more preferably 3,000 or more) and 50,000 or less (more preferably 30,000 or less, further preferably is 15,000 or less). As used herein, the weight average molecular weight is a value obtained by gel permeation chromatography under the conditions described in Examples.

<樹脂(A)以外の樹脂>
本発明のレジスト組成物は、樹脂(A)以外の樹脂を併用してもよい。
樹脂(A)以外の樹脂としては、例えば、構造単位(a4)及び/又は構造単位(a5)を含有する樹脂(以下、樹脂(X)という場合がある)等が挙げられる。
樹脂(X)がさらに有していてもよい構造単位としては、構造単位(a2)、構造単位(a3)及びその他の公知のモノマーに由来する構造単位が挙げられる。中でも、樹脂(X)は、構造単位(a4)及び/又は構造単位(a5)のみからなる樹脂であることが好ましく、構造単位(a4)のみからなる樹脂であることがより好ましい。
樹脂(X)が構造単位(a4)を含む場合、樹脂(X)において、構造単位(a4)の含有率は、樹脂(X)の全構造単位の合計に対して、20モル%以上が挙げられ、30モル%以上が好ましく、40モル%以上がより好ましく、45モル%以上がさらに好ましい。また、100モル%以下が挙げられ、80モル%以下が好ましく、70モル%以下がより好ましく、60モル%以下がさらに好ましく、55モル%以下がより一層好ましい。具体的には、20~100モル%が挙げられ、20~80モル%が好ましく、30~70モル%がより好ましく、40~60モル%がさらに好ましく、45~55モル%がより一層好ましい。樹脂(X)が構造単位(a5)を含む場合、構造単位(a5)の含有率は、樹脂(X)の全構造単位の合計に対して、20モル%以上が挙げられ、30モル%以上が好ましく、40モル%以上がより好ましく、45モル%以上がさらに好ましい。また、100モル%以下が挙げられ、80モル%以下が好ましく、70モル%以下がより好ましく、60モル%以下がさらに好ましく、55モル%以下がより一層好ましい。具体的には、20~100モル%が挙げられ、20~80モル%が好ましく、30~70モル%がより好ましく、40~60モル%がさらに好ましく、45~55モル%がより一層好ましい。また、樹脂(X)が構造単位(a4)及び構造単位(a5)を含む場合、構造単位(a4)及び構造単位(a5)の合計含有率は、樹脂(X)の全構造単位の合計に対して、40モル%以上が挙げられ、60モル%以上が好ましく、70モル%以上がより好ましく、80モル%以上がさらに好ましい。また、100モル%以下が挙げられる。具体的には、40~100モル%が挙げられ、60~100モル%が好ましく、70~100モル%がより好ましく、80~100モル%がさらに好ましい。
樹脂(X)を構成する各構造単位は、1種のみ又は2種以上を組合せて用いてもよく、これら構造単位を誘導するモノマーを用いて、公知の重合法(例えばラジカル重合法)によって製造することができる。樹脂(X)が有する各構造単位の含有率は、重合に用いるモノマーの使用量で調整できる。
樹脂(X)の重量平均分子量は、好ましくは6,000以上(より好ましくは7,000以上)、80,000以下(より好ましくは60,000以下)である。樹脂(X)の重量平均分子量の測定手段は、樹脂(A)の場合と同様である。
<Resins other than resin (A)>
The resist composition of the present invention may be used in combination with a resin other than the resin (A).
Examples of resins other than resin (A) include resins containing structural units (a4) and/or structural units (a5) (hereinafter sometimes referred to as resin (X)).
Structural units that the resin (X) may further include structural units (a2), structural units (a3), and structural units derived from other known monomers. Among them, the resin (X) is preferably a resin consisting only of the structural unit (a4) and/or the structural unit (a5), more preferably a resin consisting only of the structural unit (a4).
When the resin (X) contains the structural unit (a4), the content of the structural unit (a4) in the resin (X) may be 20 mol% or more with respect to the total of all structural units in the resin (X). 30 mol % or more is preferable, 40 mol % or more is more preferable, and 45 mol % or more is even more preferable. Further, it is 100 mol % or less, preferably 80 mol % or less, more preferably 70 mol % or less, still more preferably 60 mol % or less, and even more preferably 55 mol % or less. Specifically, it is 20 to 100 mol%, preferably 20 to 80 mol%, more preferably 30 to 70 mol%, still more preferably 40 to 60 mol%, and even more preferably 45 to 55 mol%. When the resin (X) contains the structural unit (a5), the content of the structural unit (a5) may be 20 mol% or more, such as 30 mol% or more, based on the total of all structural units of the resin (X). is preferred, 40 mol % or more is more preferred, and 45 mol % or more is even more preferred. Further, it is 100 mol % or less, preferably 80 mol % or less, more preferably 70 mol % or less, still more preferably 60 mol % or less, and even more preferably 55 mol % or less. Specifically, it is 20 to 100 mol%, preferably 20 to 80 mol%, more preferably 30 to 70 mol%, still more preferably 40 to 60 mol%, and even more preferably 45 to 55 mol%. Further, when the resin (X) contains the structural unit (a4) and the structural unit (a5), the total content of the structural unit (a4) and the structural unit (a5) is the total of all structural units of the resin (X). On the other hand, 40 mol% or more is mentioned, preferably 60 mol% or more, more preferably 70 mol% or more, and even more preferably 80 mol% or more. Moreover, 100 mol% or less is mentioned. Specifically, it is 40 to 100 mol %, preferably 60 to 100 mol %, more preferably 70 to 100 mol %, even more preferably 80 to 100 mol %.
Each structural unit that constitutes the resin (X) may be used alone or in combination of two or more. Using a monomer that induces these structural units, the resin (X) is produced by a known polymerization method (e.g., radical polymerization method). can do. The content of each structural unit in the resin (X) can be adjusted by adjusting the amount of the monomer used for polymerization.
The weight average molecular weight of resin (X) is preferably 6,000 or more (more preferably 7,000 or more) and 80,000 or less (more preferably 60,000 or less). The means for measuring the weight-average molecular weight of resin (X) is the same as for resin (A).

本発明のレジスト組成物が、樹脂(X)を含む場合、その含有量は、樹脂(A)100質量部に対して、好ましくは1~60質量部であり、より好ましくは1~50質量部であり、さらに好ましくは1~40質量部であり、より一層好ましくは1~30質量部であり、さらに一層好ましくは1~8質量部である。 When the resist composition of the present invention contains resin (X), its content is preferably 1 to 60 parts by mass, more preferably 1 to 50 parts by mass, relative to 100 parts by mass of resin (A). , more preferably 1 to 40 parts by mass, still more preferably 1 to 30 parts by mass, and even more preferably 1 to 8 parts by mass.

レジスト組成物における樹脂(A)の含有率は、レジスト組成物の固形分に対して、80質量%以上99質量%以下であることが好ましく、90質量%以上99質量%以下がより好ましい。また、樹脂(A)以外の樹脂を含む場合は、樹脂(A)と樹脂(A)以外の樹脂との合計含有率は、レジスト組成物の固形分に対して、80質量%以上99質量%以下であることが好ましく、90質量%以上99質量%以下がより好ましい。レジスト組成物の固形分及びこれに対する樹脂の含有率は、液体クロマトグラフィー又はガスクロマトグラフィー等の公知の分析手段で測定することができる。 The content of the resin (A) in the resist composition is preferably 80% by mass or more and 99% by mass or less, more preferably 90% by mass or more and 99% by mass or less, relative to the solid content of the resist composition. Further, when a resin other than the resin (A) is included, the total content of the resin (A) and the resin other than the resin (A) is 80% by mass or more and 99% by mass with respect to the solid content of the resist composition. It is preferably less than or equal to 90% by mass or more, and more preferably 90% by mass or more and 99% by mass or less. The solid content and resin content of the resist composition can be measured by known analytical means such as liquid chromatography or gas chromatography.

<溶剤(E)>
溶剤(E)の含有率は、レジスト組成物中、通常90質量%以上99.9質量%以下であり、好ましくは92質量%以上99質量%以下であり、より好ましくは94質量%以上99質量%以下である。溶剤(E)の含有率は、例えば液体クロマトグラフィー又はガスクロマトグラフィー等の公知の分析手段で測定できる。
<Solvent (E)>
The content of the solvent (E) in the resist composition is usually 90% by mass or more and 99.9% by mass or less, preferably 92% by mass or more and 99% by mass or less, more preferably 94% by mass or more and 99% by mass. % or less. The content of the solvent (E) can be measured by known analytical means such as liquid chromatography or gas chromatography.

溶剤(E)としては、エチルセロソルブアセテート、メチルセロソルブアセテート及びプロピレングリコールモノメチルエーテルアセテート等のグリコールエーテルエステル類;プロピレングリコールモノメチルエーテル等のグリコールエーテル類;乳酸エチル、酢酸ブチル、酢酸アミル及びピルビン酸エチル等のエステル類;アセトン、メチルイソブチルケトン、2-ヘプタノン及びシクロヘキサノン等のケトン類;γ-ブチロラクトン等の環状エステル類;等を挙げることができる。溶剤(E)の1種を単独で使用してもよく、2種以上を使用してもよい。 Examples of the solvent (E) include glycol ether esters such as ethyl cellosolve acetate, methyl cellosolve acetate and propylene glycol monomethyl ether acetate; glycol ethers such as propylene glycol monomethyl ether; ethyl lactate, butyl acetate, amyl acetate and ethyl pyruvate; ketones such as acetone, methyl isobutyl ketone, 2-heptanone and cyclohexanone; cyclic esters such as γ-butyrolactone; One kind of the solvent (E) may be used alone, or two or more kinds may be used.

<クエンチャー(C)>
クエンチャー(C)としては、塩基性の含窒素有機化合物及び酸発生剤から発生する酸よりも酸性度の弱い酸を発生する塩が挙げられる。レジスト組成物がクエンチャー(C)を含有する場合、クエンチャー(C)の含有量は、レジスト組成物の固形分量を基準に、0.01~15質量%程度であることが好ましく、0.01~10質量%程度であることがより好ましく、0.1~8質量%程度であることがさらに好ましく、0.1~7質量%程度であることがさらにより好ましい。
塩基性の含窒素有機化合物としては、アミン及びアンモニウム塩が挙げられる。アミンとしては、脂肪族アミン及び芳香族アミンが挙げられる。脂肪族アミンとしては、第一級アミン、第二級アミン及び第三級アミンが挙げられる。
<Quencher (C)>
Examples of the quencher (C) include salts that generate acids weaker in acidity than those generated from basic nitrogen-containing organic compounds and acid generators. When the resist composition contains the quencher (C), the content of the quencher (C) is preferably about 0.01 to 15% by mass, based on the solid content of the resist composition. It is more preferably about 01 to 10% by mass, even more preferably about 0.1 to 8% by mass, even more preferably about 0.1 to 7% by mass.
Basic nitrogen-containing organic compounds include amines and ammonium salts. Amines include aliphatic amines and aromatic amines. Aliphatic amines include primary, secondary and tertiary amines.

アミンとしては、1-ナフチルアミン、2-ナフチルアミン、アニリン、ジイソプロピルアニリン、2-,3-又は4-メチルアニリン、4-ニトロアニリン、N-メチルアニリン、N,N-ジメチルアニリン、ジフェニルアミン、ヘキシルアミン、ヘプチルアミン、オクチルアミン、ノニルアミン、デシルアミン、ジブチルアミン、ジペンチルアミン、ジヘキシルアミン、ジヘプチルアミン、ジオクチルアミン、ジノニルアミン、ジデシルアミン、トリエチルアミン、トリメチルアミン、トリプロピルアミン、トリブチルアミン、トリペンチルアミン、トリヘキシルアミン、トリヘプチルアミン、トリオクチルアミン、トリノニルアミン、トリデシルアミン、メチルジブチルアミン、メチルジペンチルアミン、メチルジヘキシルアミン、メチルジシクロヘキシルアミン、メチルジヘプチルアミン、メチルジオクチルアミン、メチルジノニルアミン、メチルジデシルアミン、エチルジブチルアミン、エチルジペンチルアミン、エチルジヘキシルアミン、エチルジヘプチルアミン、エチルジオクチルアミン、エチルジノニルアミン、エチルジデシルアミン、ジシクロヘキシルメチルアミン、トリス〔2-(2-メトキシエトキシ)エチル〕アミン、トリイソプロパノールアミン、エチレンジアミン、テトラメチレンジアミン、ヘキサメチレンジアミン、4,4’-ジアミノ-1,2-ジフェニルエタン、4,4’-ジアミノ-3,3’-ジメチルジフェニルメタン、4,4’-ジアミノ-3,3’-ジエチルジフェニルメタン、2,2’-メチレンビスアニリン、イミダゾール、4-メチルイミダゾール、ピリジン、4-メチルピリジン、1,2-ジ(2-ピリジル)エタン、1,2-ジ(4-ピリジル)エタン、1,2-ジ(2-ピリジル)エテン、1,2-ジ(4-ピリジル)エテン、1,3-ジ(4-ピリジル)プロパン、1,2-ジ(4-ピリジルオキシ)エタン、ジ(2-ピリジル)ケトン、4,4’-ジピリジルスルフィド、4,4’-ジピリジルジスルフィド、2,2’-ジピリジルアミン、2,2’-ジピコリルアミン、ビピリジン等が挙げられ、好ましくはジイソプロピルアニリンが挙げられ、より好ましくは2,6-ジイソプロピルアニリンが挙げられる。 Amines include 1-naphthylamine, 2-naphthylamine, aniline, diisopropylaniline, 2-, 3- or 4-methylaniline, 4-nitroaniline, N-methylaniline, N,N-dimethylaniline, diphenylamine, hexylamine, heptylamine, octylamine, nonylamine, decylamine, dibutylamine, dipentylamine, dihexylamine, diheptylamine, dioctylamine, dinonylamine, didecylamine, triethylamine, trimethylamine, tripropylamine, tributylamine, tripentylamine, trihexylamine, tri heptylamine, trioctylamine, trinonylamine, tridecylamine, methyldibutylamine, methyldipentylamine, methyldihexylamine, methyldicyclohexylamine, methyldiheptylamine, methyldioctylamine, methyldinonylamine, methyldidecylamine, ethyldibutylamine, ethyldipentylamine, ethyldihexylamine, ethyldiheptylamine, ethyldioctylamine, ethyldinonylamine, ethyldidecylamine, dicyclohexylmethylamine, tris[2-(2-methoxyethoxy)ethyl]amine, tri isopropanolamine, ethylenediamine, tetramethylenediamine, hexamethylenediamine, 4,4'-diamino-1,2-diphenylethane, 4,4'-diamino-3,3'-dimethyldiphenylmethane, 4,4'-diamino-3 , 3′-diethyldiphenylmethane, 2,2′-methylenebisaniline, imidazole, 4-methylimidazole, pyridine, 4-methylpyridine, 1,2-di(2-pyridyl)ethane, 1,2-di(4- pyridyl)ethane, 1,2-di(2-pyridyl)ethene, 1,2-di(4-pyridyl)ethene, 1,3-di(4-pyridyl)propane, 1,2-di(4-pyridyloxy ) ethane, di(2-pyridyl) ketone, 4,4′-dipyridyl sulfide, 4,4′-dipyridyl disulfide, 2,2′-dipyridylamine, 2,2′-dipicolylamine, bipyridine and the like, Diisopropylaniline is preferred, and 2,6-diisopropylaniline is more preferred.

アンモニウム塩としては、テトラメチルアンモニウムヒドロキシド、テトライソプロピルアンモニウムヒドロキシド、テトラブチルアンモニウムヒドロキシド、テトラヘキシルアンモニウムヒドロキシド、テトラオクチルアンモニウムヒドロキシド、フェニルトリメチルアンモニウムヒドロキシド、3-(トリフルオロメチル)フェニルトリメチルアンモニウムヒドロキシド、テトラ-n-ブチルアンモニウムサリチラート及びコリン等が挙げられる。 Ammonium salts include tetramethylammonium hydroxide, tetraisopropylammonium hydroxide, tetrabutylammonium hydroxide, tetrahexylammonium hydroxide, tetraoctylammonium hydroxide, phenyltrimethylammonium hydroxide, 3-(trifluoromethyl)phenyltrimethyl ammonium hydroxide, tetra-n-butylammonium salicylate and choline;

酸発生剤から発生する酸よりも酸性度の弱い酸を発生する塩における酸性度は、酸解離定数(pKa)で示される。酸発生剤から発生する酸よりも酸性度の弱い酸を発生する塩は、該塩から発生する酸の酸解離定数が、通常-3<pKaの塩であり、好ましくは-1<pKa<7の塩であり、より好ましくは0<pKa<5の塩である。
酸発生剤から発生する酸よりも酸性度の弱い酸を発生する塩としては、下記式で表される塩、特開2015-147926号公報記載の式(D)で表される塩(以下、「弱酸分子内塩(D)」という場合がある。)、並びに特開2012-229206号公報、特開2012-6908号公報、特開2012-72109号公報、特開2011-39502号公報及び特開2011-191745号公報記載の塩が挙げられる。酸発生剤から発生する酸よりも酸性度の弱い酸を発生する塩は、好ましくは、酸発生剤から発生する酸よりも酸性度の弱いカルボン酸を発生する塩(カルボン酸アニオンを有する塩)であり、より好ましくは、弱酸分子内塩(D)であり、さらに好ましくは、弱酸分子内塩(D)のうち、カルボン酸アニオンが置換されたフェニル基を含むジフェニルヨードニウム塩である。

Figure 2023016037000149
The acidity of a salt that generates an acid that is weaker than the acid generated from the acid generator is indicated by the acid dissociation constant (pKa). The salt that generates an acid weaker in acidity than the acid generated from the acid generator is a salt having an acid dissociation constant of -3<pKa, preferably -1<pKa<7. and more preferably a salt with 0<pKa<5.
Examples of the salt that generates an acid weaker in acidity than the acid generated from the acid generator include salts represented by the following formula, and salts represented by the formula (D) described in JP-A-2015-147926 (hereinafter referred to as Sometimes referred to as "weak acid inner salt (D)"), and JP 2012-229206, JP 2012-6908, JP 2012-72109, JP 2011-39502 and patent Examples thereof include salts described in JP-A-2011-191745. The salt that generates an acid weaker in acidity than the acid generated by the acid generator is preferably a salt that generates a carboxylic acid that is weaker in acidity than the acid generated by the acid generator (a salt having a carboxylic acid anion). and more preferably a weak acid inner salt (D), and more preferably a diphenyl iodonium salt containing a phenyl group with a substituted carboxylate anion among the weak acid inner salts (D).
Figure 2023016037000149

弱酸分子内塩(D)としては、2つのフェニル基が結合したヨードニウムカチオンと、ヨードニウムカチオンに結合した2つのフェニル基のうち少なくとも一方のフェニル基に置換されたカルボン酸アニオンと、を有するジフェニルヨードニウム塩であることが好ましく、具体的には、以下の式で表される塩が挙げられる。 As the weak acid inner salt (D), diphenyliodonium having an iodonium cation to which two phenyl groups are bonded and a carboxylate anion substituted by at least one of the two phenyl groups bonded to the iodonium cation. Salts are preferred, and specific examples include salts represented by the following formulas.

Figure 2023016037000150
[式(D)中、
D1及びRD2は、それぞれ独立に、炭素数1~12の炭化水素基、炭素数1~6のアルコキシ基、炭素数2~7のアシル基、炭素数2~7のアシルオキシ基、炭素数2~7のアルコキシカルボニル基、ニトロ基又はハロゲン原子を表す。
m’及びn’は、それぞれ独立に、0~4のいずれかの整数を表し、m’が2以上の場合、複数のRD1は同一であっても異なってもよく、n’が2以上の場合、複数のRD2は同一であっても異なってもよい。]
D1及びRD2の炭化水素基としては、鎖式炭化水素基、脂環式炭化水素基、芳香族炭化水素基及びこれらを組み合わせることにより形成される基等が挙げられる。
鎖式炭化水素基としては、メチル基、エチル基、プロピル基、イソプロピル基、ブチル基、イソブチル基、tert-ブチル基、ペンチル基、ヘキシル基、ノニル基等のアルキル基が挙げられる。
脂環式炭化水素基としては、単環式及び多環式のいずれでもよく、飽和及び不飽和のいずれでもよい。シクロプロピル基、シクロブチル基、シクロペンチル基、シクロへキシル基、シクロノニル基、シクロドデシル基等のシクロアルキル基、ノルボニル基、アダマンチル基等が挙げられる。
芳香族炭化水素基としては、フェニル基、1-ナフチル基、2-ナフチル基、2-メチルフェニル基、3-メチルフェニル基、4-メチルフェニル基、4-エチルフェニル基、4-プロピルフェニル基、4-イソプロピルフェニル基、4-ブチルフェニル基、4-t-ブチルフェニル基、4-ヘキシルフェニル基、4-シクロヘキシルフェニル基、アントリル基、p-アダマンチルフェニル基、トリル基、キシリル基、クメニル基、メシチル基、ビフェニル基、フェナントリル基、2,6-ジエチルフェニル基、2-メチル-6-エチルフェニル基等のアリール基等が挙げられる。
これらを組み合わせることにより形成される基としては、アルキル-シクロアルキル基、シクロアルキル-アルキル基、アラルキル基(例えば、フェニルメチル基、1-フェニルエチル基、2-フェニルエチル基、1-フェニル-1-プロピル基、1-フェニル-2-プロピル基、2-フェニル-2-プロピル基、3-フェニル-1-プロピル基、4-フェニル-1-ブチル基、5-フェニル-1-ペンチル基、6-フェニル-1-ヘキシル基等)等が挙げられる。
アルコキシ基としては、メトキシ基、エトキシ基等が挙げられる。
アシル基としては、アセチル基、プロパノイル基、ベンゾイル基、シクロヘキサンカルボニル基等が挙げられる。
アシルオキシ基としては、上記アシル基にオキシ基(-O-)が結合した基等が挙げられる。
アルコキシカルボニル基としては、上記アルコキシ基にカルボニル基(-CO-)が結合した基等が挙げられる。
ハロゲン原子としては、フッ素原子、塩素原子、臭素原子等が挙げられる。
D1及びRD2は、それぞれ独立に、炭素数1~8のアルキル基、炭素数3~10のシクロアルキル基、炭素数1~6のアルコキシ基、炭素数2~4のアシル基、炭素数2~4のアシルオキシ基、炭素数2~4のアルコキシカルボニル基、ニトロ基又はハロゲン原子が好ましい。
m’及びn’は、それぞれ独立に、0~2のいずれかの整数であることが好ましく、0であることがより好ましい。m’が2以上の場合、複数のRD1は同一であっても異なってもよく、n’が2以上の場合、複数のRD2は同一であっても異なってもよい。
Figure 2023016037000150
[in formula (D),
RD1 and RD2 are each independently a hydrocarbon group having 1 to 12 carbon atoms, an alkoxy group having 1 to 6 carbon atoms, an acyl group having 2 to 7 carbon atoms, an acyloxy group having 2 to 7 carbon atoms, and a carbon number represents 2 to 7 alkoxycarbonyl groups, nitro groups or halogen atoms;
m' and n' each independently represent an integer of 0 to 4, and when m' is 2 or more, the plurality of RD1 may be the same or different, and n' is 2 or more , the plurality of RD2 may be the same or different. ]
Examples of hydrocarbon groups for RD1 and RD2 include chain hydrocarbon groups, alicyclic hydrocarbon groups, aromatic hydrocarbon groups, groups formed by combining these groups, and the like.
Chain hydrocarbon groups include alkyl groups such as methyl group, ethyl group, propyl group, isopropyl group, butyl group, isobutyl group, tert-butyl group, pentyl group, hexyl group and nonyl group.
The alicyclic hydrocarbon group may be monocyclic or polycyclic, and may be saturated or unsaturated. cycloalkyl groups such as cyclopropyl group, cyclobutyl group, cyclopentyl group, cyclohexyl group, cyclononyl group and cyclododecyl group; norbornyl group; adamantyl group;
Aromatic hydrocarbon groups include phenyl group, 1-naphthyl group, 2-naphthyl group, 2-methylphenyl group, 3-methylphenyl group, 4-methylphenyl group, 4-ethylphenyl group and 4-propylphenyl group. , 4-isopropylphenyl group, 4-butylphenyl group, 4-t-butylphenyl group, 4-hexylphenyl group, 4-cyclohexylphenyl group, anthryl group, p-adamantylphenyl group, tolyl group, xylyl group, cumenyl group , mesityl group, biphenyl group, phenanthryl group, 2,6-diethylphenyl group, 2-methyl-6-ethylphenyl group and the like.
Groups formed by combining these groups include alkyl-cycloalkyl groups, cycloalkyl-alkyl groups, aralkyl groups (e.g., phenylmethyl group, 1-phenylethyl group, 2-phenylethyl group, 1-phenyl-1 -propyl group, 1-phenyl-2-propyl group, 2-phenyl-2-propyl group, 3-phenyl-1-propyl group, 4-phenyl-1-butyl group, 5-phenyl-1-pentyl group, 6 -phenyl-1-hexyl group, etc.).
The alkoxy group includes a methoxy group, an ethoxy group, and the like.
The acyl group includes acetyl group, propanoyl group, benzoyl group, cyclohexanecarbonyl group and the like.
Examples of the acyloxy group include groups in which an oxy group (--O--) is bonded to the above acyl group.
Examples of the alkoxycarbonyl group include groups in which a carbonyl group (--CO--) is bonded to the above alkoxy group.
A fluorine atom, a chlorine atom, a bromine atom etc. are mentioned as a halogen atom.
RD1 and RD2 each independently represent an alkyl group having 1 to 8 carbon atoms, a cycloalkyl group having 3 to 10 carbon atoms, an alkoxy group having 1 to 6 carbon atoms, an acyl group having 2 to 4 carbon atoms, and an acyl group having 2 to 4 carbon atoms. Acyloxy groups having 2 to 4 carbon atoms, alkoxycarbonyl groups having 2 to 4 carbon atoms, nitro groups or halogen atoms are preferred.
Each of m' and n' is preferably an integer of 0 to 2, more preferably 0. When m' is 2 or more, multiple RD1 may be the same or different, and when n' is 2 or more, multiple RD2 may be the same or different.

より具体的には、以下の塩が挙げられる。

Figure 2023016037000151
More specific examples include the following salts.
Figure 2023016037000151

〈その他の成分〉
本発明のレジスト組成物は、必要に応じて、上述の成分以外の成分(以下「その他の成分(F)」という場合がある。)を含有していてもよい。その他の成分(F)に特に限定はなく、レジスト分野で公知の添加剤、例えば、増感剤、溶解抑止剤、界面活性剤、安定剤、染料等を利用できる。
<Other ingredients>
The resist composition of the present invention may optionally contain components other than the components described above (hereinafter sometimes referred to as "other components (F)"). Other components (F) are not particularly limited, and additives known in the field of resists, such as sensitizers, dissolution inhibitors, surfactants, stabilizers, dyes, etc., can be used.

〈レジスト組成物の調製〉
本発明のレジスト組成物は、塩(I)、樹脂(A)、並びに、必要に応じて、酸発生剤(B)、樹脂(A)以外の樹脂、溶剤(E)、クエンチャー(C)及びその他の成分(F)を混合することにより調製することができる。混合順は任意であり、特に限定されるものではない。混合する際の温度は、10~40℃から、樹脂等の種類や樹脂等の溶剤(E)に対する溶解度等に応じて適切な温度を選ぶことができる。混合時間は、混合温度に応じて、0.5~24時間の中から適切な時間を選ぶことができる。なお、混合手段も特に制限はなく、攪拌混合等を用いることができる。
各成分を混合した後は、孔径0.003~0.2μm程度のフィルターを用いてろ過することが好ましい。
<Preparation of resist composition>
The resist composition of the present invention comprises a salt (I), a resin (A), and, if necessary, an acid generator (B), a resin other than the resin (A), a solvent (E), and a quencher (C). and other components (F). The mixing order is arbitrary and not particularly limited. The temperature during mixing can be appropriately selected from 10 to 40° C. depending on the type of resin and the solubility of the resin in the solvent (E). An appropriate mixing time can be selected from 0.5 to 24 hours depending on the mixing temperature. The mixing means is also not particularly limited, and stirring and mixing can be used.
After mixing each component, it is preferable to filter using a filter having a pore size of about 0.003 to 0.2 μm.

〈レジストパターンの製造方法〉
本発明のレジストパターンの製造方法は、
(1)本発明のレジスト組成物を基板上に塗布する工程、
(2)塗布後の組成物を乾燥させて組成物層を形成する工程、
(3)組成物層に露光する工程、
(4)露光後の組成物層を加熱する工程、及び
(5)加熱後の組成物層を現像する工程を含む。
レジスト組成物を基板上に塗布するには、スピンコーター等、通常、用いられる装置によって行うことができる。基板としては、シリコンウェハ等の無機基板、表面にレジスト膜等が形成された有機基板等が挙げられる。レジスト組成物を塗布する前に、基板を洗浄してもよく、基板上に反射防止膜等が形成されていてもよい。
塗布後の組成物を乾燥することにより、溶剤を除去し、組成物層を形成する。乾燥は、例えば、ホットプレート等の加熱装置を用いて溶剤を蒸発させること(いわゆるプリベーク)により行うか、あるいは減圧装置を用いて行う。加熱温度は、50~200℃であることが好ましく、加熱時間は、10~180秒間であることが好ましい。また、減圧乾燥する際の圧力は、1~1.0×105Pa程度であることが好ましい。
得られた組成物層に、通常、露光機を用いて露光する。露光機は、液浸露光機であってもよい。露光光源としては、KrFエキシマレーザ(波長248nm)、ArFエキシマレーザ(波長193nm)、F2エキシマレーザ(波長157nm)のような紫外域のレーザ光を放射するもの、固体レーザ光源(YAG又は半導体レーザ等)からのレーザ光を波長変換して遠紫外域または真空紫外域の高調波レーザ光を放射するもの、電子線や、超紫外光(EUV)を照射するもの等、種々のものを用いることができる。尚、本明細書において、これらの放射線を照射することを総称して「露光」という場合がある。露光の際、通常、求められるパターンに相当するマスクを介して露光が行われる。露光光源が電子線の場合は、マスクを用いずに直接描画により露光してもよい。
露光後の組成物層を、酸不安定基における脱保護反応を促進するために加熱処理(いわゆるポストエキスポジャーベーク)を行う。加熱温度は、通常50~200℃程度、好ましくは70~150℃程度である。加熱後の組成物の表面側にある樹脂の親水性又は疎水性を調整する化学処理(シリル化)を行ってもよい。また、現像を行う前に、露光後の組成物層上に、レジスト組成物の塗布、乾燥、露光、加熱の工程を繰り返し行ってもよい。
加熱後の組成物層を、通常、現像装置を用いて、現像液を利用して現像する。現像方法としては、ディップ法、パドル法、スプレー法、ダイナミックディスペンス法等が挙げられる。現像温度は、例えば、5~60℃であることが好ましく、現像時間は、例えば、5~300秒間であることが好ましい。現像液の種類を以下のとおりに選択することにより、ポジ型レジストパターン又はネガ型レジストパターンを製造できる。
本発明のレジスト組成物からポジ型レジストパターンを製造する場合は、現像液としてアルカリ現像液を用いる。アルカリ現像液は、この分野で用いられる各種のアルカリ性水溶液であればよい。例えば、テトラメチルアンモニウムヒドロキシドや(2-ヒドロキシエチル)トリメチルアンモニウムヒドロキシド(通称コリン)の水溶液等が挙げられる。アルカリ現像液には、界面活性剤が含まれていてもよい。
現像後レジストパターンを超純水で洗浄し、次いで、基板及びパターン上に残った水を除去することが好ましい。
本発明のレジスト組成物からネガ型レジストパターンを製造する場合は、現像液として有機溶剤を含む現像液(以下「有機系現像液」という場合がある)を用いる。
有機系現像液に含まれる有機溶剤としては、2-ヘキサノン、2-ヘプタノン等のケトン溶剤;プロピレングリコールモノメチルエーテルアセテート等のグリコールエーテルエステル溶剤;酢酸ブチル等のエステル溶剤;プロピレングリコールモノメチルエーテル等のグリコールエーテル溶剤;N,N-ジメチルアセトアミド等のアミド溶剤;アニソール等の芳香族炭化水素溶剤等が挙げられる。
有機系現像液中、有機溶剤の含有率は、90質量%以上100質量%以下が好ましく、95質量%以上100質量%以下がより好ましく、実質的に有機溶剤のみであることがさらに好ましい。
中でも、有機系現像液としては、酢酸ブチル及び/又は2-ヘプタノンを含む現像液が好ましい。有機系現像液中、酢酸ブチル及び2-ヘプタノンの合計含有率は、50質量%以上100質量%以下が好ましく、90質量%以上100質量%以下がより好ましく、実質的に酢酸ブチル及び/又は2-ヘプタノンのみであることがさらに好ましい。
有機系現像液には、界面活性剤が含まれていてもよい。また、有機系現像液には、微量の水分が含まれていてもよい。
現像の際、有機系現像液とは異なる種類の溶剤に置換することにより、現像を停止してもよい。
現像後のレジストパターンをリンス液で洗浄することが好ましい。リンス液としては、レジストパターンを溶解しないものであれば特に制限はなく、一般的な有機溶剤を含む溶液を使用することができ、好ましくはアルコール溶剤又はエステル溶剤である。
洗浄後は、基板及びパターン上に残ったリンス液を除去することが好ましい。
<Method for producing resist pattern>
The method for producing a resist pattern of the present invention comprises:
(1) a step of applying the resist composition of the present invention onto a substrate;
(2) a step of drying the applied composition to form a composition layer;
(3) exposing the composition layer;
(4) heating the exposed composition layer; and (5) developing the heated composition layer.
The coating of the resist composition on the substrate can be carried out using a commonly used device such as a spin coater. Examples of the substrate include an inorganic substrate such as a silicon wafer and an organic substrate having a resist film or the like formed on the surface thereof. Before applying the resist composition, the substrate may be washed, and an antireflection film or the like may be formed on the substrate.
By drying the applied composition, the solvent is removed and a composition layer is formed. Drying is carried out, for example, by evaporating the solvent using a heating device such as a hot plate (so-called pre-baking), or by using a decompression device. The heating temperature is preferably 50 to 200° C., and the heating time is preferably 10 to 180 seconds. Moreover, the pressure for drying under reduced pressure is preferably about 1 to 1.0×105 Pa.
The resulting composition layer is usually exposed using an exposure machine. The exposure machine may be an immersion exposure machine. As the exposure light source, a KrF excimer laser (wavelength: 248 nm), an ArF excimer laser (wavelength: 193 nm), an F2 excimer laser( wavelength: 157 nm) that emits a laser beam in the ultraviolet region, a solid-state laser source (YAG or semiconductor laser etc.) and emits harmonic laser light in the far ultraviolet region or vacuum ultraviolet region by wavelength conversion, electron beam, and extreme ultraviolet light (EUV). can be done. In the present specification, these irradiations with radiation may be collectively referred to as "exposure". During exposure, exposure is usually performed through a mask corresponding to the desired pattern. When the exposure light source is an electron beam, exposure may be performed by direct drawing without using a mask.
The exposed composition layer is subjected to a heat treatment (so-called post-exposure bake) in order to promote the deprotection reaction at the acid-labile groups. The heating temperature is usually about 50 to 200°C, preferably about 70 to 150°C. A chemical treatment (silylation) may be performed to adjust the hydrophilicity or hydrophobicity of the resin on the surface side of the composition after heating. Moreover, before the development, the steps of applying a resist composition, drying, exposing, and heating may be repeatedly performed on the exposed composition layer.
The composition layer after heating is usually developed using a developer using a developing device. The developing method includes a dipping method, a paddle method, a spraying method, a dynamic dispensing method, and the like. The development temperature is preferably, for example, 5 to 60° C., and the development time is preferably, for example, 5 to 300 seconds. A positive resist pattern or a negative resist pattern can be produced by selecting the type of developer as follows.
When producing a positive resist pattern from the resist composition of the present invention, an alkaline developer is used as the developer. The alkaline developer may be any of various alkaline aqueous solutions used in this field. Examples thereof include aqueous solutions of tetramethylammonium hydroxide and (2-hydroxyethyl)trimethylammonium hydroxide (commonly known as choline). The alkaline developer may contain a surfactant.
After development, the resist pattern is preferably washed with ultrapure water, and then water remaining on the substrate and pattern is removed.
When producing a negative resist pattern from the resist composition of the present invention, a developer containing an organic solvent (hereinafter sometimes referred to as "organic developer") is used as the developer.
Examples of organic solvents contained in the organic developer include ketone solvents such as 2-hexanone and 2-heptanone; glycol ether ester solvents such as propylene glycol monomethyl ether acetate; ester solvents such as butyl acetate; glycols such as propylene glycol monomethyl ether. ether solvents; amide solvents such as N,N-dimethylacetamide; aromatic hydrocarbon solvents such as anisole;
The content of the organic solvent in the organic developer is preferably 90% by mass or more and 100% by mass or less, more preferably 95% by mass or more and 100% by mass or less, and still more preferably substantially only the organic solvent.
Among them, as the organic developer, a developer containing butyl acetate and/or 2-heptanone is preferable. The total content of butyl acetate and 2-heptanone in the organic developer is preferably 50% by mass or more and 100% by mass or less, more preferably 90% by mass or more and 100% by mass or less, and substantially contains butyl acetate and/or 2-heptanone. - more preferably only heptanone.
The organic developer may contain a surfactant. In addition, the organic developer may contain a trace amount of water.
During development, the development may be stopped by replacing the organic developer with a solvent of a different type.
It is preferable to wash the resist pattern after development with a rinsing liquid. The rinse liquid is not particularly limited as long as it does not dissolve the resist pattern, and a solution containing a common organic solvent can be used, preferably an alcohol solvent or an ester solvent.
After cleaning, it is preferable to remove the rinse liquid remaining on the substrate and pattern.

〈用途〉
本発明のレジスト組成物は、KrFエキシマレーザ露光用のレジスト組成物、ArFエキシマレーザ露光用のレジスト組成物、電子線(EB)露光用のレジスト組成物又はEUV露光用のレジスト組成物、特に電子線(EB)露光用のレジスト組成物又はEUV露光用のレジスト組成物として好適であり、半導体の微細加工に有用である。
<Application>
The resist composition of the present invention is a resist composition for KrF excimer laser exposure, a resist composition for ArF excimer laser exposure, a resist composition for electron beam (EB) exposure or a resist composition for EUV exposure. It is suitable as a resist composition for line (EB) exposure or as a resist composition for EUV exposure, and is useful for microfabrication of semiconductors.

実施例を挙げて、本発明をさらに具体的に説明する。例中、含有量ないし使用量を表す「%」及び「部」は、特記しないかぎり質量基準である。
重量平均分子量は、ゲルパーミュエーションクロマトグラフィーにより求めた値である。なお、ゲルパーミュエーションクロマトグラフィーの分析条件は下記のとおりである。
カラム:TSKgel Multipore HXL-M x 3+guardcolumn(東ソー社製)
溶離液:テトラヒドロフラン
流量:1.0mL/min
検出器:RI検出器
カラム温度:40℃
注入量:100μl
分子量標準:標準ポリスチレン(東ソー社製)
化合物の構造は、質量分析(LCはAgilent製1100型、MASSはAgilent製LC/MSD型)を用い、分子イオンピークを測定することで確認した。以下の実施例ではこの分子イオンピークの値を「MASS」で示す。
EXAMPLES The present invention will be described more specifically with reference to examples. In the examples, "%" and "parts" representing the content or amount used are based on mass unless otherwise specified.
A weight average molecular weight is the value calculated|required by the gel permeation chromatography. The analysis conditions for gel permeation chromatography are as follows.
Column: TSKgel Multipore HXL-M x 3+guardcolumn (manufactured by Tosoh Corporation)
Eluent: Tetrahydrofuran Flow rate: 1.0 mL/min
Detector: RI detector Column temperature: 40℃
Injection volume: 100 μl
Molecular weight standard: Standard polystyrene (manufactured by Tosoh Corporation)
The structure of the compound was confirmed by measuring the molecular ion peak using mass spectrometry (LC: Agilent Model 1100, MASS: Agilent Model LC/MSD). In the following examples, the value of this molecular ion peak is indicated by "MASS".

実施例1:式(I-8)で表される塩の合成

Figure 2023016037000152
式(I-8-a)で表される化合物22.55部、式(I-8-c)で表される化合物4.56部、酢酸エチル150部及びテトラヒドロフラン15部を混合し、23℃で30分間攪拌した。得られた混合溶液に、式(I-8-b)で表される化合物13.10部を添加し、23℃で18時間攪拌した。得られた反応マスに、n-ヘプタン50部及びイオン交換水70部を加えて23℃で30分間攪拌した後、分液して有機層を取り出した。回収された有機層にイオン交換水70部を加えて23℃で30分間攪拌した後、分液して有機層を取り出した。この水洗操作を4回繰り返した。得られた有機層を濃縮し、濃縮マスをカラム(シリカゲル60N(球状、中性)100-210μm;関東化学(株)製、展開溶媒:n-ヘプタン/酢酸エチル=1/1)分取することにより、式(I-8-d)で表される化合物8.91部を得た。
Figure 2023016037000153
式(I-8-d)で表される化合物1.02部及びテトラヒドロフラン10部を混合し、23℃で30分間攪拌した後、5℃まで冷却し、水素化ナトリウム0.14部を添加した。得られた混合物に、式(I-8-e)で表される塩1.81部を添加し、5℃で3時間撹拌した。得られた混合物に、1N塩酸6.30部を加えた後、23℃まで昇温し、23℃で6時間攪拌した。得られた混合物に、クロロホルム30部及びイオン交換水15部を添加し、23℃で30分間攪拌した後、分液して有機層を取り出した。得られた有機層を濃縮した後、濃縮残渣に、アセトニトリル1部及びtert-ブチルメチルエーテル30部を加えて、23℃で30分間攪拌した後、上澄み液を除去し、濃縮することにより、式(I-8-f)で表される塩1.49部を得た。
Figure 2023016037000154
式(I-8-f)で表される塩0.98部及びジメチルホルムアミド30部を混合し、23℃で30分間攪拌した後、炭酸カリウム0.16部及びヨウ化カリウム0.05部を添加し、75℃まで昇温した。得られた混合物に、式(I-8-g)で表される化合物0.90部を添加し、75℃で5時間撹拌した後、23℃まで冷却した。得られた混合物に、クロロホルム50部及び5%シュウ酸水溶液20部を加えて23℃で30分間攪拌した後、分液して有機層を取り出した。得られた有機層に、イオン交換水20部を添加し、23℃で30分間攪拌した後、分液して有機層を取り出した。この水洗操作を5回繰り返した。得られた有機層を濃縮することにより、式(I-8-h)で表される塩1.11部を得た。
Figure 2023016037000155
式(I-8-h)で表される塩0.92部、式(I-8-i)で表される塩1.02部、クロロホルム30部及び酢酸エチル15部を混合し、23℃で2時間攪拌した。得られた混合物に、イオン交換水20部を加えて23℃で30分間攪拌した後、分液して有機層を取り出した。この水洗操作を5回繰り返した。得られた有機層を濃縮し、濃縮残渣に、tert-ブチルメチルエーテル30部を加えて、23℃で30分間攪拌した後、上澄み液を除去し、濃縮することにより、式(I-8)で表される塩1.35部を得た。
MASS(ESI(+)Spectrum):M 541.1
MASS(ESI(-)Spectrum):M 517.1Example 1: Synthesis of salt represented by formula (I-8)
Figure 2023016037000152
22.55 parts of the compound represented by the formula (I-8-a), 4.56 parts of the compound represented by the formula (I-8-c), 150 parts of ethyl acetate and 15 parts of tetrahydrofuran were mixed and heated to 23°C. and stirred for 30 minutes. 13.10 parts of the compound represented by the formula (I-8-b) was added to the obtained mixed solution, and the mixture was stirred at 23° C. for 18 hours. 50 parts of n-heptane and 70 parts of ion-exchanged water were added to the resulting reaction mass, and the mixture was stirred at 23° C. for 30 minutes. After adding 70 parts of ion-exchanged water to the recovered organic layer and stirring at 23° C. for 30 minutes, the organic layer was taken out by liquid separation. This washing operation was repeated four times. The obtained organic layer is concentrated, and the concentrated mass is collected by column (silica gel 60N (spherical, neutral) 100-210 μm; manufactured by Kanto Chemical Co., Ltd., developing solvent: n-heptane/ethyl acetate=1/1). As a result, 8.91 parts of the compound represented by formula (I-8-d) was obtained.
Figure 2023016037000153
1.02 parts of the compound represented by the formula (I-8-d) and 10 parts of tetrahydrofuran were mixed, stirred at 23°C for 30 minutes, cooled to 5°C, and 0.14 parts of sodium hydride was added. . To the resulting mixture, 1.81 parts of the salt represented by formula (I-8-e) was added and stirred at 5°C for 3 hours. After adding 6.30 parts of 1N hydrochloric acid to the obtained mixture, the temperature was raised to 23° C. and the mixture was stirred at 23° C. for 6 hours. 30 parts of chloroform and 15 parts of ion-exchanged water were added to the obtained mixture, and the mixture was stirred at 23° C. for 30 minutes, and then separated to obtain an organic layer. After concentrating the obtained organic layer, 1 part of acetonitrile and 30 parts of tert-butyl methyl ether were added to the concentration residue and stirred at 23° C. for 30 minutes. 1.49 parts of the salt represented by (I-8-f) was obtained.
Figure 2023016037000154
After mixing 0.98 parts of the salt represented by the formula (I-8-f) and 30 parts of dimethylformamide and stirring at 23° C. for 30 minutes, 0.16 parts of potassium carbonate and 0.05 parts of potassium iodide are added. was added and the temperature was raised to 75°C. To the obtained mixture, 0.90 parts of the compound represented by the formula (I-8-g) was added, stirred at 75°C for 5 hours, and then cooled to 23°C. 50 parts of chloroform and 20 parts of a 5% aqueous oxalic acid solution were added to the obtained mixture, and the mixture was stirred at 23° C. for 30 minutes. After adding 20 parts of ion-exchanged water to the obtained organic layer and stirring at 23° C. for 30 minutes, the liquid was separated and the organic layer was taken out. This washing operation was repeated 5 times. By concentrating the obtained organic layer, 1.11 parts of the salt represented by the formula (I-8-h) was obtained.
Figure 2023016037000155
0.92 parts of the salt represented by the formula (I-8-h), 1.02 parts of the salt represented by the formula (I-8-i), 30 parts of chloroform and 15 parts of ethyl acetate were mixed and heated to 23°C. and stirred for 2 hours. After adding 20 parts of ion-exchanged water to the resulting mixture and stirring at 23° C. for 30 minutes, the mixture was separated and the organic layer was taken out. This washing operation was repeated 5 times. The resulting organic layer is concentrated, 30 parts of tert-butyl methyl ether is added to the concentrated residue, and the mixture is stirred at 23° C. for 30 minutes. 1.35 parts of the salt of the formula are obtained.
MASS (ESI (+) Spectrum): M+ 541.1
MASS (ESI (-) Spectrum): M- 517.1

実施例2:式(I-16)で表される塩の合成

Figure 2023016037000156
式(I-8-h)で表される塩0.92部、式(I-16-i)で表される塩0.91部、クロロホルム30部及び酢酸エチル15部を混合し、23℃で2時間攪拌した。得られた混合物に、イオン交換水20部を加えて23℃で30分間攪拌した後、分液して有機層を取り出した。この水洗操作を5回繰り返した。得られた有機層を濃縮し、濃縮残渣に、tert-ブチルメチルエーテル30部を加えて、23℃で30分間攪拌した後、上澄み液を除去し、濃縮することにより、式(I-16)で表される塩1.36部を得た。
MASS(ESI(+)Spectrum):M 541.1
MASS(ESI(-)Spectrum):M 467.1Example 2: Synthesis of salt represented by formula (I-16)
Figure 2023016037000156
0.92 parts of the salt represented by the formula (I-8-h), 0.91 parts of the salt represented by the formula (I-16-i), 30 parts of chloroform and 15 parts of ethyl acetate were mixed and heated to 23°C. and stirred for 2 hours. After adding 20 parts of ion-exchanged water to the resulting mixture and stirring at 23° C. for 30 minutes, the mixture was separated and the organic layer was taken out. This washing operation was repeated 5 times. The obtained organic layer is concentrated, 30 parts of tert-butyl methyl ether is added to the concentrated residue, and the mixture is stirred at 23° C. for 30 minutes. 1.36 parts of the salt represented by are obtained.
MASS (ESI (+) Spectrum): M+ 541.1
MASS (ESI (-) Spectrum): M- 467.1

実施例3:式(I-4)で表される塩の合成

Figure 2023016037000157
式(I-8-h)で表される塩0.92部、式(I-4-i)で表される塩0.66部、クロロホルム30部及び酢酸エチル15部を混合し、23℃で2時間攪拌した。得られた混合物に、イオン交換水20部を加えて23℃で30分間攪拌した後、分液して有機層を取り出した。この水洗操作を5回繰り返した。得られた有機層を濃縮し、濃縮残渣に、tert-ブチルメチルエーテル30部を加えて、23℃で30分間攪拌した後、上澄み液を除去し、濃縮することにより、式(I-4)で表される塩1.18部を得た。Example 3: Synthesis of salt represented by formula (I-4)
Figure 2023016037000157
0.92 parts of the salt represented by the formula (I-8-h), 0.66 parts of the salt represented by the formula (I-4-i), 30 parts of chloroform and 15 parts of ethyl acetate were mixed and heated to 23°C. and stirred for 2 hours. After adding 20 parts of ion-exchanged water to the resulting mixture and stirring at 23° C. for 30 minutes, the mixture was separated and the organic layer was taken out. This washing operation was repeated 5 times. The resulting organic layer is concentrated, 30 parts of tert-butyl methyl ether is added to the concentrated residue, and the mixture is stirred at 23° C. for 30 minutes. 1.18 parts of the salt of the formula are obtained.

MASS(ESI(+)Spectrum):M 541.1
MASS(ESI(-)Spectrum):M 311.0
MASS (ESI (+) Spectrum): M+ 541.1
MASS (ESI (-) Spectrum): M- 311.0

実施例4:式(I-2)で表される塩の合成

Figure 2023016037000158
式(I-8-h)で表される塩0.92部、式(I-2-i)で表される塩0.71部、クロロホルム30部及び酢酸エチル15部を混合し、23℃で2時間攪拌した。得られた混合物に、イオン交換水20部を加えて23℃で30分間攪拌した後、分液して有機層を取り出した。この水洗操作を5回繰り返した。得られた有機層を濃縮し、濃縮残渣に、tert-ブチルメチルエーテル30部を加えて、23℃で30分間攪拌した後、上澄み液を除去し、濃縮することにより、式(I-2)で表される塩1.23部を得た。
MASS(ESI(+)Spectrum):M 541.1
MASS(ESI(-)Spectrum):M 339.1Example 4: Synthesis of salt represented by formula (I-2)
Figure 2023016037000158
0.92 parts of the salt represented by the formula (I-8-h), 0.71 parts of the salt represented by the formula (I-2-i), 30 parts of chloroform and 15 parts of ethyl acetate were mixed and heated to 23°C. and stirred for 2 hours. After adding 20 parts of ion-exchanged water to the resulting mixture and stirring at 23° C. for 30 minutes, the mixture was separated and the organic layer was taken out. This washing operation was repeated 5 times. The obtained organic layer is concentrated, 30 parts of tert-butyl methyl ether is added to the concentrated residue, and after stirring at 23° C. for 30 minutes, the supernatant is removed and concentrated to obtain formula (I-2). 1.23 parts of the salt of the formula are obtained.
MASS (ESI (+) Spectrum): M+ 541.1
MASS (ESI (-) Spectrum): M- 339.1

実施例5:式(I-510)で表される塩の合成

Figure 2023016037000159
式(I-8-d)で表される化合物1.02部及びテトラヒドロフラン10部を混合し、23℃で30分間攪拌した後、5℃まで冷却し、水素化ナトリウム0.14部を添加した。得られた混合物に、式(I-510-e)で表される塩2.59部を添加し、5℃で3時間撹拌した。得られた混合物に、1N塩酸6.30部を加えた後、23℃まで昇温し、23℃で6時間攪拌した。得られた混合物に、クロロホルム30部及びイオン交換水15部を添加し、23℃で30分間攪拌した後、分液して有機層を取り出した。得られた有機層を濃縮した後、濃縮残渣に、tert-ブチルメチルエーテル30部を加えて、23℃で30分間攪拌した後、上澄み液を除去し、濃縮することにより、式(I-510-f)で表される塩1.88部を得た。
Figure 2023016037000160
式(I-510-f)で表される塩1.30部及びジメチルホルムアミド30部を混合し、23℃で30分間攪拌した後、炭酸カリウム0.16部及びヨウ化カリウム0.05部を添加し、75℃まで昇温した。得られた混合物に、式(I-8-g)で表される化合物0.90部を添加し、75℃で5時間撹拌した後、23℃まで冷却した。得られた混合物に、クロロホルム50部及び5%シュウ酸水溶液20部を加えて23℃で30分間攪拌した後、分液して有機層を取り出した。得られた有機層に、イオン交換水20部を添加し、23℃で30分間攪拌した後、分液して有機層を取り出した。この水洗操作を5回繰り返した。得られた有機層を濃縮することにより、式(I-510-h)で表される塩1.55部を得た。
Figure 2023016037000161
式(I-510-h)で表される塩1.14部、式(I-16-i)で表される塩0.91部、クロロホルム30部及び酢酸エチル15部を混合し、23℃で2時間攪拌した。得られた混合物に、イオン交換水20部を加えて23℃で30分間攪拌した後、分液して有機層を取り出した。この水洗操作を5回繰り返した。。得られた有機層を濃縮した後、濃縮残渣に、tert-ブチルメチルエーテル30部を加えて、23℃で30分間攪拌した後、上澄み液を除去し、濃縮することにより、式(I-510)で表される塩1.56部を得た。
MASS(ESI(+)Spectrum):M 677.1
MASS(ESI(-)Spectrum):M 467.1Example 5: Synthesis of salt represented by formula (I-510)
Figure 2023016037000159
1.02 parts of the compound represented by the formula (I-8-d) and 10 parts of tetrahydrofuran were mixed, stirred at 23°C for 30 minutes, cooled to 5°C, and 0.14 parts of sodium hydride was added. . To the resulting mixture, 2.59 parts of the salt represented by the formula (I-510-e) was added and stirred at 5°C for 3 hours. After adding 6.30 parts of 1N hydrochloric acid to the obtained mixture, the temperature was raised to 23° C. and the mixture was stirred at 23° C. for 6 hours. 30 parts of chloroform and 15 parts of ion-exchanged water were added to the obtained mixture, and the mixture was stirred at 23° C. for 30 minutes, and then separated to obtain an organic layer. After concentrating the obtained organic layer, 30 parts of tert-butyl methyl ether was added to the concentrated residue and stirred at 23° C. for 30 minutes. 1.88 parts of the salt represented by -f) are obtained.
Figure 2023016037000160
After mixing 1.30 parts of the salt represented by the formula (I-510-f) and 30 parts of dimethylformamide and stirring at 23° C. for 30 minutes, 0.16 parts of potassium carbonate and 0.05 parts of potassium iodide were added. was added and the temperature was raised to 75°C. To the obtained mixture, 0.90 parts of the compound represented by the formula (I-8-g) was added, stirred at 75°C for 5 hours, and then cooled to 23°C. After adding 50 parts of chloroform and 20 parts of a 5% aqueous oxalic acid solution to the obtained mixture and stirring at 23° C. for 30 minutes, the mixture was separated and the organic layer was taken out. After adding 20 parts of ion-exchanged water to the obtained organic layer and stirring at 23° C. for 30 minutes, the liquid was separated and the organic layer was taken out. This washing operation was repeated 5 times. By concentrating the obtained organic layer, 1.55 parts of the salt represented by the formula (I-510-h) was obtained.
Figure 2023016037000161
1.14 parts of the salt represented by the formula (I-510-h), 0.91 parts of the salt represented by the formula (I-16-i), 30 parts of chloroform and 15 parts of ethyl acetate were mixed and heated to 23°C. and stirred for 2 hours. After adding 20 parts of ion-exchanged water to the resulting mixture and stirring at 23° C. for 30 minutes, the mixture was separated and the organic layer was taken out. This washing operation was repeated 5 times. . After concentrating the obtained organic layer, 30 parts of tert-butyl methyl ether was added to the concentrated residue and stirred at 23° C. for 30 minutes. ) are obtained.
MASS (ESI (+) Spectrum): M+ 677.1
MASS (ESI (-) Spectrum): M- 467.1

実施例6:式(I-1688)で表される塩の合成

Figure 2023016037000162
式(I-1688-b)で表される化合物1.77部及びクロロホルム30部を混合し、23℃で30分間攪拌した。得られた混合溶液に、カルボニルジイミダゾール1.46部を添加し、さらに、50℃で2時間攪拌した。得られた混合溶液に、式(I-1688-a)で表される塩4.06部を添加し、さらに、50℃で3時間攪拌した後、23℃まで冷却した。得られた混合物に、1N塩酸6.30部を加えた後、23℃まで昇温し、23℃で6時間攪拌した。得られた混合物に、クロロホルム50部及びイオン交換水25部を添加し、23℃で30分間攪拌した後、分液して有機層を取り出した。得られた有機層を濃縮した後、濃縮残渣に、アセトニトリル1部及びtert-ブチルメチルエーテル30部を加えて、23℃で30分間攪拌した後、上澄み液を除去し、濃縮することにより、式(I-1688-c)で表される塩4.08部を得た。
Figure 2023016037000163
式(I-1688-d)で表される化合物0.54部及びクロロホルム30部を混合し、23℃で30分間攪拌した。得られた混合溶液に、カルボニルジイミダゾール0.73部を添加し、さらに、50℃で2時間攪拌した。得られた混合溶液に、式(I-1688-c)で表される塩2.57部を添加し、さらに、50℃で3時間攪拌した後、23℃まで冷却した。得られた混合物に、1N塩酸6.30部を加えた後、23℃まで昇温し、23℃で6時間攪拌した。得られた混合物に、クロロホルム50部及びイオン交換水25部を添加し、23℃で30分間攪拌した後、分液して有機層を取り出した。得られた有機層を濃縮した後、濃縮残渣に、アセトニトリル1部及びtert-ブチルメチルエーテル30部を加えて、23℃で30分間攪拌した後、上澄み液を除去し、濃縮することにより、式(I-1688-h)で表される塩2.68部を得た。
Figure 2023016037000164
式(I-1688-h)で表される塩0.57部、式(I-16-i)で表される塩0.45部、クロロホルム30部及び酢酸エチル15部を混合し、23℃で2時間攪拌した。得られた混合物に、イオン交換水20部を加えて23℃で30分間攪拌した後、分液して有機層を取り出した。この水洗操作を5回繰り返した。得られた有機層を濃縮した後、濃縮残渣に、tert-ブチルメチルエーテル30部を加えて、23℃で30分間攪拌した後、上澄み液を除去し、濃縮することにより、式(I-1688)で表される塩0.73部を得た。
MASS(ESI(+)Spectrum):M 677.1
MASS(ESI(-)Spectrum):M 467.1Example 6: Synthesis of salt represented by formula (I-1688)
Figure 2023016037000162
1.77 parts of the compound represented by formula (I-1688-b) and 30 parts of chloroform were mixed and stirred at 23° C. for 30 minutes. To the resulting mixed solution, 1.46 parts of carbonyldiimidazole was added, and the mixture was further stirred at 50°C for 2 hours. To the obtained mixed solution, 4.06 parts of the salt represented by the formula (I-1688-a) was added, further stirred at 50°C for 3 hours, and then cooled to 23°C. After adding 6.30 parts of 1N hydrochloric acid to the obtained mixture, the temperature was raised to 23° C. and the mixture was stirred at 23° C. for 6 hours. 50 parts of chloroform and 25 parts of ion-exchanged water were added to the obtained mixture, and the mixture was stirred at 23° C. for 30 minutes, and then separated to obtain an organic layer. After concentrating the obtained organic layer, 1 part of acetonitrile and 30 parts of tert-butyl methyl ether were added to the concentration residue and stirred at 23° C. for 30 minutes. 4.08 parts of the salt represented by (I-1688-c) were obtained.
Figure 2023016037000163
0.54 parts of the compound represented by formula (I-1688-d) and 30 parts of chloroform were mixed and stirred at 23° C. for 30 minutes. 0.73 part of carbonyldiimidazole was added to the obtained mixed solution, and the mixture was further stirred at 50° C. for 2 hours. 2.57 parts of the salt represented by the formula (I-1688-c) was added to the resulting mixed solution, and the mixture was stirred at 50°C for 3 hours and then cooled to 23°C. After adding 6.30 parts of 1N hydrochloric acid to the obtained mixture, the temperature was raised to 23° C. and the mixture was stirred at 23° C. for 6 hours. 50 parts of chloroform and 25 parts of ion-exchanged water were added to the obtained mixture, and the mixture was stirred at 23° C. for 30 minutes, and then separated to obtain an organic layer. After concentrating the obtained organic layer, 1 part of acetonitrile and 30 parts of tert-butyl methyl ether were added to the concentration residue and stirred at 23° C. for 30 minutes. 2.68 parts of the salt represented by (I-1688-h) were obtained.
Figure 2023016037000164
0.57 parts of the salt represented by the formula (I-1688-h), 0.45 parts of the salt represented by the formula (I-16-i), 30 parts of chloroform and 15 parts of ethyl acetate were mixed and heated to 23°C. and stirred for 2 hours. After adding 20 parts of ion-exchanged water to the resulting mixture and stirring at 23° C. for 30 minutes, the mixture was separated and the organic layer was taken out. This washing operation was repeated 5 times. After concentrating the obtained organic layer, 30 parts of tert-butyl methyl ether was added to the concentrated residue and stirred at 23° C. for 30 minutes. ) is obtained.
MASS (ESI (+) Spectrum): M+ 677.1
MASS (ESI (-) Spectrum): M- 467.1

実施例7:式(I-1992)で表される塩の合成

Figure 2023016037000165
式(I-1992-b)で表される化合物4.34部及びジメチルホルムアミド30部を混合し、23℃で30分間攪拌した。得られた混合物を0℃に冷却した後、水素化ナトリウム0.30部を混合し、0℃で4時間攪拌した。得られた混合物に、0℃で、式(I-8-e)で表される塩3.15部を添加し、0℃で3時間攪拌することにより、式(I-1992-c)で表される塩を含む混合物を得た。得られた混合物を23℃まで昇温した後、1N塩酸7.00部を加えた後、23℃まで昇温し、23℃で6時間攪拌した。得られた混合物に、クロロホルム50部及びイオン交換水25部を添加し、23℃で30分間攪拌した後、分液して有機層を取り出した。得られた有機層を濃縮した後、濃縮残渣に、tert-ブチルメチルエーテル30部を加えて、23℃で30分間攪拌した後、上澄み液を除去し、濃縮することにより、式(I-1992-f)で表される塩4.74部を得た。
Figure 2023016037000166
式(I-1992-f)で表される塩1.57部及びジメチルホルムアミド30部を混合し、23℃で30分間攪拌した後、炭酸カリウム0.16部及びヨウ化カリウム0.05部を添加し、75℃まで昇温した。得られた混合物に、式(I-8-g)で表される化合物0.45部を添加し、75℃で5時間撹拌した後、23℃まで冷却した。得られた混合物に、クロロホルム50部及び5%シュウ酸水溶液20部を加えて23℃で30分間攪拌した後、分液して有機層を取り出した。得られた有機層に、イオン交換水20部を添加し、23℃で30分間攪拌した後、分液して有機層を取り出した。この水洗操作を5回繰り返した。得られた有機層を濃縮することにより、式(I-1992-h)で表される塩1.73部を得た。
Figure 2023016037000167
式(I-1992-h)で表される塩0.66部、式(I-16-i)で表される塩0.45部、クロロホルム30部及び酢酸エチル15部を混合し、23℃で2時間攪拌した。得られた混合物に、イオン交換水20部を加えて23℃で30分間攪拌した後、分液して有機層を取り出した。この水洗操作を5回繰り返した。得られた有機層を濃縮し、濃縮残渣に、tert-ブチルメチルエーテル30部を加えて23℃で30分間攪拌した後、ろ過することにより、式(I-1992)で表される塩0.77部を得た。
MASS(ESI(+)Spectrum):M 792.9
MASS(ESI(-)Spectrum):M 467.1Example 7: Synthesis of salt represented by formula (I-1992)
Figure 2023016037000165
4.34 parts of the compound represented by formula (I-1992-b) and 30 parts of dimethylformamide were mixed and stirred at 23° C. for 30 minutes. After the resulting mixture was cooled to 0°C, 0.30 part of sodium hydride was added and stirred at 0°C for 4 hours. To the resulting mixture, 3.15 parts of the salt represented by the formula (I-8-e) was added at 0°C and stirred at 0°C for 3 hours to obtain the compound of the formula (I-1992-c). A mixture containing the indicated salt was obtained. After heating the obtained mixture to 23° C., 7.00 parts of 1N hydrochloric acid was added, and then the temperature was raised to 23° C. and stirred at 23° C. for 6 hours. 50 parts of chloroform and 25 parts of ion-exchanged water were added to the obtained mixture, and the mixture was stirred at 23° C. for 30 minutes, and then separated to obtain an organic layer. After concentrating the obtained organic layer, 30 parts of tert-butyl methyl ether was added to the concentrated residue and stirred at 23° C. for 30 minutes. 4.74 parts of the salt represented by -f) are obtained.
Figure 2023016037000166
After mixing 1.57 parts of the salt represented by the formula (I-1992-f) and 30 parts of dimethylformamide and stirring at 23° C. for 30 minutes, 0.16 parts of potassium carbonate and 0.05 parts of potassium iodide were added. was added and the temperature was raised to 75°C. To the resulting mixture, 0.45 part of the compound represented by formula (I-8-g) was added, stirred at 75°C for 5 hours, and then cooled to 23°C. After adding 50 parts of chloroform and 20 parts of a 5% aqueous oxalic acid solution to the obtained mixture and stirring at 23° C. for 30 minutes, the mixture was separated and the organic layer was taken out. After adding 20 parts of ion-exchanged water to the obtained organic layer and stirring at 23° C. for 30 minutes, the liquid was separated and the organic layer was taken out. This washing operation was repeated 5 times. By concentrating the obtained organic layer, 1.73 parts of the salt represented by the formula (I-1992-h) was obtained.
Figure 2023016037000167
0.66 parts of the salt represented by the formula (I-1992-h), 0.45 parts of the salt represented by the formula (I-16-i), 30 parts of chloroform and 15 parts of ethyl acetate were mixed and heated to 23°C. and stirred for 2 hours. After adding 20 parts of ion-exchanged water to the resulting mixture and stirring at 23° C. for 30 minutes, the mixture was separated and the organic layer was taken out. This washing operation was repeated 5 times. The obtained organic layer is concentrated, 30 parts of tert-butyl methyl ether is added to the concentrated residue, and the mixture is stirred at 23° C. for 30 minutes and then filtered to give a salt of formula (I-1992) of 0.01. 77 parts were obtained.
MASS (ESI (+) Spectrum): M+ 792.9
MASS (ESI (-) Spectrum): M- 467.1

実施例8:式(I-2296)で表される塩の合成

Figure 2023016037000168
式(I-2296-b)で表される化合物4.34部及びジメチルホルムアミド30部を混合し、23℃で30分間攪拌した。得られた混合物を0℃に冷却した後、水素化ナトリウム0.30部を混合し、0℃で4時間攪拌した。得られた混合物に、0℃で、式(I-8-e)で表される塩3.15部を添加し、0℃で3時間攪拌することにより、式(I-2296-c)で表される塩を含む混合物を得た。得られた混合物を23℃まで昇温した後、1N塩酸7.00部を加えた後、23℃まで昇温し、23℃で6時間攪拌した。得られた混合物に、クロロホルム50部及びイオン交換水25部を添加し、23℃で30分間攪拌した後、分液して有機層を取り出した。得られた有機層を濃縮した後、濃縮残渣に、tert-ブチルメチルエーテル30部を加えて、23℃で30分間攪拌した後、上澄み液を除去し、濃縮することにより、式(I-2296-f)で表される塩4.78部を得た。
Figure 2023016037000169
式(I-2296-f)で表される塩1.57部及びジメチルホルムアミド30部を混合し、23℃で30分間攪拌した後、炭酸カリウム0.16部及びヨウ化カリウム0.05部を添加し、75℃まで昇温した。得られた混合物に、式(I-8-g)で表される化合物0.45部を添加し、75℃で5時間撹拌した後、23℃まで冷却した。得られた混合物に、クロロホルム50部及び5%シュウ酸水溶液20部を加えて23℃で30分間攪拌した後、分液して有機層を取り出した。得られた有機層に、イオン交換水20部を添加し、23℃で30分間攪拌した後、分液して有機層を取り出した。この水洗操作を5回繰り返した。得られた有機層を濃縮することにより、式(I-2296-h)で表される塩1.61部を得た。
Figure 2023016037000170
式(I-2296-h)で表される塩0.66部、式(I-16-i)で表される塩0.45部、クロロホルム30部及び酢酸エチル15部を混合し、23℃で2時間攪拌した。得られた混合物に、イオン交換水20部を加えて23℃で30分間攪拌した後、分液して有機層を取り出した。この水洗操作を5回繰り返した。得られた有機層を濃縮し、濃縮残渣に、tert-ブチルメチルエーテル30部を加えて23℃で30分間攪拌した後、ろ過することにより、式(I-2296)で表される塩0.74部を得た。
MASS(ESI(+)Spectrum):M 792.9
MASS(ESI(-)Spectrum):M 467.1Example 8: Synthesis of salt represented by formula (I-2296)
Figure 2023016037000168
4.34 parts of the compound represented by formula (I-2296-b) and 30 parts of dimethylformamide were mixed and stirred at 23° C. for 30 minutes. After the resulting mixture was cooled to 0°C, 0.30 part of sodium hydride was added and stirred at 0°C for 4 hours. To the resulting mixture, 3.15 parts of the salt represented by the formula (I-8-e) was added at 0°C and stirred at 0°C for 3 hours to obtain the compound of the formula (I-2296-c). A mixture containing the indicated salt was obtained. After heating the obtained mixture to 23° C., 7.00 parts of 1N hydrochloric acid was added, and then the temperature was raised to 23° C. and stirred at 23° C. for 6 hours. 50 parts of chloroform and 25 parts of ion-exchanged water were added to the obtained mixture, and the mixture was stirred at 23° C. for 30 minutes, and then separated to obtain an organic layer. After concentrating the obtained organic layer, 30 parts of tert-butyl methyl ether was added to the concentrated residue and stirred at 23° C. for 30 minutes. 4.78 parts of the salt represented by -f) are obtained.
Figure 2023016037000169
After mixing 1.57 parts of the salt represented by the formula (I-2296-f) and 30 parts of dimethylformamide and stirring at 23° C. for 30 minutes, 0.16 parts of potassium carbonate and 0.05 parts of potassium iodide were added. was added and the temperature was raised to 75°C. To the resulting mixture, 0.45 part of the compound represented by formula (I-8-g) was added, stirred at 75°C for 5 hours, and then cooled to 23°C. After adding 50 parts of chloroform and 20 parts of a 5% aqueous oxalic acid solution to the obtained mixture and stirring at 23° C. for 30 minutes, the mixture was separated and the organic layer was taken out. After adding 20 parts of ion-exchanged water to the obtained organic layer and stirring at 23° C. for 30 minutes, the liquid was separated and the organic layer was taken out. This washing operation was repeated 5 times. By concentrating the obtained organic layer, 1.61 parts of the salt represented by the formula (I-2296-h) was obtained.
Figure 2023016037000170
0.66 parts of the salt represented by the formula (I-2296-h), 0.45 parts of the salt represented by the formula (I-16-i), 30 parts of chloroform and 15 parts of ethyl acetate were mixed and heated to 23°C. and stirred for 2 hours. After adding 20 parts of ion-exchanged water to the resulting mixture and stirring at 23° C. for 30 minutes, the mixture was separated and the organic layer was taken out. This washing operation was repeated 5 times. The obtained organic layer is concentrated, 30 parts of tert-butyl methyl ether is added to the concentrated residue, and the mixture is stirred at 23° C. for 30 minutes and then filtered to give a salt of formula (I-2296) of 0.5 parts. 74 parts were obtained.
MASS (ESI (+) Spectrum): M+ 792.9
MASS (ESI (-) Spectrum): M- 467.1

樹脂の合成
樹脂(A)の合成に使用した化合物(モノマー)を下記に示す。以下、これらの化合物をその式番号に応じて、「モノマー(a1-1-3)」等という。

Figure 2023016037000171
Synthesis of Resin Compounds (monomers) used for synthesizing resin (A) are shown below. Hereinafter, these compounds are referred to as "monomer (a1-1-3)" and the like according to their formula numbers.
Figure 2023016037000171

合成例1〔樹脂A1の合成〕
モノマーとして、モノマー(a1-1-3)、モノマー(a1-2-6)、モノマー(a2-1-3)、モノマー(a3-4-2)及びモノマー(a1-4-2)を用い、そのモル比〔モノマー(a1-1-3):モノマー(a1-2-6):モノマー(a2-1-3):モノマー(a3-4-2):モノマー(a1-4-2)〕が、20:35:3:15:27の割合となるように混合し、さらに、このモノマー混合物に、全モノマーの合計質量に対して、1.5質量倍のメチルイソブチルケトンを混合した。得られた混合物に、開始剤としてアゾビスイソブチロニトリル及びアゾビス(2,4-ジメチルバレロニトリル)を全モノマー量に対して各々、1.2mol%及び3.6mol%添加し、これらを73℃で約5時間加熱した。その後、重合反応液に、全モノマーの合計質量に対して、2.0質量倍のp-トルエンスルホン酸水溶液(2.5重量%)を加え、12時間攪拌した後、分液した。回収された有機層を、大量のn-ヘプタンに注ぎ樹脂を析出させ、ろ過・回収することにより、重量平均分子量が約5.3×10である樹脂A1を収率63%で得た。この樹脂A1は、以下の構造単位を有するものである。

Figure 2023016037000172
Synthesis Example 1 [Synthesis of Resin A1]
Using monomer (a1-1-3), monomer (a1-2-6), monomer (a2-1-3), monomer (a3-4-2) and monomer (a1-4-2) as monomers, The molar ratio [monomer (a1-1-3): monomer (a1-2-6): monomer (a2-1-3): monomer (a3-4-2): monomer (a1-4-2)] is , 20:35:3:15:27, and this monomer mixture was further mixed with methyl isobutyl ketone in an amount 1.5 times the mass of the total mass of all the monomers. To the resulting mixture, azobisisobutyronitrile and azobis(2,4-dimethylvaleronitrile) were added as initiators at 1.2 mol% and 3.6 mol%, respectively, based on the total amount of monomers. C. for about 5 hours. Thereafter, an aqueous solution of p-toluenesulfonic acid (2.5% by weight) in an amount of 2.0 times the weight of the total weight of all monomers was added to the polymerization reaction solution, stirred for 12 hours, and separated. The collected organic layer was poured into a large amount of n-heptane to precipitate the resin, filtered and collected to obtain Resin A1 having a weight average molecular weight of about 5.3×103 with a yield of 63%. This resin A1 has the following structural units.
Figure 2023016037000172

合成例2〔樹脂A2の合成〕
モノマーとして、モノマー(a1-1-3)、モノマー(a1-2-6)、モノマー(a2-1-3)、モノマー(a3-4-2)及びモノマー(a1-4-13)を用い、そのモル比〔モノマー(a1-1-3):モノマー(a1-2-6):モノマー(a2-1-3):モノマー(a3-4-2):モノマー(a1-4-13)〕が、20:35:3:15:27の割合となるように混合し、さらに、このモノマー混合物に、全モノマーの合計質量に対して、1.5質量倍のメチルイソブチルケトンを混合した。得られた混合物に、開始剤としてアゾビスイソブチロニトリル及びアゾビス(2,4-ジメチルバレロニトリル)を全モノマー量に対して各々、1.2mol%及び3.6mol%添加し、これらを73℃で約5時間加熱した。その後、重合反応液に、全モノマーの合計質量に対して、2.0質量倍のp-トルエンスルホン酸水溶液(2.5重量%)を加え、12時間攪拌した後、分液した。回収された有機層を、大量のn-ヘプタンに注ぎ樹脂を析出させ、ろ過・回収することにより、重量平均分子量が約5.1×10である樹脂A2を収率61%で得た。この樹脂A2は、以下の構造単位を有するものである。

Figure 2023016037000173
Synthesis Example 2 [Synthesis of Resin A2]
Using monomer (a1-1-3), monomer (a1-2-6), monomer (a2-1-3), monomer (a3-4-2) and monomer (a1-4-13) as monomers, The molar ratio [monomer (a1-1-3):monomer (a1-2-6):monomer (a2-1-3):monomer (a3-4-2):monomer (a1-4-13)] is , 20:35:3:15:27, and this monomer mixture was further mixed with methyl isobutyl ketone in an amount 1.5 times the mass of the total mass of all the monomers. To the resulting mixture, azobisisobutyronitrile and azobis(2,4-dimethylvaleronitrile) were added as initiators at 1.2 mol% and 3.6 mol%, respectively, based on the total amount of monomers. C. for about 5 hours. Thereafter, an aqueous solution of p-toluenesulfonic acid (2.5% by weight) in an amount of 2.0 times the weight of the total weight of all monomers was added to the polymerization reaction solution, stirred for 12 hours, and separated. The collected organic layer was poured into a large amount of n-heptane to precipitate the resin, filtered and collected to obtain Resin A2 having a weight average molecular weight of about 5.1×103 with a yield of 61%. This resin A2 has the following structural units.
Figure 2023016037000173

<レジスト組成物の調製>
表2に示すように、以下の各成分を混合し、得られた混合物を孔径0.2μmのフッ素樹脂製フィルターで濾過することにより、レジスト組成物を調製した。

Figure 2023016037000174
<Preparation of resist composition>
As shown in Table 2, a resist composition was prepared by mixing the following components and filtering the resulting mixture through a fluororesin filter having a pore size of 0.2 μm.
Figure 2023016037000174

<樹脂>
A1、A2:樹脂A1、樹脂A2
<塩(I)>
I-2:式(I-2)で表される塩
I-4:式(I-4)で表される塩
I-8:式(I-8)で表される塩
I-16:式(I-16)で表される塩
I-510:式(I-510)で表される塩
I-1688:式(I-1688)で表される塩
I-1992:式(I-1992)で表される塩
I-2296:式(I-2296)で表される塩
<酸発生剤>
IX-1
IX-2
IX-3
IX-4

Figure 2023016037000175
<クエンチャー(C)>
C1:特開2011-39502号公報記載の方法で合成
Figure 2023016037000176
<溶剤>
プロピレングリコールモノメチルエーテルアセテート 400部
プロピレングリコールモノメチルエーテル 100部
γ-ブチロラクトン 5部<Resin>
A1, A2: Resin A1, Resin A2
<Salt (I)>
I-2: salt represented by formula (I-2) I-4: salt represented by formula (I-4) I-8: salt represented by formula (I-8) I-16: formula Salt represented by (I-16) I-510: Salt represented by formula (I-510) I-1688: Salt represented by formula (I-1688) I-1992: Formula (I-1992) Salt represented by I-2296: Salt represented by formula (I-2296) <acid generator>
IX-1
IX-2
IX-3
IX-4
Figure 2023016037000175
<Quencher (C)>
C1: synthesized by the method described in JP-A-2011-39502
Figure 2023016037000176
<Solvent>
Propylene glycol monomethyl ether acetate 400 parts Propylene glycol monomethyl ether 100 parts γ-butyrolactone 5 parts

(レジスト組成物の電子線露光評価:有機溶剤現像)
6インチのシリコンウェハを、ダイレクトホットプレート上で、ヘキサメチルジシラザンを用いて90℃で60秒処理した。このシリコンウェハに、レジスト組成物を、組成物層の膜厚が0.04μmとなるようにスピンコートした。その後、ダイレクトホットプレート上で、表2の「PB」欄に示す温度で60秒間プリベークして組成物層を形成した。ウェハ上に形成された組成物層に、電子線描画機〔(株)エリオニクス製の「ELS-F125 125keV」〕を用い、露光量を段階的に変化させて、現像後にラインアンドスペースパターン(ピッチ60nm/ライン幅30nm)になるように直接描画した。
露光後、ホットプレート上にて表2の「PEB」欄に示す温度で60秒間ポストエキスポジャーベークを行った。次いで、このシリコンウェハ上の組成物層を、現像液として酢酸ブチル(東京化成工業(株)製)を用いて、23℃で20秒間ダイナミックディスペンス法によって現像を行うことにより、レジストパターンを得た。
得られたレジストパターン(ラインアンドスペースパターン)を走査型電子顕微鏡で観察し、ピッチ60nmのラインアンドスペースパターンのライン幅とスペース幅とが1:1となる露光量を実効感度とした。
(Evaluation of resist composition by electron beam exposure: organic solvent development)
A 6-inch silicon wafer was treated with hexamethyldisilazane at 90° C. for 60 seconds on a direct hotplate. This silicon wafer was spin-coated with the resist composition so that the film thickness of the composition layer was 0.04 μm. After that, it was pre-baked for 60 seconds on a direct hot plate at the temperature shown in the "PB" column of Table 2 to form a composition layer. The composition layer formed on the wafer is exposed to a line and space pattern (pitch 60 nm/line width 30 nm).
After the exposure, post-exposure baking was performed for 60 seconds on a hot plate at the temperature shown in the "PEB" column of Table 2. Next, the composition layer on the silicon wafer was developed using butyl acetate (manufactured by Tokyo Kasei Kogyo Co., Ltd.) as a developer by a dynamic dispensing method at 23° C. for 20 seconds to obtain a resist pattern. .
The obtained resist pattern (line and space pattern) was observed with a scanning electron microscope, and the effective sensitivity was defined as the exposure dose at which the line width and space width of the line and space pattern with a pitch of 60 nm became 1:1.

ラインエッジラフネス評価(LER):実効感度で製造されたレジストパターンの側壁面の凹凸の振れ幅を走査型電子顕微鏡で測定し、ラインエッジラフネスを求めた。その結果を表3に示す。

Figure 2023016037000177

比較組成物1~4と比較して、組成物1~9でのレジストパターンの側壁面の凹凸の振れ幅が小さく、ラインエッジラフネス評価が良好であった。Line Edge Roughness Evaluation (LER): Line edge roughness was obtained by measuring the unevenness amplitude of the side wall surface of the resist pattern manufactured at effective sensitivity with a scanning electron microscope. Table 3 shows the results.
Figure 2023016037000177

Compared to Comparative Compositions 1 to 4, Compositions 1 to 9 had a smaller fluctuation width of unevenness on the side wall surface of the resist pattern, and the evaluation of line edge roughness was favorable.

本発明の塩を含有するレジスト組成物は、良好なラインエッジラフネス(LER)を有するレジストパターンを得られるため、半導体の微細加工に好適であり、産業上極めて有用である。 INDUSTRIAL APPLICABILITY A resist composition containing the salt of the present invention is suitable for microfabrication of semiconductors and is industrially extremely useful because it provides a resist pattern having good line edge roughness (LER).

Claims (19)

Translated fromJapanese
式(I)で表される塩を含有する酸発生剤。
Figure 2023016037000178
[式(I)中、
、R及びRは、それぞれ独立に、*-O-R10、*-O-CO-R10、*-O-CO-O-R10又は*-O-L10-CO-O-R10を表し、*は、ベンゼン環との結合部位を表す。
10は、炭素数1~6のアルカンジイル基を表す。
10は、環状炭酸エステル構造を有する基を表す。
、R、R、R、R及びRは、それぞれ独立に、ハロゲン原子、炭素数1~12のハロアルキル基又は炭素数1~18の炭化水素基を表し、該炭化水素基は、置換基を有してもよく、該ハロアルキル基及び該炭化水素基に含まれる-CH2-は、-O-、-S-、-CO-又は-SO-で置き換わっていてもよい。
、A及びAは、それぞれ独立に、炭素数2~20の炭化水素基を表し、該炭化水素基は、置換基を有してもよく、該炭化水素基に含まれる-CH2-は、-O-、-CO-、-S-又は-SO-で置き換わっていてもよい。
m1は、0~5のいずれかの整数を表し、m1が2以上のとき、複数の括弧内の基は互いに同一であっても異なってもよい。
m2は、0~4のいずれかの整数を表し、m2が2以上のとき、複数の括弧内の基は互いに同一であっても異なってもよい。
m3は、0~4のいずれかの整数を表し、m3が2以上のとき、複数の括弧内の基は互いに同一であっても異なってもよい。
m4は、0~4のいずれかの整数を表し、m4が2以上のとき、複数のRは互いに同一であっても異なってもよい。
m5は、0~4のいずれかの整数を表し、m5が2以上のとき、複数のRは互いに同一であっても異なってもよい。
m6は、0~4のいずれかの整数を表し、m6が2以上のとき、複数のRは互いに同一であっても異なってもよい。
m7は、0~5のいずれかの整数を表し、m7が2以上のとき、複数のRは互いに同一であっても異なってもよい。
m8は、0~4のいずれかの整数を表し、m8が2以上のとき、複数のRは互いに同一であっても異なってもよい。
m9は、0~4のいずれかの整数を表し、m9が2以上のとき、複数のRは互いに同一であっても異なってもよい。
但し、0≦m1+m7≦5、0≦m2+m8≦4、0≦m3+m9≦4であり、m1、m2、m3の少なくとも一つは、1以上の整数を表す。
は、単結合、-CH2-、-O-、-S-、-CO-、-SO-又は-SO-を表す。
AIは、有機アニオンを表す。]An acid generator containing a salt represented by formula (I).
Figure 2023016037000178
[in the formula (I),
R1 , R2 and R3 are each independently *-OR10 , *-O-CO-R 10, *-O-CO-OR10 or *-OL10 -CO- represents OR10 , and * represents the binding site to the benzene ring.
L10 represents an alkanediyl group having 1 to 6 carbon atoms.
R10 represents a group having a cyclic carbonate structure.
R4 , R5 , R6 , R7 , R8 and R9 each independently represent a halogen atom, a haloalkyl group having 1 to 12 carbon atoms or a hydrocarbon group having 1 to 18 carbon atoms, and the hydrocarbon The group may have a substituent, and —CH2 — contained in the haloalkyl group and the hydrocarbon group may be replaced with —O—, —S—, —CO— or —SO2 —. good.
A1 , A2 and A3 each independently represent a hydrocarbon group having 2 to 20 carbon atoms, the hydrocarbon group may have a substituent, and the —CH2- may be replaced by -O-, -CO-, -S- or -SO2 -.
m1 represents an integer of 0 to 5, and when m1 is 2 or more, groups in parentheses may be the same or different.
m2 represents an integer of 0 to 4, and when m2 is 2 or more, groups in parentheses may be the same or different.
m3 represents an integer of 0 to 4, and when m3 is 2 or more, groups in parentheses may be the same or different.
m4 represents an integer of 0 to 4, and when m4 is 2 or more, multipleR4 's may be the same or different.
m5 represents an integer of 0 to 4, and when m5 is 2 or more, multiple R5's may be thesame or different.
m6 represents an integer of 0 to 4, and when m6 is 2 or more, a plurality of R6 may be thesame or different.
m7 represents an integer of 0 to 5, and when m7 is 2 or more, multiple R7 may be the same or different.
m8 represents an integer of 0 to 4, and when m8 is 2 or more, multiple R8s may be the same or different.
m9 represents an integer of 0 to 4, and when m9 is 2 or more, multiple R9s may be the same or different.
However, 0≤m1+m7≤5, 0≤m2+m8≤4, 0≤m3+m9≤4, and at least one of m1, m2, and m3 represents an integer of 1 or more.
X4 represents a single bond, -CH2 -, -O-, -S-, -CO-, -SO- or -SO2 -.
AI represents an organic anion. ]が、*-X01-L01-又は*-L01-X01-であり、Aが、*-X02-L02-又は*-L02-X02-であり、Aが、*-X03-L03-又は*-L03-X03-である(X01、X02及びX03は、それぞれ独立に、-O-、-CO-、-S-又は-SO-を表す。L01、L02及びL03は、それぞれ独立に、炭素数1~19の炭化水素基を表し、該炭化水素基は、置換基を有してもよく、該炭化水素基に含まれる-CH2-は、-O-、-CO-、-S-又は-SO-で置き換わっていてもよい。*は、R、R又はRが結合するベンゼン環との結合部位を表す。)請求項1に記載の酸発生剤。A1 is *-X01 -L01 - or *-L01 -X01 -, A2 is *-X02 -L02 - or *-L02 -X02 -, and A3 is *-X03 -L03 - or *-L03 -X03 - (X01 , X02 and X03 are each independently -O-, -CO-, -S- or -SO2 — L01 , L02 and L03 each independently represent a hydrocarbon group having 1 to 19 carbon atoms, the hydrocarbon group optionally having a substituent, the hydrocarbon group —CH2 — contained in may be replaced with —O—, —CO—, —S— or —SO2* indicatesa represents a binding site.) The acid generator according to claim 1.01、X02及びX03が、それぞれ独立に、-O-又は-S-である請求項2に記載の酸発生剤。3. The acid generator according to claim 2, wherein X01 , X02 and X03 are each independently -O- or -S-.01、L02及びL03が、それぞれ独立に、炭素数1~6のアルカンジイル基(該アルカンジイル基に含まれる-CH2-は、-O-又は-CO-で置き換わっていてもよい。)である請求項2に記載の酸発生剤。L01 , L02 and L03 are each independently an alkanediyl group having 1 to 6 carbon atoms (-CH2 - contained in the alkanediyl group may be replaced with -O- or -CO- ), the acid generator according to claim 2.10の環状炭酸エステル構造を有する基が、式(Ix)で表される基である請求項1に記載の酸発生剤。
Figure 2023016037000179
[式(Ix)中、
環Wは、置換基を有していてもよい環状炭酸エステル構造の環を表す。
12は、単結合又は置換基を有していてもよい炭素数1~36の炭化水素基を表し、該炭化水素基に含まれる-CH2-は、-O-、-S-、-CO-又は-SO-に置き換わっていてもよい。
*は、結合部位を表す。]
2. The acid generator according to claim1 , wherein the group having a cyclic carbonate structure of R10 is a group represented by formula (Ix).
Figure 2023016037000179
[In the formula (Ix),
Ring Wx represents a ring of a cyclic carbonate structure which may have a substituent.
L12 represents a single bond or an optionally substituted hydrocarbon group having 1 to 36 carbon atoms, and —CH2 — contained in the hydrocarbon group is —O—, —S—, — CO- or -SO2 - may be substituted.
* represents the binding site. ]
AIが、スルホン酸アニオン、スルホニルイミドアニオン又はスルホニルメチドアニオンである請求項1に記載の酸発生剤。2. The acid generator according to claim 1, wherein AI- is a sulfonate anion, a sulfonylimide anion or a sulfonylmethide anion. AIはスルホン酸アニオンであり、スルホン酸アニオンは式(I-A)で表されるアニオンである請求項1に記載の酸発生剤。
Figure 2023016037000180
[式(I-A)中、
及びQは、それぞれ独立に、水素原子、フッ素原子、炭素数1~6のアルキル基又は炭素数1~6のペルフルオロアルキル基を表す。
は、炭素数1~24の飽和炭化水素基を表し、該飽和炭化水素基に含まれる-CH-は、-O-又は-CO-に置き換わっていてもよく、該飽和炭化水素基に含まれる水素原子は、フッ素原子又はヒドロキシ基で置換されていてもよい。
は、置換基を有していてもよいメチル基又は置換基を有していてもよい炭素数3~24の脂環式炭化水素基を表し、該脂環式炭化水素基に含まれる-CH-は、-O-、-S-、-SO-又は-CO-に置き換わっていてもよい。]
2. The acid generator according to claim 1, wherein AI- is a sulfonate anion,and the sulfonate anion is an anion represented by formula (IA).
Figure 2023016037000180
[In the formula (IA),
Q1 and Q2 each independently represent a hydrogen atom, a fluorine atom, an alkyl group having 1 to 6 carbon atoms or a perfluoroalkyl group having 1 to 6 carbon atoms.
L1 represents a saturated hydrocarbon group having 1 to 24 carbon atoms, and —CH2 — contained in the saturated hydrocarbon group may be replaced with —O— or —CO—; A hydrogen atom contained in may be substituted with a fluorine atom or a hydroxy group.
Y1 represents an optionally substituted methyl group or an optionally substituted alicyclic hydrocarbon group having 3 to 24 carbon atoms, and is included in the alicyclic hydrocarbon group -CH2 - may be replaced by -O-, -S-, -SO2 - or -CO-. ]
請求項1~7のいずれかに記載の酸発生剤と酸不安定基を有する樹脂とを含有するレジスト組成物。 A resist composition comprising the acid generator according to any one of claims 1 to 7 and a resin having an acid-labile group. 酸不安定基を有する樹脂が、式(a1-0)で表される構造単位、式(a1-1)で表される構造単位及び式(a1-2)で表される構造単位からなる群より選ばれる少なくとも1種を含む請求項8に記載のレジスト組成物。
Figure 2023016037000181
[式(a1-0)、式(a1-1)及び式(a1-2)中、
a01、La1及びLa2は、それぞれ独立に、-O-又は*-O-(CHk1-CO-O-を表し、k1は1~7のいずれかの整数を表し、*は-CO-との結合部位を表す。
a01、Ra4及びRa5は、それぞれ独立に、水素原子、ハロゲン原子又はハロゲン原子を有していてもよい炭素数1~6のアルキル基を表す。
a02、Ra03及びRa04は、それぞれ独立に、炭素数1~8のアルキル基、炭素数3~18の脂環式炭化水素基、炭素数6~18の芳香族炭化水素基又はこれらを組み合わせた基を表す。
a6及びRa7は、それぞれ独立に、炭素数1~8のアルキル基、炭素数2~8のアルケニル基、炭素数3~18の脂環式炭化水素基、炭素数6~18の芳香族炭化水素基又はこれらを組合せることにより形成される基を表す。
m1は0~14のいずれかの整数を表す。
n1は0~10のいずれかの整数を表す。
n1’は0~3のいずれかの整数を表す。]
A group in which the resin having an acid-labile group comprises a structural unit represented by formula (a1-0), a structural unit represented by formula (a1-1), and a structural unit represented by formula (a1-2). 9. The resist composition according to claim 8, comprising at least one selected from.
Figure 2023016037000181
[In formula (a1-0), formula (a1-1) and formula (a1-2),
La01 , La1 and La2 each independently represent —O— or *—O—(CH2 )k1 —CO—O—, k1 represents an integer of 1 to 7, * is represents the binding site with -CO-.
Ra01 , Ra4 and Ra5 each independently represent a hydrogen atom, a halogen atom or an optionally halogenated alkyl group having 1 to 6 carbon atoms.
Ra02 , Ra03 and Ra04 each independently represent an alkyl group having 1 to 8 carbon atoms, an alicyclic hydrocarbon group having 3 to 18 carbon atoms, an aromatic hydrocarbon group having 6 to 18 carbon atoms, or Represents a combined group.
Ra6 and Ra7 each independently represents an alkyl group having 1 to 8 carbon atoms, an alkenyl group having 2 to 8 carbon atoms, an alicyclic hydrocarbon group having 3 to 18 carbon atoms, or an aromatic group having 6 to 18 carbon atoms. It represents a hydrocarbon group or a group formed by combining these groups.
m1 represents any integer from 0 to 14;
n1 represents any integer from 0 to 10;
n1' represents an integer of 0 to 3; ]
酸不安定基を有する樹脂が、式(a2-A)で表される構造単位を含む請求項8に記載のレジスト組成物。
Figure 2023016037000182
[式(a2-A)中、
a50は、水素原子、ハロゲン原子又はハロゲン原子を有していてもよい炭素数1~6のアルキル基を表す。
a51は、ハロゲン原子、ヒドロキシ基、炭素数1~6のアルキル基、炭素数1~6のアルコキシ基、炭素数2~12のアルコキシアルキル基、炭素数2~12のアルコキシアルコキシ基、炭素数2~4のアルキルカルボニル基、炭素数2~4のアルキルカルボニルオキシ基、アクリロイルオキシ基又はメタクリロイルオキシ基を表す。
a50は、単結合又は-Xa51-(Aa52-Xa52nb-を表し、*は-Ra50が結合する炭素原子との結合部位を表す。
a52は、炭素数1~6のアルカンジイル基を表す。
a51及びXa52は、それぞれ独立に、-O-、-CO-O-又は-O-CO-を表す。
nbは、0又は1を表す。
mbは0~4のいずれかの整数を表す。mbが2以上のいずれかの整数である場合、複数のRa51は互いに同一であっても異なっていてもよい。]
9. The resist composition according to claim 8, wherein the resin having an acid labile group contains a structural unit represented by formula (a2-A).
Figure 2023016037000182
[In the formula (a2-A),
Ra50 represents a hydrogen atom, a halogen atom or an alkyl group having 1 to 6 carbon atoms which may have a halogen atom.
Ra51 is a halogen atom, a hydroxy group, an alkyl group having 1 to 6 carbon atoms, an alkoxy group having 1 to 6 carbon atoms, an alkoxyalkyl group having 2 to 12 carbon atoms, an alkoxyalkoxy group having 2 to 12 carbon atoms, an alkoxyalkoxy group having 2 to 12 carbon atoms, It represents an alkylcarbonyl group having 2 to 4 carbon atoms, an alkylcarbonyloxy group having 2 to 4 carbon atoms, an acryloyloxy group or a methacryloyloxy group.
Aa50 represents a single bond or* -Xa51 -(Aa52 -Xa52 )nb -, and * represents a bonding site with the carbon atom to which -Ra50 bonds.
Aa52 represents an alkanediyl group having 1 to 6 carbon atoms.
Xa51 and Xa52 each independently represent -O-, -CO-O- or -O-CO-.
nb represents 0 or 1;
mb represents an integer from 0 to 4; When mb is any integer of 2 or more, multiple Ra51 may be the same or different. ]
酸発生剤から発生する酸よりも酸性度の弱い酸を発生する塩をさらに含有する請求項8に記載のレジスト組成物。 9. The resist composition according to claim 8, further comprising a salt that generates an acid weaker in acidity than the acid generated from the acid generator. (1)請求項8に記載のレジスト組成物を基板上に塗布する工程、
(2)塗布後の組成物を乾燥させて組成物層を形成する工程、
(3)組成物層に露光する工程、
(4)露光後の組成物層を加熱する工程、及び
(5)加熱後の組成物層を現像する工程、
を含むレジストパターンの製造方法。
(1) a step of applying the resist composition according to claim 8 onto a substrate;
(2) a step of drying the applied composition to form a composition layer;
(3) exposing the composition layer;
(4) heating the composition layer after exposure; and (5) developing the composition layer after heating;
A method of manufacturing a resist pattern comprising:
式(I)で表される塩。
Figure 2023016037000183
[式(I)中、
、R及びRは、それぞれ独立に、*-O-R10、*-O-CO-R10、*-O-CO-O-R10又は*-O-L10-CO-O-R10を表し、*は、ベンゼン環との結合部位を表す。
10は、炭素数1~6のアルカンジイル基を表す。
10は、環状炭酸エステル構造を有する基を表す。
、R、R、R、R及びRは、それぞれ独立に、ハロゲン原子、炭素数1~12のハロアルキル基又は炭素数1~18の炭化水素基を表し、該炭化水素基は、置換基を有してもよく、該ハロアルキル基及び該炭化水素基に含まれる-CH2-は、-O-、-S-、-CO-又は-SO-で置き換わっていてもよい。
、A及びAは、それぞれ独立に、炭素数2~20の炭化水素基を表し、該炭化水素基は、置換基を有してもよく、該炭化水素基に含まれる-CH2-は、-O-、-CO-、-S-又は-SO-で置き換わっていてもよい。
m1は、0~5のいずれかの整数を表し、m1が2以上のとき、複数の括弧内の基は互いに同一であっても異なってもよい。
m2は、0~4のいずれかの整数を表し、m2が2以上のとき、複数の括弧内の基は互いに同一であっても異なってもよい。
m3は、0~4のいずれかの整数を表し、m3が2以上のとき、複数の括弧内の基は互いに同一であっても異なってもよい。
m4は、0~4のいずれかの整数を表し、m4が2以上のとき、複数のRは互いに同一であっても異なってもよい。
m5は、0~4のいずれかの整数を表し、m5が2以上のとき、複数のRは互いに同一であっても異なってもよい。
m6は、0~4のいずれかの整数を表し、m6が2以上のとき、複数のRは互いに同一であっても異なってもよい。
m7は、0~5のいずれかの整数を表し、m7が2以上のとき、複数のRは互いに同一であっても異なってもよい。
m8は、0~4のいずれかの整数を表し、m8が2以上のとき、複数のRは互いに同一であっても異なってもよい。
m9は、0~4のいずれかの整数を表し、m9が2以上のとき、複数のRは互いに同一であっても異なってもよい。
但し、0≦m1+m7≦5、0≦m2+m8≦4、0≦m3+m9≦4であり、m1、m2、m3の少なくとも一つは、1以上の整数を表す。
は、単結合、-CH2-、-O-、-S-、-CO-、-SO-又は-SO-を表す。
AIは、有機アニオンを表す。]
A salt of the formula (I).
Figure 2023016037000183
[in the formula (I),
R1 , R2 and R3 are each independently *-OR10 , *-O-CO-R 10, *-O-CO-OR10 or *-OL10 -CO- represents OR10 , and * represents the binding site to the benzene ring.
L10 represents an alkanediyl group having 1 to 6 carbon atoms.
R10 represents a group having a cyclic carbonate structure.
R4 , R5 , R6 , R7 , R8 and R9 each independently represent a halogen atom, a haloalkyl group having 1 to 12 carbon atoms or a hydrocarbon group having 1 to 18 carbon atoms, and the hydrocarbon The group may have a substituent, and —CH2 — contained in the haloalkyl group and the hydrocarbon group may be replaced with —O—, —S—, —CO— or —SO2 —. good.
A1 , A2 and A3 each independently represent a hydrocarbon group having 2 to 20 carbon atoms, the hydrocarbon group may have a substituent, and the —CH2- may be replaced by -O-, -CO-, -S- or -SO2 -.
m1 represents an integer of 0 to 5, and when m1 is 2 or more, groups in parentheses may be the same or different.
m2 represents an integer of 0 to 4, and when m2 is 2 or more, groups in parentheses may be the same or different.
m3 represents an integer of 0 to 4, and when m3 is 2 or more, groups in parentheses may be the same or different.
m4 represents an integer of 0 to 4, and when m4 is 2 or more, multipleR4 's may be the same or different.
m5 represents an integer of 0 to 4, and when m5 is 2 or more, multiple R5's may be thesame or different.
m6 represents an integer of 0 to 4, and when m6 is 2 or more, a plurality of R6 may be thesame or different.
m7 represents an integer of 0 to 5, and when m7 is 2 or more, multiple R7 may be the same or different.
m8 represents an integer of 0 to 4, and when m8 is 2 or more, multiple R8s may be the same or different.
m9 represents an integer of 0 to 4, and when m9 is 2 or more, multiple R9s may be the same or different.
However, 0≤m1+m7≤5, 0≤m2+m8≤4, 0≤m3+m9≤4, and at least one of m1, m2, and m3 represents an integer of 1 or more.
X4 represents a single bond, -CH2 -, -O-, -S-, -CO-, -SO- or -SO2 -.
AI represents an organic anion. ]
が、*-X01-L01-又は*-L01-X01-であり、Aが、*-X02-L02-又は*-L02-X02-であり、Aが、*-X03-L03-又は*-L03-X03-である(X01、X02及びX03は、それぞれ独立に、-O-、-CO-、-S-又は-SO-を表す。L01、L02及びL03は、それぞれ独立に、炭素数1~19の炭化水素基を表し、該炭化水素基は、置換基を有してもよく、該炭化水素基に含まれる-CH2-は、-O-、-CO-、-S-又は-SO-で置き換わっていてもよい。*は、R、R又はRが結合するベンゼン環との結合部位を表す。)請求項13に記載の塩。A1 is *-X01 -L01 - or *-L01 -X01 -, A2 is *-X02 -L02 - or *-L02 -X02 -, and A3 is *-X03 -L03 - or *-L03 -X03 - (X01 , X02 and X03 are each independently -O-, -CO-, -S- or -SO2 — L01 , L02 and L03 each independently represent a hydrocarbon group having 1 to 19 carbon atoms, the hydrocarbon group optionally having a substituent, the hydrocarbon group —CH2 — contained in may be replaced with —O—, —CO—, —S— or —SO2* indicatesa represents the binding site.) A salt according to claim 13.01、X02及びX03が、それぞれ独立に、-O-又は-S-である請求項14に記載の塩。The salt according to claim 14, wherein X01 , X02 and X03 are each independently -O- or -S-.01、L02及びL03が、それぞれ独立に、炭素数1~6のアルカンジイル基(該アルカンジイル基に含まれる-CH2-は、-O-又は-CO-で置き換わっていてもよい。)である請求項14又は15に記載の塩。L01 , L02 and L03 are each independently an alkanediyl group having 1 to 6 carbon atoms (-CH2 - contained in the alkanediyl group may be replaced with -O- or -CO- .) is a salt according to claim 14 or 15.10の環状炭酸エステル構造を有する基が、式(Ix)で表される基である請求項13又は14に記載の塩。
Figure 2023016037000184
[式(Ix)中、
環Wは、置換基を有していてもよい環状炭酸エステル構造の環を表す。
12は、単結合又は置換基を有していてもよい炭素数1~36の炭化水素基を表し、該炭化水素基に含まれる-CH2-は、-O-、-S-、-CO-又は-SO-に置き換わっていてもよい。
*は、結合部位を表す。]
15. The salt according to claim 13 or14 , wherein the group having a cyclic carbonate structure for R10 is a group represented by formula (Ix).
Figure 2023016037000184
[In the formula (Ix),
Ring Wx represents a ring of a cyclic carbonate structure which may have a substituent.
L12 represents a single bond or an optionally substituted hydrocarbon group having 1 to 36 carbon atoms, and —CH2 — contained in the hydrocarbon group is —O—, —S—, — CO- or -SO2 - may be substituted.
* represents the binding site. ]
AIが、スルホン酸アニオン、スルホニルイミドアニオン又はスルホニルメチドアニオンである請求項13又は14に記載の塩。A salt according to claim 13 or 14, wherein AI- is a sulfonate, sulfonylimide or sulfonylmethide anion. AIはスルホン酸アニオンであり、スルホン酸アニオンは式(I-A)で表されるアニオンである請求項13又は14に記載の塩。
Figure 2023016037000185
[式(I-A)中、
及びQは、それぞれ独立に、水素原子、フッ素原子、炭素数1~6のアルキル基又は炭素数1~6のペルフルオロアルキル基を表す。
は、炭素数1~24の飽和炭化水素基を表し、該飽和炭化水素基に含まれる-CH-は、-O-又は-CO-に置き換わっていてもよく、該飽和炭化水素基に含まれる水素原子は、フッ素原子又はヒドロキシ基で置換されていてもよい。
は、置換基を有していてもよいメチル基又は置換基を有していてもよい炭素数3~24の脂環式炭化水素基を表し、該脂環式炭化水素基に含まれる-CH-は、-O-、-S-、-SO-又は-CO-に置き換わっていてもよい。]
A salt according to claim 13 or 14, wherein AI- is a sulfonate anion, the sulfonate anion being an anion of formula (IA).
Figure 2023016037000185
[In the formula (IA),
Q1 and Q2 each independently represent a hydrogen atom, a fluorine atom, an alkyl group having 1 to 6 carbon atoms or a perfluoroalkyl group having 1 to 6 carbon atoms.
L1 represents a saturated hydrocarbon group having 1 to 24 carbon atoms, and —CH2 — contained in the saturated hydrocarbon group may be replaced with —O— or —CO—; A hydrogen atom contained in may be substituted with a fluorine atom or a hydroxy group.
Y1 represents an optionally substituted methyl group or an optionally substituted alicyclic hydrocarbon group having 3 to 24 carbon atoms, and is included in the alicyclic hydrocarbon group -CH2 - may be replaced by -O-, -S-, -SO2 - or -CO-. ]
JP2022115576A2021-07-202022-07-20 Salt, acid generator, resist composition and method for producing resist patternPendingJP2023016037A (en)

Applications Claiming Priority (2)

Application NumberPriority DateFiling DateTitle
JP20211198742021-07-20
JP20211198742021-07-20

Publications (1)

Publication NumberPublication Date
JP2023016037Atrue JP2023016037A (en)2023-02-01

Family

ID=85130998

Family Applications (1)

Application NumberTitlePriority DateFiling Date
JP2022115576APendingJP2023016037A (en)2021-07-202022-07-20 Salt, acid generator, resist composition and method for producing resist pattern

Country Status (1)

CountryLink
JP (1)JP2023016037A (en)

Similar Documents

PublicationPublication DateTitle
JP2023088869A (en)Salt, acid generator, resist composition, and method for producing resist pattern
JP2022123839A (en) Salt, acid generator, resist composition and method for producing resist pattern
JP2024031931A (en) Salt, acid generator, resist composition, and method for producing resist pattern
JP2023016035A (en) Salt, acid generator, resist composition and method for producing resist pattern
JP2023010680A (en) Salt, acid generator, resist composition and method for producing resist pattern
JP2022189790A (en)Salt, acid generator, resist composition, and method for producing resist pattern
JP2023008906A (en)Salt, acid generator, resist composition, and method for producing resist pattern
JP2023001919A (en)Salt, acid generator, resist composition, and method for producing resist pattern
JP2023001921A (en) Salt, acid generator, resist composition and method for producing resist pattern
JP2023001099A (en) Salt, acid generator, resin, resist composition, and method for producing resist pattern
JP2022173110A (en)Salt, acid generator, resist composition, and method for producing resist pattern
JP2022164583A (en)Salt, acid generator, resist composition, and method for producing resist pattern
JP2022164585A (en)Salt, acid generator, resist composition, and method for producing resist pattern
JP2023002490A (en)Salt, acid generator, resist composition, and method for producing resist pattern
JP2023016037A (en) Salt, acid generator, resist composition and method for producing resist pattern
JP2023014038A (en) Salt, acid generator, resist composition and method for producing resist pattern
JP2023008904A (en)Salt, acid generator, resist composition, and method for producing resist pattern
JP2023010678A (en) Salt, acid generator, resist composition and method for producing resist pattern
JP2023008963A (en)Salt, acid generator, resist composition, and method for producing resist pattern
JP2023014044A (en) Salt, acid generator, resist composition and method for producing resist pattern
JP2022189773A (en)Salt, acid generator, resist composition, and method for producing resist pattern
JP2022191199A (en)Salt, acid generator, resist composition, and method for producing resist pattern
JP2022183077A (en) Salt, acid generator, resist composition and method for producing resist pattern
JP2023001917A (en)Salt, acid generator, resist composition, and method for producing resist pattern
JP2023035961A (en)Salt, acid generator, resist composition and method for producing resist pattern

Legal Events

DateCodeTitleDescription
A621Written request for application examination

Free format text:JAPANESE INTERMEDIATE CODE: A621

Effective date:20250515


[8]ページ先頭

©2009-2025 Movatter.jp