










本発明は、金属膜形成用前駆体組成物、これを用いた金属膜形成方法、及び前記金属膜を含む半導体素子に係り、さらに詳細には、原子層蒸着(ALD)又は化学気相蒸着(CVD)工程で使用されるジルコニウム及びハフニウムを含有する金属膜形成用前駆体組成物、これを用いた金属膜形成方法、及び前記金属膜を含む半導体素子に関する。 The present invention relates to a metal film forming precursor composition, a metal film forming method using the metal film forming method, and a semiconductor element including the metal film, and more particularly, atomic layer deposition (ALD) or chemical vapor deposition (ALD) (chemical vapor deposition). The present invention relates to a metal film forming precursor composition containing zirconium and hafnium used in the CVD) step, a metal film forming method using the same, and a semiconductor element containing the metal film.
原子層蒸着(ALD)又は化学気相蒸着(CVD)工程のための前駆体として、様々な形態の有機金属化合物が開発されて使用されている。このような蒸着工程を適用してDRAM、キャパシタなどの半導体素子を製造する際に主に使用された材料は酸化シリコンであったが、最近、high-kの電気的特性が要求されることにより、従来の酸化シリコンの代わりにハフニウム又はジルコニウム酸化物を用いた薄膜が製造されている。 Various forms of organometallic compounds have been developed and used as precursors for atomic layer deposition (ALD) or chemical vapor deposition (CVD) steps. Silicon oxide was the main material used when manufacturing semiconductor devices such as DRAMs and capacitors by applying such a thin-film deposition process, but recently, due to the demand for high-k electrical characteristics. , Thin films using hafnium or zirconium oxide instead of conventional silicon oxide are manufactured.
このような薄膜を製造するためには、工程に適した前駆体を選定して最適化する必要がある。例えば、韓国公開特許第10-2012-0093165号公報では、化学式ML(NR7R8)3のハフニウム又はジルコニウム化合物を前駆体として適用しているが、前記前駆体は、シクロペンタジエニルリガンドを含む化合物であって、薄膜形成工程に適した物質であることが確認されている。In order to produce such a thin film, it is necessary to select and optimize a precursor suitable for the process. For example, in Korean Publication No. 10-2012-093165, a hafnium or zirconium compound of Chemical Formula ML (NR7 R8 )3 is applied as a precursor, and the precursor is a cyclopentadienyl ligand. It has been confirmed that the compound contains the compound and is suitable for the thin film forming step.
上記の先行技術では、ジルコニウム化合物及びハフニウム化合物をそれぞれ適用してジルコニウム含有薄膜とハフニウム含有薄膜を製造しているが、前記ジルコニウム化合物とハフニウム化合物を併用してジルコニウム-ハフニウム含有薄膜を製造することについては開示されていない。 In the above-mentioned prior art, a zirconium compound and a hafnium compound are applied to produce a zirconium-containing thin film and a hafnium-containing thin film, respectively. Is not disclosed.
また、米国特許第8,962,078号明細書では、ハフニウム前駆体としてハフニウムシクロペンタジエニル化合物が開示されており、ジルコニウム前駆体としてジルコニウムシクロペンタジエニルが開示されているが、この先行技術でも、ジルコニウム化合物とハフニウム化合物を併用してジルコニウム-ハフニウム含有薄膜を製造することについては開示されていない。 Further, US Pat. No. 8,962,078 discloses a hafnium cyclopentadienyl compound as a hafnium precursor and zirconium cyclopentadienyl as a zirconium precursor. However, there is no disclosure about producing a zirconium-hafnium-containing thin film by using a zirconium compound and a hafnium compound in combination.
また、韓国公開特許第10-2017-0016748号明細書では、互いに異なる第1ソース物質及び第2ソース物質を用いて物質膜を形成する方法であって、前記ソース物質としてCpZr(NMe2)3、Hf(Ot-Bu)4、Hf(NEt2)4、Hf(NEtMe)4、Hf(NMe2)4、TDMAHなどが記載されてジルコニウム化合物とハフニウム化合物とを併用することについての暗示はあるものの、具体的にジルコニウム-ハフニウム含有薄膜を製造することについては開示されていない。Further, in Korean Publication No. 10-2017-0016748, a method of forming a substance film using a first source substance and a second source substance different from each other, wherein CpZr (NMe2 )3 is used as the source substance. , Hf (Ot-Bu)4 , Hf (NET2 )4 , Hf (NETMe)4 , Hf (NMe2 )4 , TDMAH, etc. are described and there is an implication about the combined use of a zirconium compound and a hafnium compound. However, there is no disclosure about specifically producing a zirconium-hafnium-containing thin film.
本発明は、かかる従来技術に鑑みてなされたもので、high-k特性を示すジルコニウム-ハフニウム含有薄膜を製造するためのジルコニウム化合物及びハフニウム化合物を含有する前駆体組成物を提供することを目的とする。 The present invention has been made in view of such prior art, and an object of the present invention is to provide a zirconium compound and a precursor composition containing a hafnium compound for producing a zirconium-hafnium-containing thin film exhibiting high-k characteristics. do.
また、本発明は、前記化合物のうちの1種又はそれ以上を希釈又は溶解させることができる溶媒を含むことにより、気化によってチャンバ内へ移送することができるジルコニウム-ハフニウム含有薄膜を製造するための前駆体組成物を提供することを目的とする。 The present invention also provides a zirconium-hafnium-containing thin film that can be transferred into a chamber by vaporization by containing a solvent capable of diluting or dissolving one or more of the compounds. It is an object of the present invention to provide a precursor composition.
  上記の目的を達成するために、本発明の金属膜形成用前駆体組成物は、下記化学式1乃至化学式3のいずれか一つで表示されるジルコニウム化合物、及び下記化学式4乃至化学式6のいずれか一つで表示されるハフニウム化合物を含むことを特徴とする。
この時、前記金属膜形成用前駆体組成物は、溶媒をさらに含むことができるが、前記溶媒としては、C1~C16の飽和又は不飽和炭化水素、ケトン、エーテル、グライム、エステル、テトラヒドロフラン、第3級アミンのいずれか一つ又はそれ以上を使用することができる。At this time, the precursor composition for forming a metal film may further contain a solvent, and the solvent includes saturated or unsaturated hydrocarbons of C1 toC16 , ketones, ethers,glimes , esters, and tetrahydrofurans. , Any one or more of tertiary amines can be used.
また、前記溶媒は、前記金属膜形成用前駆体組成物の全重量に対して0.1~99重量%で含まれ得る。 Further, the solvent may be contained in an amount of 0.1 to 99% by weight based on the total weight of the precursor composition for forming a metal film.
また、前記ジルコニウム化合物及びハフニウム化合物は、0.1:99.9乃至99.9:0.1の重量比で混合できる。 Further, the zirconium compound and the hafnium compound can be mixed at a weight ratio of 0.1: 99.9 to 99.9: 0.1.
本発明による金属膜形成方法は、前記金属膜形成用前駆体組成物を用いて基板上に金属膜を蒸着するステップを含むことを特徴とする。 The method for forming a metal film according to the present invention is characterized by including a step of depositing a metal film on a substrate using the precursor composition for forming a metal film.
この時、前記金属膜形成用前駆体組成物は、溶媒をさらに含むことができ、前記溶媒は、前記金属膜形成用前駆体組成物の全重量に対して0.1~99重量%で含まれ得る。 At this time, the metal film forming precursor composition may further contain a solvent, and the solvent is contained in an amount of 0.1 to 99% by weight based on the total weight of the metal film forming precursor composition. It can be.
また、前記金属膜は、原子層蒸着法(Atomic Layer Deposition)、化学気相蒸着法(Chemical Vapor Deposition)、及び蒸発法(Evaporation)のうちのいずれか一つの方法によって蒸着できる。 Further, the metal film can be vapor-deposited by any one of an atomic layer deposition method, a chemical vapor deposition method, and an evaporation method.
また、前記金属膜形成用前駆体組成物を前記基板に供給する前駆体組成物伝達ステップをさらに含むことができるが、この時、前記前駆体組成物伝達ステップは、蒸気圧を利用して、揮発移送方法、直接液体注入方法(Direct Liquid Injection)及び液体移送方法(Liquid Delivery System)のうちのいずれか一つで行われることができる。 Further, a precursor composition transfer step of supplying the precursor composition for forming a metal film to the substrate can be further included, but at this time, the precursor composition transfer step utilizes vapor pressure. It can be carried out by any one of a volatile transfer method, a direct liquid injection method and a liquid transfer system.
また、前記蒸着は、チャンバ内に基板を位置させるステップと、前記金属膜形成用前駆体組成物を前記チャンバ内に供給するステップと、前記チャンバ内に反応性ガス又は反応性ガスのプラズマを供給するステップと、前記チャンバ内で熱処理、プラズマ処理及び光照射のうちのいずれか一つ又はそれ以上の手段によって処理するステップとを含むことができる。 Further, in the vapor deposition, a step of locating the substrate in the chamber, a step of supplying the precursor composition for forming a metal film into the chamber, and a plasma of a reactive gas or a reactive gas are supplied into the chamber. And the step of treating in the chamber by any one or more of heat treatment, plasma treatment and light irradiation.
この時、前記反応性ガスは、水蒸気(H2O)、酸素(O2)、オゾン(O3)、過酸化水素(H2O2)、水素(H2)、アンモニア(NH3)、一酸化窒素(NO)、亜酸化窒素(N2O)、二酸化窒素(NO2)、ヒドラジン(N2H4)、及びシラン(SiH4)のうちのいずれか一つ又はそれ以上であり、前記反応性ガスのプラズマは、RFプラズマ、DCプラズマ、及びリモート(Remote)プラズマのうちのいずれか一つであることができる。At this time, the reactive gas is water vapor (H2 O), oxygen (O2 ), ozone (O3 ), hydrogen peroxide (H2 O2 ), hydrogen (H2 ), ammonia (NH3 ), and the like. One or more of nitrogen monoxide (NO), nitrous oxide (N2 O), nitrogen dioxide (NO2 ), hydrazine (N2 H4 ), and silane (Si H4 ). The reactive gas plasma can be any one of RF plasma, DC plasma, and remote plasma.
また、前記チャンバ内の蒸着温度は250乃至400℃であることができる。 Further, the vapor deposition temperature in the chamber can be 250 to 400 ° C.
また、前記ジルコニウム化合物とハフニウム化合物は、0.1:99.9~99.9:0.1の重量比で混合できる。 Further, the zirconium compound and the hafnium compound can be mixed at a weight ratio of 0.1: 99.9 to 99.9: 0.1.
本発明による半導体素子は、前記金属膜形成方法によって製造された金属膜を含むことを特徴とし、トランジスタは、前記金属膜形成方法によって製造された金属膜を含むトランジスタであって、前記金属膜は、前記トランジスタのゲート絶縁層を構成することを特徴とする。 The semiconductor device according to the present invention is characterized by including a metal film manufactured by the metal film forming method, the transistor is a transistor containing a metal film manufactured by the metal film forming method, and the metal film is a transistor. It is characterized by forming a gate insulating layer of the transistor.
本発明による前駆体組成物は、ジルコニウム化合物及びハフニウム化合物を含有するため、high-k特性を示すジルコニウム-ハフニウム含有薄膜を製造するのに適した特性を示す。 Since the precursor composition according to the present invention contains a zirconium compound and a hafnium compound, it exhibits properties suitable for producing a zirconium-hafnium-containing thin film exhibiting high-k characteristics.
また、前記化合物のうちの1種又はそれ以上を希釈又は溶解させることができる溶媒を含むことにより、高い粘度の液状組成物又は固体状態の化合物でも気化によってチャンバ内に移送することができるという効果を示す。 Further, by containing a solvent capable of diluting or dissolving one or more of the above compounds, even a highly viscous liquid composition or a compound in a solid state can be transferred into the chamber by vaporization. Is shown.
また、前記前駆体組成物を適用することにより、high-k特性を示す様々な半導体素子用薄膜を製造することができるという効果を示す。 Further, by applying the precursor composition, it is possible to produce various thin films for semiconductor devices exhibiting high-k characteristics.
以下、本発明をより詳細に説明する。本明細書及び請求の範囲に使用された用語や単語は、通常的かつ事典的な意味に限定して解釈されてはならず、発明者は自分の発明を最善の方法で説明するために用語の概念を適切に定義することができるという原則に即して、本発明の技術的思想に符合する意味と概念で解釈されるべきである。 Hereinafter, the present invention will be described in more detail. The terms and words used herein and in the scope of the claims shall not be construed in a general and encyclopedic sense and the inventor shall use the terms to describe his invention in the best possible way. It should be interpreted in terms of meanings and concepts that are consistent with the technical ideas of the present invention, in line with the principle that the concept of can be properly defined.
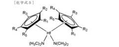
  本発明による金属膜形成用前駆体組成物は、下記化学式1乃至化学式3のうちのいずれか一つで表示されるジルコニウム化合物、及び下記化学式4乃至化学式6のうちのいずれか一つで表示されるハフニウム化合物を含むことを特徴とする。
  前記化学式1で表示されるジルコニウム化合物は、シクロペンタジエニル基を一つ含有する化合物であって、代表的に次の物質を例示することができるが、これに限定されない。  The zirconium compound represented by the
CpZr(NMe2)3、[MeCp]Zr(NMe2)3、[(Me)2Cp]Zr(NMe2)3、[(Me)3Cp]Zr(NMe2)3、[(Me)4Cp]Zr(NMe2)3、[(Me)5Cp]Zr(NMe2)3、[EtCp]Zr(NMe2)3、[(Et)2Cp]Zr(NMe2)3、[(Et)3Cp]Zr(NMe2)3、[(Et)4Cp]Zr(NMe2)3、[(Et)5Cp]Zr(NMe2)3、[nPrCp]Zr(NMe2)3、[(nPr)2Cp]Zr(NMe2)3、[(nPr)3Cp]Zr(NMe2)3、[(nPr)4Cp]Zr(NMe2)3、[(nPr)5Cp]Zr(NMe2)3、[iPrCp]Zr(NMe2)3、[(iPr)2Cp]Zr(NMe2)3、[(iPr)3Cp]Zr(NMe2)3、[(iPr)4Cp]Zr(NMe2)3、[(iPr)5Cp]Zr(NMe2)3、[nBuCp]Zr(NMe2)3、[(nBu)2Cp]Zr(NMe2)3、[(nBu)3Cp]Zr(NMe2)3、[(nBu)4Cp]Zr(NMe2)3、[(nBu)5Cp]Zr(NMe2)3、[tBuCp]Zr(NMe2)3、[(tBu)2Cp]Zr(NMe2)3、[(tBu)3Cp]Zr(NMe2)3、[(tBu)4Cp]Zr(NMe2)3、[(tBu)5Cp]Zr(NMe2)3、[(Me)(Et)Cp]Zr(NMe2)3、[(Me)(Et)2Cp]Zr(NMe2)3、[(Me)(Et)3Cp]Zr(NMe2)3、[(Me)(Et)4Cp]Zr(NMe2)3、[(Me)2(Et)Cp]Zr(NMe2)3、[(Me)2(Et)2Cp]Zr(NMe2)3、[(Me)3(Et)Cp]Zr(NMe2)3、[(Me)3(Et)2Cp]Zr(NMe2)3、[(Me)(nPr)Cp]Zr(NMe2)3、[(Me)(nPr)2Cp]Zr(NMe2)3、[(Me)(nPr)3Cp]Zr(NMe2)3、[(Me)(nPr)4Cp]Zr(NMe2)3、[(Me)2(nPr)Cp]Zr(NMe2)3、[(Me)2(nPr)2Cp]Zr(NMe2)3、[(Me)3(nPr)Cp]Zr(NMe2)3、[(Me)3(nPr)2Cp]Zr(NMe2)3、[(Me)(iPr)Cp]Zr(NMe2)3、[(Me)(iPr)2Cp]Zr(NMe2)3、[(Me)(iPr)3Cp]Zr(NMe2)3、[(Me)(iPr)4Cp]Zr(NMe2)3、[(Me)2(iPr)Cp]Zr(NMe2)3、[(Me)2(iPr)2Cp]Zr(NMe2)3、[(Me)3(iPr)Cp]Zr(NMe2)3、[(Me)3(iPr)2Cp]Zr(NMe2)3、[(Me)(tBu)Cp]Zr(NMe2)3、[(Me)(tBu)2Cp]Zr(NMe2)3、[(Me)(tBu)3Cp]Zr(NMe2)3、[(Me)(tBu)4Cp]Zr(NMe2)3、[(Me)2(tBu)Cp]Zr(NMe2)3、[(Me)2(tBu)2Cp]Zr(NMe2)3、[(Me)3(tBu)Cp]Zr(NMe2)3、及び[(Me)3(tBu)2Cp]Zr(NMe2)3のうちのいずれか一つ又はそれ以上の化合物を挙げることができる。CpZr (NMe2 )3 , [MeCp] Zr (NMe2 )3 , [(Me)2 Cp] Zr (NMe2 )3 , [(Me)3 Cp] Zr (NMe2 )3 , [(Me)4 Cp] Zr (NMe2 )3 , [(Me)5 Cp] Zr (NMe2 )3 , [EtCp] Zr (NMe2 )3 , [(Et)2 Cp] Zr (NMe2 )3 , [(Et) )3 Cp] Zr (NMe2 )3 , [(Et)4 Cp] Zr (NMe2 )3 , [(Et)5 Cp] Zr (NMe2 )3 , [n PrCp] Zr (NMe2 )3 , [(N Pr)2 Cp] Zr (NMe2 )3 , [(n Pr)3 Cp] Zr (NMe2 )3 , [(n Pr)4 Cp] Zr (NMe2 )3 , [(n Pr)5 Cp] Zr (NMe2 )3 , [i PrCp] Zr (NMe2 )3 , [(i Pr)2 Cp] Zr (NMe2 )3 , [(i Pr)3 Cp] Zr (NMe2 )3 , [(I Pr)4 Cp] Zr (NMe2 )3 , [(i Pr)5 Cp] Zr (NMe2 )3 , [n BuCp] Zr (NMe2 )3 , [(n Bu)2 Cp] Zr (NMe2 )3 , [(n Bu)3 Cp] Zr (NMe2 )3 , [(n Bu)4 Cp] Zr (NMe2 )3 , [(n Bu)5 Cp] Zr (NMe2 )3 , [t BuCp] Zr (NMe2 )3 , [(t Bu)2 Cp] Zr (NMe2 )3 , [(t Bu)3 Cp] Zr (NMe2 )3 , [(t Bu)4 Cp ] Zr (NMe2 )3 , [(t Bu)5 Cp] Zr (NMe2 )3 , [(Me) (Et) Cp] Zr (NMe2 )3 , [(Me) (Et)2 Cp] Zr (NMe2 )3 , [(Me) (Et)3 Cp] Zr (NMe2 )3 , [(Me) (Et)4 Cp] Zr (NMe2 )3 , [(Me)2 (Et) Cp] Zr (NMe2 )3 , [(Me)2 (Et)2 Cp] Zr (NMe2 )3 , [(Me)3 (Et) Cp] Zr (NMe2 )3 , [ (Me)3 (Et)2 Cp] Zr (NMe2 )3 , [(Me) (n Pr) Cp] Zr (NMe2 )3 , [(Me) (n Pr)2 Cp] Zr (NMe2 )3 , [(Me) (n Pr)3 Cp] Zr (NMe2 )3 , [(Me) (n Pr)4 Cp] Zr (NMe2 )3 , [(Me)2 (n Pr) Cp] Zr (NMe2 )3 , [(Me)2 (n Pr)2 Cp] Zr (NMe2 )3 , [(Me)3 (n Pr) Cp] Zr (NMe2 )3 , [(Me)3 (n ) Pr)2 Cp] Zr (NMe2 )3 , [(Me) (i Pr) Cp] Zr (NMe2 )3 , [(Me) (i Pr)2 Cp] Zr (NMe2 )3 , [(Me) ) (I Pr)3 Cp] Zr (NMe2 )3 , [(Me) (i Pr)4 Cp] Zr (NMe2 )3 , [(Me)2 (i Pr) Cp] Zr (NMe2 )3 , [(Me)2 (i Pr)2 Cp] Zr (NMe2 )3 , [(Me)3 (i Pr) Cp] Zr (NMe2 )3 , [(Me)3 (i Pr)2 Cp] Zr (NMe2 )3 , [(Me) (t Bu) Cp] Zr (NMe2 )3 , [(Me) (t Bu)2 Cp] Zr (NMe2 )3 , [(Me) (t Bu)3 Cp] Zr (NMe2 )3 , [(Me) (t Bu)4 Cp] Zr (NMe2 )3 , [(Me)2 (t Bu) Cp] Zr (NMe2 )3 , [(Me)2 (t Bu)2 Cp] Zr (NMe2 )3 , [(Me)3 (t Bu) Cp] Zr (NMe2 )3 , and [(Me)3 (t Bu)2 Cp] Zr (NMe2 ) ) One or more of thethree compounds may be mentioned.
  また、前記化学式2で表示されるジルコニウム化合物は、シクロペンタジエニル基を2つ含有する化合物であって、代表的に次の物質を例示することができるが、これに限定されない。  Further, the zirconium compound represented by the
[Cp]2Zr(NMe2)2、[MeCp]2Zr(NMe2)2、[(Me)2Cp]2Zr(NMe2)2、[(Me)3Cp]2Zr(NMe2)2、[(Me)4Cp]2Zr(NMe2)2、[(Me)5Cp]2Zr(NMe2)2、[EtCp]2Zr(NMe2)2、[(Et)2Cp]2Zr(NMe2)2、[(Et)3Cp]2Zr(NMe2)2、[(Et)4Cp]2Zr(NMe2)2、[(Et)5Cp]2Zr(NMe2)2、[nPrCp]2Zr(NMe2)2、[(nPr)2Cp]2Zr(NMe2)2、[(nPr)3Cp]2Zr(NMe2)2、[(nPr)4Cp]2Zr(NMe2)2、[(nPr)5Cp]2Zr(NMe2)2、[iPrCp]2Zr(NMe2)2、[(iPr)2Cp]2Zr(NMe2)2、[(iPr)3Cp]2Zr(NMe2)2、[(iPr)4Cp]2Zr(NMe2)2、[(iPr)5Cp]2Zr(NMe2)2、[nBuCp]2Zr(NMe2)2、[(nBu)2Cp]2Zr(NMe2)2、[(nBu)3Cp]2Zr(NMe2)2、[(nBu)4Cp]2Zr(NMe2)2、[(nBu)5Cp]2Zr(NMe2)2、[tBuCp]2Zr(NMe2)2、[(tBu)2Cp]2Zr(NMe2)2、[(tBu)3Cp]2Zr(NMe2)2、[(tBu)4Cp]2Zr(NMe2)2、[(tBu)5Cp]2Zr(NMe2)2、[(Me)(Et)Cp]2Zr(NMe2)2、[(Me)(Et)2Cp]2Zr(NMe2)2、[(Me)(Et)3Cp]2Zr(NMe2)2、[(Me)(Et)4Cp]2Zr(NMe2)2、[(Me)2(Et)Cp]2Zr(NMe2)2、[(Me)2(Et)2Cp]2Zr(NMe2)2、[(Me)3(Et)Cp]2Zr(NMe2)2、[(Me)3(Et)2Cp]2Zr(NMe2)2、[(Me)(nPr)Cp]2Zr(NMe2)2、[(Me)(nPr)2Cp]2Zr(NMe2)2、[(Me)(nPr)3Cp]2Zr(NMe2)2、[(Me)(nPr)4Cp]2Zr(NMe2)2、[(Me)2(nPr)Cp]2Zr(NMe2)2、[(Me)2(nPr)2Cp]2Zr(NMe2)2、[(Me)3(nPr)Cp]2Zr(NMe2)2、[(Me)3(nPr)2Cp]2Zr(NMe2)2、[(Me)(iPr)Cp]2Zr(NMe2)2、[(Me)(iPr)2Cp]2Zr(NMe2)2、[(Me)(iPr)3Cp]2Zr(NMe2)2、[(Me)(iPr)4Cp]2Zr(NMe2)2、[(Me)2(iPr)Cp]2Zr(NMe2)2、[(Me)2(iPr)2Cp]2Zr(NMe2)2、[(Me)3(iPr)Cp]2Zr(NMe2)2、[(Me)3(iPr)2Cp]2Zr(NMe2)2、[(Me)(tBu)Cp]2Zr(NMe2)2、[(Me)(tBu)2Cp]2Zr(NMe2)2、[(Me)(tBu)3Cp]2Zr(NMe2)2、[(Me)(tBu)4Cp]2Zr(NMe2)2、[(Me)2(tBu)Cp]2Zr(NMe2)2、[(Me)2(tBu)2Cp]2Zr(NMe2)2、[(Me)3(tBu)Cp]2Zr(NMe2)2、及び[(Me)3(tBu)2Cp]2Zr(NMe2)2のうちのいずれか一つ又はそれ以上の化合物を挙げることができる。[Cp]2 Zr (NMe2 )2 , [MeCp]2 Zr (NMe2 )2 , [(Me)2 Cp]2 Zr (NMe2 )2 , [(Me)3 Cp]2 Zr (NMe2 )2 , [(Me)4 Cp]2 Zr (NMe2 )2 , [(Me)5 Cp]2 Zr (NMe2 )2 , [EtCp]2 Zr (NMe2 )2 , [(Et)2 Cp]2 Zr (NMe2 )2 , [(Et)3 Cp]2 Zr (NMe2 )2 , [(Et)4 Cp]2 Zr (NMe2 )2 , [(Et)5 Cp]2 Zr (NMe2 ) )2 , [n PrCp]2 Zr (NMe2 )2 , [(n Pr)2 Cp]2 Zr (NMe2 )2 , [(n Pr)3 Cp]2 Zr (NMe2 )2 , [(n ) Pr)4 Cp]2 Zr (NMe2 )2 , [(n Pr)5 Cp]2 Zr (NMe2 )2 , [i PrCp]2 Zr (NMe2 )2 , [(i Pr)2 Cp]2 Zr (NMe2 )2 , [(i Pr)3 Cp]2 Zr (NMe2 )2 , [(i Pr)4 Cp]2 Zr (NMe2 )2 , [(i Pr)5 Cp]2 Zr ( NMe2 )2 , [n BuCp]2 Zr (NMe2 )2 , [(n Bu)2 Cp]2 Zr (NMe2 )2 , [(n Bu)3 Cp]2 Zr (NMe2 )2 , [ (N Bu)4 Cp]2 Zr (NMe2 )2 , [(n Bu)5 Cp]2 Zr (NMe2 )2 , [t BuCp]2 Zr (NMe2 )2 , [(t Bu)2 Cp] ]2 Zr (NMe2 )2 , [(t Bu)3 Cp]2 Zr (NMe2 )2 , [(t Bu)4 Cp]2 Zr (NMe2 )2 , [(t Bu)5 Cp]2 Zr (NMe2 )2 , [(Me) (Et) Cp]2 Zr (NMe2 )2 , [(Me) (Et)2 Cp]2 Zr (NMe2 )2 , [(Me) (Et)3 Cp]2 Zr (NMe2 )2 , [(Me) (Et)4 Cp]2 Zr (NMe2 )2 , [(Me)2 (Et) Cp]2 Zr (NMe2 )2 , [(Me)2 (Et)2 Cp]2 Zr (NMe2 )2 , [(Me)3 (Et) Cp]2 Zr (NMe2 )2 , [(Me)3 (Et)2 Cp]2 Zr (NMe2 )2 , [(Me) (n Pr) Cp]2 Zr (NMe2 )2 , [(Me) (n Pr)2 Cp]2 Zr (NMe2 )2 , [(Me) (n Pr)3 Cp]2 Zr (NMe2 )2 , [(Me) (n Pr)4 Cp]2 Zr (NMe2 )2 , [(Me)2 (n Pr) Cp]2 Zr (NMe2 )2 , [(Me)2 (n Pr)2 Cp]2 Zr (NMe2 )2 , [(Me)3 (n Pr) Cp]2 Zr (NMe2 )2 , [(Me)3 (n Pr)2 Cp]2 Zr (NMe2 )2 , [(Me) (i Pr) Cp]2 Zr (NMe2 ) )2 , [(Me) (i Pr)2 Cp]2 Zr (NMe2 )2 , [(Me) (i Pr)3 Cp]2 Zr (NMe2 )2 , [(Me) (i Pr)4 Cp]2 Zr (NMe2 )2 , [(Me)2 (i Pr) Cp]2 Zr (NMe2 )2 , [(Me)2 (i Pr)2 Cp]2 Zr (NMe2 )2 , [ (Me)3 (i Pr) Cp]2 Zr (NMe2 )2 , [(Me)3 (i Pr)2 Cp]2 Zr (NMe2 )2 , [(Me) (t Bu) Cp]2 Zr (NMe2 )2 , [(Me) (t Bu)2 Cp]2 Zr (NMe2 )2 , [(Me) (t Bu)3 Cp]2 Zr (NMe2 )2 , [(Me) (t ) Bu)4 Cp]2 Zr (NMe2 )2 , [(Me)2 (t Bu) Cp]2 Zr (NMe2 )2 , [(Me)2 (t Bu)2 Cp]2 Zr (NMe2 )2 , [(Me)3 (t Bu) Cp]2 Zr (NMe2 )2 , and [(Me)3 (t Bu)2 Cp]2 Zr (NMe2 )2 One or more of these compounds may be mentioned.
  また、前記化学式3で表示されるジルコニウム化合物は、シクロペンタジエニル基と金属原子との間に連結基によって架橋(bridge)を形成した構造の化合物であって、代表的に次の物質を例示することができるが、これに限定されない。  Further, the zirconium compound represented by the
Zr[CpCH2NMe](NMe2)2、Zr[Cp(CH2)2NMe](NMe2)2、Zr[Cp(CH2)3NMe](NMe2)2、Zr[Cp(CH2)4NMe](NMe2)2、Zr[Cp(CH2)5NMe](NMe2)2、Zr[CpCH2NMe](Cp)(NMe2)、Zr[Cp(CH2)2NMe](Cp)(NMe2)、Zr[Cp(CH2)3NMe](Cp)(NMe2)、Zr[Cp(CH2)4NMe](Cp)(NMe2)、Zr[Cp(CH2)5NMe](Cp)(NMe2)、Zr[(CpMe)CH2NMe](NMe2)2、Zr[(CpMe)(CH2)2NMe](NMe2)2、Zr[(CpMe)(CH2)3NMe](NMe2)2、Zr[(CpMe)(CH2)4NMe](NMe2)2、Zr[(CpMe)(CH2)5NMe](NMe2)2、Zr[(CpMe)CH2NMe](Cp)(NMe2)、Zr[(CpMe)(CH2)2NMe](Cp)(NMe2)、Zr[(CpMe)(CH2)3NMe](Cp)(NMe2)、Zr[(CpMe)(CH2)4NMe](Cp)(NMe2)、Zr[(CpMe)(CH2)5NMe](Cp)(NMe2)、Zr[CpCH2NMe](CpMe)(NMe2)、Zr[Cp(CH2)2NMe](CpMe)(NMe2)、Zr[Cp(CH2)3NMe](CpMe)(NMe2)、Zr[Cp(CH2)4NMe](CpMe)(NMe2)、Zr[Cp(CH2)5NMe](CpMe)(NMe2)、Zr[(CpMe2)CH2NMe](NMe2)2、Zr[(CpMe2)(CH2)2NMe](NMe2)2、Zr[(CpMe2)(CH2)3NMe](NMe2)2、Zr[(CpMe2)(CH2)4NMe](NMe2)2、Zr[(CpMe2)(CH2)5NMe](NMe2)2、Zr[(CpMe2)CH2NMe](Cp)(NMe2)、Zr[(CpMe2)(CH2)2NMe](Cp)(NMe2)、Zr[(CpMe2)(CH2)3NMe](Cp)(NMe2)、Zr[(CpMe2)(CH2)4NMe](Cp)(NMe2)、Zr[(CpMe2)(CH2)5NMe](Cp)(NMe2)、Zr[CpCH2NMe](CpMe2)(NMe2)、Zr[Cp(CH2)2NMe](CpMe2)(NMe2)、Zr[Cp(CH2)3NMe](CpMe2)(NMe2)、Zr[Cp(CH2)4NMe](CpMe2)(NMe2)、Zr[Cp(CH2)5NMe](CpMe2)(NMe2)、Zr[(CpMe3)CH2NMe](NMe2)2、Zr[(CpMe3)(CH2)2NMe](NMe2)2、Zr[(CpMe3)(CH2)3NMe](NMe2)2、Zr[(CpMe3)(CH2)4NMe](NMe2)2、Zr[(CpMe3)(CH2)5NMe](NMe2)2、Zr[(CpMe3)CH2NMe](Cp)(NMe2)、Zr[(CpMe3)(CH2)2NMe](Cp)(NMe2)、Zr[(CpMe3)(CH2)3NMe](Cp)(NMe2)、Zr[(CpMe3)(CH2)4NMe](Cp)(NMe2)、Zr[(CpMe3)(CH2)5NMe](Cp)(NMe2)、Zr[CpCH2NMe](CpMe3)(NMe2)、Zr[Cp(CH2)3NMe](CpMe3)(NMe2)、Zr[Cp(CH2)3NMe](CpMe3)(NMe2)、Zr[Cp(CH2)4NMe](CpMe3)(NMe2)、Zr[Cp(CH2)5NMe](CpMe3)(NMe2)、Zr[CpCH2NMe](CpMe4)(NMe2)、Zr[Cp(CH2)3NMe](CpMe4)(NMe2)、Zr[Cp(CH2)3NMe](CpMe4)(NMe2)、Zr[Cp(CH2)4NMe](CpMe4)(NMe2)、Zr[Cp(CH2)5NMe](CpMe4)(NMe2)Zr[(CpEt)CH2NMe](NMe2)2、Zr[(CpEt)(CH2)2NMe](NMe2)2、Zr[(CpEt)(CH2)3NMe](NMe2)2、Zr[(CpEt)(CH2)4NMe](NMe2)2、Zr[(CpEt)(CH2)5NMe](NMe2)2、Zr[CpCH2NMe](CpEt)(NMe2)、Zr[Cp(CH2)2NMe](CpEt)(NMe2)、Zr[Cp(CH2)3NMe](CpEt)(NMe2)、Zr[Cp(CH2)4NMe](CpEt)(NMe2)、Zr[Cp(CH2)5NMe](CpEt)(NMe2)、Zr[(CpMeEt)CH2NMe](NMe2)2、Zr[(CpMeEt)(CH2)2NMe](NMe2)2、Zr[(CpMeEt)(CH2)3NMe](NMe2)2、Zr[(CpMeEt)(CH2)4NMe](NMe2)2、Zr[(CpMeEt)(CH2)5NMe](NMe2)2、Zr[CpCH2NMe](CpMeEt)(NMe2)、Zr[Cp(CH2)2NMe](CpMeEt)(NMe2)、Zr[Cp(CH2)3NMe](CpMeEt)(NMe2)、Zr[Cp(CH2)4NMe](CpMeEt)(NMe2)、Zr[Cp(CH2)5NMe](CpMeEt)(NMe2)、Zr[(CpMePr)CH2NMe](NMe2)2、Zr[(CpMePr)(CH2)2NMe](NMe2)2、Zr[(CpMePr)(CH2)3NMe](NMe2)2、Zr[(CpMePr)(CH2)4NMe](NMe2)2、Zr[(CpMePr)(CH2)5NMe](NMe2)2、Zr[(CpiPr)CH2NMe](NMe2)2、Zr[(Cpi-PrEt)(CH2)2NMe](NMe2)2、Zr[(CpiPrEt)(CH2)3NMe](NMe2)2、Zr[(CpiPrEt)(CH2)4NMe](NMe2)2、及びZr[(CpiPrEt)(CH2)5NMe](NMe2)2のうちのいずれか一つ又はそれ以上の化合物を使用することができる。Zr [CpCH2 NMe] (NMe2 )2 , Zr [Cp (CH2 )2 NMe] (NMe2 )2 , Zr [Cp (CH2 )3 NMe] (NMe2 )2 , Zr [Cp (CH2 ) )4 NMe] (NMe2 )2 , Zr [Cp (CH2 )5 NMe] (NMe2 )2 , Zr [CpCH2 NMe] (Cp) (NMe2 ), Zr [Cp (CH2 )2 NMe] (Cp) (NMe2 ), Zr [Cp (CH2 )3 NMe] (Cp) (NMe2 ), Zr [Cp (CH2 )4 NMe] (Cp) (NMe2 ), Zr [Cp (CH2 ) )5 NMe] (Cp) (NMe2 ), Zr [(CpMe) CH2 NMe] (NMe2 )2 , Zr [(CpMe) (CH2 )2 NMe] (NMe2 )2 , Zr [(CpMe) (CH2 )3 NMe] (NMe2 )2 , Zr [(CpMe) (CH2 )4 NMe] (NMe2 )2 , Zr [(CpMe) (CH2 )5 NMe] (NMe2 )2 , Zr [(CpMe) CH2 NMe] (Cp) (NMe2 ), Zr [(CpMe) (CH2 )2 NMe] (Cp) (NMe2 ), Zr [(CpMe) (CH2 )3 NMe] (Cp) ) (NMe2 ), Zr [(CpMe) (CH2 )4 NMe] (Cp) (NMe2 ), Zr [(CpMe) (CH2 )5 NMe] (Cp) (NMe2 ), Zr [CpCH2 NMe] (CpMe) (NMe2 ), Zr [Cp (CH2 )2 NMe] (CpMe) (NMe2 ), Zr [Cp (CH2 )3 NMe] (CpMe) (NMe2 ), Zr [Cp ( CH2 )4 NMe] (CpMe) (NMe2 ), Zr [Cp (CH2 )5 NMe] (CpMe) (NMe2 ), Zr [(CpMe2 ) CH2 NMe] (NMe2 )2 , Zr [ (CpMe2 ) (CH2 )2 NMe] (NMe2 )2 , Zr [(CpMe2 ) (CH2 )3 NMe] (NMe2 )2 , Zr [(CpMe2 ) (CH2 )4 NMe] ( NMe2 )2 , Zr [(CpMe2 ) (CH2 )5 NMe] (NMe2 )2 , Zr [(CpMe2 ) CH2 NMe] (Cp) (NMe2 ), Zr [(CpMe2 ) (CH2 )2 NMe] (Cp) (NMe2 ), Zr [(CpMe2 ) (CH2 )3 NMe] (Cp) (NMe2 ), Zr [(CpMe2 ) (CH2 )4 NMe] (Cp) (NMe2 ), Zr [(CpMe2 ) (CH2 )5 NMe] (Cp) (NMe2 ) ), Zr [CpCH2 NMe] (CpMe2 ) (NMe2 ), Zr [Cp (CH2 )2 NMe] (CpMe2 ) (NMe2 ), Zr [Cp (CH2 )3 NMe] (CpMe2 ) (NMe2 ), Zr [Cp (CH2 )4 NMe] (CpMe2 ) (NMe2 ), Zr [Cp (CH2 )5 NMe] (CpMe2 ) (NMe2 ), Zr [(CpMe3 ) CH2 NMe] (NMe2 )2 , Zr [(CpMe3 ) (CH2 )2 NMe] (NMe2 )2 , Zr [(CpMe3 ) (CH2 )3 NMe] (NMe2 )2 , Zr [( CpMe3 ) (CH2 )4 NMe] (NMe2 )2 , Zr [(CpMe3 ) (CH2 )5 NMe] (NMe2 )2 , Zr [(CpMe3 ) CH2 NMe] (Cp) (NMe)2 ), Zr [(CpMe3 ) (CH2 )2 NMe] (Cp) (NMe2 ), Zr [(CpMe3 ) (CH2 )3 NMe] (Cp) (NMe2 ), Zr [(CpMe3 ) ) (CH2 )4 NMe] (Cp) (NMe2 ), Zr [(CpMe3 ) (CH2 )5 NMe] (Cp) (NMe2 ), Zr [CpCH2 NMe] (CpMe3 ) (NMe2 ) ), Zr [Cp (CH2 )3 NMe] (CpMe3 ) (NMe2 ), Zr [Cp (CH2 )3 NMe] (CpMe3 ) (NMe2 ), Zr [Cp (CH2 )4 NMe] (CpMe3 ) (NMe2 ), Zr [Cp (CH2 )5 NMe] (CpMe3 ) (NMe2 ), Zr [CpCH2 NMe] (CpMe4 ) (NMe2 ), Zr [Cp (CH2 ))3 NMe] (CpMe4 ) (NMe2 ), Zr [Cp (Cp) CH2 )3 NMe] (CpMe4 ) (NMe2 ), Zr [Cp (CH2 )4 NMe] (CpMe4 ) (NMe2 ), Zr [Cp (CH2 )5 NMe] (CpMe4 ) (NMe)2 ) Zr [(CpEt) CH2 NMe] (NMe2 )2 , Zr [(CpEt) (CH2 )2 NMe] (NMe2 )2 , Zr [(CpEt) (CH2 )3 NMe] (NMe2 ) )2 , Zr [(CpEt) (CH2 )4 NMe] (NMe2 )2 , Zr [(CpEt) (CH2 )5 NMe] (NMe2 )2 , Zr [CpCH2 NMe] (CpEt) (NMe)2 ), Zr [Cp (CH2 )2 NMe] (CpEt) (NMe2 ), Zr [Cp (CH2 )3 NMe] (CpEt) (NMe2 ), Zr [Cp (CH2 )4 NMe] ( CpEt) (NMe2 ), Zr [Cp (CH2 )5 NMe] (CpEt) (NMe2 ), Zr [(CpMeEt) CH2 NMe] (NMe2 )2 , Zr [(CpMeEt) (CH2 )2 NMe] (NMe2 )2 , Zr [(CpMeEt) (CH2 )3 NMe] (NMe2 )2 , Zr [(CpMeEt) (CH2 )4 NMe] (NMe2 )2 , Zr [(CpMeEt) ( CH2 )5 NMe] (NMe2 )2 , Zr [CpCH2 NMe] (CpMeEt) (NMe2 ), Zr [Cp (CH2 )2 NMe] (CpMeEt) (NMe2 ), Zr [Cp (CH2 ) )3 NMe] (CpMeEt) (NMe2 ), Zr [Cp (CH2 )4 NMe] (CpMeEt) (NMe2 ), Zr [Cp (CH2 )5 NMe] (CpMeEt) (NMe2 ), Zr [ (CpMePr) CH2 NMe] (NMe2 )2 , Zr [(CpMePr) (CH2 )2 NMe] (NMe2 )2 , Zr [(CpMePr) (CH2 )3 NMe] (NMe2 )2 , Zr [(CpMePr) (CH2 )4 NMe] (NMe2 )2 , Zr [(CpMePr) (CH2 )5 NMe] (NMe2 )2 , Zr [(Cpi Pr) CH2 NMe] (NMe)2 )2 , Zr [(Cpi-PrEt) (CH2 )2 NMe] (NMe2 )2 , Zr [(CpiPreEt ) (CH2 )3 NMe] (NMe2 )2 , Zr [(CpiPreEt ) ) (CH2 )4 NMe] (NMe2 )2 , and Zr [(CpiPreEt ) (CH2 )5 NMe] (NMe2 )2 to use one or more compounds. Can be done.
  また、前記化学式4で表示されるハフニウム化合物は、シクロペンタジエニル基を1つ含有する化合物であって、代表的に次の物質を例示することができるが、これに限定されない。  Further, the hafnium compound represented by the
CpHf(NMe2)3、[MeCp]Hf(NMe2)3、[(Me)2Cp]Hf(NMe2)3、[(Me)3Cp]Hf(NMe2)3、[(Me)4Cp]Hf(NMe2)3、[(Me)5Cp]Hf(NMe2)3、[EtCp]Hf(NMe2)3、[(Et)2Cp]Hf(NMe2)3、[(Et)3Cp]Hf(NMe2)3、[(Et)4Cp]Hf(NMe2)3、[(Et)5Cp]Hf(NMe2)3、[nPrCp]Hf(NMe2)3、[(nPr)2Cp]Hf(NMe2)3、[(nPr)3Cp]Hf(NMe2)3、[(nPr)4Cp]Hf(NMe2)3、[(nPr)5Cp]Hf(NMe2)3、[iPrCp]Hf(NMe2)3、[(iPr)2Cp]Hf(NMe2)3、[(iPr)3Cp]Hf(NMe2)3、[(iPr)4Cp]Hf(NMe2)3、[(iPr)5Cp]Hf(NMe2)3、[nBuCp]Hf(NMe2)3、[(nBu)2Cp]Hf(NMe2)3、[(nBu)3Cp]Hf(NMe2)3、[(nBu)4Cp]Hf(NMe2)3、[(nBu)5Cp]Hf(NMe2)3、[tBuCp]Hf(NMe2)3、[(tBu)2Cp]Hf(NMe2)3、[(tBu)3Cp]Hf(NMe2)3、[(tBu)4Cp]Hf(NMe2)3、[(tBu)5Cp]Hf(NMe2)3、[(Me)(Et)Cp]Hf(NMe2)3、[(Me)(Et)2Cp]Hf(NMe2)3、[(Me)(Et)3Cp]Hf(NMe2)3、[(Me)(Et)4Cp]Hf(NMe2)3、[(Me)2(Et)Cp]Hf(NMe2)3、[(Me)2(Et)2Cp]Hf(NMe2)3、[(Me)3(Et)Cp]Hf(NMe2)3、[(Me)3(Et)2Cp]Hf(NMe2)3、[(Me)(nPr)Cp]Hf(NMe2)3、[(Me)(nPr)2Cp]Hf(NMe2)3、[(Me)(nPr)3Cp]Hf(NMe2)3、[(Me)(nPr)4Cp]Hf(NMe2)3、[(Me)2(nPr)Cp]Hf(NMe2)3、[(Me)2(nPr)2Cp]Hf(NMe2)3、[(Me)3(nPr)Cp]Hf(NMe2)3、[(Me)3(nPr)2Cp]Hf(NMe2)3、[(Me)(iPr)Cp]Hf(NMe2)3、[(Me)(iPr)2Cp]Hf(NMe2)3、[(Me)(iPr)3Cp]Hf(NMe2)3、[(Me)(iPr)4Cp]Hf(NMe2)3、[(Me)2(iPr)Cp]Hf(NMe2)3、[(Me)2(iPr)2Cp]Hf(NMe2)3、[(Me)3(iPr)Cp]Hf(NMe2)3、[(Me)3(iPr)2Cp]Hf(NMe2)3、[(Me)(tBu)Cp]Hf(NMe2)3、[(Me)(tBu)2Cp]Hf(NMe2)3、[(Me)(tBu)3Cp]Hf(NMe2)3、[(Me)(tBu)4Cp]Hf(NMe2)3、[(Me)2(tBu)Cp]Hf(NMe2)3、[(Me)2(tBu)2Cp]Hf(NMe2)3、[(Me)3(tBu)Cp]Hf(NMe2)3、及び[(Me)3(tBu)2Cp]Hf(NMe2)3のうちのいずれか一つ又はそれ以上の化合物を挙げることができる。CpHf (NMe2 )3 , [MeCp] Hf (NMe2 )3 , [(Me)2 Cp] Hf (NMe2 )3 , [(Me)3 Cp] Hf (NMe2 )3 , [(Me)4 Cp] Hf (NMe2 )3 , [(Me)5 Cp] Hf (NMe2 )3 , [EtCp] Hf (NMe2 )3 , [(Et)2 Cp] Hf (NMe2 )3 , [(Et) )3 Cp] Hf (NMe2 )3 , [(Et)4 Cp] Hf (NMe2 )3 , [(Et)5 Cp] Hf (NMe2 )3 , [n PrCp] Hf (NMe2 )3 , [(N Pr)2 Cp] Hf (NMe2 )3 , [(n Pr)3 Cp] Hf (NMe2 )3 , [(n Pr)4 Cp] Hf (NMe2 )3 , [(n Pr)5 Cp] Hf (NMe2 )3 , [i PrCp] Hf (NMe2 )3 , [(i Pr)2 Cp] Hf (NMe2 )3 , [(i Pr)3 Cp] Hf (NMe2 )3 , [(I Pr)4 Cp] Hf (NMe2 )3 , [(i Pr)5 Cp] Hf (NMe2 )3 , [n BuCp] Hf (NMe2 )3 , [(n Bu)2 Cp] Hf (NMe2 )3 , [(n Bu)3 Cp] Hf (NMe2 )3 , [(n Bu)4 Cp] Hf (NMe2 )3 , [(n Bu)5 Cp] Hf (NMe2 )3 , [t BuCp] Hf (NMe2 )3 , [(t Bu)2 Cp] Hf (NMe2 )3 , [(t Bu)3 Cp] Hf (NMe2 )3 , [(t Bu)4 Cp ] Hf (NMe2 )3 , [(t Bu)5 Cp] Hf (NMe2 )3 , [(Me) (Et) Cp] Hf (NMe2 )3 , [(Me) (Et)2 Cp] Hf (NMe2 )3 , [(Me) (Et)3 Cp] Hf (NMe2 )3 , [(Me) (Et)4 Cp] Hf (NMe2 )3 , [(Me)2 (Et) Cp] Hf (NMe2 )3 , [(Me)2 (Et)2 Cp] Hf (NMe2 )3 , [(Me)3 (Et) Cp] Hf (NMe2 )3 , [ (Me)3 (Et)2 Cp] Hf (NMe2 )3 , [(Me) (n Pr) Cp] Hf (NMe2 )3 , [(Me) (n Pr)2 Cp] Hf (NMe2 )3 , [(Me) (n Pr)3 Cp] Hf (NMe2 )3 , [(Me) (n Pr)4 Cp] Hf (NMe2 )3 , [(Me)2 (n Pr) Cp] Hf (NMe2 )3 , [(Me)2 (n Pr)2 Cp] Hf (NMe2 )3 , [(Me)3 (n Pr) Cp] Hf (NMe2 )3 , [(Me)3 (n ) Pr)2 Cp] Hf (NMe2 )3 , [(Me) (i Pr) Cp] Hf (NMe2 )3 , [(Me) (i Pr)2 Cp] Hf (NMe2 )3 , [(Me) ) (I Pr)3 Cp] Hf (NMe2 )3 , [(Me) (i Pr)4 Cp] Hf (NMe2 )3 , [(Me)2 (i Pr) Cp] Hf (NMe2 )3 , [(Me)2 (i Pr)2 Cp] Hf (NMe2 )3 , [(Me)3 (i Pr) Cp] Hf (NMe2 )3 , [(Me)3 (i Pr)2 Cp] Hf (NMe2 )3 , [(Me) (t Bu) Cp] Hf (NMe2 )3 , [(Me) (t Bu)2 Cp] Hf (NMe2 )3 , [(Me) (t Bu)3 Cp] Hf (NMe2 )3 , [(Me) (t Bu)4 Cp] Hf (NMe2 )3 , [(Me)2 (t Bu) Cp] Hf (NMe2 )3 , [(Me)2 (t Bu)2 Cp] Hf (NMe2 )3 , [(Me)3 (t Bu) Cp] Hf (NMe2 )3 , and [(Me)3 (t Bu)2 Cp] Hf (NMe2 ) ) One or more of thethree compounds may be mentioned.
  また、前記化学式5で表示されるハフニウム化合物は、シクロペンタジエニル基を2つ含有する化合物であって、代表的に次の物質を例示することができるが、これに限定されない。  Further, the hafnium compound represented by the
[Cp]2Hf(NMe2)2、[MeCp]2Hf(NMe2)2、[(Me)2Cp]2Hf(NMe2)2、[(Me)3Cp]2Hf(NMe2)2、[(Me)4Cp]2Hf(NMe2)2、[(Me)5Cp]2Hf(NMe2)2、[EtCp]2Hf(NMe2)2、[(Et)2Cp]2Hf(NMe2)2、[(Et)3Cp]2Hf(NMe2)2、[(Et)4Cp]2Hf(NMe2)2、[(Et)5Cp]2Hf(NMe2)2、[nPrCp]2Hf(NMe2)2、[(nPr)2Cp]2Hf(NMe2)2、[(nPr)3Cp]2Hf(NMe2)2、[(nPr)4Cp]2Hf(NMe2)2、[(nPr)5Cp]2Hf(NMe2)2、[iPrCp]2Hf(NMe2)2、[(iPr)2Cp]2Hf(NMe2)2、[(iPr)3Cp]2Hf(NMe2)2、[(iPr)4Cp]2Hf(NMe2)2、[(iPr)5Cp]2Hf(NMe2)2、[nBuCp]2Hf(NMe2)2、[(nBu)2Cp]2Hf(NMe2)2、[(nBu)3Cp]2Hf(NMe2)2、[(nBu)4Cp]2Hf(NMe2)2、[(nBu)5Cp]2Hf(NMe2)2、[tBuCp]2Hf(NMe2)2、[(tBu)2Cp]2Hf(NMe2)2、[(tBu)3Cp]2Hf(NMe2)2、[(tBu)4Cp]2Hf(NMe2)2、[(tBu)5Cp]2Hf(NMe2)2、[(Me)(Et)Cp]2Hf(NMe2)2、[(Me)(Et)2Cp]2Hf(NMe2)2、[(Me)(Et)3Cp]2Hf(NMe2)2、[(Me)(Et)4Cp]2Hf(NMe2)2、[(Me)2(Et)Cp]2Hf(NMe2)2、[(Me)2(Et)2Cp]2Hf(NMe2)2、[(Me)3(Et)Cp]2Hf(NMe2)2、[(Me)3(Et)2Cp]2Hf(NMe2)2、[(Me)(nPr)Cp]2Hf(NMe2)2、[(Me)(nPr)2Cp]2Hf(NMe2)2、[(Me)(nPr)3Cp]2Hf(NMe2)2、[(Me)(nPr)4Cp]2Hf(NMe2)2、[(Me)2(nPr)Cp]2Hf(NMe2)2、[(Me)2(nPr)2Cp]2Hf(NMe2)2、[(Me)3(nPr)Cp]2Hf(NMe2)2、[(Me)3(nPr)2Cp]2Hf(NMe2)2、[(Me)(iPr)Cp]2Hf(NMe2)2、[(Me)(iPr)2Cp]2Hf(NMe2)2、[(Me)(iPr)3Cp]2Hf(NMe2)2、[(Me)(iPr)4Cp]2Hf(NMe2)2、[(Me)2(iPr)Cp]2Hf(NMe2)2、[(Me)2(iPr)2Cp]2Hf(NMe2)2、[(Me)3(iPr)Cp]2Hf(NMe2)2、[(Me)3(iPr)2Cp]2Hf(NMe2)2、[(Me)(tBu)Cp]2Hf(NMe2)2、[(Me)(tBu)2Cp]2Hf(NMe2)2、[(Me)(tBu)3Cp]2Hf(NMe2)2、[(Me)(tBu)4Cp]2Hf(NMe2)2、[(Me)2(tBu)Cp]2Hf(NMe2)2、[(Me)2(tBu)2Cp]2Hf(NMe2)2、[(Me)3(tBu)Cp]2Hf(NMe2)2、及び[(Me)3(tBu)2Cp]2Hf(NMe2)2のうちのいずれか一つ又はそれ以上の化合物を挙げることができる。[Cp]2 Hf (NMe2 )2 , [MeCp]2 Hf (NMe2 )2 , [(Me)2 Cp]2 Hf (NMe2 )2 , [(Me)3 Cp]2 Hf (NMe2 )2 , [(Me)4 Cp]2 Hf (NMe2 )2 , [(Me)5 Cp]2 Hf (NMe2 )2 , [EtCp]2 Hf (NMe2 )2 , [(Et)2 Cp]2 Hf (NMe2 )2 , [(Et)3 Cp]2 Hf (NMe2 )2 , [(Et)4 Cp]2 Hf (NMe2 )2 , [(Et)5 Cp]2 Hf (NMe2 ) )2 , [n PrCp]2 Hf (NMe2 )2 , [(n Pr)2 Cp]2 Hf (NMe2 )2 , [(n Pr)3 Cp]2 Hf (NMe2 )2 , [(n ) Pr)4 Cp]2 Hf (NMe2 )2 , [(n Pr)5 Cp]2 Hf (NMe2 )2 , [i PrCp]2 Hf (NMe2 )2 , [(i Pr)2 Cp]2 Hf (NMe2 )2 , [(i Pr)3 Cp]2 Hf (NMe2 )2 , [(i Pr)4 Cp]2 Hf (NMe2 )2 , [(i Pr)5 Cp]2 Hf ( NMe2 )2 , [n BuCp]2 Hf (NMe2 )2 , [(n Bu)2 Cp]2 Hf (NMe2 )2 , [(n Bu)3 Cp]2 Hf (NMe2 )2 , [ (N Bu)4 Cp]2 Hf (NMe2 )2 , [(n Bu)5 Cp]2 Hf (NMe2 )2 , [t BuCp]2 Hf (NMe2 )2 , [(t Bu)2 Cp ]2 Hf (NMe2 )2 , [(t Bu)3 Cp]2 Hf (NMe2 )2 , [(t Bu)4 Cp]2 Hf (NMe2 )2 , [(t Bu)5 Cp]2 Hf (NMe2 )2 , [(Me) (Et) Cp]2 Hf (NMe2 )2 , [(Me) (Et)2 Cp]2 Hf (NMe2 )2 , [(Me) (Et)3 Cp]2 Hf (NMe2 )2 , [(Me) (Et)4 Cp]2 Hf (NMe2 )2 , [(Me)2 (Et) Cp]2 Hf (NMe2 )2 , [(Me)2 (Et)2 Cp]2 Hf (NMe2 )2 , [(Me)3 (Et) Cp]2 Hf (NMe2 )2 , [(Me)3 (Et)2 Cp]2 Hf (NMe2 )2 , [(Me) (n Pr) Cp]2 Hf (NMe2 )2 , [(Me) (n Pr)2 Cp]2 Hf (NMe2 )2 , [(Me) (n Pr)3 Cp]2 Hf (NMe2 )2 , [(Me) (n Pr)4 Cp]2 Hf (NMe2 )2 , [(Me)2 (n Pr) Cp]2 Hf (NMe2 )2 , [(Me)2 (n Pr)2 Cp]2 Hf (NMe2 )2 , [(Me)3 (n Pr) Cp]2 Hf (NMe2 )2 , [(Me)3 (n Pr)2 Cp]2 Hf (NMe2 )2 , [(Me) (i Pr) Cp]2 Hf (NMe2 ) )2 , [(Me) (i Pr)2 Cp]2 Hf (NMe2 )2 , [(Me) (i Pr)3 Cp]2 Hf (NMe2 )2 , [(Me) (i Pr)4 Cp]2 Hf (NMe2 )2 , [(Me)2 (i Pr) Cp]2 Hf (NMe2 )2 , [(Me)2 (i Pr)2 Cp]2 Hf (NMe2 )2 , [ (Me)3 (i Pr) Cp]2 Hf (NMe2 )2 , [(Me)3 (i Pr)2 Cp]2 Hf (NMe2 )2 , [(Me) (t Bu) Cp]2 Hf (NMe2 )2 , [(Me) (t Bu)2 Cp]2 Hf (NMe2 )2 , [(Me) (t Bu)3 Cp]2 Hf (NMe2 )2 , [(Me) (t ) Bu)4 Cp]2 Hf (NMe2 )2 , [(Me)2 (t Bu) Cp]2 Hf (NMe2 )2 , [(Me)2 (t Bu)2 Cp]2 Hf (NMe2 )2 , [(Me)3 (t Bu) Cp]2 Hf (NMe2 )2 , and [(Me)3 (t Bu)2 Cp]2 Hf (NMe2 )2 One or more of these compounds may be mentioned.
  また、前記化学式6で表示されるハフニウム化合物は、シクロペンタジエニル基と金属原子との間に連結基によって架橋(bridge)を形成した構造の化合物であって、代表的に次の物質を例示することができるが、これに限定されない。  The hafnium compound represented by the
Hf[CpCH2NMe](NMe2)2、Hf[Cp(CH2)2NMe](NMe2)2、Hf[Cp(CH2)3NMe](NMe2)2、Hf[Cp(CH2)4NMe](NMe2)2、Hf[Cp(CH2)5NMe](NMe2)2、Hf[CpCH2NMe](Cp)(NMe2)、Hf[Cp(CH2)2NMe](Cp)(NMe2)、Hf[Cp(CH2)3NMe](Cp)(NMe2)、Hf[Cp(CH2)4NMe](Cp)(NMe2)、Hf[Cp(CH2)5NMe](Cp)(NMe2)、Hf[(CpMe)CH2NMe](NMe2)2、Hf[(CpMe)(CH2)2NMe](NMe2)2、Hf[(CpMe)(CH2)3NMe](NMe2)2、Hf[(CpMe)(CH2)4NMe](NMe2)2、Hf[(CpMe)(CH2)5NMe](NMe2)2、Hf[(CpMe)CH2NMe](Cp)(NMe2)、Hf[(CpMe)(CH2)2NMe](Cp)(NMe2)、Hf[(CpMe)(CH2)3NMe](Cp)(NMe2)、Hf[(CpMe)(CH2)4NMe](Cp)(NMe2)、Hf[(CpMe)(CH2)5NMe](Cp)(NMe2)、Hf[CpCH2NMe](CpMe)(NMe2)、Hf[Cp(CH2)2NMe](CpMe)(NMe2)、Hf[Cp(CH2)3NMe](CpMe)(NMe2)、Hf[Cp(CH2)4NMe](CpMe)(NMe2)、Hf[Cp(CH2)5NMe](CpMe)(NMe2)、Hf[(CpMe2)CH2NMe](NMe2)2、Hf[(CpMe2)(CH2)2NMe](NMe2)2、Hf[(CpMe2)(CH2)3NMe](NMe2)2、Hf[(CpMe2)(CH2)4NMe](NMe2)2、Hf[(CpMe2)(CH2)5NMe](NMe2)2、Hf[(CpMe2)CH2NMe](Cp)(NMe2)、Hf[(CpMe2)(CH2)2NMe](Cp)(NMe2)、Hf[(CpMe2)(CH2)3NMe](Cp)(NMe2)、Hf[(CpMe2)(CH2)4NMe](Cp)(NMe2)、Hf[(CpMe2)(CH2)5NMe](Cp)(NMe2)、Hf[CpCH2NMe](CpMe2)(NMe2)、Hf[Cp(CH2)2NMe](CpMe2)(NMe2)、Hf[Cp(CH2)3NMe](CpMe2)(NMe2)、Hf[Cp(CH2)4NMe](CpMe2)(NMe2)、Hf[Cp(CH2)5NMe](CpMe2)(NMe2)、Hf[(CpMe3)CH2NMe](NMe2)2、Hf[(CpMe3)(CH2)2NMe](NMe2)2、Hf[(CpMe3)(CH2)3NMe](NMe2)2、Hf[(CpMe3)(CH2)4NMe](NMe2)2、Hf[(CpMe3)(CH2)5NMe](NMe2)2、Hf[(CpMe3)CH2NMe](Cp)(NMe2)、Hf[(CpMe3)(CH2)2NMe](Cp)(NMe2)、Hf[(CpMe3)(CH2)3NMe](Cp)(NMe2)、Hf[(CpMe3)(CH2)4NMe](Cp)(NMe2)、Hf[(CpMe3)(CH2)5NMe](Cp)(NMe2)、Hf[CpCH2NMe](CpMe3)(NMe2)、Hf[Cp(CH2)3NMe](CpMe3)(NMe2)、Hf[Cp(CH2)3NMe](CpMe3)(NMe2)、Hf[Cp(CH2)4NMe](CpMe3)(NMe2)、Hf[Cp(CH2)5NMe](CpMe3)(NMe2)、Hf[CpCH2NMe](CpMe4)(NMe2)、Hf[Cp(CH2)3NMe](CpMe4)(NMe2)、Hf[Cp(CH2)3NMe](CpMe4)(NMe2)、Hf[Cp(CH2)4NMe](CpMe4)(NMe2)、Hf[Cp(CH2)5NMe](CpMe4)(NMe2)Hf[(CpEt)CH2NMe](NMe2)2、Hf[(CpEt)(CH2)2NMe](NMe2)2、Hf[(CpEt)(CH2)3NMe](NMe2)2、Hf[(CpEt)(CH2)4NMe](NMe2)2、Hf[(CpEt)(CH2)5NMe](NMe2)2、Hf[CpCH2NMe](CpEt)(NMe2)、Hf[Cp(CH2)2NMe](CpEt)(NMe2)、Hf[Cp(CH2)3NMe](CpEt)(NMe2)、Hf[Cp(CH2)4NMe](CpEt)(NMe2)、Hf[Cp(CH2)5NMe](CpEt)(NMe2)、Hf[(CpMeEt)CH2NMe](NMe2)2、Hf[(CpMeEt)(CH2)2NMe](NMe2)2、Hf[(CpMeEt)(CH2)3NMe](NMe2)2、Hf[(CpMeEt)(CH2)4NMe](NMe2)2、Hf[(CpMeEt)(CH2)5NMe](NMe2)2、Hf[CpCH2NMe](CpMeEt)(NMe2)、Hf[Cp(CH2)2NMe](CpMeEt)(NMe2)、Hf[Cp(CH2)3NMe](CpMeEt)(NMe2)、Hf[Cp(CH2)4NMe](CpMeEt)(NMe2)、Hf[Cp(CH2)5NMe](CpMeEt)(NMe2)、Hf[(CpMePr)CH2NMe](NMe2)2、Hf[(CpMePr)(CH2)2NMe](NMe2)2、Hf[(CpMePr)(CH2)3NMe](NMe2)2、Hf[(CpMePr)(CH2)4NMe](NMe2)2、Hf[(CpMePr)(CH2)5NMe](NMe2)2、Hf[(CpiPr)CH2NMe](NMe2)2、Hf[(Cpi-PrEt)(CH2)2NMe](NMe2)2、Hf[(CpiPrEt)(CH2)3NMe](NMe2)2、Hf[(CpiPrEt)(CH2)4NMe](NMe2)2、及びHf[(CpiPrEt)(CH2)5NMe](NMe2)2のうちのいずれか一つ又はそれ以上の化合物を使用することができる。Hf [CpCH2 NMe] (NMe2 )2 , Hf [Cp (CH2 )2 NMe] (NMe2 )2 , Hf [Cp (CH2 )3 NMe] (NMe2 )2 , Hf [Cp (CH2 ) )4 NMe] (NMe2 )2 , Hf [Cp (CH2 )5 NMe] (NMe2 )2 , Hf [CpCH2 NMe] (Cp) (NMe2 ), Hf [Cp (CH2 )2 NMe] (Cp) (NMe2 ), Hf [Cp (CH2 )3 NMe] (Cp) (NMe2 ), Hf [Cp (CH2 )4 NMe] (Cp) (NMe2 ), Hf [Cp (CH2 ) )5 NMe] (Cp) (NMe2 ), Hf [(CpMe) CH2 NMe] (NMe2 )2 , Hf [(CpMe) (CH2 )2 NMe] (NMe2 )2 , Hf [(CpMe) (CH2 )3 NMe] (NMe2 )2 , Hf [(CpMe) (CH2 )4 NMe] (NMe2 )2 , Hf [(CpMe) (CH2 )5 NMe] (NMe2 )2 , Hf [(CpMe) CH2 NMe] (Cp) (NMe2 ), Hf [(CpMe) (CH2 )2 NMe] (Cp) (NMe2 ), Hf [(CpMe) (CH2 )3 NMe] (Cp) ) (NMe2 ), Hf [(CpMe) (CH2 )4 NMe] (Cp) (NMe2 ), Hf [(CpMe) (CH2 )5 NMe] (Cp) (NMe2 ), Hf [CpCH2 ) NMe] (CpMe) (NMe2 ), Hf [Cp (CH2 )2 NMe] (CpMe) (NMe2 ), Hf [Cp (CH2 )3 NMe] (CpMe) (NMe2 ), Hf [Cp ( CH2 )4 NMe] (CpMe) (NMe2 ), Hf [Cp (CH2 )5 NMe] (CpMe) (NMe2 ), Hf [(CpMe2 ) CH2 NMe] (NMe2 )2 , Hf [ (CpMe2 ) (CH2 )2 NMe] (NMe2 )2 , Hf [(CpMe2 ) (CH2 )3 NMe] (NMe2 )2 , Hf [(CpMe2 ) (CH2 )4 NMe] ( NMe2 )2 , Hf [(CpMe2 ) (CH2 )5 NMe] (NMe2 )2 , Hf [(CpMe2 ) CH2 NMe] (Cp) (NMe2 ), Hf [(CpMe2 ) (CH2 )2 NMe] (Cp) (NMe2 ), Hf [(CpMe2 ) (CH2 )3 NMe] (Cp) (NMe2 ), Hf [(CpMe2 ) (CH2 )4 NMe] (Cp) (NMe2 ), Hf [(CpMe2 ) (CH2 )5 NMe] (Cp) (NMe2 ) ), Hf [CpCH2 NMe] (CpMe2 ) (NMe2 ), Hf [Cp (CH2 )2 NMe] (CpMe2 ) (NMe2 ), Hf [Cp (CH2 )3 NMe] (CpMe2 ) (NMe2 ), Hf [Cp (CH2 )4 NMe] (CpMe2 ) (NMe2 ), Hf [Cp (CH2 )5 NMe] (CpMe2 ) (NMe2 ), Hf [(CpMe3 ) CH2 NMe] (NMe2 )2 , Hf [(CpMe3 ) (CH2 )2 NMe] (NMe2 )2 , Hf [(CpMe3 ) (CH2 )3 NMe] (NMe2 )2 , Hf [( CpMe3 ) (CH2 )4 NMe] (NMe2 )2 , Hf [(CpMe3 ) (CH2 )5 NMe] (NMe2 )2 , Hf [(CpMe3 ) CH2 NMe] (Cp) (NMe)2 ), Hf [(CpMe3 ) (CH2 )2 NMe] (Cp) (NMe2 ), Hf [(CpMe3 ) (CH2 )3 NMe] (Cp) (NMe2 ), Hf [(CpMe3 ) ) (CH2 )4 NMe] (Cp) (NMe2 ), Hf [(CpMe3 ) (CH2 )5 NMe] (Cp) (NMe2 ), Hf [CpCH2 NMe] (CpMe3 ) (NMe2 ) ), Hf [Cp (CH2 )3 NMe] (CpMe3 ) (NMe2 ), Hf [Cp (CH2 )3 NMe] (CpMe3 ) (NMe2 ), Hf [Cp (CH2 )4 NMe] (CpMe3 ) (NMe2 ), Hf [Cp (CH2 )5 NMe] (CpMe3 ) (NMe2 ), Hf [CpCH2 NMe] (CpMe4 ) (NMe2 ), Hf [Cp (CH2 ))3 NMe] (CpMe4 ) (NMe2 ), Hf [Cp (Cp) CH2 )3 NMe] (CpMe4 ) (NMe2 ), Hf [Cp (CH2 )4 NMe] (CpMe4 ) (NMe2 ), Hf [Cp (CH2 )5 NMe] (CpMe4 ) (NMe)2 ) Hf [(CpEt) CH2 NMe] (NMe2 )2 , Hf [(CpEt) (CH2 )2 NMe] (NMe2 )2 , Hf [(CpEt) (CH2 )3 NMe] (NMe2 ) )2 , Hf [(CpEt) (CH2 )4 NMe] (NMe2 )2 , Hf [(CpEt) (CH2 )5 NMe] (NMe2 )2 , Hf [CpCH2 NMe] (CpEt) (NMe)2 ), Hf [Cp (CH2 )2 NMe] (CpEt) (NMe2 ), Hf [Cp (CH2 )3 NMe] (CpEt) (NMe2 ), Hf [Cp (CH2 )4 NMe] ( CpEt) (NMe2 ), Hf [Cp (CH2 )5 NMe] (CpEt) (NMe2 ), Hf [(CpMeEt) CH2 NMe] (NMe2 )2 , Hf [(CpMeEt) (CH2 )2 NMe] (NMe2 )2 , Hf [(CpMeEt) (CH2 )3 NMe] (NMe2 )2 , Hf [(CpMeEt) (CH2 )4 NMe] (NMe2 )2 , Hf [(CpMeEt) ( CH2 )5 NMe] (NMe2 )2 , Hf [CpCH2 NMe] (CpMeEt) (NMe2 ), Hf [Cp (CH2 )2 NMe] (CpMeEt) (NMe2 ), Hf [Cp (CH2 ) )3 NMe] (CpMeEt) (NMe2 ), Hf [Cp (CH2 )4 NMe] (CpMeEt) (NMe2 ), Hf [Cp (CH2 )5 NMe] (CpMeEt) (NMe2 ), Hf [ (CpMePr) CH2 NMe] (NMe2 )2 , Hf [(CpMePr) (CH2 )2 NMe] (NMe2 )2 , Hf [(CpMePr) (CH2 )3 NMe] (NMe2 )2 , Hf [(CpMePr) (CH2 )4 NMe] (NMe2 )2 , Hf [(CpMePr) (CH2 )5 NMe] (NMe2 )2 , Hf [(Cpi Pr) CH2 NMe] (NMe)2 )2 , Hf [(Cpi-PrEt) (CH2 )2 NMe] (NMe2 )2 , Hf [(CpiPreEt ) (CH2 )3 NMe] (NMe2 )2 , Hf [(CpiPreEt ) ) (CH2 )4 NMe] (NMe2 )2 , and Hf [(CpiPreEt ) (CH2 )5 NMe] (NMe2 )2 to use one or more compounds. Can be done.
但し、上記の化合物において、Cpはシクロペンタジエニル基であり、Meはメチル基、Etはエチル基、Prはプロピル基、nPrはn-プロピル基、iPrはイソプロピル基、nBuはn-ブチル基、tBuはt-ブチル基をそれぞれ示す。However, in the above compound, Cp is a cyclopentadienyl group, Me is a methyl group, Et is an ethyl group, Pr is a propyl group,n Pr is an n-propyl group,i Pr is an isopropyl group, andn Bu is n. -Butyl group andt Bu indicate t-butyl group, respectively.
前記前駆体組成物は溶媒を含むことができるが、これは、前記化合物が室温で粘度の高い液体状態又は固体状態のままである場合、これを希釈して粘度を下げるか又は溶解するために添加されるものである。また、前記溶媒は、前記金属膜形成用前駆体組成物の全重量に対して0.1~99重量%、好ましくは0.1~50重量%、さらに好ましくは1~20重量%の範囲で含まれることができる。 The precursor composition may contain a solvent, which, if the compound remains in a viscous liquid or solid state at room temperature, is to dilute it to reduce or dissolve it. It is to be added. The solvent is in the range of 0.1 to 99% by weight, preferably 0.1 to 50% by weight, more preferably 1 to 20% by weight, based on the total weight of the precursor composition for forming a metal film. Can be included.
一般的に、シクロペンタジエニル基を含む前記ジルコニウム化合物及びハフニウム化合物は、粘度範囲が8.7~10cps程度であって、これを混合する場合、粘度値が9~10cpsであって、薄膜製造工程で要求される10cps以下、好ましくは5~9cpsの粘度値を概ね満たすが、構造に応じて粘度値10cps以上の化合物が存在し、これらを適用した組成物では、粘度値が過度に高い場合がある。したがって、このような組成物の粘度値を考慮して、前記溶媒は、上記の含有量の範囲内で適切な量を混合して使用する。 Generally, the zirconium compound and the hafnium compound containing a cyclopentadienyl group have a viscosity range of about 8.7 to 10 cps, and when mixed, the viscosity value is 9 to 10 cps, and a thin film is produced. When a compound having a viscosity value of 10 cps or less, preferably 5 to 9 cps, which is required in the process, is generally satisfied, but a compound having a viscosity value of 10 cps or more is present depending on the structure, and the viscosity value is excessively high in the composition to which these are applied. There is. Therefore, in consideration of the viscosity value of such a composition, the solvent is used by mixing an appropriate amount within the above-mentioned content range.
本発明の金属膜形成方法は、前記金属膜形成用前駆体組成物を用いて基板上に金属膜を蒸着するステップを含むことを特徴とする。 The method for forming a metal film of the present invention is characterized by comprising a step of depositing a metal film on a substrate using the precursor composition for forming a metal film.
この時、前記金属膜形成用前駆体組成物は、溶媒をさらに含むことができ、前述したように、前記金属膜形成用前駆体組成物の全重量に対して0.1~99重量%で含まれることができる。 At this time, the metal film-forming precursor composition can further contain a solvent, and as described above, in an amount of 0.1 to 99% by weight based on the total weight of the metal film-forming precursor composition. Can be included.
これは、前記ジルコニウム化合物及びハフニウム化合物のうちのいずれか一つ又はこれらの組み合わせが、室温で粘度の高い液体状態又は固体状態である場合があり、この場合、含有される粘度の高い液体状態の化合物の量又は固体状態の化合物の量に応じて前記溶媒の含有量が変わるからである。また、前記ジルコニウム化合物とハフニウム化合物は、0.1:99.9~99.9:0.1、好ましくは1:80~80:1、さらに好ましくは30:70~70:30の重量比で含まれることができるが、該比率は、目的する金属膜の電気的特性及び用途に応じて調節される。 This is because any one of the zirconium compound and the hafnium compound or a combination thereof may be in a highly viscous liquid state or a solid state at room temperature, and in this case, the highly viscous liquid state contained therein. This is because the content of the solvent changes depending on the amount of the compound or the amount of the compound in the solid state. The weight ratio of the zirconium compound and the hafnium compound is 0.1: 99.9 to 99.9: 0.1, preferably 1:80 to 80: 1, and more preferably 30:70 to 70:30. Although it can be included, the ratio is adjusted according to the electrical properties and applications of the metal film of interest.
これを具体的に説明すると、前記前駆体組成物を用いた金属膜の製造方法は、金属化合物として前記前駆体組成物を用いる以外は、通常の蒸着による金属膜の製造方法によって実施でき、具体的には、化学蒸着法(chemical vapor deposition、CVD)、原子層蒸着法(atomic layer deposition、ALD)又は蒸発法(evaporation)などの方法で実施できる。例えば、イットリウム酸化物又はイットリウム窒化物薄膜を蒸着する場合、ALD法では、250~400℃の蒸着温度で前駆体と反応ガスをチャンバに注入することができ、CVD法又は蒸発法では、上記の温度で前駆体と反応ガスを同時に注入することができる。 Specifically, the method for producing a metal film using the precursor composition can be carried out by a normal method for producing a metal film by vapor deposition, except that the precursor composition is used as the metal compound. Specifically, it can be carried out by a method such as a chemical vapor deposition (CVD), an atomic layer deposition (ALD) or an evaporation method (evaporation). For example, when depositing an yttrium oxide or yttrium nitride thin film, the precursor and reaction gas can be injected into the chamber at a vapor deposition temperature of 250 to 400 ° C. in the ALD method, and the above-mentioned in the CVD method or evaporation method. The precursor and reaction gas can be injected simultaneously at temperature.
すなわち、反応器(チャンバ)内に位置する金属膜形成用基板上に前記前駆体組成物を供給するステップ、及び前記反応器内に反応性ガスを供給し、熱処理、プラズマ処理及び光照射よりなる群から選択される1種の処理工程を行うステップを含む製造方法によって製造できる。前記プラズマ処理は、RFプラズマ、DCプラズマ、リモート(remote)プラズマなどを使用することができる。 That is, it comprises a step of supplying the precursor composition onto a metal film forming substrate located in a reactor (chamber), and a step of supplying a reactive gas into the reactor, heat treatment, plasma treatment and light irradiation. It can be manufactured by a manufacturing method including a step of performing one treatment step selected from the group. For the plasma treatment, RF plasma, DC plasma, remote plasma and the like can be used.
まず、本発明による前駆体組成物を金属膜形成用基板上に供給する。この時、前記金属膜形成用基板としては、技術的作用により金属膜でコーティングされる必要のある、半導体製造に使用されるものであれば、特別な制限なしに使用可能である。具体的には、ケイ素基板(Si)、シリカ基板(SiO2)、窒化ケイ素基板(SiN)、オキシ窒化ケイ素基板(SiON)、窒化チタン基板(TiN)、窒化タンタル基板(TaN)、タングステン基板(W)、又は貴金属基板(例えば白金基板(Pt)、パラジウム基板(Pd)、ロジウム基板(Rh)又は金基板(Au)など)が使用できる。First, the precursor composition according to the present invention is supplied onto a substrate for forming a metal film. At this time, the substrate for forming a metal film can be used without any special limitation as long as it is used for semiconductor manufacturing and needs to be coated with a metal film by a technical action. Specifically, a silicon substrate (Si), a silica substrate (SiO2 ), a silicon nitride substrate (SiN), a silicon nitride substrate (SiON), a titanium nitride substrate (TiN), a tantalum nitride substrate (TaN), a tungsten substrate ( W), or a noble metal substrate (for example, platinum substrate (Pt), palladium substrate (Pd), rhodium substrate (Rh), gold substrate (Au), etc.) can be used.
前記金属膜形成用前駆体組成物を前記基板に供給する前駆体組成物伝達ステップにおける前記伝達方法は、蒸気圧を利用して前駆体組成物又は薄膜の特性を改善するための有機溶媒の揮発したガスをチャンバ内に移送させる揮発移送方法、液相の前駆体組成物を直接注入する直接液体注入方法(Direct Liquid Injection)、又は前駆体組成物を有機溶媒に溶解させて移送する液体移送方法(LDS:Liquid Delivery System)を適用することができる。前記前駆体組成物の液体移送方法は、液体輸送システム(LDS:Liquid Delivery System)を用いて液相の前駆体組成物を気化器を介して気相に変化させた後、金属薄膜形成用基板上に移送させることにより実施できる。 The transfer method in the precursor composition transfer step of supplying the metal film forming precursor composition to the substrate is the volatilization of an organic solvent for improving the characteristics of the precursor composition or the thin film by utilizing vapor pressure. Volatile transfer method for transferring the gas into the chamber, direct liquid injection method for directly injecting the precursor composition of the liquid phase, or liquid transfer method for dissolving the precursor composition in an organic solvent and transferring it. (LDS: Liquid Delivery System) can be applied. In the liquid transfer method of the precursor composition, a liquid phase precursor composition is changed to a gas phase via a vaporizer using a liquid transport system (LDS: Liquid Delivery System), and then a substrate for forming a metal thin film is formed. It can be carried out by transferring it to the top.
前記前駆体組成物を有機溶媒に溶解させて移送する液体移送方法の場合は、溶媒をさらに含むことができるが、前記前駆体組成物として適用される化合物のうちの一部又は全部が高い粘度により液体移送方式の気化器で十分に気化され難い場合に活用できる。 In the case of the liquid transfer method in which the precursor composition is dissolved in an organic solvent and transferred, the solvent can be further contained, but some or all of the compounds applied as the precursor composition have high viscosity. Therefore, it can be used when it is difficult to sufficiently vaporize with a liquid transfer type vaporizer.
例えば、沸点が130℃以下、又は30~130℃であり、常温25℃での密度が0.6g/cm3であり、蒸気圧が70mmHgである第3級アミンやアルカンを挙げることができるが、沸点、密度及び蒸気圧の条件を同時に満たすときに膜形成組成物の粘度減少効果及び揮発性改善効果が向上するため、均一性及びステップカバレージ特性が改善された薄膜の形成が可能であることが明らかになった。For example, a tertiary amine or alkane having a boiling point of 130 ° C. or lower, or 30 to 130 ° C., a density of 0.6 g / cm3 at room temperature of 25 ° C., and a vapor pressure of 70 mmHg can be mentioned. When the conditions of boiling point, density and vapor pressure are satisfied at the same time, the viscosity reducing effect and the volatility improving effect of the film forming composition are improved, so that it is possible to form a thin film having improved uniformity and step coverage characteristics. Became clear.
しかし、上述したような溶媒の他にも、ジルコニウム及びハフニウム化合物を溶解させ、液体移送方法に適した程度の粘度及び溶解度を持つことができれば、C1~C16の飽和又は不飽和炭化水素、ケトン、エーテル、グライム、エステル、テトラヒドロフラン、及び第3級アミンのうちのいずれか一つ又はそれ以上の混合溶媒を使用することにより、前記前駆体組成物を用いた工程に適用することができる。However, if it is possible to dissolve a zirconium and a hafnium compound in addition to the solvent as described above and have a viscosity and solubility suitable for the liquid transfer method,a saturated or unsaturated hydrocarbon of C1 toC16 can be used. By using a mixed solvent of any one or more of a ketone, an ether, a glyme, an ester, a tetrahydrofuran, and a tertiary amine, it can be applied to a step using the precursor composition.
一実施例では、ジメチルエチルアミンを前駆体組成物の全重量に対して1~99重量%で含む場合、このような液体移送方法が適用できるが、第3級アミンの含有量が1重量%未満である場合には、薄膜の物性的特性改善効果が微々たるものであり、第3級アミンの含有量が99重量%を超える場合には、前駆体の濃度が低くて蒸着速度が低減するため、生産性が低下するおそれがあるので、上記の範囲内で使用することが好ましい。より具体的には、前記前駆体組成物は、前記前駆体組成物と溶媒を90:10~10:90の重量比で含むことが好ましい。前駆体組成物に対する第3級アミンの含有量が上記の重量比の範囲から外れて極めて低い又は高い場合、薄膜の均一性及びステップカバレージ改善効果が低下するおそれがある。 In one example, when dimethylethylamine is contained in an amount of 1 to 99% by weight based on the total weight of the precursor composition, such a liquid transfer method can be applied, but the content of the tertiary amine is less than 1% by weight. In this case, the effect of improving the physical characteristics of the thin film is insignificant, and when the content of the tertiary amine exceeds 99% by weight, the concentration of the precursor is low and the vapor deposition rate is reduced. , Productivity may decrease, so it is preferable to use within the above range. More specifically, the precursor composition preferably contains the precursor composition and a solvent in a weight ratio of 90:10 to 10:90. If the content of the tertiary amine in the precursor composition is extremely low or high outside the above weight ratio range, the uniformity of the thin film and the effect of improving step coverage may be reduced.
このように、溶媒中に低粘度及び高揮発性を示す溶媒を含むことにより、前駆体組成物は、改善された粘度及び揮発性を示すことができ、基板形成の際に前駆体の基板吸着効率及び安定性を増加させ、工程時間を短縮させることができる。また、前駆体物質が溶媒に希釈された状態で気化することにより、より均一な状態で蒸着チャンバ内に移送されるため、基板に均一に吸着でき、その結果として、蒸着された薄膜の均一性(uniformity)及びステップカバレージ(step coverage)特性を向上させることができる。また、第3級アミンでの余剰非共有電子対は、前駆体物質の基板吸着過程での安定性を増加させてALD工程での化学気相蒸着(CVD)を最小限に抑えることができる。また、上述したような第3級アミンの他に、C1~C16の飽和又は不飽和炭化水素、ケトン、エーテル、グライム、エステル、テトラヒドロフランなどの溶媒及びこれらの組み合わせを適用すると、液体移送のための適切な粘度調整の他にも、分散性の向上及びこれによる電気的特性の向上を達成することができる。As described above, by including the solvent exhibiting low viscosity and high volatility in the solvent, the precursor composition can exhibit improved viscosity and volatility, and the precursor is adsorbed on the substrate during substrate formation. Efficiency and stability can be increased and process time can be shortened. In addition, since the precursor substance is vaporized in a diluted state with a solvent, it is transferred into the vapor deposition chamber in a more uniform state, so that it can be uniformly adsorbed on the substrate, and as a result, the uniformity of the vapor-deposited thin film is achieved. (Uniformity) and step coverage characteristics can be improved. Further, the surplus unshared electron pair in the tertiary amine can increase the stability of the precursor material in the substrate adsorption process and minimize the chemical vapor deposition (CVD) in the ALD process. Further, in addition to the tertiary amine as described above, when a solvent such as a saturated or unsaturated hydrocarbon of C1 toC16 ,a ketone, an ether, a glyme, an ester, or a tetrahydrofuran is applied and a combination thereof is applied, liquid transfer is carried out. In addition to proper viscosity adjustment for the purpose, improvement of dispersibility and thereby improvement of electrical characteristics can be achieved.
本発明による前駆体組成物は、ジルコニウム化合物及びハフニウム化合物が含有されるものであり、これにより製造された金属膜は、通常の酸化ジルコニウム薄膜に比べてhigh-k特性を大幅に向上させることができる。また、液体移送によって薄膜を形成するので、ジルコニウムとハフニウムの分散性が非常に高いため、蒸着された薄膜は、全体的に均一で優れた電気的特性を示し、漏れ電流値(leakage current)も下げる効果を達成することができる。 The precursor composition according to the present invention contains a zirconium compound and a hafnium compound, and the metal film produced thereby can significantly improve high-k characteristics as compared with a normal zirconium oxide thin film. can. In addition, since the thin film is formed by liquid transfer, the dispersibility of zirconium and hafnium is very high, so that the vapor-deposited thin film exhibits uniform and excellent electrical characteristics as a whole, and also has a leakage current value (leakage current). The effect of lowering can be achieved.
  また、前記前駆体組成物の供給時に、最終的に形成される金属膜での電気的特性、すなわち、静電容量又は漏れ電流値をさらに改善するために、必要に応じて、第2金属前駆体としてケイ素(Si)、チタン(Ti)、ゲルマニウム(Ge)、ストロンチウム(Sr)、ニオブ(Nb)、バリウム(Ba)、ハフニウム(Hf)、タンタル(Ta)及びランタン族原子から選ばれた1種以上の金属(M”)を含む金属前駆体を選択的にさらに供給することもできる。前記第2金属前駆体は、前記金属を含むアルキルアミド系化合物又はアルコキシ系化合物であることができる。例えば、前記金属がSiである場合、第2金属前駆体としてSiH(N(CH3)2)3、Si(N(C2H5)2)4、Si(N(C2H5)(CH3))4、Si(N(CH3)2)4、Si(OC4H9)4、Si(OC2H5)4、Si(OCH3)4、Si(OC(CH3)3)4などが使用できる。Further, if necessary, in order to further improve the electrical characteristics of the metal film finally formed when the precursor composition is supplied, that is, the electrostatic capacity or the leakage current value, the second metal precursor is used. Selected from silicon (Si), titanium (Ti), germanium (Ge), strontium (Sr), niobium (Nb), barium (Ba), hafnium (Hf), tantalum (Ta) and lanthanum group atoms as
前記第2金属前駆体の供給は、前記前駆体組成物の供給方法と同じ方法で実施でき、前記第2金属前駆体は、前記前駆体組成物と一緒に薄膜形成用基板上に供給されてもよく、前駆体組成物の供給完了後に順次供給されてもよい。 The supply of the second metal precursor can be carried out by the same method as the method of supplying the precursor composition, and the second metal precursor is supplied together with the precursor composition on the thin film forming substrate. Alternatively, the precursor composition may be sequentially supplied after the supply is completed.
上述したような前駆体組成物及び選択的に第2金属前駆体は、前記金属膜形成用基板と接触させるために、反応チャンバ内に供給される前まで50~250℃の温度を維持することが好ましく、より好ましくは100~200℃の温度を維持することが良い。 The precursor composition as described above and optionally the second metal precursor shall be maintained at a temperature of 50-250 ° C. before being fed into the reaction chamber for contact with the metal film forming substrate. Is preferable, and it is more preferable to maintain a temperature of 100 to 200 ° C.
また、前駆体組成物の供給ステップ後、反応性ガスの供給に先立ち、前記前駆体組成物及び選択的に第2金属前駆体の基板上への移動を助けるか、又は反応器内が蒸着に適切な圧力を持つようにし、また、チャンバ内に存在する不純物などを外部に放出させるために、反応器内にアルゴン(Ar)、窒素(N2)又はヘリウム(He)などの不活性ガスをパージする工程が行われ得る。この時、不活性ガスのパージは、反応器内の圧力が1~5Torrとなるように行われることが好ましい。Further, after the step of supplying the precursor composition, prior to the supply of the reactive gas, the precursor composition and optionally the second metal precursor are assisted in moving onto the substrate, or the inside of the reactor is vaporized. An inert gas such as argon (Ar), nitrogen (N2 ) or helium (He) is placed in the reactor in order to have an appropriate pressure and to release impurities and the like existing in the chamber to the outside. A step of purging may be performed. At this time, the purging of the inert gas is preferably performed so that the pressure in the reactor is 1 to 5 Torr.
前述した金属前駆体の供給完了後に反応性ガスを反応器内に供給し、反応性ガスの存在下で熱処理、プラズマ処理、及び光照射よりなる群から選択される1種の処理工程を行う。 After the above-mentioned supply of the metal precursor is completed, the reactive gas is supplied into the reactor, and in the presence of the reactive gas, one kind of treatment step selected from the group consisting of heat treatment, plasma treatment, and light irradiation is performed.
前記反応性ガスとしては、水蒸気(H2O)、酸素(O2)、オゾン(O3)、過酸化水素(H2O2)、水素(H2)、アンモニア(NH3)、一酸化窒素(NO)、亜酸化窒素(N2O)、二酸化窒素(NO2)、ヒドラジン(N2H4)、及びシラン(SiH4)のうちのいずれか一つ又はこれらの混合物を使用することができる。前記水蒸気、酸素、オゾンなどの酸化性ガスの存在下で行われる場合、金属酸化物薄膜が形成でき、水素、アンモニア、ヒドラジン、シランなどの還元性ガスの存在下で行われる場合、金属単体又は金属窒化物の薄膜が形成できる。Examples of the reactive gas include water vapor (H2 O), oxygen (O2 ), ozone (O3 ), hydrogen peroxide (H2 O2 ), hydrogen (H2 ), ammonia (NH3 ), and monoxide. Use any one or a mixture of nitrogen (NO), nitrous oxide (N2 O), nitrogen dioxide (NO2 ), hydrazine (N2 H4 ), and silane (Si H4 ). Can be done. When it is carried out in the presence of an oxidizing gas such as water vapor, oxygen or ozone, a metal oxide thin film can be formed, and when it is carried out in the presence of a reducing gas such as hydrogen, ammonia, hydrazine or silane, the metal alone or A thin film of metal nitride can be formed.
また、前記熱処理、プラズマ処理又は光照射の処理工程は、金属前駆体の蒸着のための熱エネルギーを提供するためのものであり、通常の方法によって行われ得る。好ましくは、十分な成長速度で、目的とする物理的な状態と組成を有する金属薄膜を製造するためには、反応器内の基板の温度が100~1,000℃、好ましくは250~400℃となるように前記処理工程を行うことが好ましい。 Further, the heat treatment, plasma treatment, or light irradiation treatment step is for providing thermal energy for vapor deposition of the metal precursor, and can be performed by a usual method. Preferably, in order to produce a metal thin film having a desired physical state and composition at a sufficient growth rate, the temperature of the substrate in the reactor is 100 to 1,000 ° C, preferably 250 to 400 ° C. It is preferable to carry out the treatment step so as to be.
また、前記処理工程の際にも、前述したように反応性ガスの基板上への移動を助けるか、又は反応器内が蒸着に適切な圧力を持つようにし、また、反応器内に存在する不純物又は副産物などを外部に放出させるために、反応器内にアルゴン(Ar)、窒素(N2)、又はヘリウム(He)などの不活性ガスをパージする工程が行われ得る。Also, during the treatment step, as described above, the reactive gas is assisted in moving onto the substrate, or the inside of the reactor has an appropriate pressure for vapor deposition, and is present in the reactor. In order to release impurities or by-products to the outside, a step of purging an inert gas such as argon (Ar), nitrogen (N2 ), or helium (He) can be performed in the reactor.
上述したような、金属前駆体の投入、反応性ガスの投入、及び不活性ガスの投入処理工程を1サイクルにして、1サイクル以上繰り返し行うことにより、金属含有薄膜が形成できる。 The metal-containing thin film can be formed by repeating the steps of charging the metal precursor, charging the reactive gas, and charging the inert gas as one cycle as described above for one or more cycles.
  具体的には、反応性ガスとして酸化性ガスを使用する場合、製造される金属含有薄膜は、下記化学式7の金属酸化物を含むことができる:
[化学式7]
(M1-aM”a)ObSpecifically, when an oxidizing gas is used as the reactive gas, the metal-containing thin film produced may contain the metal oxide of the following Chemical Formula 7.
 [Chemical formula 7]
 (M1-a M "a )Ob
前記化学式7中、aは0≦a<1であり、bは0<b≦2であり、MはZr、Hf及びTiよりなる群から選択され、M”は第2金属前駆体から誘導されるものであって、ケイ素(Si)、チタン(Ti)、ゲルマニウム(Ge)、ストロンチウム(Sr)、ニオブ(Nb)、バリウム(Ba)、ハフニウム(Hf)、タンタル(Ta)及びランタン族原子から選ばれたものである。 In the chemical formula 7, a is 0≤a <1, b is 0 <b≤2, M is selected from the group consisting of Zr, Hf and Ti, and M "is derived from the second metal precursor. From silicon (Si), titanium (Ti), germanium (Ge), strontium (Sr), niobium (Nb), barium (Ba), hafnium (Hf), tantalum (Ta) and lanthanum group atoms. It was chosen.
このような金属膜の製造方法は、熱安定性に優れた金属前駆体を用いることにより、蒸着工程の際に従来に比べて高い温度で蒸着工程の実施が可能であり、前駆体の熱分解に起因したパーティクル汚染や炭素などの不純物汚染なしに高純度の金属、金属酸化物又は金属窒化物薄膜を形成することができる。これにより、本発明の製造方法によって形成された金属含有薄膜は、半導体素子における高誘電物質膜、特に半導体メモリ素子におけるDRAM、CMOSなどに有用である。 In such a method for producing a metal film, by using a metal precursor having excellent thermal stability, it is possible to carry out the vapor deposition step at a higher temperature than before in the vapor deposition step, and the precursor is thermally decomposed. It is possible to form a high-purity metal, metal oxide or metal nitride thin film without particle contamination or impurity contamination such as carbon caused by the above. Thereby, the metal-containing thin film formed by the manufacturing method of the present invention is useful for a highly dielectric material film in a semiconductor device, particularly DRAM, CMOS, etc. in a semiconductor memory device.
また、別の実施形態として、前記金属膜の形成方法によって形成された金属膜、及び前記薄膜を含む半導体素子を提供する。具体的に、前記半導体素子は、ランダムアクセスメモリ(RAM)用金属絶縁体金属(MIM)を含む半導体素子であることができる。 Further, as another embodiment, a metal film formed by the method for forming the metal film and a semiconductor device including the thin film are provided. Specifically, the semiconductor element can be a semiconductor element containing a metal insulator metal (MIM) for a random access memory (RAM).
また、前記半導体素子は、素子内DRAMなど、高誘電特性が要求される物質膜に本発明による金属含有薄膜を含む以外は、通常の半導体素子の構成と同様である。 Further, the semiconductor device has the same configuration as a normal semiconductor device except that a material film such as an in-device DRAM that requires high dielectric properties contains a metal-containing thin film according to the present invention.
つまり、下部電極、誘電体薄膜、及び上部電極が順次積層されて構成されるキャパシタにおいて、前記下部電極と上部電極は、金属物質を含むことができ、前記下部電極の形状は、平板、シリンダー、ピラー形状などの様々な形状を持つことができるが、この時、前記誘電体薄膜として、本発明の前駆体組成物によって形成された薄膜を適用することができる。 That is, in a capacitor in which a lower electrode, a dielectric thin film, and an upper electrode are sequentially laminated, the lower electrode and the upper electrode can contain a metallic substance, and the shape of the lower electrode is a flat plate, a cylinder, or the like. It can have various shapes such as a pillar shape, and at this time, the thin film formed by the precursor composition of the present invention can be applied as the dielectric thin film.
例えば、前記誘電体薄膜は、ジルコニウム酸化物及びハフニウム酸化物を含むことができる。また、ジルコニウム酸化物及びハフニウム酸化物の中から選ばれた少なくとも2種の酸化物を含む薄膜を積層又は混合して形成することもできる。 For example, the dielectric thin film can contain zirconium oxide and hafnium oxide. Further, a thin film containing at least two kinds of oxides selected from zirconium oxide and hafnium oxide can be laminated or mixed to form a thin film.
シリンダー形状又はピラー形状である下部電極上に、前述した方法によって誘電体薄膜を蒸着することにより、前記誘電体薄膜の結晶性、誘電特性、及び漏れ電流特性を改善することもできる。 By depositing a dielectric thin film on a cylinder-shaped or pillar-shaped lower electrode by the method described above, the crystallinity, dielectric characteristics, and leakage current characteristics of the dielectric thin film can be improved.
例えば、図1(a)、(b)に示すようにAlxOy薄膜又はYxOy薄膜などを中心に両面にZrxHfyOz薄膜が積層されるか、又は図1(b)乃至(e)に示すようにAlxOy、ZrOx、HfOxの積層薄膜上に前記ZrxHfyOz薄膜を積層する形態の様々な誘電体薄膜を形成することができる。For example, as shown in FIGS. 1 (a) and 1 (b), a ZrxHfyOz thin film is laminated on both sides of an Alx Oy thin film or a Yx Oy thin film, or FIG. 1 (b). ) To (e), various dielectric thin films in the form of laminating the ZrxHfyOz thin film on the laminated thin film of Alx Oy , ZrOx , HfOx can be formed.
また、本発明の薄膜を適用してトランジスタを製造することもできる。前記トランジスタは、基板に形成され、ゲート絶縁層、ゲート電極、ソース領域及びドレイン領域を含む。ゲート電極は、金属物質を含むことができ、ゲート絶縁層は、薄膜形成用組成物によって蒸着された金属酸化物又は金属窒化物薄膜を含むことができる。例えば、ゲート絶縁層は、ジルコニウム酸化物、ハフニウム酸化物を含むことができる。また、前記ゲート絶縁層は、ジルコニウム酸化物、ハフニウム酸化物の中から選ばれた少なくとも2種の酸化物薄膜を積層又は混合して形成することができる。より具体的には、HfxOy又はZrxHfyOz薄膜を前記ゲート絶縁層として適用することができる。Further, the thin film of the present invention can be applied to manufacture a transistor. The transistor is formed on a substrate and includes a gate insulating layer, a gate electrode, a source region and a drain region. The gate electrode can contain a metallic material, and the gate insulating layer can include a metal oxide or a metal nitride thin film deposited by the thin film forming composition. For example, the gate insulating layer may contain a zirconium oxide and a hafnium oxide. Further, the gate insulating layer can be formed by laminating or mixing at least two kinds of oxide thin films selected from zirconium oxide and hafnium oxide. More specifically, an Hfx Oy or Zrx HfyOz thin film can be applied as the gate insulating layer.
以下、実施例によって本発明の効果を説明する。 Hereinafter, the effects of the present invention will be described with reference to Examples.
組成物の製造のための化合物は、表1のとおりである。 The compounds for the preparation of the composition are shown in Table 1.
<前駆体及びそれぞれの混合物に対する反応性の確認及び物性の確認>
  それぞれの化合物間の反応性を確認するために化合物を直接混合し、肉眼上の変化、核磁気共鳴(NMR)測定上の変化及び反応性等を確認した。必要に応じて熱重量分析、粘度及び熱安定性の物性を確認した。<Confirmation of reactivity and physical properties of precursors and their respective mixtures>
 In order to confirm the reactivity between each compound, the compounds were directly mixed, and changes on the naked eye, changes on nuclear magnetic resonance (NMR) measurement, reactivity and the like were confirmed. If necessary, thermogravimetric analysis and physical properties of viscosity and thermal stability were confirmed.
  化合物1、化合物4及びこれらの組成物に対する評価結果は、表2のとおりである。表2における組成比は、化合物1と化合物4の重量比である。  The evaluation results for
  表2の結果を参照すると、化合物1と化合物4からなる組成物は、肉眼上の変色がなく、沈殿物が発生しないことが分かった。また、NMR測定の結果からも、化学構造上の変化はないことが分かった(図2)。したがって、化合物1及び化合物4の組成物は、安定な状態で使用することができることが把握された。  With reference to the results in Table 2, it was found that the composition composed of
  また、化合物2及び4、化合物3及び4、化合物1及び5、化合物2及び5に対するNMR測定の結果からも、組成物の製造による化学構造上の変化はないことを確認することができた(図3乃至図6)。  In addition, from the results of NMR measurements on
  次に、化合物3、化合物5及びこれらの組成物に対して評価を行った。その結果は、表3のとおりである。表3における組成比は、化合物3と化合物5の重量比である。  Next,
  表3の結果を参照すると、化合物3及び化合物5からなる組成物は、肉眼上の変色がなく、沈殿物も生成されなかった。また、NMR分析の結果、化学構造の変化はないことが分かった。よって、前記化合物3及び化合物5からなる組成物は、安定な状態で使用することができることが把握された(図7)。また、TGA分析の結果から、組成物として使用しても揮発特性に影響を及ぼさないため、各化合物の揮発温度範囲内での揮発特性を維持することを確認した(図8)。  Referring to the results in Table 3, the composition composed of
  次に、溶媒の含有量による物性を評価するために、化合物1と化合物4を60:40の重量比で混合した組成物に対して、溶媒としてオクタン(Octane)、DMEA(dimethylethylamine)を使用した。その結果は、表4のとおりである。  Next, in order to evaluate the physical properties depending on the content of the solvent, octane and DMEA (dimethyllamine) were used as the solvent for the composition in which
表4の結果を参照すると、前記組成物に溶媒を加えて希釈しても、NMR分析の結果、化学的な変化が発生しないことが分かった。したがって、必要に応じて適切な溶媒を混合して使用することができ、溶媒の含有量を調節することにより、組成物を蒸着工程に適用するのに適した粘度に調節することができることを確認した。また、TGA分析の結果から、組成物に溶媒を加えても、有意な揮発特性の変化は現れないことを確認した。 With reference to the results in Table 4, it was found that no chemical change occurred as a result of NMR analysis even when the composition was diluted by adding a solvent. Therefore, it was confirmed that an appropriate solvent can be mixed and used as needed, and the composition can be adjusted to a viscosity suitable for being applied to the vapor deposition process by adjusting the content of the solvent. did. In addition, from the results of TGA analysis, it was confirmed that even if a solvent was added to the composition, no significant change in volatile properties appeared.
  前記組成物及び化合物1、化合物4に対してTGA及び粘度を分析した結果は、表5のとおりである。  Table 5 shows the results of analysis of TGA and viscosity of the composition,
  表5の結果を参照すると、化合物1及び化合物4からなる組成物は、組成比によるTGA分析の結果、安定的特性を示すことを確認することができた。つまり、組成物の形で使用しても、揮発特性には影響がなく、各化合物の揮発温度範囲内での揮発特性を示すことが分かった。また、粘度測定の結果、組成比の調節によって粘度を調節することができることが分かった。また、混合による副作用により粘度が増加する現象は現れなかった。  With reference to the results in Table 5, it was confirmed that the composition composed of
  また、化合物1、化合物4及びその組成物に対する熱安定性を分析し、各試料の初期純度に対する純度減少率を計算した。その結果は、表6のとおりである。  In addition, the thermal stability of
  表6の結果を参照すると、化合物1は、化合物4に比べて熱安定性が悪いことが分かった。しかし、化合物1と化合物4からなる組成物では、組成比によって純度減少率の差はあるが、全体的に純度減少率が減少することが分かった。このような結果から、組成物の形で適用するときに熱安定性が改善される効果を確認することができた。つまり、熱安定性が相対的に低い化合物1の熱エネルギーに対する影響を、熱安定性が相対的に高い化合物4が一定部分補償するため、このような効果が現れることが把握された。  With reference to the results in Table 6, it was found that
  また、溶媒及び組成別熱安定性を確認するために、化合物1と化合物4を60:40の重量比で含有する組成物についての評価を行った。その結果は、表7のとおりである。  Further, in order to confirm the thermal stability by solvent and composition, the
表7の結果を参照すると、140℃及び160℃の条件で溶媒を投入する前と比較すると、溶媒の種類と割合による組成物の純度減少率を確認することができた。オクタンの場合、溶媒の含有量に応じて純度減少率の改善効果は明らかに現れていないが、安定性が劣化せず、粘度調節及びその他の目的のための溶媒の使用が可能であることが分かった。 With reference to the results in Table 7, it was possible to confirm the rate of decrease in purity of the composition depending on the type and ratio of the solvent as compared with that before the solvent was added under the conditions of 140 ° C. and 160 ° C. In the case of octane, the effect of improving the purity reduction rate is not clearly shown depending on the content of the solvent, but the stability does not deteriorate, and it is possible to use the solvent for viscosity control and other purposes. Do you get it.
また、DEMAの場合は、溶媒の含有量に応じて純度減少率が改善されることが分かった。これは、アミン溶媒の場合、アミンの非共有電子対による前駆体の中心金属の安定化に伴うものと考えられる。このような試験結果から、組成物と、該組成物の蒸着工程に対する最適化のために様々な溶媒を付加することにより、組成物の物性を調節することができることが分かった。 Further, in the case of DEMA, it was found that the rate of decrease in purity was improved depending on the content of the solvent. This is thought to be due to the stabilization of the central metal of the precursor by the unshared electron pair of the amine in the case of the amine solvent. From such test results, it was found that the physical characteristics of the composition can be adjusted by adding the composition and various solvents for optimization for the vapor deposition process of the composition.
  また、化合物1~化合物5に対する組成別反応性を評価した結果は、表8のとおりである。  Table 8 shows the results of evaluating the reactivity of
  表8の結果を参照すると、各組成物に対して、肉眼上の変色がなく、沈殿物が生成されないことが分かった。また、NMR分析の結果、化学構造上の変化がないことが分かった。したがって、化合物1~化合物5を組み合わせた組成物を安定な状態で使用することができることを確認することができた。また、TGA分析の結果、組成物の形で使用しても、揮発特性に影響を及ぼさないことが分かった。各化合物の揮発温度範囲内で揮発特性を維持することが分かった。
With reference to the results in Table 8, it was found that there was no macroscopic discoloration and no precipitate was formed for each composition. Moreover, as a result of NMR analysis, it was found that there was no change in the chemical structure. Therefore, it was confirmed that the composition in which the
<ジルコニウム酸化物薄膜、ハフニウム酸化物薄膜、及びジルコニウム/ハフニウム酸化物薄膜の製造と薄膜特性の分析>
  原子層蒸着(Atomic  Layer  Deposition、ALD)装置を用いて、化合物1及び化合物4からなる組成物を適用した酸化物薄膜蒸着工程を行った。実験に使用した基板は、ベアSiウェハである。化合物1を前駆体として使用した工程(比較例1)によってZr酸化物薄膜を製造し、化合物2を前駆体として使用した工程(比較例2)によってHf酸化物薄膜を製造した。<Manufacturing of zirconium oxide thin films, hafnium oxide thin films, and zirconium / hafnium oxide thin films and analysis of thin film characteristics>
 Using an atomic layer deposition (ALD) apparatus, an oxide thin film vapor deposition step was performed by applying a composition composed of
  また、化合物1と化合物4の組成比を重量比で60:40にした組成物(実施例1)、50:50にした組成物(実施例2)、40:60にした組成物(実施例3)、及び50:50の重量比で混合された化合物1と化合物4の組成物に5重量%のオクタンを溶媒として混合した組成物(実施例4)に対して、蒸着工程を行った。  Further, a composition in which the composition ratio of
Zr及びHf単一酸化物の薄膜形成のためのALD工程で、ソースはバブラー型で投入し、蒸着温度は300℃にした。 In the ALD step for forming a thin film of Zr and Hf single oxide, the source was charged in a bubbler type and the deposition temperature was set to 300 ° C.
また、Zr/Hf複合酸化物薄膜を蒸着する実験では、LDS方式でALD工程を行い、蒸着温度は300℃にした。 In the experiment of depositing a Zr / Hf composite oxide thin film, the ALD step was performed by the LDS method, and the vapor deposition temperature was set to 300 ° C.
上述したようにALD工程で製造されたZr酸化物薄膜、Hf酸化物薄膜、Zr/Hf複合酸化物薄膜に対する単位成長速度(GPC)及び均一度(Uniformity)を確認した。その結果は、表9のとおりである。 As described above, the unit growth rate (GPC) and uniformity (Uniformity) with respect to the Zr oxide thin film, the Hf oxide thin film, and the Zr / Hf composite oxide thin film produced in the ALD step were confirmed. The results are shown in Table 9.
表9の結果を参照すると、組成物の場合、単一膜蒸着よりはGPCがより高い傾向を示した。これは、蒸着工程で組成物を構成する2成分の相互補完的な効果により、シード(seed)形成が促進されるとともに蒸着ステップでの表面反応面積が促進されるためと考えられる。また、製造されたZr酸化物薄膜、Hf酸化物薄膜、Zr/Hf酸化物薄膜に対するX線反射測定(X-Ray Reflectivity、XRR)を確認した結果、膜密度は表10及び図9のとおりである。 Referring to the results in Table 9, in the case of the composition, GPC tended to be higher than that of single film deposition. It is considered that this is because the seed formation is promoted and the surface reaction area in the vapor deposition step is promoted by the mutually complementary effect of the two components constituting the composition in the vapor deposition step. Further, as a result of confirming X-ray reflectivity (X-Ray Reflectivity, XRR) for the manufactured Zr oxide thin film, Hf oxide thin film, and Zr / Hf oxide thin film, the film densities are as shown in Tables 10 and 9. be.
  表10の結果を参照すると、化合物1を使用した蒸着工程では、化合物4を使用した蒸着工程に比べて膜密度が著しく低いことが分かった。また、組成物を使用した蒸着工程では、組成物の組成比に対する平均値よりも膜密度が高いことが分かった。このような結果から、組成物を使用した蒸着工程で得られる薄膜が半導体素子を製造するのに十分な膜密度を示すことを確認した。  With reference to the results in Table 10, it was found that the film density in the vapor deposition
また、薄膜形成工程によって製造されたZr酸化物薄膜、Hf酸化物薄膜、Zr/Hf酸化物薄膜に対するX線光電子分光法(X-ray Photoelectron Spectroscopy、XPS)を測定した結果は、表11及び図10のとおりである。 The results of measuring X-ray Photoelectron Spectroscopy (XPS) for the Zr oxide thin film, Hf oxide thin film, and Zr / Hf oxide thin film produced by the thin film forming step are shown in Table 11 and FIG. It is as shown in 10.
表11の結果を参照すると、Zr/Hf前駆体組成物を使用した蒸着工程において、組成物のZr及びHfの割合と製造された薄膜のZr及びHfの組成が一致することが分かる。したがって、組成物のZr/Hf比率を調節すると、薄膜内のZr/Hf濃度を容易に調節することができることが分かった。また、薄膜内のC、Clなど、その他の不純物の含有量がすべて1at%以下のレベルであって、ALD工程で不純物のない純粋な薄膜を製造することができることを確認した。 With reference to the results in Table 11, it can be seen that in the vapor deposition step using the Zr / Hf precursor composition, the ratio of Zr and Hf in the composition and the composition of Zr and Hf in the produced thin film match. Therefore, it was found that the Zr / Hf concentration in the thin film can be easily adjusted by adjusting the Zr / Hf ratio of the composition. Further, it was confirmed that the content of other impurities such as C and Cl in the thin film was all at the level of 1 at% or less, and a pure thin film without impurities could be produced by the ALD step.
また、製造されたZr酸化物薄膜、Hf酸化物薄膜、Zr/Hf酸化物薄膜に対する電気化学-サイクリックボルタンメトリー(Cyclic Voltammetry、CV)による測定の結果は、表12及び図11のとおりである。 The results of the electrochemical voltammetry (CV) measurements on the manufactured Zr oxide thin film, Hf oxide thin film, and Zr / Hf oxide thin film are shown in Tables 12 and 11.
表12を参照すると、Zr酸化物薄膜は26程度の誘電率値を示し、Hf酸化物薄膜は25程度の誘電率値を示した。これに対し、組成物を用いて得られた薄膜の場合、組成比によって差があるものの、全般的に30以上の高い誘電率を示した。特に、組成比が40:60である場合(実施例3)、誘電率が35以上であることが分かった。したがって、組成物を用いて薄膜内のZr及びHfの組成比を調節すると、薄膜の全体的な誘電率を効果的に改善することができることが分かった。 Referring to Table 12, the Zr oxide thin film showed a dielectric constant value of about 26, and the Hf oxide thin film showed a dielectric constant value of about 25. On the other hand, in the case of the thin film obtained by using the composition, the dielectric constant was generally as high as 30 or more, although there was a difference depending on the composition ratio. In particular, when the composition ratio was 40:60 (Example 3), it was found that the dielectric constant was 35 or more. Therefore, it was found that adjusting the composition ratio of Zr and Hf in the thin film using the composition can effectively improve the overall dielectric constant of the thin film.
本発明は、上述したように好適な実施形態によって説明したが、これらの実施形態に限定されず、本発明の精神から逸脱することなく、当該発明の属する技術分野における通常の知識を有する者によって様々な変形と変更が可能である。それらの変形例及び変更例は、本発明と添付された特許請求の範囲の範疇内に属するものと理解すべきである。 The present invention has been described by preferred embodiments as described above, but is not limited to these embodiments, and is not deviated from the spirit of the invention and is by a person having ordinary knowledge in the technical field to which the invention belongs. Various transformations and changes are possible. It should be understood that those modifications and modifications fall within the scope of the claims attached to the present invention.
| Application Number | Priority Date | Filing Date | Title | 
|---|---|---|---|
| KR10-2018-0159668 | 2018-12-12 | ||
| KR20180159668 | 2018-12-12 | ||
| KR1020190160118AKR20200072407A (en) | 2018-12-12 | 2019-12-04 | Precursor composition for film deposition, deposition method of film and semiconductor device of the same | 
| KR10-2019-0160118 | 2019-12-04 | ||
| PCT/KR2019/017151WO2020122506A2 (en) | 2018-12-12 | 2019-12-06 | Precursor composition for forming metal film, metal film forming method using same, and semiconductor device comprising same metal film | 
| Publication Number | Publication Date | 
|---|---|
| JP2022511849Atrue JP2022511849A (en) | 2022-02-01 | 
| JP7262912B2 JP7262912B2 (en) | 2023-04-24 | 
| Application Number | Title | Priority Date | Filing Date | 
|---|---|---|---|
| JP2021531889AActiveJP7262912B2 (en) | 2018-12-12 | 2019-12-06 | Precursor composition for forming a metal film, method for forming a metal film using the same, and semiconductor device including the metal film | 
| Country | Link | 
|---|---|
| JP (1) | JP7262912B2 (en) | 
| WO (1) | WO2020122506A2 (en) | 
| Publication number | Priority date | Publication date | Assignee | Title | 
|---|---|---|---|---|
| JP2025515587A (en)* | 2022-05-13 | 2025-05-20 | ユーピー ケミカル カンパニー リミテッド | Film-forming composition containing a group 4 metal element-containing precursor compound and method for forming a film using the same | 
| Publication number | Priority date | Publication date | Assignee | Title | 
|---|---|---|---|---|
| KR20220157741A (en)* | 2021-05-21 | 2022-11-29 | 주식회사 아이켐스 | Novel hafnium compound, precursor composition comprising the same, thin film using the same and deposition method of the same | 
| Publication number | Priority date | Publication date | Assignee | Title | 
|---|---|---|---|---|
| JP2010506378A (en)* | 2006-06-02 | 2010-02-25 | レール・リキード−ソシエテ・アノニム・プール・レテュード・エ・レクスプロワタシオン・デ・プロセデ・ジョルジュ・クロード | Methods of forming dielectric films, novel precursors and their use in semiconductor manufacturing | 
| US20110183527A1 (en)* | 2009-08-18 | 2011-07-28 | Youn-Joung Cho | Precursor Composition, Methods of Forming a Layer, Methods of Forming a Gate Structure and Methods of Forming a Capacitor | 
| WO2013150920A1 (en)* | 2012-04-05 | 2013-10-10 | 東京エレクトロン株式会社 | Semiconductor device manufacturing method and substrate treatment system | 
| JP2014510733A (en)* | 2011-03-15 | 2014-05-01 | メカロニックス シーオー. エルティディ. | Novel group 4B organometallic compound and method for producing the same | 
| Publication number | Priority date | Publication date | Assignee | Title | 
|---|---|---|---|---|
| US6984591B1 (en)* | 2000-04-20 | 2006-01-10 | International Business Machines Corporation | Precursor source mixtures | 
| WO2008128141A2 (en)* | 2007-04-12 | 2008-10-23 | Advanced Technology Materials, Inc. | Zirconium, hafnuim, titanium, and silicon precursors for ald/cvd | 
| KR102215341B1 (en)* | 2012-12-17 | 2021-02-16 | 솔브레인 주식회사 | Metal precursor and metal containing thin film prepared by using the same | 
| KR20160000392A (en)* | 2014-06-24 | 2016-01-04 | 솔브레인씨그마알드리치 유한회사 | Composition for forming thin film | 
| Publication number | Priority date | Publication date | Assignee | Title | 
|---|---|---|---|---|
| JP2010506378A (en)* | 2006-06-02 | 2010-02-25 | レール・リキード−ソシエテ・アノニム・プール・レテュード・エ・レクスプロワタシオン・デ・プロセデ・ジョルジュ・クロード | Methods of forming dielectric films, novel precursors and their use in semiconductor manufacturing | 
| US20110183527A1 (en)* | 2009-08-18 | 2011-07-28 | Youn-Joung Cho | Precursor Composition, Methods of Forming a Layer, Methods of Forming a Gate Structure and Methods of Forming a Capacitor | 
| JP2014510733A (en)* | 2011-03-15 | 2014-05-01 | メカロニックス シーオー. エルティディ. | Novel group 4B organometallic compound and method for producing the same | 
| WO2013150920A1 (en)* | 2012-04-05 | 2013-10-10 | 東京エレクトロン株式会社 | Semiconductor device manufacturing method and substrate treatment system | 
| Publication number | Priority date | Publication date | Assignee | Title | 
|---|---|---|---|---|
| JP2025515587A (en)* | 2022-05-13 | 2025-05-20 | ユーピー ケミカル カンパニー リミテッド | Film-forming composition containing a group 4 metal element-containing precursor compound and method for forming a film using the same | 
| JP7698807B2 (en) | 2022-05-13 | 2025-06-25 | ユーピー ケミカル カンパニー リミテッド | Film-forming composition containing a group 4 metal element-containing precursor compound and method for forming a film using the same | 
| Publication number | Publication date | 
|---|---|
| WO2020122506A2 (en) | 2020-06-18 | 
| JP7262912B2 (en) | 2023-04-24 | 
| WO2020122506A3 (en) | 2020-07-30 | 
| Publication | Publication Date | Title | 
|---|---|---|
| KR102521465B1 (en) | Precursor composition for film deposition, deposition method of film and semiconductor device of the same | |
| US11081337B2 (en) | Formulation for deposition of silicon doped hafnium oxide as ferroelectric materials | |
| US11193206B2 (en) | Formulation for deposition of silicon doped hafnium oxide as ferroelectric materials | |
| KR102008445B1 (en) | Precursor compositions for forming zirconium-containing film and method of forming zirconium-containing film using them as precursors | |
| KR20210114890A (en) | Precursor composition for film deposition and methods of forming a film using the same | |
| US20100075067A1 (en) | Preparation of Metal Oxide Thin Film Via Cyclic CVD or ALD | |
| TW202110860A (en) | Formulation for deposition of silicon doped hafnium oxide | |
| KR102622013B1 (en) | Precursor for film deposition, deposition method of film and semiconductor device of the same | |
| KR20190108281A (en) | Precursor composition for film deposition, deposition method of film and semiconductor device of the same | |
| JP2022511849A (en) | A precursor composition for forming a metal film, a method for forming a metal film using the same, and a semiconductor device containing the metal film. | |
| KR102643460B1 (en) | Growth inhibitor for forming thin film for and deposition method for preparing film using the same | |
| KR20210155106A (en) | Lanthanide precursor and lanthanide-containing film using the same and deposition method of the same and semiconductor device comprising the same | |
| US11631580B2 (en) | Formulation for deposition of silicon doped hafnium oxide as ferroelectric materials | |
| JP2024508455A (en) | Metal thin film precursor composition, thin film forming method using the same, and semiconductor substrate manufactured from the same | |
| KR102712673B1 (en) | Metal precursor compound including cyclopentadienyl ligand and deposition method for preparing film using the same | |
| TWI896184B (en) | Precursor metal-silicon containing thin film, deposition method of thin film using the same, and semiconductor device comprising the same | |
| KR20210064658A (en) | Precursor for silicon-containing film deposition, deposition method of silicon-containing film and semiconductor device of the same | |
| KR102550599B1 (en) | Metal precursor compound and deposition method for preparing film using the same | |
| KR102486128B1 (en) | Precursor comprising organometal halide, deposition method of film and semiconductor device of the same | |
| KR102855353B1 (en) | Fulven-based Thin Film Formation Precursor | |
| KR20250017860A (en) | Precursor metal-silicon containing thin film, deposition method of thin film using the same, and semiconductor device comprising the same | |
| TW202504905A (en) | Precursor metal-silicon containing thin film, deposition method of thin film using the same, and semiconductor device comprising the same | |
| KR20240038417A (en) | Metal precursor compound for and deposition method for preparing film using the same | |
| KR20240073582A (en) | Precursor comprising amidinate ligand for film deposition, deposition method of film and semiconductor device of the same | |
| KR20210064623A (en) | Precursor for film deposition, deposition method of film and semiconductor device of the same | 
| Date | Code | Title | Description | 
|---|---|---|---|
| A621 | Written request for application examination | Free format text:JAPANESE INTERMEDIATE CODE: A621 Effective date:20210603 | |
| A131 | Notification of reasons for refusal | Free format text:JAPANESE INTERMEDIATE CODE: A131 Effective date:20220614 | |
| A977 | Report on retrieval | Free format text:JAPANESE INTERMEDIATE CODE: A971007 Effective date:20220616 | |
| A601 | Written request for extension of time | Free format text:JAPANESE INTERMEDIATE CODE: A601 Effective date:20220823 | |
| A521 | Request for written amendment filed | Free format text:JAPANESE INTERMEDIATE CODE: A523 Effective date:20221101 | |
| A131 | Notification of reasons for refusal | Free format text:JAPANESE INTERMEDIATE CODE: A131 Effective date:20230124 | |
| A521 | Request for written amendment filed | Free format text:JAPANESE INTERMEDIATE CODE: A523 Effective date:20230317 | |
| TRDD | Decision of grant or rejection written | ||
| A01 | Written decision to grant a patent or to grant a registration (utility model) | Free format text:JAPANESE INTERMEDIATE CODE: A01 Effective date:20230411 | |
| A61 | First payment of annual fees (during grant procedure) | Free format text:JAPANESE INTERMEDIATE CODE: A61 Effective date:20230411 | |
| R150 | Certificate of patent or registration of utility model | Ref document number:7262912 Country of ref document:JP Free format text:JAPANESE INTERMEDIATE CODE: R150 |