





本発明は、コンテンツをストリーミング配信する際のビットレートを決定する配信ビットレート決定装置およびそのプログラムに関する。 The present invention relates to a distribution bit rate determination device and its program for determining a bit rate for streaming distribution of content.
昨今のインターネットにおける動画のストリーミング配信は、汎用的なWebサーバによりHTTP(Hypertext Transfer Protocol)を用いて配信するアダプティブストリーミングが主流となっている。具体的には、MPEG-DASH(MPEG Dynamic Adaptive Streaming over HTTP)、HLS(HTTP Live Streaming)等のプロトコルが広く利用されている。例えば、MPEG-DASH(非特許文献1参照)では、複数の品質(解像度、ビットレート等)でエンコードした動画ストリームを、それぞれ数秒から数十秒程度に分割したセグメント、および、それら動画コンテンツの属性やURL(Uniform Resource Locator)を記述したマニフェストファイルを配信サーバに用意する。そして、端末装置は、画面サイズ、ネットワークの帯域等を考慮して、再生開始時および再生中に次に受信するセグメントの配信ビットレートを、マニフェストファイルに記述された候補から決定する。そして、端末装置は、決定したセグメントを配信サーバから順次受信し、一つの動画コンテンツに繋ぎ合わせて再生する。 In recent years, streaming distribution of moving images on the Internet has mainly been performed by adaptive streaming, which is distributed using HTTP (Hypertext Transfer Protocol) by a general-purpose Web server. Specifically, protocols such as MPEG-DASH (MPEG Dynamic Adaptive Streaming over HTTP) and HLS (HTTP Live Streaming) are widely used. For example, in MPEG-DASH (see Non-Patent Document 1), a video stream encoded with multiple qualities (resolution, bit rate, etc.) is divided into segments of several seconds to several tens of seconds each, and the attributes of those video contents. and a manifest file describing a URL (Uniform Resource Locator) is prepared in the delivery server. Then, the terminal device determines the distribution bit rate of the next segment to be received at the start of reproduction and during reproduction from the candidates described in the manifest file, taking into account the screen size, network bandwidth, and the like. Then, the terminal device sequentially receives the determined segments from the distribution server, joins them together into one piece of video content, and reproduces it.
近年、アダプティブストリーミングにおいて、モデル予測制御を用いて、できる限り高い体感品質となる配信ビットレートを決定する手法が知られている(非特許文献2参照)。この手法では、体感品質の指標として、動画品質と、動画品質の変動と、再生停止時間とを用いている。なお、配信ビットレートを決定するには、セグメント長以内に決定処理を完了する必要がある。
一般的な端末装置で、体感品質を厳密に最適化する配信ビットレートを決定する処理を、セグメント長以内に行うことは計算量が膨大となり多くの場合困難である。In recent years, in adaptive streaming, there is known a method of determining a distribution bit rate that achieves the highest possible quality of experience using model predictive control (see Non-Patent Document 2). This method uses moving picture quality, fluctuations in moving picture quality, and reproduction stop time as indicators of the quality of experience. In addition, in order to determine the distribution bit rate, it is necessary to complete the determination process within the segment length.
In general terminal devices, it is difficult in many cases due to the huge amount of calculation to perform the process of determining the distribution bit rate that strictly optimizes the QoE within the segment length.
そこで、非特許文献2には、予め定めた量子化幅で端末装置のバッファ占有量と受信の帯域幅とを離散値として近似的に表現し、バッファ占有量および帯域幅のとり得る値のすべての組み合わせに対して計算した最適な配信ビットレートのリストを用意しておく手法が提案されている。
このリストを動画再生開始前に端末装置に提供することで、端末装置は、動画再生時のバッファ占有量と帯域幅との組み合わせに対応する最適な配信ビットレートを当該リストから選択するのみでよく、配信ビットレートの決定処理に要する処理負荷を低減している。Therefore, in
By providing this list to the terminal device before starting video playback, the terminal device only needs to select the optimum distribution bit rate corresponding to the combination of the buffer occupancy and bandwidth during video playback from the list. , reducing the processing load required for determining the distribution bit rate.
従来のバッファ占有量と帯域幅とを予め定めた量子化幅で離散化する手法は、元々の値との差である量子化誤差が生じるため、所望の体感品質を提示できず、最適な配信ビットレートの決定ができない場合があり得る。 The conventional method of discretizing the buffer occupancy and bandwidth with a predetermined quantization width causes a quantization error that is a difference from the original value, so it is not possible to present the desired quality of experience, resulting in optimal delivery. It is possible that the bitrate cannot be determined.
また、従来の手法は、量子化幅を小さく定めれば、量子化誤差は小さくなり、所望の体感品質を提示できる可能性が高くなる。しかし、バッファ占有量と帯域幅との組み合わせが増大することで、複数の端末装置を対象として、動画再生開始前に端末装置に提供する配信ビットレートのリストの生成が時間的に困難となり得るという問題や、当該リストのデータサイズが大きくなり一般的な端末装置のメモリに保存させることが困難となり得るという問題が発生してしまう。 Further, in the conventional method, if the quantization width is set small, the quantization error becomes small, and the possibility of presenting the desired quality of experience increases. However, as the combination of buffer occupancy and bandwidth increases, it may become difficult to generate a list of distribution bit rates for multiple terminals before video playback starts. In addition, the data size of the list becomes large and it becomes difficult to store it in the memory of a general terminal device.
本発明は、このような従来技術の問題点に鑑みてなされたもので、量子化誤差による体感品質の低下を抑えた配信ビットレートを決定することが可能な配信ビットレート決定装置およびそのプログラムを提供することを課題とする。 The present invention has been made in view of such problems of the conventional technology, and provides a distribution bit rate determination device and its program that can determine a distribution bit rate that suppresses deterioration in the quality of experience due to quantization errors. The task is to provide
前記課題を解決するため、本発明に係る配信ビットレート決定装置は、コンテンツを所定長に分割したセグメントごとに受信する端末装置に対する前記セグメントの配信ビットレートを決定する配信ビットレート決定装置であって、再生状況収集部と、数理モデル化部と、モデル変数計算部と、配信指示生成部と、配信指示通知部と、を備える構成とした。 In order to solve the above-mentioned problems, a distribution bit rate determination device according to the present invention is a distribution bit rate determination device that determines a distribution bit rate of each segment for a terminal device that receives each segment obtained by dividing a content into predetermined lengths. , a reproduction status collection unit, a mathematical modeling unit, a model variable calculation unit, a distribution instruction generation unit, and a distribution instruction notification unit.
かかる構成において、配信ビットレート決定装置は、再生状況収集部によって、端末装置から、直前のセグメントを受信した配信ビットレートと、次のセグメントの受信を開始する際の再生バッファのバッファ占有量と、予め定めた予測区間の帯域幅予測値とを、再生状況情報として収集する。 In such a configuration, the distribution bit rate determination device uses the reproduction status collection unit to obtain the distribution bit rate at which the previous segment was received from the terminal device, the buffer occupancy of the reproduction buffer when starting reception of the next segment, A bandwidth prediction value for a predetermined prediction interval is collected as reproduction status information.
そして、配信ビットレート決定装置は、数理モデル化部によって、再生状況情報に基づいて、予め定めた配信ビットレートと待機時間の候補からいずれを選択するかを変数とする数理モデルを生成する。この数理モデルは、二次形式二値変数最適化表現、または、イジングモデル表現で表すことができる。 Then, the distribution bit rate determination device uses the mathematical modeling unit to generate a mathematical model whose variable is which of the predetermined distribution bit rate and waiting time candidates is selected based on the reproduction status information. This mathematical model can be represented by a quadratic form binary variable optimization expression or an Ising model expression.
さらに、配信ビットレート決定装置は、モデル変数計算部によって、数理モデルの値が、予め定めた閾値の条件を満たすように、数理モデルの変数の解を計算する。このモデル変数計算部は、数理モデルの最適化問題を求解する計算を行うことで、変数の解を求める。これによって、モデル変数計算部は、モデル予測制御に基づいた数理モデルの変数の解を求めることができる。 Further, the distribution bitrate determination device calculates the solution of the variables of the mathematical model so that the values of the mathematical model satisfy the predetermined threshold conditions by the model variable calculation unit. This model variable calculation unit obtains the solution of the variables by performing calculations for solving the optimization problem of the mathematical model. Thereby, the model variable calculation unit can obtain the solution of the variables of the mathematical model based on the model predictive control.
そして、配信ビットレート決定装置は、配信指示生成部によって、モデル変数計算部で計算された変数の解で特定される、端末装置に対する次のセグメントの配信ビットレートと、次のセグメント受信後の待機時間とを配信指示情報として生成する。
そして、配信ビットレート決定装置は、配信指示通知部によって、配信指示生成部で生成された配信指示情報を端末装置に通知する。Then, the distribution bit rate determination device determines the distribution bit rate of the next segment for the terminal device, which is specified by the solution of the variables calculated by the model variable calculation unit, by the distribution instruction generation unit, and waits after receiving the next segment. and time are generated as delivery instruction information.
Then, the distribution bit rate determination device notifies the terminal device of the distribution instruction information generated by the distribution instruction generation unit by the distribution instruction notification unit.
これによって、端末装置は、配信ビットレート決定装置に対する再生状況情報の送信と、配信指示情報の受信とを繰り返し、指示された配信ビットレートでセグメントを受信し、指示された待機時間だけ待機する動作を繰り返すことで、品質を考慮したコンテンツの再生が可能になる。 As a result, the terminal device repeats the transmission of the reproduction status information to the distribution bit rate determination device and the reception of the distribution instruction information, receives the segment at the indicated distribution bit rate, and waits for the indicated waiting time. By repeating the above, it is possible to reproduce the content considering the quality.
なお、配信ビットレート決定装置は、コンピュータを、前記した各機能部として機能させるための配信ビットレート決定プログラムで動作させることができる。 The distribution bit rate determination device can be operated by a distribution bit rate determination program for causing a computer to function as each functional unit described above.
本発明によれば、従来のように端末装置にリストを配布することなく、端末装置の負荷を抑えるとともに、量子化誤差に伴う品質の低下を抑えることができる。 According to the present invention, it is possible to reduce the load on the terminal device without distributing the list to the terminal device as in the conventional art, and to suppress the deterioration of quality due to the quantization error.
[配信ビットレート決定装置を含む配信システムの全体構成]
まず、図1を参照して、本発明の実施形態に係る配信ビットレート決定装置を含む配信システムの全体構成について説明する。[Overall Configuration of Distribution System Including Distribution Bit Rate Determining Device]
First, with reference to FIG. 1, the overall configuration of a distribution system including a distribution bit rate determination device according to an embodiment of the present invention will be described.
配信システムSは、コンテンツを配信サーバ1から端末装置2にセグメントごとに配信するものである。図1に示すように、配信システムSは、配信サーバ1と、端末装置2と、配信ビットレート決定装置3と、計算機4と、を備える。 The distribution system S distributes content from the
配信サーバ1は、コンテンツを格納し、端末装置2からの要求に応じたセグメントを、ネットワークNを介して配信するものである。コンテンツは、映像、音声またはその両方、あるいは、それらを含んだデータである。セグメントは、コンテンツを、所定長(セグメント長)で分割したデータである。ここでは、配信サーバ1は、動画コンテンツをセグメント化して配信するものとする。 The
端末装置2は、配信サーバ1にコンテンツをセグメントごとに要求し、ネットワークNを介して受信するものである。ここでは、端末装置2として、1台例示しているが、この台数は、1台に限定されるものではない。
端末装置2は、セグメントを受信中に、ネットワークNを介して再生状況情報を配信ビットレート決定装置3に通知する。そして、端末装置2は、配信ビットレート決定装置3から通知される配信指示情報に基づいて、セグメントの受信を行う。
この端末装置2は、通信機能を有する端末であれば、特に限定するものではないが、例えば、スマートフォン端末、タブレット端末、パーソナルコンピュータ、ウェアラブル端末等である。The
The
This
端末装置2が配信ビットレート決定装置3に通知する再生状況情報は、配信ビットレートと、バッファ占有量と、帯域幅予測値と、を示す情報である。
再生状況情報の配信ビットレートは、端末装置2が配信サーバ1から直前のセグメントを受信した際のビットレートである。
バッファ占有量は、端末装置2が次のセグメントの受信を開始する際の再生バッファの占有量である。ここでは、バッファ占有量は、セグメントを再生する時間長(秒)とする。
帯域幅予測値は、端末装置2が予測した、次のセグメント以降のセグメント受信時の帯域幅の予測値である。なお、端末装置2における帯域幅の予測は、移動平均に基づく手法、時系列解析に基づく手法等、一般的な手法を用いればよいため、ここでは説明を省略する。The reproduction status information that the
The distribution bit rate of the reproduction status information is the bit rate when the
The buffer occupancy is the occupancy of the playback buffer when the
The bandwidth prediction value is a prediction value of the bandwidth at the time of segment reception after the next segment predicted by the
端末装置2が配信ビットレート決定装置3から通知される配信指示情報は、配信ビットレートと、待機時間と、を示す情報である。
配信指示情報の配信ビットレートは、端末装置2が配信サーバ1から次にセグメントを受信する際のビットレートである。
待機時間は、端末装置2がセグメントを受信完了後、次のセグメントを受信開始するまで待機する時間である。The distribution instruction information notified from the distribution bit
The distribution bit rate of the distribution instruction information is the bit rate when the
The standby time is the time that the
配信ビットレート決定装置3は、コンテンツを所定長に分割したセグメントごとに受信する端末装置2に対するセグメントの配信ビットレートを決定するものである。
配信ビットレート決定装置3は、端末装置2からネットワークNを介して通知される再生状況情報に基づいて、配信ビットレートと待機時間とを決定し、配信指示情報として、端末装置2に通知する。
配信ビットレート決定装置3は、予め定めた配信ビットレートと待機時間との各候補からいずれを選択するかを変数として、組合せ最適化問題の数理モデルを定式化し、数理モデルの解を計算機4で求める。
ここでは、配信ビットレート決定装置3は、数理モデルHを以下の式(1)に示すQUBO(Quadratic unconstrained binary optimization:制約なし二次形式二値変数最適化)表現で構築する。The distribution bit
The distribution bit
The distribution bit
Here, the distribution
ここで、z(i),z(j)は、ベクトルzのi番目およびj番目の要素であり、“0”または“1”をとる二値変数である。Σi,Σjは、ベクトルzのすべての要素の総和をとる演算子である。ベクトルの右上の記号Tはベクトルの転置を表す。Q(i,j)は、パラメータ行列Qのi行目j列目の要素であり、二値変数の積z(i)z(j)の係数となる。
配信ビットレート決定装置3は、式(1)の数理モデルHを最小化するzの組(z(i),z(j))を、計算機4を用いて計算する。
なお、数理モデルHは、QUBO表現以外にも、それと等価なイジングモデル表現を用いてもよい。
この配信ビットレート決定装置3については、あとで詳細に説明する。Here, z(i) and z(j) are the i-th and j-th elements of vector z, and are binary variables that take "0" or "1". Σi and Σj are operators that sum all the elements of vector z. The symbol T on the upper right of the vector represents transposition of the vector. Q(i,j) is the element of the i-th row and j-th column of the parameter matrix Q, and is the coefficient of the product z(i)z(j) of binary variables.
The distribution
In addition to the QUBO expression, the mathematical model H may use an equivalent Ising model expression.
This distribution bit
計算機4は、配信ビットレート決定装置3で生成される数理モデルの解を計算により求めるものである。
計算機4は、配信ビットレート決定装置3で生成される数理モデルの解を計算するものであれば、どのような計算機でもよい。例えば、計算機4は、QUBOやイジングモデルを求解するイジングマシン等の計算機である。
なお、計算機4は、独立した構成とする必要はなく、配信ビットレート決定装置3の内部に備える構成としてもよい。The
The
Note that the
[端末装置のバッファ占有量の変動について]
ここで、図2を参照して、配信ビットレート決定装置3から指示される配信指示情報(配信ビットレートおよび待機時間)による端末装置2におけるバッファ占有量の変動について説明する。
動画コンテンツは、セグメント長がLであるK個のセグメントで構成されているものとする。K個のセグメントのうち、セグメントkの配信ビットレートをr(k)、ダウンロード(受信)開始時のバッファ占有量をb(k)、ダウンロード時の帯域幅予測値をc(k)、待機時間をd(k)とする。[Regarding fluctuations in terminal device buffer occupancy]
Here, with reference to FIG. 2, the fluctuation of the buffer occupancy in the
Assume that the video content is composed of K segments with a segment length of L. Out of K segments, r(k) is the distribution bit rate of segment k, b(k) is the buffer occupancy at the start of download (reception), c(k) is the estimated bandwidth value at the time of download, and wait time be d(k).
図2に示すように、端末装置2は、再生時刻t(k)でセグメントkのダウンロードを開始した場合、ダウンロード時間はL(r(k)/c(k))となり、配信指示情報の配信ビットレートr(k)と、帯域幅予測値c(k)とに依存する。その後、端末装置2は、次のセグメントk+1のダウンロードまで、配信指示情報の待機時間d(k)の間待機する。この間、バッファ占有量は、再生を継続しているため、t(k+1)-t(k)だけ減少し、ダウンロードしたセグメントkのセグメント長Lが付加される。なお、ダウンロード時間はL(r(k)/c(k))が、バッファ占有量b(k)を超過した場合、再生中断(リバッファリング)が発生する。
すなわち、端末装置2において、再生バッファが枯渇せず再生停止が発生していない状況におけるバッファ占有量の状態方程式は、以下の式(2)で表される。As shown in FIG. 2, when the
That is, in the
配信ビットレート決定装置3は、この式(2)で示す状態方程式に基づいて、端末装置2の再生バッファを枯渇させず、体感品質が高くなるように、配信ビットレートを決定する。
以下、本発明の実施形態に係る配信ビットレート決定装置の構成および動作について説明する。The distribution bit
The configuration and operation of the distribution bit rate determination device according to the embodiment of the present invention will be described below.
[配信ビットレート決定装置の構成]
図3を参照(適宜図1参照)して、本発明の実施形態に係る配信ビットレート決定装置3の構成について説明する。
配信ビットレート決定装置3は、記憶部MEと、通信部NCと、制御部CLと、を備える。[Configuration of distribution bit rate determination device]
The configuration of the distribution bit
The distribution
記憶部MEは、配信ビットレート決定プログラムPを記憶するROM(Read Only Memory)等の記憶媒体である。配信ビットレート決定プログラムPは、図示を省略したRAM(Random Access Memory)に展開されて動作することで、制御部CLの機能を実現する。 The storage unit ME is a storage medium such as a ROM (Read Only Memory) for storing the distribution bit rate determination program P. FIG. The distribution bit rate determination program P implements the functions of the control unit CL by operating in a RAM (random access memory) (not shown).
通信部NCは、ネットワークNを介して、端末装置2との間で通信を行うものである。通信部NCは、端末装置2から受信した再生状況情報を制御部CLに出力する。また、通信部NCは、制御部CLから入力した配信指示情報を端末装置2に送信する。 The communication unit NC communicates with the
制御部CLは、配信ビットレート決定プログラムPの動作によって機能する機能ブロックである。制御部CLは、機能ブロックとして、再生状況収集部30と、配信指示最適化部31と、配信指示通知部32と、を備える。 The control unit CL is a functional block that functions according to the operation of the distribution bit rate determination program P. FIG. The control unit CL includes a reproduction
再生状況収集部30は、端末装置から、直前のセグメントを受信した配信ビットレートと、次のセグメントの受信を開始する際の再生バッファのバッファ占有量と、予め定めた予測区間の帯域幅予測値とを、再生状況情報として収集するものである。再生状況収集部30は、再生状況情報を端末装置2から収集し、配信指示最適化部31に出力する。 The reproduction
配信指示最適化部31は、再生状況収集部30で収集された再生状況情報から、数理モデルを構築し、その解を求めることで、配信ビットレートと待機時間の情報を示す配信指示情報を決定するものである。 The distribution
配信指示最適化部31は、数理モデル化部31aと、モデル変数計算部31bと、配信指示生成部31cと、を備える。 The distribution
数理モデル化部31aは、再生状況収集部30で収集された再生状況情報に基づいて、予め定めた配信ビットレートと待機時間の候補からいずれを選択するかを変数として体感品質の数理モデルを生成するものである。 Based on the reproduction status information collected by the reproduction
ここで、図4を参照(適宜図1,図3参照)して、数理モデル化部31aの構成についてさらに詳細に説明する。
図4に示すように、数理モデル化部31aは、変数制約モデル定式化部310と、品質評価モデル定式化部311と、品質変動評価モデル定式化部312と、予測制御評価モデル定式化部313と、を備える。Here, the configuration of the
As shown in FIG. 4, the
変数制約モデル定式化部310は、変数を制約するための制約関数を生成するものである。変数制約モデル定式化部310は、配信ビットレートの候補から1つを選択することを制約とする数理モデルとして制約関数を定式化する。
前記したように、動画コンテンツは、セグメント長がLであるK個のセグメントで構成されているものとする。次に受信するセグメントをkとする。セグメントkに対して決定する配信ビットレートをr(k)とし、r(k)は配信サーバ1に用意されたR個の配信ビットレート{r1,r2,…,rR}から選択するものとする。また、セグメントkに対して配信ビットレートr(k)を決定する際の帯域幅の予測区間数をnpとする。つまり、セグメントkに対して、r(k),r(k+1),…,r(k+np-1)が決定すべき変数である。The variable constraint
As described above, it is assumed that the video content is composed of K segments each having a segment length of L. Let the next received segment be k. Let r(k) be the distribution bit rate determined for segment k, and r(k) is selected from R distribution bit rates {r1, r2, . . . , rR} prepared in
セグメントkに対して配信ビットレートの候補r∈{r1,r2,…,rR}を選択するときに“1”、選択しないときに“0”をとる二値変数をx(k,r)とする。この場合、セグメントkに対して選択する配信ビットレートr(k)は以下の式(3)で表される。 Let x(k, r) be a binary variable that takes “1” when selecting a distribution bit rate candidate rε{r1, r2, . do. In this case, the distribution bit rate r(k) selected for segment k is represented by the following equation (3).
ここで、Σrは、配信ビットレートのすべての候補の総和をとる演算子である。
ここでは、変数制約モデル定式化部310は、配信ビットレートの候補から1つを選択することを制約とする制約関数として、以下の式(4)に示す変数制約モデルH1を生成する。whereΣr is an operator that sums all candidates for the delivery bitrate.
Here, the variable constraint
変数制約モデル定式化部310は、式(4)に示す変数制約モデルH1をモデル変数計算部31bに出力する。 The variable constraint
次に、変数の1つである待機時間について、以下説明する。セグメントkの受信完了後にセグメントk+1を受信開始するまでの待機時間をd(k)とする。
待機時間の候補として、ここでは、Δ間隔の2nd個の離散値{0,Δ,2Δ,…,(2nd-1)Δ}を仮定する。ここで、ndは、待機時間を表現するための補助変数である二値変数の数である。セグメントkに対して待機時間の補助変数の候補d∈{0,1,2,…,nd-1}を選択するときに“1”、選択しないときに“0”をとる二値変数y(k,d)とする。この場合、セグメントkに対して選択する待機時間d(k)は以下の式(5)で表される。Next, the waiting time, which is one of the variables, will be explained below. Let d(k) be the waiting time from the completion of reception of segment k to the start of reception of
As waitingtime candidates, here we assume 2nd discrete values {0, Δ, 2Δ, . Here, nd is the number of binary variables that are auxiliary variables for expressing the waiting time. A binary variable y ( k, d). In this case, the waiting time d(k) selected for segment k is represented by the following equation (5).
ここで、Σdは、待機時間の補助変数のすべての候補の総和をとる演算子である。前記したように、待機時間の候補として等間隔な離散値を仮定することで、任意のy(k,d)に対して、式(5)で表されるd(k)が{0,Δ,2Δ,…,(2nd-1)Δ}のいずれかとなるため、新たな制約を追加することなく唯一つの待機時間が選択される。また、2nd個の待機時間の候補をnd個の二値変数で表現することができるため、決定する二値変数の数を削減することができる。where.SIGMA.d is an operator that sums all candidate waiting time auxiliary variables. As described above, by assuming equally spaced discrete values as waiting time candidates, d(k) represented by Equation (5) is {0, Δ, 2Δ, . In addition, since2nd waiting time candidates can be represented by nd binary variables, the number of binary variables to be determined can be reduced.
なお、動画のストリーミング配信においては多くの場合、待機時間を等間隔な離散的集合と仮定することは困難とはならないが、任意の値を仮定することもできる。その場合、変数制約モデル定式化部310は、待機時間についても、式(4)の配信ビットレートの制約と同様、複数の待機時間の候補から1つを選択することを制約とするモデルを生成することとしてもよい。この場合、セグメントkに対して、配信ビットレートr(k),r(k+1),…,r(k+np-1)に加え、待機時間d(k),d(k+1),…,d(k+np-1)が決定すべき変数となる。 It should be noted that, in many cases of video streaming distribution, it is not difficult to assume that waiting times are a discrete group at equal intervals, but any value can be assumed. In that case, the variable constraint
品質評価モデル定式化部311は、セグメントの品質(動画品質)を評価するための評価関数(第1評価関数)を生成するものである。品質評価モデル定式化部311は、品質を最大化することを目的とする数理モデルとして評価関数を定式化する。
ここでは、配信ビットレートがrであるときのセグメントkの品質をq(k,r)とする。q(k,r)は、例えば、ピーク信号対雑音比(PSNR:Peak Signal-to-Noise Ratio)や構造的類似性(SSIM:Structural SIMilarity)、VMAF(Video Multimethod Assessment Fusion)等を用いて算出してもよいし、q(k,r)=r(k)として再生状況収集部30で収集される配信ビットレートをそのまま用いてもよい。PSNR、SSIM、VMAF等を用いる場合、再生状況収集部30が、収集結果として、PSNR、SSIM、VMAF等を測定し、品質評価モデル定式化部311に出力する。
品質評価モデル定式化部311は、品質を評価する評価関数として、以下の式(6)に示す品質評価モデルH2を生成する。The quality evaluation
Here, let q(k, r) be the quality of segment k when the distribution bit rate is r. q (k, r) is calculated using, for example, peak signal-to-noise ratio (PSNR), structural similarity (SSIM), VMAF (Video Multimethod Assessment Fusion), etc. Alternatively, the distribution bit rate collected by the reproduction
The quality evaluation
この式(6)に示す品質評価モデルH2は、配信ビットレートrにおけるセグメントk,k+1,…,k+np-1の品質q(k,r)の合計に負の符号を付けたものである。これによって、品質評価モデルH2は、最小化されることで、品質を最大化する働きをする。
なお、品質評価モデルH2として、以下の式(7)を用いてもよい。The quality evaluation model H2 shown in this equation (6) is obtained by adding a negative sign to the total quality q(k, r) of segments k, k+1, . By this, the quality evaluation model H2 works to maximize the quality by being minimized.
The following formula (7) may be used as the quality evaluation model H2.
この式(7)に示す品質評価モデルH2は、セグメントk,k+1,…,k+np-1の品質q(k,r)と、最大の配信ビットレートの品質q(k,max{r1,r2,…,rR})との差の二乗を合計したものである。これによって、品質評価モデルH2は、最小化されることで、品質をできる限り最大の配信ビットレートの品質に近づける働きをする。
品質評価モデル定式化部311は、式(6)または式(7)に示す品質評価モデルH2をモデル変数計算部31bに出力する。The quality evaluation model H2 shown in this equation (7) includes the quality q(k, r) of segments k, k+1, . , rR}). The quality evaluation model H2 is thereby minimized and serves to bring the quality as close as possible to that of the maximum delivery bitrate.
The quality evaluation
品質変動評価モデル定式化部312は、品質(動画品質)の変動を評価するための評価関数(第2評価関数)を生成するものである。品質変動評価モデル定式化部312は、品質の変動を最小化することを目的とする数理モデルとして評価関数を定式化する。
ここでは、配信ビットレートがrであるときのセグメントkの品質をq(k,r)とする。なお、品質には、品質評価モデル定式化部311と同様、PSNR、SSIM、VMAF等を用いてもよい。
品質変動評価モデル定式化部312は、品質の変動を評価する評価関数として、以下の式(8)に示す品質変動評価モデルH3を生成する。The quality variation evaluation
Here, let q(k, r) be the quality of segment k when the distribution bit rate is r. For the quality, PSNR, SSIM, VMAF, etc. may be used as in the quality evaluation
The quality fluctuation evaluation
この式(8)において、最初のセグメントk=1の場合には直前のセグメントが存在しないため、k=1の場合とk≠1の場合とで場合分けをしている。
この式(8)に示す品質変動評価モデルH3は、あるセグメントとその直前のセグメントとの品質の差の二乗の合計である。これによって、品質変動評価モデルH3は、最小化されることで、品質変動の差を最小化する働きをする。
品質変動評価モデル定式化部312は、式(8)に示す品質変動評価モデルH3をモデル変数計算部31bに出力する。In this equation (8), when the first segment k=1, there is no immediately preceding segment.
The quality variation evaluation model H3 shown in this equation (8) is the sum of the squares of the quality differences between a certain segment and its immediately preceding segment. As a result, the quality fluctuation evaluation model H3 is minimized, thereby minimizing the difference in quality fluctuation.
The quality fluctuation evaluation
予測制御評価モデル定式化部313は、バッファ占有量と予め定めた目標値との差を評価するための評価関数(第3評価関数)を生成するものである。予測制御評価モデル定式化部313は、再生状況収集部30で収集された再生状況情報のうち次のセグメントkの受信を開始する際のバッファ占有量b(k)と、帯域幅予測値c(k),c(k+1),…,c(k+np-1)とから、バッファ占有量をできる限り目標値に近づけるための評価関数を生成する。 The predictive control evaluation
予測制御評価モデル定式化部313が生成する評価関数については、以下の数式により説明する。
端末装置2において、バッファ占有量が枯渇せず再生停止が発生していない状況におけるバッファ占有量の状態方程式は、前記式(2)で表される。
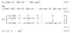
また、ここで、B,RD,Φ,Ξを以下の式(9)~式(12)で表す。The evaluation function generated by the predictive control evaluation
In the
Also, here, B, RD, Φ, and Ξ are represented by the following equations (9) to (12).
ただし、ベクトルB,RD,Ξの右上の記号Tは転置を表す。このとき、以下の式(13)の関係が成り立つ。 However, the upper right symbol T of the vectors B, RD, and Ξ indicates transposition. At this time, the relationship of the following equation (13) holds.
ただし、1vecはnp行1列のすべての要素が“1”であるベクトルを表す。
ここで、バッファ占有量の目標値をbrefとすると、セグメントk+1,k+2,…,k+npのバッファ占有量と目標値の差の二乗の合計h4は、以下の式(14)で表される。However, 1vec represents a vector in which all the elements of np rows and 1 column are "1".
Assuming that the target value of the buffer occupancy is bref, the sum h4 of the squares of the differences between the buffer occupancy of segments k+1, k+2, .
この式(14)は、バッファ占有量を評価するための評価関数となるが、二値変数ではないため、QUBO表現に変換することができない。そこで、予測制御評価モデル定式化部313は、以下に示すように、式(14)のh4を、二値変数とした予測制御評価モデルH4を生成する。
ここで、X(k),Y(k),Rvec,Dvecを以下の式(15)~式(18)で表す。This formula (14) is an evaluation function for evaluating the buffer occupancy, but since it is not a binary variable, it cannot be converted to the QUBO expression. Therefore, the predictive control evaluation
Here, X(k), Y(k), Rvec and Dvec are represented by the following equations (15) to (18).
さらに、Z,RDdiagを以下の式(19),式(20)で表す。 Furthermore, Z and RDdiag are represented by the following equations (19) and (20).
ただし、diag(A1,A2,…)は、行列A1,A2,…が対角部分に並んで構成されたブロック対角行列を表す。この式(20)のRDdiagは、行列Rvec,Dvecを対角部分に並んで構成されたブロック対角行列を、さらに、np個対角部分に並んで構成されたブロック対角行列である。
このとき、式(10)のRDは、式(19)のZと、式(20)のRDdiagを用いて、以下の式(21)で表される。However, diag(A1, A2, . . . ) represents a block diagonal matrix in which matrices A1, A2, . RDdiag in Equation (20) is a block diagonal matrix formed by arranging the matrices Rvec and Dvec in diagonal portions, and further, a block diagonal matrix formed by arranging np matrixes in diagonal portions.
At this time, RD of formula (10) is expressed by the following formula (21) using Z of formula (19) and RDdiag of formula (20).
これにより、式(21)を式(14)の右辺に代入することで、以下の式(22)に示す二値変数の予測制御評価モデルH4となる。 Accordingly, by substituting the equation (21) into the right side of the equation (14), the binary variable predictive control evaluation model H4 shown in the following equation (22) is obtained.
予測制御評価モデル定式化部313は、式(22)の予測制御評価モデルH4を生成し、モデル変数計算部31bに出力する。 The predictive control evaluation
このように、数理モデル化部31aで生成される変数制約モデルH1(前記式(4))、品質評価モデルH2(前記式(6)または前記式(7))、品質変動評価モデルH3(前記式(8))および予測制御評価モデルH4(前記式(22))は、二値変数であるx(k,r)およびy(k,d)について二次式で表現されることから、式変形によって前記式(1)で表されるQUBO表現に変換できる。 In this way, the variable constraint model H1 (equation (4) above), the quality evaluation model H2 (equation (6) or (7) above), and the quality fluctuation evaluation model H3 (equation (7) above) are generated by the
なお、二値変数について次数が二次以下であれば、QUBOの二次形式(次数がすべて二次以下)に変換することが可能であることは、例えば、<https://blueqat.readthedocs.io/ja/latest/ising.html>等により自明である。
すなわち、“0”または“1”をとる二値変数zでは、zとzの二乗とは等価(“0”も“1”も二乗しても不変)であるため、一次の項と二次の項とは等価変換することができる。また、定数項は、二値変数をどのように選んでも評価関数には影響を与えないため無視してもよい。これによって、二値変数について次数が二次以下であれば、QUBO形式に変換することができる。
図3に戻って、配信ビットレート決定装置3の構成について説明を続ける。It should be noted that if the degree of a binary variable is quadratic or less, it is possible to convert it to the quadratic form of QUBO (all degrees are quadratic or less), for example, see <https://blueqat.readthedocs. io/ja/latest/ising.html> and so on.
That is, for a binary variable z that takes "0" or "1", since z and the square of z are equivalent (both "0" and "1" are squared and do not change), the linear term and the quadratic term can be equivalently transformed. Also, the constant term can be ignored because it does not affect the evaluation function no matter how the binary variables are selected. As a result, if the degree of a binary variable is secondary or less, it can be converted into the QUBO format.
Returning to FIG. 3, the description of the configuration of the distribution bit
モデル変数計算部31bは、数理モデル化部31aで生成された数理モデルで、最適な体感品質を提示する変数の解を、計算機4により計算するものである。
モデル変数計算部31bは、数理モデル化部31aで生成された数理モデルを加算した全体関数を、計算機4に出力し、計算結果となる変数の解を取得する。
ここでは、モデル変数計算部31bは、数理モデル(変数制約モデルH1,品質評価モデルH2,品質変動評価モデルH3,予測制御評価モデルH4)を、バランス係数λ1,λ2,λ3,λ4を用いて加算した以下の式(23)の全体関数HALLを最小化する変数x(k,r),y(k,d)の解の計算を、計算機4に指示する。The model
The model
Here, the model
ただし、バランス係数λ1,λ2,λ3,λ4は、数理モデルH1,H2,H3,H4の比重であって、その値が大きいほどその値に係る数理モデルに比重が置かれる。
モデル変数計算部31bは、バランス係数λ1,λ2,λ3,λ4に初期値を設定し、計算機4に計算を実行させて、変数x(k,r),y(k,d)の解を取得する。However, the balance coefficients λ1, λ2, λ3, and λ4 are relative weights of the mathematical models H1, H2, H3, and H4.
The model
モデル変数計算部31bは、取得した変数の解を用いて、数理モデルH1,H2,H3,H4を計算し、それぞれの数理モデルの値(計算結果)が予め定めた閾値以下になるように、バランス係数を調整する。なお、変数制約モデルH1は、厳密に制約を満足させる必要があるため、その閾値は“0”とする。品質評価モデルH2、品質変動評価モデルH3および予測制御評価モデルH4の各閾値は、所望の体感品質に応じて自由に設定すればよい。そして、バランス係数を調整する間、計算機4に全体関数HALLの再計算(求解)を行う処理を繰り返す。The model
すなわち、モデル変数計算部31bは、数理モデルH1(制約関数)と、数理モデルH2(第1評価関数)と、数理モデルH3(第2評価関数)と、数理モデルH4(第3評価関数)とを、バランス係数を乗じて加算した全体関数を数理モデルとし、数理モデルH1による制約の下で、品質の値(H2)を高くし、品質の値の変動(H3)を小さくし、バッファ占有量と目標値との差(H4)を小さくするように、数理モデルの解を求める計算を繰り返す That is, the model
例えば、ある数理モデルの値が予め定めた閾値以下でない場合、その数理モデルに対応するバランス係数を増加させることで、この数理モデルに課される比重を重くする。これによって、この数理モデルの値を減少させることができる。なお、この全体関数HALLの再計算には、繰り返し回数の上限を設けてもよい。これによって、設定した繰り返し回数の上限の値によっては、数理モデルの値が閾値以下とならない場合でも、計算を終了させることができる。
モデル変数計算部31bは、変数x(k,r),y(k,d)の解を配信指示生成部31cに出力する。For example, if the value of a certain mathematical model is not equal to or below a predetermined threshold value, the balance coefficient corresponding to that mathematical model is increased, thereby increasing the weight given to this mathematical model. This allows the value of this mathematical model to be reduced. It should be noted that an upper limit on the number of iterations may be set for the recalculation of the overall function HALL . As a result, the calculation can be terminated even when the value of the mathematical model does not become equal to or less than the threshold depending on the set upper limit value of the number of iterations.
The
配信指示生成部31cは、モデル変数計算部31bで計算された変数の解に基づいて、端末装置2に通知する配信指示情報を生成するものである。
ここでは、配信指示生成部31cは、変数x(k,r),y(k,d)の解に基づいて、次に受信するセグメントkの配信ビットレートr(k)とセグメントkの受信完了後にセグメントk+1を受信開始するまでの待機時間をd(k)とを決定し、配信指示情報を生成する。
配信指示生成部31cは、変数 x(k,r),y(k,d)をまとめた前記式(19)の変数ベクトルZから以下の式(24)に従って配信ビットレートr(k)と待機時間d(k)とを算出する。The distribution
Here, based on the solution of the variables x(k, r) and y(k, d), the
The distribution
ただし、0matは2行R nd(np-1)列のすべての要素が“0”である行列を表す。 However, 0mat represents a matrix in which all elements of 2 rows and Rnd(np-1) columns are "0".
配信指示生成部31cは、算出した配信ビットレートr(k)と待機時間d(k)とを配信指示情報として、配信指示通知部32に出力する。 The distribution
配信指示通知部32は、通信部NCを介して、配信指示生成部31cで生成された配信指示情報を端末装置2に通知するものである。 The distribution
以上説明したように構成することで、配信ビットレート決定装置3は、図5(a)に示すように、端末装置2から収集する再生状況情報である配信ビットレートr(k-1)と、予測区間npの帯域幅予測値c(k),c(k+1),…とから、予め定めた配信ビットレート(図5では、rhigh,rmid,rlow)から、できるだけ体感品質が高くなる配信ビットレートr(k)を決定する。By configuring as described above, the distribution bit
また、配信ビットレート決定装置3は、図5(b)に示すように、予め設定されたバッファ占有量brefを基準として、端末装置2の再生バッファが枯渇せず、できるだけ体感品質が高くなる待機時間d(k)を決定する。
以上説明したような構成することで、配信ビットレート決定装置3は、所望の体感品質となる配信ビットレートおよび待機時間を決定し、端末装置2に通知することができる。In addition, as shown in FIG. 5(b), the distribution bit
By configuring as described above, the distribution bit
[配信ビットレート決定装置の動作]
次に、図6を参照(適宜図1,図3,図4参照)して、本発明の実施形態に係る配信ビットレート決定装置3の動作について説明する。[Operation of distribution bit rate determination device]
Next, with reference to FIG. 6 (see FIGS. 1, 3, and 4 as appropriate), the operation of the distribution bit
ステップS1において、再生状況収集部30は、通信部NCを介して、端末装置2から、直前のセグメントを受信した際の配信ビットレートr(k-1)と、次のセグメントの受信を開始する際のバッファ占有量b(k)と、予測区間の帯域幅予測値c(k),c(k+1),…,c(k+np-1)とを、再生状況情報として収集する。 In step S1, the reproduction
ステップS2において、配信指示最適化部31の数理モデル化部31aは、ステップS1で収集された再生状況情報に基づいて、予め定めた配信ビットレートと待機時間の候補からいずれを選択するかを変数として、体感品質の数理モデルを生成する。
このとき、数理モデル化部31aは、変数制約モデル定式化部310によって、変数制約モデルH1(前記式(4))を生成する。また、数理モデル化部31aは、品質評価モデル定式化部311によって、品質評価モデルH2(前記式(6)または式(7))を生成する。また、数理モデル化部31aは、品質変動評価モデル定式化部312によって、品質変動評価モデルH3(前記式(8))を生成する。また、数理モデル化部31aは、予測制御評価モデル定式化部313によって、予測制御評価モデルH4(前記式(22))を生成する。In step S2, the
At this time, the
ステップS3において、配信指示最適化部31のモデル変数計算部31bは、ステップS2で生成された数理モデル(変数制約モデルH1,品質評価モデルH2,品質変動評価モデルH3,予測制御評価モデルH4)から、前記式(23)の全体関数HALLを算出する際のバランス係数λ1,λ2,λ3,λ4の初期値を設定する。In step S3, the model
ステップS4において、モデル変数計算部31bは、ステップS3で生成された数理モデルH1,H2,H3,H4と、ステップS3で設定された、あるいは、後記するステップS7で調整されたバランス係数と、を用いて、前記式(23)の全体関数HALLを最小化する変数x(k,r),y(k,d)の解を、計算機4を用いて計算する。In step S4, the model
ステップS5において、モデル変数計算部31bは、全体関数HALLを最小化する変数を計算する計算回数が予め定めた閾値以下か否かを判定する。
ここで、計算回数が予め定めた閾値以下の場合(ステップS5でYes)、配信ビットレート決定装置3は、ステップS6に動作を進める。一方、計算回数が予め定めた閾値以下でない場合(ステップS5でNo)、配信ビットレート決定装置3は、ステップS8に動作を進める。In step S5, the
Here, if the number of calculations is equal to or less than the predetermined threshold value (Yes in step S5), the distribution bit
ステップS6において、モデル変数計算部31bは、ステップS4で求められた変数の解を用いて、数理モデルH1,H2,H3,H4を計算し、その値が予め定めた閾値以下か否かを判定する。変数制約モデルH1は、厳密に制約を満足させる必要があるため、閾値を“0”とする。なお、品質評価モデルH2、品質変動評価モデルH3および予測制御評価モデルH4の各閾値は、所望の体感品質に応じて自由に設定すればよい。
ここで、数理モデルH1,H2,H3,H4の値が予め定めた閾値以下の場合(ステップS6でYes)、配信ビットレート決定装置3は、ステップS8に動作を進める。一方、数理モデルH1,H2,H3,H4の値が予め定めた閾値以下でない場合(ステップS6でNo)、配信ビットレート決定装置3は、ステップS7に動作を進める。In step S6, the model
Here, if the values of the mathematical models H1, H2, H3, and H4 are equal to or less than the predetermined threshold (Yes in step S6), the distribution
ステップS7において、モデル変数計算部31bは、数理モデルH1,H2,H3,H4の値が予め定めた閾値以下である数理モデルについて、対応するバランス係数に予め定めた正の実数を加算することで、バランス係数を増加させる。あるいは、モデル変数計算部31bは、閾値以下でない数理モデルについて、対応するバランス係数に予め定めた負の実数を加算することで、バランス係数を減少させる。例えば、変数制約モデルH1の値のみが閾値以下でない場合、モデル変数計算部31bは、バランス係数λ1のみを増加させるか、バランス係数λ2,λ3,λ4を減少させる。これによって、相対的に、変数制約モデルH1の比重が大きくなる。
そして、配信ビットレート決定装置3は、ステップS4に動作を戻す。In step S7, the model
Then, the distribution
ステップS8において、配信指示最適化部31の配信指示生成部31cは、ステップS4で求められた変数x(k,r),y(k,d)の解を用いて、配信ビットレートと待機時間とを決定し、配信指示情報(前記式(24)参照)を生成する。 In step S8, the distribution
ステップS9において、配信指示通知部32は、通信部NCを介して、ステップS8で生成された配信指示情報を、端末装置2に通知する。
以上の動作によって、配信ビットレート決定装置3は、所望の体感品質となる配信ビットレートおよび待機時間を決定し、端末装置2に通知することができる。In step S9, the distribution
Through the above operations, the distribution bit
1 配信サーバ
2 端末装置
3 配信ビットレート決定装置
30 再生状況収集部
31 配信指示最適化部
31a 数理モデル化部
310 変数制約モデル定式化部
311 品質評価モデル定式化部
312 品質変動評価モデル定式化部
313 予測制御評価モデル定式化部
31b モデル変数計算部
31c 配信指示生成部
32 配信指示通知部
4 計算機
S 配信システム1
| Application Number | Priority Date | Filing Date | Title |
|---|---|---|---|
| JP2021087071AJP7698469B2 (en) | 2021-05-24 | 2021-05-24 | Delivery bit rate determination device and program thereof |
| Application Number | Priority Date | Filing Date | Title |
|---|---|---|---|
| JP2021087071AJP7698469B2 (en) | 2021-05-24 | 2021-05-24 | Delivery bit rate determination device and program thereof |
| Publication Number | Publication Date |
|---|---|
| JP2022180139Atrue JP2022180139A (en) | 2022-12-06 |
| JP7698469B2 JP7698469B2 (en) | 2025-06-25 |
| Application Number | Title | Priority Date | Filing Date |
|---|---|---|---|
| JP2021087071AActiveJP7698469B2 (en) | 2021-05-24 | 2021-05-24 | Delivery bit rate determination device and program thereof |
| Country | Link |
|---|---|
| JP (1) | JP7698469B2 (en) |
| Publication number | Priority date | Publication date | Assignee | Title |
|---|---|---|---|---|
| WO2025052844A1 (en)* | 2023-09-05 | 2025-03-13 | 日本電気通信システム株式会社 | Terminal, management server, communication system, method, and program |
| Publication number | Priority date | Publication date | Assignee | Title |
|---|---|---|---|---|
| US20110270913A1 (en)* | 2010-04-29 | 2011-11-03 | Irdeto Corporate B.V. | Controlling an adaptive streaming of digital content |
| WO2014112187A1 (en)* | 2013-01-18 | 2014-07-24 | ソニー株式会社 | Content server, content delivery method, content delivery system, client device, and content acquisition method |
| JP2018520560A (en)* | 2015-02-07 | 2018-07-26 | ゾウ ワン, | Method and system for smart adaptive video streaming driven by perceptual quality estimation |
| JP2019220839A (en)* | 2018-06-19 | 2019-12-26 | 日本放送協会 | Terminal device, band prediction device, and program |
| WO2021033234A1 (en)* | 2019-08-19 | 2021-02-25 | 日本電信電話株式会社 | Control device, control method, and program |
| JP7400841B2 (en)* | 2020-02-06 | 2023-12-19 | 日本電信電話株式会社 | Optimization function generation device, optimization function generation method, program |
| Publication number | Priority date | Publication date | Assignee | Title |
|---|---|---|---|---|
| US20110270913A1 (en)* | 2010-04-29 | 2011-11-03 | Irdeto Corporate B.V. | Controlling an adaptive streaming of digital content |
| JP2011234370A (en)* | 2010-04-29 | 2011-11-17 | Irdeto Corporate Bv | Controlling adaptive streaming of digital content |
| WO2014112187A1 (en)* | 2013-01-18 | 2014-07-24 | ソニー株式会社 | Content server, content delivery method, content delivery system, client device, and content acquisition method |
| JP2018520560A (en)* | 2015-02-07 | 2018-07-26 | ゾウ ワン, | Method and system for smart adaptive video streaming driven by perceptual quality estimation |
| JP2019220839A (en)* | 2018-06-19 | 2019-12-26 | 日本放送協会 | Terminal device, band prediction device, and program |
| WO2021033234A1 (en)* | 2019-08-19 | 2021-02-25 | 日本電信電話株式会社 | Control device, control method, and program |
| JP7400841B2 (en)* | 2020-02-06 | 2023-12-19 | 日本電信電話株式会社 | Optimization function generation device, optimization function generation method, program |
| Publication number | Priority date | Publication date | Assignee | Title |
|---|---|---|---|---|
| WO2025052844A1 (en)* | 2023-09-05 | 2025-03-13 | 日本電気通信システム株式会社 | Terminal, management server, communication system, method, and program |
| Publication number | Publication date |
|---|---|
| JP7698469B2 (en) | 2025-06-25 |
| Publication | Publication Date | Title |
|---|---|---|
| CN110268717B (en) | Bit rate optimization for encoding multiple representations using playback statistics | |
| Huang et al. | Quality-aware neural adaptive video streaming with lifelong imitation learning | |
| CN101911714B (en) | Image quality estimation device, and method | |
| CN101842812B (en) | Systems and methods for quality-aware selection of parameters in digital image transcoding | |
| CN114845106B (en) | Video encoding method, video encoding device, storage medium and electronic equipment | |
| KR100935650B1 (en) | Computer-readable recording media recording video quality estimation apparatus, methods and programs | |
| JP4594389B2 (en) | Video quality estimation apparatus, method, and program | |
| Huang et al. | Hindsight: Evaluate video bitrate adaptation at scale | |
| KR20110106271A (en) | Method and system for low complexity image transcoding with approximate optimal quality | |
| WO2017094847A1 (en) | Quality of experience optimizing device, network quality estimating device, mobile terminal, quality of experience optimizing method, network quality estimating method, and program | |
| Taraghi et al. | Understanding quality of experience of heuristic-based HTTP adaptive bitrate algorithms | |
| JP2022180139A (en) | Distribution bitrate determination device and its program | |
| JP6611271B2 (en) | Video quality control apparatus, bit rate selection method, and program | |
| Huang et al. | Digital twin-assisted collaborative transcoding for better user satisfaction in live streaming | |
| Wang et al. | Enhancing low latency adaptive live streaming through precise bandwidth prediction | |
| JP6145069B2 (en) | Subjective image quality estimation device and subjective image quality estimation program | |
| US11201901B2 (en) | Methods and systems for streaming media data over a content delivery network | |
| Duanmu et al. | Modeling generalized rate-distortion functions | |
| CN108282669A (en) | Information processing equipment and information processing system | |
| US11871061B1 (en) | Automated adaptive bitrate encoding | |
| JP4451856B2 (en) | Video quality estimation apparatus, method, and program | |
| Šuljug et al. | Fast Content Adaptive Representation Selection in HEVC-Based Video Coding for Streaming Applications | |
| JP2023074539A (en) | Distribution quality control device and program of them | |
| Oura et al. | Qoe estimation method with time-series features extracted from packet flows for video streaming | |
| CN114025190A (en) | Multi-code rate scheduling method and multi-code rate scheduling device |
| Date | Code | Title | Description |
|---|---|---|---|
| A621 | Written request for application examination | Free format text:JAPANESE INTERMEDIATE CODE: A621 Effective date:20240404 | |
| TRDD | Decision of grant or rejection written | ||
| A977 | Report on retrieval | Free format text:JAPANESE INTERMEDIATE CODE: A971007 Effective date:20250515 | |
| A01 | Written decision to grant a patent or to grant a registration (utility model) | Free format text:JAPANESE INTERMEDIATE CODE: A01 Effective date:20250520 | |
| A61 | First payment of annual fees (during grant procedure) | Free format text:JAPANESE INTERMEDIATE CODE: A61 Effective date:20250613 | |
| R150 | Certificate of patent or registration of utility model | Ref document number:7698469 Country of ref document:JP Free format text:JAPANESE INTERMEDIATE CODE: R150 |