Movatterモバイル変換


[0]ホーム

URL:


JP2016027101A - Novel aldehyde-containing resin - Google Patents

Novel aldehyde-containing resin
Download PDF

Info

Publication number
JP2016027101A
JP2016027101AJP2015119272AJP2015119272AJP2016027101AJP 2016027101 AJP2016027101 AJP 2016027101AJP 2015119272 AJP2015119272 AJP 2015119272AJP 2015119272 AJP2015119272 AJP 2015119272AJP 2016027101 AJP2016027101 AJP 2016027101A
Authority
JP
Japan
Prior art keywords
resin
aldehyde
diamine
containing resin
polymer chain
Prior art date
Legal status (The legal status is an assumption and is not a legal conclusion. Google has not performed a legal analysis and makes no representation as to the accuracy of the status listed.)
Granted
Application number
JP2015119272A
Other languages
Japanese (ja)
Other versions
JP6423316B2 (en
Inventor
達 天野
Tatsu Amano
達 天野
幸雄 阿部
Yukio Abe
幸雄 阿部
Current Assignee (The listed assignees may be inaccurate. Google has not performed a legal analysis and makes no representation or warranty as to the accuracy of the list.)
Gun Ei Chemical Industry Co Ltd
Original Assignee
Gun Ei Chemical Industry Co Ltd
Priority date (The priority date is an assumption and is not a legal conclusion. Google has not performed a legal analysis and makes no representation as to the accuracy of the date listed.)
Filing date
Publication date
Application filed by Gun Ei Chemical Industry Co LtdfiledCriticalGun Ei Chemical Industry Co Ltd
Priority to JP2015119272ApriorityCriticalpatent/JP6423316B2/en
Publication of JP2016027101ApublicationCriticalpatent/JP2016027101A/en
Application grantedgrantedCritical
Publication of JP6423316B2publicationCriticalpatent/JP6423316B2/en
Activelegal-statusCriticalCurrent
Anticipated expirationlegal-statusCritical

Links

Landscapes

Abstract

Translated fromJapanese

【課題】ガラス転移温度が高く、低誘電率及び低誘電正接を実現することが可能な樹脂組成物の提供。【解決手段】フェノール性水酸基を持つヒドロキシアルデヒドモノマーと、ホルムアルデヒド又は式(I)で表される化合物から選択される架橋剤と、を反応して得られるアルデヒド含有樹脂、及びジアミン類を含む樹脂組成物。(Yは各々独立にC1〜4のアルコキシル基又はハロゲン原子;R1及びR2は各々独立にH又はC1〜4のアルキル基;s及びtは各々独立に1〜3の整数)【選択図】なしA resin composition having a high glass transition temperature and capable of realizing a low dielectric constant and a low dielectric loss tangent is provided. A resin composition comprising an aldehyde-containing resin obtained by reacting a hydroxyaldehyde monomer having a phenolic hydroxyl group with a crosslinking agent selected from formaldehyde or a compound represented by formula (I), and a diamine. object. (Y is independently a C1-4 alkoxyl group or a halogen atom; R1 and R2 are each independently H or a C1-4 alkyl group; s and t are each independently an integer of 1 to 3)

Description

Translated fromJapanese

本発明は、新規アルデヒド含有樹脂、当該アルデヒド含有樹脂及びジアミン類を含む樹脂組成物、並びに当該アルデヒド含有樹脂、ジアミン類及びモノアミン類を含む樹脂組成物に関わる。また、本発明は、当該アルデヒド含有樹脂及びジアミン類を溶媒の存在下で混合して得られる樹脂ワニス、及び当該アルデヒド含有樹脂、ジアミン類及びモノアミン類を溶媒の存在下で混合して得られる樹脂ワニスに関る。更に、本発明は、これら樹脂ワニスから得られる積層板、樹脂成型物及びビルドアップ基板にも関わる。  The present invention relates to a novel aldehyde-containing resin, a resin composition containing the aldehyde-containing resin and diamines, and a resin composition containing the aldehyde-containing resin, diamines and monoamines. The present invention also relates to a resin varnish obtained by mixing the aldehyde-containing resin and diamine in the presence of a solvent, and a resin obtained by mixing the aldehyde-containing resin, diamine and monoamine in the presence of a solvent. Related to varnish. Furthermore, the present invention also relates to a laminate, a resin molded product and a build-up substrate obtained from these resin varnishes.

近年、電子製品の高性能化が図られる中、当該製品に使用される樹脂として高ガラス転移温度、低誘電率、低誘電正接が求められている。
例えば、印刷配線板分野では、フェノールとホルムアルデヒドを用いたフェノールノボラック樹脂とエポキシ樹脂とを用いたエポキシ樹脂組成物の硬化物が絶縁材料(積層板)として広く用いられている。
このようなエポキシ樹脂組成物は、汎用の電子製品に適用することが可能であるものの、高性能電子製品、例えば高集積化が要求されるスマートフォン、タブレット等で要求されるレベルの低誘電率、低誘電正接を実現することができないため、当該製品に使用することができない。
In recent years, as electronic products have been improved in performance, high glass transition temperatures, low dielectric constants, and low dielectric loss tangents are required as resins used in the products.
For example, in the printed wiring board field, a cured product of an epoxy resin composition using a phenol novolac resin and an epoxy resin using phenol and formaldehyde is widely used as an insulating material (laminate).
Although such an epoxy resin composition can be applied to general-purpose electronic products, it has a low dielectric constant at a level required for high-performance electronic products such as smartphones and tablets that require high integration, Since a low dielectric loss tangent cannot be realized, it cannot be used for the product.

一方、ポリフェニレンエーテル(PPE)骨格の優れた誘電特性と耐熱性に着目して、PPEの低分子体とエポキシ樹脂とを用いたエポキシ樹脂組成物が提案されている(特許文献1)。かかるエポキシ樹脂組成物では、低い誘電率が得られているものの、誘電正接が高く、またガラス転移温度も十分高いとは言えない。  On the other hand, an epoxy resin composition using a low molecular weight PPE and an epoxy resin has been proposed by paying attention to excellent dielectric properties and heat resistance of a polyphenylene ether (PPE) skeleton (Patent Document 1). Although such an epoxy resin composition has a low dielectric constant, it cannot be said that the dielectric loss tangent is high and the glass transition temperature is sufficiently high.

また、スマートフォン、タブレット等の高性能電子製品では、更なる高速化、薄型化の要望があり、誘電率と誘電正接の更なる低減が要求されている。しかしながら、このような要求性能を満たすエポキシ硬化系の樹脂組成物は見出されていないのが現状である。  In addition, high-performance electronic products such as smartphones and tablets are demanded to be further increased in speed and thickness, and further reduction of dielectric constant and dielectric loss tangent is required. However, the present situation is that no epoxy-cured resin composition satisfying such required performance has been found.

特開2004−224860号公報JP 2004-224860 A

本発明は、ガラス転移温度が高く、低誘電率及び低誘電正接を実現することが可能な樹脂組成物を提供することを目的とする。  An object of the present invention is to provide a resin composition having a high glass transition temperature and capable of realizing a low dielectric constant and a low dielectric loss tangent.

本発明者らは、近年の高性能電子製品において更なる低誘電率及び低誘電正接が要求される状況に鑑み、エポキシ硬化系ではない別の硬化系でこれらの特性を実現できないかを鋭意検討したところ、アルデヒド含有樹脂とジアミンの硬化系を用いることにより、ガラス転移温度が高く、低誘電率及び低誘電正接を実現することが可能であることを見出し、本発明を完成した。
また、アルデヒド含有樹脂と、ジアミン及びモノアミンを併用した硬化系を用いると、ワニス状態での粘度を低減でき溶剤溶解性を改善できると共に、ガラス転移温度が高く、低誘電率及び低誘電正接を実現することが可能であることを見出した。
In light of the situation where further low dielectric constant and low dielectric loss tangent are required in recent high-performance electronic products, the present inventors have eagerly investigated whether these characteristics can be realized by another curing system that is not an epoxy curing system. As a result, it was found that by using a curing system of an aldehyde-containing resin and a diamine, the glass transition temperature was high, and a low dielectric constant and a low dielectric loss tangent could be realized, and the present invention was completed.
In addition, using a curing system that combines aldehyde-containing resins with diamines and monoamines can reduce viscosity in the varnish state and improve solvent solubility, as well as high glass transition temperature, low dielectric constant and low dielectric loss tangent. Found that it is possible to do.

即ち、本発明は、
[1]フェノール性水酸基を持つヒドロキシアルデヒドモノマーと、ホルムアルデヒド又は以下の式(I):

Figure 2016027101
(式中、Yは、炭素原子数1〜4のアルコキシル基またはハロゲン原子を表し;
及びRは、存在する場合は、各々独立に、炭素数が1〜4のアルキル基を表し;
s及びtは、各々独立して、1〜3の整数を表す。)
で表される化合物から選択される架橋剤とを反応して得られるアルデヒド含有樹脂、及びジアミン類を含む樹脂組成物。
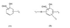
[2]以下の構造単位(A)及び(B):
Figure 2016027101
(式中、
1及び2は、各々、結合手を示し、
ここで、1は、いずれかの2と結合し、
1と1同士、2と2同士は結合することができず、
構造単位(B)の2は、1と結合しない場合は水素を示し、
構造単位(A)は、ポリマー鎖末端の一方を示し、1つのポリマー鎖に一単位存在する:
Rは、
−CH−であるか又は以下の式(II):
Figure 2016027101
で表され、ここで、R及びRは、存在する場合は、各々独立に、炭素数が1〜4のアルキル基を表す。)
からなるポリマー鎖、及び/又は構造単位(B)からなる環状ポリマーを含むアルデヒド含有樹脂、及びジアミン類を含む樹脂組成物。
[3]前記アルデヒド含有樹脂及び前記ジアミン類を混合して得られる、[1]又は[2]に記載の樹脂組成物。
[4]前記架橋剤が式(I)で表される化合物であり、前記ジアミン類がジアミノジシクロヘキシルメタンである、[1]又は[3]に記載の樹脂組成物。
[5]前記架橋剤が式(I)で表される化合物であり、前記ジアミン類がジアミノジフェニルメタンである、[1]又は[3]に記載の樹脂組成物。
[6]Rが式(II)で表され、前記ジアミン類がジアミノジシクロヘキシルメタンである、[2]に記載の樹脂組成物。
[7]Rが式(II)で表され、前記ジアミン類がジアミノジフェニルメタンである、[2]に記載の樹脂組成物。
[8]フェノール性水酸基を持つヒドロキシアルデヒドモノマーと、ホルムアルデヒド又は以下の式(I);
Figure 2016027101
(式中、Yは、炭素原子数1〜4のアルコキシル基またはハロゲン原子を表し;
及びRは、存在する場合は、各々独立に、炭素数が1〜4のアルキル基を表し;
s及びtは、各々独立して、1〜3の整数を表す。)
で表される化合物から選択される架橋剤とを反応して得られるアルデヒド含有樹脂、ジアミン類及びモノアミン類を含む樹脂組成物。
[9]以下の構造単位(A)及び(B):
Figure 2016027101
(式中、
1及び2は、各々、結合手を示し、
ここで、1は、いずれかの2と結合し、
1と1同士、2と2同士は結合することができず、
構造単位(B)の2は、1と結合しない場合は水素を示し、
構造単位(A)は、ポリマー鎖末端の一方を示し、1つのポリマー鎖に一単位存在する:
Rは、
−CH−であるか又は以下の式(II):
Figure 2016027101
で表され、ここで、R及びRは、存在する場合は、各々独立に、炭素数が1〜4のアルキル基を表す。)
からなるポリマー鎖、及び/又は構造単位(B)からなる環状ポリマーを含むアルデヒド含有樹脂、ジアミン類及びモノアミン類を含む樹脂組成物。
[10]前記アルデヒド含有樹脂、前記ジアミン類及び前記モノアミン類を混合して得られる、[8]又は[9]に記載の樹脂組成物。
[11]前記ジアミン類がジアミノジシクロヘキシルメタンであり、モノアミン類がアリルアミンである、[8]〜[10]のいずれか1項に記載の樹脂組成物。
[12]前記ジアミン類がビスアミノメチルシクロヘキサンであり、モノアミン類がアリルアミンである、[8]〜[10]のいずれか1項に記載の樹脂組成物。
[13]フェノール性水酸基を持つヒドロキシアルデヒドモノマーと、ホルムアルデヒド又は以下の式(I):
Figure 2016027101
(式中、Yは、炭素原子数1〜4のアルコキシル基またはハロゲン原子を表し;
及びRは、存在する場合は、各々独立に、炭素数が1〜4のアルキル基を表し;
s及びtは、各々独立して、1〜3の整数を表す。)
で表される化合物から選択される架橋剤とを反応して得られるアルデヒド含有樹脂及びジアミン類を溶媒の存在下で混合して得られる樹脂ワニス。
[14]以下の構造単位(A)及び(B):
Figure 2016027101
(式中、
1及び2は、各々、結合手を示し、
ここで、1は、いずれかの2と結合し、
1と1同士、2と2同士は結合することができず、
構造単位(B)の2は、1と結合しない場合は水素を示し、
構造単位(A)は、ポリマー鎖末端の一方を示し、1つのポリマー鎖に一単位存在する:
Rは、
−CH−であるか又は以下の式(II):
Figure 2016027101
で表され、ここで、R及びRは、存在する場合は、各々独立に、炭素数が1〜4のアルキル基を表す。)
からなるポリマー鎖、及び/又は構造単位(B)からなる環状ポリマーを含むアルデヒド含有樹脂、及びジアミン類を溶媒の存在下で混合して得られる樹脂ワニス。
[15]前記アルデヒド含有樹脂及び前記ジアミン類を溶媒の存在下で混合し、アルデヒド含有樹脂とジアミン類が反応して得られる、[13]又は[14]に記載の樹脂ワニス。
[16]前記溶媒がケトン系溶媒である、[13]〜[15]のいずれか1項に記載の樹脂ワニス。
[17]前記ケトン系溶媒がシクロヘキサノン又はその誘導体である、[16]に記載の樹脂ワニス。
[18]フェノール性水酸基を持つヒドロキシアルデヒドモノマーと、ホルムアルデヒド又は以下の式(I):
Figure 2016027101
(式中、Yは、炭素原子数1〜4のアルコキシル基またはハロゲン原子を表し;
及びRは、存在する場合は、各々独立に、炭素数が1〜4のアルキル基を表し;
s及びtは、各々独立して、1〜3の整数を表す。)
で表される化合物から選択される架橋剤とを反応して得られるアルデヒド含有樹脂、ジアミン類及びモノアミン類を溶媒の存在下で混合して得られる樹脂ワニス。
[19]以下の構造単位(A)及び(B):
Figure 2016027101
(式中、
1及び2は、各々、結合手を示し、
ここで、1は、いずれかの2と結合し、
1と1同士、2と2同士は結合することができず、
構造単位(B)の2は、1と結合しない場合は水素を示し、
構造単位(A)は、ポリマー鎖末端の一方を示し、1つのポリマー鎖に一単位存在する:
Rは、
−CH−であるか又は以下の式(II):
Figure 2016027101
で表され、ここで、R及びRは、存在する場合は、各々独立に、炭素数が1〜4のアルキル基を表す。)
からなるポリマー鎖、及び/又は構造単位(B)からなる環状ポリマーを含むアルデヒド含有樹脂、ジアミン類及びモノアミン類を溶媒の存在下で混合して得られる樹脂ワニス。
[20]前記アルデヒド含有樹脂、前記ジアミン類及び前記モノアミン類を溶媒の存在下で混合し、アルデヒド含有樹脂、ジアミン類、モノアミン類が反応して得られる、[18]又は[19]に記載の樹脂ワニス。
[21]前記溶媒がトルエンである、[18]〜[20]のいずれか1項に記載の樹脂ワニス。
[22][13]〜[21]のいずれか1項に記載の樹脂ワニスを繊維質基材に含浸し、加熱加圧成型して得られる積層板。
[23][13]〜[21]のいずれか1項に記載の樹脂ワニスを用いて得られる樹脂成型物。
[24][13]〜[21]のいずれか1項に記載の樹脂ワニスを用いて得られるビルドアップ基板。
[25]フェノール性水酸基を持つヒドロキシアルデヒドモノマーと、ホルムアルデヒド又は以下の式(I):
Figure 2016027101
(式中、Yは、炭素原子数1〜4のアルコキシル基またはハロゲン原子を表し;R及びRは、存在する場合は、各々独立に、炭素数が1〜4のアルキル基を表し;s及びtは、各々独立して、1〜3の整数を表す。)
で表される化合物から選択される架橋剤とを反応して得られるアルデヒド含有樹脂。
[26]以下の構造単位(A)及び(B):
Figure 2016027101
(式中、
1及び2は、各々、結合手を示し、
ここで、1は、いずれかの2と結合し、
1と1同士、2と2同士は結合することができず、
構造単位(B)の2は、1と結合しない場合は水素を示し、
構造単位(A)は、ポリマー鎖末端の一方を示し、1つのポリマー鎖に一単位存在する:
Rは、−CH−であるか又は以下の式(II):
Figure 2016027101
で表され、ここで、R及びRは、存在する場合は、各々独立に、炭素数が1〜4のアルキル基を表す。)
からなるポリマー鎖、及び/又は構造単位(B)からなる環状ポリマーを含むアルデヒド含有樹脂。
[27]前記フェノール性水酸基を持つヒドロキシアルデヒドモノマーがオルソヒドロキシベンズアルデヒドであり、前記架橋剤がホルムアルデヒドである、[25]に記載のアルデヒド含有樹脂。
[28]前記フェノール性水酸基を持つヒドロキシアルデヒドモノマーがオルソヒドロキシベンズアルデヒドであり、前記架橋剤が式(I)で表される化合物である[25]に記載のアルデヒド含有樹脂。
[29]構造単位(A)及び(B)においてアルデヒド基がオルソ位にあり、Rが−CH−である、[26]に記載のアルデヒド含有樹脂。
[30]構造単位(A)及び(B)においてアルデヒド基がオルソ位にあり、Rが式(II)で表される、[26]に記載のアルデヒド含有樹脂。
を、提供するものである。That is, the present invention
[1] A hydroxyaldehyde monomer having a phenolic hydroxyl group and formaldehyde or the following formula (I):
Figure 2016027101
Wherein Y represents an alkoxyl group having 1 to 4 carbon atoms or a halogen atom;
R1 and R2 , if present, each independently represents an alkyl group having 1 to 4 carbon atoms;
s and t each independently represent an integer of 1 to 3. )
The resin composition containing the aldehyde containing resin obtained by reacting with the crosslinking agent selected from the compound represented by these, and diamine.
[2] The following structural units (A) and (B):
Figure 2016027101
(Where
* 1 and* 2 each represent a bond,
Where* 1 is combined with any* 2
* 1 and* 1, and* 2 and* 2 cannot be combined,
* 2 in the structural unit (B) represents hydrogen when not bonded to* 1,
The structural unit (A) represents one of the polymer chain ends, and one unit exists in one polymer chain:
R is
—CH2 — or the following formula (II):
Figure 2016027101
Here, R1 and R2 , if present, each independently represent an alkyl group having 1 to 4 carbon atoms. )
A resin composition comprising an aldehyde-containing resin comprising a polymer chain comprising: and / or a cyclic polymer comprising a structural unit (B); and a diamine.
[3] The resin composition according to [1] or [2], obtained by mixing the aldehyde-containing resin and the diamine.
[4] The resin composition according to [1] or [3], wherein the crosslinking agent is a compound represented by the formula (I), and the diamine is diaminodicyclohexylmethane.
[5] The resin composition according to [1] or [3], wherein the crosslinking agent is a compound represented by the formula (I), and the diamine is diaminodiphenylmethane.
[6] The resin composition according to [2], wherein R is represented by formula (II), and the diamine is diaminodicyclohexylmethane.
[7] The resin composition according to [2], wherein R is represented by formula (II) and the diamine is diaminodiphenylmethane.
[8] A hydroxyaldehyde monomer having a phenolic hydroxyl group and formaldehyde or the following formula (I);
Figure 2016027101
Wherein Y represents an alkoxyl group having 1 to 4 carbon atoms or a halogen atom;
R1 and R2 , if present, each independently represents an alkyl group having 1 to 4 carbon atoms;
s and t each independently represent an integer of 1 to 3. )
A resin composition comprising an aldehyde-containing resin, a diamine, and a monoamine obtained by reacting with a cross-linking agent selected from the compounds represented by:
[9] The following structural units (A) and (B):
Figure 2016027101
(Where
* 1 and* 2 each represent a bond,
Where* 1 is combined with any* 2
* 1 and* 1, and* 2 and* 2 cannot be combined,
* 2 in the structural unit (B) represents hydrogen when not bonded to* 1,
The structural unit (A) represents one of the polymer chain ends, and one unit exists in one polymer chain:
R is
—CH2 — or the following formula (II):
Figure 2016027101
Here, R1 and R2 , if present, each independently represent an alkyl group having 1 to 4 carbon atoms. )
A resin composition comprising an aldehyde-containing resin, a diamine and a monoamine containing a polymer chain comprising: and / or a cyclic polymer comprising a structural unit (B).
[10] The resin composition according to [8] or [9], obtained by mixing the aldehyde-containing resin, the diamine and the monoamine.
[11] The resin composition according to any one of [8] to [10], wherein the diamine is diaminodicyclohexylmethane and the monoamine is allylamine.
[12] The resin composition according to any one of [8] to [10], wherein the diamine is bisaminomethylcyclohexane and the monoamine is allylamine.
[13] A hydroxyaldehyde monomer having a phenolic hydroxyl group and formaldehyde or the following formula (I):
Figure 2016027101
Wherein Y represents an alkoxyl group having 1 to 4 carbon atoms or a halogen atom;
R1 and R2 , if present, each independently represents an alkyl group having 1 to 4 carbon atoms;
s and t each independently represent an integer of 1 to 3. )
A resin varnish obtained by mixing an aldehyde-containing resin and a diamine obtained by reacting with a crosslinking agent selected from the compounds represented by:
[14] The following structural units (A) and (B):
Figure 2016027101
(Where
* 1 and* 2 each represent a bond,
Where* 1 is combined with any* 2
* 1 and* 1, and* 2 and* 2 cannot be combined,
* 2 in the structural unit (B) represents hydrogen when not bonded to* 1,
The structural unit (A) represents one of the polymer chain ends, and one unit exists in one polymer chain:
R is
—CH2 — or the following formula (II):
Figure 2016027101
Here, R1 and R2 , if present, each independently represent an alkyl group having 1 to 4 carbon atoms. )
A resin varnish obtained by mixing an aldehyde-containing resin containing a polymer chain consisting of the above and / or a cyclic polymer consisting of the structural unit (B), and a diamine in the presence of a solvent.
[15] The resin varnish according to [13] or [14], obtained by mixing the aldehyde-containing resin and the diamine in the presence of a solvent and reacting the aldehyde-containing resin and the diamine.
[16] The resin varnish according to any one of [13] to [15], wherein the solvent is a ketone solvent.
[17] The resin varnish according to [16], wherein the ketone solvent is cyclohexanone or a derivative thereof.
[18] A hydroxyaldehyde monomer having a phenolic hydroxyl group and formaldehyde or the following formula (I):
Figure 2016027101
Wherein Y represents an alkoxyl group having 1 to 4 carbon atoms or a halogen atom;
R1 and R2 , if present, each independently represents an alkyl group having 1 to 4 carbon atoms;
s and t each independently represent an integer of 1 to 3. )
A resin varnish obtained by mixing an aldehyde-containing resin, a diamine, and a monoamine obtained by reacting with a crosslinking agent selected from the compounds represented by
[19] The following structural units (A) and (B):
Figure 2016027101
(Where
* 1 and* 2 each represent a bond,
Where* 1 is combined with any* 2
* 1 and* 1, and* 2 and* 2 cannot be combined,
* 2 in the structural unit (B) represents hydrogen when not bonded to* 1,
The structural unit (A) represents one of the polymer chain ends, and one unit exists in one polymer chain:
R is
—CH2 — or the following formula (II):
Figure 2016027101
Here, R1 and R2 , if present, each independently represent an alkyl group having 1 to 4 carbon atoms. )
A resin varnish obtained by mixing an aldehyde-containing resin, a diamine, and a monoamine containing a polymer chain comprising: and / or a cyclic polymer comprising a structural unit (B) in the presence of a solvent.
[20] The method according to [18] or [19], wherein the aldehyde-containing resin, the diamine, and the monoamine are mixed in the presence of a solvent, and the aldehyde-containing resin, diamine, and monoamine are reacted. Resin varnish.
[21] The resin varnish according to any one of [18] to [20], wherein the solvent is toluene.
[22] A laminate obtained by impregnating a fibrous base material with the resin varnish described in any one of [13] to [21] and molding it by heating and pressing.
[23] A resin molded product obtained using the resin varnish described in any one of [13] to [21].
[24] A build-up substrate obtained using the resin varnish according to any one of [13] to [21].
[25] A hydroxyaldehyde monomer having a phenolic hydroxyl group and formaldehyde or the following formula (I):
Figure 2016027101
(Wherein Y represents an alkoxyl group having 1 to 4 carbon atoms or a halogen atom; R1 and R2 each independently represents an alkyl group having 1 to 4 carbon atoms; s and t each independently represent an integer of 1 to 3.)
An aldehyde-containing resin obtained by reacting with a crosslinking agent selected from the compounds represented by:
[26] The following structural units (A) and (B):
Figure 2016027101
(Where
* 1 and* 2 each represent a bond,
Where* 1 is combined with any* 2
* 1 and* 1, and* 2 and* 2 cannot be combined,
* 2 in the structural unit (B) represents hydrogen when not bonded to* 1,
The structural unit (A) represents one of the polymer chain ends, and one unit exists in one polymer chain:
R is —CH2 — or the following formula (II):
Figure 2016027101
Here, R1 and R2 , if present, each independently represent an alkyl group having 1 to 4 carbon atoms. )
An aldehyde-containing resin comprising a polymer chain comprising: and / or a cyclic polymer comprising a structural unit (B).
[27] The aldehyde-containing resin according to [25], wherein the hydroxyaldehyde monomer having a phenolic hydroxyl group is orthohydroxybenzaldehyde, and the crosslinking agent is formaldehyde.
[28] The aldehyde-containing resin according to [25], wherein the hydroxyaldehyde monomer having a phenolic hydroxyl group is orthohydroxybenzaldehyde, and the crosslinking agent is a compound represented by the formula (I).
[29] The aldehyde-containing resin according to [26], wherein in the structural units (A) and (B), the aldehyde group is in the ortho position and R is —CH2 —.
[30] The aldehyde-containing resin according to [26], wherein in the structural units (A) and (B), the aldehyde group is in the ortho position and R is represented by the formula (II).
Is provided.

本発明により、ガラス転移温度が高く、低誘電率及び低誘電正接を実現することが可能な樹脂組成物を提供することができる。
また、本発明の樹脂組成物において、ジアミン及びモノアミンの併用系を用いると、ワニス状態での粘度を低減でき溶剤溶解性を改善できると共に、ガラス転移温度が高く、低誘電率及び低誘電正接を実現することが可能である。
本発明の樹脂組成物から得られる樹脂成型物は、高いガラス転移温度を有し、高熱分解温度、低誘電率、低誘電正接であることから、高機能性高分子材料として極めて有用であり、熱的、電気的に優れた材料として半導体封止材、電気絶縁材料、銅張り積層板用樹脂、レジスト、電子部品の封止用樹脂、液晶のカラーフィルター用樹脂、塗料、各種コーティング剤、接着剤、ビルドアップ積層板材料、FRPなどの幅広い用途に使用することができる。
The present invention can provide a resin composition having a high glass transition temperature and capable of realizing a low dielectric constant and a low dielectric loss tangent.
Further, in the resin composition of the present invention, when a combined system of diamine and monoamine is used, the viscosity in the varnish state can be reduced, the solvent solubility can be improved, the glass transition temperature is high, the low dielectric constant and the low dielectric loss tangent are achieved. It is possible to realize.
The resin molded product obtained from the resin composition of the present invention has a high glass transition temperature, a high thermal decomposition temperature, a low dielectric constant, and a low dielectric loss tangent, so it is extremely useful as a highly functional polymer material, Thermally and electrically superior materials such as semiconductor encapsulants, electrical insulation materials, copper-clad laminate resins, resists, electronic component encapsulating resins, liquid crystal color filter resins, paints, various coating agents, adhesion It can be used for a wide range of applications such as agents, build-up laminate materials, and FRP.

本発明の1つの実施態様は、フェノール性水酸基を持つヒドロキシアルデヒドモノマーと、ホルムアルデヒド又は以下の式(I);

Figure 2016027101
で表される化合物から選択される架橋剤とを反応して得られるアルデヒド含有樹脂である。One embodiment of the invention is a hydroxyaldehyde monomer having a phenolic hydroxyl group and formaldehyde or the following formula (I):
Figure 2016027101
An aldehyde-containing resin obtained by reacting with a crosslinking agent selected from the compounds represented by

フェノール性水酸基を持つヒドロキシアルデヒドモノマーは、両置換基(フェノール性水酸基及びアルデヒド基)を持つモノマーであれば特に制限はないが、例えば、オルソヒドロキシベンズアルデヒド、パラヒドロキシベンズアルデヒド、メタヒドロキシベンズアルデヒド等のモノヒドロキシベンズアルデヒド類、2,3−ジヒドロキシベンズアルデヒド、2,4−ジヒドロキシベンズアルデヒド、2,5−ジヒドロキシベンズアルデヒド、3,4−ジヒドロキシベンズアルデヒド等のジヒドロキシベンズアルデヒド類、2,3,4−トリヒドロキシベンズアルデヒド、2,4,5−トリヒドロキシベンズアルデヒド、2,4,6−トリヒドロキシベンズアルデヒド、3,4,5−トリヒドロキシベンズアルデヒ等のトリヒドロキシベンズアルデヒド類、1−ヒドロキシ−2−ナフトアルデヒド、2−ヒドロキシ−1−ナフトアルデヒド、6−ヒドロキシ−2−ナフトアルデヒド等のナフトアルデヒド類等が挙げられる。
本発明においては、オルソヒドロキシベンズアルデヒド、パラヒドロキシベンズアルデヒド、メタヒドロキシベンズアルデヒド等のモノヒドロキシベンズアルデヒド類が好ましく、オルソヒドロキシベンズアルデヒドが特に好ましい。
モノマーとしてオルソヒドロキシベンズアルデヒドを用いると、架橋剤との反応性が良く、ジアミンとの樹脂ワニスにした際の保存安定性に優れる。また、反応で残留したモノマーを容易に回収しリサイクルすることが可能である。
The hydroxy aldehyde monomer having a phenolic hydroxyl group is not particularly limited as long as it is a monomer having both substituents (phenolic hydroxyl group and aldehyde group). For example, monohydroxy such as orthohydroxybenzaldehyde, parahydroxybenzaldehyde, metahydroxybenzaldehyde and the like. Benzaldehydes, 2,3-dihydroxybenzaldehyde, 2,4-dihydroxybenzaldehyde, 2,5-dihydroxybenzaldehyde, dihydroxybenzaldehydes such as 3,4-dihydroxybenzaldehyde, 2,3,4-trihydroxybenzaldehyde, 2,4, Trihydroxybenz such as 5-trihydroxybenzaldehyde, 2,4,6-trihydroxybenzaldehyde, 3,4,5-trihydroxybenzaldehyde Aldehyde compounds, 1-hydroxy-2-naphthaldehyde, 2-hydroxy-1-naphthaldehyde, naphthaldehyde and the like, such as 6-hydroxy-2-naphthaldehyde and the like.
In the present invention, monohydroxybenzaldehydes such as orthohydroxybenzaldehyde, parahydroxybenzaldehyde, metahydroxybenzaldehyde and the like are preferable, and orthohydroxybenzaldehyde is particularly preferable.
When orthohydroxybenzaldehyde is used as a monomer, the reactivity with a crosslinking agent is good, and the storage stability when a resin varnish with a diamine is excellent. Further, it is possible to easily recover and recycle the monomer remaining in the reaction.

本発明のアルデヒド含有樹脂は、ヒドロキシアルデヒドモノマーと、ホルムアルデヒド又は式(I)で表される化合物から選択される架橋剤とを反応して得ることができる。  The aldehyde-containing resin of the present invention can be obtained by reacting a hydroxyaldehyde monomer with a crosslinking agent selected from formaldehyde or a compound represented by formula (I).

ホルムアルデヒドは、固形のものを用いてもよく、水溶液にして用いてもよいが、固形のホルムアルデヒドは、水分量が少ないことからヒドロキシアルデヒドモノマーとの反応性が高いことから、固形のホルムアルデヒドを用いるのが好ましい。
また、水溶液のホルムアルデヒドを用いて、脱水しながら反応を行なってもよいが、ホルムアルデヒドが留出し、モル比が変化してしまう恐れがある。
Formaldehyde may be used in solid form or as an aqueous solution. However, since solid formaldehyde has low water content and high reactivity with hydroxyaldehyde monomers, solid formaldehyde is used. Is preferred.
In addition, the reaction may be carried out while dehydrating using formaldehyde in an aqueous solution, but there is a risk that formaldehyde distills and the molar ratio changes.

次に、式(I)で表される化合物について説明する。

Figure 2016027101
式中、Yは、炭素原子数1〜4のアルコキシル基またはハロゲン原子を表す。
アルコキシル基としては、メトキシ基、エトキシ基、n−プロポキシ基、i−プロポキシ基、n−ブトキシ基、i−ブトキシ基、sec−ブトキシ基、t−ブトキシ基等が挙げられ、好ましくはメトキシ基である。
ハロゲン原子としては、フッ素、塩素、臭素、ヨウ素が挙げられ、好ましくは、塩素、臭素である。Next, the compound represented by formula (I) will be described.
Figure 2016027101
In formula, Y represents a C1-C4 alkoxyl group or a halogen atom.
Examples of the alkoxyl group include a methoxy group, an ethoxy group, an n-propoxy group, an i-propoxy group, an n-butoxy group, an i-butoxy group, a sec-butoxy group, and a t-butoxy group, preferably a methoxy group is there.
Examples of the halogen atom include fluorine, chlorine, bromine and iodine, preferably chlorine and bromine.

式(I)において、R及びRは、存在していても存在しなくてもよく、存在する場合は、各々独立に、炭素数が1〜4のアルキル基を表す。R及びRは、同一でも異なっていてもよい。
アルキル基としては、メチル基、エチル基、n−プロピル基、i−プロピル基、n−ブチル基、i−ブチル基、sec−ブチル基、t−ブチル基等が挙げられる。
及びRは、存在する場合は、夫々、各ベンゼン環上に1〜4個の範囲で存在することができる。
また、Rが、ベンゼン環上に2個以上存在する場合は、各Rは同一でも異なっていてもよい。Rが、ベンゼン環上に2個以上存在する場合も同様に、各Rは同一でも異なっていてもよい。
In formula (I), R1 and R2 may or may not be present, and when present, each independently represents an alkyl group having 1 to 4 carbon atoms. R1 and R2 may be the same or different.
Examples of the alkyl group include methyl group, ethyl group, n-propyl group, i-propyl group, n-butyl group, i-butyl group, sec-butyl group, t-butyl group and the like.
R1 and R2 , if present, can each be present in the range of 1 to 4 on each benzene ring.
Further, R1 is, if there are two or more on the benzene ring, each R1 may be the same or different. Similarly, when two or more R2 are present on the benzene ring, each R2 may be the same or different.

式(I)において、s及びtは、各々独立して、1〜3の整数を表す。好ましくは、s及びtは1である。  In formula (I), s and t each independently represent an integer of 1 to 3. Preferably, s and t are 1.

式(I)で示される化合物、即ち、ビス(アルコキシメチル)ビフェニルあるいはビス(ハロゲン化メチル)ビフェニルは、4、4’−体、2,2’−体、2、4’−体の異性体であってもよいが、比較的安価であり、ヒドロキシアルデヒドモノマーとの反応性が良い4,4’−体であることが好ましい。  The compound represented by the formula (I), that is, bis (alkoxymethyl) biphenyl or bis (halogenated methyl) biphenyl is an isomer of 4,4′-form, 2,2′-form, 2,4′-form However, it is preferably a 4,4′-isomer that is relatively inexpensive and has good reactivity with the hydroxyaldehyde monomer.

本発明において、架橋剤とヒドロキシアルデヒドモノマーのモル比(架橋剤/モノマー)は、通常0.01〜0.99であり、好ましくは0.05〜0.60である。モル比が上記の範囲より低いと、歩留まり低下につながり、一方、モル比が上記の範囲より高いと、ヒドロキシアルデヒドモノマーと架橋剤との反応に時間がかかり、生産性において好ましくない。  In the present invention, the molar ratio of the crosslinking agent to the hydroxyaldehyde monomer (crosslinking agent / monomer) is usually 0.01 to 0.99, preferably 0.05 to 0.60. When the molar ratio is lower than the above range, the yield is reduced. On the other hand, when the molar ratio is higher than the above range, the reaction between the hydroxyaldehyde monomer and the crosslinking agent takes time, which is not preferable in productivity.

本発明において、ヒドロキシアルデヒドモノマーと架橋剤とを反応させる際に、触媒を添加することができる。触媒の種類としては、無機酸(塩酸、硫酸、リン酸、3フッ化ホウ素等)、有機酸(シュウ酸、トリフルオロ酢酸、p−トルエンスルホン酸、メタンスルホン酸等)、アルカリ金属(塩化アルミニウム、塩化鉄、塩化亜鉛)を使用することができ、反応が進行すればこれらの種類に特に制限はない。
また、ビス(ハロゲン化メチル)ビフェニルを架橋剤として用いる場合は、触媒を添加しなくても反応は可能である。
In the present invention, a catalyst can be added when the hydroxyaldehyde monomer and the crosslinking agent are reacted. Catalysts include inorganic acids (hydrochloric acid, sulfuric acid, phosphoric acid, boron trifluoride, etc.), organic acids (oxalic acid, trifluoroacetic acid, p-toluenesulfonic acid, methanesulfonic acid, etc.), alkali metals (aluminum chloride) , Iron chloride, zinc chloride) can be used, and there are no particular restrictions on these types as long as the reaction proceeds.
When bis (halogenated methyl) biphenyl is used as a crosslinking agent, the reaction can be performed without adding a catalyst.

触媒の添加量は、ヒドロキシアルデヒドモノマーに対して、通常は0.01〜10質量%であり、好ましくは0.10〜5.00質量%である。触媒の添加量が上記範囲より少ないと反応速度が遅く、上記範囲より多いと反応が急激に進み反応をコントロールすることが難しくなる。  The addition amount of the catalyst is usually 0.01 to 10% by mass, preferably 0.10 to 5.00% by mass, based on the hydroxyaldehyde monomer. When the addition amount of the catalyst is less than the above range, the reaction rate is slow, and when it is more than the above range, the reaction proceeds rapidly and it becomes difficult to control the reaction.

ヒドロキシアルデヒドモノマーと架橋剤とを反応させる温度は、通常10〜250℃であり、好ましくは60〜200℃である。反応温度が上記範囲より低いと、反応が進まないため好ましくない。また、反応温度が上記範囲より高いと、反応を制御することが難しくなり、目的とするアルデヒド含有樹脂を安定的に得ることが出来ない。  The temperature at which the hydroxyaldehyde monomer and the crosslinking agent are reacted is usually 10 to 250 ° C, preferably 60 to 200 ° C. A reaction temperature lower than the above range is not preferable because the reaction does not proceed. Moreover, when reaction temperature is higher than the said range, it will become difficult to control reaction and the target aldehyde containing resin cannot be obtained stably.

ヒドロキシアルデヒドモノマーと架橋剤とを反応させる際には、常圧下で反応させてもよいし、加圧下で反応させてもよい。
また、架橋剤にホルムアルデヒドを用いた場合、ヒドロキシアルデヒドモノマーとの反応性が悪いため、初期反応時に、未反応のホルムアルデヒドが系外に留出してしまう恐れがある。従って、ホルムアルデヒドの留出抑制、反応率の向上の点で加圧反応をおこなうことが好ましい。
When the hydroxyaldehyde monomer is reacted with the crosslinking agent, the reaction may be performed under normal pressure or under pressure.
In addition, when formaldehyde is used as the crosslinking agent, the reactivity with the hydroxy aldehyde monomer is poor, so that unreacted formaldehyde may distill out of the system during the initial reaction. Therefore, it is preferable to carry out the pressure reaction in terms of suppressing distillation of formaldehyde and improving the reaction rate.

本発明において、ヒドロキシアルデヒドモノマーと架橋剤とを反応させた後に、未反応のヒドロキシアルデヒドモノマーを除去することが好ましい。アルデヒド含有樹脂に未反応ヒドロキシアルデヒドモノマーが相当量含まれていると、後述する樹脂ワニスから樹脂成型物等を調製するに際して、ジアミン類がアルデヒド含有樹脂よりもヒドロキシアルデヒドモノマーと優先的に反応するため、アルデヒド含有樹脂の硬化反応が妨げられ好ましくない。本発明においては、アルデヒド含有樹脂は、未反応のヒドロキシアルデヒドモノマーを好ましくは1%以下、より好ましくは0.1%以下で含有する。  In the present invention, it is preferable to remove the unreacted hydroxyaldehyde monomer after reacting the hydroxyaldehyde monomer with the crosslinking agent. When a considerable amount of unreacted hydroxyaldehyde monomer is contained in the aldehyde-containing resin, diamines react preferentially with the hydroxyaldehyde monomer over the aldehyde-containing resin when preparing a resin molding from a resin varnish described later. This is not preferable because the curing reaction of the aldehyde-containing resin is hindered. In the present invention, the aldehyde-containing resin contains an unreacted hydroxyaldehyde monomer preferably at 1% or less, more preferably at 0.1% or less.

本発明の1つの側面において、アルデヒド含有樹脂は以下の構造単位(A)及び(B)からなるポリマー鎖、及び/又は構造単位(B)からなる環状ポリマーを含むアルデヒド含有樹脂である。

Figure 2016027101
In one aspect of the present invention, the aldehyde-containing resin is an aldehyde-containing resin including a polymer chain composed of the following structural units (A) and (B) and / or a cyclic polymer composed of the structural unit (B).
Figure 2016027101

構造単位(A)及び(B)において、1及び2は、各々、結合手を示す。ここで、1は、いずれかの2と結合する。また、1と1同士、2と2同士は結合することができない。また、構造単位(B)の2は、1と結合しない場合は水素を示す。
構造単位(A)は、ポリマー鎖末端の一方を示し、1つのポリマー鎖に一単位存在する。
In the structural units (A) and (B),* 1 and* 2 each represent a bond. Here,* 1 is combined with any* 2. Also,* 1 and* 1, and* 2 and* 2 cannot be combined. Further,* 2 in the structural unit (B) represents hydrogen when not bonded to* 1.
The structural unit (A) represents one end of the polymer chain, and one unit exists in one polymer chain.

Rは、−CH−であるか又は以下の式(II)で表される。

Figure 2016027101
ここで、R及びRは、式(I)において定義した通りである。R is —CH2 — or represented by the following formula (II).
Figure 2016027101
Here, R1 and R2 are as defined in formula (I).

構造単位(A)及び(B)からなるポリマー鎖、及び/又は構造単位(B)からなる環状ポリマーを含むアルデヒド含有樹脂は、フェノール性水酸基を持つヒドロキシアルデヒドモノマーと、ホルムアルデヒド又は式(I)で表される化合物から選択される架橋剤とを反応して得ることができる。
構造単位(A)及び(B)において、アルデヒド基は、好ましくはオルソ位にある。
ヒドロキシアルデヒドモノマーが、オルソヒドロキシベンズアルデヒド、パラヒドロキシベンズアルデヒドの場合は反応点が2つであり、構造単位(B)における2の一方は結合手であり、他方は水素となる。また、ヒドロキシアルデヒドモノマーが、メタヒドロキシベンズアルデヒドの場合は、反応点が3つになり、構造単位(B)における2の両方が結合手となり得るが、条件によっては、一方が結合手で他方は水素となる場合、又は両方が水素となる場合もある。
An aldehyde-containing resin containing a polymer chain composed of structural units (A) and (B) and / or a cyclic polymer composed of structural unit (B) is a hydroxyaldehyde monomer having a phenolic hydroxyl group and formaldehyde or formula (I). It can be obtained by reacting with a crosslinking agent selected from the compounds represented.
In the structural units (A) and (B), the aldehyde group is preferably in the ortho position.
When the hydroxyaldehyde monomer is orthohydroxybenzaldehyde or parahydroxybenzaldehyde, there are two reactive sites, one of* 2 in the structural unit (B) is a bond, and the other is hydrogen. When the hydroxyaldehyde monomer is metahydroxybenzaldehyde, there are three reaction points, and both* 2 in the structural unit (B) can be bonds, but depending on conditions, one is a bond and the other is a bond. In some cases, hydrogen or both are hydrogen.

また、構造単位(A)及び(B)からなるポリマー鎖、及び/又は構造単位(B)からなる環状ポリマーを含むアルデヒド含有樹脂は、未反応のヒドロキシアルデヒドモノマーを好ましくは1%以下、より好ましくは0.1%以下で含有する。  The aldehyde-containing resin containing a polymer chain composed of the structural units (A) and (B) and / or a cyclic polymer composed of the structural unit (B) is preferably 1% or less of unreacted hydroxyaldehyde monomer, more preferably Is contained at 0.1% or less.

本発明の樹脂組成物1及び樹脂ワニス1
本発明のもう1つの実施態様は、フェノール性水酸基を持つヒドロキシアルデヒドモノマーと、ホルムアルデヒド又は以下の式(I);

Figure 2016027101
で表される化合物から選択される架橋剤とを反応して得られるアルデヒド含有樹脂、及びジアミン類を含む樹脂組成物である(以下「本発明の樹脂組成物1−1」ともいう)。
ここで、Y、R、R、s及びtは、前記の通りである。Resin composition 1 and resin varnish 1 of the present invention
Another embodiment of the present invention is a hydroxyaldehyde monomer having a phenolic hydroxyl group and formaldehyde or the following formula (I):
Figure 2016027101
It is a resin composition containing the aldehyde containing resin obtained by reacting with the crosslinking agent selected from the compound represented by these, and diamine (henceforth "the resin composition 1-1 of this invention").
Here, Y, R1 , R2 , s, and t are as described above.

本発明のもう1つの実施態様は、以下の構造単位(A)及び(B):

Figure 2016027101
からなるポリマー鎖、及び/又は構造単位(B)からなる環状ポリマーを含むアルデヒド含有樹脂、及びジアミン類を含む樹脂組成物である(以下「本発明の樹脂組成物1−2」ともいう)。
構造単位(A)及び(B)において、1及び2は、各々、結合手を示す。ここで、1は、いずれかの2と結合する。また、1と1同士、2と2同士は結合することができない。また、構造単位(B)の2は、1と結合しない場合は水素を示す。
構造単位(A)は、ポリマー鎖末端の一方を示し、1つのポリマー鎖に一単位存在する。
また、Rは、−CH−であるか又は以下の式(II)で表される。
Figure 2016027101
ここで、R及びRは、前記の通りである。Another embodiment of the present invention is the following structural units (A) and (B):
Figure 2016027101
A resin composition containing an aldehyde-containing resin and a diamine containing a polymer chain and / or a cyclic polymer comprising a structural unit (B) (hereinafter also referred to as “resin composition 1-2 of the present invention”).
In the structural units (A) and (B),* 1 and* 2 each represent a bond. Here,* 1 is combined with any* 2. Also,* 1 and* 1, and* 2 and* 2 cannot be combined. Further,* 2 in the structural unit (B) represents hydrogen when not bonded to* 1.
The structural unit (A) represents one end of the polymer chain, and one unit exists in one polymer chain.
R is —CH2 — or represented by the following formula (II).
Figure 2016027101
Here, R1 and R2 are as described above.

本発明の樹脂組成物1には、上記の本発明の樹脂組成物1−1及び本発明の樹脂組成物1−2が含まれる。  The resin composition 1 of the present invention includes the resin composition 1-1 of the present invention and the resin composition 1-2 of the present invention.

ジアミン類としては、構造中にアミノ基を2個以上有していれば特に問題はなく、例えば、尿素、ジアミノジシクロヘキシルメタン、ジアミノジフェニルメタン、ノルボルナンジアミン、ジアミノジフェニルエーテル、ジアミノトルエン、ジアミノナフタレン、フェニレンジアミン、キシレンジアミン、ジアミノジフェニルスルホン等のモノマー類、ヘキサン、プロパン、エチレン、ジエチレン、トリエチレン等の脂肪鎖アミン、シリコン系ジアミン等が挙げられる。
本発明においては、好ましくは、ジアミノジシクロヘキシルメタン、ジアミノジフェニルメタン、ジアミノシロキサンが用いられる。これらのジアミン類を用いた樹脂組成物1を硬化して得られる硬化物は、ガラス転移温度が高く、低誘電率及び低誘電正接を実現することができる。
また、本発明において2種類以上のジアミン類を混合して使用してもよい。
As the diamine, there is no particular problem as long as it has two or more amino groups in the structure. For example, urea, diaminodicyclohexylmethane, diaminodiphenylmethane, norbornanediamine, diaminodiphenyl ether, diaminotoluene, diaminonaphthalene, phenylenediamine, Examples thereof include monomers such as xylenediamine and diaminodiphenylsulfone, fatty chain amines such as hexane, propane, ethylene, diethylene and triethylene, and silicon-based diamines.
In the present invention, diaminodicyclohexylmethane, diaminodiphenylmethane, and diaminosiloxane are preferably used. A cured product obtained by curing the resin composition 1 using these diamines has a high glass transition temperature and can realize a low dielectric constant and a low dielectric loss tangent.
In the present invention, two or more kinds of diamines may be mixed and used.

本発明の樹脂組成物1−1及び1−2は、アルデヒド含有樹脂及びジアミン類を混合して得ることができる。ここで、アルデヒド含有樹脂及びジアミン類を混合して得られる樹脂組成物には、アルデヒド含有樹脂及びジアミン類を混合し、両者が反応して得られる樹脂組成物も含まれる。  The resin compositions 1-1 and 1-2 of the present invention can be obtained by mixing an aldehyde-containing resin and diamines. Here, the resin composition obtained by mixing the aldehyde-containing resin and the diamine includes a resin composition obtained by mixing the aldehyde-containing resin and the diamine and reacting them.

また、本発明の樹脂組成物1−1及び1−2は、アルデヒド含有樹脂及びジアミン類を溶媒の存在下で混合して得ることができる。このようにして得られる樹脂組成物は、本明細書において樹脂ワニス1とも呼ばれる。本発明の樹脂ワニス1には、後述する本発明の樹脂ワニス1−1及び本発明の樹脂ワニス1−2が含まれる。また、本発明における樹脂ワニス1には、アルデヒド含有樹脂及びジアミン類を溶媒の存在下で混合し、アルデヒド含有樹脂とジアミン類が反応して得られる樹脂ワニスも含まれる。  The resin compositions 1-1 and 1-2 of the present invention can be obtained by mixing an aldehyde-containing resin and diamines in the presence of a solvent. The resin composition thus obtained is also referred to as a resin varnish 1 in this specification. The resin varnish 1 of the present invention includes the resin varnish 1-1 of the present invention described later and the resin varnish 1-2 of the present invention. The resin varnish 1 in the present invention also includes a resin varnish obtained by mixing an aldehyde-containing resin and a diamine in the presence of a solvent and reacting the aldehyde-containing resin and the diamine.

本発明の1つの実施態様は、フェノール性水酸基を持つヒドロキシアルデヒドモノマーと、ホルムアルデヒド又は以下の式(I):

Figure 2016027101
で表される化合物から選択される架橋剤とを反応して得られるアルデヒド含有樹脂及びジアミン類を溶媒の存在下で混合して得られる樹脂ワニスである(以下「本発明の樹脂ワニス1−1」ともいう)。
ここで、Y、R、R、s及びtは、前記の通りである。One embodiment of the present invention is a hydroxyaldehyde monomer having a phenolic hydroxyl group and formaldehyde or the following formula (I):
Figure 2016027101
It is a resin varnish obtained by mixing an aldehyde-containing resin and a diamine obtained by reacting with a crosslinking agent selected from the compounds represented by the formula (hereinafter referred to as “resin varnish 1-1 of the present invention”). ”).
Here, Y, R1 , R2 , s, and t are as described above.

本発明のもう1つの実施態様は、以下の構造単位(A)及び(B):

Figure 2016027101
からなるポリマー鎖、及び/又は構造単位(B)からなる環状ポリマーを含むアルデヒド含有樹脂、及びジアミン類を溶媒の存在下で混合して得られる樹脂ワニスである(以下「本発明の樹脂ワニス1−2」ともいう)。ここで、1及び2は、前記の通りである。
Rは、−CH−であるか又は以下の式(II)で表される。
Figure 2016027101
ここで、R及びRは、前記の通りである。Another embodiment of the present invention is the following structural units (A) and (B):
Figure 2016027101
Is a resin varnish obtained by mixing an aldehyde-containing resin containing a polymer chain composed of the above and / or a cyclic polymer composed of the structural unit (B), and a diamine in the presence of a solvent (hereinafter referred to as “resin varnish 1 of the present invention”). -2 "). Here,* 1 and* 2 are as described above.
R is —CH2 — or represented by the following formula (II).
Figure 2016027101
Here, R1 and R2 are as described above.

本発明の樹脂ワニス1に用いることができる溶媒は、ヒドロキシアルデヒドモノマーとジアミンを溶解することができれば、特に制限されず種々の溶媒(アルコール系、ケトン系、炭化水素系、エステル系、エーテル系、グリコール系、ハロゲン系等)を使用することができるが、保存安定性の面から、ケトン系溶媒が好ましい。理論に拘束されることを意図するものではないが、ケトン系溶媒中では、ジアミンとケトンがエナミン結合を形成し、樹脂ワニス1の経時変化を抑制することができると考えられる。  The solvent that can be used for the resin varnish 1 of the present invention is not particularly limited as long as it can dissolve the hydroxyaldehyde monomer and diamine, and various solvents (alcohol-based, ketone-based, hydrocarbon-based, ester-based, ether-based, Glycol-based, halogen-based, etc.) can be used, but ketone-based solvents are preferred from the viewpoint of storage stability. Although not intended to be bound by theory, it is considered that in a ketone solvent, diamine and ketone form an enamine bond, and the change over time of the resin varnish 1 can be suppressed.

ケトン系溶媒としては、シクロヘキサノン、アセトン、メチルエチルケトン、メチルイソブチルケトン、ジエチルケトン、メチルプロピルケトン、メチルアミルケトン、イソホロン、ジイソブチルケトン、ジアセトンアルコール等が挙げられる。本発明においては、ケトン系溶媒の中でも、シクロヘキサノン又はシクロヘキサノン誘導体(例えば、メチルシクロヘキサノン、ジメチルシクロヘキサノン、トリメチルシクロヘキサノン、エチルシクロヘキサノン、プロピルシクロヘキサノン、ブチルシクロヘキサノン、メトキシシクロヘキサノン、クロロシクロヘキサノン等)が特に好ましい。  Examples of the ketone solvent include cyclohexanone, acetone, methyl ethyl ketone, methyl isobutyl ketone, diethyl ketone, methyl propyl ketone, methyl amyl ketone, isophorone, diisobutyl ketone, and diacetone alcohol. In the present invention, among the ketone solvents, cyclohexanone or cyclohexanone derivatives (for example, methylcyclohexanone, dimethylcyclohexanone, trimethylcyclohexanone, ethylcyclohexanone, propylcyclohexanone, butylcyclohexanone, methoxycyclohexanone, chlorocyclohexanone, etc.) are particularly preferable.

樹脂ワニス1中のアルデヒド含有樹脂の含有量は、通常10〜35質量%である。また、樹脂ワニス1中のジアミン類の含有量は、通常5〜30質量%である。  The content of the aldehyde-containing resin in the resin varnish 1 is usually 10 to 35% by mass. Moreover, content of diamine in the resin varnish 1 is 5-30 mass% normally.

樹脂ワニス1には、本発明の効果を損なわない範囲で各種の添加剤や充填剤を添加することができ、例えば、無機フィラー、ワックス、難燃剤、カップリング剤等を添加することができる。  Various additives and fillers can be added to the resin varnish 1 as long as the effects of the present invention are not impaired. For example, inorganic fillers, waxes, flame retardants, coupling agents, and the like can be added.

本発明のもう1つの実施態様は、本発明の樹脂ワニス1を繊維質基材に含浸し、加熱加圧成型して得られる積層板である。  Another embodiment of the present invention is a laminate obtained by impregnating a fibrous base material with the resin varnish 1 of the present invention and molding by heating and pressing.

繊維質基材としては、例えばガラス繊維、炭素繊維、セラミック繊維、ステンレス繊維などの無機繊維、綿、麻のような天然繊維、ポリエステル、ポリアミドのような合成有機繊維等があげられ、単独使用及び併用してもよい。繊維質基材の形状に関しても何ら限定するものではなく、短繊維、ヤーン、マット、シートのようなものでもよい。  Examples of the fibrous base material include inorganic fibers such as glass fiber, carbon fiber, ceramic fiber, and stainless steel, natural fibers such as cotton and hemp, synthetic organic fibers such as polyester and polyamide, and the like. You may use together. The shape of the fibrous base material is not limited at all, and it may be a short fiber, a yarn, a mat, or a sheet.

樹脂ワニス1を繊維質基材に含浸し積層板を作製するには、加熱加圧下で行う。
また、加熱条件としては、通常40〜200℃であり、加圧条件としては、通常2〜20kN/mである。
In order to produce a laminate by impregnating the resin varnish 1 into a fibrous base material, it is carried out under heat and pressure.
Moreover, as heating conditions, it is 40-200 degreeC normally, and as pressurization conditions, it is 2-20 kN / m <2 > normally.

本発明のもう1つの実施態様は、樹脂ワニス1を用いて得られる樹脂成型物である。  Another embodiment of the present invention is a resin molded product obtained using the resin varnish 1.

樹脂成型物は、例えば、PETフィルム等の上に樹脂ワニスを薄く延ばし室温〜150℃程度で1〜5時間ベークし、その後160〜200℃程度で1〜5時間アフターベークすることにより調製することができる。  The resin molding is prepared by, for example, thinly spreading a resin varnish on a PET film or the like, baking at room temperature to about 150 ° C. for 1 to 5 hours, and then after baking at about 160 to 200 ° C. for 1 to 5 hours. Can do.

本発明のもう1つの実施態様は、樹脂ワニス1を用いて得られるビルドアップ基板である。  Another embodiment of the present invention is a build-up substrate obtained using the resin varnish 1.

ビルドアップ基板は、前記した積層板と同様の方法により調製することができる。  The build-up substrate can be prepared by the same method as the above-described laminated plate.

本発明の樹脂組成物2
本発明のもう1つ別の実施態様は、フェノール性水酸基を持つヒドロキシアルデヒドモノマーと、ホルムアルデヒド又は以下の式(I);

Figure 2016027101
で表される化合物から選択される架橋剤とを反応して得られるアルデヒド含有樹脂、ジアミン類及びモノアミン類を含む樹脂組成物である(以下「本発明の樹脂組成物2−1」ともいう)。
ここで、Y、R、R、s及びtは、前記の通りである。Resin composition 2 of the present invention
Another embodiment of the present invention is a hydroxyaldehyde monomer having a phenolic hydroxyl group and formaldehyde or the following formula (I):
Figure 2016027101
A resin composition containing an aldehyde-containing resin, a diamine, and a monoamine obtained by reacting with a crosslinking agent selected from the compounds represented by the formula (hereinafter also referred to as “resin composition 2-1 of the present invention”). .
Here, Y, R1 , R2 , s, and t are as described above.

本発明のもう1つの実施態様は、以下の構造単位(A)及び(B):

Figure 2016027101
からなるポリマー鎖、及び/又は構造単位(B)からなる環状ポリマーを含むアルデヒド含有樹脂、ジアミン類及びモノアミン類を含む樹脂組成物である(以下「本発明の樹脂組成物2−2」ともいう)。
構造単位(A)及び(B)において、1及び2は、各々、結合手を示す。ここで、1は、いずれかの2と結合する。また、1と1同士、2と2同士は結合することができない。また、構造単位(B)の2は、1と結合しない場合は水素を示す。
構造単位(A)は、ポリマー鎖末端の一方を示し、1つのポリマー鎖に一単位存在する。
また、Rは、−CH−であるか又は以下の式(II)で表される。
Figure 2016027101
ここで、R及びRは、前記の通りである。Another embodiment of the present invention is the following structural units (A) and (B):
Figure 2016027101
Is a resin composition containing an aldehyde-containing resin, a diamine and a monoamine containing a polymer chain and / or a cyclic polymer comprising a structural unit (B) (hereinafter also referred to as “resin composition 2-2 of the present invention”). ).
In the structural units (A) and (B),* 1 and* 2 each represent a bond. Here,* 1 is combined with any* 2. Also,* 1 and* 1, and* 2 and* 2 cannot be combined. Further,* 2 in the structural unit (B) represents hydrogen when not bonded to* 1.
The structural unit (A) represents one end of the polymer chain, and one unit exists in one polymer chain.
R is —CH2 — or represented by the following formula (II).
Figure 2016027101
Here, R1 and R2 are as described above.

本発明の樹脂組成物2には、上記の本発明の樹脂組成物2−1及び本発明の樹脂組成物2−2が含まれる。  The resin composition 2 of the present invention includes the resin composition 2-1 of the present invention and the resin composition 2-2 of the present invention.

ジアミン類としては、構造中にアミノ基を2個以上有していれば特に問題はなく、例えば、尿素、ジアミノジシクロヘキシルメタン、ジアミノジフェニルメタン、ノルボルナンジアミン、ジアミノジフェニルエーテル、ジアミノトルエン、ジアミノナフタレン、フェニレンジアミン、キシレンジアミン、ジアミノジフェニルスルホン等のモノマー類、ヘキサン、プロパン、エチレン、ジエチレン、トリエチレン等の脂肪鎖アミン、シリコン系ジアミン等が挙げられる。
本発明においては、好ましくは、ジアミノジシクロヘキシルメタン、ジアミノジフェニルメタン、ジアミノシロキサンが用いられる。これらのジアミン類を用いた樹脂組成物2を硬化して得られる硬化物は、ガラス転移温度が高く、低誘電率及び低誘電正接を実現することができる。
また、本発明において2種類以上のジアミン類を混合して使用してもよい。
As the diamine, there is no particular problem as long as it has two or more amino groups in the structure. For example, urea, diaminodicyclohexylmethane, diaminodiphenylmethane, norbornanediamine, diaminodiphenyl ether, diaminotoluene, diaminonaphthalene, phenylenediamine, Examples thereof include monomers such as xylenediamine and diaminodiphenylsulfone, fatty chain amines such as hexane, propane, ethylene, diethylene and triethylene, and silicon-based diamines.
In the present invention, diaminodicyclohexylmethane, diaminodiphenylmethane, and diaminosiloxane are preferably used. A cured product obtained by curing the resin composition 2 using these diamines has a high glass transition temperature and can realize a low dielectric constant and a low dielectric loss tangent.
In the present invention, two or more kinds of diamines may be mixed and used.

モノアミン類としては、構造中にアミノ基を1個含有していれば特に問題はないが、アリルアミン、ベンジルアミン、アニリン、トルイジン、アニシジン、アミノベンゾニトリル等のベンゼン環を含有するアミン、メチルアミン、エチルアミン等のアルキルアミン、エーテル結合を有するエーテルアミン等が挙げられる。本発明においては、好ましくは、アリルアミンが用いられる。
また、本発明において2種類以上のモノアミン類を混合して使用してもよい。
As monoamines, there is no particular problem as long as it contains one amino group in the structure, but amines containing benzene rings such as allylamine, benzylamine, aniline, toluidine, anisidine, aminobenzonitrile, methylamine, Examples include alkylamines such as ethylamine, etheramines having an ether bond, and the like. In the present invention, allylamine is preferably used.
In the present invention, two or more kinds of monoamines may be mixed and used.

本発明の樹脂組成物2においては、ジアミン類とモノアミン類を併用することにより、溶剤溶解性の幅を広げ、樹脂組成物及び樹脂ワニスの粘度を下げることが可能である。また、理論に拘束されることを意図するものではないが、モノアミン類としてアリルアミンを使用すると、アリル基同士が重合することにより、樹脂成型物に高耐熱化を付与することが可能となる。  In the resin composition 2 of the present invention, by using diamines and monoamines in combination, it is possible to broaden the solvent solubility and reduce the viscosity of the resin composition and the resin varnish. Moreover, although not intending to be bound by theory, when allylamine is used as the monoamine, allyl groups are polymerized so that high heat resistance can be imparted to the resin molding.

本発明の樹脂組成物2−1及び2−2は、アルデヒド含有樹脂と、ジアミン類及びモノアミン類を混合して得ることができる。ここで、アルデヒド含有樹脂と、ジアミン類及びモノアミン類を混合して得られる樹脂組成物には、アルデヒド含有樹脂、ジアミン類及びモノアミン類を混合し、これらが反応して得られる樹脂組成物も含まれる。  The resin compositions 2-1 and 2-2 of the present invention can be obtained by mixing an aldehyde-containing resin, diamines, and monoamines. Here, the resin composition obtained by mixing the aldehyde-containing resin, the diamine and the monoamine includes the resin composition obtained by mixing the aldehyde-containing resin, the diamine and the monoamine, and reacting them. It is.

また、本発明の樹脂組成物2−1及び2−2は、アルデヒド含有樹脂、ジアミン類及びモノアミン類を溶媒の存在下で混合して得ることができる。このようにして得られる樹脂組成物は、本明細書において樹脂ワニス2とも呼ばれる。本発明の樹脂ワニス2には、後述する本発明の樹脂ワニス2−1及び本発明の樹脂ワニス2−2が含まれる。また、本発明における樹脂ワニス2には、アルデヒド含有樹脂、ジアミン類及びモノアミン類を溶媒の存在下で混合し、アルデヒド含有樹脂、ジアミン類、モノアミン類が反応して得られる樹脂ワニスも含まれる。  The resin compositions 2-1 and 2-2 of the present invention can be obtained by mixing an aldehyde-containing resin, diamines, and monoamines in the presence of a solvent. The resin composition thus obtained is also referred to as a resin varnish 2 in this specification. The resin varnish 2 of the present invention includes the resin varnish 2-1 of the present invention described later and the resin varnish 2-2 of the present invention. The resin varnish 2 in the present invention also includes a resin varnish obtained by mixing an aldehyde-containing resin, a diamine, and a monoamine in the presence of a solvent and reacting the aldehyde-containing resin, the diamine, and the monoamine.

本発明の1つの実施態様は、フェノール性水酸基を持つヒドロキシアルデヒドモノマーと、ホルムアルデヒド又は以下の式(I):

Figure 2016027101
で表される化合物から選択される架橋剤とを反応して得られるアルデヒド含有樹脂、ジアミン類及びモノアミン類を溶媒の存在下で混合して得られる樹脂ワニスである(以下「本発明の樹脂ワニス2−1」ともいう)。
ここで、Y、R、R、s及びtは、前記の通りである。One embodiment of the present invention is a hydroxyaldehyde monomer having a phenolic hydroxyl group and formaldehyde or the following formula (I):
Figure 2016027101
It is a resin varnish obtained by mixing an aldehyde-containing resin obtained by reacting with a crosslinking agent selected from the compounds represented by formula (I), a diamine and a monoamine in the presence of a solvent (hereinafter referred to as “resin varnish of the present invention”). 2-1 ").
Here, Y, R1 , R2 , s, and t are as described above.

本発明のもう1つの実施態様は、以下の構造単位(A)及び(B):

Figure 2016027101
からなるポリマー鎖、及び/又は構造単位(B)からなる環状ポリマーを含むアルデヒド含有樹脂、ジアミン類及びモノアミン類を溶媒の存在下で混合して得られる樹脂ワニスである(以下「本発明の樹脂ワニス2−2」ともいう)。ここで、1及び2は、前記の通りである。
Rは、−CH−であるか又は以下の式(II)で表される。
Figure 2016027101
ここで、R及びRは、前記の通りである。Another embodiment of the present invention is the following structural units (A) and (B):
Figure 2016027101
A resin varnish obtained by mixing an aldehyde-containing resin, a diamine and a monoamine containing a polymer chain and / or a cyclic polymer comprising a structural unit (B) in the presence of a solvent (hereinafter referred to as “resin of the present invention”). Also referred to as “varnish 2-2”). Here,* 1 and* 2 are as described above.
R is —CH2 — or represented by the following formula (II).
Figure 2016027101
Here, R1 and R2 are as described above.

本発明の樹脂ワニス2に用いることができる溶媒は、アルデヒド含有樹脂とジアミン類、モノアミン類を溶解することができれば、特に制限はないが、トルエン、シクロヘキサノン、アセトン、メチルエチルケトン、メチルイソブチルケトン、ジエチルケトン、メチルプロピルケトン、メチルアミルケトン、イソホロン、ジイソブチルケトン、ジアセトンアルコール等が挙げられる。ここで、成型物を作製する際に溶剤抜けが良く、また、溶媒自体の粘度が低いため、樹脂ワニスの低粘度化が可能であることから、トルエンが好ましく使用される。
溶媒は、2種類以上を混合して使用してもよい。
The solvent that can be used in the resin varnish 2 of the present invention is not particularly limited as long as it can dissolve aldehyde-containing resins, diamines, and monoamines, but toluene, cyclohexanone, acetone, methyl ethyl ketone, methyl isobutyl ketone, diethyl ketone. , Methyl propyl ketone, methyl amyl ketone, isophorone, diisobutyl ketone, diacetone alcohol and the like. Here, toluene is preferably used since the removal of the solvent is good when the molded product is produced and the viscosity of the resin varnish can be lowered because the viscosity of the solvent itself is low.
Two or more kinds of solvents may be mixed and used.

樹脂ワニス2中のアルデヒド含有樹脂の含有量は、通常10〜35質量%である。  The content of the aldehyde-containing resin in the resin varnish 2 is usually 10 to 35% by mass.

本発明の樹脂ワニス2におけるジアミンによるアルデヒド含有樹脂のアルデヒド変性率は、好ましくは5〜60%であり、より好ましくは10〜40%である。ジアミンによるアルデヒド変性率が上記の範囲にあると、樹脂ワニスの溶剤溶解性が良く、ワニス状態での粘度を低くすることが可能である。  The aldehyde modification rate of the aldehyde-containing resin with diamine in the resin varnish 2 of the present invention is preferably 5 to 60%, more preferably 10 to 40%. When the aldehyde modification rate by diamine is in the above range, the solvent solubility of the resin varnish is good, and the viscosity in the varnish state can be lowered.

また、本発明の樹脂ワニス2におけるモノアミンによるアルデヒド含有樹脂のアルデヒド変性率は、好ましくは3〜60%であり、より好ましくは5〜30%である。モノアミンによるアルデヒド変性率が上記の範囲にあると、ワニス状態での保存安定性が良く、硬化性に優れる。  Moreover, the aldehyde modification | denaturation rate of the aldehyde containing resin by the monoamine in the resin varnish 2 of this invention becomes like this. Preferably it is 3-60%, More preferably, it is 5-30%. When the aldehyde modification rate by monoamine is in the above range, the storage stability in the varnish state is good and the curability is excellent.

樹脂ワニス2中のジアミン、モノアミンの含有量は、アルデヒド含有樹脂の含有量と、ジアミンによるアルデヒド変性率、モノアミンによるアルデヒド変性率から適宜決定することができる。  The content of the diamine and monoamine in the resin varnish 2 can be appropriately determined from the content of the aldehyde-containing resin, the aldehyde modification rate with diamine, and the aldehyde modification rate with monoamine.

本発明の樹脂ワニス2には、本発明の効果を損なわない範囲で各種の添加剤や充填剤を添加することができ、例えば、無機フィラー、ワックス、難燃剤、カップリング剤等を添加することができる。  Various additives and fillers can be added to the resin varnish 2 of the present invention as long as the effects of the present invention are not impaired. For example, inorganic fillers, waxes, flame retardants, coupling agents, and the like are added. Can do.

本発明のもう1つの実施態様は、本発明の樹脂ワニス2を繊維質基材に含浸し、加熱加圧成型して得られる積層板である。  Another embodiment of the present invention is a laminate obtained by impregnating a fibrous base material with the resin varnish 2 of the present invention and molding by heating and pressing.

繊維質基材としては、例えばガラス繊維、炭素繊維、セラミック繊維、ステンレス繊維などの無機繊維、綿、麻のような天然繊維、ポリエステル、ポリアミドのような合成有機繊維等があげられ、単独使用及び併用してもよい。繊維質基材の形状に関しても何ら限定するものではなく、短繊維、ヤーン、マット、シートのようなものでもよい。  Examples of the fibrous base material include inorganic fibers such as glass fiber, carbon fiber, ceramic fiber, and stainless steel, natural fibers such as cotton and hemp, synthetic organic fibers such as polyester and polyamide, and the like. You may use together. The shape of the fibrous base material is not limited at all, and it may be a short fiber, a yarn, a mat, or a sheet.

樹脂ワニス2を繊維質基材に含浸し積層板を作製するには、加熱加圧下で行う。また、加熱条件としては、通常40〜200℃であり、加圧条件としては、通常2〜20kN/mである。In order to prepare a laminated board by impregnating the resin varnish 2 into a fibrous base material, it is performed under heating and pressure. Moreover, as heating conditions, it is 40-200 degreeC normally, and as pressurization conditions, it is 2-20 kN / m <2 > normally.

本発明のもう1つの実施態様は、樹脂ワニス2を用いて得られる樹脂成型物である。  Another embodiment of the present invention is a resin molded product obtained using the resin varnish 2.

樹脂成型物は、例えば、PETフィルム等の上に樹脂ワニスを薄く延ばし室温〜150℃程度で1〜5時間ベークし、その後160〜200℃程度で1〜5時間アフターベークすることにより調製することができる。  The resin molding is prepared by, for example, thinly spreading a resin varnish on a PET film or the like, baking at room temperature to about 150 ° C. for 1 to 5 hours, and then after baking at about 160 to 200 ° C. for 1 to 5 hours. Can do.

本発明のもう1つの実施態様は、樹脂ワニス2を用いて得られるビルドアップ基板である。  Another embodiment of the present invention is a build-up substrate obtained using the resin varnish 2.

ビルドアップ基板は、前記した積層板と同様の方法により調製することができる。  The build-up substrate can be prepared by the same method as the above-described laminated plate.

以下、本発明を実施例により説明するが、本発明はこれらに限定されるものではない。  EXAMPLES Hereinafter, although an Example demonstrates this invention, this invention is not limited to these.

[測定方法及び測定機器]
後述する合成例で得られた樹脂について、分子量Mw、分散度Mw/Mn、軟化点、溶融粘度を以下の方法で測定した。
(1)分子量Mw、分散度Mw/Mn
GPC測定装置:東ソー社製HLC8120GPC
カラム:TSKgel G3000H+G2000H+G2000H
(2)軟化点
JIS K 6910に従って軟化点を測定した。
(3)溶融粘度
150℃に設定した粘度計(ブルックフィールド社製CAP2000 VISCOMETER)により150℃における溶融粘度を測定した。
(4)保存安定性
後述する実施例で得られた樹脂ワニスについて、恒温機を用いて25℃、2160時間保存した。保存期間経過後、目視にて樹脂ワニスに析出物が認められなかったものを○、析出物が認められたものを×とした。
[Measurement method and measurement equipment]
About the resin obtained by the synthesis example mentioned later, molecular weight Mw, dispersion degree Mw / Mn, the softening point, and melt viscosity were measured with the following method.
(1) Molecular weight Mw, degree of dispersion Mw / Mn
GPC measuring device: HLC8120GPC manufactured by Tosoh Corporation
Column: TSKgel G3000H + G2000H + G2000H
(2) Softening point The softening point was measured according to JIS K6910.
(3) Melt Viscosity The melt viscosity at 150 ° C. was measured with a viscometer (CAP2000 VISCOMETER manufactured by Brookfield) set at 150 ° C.
(4) Storage stability About the resin varnish obtained in the Example mentioned later, it stored at 25 degreeC for 2160 hours using the thermostat. After the storage period, the case where no precipitate was observed in the resin varnish by visual observation was marked with ◯, and the case where the precipitate was recognized was marked with x.

後述する実施例で得られた成型物について、ガラス転移温度、熱分解温度、誘電率、誘電正接を以下の方法で測定した。
(5)ガラス転移温度
樹脂成型物を幅1.0mm×長さ5.5mm×厚さ0.2mmに加工し、粘弾性スペクトロメーター(セイコーインスツルメンツ社製DMS 110)を用いて10℃/分の昇温速度で30℃〜300℃の範囲で測定した。
(6)熱分解温度
樹脂成型物を示差熱熱重量同時測定装置(セイコーインスツルメンツ社製TG/DTA6300)により、エアー雰囲気下で熱重量減量を測定し、熱分解開始温度を求めた。
(7)誘電率、誘電正接
樹脂成型物を幅50.0mm×長さ50.0mm×厚さ0.2mmに加工し、空洞共振摂動法(測定機器:マテリアルアナライザ 4291B(Agilent Technologies社製))により求めた。
About the molding obtained in the Example mentioned later, the glass transition temperature, the thermal decomposition temperature, the dielectric constant, and the dielectric loss tangent were measured by the following methods.
(5) Glass transition temperature A resin molded product is processed into a width of 1.0 mm × a length of 5.5 mm × a thickness of 0.2 mm, and 10 ° C./min using a viscoelastic spectrometer (DMS 110 manufactured by Seiko Instruments Inc.). It measured in the range of 30 to 300 degreeC with the temperature increase rate.
(6) Thermal decomposition temperature The thermal weight loss of the resin molded product was measured under an air atmosphere using a differential thermal thermogravimetric simultaneous measurement apparatus (TG / DTA6300 manufactured by Seiko Instruments Inc.) to determine the thermal decomposition starting temperature.
(7) Dielectric constant, dielectric loss tangent Resin molded product is processed into width 50.0 mm x length 50.0 mm x thickness 0.2 mm, and cavity resonance perturbation method (measuring instrument: material analyzer 4291B (manufactured by Agilent Technologies)) Determined by

[合成例1]
オルソヒドロキシベンズアルデヒドとホルムアルデヒドの反応
温度計、攪拌機、冷却管を備えた内容量1Lの耐圧製反応容器にオルソヒドロキシベンズアルデヒド850g(6.967mol)、92%パラホルムアルデヒド90.9g(2.788mol)、パラトルエンスルホン酸4.3gを添加し、加圧下で140℃まで昇温し、4時間加圧反応を行った。加圧反応終了後、100℃まで冷却し加圧を解除した後、常圧で140℃まで脱水しながら昇温した。その後、140℃で3時間2次反応を行い、30質量%NaOH水溶液でパラトルエンスルホン酸を中和した。中和塩を水洗で除去した後、未反応オルソヒドロキシベンズアルデヒドモノマーを除去し、アルデヒド含有
ノボラック樹脂を得た。
得られた樹脂の軟化点は58.1℃、150℃における溶融粘度は0.2Pであった。
ゲル浸透クロマトグラフ分析(以下GPCと略記することもある。)による分子量Mw393、分散度Mw/Mnは1.25であった。
[Synthesis Example 1]
Ortho-hydroxybenzaldehyde and formaldehyde reaction thermometer, stirrer, and a pressure-resistant reaction vessel with a capacity of 1 L, orthohydroxybenzaldehyde 850 g (6.967 mol), 92% paraformaldehyde 90.9 g (2.788 mol), para Toluene sulfonic acid 4.3g was added, it heated up to 140 degreeC under pressure, and pressure reaction was performed for 4 hours. After completion of the pressurization reaction, the mixture was cooled to 100 ° C. and released from the pressurization. Thereafter, a secondary reaction was carried out at 140 ° C. for 3 hours, and paratoluenesulfonic acid was neutralized with a 30 mass% NaOH aqueous solution. After removing the neutralized salt by washing with water, the unreacted orthohydroxybenzaldehyde monomer was removed to obtain an aldehyde-containing novolak resin.
The obtained resin had a softening point of 58.1 ° C. and a melt viscosity at 150 ° C. of 0.2 P.
The molecular weight Mw393 and the dispersity Mw / Mn were 1.25 by gel permeation chromatographic analysis (hereinafter sometimes abbreviated as GPC).

[合成例2]
オルソヒドロキシベンズアルデヒドとビスクロロメチルビフェニルの反応
温度計、攪拌機、冷却管を備えた内容量1Lの反応容器にオルソヒドロキシベンズアルデヒド850g(6.967mol)、ビスクロロメチルビフェニル174.9g(0.696mol)を仕込み190℃まで昇温し、40時間反応を行った。反応で副生する塩化水素ガスは、20質量%NaOH水溶液でトラップした。反応終了後、反応容器内に残留している塩化水素ガスをNガスで追い出し、未反応オルソヒドロキシベンズアルデヒドモノマーを除去し、アルデヒド含有ビフェニル樹脂を得た。
得られた樹脂の軟化点は76℃、150℃における溶融粘度は0.6Pであった。ゲル浸透クロマトグラフ分析による分子量Mw659、分散度Mw/Mnは1.35であった。
[Synthesis Example 2]
850 g (6.967 mol) of orthohydroxybenzaldehyde and 174.9 g (0.696 mol) of bischloromethylbiphenyl were placed in a 1 L reaction vessel equipped with areaction thermometer, a stirrer, and a condenser tube. The temperature was raised to 190 ° C. and reacted for 40 hours. Hydrogen chloride gas by-produced in the reaction was trapped with a 20 mass% NaOH aqueous solution. After completion of the reaction, the hydrogen chloride gas remaining in the reaction vessel was purged with N2 gas to remove unreacted orthohydroxybenzaldehyde monomer to obtain an aldehyde-containing biphenyl resin.
The obtained resin had a softening point of 76 ° C. and a melt viscosity at 150 ° C. of 0.6 P. The molecular weight Mw659 and dispersion degree Mw / Mn by gel permeation chromatography analysis were 1.35.

[合成例3]
オルソヒドロキシベンズアルデヒドとビスメトキシメチルビフェニルの反応
温度計、攪拌機、冷却管を備えた内容量1Lの反応容器にオルソヒドロキシベンズアルデヒド850g(6.967mol)、ビスメトキシメチルビフェニル168.6g(0.696mol)、パラトルエンスルホン酸8.5g(オルソヒドロキシベンズアルデヒドに対して1重量%)を仕込み160℃まで昇温し、4時間反応を行った。反応で副生するメタノールは、系外へ除去した。反応終了後、中和、水洗を行い、未反応オルソヒドロキシベンズアルデヒドモノマーを除去し、アルデヒド含有ビフェニル樹脂を得た。
得られた樹脂の軟化点は75℃、150℃における溶融粘度は0.6Pであった。ゲル浸透クロマトグラフ分析による分子量Mw648、分散度Mw/Mnは1.33であった。
[Synthesis Example 3]
Orthohydroxybenzaldehyde 850 g (6.967 mol), bismethoxymethylbiphenyl 168.6 g (0.696 mol), in a reaction vessel having an internal volume of 1 L equipped with areaction thermometer, stirrer and condenser for reaction of orthohydroxybenzaldehyde and bismethoxymethylbiphenyl, 8.5 g of paratoluenesulfonic acid (1% by weight with respect to orthohydroxybenzaldehyde) was added, the temperature was raised to 160 ° C., and the reaction was performed for 4 hours. Methanol produced as a by-product in the reaction was removed out of the system. After completion of the reaction, neutralization and washing with water were carried out to remove unreacted orthohydroxybenzaldehyde monomer to obtain an aldehyde-containing biphenyl resin.
The softening point of the obtained resin was 75 ° C., and the melt viscosity at 150 ° C. was 0.6P. The molecular weight Mw648 and dispersity Mw / Mn by gel permeation chromatography analysis were 1.33.

A.本発明の樹脂ワニス1
[実施例1]
合成例1のアルデヒド含有ノボラック樹脂を使用したワニス、成型物の調製
合成例1で合成したアルデヒド含有ノボラック樹脂100gを、シクロヘキサノンに固形分30%になるように溶解した。完全に溶解したのを確認し、ジアミノナフタレン51.0gを室温で発熱に注意しながら1時間かけて添加した。その後、60℃で2時間攪拌し樹脂ワニスを得た。
この樹脂ワニスをPETフィルム上に薄く延ばし、150℃で1時間ベークした後、200℃で5時間アフターベークを行い、厚さ0.2mmの樹脂成型物Aを得た。
また、同様の方法でシクロヘキサノンの代わりにメタノールを使用した場合、50分でゲル化した。ケトン系以外の他の溶剤を用いた場合も同様の結果となった。
A. Resin varnish 1 of the present invention
[Example 1]
Preparation of varnish and molding using aldehyde-containing novolak resin of Synthesis Example 1 100 g of the aldehyde-containing novolak resin synthesized in Synthesis Example 1 was dissolved in cyclohexanone so as to have a solid content of 30%. After confirming complete dissolution, 51.0 g of diaminonaphthalene was added over 1 hour while paying attention to heat generation at room temperature. Then, it stirred at 60 degreeC for 2 hours, and obtained the resin varnish.
This resin varnish was thinly spread on a PET film, baked at 150 ° C. for 1 hour, and then after-baked at 200 ° C. for 5 hours to obtain a resin molded product A having a thickness of 0.2 mm.
Moreover, when methanol was used instead of cyclohexanone by the same method, it gelatinized in 50 minutes. Similar results were obtained when other solvents other than ketones were used.

[実施例2]
合成例1のアルデヒド含有ノボラック樹脂を使用したワニス、成型物の調製
実施例1において、ジアミノナフタレン51.0gを、ジアミノジシクロヘキシルメタン67.9gに変更した以外は同様の方法で樹脂成型物Bを得た。
また、同様の方法でシクロヘキサノンのかわりにメタノールを使用した場合、15分でゲル化した。ケトン系以外の他の溶剤を用いた場合も同様の結果となった。
[Example 2]
Preparation of varnish and molding using aldehyde-containing novolak resin of Synthesis Example 1 In Example 1, resin molding B was obtained in the same manner except that 51.0 g of diaminonaphthalene was changed to 67.9 g of diaminodicyclohexylmethane. It was.
Moreover, when methanol was used instead of cyclohexanone in the same manner, gelation occurred in 15 minutes. Similar results were obtained when other solvents other than ketones were used.

[実施例3]
合成例1のアルデヒド含有ノボラック樹脂を使用したワニス、成型物の調製
実施例1において、ジアミノナフタレン51.0gを、ジアミノジフェニルメタン64.0gに変更した以外は同様の方法で樹脂成型物Cを得た。
また、同様の方法でシクロヘキサノンのかわりにメタノールを使用した場合、30分でゲル化した。ケトン系以外の他の溶剤を用いた場合も同様の結果となった。
[Example 3]
Preparation of varnish and molding using aldehyde-containing novolac resin of Synthesis Example 1 In Example 1, resin molding C was obtained in the same manner except that 51.0 g of diaminonaphthalene was changed to 64.0 g of diaminodiphenylmethane. .
Moreover, when methanol was used instead of cyclohexanone by the same method, it gelled in 30 minutes. Similar results were obtained when other solvents other than ketones were used.

[実施例4]
合成例2のアルデヒド含有ビフェニル樹脂を使用したワニス、成型物の調製
合成例2で合成したアルデヒド含有ビフェニル樹脂100gを、シクロヘキサノンに固形分30%になるように溶解した。完全に溶解したのを確認し、ジアミノナフタレン19.4gを室温で発熱に注意しながら1時間かけて添加した。その後、60℃で2時間攪拌し樹脂ワニスを得た。
この樹脂ワニスをPETフィルム上に薄く延ばし、150℃で1時間ベークした後、200℃5時間アフターベークを行い、厚さ0.2mmの樹脂成型物Dを得た。
また、同様の方法でシクロヘキサノンの代わりにメタノールを使用した場合、60分でゲル化した。ケトン系以外の他の溶剤を用いた場合も同様の結果となった。
[Example 4]
Preparation of Varnish and Molded Product Using Aldehyde-Containing Biphenyl Resin of Synthesis Example 2 100 g of the aldehyde-containing biphenyl resin synthesized in Synthesis Example 2 was dissolved in cyclohexanone so as to have a solid content of 30%. After confirming complete dissolution, 19.4 g of diaminonaphthalene was added over 1 hour while paying attention to heat generation at room temperature. Then, it stirred at 60 degreeC for 2 hours, and obtained the resin varnish.
The resin varnish was thinly spread on a PET film, baked at 150 ° C. for 1 hour, and then baked at 200 ° C. for 5 hours to obtain a resin molded product D having a thickness of 0.2 mm.
Moreover, when methanol was used instead of cyclohexanone by the same method, it gelatinized in 60 minutes. Similar results were obtained when other solvents other than ketones were used.

[実施例5]
合成例2のアルデヒド含有ビフェニル樹脂を使用したワニス、成型物の調製
実施例4において、ジアミノナフタレン19.4gを、ジアミノジシクロヘキシルメタン25.8gに変更した以外は同様の方法で樹脂成型物Eを得た。
また、同様の方法でシクロヘキサノンの代わりにメタノールを使用した場合、20分でゲル化した。ケトン系以外の他の溶剤を用いた場合も同様の結果となった。
[Example 5]
Preparation of Varnish and Molded Product Using Aldehyde-Containing Biphenyl Resin of Synthesis Example 2 In Example 4, resin molded product E was obtained in the same manner except that 19.4 g of diaminonaphthalene was changed to 25.8 g of diaminodicyclohexylmethane. It was.
Moreover, when methanol was used instead of cyclohexanone by the same method, it gelatinized in 20 minutes. Similar results were obtained when other solvents other than ketones were used.

[実施例6]
合成例2のアルデヒド含有ビフェニル樹脂を使用したワニス、成型物の調製
実施例4において、ジアミノナフタレン19.4gを、ジアミノジフェニルメタン24.4gに変更した以外は同様の方法で樹脂成型物Fを得た。
また、同様の方法でシクロヘキサノンの代わりにメタノールを使用した場合、45分でゲル化した。ケトン系以外の他の溶剤を用いた場合も同様の結果となった。
[Example 6]
Preparation of Varnish and Molded Product Using Aldehyde-Containing Biphenyl Resin of Synthesis Example 2 A resin molded product F was obtained in the same manner as in Example 4 except that 19.4 g of diaminonaphthalene was changed to 24.4 g of diaminodiphenylmethane. .
Moreover, when methanol was used instead of cyclohexanone by the same method, it gelatinized in 45 minutes. Similar results were obtained when other solvents other than ketones were used.

[実施例7]
合成例3のアルデヒド含有ビフェニル樹脂を使用したワニス、成型物の調製
合成例3で合成したアルデヒド含有ビフェニル樹脂100gを、シクロヘキサノンに固形分30%(質量比)になるように溶解した。完全に溶解したのを確認し、ジアミノジシクロヘキシルメタン25.8gを室温で発熱に注意しながら1時間かけて添加した。その後、60℃で2時間攪拌し樹脂ワニスを得た。
この樹脂ワニスをPETフィルム上に薄く延ばし、150℃で1時間ベークした後、200℃5時間アフターベークを行い、厚さ0.2mmの樹脂成型物Gを得た。
また、同様の方法でシクロヘキサノンの代わりにメタノールを使用した場合、60分でゲル化した。ケトン系以外の他の溶剤を用いた場合も同様の結果となった。
[Example 7]
Preparation of Varnish and Molded Product Using Aldehyde-Containing Biphenyl Resin of Synthesis Example 3 100 g of the aldehyde-containing biphenyl resin synthesized in Synthesis Example 3 was dissolved in cyclohexanone so as to have a solid content of 30% (mass ratio). After confirming complete dissolution, 25.8 g of diaminodicyclohexylmethane was added over 1 hour while paying attention to heat generation at room temperature. Then, it stirred at 60 degreeC for 2 hours, and obtained the resin varnish.
This resin varnish was thinly spread on a PET film, baked at 150 ° C. for 1 hour, and then baked at 200 ° C. for 5 hours to obtain a resin molded product G having a thickness of 0.2 mm.
Moreover, when methanol was used instead of cyclohexanone by the same method, it gelatinized in 60 minutes. Similar results were obtained when other solvents other than ketones were used.

[実施例8]
合成例3のアルデヒド含有ビフェニル樹脂を使用したワニス、成型物の調製
実施例7において、ジアミノナフタレン19.4gを、ジアミノジフェニルメタン24.4gに変更した以外は同様の方法で樹脂成型物Hを得た。
また、同様の方法でシクロヘキサノンの代わりにメタノールを使用した場合、20分でゲル化した。ケトン系以外の他の溶剤を用いた場合も同様の結果となった。
[Example 8]
Preparation of Varnish and Molded Product Using Aldehyde-Containing Biphenyl Resin of Synthesis Example 3 A resin molded product H was obtained in the same manner as in Example 7, except that 19.4 g of diaminonaphthalene was changed to 24.4 g of diaminodiphenylmethane. .
Moreover, when methanol was used instead of cyclohexanone by the same method, it gelatinized in 20 minutes. Similar results were obtained when other solvents other than ketones were used.

[比較例1]
フェノール樹脂とエポキシ樹脂の硬化
フェノールノボラック樹脂(群栄化学工業社製PSM−4324:軟化点100℃、水酸基当量106g/eq)106gとエポキシ樹脂(YDCN−704:軟化点、エポキシ当量210g/eq)210g、硬化促進剤として2−メチルイミダゾール2.1gをメチルエチルケトンに固形分40%(質量比)になるように溶解し、樹脂ワニスを得た。
この樹脂ワニスをPETフィルム上に薄く延ばし、120℃1時間ベーク後、180℃5時間アフターベークを行い、厚さ0.2mmの樹脂成型物Iを得た。
[Comparative Example 1]
Cured phenol novolakresin of phenol resin and epoxy resin (PSM-4324 manufactured by Gunei Chemical Industry Co., Ltd .: softening point 100 ° C., hydroxyl group equivalent 106 g / eq) 106 g and epoxy resin (YDCN-704: softening point, epoxy equivalent 210 g / eq) 210 g and 2.1 g of 2-methylimidazole as a curing accelerator were dissolved in methyl ethyl ketone to a solid content of 40% (mass ratio) to obtain a resin varnish.
This resin varnish was thinly spread on a PET film, baked at 120 ° C. for 1 hour, and then after-baked at 180 ° C. for 5 hours to obtain a resin molded product I having a thickness of 0.2 mm.

上記実施例で得られた樹脂成形物について、各特性値の評価結果を以下に示す。  About the resin molding obtained in the said Example, the evaluation result of each characteristic value is shown below.

Figure 2016027101
Figure 2016027101

表1で示した通り、本発明の樹脂ワニス1から得られる樹脂成型物は、高いガラス転移温度を有し、高熱分解温度、低誘電率、低誘電正接という特性を有する。
従って、本発明の樹脂成型物は、高機能性高分子材料として極めて有用であり、熱的、電気的に優れた材料として半導体封止材、電気絶縁材料、銅張り積層板用樹脂、レジスト、電子部品の封止用樹脂、液晶のカラーフィルター用樹脂、塗料、各種コーティング剤、接着剤、ビルドアップ積層板材料、FRPなどの幅広い用途に使用することができる。
As shown in Table 1, the resin molded product obtained from the resin varnish 1 of the present invention has a high glass transition temperature, and has characteristics of a high thermal decomposition temperature, a low dielectric constant, and a low dielectric loss tangent.
Therefore, the resin molded product of the present invention is extremely useful as a high-functional polymer material, and as a thermally and electrically excellent material, a semiconductor sealing material, an electrical insulating material, a copper-clad laminate resin, a resist, It can be used for a wide range of applications such as resins for sealing electronic parts, resins for color filters for liquid crystals, paints, various coating agents, adhesives, build-up laminate materials, and FRP.

B.本発明の樹脂ワニス2
[実施例9]
合成例2のアルデヒド含有ビフェニル樹脂を使用したワニス、成型物の調製
合成例2で合成した樹脂を100g、トルエンに固形分30%になるように溶解した。完全に溶解したのを確認し、アリルアミン7.8gとジアミノジシクロヘキシルメタン10.4gの混合溶液を95℃で発熱に注意しながら2時間かけて添加した。その後、95℃で2時間攪拌し、真空下で固形分60%に調整し、樹脂ワニスを得た。ジアミンによるアルデヒド変性率は20.9%、モノアミンによるアルデヒド変性率は28.0%であった。
樹脂ワニスの粘度はE型粘度計を用いて25℃で測定し、210mPa.sであった。また、シクロヘキサノン、MEK、アセトン等の溶剤に可溶であることが確認できた。
その樹脂ワニスをPETのフィルム上に薄く延ばし、150℃1時間ベーク後、200℃5時間アフターベークを行い、厚さ0.2mmの樹脂成型物Jを得た。
B. Resin varnish 2 of the present invention
[Example 9]
Preparation of varnish and molded product using aldehyde-containing biphenyl resin of Synthesis Example 2 100 g of the resin synthesized in Synthesis Example 2 was dissolved in toluene to a solid content of 30%. After confirming complete dissolution, a mixed solution of 7.8 g of allylamine and 10.4 g of diaminodicyclohexylmethane was added at 95 ° C. over 2 hours while paying attention to heat generation. Then, it stirred at 95 degreeC for 2 hours, and adjusted to 60% of solid content under vacuum, and obtained the resin varnish. The aldehyde modification rate with diamine was 20.9%, and the aldehyde modification rate with monoamine was 28.0%.
The viscosity of the resin varnish was measured at 25 ° C. using an E-type viscometer, and was 210 mPa.s. s. Moreover, it has confirmed that it was soluble in solvents, such as cyclohexanone, MEK, and acetone.
The resin varnish was thinly spread on a PET film, baked at 150 ° C. for 1 hour, and then baked at 200 ° C. for 5 hours to obtain a resin molded product J having a thickness of 0.2 mm.

[実施例10]
合成例2のアルデヒド含有ビフェニル樹脂を使用したワニス、成型物の調製
実施例9において、アリルアミンを7.8g、ジアミノジシクロヘキシルメタンをビスアミノメチルシクロヘキサン7.0gに変更した以外は同様の方法で樹脂ワニスを得た。ジアミンによるアルデヒド変性率は20.9%、モノアミンによるアルデヒド変性率は28.0%であった。
樹脂ワニスの粘度はE型粘度計を用いて25℃で測定し、170mPa.sであった。また、シクロヘキサノン、MEK、アセトン等の溶剤に可溶であることが確認できた。
その樹脂ワニスをPETのフィルム上に薄く延ばし、150℃1時間ベーク後、200℃5時間アフターベークを行い、厚さ0.2mmの樹脂成型物Kを得た。
[Example 10]
Preparation of Varnish and Molded Product Using Aldehyde-Containing Biphenyl Resin of Synthesis Example 2 Resin varnish was prepared in the same manner as in Example 9, except that allylamine was changed to 7.8 g and diaminodicyclohexylmethane was changed to 7.0 g of bisaminomethylcyclohexane. Got. The aldehyde modification rate with diamine was 20.9%, and the aldehyde modification rate with monoamine was 28.0%.
The viscosity of the resin varnish was measured at 25 ° C. using an E-type viscometer and found to be 170 mPa.s. s. Moreover, it has confirmed that it was soluble in solvents, such as cyclohexanone, MEK, and acetone.
The resin varnish was thinly spread on a PET film, baked at 150 ° C. for 1 hour, and then baked at 200 ° C. for 5 hours to obtain a resin molded product K having a thickness of 0.2 mm.

[実施例11]
合成例3のアルデヒド含有ビフェニル樹脂を使用したワニス、成型物の調製
合成例3で合成した樹脂を100g、トルエンに固形分30%になるように溶解した。完全に溶解したのを確認し、アリルアミン7.8gとジアミノジシクロヘキシルメタン10.4gの混合溶液を95℃で発熱に注意しながら2時間かけて添加した。その後、95℃で2時間攪拌し、真空下で固形分60%に調整し、樹脂ワニスを得た。ジアミンによるアルデヒド変性率は20.9%、モノアミンによるアルデヒド変性率は28.0%であった。
樹脂ワニスの粘度はE型粘度計を用いて25℃で測定し、215mPa.sであった。また、シクロヘキサノン、MEK、アセトン等の溶剤に可溶であることが確認できた。
その樹脂ワニスをPETのフィルム上に薄く延ばし、150℃1時間ベーク後、200℃5時間アフターベークを行い、厚さ0.2mmの樹脂成型物Lを得た。
[Example 11]
Preparation of Varnish and Molded Product Using Aldehyde-Containing Biphenyl Resin of Synthetic Example 3 100 g of the resin synthesized in Synthetic Example 3 were dissolved in toluene so as to have a solid content of 30%. After confirming complete dissolution, a mixed solution of 7.8 g of allylamine and 10.4 g of diaminodicyclohexylmethane was added at 95 ° C. over 2 hours while paying attention to heat generation. Then, it stirred at 95 degreeC for 2 hours, and adjusted to 60% of solid content under vacuum, and obtained the resin varnish. The aldehyde modification rate with diamine was 20.9%, and the aldehyde modification rate with monoamine was 28.0%.
The viscosity of the resin varnish was measured at 25 ° C. using an E-type viscometer, and was 215 mPa.s. s. Moreover, it has confirmed that it was soluble in solvents, such as cyclohexanone, MEK, and acetone.
The resin varnish was thinly spread on a PET film, baked at 150 ° C. for 1 hour, and then baked at 200 ° C. for 5 hours to obtain a resin molded product L having a thickness of 0.2 mm.

[実施例12]
合成例3のアルデヒド含有ビフェニル樹脂を使用したワニス、成型物の調製
実施例11において、アリルアミンを7.8g、ジアミノジシクロヘキシルメタンをビスアミノメチルシクロヘキサン7.0gに変更した以外は同様の方法で樹脂ワニスを得た。ジアミンによるアルデヒド変性率は20.9%、モノアミンによるアルデヒド変性率は28.0%であった。
樹脂ワニスの粘度はE型粘度計を用いて25℃で測定し、165mPa.sであった。また、シクロヘキサノン、MEK、アセトン等の溶剤に可溶であることが確認できた。
その樹脂ワニスをPETのフィルム上に薄く延ばし、150℃1時間ベーク後、200℃5時間アフターベークを行い、厚さ0.2mmの樹脂成型物Mを得た。
[Example 12]
Preparation of Varnish and Molded Product Using Aldehyde-Containing Biphenyl Resin of Synthesis Example 3 Resin varnish was prepared in the same manner as in Example 11 except that allylamine was changed to 7.8 g and diaminodicyclohexylmethane was changed to 7.0 g of bisaminomethylcyclohexane. Got. The aldehyde modification rate with diamine was 20.9%, and the aldehyde modification rate with monoamine was 28.0%.
The viscosity of the resin varnish was measured at 25 ° C. using an E-type viscometer and was 165 mPa.s. s. Moreover, it has confirmed that it was soluble in solvents, such as cyclohexanone, MEK, and acetone.
The resin varnish was thinly spread on a PET film, baked at 150 ° C. for 1 hour, and then baked at 200 ° C. for 5 hours to obtain a resin molded product M having a thickness of 0.2 mm.

[比較例2]
フェノール樹脂とエポキシ樹脂の硬化
フェノールノボラック樹脂(群栄化学製PSM−4324:軟化点100℃、水酸基当量106g/eq)106gとエポキシ樹脂(YDCN−704:軟化点、エポキシ当量210g/eq)210g、硬化促進剤として2−メチルイミダゾール2.1gをメチルエチルケトンに固形分60%になるように溶解し、樹脂ワニスを得た。
樹脂ワニスの粘度はE型粘度計を用いて25℃で測定し、715mPa.sであった。また、シクロヘキサノン、MEK、アセトン等の溶剤に可溶であることが確認できた。
その樹脂ワニスをPETのフィルム上に薄く延ばし、120℃1時間ベーク後、180℃5時間アフターベークを行い、厚さ0.2mmの樹脂成型物Nを得た。
[Comparative Example 2]
Cured phenol novolakresin of phenol resin and epoxy resin (PSM-4324 manufactured by Gunei Chemical Co., Ltd., softening point 100 ° C., hydroxyl group equivalent 106 g / eq) 106 g and epoxy resin (YDCN-704: softening point, epoxy equivalent 210 g / eq) 210 g, As a curing accelerator, 2.1 g of 2-methylimidazole was dissolved in methyl ethyl ketone to a solid content of 60% to obtain a resin varnish.
The viscosity of the resin varnish was measured at 25 ° C. using an E-type viscometer. s. Moreover, it has confirmed that it was soluble in solvents, such as cyclohexanone, MEK, and acetone.
The resin varnish was thinly spread on a PET film, baked at 120 ° C. for 1 hour, and then after-baked at 180 ° C. for 5 hours to obtain a resin molded product N having a thickness of 0.2 mm.

[比較例3]
合成例2で合成した樹脂を100g、トルエンに固形分30%になるように溶解した。完全に溶解したのを確認し、ジアミンによるアルデヒド変性率が70%、モノアミンによるアルデヒド変性率が28.0%になるようにアリルアミン7.8gとジアミノジシクロヘキシルメタン34.8gの混合溶液を95℃で発熱に注意しながら添加したが、滴下途中で樹脂が析出してしまいワニス化ができなかった。
[Comparative Example 3]
100 g of the resin synthesized in Synthesis Example 2 was dissolved in toluene to a solid content of 30%. After confirming complete dissolution, a mixed solution of 7.8 g of allylamine and 34.8 g of diaminodicyclohexylmethane was added at 95 ° C. so that the aldehyde modification rate with diamine was 70% and the aldehyde modification rate with monoamine was 28.0%. Although it was added while paying attention to heat generation, the resin precipitated during the dropping, and varnishing was not possible.

[比較例4]
合成例2で合成した樹脂を100g、トルエンに固形分30%になるように溶解した。完全に溶解したのを確認し、ジアミンによるアルデヒド変性率が20.9%、モノアミンによるアルデヒド変性率が70%になるようにアリルアミン19.5gとジアミノジシクロヘキシルメタン10.4gの混合溶液を95℃で発熱に注意しながら添加した。その後、95℃で2時間攪拌し、真空下で固形分60%に調整し、樹脂ワニスを得た。しかし、25℃で保存しておくと、2日後に樹脂が析出してしまい、保存安定性が悪いことが確認できた。
[Comparative Example 4]
100 g of the resin synthesized in Synthesis Example 2 was dissolved in toluene to a solid content of 30%. After confirming complete dissolution, a mixed solution of 19.5 g of allylamine and 10.4 g of diaminodicyclohexylmethane was added at 95 ° C. so that the aldehyde modification rate with diamine was 20.9% and the aldehyde modification rate with monoamine was 70%. Added with care to the exotherm. Then, it stirred at 95 degreeC for 2 hours, and adjusted to 60% of solid content under vacuum, and obtained the resin varnish. However, when stored at 25 ° C., the resin precipitated after 2 days, and it was confirmed that the storage stability was poor.

上記実施例で得られた樹脂成形物について、各特性値の評価結果を以下の表2に示す。  Table 2 below shows the evaluation results of the characteristic values of the resin moldings obtained in the above examples.

Figure 2016027101
Figure 2016027101

表2で示した通り、本発明の樹脂ワニス2から得られる樹脂成型物は、高いガラス転移温度を有し、高熱分解温度、低誘電率、低誘電正接であり、また、樹脂ワニス2は溶剤溶解性に優れ低粘度であることから、高機能性高分子材料として極めて有用であり、熱的、電気的に優れた材料として半導体封止材、電気絶縁材料、銅張り積層板用樹脂、レジスト、電子部品の封止用樹脂、液晶のカラーフィルター用樹脂、塗料、各種コーティング剤、接着剤、ビルドアップ積層板材料、FRPなどの幅広い用途に使用することができる。  As shown in Table 2, the resin molding obtained from the resin varnish 2 of the present invention has a high glass transition temperature, a high thermal decomposition temperature, a low dielectric constant, and a low dielectric loss tangent, and the resin varnish 2 is a solvent. Because of its excellent solubility and low viscosity, it is extremely useful as a highly functional polymer material, and as a thermally and electrically superior material, it is a semiconductor sealing material, an electrical insulating material, a copper-clad laminate resin, a resist. It can be used in a wide range of applications such as resin for sealing electronic parts, resin for color filters of liquid crystals, paints, various coating agents, adhesives, build-up laminate materials, FRP and the like.

Claims (30)

Translated fromJapanese
フェノール性水酸基を持つヒドロキシアルデヒドモノマーと、ホルムアルデヒド又は以下の式(I):
Figure 2016027101
(式中、Yは、炭素原子数1〜4のアルコキシル基またはハロゲン原子を表し;
及びRは、存在する場合は、各々独立に、炭素数が1〜4のアルキル基を表し;
s及びtは、各々独立して、1〜3の整数を表す。)
で表される化合物から選択される架橋剤とを反応して得られるアルデヒド含有樹脂、及びジアミン類を含む樹脂組成物。Hydroxyaldehyde monomer having a phenolic hydroxyl group and formaldehyde or the following formula (I):
Figure 2016027101
Wherein Y represents an alkoxyl group having 1 to 4 carbon atoms or a halogen atom;
R1 and R2 , if present, each independently represents an alkyl group having 1 to 4 carbon atoms;
s and t each independently represent an integer of 1 to 3. )
The resin composition containing the aldehyde containing resin obtained by reacting with the crosslinking agent selected from the compound represented by these, and diamine. 以下の構造単位(A)及び(B):
Figure 2016027101
(式中、
1及び2は、各々、結合手を示し、
ここで、1は、いずれかの2と結合し、
1と1同士、2と2同士は結合することができず、
構造単位(B)の2は、1と結合しない場合は水素を示し、
構造単位(A)は、ポリマー鎖末端の一方を示し、1つのポリマー鎖に一単位存在する:
Rは、
−CH−であるか又は以下の式(II):
Figure 2016027101
で表され、ここで、R及びRは、存在する場合は、各々独立に、炭素数が1〜4のアルキル基を表す。)
からなるポリマー鎖、及び/又は構造単位(B)からなる環状ポリマーを含むアルデヒド含有樹脂、及びジアミン類を含む樹脂組成物。
The following structural units (A) and (B):
Figure 2016027101
(Where
* 1 and* 2 each represent a bond,
Where* 1 is combined with any* 2
* 1 and* 1, and* 2 and* 2 cannot be combined,
* 2 in the structural unit (B) represents hydrogen when not bonded to* 1,
The structural unit (A) represents one of the polymer chain ends, and one unit exists in one polymer chain:
R is
—CH2 — or the following formula (II):
Figure 2016027101
Here, R1 and R2 , if present, each independently represent an alkyl group having 1 to 4 carbon atoms. )
A resin composition comprising an aldehyde-containing resin comprising a polymer chain comprising: and / or a cyclic polymer comprising a structural unit (B); and a diamine.
前記アルデヒド含有樹脂及び前記ジアミン類を混合して得られる、請求項1又は2に記載の樹脂組成物。  The resin composition according to claim 1 or 2, obtained by mixing the aldehyde-containing resin and the diamine. 前記架橋剤が式(I)で表される化合物であり、前記ジアミン類がジアミノジシクロヘキシルメタンである、請求項1又は3に記載の樹脂組成物。  The resin composition according to claim 1 or 3, wherein the crosslinking agent is a compound represented by the formula (I), and the diamine is diaminodicyclohexylmethane. 前記架橋剤が式(I)で表される化合物であり、前記ジアミン類がジアミノジフェニルメタンである、請求項1又は3に記載の樹脂組成物。  The resin composition according to claim 1 or 3, wherein the crosslinking agent is a compound represented by the formula (I), and the diamine is diaminodiphenylmethane. Rが式(II)で表され、前記ジアミン類がジアミノジシクロヘキシルメタンである、請求項2に記載の樹脂組成物。  The resin composition according to claim 2, wherein R is represented by the formula (II), and the diamine is diaminodicyclohexylmethane. Rが式(II)で表され、前記ジアミン類がジアミノジフェニルメタンである、請求項2に記載の樹脂組成物。  The resin composition according to claim 2, wherein R is represented by the formula (II), and the diamine is diaminodiphenylmethane. フェノール性水酸基を持つヒドロキシアルデヒドモノマーと、ホルムアルデヒド又は以下の式(I);
Figure 2016027101
(式中、Yは、炭素原子数1〜4のアルコキシル基またはハロゲン原子を表し;
及びRは、存在する場合は、各々独立に、炭素数が1〜4のアルキル基を表し;
s及びtは、各々独立して、1〜3の整数を表す。)
で表される化合物から選択される架橋剤とを反応して得られるアルデヒド含有樹脂、ジアミン類及びモノアミン類を含む樹脂組成物。
A hydroxyaldehyde monomer having a phenolic hydroxyl group and formaldehyde or the following formula (I);
Figure 2016027101
Wherein Y represents an alkoxyl group having 1 to 4 carbon atoms or a halogen atom;
R1 and R2 , if present, each independently represents an alkyl group having 1 to 4 carbon atoms;
s and t each independently represent an integer of 1 to 3. )
A resin composition comprising an aldehyde-containing resin, a diamine, and a monoamine obtained by reacting with a cross-linking agent selected from the compounds represented by:
以下の構造単位(A)及び(B):
Figure 2016027101
(式中、
1及び2は、各々、結合手を示し、
ここで、1は、いずれかの2と結合し、
1と1同士、2と2同士は結合することができず、
構造単位(B)の2は、1と結合しない場合は水素を示し、
構造単位(A)は、ポリマー鎖末端の一方を示し、1つのポリマー鎖に一単位存在する:
Rは、
−CH−であるか又は以下の式(II):
Figure 2016027101
で表され、ここで、R及びRは、存在する場合は、各々独立に、炭素数が1〜4のアルキル基を表す。)
からなるポリマー鎖、及び/又は構造単位(B)からなる環状ポリマーを含むアルデヒド含有樹脂、ジアミン類及びモノアミン類を含む樹脂組成物。
The following structural units (A) and (B):
Figure 2016027101
(Where
* 1 and* 2 each represent a bond,
Where* 1 is combined with any* 2
* 1 and* 1, and* 2 and* 2 cannot be combined,
* 2 in the structural unit (B) represents hydrogen when not bonded to* 1,
The structural unit (A) represents one of the polymer chain ends, and one unit exists in one polymer chain:
R is
—CH2 — or the following formula (II):
Figure 2016027101
Here, R1 and R2 , if present, each independently represent an alkyl group having 1 to 4 carbon atoms. )
A resin composition comprising an aldehyde-containing resin, a diamine and a monoamine containing a polymer chain comprising: and / or a cyclic polymer comprising a structural unit (B).
前記アルデヒド含有樹脂、前記ジアミン類及び前記モノアミン類を混合して得られる、請求項8又は9に記載の樹脂組成物。  The resin composition of Claim 8 or 9 obtained by mixing the said aldehyde containing resin, the said diamine, and the said monoamine. 前記ジアミン類がジアミノジシクロヘキシルメタンであり、モノアミン類がアリルアミンである、請求項8〜10のいずれか1項に記載の樹脂組成物。  The resin composition according to any one of claims 8 to 10, wherein the diamine is diaminodicyclohexylmethane and the monoamine is allylamine. 前記ジアミン類がビスアミノメチルシクロヘキサンであり、モノアミン類がアリルアミンである、請求項8〜10のいずれか1項に記載の樹脂組成物。  The resin composition according to any one of claims 8 to 10, wherein the diamine is bisaminomethylcyclohexane and the monoamine is allylamine. フェノール性水酸基を持つヒドロキシアルデヒドモノマーと、ホルムアルデヒド又は以下の式(I):
Figure 2016027101
(式中、Yは、炭素原子数1〜4のアルコキシル基またはハロゲン原子を表し;
及びRは、存在する場合は、各々独立に、炭素数が1〜4のアルキル基を表し;
s及びtは、各々独立して、1〜3の整数を表す。)
で表される化合物から選択される架橋剤とを反応して得られるアルデヒド含有樹脂及びジアミン類を溶媒の存在下で混合して得られる樹脂ワニス。
Hydroxyaldehyde monomer having a phenolic hydroxyl group and formaldehyde or the following formula (I):
Figure 2016027101
Wherein Y represents an alkoxyl group having 1 to 4 carbon atoms or a halogen atom;
R1 and R2 , if present, each independently represents an alkyl group having 1 to 4 carbon atoms;
s and t each independently represent an integer of 1 to 3. )
A resin varnish obtained by mixing an aldehyde-containing resin and a diamine obtained by reacting with a crosslinking agent selected from the compounds represented by:
以下の構造単位(A)及び(B):
Figure 2016027101
(式中、
1及び2は、各々、結合手を示し、
ここで、1は、いずれかの2と結合し、
1と1同士、2と2同士は結合することができず、
構造単位(B)の2は、1と結合しない場合は水素を示し、
構造単位(A)は、ポリマー鎖末端の一方を示し、1つのポリマー鎖に一単位存在する:
Rは、
−CH−であるか又は以下の式(II):
Figure 2016027101
で表され、ここで、R及びRは、存在する場合は、各々独立に、炭素数が1〜4のアルキル基を表す。)
からなるポリマー鎖、及び/又は構造単位(B)からなる環状ポリマーを含むアルデヒド含有樹脂、及びジアミン類を溶媒の存在下で混合して得られる樹脂ワニス。
The following structural units (A) and (B):
Figure 2016027101
(Where
* 1 and* 2 each represent a bond,
Where* 1 is combined with any* 2
* 1 and* 1, and* 2 and* 2 cannot be combined,
* 2 in the structural unit (B) represents hydrogen when not bonded to* 1,
The structural unit (A) represents one of the polymer chain ends, and one unit exists in one polymer chain:
R is
—CH2 — or the following formula (II):
Figure 2016027101
Here, R1 and R2 , if present, each independently represent an alkyl group having 1 to 4 carbon atoms. )
A resin varnish obtained by mixing an aldehyde-containing resin containing a polymer chain consisting of the above and / or a cyclic polymer consisting of the structural unit (B), and a diamine in the presence of a solvent.
前記アルデヒド含有樹脂及び前記ジアミン類を溶媒の存在下で混合し、アルデヒド含有樹脂とジアミン類が反応して得られる、請求項13又は14に記載の樹脂ワニス。  The resin varnish according to claim 13 or 14, which is obtained by mixing the aldehyde-containing resin and the diamine in the presence of a solvent and reacting the aldehyde-containing resin and the diamine. 前記溶媒がケトン系溶媒である、請求項13〜15のいずれか1項に記載の樹脂ワニス。  The resin varnish according to any one of claims 13 to 15, wherein the solvent is a ketone solvent. 前記ケトン系溶媒がシクロヘキサノン又はその誘導体である、請求項16に記載の樹脂ワニス。  The resin varnish according to claim 16, wherein the ketone solvent is cyclohexanone or a derivative thereof. フェノール性水酸基を持つヒドロキシアルデヒドモノマーと、ホルムアルデヒド又は以下の式(I):
Figure 2016027101
(式中、Yは、炭素原子数1〜4のアルコキシル基またはハロゲン原子を表し;
及びRは、存在する場合は、各々独立に、炭素数が1〜4のアルキル基を表し;
s及びtは、各々独立して、1〜3の整数を表す。)
で表される化合物から選択される架橋剤とを反応して得られるアルデヒド含有樹脂、ジアミン類及びモノアミン類を溶媒の存在下で混合して得られる樹脂ワニス。
Hydroxyaldehyde monomer having a phenolic hydroxyl group and formaldehyde or the following formula (I):
Figure 2016027101
Wherein Y represents an alkoxyl group having 1 to 4 carbon atoms or a halogen atom;
R1 and R2 , if present, each independently represents an alkyl group having 1 to 4 carbon atoms;
s and t each independently represent an integer of 1 to 3. )
A resin varnish obtained by mixing an aldehyde-containing resin, a diamine, and a monoamine obtained by reacting with a crosslinking agent selected from the compounds represented by
以下の構造単位(A)及び(B):
Figure 2016027101
(式中、
1及び2は、各々、結合手を示し、
ここで、1は、いずれかの2と結合し、
1と1同士、2と2同士は結合することができず、
構造単位(B)の2は、1と結合しない場合は水素を示し、
構造単位(A)は、ポリマー鎖末端の一方を示し、1つのポリマー鎖に一単位存在する:
Rは、
−CH−であるか又は以下の式(II):
Figure 2016027101
で表され、ここで、R及びRは、存在する場合は、各々独立に、炭素数が1〜4のアルキル基を表す。)
からなるポリマー鎖、及び/又は構造単位(B)からなる環状ポリマーを含むアルデヒド含有樹脂、ジアミン類及びモノアミン類を溶媒の存在下で混合して得られる樹脂ワニス。
The following structural units (A) and (B):
Figure 2016027101
(Where
* 1 and* 2 each represent a bond,
Where* 1 is combined with any* 2
* 1 and* 1, and* 2 and* 2 cannot be combined,
* 2 in the structural unit (B) represents hydrogen when not bonded to* 1,
The structural unit (A) represents one of the polymer chain ends, and one unit exists in one polymer chain:
R is
—CH2 — or the following formula (II):
Figure 2016027101
Here, R1 and R2 , if present, each independently represent an alkyl group having 1 to 4 carbon atoms. )
A resin varnish obtained by mixing an aldehyde-containing resin, a diamine, and a monoamine containing a polymer chain comprising: and / or a cyclic polymer comprising a structural unit (B) in the presence of a solvent.
前記アルデヒド含有樹脂、前記ジアミン類及び前記モノアミン類を溶媒の存在下で混合し、アルデヒド含有樹脂、ジアミン類、モノアミン類が反応して得られる、請求項18又は19に記載の樹脂ワニス。  The resin varnish according to claim 18 or 19, which is obtained by mixing the aldehyde-containing resin, the diamine and the monoamine in the presence of a solvent and reacting the aldehyde-containing resin, the diamine and the monoamine. 前記溶媒がトルエンである、請求項18〜20のいずれか1項に記載の樹脂ワニス。  The resin varnish according to any one of claims 18 to 20, wherein the solvent is toluene. 請求項13〜21のいずれか1項に記載の樹脂ワニスを繊維質基材に含浸し、加熱加圧成型して得られる積層板。  The laminated board obtained by impregnating the resin base material of any one of Claims 13-21 in a fiber base material, and heat-press-molding. 請求項13〜21のいずれか1項に記載の樹脂ワニスを用いて得られる樹脂成型物。  The resin molding obtained using the resin varnish of any one of Claims 13-21. 請求項13〜21のいずれか1項に記載の樹脂ワニスを用いて得られるビルドアップ基板。  The buildup board | substrate obtained using the resin varnish of any one of Claims 13-21. フェノール性水酸基を持つヒドロキシアルデヒドモノマーと、ホルムアルデヒド又は以下の式(I):
Figure 2016027101
(式中、Yは、炭素原子数1〜4のアルコキシル基またはハロゲン原子を表し;R及びRは、存在する場合は、各々独立に、炭素数が1〜4のアルキル基を表し;s及びtは、各々独立して、1〜3の整数を表す。)
で表される化合物から選択される架橋剤とを反応して得られるアルデヒド含有樹脂。
Hydroxyaldehyde monomer having a phenolic hydroxyl group and formaldehyde or the following formula (I):
Figure 2016027101
(Wherein Y represents an alkoxyl group having 1 to 4 carbon atoms or a halogen atom; R1 and R2 each independently represents an alkyl group having 1 to 4 carbon atoms; s and t each independently represent an integer of 1 to 3.)
An aldehyde-containing resin obtained by reacting with a crosslinking agent selected from the compounds represented by:
以下の構造単位(A)及び(B):
Figure 2016027101
(式中、
1及び2は、各々、結合手を示し、
ここで、1は、いずれかの2と結合し、
1と1同士、2と2同士は結合することができず、
構造単位(B)の2は、1と結合しない場合は水素を示し、
構造単位(A)は、ポリマー鎖末端の一方を示し、1つのポリマー鎖に一単位存在する:
Rは、−CH−であるか又は以下の式(II):
Figure 2016027101
で表され、ここで、R及びRは、存在する場合は、各々独立に、炭素数が1〜4のアルキル基を表す。)
からなるポリマー鎖、及び/又は構造単位(B)からなる環状ポリマーを含むアルデヒド含有樹脂。
The following structural units (A) and (B):
Figure 2016027101
(Where
* 1 and* 2 each represent a bond,
Where* 1 is combined with any* 2
* 1 and* 1, and* 2 and* 2 cannot be combined,
* 2 in the structural unit (B) represents hydrogen when not bonded to* 1,
The structural unit (A) represents one of the polymer chain ends, and one unit exists in one polymer chain:
R is —CH2 — or the following formula (II):
Figure 2016027101
Here, R1 and R2 , if present, each independently represent an alkyl group having 1 to 4 carbon atoms. )
An aldehyde-containing resin comprising a polymer chain comprising: and / or a cyclic polymer comprising a structural unit (B).
前記フェノール性水酸基を持つヒドロキシアルデヒドモノマーがオルソヒドロキシベンズアルデヒドであり、前記架橋剤がホルムアルデヒドである、請求項25に記載のアルデヒド含有樹脂。  The aldehyde-containing resin according to claim 25, wherein the hydroxyaldehyde monomer having a phenolic hydroxyl group is orthohydroxybenzaldehyde, and the crosslinking agent is formaldehyde. 前記フェノール性水酸基を持つヒドロキシアルデヒドモノマーがオルソヒドロキシベンズアルデヒドであり、前記架橋剤が式(I)で表される化合物である請求項25に記載のアルデヒド含有樹脂。  The aldehyde-containing resin according to claim 25, wherein the hydroxyaldehyde monomer having a phenolic hydroxyl group is orthohydroxybenzaldehyde, and the crosslinking agent is a compound represented by the formula (I). 構造単位(A)及び(B)においてアルデヒド基がオルソ位にあり、Rが−CH−である、請求項26に記載のアルデヒド含有樹脂。Structural units (A) and has an aldehyde group at the ortho position in (B), R is -CH2 - is an aldehyde-containing resin according to claim 26. 構造単位(A)及び(B)においてアルデヒド基がオルソ位にあり、Rが式(II)で表される、請求項26に記載のアルデヒド含有樹脂。  27. The aldehyde-containing resin according to claim 26, wherein the aldehyde group is in the ortho position in the structural units (A) and (B), and R is represented by the formula (II).
JP2015119272A2014-07-042015-06-12 New aldehyde-containing resinActiveJP6423316B2 (en)

Priority Applications (1)

Application NumberPriority DateFiling DateTitle
JP2015119272AJP6423316B2 (en)2014-07-042015-06-12 New aldehyde-containing resin

Applications Claiming Priority (3)

Application NumberPriority DateFiling DateTitle
JP20141386202014-07-04
JP20141386202014-07-04
JP2015119272AJP6423316B2 (en)2014-07-042015-06-12 New aldehyde-containing resin

Publications (2)

Publication NumberPublication Date
JP2016027101Atrue JP2016027101A (en)2016-02-18
JP6423316B2 JP6423316B2 (en)2018-11-14

Family

ID=55352634

Family Applications (1)

Application NumberTitlePriority DateFiling Date
JP2015119272AActiveJP6423316B2 (en)2014-07-042015-06-12 New aldehyde-containing resin

Country Status (1)

CountryLink
JP (1)JP6423316B2 (en)

Cited By (2)

* Cited by examiner, † Cited by third party
Publication numberPriority datePublication dateAssigneeTitle
JP2017036365A (en)*2015-08-072017-02-16群栄化学工業株式会社Novel imino group-containing resin
JP2018065932A (en)*2016-10-192018-04-26群栄化学工業株式会社 Allyl group-containing resin, method for producing the same, maleimide curing agent, thermosetting molding material, and semiconductor sealing material

Citations (7)

* Cited by examiner, † Cited by third party
Publication numberPriority datePublication dateAssigneeTitle
JPS5236188A (en)*1975-09-161977-03-19Kanebo LtdPreparation of heavy metal ion adsorbent
JP2010013601A (en)*2008-07-072010-01-21Showa Highpolymer Co LtdModified novolac resin, and thermosetting resin composition blended with the same
JP2010070471A (en)*2008-09-172010-04-02Air Water IncPhenolic polymer, method of producing the same, and use therefor
JP2010254990A (en)*2009-04-032010-11-11Sumitomo Bakelite Co Ltd Semiconductor sealing resin composition and semiconductor device
JP2011084718A (en)*2009-09-162011-04-28Sumitomo Bakelite Co LtdResin composition for sealing semiconductor and semiconductor device
JP2013521381A (en)*2010-03-052013-06-10ハンツマン・アドバンスド・マテリアルズ・アメリカズ・エルエルシー Thermosetting resin system with high frequency and low dielectric loss for use in electronic components
JP2014070124A (en)*2012-09-282014-04-21Meiwa Kasei KkProduction method of novolac type phenolic resin, novolac type phenolic resin, and photoresist composition

Patent Citations (7)

* Cited by examiner, † Cited by third party
Publication numberPriority datePublication dateAssigneeTitle
JPS5236188A (en)*1975-09-161977-03-19Kanebo LtdPreparation of heavy metal ion adsorbent
JP2010013601A (en)*2008-07-072010-01-21Showa Highpolymer Co LtdModified novolac resin, and thermosetting resin composition blended with the same
JP2010070471A (en)*2008-09-172010-04-02Air Water IncPhenolic polymer, method of producing the same, and use therefor
JP2010254990A (en)*2009-04-032010-11-11Sumitomo Bakelite Co Ltd Semiconductor sealing resin composition and semiconductor device
JP2011084718A (en)*2009-09-162011-04-28Sumitomo Bakelite Co LtdResin composition for sealing semiconductor and semiconductor device
JP2013521381A (en)*2010-03-052013-06-10ハンツマン・アドバンスド・マテリアルズ・アメリカズ・エルエルシー Thermosetting resin system with high frequency and low dielectric loss for use in electronic components
JP2014070124A (en)*2012-09-282014-04-21Meiwa Kasei KkProduction method of novolac type phenolic resin, novolac type phenolic resin, and photoresist composition

Cited By (2)

* Cited by examiner, † Cited by third party
Publication numberPriority datePublication dateAssigneeTitle
JP2017036365A (en)*2015-08-072017-02-16群栄化学工業株式会社Novel imino group-containing resin
JP2018065932A (en)*2016-10-192018-04-26群栄化学工業株式会社 Allyl group-containing resin, method for producing the same, maleimide curing agent, thermosetting molding material, and semiconductor sealing material

Also Published As

Publication numberPublication date
JP6423316B2 (en)2018-11-14

Similar Documents

PublicationPublication DateTitle
TWI739817B (en) Thermosetting resin composition, prepreg and its cured product
JP5750004B2 (en) Thermosetting composition, its varnish and its thermoset
JPS62181335A (en)Thermosetting composition
US20090318658A1 (en)Baked resin product and electronic device comprising same
KR20160059444A (en)Phthalonitrile resin
CN115190894A (en) Curable resin, curable resin composition, cured product, electronic device, laminate material, electronic component sealing material, and manufacturing method of curable resin
JP6423316B2 (en) New aldehyde-containing resin
JP2013525550A (en) Phosphazene block adazole compounds as latent catalysts for epoxy resins
JP2015003972A (en)Epoxy resin, epoxy resin composition and hardened product of the composition
KR20140119003A (en)Curable water soluble epoxy acrylate resin compositions
KR101397655B1 (en)Styrenated phenol useful curing agent or plasticizer for epoxy resin
TW201141949A (en)Benzoxazine-ring-containing theremosetting resin composition, process for production thereof, and molded products and cured products thereof
JP6620981B2 (en) Thermosetting molding material, method for producing the same, and semiconductor sealing material
JP2010077245A (en)Low-temperature curable composition
JP2012025800A (en)Epoxy resin composition and epoxy resin
TWI775759B (en)Benzoxazine-based mixture, thermosetting resin omposition thereof, and cured object thereof
JPH11116566A (en)Cyclic carbonate resin composition and its cured product
KR101782807B1 (en)Polybenzoxazine precursor and Preparing Method thereof
JP6555975B2 (en) New imine group-containing resin
JP2018145273A (en)Allyl group-containing resin, resin varnish, and method of manufacturing laminate
JP2012072319A (en)Method for producing thermosetting resin having benzoxazine ring, and thermosetting resin having benzoxazine ring
JPWO2022181758A5 (en)
JP2018065931A (en) Resin varnish, method for producing the same, and method for producing laminated board
JP2017119830A (en)Allyl group-containing resin, method for producing the same, resin varnish and method for producing laminate
JP6420616B2 (en) Phenolic resin, method for producing the same, epoxy resin composition containing the phenolic resin, and cured product thereof

Legal Events

DateCodeTitleDescription
A621Written request for application examination

Free format text:JAPANESE INTERMEDIATE CODE: A621

Effective date:20180122

A131Notification of reasons for refusal

Free format text:JAPANESE INTERMEDIATE CODE: A131

Effective date:20180731

A977Report on retrieval

Free format text:JAPANESE INTERMEDIATE CODE: A971007

Effective date:20180725

A521Request for written amendment filed

Free format text:JAPANESE INTERMEDIATE CODE: A523

Effective date:20180918

TRDDDecision of grant or rejection written
A01Written decision to grant a patent or to grant a registration (utility model)

Free format text:JAPANESE INTERMEDIATE CODE: A01

Effective date:20181002

A61First payment of annual fees (during grant procedure)

Free format text:JAPANESE INTERMEDIATE CODE: A61

Effective date:20181018

R150Certificate of patent or registration of utility model

Ref document number:6423316

Country of ref document:JP

Free format text:JAPANESE INTERMEDIATE CODE: R150

R250Receipt of annual fees

Free format text:JAPANESE INTERMEDIATE CODE: R250

R250Receipt of annual fees

Free format text:JAPANESE INTERMEDIATE CODE: R250

R250Receipt of annual fees

Free format text:JAPANESE INTERMEDIATE CODE: R250

R250Receipt of annual fees

Free format text:JAPANESE INTERMEDIATE CODE: R250


[8]ページ先頭

©2009-2025 Movatter.jp