















本発明は、複数の音響出力素子から信号を発信する音響出力素子アレイ及びその音響出力方法に関し、特に、特定の方向に指向性を絞った信号の提供を行う技術に関する。 The present invention relates to an acoustic output element array that transmits signals from a plurality of acoustic output elements and an acoustic output method thereof, and more particularly, to a technique for providing a signal with reduced directivity in a specific direction.
近年、電話回線やADSL回線、光ネットワークなどを用いて遠隔地同士を結んだ通信会議が頻繁に行われるようになってきた。このような通信会議は、一般的には音響的に閉鎖された会議室などで行われているが、オープンオフィス(ディスクが並んだ大部屋)の片隅においても簡易に通信会議が行われることが望まれている。このような場所での通信会議では、会議に参加していない人々には拡声される音声を聞かせたくないため、ある特定の領域、あるいは特定の方向にのみ音が再生できる技術が望まれている。 In recent years, communication conferences connecting remote locations using telephone lines, ADSL lines, optical networks, and the like have been frequently performed. Such communication conferences are generally held in conference rooms that are acoustically closed. However, communication conferences can be easily held in one corner of an open office (a large room with disks). It is desired. In communication conferences in such places, people who are not participating in the conference do not want to hear the loud sound, so a technology that can reproduce sound only in a specific area or in a specific direction is desired. .
これを実現するための音を特定の方向にだけ放射する音響出力素子としては指向性スピーカが知られている。指向性スピーカは、従来からホーンスピーカ、パラメトリックスピーカ、アナログスピーカアレイ、ディジタルフィルタ型スピーカアレイなどが知られている。 A directional speaker is known as an acoustic output element that radiates a sound for realizing this only in a specific direction. As the directional speaker, a horn speaker, a parametric speaker, an analog speaker array, a digital filter type speaker array, and the like are conventionally known.
ホーンスピーカ(三井田惇郎,「音響工学」, p. 101,昭晃堂,1993年)は、ホーンの
幾何学的形状によって指向性を実現するものであり、通常は高域用に限定されており、幅広い周波数範囲で鋭い指向性を得るためには、1mを越えるような大きなサイズのホーンが必要となり、あまり一般的な用途には利用できない。パラメトリックスピーカ(特許文献1)は、鋭い指向性を持つ超音波を可聴音のキャリア(搬送波)にすることで、可聴音に対しても鋭い指向性を得ようとする方式であり、音声信号で変調された超音波の空気中の非線形性で元の音声信号が復調される方式である。この方法は鋭い指向性が得られることで知られているが、超音波を放出するための特別なアンプが必要なこと、超音波が人体に与える影響を抑えること、などの課題がある。The horn loudspeaker (Mitaro Goro, “Acoustic Engineering”, p. 101, Shosodo, 1993) achieves directivity by the geometric shape of the horn, and is usually limited to high frequencies. In order to obtain sharp directivity in a wide frequency range, a horn having a large size exceeding 1 m is required, and it cannot be used for general purposes. The parametric speaker (Patent Document 1) is a method for obtaining a sharp directivity for an audible sound by using an ultrasonic wave having a sharp directivity as a carrier of an audible sound (carrier wave). This is a method in which the original audio signal is demodulated by the nonlinearity of the modulated ultrasonic wave in the air. This method is known to obtain a sharp directivity, but there are problems such as requiring a special amplifier for emitting ultrasonic waves and suppressing the influence of ultrasonic waves on the human body.
これに対し、近年ディジタルフィルタ信号処理を用いたスピーカアレイが提案されている(特許文献2)。この方法では、空間に配置された複数のスピーカにそれぞれ独立なディジタルフィルタを接続し、これらディジタルフィルタの特性を、同一空間内に配置された複数の制御点での観測信号が予め設定された音再生方向では所望の平面波となり、予め設定された音響遮断領域では観測信号が零となるように定めたことを特徴とする。結果として、ある特定の方向にのみ音を再生する指向性スピーカを実現することができる。 On the other hand, a speaker array using digital filter signal processing has recently been proposed (Patent Document 2). In this method, an independent digital filter is connected to each of a plurality of speakers arranged in a space, and the characteristics of these digital filters are determined based on sound signals obtained by setting observation signals at a plurality of control points arranged in the same space. It is characterized in that it is determined so that a desired plane wave is obtained in the reproduction direction and the observation signal is zero in a preset sound cutoff region. As a result, a directional speaker that reproduces sound only in a specific direction can be realized.
図1は、特許文献2に示された複数のスピーカ12を直線状に並べたスピーカアレイの構成を示す構成図である。この図において、信号入力端子10は、再生したい音響信号(音)に対応する信号をスピーカアレイに入力するための入力端子であり、ディジタルフィルタ11は、再生される音響信号の指向性を決定するためのディジタルフィルタであり、スピーカ12は、音響信号を空間に放出する音響出力素子である。また、●で示した強調制御点13a,13b及び○で囲んだ×で示した抑圧制御点14は、ディジタルフィルタ11のフィルタ係数を決定するために空間に放出された音響信号を観測する制御点である。また、音響再生領域15は、音響信号を放出する領域であり、受聴者16は、スピーカ12から放出された音響信号を受聴する。なお、信号入力端子10に入力される信号がアナログ信号である場合、信号入力端子10とディジタルフィルタ11との間にA/D変換機が必要となり、ディジタルフィルタ11とスピーカ12との間にD/A変換機とアンプとが必要となるが、図1ではこれらを省略している。また、この例では、通信会議などで、TVモニタの下などに直線スピーカアレイが設置されることを想定し、スピーカアレイを構成する各スピーカ12が並べられた軸(「スピーカアレイの軸」という)に対して垂直な方向に受聴者16がいることを想定している。 FIG. 1 is a configuration diagram showing a configuration of a speaker array in which a plurality of
また、ディジタルフィルタ11は、通常、以下のようなFIR(Finite Impulse Response:有限インパルス応答)フィルタによって構成される。
ここで、Lはフィルタタップ数であり、m(m=1,...,M、Mはスピーカ12の総数
)は、各ディジタルフィルタを識別する識別子であり、xm(τ−k)は、識別子mのディジタルフィルタへの離散時刻τ−kでの入力信号であり、hm(k)は、識別子mのディジタルフィルタのインパルス応答(フィルタ係数)である。また、式(1)のインパルス応答(フィルタ係数)の系列をz変換すると以下のようになる。
この例では、平面波であることを確認するため、音響信号の進行方向に対して、垂直に強調制御点13aを配置し、さらに進行した音波が平面波を保っていることを保証するために、第2の強調制御点13bを配置している。ここで、各ディジタルフィルタ11は、音響出力素子アレイから放出された音響信号が第一列目の全ての強調制御点13aにおいて1になり 、第2列目の全ての強調制御点13bにおいて、第一列目と第二列目の距離
差を音速で割った時間差分だけ第一列目の音響信号から位相が遅れた音響信号の音圧となり、抑圧制御点14において、音響信号の音圧が0になるように設定される。このような条件を満たすフィルタ特性は以下のように記述することができる。
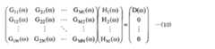
ここで、Gmn(ω)は、m番目のスピーカ12からn(n=1,...,N、Nは制御点
の総数)番目の制御点までのインパルス応答の系列をz変換した周波数依存の(室内)伝達関数でり、各制御点13a,13b,14でマイクロホンを用いて実際に観測された音響信号に基づき設定されるものである。また、式(3)の左辺の演算結果であるN次元ベクトルの各要素は、式(2)に示すフィルタ係数の各FIRフィルタにインパルス信号が入力された場合に各FIRフィルタから出力される応答信号が各スピーカ12から放出され、それらから各制御点までのインパルス応答で畳み込まれて、各制御点でそれぞれ混合された畳み込み混合信号を示している。また、この式において、n=1からP−1までの制御点が音圧を零に制御する抑圧制御点14を示し、n=PからQ−1までの制御点が第一列目の強調制御点13aを示し、n=QからNまでの制御点が第二列目の強調制御点13bを示している。また、Δは第一列目の強調制御点13a(n=1からP−1までの制御点 )と第二列目の強調制御点13b(n=PからQ−1までの制御点 )との距離差を音速で割った遅延時間である。さらに、expはネイピア数を示し、jは虚数単位を示す。Here, Gmn (ω) is a frequency obtained by z-transforming a series of impulse responses from the m-
さて、上記式(3)をG・H=Rとおくと、音響出力素子アレイに接続されたディジタルフィルタの特性は、以下の式で求められる。なお、αTはαの転置行列を示す。
H=GT・(GT・G)−1・R …(4)
また、逆行列が不安定にならないように、GT・Gの最大固有値に比べて小さな正の定数をδとしたとき、以下の式で代用してHを求めても良い。ただし、IはM×Mの単位行列である。
H=GT・(GT・G+δ・I)−1・R …(5)
以上のような構成により、スピーカアレイのサイズよりも広がりを押さえた平面波を実現している。
H = GT · (GT · G)−1 · R (4)
Also, as the inverse matrix does not become unstable when a small positive constant compared to the maximum eigenvalue of G T· G [delta], may be obtained H by substituting the following equation. Here, I is an M × M unit matrix.
H = G T · (G T · G + δ · I) -1 · R ... (5)
With the configuration as described above, a plane wave with a spread larger than the size of the speaker array is realized.
スピーカアレイの軸に対して垂直な方向に受聴者16がいるのではなく、図2に示すようにスピーカアレイの軸方向に受聴者16がいる場合、すなわち、スピーカアレイの軸方向に音響再生領域15を設定する場合を考える。なお、軸21はスピーカアレイの軸を示し、スピーカアレイの軸21方向に受聴者16が存在し、その方向に音響再生領域15が設定されていることを示している。また、音響遮断領域22は、音を抑圧すべき領域であり、これと音響再生領域15との音圧差によりスピーカアレイの指向特性が決まる。なお、スピーカアレイの軸21方向に受聴者16がいるのは、例えば、狭い幅の机の上でスピーカアレイを構成する場合などで、受聴者16からみて横方向には幅が取れないが、奥行き方向には幅が取れるような場合である。 When the
このとき、図2に示すように各スピーカ12の前面を、スピーカアレイの軸に対して垂直に向けた場合、各スピーカ12全体を囲むように制御点を設けなければ、所望の指向特性を実現するディジタルフィルタのフィルタ係数を決定できない。なぜなら、各スピーカ12自身が前面と背面で非対称な指向特性を持つため、各スピーカ12の前面側と背面側で別個に指向特性を制御する必要があるからである。この場合、非常に多くの抑圧制御点を配置しなければならない。例えば、図2にあるように、スピーカアレイの軸から45度の方向から315度の方向まで22.5度間隔で抑圧制御点を配置しようとすると全部で13個の抑圧制御点を配置しなければならない。また、上下方向まで制御することを考えると約60個の抑圧制御点を配置しなければならない。そして、フィルタ係数を決定するために、設定した多くの各制御点で実際に音響信号を観測し、それらの観測結果から伝達関数Gmn(ω)を算出するといった煩雑な作業が必要となる。At this time, when the front surface of each
このような問題は、複数のスピーカから構成されるスピーカアレイに限定される問題ではなく、何らかの音響信号を出力する複数の音響出力素子から構成される音響出力素子アレイに共通する問題である。 Such a problem is not a problem limited to a speaker array composed of a plurality of speakers, but is a problem common to an acoustic output element array composed of a plurality of acoustic output elements that output some acoustic signal.
本発明は、このような点に鑑みてなされたものであり、音響出力素子アレイを構成する各音響出力素子が並べられた軸(以下「音響出力素子アレイの軸」という)方向に音響再生領域を設定する場合において、簡易な作業で所望の指向特性を実現できる技術を提供することを目的とする。また、複数の人が居る場面において、その中の特定の個人のみにガイダンスを聞かせたり、その個人に対してのみ操作説明を行うことが可能な音響出力素子アレイを実現することを目的とする。 The present invention has been made in view of such a point, and an acoustic reproduction region in an axis direction (hereinafter referred to as an “axis of an acoustic output element array”) in which acoustic output elements constituting the acoustic output element array are arranged. An object of the present invention is to provide a technique capable of realizing a desired directivity with a simple operation. It is another object of the present invention to realize an acoustic output element array in which guidance is given only to a specific individual in a scene where a plurality of people are present, and an operation can be explained only to that individual.
本発明では上記課題を解決するために、同一軸上に並べられ、各指向特性が当該軸に対して軸対称となる向きに配置される複数の音響出力素子と、再生音信号が入力される音響出力素子と同数のディジタルフィルタを有する第1ディジタルフィルタ群と、妨害音信号が入力される音響出力素子と同数のディジタルフィルタを有する第2ディジタルフィルタ群と、第1ディジタルフィルタ群と第2ディジタルフィルタ群の各フィルタの出力信号を加算する加算器群とを含み、第1ディジタルフィルタ群と第2ディジタルフィルタ群の複数の音響出力素子に対応するそれぞれの出力信号を加算して生成した各供給信号を、対応する音響出力素子に供給する信号供給部と、を有し、各音響出力素子が、供給された各供給信号に応じた音響信号を空間に放出し、第1ディジタルフィルタ群が、各音響出力素子から放出される各音響信号を、各音響出力素子から各制御点までが自由空間であると近似した場合における各音響出力素子から各制御点までの各近似伝達関数で畳み込んで各制御点でそれぞれ混合した場合に、当該畳み込み混合信号が、各音響出力素子が並べられた軸方向に設定された音響再生領域の制御点で否零となり、当該音響再生領域を除く音響遮断領域の制御点で零となるフィルタ係数が設定された第1ディジタルフィルタ群であり、第2ディジタルフィルタ群が、各音響出力素子から放出される各音響信号を、各音響出力素子から各制御点までが自由空間であると近似した場合における各音響出力素子から各制御点までの各近似伝達関数で畳み込んで各制御点でそれぞれ混合した場合に、当該畳み込み混合信号が、各音響出力素子が並べられた軸方向に設定された音響再生領域の制御点で零となり、当該音響再生領域を除く音響遮断領域の制御点で否零となるフィルタ係数が設定された第2ディジタルフィルタ群であり、各近似伝達関数が、各音響出力素子から各制御点までの各距離を用いてそれぞれ算出された関数である、ことを特徴とする音響出力素子アレイが提供される。なお、自由空間とは、理想的な無響空間(無反射状態の空間)を意味する。 In the present invention, in order to solve the above-described problem, a plurality of acoustic output elements arranged on the same axis and arranged in directions in which each directivity characteristic is axially symmetric with respect to the axis, and a reproduced sound signal are input. A first digital filter group having the same number of digital filters as the acoustic output elements, a second digital filter group having the same number of digital filters as the acoustic output elements to which the interference signal is input, a first digital filter group and a second digital filter; An adder group for adding the output signals of the respective filters of the filter group, and each supply generated by adding the respective output signals corresponding to the plurality of acoustic output elements of the first digital filter group and the second digital filter group A signal supply unit that supplies a signal to a corresponding acoustic output element, and each acoustic output element spatially transmits an acoustic signal corresponding to each supplied supply signal. The first digital filter group emits each acoustic signal emitted from each acoustic output element to each control point from each acoustic output element when approximating that each acoustic output element to each control point is a free space. When convolved with each approximate transfer function up to and mixed at each control point, the convolution mixed signal becomes non-zero at the control point in the sound reproduction region set in the axial direction where the sound output elements are arranged. , A first digital filter group in which a filter coefficient that is zero is set at a control point in the sound blocking area excluding the sound reproduction area, and the second digital filter group receives each acoustic signal emitted from each acoustic output element. When approximating that each acoustic output element to each control point is free space, convolution with each approximate transfer function from each acoustic output element to each control point and mixing at each control point. In this case, the convolution mixed signal becomes zero at the control point of the sound reproduction region set in the axial direction in which the respective sound output elements are arranged, and becomes zero at the control point of the sound blocking region excluding the sound reproduction region. A second digital filter group in which filter coefficients are set, and each approximate transfer function is a function calculated using each distance from each acoustic output element to each control point. An output element array is provided. The free space means an ideal anechoic space (nonreflective space).
本発明では、音響出力素子アレイの軸方向に音響再生領域を設定する場合において、簡易な作業で所望の指向特性を実現できる。特に音響遮断領域に対して妨害音を生成するので、音響再生領域内に位置する特定の個人にガイダンス等を聞かせることが可能になる。 In the present invention, when the sound reproduction area is set in the axial direction of the sound output element array, desired directivity can be realized with a simple operation. In particular, since the disturbing sound is generated for the sound blocking area, it is possible to give guidance or the like to a specific individual located in the sound reproduction area.
以下、本発明の実施の形態を図面を参照して説明する。
〔原理〕
まず、本形態の原理について説明する。
本形態では、音響出力素子アレイの軸に対して垂直方向に音響信号を出力するのではなく、音響出力素子アレイの軸方向に受聴者がおり、この音響出力素子アレイの軸方向に音響信号を出力し、それ以外の方向で音響信号を抑圧するものである。すなわち、本形態の音響出力素子アレイは、音響出力素子アレイの軸方向の受聴者側に設定された音響再生領域に音響信号を放出し、当該音響再生領域を除く音響遮断領域で音響信号を抑圧する。Hereinafter, embodiments of the present invention will be described with reference to the drawings.
〔principle〕
First, the principle of this embodiment will be described.
In this embodiment, instead of outputting an acoustic signal in a direction perpendicular to the axis of the acoustic output element array, there is a listener in the axial direction of the acoustic output element array, and the acoustic signal is transmitted in the axial direction of the acoustic output element array. It outputs and suppresses the acoustic signal in the other direction. That is, the acoustic output element array of the present embodiment emits an acoustic signal to the acoustic reproduction area set on the listener side in the axial direction of the acoustic output element array, and suppresses the acoustic signal in the acoustic blocking area excluding the acoustic reproduction area. To do.
そのために、本形態では、同一軸上に並べられ、各指向特性が当該軸に対して軸対称となる向きに配置される複数の音響出力素子と、各音響出力素子にそれぞれ対応する互いに独立なディジタルフィルタを含み、当該各ディジタルフィルタを用いて生成した各供給信号を、それぞれに対応する音響出力素子に供給する信号供給部と、を有し、各音響出力素子が、供給された各供給信号に応じた音響信号を空間に放出し、ディジタルフィルタが、各音響出力素子から放出される各音響信号を、各音響出力素子から各制御点までが自由空間であると近似した場合における各音響出力素子から各制御点までの各近似伝達関数で畳み込んで各制御点でそれぞれ混合した場合に、当該畳み込み混合信号が、各音響出力素子が並べられた軸方向に設定された音響再生領域の制御点で否零となり、当該音響再生領域を除く音響遮断領域の制御点で零となるフィルタ係数が設定されたディジタルフィルタであり、各近似伝達関数が、各音響出力素子から各制御点までの各距離を用いてそれぞれ算出された関数である音響出力素子アレイを用いる。 Therefore, in this embodiment, a plurality of sound output elements arranged on the same axis and arranged in directions in which the respective directivity characteristics are axially symmetric with respect to the axis, and independent from each other corresponding to each sound output element, respectively. A signal supply unit that includes a digital filter and supplies each supply signal generated using each digital filter to a corresponding acoustic output element, and each acoustic output element is supplied with each supplied signal Each sound output when the digital filter approximates each sound signal emitted from each sound output element to a free space from each sound output element to each control point. When convolution is performed with each approximate transfer function from the element to each control point and mixing is performed at each control point, the convolution mixed signal is set in the axial direction in which each acoustic output element is arranged. A digital filter in which a filter coefficient is set to be zero at a control point in the sound reproduction region and zero at a control point in the sound blocking region excluding the sound reproduction region, and each approximate transfer function is An acoustic output element array that is a function calculated using each distance to the control point is used.
ここで、本形態の音響出力素子アレイを構成する複数の音響出力素子(例えば、スピーカ)は、同一軸上に並べられ、各指向特性が当該軸に対して軸対称となる向きに配置される。これにより、各音響出力素子自体の指向特性が音響出力素子アレイの軸に対して軸対称となる。そのため、空間の伝達関数も当該軸に対して軸対称であれば、互いに軸対称な制御点を設けることなく全方位の指向特性の制御が可能となることが期待される。 しかしながら、実際の環境では、音響出力素子を上述のように配置したとしても、反射の影響から伝達関数が当該軸に対して軸対称とならない場合が多い。したがって、互いに軸対称な制御点のうち一方の制御点のみにマイクロホンを設置し、マイクロホンが設置された制御点の観測結果をもとに伝達関数を求め、当該伝達関数をマイクロホンが設置された制御点に対して軸対称な制御点に対応する伝達関数としても、実環境に適した適切なフィルタ係数を設定することはできない。そのため、制御点に配置したマイクロホンで測定した結果を用いて伝達関数を設定する場合、たとえ、各音響出力素子を上述のように配置したとしても、多くの抑圧制御点を設け、それらにマイクロホンを設置しなければならない。 Here, a plurality of sound output elements (for example, speakers) constituting the sound output element array of the present embodiment are arranged on the same axis, and are arranged in directions in which each directional characteristic is axially symmetric with respect to the axis. . As a result, the directivity of each acoustic output element itself is axisymmetric with respect to the axis of the acoustic output element array. Therefore, if the transfer function of the space is also axially symmetric with respect to the axis, it is expected that directivity characteristics in all directions can be controlled without providing control points that are axially symmetric with respect to each other. However, in an actual environment, even if the acoustic output element is arranged as described above, the transfer function is often not axisymmetric with respect to the axis due to the influence of reflection. Therefore, a microphone is installed only at one of the control points that are axisymmetric to each other, a transfer function is obtained based on the observation result of the control point at which the microphone is installed, and the transfer function is determined by the control at which the microphone is installed. Even as a transfer function corresponding to a control point that is axisymmetric with respect to a point, an appropriate filter coefficient suitable for the actual environment cannot be set. Therefore, when setting the transfer function using the result measured with the microphone arranged at the control point, even if each acoustic output element is arranged as described above, many suppression control points are provided, and microphones are attached to them. Must be installed.
そこで本形態では、実際にマイクロホンで音響信号を測定して伝達関数を設定するのではなく、各音響出力素子から各制御点までが自由空間(無反射状態、理想的な無響空間)であると近似し、各音響出力素子から各制御点までの距離のみから各伝達関数の近似関数(近似伝達関数)を算出する。このような近似に基づく近似伝達関数は、実際に観測点で音響信号を観測することなく、各音響出力素子から各制御点までの各距離を用いて容易に算出できる。さらに、このように近似伝達関数に基づいてフィルタ係数が設定されたディジタルフィルタは、或る制御点での実際の観測結果から算出した伝達関数をその観測点と軸対称な観測点の伝達関数としてフィルタ係数を設定したディジタルフィルタよりも、実環境に適合した性能を発揮する。反射の影響は軸対称ではなく、むしろそれらの影響を無視したほうが適切な解が得られるからである。 Therefore, in this embodiment, the acoustic signal is not actually measured by the microphone and the transfer function is set, but the space from each acoustic output element to each control point is free space (non-reflection state, ideal anechoic space). The approximate function (approximate transfer function) of each transfer function is calculated from only the distance from each acoustic output element to each control point. An approximate transfer function based on such approximation can be easily calculated using each distance from each acoustic output element to each control point without actually observing the acoustic signal at the observation point. Furthermore, a digital filter with filter coefficients set based on an approximate transfer function in this way uses a transfer function calculated from an actual observation result at a certain control point as a transfer function of an observation point that is axisymmetric with that observation point. It is more suitable for the actual environment than a digital filter with a set filter coefficient. This is because the influence of reflection is not axisymmetric, but rather an appropriate solution can be obtained if the influence is ignored.
このような近似伝達関数として、例えば、以下の式を用いることができる。
Gmn(ω)=(α/rmn)・exp(‐j・ω・rmn/c) …(6)
ここで、ωは周波数[Hz]を示し、Gmn(ω)はm番目(m=1,...,M、Mは2以上
の整数)の音響出力素子から、n番目(n=1,...,N、Nは1以上の整数)の制御点ま
での近似伝達関数を示す。また、rmnはm番目の音響出力素子からn番目の制御点までの距離[m]を示し、cは音速[m/s]を示し、jは虚数単位を示し、expはネイピア数を示し、α≠0は定数を示す。なお、本形態では、各制御点で信号を観測する必要がないため、各制御点を実際に空間上に配置する必要はない。各制御点は、各距離rmnが定まるように空間上に仮想的に配置されればよい。For example, the following equation can be used as such an approximate transfer function.
Gmn (ω) = (α / rmn ) ・ exp (‐j ・ ω ・ rmn / c) (6)
Here, ω represents the frequency [Hz], and Gmn (ω) is the nth (n = 1) from the mth (m = 1,..., M is an integer of 2 or more) acoustic output elements. ,..., N, N are approximate transfer functions up to a control point of an integer of 1 or more. Rmn represents the distance [m] from the mth acoustic output element to the nth control point, c represents the speed of sound [m / s], j represents the imaginary unit, and exp represents the Napier number. , Α ≠ 0 indicates a constant. In this embodiment, since it is not necessary to observe a signal at each control point, it is not necessary to actually arrange each control point in space. Each control point may be virtually arranged in space so that each distance rmn is determined.
各音響出力素子を上述のように配置し、式(6)に従って各音響出力素子から各制御点までの各近似伝達関数を設定した場合、同一の音響出力素子から音響出力素子アレイの軸に対して軸対称に配置された2つの制御点までの各近似伝達関数は互いに等しくなる。そのため、各制御点を、音響出力素子アレイの軸上(各音響出力素子が並べられた軸上)、及び/又は、当該軸に対して軸対称となる点の組うち一方の点のみに仮想的に設定するだけで、所望の指向特性を持つ音響出力素子アレイを構成するためのフィルタ係数を算出できる。 When each acoustic output element is arranged as described above and each approximate transfer function from each acoustic output element to each control point is set according to the equation (6), the same acoustic output element to the axis of the acoustic output element array is set. Thus, the approximate transfer functions up to two control points arranged in an axially symmetrical manner are equal to each other. For this reason, each control point is assumed to be virtual only on one axis of the set of points that are axially symmetric with respect to the axis of the acoustic output element array (on the axis where the acoustic output elements are arranged) and / or the axis. The filter coefficient for constructing the acoustic output element array having the desired directivity can be calculated simply by setting it.
また、音響出力素子が、第1部位から第1音響信号を出力し、第2部位から当該第1音響信号と位相が反転した第2音響信号を出力する二重音源素子である場合には、例えば、以下の式を近似伝達関数として用いることができる。
ここで、rFmnはm番目の音響出力素子の第1部位からn番目の制御点までの距離[m]を示し、rRmnはm番目の音響出力素子の第2部位からn番目の制御点までの距離[m]を示す。また、αF及びαRは正の定数である。なお、式(7)の二項目の符号が負となっているのは、第1音響信号の位相と第2音響信号との位相が互いに反転しているからである。また、このような二重音源素子の具体例としては、例えば、エンクロージャー(スピーカボックス)に入っていないスピーカがある。この場合、例えば、スピーカの音響信号放出面(前面)の中心部が第1部位となり、その背面の中心部が第2部位となる。通常、スピーカの振動板が前面側に押し出された状態は、その背面側から見ると振動板が前面側に押し込まれた状態となっているため、このようなスピーカの前面から放出される音響信号の位相と背面から放出される音響信号の位相とは互いに反転した状態となっている。Here, rFmn represents the distance [m] from the first part of the mth acoustic output element to the nth control point, and rRmn represents the nth control point from the second part of the mth acoustic output element. Distance [m] is shown. ΑF and αR are positive constants. Note that the sign of the two items in Expression (7) is negative because the phase of the first acoustic signal and the phase of the second acoustic signal are inverted. As a specific example of such a dual sound source element, for example, there is a speaker that is not contained in an enclosure (speaker box). In this case, for example, the central part of the acoustic signal emission surface (front surface) of the speaker is the first part, and the central part of the back surface is the second part. Normally, the state in which the speaker diaphragm is pushed to the front side is the state in which the diaphragm is pushed to the front side when viewed from the back side, so that an acoustic signal emitted from the front side of such a speaker And the phase of the acoustic signal emitted from the back surface are mutually inverted.
そして、以上のように設定された各音響出力素子から各制御点までの各距離を用いて各近似伝達関数を算出し、各音響出力素子から出力される各音響信号を、各音響出力素子から各制御点までの各近似伝達関数で畳み込んで各制御点でそれぞれ混合した場合に、当該畳み込み混合信号が、各音響出力素子が並べられた軸方向に設定された音響再生領域の制御点で否零となり、当該音響再生領域を除く音響遮断領域の制御点で零となるようにフィルタ係数を設定することで、所望の指向特性を持つ音響出力素子アレイを実現できる。 Then, each approximate transfer function is calculated using each distance from each acoustic output element set as described above to each control point, and each acoustic signal output from each acoustic output element is calculated from each acoustic output element. When convolved with each approximate transfer function up to each control point and mixed at each control point, the convolution mixed signal is the control point of the sound reproduction region set in the axial direction where each sound output element is arranged. By setting the filter coefficient so that it becomes zero and becomes zero at the control point of the sound blocking area excluding the sound reproduction area, an acoustic output element array having desired directivity characteristics can be realized.
このように、本形態では、音響信号を放射したい方向に音響出力素子アレイの軸を配置し、さらにその軸に対して各音響出力素子の指向特性が軸対称になるように配置し、さらに仮想的に制御点を配置することで、制御点に実際にマイクロホンを配置し、マイクロホンでの観測結果を用いて音響出力素子と制御点の問の伝達関数を設定する必要がなくなり、式を計算するだけで容易に所望の指向特性を実現するフィルタ係数を求めることができる。つまり、実際に空間に制御点を配置することなく、仮想的な制御点の配置によってフィルタ係数を決定できるため、マイクロホンの設置などの煩わしい作業から開放される。 As described above, in this embodiment, the axis of the acoustic output element array is arranged in the direction in which the acoustic signal is desired to be radiated, and the directional characteristics of each acoustic output element are axisymmetric with respect to the axis. By placing control points on the fly, there is no need to actually place a microphone at the control point and use the observation results with the microphone to set the transfer function between the acoustic output element and the control point. It is possible to easily obtain a filter coefficient that realizes a desired directivity characteristic. That is, the filter coefficient can be determined by the placement of virtual control points without actually placing the control points in the space, thereby freeing from troublesome work such as microphone installation.
〔第1実施形態〕
次に、本発明の第1実施形態について説明する。本形態は、本発明を指向性スピーカに適用した実施形態である。[First Embodiment]
Next, a first embodiment of the present invention will be described. This embodiment is an embodiment in which the present invention is applied to a directional speaker.
<配置構成>
図3は、第1実施形態の音響出力素子アレイ100を構成する音響出力素子及び制御点の配置を説明するための図であり、図4は、第1実施形態の音響出力素子アレイ100の構成を説明するための構成図である。<Arrangement configuration>
FIG. 3 is a diagram for explaining the arrangement of the sound output elements and control points constituting the sound
図3に示すように、本形態では、音響出力素子アレイ100の軸21に対して垂直方向に音響信号を出力するのではなく、音響出力素子アレイ100の軸21方向に受聴者16がおり、この音響出力素子アレイ100の軸21方向に音響信号を出力し、それ以外の方向では音響信号を抑圧する。すなわち、本形態の音響出力素子アレイ100は、軸21方向の受聴者16側に設定された音響再生領域15に音響信号を放出し、当該音響再生領域15を除く音響遮断領域22で音響信号を抑圧する。 As shown in FIG. 3, in this embodiment, a
そのために、本形態では、軸21上に複数(図3,4の例では4個)の音響出力素子1
2を並べ、これらの各指向特性が当該軸21に対して軸対称となる向きに各音響出力素子12を配置する。本形態では、例えば、音響信号の放出軸に対して軸対称な指向特性を持つ音響出力素子12(例えば、スピーカ)を複数用い、これらの各音響信号の放出軸がそれぞれ軸21上に配置され、さらに、各音響出力素子12の音響信号放出面が受聴者16側を向くように配置される(図3参照)。また、各音響出力素子12の性能は互いに同一であり、これらは軸21上に同一の間隔或いは不等間隔で配置される。Therefore, in this embodiment, a plurality of (four in the examples of FIGS. 3 and 4)
The
また、本形態では、各音響出力素子が並べられた軸21方向の受聴者16側に音響再生領域15を設定し、音響再生領域15の軸21上に制御点13(強調制御点)を設定する。これにより、上述のように配置された各音響出力素子12は、供給された各供給信号に応じた音響信号の少なくとも一部を音響再生領域15に向けて出力することになる。 In this embodiment, the
さらに、本形態では、音響再生領域15を除く領域に音響遮断領域22を設定し、この音響遮断領域22に、複数の制御点14(抑圧制御点)を設定する。ただし、音響遮断領域22の各制御点14は、各音響出力素子12が並べられた軸21に対して軸対称となる点の組うち一方の点にのみ設定される。図3の例では、軸21上に配置された音響出力素子12列の中心点を中心とし、制御点13を通る円の円周と軸21との音響遮断領域22での交点、及び、軸21を境界とした一方側(図3の左側)の音響遮断領域22の当該円周上のみに7個の仮想的な制御点14が配置される。 Furthermore, in this embodiment, the
また、図4に示すように、上述のように配置された複数の音響出力素子12には、これらに供給信号を供給する信号供給部110が電気的に接続される。信号供給部110は、各音響出力素子12にそれぞれ対応する互いに独立なディジタルフィルタ111、アンプ112、D/A変換機113及びA/D変換機114と、アナログ信号が入力される信号入力端子115とを具備し、各ディジタルフィルタ111を用いて生成した各供給信号を、それぞれに対応する音響出力素子に供給する。 Further, as shown in FIG. 4, a
<フィルタ係数設定方法>
次に、上記の各ディジタルフィルタ111のフィルタ係数を設定する方法について説明する。ここでは、図4に例示するように、各音響出力素子12が音響出力素子アレイ100の軸21上にs[m]間隔で受聴者13の方向に向けて配置され、軸21上に配置された音響出力素子12列の中心点からL[m]の距離の位置に音響再生領域15の制御点13(強調制御点)及び音響遮断領域22の各制御点14(抑圧制御点)が配置されているものとする。また、図4における各音響出力素子12を上から順番にm=1,...,M(Mは音響出力素子12の総数、図4の例ではM=4)にそれぞれ対応する音響出力素子とし、制御点13をn=1に対応する制御点とし、各制御点14を上から順番にn=2,...,N(Nは制御点の総数、図4の例ではN=8)にそれぞれ対応する制御点とする。また、図4において、音響出力素子12列の中心点とn番目の制御点とを結ぶ直線と、軸21とがなす角度θnを、各音響出力素子の正面方向を0度として定義する(θ1=0)。この場合、m番目の音響出力素子12からn番目の制御点までの距離は、
Next, a method for setting the filter coefficient of each
次に、以下の方程式を満たすフィルタ係数Hm(ω)(m=1,...,M)を求める。
ここで、式(9)の一番上の行の要素は制御点13(強調制御点)に対応する要素であり、上から2〜N番目の要素は各制御点14(抑圧制御点)に対応する要素である。すなわり、式(9)は、各音響出力素子(m=1,...,M)からそれぞれ出力される各音響信号Hm(ω)を、各近似伝達関数Gmn(ω)で畳み込んで各制御点でそれぞれ混合した場合に、当該畳み込み混合信号が、各音響出力素子12が並べられた軸方向に設定された音響再生領域15の制御点(n=1)で否零となり、当該音響再生領域15を除く音響遮断領域22の制御点(n=2,...,M)で零となることを示している。なお、各音響信号
Hm(ω)は、各ディジタルフィルタ111に同一のインパルスが入力された場合の出力信号系列のz変換を意味している。そのため、このような関係を満たすHm(ω)をm番目の音響出力素子12に対応するディジタルフィルタ11のフィルタ係数とすれば、制御点13(強調制御点)で音響信号が再生され、各制御点14(抑圧制御点)で音響信号が抑圧される指向特性が実現できる。Here, the element in the top row of the equation (9) is an element corresponding to the control point 13 (emphasis control point), and the 2nd to Nth elements from the top are each control point 14 (suppression control point). Corresponding element. In other words, the equation (9) is obtained by converting each acoustic signal Hm (ω) output from each acoustic output element (m = 1,..., M) by each approximate transfer function Gmn (ω). When convolution is performed and mixing is performed at each control point, the convolution mixed signal becomes non-zero at the control point (n = 1) of the
なお、上述のように各音響出力素子から各制御点までを自由空間と近似し、Gmn(ω)を簡略化できた結果、Nの数がMに比べて大きくても小さくても、ある程度適切な指向特性を実現できる。しかし、指向特性を最適化するためには、N+1≦Mであることが望ましい。また、Lは、再生したい周波数帯域の下限周波数の波長よりも大きいことが望ましいが、その半分以上でも構わない。また、各角度θnの間隔(θnとθn-1との差)は、Lにもよるが10〜45度の間であればよい。In addition, as described above, each sound output element to each control point is approximated as a free space, and Gmn (ω) can be simplified. As a result, even if the number of N is larger or smaller than M, to some extent Appropriate directivity can be achieved. However, in order to optimize directivity, it is desirable that N + 1 ≦ M. L is preferably larger than the wavelength of the lower limit frequency of the frequency band to be reproduced, but may be half or more. Further, although the interval between the angles θn (difference between θn and θn−1 ) depends on L, it may be between 10 and 45 degrees.
また、音響再生領域15の少なくとも一部の制御点13で、畳み込み混合信号の値が周波数に応じて変化するフィルタ係数が設定する構成でもよい。この場合には、式(9)の代わりに、以下の方程式を満たすフィルタ係数Hm(ω)(m=1,...,M)を求める。
なお、D(ω)は周波数ωに依存して異なる値をとる関数である。
Note that D (ω) is a function that takes different values depending on the frequency ω.
さて、上記式(9)又は(10)をG・H=Rとおくと、音響出力素子アレイ100に接続されたディジタルフィルタ11の各フィルタ係数Hm(ω)は、以下の式で求められる。なお、αTはαの転置行列を示す。
H=GT・(GT・G)−1・R …(11)
また、逆行列が不安定にならないように、GT・Gの最大固有値に比べて小さな正の定数をδとしたとき、以下の式で代用して各フィルタ係数Hm(ω)を求めても良い。ただし、IはM×Mの単位行列である。
H=GT・(GT・G+δ・I)−1・R …(12)
また、式(9)(10)は単なる例示であり、強調制御点の数は2以上でもよいし、これらの式の強調制御点に対応する右辺の要素として式(9)(10)以外の値や関数を用いてもよい。Now, if the above equation (9) or (10) is set to G · H = R, each filter coefficient Hm (ω) of the
H = GT · (GT · G)−1 · R (11)
Also, as the inverse matrix does not become unstable when a small positive constant compared to the maximum eigenvalue of G T· G [delta], seeking a substitute to the filter coefficient Hm (ω) by the following formula Also good. Here, I is an M × M unit matrix.
H = G T · (G T · G + δ · I) -1 · R ... (12)
Expressions (9) and (10) are merely examples, and the number of emphasis control points may be two or more, and elements other than expressions (9) and (10) may be used as elements on the right side corresponding to the emphasis control points of these expressions. Values and functions may be used.
<音響信号出力処理>
次に、音響出力素子アレイ100の音響信号出力処理について説明する。
まず、信号入力端子115から再生音声に対応するアナログ信号が入力される。入力されたアナログ信号は各A/D変換機114でディジタル信号に変換され、上述のようにフィルタ係数が設定された各ディジタルフィルタ111に入力される。各ディジタルフィルタ111は、入力された各ディジタル信号を所望の指向特性を実現するための各供給信号に変換し、それらをそれぞれ各D/A変換機113に出力する。各D/A変換機113はそれらをアナログ信号に変換して各アンプ121に入力し、各アンプ121はそれらを増幅して各音響出力素子12に供給する。そして、各音響出力素子12は、それぞれ、入力信号に応じた音響信号を出力する。<Sound signal output processing>
Next, acoustic signal output processing of the acoustic
First, an analog signal corresponding to reproduced sound is input from the
<実測結果>
次に、上述のように構成した本形態の音響出力素子アレイ100の指向特性の実測結果を例示する。
図5は、本形態の音響出力素子アレイ100の指向特性の実測結果を例示するグラフである。ここでは、上方を受聴者13の方向とし、この方向を角度0度とし、反時計方向に90度、180度とし、22.5度おきに音響出力素子アレイ100の中心から50cm離れた点において音圧を測定した。また、ここでは、音響出力素子12の間隔sを0.048m(4.8cm)とし、Lを0.5m(50cm)とし、仮想的な制御点13(強調制御点)が角度θ1=0°の位置にあるとし、仮想的な各制御点14(抑圧制御点)がそれぞれ角度θ2=45°, θ3=67.5°, θ4=90°, θ5=112.5°, θ6=135°, θ7=157.5°, θ8=180°の位置にあるものとする。また、音速cは、室温Tを摂氏24度と仮定して、
c=33l.5+0.61T …(13)
により算出した。そして、これらの値を式(8)に代入することで、各距離rmnを算出し、近似伝達関数Gmn(ω)を式(6)により計算し、式(9)の方程式を満たすHm(ω)をm番目の音響出力素子12に対応するディジタルフィルタ11のフィルタ係数として算出した。<Measurement results>
Next, the measurement result of the directional characteristics of the acoustic
FIG. 5 is a graph illustrating the measurement result of the directivity of the acoustic
c = 331.5 + 0.61T (13)
Calculated by Then, by substituting these values into equation (8), each distance rmn is calculated, approximate transfer function Gmn (ω) is calculated by equation (6), and H satisfying the equation of equation (9)m (ω) was calculated as the filter coefficient of the
また、図5では、同心円状に広がる破線の中心が最も低い音圧値を示し、外に広がるほど高い音圧値を示している。また、この破線間隔は10dBの音圧差を示している。また、図5の実線は上述のように音響出力素子アレイ100の中心から50cm離れた点において測定された音圧値を示す。図5に示すように、前方(受聴者13方向、0度)に比べて側面(90度、270度)や後方(180度)において15dB以上抑圧効果が高く、結果として受聴者13にのみ音が到達し、その他の方向には音が聞こえにくいという指向特性を持つ音響出力素子アレイ100が形成されていることがわかる。 Further, in FIG. 5, the center of the broken line extending concentrically indicates the lowest sound pressure value, and the sound pressure value increases as it spreads outward. The interval between the broken lines indicates a sound pressure difference of 10 dB. 5 indicates the sound pressure value measured at a point 50 cm away from the center of the acoustic
ただし、斜め後方(135度、225度)と後方(180度)の抑圧効果を比較すると、後方の抑圧量が少ない。後方の音圧が斜め後方よりも7dB程度大きく、後方への音漏れがある。そこで、この後方の抑圧量を増やす工夫をした第2実施形態を次に説明する。 However, when the suppression effect of diagonally backward (135 degrees, 225 degrees) and backward (180 degrees) is compared, the amount of backward suppression is small. The sound pressure in the rear is about 7 dB larger than the oblique rear, and there is a sound leak in the rear. Therefore, a second embodiment in which the rear suppression amount is increased will be described next.
〔第2実施形態〕
第2実施形態は、式(14)に示すように、フィルタ係数を求める時に各制御点の数Nに対応する重み係数(a1,a2,…,aN)を乗算するようにしたものである。
In the second embodiment, as shown in the equation (14), weight coefficients (a1 , a2 ,..., AN ) corresponding to the number N of control points are multiplied when obtaining the filter coefficients. It is.
式(14)において、行列の行の上から順番に音響出力素子が並べられた軸正面(0度)から後方(180度)の方向に対応しているとすると、後方への音漏れを少なくするためには、重み係数がa1<a2<…<an−1であることが望ましい。式(14)をAGH=ARと置き、最小自乗法により誤差を最小にするフィルタ係数Hは式(15)で求められる。
H=(GT・ATAG)−1GT・ATA・R …(15)In Equation (14), assuming that the acoustic output elements are arranged in order from the top of the matrix row and correspond to the direction from the front (0 degrees) to the rear (180 degrees), the sound leakage to the rear is reduced. to desirably weighting factor isa 1 <a 2 <... < a n-1. The filter coefficient H that minimizes the error by the least square method is obtained by the expression (15) by setting the expression (14) as AGH = AR.
H = (G T · A T AG) -1 G T · A T A · R ... (15)
式(14)において、最後の行を音響出力素子アレイ100の180度の制御点をコントロールするための式であるとする。そして、例えば、an=1(n=1からN−1まで)、an=3(n=N)とし、音響出力素子12の数をM=4としてフィルタ係数を求める。つまり、音響出力素子12が同一軸上に並べられた音響遮断領域の当該軸上の制御点に対応する重み係数を最大に設定する。In Equation (14), the last row is assumed to be an equation for controlling the 180-degree control point of the acoustic
その重み係数を乗算して求めたフィルタ係数H1〜H4を、第1実施形態のディジタルフィルタ111のフィルタ係数として測定した指向特性を図6に示す。図6は、上記した音響出力素子アレイ100の指向特性の実験結果を例示した図5と基本的に同じ図であるが、音圧の測定点が異なる。図6では、音響出力素子アレイ100の中心から1.0mの距離の音圧を、反時計方向に15度置きに測定している。FIG. 6 shows directivity characteristics obtained by measuring the filter coefficients H1 to H4 obtained by multiplying the weight coefficients as the filter coefficients of the
図6中に一点鎖線で示す特性は、1個の音響出力素子(単一のスピーカ)での特性である。破線で示す特性は、重み係数を用いない音響出力素子アレイ100の指向特性である。これらの特性に対して重み係数aN=3とした時の指向特性を実線で示す。0度を中心とした音響再生領域(例えば0±30度の範囲)における指向特性は変化が無いのに対して、後方(180度)の音圧を約4dB抑圧している。The characteristic indicated by the alternate long and short dash line in FIG. 6 is the characteristic of one acoustic output element (single speaker). A characteristic indicated by a broken line is a directivity characteristic of the acoustic
図7に、更に重み係数aN=8とした時の指向特性を示す。この時のn=1からN−1までの重み係数anはan=1である。後方(180度)の音圧を更に約2dB抑圧しているが、斜め後方(120度、240度)の音圧が増えている。そこで、斜め後方の音圧を増加させない目的で、重み係数を、a1=1,a2=1,a3=2,a4=4,a5=6,a6=8,a7=10,a8=12とした場合の指向特性を図8に示す。斜め後方の音圧を、重み係数を用いない場合の指向特性(破線)よりも小さくすることが出来た。しかし、その分、斜め前方(60度、330度)方向の音圧が約6dB増加し、指向特性の全体の幅が広がる特性を示す。FIG. 7 shows the directivity characteristics when the weight coefficient aN = 8. Weighting coefficienta n from n = 1 at this time to N-1 isa n = 1. The sound pressure at the rear (180 degrees) is further suppressed by about 2 dB, but the sound pressure at the oblique rear (120 degrees, 240 degrees) is increased. Therefore, for the purpose of not increasing the sound pressure behind the diagonal, the weighting coefficients are a1 = 1, a2 = 1, a3 = 2, a4 = 4, a5 = 6, a6 = 8, a7 = FIG. 8 shows the directivity characteristics when 10, a8 = 12. The sound pressure behind the diagonal can be made smaller than the directivity (dashed line) when the weighting factor is not used. However, the sound pressure in the diagonally forward (60 degrees, 330 degrees) direction increases by about 6 dB, and the entire width of the directional characteristics is widened.
このように音響遮断領域の制御点の数Nに対応する重み係数(a1,a2,…,aN)によって、音響出力素子アレイ100の指向特性を制御することが可能である。
また、式(15)に示すように厳密解ではなく最小自乗法によってフィルタ係数Hを求めた場合、強調制御点での特性が1になることが保障されない。そのため音響出力素子アレイ100の音色が、単一のスピーカの音色と異なってしまう場合がある。As described above, the directivity characteristics of the acoustic
Further, when the filter coefficient H is obtained by the least square method instead of the exact solution as shown in the equation (15), it is not guaranteed that the characteristic at the emphasis control point becomes 1. Therefore, the timbre of the acoustic
そこで、単一のスピーカと同じ音色の音声を補償する目的で、補正フィルタF(ω)を導入する方法が考えられる。それは、式(16)に示すように最終的なフィルタ係数HmFを補正フィルタF(ω)によって補正された特性とする考えである。この場合、補正フィルタF(ω)は式(17)を満たす補正フィルタF(ω)を用いる。添え字のFは最終(Fianl)を意味する。
HmF(ω)=F(ω)Hm(ω)…(16)
HmF (ω) = F (ω) Hm (ω) (16)
この補正フィルタF(ω)により、例えば強調制御点n=1における畳み込み混合信号の特性が1になるように補正される。図9に補正フィルタF(ω)の効果を表す音響出力素子アレイ100が出力する音圧の周波数特性を示す。図9は、音響出力素子アレイ100の正面、つまり音を再生したい方向での音の周波数特性を示す。横軸は周波数(kHz)であり、縦軸は音圧(dB)である。 By this correction filter F (ω), for example, the characteristic of the convolution mixed signal at the emphasis control point n = 1 is corrected to be 1. FIG. 9 shows the frequency characteristics of the sound pressure output from the acoustic
図9中に細線で示す特性が単一のスピーカの周波数特性である。点線が最小自乗法で求めたフィルタ係数を用いた音響出力素子アレイ100の周波数特性である。1.5kHz〜3KHzにおける音圧が、単一のスピーカの特性より約0.25dB高めに出ている。つまり、音響出力素子アレイ100と、単一のスピーカとで音色が異なっている。 The characteristic indicated by the thin line in FIG. 9 is the frequency characteristic of a single speaker. The dotted line is the frequency characteristic of the acoustic
この細線の特性に対して補正フィルタF(ω)を用いた特性を太線で示す。太線の特性は、点線の特性とほぼ等しい周波数特性を示すことが分かる。このように補正フィルタF(ω)により、強調制御点n=1における畳み込み混合信号の特性を1になるように補正することで、この発明の音響出力素子アレイ100の音を単一のスピーカの音とほぼ同じ音色にすることが出来る。なお、畳み込み混合信号の特性を1にするように補正する制御点は任意の制御点でかまわない。 A characteristic using the correction filter F (ω) with respect to the characteristic of the thin line is indicated by a thick line. It can be seen that the characteristic of the thick line shows a frequency characteristic substantially equal to the characteristic of the dotted line. As described above, the correction filter F (ω) corrects the convolution mixed signal characteristic at the emphasis control point n = 1 to be 1, so that the sound of the acoustic
〔第3実施形態〕
実施形態1の音響遮断領域における音圧の抑圧効果は、最大で15dB程度であった。例えば、複数の人が集まる公共の場でスピーカを使って、特定の個人にのみガイダンスを聞かせたい場合や、その人のみに対して操作説明等を行う場面を想定すると、15dB程度の抑圧効果では不十分な場合も有りえる。[Third Embodiment]
The effect of suppressing the sound pressure in the sound blocking area of the first embodiment was about 15 dB at the maximum. For example, in a public place where multiple people gather, if you want to give guidance only to a specific individual using a speaker, or if you want to explain the operation to only that person, the suppression effect is about 15 dB. It may be insufficient.
そこで、第3実施形態として、受聴者に聞かせるための再生音の他に、受聴者以外には再生音が聞こえなくなるような妨害音を生成するようにした例を説明する。第3実施形態の音響出力素子アレイ900の機能構成例を図10に示す。 Therefore, as a third embodiment, an example will be described in which, in addition to the reproduced sound to be heard by the listener, a disturbing sound is generated so that the reproduced sound cannot be heard by anyone other than the listener. An example of the functional configuration of the acoustic
音響出力素子アレイ900は、信号供給部910に、加算器群911と、第2ディジタルフィルタ群912と、A/D変換機913と、入力端子914とが追加されている点が、実施形態1の音響出力素子アレイ100の構成と異なる。実施形態1の再生音信号が入力されるディジタルフィルタ111を、ここでは第2ディジタルフィルタ912と区別する目的で第1ディジタルフィルタ群111と称する。第1ディジタルフィルタ群111には、前記した音響再生領域の制御点で否零となり、音響遮断領域の制御点で零となるフィルタ係数が設定される。なお、以降では複数を意味する群の文言は省略して説明する。 The acoustic
第2ディジタルフィルタ912は、第1ディジタルフィルタ111と同様に音響出力素子12と同じ数設けられる。この例では4個の第2ディジタルフィルタ912が設けられる。各第2ディジタルフィルタ912には、入力端子914に入力されるアナログ信号の妨害音信号をA/D変換機913でディジタル信号に変換した信号が入力される。 Similar to the first
第2ディジタルフィルタ912のフィルタ係数Pm(ω)の設定方法について説明する。妨害音は、音響再生領域内の受聴者には聞こえず、音響遮断領域内で聞こえることが望ましい。そこで、音響再生領域内の制御点を抑圧制御点に、音響遮断領域内の制御点を強調制御点に設定する。その例を図11に示す。図11では、スピーカアレイの軸から90度未満の角度に位置する3個の制御点を抑圧制御点に、90度〜180度の角度に位置する3個の制御点を強調制御点に設定している。A method for setting the filter coefficient Pm (ω) of the second
このように制御点を設定することで、フィルタ係数Pm(ω)は、式(18)で記述することが出来る。
式(18)において、上から3行は抑圧制御点に対応し、下の3行が強調制御点に対応している。抑圧と強調の各制御点は、実現したい指向特性に合わせて任意に設定することが可能である。式(18)をG・P=Rと置き、最小自乗法により誤差を最小にするフィルタ係数Pは、式(19)又は式(20)で求められる。
P=GT・(GT・G)−1・R … (19)
P=GT・(GT・G+δI)−1・R … (20)
ここでαTはαの転置行列、δは小さな正の定数、IはM×Mの単位行列である。In Expression (18), the top three lines correspond to suppression control points, and the bottom three lines correspond to emphasis control points. Each control point of suppression and emphasis can be arbitrarily set according to the directivity to be realized. The filter coefficient P that minimizes the error by the method of least squares with Equation (18) as G · P = R is obtained by Equation (19) or Equation (20).
P = GT · (GT · G)−1 · R (19)
P = GT · (GT · G + δI)−1 · R (20)
Here, αT is a transposed matrix of α, δ is a small positive constant, and I is an M × M unit matrix.
式(18)に示すように各制御点を配置し、音響出力素子12の個数を4個とした条件で求めたフィルタ係数P1(ω),P2(ω),P3(ω),P4(ω)を、4個の第2ディジタルフィルタ912にそれぞれ設定した音響出力素子アレイ900の指向特性を図12に示す。図12は、前記した図5と同じグラフに、実線で再生音、破線で妨害音を示す。受聴者が居る0度の方向に対しては、再生音が0dB、妨害音が−17dBで再生される。つまり、再生音信号がS/N比17dBで聞こえることになる。As shown in the equation (18), the control points are arranged, and the filter coefficients P1 (ω), P2 (ω), P3 (ω), obtained under the condition that the number of the
一方、60度の方向では、再生音信号が−15dB、妨害音信号が−7dBと、再生音信号のS/N比が−8dBとなる。この方向では大きな妨害音の中で再生音信号を聞くことになり、ほぼ再生音信号が聞こえなくなる。また、90度(側面)や180度(背面)方向では、−15dB以上のS/N比で妨害音信号の音圧が大きいので再生音信号を聞くことが出来ない。このように第3実施形態によれば、妨害音信号を用いることで音声遮断領域における再生音信号の抑圧効果をより高めることが可能になる。 On the other hand, in the direction of 60 degrees, the reproduced sound signal is −15 dB, the disturbing sound signal is −7 dB, and the S / N ratio of the reproduced sound signal is −8 dB. In this direction, the reproduced sound signal is heard in a large disturbance sound, and the reproduced sound signal is almost inaudible. In the 90 ° (side) and 180 ° (back) directions, the reproduced sound signal cannot be heard because the sound pressure of the interfering sound signal is high at an S / N ratio of −15 dB or more. As described above, according to the third embodiment, it is possible to further enhance the effect of suppressing the reproduced sound signal in the sound blocking area by using the disturbing sound signal.
再生音信号を例えば人が会話する音声とした場合、その振幅は、周波数に反比例した特性となる。その場合に、妨害音信号を白色雑音とすると再生音信号のS/N比が低い場合でも、再生音信号が聞き取れてしまう場合がある。 When the reproduced sound signal is, for example, a voice in which a person talks, the amplitude has a characteristic inversely proportional to the frequency. In this case, if the disturbing sound signal is white noise, the reproduced sound signal may be heard even when the S / N ratio of the reproduced sound signal is low.
図13に再生音信号と妨害音信号の周波数特性の例を模式的に示す。図13の横軸は周波数、縦軸は振幅である。図13(a)に人の声を再生音信号とした場合の周波数特性を実線で、白色雑音の妨害音信号を破線で表す。この場合は、妨害音信号の振幅は周波数が変わっても一様なので、受聴者の位置によっても異なるが、再生音信号の振幅が妨害音信号の振幅を上回る状況が発生し易くなる。その結果、音声遮断領域内でも再生音信号が聞こえ易くなってしまう。 FIG. 13 schematically shows an example of frequency characteristics of the reproduction sound signal and the interference sound signal. In FIG. 13, the horizontal axis represents frequency and the vertical axis represents amplitude. In FIG. 13A, the frequency characteristic when a human voice is a reproduced sound signal is represented by a solid line, and the white noise interference sound signal is represented by a broken line. In this case, since the amplitude of the interference sound signal is uniform even if the frequency changes, the situation where the amplitude of the reproduced sound signal exceeds the amplitude of the interference sound signal is likely to occur although it varies depending on the position of the listener. As a result, it becomes easy to hear the reproduced sound signal even in the sound blocking area.
そこで、妨害音信号の周波数特性を、再生音信号と同じ傾向の特性にする方法が考えられる。妨害音信号を、高い周波数の振幅が漸減する周波数振幅特性を持ついわゆるピンクノイズとすることで、音響遮断領域における再生音信号の抑圧性能をより向上させられる。 Therefore, a method is conceivable in which the frequency characteristic of the interfering sound signal is made to have the same tendency as that of the reproduced sound signal. By making the interference sound signal so-called pink noise having a frequency amplitude characteristic in which the amplitude of a high frequency gradually decreases, the suppression performance of the reproduced sound signal in the sound cutoff region can be further improved.
その様子を図13(b)に示す。妨害音信号をピンクノイズにすることで、再生音信号の振幅が妨害音信号の振幅を上回ることが無くなり、音響遮断領域内において再生音信号を更に聞き難くすることが出来る。なお、再生音信号の周波数振幅特性が、逆に高い周波数で振幅が増加する特性の場合は、妨害音信号の周波数振幅特性を同じ傾向の特性とすることで、同様の効果を得ることが可能である。 This is shown in FIG. By making the interfering sound signal pink noise, the amplitude of the reproduced sound signal does not exceed the amplitude of the interfering sound signal, and the reproduced sound signal can be made more difficult to hear in the sound cutoff region. If the frequency amplitude characteristic of the reproduced sound signal is a characteristic that the amplitude increases at a high frequency, the same effect can be obtained by making the frequency amplitude characteristic of the interfering sound signal have the same tendency. It is.
好適な妨害音信号としては、発話内容の異なる音声を複数録音した音声を加算した信号等が考えられる。また、音響遮断領域内では、BGM(Back Ground Music)としても使える歌声や音楽等でも良い。 As a suitable interfering sound signal, a signal obtained by adding sounds obtained by recording a plurality of sounds having different utterance contents can be considered. In the sound blocking area, singing voice or music that can be used as BGM (Back Ground Music) may be used.
また、第3実施形態の変形例として、再生音信号の時間包絡特性に、妨害音信号の時間包絡特性を合わせる方法も考えられる。図14に、その変形例の機能構成例を示す。変形例の信号供給部910′は、妨害音生成部141を備える点で、第3実施形態と異なる。妨害音生成部141は、再生音信号と同一の時間包絡特性の妨害音を生成して第2ディジタルフィルタ912に供給するものである。 As a modification of the third embodiment, a method of matching the time envelope characteristic of the disturbing sound signal with the time envelope characteristic of the reproduced sound signal is also conceivable. FIG. 14 shows a functional configuration example of the modification. The
妨害音信号生成部141は、入力されるディジタル値の再生音信号を自乗して時間平均を計算し、その平方根を求めて再生音信号の時間包絡特性を抽出する。そして、その時間包絡特性に、例えば白色雑音を乗算して妨害音信号を生成する。このようにして生成された妨害音信号の時間包絡特性は、再生音信号のそれと同じになる。したがって、その妨害音信号は、音声遮断領域において再生音信号を聞き難くすることが出来る。なお、白色雑音に換えてピンクノイズを用いても良い。 The interference sound
〔第4実施形態〕
次に、本発明の第4実施形態について説明する。
本形態は、通信会議システムのように通信端末装置間で相互音声通信を行う場合に使用されるハンズフリー装置に本発明を適用した実施形態である。なお、以下では、これまで説明した内容との相違点を中心に説明する。[Fourth Embodiment]
Next, a fourth embodiment of the present invention will be described.
This embodiment is an embodiment in which the present invention is applied to a hands-free device used when performing mutual voice communication between communication terminal devices as in a communication conference system. In the following description, differences from the contents described so far will be mainly described.
図15は、第3実施形態の音響出力素子アレイ200の構成を示す構成図である。
図15に示すように、本形態の音響出力素子アレイ200は、複数の音響出力素子12と、互いに独立なディジタルフィルタ111を含む信号供給部110と、音響遮断領域に配置された音声通信用の受音素子263(例えば、マイクロホン)と、エコーキャンセラ266と、入力端子264と、出力端子265とを有する。なお、図15では、信号供給部110が具備するアンプ112、D/A変換機113、A/D変換機114の記載を省略する。FIG. 15 is a configuration diagram showing the configuration of the acoustic
As shown in FIG. 15, the acoustic
ここで、複数の音響出力素子12は、第1実施形態と同様に、同一軸上に並べられ、各指向特性が当該軸に対して軸対称となる向きに配置される。しかし、各音響出力素子12は、各音響出力素子12の音響信号放出面が受聴者261側を向くように配置されるのではなく、これらが水平面と垂直な上方を向くように配置される。すなわち、各音響出力素子12が並べられる軸は、地面に対して垂直な軸であり、各音響出力素子12は、それぞれの音響信号放出面を地面と反対の方向に向けて配置される(図15参照)。なお、「垂直」とは数学的に厳密な垂直だけではなく、実用上同様な作用効果を得ることが可能な略垂直をも含む概念である。 Here, similarly to the first embodiment, the plurality of
また、信号供給部110の構成は、第1実施形態と同様でよく、各音響出力素子12の配置に応じ、音響再生領域を各音響出力素子12の上方に設定し、それを除く領域に音響抑圧領域を設定して、各仮想的な制御点を設定し、第1実施形態と同様に、ディジタルフィルタ111のフィルタ係数を設定すればよい。また、音声通信用の受音素子263は、音響遮断領域に配置されるが、この設置位置を音響遮断領域の仮想的な制御点としてフィルタ係数を設定することがより望ましい。 The configuration of the
本形態の音響出力素子アレイ200の場合、受聴者261から発せられた音声は、受音素子263に受音され、電気信号に変換されてエコーキャンセラ266を通じて出力端子265から出力され、通信相手の装置へ送信される。一方、通信相手の装置から送信された送信信号は、エコーキャンセラ266の処理に利用されるとともに、信号入力端子115に入力される。信号入力端子115は、第1実施形態と同様に各ディジタルフィルタ111を用いて各供給信号を生成し、生成した各供給信号を対応する各音響出力素子12に供給し、各音響出力素子12はこれに応じた音響信号を放出する。 In the case of the acoustic
このような音響出力素子アレイ200の場合、指向特性は、上向きとなるため、受聴者261は、音響信号が放出される領域から側面方向にもれた音を聴くことになる。この場合、音響出力素子アレイ200の近くでは音は十分聞こえるが、離れると聞こえなくなるため、結果としてある特定の領域内のみで音が再生されることになり、周囲に音漏れがない会議装置を形成することが可能となる。 In the case of such an acoustic
また、受聴者261の声を拾うための受音素子263を音響出力素子アレイ200の音響遮断領域に配置することで、各音響出力素子12から放出された音響信号が受音素子263に入るエコー信号を抑制することができ、結果的に後段のエコーキャンセラ266の負荷を軽減させることが期待できる。 In addition, by arranging the
図16は、第3実施形態の音響出力素子アレイ200の指向特性と、各音響出力素子12、受音素子263,267及び受聴者261,262の配置とを重ねた図である。なお、受音素子267は、受音素子263と同様なものである。また、この図の表記は図5と同様であり、その指向特定は、仮想的な抑圧制御点をL=50cmで、角度90度、120度、150度、180度の4箇所としてフィルタ係数を定めた場合のものである。 FIG. 16 is a diagram in which the directivity characteristics of the acoustic
図16に示すように、音響出力素子アレイ200では、受聴者261,262の耳元には音が十分な音量で届くが、受音素子263,267の位置では音が小さいことがわかる。 As shown in FIG. 16, in the acoustic
なお、本発明は上述の実施の形態に限定されるものではない。例えば、上記の各実施形態では、ディジタルフィルタ111のフィルタ係数が事前計算によって設定される例を示した。しかし、音響出力素子と制御点との距離が動的に変化し、それらの距離情報を動的に得ることができる場合には、ディジタルフィルタ111のフィルタ係数を動的に設定し、指向特性を動的に変化させることとしてもよい。 The present invention is not limited to the embodiment described above. For example, in each of the above-described embodiments, the example in which the filter coefficient of the
また、上記の各実施形態では、音響出力素子アレイを構成する各音響出力素子を同一性能のものとしたが、音響出力素子アレイを構成する音響出力素子の一部が他の音響出力素子と異なる性能を持っていてもよい。例えば、音響出力素子アレイを構成する音響出力素子の一部が二重音源素子であり、他の音響出力素子が単音源素子であってもよい。 In each of the above embodiments, each acoustic output element constituting the acoustic output element array has the same performance, but some of the acoustic output elements constituting the acoustic output element array are different from other acoustic output elements. May have performance. For example, some of the sound output elements constituting the sound output element array may be double sound source elements, and the other sound output elements may be single sound source elements.
また、上記の各実施形態では、音響出力素子アレイを構成する各音響出力素子の各音響信号放出面が同一方向を向くように各音響出力素子を配置したが、音響出力素子アレイの軸に対して軸対称な指向特性を実現できるのであれば、一部の音響出力素子が他の音響出力素子と異なる向きを向いていてもよい。 In each of the above embodiments, each acoustic output element is arranged so that each acoustic signal emission surface of each acoustic output element constituting the acoustic output element array faces the same direction, but with respect to the axis of the acoustic output element array. As long as an axially symmetric directional characteristic can be realized, some of the sound output elements may face different directions from other sound output elements.
また、上述の各種の処理は、記載に従って時系列に実行されるのみならず、処理を実行する装置の処理能力あるいは必要に応じて並列的にあるいは個別に実行されてもよい。その他、本発明の趣旨を逸脱しない範囲で適宜変更が可能であることはいうまでもない。 In addition, the various processes described above are not only executed in time series according to the description, but may be executed in parallel or individually according to the processing capability of the apparatus that executes the processes or as necessary. Needless to say, other modifications are possible without departing from the spirit of the present invention.
本発明は、例えば、オーディオ信号を再生する音響機器、通信機器等に利用することができる。 The present invention can be used, for example, in audio equipment, communication equipment, and the like that reproduce audio signals.
| Application Number | Priority Date | Filing Date | Title |
|---|---|---|---|
| JP2008278457AJP2010109579A (en) | 2008-10-29 | 2008-10-29 | Sound output element array and sound output method |
| Application Number | Priority Date | Filing Date | Title |
|---|---|---|---|
| JP2008278457AJP2010109579A (en) | 2008-10-29 | 2008-10-29 | Sound output element array and sound output method |
| Publication Number | Publication Date |
|---|---|
| JP2010109579Atrue JP2010109579A (en) | 2010-05-13 |
| Application Number | Title | Priority Date | Filing Date |
|---|---|---|---|
| JP2008278457APendingJP2010109579A (en) | 2008-10-29 | 2008-10-29 | Sound output element array and sound output method |
| Country | Link |
|---|---|
| JP (1) | JP2010109579A (en) |
| Publication number | Priority date | Publication date | Assignee | Title |
|---|---|---|---|---|
| KR20160006708A (en)* | 2013-05-08 | 2016-01-19 | 울트라햅틱스 리미티드 | Method and apparatus for producing an acoustic field |
| US10268275B2 (en) | 2016-08-03 | 2019-04-23 | Ultrahaptics Ip Ltd | Three-dimensional perceptions in haptic systems |
| JP2019511888A (en)* | 2016-04-12 | 2019-04-25 | フラウンホッファー−ゲゼルシャフト ツァ フェルダールング デァ アンゲヴァンテン フォアシュンク エー.ファオ | Apparatus and method for providing individual sound areas |
| US10444842B2 (en) | 2014-09-09 | 2019-10-15 | Ultrahaptics Ip Ltd | Method and apparatus for modulating haptic feedback |
| US10497358B2 (en) | 2016-12-23 | 2019-12-03 | Ultrahaptics Ip Ltd | Transducer driver |
| US10531212B2 (en) | 2016-06-17 | 2020-01-07 | Ultrahaptics Ip Ltd. | Acoustic transducers in haptic systems |
| US10685538B2 (en) | 2015-02-20 | 2020-06-16 | Ultrahaptics Ip Ltd | Algorithm improvements in a haptic system |
| US10755538B2 (en) | 2016-08-09 | 2020-08-25 | Ultrahaptics ilP LTD | Metamaterials and acoustic lenses in haptic systems |
| US10818162B2 (en) | 2015-07-16 | 2020-10-27 | Ultrahaptics Ip Ltd | Calibration techniques in haptic systems |
| US10911861B2 (en) | 2018-05-02 | 2021-02-02 | Ultrahaptics Ip Ltd | Blocking plate structure for improved acoustic transmission efficiency |
| US10921890B2 (en) | 2014-01-07 | 2021-02-16 | Ultrahaptics Ip Ltd | Method and apparatus for providing tactile sensations |
| US10930123B2 (en) | 2015-02-20 | 2021-02-23 | Ultrahaptics Ip Ltd | Perceptions in a haptic system |
| US10943578B2 (en) | 2016-12-13 | 2021-03-09 | Ultrahaptics Ip Ltd | Driving techniques for phased-array systems |
| US11098951B2 (en) | 2018-09-09 | 2021-08-24 | Ultrahaptics Ip Ltd | Ultrasonic-assisted liquid manipulation |
| US11169610B2 (en) | 2019-11-08 | 2021-11-09 | Ultraleap Limited | Tracking techniques in haptic systems |
| US11189140B2 (en) | 2016-01-05 | 2021-11-30 | Ultrahaptics Ip Ltd | Calibration and detection techniques in haptic systems |
| US11360546B2 (en) | 2017-12-22 | 2022-06-14 | Ultrahaptics Ip Ltd | Tracking in haptic systems |
| US11374586B2 (en) | 2019-10-13 | 2022-06-28 | Ultraleap Limited | Reducing harmonic distortion by dithering |
| US11378997B2 (en) | 2018-10-12 | 2022-07-05 | Ultrahaptics Ip Ltd | Variable phase and frequency pulse-width modulation technique |
| US11531395B2 (en) | 2017-11-26 | 2022-12-20 | Ultrahaptics Ip Ltd | Haptic effects from focused acoustic fields |
| US11550395B2 (en) | 2019-01-04 | 2023-01-10 | Ultrahaptics Ip Ltd | Mid-air haptic textures |
| US11553295B2 (en) | 2019-10-13 | 2023-01-10 | Ultraleap Limited | Dynamic capping with virtual microphones |
| US11704983B2 (en) | 2017-12-22 | 2023-07-18 | Ultrahaptics Ip Ltd | Minimizing unwanted responses in haptic systems |
| US11715453B2 (en) | 2019-12-25 | 2023-08-01 | Ultraleap Limited | Acoustic transducer structures |
| US11816267B2 (en) | 2020-06-23 | 2023-11-14 | Ultraleap Limited | Features of airborne ultrasonic fields |
| US11842517B2 (en) | 2019-04-12 | 2023-12-12 | Ultrahaptics Ip Ltd | Using iterative 3D-model fitting for domain adaptation of a hand-pose-estimation neural network |
| US11886639B2 (en) | 2020-09-17 | 2024-01-30 | Ultraleap Limited | Ultrahapticons |
| US12373033B2 (en) | 2019-01-04 | 2025-07-29 | Ultrahaptics Ip Ltd | Mid-air haptic textures |
| Publication number | Priority date | Publication date | Assignee | Title |
|---|---|---|---|---|
| JPH05130700A (en)* | 1991-11-06 | 1993-05-25 | Toshiba Corp | Audio signal output device |
| JPH07111699A (en)* | 1993-10-08 | 1995-04-25 | Victor Co Of Japan Ltd | Image normal position controller |
| JPH08294200A (en)* | 1995-04-20 | 1996-11-05 | Sanyo Electric Co Ltd | 3d acoustic parallel signal processing system |
| JPH09247784A (en)* | 1996-03-13 | 1997-09-19 | Sony Corp | Speaker unit |
| Publication number | Priority date | Publication date | Assignee | Title |
|---|---|---|---|---|
| JPH05130700A (en)* | 1991-11-06 | 1993-05-25 | Toshiba Corp | Audio signal output device |
| JPH07111699A (en)* | 1993-10-08 | 1995-04-25 | Victor Co Of Japan Ltd | Image normal position controller |
| JPH08294200A (en)* | 1995-04-20 | 1996-11-05 | Sanyo Electric Co Ltd | 3d acoustic parallel signal processing system |
| JPH09247784A (en)* | 1996-03-13 | 1997-09-19 | Sony Corp | Speaker unit |
| Publication number | Priority date | Publication date | Assignee | Title |
|---|---|---|---|---|
| KR102162329B1 (en) | 2013-05-08 | 2020-10-06 | 울트라햅틱스 리미티드 | Method and apparatus for producing an acoustic field |
| JP2016530740A (en)* | 2013-05-08 | 2016-09-29 | ウルトラハップティックス リミテッドUltrahaptics Limited | Method and apparatus for generating a sound field |
| KR20160006708A (en)* | 2013-05-08 | 2016-01-19 | 울트라햅틱스 리미티드 | Method and apparatus for producing an acoustic field |
| US11624815B1 (en) | 2013-05-08 | 2023-04-11 | Ultrahaptics Ip Ltd | Method and apparatus for producing an acoustic field |
| US10281567B2 (en) | 2013-05-08 | 2019-05-07 | Ultrahaptics Ip Ltd | Method and apparatus for producing an acoustic field |
| US11543507B2 (en) | 2013-05-08 | 2023-01-03 | Ultrahaptics Ip Ltd | Method and apparatus for producing an acoustic field |
| US12345838B2 (en) | 2013-05-08 | 2025-07-01 | Ultrahaptics Ip Ltd | Method and apparatus for producing an acoustic field |
| US10921890B2 (en) | 2014-01-07 | 2021-02-16 | Ultrahaptics Ip Ltd | Method and apparatus for providing tactile sensations |
| US11204644B2 (en) | 2014-09-09 | 2021-12-21 | Ultrahaptics Ip Ltd | Method and apparatus for modulating haptic feedback |
| US11656686B2 (en) | 2014-09-09 | 2023-05-23 | Ultrahaptics Ip Ltd | Method and apparatus for modulating haptic feedback |
| US10444842B2 (en) | 2014-09-09 | 2019-10-15 | Ultrahaptics Ip Ltd | Method and apparatus for modulating haptic feedback |
| US12204691B2 (en) | 2014-09-09 | 2025-01-21 | Ultrahaptics Ip Ltd | Method and apparatus for modulating haptic feedback |
| US11768540B2 (en) | 2014-09-09 | 2023-09-26 | Ultrahaptics Ip Ltd | Method and apparatus for modulating haptic feedback |
| US11550432B2 (en) | 2015-02-20 | 2023-01-10 | Ultrahaptics Ip Ltd | Perceptions in a haptic system |
| US10930123B2 (en) | 2015-02-20 | 2021-02-23 | Ultrahaptics Ip Ltd | Perceptions in a haptic system |
| US10685538B2 (en) | 2015-02-20 | 2020-06-16 | Ultrahaptics Ip Ltd | Algorithm improvements in a haptic system |
| US11276281B2 (en) | 2015-02-20 | 2022-03-15 | Ultrahaptics Ip Ltd | Algorithm improvements in a haptic system |
| US11830351B2 (en) | 2015-02-20 | 2023-11-28 | Ultrahaptics Ip Ltd | Algorithm improvements in a haptic system |
| US12100288B2 (en) | 2015-07-16 | 2024-09-24 | Ultrahaptics Ip Ltd | Calibration techniques in haptic systems |
| US10818162B2 (en) | 2015-07-16 | 2020-10-27 | Ultrahaptics Ip Ltd | Calibration techniques in haptic systems |
| US11727790B2 (en) | 2015-07-16 | 2023-08-15 | Ultrahaptics Ip Ltd | Calibration techniques in haptic systems |
| US11189140B2 (en) | 2016-01-05 | 2021-11-30 | Ultrahaptics Ip Ltd | Calibration and detection techniques in haptic systems |
| JP7566686B2 (en) | 2016-04-12 | 2024-10-15 | フラウンホッファー-ゲゼルシャフト ツァ フェルダールング デァ アンゲヴァンテン フォアシュンク エー.ファオ | Apparatus and method for providing individual sound areas - Patents.com |
| JP2021132385A (en)* | 2016-04-12 | 2021-09-09 | フラウンホッファー−ゲゼルシャフト ツァ フェルダールング デァ アンゲヴァンテン フォアシュンク エー.ファオ | Equipment and methods for providing individual sound areas |
| JP2019511888A (en)* | 2016-04-12 | 2019-04-25 | フラウンホッファー−ゲゼルシャフト ツァ フェルダールング デァ アンゲヴァンテン フォアシュンク エー.ファオ | Apparatus and method for providing individual sound areas |
| JP2023175769A (en)* | 2016-04-12 | 2023-12-12 | フラウンホッファー-ゲゼルシャフト ツァ フェルダールング デァ アンゲヴァンテン フォアシュンク エー.ファオ | Apparatus and method for providing individual sound zones |
| US10531212B2 (en) | 2016-06-17 | 2020-01-07 | Ultrahaptics Ip Ltd. | Acoustic transducers in haptic systems |
| US10268275B2 (en) | 2016-08-03 | 2019-04-23 | Ultrahaptics Ip Ltd | Three-dimensional perceptions in haptic systems |
| US11714492B2 (en) | 2016-08-03 | 2023-08-01 | Ultrahaptics Ip Ltd | Three-dimensional perceptions in haptic systems |
| US10915177B2 (en) | 2016-08-03 | 2021-02-09 | Ultrahaptics Ip Ltd | Three-dimensional perceptions in haptic systems |
| US10496175B2 (en) | 2016-08-03 | 2019-12-03 | Ultrahaptics Ip Ltd | Three-dimensional perceptions in haptic systems |
| US12271528B2 (en) | 2016-08-03 | 2025-04-08 | Ultrahaptics Ip Ltd | Three-dimensional perceptions in haptic systems |
| US12001610B2 (en) | 2016-08-03 | 2024-06-04 | Ultrahaptics Ip Ltd | Three-dimensional perceptions in haptic systems |
| US11307664B2 (en) | 2016-08-03 | 2022-04-19 | Ultrahaptics Ip Ltd | Three-dimensional perceptions in haptic systems |
| US10755538B2 (en) | 2016-08-09 | 2020-08-25 | Ultrahaptics ilP LTD | Metamaterials and acoustic lenses in haptic systems |
| US10943578B2 (en) | 2016-12-13 | 2021-03-09 | Ultrahaptics Ip Ltd | Driving techniques for phased-array systems |
| US11955109B2 (en) | 2016-12-13 | 2024-04-09 | Ultrahaptics Ip Ltd | Driving techniques for phased-array systems |
| US10497358B2 (en) | 2016-12-23 | 2019-12-03 | Ultrahaptics Ip Ltd | Transducer driver |
| US11531395B2 (en) | 2017-11-26 | 2022-12-20 | Ultrahaptics Ip Ltd | Haptic effects from focused acoustic fields |
| US11921928B2 (en) | 2017-11-26 | 2024-03-05 | Ultrahaptics Ip Ltd | Haptic effects from focused acoustic fields |
| US11704983B2 (en) | 2017-12-22 | 2023-07-18 | Ultrahaptics Ip Ltd | Minimizing unwanted responses in haptic systems |
| US12158522B2 (en) | 2017-12-22 | 2024-12-03 | Ultrahaptics Ip Ltd | Tracking in haptic systems |
| US11360546B2 (en) | 2017-12-22 | 2022-06-14 | Ultrahaptics Ip Ltd | Tracking in haptic systems |
| US12347304B2 (en) | 2017-12-22 | 2025-07-01 | Ultrahaptics Ip Ltd | Minimizing unwanted responses in haptic systems |
| US11883847B2 (en) | 2018-05-02 | 2024-01-30 | Ultraleap Limited | Blocking plate structure for improved acoustic transmission efficiency |
| US11529650B2 (en) | 2018-05-02 | 2022-12-20 | Ultrahaptics Ip Ltd | Blocking plate structure for improved acoustic transmission efficiency |
| US12370577B2 (en) | 2018-05-02 | 2025-07-29 | Ultrahaptics Ip Ltd | Blocking plate structure for improved acoustic transmission efficiency |
| US10911861B2 (en) | 2018-05-02 | 2021-02-02 | Ultrahaptics Ip Ltd | Blocking plate structure for improved acoustic transmission efficiency |
| US11098951B2 (en) | 2018-09-09 | 2021-08-24 | Ultrahaptics Ip Ltd | Ultrasonic-assisted liquid manipulation |
| US11740018B2 (en) | 2018-09-09 | 2023-08-29 | Ultrahaptics Ip Ltd | Ultrasonic-assisted liquid manipulation |
| US11378997B2 (en) | 2018-10-12 | 2022-07-05 | Ultrahaptics Ip Ltd | Variable phase and frequency pulse-width modulation technique |
| US11550395B2 (en) | 2019-01-04 | 2023-01-10 | Ultrahaptics Ip Ltd | Mid-air haptic textures |
| US12373033B2 (en) | 2019-01-04 | 2025-07-29 | Ultrahaptics Ip Ltd | Mid-air haptic textures |
| US11842517B2 (en) | 2019-04-12 | 2023-12-12 | Ultrahaptics Ip Ltd | Using iterative 3D-model fitting for domain adaptation of a hand-pose-estimation neural network |
| US11553295B2 (en) | 2019-10-13 | 2023-01-10 | Ultraleap Limited | Dynamic capping with virtual microphones |
| US12191875B2 (en) | 2019-10-13 | 2025-01-07 | Ultraleap Limited | Reducing harmonic distortion by dithering |
| US11374586B2 (en) | 2019-10-13 | 2022-06-28 | Ultraleap Limited | Reducing harmonic distortion by dithering |
| US11742870B2 (en) | 2019-10-13 | 2023-08-29 | Ultraleap Limited | Reducing harmonic distortion by dithering |
| US11169610B2 (en) | 2019-11-08 | 2021-11-09 | Ultraleap Limited | Tracking techniques in haptic systems |
| US12002448B2 (en) | 2019-12-25 | 2024-06-04 | Ultraleap Limited | Acoustic transducer structures |
| US11715453B2 (en) | 2019-12-25 | 2023-08-01 | Ultraleap Limited | Acoustic transducer structures |
| US11816267B2 (en) | 2020-06-23 | 2023-11-14 | Ultraleap Limited | Features of airborne ultrasonic fields |
| US12393277B2 (en) | 2020-06-23 | 2025-08-19 | Ultraleap Limited | Features of airborne ultrasonic fields |
| US11886639B2 (en) | 2020-09-17 | 2024-01-30 | Ultraleap Limited | Ultrahapticons |
| Publication | Publication Date | Title |
|---|---|---|
| JP2010109579A (en) | Sound output element array and sound output method | |
| TWI397325B (en) | Improved head related transfer functions for panned stereo audio content | |
| JP4965707B2 (en) | Sound identification method and apparatus | |
| JP2023165864A (en) | Sound processing device and method, and program | |
| Simón Gálvez et al. | A superdirective array of phase shift sources | |
| JP5400769B2 (en) | Sound playback device | |
| Zotter et al. | A beamformer to play with wall reflections: The icosahedral loudspeaker | |
| US9264812B2 (en) | Apparatus and method for localizing a sound image, and a non-transitory computer readable medium | |
| WO2005067348A1 (en) | Audio signal supplying apparatus for speaker array | |
| JP2019512952A (en) | Sound reproduction system | |
| JP2000092578A (en) | Speaker device | |
| CN110557710A (en) | low complexity multi-channel intelligent loudspeaker with voice control | |
| Ogami et al. | Virtual sound source construction based on radiation direction control using multiple parametric array loudspeakers | |
| CN109218908A (en) | Speaker volume system | |
| Jeon et al. | Personal audio system for neckband headset with low computational complexity | |
| CN103503485A (en) | A method and an apparatus for generating an acoustic signal with an enhanced spatial effect | |
| JP3905364B2 (en) | Stereo sound image control device and ground side device in multi-ground communication system | |
| JP2009219101A (en) | Sound output element array and sound output method | |
| Mabande et al. | Towards superdirective beamforming with loudspeaker arrays | |
| JP2016092562A (en) | Audio processing device and method, and program | |
| JP4027329B2 (en) | Acoustic output element array | |
| Nakagawa et al. | Beam steering of portable parametric array loudspeaker | |
| JP4359208B2 (en) | Area limited loudspeaker method, area limited loudspeaker | |
| CN116684784A (en) | A sound reproduction method and system based on a parametric array loudspeaker array | |
| JP2023164284A (en) | Sound generation apparatus, sound reproducing apparatus, sound generation method, and sound signal processing program |
| Date | Code | Title | Description |
|---|---|---|---|
| A621 | Written request for application examination | Free format text:JAPANESE INTERMEDIATE CODE: A621 Effective date:20110106 | |
| RD03 | Notification of appointment of power of attorney | Free format text:JAPANESE INTERMEDIATE CODE: A7423 Effective date:20110810 | |
| A977 | Report on retrieval | Effective date:20120627 Free format text:JAPANESE INTERMEDIATE CODE: A971007 | |
| A131 | Notification of reasons for refusal | Free format text:JAPANESE INTERMEDIATE CODE: A131 Effective date:20120703 | |
| A02 | Decision of refusal | Effective date:20121106 Free format text:JAPANESE INTERMEDIATE CODE: A02 |