

本発明は電気泳動媒質に関係する。本媒質は、これに限定するものではないが、特にカプセル方式によるマイクロセルタイプの電気泳動ディスプレーにおける使用を意図したものである。また、本発明は、このような媒質において使用するための電気泳動粒子にも関係し、更にはこのような媒質を組み込んだディスプレーにも関係する。本発明の特定の態様は、電気泳動ディスプレー以外の電気光学ディスプレーにも及ぶ。本発明の電気泳動粒子はポリマーで修飾されている。本発明の電気光学ディスプレーは、電圧閾値を有する電気光学媒質を使用する。 The present invention relates to an electrophoretic medium. This medium is not intended to be limited to this, but is particularly intended for use in a microcell type electrophoretic display by a capsule method. The present invention also relates to electrophoretic particles for use in such media, and further to displays incorporating such media. Certain aspects of the invention extend to electro-optic displays other than electrophoretic displays. The electrophoretic particles of the present invention are modified with a polymer. The electro-optic display of the present invention uses an electro-optic medium having a voltage threshold.
本発明のディスプレーにおいては、本電気光学媒質(非電気泳動性の電気光学媒質の場合)は、電気光学媒質が固体の外面を有している(ただし、この媒質は内部に液体充填スペースまたは気体充填スペースを有していてよく、また、そのようなスペースを有していることが多い)という意味において、典型的には固体であると考えられ(このようなディスプレーは、便宜上、以降では「固体電気光学ディスプレー」と呼ばれることがある)、本発明はこのような電気光学媒質を用いてディスプレーを組み立てるための方法にも関係する。従って、「固体電気光学ディスプレー」という用語は、カプセル方式による電気泳動ディスプレー、カプセル方式による液晶ディスプレー、および以下で検討されている他のタイプのディスプレーを含む。 In the display of the present invention, the electro-optic medium (in the case of a non-electrophoretic electro-optic medium) has an outer surface in which the electro-optic medium is solid (however, this medium has a liquid-filled space or gas inside). In the sense that it may have a filling space and often has such a space), it is typically considered to be a solid (such a display is referred to as “ The present invention also relates to a method for assembling a display using such an electro-optic medium (sometimes referred to as a “solid electro-optic display”). Thus, the term “solid electro-optic display” includes capsule-based electrophoretic displays, capsule-based liquid crystal displays, and other types of displays discussed below.
材料またはディスプレーについて適用される場合、「電気光学」という用語は、本明細書においては、少なくとも1つの光学的特性が異なる第一の表示状態および第二の表示状態を有する材料であって、電場を加えることにより第一の表示状態から第二の表示状態に変えられる材料について言及すべく画像化技術分野において用いられる通常の意味で使用される。上述の光学的特性は、典型的には、人間の眼で知覚可能な色であるが、別の光学的特性、例えば光の透過率、反射率、発光などであってよく、または、機械による読み取りが意図されたディスプレーの場合には、可視域外の電磁波の反射率における変化という意味での疑似色であってもよい。 As applied to a material or display, the term “electro-optic” is used herein to refer to a material having a first display state and a second display state that differ in at least one optical property, and comprising an electric field Is used in the usual sense used in the imaging art to refer to materials that can be changed from the first display state to the second display state by adding. The optical properties described above are typically colors that are perceivable by the human eye, but may be other optical properties such as light transmission, reflectance, luminescence, etc., or by machine In the case of a display intended for reading, it may be a pseudo color in the sense of a change in the reflectance of electromagnetic waves outside the visible range.
「グレー状態」という用語は、本明細書においては、ピクセルの2つの極端な光学的状態の中間的な状態を表すべく画像化技術分野において用いられる通常の意味で使用され、必ずしもこれら2つの極端な状態の間の黒−白的な過渡的状態を意味するものではない。例えば、以下で言及されている特許公報および公開出願公報のうちの幾つかは電気泳動ディスプレーについて開示しており、そこでは、上述の極端な状態は白および藍色であり、従って、中間的な「グレー状態」は実際には薄青色であろう。更にはっきり言えば、既に述べられているように、前述の2つの極端な状態の間の過渡的状態はまったく色の変化でなくてよい。 The term “gray state” is used herein in the usual sense used in the imaging arts to represent an intermediate state between two extreme optical states of a pixel, and not necessarily those two extremes. It does not imply a black-white transitional state between different states. For example, some of the patent publications and published application publications referred to below disclose electrophoretic displays, in which the extremes described above are white and indigo, and therefore intermediate The “gray state” will actually be light blue. More specifically, as already mentioned, the transient state between the two extreme states mentioned above may not be a color change at all.
「双安定」および「双安定性」という用語は、本明細書においては、少なくとも1つの光学的特性が異なる第一および第二の表示状態を有する表示素子であって、ある定められた素子が有限持続時間のアドレッシングパルスにより上述の第一または第二の表示状態のいずれかの状態になるべく駆動されてから、このアドレッシングパルスが終了した後に、前述の状態がこの表示素子の状態を変えるのに必要なアドレッシングパルスの最小持続時間の少なくとも数倍の時間継続し、例えば少なくとも4倍の時間継続するような表示素子を含むディスプレーについて言及すべく当技術分野において用いられる通常の意味で使用される。粒子をベースとし、グレースケールの能力を有する幾つかの電気泳動ディスプレーは、極端な黒色状態および白色状態においてだけでなく、中間的なグレー状態においても安定であり、同じことが幾つかの他のタイプの電気光学ディスプレーにおいても当てはまることが公開米国特許出願公報第2002/0180687号に示されている。このタイプのディスプレーは、適切には、双安定というよりむしろ「多安定」と呼ぶべきであるが、便宜上、「双安定」という用語は、本明細書においては、双安定型のディスプレーと多安定型のディスプレーとの両方をカバーすべく使用されることがある。 The terms “bistable” and “bistable” are used herein to refer to display elements having first and second display states that differ in at least one optical property, wherein a given element is After being driven by the addressing pulse of finite duration to be in one of the first or second display states described above, the state changes the state of the display element after the addressing pulse ends. Used in the normal sense used in the art to refer to a display comprising a display element that lasts at least several times the minimum duration of the required addressing pulse, eg at least 4 times. Some electrophoretic displays based on particles and with gray scale capability are stable not only in extreme black and white states but also in intermediate gray states, and the same is true for several other It is shown in published US Patent Application Publication No. 2002/0180687 that this is also true for electro-optic displays of the type. This type of display should suitably be referred to as “multistable” rather than bistable, but for convenience, the term “bistable” is used herein to refer to bistable displays and multistable. Sometimes used to cover both mold displays.
幾つかのタイプの電気光学ディスプレーが知られている。1つのタイプの電気光学ディスプレーは、例えば特許文献1;特許文献2;特許文献3;特許文献4;特許文献5;特許文献6;特許文献7;特許文献8;および特許文献9に記載されているごとき回転二色部材タイプである(このタイプのディスプレーは「回転二色ボール」ディスプレーと呼ばれることが多いが、上述の特許のうちの幾つかにおいては回転部材が球形ではないため、より正確性を期すためには「回転二色部材」という用語の方が好適である)。このようなディスプレーは、光学的特性が異なる2つまたはそれ以上のセクションと1つの内部ダイポールとを有する多数の小さな物体(典型的には球形または円柱状)を使用する。これらの物体はマトリックス内における液体充填液胞内において懸濁され、これらの液胞は前述の物体が自由に回転できるように液体で満たされている。このディスプレーの外観的状況は、そこに電場を掛けて前述の物体を様々な位置へ回転させ、画面を通じてみられる前述の物体のセクションを変化させることにより変えられる。このタイプの電気光学媒質は典型的には双安定である。 Several types of electro-optic displays are known. One type of electro-optic display is described in, for example, Patent Document 1;
別のタイプの電気光学ディスプレーは、エレクトロクロミック媒質を使用し、例えば、半導体金属酸化物から少なくとも部分的に形成された電極とこの電極に付着された可逆的な色の変化が可能な複数の染料分子とを含むナノクロミックフィルムの形態におけるエレクトロクロミック媒質を使用する;例えば、非特許文献1;非特許文献2を参照のこと。また、非特許文献3も参照のこと。このタイプのナノクロミックフィルムは、例えば特許文献10、特許文献11および特許文献12にも記載されている。このタイプの媒質も典型的には双安定である。 Another type of electro-optic display uses an electrochromic medium, for example, an electrode formed at least partially from a semiconductor metal oxide and a plurality of dyes capable of reversible color change attached to the electrode. Electrochromic media in the form of nanochromic films containing molecules are used; see, for example, Non-Patent Document 1; Non-Patent
長年にわたり、熱心な研究および開発の課題となっている別のタイプの電気光学ディスプレーは、電場の影響の下で複数の荷電粒子が懸濁流体中を移動する、粒子をベースとした電気泳動ディスプレーである。電気泳動ディスプレーは、液晶ディスプレーと比べた際の良好な明るさおよびコントラスト、広い視野角、状態の双安定性、ならびに低い電力消費量に寄与することができる。それにもかかわらず、これらのディスプレーの長期にわたる画質に関わる問題がこれらのディスプレーの広汎な使用を妨げてきた。例えば、電気泳動ディスプレーを構成する粒子は定着する傾向があり、結果として、これらのディスプレーにとって不適切な有効寿命をもたらす。 Another type of electro-optic display that has been a subject of intense research and development over the years is a particle-based electrophoretic display in which multiple charged particles move through a suspended fluid under the influence of an electric field. It is. Electrophoretic displays can contribute to good brightness and contrast, wide viewing angles, state bistability, and low power consumption when compared to liquid crystal displays. Nevertheless, problems with the long-term image quality of these displays have prevented their widespread use. For example, the particles that make up electrophoretic displays tend to settle, resulting in an unsuitable useful life for these displays.
カプセル方式による電気泳動媒質について記載した、Massachusetts Institute of Technology(MIT)およびE Ink Corporationに譲渡されたものや、これらの会社の名の下における数多くの特許公報および出願公報が最近公開されている。このようなカプセル方式による媒質は数多くの小さなカプセルを含み、これらの各カプセル自体は、液体懸濁化媒質中に懸濁された電気泳動的に移動可能な粒子を含む内相とこの内相を取り囲むカプセル壁とを含んでいる。典型的には、これらのカプセルは、2つの電極間に位置付けられた密着層を形成すべく、高分子バインダー内に保持される。このタイプのカプセル方式による媒質は、例えば特許文献13;特許文献14;特許文献15;特許文献16;特許文献17;特許文献18;特許文献19;特許文献20;特許文献21;特許文献22;特許文献23;特許文献24;特許文献25;特許文献26;特許文献27;特許文献28;特許文献29;特許文献30;特許文献31;特許文献32;特許文献33;特許文献34;特許文献35;特許文献36;特許文献37;特許文献38;特許文献39;特許文献40;特許文献41;特許文献42;特許文献43;特許文献44;特許文献45;特許文献46;特許文献47;特許文献48;特許文献49;特許文献50;特許文献51;特許文献52;特許文献53;特許文献54;特許文献55;特許文献56;特許文献57;特許文献58;特許文献59;特許文献60;特許文献61;特許文献62;特許文献63;特許文献64;特許文献65;特許文献66;特許文献67;特許文献68;特許文献69;および特許文献70;ならびに特許文献71;特許文献72;特許文献73;特許文献74;特許文献75;特許文献76;特許文献77;特許文献78;特許文献79;特許文献80;特許文献81;特許文献82;特許文献83;特許文献84;特許文献85;特許文献86;特許文献87;特許文献88;特許文献89;特許文献90;特許文献91;特許文献92;特許文献93;特許文献94;特許文献95;特許文献96;特許文献97;特許文献98;特許文献99;特許文献100;特許文献101;特許文献102;特許文献103;特許文献104;および特許文献105;ならびに特許文献106;特許文献107;特許文献108;特許文献109;特許文献110;特許文献111;特許文献112;特許文献113;特許文献114;特許文献115;特許文献116;および特許文献117に記載されている。 A number of patent publications and application publications recently assigned to Massachusetts Institute of Technology (MIT) and E Ink Corporation, which describe electrophoretic media in capsule form, have been published. Such a capsule-based medium includes a number of small capsules, each of which has its own internal phase containing electrophoretically movable particles suspended in a liquid suspending medium and this internal phase. And enclosing capsule wall. Typically, these capsules are held in a polymeric binder to form an adhesion layer positioned between the two electrodes. The medium by this type of capsule system is, for example, Patent Document 13; Patent Document 14;
既知の電気泳動媒質は、カプセル方式による媒質もカプセル方式ではない媒質も共に、大別して2つのタイプに分けることができ、以降では、便宜上、これらのタイプをそれぞれ「単式粒子型」および「複式粒子型」と呼ぶ。単式粒子型の媒質は懸濁化媒質中に懸濁された単一のタイプの電気泳動粒子のみを有しており、この粒子の少なくとも1つの光学的特性は前述の粒子の光学的特性とは異なっている。(単式タイプの粒子について言及する場合、我々は、このタイプのすべての粒子が絶対的に同一であることを意味していない。例えば、このタイプのすべての粒子が同じ極性の電荷を持っているならば、この媒質の有用性に影響を及ぼすことなく、粒子の色、サイズおよび電気泳動移動度などの種々のパラメーターにおけるかなりの変動性を許容することができる。例えば、異なる色ではあるが、同じ電荷の2つの粒子を相反する電荷の単一の顔料(または多数の顔料)と共に単一のカプセル内において混ぜ合わせ、これらの顔料の色を適切に選択することにより、いずれかの光学的状態または両方の光学的状態におけるあらゆる望ましい中間的な度合いの色を提供することができる。)このような媒質が少なくとも一方は透明である一対の電極間に置かれると、これら2つの電極の相対的なポテンシャルに依存して、この媒質は、前述の粒子の光学的特性(これらの粒子が見る者に近い方の側の電極に隣接している場合であって、以降では、この電極を「前側」の電極と呼ぶ)または前述の懸濁化媒質の光学的特性(これらの粒子が見る者から遠い方の側の電極に隣接している場合(従って、これらの粒子は懸濁化媒質の陰に隠されている)であって、以降では、この電極を「後側」の電極と呼ぶ)を呈示することができる。 Known electrophoretic media can be broadly divided into two types, both encapsulated and non-encapsulated. For convenience, these types are referred to as “single particle type” and “compound particle”, respectively. Called “type”. A single particle type medium has only a single type of electrophoretic particle suspended in a suspending medium, and at least one optical property of the particle is the optical property of said particle. Is different. (When referring to single-type particles, we do not mean that all particles of this type are absolutely identical. For example, all particles of this type have the same polarity charge. If so, considerable variability in various parameters such as particle color, size and electrophoretic mobility can be tolerated without affecting the usefulness of this medium, eg, different colors, By mixing two particles of the same charge with a single pigment (or multiple pigments) of opposite charge in a single capsule and choosing the color of these pigments appropriately, either optical state Or any desired intermediate degree of color in both optical states can be provided.) A pair of such media at least one of which is transparent When placed between the poles, depending on the relative potentials of these two electrodes, this medium will have the optical properties of the aforementioned particles (adjacent to the electrodes on the side closer to the viewer). In the following, this electrode will be referred to as the “front” electrode) or the optical properties of the aforementioned suspending medium (these particles are adjacent to the electrode farther from the viewer) The case (thus, these particles are hidden behind the suspending medium) and this electrode can hereinafter be referred to as the “rear” electrode).
複式粒子型の媒質は少なくとも1つの光学的特性が異なる2つの異なるタイプの粒子と懸濁流体とを有しており、この懸濁流体は着色されていなくてもよいし、または着色されていてもよいが、典型的には着色されていない。これら2つのタイプの粒子は電気泳動移動度が異なっている;この移動度における相違は極性(このタイプは、以後、「相反する電荷の複式粒子型」媒質と呼ばれることがある)および/または移動の規模における相違であってよい。このような複式粒子型の媒質が前述の一対の電極間に置かれると、これら2つの電極の相対的なポテンシャルに依存して、この媒質はいずれかの組みを成す粒子の光学的特性を呈示することができるが、この光学的特性の呈示が達成される正確な仕方は、移動度における相違が極性における相違であるのか、または移動の規模のみにおける相違であるのかに依存して異なる。分かりやすくするため、これらの粒子のうちの1つのタイプが黒色であり、もう一方のタイプが白色である電気泳動媒質について考察を加える。もしこれら2つのタイプの粒子が極性に関して異なっている場合(例えば、黒色の粒子が正に帯電しており、白色の粒子が負に帯電している場合)、これらの粒子は2つの異なる電極に引き付けられることとなり、例えば、もし前側の電極が後側の電極に対して相対的に負であるならば、これらの黒色の粒子は前側の電極に引き付けられ、白色の粒子は後側の電極に引き付けられることとなり、従って、この媒質は、見る者にとって黒色を呈するであろう。逆に、もし前側の電極が後側の電極に対して相対的に正である場合には、白色の粒子が前側の電極に引き付けられ、黒色の粒子は後側の電極に引き付けられることとなり、従って、この媒質は、見る者にとって白色を呈するであろう。 The dual particle type medium has at least one two different types of particles with different optical properties and a suspending fluid, which may or may not be colored. However, it is typically not colored. These two types of particles have different electrophoretic mobilities; differences in this mobility are polar (this type is sometimes referred to hereinafter as a “reciprocal charge dual particle” medium) and / or migration It may be a difference in scale. When such a dual particle type medium is placed between the pair of electrodes described above, depending on the relative potential of these two electrodes, the medium will exhibit the optical properties of either pair of particles. Although, the exact manner in which this optical property presentation is achieved depends on whether the difference in mobility is a difference in polarity or only in the magnitude of the movement. For clarity, consider an electrophoretic medium in which one of these particles is black and the other is white. If these two types of particles are different in terms of polarity (eg, black particles are positively charged and white particles are negatively charged), these particles are attached to two different electrodes. For example, if the front electrode is relatively negative with respect to the rear electrode, these black particles are attracted to the front electrode and white particles are attracted to the rear electrode. It will be attracted and therefore this medium will appear black to the viewer. Conversely, if the front electrode is relatively positive with respect to the rear electrode, white particles will be attracted to the front electrode and black particles will be attracted to the rear electrode, This medium will therefore be white to the viewer.
これら2つのタイプの粒子が、同じ極性の電荷を持っているが、電気泳動移動度に関して異なっている場合(このタイプの媒質は、以後、「同じ極性の複式粒子型」媒質と呼ばれることがある)には、どちらのタイプの粒子も同じ電極に引き付けられることとなるが、一方のタイプがもう一方のタイプより前に電極に到達することとなり、従って、見る者に面するタイプは、これらの粒子が引き付けられる電極に依存して異なる。例えば、前の例証が、黒色粒子と白色粒子が共に正に帯電されているが、黒色粒子の方が高い電気泳動移動度を有するように改変されている場合を想定しよう。このとき、前側の電極が後側の電極に対して相対的に負である場合、黒色粒子と白色粒子は共に前側の電極に引き付けられることとなるが、黒色粒子の方が移動度が高いため、黒色粒子が先に電極に到達することとなり、従って、これらの黒色粒子の層が前側の電極を覆い、これにより、この媒質は、見る者にとって黒色を呈するであろう。逆に、前側の電極が後側の電極に対して相対的に正である場合には、黒色粒子と白色粒子は共に後側の電極に引き付けられるが、黒色粒子の方が移動度が高いため、黒色粒子が先に到達することとなり、従って、黒色粒子の層は、後側の電極から遠い側の見る者に面した位置に白色粒子の層を残した状態で後側の電極を覆い、これにより、この媒質は、見る者にとって白色を呈するであろう:このタイプの複式粒子型媒質は、見る者が後側の電極から遠い側に位置する白色粒子の層を容易に視認できる程度に充分に懸濁流体が透明であることを要件とする点に留意すべきである。典型的には、このようなディスプレーにおける懸濁流体は全く着色されていないが、そこを通してみられる白色粒子における何らかの望ましくない色合いを補正するため、またはグレー状態における望ましい色の度合いをもたらすため、幾分かの色が組み込まれていてもよい。 If these two types of particles have the same polarity of charge but differ in electrophoretic mobility (this type of medium may hereinafter be referred to as “same polarity dual particle” medium) ) Will cause both types of particles to be attracted to the same electrode, but one type will reach the electrode before the other, so the type facing the viewer will be It depends on the electrode to which the particles are attracted. For example, suppose the previous illustration is where both black and white particles are positively charged, but the black particles are modified to have higher electrophoretic mobility. At this time, when the front electrode is relatively negative with respect to the rear electrode, both the black particles and the white particles are attracted to the front electrode, but the black particles have higher mobility. The black particles will reach the electrode first, and therefore a layer of these black particles will cover the front electrode, so that this medium will appear black to the viewer. Conversely, when the front electrode is relatively positive with respect to the rear electrode, both black particles and white particles are attracted to the rear electrode, but the black particles have higher mobility. Therefore, the black particles will reach first, so the black particle layer covers the rear electrode with the white particle layer left in the position facing the viewer far from the rear electrode, This medium will thus present a white color to the viewer: this type of dual particle type medium allows the viewer to easily see a layer of white particles located farther from the rear electrode. It should be noted that the suspension fluid must be sufficiently transparent. Typically, the suspending fluid in such displays is not colored at all, but to compensate for any undesirable tint in the white particles seen therethrough or to provide the desired degree of color in the gray state. Minute colors may be incorporated.
単式および複式粒子型の電気泳動ディスプレーは、どちらも、既に述べられている2つの極端な光学的状態の中間的な光学的状態を有するグレー状態を介在させる能力を備えることができる。 Both single- and dual-particle electrophoretic displays can be equipped with the ability to intervene a gray state having an optical state intermediate between the two extreme optical states already described.
上述の特許公報および公開出願公報のうちの幾つかは、各カプセル内に3つまたはそれ以上の異なるタイプの粒子を有するカプセル方式による電気泳動媒質を開示している。本出願の目的上、このような多粒子型の媒質は、複式粒子型媒質の亜種と考えられる。 Some of the above-mentioned patent publications and published application publications disclose an electrophoretic medium in a capsule format having three or more different types of particles in each capsule. For the purposes of this application, such multiparticulate media are considered subspecies of dual particle media.
また、上述の特許公報および公開出願公報のうちの多くは、カプセル方式による電気泳動媒質内における離散したマイクロカプセルを取り囲むこれらの壁を連続的な相で置換することができ、従って、電気泳動媒質が複数の離散した電気泳動流体の液滴と高分子材料の連続的な相とを含む、いわゆるポリマー分散方式による電気泳動ディスプレーを提供できることを認識しており、更に、このようなポリマー分散方式による電気泳動ディスプレー内における電気泳動流体の離散した液滴は、各個々の液滴と連合している離散したカプセル膜が存在していないとしても、カプセルまたはマイクロカプセルとして認識している;例えば、上述の特許文献79を参照のこと。従って、本出願の目的上、このようなポリマー分散方式による電気泳動媒質は、カプセル方式による電気泳動媒質の亜種と考えられる。 Also, many of the above-mentioned patent publications and published applications can replace these walls surrounding discrete microcapsules in a capsule-type electrophoresis medium with a continuous phase, and thus the electrophoresis medium Recognizes that it can provide an electrophoretic display by means of a so-called polymer dispersion system comprising a plurality of discrete electrophoretic fluid droplets and a continuous phase of a polymeric material, Discrete droplets of electrophoretic fluid in an electrophoretic display are recognized as capsules or microcapsules, even if there is no discrete capsule membrane associated with each individual droplet; See US Pat. Therefore, for the purposes of this application, an electrophoretic medium based on such a polymer dispersion system is considered a subspecies of the electrophoretic medium based on a capsule system.
1つの関連するタイプの電気泳動ディスプレーは、いわゆる「マイクロセルタイプの電気泳動ディスプレー」である。マイクロセルタイプの電気泳動ディスプレーにおいては、帯電粒子および懸濁流体はマイクロカプセル内にカプセル化されておらず、代わりに、担体媒質内に形成された複数の空洞、典型的には高分子フィルム内に形成された複数の空洞内に保持されている。例えば、特許文献118および特許文献119(両公報ともSipix Imaging,Inc.に譲渡されている)を参照のこと。 One related type of electrophoretic display is the so-called “microcell type electrophoretic display”. In microcell type electrophoretic displays, charged particles and suspending fluid are not encapsulated in microcapsules, but instead are formed in a plurality of cavities formed in a carrier medium, typically in a polymer film. Are held in a plurality of cavities formed. See, for example, US Pat. Nos. 5,099,086 and 1,019,119 (both publications are assigned to Sipix Imaging, Inc.).
電気泳動媒質は、通常、不透明(例えば、多くの電気泳動媒質においては、前述の粒子がディスプレーを通過する可視光の透過を実質的にブロックするため)で、反射モードにおいて運転されるが、多くの電気泳動ディスプレーは、1つの表示状態が実質的に不透明であり、1つの表示状態が光透過性である、いわゆる「シャッターモード」で運転されるべくなすことができる。例えば、前述の特許文献22号および特許文献23、ならびに特許文献120;特許文献121;特許文献122;特許文献123;および特許文献124を参照のこと。電気泳動ディスプレーと同様であるが、電場の強さの変動に基づく誘電ディスプレーも同様なモードで運転することができる;特許文献125を参照のこと。 Electrophoretic media are usually opaque (eg, in many electrophoretic media, because the aforementioned particles substantially block the transmission of visible light through the display) and operate in reflective mode, The electrophoretic display can be operated in a so-called “shutter mode” where one display state is substantially opaque and one display state is light transmissive. For example, see the aforementioned Patent Document 22 and Patent Document 23, and Patent Document 120; Patent Document 121; Patent Document 122; Patent Document 123; and Patent Document 124. Similar to an electrophoretic display, a dielectric display based on variations in electric field strength can also be operated in a similar mode; see US Pat.
カプセル方式またはマイクロセルタイプの電気泳動ディスプレーは、典型的には、従来の電気泳動装置における集塊化および定着による故障モードを被らず、更には、広範囲の様々な可撓性および剛性の基体上に表示を印刷またはコーティングする能力などの利点を提供する。(「印刷」という用語の使用はあらゆる形態の印刷およびコーティングを含めるべく意図されており、これらに限定するものではないが:プレメーターコーティング、例えばパッチダイコーティング、スロットまたは押し出しコーティング、スライドまたはカスケードコーティング、カーテンコーティングなど;ロールコーティング、例えばナイフオーバーロールコーティング、フォワード・リバースロールコーティングなど;グラビアコーティング;浸漬コーティング;スプレーコーティング;メニスカスコーティング;スピンコーティング;ブラシコーティング;エアーナイフコーティング;シルクスクリーン印刷プロセス;静電印刷プロセス;感熱印刷プロセス;インクジェット印刷プロセス;および他の同様な技術を含む。)従って、結果として得られるディスプレーは可撓性であり得る。その上、この表示媒質は(様々な方法を用いて)印刷することができるため、ディスプレー自体を安価になすことができる。 Capsule or microcell type electrophoretic displays typically do not suffer from failure modes due to agglomeration and fixation in conventional electrophoretic devices, and a wide variety of flexible and rigid substrates. Provides advantages such as the ability to print or coat the display on top. (The use of the term “printing” is intended to include, but is not limited to, any form of printing and coating: premeter coating, eg patch die coating, slot or extrusion coating, slide or cascade coating. Roll coating, for example knife over roll coating, forward / reverse roll coating, etc .; gravure coating; dip coating; spray coating; meniscus coating; spin coating; brush coating; air knife coating; Including printing processes; thermal printing processes; inkjet printing processes; and other similar techniques.) The resulting display can be flexible. Moreover, since the display medium can be printed (using various methods), the display itself can be made inexpensive.
しかし、カプセル方式による電気泳動ディスプレーの有効寿命は、単式粒子型および複式粒子型のどちらの場合も、完全に望ましい状態よりもかなり短い。(このようなことに関して、本発明はどのような理論によっても決して制限されるものではないが)この有効寿命は、電気泳動粒子がカプセル壁にはりつくことや、これらの粒子が凝集して集塊を形成する傾向を有していることなどの要因(これらの要因により、粒子が上述の光学的状態間におけるディスプレーの切り替えに必要な移動を果たすことが妨げられる)によって制限されているように思われる。この件に関して、相反する電荷の複式粒子型電気泳動ディスプレーは、相互に非常に近接した状態で本質的に相反する電荷を有する粒子が互いに静電的に引き付けられ、安定した凝集体を形成する強い傾向を示すため、特に困難な問題をもたらす。実験により、市販で入手可能な未処理のチタニアおよびカーボンブラック顔料を用いてこのタイプの黒色/白色のカプセル方式によるディスプレーを製造しようとした場合には、このディスプレーは全く切り替わらないか、市販用としては望ましくない程短い有効寿命を有するかのいずれかであることが判明している。 However, the useful life of capsule-type electrophoretic displays is considerably shorter than fully desirable in both single particle and double particle types. (In this regard, the present invention is in no way limited by any theory.) This useful life is due to the fact that the electrophoretic particles stick to the capsule wall or that these particles agglomerate to agglomerate. Seems to be limited by factors such as having a tendency to form (these factors prevent the particles from performing the necessary movements to switch the display between the optical states described above) It is. In this regard, reciprocal charge dual particle electrophoretic displays are strong in that particles with essentially reciprocal charges are electrostatically attracted to each other in close proximity to each other to form stable aggregates. Because it shows a trend, it presents a particularly difficult problem. Experiments have shown that if this type of black / white capsule type display is produced using commercially available untreated titania and carbon black pigments, the display will not switch at all or may be commercially available. Have either been found to have an undesirably short useful life.
長きにわたり、電気泳動粒子の物理的特性および表面特性は、これらの粒子の表面に様々な材料を吸着させることにより、またはこれらの表面に様々な材料を化学的に結合させることにより改変できることが知られており、この手法を用いる先行技術の歴史に関する詳細な検討については、特許文献126、特にこの公報の6ページ3行目から7ページ26行目までの段落を参照のこと。 Over time, it has been known that the physical and surface properties of electrophoretic particles can be modified by adsorbing various materials on the surface of these particles or by chemically bonding various materials to these surfaces. For a detailed examination of the history of the prior art using this technique, see Patent Document 126, especially the paragraph on page 6, line 3 to page 7, line 26 of this publication.
上述の特許文献126は、電気泳動媒質において、化学的に結合または架橋されたポリマーを有する顔料粒子を使用することの利点を開示している。また、この出願公報はこのようなポリマー被覆粒子における様々な改善についても開示しており、それらの改善は、粒子に付着されるポリマーの量、ポリマーの構造、電気泳動粒子上に高分子コーティングを形成するための技術、および粒子上にポリマーコーティングを形成する前に行われるこれらの電気泳動粒子を前処理するための技術の管理を含む。更に、上述の出願公報はこのようなポリマー被覆顔料粒子を製造するためのプロセスについても開示しており、このプロセスは:(a)顔料粒子を、この粒子と反応し、粒子に結合することができる官能基を有し、更には重合可能な基または重合開始基も有する試薬と反応させ、これにより、前述の官能基を粒子の表面と反応させ、また前述の重合可能な基を粒子に付着させる工程;および(b)上述の工程(a)の生成物を、前述の粒子上の重合可能な基または重合開始基と少なくとも1つのモノマーまたはオリゴマーとの間の反応を引き起こすのに有効な条件下において、少なくとも1つのモノマーまたはオリゴマーと反応させ、これにより、顔料粒子に結合されたポリマーの形成をもたらす工程を含む。 The above-mentioned US Pat. No. 6,057,031 discloses the advantage of using pigment particles with chemically bonded or cross-linked polymers in an electrophoretic medium. The application also discloses various improvements in such polymer-coated particles, such as the amount of polymer attached to the particles, the structure of the polymer, the polymer coating on the electrophoretic particles. Including the management of techniques for forming and pre-treating these electrophoretic particles prior to forming a polymer coating on the particles. Furthermore, the above-mentioned application publication also discloses a process for producing such polymer-coated pigment particles, the process comprising: (a) reacting the pigment particles with the particles and binding them to the particles. It reacts with a reagent having a functional group that can be further polymerized or a polymerization initiating group, thereby reacting the functional group with the surface of the particle and attaching the polymerizable group to the particle. And (b) conditions effective to cause the product of step (a) above to cause a reaction between the polymerizable group or polymerization initiating group on the particle and at least one monomer or oligomer. Below, it comprises reacting with at least one monomer or oligomer, thereby resulting in the formation of a polymer bound to the pigment particles.
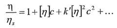
前述の特許文献81は、炭化水素懸濁流体中に懸濁された複数の粒子を含む電気泳動媒質を開示しており、これらの粒子は媒質に電場を加えることにより前述の流体中を移動することができ、この流体は、そこに溶解または分散された、約400,000g/molから1,200,000g/molまでの範囲の粘度平均分子量を有するポリイソブチレンを有しており、このポリイソブチレンは、重量で懸濁流体のうちの約0.25パーセントから約2.5パーセントまでを構成している。また、この同じ出願公報は、懸濁流体中に懸濁された複数の粒子を含む電気泳動媒質についても開示しており、これらの粒子は媒質に電場を加えることにより前述の流体中を移動することができ、この流体は、そこに溶解または分散されたポリマーであって、懸濁流体中においてηの固有粘度を有し、懸濁流体中においてイオン性の基またはイオン化可能な基を実質的に含まないポリマーを有しており、このポリマーは、約0.5[η]−1から約2.0[η]−1までの濃度で懸濁流体中に存在している。懸濁流体中におけるポリイソブチレン(PIB)または他のポリマーの存在はディスプレーの双安定性を実質的に高める。The aforementioned patent document 81 discloses an electrophoretic medium including a plurality of particles suspended in a hydrocarbon suspension fluid, and these particles move in the aforementioned fluid by applying an electric field to the medium. And the fluid has polyisobutylene having a viscosity average molecular weight in the range of about 400,000 g / mol to 1,200,000 g / mol dissolved or dispersed therein, the polyisobutylene Constitutes from about 0.25 percent to about 2.5 percent of the suspending fluid by weight. The same application also discloses an electrophoretic medium that includes a plurality of particles suspended in a suspending fluid, which move through the fluid by applying an electric field to the medium. The fluid is a polymer dissolved or dispersed therein having an intrinsic viscosity of η in the suspending fluid and substantially free of ionic or ionizable groups in the suspending fluid. The polymer is present in the suspending fluid at a concentration from about 0.5 [η]−1 to about 2.0 [η]−1 . The presence of polyisobutylene (PIB) or other polymer in the suspending fluid substantially increases the bistability of the display.
既に指示されているように、電気泳動ディスプレーは1つの状態から別の状態への切り替えを低電力で行うことができる。双安定型のディスプレーの場合、切り替えに要するこの低電力要件は、このディスプレーの運転に要する全体的な低電力要件につながる。しかし、電気泳動ディスプレーは無制限の画像安定性を有していない。顔料粒子のブラウン拡散および重力による定着は、加えられたスイッチングパルスおよび他の要因によって誘発される小さな残留電圧により駆動される動きと共に、すべて、ディスプレーの切り替えによって達成される光学的な状態を劣質化させ得る。この種の光学的状態の減衰を防ぐためのメカニズムを全く備えていない場合には、光学的状態は定期的にリフレッシュされなければならない。ディスプレーのリフレッシュは電力を消費し、従って、ディスプレーの有用性を減少させる。これに加え、特定の用途(特に能動マトリックス駆動型ディスプレー)においては、ブランキングパルス(すなわち、ピクセルを、最終的な望ましい光学的状態へ駆動する前に、このピクセルの極端な光学的状態のうちの1つへ駆動するパルス。上述の特許文献91参照のこと)を伴うことなく単一ピクセルのリフレッシュを果たすことは困難または不可能である。これらの理由から、電気泳動媒質の画像安定性における改善が尚も強く望まれている。 As already indicated, the electrophoretic display can switch from one state to another with low power. In the case of a bistable display, this low power requirement for switching will lead to an overall low power requirement for operation of this display. However, electrophoretic displays do not have unlimited image stability. Brownian diffusion and gravitational fixation of pigment particles all degrade the optical state achieved by switching the display, along with the movement driven by a small residual voltage induced by applied switching pulses and other factors Can be. If no mechanism is provided to prevent this kind of attenuation of the optical state, the optical state must be refreshed periodically. Display refresh consumes power and therefore reduces the usefulness of the display. In addition, in certain applications (especially active matrix driven displays), a blanking pulse (ie, the extreme optical state of the pixel before driving the pixel to the final desired optical state). It is difficult or impossible to achieve a single pixel refresh without a pulse driving one of these (see US Pat. For these reasons, improvements in the image stability of electrophoretic media are still highly desired.
また、既に検討されているように、上述の特許文献81は、懸濁化媒質(典型的には、Isopar Gなどの脂肪族炭化水素)中における良好な溶解度を有しているが、電気泳動粒子に吸収されない高分子量ポリマー、例えばPIBなどを組み込むことにより良好な画像安定性を達成する電気泳動媒質を開示している。溶液中におけるこのポリマーの存在は、(本発明はこの信念により決して制限されるものではないが)コロイド科学技術分野において「枯渇凝集(depletion flocculation)」として知られているメカニズムによる顔料の弱い凝集を引き起こすものと確信されている。同じ目的で、PIB以外のポリマーも使用することができる。この目的にとって有用であることが示されている第二のポリマーの例はKraton Gであり、Kraton Gは、ポリスチレンブロックと水素化されたポリイソブチレンブロックとを含むブロックコポリマーであり、懸濁化媒質中において凝集構造を形成する。このケースにおいては、モノマー性のブロックコポリマー自体よりもむしろ、これらの集塊物が枯渇凝集を引き起こす種である。 As already discussed, the above-mentioned Patent Document 81 has good solubility in a suspending medium (typically an aliphatic hydrocarbon such as Isopar G). An electrophoretic medium is disclosed that achieves good image stability by incorporating a high molecular weight polymer that is not absorbed by the particles, such as PIB. The presence of this polymer in solution (although the present invention is in no way limited by this belief) reduces the weak aggregation of the pigments by a mechanism known as “depletion aggregation” in the field of colloidal science and technology. It is believed to cause. For the same purpose, polymers other than PIB can be used. An example of a second polymer that has been shown to be useful for this purpose is Kraton G, which is a block copolymer comprising a polystyrene block and a hydrogenated polyisobutylene block, and a suspending medium An aggregate structure is formed inside. In this case, rather than the monomeric block copolymer itself, these agglomerates are species that cause depletion aggregation.
枯渇状態を引き起こすためにどのようなポリマーが使用されたとしても、可溶性の高分子量材料を懸濁化媒質に組み込むことにより、この媒質の粘度は増加するであろう。ディスプレーの応答時間(ある与えられた動作電圧において、ディスプレーを、またはディスプレーのいずれかの定められたピクセルを2つの極端な光学的状態の間で切り替えるために必要な時間)は媒質の粘度に比例するため、画像の安定性を求めたこの手法ではディスプレーの切り替え速度が低減されるであろう。更に、枯渇凝集メカニズムは、ポリマーの濃度がオーバーラップ濃度(この濃度は、操作上、媒質の粘度を2倍増加させるポリマーの濃度として定めることができる)を上回っているときにのみ作動するため、このメカニズムにより活動するすべてのポリマーは、切り替え速度の同様な減少もたらすものと想定することができる。実際、適切な画像安定性を与えるのに充分なポリマーを使用したときには、切り替え速度は約2倍から3倍低減する。この応答時間との二律背反性を被らずに画像安定性を達成する別な手段を得ることが望ましい。 Whatever polymer is used to cause depletion, the incorporation of soluble high molecular weight material into the suspending medium will increase the viscosity of this medium. The display response time (the time required to switch the display, or any given pixel of the display, between two extreme optical states at a given operating voltage) is proportional to the viscosity of the medium Therefore, the display switching speed will be reduced by this method for obtaining the stability of the image. Furthermore, the depletion aggregation mechanism works only when the polymer concentration is above the overlap concentration, which can be defined as the concentration of the polymer that increases the viscosity of the medium by a factor of 2 in operation. It can be assumed that all polymers active by this mechanism will result in a similar reduction in switching speed. In fact, when enough polymer is used to provide adequate image stability, the switching speed is reduced by about 2 to 3 times. It would be desirable to have another means of achieving image stability without suffering a tradeoff with this response time.
上で検討されているように、PIBおよび他のポリマーは、顔料粒子のコロイド安定性を巧みに操ることにより画像安定性を改善する。上述の特許文献126に開示されている好適なポリマー被覆粒子は、調製中に粒子の表面で成長する(典型的には)ポリ(メタクリル酸ラウリル)のポリマーシェルのため、懸濁化媒質中においてコロイド的に安定である。このポリマーシェルの組成を適切に操ることにより、原理的には、懸濁化媒質中に分散されたPIB、Kratonおよび他のポリマーによってもたらされる場合と同程度(ただし、懸濁化媒質中におけるPIBのごとき付加物を必要とせずに)のコロイド安定性を有する粒子(従って、同じ画像安定性を有するディスプレー)を製作することが可能である。このようなディスプレーは、PIBを含むディスプレーよりも実質的に速く動作し、または等価的に、もっと低い印加電圧において同等な速度で動作するはずである。
1つの態様においては、本発明は、迅速でかつ画像安定性を有するディスプレーの製造を可能にし、修飾されたポリマーシェルを伴う電気泳動粒子をもたらすための手法の提供を目指す。 In one aspect, the present invention seeks to provide a technique for producing electrophoretic particles with a modified polymer shell that allows for the production of displays with rapid and image stability.
別の態様においては、本発明は、上のパラグラフ21で説明されているようなポリマー被覆電気泳動粒子を調製するための、改善された形態の二段階プロセスの提供を目指す。このプロセスの好適な形態においては、まずチタニア(または同様な金属酸化物顔料)がシリカでコーティングされ、このシリカ被覆チタニアが、エチレン基を含有するシランで処理される。この後、結果として得られたシラン処理チタニアを、所望のポリマー被覆チタニアを形成すべく、フリーラジカル重合開始剤の存在下において、様々な不飽和モノマー、例えばアクリル酸2−エチルヘキシルまたはメタクリル酸ラウリルと反応させることができる。カーボンブラックは、エチレン基を含有するジアゾ化剤、例えば4−ビニルアニリンおよび亜硝酸の反応生成物で処理することにより、エチレン基をカーボンブラックの表面に付着させ、この後、チタニアに対して説明されているのと実質的に同じ仕方で様々な不飽和モノマーと反応させることができる。 In another aspect, the present invention seeks to provide an improved form of a two-step process for preparing polymer coated electrophoretic particles as described in paragraph 21 above. In a preferred form of the process, titania (or a similar metal oxide pigment) is first coated with silica and the silica-coated titania is treated with a silane containing ethylene groups. After this, the resulting silanized titania is combined with various unsaturated monomers such as 2-ethylhexyl acrylate or lauryl methacrylate in the presence of a free radical polymerization initiator to form the desired polymer-coated titania. Can be reacted. Carbon black is treated with a reaction product of ethylene group-containing diazotizing agents, such as 4-vinylaniline and nitrous acid, to attach the ethylene groups to the surface of the carbon black. It can be reacted with various unsaturated monomers in substantially the same manner as is done.
上述の第WO 02/093246号の実施例に示されている特定のプロセスでは、最終的な重合工程(いわゆる「グラフト重合工程」)はトルエン中において実施され、これは、主として、ポリマー産業においては、トルエンがこのようなフリーラジカル重合での使用に際して良好な特性を有していることが知られた溶媒であることによるものである。しかし、ポリマー被覆電気泳動顔料粒子を調製するためのプロセスにおける溶媒としてのトルエンの使用は著しく不都合である。上述のE InkおよびMITの特許公報および出願公報で詳細に検討されている様々な理由から、実際には、電気泳動ディスプレーにおいて使用される懸濁流体は、(単独またはハロカーボンとの組合せにおける)脂肪族炭化水素である。従って、このポリマー被覆顔料粒子は、結局は、脂肪族炭化水素中に分散され、この脂肪族炭化水素がトルエンで汚染されるのを回避する必要があるため(電気泳動媒質の振る舞いは、特定のケースにおいては、懸濁流体の組成における小さな変化に非常に敏感であることが多いため)、トルエン中における重合が終了し、ポリマー被覆顔料をトルエンから分離した後、これらのポリマー被覆顔料粒子を最終的な懸濁流体中に懸濁させる前に、微量のトルエンをすべて取り除く必要がある。実際には、グラフト重合工程から得られたトルエン含有顔料粒子をテトラヒドロフラン(THF)で1回またはそれ以上の回数洗浄し、洗浄後、遠心分離によりTHFから顔料を分離し、最後に、この顔料をオーブン内で乾燥させることにより最後の微量のTHFを取り除く必要がある。すべてのこれらのプロセスは、複式粒子型の電気泳動媒質で使用される2種類の顔料について別々に実施されなければならない。 In the particular process shown in the above-mentioned examples of WO 02/093246, the final polymerization step (the so-called “graft polymerization step”) is carried out in toluene, which is mainly in the polymer industry. This is because toluene is a solvent known to have good characteristics when used in such free radical polymerization. However, the use of toluene as a solvent in the process for preparing polymer-coated electrophoretic pigment particles is significantly disadvantageous. For various reasons discussed in detail in the above-mentioned E Ink and MIT patent publications and applications, the suspending fluid used in electrophoretic displays is actually (alone or in combination with halocarbons). It is an aliphatic hydrocarbon. Therefore, the polymer-coated pigment particles are eventually dispersed in an aliphatic hydrocarbon, and it is necessary to avoid contamination of the aliphatic hydrocarbon with toluene (the behavior of the electrophoretic medium is In many cases, it is very sensitive to small changes in the composition of the suspending fluid), and after the polymerization in toluene has been completed and the polymer-coated pigment has been separated from the toluene, these polymer-coated pigment particles are finally All traces of toluene must be removed before being suspended in a typical suspending fluid. In practice, the toluene-containing pigment particles obtained from the graft polymerization step are washed one or more times with tetrahydrofuran (THF), and after washing, the pigment is separated from the THF by centrifugation, and finally the pigment is removed. The last trace of THF needs to be removed by drying in an oven. All these processes must be carried out separately for the two types of pigments used in dual particle type electrophoretic media.
これらの洗浄工程、遠心分離工程および乾燥工程は手間が掛かり、費用が嵩む。更に、この乾燥された顔料を最終的な懸濁流体中に再分散させる必要があることにより更なる経費を招く。その上、トルエンおよびTHFが存在するため、これらの洗浄工程、遠心分離工程および乾燥工程は有害であることが多く、このポリマー被覆顔料の商業規模での生産は防爆形のオーブン、混合機および遠心分離機、ならびに防爆形の電気制御盤の使用を必要とし、これらの装置の使用は、製造機器の費用を実質的に増大させる。また、処理中に生じる蒸気へのオペレーターの暴露は、保護装置または曝露予防方法を用いたとしても、かなりなものになる可能性がある。最後に、上述の乾燥工程は、最終的な電気泳動媒質中における顔料の性能にとって不利益であり得る。従って、この重合反応を実施することができる代替的な溶媒を見出し、可能な場合には、顔料の乾燥および乾燥顔料の再分散の必要性を排除できることが望ましい。 These washing steps, centrifugation steps and drying steps are laborious and expensive. In addition, the need to redisperse the dried pigment in the final suspending fluid incurs additional costs. In addition, due to the presence of toluene and THF, these washing, centrifuging and drying steps are often detrimental, and commercial production of this polymer-coated pigment is not possible with explosion-proof ovens, mixers and centrifuges. The use of separators as well as explosion-proof electrical control panels is required, and the use of these devices substantially increases the cost of manufacturing equipment. Also, operator exposure to vapors generated during processing can be substantial, even with protective equipment or exposure prevention methods. Finally, the drying step described above can be detrimental to the pigment's performance in the final electrophoretic medium. It is therefore desirable to find alternative solvents that can carry out this polymerization reaction and, where possible, eliminate the need for drying the pigment and redispersing the dried pigment.
最後に、本発明は、簡略化された仕方で駆動することができる電気光学ディスプレーの提供を目指す。ディスプレーが反射型であるか透過型であるかにかかわらず、また、使用される電気光学媒質が双安定であるか否かにかかわらず、高解像度のディスプレーを得るためには、ディスプレーの個々のピクセルは隣接したピクセルからの妨害を受けることなくアドレス可能でなければならない。この目的を達成するための1つの方法は、「能動マトリックス型」ディスプレーをもたらすべく、少なくとも1つの非線形素子が各ピクセルと関連付けられた状態で、トランジスターまたはダイオードなどの非線形素子のアレイを提供することである。1つのピクセルをアドレスするアドレッシング電極またはピクセル電極が、この関連する非線形素子を通じて、適切な電圧源に接続される。典型的には、非線形素子がトランジスターの場合、ピクセル電極はトランジスターのドレインに接続され、以下の説明はこの配列を想定して行われるが、本質的にこの配列は専断的であり、ピクセル電極をトランジスターのソースに接続することもできよう。通常、高解像度のアレイにおいては、ピクセルは、あらゆる特定のピクセルが1つの特定の横列と1つの特定の縦列との交差により一意的に定まるように、横列と縦列の二次元アレイで配列される。各縦列におけるすべてのトタンジスターのソースは単一の縦列電極に接続され、一方、各横列におけるすべてのトタンジスターのゲートは単一の横列電極に接続される;再度述べると、ソースを横列に割り当て、ゲートを縦列に割り当てるのが一般的であるが、この割り当ては本質的に専断的であり、望ましい場合には逆にすることもできよう。横列電極は横列ドライバーに接続されており、この横列ドライバーは、本質的に、あらゆる与えられた瞬間に1つの横列のみを選択することを確実化し、すなわち、選択された横列電極には、選択された横列のすべてのトランジスターが導通することを保証するような電圧が加えられ、一方、他のすべての横列には、これらの選択されなかった横列のすべてのトランジスターが導通しない状態のまま留まることを保証するような電圧が加えられることを確実化する。縦列電極は縦列ドライバーに接続されており、これらの縦列ドライバーは、様々な縦列電極に、選択された横列のピクセルをこれらのピクセルの望ましい光学的状態へ駆動すべく選定された電圧を印可する。(上述の電圧は共通のフロント電極に対して相対的なものであり、このフロント電極は、通常、非線形アレイから見て電気光学媒質の反対側に設けられ、ディスプレー全体を横断して延びている。)「ラインアドレス時間」として知られているあらかじめ選定されたインターバルの後、この選択された横列の選択が解除されて次の横列が選択され、縦列ドライバーの電圧が、表示の次のラインが書かれる電圧に変更される。このプロセスが繰り返され、これにより、横列を一列ずつ進む仕方で表示全体が書かれる。従って、N個の横列を有するディスプレーでは、あらゆる与えられたピクセルはこの時間の1/Nの間だけアドレスされ得る。 Finally, the present invention aims to provide an electro-optic display that can be driven in a simplified manner. Regardless of whether the display is reflective or transmissive, and whether the electro-optic medium used is bistable, to obtain a high-resolution display, the individual display Pixels must be addressable without interference from neighboring pixels. One way to achieve this goal is to provide an array of non-linear elements, such as transistors or diodes, with at least one non-linear element associated with each pixel to provide an “active matrix” display. It is. An addressing electrode or pixel electrode that addresses one pixel is connected to an appropriate voltage source through this associated non-linear element. Typically, when the non-linear element is a transistor, the pixel electrode is connected to the drain of the transistor, and the following description is made assuming this arrangement, but this arrangement is essentially exclusive, It could be connected to the source of a transistor. Typically, in high resolution arrays, the pixels are arranged in a two-dimensional array of rows and columns so that every particular pixel is uniquely determined by the intersection of one particular row and one particular column. . The source of all transistors in each column is connected to a single column electrode, while the gates of all transistors in each row are connected to a single row electrode; again, the source is assigned to the row and the gate Is generally assigned in columns, but this assignment is inherently exclusive and could be reversed if desired. The row electrode is connected to a row driver, which essentially ensures that only one row is selected at any given moment, ie the selected row electrode is selected. A voltage is applied to ensure that all the transistors in the selected row are conducting, while all the other rows are left in a non-conducting state. Ensure that a voltage that guarantees is applied. The column electrodes are connected to column drivers, which apply the selected voltages to the various column electrodes to drive selected rows of pixels to the desired optical state of these pixels. (The above voltage is relative to a common front electrode, which is usually provided on the opposite side of the electro-optic medium from the non-linear array and extends across the entire display. .) After a pre-selected interval known as “Line Address Time”, this selected row is deselected and the next row is selected, and the column driver voltage is Changed to the voltage written. This process is repeated so that the entire display is written in a way that advances the rows one by one. Thus, for a display with N rows, any given pixel can be addressed only for 1 / N of this time.
能動マトリックス型のディスプレーを製造するためのプロセスは充分に確立されている。薄膜トランジスターは、例えば、様々な蒸着およびフォトリソグラフィー技術を用いて製作することができる。トランジスターはゲート電極、絶縁誘電体層、半導体層、ならびにソース電極およびドレイン電極を含む。ゲート電極への電圧の印可は、誘電体層を横断する電場をもたらし、これにより、半導体層のソース−ドレインの電気伝導度が劇的に増大する。この変化は、ソース電極とドレイン電極との間の電気伝導を可能にする。典型的には、ゲート電極、ソース電極およびドレイン電極はパターン化されている。一般的には、近接する回路素子間における迷走伝導(すなわち、クロストーク)を最小化するため、半導体層もパターン化されている。 The process for manufacturing active matrix displays is well established. Thin film transistors can be fabricated using, for example, various deposition and photolithography techniques. The transistor includes a gate electrode, an insulating dielectric layer, a semiconductor layer, and a source electrode and a drain electrode. Application of a voltage to the gate electrode results in an electric field across the dielectric layer, which dramatically increases the source-drain electrical conductivity of the semiconductor layer. This change allows electrical conduction between the source and drain electrodes. Typically, the gate electrode, source electrode and drain electrode are patterned. In general, the semiconductor layer is also patterned to minimize stray conduction (ie, crosstalk) between adjacent circuit elements.
液晶ディスプレーは、通常、表示ピクセル用のスイッチングデバイスとしてアモルファスシリコーン(「a−Si」)薄膜トランジスター(「TFT」)を使用する。このようなTFTは、典型的には、ボトムゲート構造を有している。1つのピクセル内において、薄膜キャパシターは、典型的には、スイッチングTFTにより運搬された電荷を保持する。電気泳動ディスプレーもキャパシターを伴う同様なTFTを使用することができるが、これらのキャパシターの機能は液晶ディスプレーの場合と幾分異なっている;第WO 00/67327号、ならびに上述の第2002/0106847号および第2002/0060321号を参照のこと。これらの薄膜トランジスターは高性能をもたらすべく製作することができる。しかし、この製造プロセスはかなりの経費を招き得る。 Liquid crystal displays typically use amorphous silicone (“a-Si”) thin film transistors (“TFTs”) as switching devices for display pixels. Such a TFT typically has a bottom gate structure. Within a pixel, a thin film capacitor typically holds the charge carried by the switching TFT. Electrophoretic displays can use similar TFTs with capacitors, but the function of these capacitors is somewhat different from that of liquid crystal displays; WO 00/67327, as well as the aforementioned 2002/0106847. And see 2002/0060321. These thin film transistors can be fabricated to provide high performance. However, this manufacturing process can incur significant costs.
TFTアドレッシングアレイにおいては、ピクセル電極はラインアドレス時間の間にTFT’sを介して充電される。ラインアドレス時間の間、TFTは、加えるゲート電圧を変えることにより、導通状態に切り替えられる。例えば、n−型TFTの場合、ゲート電圧が「高電圧」状態に切り替えられ、これにより、TFTが導通状態に切り替わる。 In a TFT addressing array, pixel electrodes are charged via TFT's during line address time. During the line address time, the TFT is switched to a conducting state by changing the applied gate voltage. For example, in the case of an n-type TFT, the gate voltage is switched to a “high voltage” state, and thereby the TFT is switched to a conductive state.
望ましくないことに、ピクセル電極は、典型的には、TFTチャンネルを枯渇状態にもたらすべく選定ライン電圧を変えたときに電圧シフトを呈する。このピクセル電極の電圧シフトは、ピクセル電極とTFTゲート電極との間のキャパシタンスにより生じる。この電圧シフトは:
ΔVp=GgpΔ/(Cgp+Cp+Cs)
としてモデル化することができ、ここで、Cgpはゲート−ピクセルキャパシタンスであり、Cpはピクセルキャパシタンスであり、Csはストレージキャパシタンスであり、ΔはTFTが事実上空乏状態にあるときのゲート電圧シフトの割合である。この電圧シフトは通常「ゲート貫通」と呼ばれることがある。Undesirably, the pixel electrode typically exhibits a voltage shift when the selected line voltage is changed to bring the TFT channel into a depleted state. This voltage shift of the pixel electrode is caused by the capacitance between the pixel electrode and the TFT gate electrode. This voltage shift is:
ΔVp = Ggp Δ / (Cgp + Cp + Cs )
Where Cgp is the gate-pixel capacitance, Cp is the pixel capacitance, Cs is the storage capacitance, and Δ is the gate when the TFT is effectively depleted. This is the ratio of voltage shift. This voltage shift is sometimes referred to as “gate through”.
ゲート貫通は、上面電圧(コモンフロント電極に加えられる電圧)をΔVpだけシフトさせることにより補償することができる。しかしΔVpはピクセル毎のCgpの変動によりピクセル毎に異なっているため、複雑な事態が生じる。従って、平均的なピクセル電圧のシフトを補償すべく上面がシフトされたときであっても、電圧バイアスが存続することがある。この電圧バイアスはピクセルの光学的状態におけるエラーの原因となることがあり、更には、電気光学媒質を劣質化させる可能性がある。Gate penetration can be compensated for by shifting the top voltage (voltage applied to the common front electrode) by ΔVp . However, since ΔVp varies from pixel to pixel due to variations in Cgp from pixel to pixel, a complicated situation arises. Thus, the voltage bias may persist even when the top surface is shifted to compensate for the average pixel voltage shift. This voltage bias can cause errors in the optical state of the pixel and can further degrade the electro-optic medium.
Cgpの変動は、例えばTFTのゲートおよびソース−ドレインレベルを形成するために使用される2つの導電層間のミスアラインメント;ゲートの誘電体厚みにおける変動;およびラインエッチにおける変動、すなわち、ライン幅エラー;によってもたらされる。Variations in Cgp are, for example, misalignment between two conductive layers used to form the gate and source-drain levels of a TFT; variation in gate dielectric thickness; and variation in line etch, ie, line width error Brought about by;
ドレイン電極を完全にオーバーラップするゲート電極を利用することにより、導電層の誤整列に対する幾分かの許容度を得ることができる。しかし、この技法は大きなゲート−ピクセルキャパシタンスをもたらし得る。大きなゲート−ピクセルキャパシタンスは、選定ライン電圧レベルのうちの1つにおける大きな補償の必要性を引き起こす可能性がある。その上、現存のアドレッシング構造は、例えばゲート−ピクセルキャパシタンスにおけるピクセル毎の変動により、意図していないバイアス電圧をもたらすことがある。このような電圧は、特に長期間にわたって存在する場合、特定の電気光学媒質に有害な影響を及ぼしかねない。 By utilizing a gate electrode that completely overlaps the drain electrode, some tolerance to misalignment of the conductive layer can be obtained. However, this technique can result in large gate-pixel capacitance. A large gate-pixel capacitance can cause a need for a large compensation at one of the selected line voltage levels. Moreover, existing addressing structures can result in unintended bias voltages due to, for example, pixel-to-pixel variations in gate-pixel capacitance. Such a voltage can have a detrimental effect on certain electro-optic media, especially when present for extended periods of time.
前述の種々の問題により、電圧閾値を伴わない状態で電気光学媒質を用いる双安定型の電気光学ディスプレーを設計することが困難になる。ディスプレーの幾つかのピクセルは頻繁にはアップデートされず、そうすると、可能な限り、ピクセルの光学的状態が非摂動状態のままであることを確かめなければならない。実際には、これは、ピクセルに加えられる寄生電圧スパイクの量および振幅を最小化することを意味している。 The various problems described above make it difficult to design a bistable electro-optic display that uses an electro-optic medium without a voltage threshold. Some pixels of the display are not updated frequently, and it must be ensured that the optical state of the pixel remains unperturbed whenever possible. In practice, this means minimizing the amount and amplitude of parasitic voltage spikes applied to the pixel.
1つの例として、上で説明されている通常の仕方で走査される能動マトリックス型ディスプレーのソース(データ)ラインに加えられる電圧について考えてみよう。カプセル方式による電気泳動ディスプレーにおいては、これらのラインは、このディスプレーのあらゆるラインアドレス時間(能動マトリックス型ディスプレーのある与えられた横列を選択するための時間)と同程度に頻繁に、コモン電極に対して相対的に+15Vと−15Vとの間で切り替わっている。これらの電圧はディスプレーのピクセル電極に直接的に容量結合され、この結合は、フィールド遮蔽ピクセル設計においては非常に強力であり得る。これらの結合電圧スパイクが長期にわたってDCバランスされた状態に拘束されたとしても、これらの電圧スパイクの連続的な印可はピクセルの光学的状態に変化をもたらし得る。 As an example, consider the voltage applied to the source (data) line of an active matrix display that is scanned in the normal manner described above. In an encapsulated electrophoretic display, these lines are relative to the common electrode as often as every line address time of this display (the time to select a given row of an active matrix display). Relatively switch between + 15V and -15V. These voltages are capacitively coupled directly to the pixel electrodes of the display, and this coupling can be very strong in field shielded pixel designs. Even if these combined voltage spikes are constrained to DC balance over time, the continuous application of these voltage spikes can cause changes in the optical state of the pixel.
これらの電圧スパイク、およびそこからもたらされる種々の問題は、各ピクセル電極にピクセルストレージキャパシターを結合することにより低減できることが知られている;例えば、上述の第2002/0106847号を参照のこと。先行技術においては、これらの電圧スパイクの影響を最小化または排除するための本質的に唯一の実践可能な方法は、ピクセルストレージキャパシターのサイズを大きくすることであり、これは、ディスプレーの電力消費量をかなり増大させる。これに加え、大きなサイズのストレージキャパシターは、達成可能な最大解像度を制限し、更には、金属−金属オーバーラップの面積が増大することにより、結果としてパネルの歩留まりを低減させる可能性がある。 It is known that these voltage spikes, and the various problems resulting therefrom, can be reduced by coupling a pixel storage capacitor to each pixel electrode; see, for example, 2002/0106847 above. In the prior art, essentially the only practical way to minimize or eliminate the effects of these voltage spikes is to increase the size of the pixel storage capacitor, which is the power consumption of the display. Increase considerably. In addition, large size storage capacitors can limit the maximum achievable resolution, and further increase the area of the metal-to-metal overlap, resulting in reduced panel yield.
今や、上述で検討されている問題は、能動マトリックス型の電気光学ディスプレーにおいて、電圧閾値を呈する電気光学媒質、すなわち、低電圧ではあるがゼロではない電圧を掛けられたときに本質的に切り替わらない媒質を用いることにより、低減または排除できることが判明した。 Now, the problem discussed above is essentially not switched in an active matrix electro-optic display when applied with an electro-optic medium exhibiting a voltage threshold, i.e. a low but non-zero voltage. It has been found that the use of a medium can reduce or eliminate.
1つの態様においては、本発明は、懸濁流体中に懸濁された帯電粒子を含む電気泳動媒質を提供し、この粒子は、これらのモノマーのホモポリマーが上述の懸濁流体に対して非相溶性である少なくとも1つのモノマーから誘導された反復単位を有する高分子シェルを有している。 In one aspect, the present invention provides an electrophoretic medium comprising charged particles suspended in a suspending fluid, wherein the particles are homopolymers of these monomers with respect to the suspending fluid described above. It has a polymeric shell with repeating units derived from at least one monomer that is compatible.
本発明のこの態様は、以後、便宜上、「非相溶性モノマー媒質」と呼ばれることがある。このような媒質において、上述の高分子シェルは、望ましくは、更に、これらのモノマーのホモポリマーが上述の懸濁流体との相溶性を有する少なくとも1つのモノマーから誘導された反復単位を含んでいる。相溶性のホモポリマーを形成する1種類または複数種類のモノマー(これらのモノマーは、以後、便宜上、「相溶性モノマー」と呼ばれることがある)は、重量でポリマーシェルのうちの約15パーセントから約99パーセントまで、好適には約50パーセントから約99パーセントを構成していてよい。この懸濁流体は典型的には炭化水素であるが、炭化水素と他の相溶性溶媒、例えばハロカーボンなどとの混合物も使用することができる。代替的に、シリコーン流体またはフルオロカーボンを懸濁流体として使用することもできる。 This aspect of the present invention may hereinafter be referred to as “incompatible monomer medium” for convenience. In such a medium, the polymeric shell described above desirably further comprises repeating units derived from at least one monomer in which the homopolymer of these monomers is compatible with the suspending fluid described above. . One or more monomers that form compatible homopolymers (these monomers may hereinafter be referred to as “compatible monomers” for convenience) from about 15 percent to about 15 percent of the polymer shell by weight. It may constitute up to 99 percent, preferably from about 50 percent to about 99 percent. The suspending fluid is typically a hydrocarbon, but mixtures of hydrocarbons with other compatible solvents such as halocarbons can also be used. Alternatively, silicone fluids or fluorocarbons can be used as the suspending fluid.
非相溶性ホモポリマーを形成するモノマー(このモノマーは、以後、便宜上、「非相溶性モノマー」と呼ばれることがある)。個々のモノマーを非相溶性モノマーであると見なすことができるかどうかは、使用される特定の懸濁流体に依存しており、また、特定のモノマーは、1つの懸濁流体中においては非相溶性モノマーであり、異なる懸濁流体中においては相溶性モノマーであり得ることが認識されよう。例えば、メタクリル酸ラウリルは、脂肪族炭化水素懸濁流体中においては相溶性モノマーであるが、シリコーン懸濁流体中においては、通常、非相溶性モノマーであろう。 A monomer that forms an incompatible homopolymer (this monomer may hereinafter be referred to as an “incompatible monomer” for convenience). Whether an individual monomer can be considered an incompatible monomer depends on the particular suspending fluid used, and the particular monomer is incompatible in one suspending fluid. It will be appreciated that they are soluble monomers and can be compatible monomers in different suspension fluids. For example, lauryl methacrylate is a compatible monomer in aliphatic hydrocarbon suspension fluids, but will usually be an incompatible monomer in silicone suspension fluids.
炭化水素のみからなる媒質またはおもに炭化水素からなる媒質の場合、非相溶性モノマーは、約8個以下の炭素原子を含有するアルコールから形成されたアクリレートおよびメタクリレート(前述のアルコールは、場合によって、ヒドロキシルもしくはハロゲン、または他の極性置換基、例えばカルボキシル基、シアノ基、ケトンもしくはアルデヒド基などを含む);アクリルアミドおよびメタクリルアミド;N,N−ジアルキルアクリルアミド;N−ビニルピロリドン;スチレンおよびスチレンの誘導体;ビニルエステル;ならびにビニルハロゲン化物;のうちのいずれか1つまたはそれ以上であってよい。非相溶性モノマーの特定の例はメタクリル酸メチル、メタクリル酸エチル、メタクリル酸ブチル、メタクリル酸イソブチル、メタクリル酸t−ブチル、メタクリル酸オクチル、メタクリル酸2−エチルヘキシル、メタクリル酸2−ヒドロキシエチル、アクリルアミド、アクリル酸、アクリロニトリル、メチルビニルケトン、メタクリルアミド、N−ビニルピロリドン、スチレン、酢酸ビニル、塩化ビニルおよび塩化ビニリデンを含む。非相溶性モノマーの更なる例はアクリル酸およびメタクリル酸のフッ素含有エステル、例えばメタクリル酸トリフルオロエチル、アクリル酸ヘキサフルオロブチルなど、または他の種のフッ素化モノマー、例えばペンタフルオロスチレンもしくは重合可能な官能基を含有する他のポリフルオロ芳香族分子などを含む。炭化水素媒質中における他のクラスの非相溶性モノマーは、構造中に重合可能なビニル基を含むシリコーン含有分子を含む。以下の実施例に記載されている本発明の特定の炭化水素媒質中においては、相溶性モノマーはメタクリル酸ラウリルを含み、非相溶性モノマーはメタクリル酸トリフルオロエチル、アクリル酸ヘキサフルオロブチル、スチレン、メタクリル酸t−ブチルおよびN−ビニルピロリドンのうちのいずれか1つまたはそれ以上を含む。 In the case of a medium consisting solely of hydrocarbons or mainly a medium consisting of hydrocarbons, the incompatible monomers are acrylates and methacrylates formed from alcohols containing up to about 8 carbon atoms. Or halogen, or other polar substituents such as carboxyl, cyano, ketone or aldehyde groups); acrylamide and methacrylamide; N, N-dialkylacrylamide; N-vinylpyrrolidone; styrene and styrene derivatives; One or more of esters; as well as vinyl halides. Specific examples of incompatible monomers are methyl methacrylate, ethyl methacrylate, butyl methacrylate, isobutyl methacrylate, t-butyl methacrylate, octyl methacrylate, 2-ethylhexyl methacrylate, 2-hydroxyethyl methacrylate, acrylamide, Including acrylic acid, acrylonitrile, methyl vinyl ketone, methacrylamide, N-vinyl pyrrolidone, styrene, vinyl acetate, vinyl chloride and vinylidene chloride. Further examples of incompatible monomers include fluorine-containing esters of acrylic acid and methacrylic acid, such as trifluoroethyl methacrylate, hexafluorobutyl acrylate, or other types of fluorinated monomers such as pentafluorostyrene or polymerizable Including other polyfluoroaromatic molecules containing functional groups. Another class of incompatible monomers in hydrocarbon media includes silicone-containing molecules that contain vinyl groups that are polymerizable in the structure. In certain hydrocarbon media of the invention described in the following examples, the compatible monomer comprises lauryl methacrylate and the incompatible monomer is trifluoroethyl methacrylate, hexafluorobutyl acrylate, styrene, Any one or more of t-butyl methacrylate and N-vinyl pyrrolidone are included.
他のタイプの懸濁流体、例えばフルオロカーボン媒質の場合、上述のタイプの非相溶性モノマーのうちの多くのものを、相溶性モノマーとしての大きな割合のフルオロカーボンモノマーと共に使用することができる。同様に、シリコーン懸濁流体の場合には、相溶性モノマーは大多数のシリコーン基を含んでいてよく、非相溶性モノマーは、大多数のシリコーン官能性を含むものを除き、上述でリストアップされているあらゆるモノマーを含むことができる。 For other types of suspending fluids, such as fluorocarbon media, many of the above-mentioned types of incompatible monomers can be used with a large proportion of the fluorocarbon monomer as a compatible monomer. Similarly, in the case of a silicone suspending fluid, the compatible monomer may contain a majority of silicone groups, and the incompatible monomer is listed above except for those containing a majority of silicone functionality. Any monomer can be included.
非相溶性モノマー媒質は、更に、もう一方の(第一の)1つまたは複数の帯電粒子の光学的特性とは異なる少なくとも1つの光学的特性を有する第二のタイプの帯電粒子を含んでいてよく、この第二のタイプの帯電粒子も高分子シェルを有している。このような二粒子系の1つの形態においては、第一の帯電粒子はチタニアを含み、第二のタイプの帯電粒子はカーボンブラックまたはクロム酸銅を含む。 The incompatible monomer medium further comprises a second type of charged particles having at least one optical property different from the optical properties of the other (first) one or more charged particles. Well, this second type of charged particle also has a polymeric shell. In one form of such a two particle system, the first charged particles comprise titania and the second type of charged particles comprises carbon black or copper chromate.
また、この発明は、本発明の非相溶性モノマー媒質中において使用するための電気泳動粒子も提供する。懸濁流体として炭化水素またはハロカーボンを用いる電気泳動媒質においては、この電気泳動粒子(以後、便宜上、「非相溶性モノマー粒子」と呼ぶ)は、これらのモノマーのホモポリマーがn−ヘキサンに対して非相溶性である少なくとも1つのモノマーから誘導された反復単位を有する高分子シェルを有する顔料粒子を含む。(電気泳動媒質の技術に長けた者にとっては明らかなように、このような媒質中において典型的に使用される炭化水素懸濁流体は低分子量脂肪族炭化水素の様々な混合物を含み、不明確さを回避するため、このような炭化水素混合物との相溶性を試験するための単一試験化合物としてn−ヘキサンを使用することができる。)
本発明の非相溶性モノマー粒子においては、高分子シェルは、更に、これらのモノマーのホモポリマーがn−ヘキサンとの相溶性を有する少なくとも1つのモノマーから誘導された反復単位を含んでいてよい。この相溶性モノマーは、重量でポリマーシェルのうちの約15パーセントから約99パーセントまで、好適には約50パーセントから約99パーセントまでを構成していてよい。上述の非相溶性モノマーは、上述のパラグラフ56でリストアップされているもののうちのいずれか1つまたはそれ以上を含んでいてよい。以下の実施例に記載されている本発明の特定の粒子においては、相溶性モノマーはメタクリル酸ラウリルを含み、非相溶性モノマーはスチレン、メタクリル酸t−ブチルおよびN−ビニルピロリドンのうちのいずれか1つまたはそれ以上を含む。本発明の粒子を形成するために使用される顔料は、例えばチタニア、カーボンブラックおよびクロム酸銅のうちのいずれか1つまたはそれ以上であってよい。The present invention also provides electrophoretic particles for use in the incompatible monomer medium of the present invention. In electrophoretic media that use hydrocarbons or halocarbons as the suspending fluid, the electrophoretic particles (hereinafter referred to as “incompatible monomer particles” for convenience) have homopolymers of these monomers relative to n-hexane. And pigment particles having a polymeric shell with repeating units derived from at least one monomer that is incompatible. (As will be apparent to those skilled in the art of electrophoretic media, the hydrocarbon suspension fluids typically used in such media contain various mixtures of low molecular weight aliphatic hydrocarbons and are unclear. To avoid this, n-hexane can be used as a single test compound for testing compatibility with such hydrocarbon mixtures.)
In the incompatible monomer particles of the present invention, the polymeric shell may further comprise repeating units derived from at least one monomer in which the homopolymer of these monomers is compatible with n-hexane. The compatible monomer may comprise from about 15 percent to about 99 percent, preferably from about 50 percent to about 99 percent of the polymer shell by weight. The incompatible monomers described above may include any one or more of those listed in paragraph 56 above. In the specific particles of the invention described in the following examples, the compatible monomer comprises lauryl methacrylate and the incompatible monomer is any of styrene, t-butyl methacrylate and N-vinyl pyrrolidone. Includes one or more. The pigment used to form the particles of the present invention may be any one or more of titania, carbon black and copper chromate, for example.
別の態様においては、本発明は、フッ素化され、シリコーンをベースとした懸濁流体中において使用するための同様な電気泳動粒子を提供する。従って、本発明は、これらのモノマーのホモポリマーがペルフルオロデカリンに対して非相溶性である少なくとも1つのモノマーから誘導された反復単位を有する高分子シェルを有する顔料粒子を含む電気泳動粒子を提供する。また、本発明は、これらのモノマーのホモポリマーがポリジメチルシロキサン200、粘度0.65センチストークスに対して非相溶性である少なくとも1つのモノマーから誘導された反復単位を有する高分子シェルを有する顔料粒子を含む電気泳動粒子も提供する。 In another aspect, the present invention provides similar electrophoretic particles for use in a fluorinated, silicone-based suspending fluid. Accordingly, the present invention provides electrophoretic particles comprising pigment particles having a polymeric shell having repeating units derived from at least one monomer in which the homopolymer of these monomers is incompatible with perfluorodecalin. . The present invention also provides a pigment having a polymeric shell having a repeating unit derived from at least one monomer in which the homopolymer of these monomers is incompatible with polydimethylsiloxane 200, a viscosity of 0.65 centistokes Electrophoretic particles comprising the particles are also provided.
別の態様においては、本発明は、電気泳動媒質であって:
懸濁流体;
上述の懸濁流体中に懸濁された第一のタイプの帯電粒子であって、第一の光学的特性および高分子シェルを有する第一のタイプの粒子;および
上述の第一の光学的特性とは異なる第二の光学的特性および高分子シェルを有する第二のタイプの粒子;
を含み、
上述の高分子シェルは、上述の第一および第二のタイプの粒子における同種凝集の方が異種凝集よりも熱力学的に起こりやすくなるようになされている;
電気泳動媒質を提供する。In another aspect, the present invention is an electrophoretic medium comprising:
Suspension fluid;
A first type of charged particles suspended in the suspending fluid as described above, the first type of particles having a first optical property and a polymeric shell; and the first optical property as described above. A second type of particles having a second optical property different from that of the polymer shell;
Including
The polymer shell described above is adapted such that homogenous aggregation in the first and second types of particles described above is more likely to occur thermodynamically than heterogeneous aggregation;
An electrophoretic medium is provided.
この媒質は、以後、便宜上、本発明の「同種凝集媒質」と呼ばれることがある。本発明の複式粒子型非相溶性モノマー媒質と同種凝集媒質との間には、多くの媒質が両方の定義を同時に満たすことができるという意味において、かなりのオーバーラップがあることが理解されよう。 This medium is hereinafter sometimes referred to as the “homogeneous aggregation medium” of the present invention for convenience. It will be appreciated that there is considerable overlap between the dual particle incompatible monomer medium of the present invention and the homogeneous agglomeration medium in the sense that many media can satisfy both definitions simultaneously.
本発明の同種凝集媒質においては、第一および第二のタイプの粒子における高分子シェルは、それぞれ、これらのモノマーのホモポリマーが懸濁流体に対して非相溶性である少なくとも1つのモノマーから誘導された反復単位を含むことができる。それぞれの高分子シェルは、更に、これらのモノマーのホモポリマーが懸濁流体との相溶性を有する少なくとも1つのモノマーから誘導された反復単位を含むことができる。相溶性モノマーは、重量でポリマーシェルのうちの約15パーセントから約99パーセントまで、好適には約50パーセントから約99パーセントまでを構成していてよい。懸濁流体は約5未満の誘電定数を有していてよく、炭化水素、好適には脂肪族炭化水素を含んでいてよい。代替的に、懸濁流体はアリール−アルカンまたはドデシルベンゼンを含んでいてもよい。 In the homogeneous agglomeration medium of the present invention, the polymeric shells in the first and second types of particles are each derived from at least one monomer in which the homopolymer of these monomers is incompatible with the suspending fluid. Repeated units may be included. Each polymeric shell can further comprise repeating units derived from at least one monomer in which the homopolymers of these monomers are compatible with the suspending fluid. The compatible monomer may comprise from about 15 percent to about 99 percent, preferably from about 50 percent to about 99 percent of the polymer shell by weight. The suspending fluid may have a dielectric constant less than about 5 and may include hydrocarbons, preferably aliphatic hydrocarbons. Alternatively, the suspending fluid may comprise an aryl-alkane or dodecylbenzene.
また、非相溶性モノマーは、上述のパラグラフ46でリストアップされているもののうちのいずれか1つまたはそれ以上を含んでいてもよい。同種凝集媒質の1つの好適な形態においては、相溶性モノマーはメタクリル酸ラウリルを含み、非相溶性モノマーはスチレン、メタクリル酸t−ブチルおよびN−ビニルピロリドンのうちのいずれか1つまたはそれ以上を含む。 Incompatible monomers may also include any one or more of those listed in paragraph 46 above. In one preferred form of the homogeneous agglomeration medium, the compatible monomer comprises lauryl methacrylate and the incompatible monomer comprises any one or more of styrene, t-butyl methacrylate and N-vinyl pyrrolidone. Including.
以下で詳しく説明されている理由により、本発明の同種凝集媒質は動作電圧閾値を有していてよい。この媒質はカプセル方式によるものであってよく、すなわち、懸濁流体および粒子が複数のカプセルまたはセル内に保持されていてよい。 For reasons explained in detail below, the homogeneous agglomerated media of the present invention may have an operating voltage threshold. This medium may be in a capsule manner, i.e. the suspending fluid and particles may be held in a plurality of capsules or cells.
また、本発明は、本発明におけるいずれかのタイプの電気泳動媒質と、電気泳動媒質に隣接して配置され、この電気泳動媒質に電場を加えるため、配置された少なくとも1つの電極とを含む電気泳動ディスプレーも提供する。 The present invention also includes an electrophoretic medium of any type according to the present invention, and an electrophoretic medium disposed adjacent to the electrophoretic medium, and at least one electrode disposed to apply an electric field to the electrophoretic medium. An electrophoretic display is also provided.
更に、本発明は、電気光学媒質の層;および、この電気光学媒質の層に隣接して配置され、この電気光学媒質の層に電場を加えるため、配置された複数のピクセル電極;を含み、前述の電気光学媒質が電圧閾値を呈する、能動マトリックス型の電気光学ディスプレーも提供する。 The present invention further includes: a layer of electro-optic medium; and a plurality of pixel electrodes disposed adjacent to the layer of electro-optic medium and arranged to apply an electric field to the layer of electro-optic medium; An active matrix electro-optic display is also provided in which the electro-optic medium described above exhibits a voltage threshold.
この電気光学ディスプレーは、以後、便宜上、本発明の「電圧閾値型ディスプレー」と呼ばれることがある。このようなディスプレーにおいては、キャパシターが各ピクセル電極と結合されてよい。本電気光学媒質は、懸濁流体中に懸濁され、この電気光学媒質に電場を加えたときに本媒質中を移動することができる複数の帯電粒子を含んでいてよい。これらの帯電粒子は、これらのモノマーのホモポリマーが前述の懸濁流体に対して非相溶性である少なくとも1つのモノマーから誘導された反復単位を有する高分子シェルを有していてよい。また、この電気光学媒質は本発明の同種凝集媒質であってもよい。 This electro-optical display is hereinafter sometimes referred to as a “voltage threshold type display” of the present invention for convenience. In such a display, a capacitor may be associated with each pixel electrode. The electro-optic medium may include a plurality of charged particles that are suspended in a suspending fluid and that can move through the medium when an electric field is applied to the electro-optic medium. These charged particles may have a polymeric shell having repeating units derived from at least one monomer in which the homopolymer of these monomers is incompatible with the aforementioned suspending fluid. The electro-optic medium may be the same kind of aggregating medium of the present invention.
最後に、本発明は、ポリマー被覆顔料粒子を製造するためのプロセスを提供し、このプロセスは:
(a)顔料粒子を、この粒子と反応して粒子に結合することができる官能基を有し、また、重合可能な基または重合開始基も有する試薬と反応させ、これにより、前述の官能基を粒子の表面と反応させ、粒子の表面に前述の重合可能な基を付着させる工程;および
(b)上述の工程(a)の生成物を、粒子上の前述の重合可能な基または重合開始基と少なくとも1つのモノマーまたはオリゴマーとの反応を生じさせるのに効果的な条件下において、少なくとも1つのモノマーまたはオリゴマーと反応させ、これにより、顔料粒子に結合されたポリマーを形成させる工程;
を含み、
ここで、上述の工程(b)は脂肪族炭化水素中において実施される。Finally, the present invention provides a process for producing polymer coated pigment particles, which process:
(A) The pigment particle is reacted with a reagent having a functional group capable of reacting with the particle and binding to the particle, and also having a polymerizable group or a polymerization initiating group. Reacting with the surface of the particles to attach the aforementioned polymerizable groups to the surface of the particles; and (b) the aforementioned polymerizable groups on the particles or the polymerization initiation on the product of step (a) above Reacting with at least one monomer or oligomer under conditions effective to cause a reaction of the group with at least one monomer or oligomer, thereby forming a polymer bound to the pigment particles;
Including
Here, the above-mentioned step (b) is carried out in an aliphatic hydrocarbon.
このプロセスは、以後、便宜上、本発明の「脂肪族重合プロセス」と呼ばれることがある。 This process is hereinafter sometimes referred to as the “aliphatic polymerization process” of the present invention for convenience.
既に指示されているように、本発明は、高分子シェルを有する粒子を使用する電気泳動媒質、このような媒質中において使用するための電気泳動粒子、このような媒質または同様な電気光学媒質を含有する電気泳動ディスプレー、および前述の高分子シェルを調製するためのプロセスに関係する。電気泳動粒子、電気泳動粒子上にポリマーシェルを形成するためのプロセス、電気泳動媒質、およびこのような粒子を組み込んだディスプレーに関する背景となる情報については、読者は、前述の第WO 02/093246号、特に12ページから41ページまでを参照のこと。また、前述の第2002/0185378号のパラグラフ(0124)から(0165)までも参照のこと。この情報については、これらの公開出願公報から容易に入手可能なため、本発明の電気泳動粒子、媒質、ディスプレーおよびプロセスがこの国際出願公報に記載されている同種のものとどのように異なっているのかを説明するために必要な程度を除き、ここでは繰返し説明しない。 As already indicated, the present invention relates to an electrophoretic medium using particles having a polymeric shell, an electrophoretic particle for use in such a medium, such a medium or similar electro-optic medium. It relates to the electrophoretic display containing and the process for preparing the aforementioned polymer shell. For background information on electrophoretic particles, processes for forming polymer shells on electrophoretic particles, electrophoretic media, and displays incorporating such particles, the reader is referred to the aforementioned WO 02/093246. See especially pages 12 to 41. See also paragraphs (0124) to (0165) of the aforementioned 2002/0185378. Because this information is readily available from these published applications, how the electrophoretic particles, media, displays and processes of the present invention differ from the similar ones described in this international application. Except to the extent necessary to explain whether or not, it will not be repeated here.
本発明の電気泳動粒子上に存在するポリマーシェルは、ポリマーの表面に付加的なポリマーを形成することができないであろうという意味における完全な状態までには粒子の表面を覆っていなくてよく;実際、以下で検討されているように、第二の重合工程は、通常、粒子の表面に付加的なポリマーを形成することが分かっている。従って、本明細書における「ポリマーシェル」という用語の使用は、更なる重合工程により粒子上に付加的なポリマーを形成する可能性を排除するポリマーコーティングを意味しない。 The polymer shell present on the electrophoretic particles of the present invention may not cover the surface of the particle to perfection in the sense that no additional polymer could be formed on the surface of the polymer; In fact, as discussed below, it has been found that the second polymerization step usually forms an additional polymer on the surface of the particles. Thus, the use of the term “polymer shell” herein does not imply a polymer coating that excludes the possibility of forming additional polymers on the particles by further polymerization steps.
多くのセラミック酸化物顔料に結合するための好適なクラスの官能基、ただし、特にはシリカ−および/またはアルミナ−被覆チタニアおよび同様なシリカ−被覆顔料に結合するための好適なクラスの官能基は、シランカップリング基、特にトリアルコキシシランカップリング基である。重合可能な基をチタニアおよび同様な顔料に付着させるための1つの好適な試薬は、上述のメタクリル酸3−(トリメトキシシリル)プロピル:
H2C=C(CH3)CO2(CH2)3Si(OCH3)3 (I)
である。この材料は、Z6030の商品名でDow Chemical Company,Wilmington,Delawareから市販されている。対応するアクリレートも使用することができる。別の有用な試薬は、化学式:
H2C=CHC6H4CH2NHCH2CH2NH(CH2)3Si(OCH3)3.HCl
(II)
のアミノシリル誘導体である。Suitable classes of functional groups for bonding to many ceramic oxide pigments, but in particular suitable classes of functional groups for bonding to silica- and / or alumina-coated titania and similar silica-coated pigments are A silane coupling group, in particular a trialkoxysilane coupling group. One suitable reagent for attaching the polymerizable group to titania and similar pigments is 3- (trimethoxysilyl) propyl methacrylate described above:
H2 C═C (CH3 ) CO2 (CH2 )3 Si (OCH3 )3 (I)
It is. This material is commercially available from Dow Chemical Company, Wilmington, Delaware under the trade name Z6030. Corresponding acrylates can also be used. Another useful reagent has the chemical formula:
H 2 C = CHC 6 H 4
(II)
Is an aminosilyl derivative.
この電気泳動粒子の周囲に後で形成されることとなるポリマーシェルのための「アンカー」を提供することに加え、これらのシリルメタ(アクリレート)は、適切な1つまたは複数の帯電剤の存在下において最終的な電気泳動粒子に所望の電荷を獲得する能力を付与する電荷コントロール基も含んでいる。正に帯電した粒子が所望の場合には式(II)の試薬が使用され、一方、式(I)の試薬は負に帯電した粒子を与える。どちらの試薬も、勿論、溶液中で発生する高分子ラジカルのグラフト化を可能にする重合可能なビニル基を含んでいる。 In addition to providing an “anchor” for the polymer shell that will later be formed around the electrophoretic particles, these silylmeth (acrylates) are present in the presence of one or more suitable charging agents. In addition, it also includes a charge control group that confers the ability to acquire the desired charge on the final electrophoretic particle. If positively charged particles are desired, the reagent of formula (II) is used, while the reagent of formula (I) gives negatively charged particles. Both reagents, of course, contain polymerizable vinyl groups that allow the grafting of polymer radicals generated in solution.
実際には、電気泳動媒質中における懸濁流体は、典型的には、低値の誘電定数を有する液体、例えば炭化水素、ハロカーボン(特にフルオロカーボン)またはシリコーンなどである。本発明の非相溶性モノマー媒質は、これらのタイプの懸濁流体のうちのいずれをも使用することができる。以下では、おもに、炭化水素懸濁流体を含む媒質について言及しながら本発明が説明されるが、このような懸濁流体中におけるコロイド化学に長けた者であれば、他のタイプの懸濁流体を使用するための媒質の改変はすぐに分かるであろう。このポリマーシェル自体は、典型的には、大きな割合の炭化水素鎖(すなわち、懸濁化媒質との高い相溶性を有するホモポリマーを形成する連鎖)を含んでおり;帯電させることを目的としてもたらされた基、および、以下で検討されているように、懸濁流体との相溶性を調節することを目的としてもたらされた基の場合を除き、多数の強い極性またはイオン性を帯びた基は望ましくない。また、少なくとも、その中で粒子が使用されることとなる媒質が脂肪族炭化水素懸濁流体を含んでいる場合(通常はこのケースに該当する)には、ポリマーは、主鎖およびこの主鎖から延びる複数の側鎖を伴った分枝状または「櫛状」の構造を有していることが有利である。これらの各側鎖は少なくとも約4個、好適には少なくとも約6個の炭素原子を有しているべきである。実質的に長めの側鎖が有利であり得る;例えばラウリル(C12)側鎖。側鎖は、それ自体が枝分かれしていてよく;例えば、各側鎖は、2−エチルヘキシル基などの分枝状のアルキル基であり得よう。(本発明はこの確信により決して制限されるものではないが)炭化水素をベースとした懸濁流体に対する炭化水素鎖の高い親和性のため、このポリマーの枝は、大きな体積の液体を通じてブラシまたは木のような構造で次々に伸び、これにより、他の同様な粒子との近接した連合が防止され、これらの粒子を懸濁流体中においてコロイド的に安定した状態にもたらすものと確信される。In practice, the suspending fluid in the electrophoretic medium is typically a liquid having a low dielectric constant, such as a hydrocarbon, halocarbon (especially a fluorocarbon) or silicone. The incompatible monomer medium of the present invention can use any of these types of suspending fluids. In the following, the present invention will be described mainly with reference to a medium containing a hydrocarbon suspending fluid, although other types of suspending fluids are suitable for those skilled in colloid chemistry in such suspending fluids. Modification of the medium to use is immediately apparent. The polymer shell itself typically contains a large proportion of hydrocarbon chains (ie, chains that form a homopolymer that is highly compatible with the suspending medium); Except in the case of a released group and a group brought about to adjust the compatibility with the suspending fluid, as discussed below, it has a number of strong polar or ionic properties Groups are undesirable. Also, at least if the medium in which the particles are to be used contains an aliphatic hydrocarbon suspending fluid (usually this case), the polymer has a main chain and this main chain. Advantageously, it has a branched or “comb” structure with multiple side chains extending from it. Each of these side chains should have at least about 4, preferably at least about 6 carbon atoms. Substantially longer side chains may be advantageous; for example, lauryl (C12 ) side chains. The side chains may themselves be branched; for example, each side chain could be a branched alkyl group such as a 2-ethylhexyl group. (Although the present invention is in no way limited by this belief) Because of the high affinity of hydrocarbon chains to hydrocarbon-based suspension fluids, this polymer branch can be brushed or wooded through large volumes of liquid. It is believed that this structure will stretch one after the other, thereby preventing close association with other similar particles and bringing these particles into a colloidally stable state in the suspension fluid.
前述の第WO 02/093246号に記載されているごとく、電気泳動粒子上に形成されるべきポリマーの量には最適な範囲があり、粒子上における過剰または不充分な量のポリマーの形成は、いずれも、粒子の電気泳動特性を劣質化させ得ることが判明している。最適な範囲は、コーティングされる粒子の密度およびサイズ、その中で粒子が使用されることが意図されている懸濁化媒質の性状、および粒子上に形成されるポリマーの性状を含め、数多くの要因で変動することが考えられ、最適な範囲はあらゆる特定の粒子、ポリマーおよび懸濁化媒質に対して実験に基づいて決定されるのが最も良い。しかし、一般的な指針として、粒子の密度が高くなればなるほど、粒子の重量によるポリマーの最適な割合が低くなり、また、粒子を微細に分割すればするほど(粒度が小さくなればなるほど)、ポリマーの最適な割合が高くなることに留意すべきである。前述の第WO 02/093246号は、粒子は重量で少なくとも2パーセント、望ましくは少なくとも4パーセントのポリマーでコーティングされるべきであり、ほとんどのケースにおいては、ポリマーの最適な割合は重量で粒子の4パーセントから15パーセントまでの範囲であり、典型的には重量で6パーセントから15パーセントまでの範囲、最も望ましくは重量で8パーセントから12パーセントまでの範囲であろう、と述べている。より詳細には、チタニア粒子の場合について、前述の第WO 02/093246号は、ポリマーの好適な範囲は重量でチタニアの8パーセントから12パーセントまでである、と述べている。 As described in the aforementioned WO 02/093246, the amount of polymer to be formed on the electrophoretic particles has an optimal range, and the formation of an excess or insufficient amount of polymer on the particles is Both have been found to be able to degrade the electrophoretic properties of the particles. The optimal range is numerous, including the density and size of the particles to be coated, the nature of the suspending medium in which the particles are intended to be used, and the nature of the polymer formed on the particles. Factors may vary and the optimal range is best determined empirically for any particular particle, polymer and suspending medium. However, as a general guideline, the higher the particle density, the lower the optimal proportion of polymer by weight of the particles, and the finer the particles are divided (the smaller the particle size), It should be noted that the optimum proportion of polymer is high. In the aforementioned WO 02/093246, the particles should be coated with at least 2 percent by weight of polymer, desirably at least 4 percent, and in most cases, the optimum proportion of polymer is 4% by weight of particles. It ranges from percent to 15 percent, typically ranging from 6 percent to 15 percent by weight, and most desirably from 8 percent to 12 percent by weight. More specifically, for the case of titania particles, the aforementioned WO 02/093246 states that the preferred range of polymer is from 8 to 12 percent of titania by weight.
しかし、広い範囲の粒度および密度を有する粒子への本発明の適用を促進するためには、ポリマーの量をポリマーの表面密度(すなわち、粒子表面の単位面積当たりのポリマーの重量、例えば1平方メートルの粒子表面当たりのポリマーのミリグラム)によって表すことが有利であり得る。ポリマーの表面密度は、次の式:
Γ=WρD/6
から算出することができ、式中、Γはポリマーの表面密度であり、Wは(熱重量分析法により得られる)サンプル1グラム当たりのポリマーの重量であり、ρは基材粒子の密度であり、Dは基材粒子の直径である。クロム酸銅の場合、表面密度の有用な範囲は2mg/gから40mg/gまでであることが判明しており、好適な範囲は14mg/gから24mg/gまで、特に好適な範囲は18mg/gから22mg/gまでであることが分かっている。However, in order to facilitate the application of the present invention to particles having a wide range of particle sizes and densities, the amount of polymer is reduced to the surface density of the polymer (ie the weight of polymer per unit area of the particle surface, eg 1 square meter). It can be advantageous to express in terms of milligrams of polymer per particle surface. The surface density of the polymer is given by the following formula:
Γ = WρD / 6
Where Γ is the surface density of the polymer, W is the weight of polymer per gram of sample (obtained by thermogravimetry), and ρ is the density of the substrate particles , D is the diameter of the substrate particles. In the case of copper chromate, a useful range of surface density has been found to be from 2 mg / g to 40 mg / g, with a preferred range from 14 mg / g to 24 mg / g, a particularly preferred range being 18 mg / g. g to 22 mg / g is known.
本発明のポリマー被覆粒子は電気泳動ディスプレー以外の用途にも有用であり得る。例えば、現存する顔料上の本ポリマーコーティングによりもたらされる炭化水素材料に対する制御された親和性は、これらの顔料を高分子およびゴムマトリックスで使用するのに有利になすものと考えられ、そこでは、これらの顔料は、同様であるがコーティングされていない顔料よりももっと容易に分散可能であるに違いない。本ポリマーコーティングの化学的性状における融通性は、本コーティングをあらゆる特定のマトリックスにおける制御された分散性に「調和」させることを可能にする。従って、現存する顔料を分散可能な顔料または反応性の押し出し化合物として使用することができる。更に、粒子上の本ポリマーコーティングは、このような顔料/ポリマーまたはゴム混合物の機械的特性を、このような混合物が粒子とマトリックス材料との界面において剪断変形または破損する傾向を低減することにより改善するのに有用であり得る。ポリマー被覆粒子が、(上述で検討されているごとき)粒子に付着されていない「遊離」ポリマーとの混合物中においてこれらのポリマー被覆粒子を生成するプロセスによって製造される場合は、多くの場合、遊離ポリマーはマトリックス中において有害な影響を及ぼすことなく分散するため、粒子を高分子またはゴムマトリックス中に分散させる前にこれらの被覆粒子を遊離ポリマーから分離する必要はないであろう。 The polymer-coated particles of the present invention may be useful for applications other than electrophoretic displays. For example, the controlled affinity for hydrocarbon materials provided by the present polymer coatings on existing pigments is believed to make them advantageous for use in polymers and rubber matrices, where These pigments must be more easily dispersible than similar but uncoated pigments. The flexibility in the chemical nature of the polymer coating allows the coating to be “tuned” to controlled dispersibility in any particular matrix. Thus, existing pigments can be used as dispersible pigments or reactive extrusion compounds. Furthermore, the present polymer coating on the particles improves the mechanical properties of such pigment / polymer or rubber mixtures by reducing the tendency of such mixtures to shear or break at the particle / matrix material interface. Can be useful to do. If the polymer-coated particles are produced by a process that produces these polymer-coated particles in a mixture with "free" polymer that is not attached to the particles (as discussed above), it is often free Because the polymer is dispersed in the matrix without detrimental effects, it may not be necessary to separate these coated particles from the free polymer before dispersing the particles in the polymer or rubber matrix.
本発明の媒質においては、懸濁流体の選定は、化学的な不活性さ、電気泳動粒子との密度適合性、または電気泳動粒子およびカプセルもしくはマイクロセル壁(カプセル方式による電気泳動ディスプレーの場合)の両者との化学的な相溶性の観点に基づいて行われてよい。この流体の粘度は、これらの粒子を移動させたいときには、低粘度であることが望ましい。また、懸濁流体の屈折率も、粒子の屈折率に実質的に合わせられてよい。本明細書で使用する場合、それぞれの屈折率間の差が約ゼロから約0.3までの間、好適には約0.05から約0.2までの間であるならば、懸濁流体の屈折率は粒子の屈折率に「実質的に合わせられている」。しかし、光学的状態が部分的には散乱効率によって決定される電気光学ディスプレーの場合には、散乱物と媒質との屈折率間に大きな差があることが望ましい。チタニア粒子は、典型的には、複式粒子型電気泳動ディスプレーにおける白色状態をもたらすための散乱粒子として使用され、この材料は高い屈折率(約2.7)を有しており、従って、懸濁化媒質は低い屈折率であることが望ましい。 In the medium of the present invention, the choice of suspending fluid can be chemical inertness, density compatibility with electrophoretic particles, or electrophoretic particles and capsule or microcell walls (in the case of an electrophoretic display with a capsule system). It may be performed based on the viewpoint of chemical compatibility with both. The viscosity of this fluid is desirably low when it is desired to move these particles. Also, the refractive index of the suspending fluid may be substantially matched to the refractive index of the particles. As used herein, if the difference between the respective refractive indices is between about zero and about 0.3, preferably between about 0.05 and about 0.2, the suspension fluid The refractive index of is “substantially matched” to the refractive index of the particles. However, for electro-optic displays where the optical state is determined in part by the scattering efficiency, it is desirable that there be a large difference between the refractive index of the scatterer and the medium. Titania particles are typically used as scattering particles to provide a white state in dual particle electrophoretic displays, and this material has a high refractive index (about 2.7) and is therefore suspended. The crystallization medium preferably has a low refractive index.
有用な有機溶媒は、これらに限定するものではないが、エポキシド、例えばデカンエポキシドおよびドデカンエポキシドなど;ビニルエーテル、例えばシクロヘキシルビニルエーテルおよびDecave(International Flavors & Fragrances,Inc.,New York,NYの登録商標)など;および芳香族炭化水素、例えばトルエンおよび他のアルキルベンゼン誘導体、例えばドデシルベンゼンおよびナフタレンならびにアルキルナフタレン誘導体などを含む。有用なハロゲン化有機溶媒は、これらに限定するものではないが、テトラフルオロジブロモエチレン、テトラクロロエチレン、トリフルオロクロロエチレン、1,2,4−トリクロロベンゼンおよび四塩化炭素を含む。これらの材料は高い密度を有している。有用な炭化水素は、これらに限定するものではないが、ドデカン、テトラデカン、Isopar(登録商標)シリーズ(Exxon,Houston,TX)、Norpar(登録商標)(一連のノルマルパラフィン液体)、Shell−Sol(登録商標)(Shell,Houston,TX)およびSol−Trol(登録商標)(Shell)の脂肪族炭化水素、ナフサ、ならびに他の石油溶媒を含む。これらの材料は、通常、低い密度を有している。シリコーン油の有用な例は、これらに限定するものではないが、オクタメチルシクロシロキサンおよび高分子量環状シロキサン、ポリ(メチルフェニルシロキサン)、ヘキサメチルジシロキサンならびにポリジメチルシロキサンを含む。これらの材料は、通常、低い密度を有している。有用な低分子量ハロゲン含有ポリマーは、これらに限定するものではないが、ポリ(クロロトリフルオロエチレン)ポリマー(Halogenated Hydrocarbon Inc.,River Edge、NJ)、Galden(登録商標)(Ausimont,Morristownから入手可能なペルフルオロエーテル)、またはdu Pont(Wilmington,DE)から入手可能なKrytox(登録商標)を含む。上述の材料のうち多くのものは、一連の粘度、密度および沸点を有するものを入手することができる。 Useful organic solvents include, but are not limited to, epoxides such as decane epoxide and dodecane epoxide; vinyl ethers such as cyclohexyl vinyl ether and Decave (registered trademark of International Flavors & Fragrances, Inc., New York, NY) And aromatic hydrocarbons such as toluene and other alkylbenzene derivatives such as dodecylbenzene and naphthalene and alkylnaphthalene derivatives. Useful halogenated organic solvents include, but are not limited to, tetrafluorodibromoethylene, tetrachloroethylene, trifluorochloroethylene, 1,2,4-trichlorobenzene, and carbon tetrachloride. These materials have a high density. Useful hydrocarbons include, but are not limited to, dodecane, tetradecane, Isopar® series (Exxon, Houston, TX), Norpar® (a series of normal paraffin liquids), Shell-Sol ( ® (Shell, Houston, TX) and Sol-Trol ® (Shell) aliphatic hydrocarbons, naphtha, and other petroleum solvents. These materials usually have a low density. Useful examples of silicone oils include, but are not limited to, octamethylcyclosiloxanes and high molecular weight cyclic siloxanes, poly (methylphenylsiloxane), hexamethyldisiloxane, and polydimethylsiloxane. These materials usually have a low density. Useful low molecular weight halogen-containing polymers include, but are not limited to, poly (chlorotrifluoroethylene) polymers (Halogenated Hydrocarbon Inc., River Edge, NJ), Galden® (Ausimont, Morristown) Perfluoroether), or Krytox® available from du Pont (Wilmington, DE). Many of the above materials are available with a range of viscosities, densities and boiling points.
(コントロールされた粒子/懸濁流体相溶性を有する電気泳動粒子、媒質およびディスプレー)
これまでは、明らかに、電気泳動粒子のまわりに、電気泳動媒質(典型的には、Isopar Gなどの脂肪族炭化水素)中においてこの粒子を取り巻く懸濁流体との高い相溶性を有するポリマーから、ポリマー被覆またはシェルを形成することが望ましいことであると考えられてきた。また、このような高い相溶性を有するポリマーシェルの使用は、良好な立体安定性をもたらす上で望ましいと考えられてきた。従って、前述の第WO 02/093426号におけるほとんどの実施例では、コロイド的に安定した機能性顔料上に立体的に安定化するポリマーシェルをもたらす上で、単一のモノマーおよび単一の重合工程のみが必要とされている。このような高分子シェルを形成するために使用されるモノマーは、上述の第WO 02/093426号では他のモノマーも使用されているが、典型的にはメタクリル酸ラウリルである。(Electrophoretic particles, media and displays with controlled particle / suspension fluid compatibility)
Until now, it has been apparent that from around the electrophoretic particles, a polymer having a high compatibility with the suspending fluid surrounding the particle in an electrophoretic medium (typically an aliphatic hydrocarbon such as Isopar G). It has been considered desirable to form a polymer coating or shell. Also, the use of such a highly compatible polymer shell has been considered desirable to provide good steric stability. Thus, most examples in the aforementioned WO 02/093426 provide a single monomer and a single polymerization step in providing a sterically stabilized polymer shell on a colloidally stable functional pigment. Only needed. The monomer used to form such a polymeric shell is typically lauryl methacrylate, although other monomers are also used in the aforementioned WO 02/093426.
今や、懸濁流体との相溶性が幾分低くなるようにポリマーシェルを改変することにより、すなわち、ポリマーシェルの幾分かの割合が懸濁流体に対して非相溶性となるように改変することにより、特定の重要な利点、特に画像安定性の改善を達成できることが判明した。 Now, by modifying the polymer shell to be somewhat less compatible with the suspending fluid, i.e., modifying some proportion of the polymer shell to be incompatible with the suspending fluid It has been found that certain important advantages can be achieved, in particular improved image stability.
「相溶性」および「非相溶性」という用語は、本明細書では、ポリマー技術分野におけるそれらの用語の意味で用いられる。最も簡単なレベルにおいては、懸濁流体とのポリマーの相溶性は、このポリマー(結合された基材電気泳動粒子から脱着された状態のポリマー)がこの溶媒中において可溶性であることを意味する。ポリマーが可溶性であるかどうかは、通常、簡単な視覚的検査によって決定することができる;溶液は、一般的には、光学的に透明であり、一方、非溶液(混合系または分散系)は不透明であり、または2つの明白な相を有している。 The terms “compatible” and “incompatible” are used herein to mean those terms in the polymer art. At the simplest level, compatibility of the polymer with the suspending fluid means that the polymer (polymer desorbed from the bound substrate electrophoretic particles) is soluble in the solvent. Whether a polymer is soluble can usually be determined by simple visual inspection; solutions are generally optically clear, while non-solutions (mixed or dispersed) are It is opaque or has two distinct phases.
しかし、相溶性は二元的な現象ではなく、すなわち、ポリマーは、ある与えられた懸濁流体に対して必ずしも完全に相溶性または完全に非相溶性ではない。それよりむしろ、流体とポリマーセグメント(概して、ポリマーを構成しているモノマー)との間における相互作用の相対的な強さおよびポリマーセグメント自体の間における相互作用の相対的な強さに依存して、一連の相溶性が存在する。ポリマーがこの流体中において高度に可溶性であるときには、ポリマー−流体相互作用の方がポリマー−ポリマー相互作用よりももっと強力に有利である。このケースにおいて、コイルを形成する傾向があるポリマーの場合、溶液中のポリマーコイルは、ポリマー溶融体中のポリマーのコイルに対して相対的に伸ばされるであろう。この伸びは毛細管粘度法または光散乱法を用いて測定することができる。例えば、異なる分子量(M)を有する一連のポリマーサンプルの固有粘度[η]を測定する場合、通常、これらの2つの量の間には:
[η]=KMα
のべき乗則の関係があることが分かる。指数αは、溶媒の質に依存して0.5から約0.8まで(可塑性ポリマーの場合)の範囲であり、値が大きくなるほど良好な溶媒であることを表す。α=0.5の場合、この流体は「シータ溶媒」と呼ばれ、このポリマーの配座はポリマー溶融体(すなわち、他のポリマーセグメントによってのみ取り囲まれている)の配座と同様であり、従って、このポリマーは、結局、この流体に対して中性的な相溶性を有している。これらの条件下においては、このポリマー鎖の配座はランダムウォークの配座である。However, compatibility is not a dual phenomenon, that is, the polymer is not necessarily completely compatible or completely incompatible with a given suspending fluid. Rather, depending on the relative strength of the interaction between the fluid and the polymer segment (generally the monomers making up the polymer) and the relative strength of the interaction between the polymer segment itself. There is a series of compatibility. When the polymer is highly soluble in this fluid, the polymer-fluid interaction is more strongly advantageous than the polymer-polymer interaction. In this case, for polymers that tend to form coils, the polymer coils in solution will be stretched relative to the polymer coils in the polymer melt. This elongation can be measured using a capillary viscosity method or a light scattering method. For example, when measuring the intrinsic viscosity [η] of a series of polymer samples having different molecular weights (M), usually between these two quantities:
[Η] = KMα
It can be seen that there is a power law relationship. The index α ranges from 0.5 to about 0.8 (in the case of a plastic polymer) depending on the quality of the solvent, and the higher the value, the better the solvent. When α = 0.5, this fluid is called a “theta solvent” and the conformation of the polymer is similar to that of the polymer melt (ie, surrounded only by other polymer segments) Therefore, this polymer eventually has neutral compatibility with this fluid. Under these conditions, the polymer chain conformation is a random walk conformation.
ホモポリマー系およびコポリマー系のどちらの場合にも、Hugginsの係数を溶媒の質の指標(すなわち、この溶媒に対するポリマーの相溶性の指標)として使用することができる。Hugginsの定数は、ポリマーの希釈溶液の相対粘度を表す以下の式: For both homopolymer and copolymer systems, the Huggins coefficient can be used as an indicator of solvent quality (ie, an indication of the compatibility of the polymer with the solvent). The Huggins constant is the following formula representing the relative viscosity of a diluted polymer solution:
同様な情報を、静的光散乱法または浸透圧測定法で測定したときの、ある与えられた流体−ポリマー溶液に対する第二ビリアル係数の値から収集することができる。一般に第二ビリアル係数が高いことは相溶性の高い流体であることを意味する。溶解されたポリマー間における会合のケースにおいては、実質的に非相溶性のポリマー−溶媒相互作用に対応して、第二ビリアル係数は負になることさえあり得る(C.TanfordによるPhysical Chemistry of Macromolecules,John Wiley and Sons,New York、1961,pp293−296を参照のこと)。 Similar information can be gathered from the second virial coefficient values for a given fluid-polymer solution as measured by static light scattering or osmometry. In general, a high second virial coefficient means a highly compatible fluid. In the case of association between dissolved polymers, the second virial coefficient can even be negative, corresponding to a substantially incompatible polymer-solvent interaction (Physical Chemistry of Macromolecules by C. Tanford). , John Wiley and Sons, New York, 1961, pp 293-296).
ポリマーが流体中に可溶性でない場合、すなわち、非相溶性である場合、ポリマーは、ときとして、尚も流体に吸収されることがある。吸収の程度(流体の存在下におけるポリマーサンプルの体積と乾性ポリマーの体積との比)を、この管理体制における流体とポリマーとの相溶性の程度の測度として使用することができる。吸収の程度が大きいほど、相溶性が高い。 If the polymer is not soluble in the fluid, i.e. it is incompatible, the polymer may still sometimes be absorbed into the fluid. The degree of absorption (ratio of polymer sample volume to dry polymer volume in the presence of fluid) can be used as a measure of the degree of fluid-polymer compatibility in this regime. The greater the degree of absorption, the higher the compatibility.
ポリマーシェルの懸濁流体との相溶性を低くすることは幾つかの方法で達成することができる。まず、本発明の非相溶性モノマー電気泳動媒質の態様によれば、ポリマーシェルは、これらのモノマーのホモポリマーが懸濁流体に対して非相溶性である少なくとも1つのモノマーから誘導された反復単位を有していてよい。典型的には、このようなポリマーシェルは相溶性モノマー、すなわち、これらのモノマーのホモポリマーが懸濁流体との相溶性を有するモノマーも含み、このポリマーシェルの懸濁流体との相溶性は、これら2つのモノマーの比を変えることにより調節することができる。 Reducing the compatibility of the polymer shell with the suspending fluid can be accomplished in several ways. First, according to embodiments of the incompatible monomer electrophoretic medium of the present invention, the polymer shell is a repeating unit derived from at least one monomer whose homopolymer of these monomers is incompatible with the suspending fluid. May be included. Typically, such polymer shells also contain compatible monomers, i.e. monomers whose homopolymers of these monomers are compatible with the suspending fluid, and the compatibility of the polymer shell with the suspending fluid is: It can be adjusted by changing the ratio of these two monomers.
非相溶性モノマーと相溶性モノマーとの両方(明らかなごとく、それぞれのタイプの1つより多くのモノマーが存在していてよい)を含むポリマーシェルは、最後の重合工程(唯一の重合工程であってもよい)で重合可能なモノマーの混合物を用いることにより形成されるランダムコポリマーシェルであってよい。モノマーのうちの1つが懸濁流体に対して相溶性であり、1つが相溶性でない場合には、シェル内におけるこれらのモノマーの比に依存して、粒子に一連のコロイド安定性を構築することができる。更に、異なるモノマー種は異なる程度の非相溶性をもたらし得るため、非相溶性モノマーを変えることにより、非相溶性の程度を更に改変することができる。例えば、ポリマーシェルにおける唯一のモノマーとして使用されたときに、約8個を超えない炭素原子を含有する短い側鎖を有するアクリル酸エステル(例えばメタクリル酸ブチル)は、Isopar G懸濁流体中においてコロイド的に安定でない粒子をもたらすことが観測されている。その一方で、メタクリル酸ラウリルは、Isopar G中において優れたコロイド安定性を有する電気泳動粒子をもたらす。従って、メタクリル酸ラウリルおよびメタクリル酸ブチルのコポリマーは、この重合混合物中におけるメタクリル酸ブチルとメタクリル酸ラウリルとのあるモル比において、Isopar Gに対して僅かに相溶性を有するポリマーシェルおよび僅かにコロイド的に安定した粒子を与えるであろう。 The polymer shell containing both incompatible monomers and compatible monomers (obviously, more than one monomer of each type may be present) is the last polymerization step (the only polymerization step). Or a random copolymer shell formed by using a mixture of polymerizable monomers. If one of the monomers is compatible with the suspending fluid and one is not compatible, build a series of colloidal stability on the particles depending on the ratio of these monomers in the shell Can do. Furthermore, since different monomer species can lead to different degrees of incompatibility, the degree of incompatibility can be further modified by changing the incompatible monomers. For example, when used as the only monomer in a polymer shell, an acrylate ester with a short side chain containing no more than about 8 carbon atoms (eg, butyl methacrylate) is a colloid in the Isopar G suspension fluid. Has been observed to result in particles that are not stable. On the other hand, lauryl methacrylate yields electrophoretic particles with excellent colloidal stability in Isopar G. Thus, a copolymer of lauryl methacrylate and butyl methacrylate has a polymer shell and slightly colloidal that is slightly compatible with Isopar G at a certain molar ratio of butyl methacrylate to lauryl methacrylate in the polymerization mixture. Will give stable particles.
電気泳動粒子の周りのポリマーシェルを改変する第二の方法は、重合の第二段階による。実験は、上述の式(I)および(II)の試薬によってもたらされた表面官能性が単一のグラフト重合工程の間に完全には消費されないことを示している。例えば、表面が官能基化され、ポリマーコーティングがなされたチタニアを重合媒質(典型的には、トルエン、メタクリル酸ラウリルおよび重合開始剤としてのアゾビスイソブチロニトリル(AIBN)を含む)中に単純に再懸濁させた場合、16時間の加熱後にこの反応混合物から単離された顔料の熱重量分析は、結合されたポリマー量の増大を示す(熱重量分析(TGA)により測定した場合:最初の重合後:7.3%;2回目の重合後:2つの異なる運転において8.9%および9.9%)。このような二重のグラフト重合プロセスにおいては、2回目の重合で使用されるモノマーは、1回目の重合で使用されるものと異なっていてよく、これにより、異なるモノマーから構成されたポリマー鎖を最終的なポリマーシェルに組み込むことが可能になる。その上、第一重合工程の条件を改変することにより、これらの連鎖の初期グラフト化密度を調節することができ、更には、第二段階の重合に対する表面ビニル官能性の利用率(およびアクセス可能性)も調節することができる。従って、この二重重合法は、ポリマー安定化電気泳動粒子の構築における第二の融通度を可能にする。連鎖移動剤を重合混合物に組み入れることにより、またはポリマー技術分野において広く知られた方法でモノマーまたはラジカル開始剤の濃度を調節することにより、第一もしくは第二重合段階のいずれかにおけるポリマー鎖の分子量を調節することは有益であり得る。 A second method of modifying the polymer shell around the electrophoretic particles is by the second stage of polymerization. Experiments show that the surface functionality provided by the reagents of formulas (I) and (II) above is not completely consumed during a single graft polymerization step. For example, a titania with a functionalized surface and a polymer coating is simply placed in a polymerization medium (typically containing toluene, lauryl methacrylate and azobisisobutyronitrile (AIBN) as the polymerization initiator). The thermogravimetric analysis of the pigment isolated from this reaction mixture after heating for 16 hours shows an increase in the amount of bound polymer (as measured by thermogravimetric analysis (TGA): first After polymerization: 7.3%; after the second polymerization: 8.9% and 9.9% in two different runs). In such a double graft polymerization process, the monomers used in the second polymerization may be different from those used in the first polymerization, thereby forming polymer chains composed of different monomers. It can be incorporated into the final polymer shell. Moreover, by modifying the conditions of the first polymerization step, the initial grafting density of these chains can be adjusted, and further, the utilization (and accessibility) of the surface vinyl functionality for the second stage polymerization. Sex) can also be adjusted. This double polymerization method thus allows a second flexibility in the construction of polymer stabilized electrophoretic particles. The molecular weight of the polymer chain in either the first or second polymerization stage by incorporating a chain transfer agent into the polymerization mixture or by adjusting the concentration of the monomer or radical initiator in a manner well known in the polymer art. It may be beneficial to adjust.
現在、脂肪族炭化水素を優先的に使用した懸濁流体は、一般的に、多くのホモポリマーとの相溶性が乏しいものと考えられているため、非常に広い範囲の容易に入手可能なモノマーを、上述で説明されている2つの方法のうちのいずれかによりもたらされるポリマーシェルにおける非相溶性モノマーとして使用するために利用することができる。このような非相溶性モノマーは、鎖長および分枝構造は異なるが、典型的には8個またはそれ以下の炭素原子を有するアルキル基を伴うアクリル酸エステル(例えばメタクリル酸メチル、メタクリル酸エチル、メタクリル酸ブチル、メタクリル酸イソブチル、メタクリル酸t−ブチル、メタクリル酸オクチル、メタクリル酸2−エチルヘキシル)、同じくアクリル酸の対応するエステル、フルオロカーボンエステル側鎖を伴うアクリレート、官能性アルコールのアクリル酸エステル、例えばメタクリル酸2−ヒドロキシエチルなど、アクリルアミド、例えばアクリルアミド、メタクリルアミド、N−モノアルキルアクリルアミドおよびメタクリルアミド、N,N−ジアルキルアクリルアミド、N−ビニルピロリドン、ならびに官能性アクリルアミド誘導体など、スチレン、置換スチレン誘導体、酢酸ビニルおよび他のビニルエステル、ハロゲン化ビニル誘導体(塩化ビニル、塩化ビニリデンなど)、ならびに他の重合可能なモノマー種を含む。 Currently, suspension fluids preferentially using aliphatic hydrocarbons are generally considered to be poorly compatible with many homopolymers, so a very wide range of readily available monomers Can be utilized for use as an incompatible monomer in the polymer shell provided by either of the two methods described above. Such incompatible monomers differ in chain length and branch structure, but typically include acrylate esters with alkyl groups having 8 or fewer carbon atoms (eg, methyl methacrylate, ethyl methacrylate, Butyl methacrylate, isobutyl methacrylate, t-butyl methacrylate, octyl methacrylate, 2-ethylhexyl methacrylate), corresponding esters of acrylic acid, acrylates with fluorocarbon ester side chains, acrylic esters of functional alcohols, for example Acrylamide, such as 2-hydroxyethyl methacrylate, such as acrylamide, methacrylamide, N-monoalkylacrylamide and methacrylamide, N, N-dialkylacrylamide, N-vinylpyrrolidone, and functional acrylics Such as bromide derivatives, styrene, substituted styrene derivatives, vinyl acetate and other vinyl esters, vinyl halide derivative (vinyl chloride, vinylidene chloride, etc.), as well as other polymerizable monomer species.
本発明は理論的な考察により決して制限されるものではないが、粒子の周りのポリマーシェルが非相溶性モノマーを含有する電気泳動媒質の改善された特性に対する合理的な説明を提供することができる。専ら相溶性モノマーから形成されたポリマーシェルは、シェルを形成するポリマー鎖にとって他のポリマーセグメントによるよりむしろ懸濁流体により取り囲まれることの方が熱力学的に起こりやすいため、この電気泳動粒子に立体安定性をもたらす。従って、専ら相溶性モノマーから形成されたポリマーシェル、例えば脂肪族炭化水素中に分散された純粋なポリ(メタクリル酸ラウリル)ポリマーシェルは、高度に吸収される。隣接した粒子上のシェルの相互貫入は、より有利なポリマー−溶媒接触に対して相対的なポリマー−ポリマー接触の数を増大させるため、粒子間に効果的な反発力が存在し、これらの粒子は相互に間隔をあけたままとなり、これにより、懸濁流体中に分散された状態のまま留まる傾向がある。完全に非相溶性のモノマーから形成されたポリマーシェルは、シェルを形成するポリマー鎖にとって懸濁流体によるよりむしろ他のポリマーセグメントにより取り囲まれることの方が熱力学的に起こりやすいため、このような立体安定性をもたらさず、従って、ポリマーシェルは懸濁流体を排除して衝突し、これらの電気泳動粒子は相互に引き付け合い、これにより、凝集する傾向がある。別な言い方をすれば、高度に相溶性のポリマーシェルは懸濁流体中における電気泳動粒子の分散に有利に働き、一方、非相溶性のポリマーシェルは電気泳動粒子の凝集に有利に働く。電気泳動媒質の画像安定性は、図1から3までに描かれているそれぞれのタイプの電気泳動媒質において、一旦書かれた画像の安定性が、画像に対する責を担う粒子の同種凝集体(層)における同様な電気的粒子と凝集した状態のまま留まる電気泳動粒子の能力に依存するため、電気泳動粒子が凝集する傾向により有利に作用される。(図1から3は簡単化されていることに留意のこと;実際には、通常、画像化中に形成される粒子凝集体には1つより多くの粒子層が存在するであろう。)相溶性モノマーと非相溶性モノマーとの両方をポリマーシェルに組み入れることによってポリマーシェルおよび懸濁流体の相溶性を調節することにより、この懸濁流体に対するポリマーシェルの全体的な相溶性およびこのような粒子の凝集体の安定性を調節することが可能になり、これにより、結果としてもたらされるディスプレーの画像安定性を調節することができる。 While the present invention is in no way limited by theoretical considerations, it can provide a reasonable explanation for the improved properties of electrophoretic media in which the polymer shell around the particles contains incompatible monomers . A polymer shell formed exclusively from compatible monomers is more likely to occur in this electrophoretic particle because the polymer chains forming the shell are more likely to be surrounded thermodynamically by the suspending fluid rather than by other polymer segments. Bring stability. Thus, polymer shells formed exclusively from compatible monomers, such as pure poly (lauryl methacrylate) polymer shells dispersed in aliphatic hydrocarbons, are highly absorbed. Since the interpenetration of shells on adjacent particles increases the number of polymer-polymer contacts relative to the more favorable polymer-solvent contacts, there is an effective repulsive force between the particles, and these particles Remain spaced apart from each other, thereby tending to remain dispersed in the suspending fluid. Such a polymer shell formed from completely incompatible monomers is more likely to be thermodynamically surrounded by other polymer segments than by the suspending fluid for the polymer chains forming the shell. It does not provide steric stability, so the polymer shell will bombard and suspend the suspended fluid and these electrophoretic particles will attract each other and thereby tend to agglomerate. In other words, a highly compatible polymer shell favors the dispersion of the electrophoretic particles in the suspending fluid, while an incompatible polymer shell favors the aggregation of the electrophoretic particles. The image stability of the electrophoretic medium is the same as that of each type of electrophoretic medium depicted in FIGS. 1 to 3. ) Is favored by the tendency of the electrophoretic particles to agglomerate, depending on the ability of the electrophoretic particles to remain in an aggregated state with similar electroparticles. (Note that FIGS. 1 to 3 are simplified; in practice, there will usually be more than one particle layer in the particle agglomerates typically formed during imaging.) By adjusting the compatibility of the polymer shell and the suspending fluid by incorporating both compatible and incompatible monomers into the polymer shell, the overall compatibility of the polymer shell with this suspending fluid and such It becomes possible to adjust the stability of the agglomerates of particles, thereby adjusting the image stability of the resulting display.
本発明の好適な実施態様の更なる1つの利点は、電気泳動媒質を切り替えるための閾値の導入である。電気泳動粒子が相互に引き付け合い、これにより、これらの粒子が安定した凝集体のまま留まる傾向が充分に強い場合には、凝集体から粒子を引き離し、これらの粒子が場の中で移動できるようにするにはかなり強い場を必要とするであろう。電気泳動媒質を切り替えるためのかなり大きな閾値電圧の存在は数多くの利点を有している。閾値が充分に大きい場合には、高解像度ディスプレーの受動マトリックスアドレッシングの使用を可能にすることができる。寄生電圧およびピクセル間の電圧の漏れに対する能動マトリックス型ディスプレーの感度を低減するためには小さめの閾値が有用であり得る。 One further advantage of the preferred embodiment of the present invention is the introduction of a threshold for switching the electrophoretic medium. If the electrophoretic particles attract each other and thereby have a strong enough tendency to remain in stable aggregates, they can pull the particles away from the aggregates so that they can move in the field. It will require a fairly strong field. The presence of a fairly large threshold voltage for switching electrophoretic media has a number of advantages. If the threshold is large enough, it can allow the use of passive matrix addressing for high resolution displays. Smaller thresholds may be useful to reduce the sensitivity of active matrix displays to parasitic voltages and voltage leakage between pixels.
また、本発明は、複式粒子型電気泳動媒質における画像安定性を改善するための付加的な手法も提供する。複式粒子型電気泳動媒質においては、両タイプの電気泳動粒子が全体的な画像安定性に寄与することが必要である。もし第二のタイプの粒子が懸濁流体中で定着せず、または懸濁流体中に分散している場合には、1つのタイプの粒子が「画像安定性」を有している(すなわち、切り替えられた場所で同種凝集体のまま留まる)だけでは充分ではない。このようなケースの場合、この媒質の一方の極端な光学的状態はかなり良好な画像安定性を示すかもしれないが、他方の光学的状態は乏しい安定性を示すであろう。また、粒子が拡散し得る場合には、一方の粒子の乏しい画像安定性が第二の極端な光学的状態の光学的劣質化にも寄与しやすいものと考えられる。従って、両方のタイプの粒子が、良好な画像安定性を与えるべく適切に調節された立体安定性を有していることが望ましい。懸濁流体にポリマーを含めることによって良好な画像安定性を達成するための「枯渇凝集」手法を利用しようとする場合(前述の第2002/0180687号を参照のこと)、空乏メカニズムがこれら2つのタイプの粒子に適用される程度は粒度および粒子の幾何学的形状に依存して異なり、この程度は、ポリマーが1つのみ懸濁流体に加えられ、両方のタイプの粒子に画像安定性を与えるべく使用されるため、独立して調節することはできない。しかし、本発明の非相溶性モノマー電気泳動媒質においては、それぞれのタイプの粒子のコロイド安定性は独立して調節することができる。その上、枯渇凝集手法により懸濁流体にポリマーを加えることは、これら2つの別々なタイプの粒子を相互およびそれら自体に関してコロイド的に不安定にし、これにより、これら2つのタイプの粒子の異種凝集を助長する可能性がある。異種凝集は複式粒子型電気泳動ディスプレーにおける数多くの望ましくない影響をもたらすことが考えられ、これらの影響は、応答時間の遅速化および高い印可電圧を使用する必要性(異種凝集体を分離させるためには高めの場の強さが必要となるため)、ならびに劣質な光学的状態(帯電した異種凝集体は、この凝集体中に非常に大多数の1つのタイプの粒子が存在している場合には、加えられた場によって完全には分離されない可能性があるため)を含む。 The present invention also provides additional techniques for improving image stability in a dual particle electrophoretic medium. In a dual particle electrophoretic medium, both types of electrophoretic particles need to contribute to the overall image stability. If the second type of particles does not settle in the suspending fluid or is dispersed in the suspending fluid, then one type of particle has “image stability” (ie, It is not sufficient to remain in the same kind of aggregates at the switched location. In such a case, one extreme optical state of the medium may show a fairly good image stability, while the other optical state will show poor stability. If the particles can diffuse, the poor image stability of one of the particles is likely to contribute to the optical degradation of the second extreme optical state. Thus, it is desirable that both types of particles have steric stability that is appropriately adjusted to provide good image stability. When trying to utilize the “depletion aggregation” approach to achieve good image stability by including a polymer in the suspending fluid (see 2002/0180687, supra), the depletion mechanism is The degree applied to the type of particles varies depending on the particle size and particle geometry, and this degree is such that only one polymer is added to the suspending fluid, giving both types of particles image stability. Therefore, it cannot be adjusted independently. However, in the incompatible monomer electrophoretic medium of the present invention, the colloidal stability of each type of particle can be adjusted independently. In addition, adding polymer to the suspending fluid by a depletion agglomeration technique makes these two separate types of particles colloidally unstable with respect to each other and themselves, thereby causing heterogeneous aggregation of these two types of particles. May help. Heterogeneous aggregation is thought to have a number of undesirable effects in dual particle electrophoretic displays, including the need to slow response times and use high applied voltages (to separate heterogeneous aggregates). As well as poor optical states (charged heterogeneous aggregates are present when a very large number of one type of particle is present in this aggregate). May not be completely separated by the applied field).
本発明の同種凝集媒質の態様によれば、2つのタイプの粒子の同種凝集の方が異種凝集よりも熱力学的に起こりやすい複式粒子型電気泳動媒質を提供することにより、これらの問題は排除され、または少なくとも低減される。これは、同種凝集に有利に作用すべく調節された、懸濁流体との相溶性を有するポリマーシェルを伴う2つのタイプの粒子を提供するだけでなく、これら2つのタイプのポリマーシェルの相溶性を異種凝集に不利に作用するようにも調節することにより達成することができる。これは、これら2つのタイプの粒子のポリマーシェルに異なる非相溶性モノマーを用いることにより比較的簡単に達成することができる;典型的には、同じ相容性モノマーを両方のタイプの粒子上におけるポリマーシェルに使用することができる。これら2つの非相溶性モノマーが相互に相溶性でない場合には、これら2つのタイプの粒子が異種凝集する傾向は極僅かとなり、同種凝集のみが促進され、従って、より迅速な応答時間がもたらされ、電気泳動媒質のもっと純粋な光学的状態が提供されるであろう。 The homogeneous aggregation medium aspect of the present invention eliminates these problems by providing a dual particle electrophoretic medium in which homogeneous aggregation of two types of particles is more thermodynamically more likely than heterogeneous aggregation. Or at least reduced. This not only provides two types of particles with a polymer shell that is compatible with the suspending fluid, adjusted to favor homogenous aggregation, but also the compatibility of these two types of polymer shells. Can also be achieved by adjusting to adversely affect heterogeneous aggregation. This can be achieved relatively easily by using different incompatible monomers in the polymer shell of these two types of particles; typically, the same compatible monomer is used on both types of particles. Can be used for polymer shells. If these two incompatible monomers are not compatible with each other, these two types of particles tend to heterogeneously aggregate, promoting only homoaggregation and thus resulting in a faster response time. Will provide a purer optical state of the electrophoretic medium.
上記で既に述べられているように、本発明は、懸濁流体として脂肪族炭化水素を使用することだけに制限されない。フルオロ−およびハロカーボン油、シリコーン油、アラルキル溶媒(例えばトルエン、ドデシルベンゼンなど)またはこれらのものの混合物は、上述で説明されているごとく、ポリマーシェルの溶媒和に関して懸濁流体の特性の更なる改変を可能にするため、本発明に有用であり得る。 As already mentioned above, the present invention is not limited to the use of aliphatic hydrocarbons as the suspending fluid. Fluoro- and halocarbon oils, silicone oils, aralkyl solvents (eg, toluene, dodecylbenzene, etc.) or mixtures of these may further modify suspension fluid properties with respect to solvation of the polymer shell, as described above. Can be useful in the present invention.
本発明はあらゆるタイプの電気泳動媒質に適用することができるが、あらかじめ形成されたカプセルを使用するかマイクロセルを使用するかにかかわらず、カプセル方式による電気泳動媒質に特に有用であり得る。また、本発明は、フォワードモードスイッチングおよびバックモードスイッチングの両方、更にはサイド・トゥー・サイドモードスイッチングおよびシャッターモードスイッチングを含め、あらゆるタイプのスイッチング幾何学を用いるディスプレーにも適用することができる。 The present invention can be applied to any type of electrophoretic medium, but may be particularly useful for electrophoretic media in a capsule format, regardless of whether preformed capsules or microcells are used. The present invention can also be applied to displays that use any type of switching geometry, including both forward mode switching and back mode switching, as well as side-to-side mode switching and shutter mode switching.
添付図面の図1は、本発明による電気泳動粒子を調製するための、以下の実施例で用いられているごとき、1つの好適なプロセスを図式的に示しており、このプロセスは、前述の第WO 02/093246号に記載されているものと本質的に同様である。このプロセスの第一段階では、シリカで被覆された顔料702を生成すべく、基材顔料粒子700がシリカでコーティングされる;この工程は前述の第WO 02/093246号で充分に説明されている。次に、このシリカ被覆顔料702が、シリカ表面と反応する1つの官能基および第二の電荷コントロール基を有する二官能性試薬で処理され、これにより、表面に電荷コントロール基を担持した表面官能基化顔料704が生成される。この二官能性試薬は、顔料粒子上にポリマーを形成するための部位も提供する。最後に、図1に示されているごとく、表面官能基化顔料704は、電荷コントロール基に付着されたポリマーの形成を引き起こすのに効果的な条件下において、1つもしくはそれ以上のモノマーまたはオリゴマーと接触させられ、これにより、電気泳動媒質において使用されるポリマー被覆官能性顔料706が生成される。 FIG. 1 of the accompanying drawings schematically illustrates one suitable process, as used in the following examples, for preparing electrophoretic particles according to the present invention, which process is described above. Essentially the same as described in WO 02/093246. In the first step of this process, the
次に、懸濁流体とのコントロールされた相溶性を有するポリマーシェルを有する本発明の幾つかの異なる電気泳動粒子の合成を例証するため、また、このような電気泳動粒子により達成される利点を例証するため、以下の実施例が与えられるが、これらの実施例は単に例証を目的としたものである。 Next, to illustrate the synthesis of several different electrophoretic particles of the present invention having a polymer shell with controlled compatibility with the suspending fluid, the advantages achieved with such electrophoretic particles are also discussed. To illustrate, the following examples are given, which are for illustration purposes only.
これらの実施例における実験は、以下のごとく、省略記号を用いて説明される。これらの実験は、du Pont Ti−Pure R960をベースとした白色チタニア顔料およびShepherd Black 1Gをベースとした黒色クロム酸銅顔料を使用した。これらの粒子は、白色顔料に対してはZ6030を用い、黒色顔料に対しては上述の式(I)の試薬を用いて、図7の反応図式により表面が官能基化され、この後、以下で説明されている方法により、これらの粒子上にポリマーシェルが形成された。このようにして生成された白色粒子は、帯電剤としてSolsperse 17KおよびSpanを含むIsopar G懸濁流体中に組み入れられたときに負に帯電され、黒色粒子は正に帯電された。対照実験としてメタクリル酸ラウリルホモポリマーシェルを伴う粒子が調製され、これらの粒子は、白色粒子および黒色粒子が、それぞれ、文字JおよびDで表される。ポリマーシェルの改変は以下のごとくに記述される:ランダムコポリマーの一段重合を用いて作られた粒子の場合、コモノマーは、重合反応で用いられたコモノマーのモル分率を指示する数字と共に、適切な顔料指標の後の( )内における以下の表Iで指示されている文字コードによって識別される。それぞれのケースにおける残りの部分はメタクリル酸ラウリルであった。従って、記号J(BMA15)は、15モル%のメタクリル酸t−ブチルおよび85モル%のメタクリル酸ラウリルを含む重合混合物から作られた白色顔料を示す。二段重合はプラス記号で示されている;一般的に、これらの粒子に対するポリマーのモル比はそれほどよく知られておらず、そのため、組成についての指示は与えられていない。従って、J(+St)は、二段重合で作られた白色顔料を示す。開始材料は、この場合、対照顔料であり、一段目の重合では100モルパーセントのメタクリル酸ラウリルが使用され;二段目の重合は、重合可能なモノマーとしてスチレンのみを用いて実施された。 Experiments in these examples are described using ellipsis as follows. These experiments used white titania pigments based on du Pont Ti-Pure R960 and black copper chromate pigments based on Shepherd Black 1G. These particles are functionalized on the surface according to the reaction scheme of FIG. 7, using Z6030 for white pigments and the reagent of formula (I) above for black pigments, and then A polymer shell was formed on these particles by the method described in. The white particles produced in this way were negatively charged when incorporated in Isopar G suspension fluid containing Solsperse 17K and Span as charging agents, and the black particles were positively charged. As a control experiment, particles with a lauryl methacrylate homopolymer shell were prepared, these particles being represented by the letters J and D, respectively white and black particles. Modifications to the polymer shell are described as follows: For particles made using one-stage polymerization of random copolymers, the comonomer is an appropriate number, along with a number indicating the mole fraction of comonomer used in the polymerization reaction. It is identified by the character code indicated in Table I below in parentheses after the pigment indicator. The remaining part in each case was lauryl methacrylate. Thus, the symbol J (BMA15) indicates a white pigment made from a polymerization mixture containing 15 mol% t-butyl methacrylate and 85 mol% lauryl methacrylate. Two-stage polymerizations are indicated with a plus sign; in general, the molar ratio of polymer to these particles is not very well known and therefore no compositional instructions are given. Therefore, J (+ St) indicates a white pigment made by two-stage polymerization. The starting material in this case was a control pigment, and the first stage polymerization used 100 mole percent lauryl methacrylate; the second stage polymerization was carried out using only styrene as the polymerizable monomer.
(1. 標準的なメタクリル酸ラウリルの重合)
250mL用の一口丸底フラスコに磁気攪拌棒、還流冷却器およびアルゴン/または窒素インレットを装備し、シリコーン油浴に入れた。このフラスコに、乳鉢および乳棒を用いて細かな粉末に微粉化された60gのシラン被覆顔料を加え、続いて、60mLのメタクリル酸ラウリル(LMA、Aldrich)および60mLのトルエンを加えた。次いで、反応混合物を急速に攪拌し、フラスコをアルゴンまたは窒素で1時間パージした。この時間の間、シリコーン浴を50℃に加熱した。パージしている間、0.6gのAIBN(2,2’−アゾビスイソブチロニトリル、Aldrich)を13mLのトルエン中に溶解した。1時間のパージが終了した後、ガラスピペットを用いてAIBN/トルエン溶液を迅速に加えた。この反応容器を密封し、65℃に加熱し、夜通し攪拌した。重合の終了後、この粘性の反応混合物に100mLの酢酸エチルを加え、得られた混合物を更に10分間攪拌した。この混合物をプラスチック製のボトルに注ぎ、3600rpmで15〜20分間遠心分離し、デカントした。遠心分離された顔料に新鮮な酢酸エチルを加え、ステンレス鋼製のスパチュラで攪拌し、10分間音波処理した。上述の手順に続き、この顔料を酢酸エチルでもう2回洗洗浄した。得られた顔料を夜通し風乾し、続いて、高真空下で24時間乾燥させた。バルク溶液中における遊離ポリマーをメタノール中において沈殿させ、真空下で乾燥させた。この溶液中の遊離ポリマーの分子量を気相クロマトグラフィー(GPC)により測定した。顔料に結合されたポリマーはTGAにより測定された。(1. Standard polymerization of lauryl methacrylate)
A 250 mL single neck round bottom flask was equipped with a magnetic stir bar, reflux condenser and argon / or nitrogen inlet and placed in a silicone oil bath. To this flask was added 60 g silane-coated pigment micronized into a fine powder using a mortar and pestle, followed by 60 mL lauryl methacrylate (LMA, Aldrich) and 60 mL toluene. The reaction mixture was then stirred rapidly and the flask was purged with argon or nitrogen for 1 hour. During this time, the silicone bath was heated to 50 ° C. While purging, 0.6 g of AIBN (2,2′-azobisisobutyronitrile, Aldrich) was dissolved in 13 mL of toluene. After the 1 hour purge was completed, the AIBN / toluene solution was quickly added using a glass pipette. The reaction vessel was sealed, heated to 65 ° C. and stirred overnight. After completion of the polymerization, 100 mL of ethyl acetate was added to the viscous reaction mixture and the resulting mixture was stirred for an additional 10 minutes. The mixture was poured into a plastic bottle and centrifuged at 3600 rpm for 15-20 minutes and decanted. Fresh ethyl acetate was added to the centrifuged pigment, stirred with a stainless steel spatula and sonicated for 10 minutes. Following the above procedure, the pigment was washed twice more with ethyl acetate. The resulting pigment was air dried overnight and subsequently dried under high vacuum for 24 hours. The free polymer in the bulk solution was precipitated in methanol and dried under vacuum. The molecular weight of the free polymer in this solution was measured by gas phase chromatography (GPC). The polymer bound to the pigment was measured by TGA.
(2. チタニア上における共重合)
250mL用の一口丸底フラスコに磁気攪拌棒、還流冷却器およびアルゴン/または窒素インレットを装備し、シリコーン油浴に入れた。このフラスコに60mlのトルエン、60gのチタニア(Z6030 coated Dupont R960)、メタクリル酸ラウリル(LMA)、ならびに第二のモノマー、例えばスチレン、メタクリル酸t−ブチル、1−ビニル−2−ピロリジノン、アクリル酸ヘキサフルオロブチルおよびメタクリル酸へキサフルオロブチル、N−イソプロピルアクリルアミドまたはアクリロニトリル(Aldrich)などを加え、前述のLMAおよび第二のモノマーの量は所望のモノマー比に依存した。LMA/第二モノマーの比は、通常、95/5、85/15および75/25であった。次いで、反応混合物を急速に攪拌し、フラスコをアルゴンまたは窒素で1時間パージした。この時間の間、シリコーン浴を50℃に加熱した。パージしている間、0.6gのAIBNを13mLのトルエン中に溶解または部分的に溶解した。1時間のパージが終了した後、ガラスピペットを用いてAIBN/トルエン溶液を迅速に加えた。この反応容器を密封し、65℃に加熱し、夜通し攪拌した。この粘性の反応混合物に100mLの酢酸エチルを加え、結果として得られた混合物を更に10分間攪拌した。この混合物をプラスチック製のボトルに注ぎ、3600rpmで15〜20分間遠心分離し、デカントした。遠心分離された顔料に新鮮な酢酸エチルを加え、結果として得られた混合物をステンレス鋼製のスパチュラで攪拌し、10分間音波処理した。この顔料を酢酸エチルでもう2回洗浄し、遠心分離し、デカントした。得られた顔料を夜通し風乾し、続いて、高真空下で24時間乾燥させた。バルク溶液中における遊離ポリマーをメタノール中において沈殿させ、真空下で乾燥させた。この溶液中の遊離ポリマーの分子量をGPCにより測定した。顔料に結合されたポリマーはTGAにより測定された。(2. Copolymerization on titania)
A 250 mL single neck round bottom flask was equipped with a magnetic stir bar, reflux condenser and argon / or nitrogen inlet and placed in a silicone oil bath. The flask was charged with 60 ml of toluene, 60 g of titania (Z6030 coated Dupont R960), lauryl methacrylate (LMA), and a second monomer such as styrene, t-butyl methacrylate, 1-vinyl-2-pyrrolidinone, hexaacrylate. Fluorobutyl and hexafluorobutyl methacrylate, N-isopropylacrylamide or acrylonitrile (Aldrich) were added, and the amounts of LMA and second monomer described above depended on the desired monomer ratio. LMA / second monomer ratios were typically 95/5, 85/15 and 75/25. The reaction mixture was then stirred rapidly and the flask was purged with argon or nitrogen for 1 hour. During this time, the silicone bath was heated to 50 ° C. While purging, 0.6 g AIBN was dissolved or partially dissolved in 13 mL toluene. After the 1 hour purge was completed, the AIBN / toluene solution was quickly added using a glass pipette. The reaction vessel was sealed, heated to 65 ° C. and stirred overnight. To this viscous reaction mixture was added 100 mL of ethyl acetate and the resulting mixture was stirred for an additional 10 minutes. The mixture was poured into a plastic bottle and centrifuged at 3600 rpm for 15-20 minutes and decanted. Fresh ethyl acetate was added to the centrifuged pigment, and the resulting mixture was stirred with a stainless steel spatula and sonicated for 10 minutes. The pigment was washed twice more with ethyl acetate, centrifuged and decanted. The resulting pigment was air dried overnight and subsequently dried under high vacuum for 24 hours. The free polymer in the bulk solution was precipitated in methanol and dried under vacuum. The molecular weight of the free polymer in this solution was measured by GPC. The polymer bound to the pigment was measured by TGA.
(2.1 チタニア上におけるLMAおよび1−ビニル−2−ピロリジノンの共重合)
250mL用の一口丸底フラスコに磁気攪拌棒、還流冷却器およびアルゴン/または窒素インレットを装備し、シリコーン油浴に入れた。このフラスコに60mLのトルエン、60gのチタニア(Z6030 coated Dupont R960)、51mLのメタクリル酸ラウリル(LMA)および3.3mLの1−ビニル−2−ピロリジノンを加えた。LMA/1−ビニル−2−ピロリジノンのモル比は、通常、85/15である。次いで、反応混合物を急速に攪拌し、フラスコをアルゴンまたは窒素で1時間パージした。この時間の間、シリコーン浴を50℃に加熱した。パージしている間、0.6gのAIBNを13mLのトルエン中に溶解または部分的に溶解した。1時間のパージが終了した後、ガラスピペットを用いてAIBN/トルエン溶液を迅速に加えた。この反応容器を密封し、65℃に加熱し、夜通し攪拌した。この粘性の反応混合物に100mLの酢酸エチルを加え、結果として得られた混合物を更に10分間攪拌した。この混合物をプラスチック製のボトルに注ぎ、3600rpmで15〜20分間遠心分離し、デカントした。遠心分離された顔料に新鮮な酢酸エチルを加え、結果として得られた混合物をステンレス鋼製のスパチュラで攪拌し、10分間音波処理した。この顔料を酢酸エチルでもう2回洗浄し、遠心分離し、デカントした。得られた顔料を夜通し風乾し、続いて、高真空下で24時間乾燥させた。バルク溶液中における遊離ポリマーをメタノール中において沈殿させ、真空下で乾燥させた。この溶液中の遊離ポリマーの分子量をGPCにより測定した。顔料に結合されたポリマーはTGAにより測定された。(2.1 Copolymerization of LMA and 1-vinyl-2-pyrrolidinone on titania)
A 250 mL single neck round bottom flask was equipped with a magnetic stir bar, reflux condenser and argon / or nitrogen inlet and placed in a silicone oil bath. To this flask was added 60 mL toluene, 60 g titania (Z6030 coated Dupont R960), 51 mL lauryl methacrylate (LMA) and 3.3 mL 1-vinyl-2-pyrrolidinone. The molar ratio of LMA / 1-vinyl-2-pyrrolidinone is usually 85/15. The reaction mixture was then stirred rapidly and the flask was purged with argon or nitrogen for 1 hour. During this time, the silicone bath was heated to 50 ° C. While purging, 0.6 g AIBN was dissolved or partially dissolved in 13 mL toluene. After the 1 hour purge was completed, the AIBN / toluene solution was quickly added using a glass pipette. The reaction vessel was sealed, heated to 65 ° C. and stirred overnight. To this viscous reaction mixture was added 100 mL of ethyl acetate and the resulting mixture was stirred for an additional 10 minutes. The mixture was poured into a plastic bottle and centrifuged at 3600 rpm for 15-20 minutes and decanted. Fresh ethyl acetate was added to the centrifuged pigment, and the resulting mixture was stirred with a stainless steel spatula and sonicated for 10 minutes. The pigment was washed twice more with ethyl acetate, centrifuged and decanted. The resulting pigment was air dried overnight and subsequently dried under high vacuum for 24 hours. The free polymer in the bulk solution was precipitated in methanol and dried under vacuum. The molecular weight of the free polymer in this solution was measured by GPC. The polymer bound to the pigment was measured by TGA.
(3 LMA被覆白色顔料を用いる二段重合)
250mL用の一口丸底フラスコに磁気攪拌棒、還流冷却器およびアルゴン/または窒素インレットを装備し、シリコーン油浴に入れた。このフラスコに、乳鉢および乳棒を用いて細かな粉末に微粉化された60gのシラン被覆顔料を加え、続いて、60mLのメタクリル酸ラウリルおよび60mLのトルエンを加えた。次いで、反応混合物を急速に攪拌し、フラスコをアルゴンまたは窒素で1時間パージした。この時間の間、シリコーン浴を50℃に加熱した。パージしている間、0.6gのAIBNを13mLのトルエン中に溶解した。1時間のパージが終了した後、ガラスピペットを用いてAIBN/トルエン溶液を迅速に加えた。この反応容器を密封し、65℃に加熱し、夜通し攪拌した。重合の終了後、この粘性の反応混合物に100mLの酢酸エチルを加え、結果として得られた混合物を更に10分間攪拌した。この混合物をプラスチック製のボトルに注ぎ、3600rpmで15〜20分間遠心分離し、デカントした。遠心分離された顔料に新鮮な酢酸エチルを加え、結果として得られた混合物をステンレス鋼製のスパチュラで攪拌した。上述の手順に続き、この顔料を酢酸エチルでもう2回洗った。得られた顔料を夜通し風乾し、続いて、高真空下で24時間乾燥させた。バルク溶液中における遊離ポリマーをメタノール中において沈殿させ、真空下で乾燥させた。この溶液中の遊離ポリマーの分子量をGPCにより測定した。顔料に結合されたポリマーはTGAにより測定された。(3 Two-stage polymerization using LMA-coated white pigment)
A 250 mL single neck round bottom flask was equipped with a magnetic stir bar, reflux condenser and argon / or nitrogen inlet and placed in a silicone oil bath. To this flask was added 60 g silane-coated pigment micronized to a fine powder using a mortar and pestle, followed by 60 mL lauryl methacrylate and 60 mL toluene. The reaction mixture was then stirred rapidly and the flask was purged with argon or nitrogen for 1 hour. During this time, the silicone bath was heated to 50 ° C. While purging, 0.6 g of AIBN was dissolved in 13 mL of toluene. After the 1 hour purge was completed, the AIBN / toluene solution was quickly added using a glass pipette. The reaction vessel was sealed, heated to 65 ° C. and stirred overnight. After the polymerization was complete, 100 mL of ethyl acetate was added to the viscous reaction mixture and the resulting mixture was stirred for an additional 10 minutes. The mixture was poured into a plastic bottle and centrifuged at 3600 rpm for 15-20 minutes and decanted. Fresh ethyl acetate was added to the centrifuged pigment and the resulting mixture was stirred with a stainless steel spatula. Following the procedure described above, the pigment was washed twice more with ethyl acetate. The resulting pigment was air dried overnight and subsequently dried under high vacuum for 24 hours. The free polymer in the bulk solution was precipitated in methanol and dried under vacuum. The molecular weight of the free polymer in this solution was measured by GPC. The polymer bound to the pigment was measured by TGA.
前述の手順においては、既に説明されている一段目の重合後に顔料表面に残存するエチレン基に及ぼすあらゆる可能な損傷を回避するため、上述で説明されている手順において使用された音波処理が省かれていることに留意すべきである。 In the above procedure, the sonication used in the procedure described above is omitted in order to avoid any possible damage to the ethylene groups remaining on the pigment surface after the first stage polymerization already described. It should be noted that.
二段目の重合を果たすため、別の250mL用の一口丸底フラスコに磁気攪拌棒、還流冷却器およびアルゴン/または窒素インレットを装備し、シリコーン油浴に入れた。このフラスコに、上述のごとくにして調製され、乳鉢および乳棒を用いて細かな粉末に微粉化された50gのLMA被覆顔料を加え、続いて、85mLのトルエンおよび16gのスチレンを加えた。次いで、反応混合物を急速に攪拌し、フラスコをアルゴンまたは窒素で1時間パージした。この時間の間、シリコーン浴を50℃に加熱した。パージしている間、0.4gのAIBNを10mLのトルエン中に溶解した。1時間のパージが終了した後、ガラスピペットを用いてAIBN/トルエン溶液を迅速に加えた。この反応容器を密封し、65℃に加熱し、夜通し攪拌した。重合の終了後、この粘性の反応混合物に100mLの酢酸エチルを加え、結果として得られた混合物を更に10分間攪拌した。この混合物をプラスチック製のボトルに注ぎ、3600rpmで15〜20分間遠心分離し、デカントした。遠心分離された顔料に新鮮な酢酸エチルを加え、結果として得られた混合物をステンレス鋼製のスパチュラで攪拌し、10分間音波処理した。上述の手順に続き、この顔料を酢酸エチルでもう2回洗った。得られた顔料を夜通し風乾し、続いて、高真空下で24時間乾燥させた。バルク溶液中における遊離ポリマーをメタノール中において沈殿させ、真空下で乾燥させた。この溶液中の遊離ポリマーの分子量をGPCにより測定した。顔料に結合されたポリマーはTGAにより測定された。 To accomplish the second stage polymerization, another 250 mL single necked round bottom flask was equipped with a magnetic stir bar, reflux condenser and argon / or nitrogen inlet and placed in a silicone oil bath. To this flask was added 50 g of LMA-coated pigment prepared as described above and micronised to a fine powder using a mortar and pestle, followed by 85 mL of toluene and 16 g of styrene. The reaction mixture was then stirred rapidly and the flask was purged with argon or nitrogen for 1 hour. During this time, the silicone bath was heated to 50 ° C. While purging, 0.4 g of AIBN was dissolved in 10 mL of toluene. After the 1 hour purge was completed, the AIBN / toluene solution was quickly added using a glass pipette. The reaction vessel was sealed, heated to 65 ° C. and stirred overnight. At the end of the polymerization, 100 mL of ethyl acetate was added to the viscous reaction mixture and the resulting mixture was stirred for an additional 10 minutes. The mixture was poured into a plastic bottle, centrifuged at 3600 rpm for 15-20 minutes and decanted. Fresh ethyl acetate was added to the centrifuged pigment, and the resulting mixture was stirred with a stainless steel spatula and sonicated for 10 minutes. Following the procedure described above, the pigment was washed twice more with ethyl acetate. The resulting pigment was air dried overnight and subsequently dried under high vacuum for 24 hours. The free polymer in the bulk solution was precipitated in methanol and dried under vacuum. The molecular weight of the free polymer in this solution was measured by GPC. The polymer bound to the pigment was measured by TGA.
(4 コーティングされたクロム酸銅上における共重合)
250mL用の一口丸底フラスコに磁気攪拌棒、還流冷却器およびアルゴンインレットを装備し、シリコーン油浴に入れた。このフラスコに、上述の式(I)のシランでコーティングされ、乳鉢および乳棒を用いて細かな粉末に微粉化された60gのクロム酸銅(CuCr2O4、Shepherd Black 1G)を加え、続いて、1.2mLのスチレン、57mLのメタクリル酸ラウリルおよび60mLのトルエンを加えた。次いで、反応混合物を急速に攪拌し、フラスコをアルゴンまたは窒素で1時間パージし、シリコーン浴を50℃に加熱した。パージしている間、0.6gのAIBNを13mLのトルエン中に溶解または部分的に溶解した。1時間のパージが終了した後、ガラスピペットを用いてAIBN/トルエン溶液を迅速に加えた。この反応容器を密封し、65℃に加熱し、夜通し攪拌した。この粘性の反応混合物に100mLの酢酸エチルを加え、結果として得られた混合物を更に10分間攪拌した。この混合物をプラスチック製のボトルに注ぎ、3600rpmで15〜20分間遠心分離し、デカントした。遠心分離された顔料に新鮮な酢酸エチルを加え、結果として得られた混合物をステンレス鋼製のスパチュラで攪拌し、10分間音波処理した。この顔料を酢酸エチルでもう2回洗浄し、遠心分離し、デカントした。得られた顔料を夜通し風乾し、続いて、高真空下で24時間乾燥させた。バルク溶液中における遊離ポリマーをメタノール中において沈殿させ、真空下で乾燥させた。この溶液中の遊離ポリマーの分子量をGPCにより測定した。顔料に結合されたポリマーはTGAにより測定された。(4 Copolymerization on coated copper chromate)
A 250 mL single necked round bottom flask was equipped with a magnetic stir bar, reflux condenser and argon inlet and placed in a silicone oil bath. To this flask was added 60 g of copper chromate (CuCr2 O4 , Shepherd Black 1G) coated with the silane of formula (I) above and micronized to a fine powder using a mortar and pestle, followed by 1.2 mL styrene, 57 mL lauryl methacrylate and 60 mL toluene were added. The reaction mixture was then rapidly stirred, the flask purged with argon or nitrogen for 1 hour, and the silicone bath heated to 50 ° C. While purging, 0.6 g AIBN was dissolved or partially dissolved in 13 mL toluene. After the 1 hour purge was completed, the AIBN / toluene solution was quickly added using a glass pipette. The reaction vessel was sealed, heated to 65 ° C. and stirred overnight. To this viscous reaction mixture was added 100 mL of ethyl acetate and the resulting mixture was stirred for an additional 10 minutes. The mixture was poured into a plastic bottle and centrifuged at 3600 rpm for 15-20 minutes and decanted. Fresh ethyl acetate was added to the centrifuged pigment, and the resulting mixture was stirred with a stainless steel spatula and sonicated for 10 minutes. The pigment was washed twice more with ethyl acetate, centrifuged and decanted. The resulting pigment was air dried overnight and subsequently dried under high vacuum for 24 hours. The free polymer in the bulk solution was precipitated in methanol and dried under vacuum. The molecular weight of the free polymer in this solution was measured by GPC. The polymer bound to the pigment was measured by TGA.
(対照内部相(電気泳動粒子プラス懸濁流体)の調製)
対照内部相を、(a)Isopar G中において重量で60%のLMA被覆チタニアを含む、J顔料の85gの保存溶液;(b)Isopar G中において重量で60%のLMA被覆クロム酸銅を含む、D顔料の42.5gの保存溶液;(c)Isopar G中において重量で10%のSolsperse 17000を含む10.71gの保存溶液;(d)31.03gのIsopar G;および(e)0.77gのSpan 85(非イオン性界面活性剤)から調合した。(Preparation of control internal phase (electrophoretic particles plus suspension fluid))
Control internal phase: (a) 85 g stock solution of J pigment containing 60% LMA-coated titania by weight in Isopar G; (b) 60% LMA-coated copper chromate by weight in Isopar G 42.5 g stock solution of D pigment; (c) 10.71 g stock solution containing 10% Solsperse 17000 by weight in Isopar G; (d) 31.03 g Isopar G; and (e) 0. Formulated from 77 g of Span 85 (nonionic surfactant).
250ml用のプラスチック製ボトルにJおよびDの保存溶液を加え、続いて、Solsperse 17000溶液およびSpan 85を加え、最後に残りの溶媒を加えた。結果として得られた内部相を約5分間激しく振盪し、ロール製粉機に夜通し(少なくとも12時間)載せた。 To a 250 ml plastic bottle, the stock solutions of J and D were added, followed by the Solsperse 17000 solution and Span 85, and finally the remaining solvent. The resulting internal phase was shaken vigorously for about 5 minutes and placed on a roll mill overnight (at least 12 hours).
(本発明の白色顔料および従来技術の黒色顔料を用いる内部相の調製)
内部相を、(a)Isopar G中において重量で60%のLMA/TBMA被覆チタニア(モル比85/15)を含む、改変J顔料の40gの保存溶液;(b)Isopar G中において重量で60%のLMA被覆クロム酸銅を含む、D顔料の20gの保存溶液;(c)Isopar G中において重量で10%のSolsperse 17000を含む5.04gの保存溶液;(d)14.60gのIsopar G;および(e)0.36gのSpan 85(非イオン性界面活性剤)から調合した。(Preparation of Internal Phase Using White Pigment of the Invention and Prior Art Black Pigment)
The internal phase comprises (a) a 40 g stock solution of modified J pigment containing 60% by weight LMA / TBMA coated titania (85/15 molar ratio) in Isopar G; (b) 60% by weight in Isopar G 20 g stock solution of D pigment containing 1% LMA coated copper chromate; (c) 5.04 g stock solution containing 10% Solsperse 17000 by weight in Isopar G; (d) 14.60 g Isopar G And (e) prepared from 0.36 g of Span 85 (nonionic surfactant).
この内部相を、上述で説明されている先述の内部相の場合と同じ仕方で混合および保存した。 This internal phase was mixed and stored in the same manner as the previously described internal phase described above.
(従来技術の白色顔料および本発明の黒色顔料を用いる内部相の調製)
内部相を、(a)対照内部相の場合と同じJ顔料の40gの保存溶液(この保存溶液は、Isopar G中において重量で60%のLMA被覆チタニアを含んだ);(b)Isopar G中において重量で60%のLMA/St被覆クロム酸銅(85/15または95/5のモル比)を含む、D顔料の20gの保存溶液;(c)Isopar G中において重量で10%のSolsperse 17000を含む5.04gの保存溶液;(d)14.60gのIsopar G;および(e)0.36gのSpan 85(非イオン性界面活性剤)から調合した。(Preparation of internal phase using the white pigment of the prior art and the black pigment of the present invention)
The internal phase is (a) 40 g stock solution of the same J pigment as for the control internal phase (this stock solution contained 60% LMA-coated titania by weight in Isopar G); (b) in Isopar G 20 g stock solution of D pigment, containing 60% by weight LMA / St coated copper chromate (85/15 or 95/5 molar ratio) at (c) 10% Solsperse 17000 by weight in Isopar G 5.0d g stock solution; (d) 14.60 g Isopar G; and (e) 0.36 g Span 85 (nonionic surfactant).
この内部相を、上述で説明されている先述の内部相の場合と同じ仕方で混合および保存した。 This internal phase was mixed and stored in the same manner as the previously described internal phase described above.
このようにして生成された内部相は、実質的に前述の第2002/0180687号のパラグラフ[0069]から[0074]で説明されているごときゼラチン/アカシアマイクロカプセル中に(別々に)カプセル化された。結果として得られたこれらのマイクロカプセルはサイズによって分けられ、約35μmの平均粒径を有するカプセルが以下の実験で使用された。これらのマイクロカプセルをポリウレタン結合剤と共に混ぜ合わせてスラリー状にし、一方の表面にインジウムスズ酸化物(ITO)を担持した7ミル(177μm)のポリ(テレフタル酸エチレン)(PET)フィルムの表面に18gm−2の乾燥被膜重量でロール・トゥー・ロールプロセスによりコーティングした(これらのマイクロカプセルは、実質的に前述の第2002/0180687号のパラグラフ[0075]および[0076]で説明されているようにして、上述のITO被覆表面に堆積された)。次いで、このカプセル担持フィルムを、剥離シート上に担持されたポリウレタンラミネーション接着剤の層に積層することによりフロントプレーン・ラミネートの形態に形成した(このラミネート加工は、両方のロールが120℃に維持されたWestern Magnum社のtwin rollLaminatorを用いて、6インチ/分(2.5mm/秒)の速度で65プサイ(0.51mPa)において果たされた)。これらの実験で使用するのに適した実験用の単一ピクセルディスプレーを提供するため、結果として得られたフロントプレーン・ラミネートの部片から剥離シートを取り除き、この後、単一ピクセルディスプレーの後側の電極として機能するカーボンブラック層で覆われた5cm×5cmのPETフィルムに75℃で積層させた。The internal phase thus produced is substantially (separately) encapsulated in gelatin / acacia microcapsules as described in paragraphs [0069] to [0074] of the aforementioned 2002/0180687. It was. The resulting microcapsules were separated by size, and capsules having an average particle size of about 35 μm were used in the following experiments. These microcapsules are mixed with a polyurethane binder to form a slurry and 18 gm on the surface of a 7 mil (177 μm) poly (ethylene terephthalate) (PET) film carrying indium tin oxide (ITO) on one surface. Coated by a roll-to-roll process with a dry film weight of-2 (these microcapsules were substantially as described in paragraphs [0075] and [0076] of the aforementioned 2002/0180687. And deposited on the ITO coated surface described above). This capsule-carrying film was then formed into the form of a front plane laminate by laminating it onto a layer of polyurethane lamination adhesive carried on a release sheet (this lamination process maintained both rolls at 120 ° C). Performed at 65 psi (0.51 mPa) at a speed of 6 inches / minute (2.5 mm / sec) using a Twin Roll Laminator from Western Magnum). To provide an experimental single pixel display suitable for use in these experiments, remove the release sheet from the resulting piece of the front plane laminate and then the back of the single pixel display. The film was laminated at 75 ° C. on a 5 cm × 5 cm PET film covered with a carbon black layer functioning as an electrode.
(画像安定性の測定)
このようにして製作された単一ピクセルディスプレーは、接地された後側の電極に対して相対的に上面(ITO層)に加えられた10Vの交番信号における500msecの方形波パルスを用いて切り替えられた。パルスとパルスの間の2秒の静止期間をスイッチの入れ替えのために使用した。画像の安定性は、ピクセルを適切な光学的状態(白色または黒色)へ切り替え、上面を接地し、光学的反射率を10分間連続的に測定することにより測定された。上述の結合剤およびラミネーション接着剤層における残留電圧に由来する光学的なキックバックは5〜10秒で減衰するものと仮定した。5秒間および10分間の間の光学的状態における差(L*単位で測定)を画像安定性の測度として採用した。選定されたピクセルで以下の表2に示されている結果が得られた。(Measurement of image stability)
The single pixel display produced in this way is switched using a 500 msec square wave pulse in a 10V alternating signal applied to the top surface (ITO layer) relative to the grounded back electrode. It was. A 2 second rest period between pulses was used for switch switching. Image stability was measured by switching the pixel to the appropriate optical state (white or black), grounding the top surface, and continuously measuring optical reflectivity for 10 minutes. The optical kickback resulting from the residual voltage in the binder and lamination adhesive layers described above was assumed to decay in 5-10 seconds. The difference in optical state (measured in L* units) between 5 seconds and 10 minutes was taken as a measure of image stability. The results shown in Table 2 below were obtained for the selected pixels.
(応答時間)
表2に示されている電気泳動ディスプレーの応答時間は、10Vの動作電圧におけるパルス長の関数として電気光学応答を測定することにより測定された。すべての測定で2000msecの静止長を用いた。白色状態と暗色状態との間のL*における差により測定したときの電気光学応答は、特定のパルス長で飽和し、それより長いパルス長では僅かに退化することが判明した。これらの対照サンプルは、表2における対照と同じ調合を有するピクセル、ならびに良好な画像安定性を達成する手段として重量で0.3%および0.9%の高分子量PIBを含有する同様なピクセルであった。表3は、電気光学応答が、表2のディスプレーに対して1秒のパルス長における値の90%を達成するパルス長を示している。(Response time)
The response time of the electrophoretic display shown in Table 2 was measured by measuring the electro-optic response as a function of pulse length at an operating voltage of 10V. A 2000 msec rest length was used for all measurements. It has been found that the electro-optic response as measured by the difference in L* between the white and dark states saturates at a specific pulse length and slightly degrades at longer pulse lengths. These control samples are pixels with the same formulation as the control in Table 2, and similar pixels containing 0.3% and 0.9% high molecular weight PIB by weight as a means to achieve good image stability. there were. Table 3 shows the pulse length at which the electro-optic response achieves 90% of the value at 1 second pulse length for the display of Table 2.
(電圧閾値)
ポリマーシェル内における5モル%のTBMAを伴う白色顔料および15モル%のスチレンを伴う黒色顔料を用いた、上述で説明されているピクセルは、比較的良好な画像安定性に加え、大きな運転用閾値も示した。閾値電圧が図2に示されており、図2は、ピクセルのダイナミックレンジを数多くのパルス長に対する印可電圧の関数として示している。ダイナミックレンジは、印可電圧が4〜5ボルト未満の場合には、パルス長にかかわらず、非常に小さい(1L*のオーダー)が、600msecより大きく、10Vのインパルスにおいては、良好なダイナミックレンジ(30L*以上)が呈示される。(Voltage threshold)
The pixels described above, using white pigment with 5 mol% TBMA and black pigment with 15 mol% styrene in the polymer shell, have a large operational threshold in addition to relatively good image stability. Also shown. The threshold voltage is shown in FIG. 2, which shows the dynamic range of the pixel as a function of applied voltage for a number of pulse lengths. The dynamic range is very small (on the order of 1 L* ) regardless of the pulse length when the applied voltage is less than 4 to 5 volts, but is larger than 600 msec and good dynamic range (30 L) for an impulse of 10 V.* Or more) is presented.
前述の説明から、本発明の非相溶性モノマー、粒子、媒質およびディスプレー、ならびに同種凝集媒質は、良好な画像安定性を提供し、更に、特には本発明が良好な画像安定性を達成するために応答時間を犠牲にしないため、懸濁流体中にポリマー添加物を含有する同様な媒質を上回る数多くの利点を有していることが分かるであろう。応答時間に関するこの利点は、ディスプレーをもっと低い電圧で運転するために利用することができる。表2に報じられている種々のディスプレーは7.5Vにおいて300msecで飽和状態へほとんど切り替わり、10Vおよび250〜300msecで最適なコントラスト比を達成する。15Vにおいては、約100msecの切り替え時間を達成することができる。 From the foregoing description, the incompatible monomers, particles, media and displays, and homogeneous agglomeration media of the present invention provide good image stability, and more particularly because the present invention achieves good image stability. It will be appreciated that it has a number of advantages over similar media containing polymer additives in the suspending fluid because it does not sacrifice response time. This advantage with respect to response time can be exploited to operate the display at a lower voltage. The various displays reported in Table 2 almost switch to saturation at 300 msec at 7.5 V and achieve optimal contrast ratios at 10 V and 250-300 msec. At 15V, a switching time of about 100 msec can be achieved.
(脂肪族重合プロセス)
既に述べられているように、前述の第WO 02/093246号および上述で説明されているグラフト重合工程は、脂肪族炭化水素、特にイソパラフィン溶媒中において実施できることが判明しており;この目的にとって好適な溶媒は、Exxson Mobil Corporation、Houston TXから販売されているIsopar Gである。このような脂肪族炭化水素は電気泳動媒質の懸濁流体として典型的に使用されるものと同じ材料であるため、この被覆顔料は、最終的なディスプレーに組み込まれるまで、グラフト重合工程から本質的に同じ環境のまま留まることができる。(Aliphatic polymerization process)
As already mentioned, it has been found that the above-mentioned WO 02/093246 and the graft polymerization process described above can be carried out in aliphatic hydrocarbons, especially in isoparaffin solvents; suitable for this purpose A suitable solvent is Isopar G sold by Exxson Mobile Corporation, Houston TX. Since such aliphatic hydrocarbons are the same materials typically used as suspending fluids in electrophoretic media, the coated pigments are essential from the graft polymerization process until they are incorporated into the final display. You can stay in the same environment.
グラフト重合工程の終わりには、この脂肪族炭化水素溶媒は、過剰な重合開始剤、過剰なモノマーもしくはオリゴマー、および顔料粒子に付着されていない遊離ポリマーのうちのいずれか1つまたはそれ以上を含んでいる可能性がある。これらの材料は、媒質の電気光学特性および/または動作寿命に悪影響を及ぼし得るため、顔料粒子を最終的な電気泳動媒質に組み込む前に、顔料粒子から実質的に取り除く必要がある。従って、典型的には、なおも、グラフト重合溶媒からポリマー被覆顔料を例えば遠心分離により分離し、最後の極微量の前述の材料を除去すべく顔料粒子を洗うことが必要であろう。しかし、最後の極微量の炭化水素溶媒を除去すべくポリマー被覆顔料を乾燥させる必要はなく(従って、溶媒蒸気が関係する汚染防止に関する問題が排除される)、また、乾燥顔料を脂肪族ハロカーボン溶媒中に再分散させる必要もない;洗浄工程の終わりには、顔料は既に脂肪族炭化水素溶媒で濡れているため、最終的な電気泳動媒質において必要な大量の溶媒中における顔料の再分散は何ら困難を伴わないであろう。当然ながら、もし、この重合が、重合の完了後にグラフト重合溶媒中に存在する前述の材料のうちの少ない量のみを残すような方法で実施することができたならば、原理的には、ポリマー被覆顔料の分離および洗浄工程を除外することができよう。 At the end of the graft polymerization process, the aliphatic hydrocarbon solvent contains one or more of excess polymerization initiator, excess monomer or oligomer, and free polymer not attached to the pigment particles. There is a possibility. Since these materials can adversely affect the electro-optical properties and / or operating lifetime of the medium, they must be substantially removed from the pigment particles before they are incorporated into the final electrophoretic medium. Thus, it will typically still be necessary to separate the polymer-coated pigment from the graft polymerization solvent, for example by centrifugation, and wash the pigment particles to remove the last traces of the aforementioned materials. However, it is not necessary to dry the polymer-coated pigment to remove the last trace of hydrocarbon solvent (thus eliminating the contamination prevention problems associated with solvent vapors), and the dried pigment can be replaced with an aliphatic halocarbon. There is no need to redisperse in the solvent; at the end of the washing step, the pigment is already wetted with the aliphatic hydrocarbon solvent, so redispersion of the pigment in the large amount of solvent required in the final electrophoretic medium is There will be no difficulty. Of course, if this polymerization could be carried out in such a way as to leave only a small amount of the aforementioned materials present in the graft polymerization solvent after completion of the polymerization, in principle the polymer A coating pigment separation and washing step could be excluded.
本発明による脂肪族炭化水素溶媒中において生成されたポリマー被覆顔料と従来技術のプロセスによりトルエン中において生成されたものとの間には何ら固有の明確な相違がないように思われるが、幾つかの実験は、脂肪族炭化水素溶媒中において生成された顔料の方が高いポリマー含量を有する傾向があることを示しているように思われる。 Although there appears to be no inherent distinct difference between polymer-coated pigments produced in aliphatic hydrocarbon solvents according to the present invention and those produced in toluene by prior art processes, This experiment appears to indicate that pigments produced in aliphatic hydrocarbon solvents tend to have a higher polymer content.
もっと前の箇所で述べられているように、電気泳動媒質の懸濁流体は、通常、単独またはハロカーボンとの組合せにおける脂肪族炭化水素である。懸濁流体を脂肪族炭化水素およびハロカーボンの混合物にする必要がある場合には、洗浄後、脂肪族炭化水素で濡れている顔料を脂肪族炭化水素とハロカーボンの混合物中に再分散させることが難しくないため、目下のところ、グラフト重合を単独の脂肪族炭化水素中において実施することが好適である。しかし、我々は、グラフト重合自体が脂肪族炭化水素とハロカーボンの混合物中において実施され得る可能性を除外するものではない。 As stated earlier, the suspending fluid of the electrophoretic medium is usually an aliphatic hydrocarbon, alone or in combination with a halocarbon. If the suspension fluid needs to be a mixture of aliphatic hydrocarbon and halocarbon, after washing, re-disperse the pigment wetted with the aliphatic hydrocarbon into the mixture of aliphatic hydrocarbon and halocarbon. However, it is currently preferred to carry out the graft polymerization in a single aliphatic hydrocarbon. However, we do not exclude the possibility that the graft polymerization itself can be carried out in a mixture of aliphatic hydrocarbons and halocarbons.
複式粒子型の電気泳動媒質(例えば、白色のチタニア粒子とカーボンブラック粒子とを含む媒質)を調製するときには、本発明のプロセスは、これら2つのタイプの粒子に別々に適用することができる。しかし、2つのタイプの粒子に同様なポリマーコーティングを施すことが想定されている場合には、本発明は、まず、顔料上に重合可能な基を与えた後にこれら2つのタイプの顔料を混合し、次いで、この顔料混合物に対してグラフト重合工程を実施することもできる。従って、これら2つの顔料は、電気泳動媒質を形成するのに必要な残りの工程を共にめぐる。実際のところ、このプロセスからもたらされる混合型のポリマー被覆顔料は、残留不純物を除去するための洗浄後に更なる処理をほとんどまたは全く必要としない、顔料の保存溶液と見なすことができる。従って、本プロセスのこの変形態様は、原料の顔料を最終的な電気泳動媒質に変換するために実施することが必要な別の工程の数を更に減らすことができる。 When preparing a dual particle type electrophoretic medium (eg, a medium containing white titania particles and carbon black particles), the process of the present invention can be applied separately to these two types of particles. However, if it is envisaged that two types of particles are to be provided with a similar polymer coating, the present invention first mixes these two types of pigments after providing a polymerizable group on the pigment. Then, a graft polymerization step can be carried out on the pigment mixture. Thus, these two pigments together go through the remaining steps necessary to form an electrophoretic medium. In fact, the mixed polymer coated pigment resulting from this process can be considered as a stock solution of pigment that requires little or no further processing after washing to remove residual impurities. Thus, this variation of the process can further reduce the number of additional steps that need to be performed to convert the raw pigment to the final electrophoretic medium.
本発明のプロセスは、本プロセスにおいて使用される脂肪族炭化水素溶媒がトルエンおよびTHFよりも有害性が少ないため、従来技術のプロセスにかかわる安全上の問題を低減する。既に述べられているように、本プロセスは溶媒の使用を低減し、また、これまでの乾燥工程および顔料再分散工程を排除するため、電気泳動媒質を製造するための全体的なプロセスにおける工程の数も減らすことができ、これにより、分散処理時間を短縮し、恐らく、脂肪族炭化水素溶媒中における顔料の最終的な分散の全体的な質を高めることができる。 The process of the present invention reduces the safety issues associated with prior art processes because the aliphatic hydrocarbon solvent used in the process is less hazardous than toluene and THF. As already mentioned, this process reduces the use of solvents and eliminates the steps in the overall process for making electrophoretic media to eliminate previous drying and pigment redispersion steps. The number can also be reduced, thereby reducing the dispersion processing time and possibly increasing the overall quality of the final dispersion of the pigment in the aliphatic hydrocarbon solvent.
本発明の別の態様は、電気泳動粒子が集塊を形成する傾向を低減するため、電気泳動媒質中における粒子の相対的なサイズおよび質量をコントロールすることに関係する。 Another aspect of the present invention relates to controlling the relative size and mass of particles in the electrophoretic medium to reduce the tendency of the electrophoretic particles to form agglomerates.
電気泳動媒質、特に複式粒子型の電気泳動媒質においては、粒子が凝集する傾向を示すことが知られている。この傾向は、2つのタイプの粒子が相反する極性の電荷を担持している複式粒子型電気泳動媒質の場合には、相反する電荷を担持したあらゆる粒子は共に引き付け合うという自然に存在する傾向があるため、特に問題になり得る。このような粒子の集塊形成はディスプレーのコントラストを低減させる;例えば、黒色および白色粒子が塊になり、ディスプレーの光学的状態を変えるべく電場が加えられたときに分離しないグレー粒子を形成した場合には、恐らく、ディスプレーの純粋な黒色または白色の光学的状態がこれらのグレーの集塊物で汚染され、これにより、コントラスト比が低減するであろう。更に、過酷で持続性の集塊形成は、遂には、ディスプレーが機能するのを妨げる可能性があり、これにより、このディスプレーの動作寿命が低減される。 It is known that particles in an electrophoretic medium, particularly a double particle type electrophoretic medium, tend to aggregate. This tendency tends to exist naturally in the case of a dual particle type electrophoretic medium in which two types of particles carry opposite polar charges, all particles carrying opposite charges attract each other. Can be particularly problematic. Such particle agglomeration reduces the contrast of the display; for example, black and white particles agglomerate, forming gray particles that do not separate when an electric field is applied to change the optical state of the display Perhaps the pure black or white optical state of the display will be contaminated with these gray agglomerates, thereby reducing the contrast ratio. Furthermore, severe and persistent agglomeration can eventually prevent the display from functioning, thereby reducing the operational life of the display.
今や、複式粒子型電気泳動媒質における2つのタイプの粒子の相対運動を利用して集塊物を分解し、これにより、このような集塊物にかかわる問題を低減できることが判明している。電気泳動媒質中に、ある与えられた電場の下において一番目の種類の粒子とは反対の方向に移動する二番目の種類の粒子を導入することにより、互いを通じるこれら2つのタイプの粒子の運動が引き起こされ、粒子群を分解して引き離し、物理的手段による粒子の集塊形成の低減がもたらされるであろう。 It has now been found that the agglomerates can be decomposed using the relative motion of the two types of particles in a dual particle electrophoretic medium, thereby reducing the problems associated with such agglomerates. Introducing a second type of particles in the electrophoretic medium that moves in the opposite direction to the first type of particles under a given electric field, allows these two types of particles to pass through each other. Movement will be caused to break up and pull apart the particles, resulting in reduced agglomeration of particles by physical means.
1つの好適な実施態様においては、電気泳動媒質は、相反する電荷を担持した第二のタイプの粒子の平均直径の約0.25倍から約4倍までの間の平均直径を有する少なくとも1つのタイプの粒子を含んでいる;望ましくは、これら2つのタイプの粒子間における平均粒子質量の比は約0.25から約4.00までの間である。 In one preferred embodiment, the electrophoretic medium comprises at least one having an average diameter between about 0.25 and about 4 times the average diameter of the second type of particles carrying opposite charges. Desirably, the ratio of average particle mass between these two types of particles is between about 0.25 and about 4.00.
また、1つの好適な実施態様においては、電気泳動媒質は、相反する極性の電荷を担持し、加えられた大きさFの電場の下でギャップ(G)の離間距離から、それぞれ:
V1+V2>f(F,G)
[式中、fは、この不等式が満たされたときに、粒子の集塊形成が低減または排除されるような関数である]となるような速度V1およびV2を達成することができる少なくとも2つのタイプの粒子を含んでいる。Also, in one preferred embodiment, the electrophoretic medium carries a charge of opposite polarity and from a separation distance of the gap (G) under an applied electric field of magnitude F, respectively:
V1 + V2> f (F, G)
Where f is a function such that when this inequality is satisfied, particle agglomeration is reduced or eliminated, at least two speeds V1 and V2 can be achieved. Contains types of particles.
(電圧閾値型ディスプレー)
既に指示されているように、本発明は、電圧閾値を伴う電気光学媒質を使用する能動マトリックス型電気光学ディスプレーを提供する。このタイプの電気光学媒質の使用は、電気光学ディスプレーのバックプレーンにおける設計上の制約を低減する。(Voltage threshold type display)
As already indicated, the present invention provides an active matrix electro-optic display that uses an electro-optic medium with a voltage threshold. The use of this type of electro-optic medium reduces design constraints in the back plane of the electro-optic display.
1つの例として、5Vにおいて強い電圧閾値を呈する電気光学媒質について考察する。「強い電圧閾値」という用語は、パルスの長さがどれだけであるかにかかわらず、媒質が閾値未満の電圧では全く切り替わらないことを意味すべく使用される。閾値以上の電圧において、媒質は普通に切り替わる。このような媒質の使用は、データラインをピクセル電極に結合させることによりもたらされるデータスパイクの問題を軽減する(上述のパラグラフ42−52を参照のこと);ピクセルへの電圧スパイクの振幅が5V未満の場合、このような強い電圧閾値媒質は応答しないであろう。このようなディスプレーで使用されるピクセルストレージキャパシターは、電気光学媒質が遭遇する電圧スパイクを電圧閾値以下に保つことができるようなサイズにしさえすれば済み、これにより、電気光学媒質が電圧閾値を示さない従来技術の電気光学ディスプレーで必要となるキャパシターと比べ、ストレージキャパシターのサイズを実質的に小さくすることができよう。 As an example, consider an electro-optic medium that exhibits a strong voltage threshold at 5V. The term “strong voltage threshold” is used to mean that no matter how long the pulse is, the medium does not switch at any voltage below the threshold. At voltages above the threshold, the medium switches normally. Use of such a medium alleviates the data spike problem caused by coupling the data line to the pixel electrode (see paragraphs 42-52 above); the amplitude of the voltage spike to the pixel is less than 5V In such a case, such a strong voltage threshold medium will not respond. The pixel storage capacitors used in such displays need only be sized so that the voltage spikes encountered by the electro-optic medium can be kept below the voltage threshold, so that the electro-optic medium exhibits a voltage threshold. The size of the storage capacitor could be reduced substantially compared to the capacitor required in a prior art electro-optic display.
本発明は、強い電圧閾値を呈する電気光学媒質の使用に限定されるものではなく、「弱い電圧閾値」のみを有する電気光学媒質の使用にもおよび、ここで、「弱い電圧閾値」という用語は、本明細書においては、非常に長い期間にわたって加えられる閾値以下の電圧には応答するが、電気光学ディスプレーの運転において所定の短い時間に加えられるような電圧には応答しない媒質を表すべく使用される。例えば、前述の所定の重要な期間は、単一の走査フレーム(典型的には約20msec)または画像全体のアップデート(典型的には約1000msec)であり得よう。 The present invention is not limited to the use of an electro-optic medium exhibiting a strong voltage threshold, but also to the use of an electro-optic medium having only a “weak voltage threshold”, where the term “weak voltage threshold” In this specification, it is used to describe a medium that responds to sub-threshold voltages applied over a very long period of time, but does not respond to voltages that are applied at a predetermined short time in the operation of an electro-optic display. The For example, the predetermined critical period may be a single scan frame (typically about 20 msec) or an entire image update (typically about 1000 msec).
本発明は、電気光学媒質が強い電圧閾値または弱い電圧閾値を示すことを条件として、上述で検討されているあらゆるタイプの電気光学媒質を使用することができる。上述で説明されているごとき電圧閾値を有する非相溶性モノマータイプの電気光学媒質が一般的に好適である。 The present invention can use any type of electro-optic medium discussed above, provided that the electro-optic medium exhibits a strong or weak voltage threshold. Incompatible monomer type electro-optic media having a voltage threshold as described above are generally preferred.
本発明は、能動マトリックスアレイ、典型的には薄膜トランジスター(TFT)アレイに対する設計規則の緩和を可能にする。より詳細には、本発明は、単位ピクセル電極面積当たり、比較的小さなストレージキャパシターの使用を可能にし、これにより、印刷などの比較的低い解像度の技術を用いたTFTバックプレーンの製造が実現可能になる。更に、ストレージキャパシターのサイズを小さくすることにより、トランジスターのサイズも小さくすることができる。これら2つのコンポーネントのサイズを小さくすることは、結果としてラインキャパシタンスの実質的な低減をもたらし、これにより、バックプレーンでの電力消費量を低減することができる。従って、本発明の電気光学ディスプレーは、従来技術のアモルファスシリコーン構造を用いた通常の設計に比べて改善された性能を有するであろう。 The present invention allows relaxation of design rules for active matrix arrays, typically thin film transistor (TFT) arrays. More particularly, the present invention allows the use of a relatively small storage capacitor per unit pixel electrode area, thereby enabling the production of TFT backplanes using relatively low resolution techniques such as printing. Become. Furthermore, the size of the transistor can be reduced by reducing the size of the storage capacitor. Reducing the size of these two components results in a substantial reduction in line capacitance, which can reduce power consumption at the backplane. Thus, the electro-optic display of the present invention will have improved performance compared to conventional designs using prior art amorphous silicone structures.
| Application Number | Priority Date | Filing Date | Title |
|---|---|---|---|
| US48148603P | 2003-10-08 | 2003-10-08 | |
| US60/481,486 | 2003-10-08 | ||
| US48157203P | 2003-10-28 | 2003-10-28 | |
| US60/481,572 | 2003-10-28 | ||
| US48157403P | 2003-10-29 | 2003-10-29 | |
| US60/481,574 | 2003-10-29 | ||
| US10/708,130 | 2004-02-09 | ||
| US10/708,130US7002728B2 (en) | 1997-08-28 | 2004-02-09 | Electrophoretic particles, and processes for the production thereof |
| PCT/US2004/033188WO2005036129A2 (en) | 2003-10-08 | 2004-10-08 | Electrophoretic media |
| Application Number | Title | Priority Date | Filing Date |
|---|---|---|---|
| JP2007226540ADivisionJP2007328372A (en) | 2003-10-08 | 2007-08-31 | Electrophoretic medium |
| JP2010084140ADivisionJP5250580B2 (en) | 2003-10-08 | 2010-03-31 | Electrophoretic medium |
| Publication Number | Publication Date |
|---|---|
| JP2007508588Atrue JP2007508588A (en) | 2007-04-05 |
| JP4848280B2 JP4848280B2 (en) | 2011-12-28 |
| Application Number | Title | Priority Date | Filing Date |
|---|---|---|---|
| JP2006534365AExpired - LifetimeJP4848280B2 (en) | 2003-10-08 | 2004-10-08 | Electrophoretic medium |
| JP2010084140AExpired - LifetimeJP5250580B2 (en) | 2003-10-08 | 2010-03-31 | Electrophoretic medium |
| Application Number | Title | Priority Date | Filing Date |
|---|---|---|---|
| JP2010084140AExpired - LifetimeJP5250580B2 (en) | 2003-10-08 | 2010-03-31 | Electrophoretic medium |
| Country | Link |
|---|---|
| JP (2) | JP4848280B2 (en) |
| KR (3) | KR101197503B1 (en) |
| Publication number | Priority date | Publication date | Assignee | Title |
|---|---|---|---|---|
| WO2009139450A1 (en)* | 2008-05-13 | 2009-11-19 | 住友化学株式会社 | Alumina composite material |
| JP2010020220A (en)* | 2008-07-14 | 2010-01-28 | Ricoh Co Ltd | Electrophoresis particle, method for producing it, image display medium, and image display |
| JP2010122257A (en)* | 2008-11-17 | 2010-06-03 | Konica Minolta Business Technologies Inc | White display particle and image display device |
| JP2010191268A (en)* | 2009-02-19 | 2010-09-02 | Fuji Xerox Co Ltd | Particle dispersion liquid for display, display medium, and display device |
| US8654070B2 (en) | 2009-08-21 | 2014-02-18 | Fuji Xerox Co., Ltd. | Electrophoretic particles, electrophoretic particle dispersion, display medium and display device |
| KR101824723B1 (en)* | 2014-09-10 | 2018-02-02 | 이 잉크 코포레이션 | Colored electrophoretic displays |
| CN111929960A (en)* | 2015-10-06 | 2020-11-13 | 伊英克公司 | Improved low temperature electrophoretic media |
| CN113330365A (en)* | 2019-02-25 | 2021-08-31 | 伊英克公司 | Composite electrophoretic particles and variable transmission film containing the same |
| JP2021532414A (en)* | 2018-08-10 | 2021-11-25 | イー インク カリフォルニア, エルエルシー | Switchable optical collimated layer containing bistable electrophoretic fluid |
| JP2021532419A (en)* | 2018-08-10 | 2021-11-25 | イー インク カリフォルニア, エルエルシー | Switchable optical collimated layer with reflector |
| JP2022553989A (en)* | 2019-11-14 | 2022-12-27 | イー インク コーポレイション | Electro-optic medium containing oppositely charged particles and variable transmission device incorporating same |
| Publication number | Priority date | Publication date | Assignee | Title |
|---|---|---|---|---|
| KR101955976B1 (en)* | 2011-08-25 | 2019-03-08 | 엘지전자 주식회사 | Activation of limited user interface capability device |
| KR20230174129A (en)* | 2022-06-20 | 2023-12-27 | 삼성전자주식회사 | Dark colored housing and electronic device including the same |
| Publication number | Priority date | Publication date | Assignee | Title |
|---|---|---|---|---|
| JP2002055366A (en)* | 2000-08-07 | 2002-02-20 | Canon Inc | Electrophoretic display device and manufacturing method thereof |
| JP2002244160A (en)* | 2001-02-16 | 2002-08-28 | Mitsubishi Paper Mills Ltd | Image display medium |
| WO2002093246A1 (en)* | 2001-05-15 | 2002-11-21 | E Ink Corporation | Electrophoretic particles |
| Publication number | Priority date | Publication date | Assignee | Title |
|---|---|---|---|---|
| JPS6356629A (en)* | 1986-08-27 | 1988-03-11 | Canon Inc | Method and device for displaying image |
| KR100824249B1 (en)* | 2001-04-02 | 2008-04-24 | 이 잉크 코포레이션 | Electrophoretic display including electrophoretic media with improved image stability |
| Publication number | Priority date | Publication date | Assignee | Title |
|---|---|---|---|---|
| JP2002055366A (en)* | 2000-08-07 | 2002-02-20 | Canon Inc | Electrophoretic display device and manufacturing method thereof |
| JP2002244160A (en)* | 2001-02-16 | 2002-08-28 | Mitsubishi Paper Mills Ltd | Image display medium |
| WO2002093246A1 (en)* | 2001-05-15 | 2002-11-21 | E Ink Corporation | Electrophoretic particles |
| Publication number | Priority date | Publication date | Assignee | Title |
|---|---|---|---|---|
| WO2009139450A1 (en)* | 2008-05-13 | 2009-11-19 | 住友化学株式会社 | Alumina composite material |
| JP2010020220A (en)* | 2008-07-14 | 2010-01-28 | Ricoh Co Ltd | Electrophoresis particle, method for producing it, image display medium, and image display |
| JP2010122257A (en)* | 2008-11-17 | 2010-06-03 | Konica Minolta Business Technologies Inc | White display particle and image display device |
| JP2010191268A (en)* | 2009-02-19 | 2010-09-02 | Fuji Xerox Co Ltd | Particle dispersion liquid for display, display medium, and display device |
| US8654070B2 (en) | 2009-08-21 | 2014-02-18 | Fuji Xerox Co., Ltd. | Electrophoretic particles, electrophoretic particle dispersion, display medium and display device |
| KR101824723B1 (en)* | 2014-09-10 | 2018-02-02 | 이 잉크 코포레이션 | Colored electrophoretic displays |
| CN111929960A (en)* | 2015-10-06 | 2020-11-13 | 伊英克公司 | Improved low temperature electrophoretic media |
| CN111929960B (en)* | 2015-10-06 | 2024-04-23 | 伊英克公司 | Improved low temperature electrophoretic medium |
| JP2021532414A (en)* | 2018-08-10 | 2021-11-25 | イー インク カリフォルニア, エルエルシー | Switchable optical collimated layer containing bistable electrophoretic fluid |
| JP2021532419A (en)* | 2018-08-10 | 2021-11-25 | イー インク カリフォルニア, エルエルシー | Switchable optical collimated layer with reflector |
| JP7236582B2 (en) | 2018-08-10 | 2023-03-09 | イー インク カリフォルニア, エルエルシー | A switchable light collimating layer containing a bistable electrophoretic fluid |
| JP2022097689A (en)* | 2018-08-10 | 2022-06-30 | イー インク カリフォルニア, エルエルシー | Switchable optical collimated layer with reflector |
| JP2022105720A (en)* | 2018-08-10 | 2022-07-14 | イー インク カリフォルニア, エルエルシー | Switchable optical collimated layer containing bistable electrophoretic fluid |
| JP7108779B2 (en) | 2018-08-10 | 2022-07-28 | イー インク カリフォルニア, エルエルシー | Switchable light collimating layer with reflector |
| JP7128952B2 (en) | 2018-08-10 | 2022-08-31 | イー インク カリフォルニア, エルエルシー | A switchable light collimating layer containing a bistable electrophoretic fluid |
| JP7429335B2 (en) | 2018-08-10 | 2024-02-08 | イー インク コーポレイション | Switchable light collimating layer with reflector |
| JP2022520049A (en)* | 2019-02-25 | 2022-03-28 | イー インク コーポレイション | Composite electrophoretic particles and variable permeable film containing them |
| JP7299990B2 (en) | 2019-02-25 | 2023-06-28 | イー インク コーポレイション | Composite electrophoretic particles and variable permeability film containing the same |
| CN113330365A (en)* | 2019-02-25 | 2021-08-31 | 伊英克公司 | Composite electrophoretic particles and variable transmission film containing the same |
| CN113330365B (en)* | 2019-02-25 | 2024-07-30 | 伊英克公司 | Composite electrophoretic particles and variable transmission film containing same |
| JP2022553989A (en)* | 2019-11-14 | 2022-12-27 | イー インク コーポレイション | Electro-optic medium containing oppositely charged particles and variable transmission device incorporating same |
| JP7480288B2 (en) | 2019-11-14 | 2024-05-09 | イー インク コーポレイション | Electro-optic medium containing oppositely charged particles and variable transmission device incorporating same - Patents.com |
| Publication number | Publication date |
|---|---|
| KR101060980B1 (en) | 2011-08-31 |
| KR101197503B1 (en) | 2012-11-09 |
| KR101307798B1 (en) | 2013-09-12 |
| JP4848280B2 (en) | 2011-12-28 |
| JP5250580B2 (en) | 2013-07-31 |
| KR20100121533A (en) | 2010-11-17 |
| HK1097602A1 (en) | 2007-06-29 |
| JP2010204671A (en) | 2010-09-16 |
| KR20110083698A (en) | 2011-07-20 |
| KR20100059982A (en) | 2010-06-04 |
| Publication | Publication Date | Title |
|---|---|---|
| JP5250580B2 (en) | Electrophoretic medium | |
| JP2007328372A (en) | Electrophoretic medium | |
| US12080251B2 (en) | Colored electrophoretic displays | |
| US7532388B2 (en) | Electrophoretic media and processes for the production thereof | |
| US20100148385A1 (en) | Electrophoretic media and processes for the production thereof | |
| EP3888079A1 (en) | Electro-optic displays and driving methods | |
| TW202340834A (en) | Electrophoretic media comprising electrophoretic particles and a combination of charge control agents | |
| HK1132334B (en) | Electrophoretic medium | |
| HK1097602B (en) | Electrophoretic media | |
| HK1231965B (en) | Colored electrophoretic displays |
| Date | Code | Title | Description |
|---|---|---|---|
| A131 | Notification of reasons for refusal | Free format text:JAPANESE INTERMEDIATE CODE: A131 Effective date:20091002 | |
| A601 | Written request for extension of time | Free format text:JAPANESE INTERMEDIATE CODE: A601 Effective date:20091217 | |
| A602 | Written permission of extension of time | Free format text:JAPANESE INTERMEDIATE CODE: A602 Effective date:20091225 | |
| A601 | Written request for extension of time | Free format text:JAPANESE INTERMEDIATE CODE: A601 Effective date:20100128 | |
| A602 | Written permission of extension of time | Free format text:JAPANESE INTERMEDIATE CODE: A602 Effective date:20100204 | |
| A601 | Written request for extension of time | Free format text:JAPANESE INTERMEDIATE CODE: A601 Effective date:20100301 | |
| A602 | Written permission of extension of time | Free format text:JAPANESE INTERMEDIATE CODE: A602 Effective date:20100308 | |
| A521 | Request for written amendment filed | Free format text:JAPANESE INTERMEDIATE CODE: A523 Effective date:20100331 | |
| A02 | Decision of refusal | Free format text:JAPANESE INTERMEDIATE CODE: A02 Effective date:20100603 | |
| A521 | Request for written amendment filed | Free format text:JAPANESE INTERMEDIATE CODE: A523 Effective date:20100909 | |
| A911 | Transfer to examiner for re-examination before appeal (zenchi) | Free format text:JAPANESE INTERMEDIATE CODE: A911 Effective date:20101008 | |
| A912 | Re-examination (zenchi) completed and case transferred to appeal board | Free format text:JAPANESE INTERMEDIATE CODE: A912 Effective date:20101105 | |
| A601 | Written request for extension of time | Free format text:JAPANESE INTERMEDIATE CODE: A601 Effective date:20110509 | |
| A602 | Written permission of extension of time | Free format text:JAPANESE INTERMEDIATE CODE: A602 Effective date:20110513 | |
| A601 | Written request for extension of time | Free format text:JAPANESE INTERMEDIATE CODE: A601 Effective date:20110609 | |
| A602 | Written permission of extension of time | Free format text:JAPANESE INTERMEDIATE CODE: A602 Effective date:20110614 | |
| A601 | Written request for extension of time | Free format text:JAPANESE INTERMEDIATE CODE: A601 Effective date:20110708 | |
| A602 | Written permission of extension of time | Free format text:JAPANESE INTERMEDIATE CODE: A602 Effective date:20110714 | |
| A521 | Request for written amendment filed | Free format text:JAPANESE INTERMEDIATE CODE: A523 Effective date:20110829 | |
| A01 | Written decision to grant a patent or to grant a registration (utility model) | Free format text:JAPANESE INTERMEDIATE CODE: A01 | |
| A61 | First payment of annual fees (during grant procedure) | Free format text:JAPANESE INTERMEDIATE CODE: A61 Effective date:20111017 | |
| FPAY | Renewal fee payment (event date is renewal date of database) | Free format text:PAYMENT UNTIL: 20141021 Year of fee payment:3 | |
| R150 | Certificate of patent or registration of utility model | Ref document number:4848280 Country of ref document:JP Free format text:JAPANESE INTERMEDIATE CODE: R150 | |
| R250 | Receipt of annual fees | Free format text:JAPANESE INTERMEDIATE CODE: R250 | |
| R250 | Receipt of annual fees | Free format text:JAPANESE INTERMEDIATE CODE: R250 | |
| R250 | Receipt of annual fees | Free format text:JAPANESE INTERMEDIATE CODE: R250 | |
| R250 | Receipt of annual fees | Free format text:JAPANESE INTERMEDIATE CODE: R250 | |
| R250 | Receipt of annual fees | Free format text:JAPANESE INTERMEDIATE CODE: R250 | |
| R250 | Receipt of annual fees | Free format text:JAPANESE INTERMEDIATE CODE: R250 | |
| R250 | Receipt of annual fees | Free format text:JAPANESE INTERMEDIATE CODE: R250 | |
| R250 | Receipt of annual fees | Free format text:JAPANESE INTERMEDIATE CODE: R250 | |
| R250 | Receipt of annual fees | Free format text:JAPANESE INTERMEDIATE CODE: R250 | |
| R250 | Receipt of annual fees | Free format text:JAPANESE INTERMEDIATE CODE: R250 | |
| EXPY | Cancellation because of completion of term |