



















本発明は、テレビジョン受信機に関し、多数の番組から視聴者の嗜好に適合する番組を選択する番組自動選択装置、番組自動選択方法、及び番組自動選択プログラムに関するものである。 The present invention relates to a television receiver, and more particularly to a program automatic selection device, a program automatic selection method, and a program automatic selection program for selecting a program that suits the viewer's preference from a large number of programs.
近年、BS放送及びCS放送の開始や、テレビジョン番組のデジタル化により、利用者は膨大な数の番組から視聴する番組を選択できるようになった。しかし、その反面、どのような番組が放送されているかを網羅的に把握するのが困難となり、利用者が自分の嗜好に合う番組を選択することが難しくなってきた。また、利用者が自分の嗜好に合った番組が放送されている事に気付かず見逃してしまう可能性が大きくなった。 In recent years, with the start of BS broadcasting and CS broadcasting and the digitization of television programs, users can select programs to view from a huge number of programs. However, on the other hand, it has become difficult to comprehensively understand what programs are being broadcast, and it has become difficult for users to select programs that suit their preferences. In addition, there is a greater possibility that the user will not notice that a program that suits his / her taste is being broadcast and will miss it.
そこで膨大な数の番組のなかから利用者が嗜好にあった番組を選択するのを補助することを目的として、放送局は、番組タイトル・放送時間・チャンネル・ジャンル・内容説明・出演者リスト等の項目を含む番組情報を映像音声信号に多重化して送信する技術を実用化し運用を始めている。 Therefore, for the purpose of assisting the user in selecting a program that suits his taste from a huge number of programs, the broadcasting station has the program title, broadcasting time, channel, genre, description, cast list, etc. The technology that multiplexes and transmits the program information including the above items to the video / audio signal has been put into practical use and is in operation.
テレビジョン受信機は、番組情報を利用して例えば電子番組表などを構成し画面上に提示するなどして利用者の番組選択の補助を行う機能を備えたものもある。
受信機のさらに進んだ技術として、利用者が視聴した番組の番組情報を含んだ視聴履歴を受信機内に記憶して、あらかじめ利用者がどのような内容の番組に興味があるのかの嗜好を分析しておき、番組選択時に、将来放送される予定の番組の番組情報を取得して、番組毎に利用者がどの程度その番組に興味があるのかをあらわす嗜好適合度を求め、当該嗜好適合度により利用者の興味のある番組を自動的に選択する番組自動選択方法の特許提案がある。Some television receivers have a function of assisting a user in selecting a program by, for example, configuring an electronic program guide using program information and presenting it on a screen.
As a more advanced technology of the receiver, the viewing history including the program information of the program viewed by the user is stored in the receiver, and the user's preference for the contents of the program is analyzed in advance. In addition, at the time of selecting a program, program information of a program scheduled to be broadcast in the future is acquired, and a preference suitability level indicating how much the user is interested in the program is obtained for each program. There is a patent proposal for an automatic program selection method that automatically selects a program that the user is interested in.
特許第3340342号公報では、利用者の嗜好を分析し、利用者の嗜好に適合する番組を自動的に選択して表示するテレビジョン選局装置を提供している。
特許第3340342号公報によるテレビジョン選局装置では、番組情報に含まれる、番組タイトル・ジャンル・出演者リスト・内容説明等の各項目のテキストデータに含まれるキーワードを属性値として抽出して、この属性値を嗜好分析の分析要素として使用している。しかし、この方法だと項目の種類に関係なく抽出した属性値を全て同等に扱っているため、項目毎の特性や項目に対する利用者の嗜好傾向が嗜好適合度の計算に反映されないという課題がある。 In the television channel selection apparatus according to Japanese Patent No. 3340342, keywords included in the text data of each item such as program title, genre, performer list, contents description, and the like included in the program information are extracted as attribute values. The attribute value is used as an analysis element for preference analysis. However, since this method handles all extracted attribute values equally regardless of the type of item, there is a problem that the characteristics of each item and the user's preference tendency for the item are not reflected in the calculation of the preference preference degree. .
例えば、内容や出演者に関係なく報道番組全般に興味がある利用者が、「タレント花子」がたまたまゲスト出演している報道番組を視聴したとする。この場合、ジャンルの項目の属性値である「報道番組」と出演者リストの項目の属性値である「タレント花子」が嗜好分析の分析要素として同等に扱われてしまう。従って、その後の番組選択において、利用者が興味を持っている報道番組が選択されるだけでなく、本来興味のない「タレント花子」が出演しているバラエティー番組等も選択される可能性が高くなってしまう。 For example, it is assumed that a user who is interested in the news program in general regardless of the content or the performer watches a news program in which “Talent Hanako” happens to be a guest. In this case, the attribute value of the genre item, “News Program”, and the attribute value of the performer list item, “Talent Hanako”, are treated equally as analysis elements of the preference analysis. Therefore, in the subsequent program selection, not only the news program that the user is interested in, but also the variety program or the like in which the “talent Hanako” that is not of interest is appearing is likely to be selected. turn into.
このように、特許第3340342号公報によるテレビジョン選局装置では嗜好分析の精度が上げられず番組自動選択の精度を上げられない点が課題であった。
そこで本発明は、番組に対する嗜好適合度を、ジャンル・出演者リスト等の項目毎にわけ、項目毎の嗜好適合度を番組全体の嗜好適合度へ反映させる度合いを視聴履歴に基づいて最適化させることにより、嗜好分析の精度を向上させ、番組自動選択の精度を向上させることを目的とする。As described above, the television channel selecting apparatus disclosed in Japanese Patent No. 3340342 has a problem in that accuracy of preference analysis cannot be improved and accuracy of automatic program selection cannot be improved.
Therefore, the present invention divides the preference suitability for a program into items such as a genre and a performer list, and optimizes the degree to which the preference suitability for each item is reflected in the suitability suitability of the entire program based on the viewing history. Thus, it is an object to improve the accuracy of preference analysis and improve the accuracy of automatic program selection.
そこで、上記課題を解決するために本発明は、以下の装置、方法、及びプログラムを提供するものである。
(1)番組情報が付随されている番組の視聴履歴から、利用者の嗜好を分析し、将来放送予定の各番組の番組情報を利用して、前記将来放送予定の各番組を前記利用者の嗜好に適合する度合いの高い順に順位付けし、その順位付けした番組のうちから所定数の番組を選択する番組自動選択装置において、
利用者が視聴した番組の視聴履歴を記憶する第1の記憶手段と(111)、
番組に付随する前記番組情報を取得し記憶する第2の記憶手段と(104)、
前記第1の記憶手段に記憶されている視聴履歴に基づき、前記第2の記憶手段に記憶されている番組情報に対応する各番組の視聴頻度を求める視聴頻度計算手段と(202、S402)、
番組順位付け時に、前記視聴履歴と前記番組情報とを用いて、前記各番組が利用者の嗜好にどの程度適合しているかを示す1種類または複数種類の嗜好適合度を求める嗜好適合度計算手段と(203、S302、205、S502)、
過去の番組順位付け時に前記嗜好適合度計算手段により求めた前記各番組の嗜好適合度と、前記視聴履歴とを分析して、番組を順位付けする際に用いる将来放送予定の2つの番組のうちどちらが前記利用者の嗜好に適合しているかを判断する判断基準を設定し、再設定指示毎に前記分析処理を実行して前記判断基準の再設定を行う判断基準設定手段と(204、S602)、
前記判断基準を用いて、前記将来放送予定の各番組から、前記利用者の嗜好に適合する番組を順位付けする番組順位付け手段と(206、S703)、
前記順位付けされた各番組のうちから、前記利用者の嗜好に適合する度合いの高い順に所定数の番組を選択する選択手段と(206、S703)、
を有し、
前記判断基準設定手段は、前記視聴履歴に含まれている過去に視聴した番組のうち1つの番組を視聴済み番組とし、この視聴済み番組の前記嗜好適合度及び前記視聴頻度を第1の情報とし、前記視聴済み番組と同時間帯に放送されていた番組である視聴しなかった番組のうち1つの番組の前記嗜好適合度及び前記視聴頻度を第2の情報とし、前記視聴済み番組を視聴したとする選択結果を第3の情報として、前記第1〜第3の情報を分析する処理を、前記視聴履歴に含まれている所定数の前記視聴済み番組について、前記視聴済み番組と前記視聴済み番組と同時間帯に放送されていた番組である視聴しなかった番組との全ての組み合わせに対して行って前記判断基準を設定し、更に再設定指示毎に前記分析処理を実行して前記判断基準を再設定する判断基準設定手段であり、
前記番組順位付け手段は、前記第2の記憶手段に記憶されている前記将来放送予定の各番組の番組情報から所定放送予定期間内の任意の2つの番組を抽出し、前記2つの番組の前記嗜好適合度と前記視聴頻度とから、前記判断基準を用いてどちらの番組がより利用者の嗜好に適合する番組であるかを判断する処理を、前記所定放送予定期間内の全ての番組の組み合わせにおいて実行し、その判断結果に基づき、前記所定放送予定期間内の各番組毎に利用者の嗜好に適合すると判断された回数をカウントして、その回数の多い順に番組を順位付けする手段であることを特徴とする番組自動選択装置。
(2)番組情報が付随されている番組の視聴履歴から、利用者の嗜好を分析し、将来放送予定の各番組の番組情報を利用して、前記将来放送予定の各番組を前記利用者の嗜好に適合する度合いの高い順に順位付けし、その順位付けした番組のうちから所定数の番組を選択する番組自動選択装置において、
前記番組情報は複数の項目を有し、その各項目は1つまたは複数の属性値により構成され、
利用者が視聴した番組の視聴履歴を記憶する第1の記憶手段と(111)、
番組に付随する前記番組情報を取得し記憶する第2の記憶手段と(104)、
前記第1の記憶手段に記憶されている視聴履歴に基づき、前記第2の記憶手段に記憶されている番組情報に対応する各番組の視聴頻度を求める視聴頻度計算手段と(202、S402)、
前記視聴履歴内の各番組に付随する番組情報に含まれる属性値の出現頻度を計算指示毎に計算し、前記各属性値毎の嗜好度を求める嗜好分析手段と(203、S302)、
番組順位付け時に、前記将来放送予定の各番組の番組情報に含まれる属性値に対応する前記嗜好度を前記番組情報の項目別に加算し、各番組毎の嗜好適合度を求める嗜好適合度計算手段と(205、S502)、
過去の番組順位付け時に前記嗜好適合度計算手段により求めた前記各番組の嗜好適合度と、前記視聴履歴とを分析して、番組を順位付けする際に用いる将来放送予定の2つの番組のうちどちらが前記利用者の嗜好に適合しているかを判断する判断基準を設定し、再設定指示毎に前記分析処理を実行して前記判断基準の再設定を行う判断基準設定手段と(204、S602)、
前記判断基準を用いて、前記将来放送予定の各番組から、前記利用者の嗜好に適合する番組を順位付けする番組順位付け手段と(206、S703)、
前記順位付けされた各番組のうちから、前記利用者の嗜好に適合する度合いの高い順に所定数の番組を選択する選択手段と(206、S703)、
を有し、
前記判断基準設定手段は、前記視聴履歴に含まれている過去に視聴した番組のうち1つの番組を視聴済み番組とし、この視聴済み番組の前記嗜好適合度及び前記視聴頻度を第1の情報とし、前記視聴済み番組と同時間帯に放送されていた番組である視聴しなかった番組のうち1つの番組の前記嗜好適合度及び前記視聴頻度を第2の情報とし、前記視聴済み番組を視聴したとする選択結果を第3の情報として、前記第1〜第3の情報を分析する処理を、前記視聴履歴に含まれている所定数の前記視聴済み番組について、前記視聴済み番組と前記視聴済み番組と同時間帯に放送されていた番組である視聴しなかった番組との全ての組みあわせに対して行って前記判断基準を設定し、更に再設定指示毎に前記分析処理を実行して前記判断基準を再設定する判断基準設定手段であり、
前記番組順位付け手段は、前記第2の記憶手段に記憶されている前記将来放送予定の各番組の番組情報から所定放送予定期間内の任意の2つの番組を抽出し、前記2つの番組の前記嗜好適合度と前記視聴頻度とから、前記判断基準を用いてどちらの番組がより利用者の嗜好に適合する番組であるかを判断する処理を、前記所定放送予定期間内の全ての番組の組み合わせにおいて実行し、その判断結果に基づき、前記所定放送予定期間内の各番組毎に利用者の嗜好に適合すると判断された回数をカウントして、その回数の多い順に番組を順位付けする手段であることを特徴とする番組自動選択装置。
(3)番組情報が付随されている番組の視聴履歴から、利用者の嗜好を分析し、将来放送予定の各番組の番組情報を利用して、前記将来放送予定の各番組を前記利用者の嗜好に適合する度合いの高い順に順位付けし、その順位付けした番組のうちから所定数の番組を選択する番組自動選択装置における番組自動選択方法において、
前記番組自動選択装置が、
利用者が視聴した番組の視聴履歴を記憶する第1の記憶ステップと、
番組に付随する前記番組情報を取得し記憶する第2の記憶ステップと、
前記第1の記憶ステップに記憶されている視聴履歴に基づき、前記第2の記憶ステップに記憶されている番組情報に対応する各番組の視聴頻度を求める視聴頻度計算ステップと、
番組順位付け時に、前記視聴履歴と前記番組情報とを用いて、前記各番組が利用者の嗜好にどの程度適合しているかを示す1種類または複数種類の嗜好適合度を求める嗜好適合度計算ステップと、
過去の番組順位付け時に前記嗜好適合度計算ステップにより求めた前記各番組の嗜好適合度と、前記視聴履歴とを分析して、番組を順位付けする際に用いる将来放送予定の2つの番組のうちどちらが前記利用者の嗜好に適合しているかを判断する判断基準を設定し、再設定指示毎に前記分析処理を実行して前記判断基準の再設定を行う判断基準設定ステップと、
前記判断基準を用いて、前記将来放送予定の各番組から、前記利用者の嗜好に適合する番組を順位付けする番組順位付けステップと、
前記順位付けされた各番組のうちから、前記利用者の嗜好に適合する度合いの高い順に所定数の番組を選択する選択ステップと、
を実行することを特徴とし、
前記判断基準設定ステップは、前記視聴履歴に含まれている過去に視聴した番組のうち1つの番組を視聴済み番組とし、この視聴済み番組の前記嗜好適合度及び前記視聴頻度を第1の情報とし、前記視聴済み番組と同時間帯に放送されていた番組である視聴しなかった番組のうち1つの番組の前記嗜好適合度及び前記視聴頻度を第2の情報とし、前記視聴済み番組を視聴したとする選択結果を第3の情報として、前記第1〜第3の情報を分析する処理を、前記視聴履歴に含まれている所定数の前記視聴済み番組について、前記視聴済み番組と前記視聴済み番組と同時間帯に放送されていた番組である視聴しなかった番組との全ての組み合わせに対して行って前記判断基準を設定し、更に再設定指示毎に前記分析処理を実行して前記判断基準を再設定する判断基準設定ステップであり、
前記番組順位付けステップは、前記第2の記憶ステップに記憶されている前記将来放送予定の各番組の番組情報から所定放送予定期間内の任意の2つの番組を抽出し、前記2つの番組の前記嗜好適合度と前記視聴頻度とから、前記判断基準を用いてどちらの番組がより利用者の嗜好に適合する番組であるかを判断する処理を、前記所定放送予定期間内の全ての番組の組み合わせにおいて実行し、その判断結果に基づき、前記所定放送予定期間内の各番組毎に利用者の嗜好に適合すると判断された回数をカウントして、その回数の多い順に番組を順位付けするステップであることを特徴とする番組自動選択方法。
(4)番組情報が付随されている番組の視聴履歴から、利用者の嗜好を分析し、将来放送予定の各番組の番組情報を利用して、前記将来放送予定の各番組を前記利用者の嗜好に適合する度合いの高い順に順位付けし、その順位付けした番組のうちから所定数の番組を選択する番組自動選択装置における番組自動選択方法において、
前記番組情報は複数の項目を有し、その各項目は1つまたは複数の属性値により構成され、
前記番組自動選択装置が、
利用者が視聴した番組の視聴履歴を記憶する第1の記憶ステップと、
番組に付随する前記番組情報を取得し記憶する第2の記憶ステップと、
前記第1の記憶ステップに記憶されている視聴履歴に基づき、前記第2の記憶ステップに記憶されている番組情報に対応する各番組の視聴頻度を求める視聴頻度計算ステップと、
前記視聴履歴内の各番組に付随する番組情報に含まれる属性値の出現頻度を計算指示毎に計算し、前記各属性値毎の嗜好度を求める嗜好分析ステップと、
番組順位付け時に、前記将来放送予定の各番組の番組情報に含まれる属性値に対応する前記嗜好度を前記番組情報の項目別に加算し、各番組毎の嗜好適合度を求める嗜好適合度計算ステップと、
過去の番組順位付け時に前記嗜好適合度計算ステップにより求めた前記各番組の嗜好適合度と、前記視聴履歴とを分析して、番組を順位付けする際に用いる将来放送予定の2つの番組のうちどちらが前記利用者の嗜好に適合しているかを判断する判断基準を設定し、再設定指示毎に前記分析処理を実行して前記判断基準の再設定を行う判断基準設定ステップと、
前記判断基準を用いて、前記将来放送予定の各番組から、前記利用者の嗜好に適合する番組を順位付けする番組順位付けステップと、
前記順位付けされた各番組のうちから、前記利用者の嗜好に適合する度合いの高い順に所定数の番組を選択する選択ステップと、
を実行することを特徴とし、
前記判断基準設定ステップは、前記視聴履歴に含まれている過去に視聴した番組のうち1つの番組を視聴済み番組とし、この視聴済み番組の前記嗜好適合度及び前記視聴頻度を第1の情報とし、前記視聴済み番組と同時間帯に放送されていた番組である視聴しなかった番組のうち1つの番組の前記嗜好適合度及び前記視聴頻度を第2の情報とし、前記視聴済み番組を視聴したとする選択結果を第3の情報として、前記第1〜第3の情報を分析する処理を、前記視聴履歴に含まれている所定数の前記視聴済み番組について、前記視聴済み番組と前記視聴済み番組と同時間帯に放送されていた番組である視聴しなかった番組との全ての組みあわせに対して行って前記判断基準を設定し、更に再設定指示毎に前記分析処理を実行して前記判断基準を再設定する判断基準設定ステップであり、
前記番組順位付けステップは、前記第2の記憶ステップに記憶されている前記将来放送予定の各番組の番組情報から所定放送予定期間内の任意の2つの番組を抽出し、前記2つの番組の前記嗜好適合度と前記視聴頻度とから、前記判断基準を用いてどちらの番組がより利用者の嗜好に適合する番組であるかを判断する処理を、前記所定放送予定期間内の全ての番組の組み合わせにおいて実行し、その判断結果に基づき、前記所定放送予定期間内の各番組毎に利用者の嗜好に適合すると判断された回数をカウントして、その回数の多い順に番組を順位付けするステップであることを特徴とする番組自動選択方法。
(5)番組情報が付随されている番組の視聴履歴から、利用者の嗜好を分析し、将来放送予定の各番組の番組情報を利用して、前記将来放送予定の各番組を前記利用者の嗜好に適合する度合いの高い順に順位付けし、その順位付けした番組のうちから所定数の番組を選択する番組自動選択プログラムにおいて、
利用者が視聴した番組の視聴履歴を第1の記憶手段に記憶させる第1の記憶機能と、
番組に付随する前記番組情報を取得し第2の記憶手段に記憶させる第2の記憶機能と、
前記第1の記憶手段に記憶されている視聴履歴に基づき、前記第2の記憶手段に記憶されている番組情報に対応する各番組の視聴頻度を求める視聴頻度計算機能と、
番組順位付け時に、前記視聴履歴と前記番組情報とを用いて、前記各番組が利用者の嗜好にどの程度適合しているかを示す1種類または複数種類の嗜好適合度を求める嗜好適合度計算機能と、
過去の番組順位付け時に前記嗜好適合度計算機能により求めた前記各番組の嗜好適合度と、前記視聴履歴とを分析して、番組を順位付けする際に用いる将来放送予定の2つの番組のうちどちらが前記利用者の嗜好に適合しているかを判断する判断基準を設定し、再設定指示毎に前記分析処理を実行して前記判断基準の再設定を行う判断基準設定機能と、
前記判断基準を用いて、前記将来放送予定の各番組から、前記利用者の嗜好に適合する番組を順位付けする番組順位付け機能と、
前記順位付けされた各番組のうちから、前記利用者の嗜好に適合する度合いの高い順に所定数の番組を選択する選択機能と、
をコンピュータに実行させるプログラムであり、
前記判断基準設定機能は、前記視聴履歴に含まれている過去に視聴した番組のうち1つの番組を視聴済み番組とし、この視聴済み番組の前記嗜好適合度及び前記視聴頻度を第1の情報とし、前記視聴済み番組と同時間帯に放送されていた番組である視聴しなかった番組のうち1つの番組の前記嗜好適合度及び前記視聴頻度を第2の情報とし、前記視聴済み番組を視聴したとする選択結果を第3の情報として、前記第1〜第3の情報を分析する処理を、前記視聴履歴に含まれている所定数の前記視聴済み番組について、前記視聴済み番組と前記視聴済み番組と同時間帯に放送されていた番組である視聴しなかった番組との全ての組み合わせに対して行って前記判断基準を設定し、更に再設定指示毎に前記分析処理を実行して前記判断基準を再設定する判断基準設定機能であり、
前記番組順位付け機能は、前記第2の記憶手段に記憶されている前記将来放送予定の各番組の番組情報から所定放送予定期間内の任意の2つの番組を抽出し、前記2つの番組の前記嗜好適合度と前記視聴頻度とから、前記判断基準を用いてどちらの番組がより利用者の嗜好に適合する番組であるかを判断する処理を、前記所定放送予定期間内の全ての番組の組み合わせにおいて実行し、その判断結果に基づき、前記所定放送予定期間内の各番組毎に利用者の嗜好に適合すると判断された回数をカウントして、その回数の多い順に番組を順位付けする機能であることを特徴とする番組自動選択プログラム。
(6)番組情報が付随されている番組の視聴履歴から、利用者の嗜好を分析し、将来放送予定の各番組の番組情報を利用して、前記将来放送予定の各番組を前記利用者の嗜好に適合する度合いの高い順に順位付けし、その順位付けした番組のうちから所定数の番組を選択する番組自動選択プログラムにおいて、
前記番組情報は複数の項目を有し、その各項目は1つまたは複数の属性値により構成され、
利用者が視聴した番組の視聴履歴を第1の記憶手段に記憶させる第1の記憶機能と、
番組に付随する前記番組情報を取得し第2の記憶手段に記憶させる第2の記憶機能と、
前記第1の記憶手段に記憶されている視聴履歴に基づき、前記第2の記憶手段に記憶されている番組情報に対応する各番組の視聴頻度を求める視聴頻度計算機能と
前記視聴履歴内の各番組に付随する番組情報に含まれる属性値の出現頻度を計算指示毎に計算し、前記各属性値毎の嗜好度を求める嗜好分析機能と、
番組順位付け時に、前記将来放送予定の各番組の番組情報に含まれる属性値に対応する前記嗜好度を前記番組情報の項目別に加算し、各番組毎の嗜好適合度を求める嗜好適合度計算機能と、
過去の番組順位付け時に前記嗜好適合度計算機能により求めた前記各番組の嗜好適合度と、前記視聴履歴とを分析して、番組を順位付けする際に用いる将来放送予定の2つの番組のうちどちらが前記利用者の嗜好に適合しているかを判断する判断基準を設定し、再設定指示毎に前記分析処理を実行して前記判断基準の再設定を行う判断基準設定機能と、
前記判断基準を用いて、前記将来放送予定の各番組から、前記利用者の嗜好に適合する番組を順位付けする番組順位付け機能と、
前記順位付けされた各番組のうちから、前記利用者の嗜好に適合する度合いの高い順に所定数の番組を選択する選択機能と、
をコンピュータに実行させるプログラムであり、
前記判断基準設定機能は、前記視聴履歴に含まれている過去に視聴した番組のうち1つの番組を視聴済み番組とし、この視聴済み番組の前記嗜好適合度及び前記視聴頻度を第1の情報とし、前記視聴済み番組と同時間帯に放送されていた番組である視聴しなかった番組のうち1つの番組の前記嗜好適合度及び前記視聴頻度を第2の情報とし、前記視聴済み番組を視聴したとする選択結果を第3の情報として、前記第1〜第3の情報を分析する処理を、前記視聴履歴に含まれている所定数の前記視聴済み番組について、前記視聴済み番組と前記視聴済み番組と同時間帯に放送されていた番組である視聴しなかった番組との全ての組みあわせに対して行って前記判断基準を設定し、更に再設定指示毎に前記分析処理を実行して前記判断基準を再設定する判断基準設定機能であり、
前記番組順位付け機能は、前記第2の記憶手段に記憶されている前記将来放送予定の各番組の番組情報から所定放送予定期間内の任意の2つの番組を抽出し、前記2つの番組の前記嗜好適合度と前記視聴頻度とから、前記判断基準を用いてどちらの番組がより利用者の嗜好に適合する番組であるかを判断する処理を、前記所定放送予定期間内の全ての番組の組み合わせにおいて実行し、その判断結果に基づき、前記所定放送予定期間内の各番組毎に利用者の嗜好に適合すると判断された回数をカウントして、その回数の多い順に番組を順位付けする機能であることを特徴とする番組自動選択プログラム。Therefore, in order to solve the above problems, the present invention provides the following apparatus, method, and program.
(1) The user's preference is analyzed from the viewing history of the program accompanied by the program information, and the program information of each program scheduled to be broadcast in the future is used to determine each program scheduled to be broadcast in the future by the user. In a program automatic selection device that ranks in descending order of degree of suitability for preference and selects a predetermined number of programs from the ranked programs,
(111) first storage means for storing a viewing history of a program viewed by the user;
(104) second storage means for acquiring and storing the program information associated with the program;
Viewing frequency calculation means for obtaining the viewing frequency of each program corresponding to the program information stored in the second storage means based on the viewing history stored in the first storage means (202, S402);
At the time of program ranking, using the viewing history and the program information, preference preference degree calculation means for obtaining one or more types of preference preference degrees indicating how much each program fits the user's preference And (203, S302, 205, S502),
Of the two programs scheduled to be broadcast in the future to be used when ranking the programs by analyzing the preference suitability of each program obtained by the preference suitability calculation means at the time of past program ranking and the viewing history A determination criterion setting means for setting a determination criterion for determining which one suits the user's preference, and executing the analysis process for each reset instruction to reset the determination criterion (204, S602) ,
Program ranking means for ranking programs that match the user's preference from the programs scheduled to be broadcast in the future using the criteria (206, S703),
Selecting means for selecting a predetermined number of programs in descending order of suitability to the user's preference from among the ranked programs (206, S703);
Have
The determination criterion setting means sets one program among previously viewed programs included in the viewing history as a viewed program, and uses the preference suitability and the viewing frequency of the viewed program as first information. The watched program is viewed with the preference preference degree and the viewing frequency of one program among the programs that have not been viewed that are broadcast in the same time zone as the watched program as second information. The process of analyzing the first to third information with the selection result as the third information is processed for the predetermined number of the viewed programs included in the viewing history. The judgment criteria are set for all combinations of programs that have been broadcast in the same time zone and programs that have not been viewed, and the analysis process is executed for each resetting instruction. Resetting standards Is a criterion setting means for,
The program ranking means extracts any two programs within a predetermined scheduled broadcast period from program information of each program scheduled to be broadcast in the future stored in the second storage means, and The process of determining which program is a program that better matches the user's preference from the preference preference degree and the viewing frequency by using the determination criteria is a combination of all programs within the predetermined broadcast scheduled period. , And based on the determination result, count the number of times each program within the predetermined broadcast schedule period is determined to be suitable for the user's preference, and rank the programs in descending order. A program automatic selection device characterized by the above.
(2) Analyzing the user's preference from the viewing history of the program accompanied by the program information, and using the program information of each program scheduled to be broadcast in the future, In a program automatic selection device that ranks in descending order of degree of suitability for preference and selects a predetermined number of programs from the ranked programs,
The program information has a plurality of items, each of which is composed of one or more attribute values,
(111) first storage means for storing a viewing history of a program viewed by the user;
(104) second storage means for acquiring and storing the program information associated with the program;
Viewing frequency calculation means for obtaining the viewing frequency of each program corresponding to the program information stored in the second storage means based on the viewing history stored in the first storage means (202, S402);
Preference analysis means for calculating the appearance frequency of the attribute value included in the program information accompanying each program in the viewing history for each calculation instruction and obtaining the preference level for each attribute value (203, S302);
At the time of program ranking, the preference degree calculation means for adding the preference degree corresponding to the attribute value included in the program information of each program scheduled to be broadcast in the future for each item of the program information and obtaining the preference degree of preference for each program And (205, S502),
Of the two programs scheduled to be broadcast in the future to be used when ranking the programs by analyzing the preference suitability of each program obtained by the preference suitability calculation means at the time of past program ranking and the viewing history A determination criterion setting means for setting a determination criterion for determining which one suits the user's preference, and executing the analysis process for each reset instruction to reset the determination criterion (204, S602) ,
Program ranking means for ranking programs that match the user's preference from the programs scheduled to be broadcast in the future using the criteria (206, S703),
Selecting means for selecting a predetermined number of programs in descending order of suitability to the user's preference from among the ranked programs (206, S703);
Have
The determination criterion setting means sets one program among previously viewed programs included in the viewing history as a viewed program, and uses the preference suitability and the viewing frequency of the viewed program as first information. The watched program is viewed with the preference preference degree and the viewing frequency of one program among the programs that have not been viewed that are broadcast in the same time zone as the watched program as second information. The process of analyzing the first to third information with the selection result as the third information is processed for the predetermined number of the viewed programs included in the viewing history. The judgment criteria are set for all combinations with programs that have been broadcast in the same time zone as the programs that have not been viewed, and the analysis process is executed for each reset instruction. Re-established criteria Is a criterion setting means for,
The program ranking means extracts any two programs within a predetermined scheduled broadcast period from program information of each program scheduled to be broadcast in the future stored in the second storage means, and The process of determining which program is a program that better matches the user's preference from the preference preference degree and the viewing frequency by using the determination criteria is a combination of all programs within the predetermined broadcast scheduled period. , And based on the determination result, count the number of times each program within the predetermined broadcast schedule period is determined to be suitable for the user's preference, and rank the programs in descending order. A program automatic selection device characterized by the above.
(3) Analyzing the user's preference from the viewing history of the program accompanied by the program information, and using the program information of each program scheduled to be broadcast in the future, In a program automatic selection method in a program automatic selection device that ranks in order of the degree of suitability to preference and selects a predetermined number of programs from the ranked programs,
The program automatic selection device comprises:
A first storage step of storing a viewing history of a program viewed by the user;
A second storage step of acquiring and storing the program information associated with the program;
A viewing frequency calculation step for obtaining a viewing frequency of each program corresponding to the program information stored in the second storage step based on the viewing history stored in the first storage step;
At the time of program ranking, using the viewing history and the program information, preference preference degree calculation step for obtaining one or more types of preference preference degrees indicating how much each program is adapted to the user's preference When,
Of the two programs scheduled to be broadcasted in the future to be used for ranking programs by analyzing the preference suitability of each program obtained by the preference suitability calculation step at the time of past program ranking and the viewing history A determination criterion setting step for setting a determination criterion for determining which is suitable for the user's preference, and performing the analysis process for each reset instruction to reset the determination criterion;
A program ranking step of ranking programs that match the user's preference from the programs scheduled to be broadcast in the future using the criteria.
A selection step of selecting a predetermined number of programs from the ranked programs in descending order of degree of conformity to the user's preference;
It is characterized by performing
In the determination criterion setting step, one of the previously viewed programs included in the viewing history is set as a viewed program, and the preference suitability and the viewing frequency of the viewed program are set as first information. The watched program is viewed with the preference preference degree and the viewing frequency of one program among the programs that have not been viewed that are broadcast in the same time zone as the watched program as second information. The process of analyzing the first to third information with the selection result as the third information is processed for the predetermined number of the viewed programs included in the viewing history. The judgment criteria are set for all combinations of programs that have been broadcast in the same time zone and programs that have not been viewed, and the analysis process is executed for each resetting instruction. Standards A criterion setting step of setting,
In the program ranking step, any two programs within a predetermined broadcast scheduled period are extracted from program information of each program scheduled to be broadcast in the future stored in the second storage step, and the programs of the two programs are extracted. The process of determining which program is a program that better matches the user's preference from the preference preference degree and the viewing frequency by using the determination criteria is a combination of all programs within the predetermined broadcast scheduled period. And counting the number of times determined to match the user's preference for each program within the predetermined broadcast scheduled period based on the determination result, and ranking the programs in descending order of the number of times. The program automatic selection method characterized by the above-mentioned.
(4) Analyzing the user's preference from the viewing history of the program accompanied by the program information, and using the program information of each program scheduled to be broadcast in the future, In a program automatic selection method in a program automatic selection device that ranks in order of the degree of suitability to preference and selects a predetermined number of programs from the ranked programs,
The program information has a plurality of items, each of which is composed of one or more attribute values,
The program automatic selection device comprises:
A first storage step of storing a viewing history of a program viewed by the user;
A second storage step of acquiring and storing the program information associated with the program;
A viewing frequency calculation step for obtaining a viewing frequency of each program corresponding to the program information stored in the second storage step based on the viewing history stored in the first storage step;
A preference analysis step of calculating an appearance frequency of an attribute value included in program information accompanying each program in the viewing history for each calculation instruction, and obtaining a preference level for each attribute value;
At the time of program ranking, the preference degree calculation step of adding the preference degree corresponding to the attribute value included in the program information of each program scheduled to be broadcast in the future for each item of the program information and obtaining the preference degree of preference for each program When,
Of the two programs scheduled to be broadcasted in the future to be used for ranking programs by analyzing the preference suitability of each program obtained by the preference suitability calculation step at the time of past program ranking and the viewing history A determination criterion setting step for setting a determination criterion for determining which is suitable for the user's preference, and performing the analysis process for each reset instruction to reset the determination criterion;
A program ranking step of ranking programs that match the user's preference from the programs scheduled to be broadcast in the future using the criteria.
A selection step of selecting a predetermined number of programs from the ranked programs in descending order of degree of conformity to the user's preference;
It is characterized by performing
In the determination criterion setting step, one of the previously viewed programs included in the viewing history is set as a viewed program, and the preference suitability and the viewing frequency of the viewed program are set as first information. The watched program is viewed with the preference preference degree and the viewing frequency of one program among the programs that have not been viewed that are broadcast in the same time zone as the watched program as second information. The process of analyzing the first to third information with the selection result as the third information is processed for the predetermined number of the viewed programs included in the viewing history. The judgment criteria are set for all combinations with programs that have been broadcast in the same time zone as the programs that have not been viewed, and the analysis process is executed for each reset instruction. Judgment criteria A criterion setting step of setting,
In the program ranking step, any two programs within a predetermined broadcast scheduled period are extracted from program information of each program scheduled to be broadcast in the future stored in the second storage step, and the programs of the two programs are extracted. The process of determining which program is a program that better matches the user's preference from the preference preference degree and the viewing frequency by using the determination criteria is a combination of all programs within the predetermined broadcast scheduled period. And counting the number of times determined to match the user's preference for each program within the predetermined broadcast scheduled period based on the determination result, and ranking the programs in descending order of the number of times. The program automatic selection method characterized by the above-mentioned.
(5) Analyzing the user's preference from the viewing history of the program accompanied by the program information, and using the program information of each program scheduled to be broadcast in the future, In a program automatic selection program that ranks in descending order of degree of suitability for preference and selects a predetermined number of programs from the ranked programs,
A first storage function for storing a viewing history of a program viewed by a user in a first storage unit;
A second storage function for acquiring the program information accompanying the program and storing it in a second storage means;
A viewing frequency calculation function for determining the viewing frequency of each program corresponding to the program information stored in the second storage means based on the viewing history stored in the first storage means;
A preference preference calculation function for obtaining one or more types of preference suitability indicating how much each program is adapted to the user's preference using the viewing history and the program information at the time of program ranking. When,
Of the two programs scheduled to be broadcast in the future used for ranking the programs by analyzing the preference suitability of each program obtained by the preference suitability calculation function in the past program ranking and the viewing history A determination criterion setting function for determining which is suitable for the user's preference, a determination criterion setting function for executing the analysis process for each reset instruction and resetting the determination criterion;
A program ranking function that ranks programs that match the user's preference from the programs scheduled to be broadcast in the future using the criteria.
A selection function for selecting a predetermined number of programs from the ranked programs in descending order of suiting the user's preference;
Is a program that causes a computer to execute
The judgment criterion setting function sets one program among previously viewed programs included in the viewing history as a viewed program, and uses the preference suitability and the viewing frequency of the viewed program as first information. The watched program is viewed with the preference preference degree and the viewing frequency of one program among the programs that have not been viewed that are broadcast in the same time zone as the watched program as second information. The process of analyzing the first to third information with the selection result as the third information is processed for the predetermined number of the viewed programs included in the viewing history. The judgment criteria are set for all combinations of programs that have been broadcast in the same time zone and programs that have not been viewed, and the analysis process is executed for each resetting instruction. Resetting standards Is a criterion setting function,
The program ranking function extracts any two programs within a predetermined broadcast schedule period from program information of each program scheduled to be broadcast in the future stored in the second storage means, and The process of determining which program is a program that better matches the user's preference from the preference preference degree and the viewing frequency by using the determination criteria is a combination of all programs within the predetermined broadcast scheduled period. , And based on the determination result, count the number of times that each program within the predetermined broadcast scheduled period is determined to match the user's preference, and rank the programs in descending order. A program automatic selection program characterized by that.
(6) Analyzing the user's preference from the viewing history of the program accompanied by the program information, and using the program information of each program scheduled to be broadcast in the future, In a program automatic selection program that ranks in descending order of degree of suitability for preference and selects a predetermined number of programs from the ranked programs,
The program information has a plurality of items, each of which is composed of one or more attribute values,
A first storage function for storing a viewing history of a program viewed by a user in a first storage unit;
A second storage function for acquiring the program information accompanying the program and storing it in a second storage means;
A viewing frequency calculation function for obtaining a viewing frequency of each program corresponding to the program information stored in the second storage unit based on the viewing history stored in the first storage unit; A preference analysis function for calculating the appearance frequency of the attribute value included in the program information accompanying the program for each calculation instruction, and obtaining the preference level for each attribute value;
A preference degree calculation function for adding the preference level corresponding to the attribute value included in the program information of each program scheduled to be broadcast in the future to determine the preference degree for each program when adding the programs. When,
Of the two programs scheduled to be broadcast in the future used for ranking the programs by analyzing the preference suitability of each program obtained by the preference suitability calculation function in the past program ranking and the viewing history A determination criterion setting function for determining which is suitable for the user's preference, a determination criterion setting function for executing the analysis process for each reset instruction and resetting the determination criterion;
A program ranking function that ranks programs that match the user's preference from the programs scheduled to be broadcast in the future using the criteria.
A selection function for selecting a predetermined number of programs from the ranked programs in descending order of suiting the user's preference;
Is a program that causes a computer to execute
The judgment criterion setting function sets one program among previously viewed programs included in the viewing history as a viewed program, and uses the preference suitability and the viewing frequency of the viewed program as first information. The watched program is viewed with the preference preference degree and the viewing frequency of one program among the programs that have not been viewed that are broadcast in the same time zone as the watched program as second information. The process of analyzing the first to third information with the selection result as the third information is processed for the predetermined number of the viewed programs included in the viewing history. The judgment criteria are set for all combinations with programs that have been broadcast in the same time zone as the programs that have not been viewed, and the analysis process is executed for each reset instruction. Re-established criteria Is a criterion setting function,
The program ranking function extracts any two programs within a predetermined broadcast schedule period from program information of each program scheduled to be broadcast in the future stored in the second storage means, and The process of determining which program is a program that better matches the user's preference from the preference preference degree and the viewing frequency by using the determination criteria is a combination of all programs within the predetermined broadcast scheduled period. , And based on the determination result, count the number of times that each program within the predetermined broadcast scheduled period is determined to match the user's preference, and rank the programs in descending order. A program automatic selection program characterized by that.
以上の通り、本発明は以下の効果を有する。
(効果1)本発明の番組自動選択装置、方法、及びプログラムでは、装置内に記憶している過去に放送された番組の、ジャンル・出演者リスト等の項目毎の嗜好適合度と、視聴履歴から判断できる番組視聴の判断結果を基に、将来放送予定の各番組に対する判断基準を設定し、更新している。As described above, the present invention has the following effects.
(Effect 1) In the program automatic selection device, method, and program of the present invention, the preference suitability for each item such as the genre / performer list and the viewing history of the program broadcast in the past stored in the device Based on the judgment result of program viewing that can be judged from the above, judgment criteria for each program scheduled to be broadcast in the future are set and updated.
この判断基準にて番組の順位付けを行うことにより、利用者の視聴傾向に最適化した判断基準に従って、項目毎の嗜好適合度から番組全体の嗜好適合度を求め、番組順位付けの判断に反映させることができるようになる。 By ranking the programs according to this criterion, the preference suitability of the entire program is obtained from the preference suitability for each item according to the criteria optimized for the viewing tendency of the user, and reflected in the judgment of program ranking. To be able to.
例えば、利用者が出演者リストやキーワードの項目の属性値に関係なく、ジャンルの項目の属性値で「報道」と区別される報道番組全般を多く見ている場合、ニューラルネットワークによる学習によって、出演者リストやキーワードの項目の嗜好適合度に関わらず、ジャンルの項目の嗜好適合度が高い番組の番組全体の嗜好適合度が高くなるような判断基準が形成される。このため、興味のある出演者リストやキーワードの項目の属性値が含まれない報道番組であっても、興味のある出演者リストやキーワードの項目の属性値が含まれる報道番組と同程度に順位付けされる可能性が高くなる。 For example, if the user is watching many news programs in general that are distinguished from “report” by the attribute value of the genre item, regardless of the attribute value of the performer list or keyword item, the appearance by performing the neural network learning Regardless of the preference suitability of the user list and the keyword item, a criterion is formed so that the preference suitability of the entire program of the program having a high preference suitability of the genre item is high. For this reason, even a news program that does not include the attribute values of the interested performers list or keyword item ranks as much as the news program that contains the attribute values of the interested performer list or keyword items. The possibility of being attached becomes high.
従って嗜好分析の精度を向上させ番組自動選択の精度を向上させる効果を得ることができる。
(効果2)本発明のさらなる番組順位付け装置及び方法では、装置内に記憶している過去に放送された番組の、ジャンル・出演者リスト等の項目毎の嗜好適合度と、視聴頻度と、視聴履歴から判断できる番組視聴の判断結果を基に、将来放送予定の各番組に対する判断基準を設定し、更新している。Therefore, it is possible to obtain an effect of improving the accuracy of preference analysis and improving the accuracy of automatic program selection.
(Effect 2) In the further program ranking apparatus and method of the present invention, the degree of preference preference for each item such as the genre / performer list of programs broadcast in the past stored in the apparatus, the viewing frequency, Based on the judgment result of program viewing that can be judged from the viewing history, criteria for each program scheduled to be broadcast in the future are set and updated.
この判断基準にて番組の順位付けを行うことにより効果1に加えて、視聴頻度も番組順位付けの判断に反映されるようになる。
例えば、利用者が毎週決まったドラマ番組を視聴している場合、当該ドラマ番組の視聴頻度が番組自動選択に反映されるので、当該ドラマ番組に含まれる出演者リストやキーワードの各項目に関わらず当該ドラマ番組の順位が高くなる可能性が高くなる。By ranking programs according to this criterion, in addition to
For example, when a user is watching a drama program that is decided every week, the viewing frequency of the drama program is reflected in the automatic program selection, so regardless of the performer list and keyword items included in the drama program. The possibility that the ranking of the drama program is high is increased.
従って嗜好分析の精度をさらに向上させ番組自動選択の精度をより向上させる効果を得ることができる。 Therefore, it is possible to obtain the effect of further improving the accuracy of preference analysis and further improving the accuracy of automatic program selection.
次に本発明を実施するための最良の形態を説明する。 Next, the best mode for carrying out the present invention will be described.
本発明の一実施例では、放送局が映像音声信号とともに番組に関する、番組タイトル・放送時間・チャンネル・ジャンル・内容説明・出演者リスト等を含む番組情報を多重化して送信し、受信側で受信した放送波から映像音声信号と番組情報を分離し、利用者が、受信機に表示される番組情報を利用して視聴する番組を選択することが可能なテレビジョン放送システムを想定する。 In one embodiment of the present invention, a broadcast station multiplexes and transmits program information including a program title, a broadcast time, a channel, a genre, a description of contents, a performer list, etc. related to a program together with a video and audio signal, and receives it on the receiving side. A television broadcasting system is assumed in which a video / audio signal and program information are separated from a broadcast wave and a user can select a program to view using program information displayed on a receiver.
なお、以降の説明で使用する「番組」とは下記のようなものである。
例えば連続ドラマのように毎週決まった曜日に放送される第1話、第2話、・・・、最終話は同一の番組として扱う。より具体的には、連続ドラマ「次郎物語」全11話があったとして、この全11話は、「次郎物語」という同一の番組として扱う。そしてこの番組のうち、既に第2話まで放送が終了している時点において、この放送が終了している第1話及び第2話を番組「次郎物語」の「過去に放送された番組」と呼ぶ。そして、まだ放送されておらずこれから放送予定の第3話以降を番組「次郎物語」の「将来放送予定の番組」と呼ぶこととする。The “program” used in the following description is as follows.
For example, the first episode, the second episode,..., And the final episode broadcast on a fixed day of the week as in a series drama are treated as the same program. More specifically, assuming that there are all 11 episodes of the serial drama “Jiro Monogatari”, all 11 episodes are treated as the same program “Jiro Monogatari”. Of these programs, when the broadcast has already ended up to the second episode, the first episode and the second episode, which have ended, are referred to as “programs broadcast in the past” of the program “Jiro Monogatari”. Call. Then, the third and subsequent episodes that have not been broadcast yet and are scheduled to be broadcast from now on are called “programs scheduled to be broadcast in the future” of the program “Jiro Monogatari”.
また異なる例としては、毎週同じ曜日に同じチャンネルで同じような内容で放送される番組も同一番組として扱う。より具体的には、毎週土曜日の8時に8チャンネルで放送される「お笑い合戦」というバラエティー番組があったとして、この「お笑い合戦」はどの週の土曜日において放送される「お笑い合戦」でも同一の番組として扱う。そして本日が金曜日だとした場合、この番組のうち、現時点において既に放送が終了している先週以前の土曜日に放送された「お笑い合戦」を総称して番組「お笑い合戦」の「過去に放送された番組」と呼ぶ。そして、まだ放送されていない明日以降の土曜日に放送される予定の「お笑い合戦」を総称して番組「お笑い合戦」の「将来放送予定の番組」と呼ぶこととする。 As another example, programs broadcast on the same channel on the same day every week with the same content are also treated as the same program. More specifically, assuming that there was a variety program called “Comedy Battle” broadcasted on 8 channels every Saturday at 8am, this “Comedy Battle” is the same for every “Smile Combat” broadcast on any Saturday. Treat as a program. And if today is Friday, the “Comedy Battle” broadcast on Saturday before the last week of the program that has already been broadcast is collectively called “Comedy Battle” in the past. It is called a “program”. The “comedy battle” scheduled to be broadcast on Saturday after tomorrow, which has not been broadcast yet, will be collectively referred to as the “program to be broadcast in the future” of the program “Comedy Battle”.
また番組情報とは、放送局が作成する番組に関する情報であり、番組タイトル・放送時間・チャンネル・ジャンル・内容説明・出演者リスト等の項目が含まれる。また、番組順位付け情報とは、番組自動選択部が生成する番組に関する付加的な情報であり、番組情報から抽出したキーワード、番組視聴頻度、項目別嗜好適合度等が含まれる。 Program information is information relating to a program created by a broadcasting station, and includes items such as program title, broadcast time, channel, genre, content description, performer list, and the like. The program ranking information is additional information related to the program generated by the program automatic selection unit, and includes keywords extracted from the program information, program viewing frequency, item-specific preference suitability, and the like.
また、本説明では独自に「属値放送規定項目」と「属性値受信機規定項目」という2種類の項目を定義している。以下にその定義内容を説明する。
一般的に使用されている番組情報の項目とは、前述したとおり、番組タイトル・放送時間・チャンネル・ジャンル・内容説明・出演者リスト等であり、映像音声信号に多重して送信されるものである。Further, in this description, two types of items, “general value broadcast prescription items” and “attribute value receiver prescription items”, are defined uniquely. The definition is described below.
Commonly used program information items are the program title, broadcasting time, channel, genre, description of contents, performer list, etc., as described above, which are multiplexed with video and audio signals and transmitted. is there.
属性値放送規定項目とは、一般的に使用されている前述した番組情報の項目のうち、ジャンル・出演者リストなど、属性値のフォーマットが決まっている項目のことである。例えばジャンルという項目の属性値は、「ドラマ」には「1」,「スポーツ」には「2」などと固有の数値があてがわれており番組毎に記述されている。本説明では具体的に、「ジャンル」と「出演者リスト」を属性値放送規定項目として取り上げて説明する。 The attribute value broadcast stipulated items are items in which the format of attribute values is determined, such as a genre / performer list, among the above-described program information items that are generally used. For example, the attribute value of the item “genre” is described for each program, and “1” is assigned to “drama” and “2” is assigned to “sport”. In this description, specifically, “genre” and “performer list” are taken up as attribute value broadcast regulation items.
属性値受信機規定項目とは、一般的に使用されている前述した番組情報の項目のうち、番組タイトル・内容説明など、情報内容がテキストデータとして記述されており、固有の属性値が決まっていない項目から、属性値を一定の規則で抜き出して新たに受信機側で作成した項目のことである。本説明では具体的にテキストデータから形態素解析を用いて抽出するキーワードを属性値とする「キーワード」という名前の項目を作成している。
[全体の構成]
図1は本発明の番組自動選択装置の一実施例を示す構成図である。本実施例の番組自動選択装置は、テレビジョン放送の受信、視聴、録画、再生等のテレビジョン受信装置としての基本機能を有し、さらに番組の自動選択機能を有するものである。Attribute value receiver specified items are information items such as program titles / contents descriptions, etc., among the above-mentioned commonly used program information items, and have specific attribute values. It is an item newly created on the receiver side by extracting attribute values from certain items according to certain rules. In this description, an item named “keyword” is created with a keyword extracted from text data using morphological analysis as an attribute value.
[Overall configuration]
FIG. 1 is a block diagram showing an embodiment of an automatic program selection apparatus of the present invention. The program automatic selection apparatus of this embodiment has basic functions as a television reception apparatus such as reception, viewing, recording, and reproduction of television broadcasts, and further has an automatic program selection function.
放送受信部101は、チューナー及び復調分離手段を有し、視聴制御部102より受信するチャンネルが指示されると、指示されたチャンネルの放送局から地上波や放送衛星を介して送信される放送波を受信し、映像音声信号と番組情報に分離する。映像音声信号を録画制御部103へ出力し、番組情報を番組情報記憶部104へ出力する。 The
番組情報記憶部104はハードディスク等の記憶装置であり、放送受信部101より入力される番組情報、及び番組自動選択部105より入力される番組順位付け情報を記憶する。また、番組情報記憶部104は番組自動選択部105により番組情報及び番組順位付け情報を読み書きする機能を有する。 The program
録画制御部103は、放送受信部101より入力される映像音声信号を出力制御部106へ出力するとともに、視聴制御部102より録画の指示があった場合には、映像音声信号を映像音声信号記憶部107へも出力する。 The
映像音声信号記憶部107はハードディスク等の記憶装置であり、録画制御部103より入力される映像音声信号を記憶する。また、出力制御部106により映像音声信号を読み出す機能を有する。 The video / audio
出力制御部106は、視聴制御部102より放送視聴の指示があった場合には、録画制御部103より入力される映像音声信号を出力部108へ出力し、視聴制御部102より録画番組再生の指示があった場合には、視聴制御部102より指定された番組を映像音声信号記憶部107より読み出し出力部108へ出力する。 The
出力部108はブラウン管や液晶等の画像出力装置とスピーカー等の音声出力装置により構成され、出力制御部106より入力される映像音声信号を再生する。また、録画予約のための操作画面を表示したり、映像音声信号記憶部107に記憶されている録画番組リストを表示したり、番組自動選択部105より入力されるおすすめ番組リストを表示したりする機能を有する。 The
入力部109はリモコンとその受光部等で構成される入力装置であり、利用者が、視聴するチャンネルの選択、視聴中の番組の録画開始・停止、録画予約、録画番組の再生・停止、番組自動選択の指示、おすすめ番組リストからの録画予約する番組の選択等を行う機能を有する。 An
視聴制御部102は、入力部109より視聴するチャンネルが指示されると放送受信部101へそのチャンネルの受信を指示し、入力部109より視聴中の番組の録画開始・停止が指示されるとそれに従って録画制御部103へ録画開始・停止を指示し、入力部109より録画予約が指示されると録画管理情報(録画開始・停止時刻、チャンネル等)を録画管理情報記憶部110へ出力し、入力部109より録画番組の再生・停止が指示されるとそれに従って視聴制御部102へ録画番組の再生・停止を指示する。さらに、入力部109より入力される全ての指示を視聴履歴として視聴履歴記憶部111へ出力する。また、録画管理情報記憶部110に記憶されている録画管理情報を定期的に検査し、録画を開始すべき時刻であれば放送受信部101へ録画する番組のチャンネルの受信を指示するとともに録画制御部103へ録画開始を指示し、また録画を停止すべき時刻であれば録画制御部103へ録画停止を指示する。 When a channel to be viewed is instructed from the
録画管理情報記憶部110はハードディスク等の記憶装置であり、視聴制御部102により録画管理情報を読み書きする機能を有する。
視聴履歴記憶部111はハードディスク等の記憶装置であり、視聴制御部102より入力される視聴履歴を記憶する。また、番組自動選択部105により視聴履歴を読み出す機能を有する。また、予め定められた期間を経過した視聴履歴を自動的に消去する機能を有してもよい。The recording management
The viewing
番組自動選択部105は、番組情報記憶部104に記憶されている番組情報の読み出し及び番組順位付け情報の書き込み、視聴履歴記憶部111に記憶されている視聴履歴の読み出し、及び嗜好情報記憶部112に記憶されている嗜好情報及び番組順位付けの判断基準の読み書きの機能を有する。また、入力部109より番組自動選択が指示されると、自動的に選択した番組のリストを出力部108へ出力する。あるいは、指定された時刻になると自動的に番組自動選択が起動するように設定されている場合には、指定された時刻になると自動的に番組を選択し、録画予約リストとして録画管理情報を録画管理情報記憶部110へ出力する。 The automatic
嗜好情報記憶部112はハードディスク等の記憶装置であり、番組自動選択部105により嗜好情報及び番組順位付けの判断基準を読み書きする機能を有する。
なお、番組情報記憶部104、映像音声信号記憶部107、録画管理情報記憶部110、視聴履歴記憶部111、及び嗜好情報記憶部112は1つのハードディスク等の記憶装置を共用する構成にしてもよい。
[番組自動選択部のより詳細な構成]
次に、番組自動選択部105の構成と動作をより詳細に説明する。The preference
The program
[Detailed configuration of automatic program selection section]
Next, the configuration and operation of the program
図2は本発明の番組自動選択装置の一実施例における番組自動選択部105の構成図である。また図13はこの番組自動選択部105で行われる番組自動選択処理の全体の流れを示すフローチャートである。 FIG. 2 is a block diagram of the program
番組自動選択部105は、キーワード抽出部201、視聴頻度計算部202、嗜好分析部203、番組順位付けの判断基準学習部204、項目別嗜好適合度計算部205、及び番組選択部206で構成される。 The automatic
キーワード抽出部201は、番組情報記憶部104に新しい番組情報が記憶されると、番組情報記憶部104より番組情報を読み出し、番組情報に含まれる番組タイトル、内容説明等の項目のテキストデータから形態素解析を利用してキーワードを抽出し、番組順位付け情報として番組情報記憶部104へ書き込む。 When new program information is stored in the program
番組視聴頻度計算部202は、番組情報記憶部104に新しい番組情報が記憶されると、視聴履歴記憶部111より読み出す視聴履歴と番組情報記憶部104より読み出す視聴履歴に含まれている番組の番組情報とを利用して、新しく記憶されたそれぞれの番組の視聴頻度を求め、番組順位付け情報として番組情報記憶部104へ書き込む。 When new program information is stored in the program
嗜好分析部203は、時計207を参照して予め設定された時刻になると、視聴履歴記憶部111より読み出す視聴履歴と番組情報記憶部104より読み出す視聴の対象である番組の番組情報及び番組順位付け情報とに基づき、ジャンル・出演者リスト・キーワード等各項目内の属性値毎嗜好度を求め、嗜好情報記憶部112へ書き込む。なお、嗜好分析は1日に1回程度行えばよい。 The
番組順位付けの判断基準学習部204は、時計207を参照して予め設定された時刻になると、番組情報記憶部104より読み出す各番組の項目別嗜好適合度及び番組視聴頻度と、視聴履歴記憶部111より読み出す視聴履歴とを利用して、番組を選択するための番組順位付けの判断基準を学習し、得られる番組順位付けの判断基準を嗜好情報記憶部112へ書き込む。なお、番組順位付けの判断基準の学習は1日に1回程度行えばよい。 The program ranking judgment
項目別嗜好適合度計算部205は、入力部109からの指示または時計207を参照して予め設定された時刻になったことにより番組自動選択が起動されると、番組情報記憶部104より読み出す将来放送予定の番組の番組情報及び番組順位付け情報と嗜好情報記憶部112より読み出す各項目の属性値毎嗜好度とにより、番組自動選択の対象となる全番組の項目別嗜好適合度を求める。そして項目別嗜好適合度を番組順位付け情報として番組情報記憶部104へ書き込むとともに、項目別嗜好適合度と番組情報と番組順位付け情報とを番組選択部206へ出力する。 The item-specific preference
番組選択部206は、項目別嗜好適合度計算部205より番組の項目別嗜好適合度と番組情報と番組順位付け情報とが入力されると、項目別嗜好適合度と番組順位付け情報とを利用して、嗜好情報記憶部112より読み出す番組順位付けの判断基準に従って番組を選択し、選択された番組の番組情報を選択番組リストとして出力部108または録画管理情報記憶部110へ出力する。
<番組自動選択部105の全体フロー>
以上のような構成の番組自動選択部105の動作を図13のフローチャートにて時系列的に説明する。The
<Overall Flow of Program
The operation of the program
番組自動選択処理を開始する(S101)。
ステップS102では、キーワード抽出部201にて視聴履歴に関連する番組のキーワードが抽出されているか否かを確認する。視聴履歴に関連する番組とは、番組情報記憶部104に番組情報が記憶されている過去に放送された番組のうち、視聴履歴記憶部111に視聴履歴が記憶されている利用者が過去に視聴した番組と、このそれぞれの番組と同時間帯に放送されていた他のチャンネルの番組のことである。視聴履歴に関連する番組のキーワードは通常は前回以前の番組自動選択処理で抽出されているはずであるが、初回の番組自動選択処理や、前回以前の番組自動選択処理が電源オフ等の何らかの理由で行なわれなかった場合に、キーワードが抽出されていない場合がある。Program automatic selection processing is started (S101).
In step S102, it is confirmed whether or not the keyword of the program related to the viewing history is extracted by the
視聴履歴に関連する番組のキーワードが抽出されていなかった場合は、視聴履歴に関連する番組に対してキーワード抽出部201にてキーワード抽出処理(S103)を行なう。 When the keyword of the program related to the viewing history has not been extracted, the
次に、嗜好分析部203にて属性値嗜好度計算処理(S104)を行なう。
ステップS105では、視聴頻度計算部202にて視聴履歴に関連する番組の視聴頻度が計算されているか否かを確認する。視聴履歴に関連する番組の視聴頻度が計算されていない場合は、視聴履歴に関連する番組に対して視聴頻度計算部202にて視聴頻度計算処理(S106)を行なう。Next, the
In step S105, the viewing
ステップS107では、項目別嗜好適合度計算部205にて視聴履歴に関連する番組の項目別嗜好適合度が計算されているか否かを確認する。視聴履歴に関連する番組の項目別嗜好適合度が計算されていない場合は、視聴履歴に関連する番組に対して項目別嗜好適合度計算部205にて項目別嗜好適合度計算処理(S108)を行なう。 In step S107, it is confirmed whether or not the item-specific preference
次に、番組順位付けの判断基準学習部204にて番組順位付けの判断基準学習処理(S109)を行なう。
なお、ここまでの処理は主に視聴履歴に対して行なう処理であって、1日に1回程度ある任意の時刻に行なえばよい。Next, the program ranking determination
The processing so far is mainly processing for the viewing history, and may be performed at an arbitrary time about once a day.
そして、これ以降の処理は将来放送予定の番組に対して行なう処理であって、利用者の番組自動選択実行の指示を受けたときに実行するか、または1日に1回程度ある任意の時刻に行なって記憶しておき、利用者の番組自動選択実行指示時には、その記憶している実行結果の表示のみを行ってもよい。 The subsequent processing is processing for a program scheduled to be broadcast in the future, and is executed when a user's instruction for automatic program selection execution is received, or at an arbitrary time that is about once a day. It is also possible to display the stored execution result only when the user instructs to automatically select and execute the program.
番組情報記憶部104に記憶されている将来放送予定の全ての番組の番組情報からキーワードを抽出するキーワード抽出処理(S110)を行なう。
次に、視聴履歴記憶部111に記憶されている、前述の将来放送予定の各番組に対応する過去に放送された番組の視聴履歴と、前記番組情報記憶部104に記憶されている番組情報とを利用して、将来放送予定の全ての番組の視聴頻度を計算する視聴頻度計算処理(S111)を行なう。A keyword extraction process (S110) for extracting keywords from the program information of all the programs scheduled to be broadcast in the future stored in the program
Next, a viewing history of a program broadcast in the past corresponding to each program scheduled to be broadcast in the future, stored in the viewing
次に、番組情報記憶部104に記憶されている将来放送予定の全ての番組の番組情報、と番組順位付け情報とから項目別嗜好適合度を計算する項目別嗜好適合度計算処理(S112)を行なう。 Next, an item-specific preference suitability calculation process (S112) for calculating the item-specific preference suitability from the program information of all the programs scheduled to be broadcast in the program
最後に番組情報記憶部104に記憶されている将来放送予定の全ての番組から、利用者の嗜好に適合する番組を選択する番組自動選択実行処理(S113)を行なう。
以上で番組自動選択処理を終了する(S114)。
<各構成要素の詳細>
次に、上記番組自動選択部105の構成要素である、キーワード抽出部201、視聴頻度計算部202、嗜好分析部203、番組順位付けの判断基準学習部204、項目別嗜好適合度計算部205、及び番組選択部206のそれぞれにおける動作について詳細に説明する。
<キーワード抽出部201の詳細>
まずキーワード抽出部201で行なわれるキーワード抽出処理(S103)の流れを図14のフローチャートを用いて時系列的に説明する。Finally, a program automatic selection execution process (S113) for selecting a program that matches the user's preference from all the programs scheduled to be broadcast in the future stored in the program
Thus, the program automatic selection process ends (S114).
<Details of each component>
Next, the
<Details of
First, the flow of keyword extraction processing (S103) performed by the
キーワード抽出処理を開始する(S201)。
キーワード抽出処理(S202)にて番組情報記憶部104に記憶されている番組情報(S801)を読み出して、その番組情報に含まれる番組タイトルと内容説明とのテキストデータからキーワード(S203)を抜き出す。この抜き出したキーワード(S203)は、属性値嗜好度計算析処理(S104)、および項目別嗜好適合度計算処理(S108/S112)に使用するために、記憶処理(S204)にてキーワード(S205)として番組情報記憶部104に記憶する。The keyword extraction process is started (S201).
In the keyword extraction process (S202), the program information (S801) stored in the program
以上でキーワード抽出処理を終了する(S206)。
<番組視聴頻度計算部202の詳細>
次に、番組視聴頻度計算部202で行う番組視聴頻度計算処理(S106/S111)の詳細について説明する。This completes the keyword extraction process (S206).
<Details of Program Viewing
Next, details of the program viewing frequency calculation process (S106 / S111) performed by the program viewing
番組の放送形態には毎日放送、月曜日から金曜日の毎日放送、毎週放送、1回のみ放送等があるが、ここでは毎週放送される番組を対象として、利用者のその番組に対する視聴頻度を検出する。なお、毎日放送される番組や月曜日から金曜日の毎日放送される番組も週の単位で見れば毎週放送されているとみなせるので、番組視聴頻度計算の対象となる。 There are daily broadcasts, daily broadcasts from Monday to Friday, weekly broadcasts, broadcasts only once, etc., but here, for programs broadcast every week, the frequency of viewing of the program by the user is detected. . Note that programs that are broadcast every day and programs that are broadcast every day from Monday to Friday can be regarded as being broadcast every week if viewed in weekly units, and are therefore subject to program viewing frequency calculation.
番組視聴頻度計算のために、ある番組pに対して番組pの放送予定日のw週間前の同番組を視聴したか否かの判別関数を図3の式で定義する。ただし、番組pのw週間前の同番組を視聴したか否かの判断は、番組pに関する番組情報及びw週間前の視聴履歴に基づいて行う。より具体的には、w週間前の番組pと同じチャンネルかつ同じ時間帯(番組pの放送時間の前後1時間程度の幅を持たせる)において放送中に視聴した履歴が存在し、かつその視聴履歴に含まれている番組の番組タイトルが番組pの番組タイトルと同一であると判断できる場合に、w週間前の同番組を視聴したと判断する。 In order to calculate the program viewing frequency, a function for discriminating whether or not the program p is watched for w weeks before the scheduled broadcast date of the program p is defined by the equation of FIG. However, it is determined whether or not the program p has been viewed for w weeks before based on the program information regarding the program p and the viewing history for w weeks before. More specifically, there is a history of viewing during broadcasting in the same channel and the same time zone as the program p of w weeks ago (with a width of about 1 hour before and after the broadcasting time of the program p), and the viewing When it can be determined that the program title of the program included in the history is the same as the program title of program p, it is determined that the same program was watched w weeks ago.
次に、番組pの番組視聴頻度Pf(p)を求める式を図3の式を用いて図4のように定義する。この式は図3の式にコサインによる窓関数をかけて足し合わせるもので、最小値0、最大値1となるように正規化している。Next, an equation for obtaining the program viewing frequency Pf (p) of the program p is defined as shown in FIG. 4 using the equation of FIG. This formula is obtained by adding a cosine window function to the formula in FIG. 3 and normalizing it so that the minimum value is 0 and the maximum value is 1.
この式により、番組pの番組視聴頻度Pf(p)が0以上1以下の実数で求まり、値が大きいほど視聴頻度が高いということになる。さらに、コサインによる窓関数をかけることにより、最近の履歴ほど視聴頻度の値に強く影響することになる。ただし、Nwは1以上の整数で、何週間前までの視聴履歴を使用するかによって定まる定数である。例えば、50週間前(約1年前)までの履歴を使用するのであれば、Nwは50となる。
<視聴頻度計算処理の流れ>
次に、上記番組視聴頻度計算部202で行なう視聴頻度計算処理(S106/S111)の流れを、図16を用いて時系列的に説明する。From this equation, the program viewing frequency Pf (p) of the program p is obtained as a real number between 0 and 1, and the larger the value, the higher the viewing frequency. Furthermore, by applying a window function by cosine, the value of the viewing frequency is strongly influenced as the history becomes more recent. However, Nw is an integer of 1 or more and is a constant determined by how many weeks ago the viewing history is used. For example, if a history up to 50 weeks ago (about 1 year ago) is used, Nw is 50.
<Flow of viewing frequency calculation process>
Next, the flow of the viewing frequency calculation process (S106 / S111) performed by the program viewing
視聴頻度計算処理を開始する(S401)。
番組情報記憶部104に記憶されている番組情報(S801)と、視聴履歴記憶部111に記憶されている視聴履歴(S802)とを用いて、図3の式と図4の式とによって視聴頻度計算処理(S402)を行い、将来放送予定の番組と同一相当と判断できる番組タイトルの過去に放送された番組の視聴頻度(S403)を求める。この求めた視聴頻度(S403)は、属性値嗜好度計算処理(S104)、番組順位付けの判断基準学習処理(S109)、および番組自動選択実行処理(S113)に使用するために、記憶処理(S404)にて、視聴頻度(S405)として番組情報記憶部104へ記憶する。The viewing frequency calculation process is started (S401).
Using the program information (S801) stored in the program
以上で視聴頻度計算処理を終了する(S406)。
<嗜好分析部203の詳細>
次に、嗜好分析部203で行なう利用者の属性値嗜好度分析処理(S104)の詳細について説明する。This completes the viewing frequency calculation process (S406).
<Details of the
Next, details of the user attribute value preference analysis process (S104) performed by the
まず、全ての視聴履歴のうち「ながら視聴」の可能性のある視聴履歴を排除する。「ながら視聴」の対象となる番組では、番組視聴頻度が高くなる傾向がある。逆に、番組視聴頻度の低い番組を視聴した場合には、利用者が興味を持ってその番組を選択したと考えられる。そこで、放送中に番組を視聴した履歴に対して、対応する番組の番組視聴頻度がある閾値より大きいものを嗜好分析の対象外として除外する。ここで使用する閾値は0以上1以下の実数であり、0.5等の適当な値に定める。なお、視聴頻度の高い番組は利用者が習慣的に視聴したい番組であり、特に自動選択した番組を録画予約する場合には選択すべき番組であるとも考えられるが、番組自動選択部が番組を選択するときに利用する情報に番組視聴頻度を含めることにより視聴頻度の高い番組も選択される確率が高くなる。 First, of all viewing histories, viewing histories that may be “while viewing” are excluded. Programs that are subject to “while watching” tend to have higher program viewing frequencies. Conversely, when a program with a low program viewing frequency is viewed, it is considered that the user has selected the program with interest. Therefore, a history of viewing a program during broadcasting is excluded from preference analysis if the program viewing frequency of the corresponding program is greater than a certain threshold. The threshold used here is a real number between 0 and 1, and is set to an appropriate value such as 0.5. A program with high viewing frequency is a program that the user wants to habitually watch, and it is considered that the program should be selected especially when the recording of the automatically selected program is reserved for recording. Inclusion of the program viewing frequency in the information used for selection increases the probability that a program with a high viewing frequency is also selected.
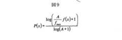
次に、「ながら視聴」の可能性のある視聴履歴を排除して残った全ての視聴履歴を利用して嗜好を分析する。嗜好の分析は、それぞれの視聴履歴に含まれている番組に関して、番組情報に含まれる、ジャンル・出演者リスト等の放送規定項目の属性値、及び番組順位付け情報に含まれるキーワード等の受信機規定項目の属性値の出現回数を求め、それをジャンル・出演者リスト・キーワード等の各項目毎に正規化することによって行う。正規化は、属性値xの出現回数がf(x)であるとすると、図9に示す式によっておこなう。この式は人間の感性に近いと言われる対数関数を用いてf(x)の値を0以上1以下に正規化してP(x)の値を求めるものである。ただし、fmaxは属性値xが含まれる各項目の全ての属性値に関する出現回数の最大値である。また、Aは任意の定数であり、正規化における対数関数の曲線形を考慮して決める。この式により属性値xの出現回数は0以上1以下の実数に正規化される。正規化された値を属性値xの嗜好度とする。図10に番組情報の各項目毎の属性値嗜好度の例を示す。
<属性値嗜好度計算処理の流れ>
次に、上記嗜好分析部203で行なう属性値嗜好度計算処理(S104)の流れを、図15を用いて時系列的に説明する。Next, preference is analyzed using all the viewing histories remaining after eliminating the viewing histories that may be “while viewing”. The preference analysis is performed on receivers such as keywords included in program ranking information, attribute values of broadcast regulation items such as genres and performers lists included in program information, regarding programs included in each viewing history. The number of appearances of the attribute value of the prescribed item is obtained and normalized by each item such as genre, performer list, and keyword. Normalization is performed according to the equation shown in FIG. 9 when the number of appearances of the attribute value x is f (x). This equation obtains the value of P (x) by normalizing the value of f (x) from 0 to 1 using a logarithmic function said to be close to human sensitivity. However, fmax is the maximum value of the number of appearances regarding all the attribute values of each item including the attribute value x. A is an arbitrary constant and is determined in consideration of the curve shape of the logarithmic function in normalization. With this formula, the number of appearances of the attribute value x is normalized to a real number between 0 and 1. Let the normalized value be the preference level of the attribute value x. FIG. 10 shows an example of the attribute value preference for each item of program information.
<Flow of attribute value preference calculation processing>
Next, the flow of attribute value preference degree calculation processing (S104) performed by the
属性値嗜好度計算処理を開始する(S301)。
番組情報記憶部104に記憶されている番組情報(S801)、キーワード(S205)、視聴頻度(S405)、視聴履歴記憶部111に記憶されている視聴履歴(S802)を用いて嗜好分析処理(S302)を行う。The attribute value preference calculation processing is started (S301).
Preference analysis processing (S302) using program information (S801), keyword (S205), viewing frequency (S405) stored in program
嗜好分析処理(S302)は、番組情報(S801)から抽出される、ジャンル・出演者リストの各属性値放送規定項目と、キーワード(S205)を属性値とする<キーワード>という名前の属性値受信機規定項目とに含まれる各属性値が、利用者の嗜好にどれくらい適合しているかを示す項目毎の属性値嗜好度(S303)を図9に示す式を用いて計算する。 The preference analysis process (S302) receives each attribute value broadcast regulation item of the genre / performer list extracted from the program information (S801) and an attribute value named <keyword> having the keyword (S205) as an attribute value. The attribute value preference level (S303) for each item indicating how much each attribute value included in the machine definition item matches the user's preference is calculated using the formula shown in FIG.
なお嗜好分析処理(S302)に利用する番組情報(S801)には、放送中の番組視聴・番組録画予約での視聴・録画された番組の視聴等のさまざまな形式の操作による視聴履歴(S802)による番組情報が含まれる。しかし、放送中の番組視聴に関しては、利用者が特に興味のない番組でありあまり注意を払わずに視聴するいわゆる「ながら視聴」の番組があるので、全ての番組情報(S801)を嗜好分析処理(S302)に利用すると嗜好分析の精度が上がらなくなってしまうという問題が発生する。この問題を回避するために放送中の番組視聴に関しては、番組毎の視聴頻度(S405)を参照して、前述のとおり所定の閾値より視聴頻度の高い番組は「ながら視聴」の番組の可能性が高いと判断し当該番組を除外した後の番組情報を利用して嗜好分析処理(S302)を行う。 The program information (S801) used for the preference analysis process (S302) includes viewing history (S802) by various types of operations such as viewing a broadcast program, viewing a program recording reservation, viewing a recorded program, and the like. Program information is included. However, with respect to program viewing during broadcasting, since there are so-called “while watching” programs that are not particularly interesting to the user and watch without much attention, preference analysis processing is performed on all program information (S801). When used in (S302), there is a problem that the accuracy of preference analysis cannot be improved. In order to avoid this problem, with respect to program viewing during broadcasting, referring to the viewing frequency for each program (S405), as described above, a program having a higher viewing frequency than the predetermined threshold may be a “watching” program. The preference analysis process (S302) is performed using the program information after determining that the program is high and excluding the program.
嗜好分析処理(S302)にて計算された属性値嗜好度(S303)は、項目別嗜好適合度計算処理(S108/S112)に使用するために、記憶処理(S304)にて属性値嗜好度(S305)として嗜好情報記憶部112へ記憶する。なお、属性値嗜好度(S303)は各項目内で正規化するものとする。 The attribute value preference level (S303) calculated in the preference analysis process (S302) is used in the item-specific preference level calculation process (S108 / S112) to store the attribute value preference level (S304) in the storage process (S304). In step S305, the preference
以上で属性値嗜好度計算処理を終了する(S306)。
<項目別嗜好適合度計算部205の詳細>
次に、項目別嗜好適合度計算部205で行う、項目別嗜好適合度計算処理(S108/S112)について説明する。This completes the attribute value preference calculation processing (S306).
<Details of the item-specific preference
Next, the item-specific preference suitable degree calculation unit 205 (S108 / S112) will be described.
項目別嗜好適合度の計算は、嗜好情報記憶部112に記憶されている番組情報に含まれるジャンル・出演者リスト等の属性値放送規定項目と番組順位付け情報に含まれるキーワード等の属性値受信機規定項目とに含まれる各属性値の嗜好度を利用し、ジャンル・出演者リスト・キーワード等の項目毎に行う。 The calculation of the degree of preference for each item is performed by receiving attribute value broadcast stipulated items such as genres and performers list included in the program information stored in the preference
ジャンルに関しては、1つの番組に1つのジャンル属性値のみが含まれるので、番組情報に含まれるジャンル属性値の嗜好度を番組のジャンルの嗜好適合度とする。出演者リスト及びキーワードに関しては、1つの番組に複数の属性値が含まれる可能性があるので、1つの番組に含まれる全ての属性値の嗜好度の和を正規化したものを項目別嗜好適合度とする。具体的には、例えばある番組の出演者リストの属性値をx1、x2、…xNとして、出演者リストの属性値の嗜好度の和Psumを図11に示す式を用いて求める。この式は人間の感性に近いと言われる対数関数を用いてPsumの値を0以上1以下に正規化するものである。 As for the genre, since only one genre attribute value is included in one program, the preference level of the genre attribute value included in the program information is set as the preference degree of the genre of the program. As for the performer list and keywords, there is a possibility that a plurality of attribute values may be included in one program, so that the sum of the preference levels of all attribute values included in one program is normalized for each item. Degree. Specifically, for example, the attribute values of the performer list of a certain program are set to x1, x2,... XN, and the sum Psum of the preference values of the performer list attribute values is obtained using the formula shown in FIG. This expression normalizes the value of Psum from 0 to 1 using a logarithmic function that is said to be close to human sensitivity.
さらに、図12に示す式を用いて嗜好度の和Psumを正規化し、その番組の出演者リストの嗜好適合度Pを求める。ただし、Nmaxは将来放送予定の全番組に関する出演者数の最大値である。また、Aは任意の定数であり、正規化における対数関数の曲線形を考慮して決める。すなわちAが大きいほど対数関数の上に凸の度合いが大きくなり、正規化後の嗜好適合度の分布がより大きいほうに偏る。逆にAが大きいほど対数関数の上に凸の度合いが小さくなり、嗜好適合度の分布が平均化される。番組自動選択の結果が最も良くなるようなAの値を実験によって求める。キーワードに関しても同様に図11の式と図12の式とを用いて項目別嗜好適合度を求める。
<項目別嗜好適合度計算処理の流れ>
次に、上記項目別嗜好適合度計算部205で行う項目別嗜好適合度計算処理(S108/S112)の流れを、図17を用いて時系列的に説明する。Furthermore, the preference degree sum Psum is normalized using the formula shown in FIG. 12, and the preference preference degree P of the performer list of the program is obtained. Nmax is the maximum number of performers for all programs scheduled to be broadcast in the future. A is an arbitrary constant and is determined in consideration of the curve shape of the logarithmic function in normalization. That is, as A increases, the degree of convexity on the logarithmic function increases, and the distribution of the degree of preference preference after normalization tends to be larger. Conversely, the larger A is, the smaller the degree of convexity on the logarithmic function is, and the preference suitable degree distribution is averaged. The value of A that gives the best result of automatic program selection is determined by experiment. Similarly for the keyword, the preference for each item is obtained using the formula of FIG. 11 and the formula of FIG.
<Flow of item preference suitability calculation processing>
Next, the flow of the item-specific preference suitability calculation processing (S108 / S112) performed by the item-specific preference
項目別嗜好適合度計算処理を開始する(S501)。
嗜好情報記憶部112に記憶されている属性値嗜好度(S305)と番組情報記憶部104に記憶されている番組情報(S801)およびキーワード(S205)とを用いて、図11の式と図12の式とによって、番組毎の項目別嗜好適合度計算処理(S502)を行い、番組毎の項目別嗜好適合度(S503)を求める。この求めた番組毎の項目別嗜好適合度(S503)は、番組順位付けの判断基準学習処理(S109)と番組自動選択実行処理(S113)に使用するために記憶処理(S504)にて、項目別嗜好適合度(S505)として項目別嗜好適合度計算部205内に保持する。The item-specific preference suitable degree calculation process is started (S501).
Using the attribute value preference degree (S305) stored in the preference
以上で項目別嗜好適合度計算処理を終了する(S506)。
<番組順位付けの判断基準学習部204の詳細>
次に、番組順位付けの判断基準学習部204で行う項目別嗜好適合度(S505)と番組視聴頻度(S405)と視聴履歴(S802)とを利用して番組を選択するための番組順位付けの判断基準学習処理(S109)の詳細について説明する。なお、この処理は請求項上の判断基準設定手段に相当する。This completes the item-specific preference suitability calculation process (S506).
<Details of Program Ranking Judgment
Next, the program ranking for selecting programs using the preference preference degree by item (S505), the program viewing frequency (S405), and the viewing history (S802), which is performed by the program ranking judgment
まず、番組順位付けの判断基準の学習に使用するニューラルネットワークについて説明する。ニューラルネットワークとは人間の脳を模した情報処理モデルであり、人工知能等の分野で広く利用されている。図5はニューラルネットワークを構成するニューロンの模式図である。ニューロンは複数の値xi(i=1,2,..,n)を入力とし、それぞれの入力に重みwi(i=1,2,..,n)をかけて足し合わせた重み和Σxiwiが閾値を越えたときに出力yとしてその重み和を出力する。ニューラルネットワークはこのニューロンを図6のように階層的に構成したものであり、複数の入力から1つまたは複数の出力を得る。一般的には図6に示すように入力層ii(i=1,2,..,9)、中間層ni(i=1,2,..,5)、出力層oi(i=1,2,3)の3層構成とする。このニューラルネットワークに対してトレーニング用の入出力の多数の組を用いてバックプロパゲーションと呼ばれる学習を行わせることにより、与えられた入力に対して正しい出力を返すような各ニューロンの重み値及び閾値を求めることができる。 First, a neural network used for learning a program ranking judgment criterion will be described. A neural network is an information processing model that imitates the human brain and is widely used in fields such as artificial intelligence. FIG. 5 is a schematic diagram of neurons constituting the neural network. The neuron receives a plurality of values xi (i = 1, 2,..., N) as inputs, and adds a weight wi (i = 1, 2,..., N) to each input to add a weight sum Σxiwi. When the threshold value is exceeded, the weight sum is output as output y. The neural network is a hierarchical structure of these neurons as shown in FIG. 6, and one or a plurality of outputs are obtained from a plurality of inputs. In general, as shown in FIG. 6, an input layer ii (i = 1, 2,..., 9), an intermediate layer ni (i = 1, 2,..., 5), an output layer oi (i = 1, 2, 3). By making this neural network perform learning called backpropagation using a large number of training input / output pairs, the weight value and threshold value of each neuron that returns a correct output for a given input Can be requested.
次に、ニューラルネットワークを用いて番組順位付けの判断基準を学習する方法について説明する。
図7は、項目別嗜好適合度及び番組視聴頻度を利用した番組の選択、及びその番組順位付けの判断基準の学習に用いるニューラルネットワークの構成図である。このニューラルネットワークでは、任意の2つの番組についてのジャンル・出演者リスト・キーワード等の各項目別嗜好適合度及び番組視聴頻度を入力とし、利用者が2つの番組のどちらが好きかを表す0または1の値を出力とする(番組1の方が好きであればo1の出力を1、o2の出力を0とし、番組2の方が好きであればo1の出力を0、o2の出力を1とする)。なお、中間層に用いるニューロン(n1、n2、・・・)は、計算時間や精度を考慮して任意の数で構成してよい。Next, a method for learning a program ranking judgment criterion using a neural network will be described.
FIG. 7 is a configuration diagram of a neural network used to select a program using the preference suitability for each item and the program viewing frequency and to learn the criteria for determining the program ranking. In this neural network, the preference suitable degree for each item such as genre, performer list, keyword, etc. and program viewing frequency for any two programs are input, and 0 or 1 indicating which of the two programs the user likes. (The output of o1 is 1 if the
番組順位付けの判断基準の学習では、利用者による視聴番組の選択において、同時間帯に放送される複数の番組を比較することによって視聴する番組を選択することが一般的であるという特性を利用する。具体的には、図7のニューラルネットワークを用い、視聴履歴記憶部に記憶されているそれぞれの視聴履歴に関して、視聴履歴に含まれている番組及びその番組を視聴中に放送していた他の番組との組合せの全てについてのジャンル・出演者リスト・キーワード等の各項目別嗜好適合度及び番組視聴頻度を入力とし、出力を視聴履歴に含まれている番組の方が好き(利用者はより番組嗜好度が高い番組を選択した)としてバックプロパゲーションによる学習を行う。より具体的には、図8の番組放送表の例において、番組Dを放送中に視聴したとすると、図7における(番組1、番組2)の組合せは(番組D、番組A)(番組D、番組B)(番組D、番組F)(番組A、番組D)(番組B、番組D)(番組F、番組D)の6組となり、先の3組は(o1、o2)の出力が(1、0)、後の3組は(o1、o2)の出力が(0、1)となる。また、番組Gを放送中に視聴したとすると、図7における(番組1、番組2)の組合せは(番組G、番組C)(番組G、番組E)(番組C、番組G)(番組E、番組G)の4組となり、先の2組は(o1、o2)の出力が(1、0)、後の2組は(o1、o2)の出力が(0、1)となる。また、録画予約に関しても、放送中の視聴と同様である。また、録画番組を視聴した視聴履歴に関しては、例えば図8の20:00から21:00の間に録画番組Hを視聴したとすると、図7における(番組1、番組2)の組合せは(番組H、番組C)(番組H、番組E)(番組H、番組G)(番組C、番組H)(番組E、番組H)(番組G、番組H)の6組となり、先の3組は出力が0、後の3組は出力が1となる。全ての視聴履歴に関するこのような番組の組合せ及びそれぞれに対応する出力値をトレーニング用の入出力の組として、ニューラルネットワークの学習を行う。
<番組順位付けの判断基準学習処理の流れ>
次に上記番組順位付けの判断基準学習部204で行なう番組順位付けの判断基準学習処理(S109)の流れを、図18を用いて時系列的に説明する。Learning the criteria for judging program ranking uses the characteristic that when selecting a viewing program by a user, it is common to select a program to view by comparing multiple programs broadcast in the same time period. To do. Specifically, with respect to each viewing history stored in the viewing history storage unit using the neural network of FIG. 7, the program included in the viewing history and other programs that were broadcast while viewing the program The combination of the genre, performer list, keyword, etc. for each item and preference frequency for each item and the program viewing frequency are input, and the output is included in the viewing history. Learning by back-propagation is performed as a program having a high degree of preference is selected). More specifically, in the example of the program broadcast table of FIG. 8, if the program D is viewed during broadcasting, the combination of (
<Flow of program ranking judgment criteria learning process>
Next, the flow of the program ranking judgment criterion learning process (S109) performed by the program ranking judgment
番組順位付けの判断基準は、任意の2つの番組における視聴頻度(S405)と項目別嗜好適合度(S505)とを入力とし、どちらか一方の番組の選択結果を出力とするニューラルネットワークにより求められる。 The criteria for determining the program ranking is obtained by a neural network that receives the viewing frequency (S405) and the item-specific preference degree (S505) of any two programs and outputs the selection result of one of the programs. .
番組順位付けの判断基準学習処理を開始する(S601)。
図7に示すように、ニューラルネットワークを視聴履歴(S802)より参照できる過去に視聴した番組の、項目別嗜好適合度(S505)と視聴頻度(S405)とを一方の入力(番組1)とし、視聴番組と同時刻に放送していて視聴しなかった番組の項目別嗜好適合度(S505)と視聴頻度(S405)とをもう一方の入力(番組2)とし、視聴した方の番組、つまり利用者が興味嗜好を持って選択したと判断できる番組を出力結果として番組順位付けの判断基準学習処理(S602)にてバックプロパゲーションによる学習を行わせる。この番組順位付けの判断基準学習処理(S602)を、視聴履歴(S802)として記憶してある所定数の視聴した番組と、同時刻に放送していたが視聴しなかった番組との、組み合わせに対して行わせることにより、利用者の嗜好にあった番組順位付けの判断基準(S603)を生成し、更新することができる。生成、更新した番組順位付けの判断基準(S603)は次回の番組自動選択実行処理(S113)に使用するため、記憶処理ステップ(S604)にて番組順位付けの判断基準(S605)として番組順位付けの判断基準学習部204内に保持する。The program ranking determination criterion learning process is started (S601).
As shown in FIG. 7, the preference for each item (S 505) and the viewing frequency (S 405) of a program viewed in the past in which the neural network can be referenced from the viewing history (S 802) are set as one input (program 1). The preference degree by item (S505) and the viewing frequency (S405) of the program that was broadcast at the same time as the viewing program and was not viewed as the other input (program 2), and the program that was viewed, that is, the use A program that can be determined that the user has selected with interest and preference is used as an output result, and learning by back-propagation is performed in the program ranking determination criterion learning process (S602). This program ranking determination criterion learning process (S602) is a combination of a predetermined number of programs stored as a viewing history (S802) and programs that were broadcast at the same time but were not viewed. Accordingly, the program ranking judgment criterion (S603) that matches the user's preference can be generated and updated. The generated and updated program ranking judgment criteria (S603) are used for the next program automatic selection execution processing (S113), so that the program ranking is used as the program ranking judgment criteria (S605) in the storage processing step (S604). Is stored in the determination
以上で番組順位付けの判断基準学習処理を終了する(S606)。
<番組選択部206の詳細>
次に、番組選択部206で行う将来放送予定の番組から嗜好に適合する番組を選択する番組自動選択実行処理(S113)について説明する。This completes the program ranking determination criterion learning process (S606).
<Details of the
Next, automatic program selection execution processing (S113) for selecting a program that suits the preference from programs scheduled to be broadcast in the future by the
まず、将来放送予定の番組の中から任意の2つの番組を選択する全ての組合せについて、それらの番組に関するジャンル・出演者リスト・キーワード等の各項目別嗜好適合度(S505)、及び番組視聴頻度(S405)を入力とし、番組順位付けの判断基準学習部204内に保持している番組順位付けの判断基準(S605)が設定されている図7のニューラルネットワークの出力を求める。このとき、入力した2番組のうち、より利用者の嗜好に適合すると判断された番組(図7で出力0の場合は番組1、出力1の場合は番組2)については、嗜好に適合すると判断された回数を数える。 First, with respect to all combinations for selecting any two programs from among programs scheduled to be broadcast in the future, the degree of preference for each item such as genre, performer list, and keywords related to those programs (S505), and program viewing frequency Using (S405) as an input, the output of the neural network of FIG. 7 in which the program ranking judgment criterion (S605) held in the program ranking judgment
次に、嗜好に適合すると判断された回数の多い順に番組を並べ、上位の番組から予め設定された数の番組を選択する。選択された番組をおすすめ番組として表示する場合には、おすすめ番組リストを画面に表示するために都合がいいように選択数を設定する。図20は選択した番組をおすすめ番組として表示する際の表示画面の例である。 Next, the programs are arranged in descending order of the number of times determined to match the preference, and a preset number of programs are selected from the higher programs. When the selected program is displayed as a recommended program, the number of selections is set so as to be convenient for displaying the recommended program list on the screen. FIG. 20 shows an example of a display screen when the selected program is displayed as a recommended program.
また、選択された番組を自動的に録画予約する場合には、同じ時間帯に放送予定の番組が複数選択されないように、上位の複数の番組の時間帯が重なる場合には時間帯が重なった番組のより下位の番組の代わりにそれより下位の時間帯の重ならない番組を選択する等の処理を行ってもよいし、あるいは、時間帯が重なった番組を画面に警告表示し、録画する番組をユーザーが選択できるような仕組みを設けてもよい。また、映像音声信号記憶部の容量が十分でない場合には、映像音声信号記憶部に記憶できるような番組の選択数にしてもよい。
<番組自動選択実行時の処理の流れ>
次に、番組選択部206で行う番組自動選択実行処理(S113)の流れを、図19を用いて時系列的に説明する。In addition, when recording a selected program automatically, the time zone overlaps when the time zones of multiple upper programs overlap so that multiple programs scheduled to be broadcast in the same time zone are not selected. You may perform processing such as selecting a program that does not overlap in a lower time zone instead of a lower-level program, or a program that displays a warning on a screen and records a program in which the time zones overlap A mechanism may be provided so that the user can select. If the capacity of the video / audio signal storage unit is not sufficient, the number of programs that can be stored in the video / audio signal storage unit may be selected.
<Flow of processing during automatic program selection>
Next, the flow of the program automatic selection execution process (S113) performed by the
番組自動選択を開始する(S701)。
将来放送予定の番組の任意の2つの番組を抽出し、2つの番組(番組1と番組2)の視聴頻度(S405)と項目別嗜好適合度(S505)とを 図7に示すニューラルネットワークへの入力とし、このニューラルネットワークは番組順位付けの判断基準学習部204内に保持している番組順位付けの判断基準(S605)を用いて番組選択を行う。この番組選択処理を、選択対象となる全ての番組の組み合わせにおいて実行する(S702)。この選択処理で選択された回数のより多い番組が自動選択の対象となる番組である。この選択回数の多い順にお勧め番組として自動選択結果表示(S703)にて画面表示したり、一番選択回数の多い番組を自動的に録画したりする。Automatic program selection is started (S701).
Two arbitrary programs among the programs scheduled to be broadcast in the future are extracted, and the viewing frequency (S405) and the preference for each item (S505) of the two programs (
以上で番組自動選択実行処理を終了する(S704)。
なお、上記実施例では嗜好分析の際に「ながら視聴」の番組を排除し、かつ視聴頻度と項目別嗜好適合度とを用いて番組順位付けの判断基準の精度を向上させる例を説明したが、視聴頻度と項目別嗜好適合度とのみを用いて番組順位付けの判断基準の精度を向上させる番組自動選択装置でも、従来技術よりも精度のよい番組自動選択を行わせることができる。(請求項1〜6に対応)
また、本実施例は主にデジタル放送を想定して説明したものであるが、Gガイドなどに代表される電子番組表サービス事業者が提供する番組情報を用いればアナログ放送でも実現可能である。Thus, the program automatic selection execution process ends (S704).
In the above-described embodiment, an example has been described in which the “viewing while watching” program is excluded during the preference analysis, and the accuracy of the program ranking determination criterion is improved using the viewing frequency and the item-specific preference suitability. Even with an automatic program selection apparatus that improves the accuracy of the program ranking criteria using only the viewing frequency and the item-specific preference suitability, it is possible to perform automatic program selection with higher accuracy than in the prior art. (Corresponding to
In addition, although the present embodiment has been described mainly assuming digital broadcasting, it can also be realized by analog broadcasting by using program information provided by an electronic program guide service provider represented by a G guide or the like.
また、本発明は上記した番組自動選択装置の機能をコンピュータに実現させるためのプログラムを含むものである。これらのプログラムは、記録媒体から読み取られてコンピュータに取り込まれてもよいし、通信ネットワークを介して伝送されてコンピュータに取り込まれてもよい。
Further, the present invention includes a program for causing a computer to realize the function of the program automatic selection device described above. These programs may be read from a recording medium and loaded into a computer, or may be transmitted via a communication network and loaded into a computer.
201 キーワード抽出部
202 視聴頻度計算部
203 嗜好分析部
204 番組順位付けの判断基準学習部
205 項目別嗜好適合度計算部
206 番組選択部
S216 キーワード抽出処理ステップ
S205 視聴頻度計算処理ステップ
S106 嗜好分析処理ステップ
S111 番組順位付けの判断基準学習処理ステップ
S208 項目別嗜好適合度計算処理ステップ
S212 番組自動選択判断処理ステップ
DESCRIPTION OF
| Application Number | Priority Date | Filing Date | Title |
|---|---|---|---|
| JP2005191322AJP4305865B2 (en) | 2004-07-09 | 2005-06-30 | Program automatic selection device, program automatic selection method, and program automatic selection program |
| Application Number | Priority Date | Filing Date | Title |
|---|---|---|---|
| JP2004202811 | 2004-07-09 | ||
| JP2005131127 | 2005-04-28 | ||
| JP2005191322AJP4305865B2 (en) | 2004-07-09 | 2005-06-30 | Program automatic selection device, program automatic selection method, and program automatic selection program |
| Publication Number | Publication Date |
|---|---|
| JP2006333426Atrue JP2006333426A (en) | 2006-12-07 |
| JP4305865B2 JP4305865B2 (en) | 2009-07-29 |
| Application Number | Title | Priority Date | Filing Date |
|---|---|---|---|
| JP2005191322AExpired - LifetimeJP4305865B2 (en) | 2004-07-09 | 2005-06-30 | Program automatic selection device, program automatic selection method, and program automatic selection program |
| Country | Link |
|---|---|
| JP (1) | JP4305865B2 (en) |
| Publication number | Priority date | Publication date | Assignee | Title |
|---|---|---|---|---|
| JP2008205621A (en)* | 2007-02-16 | 2008-09-04 | Toshiba Corp | Program recommendation device and program recommendation method |
| JP2009094730A (en)* | 2007-10-05 | 2009-04-30 | Sharp Corp | Broadcast receiving apparatus system, broadcast receiving apparatus, and program presentation method |
| JP2013078158A (en)* | 2013-01-30 | 2013-04-25 | Toshiba Corp | System and method for recommending program |
| JP2015146133A (en)* | 2014-02-03 | 2015-08-13 | Necパーソナルコンピュータ株式会社 | Information processing apparatus, program, and method |
| WO2020230184A1 (en)* | 2019-05-10 | 2020-11-19 | 日本電気株式会社 | Signal switching device, signal switching method, and recording medium |
| Publication number | Priority date | Publication date | Assignee | Title |
|---|---|---|---|---|
| JP2008205621A (en)* | 2007-02-16 | 2008-09-04 | Toshiba Corp | Program recommendation device and program recommendation method |
| JP2009094730A (en)* | 2007-10-05 | 2009-04-30 | Sharp Corp | Broadcast receiving apparatus system, broadcast receiving apparatus, and program presentation method |
| JP2013078158A (en)* | 2013-01-30 | 2013-04-25 | Toshiba Corp | System and method for recommending program |
| JP2015146133A (en)* | 2014-02-03 | 2015-08-13 | Necパーソナルコンピュータ株式会社 | Information processing apparatus, program, and method |
| WO2020230184A1 (en)* | 2019-05-10 | 2020-11-19 | 日本電気株式会社 | Signal switching device, signal switching method, and recording medium |
| Publication number | Publication date |
|---|---|
| JP4305865B2 (en) | 2009-07-29 |
| Publication | Publication Date | Title |
|---|---|---|
| US7487530B2 (en) | Method and apparatus for ranking broadcast programs | |
| US9402101B2 (en) | Content presentation method, content presentation device, and program | |
| CN100551033C (en) | Program recommendation system | |
| JP3844901B2 (en) | Electronic program guide reception system | |
| KR100857956B1 (en) | Information processing system, information output apparatus and method, information processing apparatus and method, recording medium, and program | |
| US8645986B2 (en) | Contents watching device and contents recommending method | |
| RU2524840C2 (en) | Adaptive implicit examination for recommendation systems | |
| US20030126108A1 (en) | Method and apparatus for access and display of content allowing users to apply multiple profiles | |
| US20150178379A1 (en) | Information-processing apparatus, method, system, computer-readable medium and method for automatically recording or recommending content | |
| US20110320471A1 (en) | Movie Recommendation System and Movie Recommendation Method | |
| JP2005167628A (en) | Information processor, informatino processing method, and computer program | |
| JP2007272451A (en) | RECOMMENDED PROGRAM INFORMATION PROVIDING DEVICE, RECOMMENDED PROGRAM INFORMATION PROVIDING METHOD, AND PROGRAM | |
| JP2010066837A (en) | Information processing apparatus and method, program, and recording medium | |
| JP2008131339A (en) | Program information providing apparatus, program information providing method, and program thereof | |
| US20080288982A1 (en) | Method and Apparatus for Generating a Recommendation for at Least One Content Item | |
| JP2007060626A (en) | Apparatus and method for facilitating program selection, and program selection facilitating program | |
| JP4092710B2 (en) | Program search method and apparatus | |
| US20070022440A1 (en) | Program recommendation via dynamic category creation | |
| JP4305865B2 (en) | Program automatic selection device, program automatic selection method, and program automatic selection program | |
| JP4698545B2 (en) | Information processing apparatus and method, program, and storage medium | |
| JP4305862B2 (en) | Program ranking apparatus, program ranking method, and program ranking program | |
| JP4305861B2 (en) | Program ranking apparatus, program ranking method, and program ranking program | |
| JP4305860B2 (en) | Program automatic selection device, program automatic selection method, and program automatic selection program | |
| JP4305863B2 (en) | Program ranking apparatus, program ranking method, and program ranking program | |
| JP4305864B2 (en) | Program automatic selection device, program automatic selection method, and program automatic selection program |
| Date | Code | Title | Description |
|---|---|---|---|
| A621 | Written request for application examination | Free format text:JAPANESE INTERMEDIATE CODE: A621 Effective date:20070629 | |
| A977 | Report on retrieval | Free format text:JAPANESE INTERMEDIATE CODE: A971007 Effective date:20090220 | |
| TRDD | Decision of grant or rejection written | ||
| A01 | Written decision to grant a patent or to grant a registration (utility model) | Free format text:JAPANESE INTERMEDIATE CODE: A01 Effective date:20090410 | |
| A01 | Written decision to grant a patent or to grant a registration (utility model) | Free format text:JAPANESE INTERMEDIATE CODE: A01 | |
| A61 | First payment of annual fees (during grant procedure) | Free format text:JAPANESE INTERMEDIATE CODE: A61 Effective date:20090423 | |
| R151 | Written notification of patent or utility model registration | Ref document number:4305865 Country of ref document:JP Free format text:JAPANESE INTERMEDIATE CODE: R151 | |
| FPAY | Renewal fee payment (event date is renewal date of database) | Free format text:PAYMENT UNTIL: 20120515 Year of fee payment:3 | |
| FPAY | Renewal fee payment (event date is renewal date of database) | Free format text:PAYMENT UNTIL: 20120515 Year of fee payment:3 | |
| S111 | Request for change of ownership or part of ownership | Free format text:JAPANESE INTERMEDIATE CODE: R313111 | |
| FPAY | Renewal fee payment (event date is renewal date of database) | Free format text:PAYMENT UNTIL: 20120515 Year of fee payment:3 | |
| R350 | Written notification of registration of transfer | Free format text:JAPANESE INTERMEDIATE CODE: R350 | |
| FPAY | Renewal fee payment (event date is renewal date of database) | Free format text:PAYMENT UNTIL: 20120515 Year of fee payment:3 | |
| FPAY | Renewal fee payment (event date is renewal date of database) | Free format text:PAYMENT UNTIL: 20130515 Year of fee payment:4 | |
| S111 | Request for change of ownership or part of ownership | Free format text:JAPANESE INTERMEDIATE CODE: R313113 | |
| R350 | Written notification of registration of transfer | Free format text:JAPANESE INTERMEDIATE CODE: R350 | |
| R250 | Receipt of annual fees | Free format text:JAPANESE INTERMEDIATE CODE: R250 | |
| R250 | Receipt of annual fees | Free format text:JAPANESE INTERMEDIATE CODE: R250 | |
| R250 | Receipt of annual fees | Free format text:JAPANESE INTERMEDIATE CODE: R250 | |
| R250 | Receipt of annual fees | Free format text:JAPANESE INTERMEDIATE CODE: R250 | |
| R250 | Receipt of annual fees | Free format text:JAPANESE INTERMEDIATE CODE: R250 | |
| R250 | Receipt of annual fees | Free format text:JAPANESE INTERMEDIATE CODE: R250 | |
| S531 | Written request for registration of change of domicile | Free format text:JAPANESE INTERMEDIATE CODE: R313531 | |
| R350 | Written notification of registration of transfer | Free format text:JAPANESE INTERMEDIATE CODE: R350 | |
| R250 | Receipt of annual fees | Free format text:JAPANESE INTERMEDIATE CODE: R250 | |
| R250 | Receipt of annual fees | Free format text:JAPANESE INTERMEDIATE CODE: R250 | |
| S533 | Written request for registration of change of name | Free format text:JAPANESE INTERMEDIATE CODE: R313533 | |
| R350 | Written notification of registration of transfer | Free format text:JAPANESE INTERMEDIATE CODE: R350 | |
| R250 | Receipt of annual fees | Free format text:JAPANESE INTERMEDIATE CODE: R250 | |
| R250 | Receipt of annual fees | Free format text:JAPANESE INTERMEDIATE CODE: R250 | |
| EXPY | Cancellation because of completion of term |