











この発明は、可変インダクタに関し、特に、インダクタンスの制御性が良い可変インダクタに関するものである。 The present invention relates to a variable inductor, and more particularly to a variable inductor having good inductance controllability.
同調回路、インピーダンス整合回路およびフィルター回路等の高周波電子回路においては、可変リアクティブ素子が必要とされている。特に、可変リアクタンス素子は、インピーダンス整合回路において切望されている。 In high frequency electronic circuits such as tuning circuits, impedance matching circuits and filter circuits, variable reactive elements are required. In particular, a variable reactance element is highly desired in an impedance matching circuit.
HEMT(High Electron Mobility Transistor)およびMMIC(Monolithic Microwave Integrated Circuit)等の高周波能動デバイスにおいては、入力部または出力部において、信号の反射が起こらないようにインピーダンス整合を行なう必要がある。このようなインピーダンス整合には、インダクタまたはキャパシタを使用した整合回路が用いられる。 In high-frequency active devices such as HEMT (High Electron Mobility Transistor) and MMIC (Monolithic Microwave Integrated Circuit), it is necessary to perform impedance matching so that signal reflection does not occur at the input section or the output section. For such impedance matching, a matching circuit using an inductor or a capacitor is used.
しかし、一般的に、HEMTおよびMMICにおいては、入力インピーダンスおよび出力インピーダンスのバラツキが大きい。したがって、従来の整合回路においては、回路を構成する部品群の一部に可変タイプのリアクタンス素子を使用し、それを微調整する構成が採用されていた。その一例として、インダクタンス調整分を持つインダクタ素子が知られている。そこでは、インダクタンス調整部のトリミングパターンを電気特性を見ながらレーザビームで切断し、微調整する方法が採用されていた。 However, generally, the HEMT and the MMIC have large variations in input impedance and output impedance. Therefore, a conventional matching circuit employs a configuration in which a variable type reactance element is used as a part of a part group constituting the circuit and fine adjustment is performed. As an example, an inductor element having an inductance adjustment amount is known. In this method, a trimming pattern of the inductance adjusting portion is cut with a laser beam while observing electric characteristics, and finely adjusted.
しかし、この方法では、組立てコストが増加するという問題があった。また、組立て後に、インダクタンス値を調整することができなかった。さらに、使用周波数が高くなるに従って回路は複雑になり、その結果、使用部品の電気特性は狭偏差であることが要求されるようになる。特に、周波数によってインピーダンスが変化するリアクタンス素子において、その要求は高くなる。 However, this method has a problem that the assembly cost increases. Also, the inductance value could not be adjusted after assembly. Furthermore, the circuit becomes more complex as the operating frequency increases, and as a result, the electrical characteristics of the components used are required to be narrow. In particular, the requirement becomes high in a reactance element whose impedance changes with frequency.
しかし、パッシブなリアクタンス素子を狭偏差で作製することが困難である。高周波数下において、抵抗、キャパシタおよびインダクタ等の部品には、低周波数においては無視できた寄生抵抗および寄生リアクタンス素子の影響が現れ、電気特性を変化させてしまう。特に、高周波回路では、パッケージの影響が大きく、組立て後に特性が変化することが多い。 However, it is difficult to produce a passive reactance element with a narrow deviation. Under the high frequency, the influence of the parasitic resistance and the parasitic reactance element, which can be ignored at the low frequency, appears in the components such as the resistor, the capacitor, and the inductor, thereby changing the electrical characteristics. In particular, in a high-frequency circuit, the influence of the package is large, and the characteristics often change after assembly.
したがって、組立て後においてインダクタンスを可変できる可変リアクタンス素子を用いれば、組立て後の特性を観察しながら、最適な値にインダクタンスを設定することが可能になり、回路の歩留まりが向上する。 Therefore, if a variable reactance element that can vary the inductance after assembly is used, the inductance can be set to an optimum value while observing the characteristics after assembly, and the yield of the circuit is improved.
また、高周波部品において重要な要素は、小型化である。特に、昨今の携帯電話機の小型化は著しい。このような機器では、小型化が最重要課題として検討されている。特に、インダクタの小型化は望まれている。高周波回路でよく採用されるスパイラルインダクタなどでは、大きなインダクタンス値を実現するには、大きな平面寸法が必要であり、MMICなどでも、多くのチップ面積を占めている。その結果、チップコストが下がらないという欠点があった。 An important factor in high-frequency components is miniaturization. In particular, the recent miniaturization of mobile phones is remarkable. In such a device, downsizing is considered as the most important issue. In particular, downsizing of the inductor is desired. A spiral inductor or the like often used in a high-frequency circuit requires a large plane size to realize a large inductance value, and the MMIC occupies a large chip area. As a result, there is a drawback that the chip cost does not decrease.
このような、高周波回路では、小型で、外部からの制御可能な可変リアクタンス素子の実現が望まれている。このような要求に対してインダクタンス値を可変できる可変インダクタが提案されている(特許文献1)。 In such a high-frequency circuit, it is desired to realize a variable reactance element that is small and can be controlled from the outside. A variable inductor capable of changing the inductance value in response to such a requirement has been proposed (Patent Document 1).
図12は、従来の可変インダクタの平面図である。図12の(a)は、開放端を持つループ状の複数の導体を示し、図12の(b)は、スパイラルインダクタの平面図を示し、図12の(c)は、開放端を持つループ状の複数の導体とスパイラルインダクタとを重ねた図を示す。 FIG. 12 is a plan view of a conventional variable inductor. 12A shows a plurality of loop-shaped conductors having an open end, FIG. 12B shows a plan view of the spiral inductor, and FIG. 12C shows a loop having an open end. The figure which piled up the several conductor of a shape and the spiral inductor is shown.
図12を参照して、可変インダクタは、スパイラルインダクタ101の近傍に開放端を持つループ状の複数の導体104−1〜104−4を設け(図12の(a)参照)、複数の開放端のそれぞれに開放端を開放/短絡するスイッチ(Q1〜Q4)を設けている。なお、図12の(a)の抵抗R1〜R4は、スイッチを順次オン状態にするための抵抗である。また、スパイラルインダクタ101は、その一端がスルーホール103を介して引出配線102と接続されている。 Referring to FIG. 12, the variable inductor is provided with a plurality of loop-shaped conductors 104-1 to 104-4 having open ends in the vicinity of spiral inductor 101 (see FIG. 12A), and a plurality of open ends. Are provided with switches (Q1 to Q4) for opening / short-circuiting the open ends. Note that the resistors R1 to R4 in FIG. 12A are resistors for sequentially turning on the switches. Further, one end of the
スパイラルインダクタ101に絶縁膜を介し、開放端を短絡した閉ループ導体(104−1〜104−4)を設けると、スパイラルインダクタ101のインダクタンスが小さくなる。これは、スパイラルインダクタ101で発生する磁束が、近傍の閉ループ導体を貫通することにより、スパイラルインダクタ101で発生する磁束を打ち消す誘導電流が閉ループ導体に流れるからである。両者の結合係数が“1”であれば、磁束は、完全に打ち消し合い、スパイラルインダクタ101のインダクタンスは零になる。したがって、図12に示すように、結合係数の異なる開放端を持つ複数のループ導体を用意し、開放端を順次短絡すれば、開ループ端には、電圧が発生するが、電流が流れないので、磁束は変化することがなく、インダクタンスは変化しない。 When the
このように、スパイラルインダクタ101の近傍に開放端を持つ結合係数の異なるループ状導体を設け、その開放端にスイッチを設け、スイッチを開閉することにより、スパイラルインダクタのインダクタンスを変えることが可能である。
しかし、従来のインダクタンスを変える方法では、結合係数の異なる複数のループ状導体を短絡することでインダクタンス値を変えているため、インダクタンス値を段階的にしか変えることができず、精密なインダクタンス制御が不可能であった。 However, in the conventional method of changing the inductance, the inductance value is changed by short-circuiting a plurality of loop conductors having different coupling coefficients. Therefore, the inductance value can be changed only in steps, and precise inductance control is possible. It was impossible.
また、ループ状導体の開放端は、オン/オフするスイッチの制御系と高周波回路系の電気絶縁が不十分であると、高周波特性が劣化するという問題があった。 Further, the open end of the loop-shaped conductor has a problem that the high-frequency characteristics are deteriorated if the electrical insulation between the control system for the on / off switch and the high-frequency circuit system is insufficient.
そこで、この発明は、かかる問題を解決するためになされたものであり、その目的は、インダクタンス値を連続的に可変可能な可変インダクタを提供することである。 Accordingly, the present invention has been made to solve such a problem, and an object thereof is to provide a variable inductor capable of continuously varying an inductance value.
また、この発明の別の目的は、制御系と高周波回路系の電気絶縁を十分確保可能な可変インダクタを提供することである。 Another object of the present invention is to provide a variable inductor that can sufficiently secure electrical insulation between a control system and a high-frequency circuit system.
この発明によれば、可変インダクタは、基板と、第1および第2のコイルと、入出力端子と、可変抵抗素子と、制御手段とを備える。第1のコイルは、基板上に形成される。第2のコイルは、第1のコイルと電気的に絶縁され、第1のコイルと所定の係数で磁気的に結合する。入出力端子は、第1および第2のコイルのいずれか一方のコイルの開放端に設けられる。可変抵抗素子は、第1および第2のコイルのいずれか他方のコイルの開放端に設けられる。制御手段は、可変抵抗素子の抵抗値が連続的に変化するように制御する。 According to the present invention, the variable inductor includes a substrate, first and second coils, an input / output terminal, a variable resistance element, and control means. The first coil is formed on the substrate. The second coil is electrically insulated from the first coil and is magnetically coupled to the first coil by a predetermined coefficient. The input / output terminal is provided at the open end of one of the first and second coils. The variable resistance element is provided at the open end of one of the first and second coils. The control means controls so that the resistance value of the variable resistance element changes continuously.
好ましくは、制御手段は、電気的手段により抵抗値を連続的に制御する。 Preferably, the control means continuously controls the resistance value by electric means.
好ましくは、基板は、半導体基板であり、可変抵抗素子は、半導体基板に形成されたトランジスタである。そして、制御手段は、トランジスタにバイアス電圧を印加するバイアス回路である。 Preferably, the substrate is a semiconductor substrate, and the variable resistance element is a transistor formed on the semiconductor substrate. The control means is a bias circuit that applies a bias voltage to the transistor.
好ましくは、制御手段は、光学的手段により抵抗値を連続的に制御する。 Preferably, the control means continuously controls the resistance value by optical means.
好ましくは、可変抵抗素子は、光導電効果材料からなる。制御手段は、光を発生し、その発生した光を光導電効果材料に照射する光発生装置である。 Preferably, the variable resistance element is made of a photoconductive effect material. The control means is a light generator that generates light and irradiates the photoconductive material with the generated light.
好ましくは、光導電効果材料は、アモルファスシリコンである。 Preferably, the photoconductive effect material is amorphous silicon.
好ましくは、光発生装置は、光導電効果材料の近傍に配置された半導体発光素子からなる。 Preferably, the light generation device comprises a semiconductor light emitting element disposed in the vicinity of the photoconductive effect material.
好ましくは、光発生装置は、光源と、光源からの光を光導電効果材料に導く光導波路とからなる。 Preferably, the light generation device includes a light source and an optical waveguide that guides light from the light source to the photoconductive effect material.
好ましくは、光発生装置は、光源と、光源からの光を光導電効果材料に導く光ファイバーとからなる。 Preferably, the light generation device includes a light source and an optical fiber that guides light from the light source to the photoconductive effect material.
好ましくは、基板は、第1および第2のコイルの直下に相当する部分が除去されている。 Preferably, a portion of the substrate corresponding to the portion immediately below the first and second coils is removed.
好ましくは、第1および第2のコイルは、同一平面上に形成される。 Preferably, the first and second coils are formed on the same plane.
好ましくは、一方のコイルの自己インダクタンスは、他方のコイルの自己インダクタンスよりも大きい。 Preferably, the self-inductance of one coil is greater than the self-inductance of the other coil.
この発明による可変インダクタにおいては、制御手段は、可変抵抗素子の抵抗値が連続的に変化するように制御する。したがって、可変抵抗素子の抵抗値が大きくなれば、第2のコイルの自己インダクタンスの影響が減少し、可変インダクタのインダクタンスは、第1のコイルの自己インダクタンスに近づく。一方、可変抵抗素子の抵抗値が小さくなれば、第2のコイルの自己インダクタンスが第1のコイルの自己インダクタンスを打ち消す度合いが増加し、可変インダクタのインダクタンスが小さくなる。 In the variable inductor according to the present invention, the control means controls so that the resistance value of the variable resistance element continuously changes. Therefore, when the resistance value of the variable resistance element increases, the influence of the self-inductance of the second coil decreases, and the inductance of the variable inductor approaches the self-inductance of the first coil. On the other hand, if the resistance value of the variable resistance element decreases, the degree to which the self-inductance of the second coil cancels the self-inductance of the first coil increases, and the inductance of the variable inductor decreases.
したがって、この発明によれば、可変インダクタのインダクタンスを連続的に変えることができる。 Therefore, according to the present invention, the inductance of the variable inductor can be continuously changed.
また、この発明による可変インダクタにおいては、光学的手段により可変抵抗素子の抵抗値を連続的に変える。 In the variable inductor according to the present invention, the resistance value of the variable resistance element is continuously changed by optical means.
したがって、この発明によれば、制御系と高周波回路系の電気絶縁を十分に確保できる。 Therefore, according to the present invention, sufficient electrical insulation between the control system and the high frequency circuit system can be ensured.
本発明の実施の形態について図面を参照しながら詳細に説明する。なお、図中同一または相当部分には同一符号を付してその説明は繰返さない。 Embodiments of the present invention will be described in detail with reference to the drawings. In the drawings, the same or corresponding parts are denoted by the same reference numerals and description thereof will not be repeated.
図1は、この発明による可変インダクタの動作を説明するための回路図である。この発明による可変インダクタVALは、図1に示す回路図からなる。図1を参照して、コイルCo1は、自己インダクタンスL1を有し、コイルCo2は、自己インダクタンスL2を有する。そして、コイルCo1とコイルCo2との相互インダクタンスは、Mである。FIG. 1 is a circuit diagram for explaining the operation of the variable inductor according to the present invention. The variable inductor VAL according to the present invention comprises the circuit diagram shown in FIG. Referring to FIG. 1, the coil Co1 has a self-inductanceL 1, coil Co2 has a self-inductanceL 2. The mutual inductance between the coil Co1 and the coil Co2 is M.
コイルCo1は、その両端が入出力端子11,12に接続され、コイルCo2は、その両端が負荷13に接続される。そして、負荷13は、負荷インピーダンスZLを有する。可変インダクタVALの入力インピーダンスをZinとすると、入力インピーダンスZinは、次式により表される。Both ends of the coil Co1 are connected to the input / output terminals 11 and 12, and both ends of the coil Co2 are connected to the
なお、ωは、角周波数であり、kは、コイルCo1とコイルCo2との結合係数である。 Note that ω is an angular frequency, and k is a coupling coefficient between the coil Co1 and the coil Co2.
式(1)によれば、コイルCo2(二次側)に接続する負荷13が純抵抗Rである場合、入力インピーダンスZinおよびインダクタンスLは、次の式(2)〜式(5)によって表される。Table According to equation (1), if the
なお、Re[Zin]は、入力インピーダンスZinの実数部を表し、Im[Zin]は、入力インピーダンスZinの虚数部を表す。Re [Zin ] represents the real part of the input impedance Zin , and Im [Zin ] represents the imaginary part of the input impedance Zin .
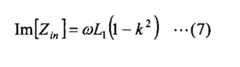
式(5)から解るように、負荷抵抗Rが“0”である場合、次の式(6)および式(7)が成立する。 As understood from the equation (5), when the load resistance R is “0”, the following equations (6) and (7) are established.
式(7)から明らかなように、結合係数kが“1”に近い場合には、インダクタンスLは、0(H)程度となる。つまり、二次側のコイルCo2の開放端が短絡した場合には、可変インダクタのインダクタンスLは、無くなる。これは、二次側の自己インダクタンスL2の値に無関係に起こる。As apparent from the equation (7), when the coupling coefficient k is close to “1”, the inductance L is about 0 (H). That is, when the open end of the secondary coil Co2 is short-circuited, the inductance L of the variable inductor is lost. This is regardless of the place of the value of the self-inductance L2 on the secondary side.
一方、負荷抵抗Rが大きい場合(ωL<<R)には、インダクタンスLは、ほぼL1に等しくなる。つまり、二次側のコイルCo2の開放端が開放であれば、インダクタンスLは、減少せず、一次側のコイルCo1の自己インダクタンスL1の値が可変インダクタVALのインダクタンスLとなる。On the other hand, when the load resistance R is large (.omega.L << R), the inductance L is equal approximately toL 1. That is, if the opened open end of the secondary side of the coil Co2, inductance L does not decrease, the value of the self-inductance L1 of the coil Co1 of the primary side is the inductance L of the variable inductor VAL.
このように、負荷抵抗Rの値を変えることによって、可変インダクタVALのインダクタンスLを0(H)から一次側のコイルCo1の自己インダクタンスL1の値まで連続的に変えることができる。Thus, by changing the value of the load resistance R, the inductance L of the variable inductor VAL can continuously altering from 0 (H) up to the value of the self-inductance L1 of the primary side of the coil Co1.
なお、負荷抵抗Rに対するインダクタンスLの変化は、二次側の自己インダクタンスL2が一次側の自己インダクタンスL1に比して小さいほど大きく変化する。The change in inductance L to the load resistance R, the self-inductance L2 of the secondary side is small enough large changes in comparison with the self-inductance L1 of the primary side.
図2は、インダクタンスLと抵抗Rとの関係を示す図である。一次側のコイルCo1の自己インダクタンスL1、二次側のコイルCo2の自己インダクタンスL2および結合係数kを所定の値に設定した可変インダクタにおいて、二次側に抵抗Rを接続した場合の可変インダクタのインダクタンスL0を所定の周波数で計算すると、インダクタンスL0は、図2に示すように変化する。FIG. 2 is a diagram illustrating the relationship between the inductance L and the resistance R. Variable inductor when connected in the variable inductor set self-inductance L1 of the primary side coilCo1, a self-inductance L2 and the coupling coefficient k of the coil Co2 of the secondary side to a predetermined value, a resistor R to the secondary side When the inductance L0 is calculated at a predetermined frequency, the inductance L0 is varied as shown in FIG.
曲線k1は、一次側のコイルCo1の自己インダクタンスL1および二次側のコイルCo2の自己インダクタンスL2が3(nH)であり、結合係数kが0.99であり、周波数が1(GHz)である場合のインダクタンスL0と抵抗Rとの関係を示す。Curve k1 is a self-inductanceL 2 of the self-inductanceL 1 and the secondary side of the coil Co2 of the primary side coil Co1 is 3 (nH), the coupling coefficient k is 0.99, the frequency is 1 (GHz) shows the relationship between the inductance L0 and the resistor R when it is.
また、曲線k2は、一次側のコイルCo1の自己インダクタンスL1が3(nH)であり、二次側のコイルCo2の自己インダクタンスL2が2(nH)であり、結合係数kが0.99であり、周波数が1(GHz)である場合のインダクタンスL0と抵抗Rとの関係を示す。Curve k2 is a self-inductanceL 1 of the primary side coil Co1 is 3 (nH), the self-inductanceL 2 of the secondary side of the coil Co2 is 2 (nH), the coupling coefficient k of 0.99 And shows the relationship between the inductance L0 and the resistance R when the frequency is 1 (GHz).
図2を参照して、抵抗Rが大きい場合、二次側のコイルCo2の自己インダクタンスL2の影響が減少し、インダクタンスL0は、一次側のコイルCo1の自己インダクタンスL1に接近する。Referring to FIG. 2, when the resistance R is large, reduces the influence of self-inductance L2 of the secondary side of the coil Co2, inductance L0 is close to the self-inductance L1 of the primary side of the coil Co1.
一方、抵抗Rが小さくなるに従って二次側のコイルCo2の自己インダクタンスL2の影響が大きくなり、インダクタンスL0は、3(nH)からほぼ0(nH)まで減少する。On the other hand, the influence of self-inductanceL 2 of the coil Co2 of the secondary side according to the resistance R is small is increased, the inductanceL 0 is reduced from 3 (nH) to approximately 0 (nH).
そして、図2の曲線k2に示すように、L1>L2である場合、インダクタンスL0の変化を大きくすることができる。As shown by a curve k2 in FIG. 2, when L1 > L2 , the change in the inductance L0 can be increased.
上述したように、この発明による可変インダクタVALは、抵抗Rの抵抗値を連続的に変えることによってインダクタンスLを連続的に変えることができるものである。以下、この発明による可変インダクタの各実施の形態について説明する。 As described above, the variable inductor VAL according to the present invention can continuously change the inductance L by continuously changing the resistance value of the resistor R. Embodiments of the variable inductor according to the present invention will be described below.
[実施の形態1]
図3は、実施の形態1による可変インダクタの斜視図である。図1を参照して、実施の形態1による可変インダクタ10は、シリコン基板1と、絶縁性材料2,5と、コイル3,4と、可変抵抗素子6と、入出力端子TM1とを備える。[Embodiment 1]
FIG. 3 is a perspective view of the variable inductor according to the first embodiment. Referring to FIG. 1,
絶縁性材料2は、たとえば、シリコン酸化膜(SiO2)またはシリコン窒化膜(Si3N4)からなる。また、絶縁性材料5は、ポリイミド樹脂またはシリコン酸化膜(SiO2)からなる。The insulating
可変抵抗素子6は、電界効果トランジスタからなる。なお、図3においては、電界効果トランジスタのゲートにバイアス電圧を印加するバイアス回路は省略されている。 The
絶縁性材料2は、シリコン基板1の一主面に形成される。そして、コイル3および可変抵抗素子6は、絶縁性材料2上に形成される。そして、可変抵抗素子6は、コイル3の開放端31,32に接続される。絶縁性材料5は、コイル3および可変抵抗素子6を覆うように絶縁性材料2上に形成される。コイル4は、絶縁性材料5上に形成される。そして、コイル4の開放端41,42には、入出力端子TM1が接続される。 The insulating
このように、コイル3,4間には、絶縁性材料5が存在し、コイル3,4は、相互に電気的に絶縁されている。 Thus, the insulating
コイル3,4は、銅メッキまたは金メッキによって形成される。そして、コイル3は、1ターンのループインダクタからなり、コイル4は、2ターンの角型スパイラルインダクタからなる。 The
可変インダクタ10は、次の工程によって作製される。絶縁性材料2がシリコン基板1の一主面に形成される。この場合、絶縁性材料2の膜厚は、1μmである。絶縁性材料2がシリコン酸化膜(SiO2)からなる場合、絶縁性材料2は、シリコン基板1の一主面を熱酸化することにより形成される。また、絶縁性材料2がシリコン窒化膜(Si3N4)からなる場合、絶縁性材料2は、熱CVD(Chemical Vapour Deposition)等によってシリコン基板1の一主面上に形成される。The
絶縁性材料2が形成された後、コイル3が銅メッキまたは金メッキにより絶縁性材料2上に形成される。そして、可変抵抗素子6を構成する電界効果トランジスタが半導体プロセスによりコイル3の開放端31,32に形成される。 After the insulating
その後、絶縁性材料5がコイル3および可変抵抗素子6を覆うように絶縁性材料2上に形成される。この場合、絶縁性材料5の膜厚は、10μmである。そして、絶縁性材料5がポリイミド樹脂からなる場合、絶縁性材料5は、スピンコート等によって形成され、絶縁性材料5がシリコン酸化膜(SiO2)からなる場合、絶縁性材料5は、プラズマCVD等によって形成される。Thereafter, the insulating
絶縁性材料5が形成されると、コイル4が銅メッキまたは金メッキによって絶縁性材料5上に形成される。これにより、可変インダクタ10の作製工程は終了する。 When the insulating
図4は、図3に示す可変インダクタ10の回路図である。図4を参照して、可変インダクタ10は、コイル3,4と、電界効果トランジスタTrと、チョークコイルLb1,Lb2と、抵抗rと、バイアス回路61,62とを含む。なお、電界効果トランジスタTrは、N型である。コイル4は、自己インダクタンスL1を有し、コイル3は、自己インダクタンスL2を有する。そして、コイル3とコイル4との相互インダクタンスは、Mである。FIG. 4 is a circuit diagram of the
コイル4は、その両端が入出力端子TM1に接続される。電界効果トランジスタTrは、コイル3の両端に接続される。より具体的には、電界効果トランジスタTrは、そのソースがコイル3の一方端に接続され、ドレインがコイル3の他方端に接続される。 The both ends of the
チョークコイルLb1およびバイアス回路61は、電界効果トランジスタTrのゲートとソースとの間に直列に接続される。チョークコイルLb2、抵抗rおよびバイアス回路62は、電界効果トランジスタTrのソースとドレインとの間に直列に接続される。The
チョークコイルLb1,Lb2は、高周波信号をカットする。バイアス回路61は、電界効果トランジスタTrのソース−ドレイン間の抵抗値を連続的に変化させるゲート電圧Vgsを発生し、その発生したゲート電圧VgsをチョークコイルLb1を介して電界効果トランジスタTrのゲートへ出力する。The choke coils
バイアス回路62は、一定の電圧値からなるドレイン電圧Vdsを発生し、その発生したドレイン電圧VdsをチョークコイルLb2を介して電界効果トランジスタTrのドレインへ出力する。The
図3および図4を参照して、可変インダクタ10の動作を説明する。上述したように、コイル3,4間の距離は、絶縁性材料5の膜厚に略等しいので、コイル4は、コイル3に近接して配置されている。したがって、結合係数kは、k≒1である。 The operation of the
バイアス回路61が0Vからなるゲート電圧Vgsを電界効果トランジスタTrのゲートへ印加すると、電界効果トランジスタTrは、オフされ、電界効果トランジスタTrのドレイン−ソース間の抵抗は、極めて高くなる。 When the
したがって、入出力端子TM1側から見たインダクタンスLは、図1および図2を参照して説明したように一次側のコイル4の自己インダクタンスL1になる。Accordingly, the inductance L as viewed from the input and output terminals TM1 side will self-inductance L1 of FIG. 1 and FIG. 2 one as described with reference to primary side of the
次に、バイアス回路61が正の直流電圧からなるゲート電圧Vgsを電界効果トランジスタTrのゲートに印加すると、電界効果トランジスタTrは、オンされ、ドレイン−ソース間の抵抗は小さくなる。そうすると、二次側のコイル3は、短絡状態に移行するため、入出力端子TM1側から見たインダクタンスLは、減少し、最終的には、0(H)に近い値まで減少する。 Next, when the
したがって、バイアス回路61がドレイン−ソース間の抵抗値を連続的に変化させるゲート電圧Vgsを電界効果トランジスタTrのゲートに供給することにより、可変インダクタ10は、そのインダクタンスLが連続的に変化する。 Accordingly, when the
このように、バイアス回路61は、ゲート電圧Vgsを電界効果トランジスタTrのゲートに供給して可変インダクタ10のインダクタンスLを連続的に変えるので、可変インダクタ10においては、電気的手段により可変抵抗素子6の抵抗値を連続的に変えることを特徴とする。 As described above, the
[実施の形態2]
図5は、実施の形態2による可変インダクタの斜視図である。図5を参照して、実施の形態2による可変インダクタ10Aは、図3に示す可変インダクタ10の可変抵抗素子6を可変抵抗素子6Aに代え、半導体発光素子7を追加したものであり、その他は、可変インダクタ10と同じである。なお、図5においては、半導体発光素子7の駆動回路は、省略されている。[Embodiment 2]
FIG. 5 is a perspective view of a variable inductor according to the second embodiment. Referring to FIG. 5, the
可変抵抗素子6Aは、光導電効果材料であるP型シリコンまたはN型シリコンからなる。より具体的には、可変抵抗素子6Aは、P型結晶シリコン、P型多結晶シリコン、P型アモルファスシリコン、N型結晶シリコン、N型多結晶シリコン、およびN型アモルファスシリコンのいずれかからなる。そして、コイル3の開放端31,32に接続される。 The
半導体発光素子7は、LED(Light Emission Diode)またはレーザダイオードからなる。そして、半導体発光素子7は、可変抵抗素子6Aに近接して絶縁性材料2上に形成され、発光した光を発光点EPから可変抵抗素子6Aに照射する。なお、半導体発光素子7は、絶縁性材料5によって覆われていない。 The semiconductor light emitting element 7 is composed of an LED (Light Emission Diode) or a laser diode. The semiconductor light emitting element 7 is formed on the insulating
可変インダクタ10Aは、次の工程によって作製される。上述した方法によって絶縁性材料2がシリコン基板1の一主面に形成され、コイル3が上述した方法によって絶縁性材料2上に形成された後、可変抵抗素子6Aが熱CVDおよびプラズマCVD等によってコイル3の開放端31,32に形成される。 The
その後、可変インダクタ10の作製工程と同じ工程によって絶縁性材料5およびコイル4が順次形成される。そして、可変抵抗素子6Aに近接した領域において、絶縁性材料5がエッチング等によって除去され、絶縁性材料5が除去された領域に半導体発光素子7が半導体プロセスによって作製される。これにより、可変インダクタ10Aの作製工程は、終了する。 Thereafter, the insulating
図6は、図5に示す可変インダクタ10Aの回路図である。図6を参照して、可変インダクタ10Aは、コイル3,4と、可変抵抗素子6Aと、半導体発光素子7と、駆動回路63とを含む。 FIG. 6 is a circuit diagram of the
コイル3,4については、図4において説明したとおりである。可変抵抗素子6Aは、コイル3の両端に接続され、抵抗値Rを有する。半導体発光素子7は、可変抵抗素子6Aに近接して配置される。そして、半導体発光素子7は、駆動回路63からの電圧Vによって発光し、その発光した光を可変抵抗素子6Aに照射する。駆動回路63は、半導体発光素子7に電圧Vを印加し、半導体発光素子7を発光させる。 The
図5および図6を参照して、可変インダクタ10Aの動作について説明する。駆動回路63が0Vからなる電圧Vを半導体発光素子7に印加すると、半導体発光素子7は、点灯せず、可変抵抗素子6Aは、極めて高い抵抗値を有する。その結果、二次側のコイル3の自己インダクタンスL2の影響が殆ど現れず、入出力端子TM1側から見たインダクタンスLは、一次側のコイル4の自己インダクタンスL1にほぼ等しくなる。The operation of the
一方、駆動回路63が正の直流電圧からなる電圧Vを半導体発光素子7に印加すると、半導体発光素子7は、点灯し、所定強度の光を可変抵抗素子6Aに照射する。 On the other hand, when the drive circuit 63 applies a voltage V consisting of a positive DC voltage to the semiconductor light emitting element 7, the semiconductor light emitting element 7 is turned on and irradiates the
そうすると、可変抵抗素子6Aは、半導体発光素子7から発光された光の強度に応じて電子−正孔対が生成され、低抵抗になる。その結果、可変抵抗素子6Aの抵抗値Rが小さくなるに従って二次側のコイル3の自己インダクタンスL2の影響が大きくなるので、入出力端子TM1側から見たインダクタンスLは、減少し、最終的には、0(H)に近い値まで減少する。Then, in the
可変抵抗素子6Aの抵抗値Rは、半導体発光素子7が発光する光の強度に応じて変化するので、半導体発光素子7が発光する光の強度を駆動回路63によって連続的に変えることにより、可変抵抗素子6Aの抵抗値Rを連続的に変化させることができる。その結果、可変インダクタ10AのインダクタンスLを連続的に変えることができる。 Since the resistance value R of the
可変インダクタ10Aにおいては、半導体発光素子7が発光する光の強度によって可変抵抗素子6Aの抵抗値Rを変化させるので、可変抵抗素子6Aと、可変抵抗素子6Aの抵抗値Rを制御する半導体発光素子7とが、電気的に分離していることを特徴とする。この特徴により、実施の形態1による可変インダクタ10に含まれるチョークコイルLb1,Lb2(図4参照)が不要になり、可変抵抗素子6Aの抵抗値Rを制御する制御手段側の回路を簡素化できる利点がある。In the
また、可変抵抗素子6Aの抵抗値Rを制御する半導体発光素子7および駆動回路63の制御系は、コイル3,4および可変抵抗素子6A等の高周波回路系と電気的に分離れているので、制御系と高周波回路系との電気絶縁を十分に確保できる。 Further, the control system of the semiconductor light emitting element 7 and the drive circuit 63 that controls the resistance value R of the
可変抵抗素子6Aは、アモルファスシリコンにより構成されてもよく、アモルファスシリコンを用いた場合、基板は、シリコン基板1に限らず、ガラス、プラスチックおよびポリイミド等の各種の基板を用いることができ、基板の選択の自由度が増える。これは、アモルファスシリコンは、300℃以下の低温でも成膜可能であるからである。 The
その他は、実施の形態1と同じである。 Others are the same as in the first embodiment.
[実施の形態3]
図7は、実施の形態3による可変インダクタの斜視図である。図7を参照して、実施の形態3による可変インダクタ10Bは、図5に示す可変インダクタ10Aの半導体発光素子7を光導波路8に代え、光源20を追加したものであり、その他は、可変インダクタ10Aと同じである。[Embodiment 3]
FIG. 7 is a perspective view of a variable inductor according to the third embodiment. Referring to FIG. 7, a variable inductor 10B according to the third embodiment is obtained by replacing the semiconductor light emitting element 7 of the
光導波路8は、薄膜構造からなり、可変抵抗素子6Aに近接して配置される。そして、光導波路8は、光源20からの光を可変抵抗素子6に導く。光源20は、シリコン基板1外に配置され、たとえば、LEDまたはレーザダイオードからなる。そして、光源20は、光を発光し、その発光した光導波路8に入射する。 The optical waveguide 8 has a thin film structure and is disposed close to the
可変インダクタ10Bは、次の工程によって作製される。上述した方法によって絶縁性材料2、コイル3、可変抵抗素子6A、絶縁性材料5およびコイル4が順次形成された後、可変抵抗素子6Aに近接した領域において、絶縁性材料5がエッチング等によって除去され、絶縁性材料5が除去された領域に薄膜構造からなる光導波路8が半導体プロセスによって作製される。これにより、可変インダクタ10Bの作製工程は、終了する。 The variable inductor 10B is manufactured by the following process. After the insulating
可変インダクタ10Bの動作原理は、可変インダクタ10Aと同じであるので、その説明を省略する。 Since the operating principle of the variable inductor 10B is the same as that of the
光導波路8を光発生装置とすることで、高周波回路系と制御系とを電気的に分離することができる。その結果、制御系と高周波回路系との電気絶縁を十分に確保できる。 By using the optical waveguide 8 as a light generator, the high-frequency circuit system and the control system can be electrically separated. As a result, sufficient electrical insulation between the control system and the high-frequency circuit system can be ensured.
また、光導波路8によって光導電効果材料からなる可変抵抗素子6Aへ光を導くことにより、光源20を光導電効果材料の近傍に配置する必要がなく、光源20の設置場所を自由に選択できる。 Further, by guiding light to the
さらに、光導波路8によって光を可変抵抗素子6Aに導くので、複雑な這い回しにも対応できる。 Furthermore, since the light is guided to the
その他は、実施の形態2と同じである。 Others are the same as in the second embodiment.
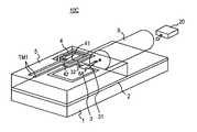
[実施の形態4]
図8は、実施の形態4による可変インダクタの斜視図である。図8を参照して、実施の形態4による可変インダクタ10Cは、図7に示す可変インダクタ10Bの光導波路8を光ファイバー9に代えたものであり、その他は、可変インダクタ10Bと同じである。[Embodiment 4]
FIG. 8 is a perspective view of a variable inductor according to the fourth embodiment. Referring to FIG. 8, variable inductor 10C according to the fourth embodiment is the same as variable inductor 10B except that optical waveguide 8 of variable inductor 10B shown in FIG. 7 is replaced with optical fiber 9.
光ファイバー9は、可変抵抗素子6Aの近傍のシリコン基板1の一主面に形成されたV溝(図示せず)に配置される。そして、光ファイバー9は、光源20からの光を可変抵抗素子6に導く。 The optical fiber 9 is disposed in a V-groove (not shown) formed on one main surface of the
可変インダクタ10Cは、次の工程によって作製される。上述した方法によって絶縁性材料2、コイル3、可変抵抗素子6A、絶縁性材料5およびコイル4が順次形成された後、可変抵抗素子6Aに近接した領域において、絶縁性材料5がエッチング等によって除去され、絶縁性材料5が除去された領域にV溝がシリコン基板1の異方性エッチングにより形成される。そして、光ファイバー9が、その形成されたV溝に配置される。これにより、可変インダクタ10Cの作製工程は、終了する。 The variable inductor 10C is manufactured by the following process. After the insulating
可変インダクタ10Cの動作原理は、可変インダクタ10Aと同じであるので、その説明を省略する。 Since the operating principle of the variable inductor 10C is the same as that of the
光ファイバー9を光発生装置とすることで、高周波回路系と制御系とを電気的に分離することができる。その結果、制御系と高周波回路系との電気絶縁を十分に確保できる。 By using the optical fiber 9 as a light generator, the high-frequency circuit system and the control system can be electrically separated. As a result, sufficient electrical insulation between the control system and the high-frequency circuit system can be ensured.
また、光ファイバー9によって光導電効果材料からなる可変抵抗素子6Aへ光を導くことにより、光源20を光導電効果材料の近傍に配置する必要がなく、光源20の設置場所を自由に選択できる。 Further, by guiding light to the
さらに、汎用な導光手段である光ファイバー9を使用することによって光源20とのカップリングなどが簡便になり、可変インダクタ10Cの低コスト化を実現できる。 Furthermore, by using the optical fiber 9 which is a general-purpose light guide means, the coupling with the
その他は、実施の形態2と同じである。 Others are the same as in the second embodiment.
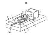
[実施の形態5]
図9は、実施の形態5による可変インダクタの斜視図である。図9を参照して、実施の形態5による可変インダクタ10Dは、図5に示す可変インダクタ10Aのシリコン基板1を絶縁性基板1Aに代え、絶縁性材料2を削除したものである。[Embodiment 5]
FIG. 9 is a perspective view of a variable inductor according to the fifth embodiment. Referring to FIG. 9, a
絶縁性基板1Aは、放熱特性の良好な窒化アルミからなる。そして、コイル4は、絶縁性基板1Aの一主面に形成され、絶縁性材料5は、コイル4を覆うように形成され、コイル3および可変抵抗素子6Aは、絶縁性材料5の一主面に形成される。 The insulating
従って、可変インダクタ10Dにおいては、コイル3がコイル4の直上に配置され、可変インダクタ10Aの場合と逆に配置される。 Therefore, in the
可変インダクタ10Dは、次の工程によって作製される。コイル4が銅メッキまたは金メッキにより絶縁性基板1Aの一主面に形成される。その後、絶縁性材料5がコイル4を覆うように絶縁性基板1A上にスピンコートおよびプラズマCVD等によって形成される。 The
絶縁性材料5が形成されると、コイル3が銅メッキまたは金メッキによって絶縁性材料5上に形成され、その後、可変抵抗素子6AがプラズマCVD等によってコイル3の開放端31,32に形成される。そして、可変抵抗素子6Aに近接した領域において、絶縁性材料5がエッチング等によって除去され、絶縁性材料5が除去された領域に半導体発光素子7が半導体プロセスによって作製される。これにより、可変インダクタ10の作製工程は終了する。 When the insulating
可変インダクタ10Dにおける動作原理は、可変インダクタ10Aと同じであるので、その説明を省略する。 Since the operating principle of the
このように、コイル3,4の配置関係を入れ替えても、可変インダクタ10Dは、可変インダクタ10Aと同じようにインダクタンスLを連続的に変えることができる。 As described above, even if the arrangement relationship between the
その他は、実施の形態2と同じである。 Others are the same as in the second embodiment.
なお、実施の形態5においては、可変インダクタ10,10B,10Cにおいて、コイル3とコイル4との配置関係を入れ替えてもよい。 In the fifth embodiment, in the
[実施の形態6]
図10は、実施の形態6による可変インダクタの斜視図および断面図である。図10の(a)は、実施の形態6による可変インダクタの斜視図であり、図10の(b)は、図10の(a)に示す線Xb−Xb間の断面図である。[Embodiment 6]
FIG. 10 is a perspective view and a sectional view of a variable inductor according to the sixth embodiment. FIG. 10A is a perspective view of the variable inductor according to the sixth embodiment, and FIG. 10B is a cross-sectional view taken along line Xb-Xb shown in FIG.
図10の(a)を参照して、実施の形態6による可変インダクタ10Eは、図3に示す可変インダクタ10のシリコン基板1をシリコン基板1Bに代えたものであり、その他は、可変インダクタ10と同じである。 Referring to FIG. 10A, a
図10の(b)を参照して、シリコン基板1Bは、切欠部14を有する。切欠部14は、コイル3,4の直下にシリコンの異方性エッチングにより形成される。 With reference to FIG. 10B, the
基板1Bに切欠部14を設けることによって、シリコン基板1Bの影響を低減し、シリコン基板1Bにおける損失および寄生容量による自己共振周波数の低下を抑制できる。 By providing the
可変インダクタ10Eは、次の工程によって作製される。絶縁性材料2、コイル3、可変抵抗素子6、絶縁性材料5、およびコイル4がシリコン基板1上に順次形成される。そして、コイル3,4の直下の部分がシリコンの異方性エッチングにより除去され、切欠部14が形成される。これにより、可変インダクタ10Eの作製工程は終了する。 The
可変インダクタ10Eの動作原理は、可変インダクタ10と同じであるので、その説明を省略する。 Since the operating principle of the
なお、実施の形態6においては、可変インダクタ10A,10,10Cにおいて、コイル3,4の直下に切欠部14を設けるようにしてもよい。 In the sixth embodiment, in the
その他は、実施の形態1と同じである。 Others are the same as in the first embodiment.
[実施の形態7]
図11は、実施の形態7による可変インダクタの斜視図である。図11を参照して、実施の形態7による可変インダクタ10Fは、図3に示す可変インダクタ10の絶縁性材料5を削除したものであり、その他は、可変インダクタ10と同じである。[Embodiment 7]
FIG. 11 is a perspective view of a variable inductor according to the seventh embodiment. Referring to FIG. 11, a variable inductor 10F according to the seventh embodiment is the same as
可変インダクタ10Fにおいては、コイル3,4は、絶縁性材料2上に形成される。つまり、2つのコイル3,4は、同一平面内に設けられる。そして、コイル4は、そのスパイラル部分がコイル3の内周側に配置される。 In the
可変インダクタ10Fは、次の工程によって作製される。絶縁性材料2がシリコン基板5の一主面に形成される。そして、コイル3,4が絶縁性材料2上に銅メッキまたは金メッキにより形成される。その後、可変抵抗素子6がコイル3の開放端31,32に形成される。これにより、可変インダクタ10Fの作製工程は終了する。 The variable inductor 10F is manufactured by the following process. An insulating
可変インダクタ10Fにおいては、2つのコイル3,4は、同一平面内に形成されるので、プロセスを簡便化できる。 In the variable inductor 10F, since the two
可変インダクタ10Fの動作原理は、可変インダクタ10と同じであるので、その説明を省略する。 Since the operating principle of the variable inductor 10F is the same as that of the
なお、可変インダクタ10Fにおいては、コイル3,4の直下に切欠部14を形成するようにしてもよい。 In the
また、実施の形態7においては、可変インダクタ10A,10B,10C,10D,10Eにおいて、コイル3,4を同一平面内に形成するようにしてもよい。 Further, in the seventh embodiment, in the
その他は、実施の形態1と同じである。 Others are the same as in the first embodiment.
なお、上記においては、結合係数kは、k≒1であると説明したが、この発明においては、これに限らず、結合係数kは、k≒1以外の値であってもよく、一般的には、コイル3とコイル4とが磁気的に結合していればよい。 In the above description, the coupling coefficient k has been described as k≈1, but in the present invention, the present invention is not limited to this, and the coupling coefficient k may be a value other than k≈1. The
この発明においては、バイアス回路61は、「制御手段」を構成し、半導体発光素子7および駆動回路63は、「制御手段」を構成し、光導波路8および光源20は、「制御手段」を構成し、光ファイバー9および光源20は、「制御手段」を構成する。 In the present invention, the
今回開示された実施の形態はすべての点で例示であって制限的なものではないと考えられるべきである。本発明の範囲は、上記した実施の形態の説明ではなくて特許請求の範囲によって示され、特許請求の範囲と均等の意味および範囲内でのすべての変更が含まれることが意図される。 The embodiment disclosed this time should be considered as illustrative in all points and not restrictive. The scope of the present invention is shown not by the above description of the embodiments but by the scope of claims for patent, and is intended to include meanings equivalent to the scope of claims for patent and all modifications within the scope.
この発明は、インダクタンス値を連続的に可変可能な可変インダクタに適用される。また、この発明は、制御系と高周波回路系の電気絶縁を十分確保可能な可変インダクタに適用される。 The present invention is applied to a variable inductor capable of continuously changing an inductance value. In addition, the present invention is applied to a variable inductor that can sufficiently ensure electrical insulation between a control system and a high-frequency circuit system.
1,1B シリコン基板、1A 絶縁性基板、2,5 絶縁性材料、3,4,Co1,Co2 コイル、6,6A 可変抵抗素子、7 半導体発光素子、8 光導波路、9 光ファイバー、10,10A,10B,10C,10D,10E,10F,VAL 可変インダクタ、11,12,TM1 入出力端子、13 負荷、14 切欠部、20 光源、31,32,41,42 開放端、61,62 バイアス回路、63 駆動回路、101 スパイラルインダクタ、102 引出配線、103 スルーホール、Q1〜Q4 スイッチ、R1〜R4 抵抗、EP 発光点。 1,1B silicon substrate, 1A insulating substrate, 2,5 insulating material, 3,4, Co1, Co2 coil, 6,6A variable resistance element, 7 semiconductor light emitting element, 8 optical waveguide, 9 optical fiber, 10, 10A, 10B, 10C, 10D, 10E, 10F, VAL Variable inductor, 11, 12, TM1 I / O terminal, 13 Load, 14 Notch, 20 Light source, 31, 32, 41, 42 Open end, 61, 62 Bias circuit, 63 Drive circuit, 101 spiral inductor, 102 lead wiring, 103 through hole, Q1-Q4 switch, R1-R4 resistance, EP light emitting point.
| Application Number | Priority Date | Filing Date | Title |
|---|---|---|---|
| JP2005061889AJP2006245455A (en) | 2005-03-07 | 2005-03-07 | Variable inductor |
| Application Number | Priority Date | Filing Date | Title |
|---|---|---|---|
| JP2005061889AJP2006245455A (en) | 2005-03-07 | 2005-03-07 | Variable inductor |
| Publication Number | Publication Date |
|---|---|
| JP2006245455Atrue JP2006245455A (en) | 2006-09-14 |
| Application Number | Title | Priority Date | Filing Date |
|---|---|---|---|
| JP2005061889APendingJP2006245455A (en) | 2005-03-07 | 2005-03-07 | Variable inductor |
| Country | Link |
|---|---|
| JP (1) | JP2006245455A (en) |
| Publication number | Priority date | Publication date | Assignee | Title |
|---|---|---|---|---|
| WO2009041304A1 (en)* | 2007-09-28 | 2009-04-02 | Nec Corporation | Oscillation circuit |
| KR20110072278A (en)* | 2009-12-22 | 2011-06-29 | 삼성전자주식회사 | Electronic device with inductively coupled communication means |
| US8143986B2 (en) | 2007-01-24 | 2012-03-27 | Renesas Electronics Corporation | Inductor |
| WO2012132179A1 (en)* | 2011-03-29 | 2012-10-04 | パナソニック株式会社 | Variable inductor and semiconductor device using same |
| US9109601B2 (en) | 2008-06-23 | 2015-08-18 | Thoratec Corporation | Blood pump apparatus |
| US9132215B2 (en) | 2010-02-16 | 2015-09-15 | Thoratee Corporation | Centrifugal pump apparatus |
| US9133854B2 (en) | 2010-03-26 | 2015-09-15 | Thoratec Corporation | Centrifugal blood pump device |
| JP2015166073A (en)* | 2014-03-04 | 2015-09-24 | 旭サナック株式会社 | Electrostatic coating equipment |
| US9382908B2 (en) | 2010-09-14 | 2016-07-05 | Thoratec Corporation | Centrifugal pump apparatus |
| US9381285B2 (en) | 2009-03-05 | 2016-07-05 | Thoratec Corporation | Centrifugal pump apparatus |
| US9410549B2 (en) | 2009-03-06 | 2016-08-09 | Thoratec Corporation | Centrifugal pump apparatus |
| US9556873B2 (en) | 2013-02-27 | 2017-01-31 | Tc1 Llc | Startup sequence for centrifugal pump with levitated impeller |
| US9623161B2 (en) | 2014-08-26 | 2017-04-18 | Tc1 Llc | Blood pump and method of suction detection |
| US9709061B2 (en) | 2013-01-24 | 2017-07-18 | Tc1 Llc | Impeller position compensation using field oriented control |
| US9713663B2 (en) | 2013-04-30 | 2017-07-25 | Tc1 Llc | Cardiac pump with speed adapted for ventricle unloading |
| US9850906B2 (en) | 2011-03-28 | 2017-12-26 | Tc1 Llc | Rotation drive device and centrifugal pump apparatus employing same |
| JP2018077197A (en)* | 2016-11-11 | 2018-05-17 | 京セラドキュメントソリューションズ株式会社 | Differential transformer permeability sensor |
| US10052420B2 (en) | 2013-04-30 | 2018-08-21 | Tc1 Llc | Heart beat identification and pump speed synchronization |
| US10117983B2 (en) | 2015-11-16 | 2018-11-06 | Tc1 Llc | Pressure/flow characteristic modification of a centrifugal pump in a ventricular assist device |
| US10166318B2 (en) | 2015-02-12 | 2019-01-01 | Tc1 Llc | System and method for controlling the position of a levitated rotor |
| US10245361B2 (en) | 2015-02-13 | 2019-04-02 | Tc1 Llc | Impeller suspension mechanism for heart pump |
| US10371152B2 (en) | 2015-02-12 | 2019-08-06 | Tc1 Llc | Alternating pump gaps |
| US10506935B2 (en) | 2015-02-11 | 2019-12-17 | Tc1 Llc | Heart beat identification and pump speed synchronization |
| WO2020153609A1 (en)* | 2019-01-23 | 2020-07-30 | 숭실대학교 산학협력단 | Variable inductance device and control method therefor |
| Publication number | Priority date | Publication date | Assignee | Title |
|---|---|---|---|---|
| US8143986B2 (en) | 2007-01-24 | 2012-03-27 | Renesas Electronics Corporation | Inductor |
| US8487734B2 (en) | 2007-01-24 | 2013-07-16 | Renesas Electronics Corporation | Inductor |
| JP2012235155A (en)* | 2007-01-24 | 2012-11-29 | Renesas Electronics Corp | Inductor |
| US8310316B2 (en) | 2007-09-28 | 2012-11-13 | Nec Corporation | Oscillator circuit |
| WO2009041304A1 (en)* | 2007-09-28 | 2009-04-02 | Nec Corporation | Oscillation circuit |
| JPWO2009041304A1 (en)* | 2007-09-28 | 2011-01-27 | 日本電気株式会社 | Oscillator circuit |
| US9109601B2 (en) | 2008-06-23 | 2015-08-18 | Thoratec Corporation | Blood pump apparatus |
| US9381285B2 (en) | 2009-03-05 | 2016-07-05 | Thoratec Corporation | Centrifugal pump apparatus |
| US9410549B2 (en) | 2009-03-06 | 2016-08-09 | Thoratec Corporation | Centrifugal pump apparatus |
| KR101686582B1 (en)* | 2009-12-22 | 2016-12-15 | 삼성전자주식회사 | Stacked electronic device having inductive coupling communication unit between stacked chips |
| KR20110072278A (en)* | 2009-12-22 | 2011-06-29 | 삼성전자주식회사 | Electronic device with inductively coupled communication means |
| US9132215B2 (en) | 2010-02-16 | 2015-09-15 | Thoratee Corporation | Centrifugal pump apparatus |
| US9133854B2 (en) | 2010-03-26 | 2015-09-15 | Thoratec Corporation | Centrifugal blood pump device |
| US9638202B2 (en) | 2010-09-14 | 2017-05-02 | Tc1 Llc | Centrifugal pump apparatus |
| US9382908B2 (en) | 2010-09-14 | 2016-07-05 | Thoratec Corporation | Centrifugal pump apparatus |
| US9850906B2 (en) | 2011-03-28 | 2017-12-26 | Tc1 Llc | Rotation drive device and centrifugal pump apparatus employing same |
| US9324778B2 (en) | 2011-03-29 | 2016-04-26 | Panasonic Corporation | Variable inductor and semiconductor device using same |
| JP2012209405A (en)* | 2011-03-29 | 2012-10-25 | Panasonic Corp | Variable inductor and semiconductor device using the same |
| WO2012132179A1 (en)* | 2011-03-29 | 2012-10-04 | パナソニック株式会社 | Variable inductor and semiconductor device using same |
| US9709061B2 (en) | 2013-01-24 | 2017-07-18 | Tc1 Llc | Impeller position compensation using field oriented control |
| US9556873B2 (en) | 2013-02-27 | 2017-01-31 | Tc1 Llc | Startup sequence for centrifugal pump with levitated impeller |
| US10052420B2 (en) | 2013-04-30 | 2018-08-21 | Tc1 Llc | Heart beat identification and pump speed synchronization |
| US9713663B2 (en) | 2013-04-30 | 2017-07-25 | Tc1 Llc | Cardiac pump with speed adapted for ventricle unloading |
| US12343517B2 (en) | 2013-04-30 | 2025-07-01 | Tc1 Llc | Cardiac pump with speed adapted for ventricle unloading |
| US10980928B2 (en) | 2013-04-30 | 2021-04-20 | Tc1 Llc | Cardiac pump with speed adapted for ventricle unloading |
| US11724094B2 (en) | 2013-04-30 | 2023-08-15 | Tc1 Llc | Cardiac pump with speed adapted for ventricle unloading |
| CN106061620A (en)* | 2014-03-04 | 2016-10-26 | 旭灿纳克株式会社 | Electrostatic coating apparatus |
| JP2015166073A (en)* | 2014-03-04 | 2015-09-24 | 旭サナック株式会社 | Electrostatic coating equipment |
| US9623161B2 (en) | 2014-08-26 | 2017-04-18 | Tc1 Llc | Blood pump and method of suction detection |
| US10856748B2 (en) | 2015-02-11 | 2020-12-08 | Tc1 Llc | Heart beat identification and pump speed synchronization |
| US11712167B2 (en) | 2015-02-11 | 2023-08-01 | Tc1 Llc | Heart beat identification and pump speed synchronization |
| US10506935B2 (en) | 2015-02-11 | 2019-12-17 | Tc1 Llc | Heart beat identification and pump speed synchronization |
| US12213766B2 (en) | 2015-02-11 | 2025-02-04 | Tc1 Llc | Heart beat identification and pump speed synchronization |
| US10371152B2 (en) | 2015-02-12 | 2019-08-06 | Tc1 Llc | Alternating pump gaps |
| US10874782B2 (en) | 2015-02-12 | 2020-12-29 | Tc1 Llc | System and method for controlling the position of a levitated rotor |
| US11781551B2 (en) | 2015-02-12 | 2023-10-10 | Tc1 Llc | Alternating pump gaps |
| US11015605B2 (en) | 2015-02-12 | 2021-05-25 | Tc1 Llc | Alternating pump gaps |
| US10166318B2 (en) | 2015-02-12 | 2019-01-01 | Tc1 Llc | System and method for controlling the position of a levitated rotor |
| US12285598B2 (en) | 2015-02-12 | 2025-04-29 | Tc1 Llc | System and method for controlling the position of a levitated rotor |
| US11724097B2 (en) | 2015-02-12 | 2023-08-15 | Tc1 Llc | System and method for controlling the position of a levitated rotor |
| US10245361B2 (en) | 2015-02-13 | 2019-04-02 | Tc1 Llc | Impeller suspension mechanism for heart pump |
| US11639722B2 (en) | 2015-11-16 | 2023-05-02 | Tc1 Llc | Pressure/flow characteristic modification of a centrifugal pump in a ventricular assist device |
| US10888645B2 (en) | 2015-11-16 | 2021-01-12 | Tc1 Llc | Pressure/flow characteristic modification of a centrifugal pump in a ventricular assist device |
| US10117983B2 (en) | 2015-11-16 | 2018-11-06 | Tc1 Llc | Pressure/flow characteristic modification of a centrifugal pump in a ventricular assist device |
| JP2018077197A (en)* | 2016-11-11 | 2018-05-17 | 京セラドキュメントソリューションズ株式会社 | Differential transformer permeability sensor |
| WO2020153609A1 (en)* | 2019-01-23 | 2020-07-30 | 숭실대학교 산학협력단 | Variable inductance device and control method therefor |
| Publication | Publication Date | Title |
|---|---|---|
| JP2006245455A (en) | Variable inductor | |
| TWI383409B (en) | Integrated circuit, device, and method of manufacturing integrated circuit | |
| US7280024B2 (en) | Integrated transformer structure and method of fabrication | |
| EP0654802B1 (en) | Variable inductance element | |
| US6255714B1 (en) | Integrated circuit having a micromagnetic device including a ferromagnetic core and method of manufacture therefor | |
| US6392488B1 (en) | Dual oxide gate device and method for providing the same | |
| JP2008016703A (en) | Variable inductor, and semiconductor device using the same | |
| US20120168901A1 (en) | Semiconductor electronic device with an integrated device with an integrated galvanic isolator element and related assembly process | |
| CN107195615A (en) | Transistor, packaging and its manufacture method with shielding construction | |
| US6362606B1 (en) | Method and apparatus for regulating a voltage | |
| US9620448B1 (en) | Power module | |
| US7598838B2 (en) | Variable inductor technique | |
| JP2006173145A (en) | Inductors, resonant circuits, semiconductor integrated circuits, oscillators, communication devices | |
| CN102237172A (en) | Continuously Adjustable Inductor with Variable Resistor | |
| US6954111B2 (en) | Voltage controlled oscillator having switches to adjust effective inductor lengths | |
| JPH08162331A (en) | Variable inductor and semiconductor integrated circuit using the same | |
| JP5657806B2 (en) | Shielded modulated tunable inductor device | |
| US8653904B2 (en) | Thin film balun | |
| JP2007005498A (en) | Variable inductor and manufacturing method thereof | |
| JP4471757B2 (en) | Variable inductor | |
| US6714086B1 (en) | Symmetric oscillators | |
| US7202763B2 (en) | Micro-electromechanical switching device | |
| US20080297972A1 (en) | Capacitor structure with variable capacitance, and use of said capacitor structure | |
| WO2023063074A1 (en) | Tracker module | |
| JP2017011876A (en) | Switching power supplies and isolators |