Movatterモバイル変換


[0]ホーム

URL:


JP2004307567A - Hydrophilic material-containing molded product - Google Patents

Hydrophilic material-containing molded product
Download PDF

Info

Publication number
JP2004307567A
JP2004307567AJP2003099699AJP2003099699AJP2004307567AJP 2004307567 AJP2004307567 AJP 2004307567AJP 2003099699 AJP2003099699 AJP 2003099699AJP 2003099699 AJP2003099699 AJP 2003099699AJP 2004307567 AJP2004307567 AJP 2004307567A
Authority
JP
Japan
Prior art keywords
hydrophilic
hydrophilic substance
rms
polysulfone
molded product
Prior art date
Legal status (The legal status is an assumption and is not a legal conclusion. Google has not performed a legal analysis and makes no representation as to the accuracy of the status listed.)
Granted
Application number
JP2003099699A
Other languages
Japanese (ja)
Other versions
JP4313596B2 (en
Inventor
Hiroyuki Sugaya
博之 菅谷
Yoshiyuki Ueno
良之 上野
Ichiro Itagaki
一郎 板垣
Kiyotaka Sakai
清孝 酒井
Jiyundai Hayama
順代 葉山
Current Assignee (The listed assignees may be inaccurate. Google has not performed a legal analysis and makes no representation or warranty as to the accuracy of the list.)
Waseda University
Toray Industries Inc
Original Assignee
Waseda University
Toray Industries Inc
Priority date (The priority date is an assumption and is not a legal conclusion. Google has not performed a legal analysis and makes no representation as to the accuracy of the date listed.)
Filing date
Publication date
Application filed by Waseda University, Toray Industries IncfiledCriticalWaseda University
Priority to JP2003099699ApriorityCriticalpatent/JP4313596B2/en
Publication of JP2004307567ApublicationCriticalpatent/JP2004307567A/en
Application grantedgrantedCritical
Publication of JP4313596B2publicationCriticalpatent/JP4313596B2/en
Anticipated expirationlegal-statusCritical
Expired - Lifetimelegal-statusCriticalCurrent

Links

Landscapes

Abstract

<P>PROBLEM TO BE SOLVED: To provide a molded product having an efficiently hydrophilized surface, i.e. with reduced sticking of biocomponents such as platelets or proteins. <P>SOLUTION: The hydrophilic material-containing molded product is characterized in that the ratio (RWD) of RMS (root mean square roughness) in a wet state to the RMS in a dry state is ≥0.6. The obtained molded product reduces the sticking of the biocomponents such as the platelets or proteins. The molded product is used in applications such as medical care materials in which the surface is preferably hydrophilic and smooth. <P>COPYRIGHT: (C)2005,JPO&NCIPI

Description

Translated fromJapanese

【0001】
本発明は、親水性物質を含む成型体に関するものであり、医療材料などの表面が親水性でかつ平滑であることが好ましい用途に好適に用いられる。
【0002】
【従来の技術】
ポリスルホンをはじめとするポリスルホン系ポリマーはその耐熱性、耐薬品性、成形性の面から、優れた材料であり、幅広い分野で用いられている。しかしながら、これらの材料は疎水性であるために、生体関連物質の付着が多い、すなわち生体適合性が低いという問題点があった。
【0003】
それらを改善するために、様々な検討がなされており、例えば、親水性ポリマーであるポリビニルピロリドンを適正量含有させることにより、ポリスルホンに親水性を与え、それにより膜への汚れを抑制する方法が特公平2−18695号公報、特開昭61−238834号公報に開示されている。また、親水性ポリマーセグメントと疎水性セグメントからなるグラフトまたはブロックコポリマーをブレンドすることにより、ポリスルホン系膜へ親水性を与え、それにより膜の汚れを抑制する方法が特開昭62−201603号公報、特開昭63−77941号公報に開示されている。更には、特開平2−2862号公報には、ポリスルホン中空糸膜を濃硫酸中に浸漬させてスルホン化することが開示されている。また、ポリマー表面に、放射線、紫外線等を照射したり、アーク、直流グロー、高周波、マイクロ波、コロナ放電等によりプラズマ処理したり、UV−オゾン処理する等の方法において発生させたラジカルを開始点として、これにラジカル重合性モノマーを作用させて表面にグラフト重合層を形成させる方法も広く用いられている。例えば、A.Henglein, Angew. Chem., 70,461(1955)には、放射線を用いたグラフト重合が、またY. Ogiwara, et. al., Poym. Sci., Polym Letter Ed., 19,457(1981)には、ポリ酢酸ビニル水溶液を用いたメチルメタクリレート又はアクリル酸を、ポリプロピレン表面上あるいはポリエチレン表面上でグラフト重合させる方法等が提案されている。
【0004】
このように、表面を親水性化させるだけであれば種々の方法が知られている。さらに、その効果を最大限に発揮するためには材料表面の親水性物質を最適な状態で存在させる必要があると考えられるが、その方法はこれまで知られていなかった。
【0005】
【特許文献1】
特公平2−18695号公報
【特許文献2】
特開昭61−238834号公報
【特許文献3】
特開昭62−201603号公報
【特許文献4】
特開昭63−77941号公報
【特許文献5】
特開平2−2862号公報
【非特許文献1】
A.Henglein, Angew. Chem., 70,461(1955)
【0006】
【発明が解決しようとする課題】
本発明は、上記従来技術の欠点を解消しようとするものであり、表面が効率的に親水性化された、すなわち、血小板、タンパク質などの生体成分の付着が低減された成型体を提供することを目的とする。
【0007】
【課題を解決するための手段】
本発明は上記課題を達成するため、以下の構成を有する。
(1)乾燥状態の自乗平均粗さ(RMS)に対する湿潤状態でのRMSの比(RWD)が0.6以上であることを特徴とする親水性物質含有成型体。
(2)該RWDが1.5未満であることを特徴とする(1)項に記載親水性物質含有成型体。
(3)該親水性物質が親水性ポリマーであることを特徴とする(1)項または(2)項に記載の親水性物質含有成型体。
(4)該親水性ポリマーがポリビニルピロリドンもしくはポリエチレングリコールであることを特徴とする(3)項に記載の親水性物質含有成型体。
(5)ポリスルホン系ポリマーを含むことを特徴とする(1)〜(4)項に記載の親水性物質含有成型体。
【0008】
本発明で言う親水性物質含有成型体とは親水性ポリマーなどの親水性物質を成型体中に含む疎水性ポリマーからなる成型体のことである。
【0009】
疎水性ポリマーの種類は特に限定せず、ポリスルホン系ポリマー、ポリメチルメタクリレート、ポリアクリロニトリル、再生セルロース、セルロースアセテート、ポリエチレン−ビニルアルコール共重合体ポリマーなどの水不溶性のポリマー等を例として挙げることができる。特にポリスルホン系ポリマーは、近年血液透析膜などに多く使われているが、本来親水性が高くない成型体であり、特に本発明の効果が顕著に現れるために好ましいポリマーである。
【0010】
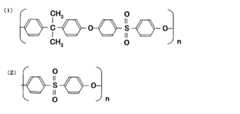
ポリスルホン系ポリマーとしては、主鎖に芳香環、スルホニル基およびエーテル基をもつもので、例えば、次式(1)、(2)の化学式で示されるポリスルホンが好適に使用されるが、本発明ではこれらに限定されない。式中のnは、例えば50〜80の如き整数である。
【0011】
【化1】

Figure 2004307567
【0012】
ポリスルホンの具体例としては、ユーデルポリスルホンP−1700、P−3500(ソルベイ社製)、ウルトラソンS3010、S6010(BASF社製)、ビクトレックス(住友化学)、レーデルA(ソルベイ社製)、ウルトラソンE(BASF社製)等のポリスルホンが挙げられる。又、本発明で用いられるポリスルホンは上記式(1)及び/又は(2)で表される繰り返し単位のみからなるポリマーが好適ではあるが、本発明の効果を妨げない範囲で他のモノマーと共重合していても良い。また、ベンゼン環部分をアミノ基やスルホン酸基で置換修飾した様な変性ポリスルホンも用いることができる。
【0013】
本発明の親水性物質含有成型体を製造する方法としては、疎水性ポリマーと親水性物質の混合溶液を成型する方法が挙げられる。
【0014】
疎水性ポリマーと親水性物質の混合溶液を成型する方法について述べる。本発明でいうところの親水性物質とは水と親和性の高い物質のことであり、水に溶解する(好ましくは、水に対する溶解度(水100gに溶解するグラム数)が0.1以上)か、水に対する接触角が50°以下の物質を指す。特に疎水性ポリマーと親水性物質の混合溶液を成型する際には、親水性物質として親水性ポリマーが好適に用いられる。これは、成型体成型後に医療材料として各種水溶液や体液などと接触した場合に、全般的にポリマーのほうが各種水溶液や体液に溶出しにくいためである。
【0015】
親水性ポリマーとしては、ポリビニルピロリドン、ポリエチレングリコール、ポリビニルアルコール、ポリエチレンイミン、ポリアクリル酸などが挙げられ、その分子量は数百〜数百万程度と選択肢は多いが、疎水性ポリマーとの相溶性の高いものであれば、これらに限定されずに用いることができる。親水性物質を成分として含む共重合ポリマーでもよい。中でも疎水性ポリマーとしてポリスルホン系ポリマーを用いた場合には、ポリスルホン系ポリマーとの相溶性が高いものとして、ポリビニルピロリドンとポリエチレングリコールを好ましく用いることができる。相溶性の良くないものを用いた場合、成型体溶液の状態で相分離を起こしてしまうため、透明成型体を製造することが困難となる。また、成型体溶液の相分離を引き起こさないものであれば、親水性物質の一種もしくは数種を適宜組み合わせても良い。
【0016】
本発明のでいう自乗平均粗さ(RMS)とは原子間力顕微鏡(AFM)を用いて測定した場合の凹凸度のことであり単位はnmで示される。RMSはAFMにより得られた3次元凹凸情報をイメージ分析ソフト(市販の原子間力顕微鏡に付属のもの)を用いて測定、計算することによって得られる。乾燥状態でのRMSの測定は水に24時間以上浸漬させた湿潤状態での成型体を25℃、1mmHg以下の圧力で水分率10%以下まで乾燥させたサンプルを用いて行う。湿潤状態での測定は、乾燥したサンプルを水に24時間浸漬させた後に行う。血小板やタンパク質等の血液成分、フミン質などの水中の不純物の付着を抑制するためには、親水性物質が水によって適度に膨潤することが重要であり、本発明においては、これを乾燥状態の自乗平均粗さ(RMS)に対する湿潤状態でのRMSの比(RWD=湿潤状態でのRMS/乾燥状態でのRMS)によって示し、RWDが0.6以上であることを必要とする。さらには、1.0より大きいことがより好ましい。
【0017】
親水性物質が少ないと、材料は乾燥状態のRMSよりも小さくなることがあるが、これは、乾燥状態では親水性物質が材料表面に不均一に存在して、親水性物質の凹凸が観測されるのに対して、湿潤状態では観測され難いためと考えられる。好ましい親水性表面を得るためにはRWD値が0.6以上であることが必要であるが、1.0より大きい事が好ましい。親水性物質を多くするとRWDは大きくなる傾向があるが、親水性物質に親水性ポリマーを用いた場合に、この値があまりにも多くなると、低分子量のタンパク質などが膨潤した親水性層の中に潜り込んでしまい、実質的な付着・汚れが生じてしまうことが懸念されるためにRWDの値は10以下であることが好ましく、2以下であることが好ましく、さらには1.5以下であることが好ましい。さらに、RWDの値が1.0より大きく1.5以下である表面は親水性物質が適度に表面を覆っている状態と考えられるため最も好ましい範囲である。このような表面を有する成型体は優れた親水性表面特性を有しており、医療材料として用いた場合には生体成分の付着を抑制する効果を有する。例えば、血液中の血小板付着性試験を行った際に血小板の付着を抑制することができる。
【0018】
本発明における成型体溶液の調製については特に限定されるものではないが、成型体溶液の粘度は添加した親水性ポリマーの分子量及びその添加量に依存する傾向があるため、成型性の良い範囲となるように調製することが重要である。具体的には、成型体溶液の粘度は高くても1000ポイズ程度までが成型に支障が少なく好ましい範囲とされる。成型溶液における親水性物質の濃度を高くするにつれて、成型体の表面はより親水性になり、生体適合性が向上する。高いRWDを持つ表面は成型溶液における親水性物質の濃度を高くする事により得られる。親水性物質の濃度は疎水性ポリマーに対して2〜100重量%が好ましく、更には3〜50重量%が好ましい。成型体中の親水性物質濃度が2重量%未満の場合、得られる成型体表面の親水性の量が不十分となる傾向があり、高いRWDをもった材料を得難い。
【0019】
また、前述のように、分子量の大きい親水性ポリマーを用いる場合、溶液の粘度が著しく上昇するので成型性に支障のない範囲の溶液組成を選択することが好ましい。また、分子量の小さい親水性物質を用いる場合は、RWDが小さく十分な生体適合性を発揮できないことがあったり、医療材料として使用する場合に溶出する傾向がある。親水性物質としてポリマーを用いる場合には、重量平均分子量が3万〜200万のものが好ましく用いられる。
【0020】
成型溶液におけるポリスルホン系成型体の濃度について、親水性物質との相溶状態を発現させるために、親水性物質に対して少なくとも20重量%以上存在することが好ましく、更には25重量%以上存在することが好ましい。
【0021】
成型溶液における溶媒の選択においては、ポリスルホン系成型体及び親水性物質の良溶媒が用いられる。具体的には、ジメチルアセトアミド、ジメチルホルムアミド、ジメチルスルホキシド、アセトン、アセトアルデヒド、2−メチルピロリドンなどであるがこれらに限定されない。安全性、毒性の面からジメチルアセトアミドが好ましい。高いRWDを有する成型体を得るためには、ポリスルホン系成型体と親水性物質の高濃度溶液を作製後、溶媒を蒸発させることで成型体が製造できるが、これを延伸成型・射出成型・押し出し成型をすることによって様々な成型体を形成できる。たとえば円形口金から押し出せば、チューブを成型することも可能である。
【0022】
本発明における成形体の製造方法として、親水性ポリマーと疎水性ポリマーを含む混合溶液から作成するフィルムを例に以下のとおりに示す。まず、成型体溶液をガラス板上前端に横に広げながら適量を静かに垂らし、キャスト厚みを一定にすることができるアプリケーターをガラス板上で一定の速さで手前に引き、成型体溶液をむらなく広げる公知の方法を用いる。
【0023】
透明な成型体が必要な場合には、最適な成型条件を整えることが重要であり、親水性物質が入った成型体溶液ではキャスト中に空気中の水分による吸湿の影響で、相分離を起こしてしまうことが懸念されるために、キャスト温度については適宜最良の条件を決めなければならないが80〜150度、更には100〜130度が好ましい。低温でキャストする場合は吸湿しない環境下で長時間かけて成型を行う必要がある。キャスト厚みについては、薄すぎるとフィルムとして成形しにくくなる。また厚すぎると溶媒の蒸発に時間を要することとなり、50〜500μmが好ましく、更には100〜300μmが好ましい。
【0024】
上記条件により成型した後、所定の水洗、剥離工程を経た後、乾燥しフィルムを得る。
【0025】
本発明により得られる成型体は、例えば、コンタクトレンズ、眼内レンズ等の医療材料、血液回路、人工腎臓、人工肺、人工肝臓、人工心臓、人工膵臓などの人工臓器、水処理用膜などの親水性を要求として幅広く用いられる。
【0026】
以下実施例を挙げて本発明を説明するが、本発明はこれらの例によって限定されるものではない。
【0027】
【実施例】
用いた測定方法は以下の通りである。
(1)血小板付着実験
フィルム状の成型体を18mmφのポリスチレン製の円筒管の底に平板状に設置し、生理食塩水で満たした。3.2%クエン酸三ナトリウム2水和物水溶液と家兎新鮮血を1:9(容積比)で混合した血液を1000rpmで10分間遠心分離し、上清を取り出した(血漿1とする)。その後、上清を取り出したあとの血液を3000rpmで10分間再度遠心分離し、上清を取り出した(血漿2とする)。血漿1に血漿2を添加することで希釈(血漿2は血漿1に比べて血小板の濃度が低い)し、血小板数20×10個/mlの富血小板血漿(PRP)を調製した。準備した円筒管の生理食塩水を捨てた後PRPを1.0ml入れて37℃にてタイテック社製MICROTUBE MIXER(EN−36N)を用いて1時間振盪させた。その後、生理食塩水で3回洗浄し、3%グルタルアルデヒド水溶液で血液成分の固定を行い、蒸留水にて洗浄した後、減圧乾燥を5時間以上行った。このフィルムを走査型電子顕微鏡の試料台に両面テープで貼り付けた。その後、スパッタリングにより、Pt−Pdの薄膜を試料に形成させた。走査型電子顕微鏡(日立社製S800)にて試料表面を観察し(フィルムと円筒管の接着部は血液が溜まりやすいので、主としてフィルム中央部を3000倍で観察した)、1.0×10μmの面積中の付着血小板数を数えた。観察部位20ヶ所での平均値をとった。
【0028】
この実験には、コントロールが必要である。すなわち、以下のようにして作成したサンプルを、実験毎に水準にいれておく必要がある。ポリスルホン(アモコ社製Udel−P3500)10重量%をジメチルアセトアミド90重量%に加えて室温で溶解し、ホットプレートにて、表面温度が100度になっているガラス板上で厚さ203μmでキャストした。表面の温度は、接触式温度計により測定した。キャスト後、5分間ホットプレート上で放置し、溶媒を蒸発させた後、ガラス板ごと、水浴へ浸漬し透明フィルムを得た。このポリスルホンフィルムの血小板付着数が40個以下の場合は、血液の鮮度が欠けているなど、実験が失敗している可能性が高いので、その際のデータは用いることができない。
【0029】
(2)表面ポリビニルピロリドン量の測定
表面のポリビニルピロリドン量は、X線光電子分光(ESCA)によって決定される。装置はESCALAB220iXLを用いた。ESCAの測定により得た、C1s、N1s、S2pスペクトルの面積強度より、装置付属の相対感度係数を用いて窒素の表面量(A)と硫黄の表面量(B)を求め、
表面ポリビニルピロリドン量(%)=Ax111x100/(Ax111+Bx442)よりフィルム表面ポリビニルピロリドン量を算出した。X線の入射角に対する検出器の角度は90度にて測定を行った。
【0030】
(3)接触角の測定
協和界面化学社製の接触角計CA−Dを用いて測定した。測定は室温が25度に温調された部屋で行った。
【0031】
(4)自乗平均粗さ(RMS)の測定
フィルムサンプルは、5 mm四方に切り出し、スチール製円板(Nihon VEECO, Tokyo, Japan)上に市販の透明マニキュアを用いて固定した。固定後、室温で24時間乾燥させ、乾燥サンプルとした。コンタクトモードで、NP−Sプローブの120 μm, wideチップを使用し(200 μm, wideチップは使用前に折る)は、2 mm x 2 mmの範囲を、オペレーティングポイント0.3 V、0.2 Hzの十分遅い走査速度で観察した。Pゲイン、Iゲインは、サンプルごとに調整した(おおよそPゲイン:8−15、Iゲイン:0.001−0.003)。乾燥サンプルを、観察後固定円板ごと装置附属のガラスセルに透明マニキュアで固定し、RO水で24時間十分湿潤させ、湿潤サンプルとした。湿潤サンプルも、乾燥サンプルと同じ方法で観察した。観察モード、プローブ、その他走査条件を変えないことで、乾燥状態と湿潤状態間の変化を定量的に評価することができる。測定は5カ所で行い平均値を採用した。
【0032】
AFM観察条件として装置に走査型プローブ顕微鏡SPM 9500−J3(SHIMADZU, Kyoto, Japan)、観察モードはコンタクトモード、プローブはNP−S(120 mm, wide)(Nihon VEECO KK, Tokyo, Japan),スキャナ標準はStandard(30 mm x 30 mm x 5 mm)、走査範囲は2 mm x 2 mm(画像のzスケールは10 nmに統一)、走査速度は0.2 Hz 、画素数は512 x 512の条件にて行った。画像処理は、得られた生画像から、x、yラインごとに平均値を算出し、データからその平均値差し引いて傾斜補正し、ノイズラインは測定時のカンチレバーの針とびや瞬時的なノイズに起因する画像データ上のラインノイズを、前後のラインの明暗とそのラインの明暗が反転していることを基準とし、消去する事により行った。また、画像に空間周波数的に規則的なノイズが含まれる場合、周波数フィルタを使用して画像処理を行った。
【0033】
RMSの算出には、オフライン機能の「面粗さ解析」を用いた。特異的な形状を拾わないように、解析範囲は1−4 μmで調整した(標準は4μm)。1次元のRMSは、粗さ曲線(JIS B601参照)からその平均線の方向に基準長さだけ抜き取り、この抜き取り部分の平均線の方向にX軸を、縦倍率の方向にY軸を取ったときに、以下のようにして求められる標準偏差をいう。ここでは、これを2次元に拡張したものを測定した。
RMS=(Σ(Yi−Yave)/N)0.5
Yi:任意の測定点の高さ、Yave:全測定点の高さ平均、N:測定点の数
以下実施例において、「部」は「重量部」を意味する。
【0034】
実施例1
ポリスルホン(ソルベイ社製Udel−P3500)10部、ポリビニルピロリドン(ISP社製K90 重量平均分子量120万)5部をジメチルアセトアミド85部に加え室温にて溶解し、成型溶液とした。この溶液をホットプレートにて、表面温度が100度になっているガラス板上で厚さ203μmでキャストした。表面の温度は、接触式温度計により測定した。キャスト後、5分間ホットプレート上で放置し、溶媒を蒸発させた後、ガラス板ごと、水浴へ浸漬し透明フィルムを得た(水浴に浸漬させるのは、フィルムをガラス板からはがしやすくさせるためである。)。得られたフィルムの血小板付着数は12個であった。表面接触角は38°であった。乾燥状態でのRMSは1.6、湿潤状態でのRMSは1.2、RWDは0.7であった。
【0035】
実施例2
ポリスルホン(ソルベイ社製Udel−P3500)10部、ポリビニルピロリドン(ISP社製K90 重量平均分子量120万)10部をジメチルアセトアミド80部に加え室温にて溶解し、成型溶液とした。実施例1と同様にして光透過率90.3%の透明フィルムを得た。得られたフィルムの血小板付着数は7個であった。表面接触角は35°であった。乾燥状態でのRMSは1.3、湿潤状態でのRMSは2.7、RWDは2.1であった。
【0036】
比較例1
ポリスルホン(ソルベイ社製Udel−P3500)10部をジメチルアセトアミド90部に加え、実施例1と同様にして光透過率88.9%の透明フィルムを得た。得られたフィルムの血小板付着数は70個であった。表面接触角は82°であった。乾燥状態でのRMSは1.2、湿潤状態でのRMSは0.6、RWDは0.5であった。
【0037】
比較例2
ポリスルホン(ソルベイ社製Udel−P3500)10部、ポリビニルピロリドン(ISP社製K90 重量平均分子量120万)0.01部をジメチルアセトアミド90部に加え、実施例1と同様にして光透過率88.8%の透明フィルムを得た。得られたフィルムの血小板付着数は60個であった。表面接触角は74°であった。乾燥状態でのRMSは1.4、湿潤状態でのRMSは0.6、RWDは0.4であった。
【0038】
【発明の効果】
本発明によって、血小板、タンパク質などの生体成分の付着が低減された成型体を提供することができる。[0001]
The present invention relates to a molded article containing a hydrophilic substance, and is suitably used for applications where the surface of a medical material or the like is preferably hydrophilic and smooth.
[0002]
[Prior art]
Polysulfone-based polymers such as polysulfone are excellent materials in terms of heat resistance, chemical resistance, and moldability, and are used in a wide range of fields. However, since these materials are hydrophobic, there is a problem that a lot of bio-related substances are attached, that is, biocompatibility is low.
[0003]
In order to improve them, various studies have been made.For example, there is a method of imparting hydrophilicity to polysulfone by adding an appropriate amount of a hydrophilic polymer, polyvinylpyrrolidone, and thereby suppressing contamination on a membrane. It is disclosed in Japanese Patent Publication No. 2-18695 and Japanese Patent Application Laid-Open No. 61-238834. Japanese Patent Application Laid-Open No. Sho 62-201603 discloses a method for imparting hydrophilicity to a polysulfone-based membrane by blending a graft or block copolymer comprising a hydrophilic polymer segment and a hydrophobic segment, thereby suppressing membrane fouling. It is disclosed in JP-A-63-77941. Further, JP-A-2-2862 discloses that a polysulfone hollow fiber membrane is immersed in concentrated sulfuric acid for sulfonation. Radicals generated by methods such as irradiating the polymer surface with radiation, ultraviolet light, or the like, performing plasma treatment by arc, DC glow, high frequency, microwave, corona discharge, or UV-ozone treatment are used as starting points. A method in which a radical polymerizable monomer is allowed to act on this to form a graft polymerization layer on the surface has also been widely used. For example, A. Henglein, Angew. Chem. , 70, 461 (1955) describe graft polymerization using radiation; Ogiwara, et. al. , Poym. Sci. , Polym Letter Ed. , 19, 457 (1981) propose a method of graft-polymerizing methyl methacrylate or acrylic acid using a polyvinyl acetate aqueous solution on a polypropylene surface or a polyethylene surface.
[0004]
As described above, various methods are known if only the surface is made hydrophilic. Further, it is considered that the hydrophilic substance on the surface of the material needs to be present in an optimal state in order to exert its effect to the maximum, but the method has not been known so far.
[0005]
[Patent Document 1]
Japanese Patent Publication No. 2-18695 [Patent Document 2]
JP-A-61-238834 [Patent Document 3]
JP-A-62-201603 [Patent Document 4]
JP-A-63-77941 [Patent Document 5]
JP-A-2-2862 [Non-Patent Document 1]
A. Henglein, Angew. Chem. , 70, 461 (1955).
[0006]
[Problems to be solved by the invention]
The present invention is intended to solve the above-mentioned drawbacks of the prior art, and to provide a molded body whose surface is efficiently made hydrophilic, that is, platelets, proteins and other biological components are reduced in adhesion. With the goal.
[0007]
[Means for Solving the Problems]
The present invention has the following configurations to achieve the above object.
(1) A molded article containing a hydrophilic substance, wherein the ratio (RWD) of the RMS in a wet state to the root mean square roughness (RMS) in a dry state is 0.6 or more.
(2) The hydrophilic substance-containing molded article according to (1), wherein the RWD is less than 1.5.
(3) The molded article containing a hydrophilic substance according to the above (1) or (2), wherein the hydrophilic substance is a hydrophilic polymer.
(4) The molded article containing a hydrophilic substance according to the item (3), wherein the hydrophilic polymer is polyvinylpyrrolidone or polyethylene glycol.
(5) The hydrophilic substance-containing molded article according to any one of (1) to (4), which comprises a polysulfone-based polymer.
[0008]
The molded article containing a hydrophilic substance in the present invention is a molded article made of a hydrophobic polymer containing a hydrophilic substance such as a hydrophilic polymer in the molded article.
[0009]
The type of the hydrophobic polymer is not particularly limited, and examples thereof include water-insoluble polymers such as polysulfone-based polymers, polymethyl methacrylate, polyacrylonitrile, regenerated cellulose, cellulose acetate, and polyethylene-vinyl alcohol copolymer polymers. . In particular, polysulfone-based polymers have recently been widely used for hemodialysis membranes and the like. However, polysulfone-based polymers are originally molded articles having low hydrophilicity, and are particularly preferable polymers because the effects of the present invention are remarkably exhibited.
[0010]
As the polysulfone-based polymer, one having an aromatic ring, a sulfonyl group and an ether group in the main chain, for example, polysulfone represented by the following formulas (1) and (2) is preferably used. It is not limited to these. N in the formula is an integer such as 50 to 80.
[0011]
Embedded image
Figure 2004307567
[0012]
Specific examples of polysulfone include Udel polysulfone P-1700, P-3500 (manufactured by Solvay), Ultrason S3010, S6010 (manufactured by BASF), Victrex (Sumitomo Chemical), Radel A (manufactured by Solvay), Ultra Polysulfone such as Son E (manufactured by BASF). The polysulfone used in the present invention is preferably a polymer composed of only the repeating units represented by the above formulas (1) and / or (2), but may be used together with other monomers as long as the effects of the present invention are not impaired. It may be polymerized. Further, a modified polysulfone in which a benzene ring moiety is substituted and modified with an amino group or a sulfonic acid group can also be used.
[0013]
Examples of the method for producing the molded article containing a hydrophilic substance of the present invention include a method of molding a mixed solution of a hydrophobic polymer and a hydrophilic substance.
[0014]
A method for molding a mixed solution of a hydrophobic polymer and a hydrophilic substance will be described. In the present invention, the hydrophilic substance is a substance having a high affinity for water, and is soluble in water (preferably, the solubility in water (the number of grams dissolved in 100 g of water) is 0.1 or more). , A substance having a contact angle with water of 50 ° or less. In particular, when molding a mixed solution of a hydrophobic polymer and a hydrophilic substance, a hydrophilic polymer is suitably used as the hydrophilic substance. This is because the polymer is generally less likely to be eluted into various aqueous solutions or body fluids when it comes into contact with various aqueous solutions or body fluids as a medical material after molding.
[0015]
Examples of the hydrophilic polymer include polyvinylpyrrolidone, polyethylene glycol, polyvinyl alcohol, polyethyleneimine, polyacrylic acid, and the like.The molecular weight of the polymer is several hundred to several million, and there are many choices. If it is high, it can be used without being limited to these. It may be a copolymer containing a hydrophilic substance as a component. In particular, when a polysulfone-based polymer is used as the hydrophobic polymer, polyvinylpyrrolidone and polyethylene glycol can be preferably used because they have high compatibility with the polysulfone-based polymer. When a material having poor compatibility is used, phase separation occurs in the state of a solution of the molded body, so that it is difficult to produce a transparent molded body. In addition, as long as it does not cause phase separation of the molded body solution, one or more kinds of hydrophilic substances may be appropriately combined.
[0016]
The root-mean-square roughness (RMS) as used in the present invention refers to the degree of unevenness as measured using an atomic force microscope (AFM), and the unit is expressed in nm. The RMS is obtained by measuring and calculating three-dimensional unevenness information obtained by the AFM using image analysis software (attached to a commercially available atomic force microscope). The RMS measurement in a dry state is performed using a sample obtained by drying a molded body in a wet state immersed in water for 24 hours or more at 25 ° C. and a pressure of 1 mmHg or less to a moisture content of 10% or less. The measurement in the wet state is performed after the dried sample is immersed in water for 24 hours. In order to suppress the adhesion of impurities in water such as blood components such as platelets and proteins, and humic substances, it is important that the hydrophilic substance swells moderately with water. It is indicated by the ratio of the RMS in the wet state to the root mean square (RMS) (RWD = RMS in the wet state / RMS in the dry state) and requires an RWD of 0.6 or more. Furthermore, it is more preferable that it is larger than 1.0.
[0017]
When the amount of the hydrophilic substance is small, the material may be smaller than the RMS in the dry state. However, in the dry state, the hydrophilic substance is unevenly present on the surface of the material, and the unevenness of the hydrophilic substance is observed. On the other hand, it is considered that it is difficult to be observed in a wet state. In order to obtain a preferable hydrophilic surface, the RWD value needs to be 0.6 or more, but is preferably larger than 1.0. When the amount of the hydrophilic substance is increased, the RWD tends to increase. However, when a hydrophilic polymer is used as the hydrophilic substance, if the value is too large, the hydrophilic layer in which the low molecular weight proteins and the like swell will be contained. The RWD value is preferably 10 or less, preferably 2 or less, and more preferably 1.5 or less because there is a concern that the RWD will penetrate and cause substantial adhesion and dirt. Is preferred. Further, the surface having an RWD value of more than 1.0 and not more than 1.5 is the most preferable range because it is considered that the hydrophilic substance covers the surface appropriately. A molded article having such a surface has excellent hydrophilic surface properties, and has an effect of suppressing adhesion of a biological component when used as a medical material. For example, platelet adhesion can be suppressed when a platelet adhesion test in blood is performed.
[0018]
Although there is no particular limitation on the preparation of the molded body solution in the present invention, since the viscosity of the molded body solution tends to depend on the molecular weight of the added hydrophilic polymer and the amount thereof added, the range of good moldability and It is important to prepare it. Specifically, even if the viscosity of the molded body solution is high, up to about 1000 poises is a preferable range with little hindrance to molding. As the concentration of the hydrophilic substance in the molding solution is increased, the surface of the molded body becomes more hydrophilic, and the biocompatibility is improved. Surfaces with high RWD can be obtained by increasing the concentration of hydrophilic substances in the molding solution. The concentration of the hydrophilic substance is preferably 2 to 100% by weight, more preferably 3 to 50% by weight, based on the hydrophobic polymer. When the concentration of the hydrophilic substance in the molded product is less than 2% by weight, the amount of hydrophilicity on the surface of the obtained molded product tends to be insufficient, and it is difficult to obtain a material having a high RWD.
[0019]
Further, as described above, when a hydrophilic polymer having a large molecular weight is used, the viscosity of the solution is significantly increased, so that it is preferable to select a solution composition within a range that does not hinder moldability. In addition, when a hydrophilic substance having a small molecular weight is used, RWD is so small that sufficient biocompatibility may not be exhibited, or elution tends to occur when used as a medical material. When a polymer is used as the hydrophilic substance, those having a weight average molecular weight of 30,000 to 2,000,000 are preferably used.
[0020]
The concentration of the polysulfone-based molded body in the molding solution is preferably at least 20% by weight or more, more preferably 25% by weight or more based on the hydrophilic substance in order to develop a state of compatibility with the hydrophilic substance. Is preferred.
[0021]
In selecting a solvent in the molding solution, a good solvent for the polysulfone-based molded article and the hydrophilic substance is used. Specific examples include, but are not limited to, dimethylacetamide, dimethylformamide, dimethylsulfoxide, acetone, acetaldehyde, 2-methylpyrrolidone, and the like. Dimethylacetamide is preferred in terms of safety and toxicity. In order to obtain a molded product having high RWD, a molded product can be produced by preparing a polysulfone-based molded product and a high-concentration solution of a hydrophilic substance and then evaporating the solvent. Various moldings can be formed by molding. For example, a tube can be molded by extruding from a circular base.
[0022]
As a method for producing a molded article in the present invention, a film prepared from a mixed solution containing a hydrophilic polymer and a hydrophobic polymer will be described below as an example. First, gently hang an appropriate amount while spreading the molding solution laterally on the front end of the glass plate, pull the applicator that can make the cast thickness constant at a constant speed on the glass plate, and spread the molding solution. A known method of spreading without using is used.
[0023]
When a transparent molded body is required, it is important to adjust the optimal molding conditions.In the case of a molded body solution containing a hydrophilic substance, phase separation occurs due to the effect of moisture absorption in the air during casting. Since the casting temperature is concerned, the best conditions for the casting temperature must be determined appropriately, but the casting temperature is preferably 80 to 150 degrees, more preferably 100 to 130 degrees. When casting at a low temperature, it is necessary to perform molding for a long time in an environment that does not absorb moisture. Regarding the cast thickness, if it is too thin, it becomes difficult to form a film. On the other hand, if it is too thick, it takes time to evaporate the solvent, and the thickness is preferably 50 to 500 µm, more preferably 100 to 300 µm.
[0024]
After molding under the above conditions, the film is subjected to a predetermined washing and peeling step, and then dried to obtain a film.
[0025]
The molded article obtained by the present invention includes, for example, medical materials such as contact lenses and intraocular lenses, blood circuits, artificial kidneys, artificial lungs, artificial livers, artificial hearts, artificial organs such as artificial pancreas, membranes for water treatment, and the like. It is widely used with the requirement of hydrophilicity.
[0026]
Hereinafter, the present invention will be described with reference to examples, but the present invention is not limited to these examples.
[0027]
【Example】
The measuring method used is as follows.
(1) Platelet Adhesion Experiment A film-shaped molded product was placed in a plate shape on the bottom of a polystyrene cylindrical tube of 18 mmφ, and filled with physiological saline. Blood obtained by mixing a 3.2% aqueous solution of trisodium citrate dihydrate and rabbit fresh blood at 1: 9 (volume ratio) was centrifuged at 1000 rpm for 10 minutes, and the supernatant was taken out (referred to as plasma 1). . Thereafter, the blood after removing the supernatant was centrifuged again at 3000 rpm for 10 minutes, and the supernatant was removed (referred to as plasma 2). Plasma 2 was added to plasma 1 for dilution (plasma 2 had a lower platelet concentration than plasma 1) to prepare platelet-rich plasma (PRP) having a platelet count of 20 × 106 / ml. After discarding the physiological saline in the prepared cylindrical tube, 1.0 ml of PRP was added, and the mixture was shaken at 37 ° C. for 1 hour using MICROTUBE MIXER (EN-36N) manufactured by Taitec Corporation. Thereafter, the cells were washed three times with a physiological saline solution, blood components were fixed with a 3% glutaraldehyde aqueous solution, washed with distilled water, and dried under reduced pressure for 5 hours or more. This film was attached to a sample stage of a scanning electron microscope with a double-sided tape. Thereafter, a thin film of Pt-Pd was formed on the sample by sputtering. The surface of the sample was observed with a scanning electron microscope (S800, manufactured by Hitachi, Ltd.). (Since the adhesion between the film and the cylindrical tube tends to accumulate blood, the center of the film was mainly observed at a magnification of 3000.) 1.0 × 103 The number of adherent platelets in an area of μm2 was counted. The average value at 20 observation sites was taken.
[0028]
This experiment requires a control. That is, it is necessary to keep the samples prepared as described below at the level of each experiment. Polysulfone (Amoco's Udel-P3500) (10% by weight) was added to 90% by weight of dimethylacetamide, dissolved at room temperature, and cast on a hot plate to a thickness of 203 µm on a glass plate having a surface temperature of 100 ° C. . The surface temperature was measured with a contact thermometer. After casting, it was left on a hot plate for 5 minutes to evaporate the solvent, and then the glass plate was immersed in a water bath to obtain a transparent film. If the number of platelets adhered to the polysulfone film is 40 or less, there is a high possibility that the experiment has failed, such as lack of freshness of blood, and the data at that time cannot be used.
[0029]
(2) Measurement of Surface Polyvinylpyrrolidone The amount of polyvinylpyrrolidone on the surface is determined by X-ray photoelectron spectroscopy (ESCA). The device used was ESCALAB220iXL. From the surface intensities of the C1s, N1s, and S2p spectra obtained by the ESCA measurement, the surface amount of nitrogen (A) and the surface amount of sulfur (B) were determined using the relative sensitivity coefficient attached to the device.
The amount of polyvinylpyrrolidone on the film surface was calculated from the amount (%) of surface polyvinylpyrrolidone = Ax111 × 100 / (Ax111 + Bx442). The measurement was performed at an angle of 90 degrees of the detector with respect to the incident angle of the X-ray.
[0030]
(3) Measurement of contact angle The contact angle was measured using a contact angle meter CA-D manufactured by Kyowa Interface Chemistry. The measurement was performed in a room where the room temperature was adjusted to 25 degrees.
[0031]
(4) Measurement of root mean square (RMS) A film sample was cut into a square of 5 mm and fixed on a steel disc (Nihon VEECO, Tokyo, Japan) using a commercially available transparent nail polish. After fixing, it was dried at room temperature for 24 hours to obtain a dried sample. In the contact mode, a 120 μm, wide tip of the NP-S probe is used (200 μm, the wide tip is folded before use), and a range of 2 mm × 2 mm is applied to an operating point of 0.3 V, 0.2 V. Observed at a sufficiently low scan rate of Hz. P gain and I gain were adjusted for each sample (approximately P gain: 8-15, I gain: 0.001-0.003). After observation, the dried sample was fixed together with the fixed disk to a glass cell attached to the apparatus with transparent nail polish, and was sufficiently wetted with RO water for 24 hours to obtain a wet sample. Wet samples were observed in the same manner as dry samples. By keeping the observation mode, probe, and other scanning conditions unchanged, the change between the dry state and the wet state can be quantitatively evaluated. The measurement was performed at five places, and the average value was adopted.
[0032]
Scanning probe microscope SPM 9500-J3 (SHIMADZU, Kyoto, Japan) was used as the AFM observation conditions, the contact mode was the observation mode, the probe was NP-S (120 mm, wide) (Nihon VEECO KK, Tokyo, Japan), and the scanner. Standard is Standard (30 mm x 30 mm x 5 mm), scanning range is 2 mm x 2 mm (z scale of image is unified to 10 nm), scanning speed is 0.2 Hz, and number of pixels is 512 x 512. I went in. In the image processing, the average value is calculated for each of the x and y lines from the obtained raw image, the average value is subtracted from the data to correct the inclination, and the noise line is reduced to the jump of the cantilever needle and instantaneous noise at the time of measurement. The resulting line noise on the image data was erased on the basis of the inversion of the brightness of the preceding and succeeding lines and the brightness of that line being reversed. Further, when the image contains regular noise in spatial frequency, image processing was performed using a frequency filter.
[0033]
For the calculation of the RMS, "surface roughness analysis" of an offline function was used. The analysis range was adjusted to 1-4 μm2 so as not to pick up a specific shape (standard is 4 μm2 ). In the one-dimensional RMS, the roughness curve (see JIS B601) is sampled by a reference length in the direction of the average line, and the X axis is taken in the direction of the average line of the sampled portion, and the Y axis is taken in the direction of the longitudinal magnification. Sometimes, it refers to the standard deviation obtained as follows. Here, this was expanded to two dimensions and measured.
RMS = (Σ (Yi−Yave)2 / N)0.5
Yi: height of any measurement point, Yave: average height of all measurement points, N: number of measurement points. In the following examples, "parts" means "parts by weight".
[0034]
Example 1
10 parts of polysulfone (Udel-P3500, manufactured by Solvay) and 5 parts of polyvinylpyrrolidone (K90, weight average molecular weight: 1.2 million, manufactured by ISP) were added to 85 parts of dimethylacetamide and dissolved at room temperature to prepare a molding solution. This solution was cast on a hot plate to a thickness of 203 μm on a glass plate having a surface temperature of 100 ° C. The surface temperature was measured with a contact thermometer. After casting, the glass plate was left on a hot plate for 5 minutes to evaporate the solvent, and then immersed in a water bath together with the glass plate to obtain a transparent film (the film was immersed in a water bath so that the film could be easily peeled off from the glass plate). is there.). The number of platelets adhered to the obtained film was 12. The surface contact angle was 38 °. The RMS in the dry state was 1.6, the RMS in the wet state was 1.2, and the RWD was 0.7.
[0035]
Example 2
10 parts of polysulfone (Udel-P3500 manufactured by Solvay) and 10 parts of polyvinylpyrrolidone (K90 weight average molecular weight 1.2 million manufactured by ISP) were added to 80 parts of dimethylacetamide, and dissolved at room temperature to obtain a molding solution. A transparent film having a light transmittance of 90.3% was obtained in the same manner as in Example 1. The number of platelets adhered to the obtained film was 7. The surface contact angle was 35 °. The RMS in the dry state was 1.3, the RMS in the wet state was 2.7, and the RWD was 2.1.
[0036]
Comparative Example 1
10 parts of polysulfone (Udel-P3500 manufactured by Solvay) was added to 90 parts of dimethylacetamide, and a transparent film having a light transmittance of 88.9% was obtained in the same manner as in Example 1. The number of platelets adhered to the obtained film was 70. The surface contact angle was 82 °. The RMS in the dry state was 1.2, the RMS in the wet state was 0.6, and the RWD was 0.5.
[0037]
Comparative Example 2
10 parts of polysulfone (Udel-P3500 manufactured by Solvay) and 0.01 part of polyvinylpyrrolidone (K90 weight average molecular weight 1.2 million manufactured by ISP) were added to 90 parts of dimethylacetamide, and the light transmittance was 88.8 in the same manner as in Example 1. % Of a transparent film was obtained. The number of platelets adhered to the obtained film was 60. The surface contact angle was 74 °. The RMS in the dry state was 1.4, the RMS in the wet state was 0.6, and the RWD was 0.4.
[0038]
【The invention's effect】
According to the present invention, it is possible to provide a molded article in which adhesion of biological components such as platelets and proteins is reduced.

Claims (5)

Translated fromJapanese
乾燥状態の自乗平均粗さに対する湿潤状態での自乗平均粗さの比が0.6以上であることを特徴とする親水性物質含有成型体。A molded article containing a hydrophilic substance, wherein the ratio of the root mean square roughness in a wet state to the root mean square roughness in a dry state is 0.6 or more.前記比が1.5未満であることを特徴とする請求項1記載の親水性物質含有成型体。The said ratio is less than 1.5, The hydrophilic substance containing molded object of Claim 1 characterized by the above-mentioned.前記親水性物質が親水性ポリマーであることを特徴とする請求項1または2に記載の親水性物質含有成型体。The hydrophilic substance-containing molded article according to claim 1 or 2, wherein the hydrophilic substance is a hydrophilic polymer.前記親水性ポリマーがポリビニルピロリドンもしくはポリエチレングリコールであることを特徴とする請求項3記載の親水性物質含有成型体。4. The molded article according to claim 3, wherein the hydrophilic polymer is polyvinylpyrrolidone or polyethylene glycol.ポリスルホン系ポリマーを含むことを特徴とする請求項1〜4のいずれかに記載の親水性物質含有成型体。The hydrophilic substance-containing molded article according to any one of claims 1 to 4, further comprising a polysulfone-based polymer.
JP2003099699A2003-04-022003-04-02 Molded body containing hydrophilic substanceExpired - LifetimeJP4313596B2 (en)

Priority Applications (1)

Application NumberPriority DateFiling DateTitle
JP2003099699AJP4313596B2 (en)2003-04-022003-04-02 Molded body containing hydrophilic substance

Applications Claiming Priority (1)

Application NumberPriority DateFiling DateTitle
JP2003099699AJP4313596B2 (en)2003-04-022003-04-02 Molded body containing hydrophilic substance

Publications (2)

Publication NumberPublication Date
JP2004307567Atrue JP2004307567A (en)2004-11-04
JP4313596B2 JP4313596B2 (en)2009-08-12

Family

ID=33464064

Family Applications (1)

Application NumberTitlePriority DateFiling Date
JP2003099699AExpired - LifetimeJP4313596B2 (en)2003-04-022003-04-02 Molded body containing hydrophilic substance

Country Status (1)

CountryLink
JP (1)JP4313596B2 (en)

Cited By (1)

* Cited by examiner, † Cited by third party
Publication numberPriority datePublication dateAssigneeTitle
WO2018207565A1 (en)*2017-05-122018-11-15富士フイルム株式会社Separation substrate, cell separation filter and platelet producing method

Cited By (2)

* Cited by examiner, † Cited by third party
Publication numberPriority datePublication dateAssigneeTitle
WO2018207565A1 (en)*2017-05-122018-11-15富士フイルム株式会社Separation substrate, cell separation filter and platelet producing method
JPWO2018207565A1 (en)*2017-05-122020-02-27富士フイルム株式会社 Separation substrate, cell separation filter, and method for producing platelets

Also Published As

Publication numberPublication date
JP4313596B2 (en)2009-08-12

Similar Documents

PublicationPublication DateTitle
JP5434691B2 (en) Biological component separation membrane and method for producing biological component separation membrane
Ran et al.Biocompatibility of modified polyethersulfone membranes by blending an amphiphilic triblock co-polymer of poly (vinyl pyrrolidone)–b-poly (methyl methacrylate)–b-poly (vinyl pyrrolidone)
Hayama et al.How polysulfone dialysis membranes containing polyvinylpyrrolidone achieve excellent biocompatibility?
JP5464127B2 (en) Separation membrane, production method thereof, and separation membrane module using the separation membrane
RU2663747C2 (en)Hollow fiber membrane module and method for producing thereof
JP6036882B2 (en) Separation membrane, separation membrane module, method for producing separation membrane, and method for producing separation membrane module
KR100284911B1 (en) Hydrophilic materials and semipermeable membranes using the same
JPWO2002009857A1 (en) Modified hollow fiber membrane
Sezer et al.A design achieved by coaxial electrospinning of polysulfone and sulfonated polysulfone as a core-shell structure to optimize mechanical strength and hemocompatibility
KR20120088813A (en)Hydrophilic polymer compound having anticoagulation effect
RU2747972C2 (en)Separation membrane module
WO2007010961A1 (en)Modified base material and method for producing same
JP4313596B2 (en) Molded body containing hydrophilic substance
US20240408553A1 (en)Hollow fiber membrane, hollow fiber membrane module and vesicle-containing solution
JP5142445B2 (en) Polysulfone-based transparent resin-containing medical material and method for producing the same
JP6547518B2 (en) Hollow fiber membrane module and method for manufacturing the same
JP4338351B2 (en) Blood compatible material
JP2006124714A (en)Contamination resistant material and contamination resistant semipermeable membrane
JP2004059621A (en)Polysulfone-based hydrophilic film
JP4249286B2 (en) Medical material moldable from alcohol solvent and method for producing the same
JP2004248905A (en) Hollow fiber membrane for blood processing
JP2003290339A (en)Method of manufacturing hydrophilic aromatic polymeric shaped article
JP2006117713A (en) Antithrombotic polymer composition

Legal Events

DateCodeTitleDescription
A621Written request for application examination

Free format text:JAPANESE INTERMEDIATE CODE: A621

Effective date:20060303

A977Report on retrieval

Free format text:JAPANESE INTERMEDIATE CODE: A971007

Effective date:20080609

A131Notification of reasons for refusal

Free format text:JAPANESE INTERMEDIATE CODE: A131

Effective date:20080617

A521Request for written amendment filed

Free format text:JAPANESE INTERMEDIATE CODE: A523

Effective date:20080818

A02Decision of refusal

Free format text:JAPANESE INTERMEDIATE CODE: A02

Effective date:20080916

A521Request for written amendment filed

Free format text:JAPANESE INTERMEDIATE CODE: A523

Effective date:20081113

A521Request for written amendment filed

Free format text:JAPANESE INTERMEDIATE CODE: A821

Effective date:20081229

A911Transfer to examiner for re-examination before appeal (zenchi)

Free format text:JAPANESE INTERMEDIATE CODE: A911

Effective date:20090209

TRDDDecision of grant or rejection written
A01Written decision to grant a patent or to grant a registration (utility model)

Free format text:JAPANESE INTERMEDIATE CODE: A01

Effective date:20090428

A01Written decision to grant a patent or to grant a registration (utility model)

Free format text:JAPANESE INTERMEDIATE CODE: A01

A61First payment of annual fees (during grant procedure)

Free format text:JAPANESE INTERMEDIATE CODE: A61

Effective date:20090515

FPAYRenewal fee payment (event date is renewal date of database)

Free format text:PAYMENT UNTIL: 20120522

Year of fee payment:3

R150Certificate of patent or registration of utility model

Free format text:JAPANESE INTERMEDIATE CODE: R150

Ref document number:4313596

Country of ref document:JP

Free format text:JAPANESE INTERMEDIATE CODE: R150

FPAYRenewal fee payment (event date is renewal date of database)

Free format text:PAYMENT UNTIL: 20130522

Year of fee payment:4

R250Receipt of annual fees

Free format text:JAPANESE INTERMEDIATE CODE: R250

FPAYRenewal fee payment (event date is renewal date of database)

Free format text:PAYMENT UNTIL: 20140522

Year of fee payment:5

R250Receipt of annual fees

Free format text:JAPANESE INTERMEDIATE CODE: R250

R250Receipt of annual fees

Free format text:JAPANESE INTERMEDIATE CODE: R250

R250Receipt of annual fees

Free format text:JAPANESE INTERMEDIATE CODE: R250

R250Receipt of annual fees

Free format text:JAPANESE INTERMEDIATE CODE: R250

R250Receipt of annual fees

Free format text:JAPANESE INTERMEDIATE CODE: R250

R250Receipt of annual fees

Free format text:JAPANESE INTERMEDIATE CODE: R250

R250Receipt of annual fees

Free format text:JAPANESE INTERMEDIATE CODE: R250

R250Receipt of annual fees

Free format text:JAPANESE INTERMEDIATE CODE: R250

R250Receipt of annual fees

Free format text:JAPANESE INTERMEDIATE CODE: R250

R250Receipt of annual fees

Free format text:JAPANESE INTERMEDIATE CODE: R250

EXPYCancellation because of completion of term

[8]ページ先頭

©2009-2025 Movatter.jp