Movatterモバイル変換


[0]ホーム

URL:


FR2758866A1 - Metal structure vibration damper e.g. for use on a naval or civilian passenger ship - Google Patents

Metal structure vibration damper e.g. for use on a naval or civilian passenger ship
Download PDF

Info

Publication number
FR2758866A1
FR2758866A1FR9700840AFR9700840AFR2758866A1FR 2758866 A1FR2758866 A1FR 2758866A1FR 9700840 AFR9700840 AFR 9700840AFR 9700840 AFR9700840 AFR 9700840AFR 2758866 A1FR2758866 A1FR 2758866A1
Authority
FR
France
Prior art keywords
discs
alloy
holes
welded
moving
Prior art date
Legal status (The legal status is an assumption and is not a legal conclusion. Google has not performed a legal analysis and makes no representation as to the accuracy of the status listed.)
Granted
Application number
FR9700840A
Other languages
French (fr)
Other versions
FR2758866B1 (en
Inventor
Jacques Clausin
Current Assignee (The listed assignees may be inaccurate. Google has not performed a legal analysis and makes no representation or warranty as to the accuracy of the list.)
Individual
Original Assignee
Individual
Priority date (The priority date is an assumption and is not a legal conclusion. Google has not performed a legal analysis and makes no representation as to the accuracy of the date listed.)
Filing date
Publication date
Application filed by IndividualfiledCriticalIndividual
Priority to FR9700840ApriorityCriticalpatent/FR2758866B1/en
Publication of FR2758866A1publicationCriticalpatent/FR2758866A1/en
Application grantedgrantedCritical
Publication of FR2758866B1publicationCriticalpatent/FR2758866B1/en
Anticipated expirationlegal-statusCritical
Expired - Fee Relatedlegal-statusCriticalCurrent

Links

Classifications

Landscapes

Abstract

The vibration damper consists of two elastic discs (1, 2) of a metal alloy, fixed to a mobile heavy metal alloy weight (5) immersed in a bath (14) of a silicone damping fluid. The discs are immobilised by being welded to two alloy plates (8, 9) of the same material as the damped structure and to one or more cylindrical columns (7) of the same alloy to limit warping. The damper has two holes (10, 11) through which it is filled with the damping fluid, the holes being closed by balls (12, 13) with a force fit. In addition, the mobile weight has a shape which allows it to follow the deformations of the discs, which also act as silent dynamic stops.

Description

Translated fromFrench

La présente invention concerne les moyens d'atténuation des vibrations propres ou induites de structures provoquant des désagréments ou des inconvénients qu'il est nécessaire ou utile de supprimer. The present invention relates to means for attenuating the inherent or induced vibrations of structures causing inconvenience or inconvenience that it is necessary or useful to suppress.

Elle s'applique à la suppression des résonances de pièces massives mécaniquement contraintes et pour lesquelles une dégradation des caractéristiques mécaniques n'est pas envisageable. C'est le cas. en particulier, des hélices marines dont les vibrations des pales peuvent générer pour les bateaux militaires, un bruit rayonné dans l'eau facilement détectable et identifiable par un bateau ennemi ou pour les bateaux à usage civil, des bruits gênant le confort des passagers. It applies to the suppression of the resonances of mechanically stressed massive parts and for which a degradation of the mechanical characteristics is not conceivable. It's the case. in particular, marine propellers whose blade vibrations can generate for military boats, noise radiated in the water easily detectable and identifiable by an enemy boat or for boats for civilian use, noise impeding the comfort of passengers.

Actuellement les procédés de réduction des vibrations des pales d'hélice utilisent des étouffeurs de vibrations passifs monoaxe accordés sur la fréquence de vibration à supprimer, et amortis, constitués d'un assemblage d'alliage métallique et d'élastomère, l'élastomère apportant la souplesse nécessaire à l'accord à une fréquence donnée et l'amortissement pseudo newtonien nécessaire et insérés dans l'épaisseur de l'hélice, I'axe d'efficacité étant perpendiculaire au plan local de la pale considérée, et limitant ainsi localement les vibrations de flexion. At present, the methods for reducing the vibrations of the propeller blades use passive single-axis vibration dampers tuned to the vibration frequency to be suppressed, and damped, consisting of a metal alloy and elastomer assembly, the elastomer providing the flexibility necessary for the tuning at a given frequency and the necessary pseudo-Newtonian damping and inserted in the thickness of the helix, the efficiency axis being perpendicular to the local plane of the blade considered, and thus locally limiting the vibrations bending.

Ces étouffeurs présentent l'inconvénient d'amoindrir la rigidité de l'hélice et d'en réduire les performances de poussée. Par ailleurs, I'adoption d'élastomère à durée de vie limitée et aux caractéristiques variables avec la température rend le procédé onéreux, peu précis, et d'efficacité limitée, et il est donc nécessaire de procéder de temps en temps au changement des dispositifs usés. L'évolution temporelle des performances nécessite d'accroître les dimensions des étouffeurs, et donc provoquent l'affaiblissement des performances mécaniques de l'hélice. These strippers have the disadvantage of reducing the rigidity of the propeller and reduce the thrust performance. Furthermore, the adoption of elastomer with limited life and variable characteristics with temperature makes the process expensive, imprecise, and of limited effectiveness, and it is therefore necessary to proceed from time to time to change the devices. worn. The temporal evolution of the performances requires to increase the dimensions of the chokes, and thus cause the weakening of the mechanical performances of the propeller.

On pourrait obtenir un bon résultat supprimant ces inconvénients en utilisant le perfectionnement décrit dans le brevet N 90 15023 "Perfectionnement des amortisseurs dynamiques", mais cette disposition est trop encombrante pour l'application envisagée. A good result could be obtained by eliminating these drawbacks by using the improvement described in patent N 90 15023 "Improvement of dynamic dampers", but this arrangement is too bulky for the intended application.

Le procédé selon l'invention supprime ces inconvénients : L'hélice conserve en grande partie sa rigidité et des caractéristiques de poussée proches des caractéristiques initiales. Les dispositifs selon l'invention qui s'appliquent à toutes les structures soumises à des vibrations gênantes sont installés à vie et font partie intégrante de la structure. Leur efficacité est parfaitement calculable et maîtrisée, et ils sont donc plus petits et moins nombreux que les procédés actuels pour une même performance. The method according to the invention eliminates these drawbacks: The propeller retains for the most part its rigidity and thrust characteristics close to the initial characteristics. The devices according to the invention which apply to all structures subjected to annoying vibrations are installed for life and are an integral part of the structure. Their efficiency is perfectly calculable and controlled, and they are therefore smaller and less numerous than current processes for the same performance.

La figure 1 représente une coupe de l'étouffeur soudé à la structure. La figure 2 représente une vue en plan d'un disque ressort à fentes. La figure 3 représente l'étouffeur dont les masses mobiles arrivent en butée. Les figures 4, 5 et 6 représentent diverses structures. La figure 7 est une comparaison des contraintes supplémentaires apportées par les étouffeurs actuels et l'invention. Les figures 8 et 9 représentent une application avant et après usinage d'une structure équipée de l'invention. Figure 1 shows a section of the choke welded to the structure. Figure 2 shows a plan view of a slotted spring disc. Figure 3 shows the choke whose moving masses arrive in abutment. Figures 4, 5 and 6 show various structures. Fig. 7 is a comparison of the additional constraints provided by the present scavengers and the invention. Figures 8 and 9 show an application before and after machining of a structure equipped with the invention.

Le dispositif selon linvention consiste en l'asselllblage de 2 disques cylindriques fondant ressorts en alliage nétallique i haute résistance ( 1) et (2), pouvant se dtfOllllCr selon leur axe de symétrie ct de forme étudiée pour que letir dtfomlation génère des contraintes les plus uniformes, entaillées ou massives selon le domaine des fréquences à atténuer, de fines fentes (3), dont la courbure et le profil sont étudiés de façon à accroître la souplesse. Ils comportent à leur périphérie une zone torique plus épaisse (4) appelée par la suite épaulement dont l'utilité apparaîtra ultérieurement dans cette description. Ces disques, disposés selon le même axe, sont tous deux fixés par un moyen connu par exemple par brasure à une même masse en alliage ou compounds frittés de préférence de métaux lourds (5), de forme toroidale et dont la section radiale a une forme assurant le débattement maximal des 2 disques. Cette masse mobile a son axe de révolution confondu avec l'axe des 2 disques. Cette forme est définie de façon à ce que lorsqu'un des disques est déformé au maximum de sa course, il soit en contact sur la quasi totalité de sa surface regardant la surface correspondante de la masse mobile (Fig 3). The device according to the invention consists of the asselllblage 2 cylindrical discs melting springs of high strength (1) and (2) nétallique alloy, which can dtfllllllr according to their axis of symmetry ct form studied so that letir dtflation generates constraints most uniform, notched or massive according to the frequency range to be attenuated, fine slits (3), the curvature and profile are studied so as to increase the flexibility. They comprise at their periphery a thicker toric zone (4) subsequently called shoulder whose utility will appear later in this description. These disks, arranged along the same axis, are both fixed by means known for example by brazing to the same mass of alloy or sintered compounds preferably heavy metals (5), of toroidal shape and whose radial section has a shape ensuring the maximum movement of the 2 discs. This mobile mass has its axis of revolution coincident with the axis of the two disks. This shape is defined so that when one of the disks is deformed to the maximum of its stroke, it is in contact on almost all of its surface facing the corresponding surface of the moving mass (Fig 3).

L'ensemble mobile constitué des 2 disques et de la masse mobile comporte un ou plusieurs trous cylindriques d'axe parallèle à l'axe de symétrie général (6) et présente une fréquence de résonance calculée en fonction du domaine des fréquences de vibration à supprimer. The moving assembly consisting of the two disks and the moving mass comprises one or more cylindrical holes of axis parallel to the general axis of symmetry (6) and has a resonant frequency calculated according to the frequency domain vibration to delete .

Selon l'invention, ces trous sont occupés par des cylindres d'alliage (7) de diamètre plus petit, ceci afin de ménager un jeu entre les pièces mobiles et ces cylindres. Ils sont soudés rigidement par un procédé connu, par exemple par soudure sous vide par bombardement électronique sans apport de métal à 2 plaques cylindriques formant couvercles (8) et (9) ellesmêmes soudées ou brasées aux 2 épaulements des disques ressorts, eux-mêmes soudés ou brasés ensemble. Ces cylindres forment des raidisseurs anti flambement, lorsque ces étouffeurs font partie intégrante d'une structure (16) soumise à des efforts de flexion et leur matière est identique à la matière des plaques cylindriques (8) et (9), afin de supprimer toute corrosion électrochimique. According to the invention, these holes are occupied by alloy cylinders (7) of smaller diameter, in order to provide a clearance between the moving parts and these cylinders. They are rigidly welded by a known method, for example by vacuum welding by electron bombardment without adding metal to 2 cylindrical plates forming covers (8) and (9) themselves welded or brazed to the two shoulders of the spring disks, themselves welded. or soldered together. These cylinders form anti-buckling stiffeners, when these chokes are an integral part of a structure (16) subjected to bending forces and their material is identical to the material of the cylindrical plates (8) and (9), in order to remove any electrochemical corrosion.

Selon l'invention, un des couvercles comporte un ou 2 trous cylindriques de petit diamètre (10) et (il) obturés par une bille (l2) et (13) de même alliage emmanchée à force, après avoir empli l'espace vide séparant les pièces intérieures par un fluide silicone (14) qui présente l'avantage d'être peu dépendant de la température, et dont la viscosité a été déterminée en fonction de l'amortissement désiré. According to the invention, one of the covers comprises one or two small diameter cylindrical holes (10) and (II) closed by a ball (12) and (13) of the same alloy force-fitted, after having filled the empty space between the inner parts by a silicone fluid (14) which has the advantage of being slightly dependent on the temperature, and whose viscosity has been determined as a function of the desired damping.

Selon l'invention, lorsque les disques ressorts ne comportent pas de fente, les trous (6) ont un diamètre suffisamment grand pour que l'espace laissé libre entre ces trous (6) et les cylindres (7) assurent le laminage dudit fluide (14), associé aux formes étudiées décrites précédemment et visibles Fig 3, ce laminage a un effet d'amortissement non linéaire, très important lorsque une des plaques est presque en contact avec la masse mobile évitant ainsi le cognement du dispositif et se comportant comme des butées fluides silencieuses. Lorsque les disques ressorts comportent des fentes (3), I'ajustement des paramètres du laminage, c'est-à-dire l'ajustement de la viscosité du fluide et du jeu entre les trous (6) et les cylindres (7) tient compte de ces espaces de laminage supplémentaires. According to the invention, when the spring disks do not comprise a slot, the holes (6) have a sufficiently large diameter so that the space left free between these holes (6) and the rolls (7) ensure the rolling of said fluid ( 14), associated with the studied forms described previously and visible in FIG. 3, this rolling has a non-linear damping effect, which is very important when one of the plates is almost in contact with the moving mass, thus avoiding the knocking of the device and behaving like silent fluid stops. When the spring disks have slots (3), the adjustment of the rolling parameters, ie the adjustment of the viscosity of the fluid and the clearance between the holes (6) and the cylinders (7), account of these additional rolling spaces.

Les plaques cylindriques sont de mme matière ou d'une matière à structure cristallographique simililirc à la structure qu'il matit 'amortir (16) afin de supprimer toute corrosion électrochimique. Elles sont intinienient fixées 9 celle-ci par un procédé de soudure tel que la soudure par bombardement électronique de métal, avant remplissage des vides par le fluide amortisseur et contribuant ainsi à la rigidité de flexion de la structure. Ainsi cette disposition offre l'avantage de ne pas trop réduire les performances mécaniques générales de la structure, comme le montrent les Figures 4, 5 et 6 où sont comparés schématiquement le procédé selon l'invention et les procédés concurrents. The cylindrical plates are of the same material or of a material having a crystallographic structure similar to the structure that it dampens (16) in order to eliminate any electrochemical corrosion. They are intinienient fixed 9 it by a welding process such as welding by electron bombardment of metal, before filling voids by the damping fluid and thus contributing to the bending stiffness of the structure. Thus this arrangement offers the advantage of not reducing too much the general mechanical performance of the structure, as shown in Figures 4, 5 and 6 where are schematically compared the process according to the invention and the competing methods.

La figure 4 représente un tronçon de structure soumise à une flexion pure. La section soumise aux contraintes, hachurée a pour largeur Bo et hauteur h. Figure 4 shows a section of structure subjected to pure bending. The section subjected to the constraints, hatched has for width Bo and height h.

La figure 5 représente un tronçon de structure utilisant des dispositifs actuels : la section soumise aux contraintes de flexion est hachurée et a pour largeur réelle B I = Bo -1 - m - n; 1, m et n étant les longueurs des zones vides occupées par les dispositifs. FIG. 5 represents a structural section using current devices: the section subjected to the bending stresses is hatched and has for real width B I = Bo -1 - m - n; 1, m and n being the lengths of the empty zones occupied by the devices.

La figure 6 représente un tronçon de structure utilisant des dispositifs selon l'invention. La section soumise aux contraintes de flexion est hachurée. La largeur utile est d'une part Bl = Bo - I - m - n et la hauteur h, et les 6 zones de largeurs 1, m et n et comprises entre la hauteur hl et la hauteur h. Figure 6 shows a structural section using devices according to the invention. The section subjected to the bending stresses is hatched. The useful width is on the one hand Bl = Bo - I - m - n and the height h, and the 6 zones of widths 1, m and n and between the height hl and the height h.

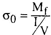
À l'origine pour la structure initiale, (Figure 4), la contrainte maximale est

Figure img00030001

avec I = moment d'inertie et V = h/2 soit donc
Figure img00030002

car I est égal à = BOh3
12
Dans le cas de la Figure 5, la contrainte maximale pour le même moment fléchissant mf est
#1 = Mf donc supéneurà do
Blh
Dans le cas de la Figure 6. la contrainte maximale est soit et. en posant hl = Bai = ssB()
Figure img00030003
Originally for the initial structure, (Figure 4), the maximum stress is
Figure img00030001

with I = moment of inertia and V = h / 2 so
Figure img00030002

because I equals = BOh3
12
In the case of Figure 5, the maximum stress for the same moment flexing mf is
# 1 = Mf therefore greater than do
Blh
In the case of Figure 6, the maximum stress is either and. by asking hl = Bai = ssB ()
Figure img00030003

Il vient at = ss
et - a(1 1-(1 p > cL2
Dans tous les cas, a2 est toujours inférieur à s1 comme le montrent les courbes de la figure 7 correspondant aux cotes B0, B I et h explicitées sur cette même figure. On y constate la
différence très appréciable entre l'augmentation de contrainte maximale apportée par le procédé actuel et celle apponée par le procédé selon l'invention.
He comes at = ss
and - a (1 1- (1 p> cL2
In all cases, a2 is always less than s1 as shown by the curves of FIG. 7 corresponding to the dimensions B0, BI and h explained in this same figure. It shows the
very significant difference between the maximum stress increase provided by the current process and that given by the method according to the invention.

L'invention comporte aussi, sans surcoût, les dispositions permettant l'immobilisation de la partie mobile. En effet, une fuite de liquide consécutif à une soudure poreuse, une rupture par fatigue d'un disque risquent de provoquer un bruit de cognement rendant la structure inutilisable car bruyante ce qui est particulièrement néfaste pour les bateaux militaires. The invention also includes, without additional cost, the provisions for immobilizing the moving part. Indeed, a liquid leak following a porous weld, a fatigue failure of a disc may cause knocking noise making the structure unusable because noisy which is particularly harmful for military boats.

L'identification de l'étouffeur détérioré s'effectue simplement par utilisation d'un mesureur d'écho à ultrason placé au point A Figure 1. La durée oscillatoire et la fréquence propre de l'écho enregistré correspondant au déplacement de la masse mobile étant caractéristique du comportement dynamique de l'amortisseur permet l'identification de l'amortisseur défectueux en mesurant cette forme d'ondes après avoir excité la structure par une impulsion, par exemple fournie par un maillet ou un marteau. Une fois identifiée, la masse est immobilisée par enfoncement à force, au marteau, de goupilles cylindriques dans les 2 trous (10) et (11), jusqu'au blocage définitif de l'équipage mobile. Cette opération dégrade légèrement les performances acoustiques de la structure, qui généralement comporte plusieurs étouffeurs, mais évite son rebut et a l'avantage de pouvoir être effectuée in situ. En particulier lorsque l'invention est appliquée aux hélices marines, cette opération peut s'effectuer en mer. The identification of the deteriorated choke is done simply by using an ultrasound echo meter placed at point A Figure 1. The oscillatory duration and the natural frequency of the recorded echo corresponding to the displacement of the moving mass being characteristic of the dynamic behavior of the damper allows the identification of the defective damper by measuring this waveform after having excited the structure by a pulse, for example provided by a mallet or a hammer. Once identified, the mass is immobilized by hammer force pressing of cylindrical pins in the 2 holes (10) and (11) until the final blocking of the moving assembly. This operation slightly degrades the acoustic performance of the structure, which generally comprises several chokes, but avoids its rejection and has the advantage of being able to be performed in situ. In particular when the invention is applied to marine propellers, this operation can be carried out at sea.

La dernière particularité de l'invention consiste en la possibilité d'usinage simultané de l'ensemble après soudure, ce qui est un très grand avantage lors de la réalisation d'hélices marines silencieuses nécessitant une grande précision géométrique et dont le profil hydrodynamique doit être parfaitement conforme aux dessins théoriques. The last feature of the invention consists in the possibility of simultaneous machining of the assembly after welding, which is a very great advantage when producing silent marine propellers requiring high geometric precision and whose hydrodynamic profile must be perfectly in accordance with the theoretical drawings.

La Figure 8 représente une coupe d'une structure qui peut être une pale d'hélice brute de coulée, avant usinage final, sur laquelle a été rapportée par soudure, par exemple par bombardement électronique (ou faisceau d'électrons) un étouffeur selon l'invention. FIG. 8 represents a section of a structure which may be a raw cast propeller blade, before final machining, to which has been reported by welding, for example by electron bombardment (or electron beam), a stripper according to FIG. 'invention.

La Figure 9 représente la même structure usinée aux cotes définitives. L'étouffeur n'apparaît alors plus, et n'est repéré que par les 2 petits trous (10) et (11) qui peuvent être si nécessaire colmatés avec une résine époxyde. Figure 9 shows the same structure machined to the final dimensions. The stripper then no longer appears, and is identified only by the 2 small holes (10) and (11) which can be if necessary clogged with an epoxy resin.

Selon l'invention, la partie plane des pièces mobiles (1) et (2) est utilisable pour contrôler l'état de fonctionnement du dispositif, et de même, la masse mobile (5) épouse la forme de la déformée des disques (1 > et (2) qui remplissent alors le rôle de butées dynamiques silencieuses agissant dans les 2 directions. According to the invention, the flat part of the moving parts (1) and (2) can be used to control the operating state of the device, and likewise the moving mass (5) conforms to the shape of the deformation of the disks (1). > and (2) which then fulfill the role of silent dynamic stops acting in 2 directions.

Claims (6)

Translated fromFrench
REVENDICATIONS 1) Dispositif étouffeur de vibrations caractérisé par ce qu'il comporte 2 disques élastiques (I) et (2) en alliage métallique fixés à une masse mobile en alliage de métal lourd (5) et baignant dans un fluide silicone amortisseur (14), les disques étant immobilisés par soudure à 2 plaques d'alliage (X) et (9) de même matière que celle de la structure à amortir, soudés à celle-ci et soudées à une ou plusieurs colonnes cylindriques (7) de même alliage destinées à limiter le flambement. 1) Vibration damping device characterized by that it comprises 2 elastic discs (I) and (2) of metal alloy fixed to a moving mass of heavy metal alloy (5) and bathed in a damping silicone fluid (14), the discs being immobilized by welding to two alloy plates (X) and (9) of the same material as that of the structure to be damped, welded thereto and welded to one or more cylindrical columns (7) of the same alloy intended to limit the buckling. 2) Dispositif selon la revendication 1 caractérisé par le fait qu'il comporte 2 trous de remplissage (10) et (11) du fluide amortisseur obturés par 2 billes (12) et (13) emmanchées à force. 2) Device according to claim 1 characterized in that it comprises 2 filling holes (10) and (11) damping fluid closed by two balls (12) and (13) force-fitted. 3) Dispositif selon la revendication 1 caractérisé par le fait que la partie plane des pièces mobiles (1) ou (2) est utilisable pour contrôler l'état de fonctionnement du dispositif et que les 2 trous (10) et (11) Sont utilisables pour immobiliser l'équipage mobile à l'aide de goupilles cylindriques emmanchées à force. 3) Device according to claim 1 characterized in that the flat part of the moving parts (1) or (2) is used to control the operating state of the device and that the two holes (10) and (11) are usable to immobilize the moving equipment with cylindrical pins force-fitted. 4) Dispositif selon la revendication 2 caractérisé par le fait que la masse mobile (5) a une forme telle qu'elle épouse la forme de la déformée des disques (1) et (2) qui remplissent alors le rôle de butées dynamiques silencieuses. 4) Device according to claim 2 characterized in that the movable mass (5) has a shape such that it matches the shape of the deformed discs (1) and (2) which then fulfill the role of silent dynamic stops. 5) Dispositif selon la revendication I caractérisé par le fait qu'il permet l'usinage simultané de l'ensemble après soudure assurant une grande précision géométrique. 5) Device according to claim I characterized in that it allows simultaneous machining of the assembly after welding ensuring high geometric accuracy. 6) Dispositif selon la revendication 1 caractérisé par le fait que l'absence d'alliages de natures chimiques différentes, associée à une soudure sans métal d'apport supprime la corrosion électrochimique en milieu salin. 6) Device according to claim 1 characterized in that the absence of alloys of different chemical natures, associated with a weld without filler metal removes electrochemical corrosion in salt media.
FR9700840A1997-01-271997-01-27 DEVICE FOR REDUCING VIBRATION OF A METAL STRUCTURE CONTRIBUTING TO THE STRENGTH OF THE STRUCTUREExpired - Fee RelatedFR2758866B1 (en)

Priority Applications (1)

Application NumberPriority DateFiling DateTitle
FR9700840AFR2758866B1 (en)1997-01-271997-01-27 DEVICE FOR REDUCING VIBRATION OF A METAL STRUCTURE CONTRIBUTING TO THE STRENGTH OF THE STRUCTURE

Applications Claiming Priority (1)

Application NumberPriority DateFiling DateTitle
FR9700840AFR2758866B1 (en)1997-01-271997-01-27 DEVICE FOR REDUCING VIBRATION OF A METAL STRUCTURE CONTRIBUTING TO THE STRENGTH OF THE STRUCTURE

Publications (2)

Publication NumberPublication Date
FR2758866A1true FR2758866A1 (en)1998-07-31
FR2758866B1 FR2758866B1 (en)1999-06-18

Family

ID=9502999

Family Applications (1)

Application NumberTitlePriority DateFiling Date
FR9700840AExpired - Fee RelatedFR2758866B1 (en)1997-01-271997-01-27 DEVICE FOR REDUCING VIBRATION OF A METAL STRUCTURE CONTRIBUTING TO THE STRENGTH OF THE STRUCTURE

Country Status (1)

CountryLink
FR (1)FR2758866B1 (en)

Cited By (2)

* Cited by examiner, † Cited by third party
Publication numberPriority datePublication dateAssigneeTitle
WO2014206542A1 (en)*2013-06-262014-12-31Aim Infrarot-Module GmbhCompensating oscillation device
WO2017157641A1 (en)*2016-03-162017-09-21Thyssenkrupp Marine Systems GmbhNatural frequency optimised propeller

Citations (14)

* Cited by examiner, † Cited by third party
Publication numberPriority datePublication dateAssigneeTitle
GB470545A (en)*1935-11-131937-08-17Louis Xavier AntelmeAn improved connection device serving as shock and vibration absorber
FR1050638A (en)*1951-02-081954-01-08Licentia Gmbh Compensator for mechanical oscillating systems that perform forced oscillations
GB763560A (en)*1954-11-231956-12-12Kelvin & Hughes LtdImprovements in or relating to spring suspension devices
US3075619A (en)*1961-02-061963-01-29Gen Dynamics CorpVibration suppressor
US3490556A (en)*1968-01-151970-01-20Mc Donnell Douglas CorpAircraft cabin noise reduction system with tuned vibration absorbers
DE2933726A1 (en)*1979-08-211981-03-26Fa. Carl Freudenberg, 69469 WeinheimVibration damper for machine part oscillating linear motion - has mass in viscoelastic liq., whose physical parameters meet specified equation
FR2490306A1 (en)*1980-09-181982-03-19Etu Rech Machine Outil CentreDynamic vibration damper for machine tool - has moving mass suspended in frame with hydraulic damper between them
JPS61228139A (en)*1985-03-291986-10-11Hitachi Zosen CorpVibration damping apparatus
JPS6392850A (en)*1986-10-031988-04-23Ishikawajima Harima Heavy Ind Co Ltd Vibration isolator
GB2208419A (en)*1987-04-281989-03-30Shimizu Construction Co LtdRestraining vibration of a structure
FR2669981A1 (en)*1990-11-301992-06-05Clausin Jacques IMPROVEMENT OF DYNAMIC SHOCK ABSORBERS.
DE4209625A1 (en)*1992-03-251993-09-30Isad Ingenieurbuero Gmbh FuerBearing for laboratory centrifuge - has vibration damper which is connected to housing by viscous fluid and to bearings by elastic element.
DE19524948A1 (en)*1994-07-301996-02-01Volkswagen AgAutomotive exhaust vibration damper
EP0727590A1 (en)*1995-02-151996-08-21Dr.Ing.h.c. F. Porsche AktiengesellschaftVibration absorber

Patent Citations (14)

* Cited by examiner, † Cited by third party
Publication numberPriority datePublication dateAssigneeTitle
GB470545A (en)*1935-11-131937-08-17Louis Xavier AntelmeAn improved connection device serving as shock and vibration absorber
FR1050638A (en)*1951-02-081954-01-08Licentia Gmbh Compensator for mechanical oscillating systems that perform forced oscillations
GB763560A (en)*1954-11-231956-12-12Kelvin & Hughes LtdImprovements in or relating to spring suspension devices
US3075619A (en)*1961-02-061963-01-29Gen Dynamics CorpVibration suppressor
US3490556A (en)*1968-01-151970-01-20Mc Donnell Douglas CorpAircraft cabin noise reduction system with tuned vibration absorbers
DE2933726A1 (en)*1979-08-211981-03-26Fa. Carl Freudenberg, 69469 WeinheimVibration damper for machine part oscillating linear motion - has mass in viscoelastic liq., whose physical parameters meet specified equation
FR2490306A1 (en)*1980-09-181982-03-19Etu Rech Machine Outil CentreDynamic vibration damper for machine tool - has moving mass suspended in frame with hydraulic damper between them
JPS61228139A (en)*1985-03-291986-10-11Hitachi Zosen CorpVibration damping apparatus
JPS6392850A (en)*1986-10-031988-04-23Ishikawajima Harima Heavy Ind Co Ltd Vibration isolator
GB2208419A (en)*1987-04-281989-03-30Shimizu Construction Co LtdRestraining vibration of a structure
FR2669981A1 (en)*1990-11-301992-06-05Clausin Jacques IMPROVEMENT OF DYNAMIC SHOCK ABSORBERS.
DE4209625A1 (en)*1992-03-251993-09-30Isad Ingenieurbuero Gmbh FuerBearing for laboratory centrifuge - has vibration damper which is connected to housing by viscous fluid and to bearings by elastic element.
DE19524948A1 (en)*1994-07-301996-02-01Volkswagen AgAutomotive exhaust vibration damper
EP0727590A1 (en)*1995-02-151996-08-21Dr.Ing.h.c. F. Porsche AktiengesellschaftVibration absorber

Non-Patent Citations (2)

* Cited by examiner, † Cited by third party
Title
PATENT ABSTRACTS OF JAPAN vol. 011, no. 071 (M - 567) 4 March 1987 (1987-03-04)*
PATENT ABSTRACTS OF JAPAN vol. 012, no. 325 (M - 737) 5 September 1988 (1988-09-05)*

Cited By (4)

* Cited by examiner, † Cited by third party
Publication numberPriority datePublication dateAssigneeTitle
WO2014206542A1 (en)*2013-06-262014-12-31Aim Infrarot-Module GmbhCompensating oscillation device
JP2016525203A (en)*2013-06-262016-08-22アーイーエム、インフラロート−モドゥーレ、ゲゼルシャフト、ミット、ベシュレンクテル、ハフツングAim Infrarot−Module Gmbh Compensated oscillator
US10190650B2 (en)2013-06-262019-01-29Aim Infrarot-Module GmbhCompensating oscillation device
WO2017157641A1 (en)*2016-03-162017-09-21Thyssenkrupp Marine Systems GmbhNatural frequency optimised propeller

Also Published As

Publication numberPublication date
FR2758866B1 (en)1999-06-18

Similar Documents

PublicationPublication DateTitle
EP2670536B1 (en)Low-frequency electro-acoustic transducer and method of generating acoustic waves
WO2020208323A1 (en)Metamaterial for vibration filtering, and insulating part made with said metamaterial
FR2715884A1 (en) Method and device for surface treatment and prestressing of the inner wall of a cavity
EP1045165B1 (en)Shock absorbing device and manufacturing process therefor
WO2016169834A1 (en)Muffler having a main casing and a partial casing, and method for manufacturing such a muffler
FR2758866A1 (en)Metal structure vibration damper e.g. for use on a naval or civilian passenger ship
EP3359308B1 (en)Broadband underwater acoustic transceiver device
WO1997011451A1 (en)Method for damping vibration and the pressure wave from a material
EP0870570B1 (en)Process of welding attachments onto a ram tube
EP2879129B1 (en)Acoustically insulating coating provided with resonators, panel provided with said coating, and aircraft
CA2934849C (en)Landing gear including a zinc-nickel contact wear resistant coating
EP3002635B1 (en)Method for producing a spring element for a clock movement or another precision instrument
CH708963A2 (en) Radiation optimized watch or music box keypad.
EP1371446B1 (en)Use helium/nitrogen gas mixtures in laser welding of abutted flanks
JP5212207B2 (en) Aluminum alloy composite
WO2019229310A1 (en)Vibrating torsion trap device
EP4263110B1 (en)System and method for treating material by laser shock under confinement in a liquid
FR2730467A1 (en)Method of damping vibrations in submerged hull of marine vessel
WO2003086957A1 (en)Method for the production of a microstructure comprising a vacuum cavity and microstructure
FR3113012A1 (en) Mechanical component with a controlled resistive torque
KR101838005B1 (en)Base Manufacturing Method for Vibration Reduction and Base for Vibration Reduction Manufactured by the Same
EP4543601A1 (en)Ultrasonic transducer for high-temperature application
CA2875441A1 (en)Structure for an underwater vehicle such as a submarine
EP1279844B1 (en)Rotary guiding device for a load
FR2633139A1 (en)Acoustic emission signal transducer

Legal Events

DateCodeTitleDescription
STNotification of lapse

Effective date:20081231


[8]ページ先頭

©2009-2025 Movatter.jp