Movatterモバイル変換


[0]ホーム

URL:


FR2638161A1 - New 2-benzoylimidazo[1,2-a]pyridine derivatives and their salts, process for their preparation, their application as medicaments and the pharmaceutical compositions containing them - Google Patents

New 2-benzoylimidazo[1,2-a]pyridine derivatives and their salts, process for their preparation, their application as medicaments and the pharmaceutical compositions containing them
Download PDF

Info

Publication number
FR2638161A1
FR2638161A1FR8813882AFR8813882AFR2638161A1FR 2638161 A1FR2638161 A1FR 2638161A1FR 8813882 AFR8813882 AFR 8813882AFR 8813882 AFR8813882 AFR 8813882AFR 2638161 A1FR2638161 A1FR 2638161A1
Authority
FR
France
Prior art keywords
acid
radical
pyridine
benzoyl
imidazo
Prior art date
Legal status (The legal status is an assumption and is not a legal conclusion. Google has not performed a legal analysis and makes no representation as to the accuracy of the status listed.)
Granted
Application number
FR8813882A
Other languages
French (fr)
Other versions
FR2638161B1 (en
Inventor
Alain Gueiffier
Jean-Claude Teulade
Colette Francois
Henry Viols
Alain Michel
Maurice Boucard
Jean-Pierre Chapat
Current Assignee (The listed assignees may be inaccurate. Google has not performed a legal analysis and makes no representation or warranty as to the accuracy of the list.)
Centre National de la Recherche Scientifique CNRS
Original Assignee
Centre National de la Recherche Scientifique CNRS
Priority date (The priority date is an assumption and is not a legal conclusion. Google has not performed a legal analysis and makes no representation as to the accuracy of the date listed.)
Filing date
Publication date
Application filed by Centre National de la Recherche Scientifique CNRSfiledCriticalCentre National de la Recherche Scientifique CNRS
Priority to FR8813882ApriorityCriticalpatent/FR2638161B1/en
Publication of FR2638161A1publicationCriticalpatent/FR2638161A1/en
Application grantedgrantedCritical
Publication of FR2638161B1publicationCriticalpatent/FR2638161B1/en
Anticipated expirationlegal-statusCritical
Expired - Lifetimelegal-statusCriticalCurrent

Links

Classifications

Landscapes

Abstract

Translated fromFrench

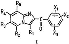
L'invention a pour objet des benzoyl-2 imidazo [1,2-a] pyridines répondant à la formule générale I suivante : (CF DESSIN DANS BOPI) dans laquelle X1 , X2 et X3 , sont -H, un halogène, -NR6 R7 , -NO2 , -CO2 H ou -CO2 R8 , -CCongN, un radical alkyle C1 -C5 , un radical alcoxy C1 -C5 , un radical alkylthio C1 -C5 , -CF3 , -OH, -CH2 OH, -O-C-R8 , -C-NR6 R7 , -CH2 -NR6 R7 , ou -NH-C-R8 ; -R1 à R5 sont -H, un halogène, -NO2 , -NO, un radical alkyle C1 -C5 , un radical alcoxy C1 -C5 , un radical alkylthio C1 -C5 , -NR6 R7 , -CF3 , un radical alcényle C1 -C5 , -CCong, -CO2 H ou -CO2 R8 , -C-NR6 R7 , -NH-C-R8 ; -R2 et R3 peuvent être reliés et représenter un radical alkylène linéaire C1 -C5 ; -R6 et R7 sont a) -H; b) un radical alkyle C1 -C5 , éventuellement substitué par un ou plusieurs halogènes, -OH, un radical amine portant un ou deux substituants alkyles C1 -C4 , un radical cycloalkyle C3 -C6 ; c) un radical phényle; -R8 représente soit un radical alkyle C1 -C5 , éventuellement substitué par un ou plusieurs halogènes, -OH, un radical amine portant deux substituants alkyles C1 -C4 ; et leurs sels d'addition avec des acides minéraux ou organiques. L'invention concerne également leur application à titre de médicaments et les compositions pharmaceutiques les renfermant.The subject of the invention is benzoyl-2 imidazo [1,2-a] pyridines corresponding to the following general formula I: (CF DRAWING IN BOPI) in which X1, X2 and X3 are -H, a halogen, -NR6 R7, -NO2, -CO2 H or -CO2 R8, -CCongN, a C1 -C5 alkyl radical, a C1 -C5 alkoxy radical, a C1 -C5 alkylthio radical, -CF3, -OH, -CH2 OH, -OC- R8, -C-NR6 R7, -CH2 -NR6 R7, or -NH-C-R8; -R1 to R5 are -H, a halogen, -NO2, -NO, a C1 -C5 alkyl radical, a C1 -C5 alkoxy radical, a C1 -C5 alkylthio radical, -NR6 R7, -CF3, an alkenyl C1 - radical C5, -CCong, -CO2 H or -CO2 R8, -C-NR6 R7, -NH-C-R8; -R2 and R3 may be linked and represent a linear C1 -C5 alkylene radical; -R6 and R7 are a) -H; b) a C1 -C5 alkyl radical, optionally substituted by one or more halogens, —OH, an amine radical bearing one or two C1 -C4 alkyl substituents, a C3 -C6 cycloalkyl radical; c) a phenyl radical; -R8 represents either a C1 -C5 alkyl radical, optionally substituted by one or more halogens, -OH, an amine radical bearing two C1 -C4 alkyl substituents; and their addition salts with mineral or organic acids. The invention also relates to their application as medicaments and to the pharmaceutical compositions containing them.

Description

Translated fromFrench

La présente invention concerne des benzoyl-2 imidazo [1,2] pyridines et leurs sels, ainsi que leur procédé de préparation, Elle concerne également l'aplication de ces composés à titre de médicament et les compositions pharmaceutiques les renfermant,
L'invention a pour objet des benzoyî-2 imidazo [1,2-a] pyridines répondant à la formule générale (I) suivante::

Figure img00010001

dans laquelle
- X1, X2 et X3, qui peuvent être identiques ou différents, sont choisis'parmi un atome d'hydrogéne, un atome d'halogène, un radical -NR6R?, -HO2, -C02H ou -C02R8, -CmN, un radical alkyle a chaine droite ou ratifiée ayant de 1 a 5 atomes de carbone, un radical alcoxy ayant de 1 a 5 atomes de carbone1 un radical alkylthio ayant de i å 5 atomes de carbone, -CF3, -OH, -CH20S,
Figure img00010002

-CH2-NR6R7,
Figure img00010003
The present invention relates to 2-benzoyl imidazo [1,2] pyridines and their salts, as well as to a process for their preparation. It also relates to the application of these compounds as a medicament and to the pharmaceutical compositions containing them.
The subject of the invention is 2-benzoyl imidazo [1,2-a] pyridines corresponding to the following general formula (I) ::
Figure img00010001

in which
X1, X2 and X3, which may be identical or different, are chosen from a hydrogen atom, a halogen atom, a radical -NR6R2, -HO2, -CO2H or -CO2R8, -CmN, a radical straight or branched chain alkyl having 1 to 5 carbon atoms, an alkoxy radical having 1 to 5 carbon atoms, an alkylthio radical having 1 to 5 carbon atoms, -CF 3, -OH, -CH 2 S,
Figure img00010002

CH2-NR6R7,
Figure img00010003

- R1 a R5, qui peuvent être identiques ou différente, sont choisis parmi un athome d'hidrogène,un athome d'halogène, -NO2, -HO, un radical alkyle à à chaine droite ou ramifiée ayant de la 5 atomes de carbone, un radical alcoxy ayant de 1 a s atomes de carbone, un radical alkylthio ayant de 1 à 5 atomes de carbone1 -NR8R7, -CF8, un radical alcényle ayant de i a 5 atomes de carbone, -C#N, -CO2H, -C02R8,

Figure img00010004
R1 to R5, which may be identical or different, are chosen from a hydrogen atom, a halogen atom, -NO2, -HO, a straight or branched chain alkyl radical having 5 carbon atoms, an alkoxy radical having 1 to 13 carbon atoms, an alkylthio radical having 1 to 5 carbon atoms -NR8R7, -CF8, an alkenyl radical having 5 carbon atoms, -C # N, -CO2H, -C02R8,
Figure img00010004

Figure img00010005
Figure img00010005

- R2 et R3 peuvent être reliés l'un à l'autre et représentent alors un radical alkylene linéaire ayant de 3 à 5 atomes de carbone;
- R6 et R7, qui peuvent être identiques ou différents, sont choisis parmi a) un atome d'hydrogène; b) un radical alkyle à chatne droite ou ramifiée ayant de 1 à 5 atomes de carbone, éventuellement substitué par un ou plusieurs atome d'halogène, un radical hydroxyle, un radical amine portant un ou deux substituants alkyles ayant de la 4 atomes de carbone, un radical cycloalkyle ayant de 3 à 6 atomes de carbone; c) un radical phényle;
-R8 représente soit un radical alkyle à chaîne droite ou ramifiée ayant de 1 a 5 atomes de carbone, éventuellement substitué par un ou plusieurs atomes d'halogène, un radical hydroxyle, un radical amine portant deux substituants alkyles ayant de 1 à 4 atomes de carbone, soit un radical phényle.
- R2 and R3 can be connected to each other and then represent a linear alkylene radical having 3 to 5 carbon atoms;
- R6 and R7, which may be the same or different, are selected from a) a hydrogen atom; b) a straight or branched chain alkyl radical having from 1 to 5 carbon atoms, optionally substituted with one or more halogen atoms, a hydroxyl radical, an amine radical carrying one or two alkyl substituents containing 4 carbon atoms, a cycloalkyl radical having 3 to 6 carbon atoms; c) a phenyl radical;
R 8 represents either a straight or branched chain alkyl radical having from 1 to 5 carbon atoms, optionally substituted by one or more halogen atoms, a hydroxyl radical, an amine radical carrying two alkyl substituents containing from 1 to 4 carbon atoms, carbon, a phenyl radical.

Des composés préférés selon la présente invention sont ceux qui répondent a la formule (1) dans laquelle l'un au moins parmi X1, X2 et X3 représente un atome d'hydrogène, un atome de chlore, un groupe nitro, un groupe aiaino ou un groupe méthyle, R1 représente -H, -NO, -NO2, -NH2, -Br ou -NH-COCH2Br, l'un au moins parmi R2, R3, R4 et R5 représente un atome d'hydrogène, -CH3, -Cl, -OCH3, -NH2 ou -NO2. Preferred compounds according to the present invention are those which correspond to the formula (1) in which at least one of X1, X2 and X3 represents a hydrogen atom, a chlorine atom, a nitro group, a group aiaino or a methyl group, R1 represents -H, -NO, -NO2, -NH2, -Br or -NH-COCH2Br, at least one of R2, R3, R4 and R5 represents a hydrogen atom, -CH3, - Cl, -OCH3, -NH2 or -NO2.

Pariai ces composés, on peut citer la benzoyl-2 imidazo [1,2-a] pyridine, la benzoyl-2 bromo-3 imidazo (1.2-a] pyridine, la [clhloro-4' benzoyl)-2 méthyl-8 imidazo[1,2-a] pyridine une (chloro benzoyl)-2 methyl-6 imidazo [1,2-a] pyridine, notamment la (chloro-4' benzoyl)-2 methyl-6 imidazo t1,2-al pyridine, la (chloro-2' nitro-5' benzoyl)-2 nitro-3 imidazo l,2-a3 pyridine. Among these compounds, mention may be made of 2-benzoyl imidazo [1,2-a] pyridine, 2-benzoyl-3-bromoimidazo [1,2-a] pyridine, [4-chloro-4-benzoyl] -methyl-8-imidazo [1,2-a] pyridine (2-chloro-benzoyl) -6-methylimidazo [1,2-a] pyridine, especially (4-chloro-benzoyl) -2-methylimidazo [1,2-al] pyridine, (2-chloro-5'-nitro-benzoyl) -2-nitro-3-imidazo [1,2-a] pyridine.

Un autre objet de la présente invention est une famille de sels obtenus par neutralisation des composés répondant a la formule générale (I) ci-dessus par un acide. Les acides convenant pour l'obtention de tels sels sont des acides minéraux ou-des acides organiques. Comme exemples d'acides minéraux, on peut citer les acides halohydriques tels que l'acide chlorhydrique, l'acide bromhydrique, l'acide iodbydrique, l'acide phosphorique, l'acide sulfurique.Comme exemples d'acides organiques, on peut citer les acides carboxyliques tels que l'acide acétique, l'acide maléique, l'acide succinique, l'acide citrique, l'acide tartrique, l'acide oxalique, l'acide malique, l'acide pivalique, l'acide heptanoique, l'acide laurique, l'acide salicylique, l'acide benzoïque, l'acide glutamique, l'acide lactique, et des acides non carboxyliques tels que l'acide iséthionique et l'acide méthanesulfonique. Another object of the present invention is a family of salts obtained by neutralization of the compounds corresponding to the general formula (I) above with an acid. Acids suitable for obtaining such salts are mineral acids or organic acids. Examples of inorganic acids that may be mentioned include hydrohalic acids such as hydrochloric acid, hydrobromic acid, hydrochloric acid, phosphoric acid and sulfuric acid. Examples of organic acids that may be mentioned include carboxylic acids such as acetic acid, maleic acid, succinic acid, citric acid, tartaric acid, oxalic acid, malic acid, pivalic acid, heptanoic acid, lauric acid, salicylic acid, benzoic acid, glutamic acid, lactic acid, and non-carboxylic acids such as isethionic acid and methanesulfonic acid.

Parmi ces sels, on utilise de préférence les sels halohydriques, et plus particulièrement les chlorhydrates, les sels de l'acide malique, plus particulièrement les :naléates acides, et les sels de l'acide méthanesulfonique, qui sont aisément accessibles. En outre, les sels de l'acide méthanesulfonique sont particulièrement préf érés en raison de la solubilisation intéressante qu'ils présentent. Among these salts, the hydrohalic salts, and more particularly the hydrochlorides, the salts of malic acid, more particularly the acidic aleatates, and the salts of methanesulphonic acid, which are easily accessible, are preferably used. In addition, the salts of methanesulfonic acid are particularly preferred because of the interesting solubilization they have.

Les composés (1) selon l'invention peuvent être préparés par condensation d'une amino-2 pyridine (II) avec une bromo-3 phlény-1 propanedione-1,2 (III) suivant le schéma réactionnel ci-dessous.

Figure img00030001
The compounds (1) according to the invention can be prepared by condensation of a 2-aminopyridine (II) with a 3-bromo-1-phlénypropanedione-1,2 (III) according to the reaction scheme below.
Figure img00030001

Les composés ( ou (III) sont des produits connus. La préparation de la bromo-3 phényl-1 propanedione-1,2 est décrite notamment dans Wegmann et Coll. Helv. Chim. Acta, 194ô, 29, 1947. The compounds (or (III) are known products.) The preparation of 3-bromo-1-phenyl-1,2-propanedione is described in particular in Wegmann et al Helv Chim Acta, 1946, 29, 1947.

L'une des variantes du procédé consiste 9 condenser l'amino-Z pyridine non substituée avec la bromo-3 phényle propanedione-112 non substituée, puis a effectuer sur le produit obtenu diverses réactions de substitution en vue d'obtenir le produit final souhaité. One of the variations of the process is to condense unsubstituted 2-amino-pyridine with 3-bromo-3-phenylpropanedione-112 unsubstituted, and then carry out various substitution reactions on the obtained product in order to obtain the desired final product. .

Une autre variante consiste a condenser des produits de départ portant au moins l'un des substituants souhaités sur le produit final. Another alternative is to condense starting materials carrying at least one of the desired substituents on the final product.

Une troisiène variante consiste a condenser des produits de départ portant des substituants intermédiaires différents de ceux souhaités pour le produit final, puis a effectuer sur le produit obtenu diverses réactions pour remplacer ou modifier les substituants intermediaires en vue d'obtenir le produit final souhaité. A third alternative is to condense starting materials having intermediate substituents different from those desired for the final product, and then to effect on the product obtained various reactions to replace or modify the intermediate substituents in order to obtain the desired end product.

Enfin, une combinaison de ces trois variantes peut être mise en oeuvre. Finally, a combination of these three variants can be implemented.

Comme exemple de substitution, on peut citer la nitrosation. De façon surprenante, la réaction du chlorure de nitrosyle dans un mélange acide acétique-anhydride acétique sur une benzoyl-2 imidazo [1,2-a] pyridine éventuellement substituée donne une nitrosation sur un carbone en position 3 sur le noyau hétérocyclique, alors qu'habituellement, la nitrosation effectuée a l'aide de chlorure de nitrosyle en milieu acétique fixe un groupe nitrosyle sur un atome d'azote. Ce procédé de nitrosation des benzoyl-2 imidazo (1,2-aJ pyridines constitue un autre objet de la présente invention. As an example of substitution, mention may be made of nitrosation. Surprisingly, the reaction of nitrosyl chloride in an acetic acid-acetic anhydride mixture on an optionally substituted benzoyl-2 imidazo [1,2-a] pyridine gives a nitrosation on a carbon in position 3 on the heterocyclic ring, while Usually, nitrosation with nitrosyl chloride in an acetic medium binds a nitrosyl group to a nitrogen atom. This method of nitrosation of 2-benzoyl imidazo (1,2-a) pyridines is another object of the present invention.

La nitration d'une benzoyl-2 imidazo [1,2-a] pyridine peut être effectuée a l'aide d'acide nitrique. Par exemple, la (nitro-3' benzoyl)-2 imidazo E1,2-aJ pyridine peut être obtenue par nitration du groupement phényle de la benzoyl-2 imidazo [1,2-a] pyridine & l'aide d'acide nitrique à 00C pendant 1 heure. En outre, la (nitro-3' benzoyl > -2 nitro-3 imidazo [1,2-a] pyridine peut être obtenue en effectuant la même réaction que ci-dessus, puis en portant le milieu réactionnel a 200C pendant 2 heures. The nitration of a 2-benzoyl imidazo [1,2-a] pyridine can be carried out using nitric acid. For example, (3-nitrobenzoyl) -2-imidazo E1,2-a pyridine can be obtained by nitration of the phenyl group of benzoyl-2 imidazo [1,2-a] pyridine using nitric acid. at 00C for 1 hour. In addition, (3-nitro-benzoyl) -2-nitro-3-imidazo [1,2-a] pyridine can be obtained by carrying out the same reaction as above, then bringing the reaction medium to 200C for 2 hours.

La bromation en position 3 sur le noyau hétérocyclique d'une benzoyl-2 imidazo 1,2-a] pyridine éventuellement substituée peut etre effectuée par action du brome dans l'acide acétique. The bromination at the 3-position on the heterocyclic ring of an optionally substituted benzoyl-2-imidazo-1,2-a] pyridine can be carried out by the action of bromine in acetic acid.

Diverses substitutions sur la partie pyridinique de l'hétérocycle d'une benzoyl-2 imidazo [1,2-a] pyridine peuvent être réalisées. Par exemple, par action d'un réactif nucleophile tel que le méthoxyde de sodium sur la chlaro-5 benzoyl-2 imidazo [1,2-a] pyridine, on obtient la méthoxy-5 benzoyl-2 imidazo [1,2-a] pyridine. Various substitutions on the pyridine part of the heterocycle of a 2-benzoyl imidazo [1,2-a] pyridine can be carried out. For example, by the action of a nucleophilic reagent such as sodium methoxide on 5-chloro-2-benzoylimidazo [1,2-a] pyridine, 5-methoxy-2-benzoylimidazo [1,2-a] is obtained. ] pyridine.

Les substituants ainsi obtenus peuvent être eux-memes modifiés. The substituents thus obtained may themselves be modified.

Par exemple, la réduction par Sn/HBr des benzoyl-2 imidazo tl,2-a) pyridines nitrosées ou nitrées conduit aux amines correspondantes, qui peuvent alors être acylées.For example, the reduction by Sn / HBr of the nitrosated or nitro-benzoyl-2 imidazo tl, 2-a) pyridines leads to the corresponding amines, which can then be acylated.

Les produits, objet de la présente invention, présentent des propriétés pharmacologiques intéressantes, notamment d'excellentes propriétés analgésiques et anti-inflammatoires. Ces propriétés sont décrites plus en détail dans la partie expérimentale. Ces proprietés permettent l'utilisation des nouvelles benzoyl-2 imidazo tî,2-al pyridines, ainsi que de leurs sels d'addition avec des acides pharmaceutiquement acceptables, a titre de médicaments. The products which are the subject of the present invention exhibit interesting pharmacological properties, in particular excellent analgesic and anti-inflammatory properties. These properties are described in more detail in the experimental section. These properties allow the use of the new 2-benzoyl imidazo, 2-al pyridines, as well as their addition salts with pharmaceutically acceptable acids, as medicaments.

L'invention a donc également pour objet l'application a titre de médicaments des composés répondant a la formule générale (f) et de leurs sels d'addition avec des acides pharmaceutiquement acceptables. The invention therefore also relates to the application as medicaments compounds corresponding to the general formula (f) and their addition salts with pharmaceutically acceptable acids.

Parmi les médicaments préférés de la présente invention, on peut citer les composés qui répondent à la formule (I) dans laquelle au noins l'un parmi X1, X2 et X3 représente un atome d'hydrogène, un atome de chlore, un groupe nitro, un groupe amino ou un groupe méthyle, R1 représente -H, -NO, -X02, -NH2, -Br ou -KH-COCH2Br, l'un au moins parmi
R2, R3, R4 et R5 représente un atome d'hydrogène, -CH3, -Cl, -oeH3, -NH2 ou -NO2, ainsi que leurs sels d'addition avec des acides pharmaceutiquement acceptables
Parmi ces composés, on préférera particulièrement la benzoyl-2 imidazo t1,2-al pyridine, la benzoyl-2 bromo-3 imidazo [1,2-a] pyridine, la (chloro-4' benzoyl > -2 méthyl-8 imidazo [1,2-a] pyridine, une (chloro benzoyl)-2 méthyl-6 imidazo [1,2-a] pyridine, notamment la (chloro-4' benzoyl)-2 méthyl-6 imidazo (1,2-a) pyridine, la (chloro-2' nitro-5' benzoyl)-2 nitro-3 imidazo [1,2a] pyridine.
Among the preferred medicaments of the present invention, there may be mentioned compounds which correspond to formula (I) in which at least one of X1, X2 and X3 represents a hydrogen atom, a chlorine atom or a nitro group. , an amino group or a methyl group, R1 represents -H, -NO, -X02, -NH2, -Br or -KH-COCH2Br, at least one of
R2, R3, R4 and R5 represent a hydrogen atom, -CH3, -Cl, -O3H3, -NH2 or -NO2, as well as their addition salts with pharmaceutically acceptable acids
Among these compounds, 2-benzoylimidazo [1,2-a] pyridine, 2-benzoyl-3-bromoimidazo [1,2-a] pyridine, 4-chloro-2-benzoyl-8-methylimidazo are particularly preferred. [1,2-a] pyridine, a (2-chloro-benzoyl) -6-methylimidazo [1,2-a] pyridine, especially (4-chloro-benzoyl) -2-methylimidazo (1,2-a) ) pyridine, (2-chloro-5'-nitro-benzoyl) -2-nitro-imidazo [1,2a] pyridine.

Ces médicaments peuvent être utilisés comme anti-inflammatoires bu comme antalgiques. These drugs can be used as anti-inflammatory drugs as analgesics.

La présente invention a également pour objet les compositions pharmaceutiques contenant une quantité thérapeutiquement efficace d'un ou plusieurs de ces composés, en combinaison avec un véhicule pharmaceutique. The present invention also relates to pharmaceutical compositions containing a therapeutically effective amount of one or more of these compounds, in combination with a pharmaceutical carrier.

Les compositions pharmaceutiques selon l'invention peuvent se présenter sous les diverses formes assurant leur absorption par voie orale, rectale, parenthérale, transdermique et transmuqueuse. Elles peuvent se présenter par exemple sous forme de comprimés, de gélules, de suppositoires, de solutions ou suspensions buvables ou injectables, de pommades. The pharmaceutical compositions according to the invention can be in various forms ensuring their absorption orally, rectally, parenterally, transdermally and transmucosally. They may be, for example, in the form of tablets, capsules, suppositories, solutions or suspensions drinkable or injectable, ointments.

On a déterminé les propriétés anti-inflammatoires et analgésiques des composés selon l'invention. The anti-inflammatory and analgesic properties of the compounds according to the invention were determined.

On a également vérifié l'absence d'activité ulcérigene desdits composés. The absence of ulcerogenic activity of said compounds was also verified.

Par ailleurs, on a déterminé la toxicité aiguë des composés selon l'invention, et la dose létale DL 50. Furthermore, the acute toxicity of the compounds according to the invention and the lethal dose LD 50 were determined.

Les exemples suivant illustrent l'invention de façon non limitative. Pour tous les composés préparés, la température de fusion a été déterminée et la structure a été confirmée par les spectres de résonance magnétique nucléaire (RMF) Dans les données RKN, les abréviations suivantes ont été utilisées: s (singulet), d (doublet), t Ctriplet), dd (doublet de doublet), ps.t (pseudo triplet), m (multiplet). The following examples illustrate the invention in a nonlimiting manner. For all the compounds prepared, the melting temperature was determined and the structure was confirmed by nuclear magnetic resonance (MRF) spectra. In the RKN data, the following abbreviations were used: s (singlet), d (doublet) , t Ctriplet), dd (doublet of doublet), ps.t (pseudo triplet), m (multiplet).

EXEMPLE 1
Benzovl-2 imidazo tl.2-a) pyridine
A une solution de 1,48 g d'amino-2 pyridine dissous dans 60 cm3 d'éthanol ont été ajoutés 3 g de bromo-3 phényl-1 propanedione dissous dans 40 m3 d'éthanol. Le mélange a été porté a reflux pendant 2 heures.
EXAMPLE 1
Benzovl-2 imidazo tl.2-a) pyridine
To a solution of 1.48 g of 2-aminopyridine dissolved in 60 cm3 of ethanol was added 3 g of 3-bromo-1-phenylpropanedione dissolved in 40 m 3 of ethanol. The mixture was refluxed for 2 hours.

Apres refroidissement, la solution a été concentrée, et le.résidu versé sur un mélange eau-glace, puis neutralisé avec du carbonate de sodium. After cooling, the solution was concentrated and the residue poured onto ice-water and then neutralized with sodium carbonate.

Après extraction par du dichlormethane, la solution organique a été séchée, concentrée sous pression réduite et purifiée par chromatographie (alumine neutre/CH2Cl12). On a obtenu la benzoyl-2 imidazo [1,2-a] pyridine présentant un point de fusion F = 116-118 C.After extraction with dichlormethane, the organic solution was dried, concentrated under reduced pressure and purified by chromatography (neutral alumina / CH 2 Cl 2). 2-Benzoyl imidazo [1,2-a] pyridine having a melting point F = 116-118 ° C. was obtained.

RMN: (CDCl3) #: 0,97(ps,t,H), l7,l40(ps.t,H-7), 7,46-7,63 (m,H3',4',5'), 7,87(d,H6), 8,25-8,52(m,H-2',6'), 8,33(dd,H-5)et 8,37(s,H-3). NMR: (CDCl 3) δ: 0.97 (ps, t, H), 17.140 (p.t, H-7), 7.46-7.63 (m, H 3, 4 ', 5') , 7.87 (d, H6), 8.25-8.52 (m, H-2 ', 6'), 8.33 (dd, H-5) and 8.37 (s, H-3) .

EXEXPLE 2
(Chloro-2'benzoyl)-2 imidazo[1.2-a] pyridine
A une solution de 12,3 g d'amino-2-pyrydine dissous dans 300 cm3 d'éthanol ont été ajoutés 35,8 g de bromo-3 (chloro-2 phényl)- propanedione dissous dans 150 cm3 d'éthanol. Le mélange a été port a reflux pendant 2 heures. Après refroidissement, la solution a été concentrée, et le résidu versé sur un mélange eau-glace, puis neutralisé avec du carbonate de sodium. Après extraction par du dichlorométhane, la solution organique a été séchée, concentréé sous pression réduite et purifiée par chromatographie (alumine neutre/CH2Cl2). On a obtenu la (chloro-2' benzoyl)-2 imidazo [1,2-a] pyridine présentant un point de fusion F = 109-171 C.
EXEXPLE 2
(Chloro-2'benzoyl) -2 imidazo [1.2-a] pyridine
To a solution of 12.3 g of amino-2-pyrydine dissolved in 300 cm3 of ethanol was added 35.8 g of 3-bromo (2-chlorophenyl) propanedione dissolved in 150 cm3 of ethanol. The mixture was refluxed for 2 hours. After cooling, the solution was concentrated and the residue poured onto ice-water and then neutralized with sodium carbonate. After extraction with dichloromethane, the organic solution was dried, concentrated under reduced pressure and purified by chromatography (neutral alumina / CH 2 Cl 2). 2- (2-chloro-benzoyl) imidazo [1,2-a] pyridine having a melting point of F = 109-171 ° C. was obtained.

RMN:(CDCl3) #: =0,97(ps,t,H-6), 7.38(ps.t,H-7), 7,47-7,90 (m,H-8,3',4',5'), 7,55(s,H-3), 8,23-8,35(m,H-5,6'). NMR: (CDCl 3) δ = 0.97 (ps, t, H-6), 7.38 (p.t, H-7), 7.47-7.90 (m, H-8.3 ', 4). ', 5'), 7.55 (s, H-3), 8.23-8.35 (m, H-5.6 ').

EXEMPLE 3
(CHhloro-4' benzoyl)-2 imidazo[1,2-a]pyridine
A une solution de 6,9 g d'amino-2-pyridine dissous dans 200 cm3 d'éthanol ont été ajoutés 22,9 g de bromo-3 (Chloro-4' phényl)-1 propanedione dissous dans 150 cm3 d'éthanol. Le mélange a été porté a reflux pendant 2 heures. Après refroidissement, la solution - a été concentrée, et le résidu versé sur un mélange eau-glace, puis neutralisé avec du carbonate de sodium. Après extraction par du dichlorométhane, la solution organique a été séchée, concentrée sous pression réduite et purifiée par chromatographie (alumine neutre/CH2Cl2 > . On a obtenu la (chloro-4' benzoyl)-2 imidazo [1,2-a] pyridine présentant un point de fusion F = 114-1160C.
EXAMPLE 3
(4-chloro-benzoyl) -2-imidazo [1,2-a] pyridine
To a solution of 6.9 g of amino-2-pyridine dissolved in 200 cm3 of ethanol was added 22.9 g of bromo-3 (chloro-4-phenyl) -1 propanedione dissolved in 150 cm3 of ethanol. . The mixture was refluxed for 2 hours. After cooling, the solution was concentrated, and the residue poured onto ice-water and then neutralized with sodium carbonate. After extraction with dichloromethane, the organic solution was dried, concentrated under reduced pressure and purified by chromatography (neutral alumina / CH 2 Cl 2) to give 4- (4-chloro-benzoyl) imidazo [1,2-a] pyridine. having a melting point F = 114-1160C.

RMN:(CDCl3) #:7,00(ps, t,H-6), 7,40(ps.t,H-7), 7,63(d,H-3',5') 7,87(d,H-8), 8,33(dd,H-5), 8,55(d,H-2',6'). NMR: (CDCl 3) δ: 7.00 (ps, t, H-6), 7.40 (p.t, H-7), 7.63 (d, H-3 ', 5') 7.87 (d, H-8), 8.33 (dd, H-5), 8.55 (d, H-2 ', 6').

EXEMPLE 4
Chloro-5(chloro-4' benzoyl)-2 imidazo [1,2-]pyridine
A une solution de 1,48 g d'amino-2 chloro-6 pyridine dissous dans 60 cm3 d'éthanol ont été ajoutés 3 g de bromo-3 (chloro-4' phényl > -1 propanedione dissous dans 40 cm3 d'éthanol. Le mélange a été porté à reflux pendant 8 heures. Après refrodisement, la solution a été concentrée, et le résidu versé sur un mélange eau-glace, puis neutralisé avec du carbonate de sodium. Apres extraction par du dichloromléthane, la solution organique a été séchée, concentrée sous pression réduite et purifiée par chromatographie (alumine neutre/CH2Gl2). On a obtenu la chloro-5 (chloro-4' benzoyl)-2 imidazo Lî,2-a) pyridine présentant un point de fusion F = 141-145 C.
EXAMPLE 4
Chloro-5 (4-chloro-benzoyl) -2-imidazo [1,2-] pyridine
To a solution of 1.48 g of 2-amino-6-chloropyridine dissolved in 60 cm 3 of ethanol were added 3 g of 3-bromo-4-chlorophenyl-1-propanedione dissolved in 40 cm 3 of ethanol. The mixture was refluxed for 8 hours and after cooling, the solution was concentrated and the residue poured onto ice-water and then neutralized with sodium carbonate, and after extraction with dichloromethane, the organic solution was stirred. dried, concentrated under reduced pressure and purified by chromatography (neutral alumina / CH2G12) to give 5-chloro-4- (4-chloro-benzoyl) imidazo [1,2-a] pyridine having a melting point F = 141 -145 C.

RFM:(CDCl3) #:7,05(dd,H6), 7,35(dd,H-7), 7,56(d,H-3',5'), 7,76 (d,H-8), 8k,50(d,H-2', 6'), 8,56(m,H-3). RFM: (CDCl 3) δ: 7.05 (dd, H 6), 7.35 (dd, H-7), 7.56 (d, H-3 ', 5'), 7.76 (d, H); 8), 8k, 50 (d, H-2 ', 6'), 8.56 (m, H-3).

EXEMPLE 5
Chloro-6 (chloro-4' benzovl)-2 imidazo [1,2-a] pyridine
A une solution de 1,5 g d'amino-2 chloro-5 pyridine dissous dans 60 cm3 d'éthanol ont été ajoutas 3 g de bromo-3 (chloro-4' phényl)-1 propanedione dissous dans 40 cm3 d'éthanol. Le mélange a été porté à reflux pendant 8 heures. Après refroidissement, la solution a été concentrée, et le résidu versé sur un mélange eau-glace, puis neutralisé avec du carbonate de sodium. Après extraction par du dichlorométhane, la solution organique a été séchée, concentrée sous pression réduite et purifiée par chromatographie (alumine neutre/CH2Cl2). On a obtenu la chloro-6 (chloro-4' benzoyl)-2 imidazo [1,2-a] pyridine présentant un point de fusion F = 193-195 C.
EXAMPLE 5
Chloro-6 (4-chloro-benzyl) -2-imidazo [1,2-a] pyridine
To a solution of 1.5 g of 2-amino-5-chloropyridine dissolved in 60 cm3 of ethanol was added 3 g of 3-bromo-3- (4-chlorophenyl) propanedione dissolved in 40 cm3 of ethanol. . The mixture was refluxed for 8 hours. After cooling, the solution was concentrated and the residue poured onto ice-water and then neutralized with sodium carbonate. After extraction with dichloromethane, the organic solution was dried, concentrated under reduced pressure and purified by chromatography (neutral alumina / CH 2 Cl 2). 6-Chloro-4- (4-chloro-benzoyl) imidazo [1,2-a] pyridine having a melting point F = 193-195 ° C. was obtained.

RMN:(CDCl3) #:7,4(m,H-7,8,3',5'). 8,40(m,H-3,5), 8,53 (d,H-2',6'). NMR: (CDCl 3): 7.4 (m, H-7.8,8 ', 5'). 8.40 (m, H-3.5), 8.53 (d, H-2 ', 6').

EXEMPLE 6
< Chloro-4' benzovl)-2 dimethvl-5.7 imidazo [1.2-a] pyridine
A une solution de 1,4 g d'amino-2 diméthyl-4,6 pyridine dissous dans 50 cm3 d'ethanol ont été ajoutés goutte a goutte 3 g de bromo-3 (chloro-4' phényl)-1 propanedione dissous dans 40 cm3 d'éthanol. Le mélange a été porté 9 reflux pendant 8 heures. Après refrodisement, la solution a été concentrée, et le résidu versé sur un mélange eau-glace, puis neutralisé avec du carbonate de sodium.Après extraction par du dichlorométhane, la solution organique a été séchée, concentrée sous pression réduite et purifiée par chromatographie (alumine neutre/CH2Cl2). On a obtenu la (chloro-4' benzoyl)-2 dimethyl-5,7 imidazo 11,2-al pyridine présentant un point de fusion F = 76-78l C.
EXAMPLE 6
<Chloro-4 'benzovl) -2-dimethvl-5.7 imidazo [1.2-a] pyridine
To a solution of 1.4 g of 2-amino-4,6-dimethylpyridine dissolved in 50 cm3 of ethanol was added dropwise 3 g of bromo-3 (chloro-4-phenyl) -1 propanedione dissolved in 40 cm3 of ethanol. The mixture was refluxed for 8 hours. After cooling, the solution was concentrated, and the residue poured on a water-ice mixture and then neutralized with sodium carbonate. After extraction with dichloromethane, the organic solution was dried, concentrated under reduced pressure and purified by chromatography ( neutral alumina / CH2Cl2). There was obtained (4-chloro-benzoyl) -5,5-dimethyl-imidazo-11,2-al pyridine having a melting point F = 76-781 C.

RMN: (CDCl3) #:6,50((s,H-6), 7,33(s,H-8), 7,50(d,H-3',5'), 8,16 (s,H-3), 8,50(d,H-2',6'). NMR: (CDCl 3) δ: 6.50 ((s, H-6), 7.33 (s, H-8), 7.50 (d, H-3 ', 5'), 8.16 (s). H-3), 8.50 (d, H-2 ', 6').

EXEMPLE 7
(Chloro-4' benzoyl)-2 méthyl-5 imido [1,2-a] pyridine
A une solution de 2,5 g d'amino-2 picoline-6 dissous dans 100 cm3 d'éthanol ont été ajoutés goutte a goutte 9,08 g de bromo-3 (chloro-4' phényl)-1 propanedione dissous dans 20 cm3 d'éthanol. Le mélange a été porté à reflux pendant 8 heures. Après refroidissement, la solution a été concentrée, et le résidu versé sur un mélange eau-glace, puis neutralisé avec du carbonate de sodium. Après extraction par du diclorméthane, la solution organique a été séchée, concentrée sous pression réduite et purifiée par chromatographie (alumine neutro/CH2Cl12). On a obtenu la (chloro-4' benzoyl)-2 méthyl-5 imidazo 11,2-al pyridine présentant un point de fusion F = 129-1310C.
EXAMPLE 7
(4-chloro-benzoyl) -2-methyl-imido [1,2-a] pyridine
To a solution of 2.5 g of 2-amino-6-picoline dissolved in 100 cm3 of ethanol was added dropwise 9.08 g of bromo-3 (chloro-4-phenyl) -1-propanedione dissolved in 20 ml. cm3 of ethanol. The mixture was refluxed for 8 hours. After cooling, the solution was concentrated and the residue poured onto ice-water and then neutralized with sodium carbonate. After extraction with diclormethane, the organic solution was dried, concentrated under reduced pressure and purified by chromatography (neutral alumina / CH 2 Cl 2). There was obtained (4-chloro-benzoyl) -5-methylimidazo-11,2-alpyridine having a melting point F = 129-13 ° C.

RMN:(CDCl3) #:2.60(s,CH3), 6,70(dd,H-6), 7,27(t,H-7), 7,50 (d,H-3',5'), 7,67(dd,H-8), 8,23Cs,H-3), 8,47(d,H-2',6'). NMR: (CDCl 3):: 2.60 (s, CH 3), 6.70 (dd, H-6), 7.27 (t, H-7), 7.50 (d, H-3 ', 5'). , 7.67 (dd, H-8), 8.23Cs, H-3), 8.47 (d, H-2 ', 6').

EXEMPLE 8
(Chloro-4'benzoyl)-2 méthyl-6 imidazo[1,2-a] lpyridine
A une solution de 2,5 g d'amino-2 picoline-5 dissous dans 100 cm3 d'éthanol ont été ajoutés goutte a goutte 9,09 g de bromo-3 (chloro-4' phényl)-l propanedione dissous dans 20 cm3 d'éthanol. Le mélange a été porté a reflux pendant 8 heures. Après refroidissement, la solution a -été concentrée, et le résidu versé sur un mélange eau-glace, puis neutralisé avec du carbonate de sodium Apres extraction par du
Ldichlormléthyne,l la solution organique a été séchée, concentrée sous pression réduite et purifiée par chromatographie < alumine neutre/CH2Cl2). On a obtenu la (chloro-4' benzoyl)-2 méthyl-6 imidazo [1,2-a] pyridine présentant un point de fusion F = 176-178 C.
EXAMPLE 8
(Chloro-4'-benzoyl) -2-methyl-6-imidazo [1,2-a] pyridine
To a solution of 2.5 g of 2-amino-5-picoline dissolved in 100 cm3 of ethanol was added dropwise 9.09 g of bromo-3 (4-chlorophenyl) -1 propanedione dissolved in 20 ml of ethanol. cm3 of ethanol. The mixture was refluxed for 8 hours. After cooling, the solution was concentrated and the residue poured onto ice-water and then neutralized with sodium carbonate.
The organic solution was dried, concentrated under reduced pressure and purified by chromatography (neutral alumina / CH.sub.2 Cl.sub.2). 2- (4-chloro-benzoyl) -6-methylimidazo [1,2-a] pyridine having a melting point F = 176-178 ° C. was obtained.

RMN: (CDCl3) #:2,35(s,CH3), 7,17(dd,H-7), 7,55(d,H3',5'),7,67 (dd,H-8), 8,03(s,H-5), 8,23(s,H-3), 8,48(d,H-2',6'). NMR: (CDCl 3) υ: 2.35 (s, CH 3), 7.17 (dd, H-7), 7.55 (d, H 3, 5 '), 7.67 (dd, H-8) , 8.03 (s, H-5), 8.23 (s, H-3), 8.48 (d, H-2 ', 6').

EXEMPLE 9
(Cbloro-4' benzoyl)-2 méthvl-7 imidazo [1,2-a]pyridine
A une solution de 2,5 g d'amino-2 picoline-4 dissous dans 100 cm3 d'éthanol ont été ajoutés goutte a goutte 7,3 g de bromo-3 (chloro-4' phényl)-l propanedione dissous dans 20 cm3 d'éthanol. Le mélange a été porté a reflux pendant 8 heures. Après refroidissement, la solution a été concentrée, et le résidu versé sur un mélange eau-glace, puis neutralisé avec du carbonate de sodium.Après extraction par du dichlorométhane, la solution organique a été séchée, concentrée sous pression réduite et purifiée par -chro:natographie (alumine neutre/CH2Cl2). On a obtenu la (chloro-4' benzoyl)-2 méthyl-7 imidazo [1,2-a] pyridine présentant un point de fusion F = 161-1630C.
EXAMPLE 9
(4-Cbloro-benzoyl) -2-methyl-7-imidazo [1,2-a] pyridine
To a solution of 2.5 g of 2-amino-4-picoline dissolved in 100 cm3 of ethanol was added dropwise 7.3 g of bromo-3 (4-chloro-phenyl) -1 propanedione dissolved in 20 ml. cm3 of ethanol. The mixture was refluxed for 8 hours. After cooling, the solution was concentrated, and the residue poured onto ice-water and then neutralized with sodium carbonate. After extraction with dichloromethane, the organic solution was dried, concentrated under reduced pressure and purified by -chro : natography (neutral alumina / CH2Cl2). There was obtained (4-chloro-benzoyl) -7-methyl-imidazo [1,2-a] pyridine having a melting point F = 161-16 ° C.

RKN: (CDCl3)#: 2,40(s,CH3), 6,70(dd,H-6), 7,43(s,H-8), 7,50 (d,H-3',5'), 8,08(d,H-5), 8,40(d,H-2',6'). RKN: (CDCl 3) υ: 2.40 (s, CH 3), 6.70 (dd, H-6), 7.43 (s, H-8), 7.50 (d, H-3 ', 8.08 (d, H-5), 8.40 (d, H-2 ', 6').

EXEMPLE 10
(Chloro-4L' benzoyl)-2méthyll-8 imidazo [1,2-a] pyridine
A une solution de 2,5 g d1amino-2 picoline-3 dissous dans 100 cm3 d'éthanol ont été ajoutés goutte à goutte 9,08 g de bromo-3 (chloro-4' phényl)-1 propanedione dissous dans 20 cm3 d'éthanol. Le mélange a été porté à reflux pendant 8 heures. Après refroidissement, la solution a été concentrée, et le résidu versé sur un mélange eau-glace, puis neutralisé avec du carbonate de sodium. Après extraction par du dichlorométhane, la solution organique a été séchée, concentrée sous pression réduite et purifiée par chromatographie (alumine neutre/CH2C12).On a obtenu la (chloro-4' benzoyl)-2 méthyl-8 imidazo [1,2-a] pyridine présentant un point de fusion F = 154-150 C
RMN: (CDCl3)#: 2,57(s,CH3), 6,83(t,H-6), 7,13(dd,H-7), 7,55 (d,H-3',5'), 8,12(dd,H-5), 8,40(d,H-2',6'), 6,63(m,H-3).
EXAMPLE 10
(4-chloro-benzoyl) -2-methyl-8-imidazo [1,2-a] pyridine
To a solution of 2.5 g of 2-amino-picoline-3 dissolved in 100 cm3 of ethanol was added dropwise 9.08 g of bromo-3 (chloro-4-phenyl) -1-propanedione dissolved in 20 cm3 d ethanol. The mixture was refluxed for 8 hours. After cooling, the solution was concentrated and the residue poured onto ice-water and then neutralized with sodium carbonate. After extraction with dichloromethane, the organic solution was dried, concentrated under reduced pressure and purified by chromatography (neutral alumina / CH 2 Cl 2). (4-chloro-benzoyl) -methyl-8-imidazo [1,2-dichloromethane] a] pyridine having a melting point F = 154-150 ° C
NMR: (CDCl 3) δ: 2.57 (s, CH 3), 6.83 (t, H-6), 7.13 (dd, H-7), 7.55 (d, H-3 ', 8.12 (dd, H-5), 8.40 (d, H-2 ', 6'), 6.63 (m, H-3).

Example 11
(Xéthvl-4' benzoyl)-2 imidazo [1,2-a] pyridine
A une solution de 3,90 g d'amino-2 pyridine dissous dans 100 cm3 d'éthanol ont été ajoutés goutte a goutte 10 g de bromo-3 (Lméthyl-4' phényl)-1 propanedione dissous dans 100 cm3 d'éthanol. Le mélange a été porté à reflux pendant 8 heures. Après refroidissement, la solution a été concentrée, et le résidu versé sur un mélange eau-glace; puis neutralisé avec du carbonate de sodium. Après extraction par du dichlorométhane, la solution organique a été séchée, concentrée sous pression réduite et purifiée par chromatographie (alumine neutre/CH2C12). On a obtenu la (méthyl-4' benzoyl)-2 imidazo [1,2-a] pyridine présentant un point de fusion F = 119-1210C.
Example 11
(XH-4-benzoyl) -2-imidazo [1,2-a] pyridine
To a solution of 3.90 g of 2-amino-pyridine dissolved in 100 cm3 of ethanol was added dropwise 10 g of bromo-3 (L-methyl-4 'phenyl) -1 propanedione dissolved in 100 cm3 of ethanol. . The mixture was refluxed for 8 hours. After cooling, the solution was concentrated and the residue poured onto ice-water; then neutralized with sodium carbonate. After extraction with dichloromethane, the organic solution was dried, concentrated under reduced pressure and purified by chromatography (neutral alumina / CH 2 Cl 2). There was obtained (4-methyl-benzoyl) imidazo [1,2-a] pyridine having a melting point F = 119-12 ° C.

RMN: (CDCl3)#: 2,38(s,CH3), 6,77(ps.t,LH-6L)L, 7,00-7,45 (m,H-7,3',5' > , 7,67(d,H-8), 8,03-8,38(m,H-5,2',6'), 8,13(s,H-3). NMR: (CDCl 3) δ: 2.38 (s, CH 3), 6.77 (p.t, LH-6L) L, 7.00-7.45 (m, H-7.3 ', 5'). , 7.67 (d, H-8), 8.03-8.38 (m, H-5.2 ', 6'), 8.13 (s, H-3).

EXEMPLE 12
(Méthyl-4' benzoyl)-2 méthyl-6 illmlidazo[1,2-a]pyridine
A une solution de 4,48 g d'amino-2 picoline-5 dissous dans 100 cm3 d'éthanol ont été ajoutés goutte a goutte 10 g de bromo-3 (méthyl-4' phényl)-l propanedione dissous dans 20 cm3 d'éthanol. Le mélange a été porté à reflux pendant 8 heures. Après refrotdissement, la solution a été concentrée, et le résidu versé sur un mélange eau-glace, puis neutralisé avec du carbonate de sodium. Après extraction par du dichlorométhane, la solution organique a été séchée, concentrée sous pression réduite et purifiée par chromatographie (alumine neutre/C8l2C12L), On a obtenu la Cméthyl-4' benzoyl)-2 méthyl-6 inidazo [1.2-a] pyridine présentant un point de fusion F = 132-1340C.
EXAMPLE 12
(4-methyl-benzoyl) -2-methyl-6-illmlidazo [1,2-a] pyridine
To a solution of 4.48 g of 2-amino-5-picoline dissolved in 100 cm3 of ethanol was added dropwise 10 g of bromo-3 (methyl-4 'phenyl) -1 propanedione dissolved in 20 cm3 of ethanol. The mixture was refluxed for 8 hours. After cooling, the solution was concentrated and the residue poured onto ice-water and then neutralized with sodium carbonate. After extraction with dichloromethane, the organic solution was dried, concentrated under reduced pressure and purified by chromatography (neutral alumina / C812C12L), yielding 4-methyl-benzoyl-2-methyl-6-inidazo [1.2-a] pyridine having a melting point F = 132-1340C.

RMN: (CDCl3)#l: 2,29l(s,C83), 2,40(s,CH3), 7,05(d,N-7), 7,28 (d,H-3', 5',) 7l,56(Ld,H-8), 7l,91(s,H-5), 8,12(d,H-2', 6'). NMR: (CDCl3) υ1: 2.291 (s, C83), 2.40 (s, CH3), 7.05 (d, N-7), 7.28 (d, H-3 ', 5'); 7, 56 (Ld, H-8), 71, 91 (s, H-5), 8.12 (d, H-2 ', 6').

EXEMPLE 13
Nlitro-3(nitro-3' beznzoyl)-2ilmlidazo[1.2-a]pyridin
Dans un tricol, on a introduit 20 ml de H2S04 concentré que l'on a refroidi a -10 C, puis on a versé 1,8 g de benzoyl-2 imidazo [1,2-a] pyridine en maintenant la température du milieu réactionnel a 0 C, au plus. Après avoir a nouveau refroidi a -10 C on a ajoute 1 ml de HNO3 (d = 1,38) assez lentement pour que la température ne dépasse pas -3 C.
EXAMPLE 13
Nlitro-3 (3-nitro-3-benzoyl) -2ilmlidazo [1.2-a] pyridine
In a tricolor, 20 ml of concentrated H 2 SO 4 were added and the mixture was cooled to -10 ° C. and then 1.8 g of 2-benzoyl imidazo [1,2-a] pyridine was added while maintaining the temperature of the medium. at 0 ° C, at most. After cooling again to -10 ° C, 1 ml of HNO3 (d = 1.38) was added slowly enough so that the temperature did not rise above -3 C.

On a agité pendant 2 heures à -50C, puis pendant 2 heures à 200C. On a ensuite versé le mélange réactionnel sur 100 g de glace. Après alcalinisation, on a effectué une extraction au dichlorométhane. Le produit extrait a été séché sur chlorure de calcium, évaporé et purifié par chromatographie sur alumine. L'élution au chlorure de méthylène a permis d'obtenir la nitro-3 (nitro-3' benzoyl)-2 imidazo ti,2-a3 pyridine présentant un point de fusion F = 1?9-1810C.It was stirred for 2 hours at -50C and then for 2 hours at 200C. The reaction mixture was then poured onto 100 g of ice. After alkalinization, extraction was carried out with dichloromethane. The extracted product was dried over calcium chloride, evaporated and purified by chromatography on alumina. Elution with methylene chloride gave 3-nitro (3-nitro-benzoyl) -2-imidazo [1,2-a] pyridine having a melting point F = 1 to 9-18 ° C.

RMN:(CDCl3)#: 7,37(ps.t,H-6), 7,67(ps.t,H-7), 7,83(m,H-5',8L), 8,47(m,H-6'), 8,73(m,H-4'), 9,43(t,H-2'), 9,50(dd,H-5). NMR: (CDCl 3) δ: 7.37 (ps.t, H-6), 7.67 (ps.t, H-7), 7.83 (m, H-5 ', 8L), 8.47; (m, H-6 '), 8.73 (m, H-4'), 9.43 (t, H-2 '), 9.50 (dd, H-5).

EXEMPLE 14
(Chloro-2'nitro-5' benzoyl)-2 nitro-3 imidazo[1,2-a] pyridine
Ce composé a été obtenu de la même manière que celui de l'exemple 13, à partir de (chloro-2' benzoyl)-2 imidazo [1,2-a] pyridine. Le composé obtenu a été purifié par chromatographie (alumine/CH2C12) pour obtenir la (chloro-2' nliatro-5' benzoyl)-2 nitro [1,2-a] pyridine présentant un point de fusion F = 219-2210C.
EXAMPLE 14
(2-Chloro-2'-nitro-5'-benzoyl) -2-nitro-3-imidazo [1,2-a] pyridine
This compound was obtained in the same manner as that of Example 13, from (2-chloro-benzoyl) -2-imidazo [1,2-a] pyridine. The compound obtained was purified by chromatography (alumina / CH 2 Cl 2) to obtain (2-chloro-5-chloro-benzoyl) -2-nitro [1,2-a] pyridine having a melting point F = 219-22 ° C.

RMN(DMSO d-6)ss: 7,46(ps.t,H-6), 7,83(m,H-7,8,3'), 8,30 (dd,H-4'), 8,36(m,H-6'), 9.27(dd,H-5). NMR (DMSO d 6) s s: 7.46 (ps.t, H-6), 7.83 (m, H-7.8,3 '), 8.30 (dd, H-4'), 8.36 (m, H-6 '), 9.27 (dd, H-5).

EXEMPLE 15 (Chloro-4' nitro-3' benzoyl)-2 dilmethyl-5,7 nlitroimidazo [1.2-8] pyridine. EXAMPLE 15 (4'-Chloro-3'-nitro-benzoyl) -2-dimethyl-5,7-nitroimidazo [1.2-8] pyridine.

1,3 g de (chloro-4' benzoyl)-2 diméthyl-5,7 imidazo [1,2-a] pyridine a été ajouté à 10 mi de H2SO4 concentré et refroidi a -10 C, par petites fractions afin de maintenir la température inférieure à OOC. 1.3 g of 4- (4-chloro-benzoyl) -5,5-dimethyl-imidazo [1,2-a] pyridine was added to 10 ml of concentrated H 2 SO 4 and cooled to -10 C in small fractions to maintain the temperature below OOC.

Lorsque la température est revenue à -100C, on a ajouté goutte à goutte 1 ml d'HN03 (d = 1,38) en maintenant la température a -5 C au plus. On a agité pendant 1h30 entre -10 et -30C. Ensuite, on a versé sur glace, on a filtré le précipité et lavé a l'eau. Le précipité a été mis en suspension dans l'eau, alcalinisé par du carbonate de sodium et extrait au dliclorméthane. Après séchage et évaporation, le composé dinitré a été purifié par chromatographie (alumine neutre-dichlorométhane) et l'on a obtenu la (chloro-4' nitro-3' benzoyl)-2 diméthyl-5,7 nitro-8 imidazo [1,2-a] pyridine présentant un point de fusion F = 268-270 C.When the temperature returned to -100 ° C, 1 ml of HNO3 (d = 1.38) was added dropwise keeping the temperature at -5 ° C at most. It was stirred for 1 hour between -10 and -30C. Then it was poured on ice, the precipitate was filtered and washed with water. The precipitate was suspended in water, basified with sodium carbonate and extracted with dllormethane. After drying and evaporation, the dinitro compound was purified by chromatography (neutral alumina-dichloromethane) and there was obtained (4-chloro-3'-nitro-benzoyl) -5,7-dimethyl-8-nitroimidazo [1]. , 2-a] pyridine having a melting point F = 268-270 C.

RMN(DMSOd-6) #:2,53(s,CH3), 2,77(s,CH3), 7,10(s,H-6), 8,07 (d,H-5L' > ,8,67(dd,H-6') 8,83(s,H-3), 9,10(dd,H-2'). NMR (DMSOd-6): δ: 2.53 (s, CH 3), 2.77 (s, CH 3), 7.10 (s, H-6), 8.07 (d, H-5L +), , 67 (dd, H-6 ') 8.83 (s, H-3), 9.10 (dd, H-2').

EXEXPLE 16
(Ntro-3' benzoyl)L-2-imidazo[1,2-a]pyridine
2 g du produit obtenu dans l'exemple 1 ont été dissous dans 10 ml de H2S04 concentré préalablement refroidi A -100C. On a ajouté goutte à goutte 1 ml de HMD3 (d = 1,38) en maintenant la temperature à OC au plus. Apres avoir agité le mélange pendant 2 heures à 0 C, on l'a versé sur glace.Le précipité formé a été filtré, repris par du méthanol et purifié par chromatographie (alumine/CH2C12). On a obtenu la (nitro-3' benzoyl)-2 imidazo [1,2-a] pyridine présentant un point de fusion F = 207-209 C
RMN (CDCl3), 200MHz) #:6,96(ps.t,H-6), 7,32(ps.t,H-7), 7,73(t,H-5), 7,75(dd,H-8), 8,23(dd,H-5), 8,38(m,H-3), 8,45(dd,H-6'), 8,78(dd,H-4' > , 9,36(s,H-2').
EXEXPLE 16
(Ntro-3'benzoyl) L-2-imidazo [1,2-a] pyridine
2 g of the product obtained in Example 1 were dissolved in 10 ml of concentrated H 2 SO 4 previously cooled to -100 ° C. 1 ml of HMD3 (d = 1.38) was added dropwise keeping the temperature at OC at most. After stirring the mixture for 2 hours at 0 ° C., it was poured on ice. The precipitate formed was filtered, taken up in methanol and purified by chromatography (alumina / CH 2 Cl 2). There was obtained (3-nitro-benzoyl) -2-imidazo [1,2-a] pyridine having a melting point F = 207-209 ° C.
NMR (CDCl 3), 200MHz) δ: 6.96 (p.t, H-6), 7.32 (p.t, H-7), 7.73 (t, H-5), 7.75 ( dd, H-8), 8.23 (dd, H-5), 8.38 (m, H-3), 8.45 (dd, H-6 '), 8.78 (dd, H-4). 9.36 (s, H-2 ').

EXEXPLE 17
< Chloro-4' nitro-3' benzovl)-2 imidazo [1,2-a] pyridine
A une solution de 1,4 g de (chloro-4' benzoyl)-2 imidazo [1,2-a] pyridine dans 10 cm3 d'acide sulfurique concentré refroidi à -100C, on a ajouté lentement et sous agitation 1 cm3 d'acide nitrique de densité 1,38. La solution obtenue a été abandonnée pendant une heure à -6 C,l puis versée sur glace. Après extraction au chlorure de méthylène, le solvant a été séché sur sulfate de sodium et concentré à pression réduite. Le résidu a été purifié par choromatographie (alumine neutre/CH2Cl2) et l'on a obtenu la (chloro-4' nitro-3' benzoyl > -2 imidazo [1,2-a] pyridine présentant un point de fusion F = 209-211 C.
EXEXPLE 17
<4'-Chloro-3'-nitro-benzovl) -2-imidazo [1,2-a] pyridine
To a solution of 1.4 g of 4- (4-chloro-benzoyl) imidazo [1,2-a] pyridine in 10 cm3 of concentrated sulfuric acid cooled to -100 ° C., 1 cc of dichloromethane was added slowly and with stirring. nitric acid with a density of 1.38. The solution obtained was left for one hour at -6 ° C, then poured on ice. After extraction with methylene chloride, the solvent was dried over sodium sulfate and concentrated under reduced pressure. The residue was purified by choromatography (neutral alumina / CH2Cl2) and there was obtained (4'-chloro-3'-nitro-2-benzoylimidazo [1,2-a] pyridine having a melting point F = 209. -211 C.

RXN (CDC13) 6 : 7,03Cps.t,H-6), 7,47(ps.t,H-7), 7,l8l3(d,H-5'), 7,85(d,H-8), 836(dd,H-5), 8,50(s,N-l3), 8,83(dd,H-6'), 9,35(d,H-2'). RXN (CDCl3) 6: 7.03Cps.t, H-6), 7.47 (p.t, H-7), 7.181 (d, H-5 '), 7.85 (d, H-6); 8), 836 (dd, H-5), 8.50 (s, N-13), 8.83 (dd, H-6 '), 9.35 (d, H-2').

EXEMPLE 18
(Chloro-2' nitro-5' benzoyl)-2 imidazo [1,2-a] pyridine
Dans un tricol, on a introduit 30 ml d'acide sulfurique concentré que l'on a refroidi à -150C. On a ajouté 1,8 g de Cchloro-2' benzoyl > -2 imidazo [1,2-a] pyridine lentement sans dépasser 0 C. Lorsque la température est revenue a -10 C, on a ajouté goutte à goutte 1 ni de H103 (d = 1,38) sans dépasser -3 C, On a agité pendant 1 heure & -3 C, puis on a versé sur glace.Le précipité formé a été filtré, mis en suspension dans l'eau et alcalinisé avec du carbonate de sodium Après extraction au dichiorométhane, séchage et évaporation, le dérivé nitré a été purifié par chromatographie sur alumine, par élution au dichlorométhane. On a obtenu la (chloro-2' nitro-5' benzoyl)-2 imidazo [1,2-a] pyridine présentant un point de fusion F = 172-174 C.
EXAMPLE 18
(2-Chloro-5'-nitro-benzoyl) -2-imidazo [1,2-a] pyridine
In a tricolor, 30 ml of concentrated sulfuric acid were introduced and cooled to -150 ° C. 1.8 g of 2-chloro-2-benzoyl-imidazo [1,2-a] pyridine was added slowly without exceeding 0 ° C. When the temperature had returned to -10 ° C., 1 μl of H103 (d = 1.38) without exceeding -3 ° C., stirred for 1 hour at -3 ° C. and then poured on ice. The precipitate formed was filtered, suspended in water and rendered alkaline with water. sodium carbonate After extraction with dichloromethane, drying and evaporation, the nitro derivative was purified by chromatography on alumina, eluting with dichloromethane. (2-chloro-5-nitro-benzoyl) imidazo [1,2-a] pyridine having a melting point F = 172-174 ° C. was obtained.

RMN (DMSO d-6) #: 7,43(m, 1H), 7,90(m, 3H), 8,93(s, 1H). NMR (DMSO d-6): 7.43 (m, 1H), 7.90 (m, 3H), 8.93 (s, 1H).

EXEMPLE 19
Benzovl-2 bromo-3 imidazo [1,2-a] pyridine
A 0,10 g de benzoyl-2 imidazo [1,2-a] pyridine dissous dans 5 cm3 d'acide acétique cristallisable a été ajouté 0,1 cm3 de brome. La solution a été agitée pendant 1 heure a température ambiante, puis versée sur 20 cm3 d'eau. Après neutralisation et extraction par du dichlorométhane, la solution organique a été séchée, concentrée sous pression réduite et purifiée par chromatographie Calumine neutre/CH2Cl2). On a obtenu la benzoyi-2 bromo-3 imidazo [1,2-a] pyridine présentant un point de fusion F = 116-1180C.
EXAMPLE 19
Benzovl-2-bromo-3-imidazo [1,2-a] pyridine
To 0.10 g of 2-benzoylimidazo [1,2-a] pyridine dissolved in 5 cm3 of glacial acetic acid was added 0.1 cm3 of bromine. The solution was stirred for 1 hour at room temperature and then poured into 20 cm3 of water. After neutralization and extraction with dichloromethane, the organic solution was dried, concentrated under reduced pressure and purified by neutral Calumine / CH 2 Cl 2 chromatography. 2-Benzoyl-3-bromoimidazo [1,2-a] pyridine having a melting point F = 116-1180 ° C. was obtained.

RMN: (CDCl3) #: 7,00(ps.t, H-6), 7,36(ps.t, H-7), 7,47-7,70 (m, H-3',4',5'), 7,77 (dd, H-8), 8,25(dd, H-5), 8,38-8,58(m, H-2',6'). NMR: (CDCl 3) δ: 7.00 (p.t, H-6), 7.36 (p.t, H-7), 7.47-7.70 (m, H-3 ', 4'). , 5 '), 7.77 (dd, H-8), 8.25 (dd, H-5), 8.38-8.58 (m, H-2', 6 ').

EXEMPLE 20
Bromo-3 (chloro-4' benzoyl)-2 chloro-5 imidazo [1,2-a] pvridine
A 0,5 g de chloro-5 (chloro-4' benzoyl > -2 imidazo [1,2-a] pyridine dissous dans 15 cm3 d'acide acétique cristallisable a été ajouté 0,5 cm3 de brome. La solution a eté agitée pendant 1 heure à température ambiante, puis versée sur 20 cm3 d'eau. Après neutralisation et extraction par du dichlorométhane, la solution organique a été séchée, concentrée sous pression réduite et purifiée par chromatographie (alumine neutre/CH2Cl2). On a obtenu la bromo-3 (chloro-4' benzoyl > -2 chloro-5 imidazo [1,2-a] pyridine présentant un point de fusion F=172-1?4 C.
EXAMPLE 20
Bromo-3 (4-chloro-benzoyl) -2-chloro-5-imidazo [1,2-a] pyridine
To 0.5 g of 5-chloro-4- (4'-chlorobenzoyl) imidazo [1,2-a] pyridine dissolved in 15 cm3 of glacial acetic acid was added 0.5 cm 3 of bromine. The mixture was stirred for 1 hour at room temperature and then poured into water (20 cc) After neutralization and extraction with dichloromethane, the organic solution was dried, concentrated under reduced pressure and purified by chromatography (neutral alumina / CH 2 Cl 2). 3-bromo-3- (4-chloro-benzoyl) -5-chloroimidazo [1,2-a] pyridine having a melting point F = 172-1? 4C.

RMN: (CDCl3) #: 6,98 (dd, H-6), 7,20(d, H-3',5'), 7,26(dd, H-7), 7,73(d, H-8), 8,25(d, H-2',6'). NMR: (CDCl 3) δ: 6.98 (dd, H-6), 7.20 (d, H-3 ', 5'), 7.26 (dd, H-7), 7.73 (d, H-8), 8.25 (d, H-2 ', 6').

EXEMPLE 21
Benzoyl-2 nitroso-3 imidazo [1,2-a] pyridine
A une solution de 3 g de benzoyl-2 imidazo [1,2-a] pyridine dans 9 cm3 d'anhydride acétique, 1,5 cm3 d'acide acétique et 3 g d'acétate de potassium, ont été ajoutés a -10 C, 3,6 cm3 d'une solution de chlorure de nitrosyle (0,37 g/ml) dans un mélange acide acétique-anhydride acétique. La solution résultante a été immédiatement jetée sur glace, filtrée et le précipité lavé à l'eau. Après chromatographie (SiO2/CH2Cl2) et passage sur Florisil/CH2Cl2 (Florisil, produit commercialisé par Floridin Company), on a obtenu la benzoyl-2 nitroso-3 imidazo 1,2-ai pyridine présentant un point de fusion F = 101-103 C.
EXAMPLE 21
Benzoyl-2-nitroso-3-imidazo [1,2-a] pyridine
To a solution of 3 g of 2-benzoylimidazo [1,2-a] pyridine in 9 cm3 of acetic anhydride, 1.5 cm3 of acetic acid and 3 g of potassium acetate were added at -10. C, 3.6 cc of a solution of nitrosyl chloride (0.37 g / ml) in acetic acid-acetic anhydride mixture. The resulting solution was immediately discarded on ice, filtered and the precipitate washed with water. After chromatography (SiO2 / CH2Cl2) and passage over Florisil / CH2Cl2 (Florisil, product marketed by Floridin Company), there was obtained 2-benzoyl-3-nitrosoimidazo 1,2-a pyridine having a melting point F = 101-103 C.

RMN: (CDCl3) #: 7,37-7,78(m, H-6,3',4',5'), 7,93-8,07(m, H-7,8), 8,20-8,40(m-H-2',6'), 9,73(dd,H-5). NMR: (CDCl 3) δ: 7.37-7.78 (m, H-6.3 ', 4', 5 '), 7.93-8.07 (m, H-7.8), 8, 20-8.40 (mH-2 ', 6'), 9.73 (dd, H-5).

EXEMPLE 22
(Chloro-2' benzovl)-2 nitroso-3 imidazo [1,2-a] pyridine
A une solution de 1 g de (chloro-2' benzoyl)-2 imidazo tl,2-al pyridine dans 5 cm3 d'anhydride acétique, 1,5 cm3 d'acide acétique et 1 g d'acétate de potassium, a té ajouté a -10 C, 1,5 cm3 d'une solution de chlorure de nitrosyle (0,37 g/ml) dans un melange acide acétique-anhydride acétique. La solution résultante a été immédiatement jetée sur glace, filtrée et le précipité lavé à l'eau. Après chromatographie (SiO2/CH2Cl2) et passage - sur Florisil/CH2Cl2, on a obtenu la (chloro-2' benzoyl)-2 nitroso-3 imidazo [1,2-a] pyridine présentant un point de fusion F = 158-160 C.
EXAMPLE 22
(2-chloro-benzovl) -2-nitroso-imidazo [1,2-a] pyridine
To a solution of 1 g of (2-chloro-2-benzoyl) imidazo [1,2-al] pyridine in 5 cm 3 of acetic anhydride, 1.5 cm 3 of acetic acid and 1 g of potassium acetate, were added added at -10 ° C., 1.5 cm3 of a solution of nitrosyl chloride (0.37 g / ml) in an acetic acid-acetic anhydride mixture. The resulting solution was immediately discarded on ice, filtered and the precipitate washed with water. After chromatography (SiO2 / CH2Cl2) and passage - on Florisil / CH2Cl2, 2- (2-chloro-benzoyl) -3-nitrosoimidazo [1,2-a] pyridine having a melting point F = 158-160 was obtained. C.

RMN: (CDCl3) #: 7,33-7,63(m, 4H), 7,77-8,08(m, 3H), 9,75(dd, H-5)
EXEMPLES 23 ET 24
Amino-3 (nitro-3' benzovl)-2 imidazo [1,2-a] pyridine
Amino-3 (amino-3' benzovl)-2 imidazo [1,2-a] pyridine
Dans un ballon trical, on a refroidi 30 ml d'acide bromhydrique à -100C, puis on y a ajouté 1,2 g d'étain et, par petites fractions, 1,25 g du dérivé nitré obtenu dans l'exemple 13. On a agité le mélange obtenu pendant 1 h à OOC, puis pendant 2 h 200C. On a séparé le précipité obtenu par filtration. Le précipite a été repris par un minimum d'eau, alcalinisé par le carbonate de sodium et extrait au dichlorométhane.On a obtenu par chromatographie alumine neutre/CH2Cl2) successivement:
composé 23: l'amino-3 (nitro-3' benzoyl)-2 imidazo [1,2-a] pyridine présentant un point de fusion P = 136-138 C.
NMR: (CDCl 3) δ: 7.33-7.63 (m, 4H), 7.77-8.08 (m, 3H), 9.75 (dd, H-5)
EXAMPLES 23 AND 24
Amino-3 (3-nitro-benzovyl) -2-imidazo [1,2-a] pyridine
Amino-3 (3-amino-benzobl) -2-imidazo [1,2-a] pyridine
In a trical flask, 30 ml of hydrobromic acid was cooled to -100 ° C., 1.2 g of tin were added thereto and, in small portions, 1.25 g of the nitro derivative obtained in Example 13. The mixture obtained was stirred for 1 hour at 0 ° C. and then for 2 h at 200 ° C. The precipitate obtained was filtered off. The precipitate was taken up with a minimum of water, basified with sodium carbonate and extracted with dichloromethane. Neutral alumina / CH 2 Cl 2 was obtained successively:
compound 23: 3-amino-3- (3-nitro-benzoyl) imidazo [1,2-a] pyridine having a melting point P = 136-138 ° C.

RMN: (CDCl3) #: 5,93(s, NH2), 6,96(ps.t, H-6), 7,32(ps.t, H-7), 7,75(dd, H-8), 7,76(t, H-5'), 8,43(m, H-5,6'), 8,90(dd, H-4'), 9,47(t, H-2'). NMR: (CDCl 3) δ: 5.93 (s, NH 2), 6.96 (p.t, H-6), 7.32 (p.t, H-7), 7.75 (dd, H- 8), 7.76 (t, H-5 '), 8.43 (m, H-5.6), 8.90 (dd, H-4'), 9.47 (t, H-2) ').

composé 24: l'amOno-3 (amino-3' benzoyl)-2 imidazo [1,2-a] pyridine présentant un point de fusion F = 104-106 (décomposition). compound 24: Amino-3 (3-aminobenzoyl) -2-imidazo [1,2-a] pyridine having a melting point F = 104-106 (decomposition).

RMN (CDCl3) # 5,80(s,NH2), 6,70(ps.t,N-6), 7,00(m,N-7,4'). NMR (CDCl 3) δ 5.80 (s, NH 2), 6.70 (p.t, N-6), 7.00 (m, N-7.4 ').

7,27(t,H-5'), 7,50(dd,H-8), 7,70(dd,H-6), 7,80(s,H-2'), 7,97(dd,H-5).7.27 (t, H-5 '), 7.50 (dd, H-8), 7.70 (dd, H-6), 7.80 (s, H-2'), 7.97 ( dd, H-5).

EXAMPLE 25
(Amino-3' benzoyl)-2 imidazo [1.2-a] pyridine
Ce composé a été obtenu a partir du composé obtenu a l'exemple 16 en mettant eu oeuvre le procédé décrit aux exemples 23 et 24. Le produit est purifié par chromatographie sur silice. L'élution à l'éther a permis d'obtenir 1' (amino-3' benzoyl)-2 imidazo [1,2-a] pyridine présentant un point de fusion F = 170-172 C.
EXAMPLE 25
(Amino-3 'benzoyl) -2 imidazo [1.2-a] pyridine
This compound was obtained from the compound obtained in Example 16 by carrying out the process described in Examples 23 and 24. The product is purified by chromatography on silica. Elution with ether afforded 1 '(3-aminobenzoyl) imidazo [1,2-a] pyridine having a melting point F = 170-172 ° C.

RMN:(CDCl3) #:5,90(s,NH-5), 6,68(ps.t,H-6), 7,07(ps.t,H-), 7,60(m,H-6,3', 4',5'),7,70(dd,H-5), 8,50(m,H-2',5')
EXEMPLE 26
(Amino-3' chloro-4' benzovl)-2 imidazo [1.2-a] pyridine
Ce composé a été obtenu à partir de la (chloro-4' nitro-3' benzoyl)-2 imidazo [1.2-a] pyridine en mettant eu oeuvre le procédé décrit aux exemples 23 et 24. Ce produit se décompose a 126-130 C.
NMR: (CDCl 3) δ: 5.90 (s, NH-5), 6.68 (p.t, H-6), 7.07 (p.t, H), 7.60 (m, H); -6.3 ', 4', 5 '), 7.70 (dd, H-5), 8.50 (m, H-2', 5 ')
EXAMPLE 26
(Amino-3'-chloro-4'-benzobl) -2-imidazo [1.2-a] pyridine
This compound was obtained from (4-chloro-3-nitro-benzoyl) -2-imidazo [1,2-a] pyridine by carrying out the method described in Examples 23 and 24. This product is decomposed at 126-130 ° C. C.

RMN(DMSO d-5)#:6,93(m,1H), 7,33(m,5H),8,63(m,2H). NMR (DMSO d-5): δ: 6.93 (m, 1H), 7.33 (m, 5H), 8.63 (m, 2H).

EXAMPLE 27
Amino-(amino-3' chloro-4' benzoyl)-2 diméthyl-5.7 imidazo[1,2-a] pyridine
Dans un ballon tricol, cm a refroidit 10 ml d'acide bromhydrique å -100C, puis on y a ajouté 820 mg d'étain, puis 720 mg du composé nitré obtenu dans l'exemple 15. On a agité le mélange pendant 1 heure & 0 C, puis pendant 18 M a 200C. Le précipité a été séparé par filtration et repris par un minimum d'eau (7 ml), puis alcalinisé par le carbonate de sodium et extrait au dichlorométhane.Après séchage et évaporation, le résidu a été purifié par chromatographie (alumine neutre/CE2Cl2) et l'on a obtenu l'amino-8 (amino-S' chloro-4' benzoyl)-2 diméthyl-5,7 imidazo [1,2-a] pyridine présentant un point de fusion F = 219-2210.
EXAMPLE 27
Amino- (3'-amino-4'-chloro-benzoyl) -2,5-dimethylimidazo [1,2-a] pyridine
In a three-necked flask, 10 ml of hydrobromic acid was cooled to -100 ° C, then 820 mg of tin were added, followed by 720 mg of the nitro compound obtained in Example 15. The mixture was stirred for 1 hour. & 0 C, then for 18 M at 200C. The precipitate was separated by filtration and taken up with a minimum of water (7 ml), then basified with sodium carbonate and extracted with dichloromethane. After drying and evaporation, the residue was purified by chromatography (neutral alumina / CE2Cl2). and 8-amino-5- (4-amino-4-chloro-benzoyl) -5,7-dimethylimidazo [1,2-a] pyridine having a melting point F = 219-2210 was obtained.

RMN (CDCl3)l#: 2.20(s,CH3), 2,48(s,CHS), 6,45(m,H-6), 7,45 (d,H-5'), 7,75(m,H-2',6'), 8,03(s(s,H-3). NMR (CDCl 3)?: 2.20 (s, CH 3), 2.48 (s, CHS), 6.45 (m, H-6), 7.45 (d, H-5 '), 7.75 (s, m, H-2 ', 6'), 8.03 (s (s, H-3).

EXEMPLE 28
(Amino-5' chloro-2' benzovl)-2 imidazo [1,2-a] pyridine
Dans un ballon tricol, on a introduit 10 ml d'acide bronhydrique que l'on a refroidi à -1l0 C puis on y a ajouté 900 mg d'étain, et 900 mg du dérivé nitré obtenu dans l'exemple 23, en maintenant la température inférieure a OOC. On a agité le mélange pendant 1 h & 0 C, puis pendant 6 h a 200C.Le précipité a été séparé par filtration et repris par 5 ml d'eau jusqu'a solubilisation, puis alcalinisé par l'ammoniaque a 50Z et extrait au dichiorométhane. Après séchage et évaporation, le résidu a été purifié par chromatographie sur alumine neutre et élué par un mélange CH2Cl2-MeOH dans un rapport volumique de 95/5. On a obtenu l' < amino-5' chloro-2' benzoyl)-2 imidazo [1,2-a] pyridine présentant un point de fusion F = 84-860.
EXAMPLE 28
(Amino-5'-chloro-2'-benzobl) -2-imidazo [1,2-a] pyridine
In a three-necked flask, 10 ml of bronchogenic acid were added, which was cooled to -110 ° C. and then 900 mg of tin and 900 mg of the nitro derivative obtained in Example 23 were added. the temperature below OOC. The mixture was stirred for 1 hour at 0 ° C. and then for 6 hours at 200 ° C. The precipitate was filtered off and taken up in 5 ml of water until solubilization, then basified with 50% aqueous ammonia and extracted with dichloromethane. . After drying and evaporation, the residue was purified by chromatography on neutral alumina and eluted with a CH 2 Cl 2 -MeOH mixture in a volume ratio of 95/5. The 5-amino-2-chloro-benzoyl-2-imidazo [1,2-a] pyridine having a melting point of F = 84-860 was obtained.

RMN(CDCl3)l #:4.,03(s,NH2), 7,00(m,5H), 7,72(m,1H), 8,20(m,2H). NMR (CDCl 3) λ: 4. 03 (s, NH 2), 7.00 (m, 5H), 7.72 (m, 1H), 8.20 (m, 2H).

EXEMPLE 29
Amino-3 benzovl-2 imidazo [1.2-a] pyridine
A une suspension de lg d'étain dans 10 cm3 d'acide chlorhydrique pur refroidi a -100C, on a ajoute par petites fractions 1 g de benzoyl-2 nitroso-3 imidazo [1,2-a] pyridine obtenue dans l'exemple 21. La suspension a été abandonnée pendant 2 heures à température ambiante, puis le précipite a été séparé par filtration, repris par le minimum d'eau et la solution a été alcalinisée par du carbonate de sodium. Après extraction par le dichlorométhane, séchage et évaporation sous vide, le résidu organique a été purifié par chromatographie alumine neutreL/ CH2Cl2). On a obtenu l'amino-3 benzoyl-2 imidazo [1,2-a] pyridine présentant un point de fusion F= 50-62 C.
EXAMPLE 29
Amino-3-benzoimid-2 imidazo [1.2-a] pyridine
To a suspension of 1 g of tin in 10 cm 3 of pure hydrochloric acid cooled to -100 ° C., 1 g of 2-benzoyl-3-nitrosoimidazo [1,2-a] pyridine obtained in the example was added in small portions. 21. The suspension was left for 2 hours at room temperature, then the precipitate was filtered off, taken up with the minimum amount of water and the solution was made alkaline with sodium carbonate. After extraction with dichloromethane, drying and evaporation under vacuum, the organic residue was purified by neutral alumina / CH 2 Cl 2 chromatography. 3-aminobenzoyl-2-imidazo [1,2-a] pyridine having a melting point F = 50-62 ° C. was obtained.

RMN(CDCl3) #:5,92(s,NH2), 6,70(ps.t,H-6), 7,08(ps.t,H-7), 7,47 (n,H-8,3', 4', 5'), 7,70(dd,H-5), 8,50(m,H-2',6'). NMR (CDCl 3) δ: 5.92 (s, NH 2), 6.70 (p.t, H-6), 7.08 (pst, H-7), 7.47 (n, H-8); , 3 ', 4', 5 '), 7.70 (dd, H-5), 8.50 (m, H-2', 6 ').

EXAMPLE 30
Amino,3(chloro-2' benzoyl)-2 imidazo[1.2-a] pyridine
Ce composé a été obtenu & partir de la nitro-3 (chloro-2' benzoyl)-2 imidazo [1,2-a] pyridine, -en mettant en oeuvre le procédé decrit dans l'exemple 23. I1 présente un point de fusion F = 261-263 C.
EXAMPLE 30
Amino, 3 (2-chloro-benzoyl) -2-imidazo [1.2-a] pyridine
This compound was obtained from nitro-3 (2-chloro-benzoyl) -2-imidazo [1,2-a] pyridine, using the method described in Example 23. melting F = 261-263 C.

RMN: (DMLSO d-6) #: 6,73(Lps.H-6), 6,90(ps.t,H-7). 7.47 (m,H3', 4', 5', 6', 8 > (dd,H-5). NMR: (DMLSO d-6) #: 6.73 (Lps.H-6), 6.90 (p.t, H-7). 7.47 (m, H3 ', 4', 5 ', 6', 8> (dd, H-5).

EXEMPLE 31
Bromacétamido-l3benzyl-2imlidazo[1,2-a]pyridine
400 mg de l'amine obtenue dans l'exemple 29 ont été dissous dans 20 ml de benzène. On a ajouté a la solution obtenue1 0,5 ml de bromure d'acide bromacétique. Après précipitation et évaporation à sec, le résidu a été repris par l'eau, alcalinisé par du carbonate de sodium et extrait au dichloromeathane. Le résidu a été purifié par chromatographie (LsiliceL/éther), On a obtenu la bromacétamido-3 benzoyl-2 imidazo tl,2-a) pyridine présentant un point de fusion F = 154-156 C.
EXAMPLE 31
Bromacétamido-l3benzyl-2imlidazo [1,2-a] pyridine
400 mg of the amine obtained in Example 29 were dissolved in 20 ml of benzene. 0.5 ml of bromoacetic acid bromide was added to the resulting solution. After precipitation and evaporation to dryness, the residue was taken up in water, basified with sodium carbonate and extracted with dichloromethane. The residue was purified by chromatography (silica / ether). Bromacetamido-3-benzoyl-2-imidazo [1,2-a] pyridine, mp = 154 ° -156 ° C., was obtained.

RMN:(CDCl3)#:4,10s,CH2), 6,87(ps.t,H-6), 7,30(ps.t,H-7), 7,37-7,63(m,H-3',4',5'), 7,70(dd,H-8) 7,90(dd,H-5), 8,42(m,H-2',6'), 10,07(s,NH). NMR: (CDCl 3) δ: 4.10, CH 2), 6.87 (p.t, H-6), 7.30 (p.t, H-7), 7.37-7.63 (m, H-3 ', 4', 5 '), 7.70 (dd, H-8) 7.90 (dd, H-5), 8.42 (m, H-2', 6 '), 10, 07 (s, NH).

EXEMPLE 32
Chloro-4' benzoyl)-2méthoxy-5-imidazo[1,2-a] pyridine
A une solution de 0,130 g de méthylate de sodium dans 5 cm3 de diméthylformamide, a été ajouté 0,280 g de chloro-5 (chloro-4' benzoyl)-2 imidazo t1,2-a3 pyridine. La solution a été portee au bain-marie a 60 C pendant 30 mn, puis abandonnée a température ambiante pendant 1 heure. Le solvant a été évaporé sous pression reduite à 70 C.
EXAMPLE 32
4-chloro-benzoyl) -2-methoxy-5-imidazo [1,2-a] pyridine
To a solution of 0.130 g of sodium methoxide in 5 cm3 of dimethylformamide was added 0.280 g of 5-chloro-4- (4-chloro-benzoyl) imidazo [1,2-a] pyridine. The solution was brought to a water bath at 60 ° C. for 30 minutes and then left at ambient temperature for 1 hour. The solvent was evaporated under reduced pressure at 70 ° C.

Le résidu a été repris par le dichlorométhane et purifié par chromatographie alumine neutre/CH2Cl12). On a obtenu la (chloro-4' benzoyl)-2 méthoxy-5 imidazo [1,2-a] pyridine présentant un point de fusion F = 158-160 C
RMN (CDCl3)l#:4,17(s,OCH3), 6,23(m,H-6L), l7,37-7,70 (m,H-7,8,3'L, 5')8,40-8,58(m,H-3,2',6').
The residue was taken up in dichloromethane and purified by neutral alumina / CH 2 Cl 2 2 chromatography). There was obtained (4-chloro-benzoyl) -2-methoxy-imidazo [1,2-a] pyridine having a melting point F = 158-160 ° C.
NMR (CDCl3) λ: 4.17 (s, OCH3), 6.23 (m, H-6L), 17.37-7.70 (m, H, 7.83, 5 '). 8.40 to 8.58 (m, H-3,2 ', 6').

EXEMPLE 33
Chlorhydrate de benzoyl-2-imidazo[1,2-a] pyridine
60 mg de benzoyl-2 imidazo tl,2-al pyridine ont été dissous dans 500 ml d'éther anhydre. On a fait barboter de l'acide chlorhydrique dans cette solution pendant 15 mn. Le chlorhydrate de benzoyl-2 imidazo[1,2-a] pyridine a précipité. ll a été isolé par filtration et l'on a obtenu un solide blanc présentant un point de fusion F = 1480C.
EXAMPLE 33
Benzoyl-2-imidazo [1,2-a] pyridine hydrochloride
60 mg of 2-benzoyl imidazo [1,2-al] pyridine were dissolved in 500 ml of anhydrous ether. Hydrochloric acid was bubbled into this solution for 15 minutes. Benzoyl-2-imidazo [1,2-a] pyridine hydrochloride precipitated. It was isolated by filtration and a white solid having a melting point F = 1480C was obtained.

RMN l(D2O)# 7,66(m,4H), 7,93(m,4H),8,66(m,2H). NMR 1 (D 2 O): 7.66 (m, 4H), 7.93 (m, 4H), 8.66 (m, 2H).

Le tableau I ci-dessous rassemble l'ensemble des composés obtenus et leur point de fusion. Table I below collates all the compounds obtained and their melting point.

TABLEAU I

Figure img00230001

exemple
n X(n=à3) Rn(n'=245) R: F( C)
1 H H H 116-118
2 2-Cl H H 169-171
3 4-Cl H H 114-116
4 4-Cl 5-Cl H 141-143
5 4-C1 6-Cl H 193-195
6 4-Cl 5.7-(CHs)a H 76-78
7 4-Cl 5-CH: H 129-131
8 4-Cl 5-CHs H 176-178
9 4-Cl 7-CH H 161-163
10 4-Cl 8-CHs H 154-156
11 4-CH2)2, H H 119-121
12 4-CH: 6-CH:H 132-134
13 3-NO: H NO2 179-181
14 2-Cl,5-NO2 H NO: 219-221
15 3-NO2,4-Cl 5.7-(CH2)2,8-NO2 H 268-170
16 3-NO2 H H 207-209
17 3-NO2,4-Cl H H 209-211
18 2-Cl.5-NO2 H H 172-174
19 H H Br 116-118
20 4-Cl 5-Cl Br 172-174
21 H H NO 101-103
22 2-Cl H NO 158-160
23 3-NO2 H NMz 136-138
24 3-NH: H NH2 104-106
25 3-NH: H H 170-172
26 3-NHz.4-Cl H H 128-130
27 3-NH3. 4-Cl 5.7-(CH3)s, 8-NHs H 218-221
28 2-Cl,5-NH: H H 84-86
29 H.H NH2 60-62
30 2-C1 H NH2 261-263
31 H H NHCOCH2Br 154-156
32 4-Cl 5-OCH: H 158-160
33 H H H 148
(sel d'addition avec HCl)
Essais Dharmacologiques
Les composés de la présente invention présentent une activité pharmacologique: activité anti-inflammatoire et activité analgésique.TABLE I
Figure img00230001

example
n X (n = 3) Rn (n '= 245) R: F (C)
1 HHH 116-118
2 2 -Cl HH 169-171
3 4-Cl HH 114-116
4 4 -Cl 5 -Cl H 141-143
5 4-Cl 6 -Cl H 193-195
6 4-Cl 5.7- (CHs) to H 76-78
7 4-Cl 5-CH: H 129-131
8 4-Cl 5-CHs H 176-178
9 4-Cl 7-CH H 161-163
10 4-Cl 8-CHs H 154-156
11 4-CH2) 2, HH 119-121
12 4-CH: 6-CH: H 132-134
13 3-NO: H NO2 179-181
14 2-Cl, 5-NO2H NO: 219-221
3-NO 2, 4-Cl 5.7- (CH 2) 2.8-NO 2 H 268-170
16 3-NO2 HH 207-209
17 3-NO2, 4Cl HH 209-211
18 2-Cl.5-NO2 HH 172-174
19 HH Br 116-118
20 4-Cl 5-Cl Br 172-174
21 HH 101-103
22 2 -Cl H 158-160
23 3-NO2 H NMz 136-138
24 3-NH: H NH 2 104-106
25 3-NH: HH 170-172
26 3-NHz.4-Cl HH 128-130
27 3-NH3. 4-Cl 5.7- (CH3) s, 8-NHs H 218-221
28 2-Cl, 5-NH: HH 84-86
29 HH NH2 60-62
30 2-C1H NH2 261-263
31 HH NHCOCH2Br 154-156
32 4-Cl 5-OCH: H 158-160
33 HHH 148
(salt of addition with HCl)
Dharmacological tests
The compounds of the present invention exhibit pharmacological activity: anti-inflammatory activity and analgesic activity.

Ces activités ont été mises en évidence lors des essais décrits ci-après. Dans tous les essais, les animaux ont été testés par lots de 10.These activities were highlighted during the tests described below. In all tests, the animals were tested in batches of 10.

Essai i
Etude de l'activité anti-inflammatoire
L'activité anti-inflammatoire a été évaluée d'après le test de l'oedème a la carragénine. Des rats miles, de souche Vistar, d'un poids moyen de 95 g, ont été utilisés. Avant toute expérimentation, ils ont été soumis a un jeune non hydrique de 16 heures.
Test i
Study of anti-inflammatory activity
The anti-inflammatory activity was evaluated according to the carrageenan edema test. Miles rats, Vistar strain, with an average weight of 95 g, were used. Before any experiment, they were subjected to a non-hydrated young of 16 hours.

L'oedème de la patte a été provoqué par injection, dans la voute plantaire, de 0,05 ml d'une suspension a 1% de Carragénine dans-du soluté physiologique. Les variations de volume de la patte ont été mesurées par plétysmographie toutes les 60 mn apres injection et ce pendant 4 heures. Le pourcentage d'enflure a été établi pour chaque mesure par rapport au volume initial de la patte avant injection. Edema of the paw was caused by injection into the plantar vault of 0.05 ml of a 1% suspension of Carragenin in saline. The variations in paw volume were measured by pletysmography every 60 minutes after injection for 4 hours. The percentage of swelling was established for each measurement relative to the initial volume of the paw before injection.

Les composés à tester ont été administrés 1 heure avant la carragénine, par voie orale, a la dose de 100 mg/kg, sous forme d'une suspension dans l'eau gommeuse a 32, sous un volume de 10 ml/kg. Un produit de référence, 1 > Indométacine, a été administré dans les mêmes conditions, a la dose de 5 mg/kg. Le pourcentage d'inhibition de l'enflure, reflet de l'activité anti-inflammatoire, a été établi pour chaque produit par rapport aux résultats obtenus chez les animaux témoins auxquels ont été administrés de la carragénine, et, une heure auparavant, 10 ml d'eau gommeuse par voie orale. The compounds to be tested were administered 1 hour before the carrageenan, orally, at a dose of 100 mg / kg, in the form of a suspension in gummy water at 32, in a volume of 10 ml / kg. A reference product, Indomethacin, was administered under the same conditions, at the dose of 5 mg / kg. The percentage inhibition of swelling, a reflection of the anti-inflammatory activity, was established for each product compared with the results obtained in the control animals administered carrageenan, and an hour earlier, 10 ml of gummy water orally.

Les résultats rassemblés dans le tableau II ci-dessous représentent les pourcentages d'inhibation obtenus aux différentes heures de mesure avec leur degré de signification. The results summarized in Table II below represent the percentages of inhibition obtained at the different measurement times with their degree of significance.

TABLEAU II
Exemple Dose (Po), 1è heure 2è heure 3èheure 4èheure 14 100mg/kg 26,60 33,01 20,47 21,04
1 :100 mg/kg :65,75 (c) :82,79 (c) :76,31 (c) :65,66 (c)
6 100mg/kg 48,43(b) 26,17 17,41 11,95(a) 19 100mg/kg 39,06(a) 37,04 7,16 24,28(a)
5 :100 mg/kg :42,51 (b) :10,50 : 1,37 : 9,72 17 100 mg/kg :37,03 (b) :21,18 (a) : 7,37 : 8,97 12 :100 mg/kg :46,09 (b) :37,03 (c) : 3,06 : 8,29 10 100 mg/kg 80,38(c) 53,14(c) 40,46(c) 33,33(b)
8 100mg/kg 54,31(c) 42,23(c) 51,85(c) 51,42(c)
Indométacine 5mg/kg 57,36(c) 59,36(b) 56,73(c) 72,03(c)
Test de Student: a: p < 0,05, b: P < 0,01 c: p < 0,001.
TABLE II
Example Dose (Po), 1st hour 2nd hour 3rd time 4th time 14 100mg / kg 26.60 33.01 20.47 21.04
1: 100 mg / kg: 65.75 (c): 82.79 (c): 76.31 (c): 65.66 (c)
6 100mg / kg 48.43 (b) 26.17 17.41 11.95 (a) 19 100mg / kg 39.06 (a) 37.04 7.16 24.28 (a)
5: 100 mg / kg: 42.51 (b): 10.50: 1.37: 9.72 17 100 mg / kg: 37.03 (b): 21.18 (a): 7.37: 8 , 97 12: 100 mg / kg: 46.09 (b): 37.03 (c): 3.06: 8.29 100 mg / kg 80.38 (c) 53.14 (c) 40.46 (c) 33.33 (b)
8 100mg / kg 54.31 (c) 42.23 (c) 51.85 (c) 51.42 (c)
Indomethacin 5mg / kg 57.36 (c) 59.36 (b) 56.73 (c) 72.03 (c)
Student's test: a: p <0.05, b: P <0.01 c: p <0.001.

I1 apparait que, parmi les composés soumis au test, tous présentent une activité anti-inflammatoire. Certains sont plus efficaces que l'indométacine après 1 heure (composés 1 et 10). Le composé 1 reste plus efficace que l'lndometacine après 3 heures. It appears that, among the test compounds, all exhibit anti-inflammatory activity. Some are more effective than indomethacin after 1 hour (compounds 1 and 10). Compound 1 remains more effective than lndometacin after 3 hours.

Essai 2
Etude de l'activité analgésique
L'activité analgésique des composés de l'invention a été établie d'après le test de Koster. Des souris mâles de souche Swiss, d'un poids moyen de 20 g, ont été utilisées après un jeune non hydrique de 16 heures.
Trial 2
Study of analgesic activity
The analgesic activity of the compounds of the invention was established according to the Koster test. Male Swiss strain mice, with an average weight of 20 g, were used after a 16 hour non-hydrated young.

Les manifestations douloureuses (contorsions, étirement des flance) ont été provoquées par administration intra-péritonéale d'acide acétique à raison de 10 ml/kg d'une solution à 1% dans l'eau distillée. The painful manifestations (writhing, stretching of the flank) were caused by intraperitoneal administration of acetic acid at a rate of 10 ml / kg of a 1% solution in distilled water.

On a comptabilisé pour chaque animal le nombre de contorsions effectuées durant les 30 minutes qui ont suivi l'administration de la solution d'acide acétique.For each animal, the number of contortions performed during the 30 minutes following the administration of the acetic acid solution was counted.

Les composés a tester ont été administrés 1 heure avant l'acide acétique, par voie orale à la dose de 100 mg/kg sous forme d'une suspension dans l'eau gommeuse a 3%,l sous un volume de 20 ml/kg. Un produit de référence, la Glafénine, a été administré dans les mêmes conditions, a la même dose. Aux animaux-témoins a été administrée uniquement de l'eau gommeuse. The compounds to be tested were administered 1 hour before acetic acid, orally at a dose of 100 mg / kg in the form of a suspension in 3% gummy water, in a volume of 20 ml / kg. . A reference product, Glafenine, was administered under the same conditions, at the same dose. Control animals were given only gummy water.

L'activité analgésique a été établie par l'expression du pourcentage d'inhibition de contorsions obtenues dans-les lots traités par rapport aux contorsions obtenues dans les lots témoins. The analgesic activity was established by the expression of the percent inhibition of contortions obtained in the treated batches compared to the contortions obtained in the control batches.

Le tableau III rassemble les pourcentages dlinhibition des syndromes douloureux durant les 30 mn qui ont suivi l'administration de la solution acétique, accompagnés de leur signification. Table III shows the percentages of inhibition of pain syndromes during the 30 minutes following the administration of the acetic solution, together with their significance.

TABLEAU III
Exemple Dose (LPO) Mesure sur 30 minutes 14 100 mg/kg 68,50 (c)
1 100 mg/kg 74,00 (c)
6 100 mg/kg 47,40 (c) 19 100 mg/kg 62,40 (c)
5 100 mg/kg 19,65 17 100 mg/kg 49,70 (c) 12 100 mgSkg 37,00 Ca) 10 100 mg/kg 39,00 (a)
8 100 Eg/kg 44,00 (b)
Glafénine 100 mg/kg 67,17 (b)
Test de Student: a: p < 0,05, b: p < 0,01, c: p < 0100l.
TABLE III
Example Dose (LPO) 30-minute measurement 14 100 mg / kg 68.50 (c)
1,100 mg / kg 74,00 (c)
6 100 mg / kg 47.40 (c) 19 100 mg / kg 62.40 (c)
5 100 mg / kg 19.65 17 100 mg / kg 49.70 (c) 12 100 mgSkg 37.00 Ca) 10 100 mg / kg 39.00 (a)
8,100 Eg / kg 44,00 (b)
Glafenin 100 mg / kg 67.17 (b)
Student's test: a: p <0.05, b: p <0.01, c: p <01001.

Il apparatt de ces résultats que tous les composés testés ont une activité analgésique, et que les composés 14 et 1 ont une activité analgésique supérieure a celle du composé de référence, la Glafénine, dans les conditions de l'expérience. It is apparent from these results that all tested compounds have analgesic activity, and that compounds 14 and 1 have an analgesic activity greater than that of the reference compound, Glafenine, under the conditions of the experiment.

Essai 3
Etude de l'activité ulcérigène.
Trial 3
Study of ulcerogenic activity.

L'activité ulcérogène de l'un des composés de l'invention les plus actifs a été testée, compte-tenu du fait que la quasi-totalité des anti-inflammatoires et analgésiques utilisés actuellement en thérapeutique présentent comme effet secondaire néfaste un pouvoir ulcérigène. Le composé no 1 selon l'invention a été comparé à l'Indométacine. The ulcerogenic activity of one of the most active compounds of the invention was tested, given that almost all of the anti-inflammatories and analgesics currently used in therapy have as an adverse side effect an ulcerogenic power. Compound No. 1 according to the invention was compared with indomethacin.

L'activité ulclérigène a été établie d'après la méthode de l'ulcère de contrainte. Des rats femelles, de souche Wistar, d'un poids moyen de 150 g, ont été utilisés après un jeûne non hydrique de 18 heures. Dans ce test, chaque animal a été enfermé dans un corset immobilisateur durant 7 heures. Après ce laps de temps, l'animal a eté sacrifié, l'estomac a été prélevé et autopsié. Pour chaque animal, on a déterminé l'indice ulcérigène par un score de cotation prenant en compte le nombre et la sévérité des lésions ulcéreuses. Ulcerogenic activity was established according to the constraint ulcer method. Female rats of Wistar strain, average weight 150 g, were used after an 18 hour non-hydrated fast. In this test, each animal was locked in a immobilizing corset for 7 hours. After this time, the animal was sacrificed, the stomach was removed and autopsied. For each animal, the ulcerogenic index was determined by a scoring score taking into account the number and severity of the ulcerous lesions.

Les produits a tester ont été administrés 45 mn avant la mise en contrainte a raison de 100 mg/kg pour le composé n01 selon l'invention et 5 mg/kg pour 1' Indométacine. Les produits ont été administrés par voie orale sous forme de suspension dans l'eau gammeuse a 3. The products to be tested were administered 45 minutes before stressing at a rate of 100 mg / kg for compound No. 1 according to the invention and 5 mg / kg for indomethacin. The products were administered orally as a suspension in 3-mer.

Le tableau IV récapitule les résultats obtenus, exprimés en % de variation des lésions ulcéreuses par rapport a la cotation faite sur des animaux témoins auxquels a été administrée uniquement de l'eau gommeuse. Table IV summarizes the results obtained, expressed in% variation of ulcerative lesions compared to the quotation made on control animals to which only gummy water was administered.

Produlit 1% devariations des lésions par rapport aux témoine:

Figure img00280001
Produlit 1% deviations of the lesions compared to the witnesses:
Figure img00280001

<tb> <SEP> Nombre <SEP> Séverité
<tb> <SEP> 1 <SEP> -13% <SEP> -39%
<tb> Indométacine <SEP> ' <SEP> +27% <SEP> z <SEP> +85%
<tb>
Ces résultats confirment l'activité ulcérigène classique de l'Indométacine qui aggrave 11 indice d'ulcération provoqué par la contrainte, et mettent en évidence l'absence d'activité ulcérigène pour le composé n 1 selon l'invention.
<tb><SEP> Number <SEP> Severity
<tb><SEP> 1 <SEP> -13% <SEP> -39%
<tb> Indomethacin <SEP>'<SEP> + 27% <SEP> z <SEP> + 85%
<Tb>
These results confirm the classic ulcerogenic activity of indomethacin which aggravates the ulcerative index caused by the stress, and demonstrate the absence of ulcerogenic activity for the compound n 1 according to the invention.

Essai 4
Etude de la toxicité aigus
Une étude de toxicité aiguë a été réalisée chez la souris male de souche Swiss, ayant un poids moyen de 22 g.
Trial 4
Study of acute toxicity
An acute toxicity study was conducted in male Swiss strain mice with an average weight of 22 g.

Les produits ont été administrés par voie orale sous forme de suspension dans l'eau gommeuse, compte-tenu de l'éventuelle utilisation clinique des composés. Ils se sont révélés de toxicité moyenne, sans incompatibilité d'utilisation thérapeutique puisque, selon le composé considéré, les DL 50 se situent entre 700 et 1000 mg/kg. The products were administered orally as a suspension in gummy water, taking into account the possible clinical use of the compounds. They have proved to be of average toxicity, without incompatibility of therapeutic use since, according to the compound in question, the LD 50 values are between 700 and 1000 mg / kg.

ll apparat ainsi que les composés selon l'invention présentent un grand intérêt du fait qu'ils ont à la fois une activité anti-inflammatoire et une activité analgésique, sans présenter l'activité ulcérogène des produits analogues connus. It thus appears that the compounds according to the invention are of great interest because they have both an anti-inflammatory and an analgesic activity, without presenting the ulcerogenic activity of the known analogous products.

Claims (14)

Translated fromFrench
REVENDICATIONS
Figure img00290003
Figure img00290003
-CH2-NRGR7, CH2-NRGR7,
Figure img00290002
Figure img00290002
- XI, X2 et X3, qui peuvent être identiques ou différents, sont choisis parmi un atome d'hydrogène, un atome d'halogène, un radical -XR6R7, -NO2, -CO2H ou -C02R8, -C#H, un radical alkyle A chaine droite ou ramifiée ayant de 1,à 5 atomes de carbone, un radical alcoxy ayant de 1à 5 atomes de carbone, un radical alkylthio ayant de 1 5 atomes de carbone, -CF3, -OH, -CH2OH, - XI, X2 and X3, which may be identical or different, are chosen from a hydrogen atom, a halogen atom, a radical -XR6R7, -NO2, -CO2H or -CO2R8, -C # H, a radical; straight or branched chain alkyl having from 1 to 5 carbon atoms, an alkoxy radical having 1 to 5 carbon atoms, an alkylthio radical having 1 to 5 carbon atoms, -CF 3, -OH, -CH 2 OH, dans laquelle in which
Figure img00290001
Figure img00290001
1, Benzoyl-2 imidazo tl,2-al pyridines répondant a la formule générale (I) suivante: 1, Benzoyl-2-imidazo-1, 2-al pyridines corresponding to the following general formula (I):
Figure img00290004
Figure img00290004
- R1 à R5, qui peuvent être identiques ou différents, sont choisis parmi un atome d'hydrogène, un atome d'halogène, -NO2, -NO un radical alkyle a channe droite ou ramifiée ayant de 1 a s atomes de carbone, un radical alcoxy ayant de 1 a 5 atomes de carbone, un radical alkylthio ayant de 1 a 5 atomes de carbone, -NRGR7,, -CF3, un radical alcényle ayant de la s atomes de carbone, -C#HN -CO2H ou -C02R8, R 1 to R 5, which may be identical or different, are chosen from a hydrogen atom, a halogen atom, -NO 2, -NO a straight or branched alkyl radical having 1 to 8 carbon atoms, a radical alkoxy having 1 to 5 carbon atoms, an alkylthio radical having 1 to 5 carbon atoms, -NRGR7, -CF3, an alkenyl radical having carbon atoms, -C # HN -CO2H or -CO2R8,
Figure img00290005
Figure img00290005
-R8 représente soit un radical alkyle à chatne droite ou ramifée ayant de 1 à 5 atomes de carbone, éventuellement substitué par un ou plusieurs atomes d'halogène, un radical hydroxyle, un radical amine portant deux substituants alkyles ayant de 1 a 4 atomes de carbone, soit un radical phényle; et leurs sels d'addition avec des acides minéraux ou organiques. R 8 represents either a straight or branched chain alkyl radical having from 1 to 5 carbon atoms, optionally substituted by one or more halogen atoms, a hydroxyl radical, an amine radical carrying two alkyl substituents containing from 1 to 4 carbon atoms, carbon, a phenyl radical; and their addition salts with mineral or organic acids. - R6 et R7, qui peuvent être identiques ou différents, sont choisis parmi a) un atome d'hydrogène; b) un radical alkyle a chaine droite ou ramifiée ayant de 1 a 5 atomes de carbone, éventuellement substitué par un ou plusieurs atomes d'halogene, un radical hydroxyle, un- radical amine portant un ou deux substituants alkyles ayant de 1 & 14 atomes de carbone, un radical cycloalkyle ayant de 3 à 6 atomes de carbone; c) un radical phényle; - R6 and R7, which may be the same or different, are selected from a) a hydrogen atom; b) a straight or branched chain alkyl radical having from 1 to 5 carbon atoms, optionally substituted by one or more halogen atoms, a hydroxyl radical, an amine radical carrying one or two alkyl substituents having from 1 to 14 atoms carbon, a cycloalkyl radical having 3 to 6 carbon atoms; c) a phenyl radical; - R2 et R3 peuvent être reliés l'un a l'autre et représentent alors un radical alkylène linéaire ayant de 3 a 5 atomes de carbone; - R2 and R3 can be connected to each other and then represent a linear alkylene radical having 3 to 5 carbon atoms; 2. Composes selon la revendication 1, caractérisés en ce que l'acide minéral est choisi parmi les acides halohydriques tels que l'acide chlorhydrique, l'acide bromhydrique, l'acide iodhydrique, l'acide phosphorique,- l'acide sulfurique 2. Compounds according to claim 1, characterized in that the mineral acid is selected from hydrohalic acids such as hydrochloric acid, hydrobromic acid, hydroiodic acid, phosphoric acid, sulfuric acid 3. Composés selon la revendication 1, caractérisé en ce que l'acide organique est un acide carboxylique tel que l'acide acétique, l'acide maléique, l'acide succinique, l'acide citrique, l'acide tartrique, l'acide oxalique, l'acide malique, l'acide pivalique, l'acide heptanoique, l'acide laurique, l'acide salicylique, l'acide benzolique, l'acide glutamique, l'acide lactique, ou un acide non carboxylique tel que l'acide iséthionique et l'acide méthanesulfonique. 3. Compounds according to claim 1, characterized in that the organic acid is a carboxylic acid such as acetic acid, maleic acid, succinic acid, citric acid, tartaric acid, acid oxalic acid, malic acid, pivalic acid, heptanoic acid, lauric acid, salicylic acid, benzolic acid, glutamic acid, lactic acid, or a non-carboxylic acid such as isethionic acid and methanesulfonic acid.NO2, -NH2, -Br ou -NH-COCH2Br, l'un au moins parmi R2, R3, R4 et R5 représente un atome d'hydrogène, -CH3, -Cl -OCH3, -NH2 ou -X02.NO 2, -NH 2, -Br or -NH-COCH 2 Br, at least one of R 2, R 3, R 4 and R 5 represents a hydrogen atom, -CH 3, -Cl-OCH 3, -NH 2 or -XO 2. 4. Composés selon l'une quelconque des revendications 1 & 3, caractérisés en ce que, dans la formule (I) I'un au moins parmi X1, X2 et X3 représente un atome d'hydrogène, un atome de chlore, un groupe nitro, un groupe amino ou un groupe méthyle, R1 représente -H, -X0, 4. Compounds according to any one of claims 1 & 3, characterized in that, in the formula (I), at least one of X1, X2 and X3 represents a hydrogen atom, a chlorine atom, a group nitro, an amino group or a methyl group, R1 represents -H, -X0, 5. Composés selon l'une quelconque des revendications 1 à 4, caractérisés en ce que R1 est un radical nitrosyle. 5. Compounds according to any one of claims 1 to 4, characterized in that R1 is a nitrosyl radical. 6 Composts selon l'une quelconque des revendications 1 à 4, caractérisés en ce que R1 est un radical -N02. 6 Compositions according to any one of claims 1 to 4, characterized in that R1 is a radical -NO2. 7. Benzoyl-2 imidazo [1.2-a] pyridine. 7. Benzoyl-2 imidazo [1.2-a] pyridine. 8. (Chloro-4' benzoyl)-2 méthyl-8 imidazo (1,2-ai pyridine. 8. (4-chloro-benzoyl) -2-methyl-8-imidazo (1,2-pyridine. 9. (Chloro-4' benzoyl)-2 méthyl-6 imidazo[1,2-a]pyridine. 9. (4-Chloro-benzoyl) -2-methyl-imidazo [1,2-a] pyridine. 10 (Chloro-2' nitro-5' benzoyl)L-2 nitro-3-imdazo [1,2-a] pyridine. (Chloro-2'-nitro-5'-benzoyl) L-2-nitro-3-imdazo [1,2-a] pyridine. 11. Benzoyl-2 bromo-3 imidazo 11,2-al pyridine. 11. Benzoyl-2-bromo-3-imidazo-11,2-al pyridine. 12. Procédé de préparation des composés selon la revendication 5, caractérisé en ce qu'il consiste à faire réagir le chlorure de nitrosyle sur une benzoyl-2 imidazo [1,2-a] pyridine, substituee ou non sur le noyau pyridine et/ou sur le groupe benzoyle, dans un mélange acide acétique-anhydride acétique. 12. Process for the preparation of compounds according to claim 5, characterized in that it consists in reacting nitrosyl chloride with a benzoyl-2 imidazo [1,2-a] pyridine, substituted or not on the pyridine ring and / or or on the benzoyl group, in a mixture of acetic acid and acetic anhydride. 13.Mwedicaments, caractérises en ce qu'ils sont constitné par les benznyl-2 imidazo [1.2-a] pyridines ou leurs sels d'addition avec des acides pharmaceutiquement acceptables selon 11 une quelconque des revendications 1 à 11. 13. Medicines, characterized in that they are constituted by 2-benzylimidazo [1,2-a] pyridines or their addition salts with pharmaceutically acceptable acids according to any one of claims 1 to 11. 14. Compositions pharmaceutiques contenant une quantité thérapeutiquement active d'au moins un composé selon l'une quelconque des revendications 1 à 11, en combinaison avec un véhicule pharmaceutique. Pharmaceutical compositions containing a therapeutically active amount of at least one compound according to any one of claims 1 to 11, in combination with a pharmaceutical carrier.
FR8813882A1988-10-241988-10-24 NOVEL BENZOYL-2 IMIDAZO (1,2-A) PYRIDINES AND SALTS THEREOF, PROCESS FOR THEIR PREPARATION, THEIR USE AS MEDICAMENTS AND THE PHARMACEUTICAL COMPOSITIONS CONTAINING THEMExpired - LifetimeFR2638161B1 (en)

Priority Applications (1)

Application NumberPriority DateFiling DateTitle
FR8813882AFR2638161B1 (en)1988-10-241988-10-24 NOVEL BENZOYL-2 IMIDAZO (1,2-A) PYRIDINES AND SALTS THEREOF, PROCESS FOR THEIR PREPARATION, THEIR USE AS MEDICAMENTS AND THE PHARMACEUTICAL COMPOSITIONS CONTAINING THEM

Applications Claiming Priority (1)

Application NumberPriority DateFiling DateTitle
FR8813882AFR2638161B1 (en)1988-10-241988-10-24 NOVEL BENZOYL-2 IMIDAZO (1,2-A) PYRIDINES AND SALTS THEREOF, PROCESS FOR THEIR PREPARATION, THEIR USE AS MEDICAMENTS AND THE PHARMACEUTICAL COMPOSITIONS CONTAINING THEM

Publications (2)

Publication NumberPublication Date
FR2638161A1true FR2638161A1 (en)1990-04-27
FR2638161B1 FR2638161B1 (en)1991-01-11

Family

ID=9371223

Family Applications (1)

Application NumberTitlePriority DateFiling Date
FR8813882AExpired - LifetimeFR2638161B1 (en)1988-10-241988-10-24 NOVEL BENZOYL-2 IMIDAZO (1,2-A) PYRIDINES AND SALTS THEREOF, PROCESS FOR THEIR PREPARATION, THEIR USE AS MEDICAMENTS AND THE PHARMACEUTICAL COMPOSITIONS CONTAINING THEM

Country Status (1)

CountryLink
FR (1)FR2638161B1 (en)

Cited By (14)

* Cited by examiner, † Cited by third party
Publication numberPriority datePublication dateAssigneeTitle
EP0596406A1 (en)*1992-11-021994-05-11Fujisawa Pharmaceutical Co., Ltd.Imidazo (1,2-a) Pyridines as bradykinin antagonists
US5464843A (en)*1992-06-231995-11-07G.D. Searle & Co.Imidazo[1,2-a]pyridinyldiacid compounds for cognitive enhancement and for treatment of cognitive disorders and neutrotoxic injury
US5574042A (en)*1992-11-021996-11-12Fujisawa Pharmaceutical Co., LtdImidazo [1,2-a] pyridines and their pharmaceutical use
DE19948434A1 (en)*1999-10-082001-06-07Gruenenthal Gmbh Substance library containing bicyclic imidazo-5-amines and / or bicyclic imidazo-3-amines
WO2002030428A1 (en)*2000-10-132002-04-18Grünenthal GmbHUse of substituted imidazo[1,2-a]pyridine-, imidazo[1,2-a]pyrimidine and imidazo[1,2-a]pyrazine-3-yl-amine derivatives for producing nos-inhibiting medicaments
DE10117184A1 (en)*2001-04-052002-10-17Gruenenthal Gmbh Substituted imidazole [1,2-a] pyridin-3-yl amide and amine compounds
FR2903106A1 (en)*2006-07-032008-01-04Sanofi Aventis Sa USES OF 2-BENZOYL IMIDAZOPYRIDINES IN THERAPEUTICS
FR2903107A1 (en)*2006-07-032008-01-04Sanofi Aventis Sa IMIDAZOPYRIDINE-2-CARBOXAMIDE DERIVATIVES, THEIR PREPARATION AND THEIR THERAPEUTIC USE
FR2903105A1 (en)*2006-07-032008-01-04Sanofi Aventis Sa 2-BENZOYL-IMIDAZOPYRIDINE DERIVATIVES, THEIR PREPARATION AND THEIR THERAPEUTIC USE
FR2925905A1 (en)*2008-01-022009-07-03Sanofi Aventis SaNew 2-benzyl-imidazo(1,2-a)pyridine compounds are nuclear receptor related protein 1 modulators useful for preparing medicament to treat and prevent e.g. neurodegenerative diseases, brain injuries, epilepsy and psychiatric disorders
FR2925900A1 (en)*2008-01-022009-07-03Sanofi Aventis SaNew N-phenyl-imidazo(1,2-a)pyridine-2-carboxamide compounds are nuclear receptor related protein 1 modulators useful for preparing medicament to treat and prevent e.g. neurodegenerative diseases, brain injuries, epilepsy and cancer
FR2925903A1 (en)*2008-01-022009-07-03Sanofi Aventis SaNew 6-heterocyclic-imidazo(1,2-a)pyridine-2-carboxamide compounds are nuclear receptor related protein 1 modulators useful for preparing a medicament to treat and prevent e.g. neurodegenerative diseases, brain injuries, epilepsy and cancer
FR2925906A1 (en)*2008-01-022009-07-03Sanofi Aventis SaNew N-phenyl-imidazo(1,2-a)pyridine-2-carboxamide compounds are nuclear receptor related protein 1 modulators useful for preparing medicament to treat and prevent e.g. neurodegenerative diseases, brain injuries, epilepsy and cancer
FR2925907A1 (en)*2008-01-022009-07-03Sanofi Aventis SaNew 2-heteroaryl-imidazo(1,2-a)pyridine compounds are nuclear receptor related protein 1 modulators useful for preparing medicament to treat and prevent e.g. neurodegenerative diseases, brain injuries, epilepsy and cancer

Families Citing this family (1)

* Cited by examiner, † Cited by third party
Publication numberPriority datePublication dateAssigneeTitle
US20070155738A1 (en)2005-05-202007-07-05Alantos Pharmaceuticals, Inc.Heterobicyclic metalloprotease inhibitors

Citations (1)

* Cited by examiner, † Cited by third party
Publication numberPriority datePublication dateAssigneeTitle
EP0261004A2 (en)*1986-08-181988-03-23Roussel-UclafImidazole derivatives and their salts, process for their preparation, their use as medicines, and compositions containing them

Patent Citations (1)

* Cited by examiner, † Cited by third party
Publication numberPriority datePublication dateAssigneeTitle
EP0261004A2 (en)*1986-08-181988-03-23Roussel-UclafImidazole derivatives and their salts, process for their preparation, their use as medicines, and compositions containing them

Cited By (36)

* Cited by examiner, † Cited by third party
Publication numberPriority datePublication dateAssigneeTitle
US5464843A (en)*1992-06-231995-11-07G.D. Searle & Co.Imidazo[1,2-a]pyridinyldiacid compounds for cognitive enhancement and for treatment of cognitive disorders and neutrotoxic injury
US5721223A (en)*1992-06-231998-02-24Hansen, Jr.; Donald W.Imidazo 1,2-a! Pyridinyldiacid compounds for cognitive enhancement and for treatment of cognitive disorders and neurotoxic injury
EP0596406A1 (en)*1992-11-021994-05-11Fujisawa Pharmaceutical Co., Ltd.Imidazo (1,2-a) Pyridines as bradykinin antagonists
US5574042A (en)*1992-11-021996-11-12Fujisawa Pharmaceutical Co., LtdImidazo [1,2-a] pyridines and their pharmaceutical use
DE19948434A1 (en)*1999-10-082001-06-07Gruenenthal Gmbh Substance library containing bicyclic imidazo-5-amines and / or bicyclic imidazo-3-amines
WO2001027109A3 (en)*1999-10-082001-09-20Gruenenthal GmbhTert.-butyl-(7-methyl-imidazo[1,2-a]pyridine-3-yl)-amine derivatives
WO2002030428A1 (en)*2000-10-132002-04-18Grünenthal GmbHUse of substituted imidazo[1,2-a]pyridine-, imidazo[1,2-a]pyrimidine and imidazo[1,2-a]pyrazine-3-yl-amine derivatives for producing nos-inhibiting medicaments
DE10117184A1 (en)*2001-04-052002-10-17Gruenenthal Gmbh Substituted imidazole [1,2-a] pyridin-3-yl amide and amine compounds
FR2903105A1 (en)*2006-07-032008-01-04Sanofi Aventis Sa 2-BENZOYL-IMIDAZOPYRIDINE DERIVATIVES, THEIR PREPARATION AND THEIR THERAPEUTIC USE
FR2903107A1 (en)*2006-07-032008-01-04Sanofi Aventis Sa IMIDAZOPYRIDINE-2-CARBOXAMIDE DERIVATIVES, THEIR PREPARATION AND THEIR THERAPEUTIC USE
US7704989B2 (en)2006-07-032010-04-27Sanofi-AventisDerivatives of imidazo[1,2-a]pyridine-2-carboxamides, preparation method thereof and use of same in therapeutics
WO2008003856A1 (en)*2006-07-032008-01-10Sanofi-AventisDerivatives of imidazo[1,2-a]pyridine-2-carboxamides, preparation method thereof and use of same in therapeutics
WO2008003855A3 (en)*2006-07-032008-03-06Sanofi AventisUse of 2-benzoyl-imidazopyridines in therapeutics
WO2008003854A3 (en)*2006-07-032008-03-06Sanofi AventisDerivatives of 2-benzoyl-imidazopyridines, preparation method thereof and use of same in therapeutics
US8404848B2 (en)2006-07-032013-03-26SanofiDerivatives of imidazo[1,2-a]pyridine-2-carboxamides, preparation method thereof and use of same in therapeutics
AU2007271008B2 (en)*2006-07-032012-10-11Sanofi-AventisDerivatives of imidazo[1,2-a]pyridine-2-carboxamides, preparation method thereof and use of same in therapeutics
CN101484453B (en)*2006-07-032012-07-04赛诺菲-安万特 Derivatives of imidazo[1,2-α]pyridine-2-carboxamides, their preparation and their use in therapy
RU2441003C2 (en)*2006-07-032012-01-27Санофи-АвентисIMIDAZO[1,2-α]PYRIDINE-2-CABROXAMIDES, MAKING THEM AND APPLYING IN THERAPY
FR2903106A1 (en)*2006-07-032008-01-04Sanofi Aventis Sa USES OF 2-BENZOYL IMIDAZOPYRIDINES IN THERAPEUTICS
US7902219B2 (en)2006-07-032011-03-08Sanofi-Aventis2-benzoylimidazopyridine derivatives, preparation and therapeutic use thereof
FR2925907A1 (en)*2008-01-022009-07-03Sanofi Aventis SaNew 2-heteroaryl-imidazo(1,2-a)pyridine compounds are nuclear receptor related protein 1 modulators useful for preparing medicament to treat and prevent e.g. neurodegenerative diseases, brain injuries, epilepsy and cancer
WO2009115651A3 (en)*2008-01-022010-02-25Sanofi-AventisN-phenyl-imidazo[1,2-a]pyridine-2-carboxamide compounds, preparation thereof and therapeutic application thereof
WO2009106752A3 (en)*2008-01-022010-02-25Sanofi-AventisDerivatives of 2-heteroaroyl-imidazol[1,2-a]pyridine, preparation thereof and therapeutic application thereof
WO2009106750A3 (en)*2008-01-022010-02-25Sanofi-AventisDerivatives of 6-heterocyclic-imidazo[l,2-a]pyrroine-2-carboxamides, preparation thereof and therapeutic application thereof
WO2009106748A3 (en)*2008-01-022009-12-30Sanofi-AventisDerivatives of n-phenyl-imidazo[1,2-a]pyridine-2-carboxamides, preparation thereof and therapeutic application thereof
WO2009112652A1 (en)2008-01-022009-09-17Sanofi-Aventis2-benzoylimidazo[1,2-a]pyridine derivatives, preparation thereof and therapeutic use thereof
AU2008352729B2 (en)*2008-01-022011-03-31Sanofi-Aventis2-benzoylimidazo[1,2-a]pyridine derivatives, preparation thereof and therapeutic use thereof
AU2008352729B8 (en)*2008-01-022011-04-28Sanofi-Aventis2-benzoylimidazo[1,2-a]pyridine derivatives, preparation thereof and therapeutic use thereof
FR2925906A1 (en)*2008-01-022009-07-03Sanofi Aventis SaNew N-phenyl-imidazo(1,2-a)pyridine-2-carboxamide compounds are nuclear receptor related protein 1 modulators useful for preparing medicament to treat and prevent e.g. neurodegenerative diseases, brain injuries, epilepsy and cancer
FR2925903A1 (en)*2008-01-022009-07-03Sanofi Aventis SaNew 6-heterocyclic-imidazo(1,2-a)pyridine-2-carboxamide compounds are nuclear receptor related protein 1 modulators useful for preparing a medicament to treat and prevent e.g. neurodegenerative diseases, brain injuries, epilepsy and cancer
FR2925900A1 (en)*2008-01-022009-07-03Sanofi Aventis SaNew N-phenyl-imidazo(1,2-a)pyridine-2-carboxamide compounds are nuclear receptor related protein 1 modulators useful for preparing medicament to treat and prevent e.g. neurodegenerative diseases, brain injuries, epilepsy and cancer
US8314109B2 (en)2008-01-022012-11-20Sanofi6-heterocyclic-imidazo[1,2-α]pyridine-2-carboxamide derivatives, preparation and therapeutic use thereof
CN101959884B (en)*2008-01-022013-02-27赛诺菲-安万特 6-heterocyclic imidazo[1,2-a]pyridine-2-carboxamide derivatives, their preparation and therapeutic use
FR2925905A1 (en)*2008-01-022009-07-03Sanofi Aventis SaNew 2-benzyl-imidazo(1,2-a)pyridine compounds are nuclear receptor related protein 1 modulators useful for preparing medicament to treat and prevent e.g. neurodegenerative diseases, brain injuries, epilepsy and psychiatric disorders
EA019122B1 (en)*2008-01-022014-01-30Санофи-АвентисDerivatives of 6-heterocyclic-imidazo[1,2-a]pyridine-2-carboxamides, preparation thereof and therapeutic application thereof
US8691990B2 (en)2008-01-022014-04-08Sanofi6-heterocyclic imidazo[1,2-α]pyridine-2-carboxamide derivatives, preparation and therapeutic use thereof

Also Published As

Publication numberPublication date
FR2638161B1 (en)1991-01-11

Similar Documents

PublicationPublication DateTitle
FR2638161A1 (en)New 2-benzoylimidazo[1,2-a]pyridine derivatives and their salts, process for their preparation, their application as medicaments and the pharmaceutical compositions containing them
DK158346B (en) METHOD OF ANALOGY FOR THE PREPARATION OF 4-AMINO-5-ALKYL SULPHONYL-O-ANISAMIDE DERIVATIVES AND 2-METHOXY-4-AMINO-5-ALKYLSULPHONYL BENZOIC ACIDS FOR USE AS INTERMEDIATRIC FRUIT SODANE FRUIT ACRODUCED FRUIT SODANE FRACTIONS THROUGH ANIMAL SUCCESS
JPS59104344A (en) Leukotriene antagonist
PT87056B (en) PROCESS FOR THE PREPARATION OF DISSUBSTITUTED 1,4-PIPERAZINE DERIVATIVES AND PHARMACEUTICAL COMPOSITIONS CONTAINING THEM
JPS6256851B2 (en)
HU180240B (en)Process for producing new,substituted 1,3-diaryl-2-iminoimidasolidines and 2-imino-hexahydro-pyrimidines
JPS5921682A (en)Manufacture of 4-hydroxy-2-methyl-n-2-pyridyl- 2h-1,2-benzothiazine-3-carboxamide-1,1-dioxide
FR2597478A1 (en) BENZIMIDAZOLES AND IMIDAZOPYRIDINES SULFONAMIDES, THEIR PREPARATION AND THEIR USE AS MEDICAMENTS.
JPH07179389A (en)5,8-dichloro-1,4,9,10-anthracentetrone
US3530137A (en)Certain alkyl and aryl ethers and thioethers of tropine and derivatives thereof
HU193274B (en)Process for preparing phenthiazines
BE897580A (en) NOVEL BENZAMIDE DERIVATIVES, THEIR PREPARATION AND THE PHARMACEUTICAL COMPOSITIONS CONTAINING THEM
PT87426B (en) METHOD FOR THE PREPARATION OF IMIDAZOLE DERIVATIVES
US4143143A (en)Substituted imidazo[5,1-a]isoquinolines
US3875176A (en)2-benzoyl -3-amino-pyridines
CS216205B2 (en)Method of making the derivatives of the 1,4-diphenylpyrazole
US3862320A (en)Methods of protection against emesis in mammals by administration of a 3-alkoxy-thianaphthene-2-carboxamide
Loynes et al.New sulfonamides
NO132930B (en)
JPH02295984A (en)New benzothiazolinone derivatve
HU179996B (en)Process for producing new n-1 down-benzoyl-n-2 down-phenyl-1,3-diamino-propan-2-ol derivatives
JPS5810387B2 (en) 4,5,6,7 tetrahydroimidazo[4,5-C]pyridine derivatives and their production method
CA1068270A (en)2,4-diamino-5-bromo-6-chloro pyrimidines, process of making them and pharmaceutical applications
US3959477A (en)Methods of protection against emesis in mammals by administration of a heterocyclic benzamide
US3651122A (en)Sulfamyl benzoic acid compounds

Legal Events

DateCodeTitleDescription
STNotification of lapse

[8]ページ先頭

©2009-2025 Movatter.jp